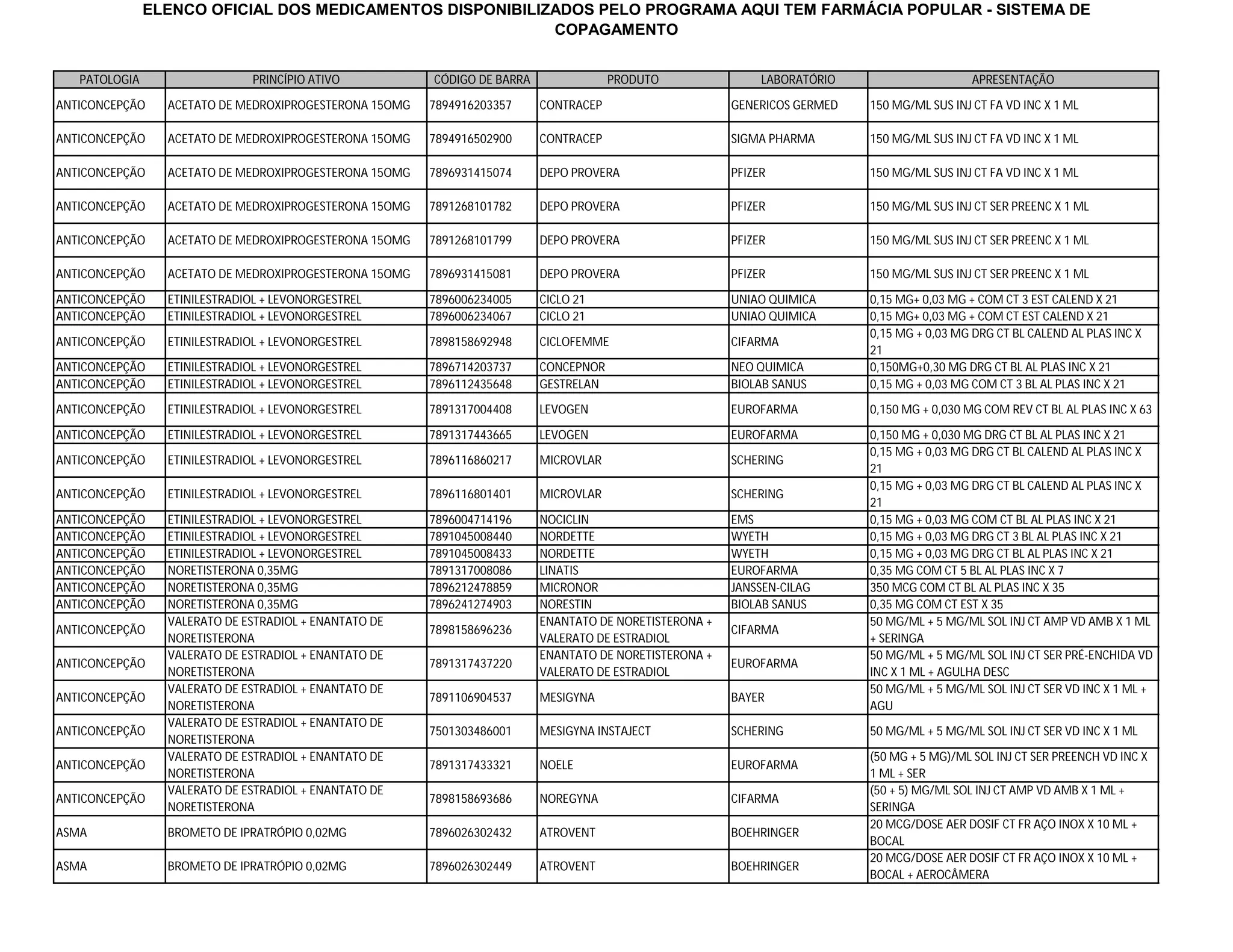
ELENCO OFICIAL DOS MEDICAMENTOS DISPONIBILIZADOS PELO PROGRAMA AQUI TEM FARMÁCIA POPULAR - SISTEMA DE
                                                           COPAGAMENTO


   PATOLOGIA                   PRINCÍPIO ATIVO          CÓDIGO DE BARRA               PRODUTO                LABORATÓRIO                     APRESENTAÇÃO

ANTICONCEPÇÃO    ACETATO DE MEDROXIPROGESTERONA 15OMG   7894916203357     CONTRACEP                     GENERICOS GERMED   150 MG/ML SUS INJ CT FA VD INC X 1 ML

ANTICONCEPÇÃO    ACETATO DE MEDROXIPROGESTERONA 15OMG   7894916502900     CONTRACEP                     SIGMA PHARMA       150 MG/ML SUS INJ CT FA VD INC X 1 ML

ANTICONCEPÇÃO    ACETATO DE MEDROXIPROGESTERONA 15OMG   7896931415074     DEPO PROVERA                  PFIZER             150 MG/ML SUS INJ CT FA VD INC X 1 ML

ANTICONCEPÇÃO    ACETATO DE MEDROXIPROGESTERONA 15OMG   7891268101782     DEPO PROVERA                  PFIZER             150 MG/ML SUS INJ CT SER PREENC X 1 ML

ANTICONCEPÇÃO    ACETATO DE MEDROXIPROGESTERONA 15OMG   7891268101799     DEPO PROVERA                  PFIZER             150 MG/ML SUS INJ CT SER PREENC X 1 ML

ANTICONCEPÇÃO    ACETATO DE MEDROXIPROGESTERONA 15OMG   7896931415081     DEPO PROVERA                  PFIZER             150 MG/ML SUS INJ CT SER PREENC X 1 ML

ANTICONCEPÇÃO    ETINILESTRADIOL + LEVONORGESTREL       7896006234005     CICLO 21                      UNIAO QUIMICA      0,15 MG+ 0,03 MG + COM CT 3 EST CALEND X 21
ANTICONCEPÇÃO    ETINILESTRADIOL + LEVONORGESTREL       7896006234067     CICLO 21                      UNIAO QUIMICA      0,15 MG+ 0,03 MG + COM CT EST CALEND X 21
                                                                                                                           0,15 MG + 0,03 MG DRG CT BL CALEND AL PLAS INC X
ANTICONCEPÇÃO    ETINILESTRADIOL + LEVONORGESTREL       7898158692948     CICLOFEMME                    CIFARMA
                                                                                                                           21
ANTICONCEPÇÃO    ETINILESTRADIOL + LEVONORGESTREL       7896714203737     CONCEPNOR                     NEO QUIMICA        0,150MG+0,30 MG DRG CT BL AL PLAS INC X 21
ANTICONCEPÇÃO    ETINILESTRADIOL + LEVONORGESTREL       7896112435648     GESTRELAN                     BIOLAB SANUS       0,15 MG + 0,03 MG COM CT 3 BL AL PLAS INC X 21

ANTICONCEPÇÃO    ETINILESTRADIOL + LEVONORGESTREL       7891317004408     LEVOGEN                       EUROFARMA          0,150 MG + 0,030 MG COM REV CT BL AL PLAS INC X 63

ANTICONCEPÇÃO    ETINILESTRADIOL + LEVONORGESTREL       7891317443665     LEVOGEN                       EUROFARMA          0,150 MG + 0,030 MG DRG CT BL AL PLAS INC X 21
                                                                                                                           0,15 MG + 0,03 MG DRG CT BL CALEND AL PLAS INC X
ANTICONCEPÇÃO    ETINILESTRADIOL + LEVONORGESTREL       7896116860217     MICROVLAR                     SCHERING
                                                                                                                           21
                                                                                                                           0,15 MG + 0,03 MG DRG CT BL CALEND AL PLAS INC X
ANTICONCEPÇÃO    ETINILESTRADIOL + LEVONORGESTREL       7896116801401     MICROVLAR                     SCHERING
                                                                                                                           21
ANTICONCEPÇÃO    ETINILESTRADIOL + LEVONORGESTREL       7896004714196     NOCICLIN                      EMS                0,15 MG + 0,03 MG COM CT BL AL PLAS INC X 21
ANTICONCEPÇÃO    ETINILESTRADIOL + LEVONORGESTREL       7891045008440     NORDETTE                      WYETH              0,15 MG + 0,03 MG DRG CT 3 BL AL PLAS INC X 21
ANTICONCEPÇÃO    ETINILESTRADIOL + LEVONORGESTREL       7891045008433     NORDETTE                      WYETH              0,15 MG + 0,03 MG DRG CT BL AL PLAS INC X 21
ANTICONCEPÇÃO    NORETISTERONA 0,35MG                   7891317008086     LINATIS                       EUROFARMA          0,35 MG COM CT 5 BL AL PLAS INC X 7
ANTICONCEPÇÃO    NORETISTERONA 0,35MG                   7896212478859     MICRONOR                      JANSSEN-CILAG      350 MCG COM CT BL AL PLAS INC X 35
ANTICONCEPÇÃO    NORETISTERONA 0,35MG                   7896241274903     NORESTIN                      BIOLAB SANUS       0,35 MG COM CT EST X 35
                 VALERATO DE ESTRADIOL + ENANTATO DE                      ENANTATO DE NORETISTERONA +                      50 MG/ML + 5 MG/ML SOL INJ CT AMP VD AMB X 1 ML
ANTICONCEPÇÃO                                           7898158696236                                   CIFARMA
                 NORETISTERONA                                            VALERATO DE ESTRADIOL                            + SERINGA
                 VALERATO DE ESTRADIOL + ENANTATO DE                      ENANTATO DE NORETISTERONA +                      50 MG/ML + 5 MG/ML SOL INJ CT SER PRÉ-ENCHIDA VD
ANTICONCEPÇÃO                                           7891317437220                                   EUROFARMA
                 NORETISTERONA                                            VALERATO DE ESTRADIOL                            INC X 1 ML + AGULHA DESC
                 VALERATO DE ESTRADIOL + ENANTATO DE                                                                       50 MG/ML + 5 MG/ML SOL INJ CT SER VD INC X 1 ML +
ANTICONCEPÇÃO                                           7891106904537     MESIGYNA                      BAYER
                 NORETISTERONA                                                                                             AGU
                 VALERATO DE ESTRADIOL + ENANTATO DE
ANTICONCEPÇÃO                                           7501303486001     MESIGYNA INSTAJECT            SCHERING           50 MG/ML + 5 MG/ML SOL INJ CT SER VD INC X 1 ML
                 NORETISTERONA
                 VALERATO DE ESTRADIOL + ENANTATO DE                                                                       (50 MG + 5 MG)/ML SOL INJ CT SER PREENCH VD INC X
ANTICONCEPÇÃO                                           7891317433321     NOELE                         EUROFARMA
                 NORETISTERONA                                                                                             1 ML + SER
                 VALERATO DE ESTRADIOL + ENANTATO DE                                                                       (50 + 5) MG/ML SOL INJ CT AMP VD AMB X 1 ML +
ANTICONCEPÇÃO                                           7898158693686     NOREGYNA                      CIFARMA
                 NORETISTERONA                                                                                             SERINGA
                                                                                                                           20 MCG/DOSE AER DOSIF CT FR AÇO INOX X 10 ML +
ASMA             BROMETO DE IPRATRÓPIO 0,02MG           7896026302432     ATROVENT                      BOEHRINGER
                                                                                                                           BOCAL
                                                                                                                           20 MCG/DOSE AER DOSIF CT FR AÇO INOX X 10 ML +
ASMA             BROMETO DE IPRATRÓPIO 0,02MG           7896026302449     ATROVENT                      BOEHRINGER
                                                                                                                           BOCAL + AEROCÂMERA
ELENCO OFICIAL DOS MEDICAMENTOS DISPONIBILIZADOS PELO PROGRAMA AQUI TEM FARMÁCIA POPULAR - SISTEMA DE
                                                           COPAGAMENTO


   PATOLOGIA                  PRINCÍPIO ATIVO          CÓDIGO DE BARRA                PRODUTO                LABORATÓRIO                      APRESENTAÇÃO
                                                                                                                           0,25 MG/ML SOL INAL CT ENV AL 10 FLAC PLAS OPC X 2
ASMA             BROMETO DE IPRATRÓPIO 0,25MG          7896672202605     ALVENT                        CHIESI
                                                                                                                           ML
                                                                                                                           0,25 MG/ML SOL INAL CT ENV AL 5 FLAC PLAS OPC X 2
ASMA             BROMETO DE IPRATRÓPIO 0,25MG          7896672202599     ALVENT                        CHIESI
                                                                                                                           ML
                                                                                                                           0,25 MG/ML SOL INAL CT ENV AL C/ 20 FLAC PLAS OPC
ASMA             BROMETO DE IPRATRÓPIO 0,25MG          7896672202407     ALVENT                        CHIESI
                                                                                                                           X 2 ML
ASMA             BROMETO DE IPRATRÓPIO 0,25MG          7896006210108     ARES                          UNIAO QUIMICA       SOL INAL CT FR VD AMB X 20 ML
ASMA             BROMETO DE IPRATRÓPIO 0,25MG          7896004725574     ASMALIV                       LEGRAND             0,25 MG/ML SOL INAL CT FR VD AMB CGT X 20 ML
ASMA             BROMETO DE IPRATRÓPIO 0,25MG          7896026300216     ATROVENT                      BOEHRINGER          0,25 MG/ML SOL INAL CT FR X 20 ML

ASMA             BROMETO DE IPRATRÓPIO 0,25MG          7896181913252     BROMETO DE IPRATRÓPIO         BIOSINTETICA        0,25 MG/ML SOL P/ INAL CT FR VD AMB GOT X 20 ML

ASMA             BROMETO DE IPRATRÓPIO 0,25MG          7896004725437     BROMETO DE IPRATRÓPIO         GENERICOS GERMED    0,25 MG/ML SOL P/ INAL CT FR VD AMB GOT X 20 ML

ASMA             BROMETO DE IPRATRÓPIO 0,25MG          7898060132785     BROMETO DE IPRATRÓPIO         GLOBO               0,250 MG/ML SOL INAL CT FR VD AMB X 20 ML

ASMA             BROMETO DE IPRATRÓPIO 0,25MG          7898123906162     BROMETO DE IPRATRÓPIO         HIPOLABOR           0,25 MG/ML SOL INAL CT FR PLAS OPC GOT X 20 ML

ASMA             BROMETO DE IPRATRÓPIO 0,25MG          7894916145435     BROMETO DE IPRATRÓPIO         LEGRAND             0,25 MG/ML SOL P/ INAL CT FR VD AMB GOT X 20 ML

ASMA             BROMETO DE IPRATRÓPIO 0,25MG          7896714214337     BROMETO DE IPRATRÓPIO         NEO QUIMICA         0,25 MG/ML SOL P/ INAL CT FR VD AMB GOT X 20 ML

ASMA             BROMETO DE IPRATRÓPIO 0,25MG          7898148299492     BROMETO DE IPRATRÓPIO         PRATI, DONADUZZI    0,25 MG/ML SOL INAL CT FR VD AMB GOT X 20 ML

ASMA             BROMETO DE IPRATRÓPIO 0,25MG          7898148299010     BROMETO DE IPRATRÓPIO         PRATI, DONADUZZI    0,25MG/ML SOL INAL CT FR PLAS OPC GOT X 20ML

ASMA             BROMETO DE IPRATRÓPIO 0,25MG          7896112114413     BROMETO DE IPRATRÓPIO         TEUTO               0,25 MG/ML SOL INAL CT FR VD AMB GOT X 20 ML

ASMA             BROMETO DE IPRATRÓPIO 0,25MG          7896004725420     BROMETO DE IPRATRÓPRIO        EMS                 0,25 MG/ML SOL P/ INAL CT FR VD AMB GOT X 20 ML

ASMA             BROMETO DE IPRATRÓPIO 0,25MG          7896006262510     BROMETRO IPRATRÓPIO 0,25 MG   UNIAO QUIMICA       SOL INAL CT FR VD AMB X 20 ML

ASMA             BROMETO DE IPRATRÓPIO 0,25MG          7898149937287     BROMOVENT                     BERGAMO             0,250 MG/ML SOL INAL CT 10 FR PLAS GOT X 20 ML

ASMA             BROMETO DE IPRATRÓPIO 0,25MG          7898149933784     BROMOVENT                     BERGAMO             0,250 MG/ML SOL INAL CT FR PLAS GOT X 20 ML
ASMA             BROMETO DE IPRATRÓPIO 0,25MG          7896004725567     BRONCOVENT                    GENERICOS GERMED    0,25 MG/ML SOL INAL CT FR VD AMB CGT X 20 ML
ASMA             BROMETO DE IPRATRÓPIO 0,25MG          7898074615120     IPRABON                       ZAMBON              0,25MG/ML SOL FR VD X 20ML
ASMA             BROMETO DE IPRATRÓPIO 0,25MG          7897473201743     IPRAFLUX                      GLENMARK            0,25 MG/ML SOL INAL CT FR VD AMB X 15 ML
ASMA             BROMETO DE IPRATRÓPIO 0,25MG          7896714270234     IPRANEO                       NEO QUIMICA         0,25MG/ML SOL INAL C/ 20ML + CT

ASMA             DIPROPIONATO DE BECLOMETSONA 200MCG   7896672202322     CLENIL                        CHIESI              200 MCG/DOSE PO INAL CT DISPOSIT INAL X 100 DOSES

                                                                                                                           200 MCG/DOSE SOL AER CT TB AL + DISPOSITIVO ORAL
ASMA             DIPROPIONATO DE BECLOMETSONA 200MCG   7896672202896     CLENIL HFA                    CHIESI
                                                                                                                           + ESPAÇ JET X 200 DOSES
                                                                                                                           200 MCG/DOSE SOL AER CT TB AL + DISPOSITIVO ORAL
ASMA             DIPROPIONATO DE BECLOMETSONA 200MCG   7896672202872     CLENIL HFA                    CHIESI
                                                                                                                           X 200 DOSES
                                                                                                                           200 MCG/DOSE SOL AER CT TB AL + ESPAÇ JET X 200
ASMA             DIPROPIONATO DE BECLOMETSONA 200MCG   7896672202889     CLENIL HFA                    CHIESI
                                                                                                                           DOSES
                                                                                                                           200 MCG PÓ ENCAP P/ INAL CT 6 BL AL PLAS INC X 10 +
ASMA             DIPROPIONATO DE BECLOMETSONA 200MCG   7896261004009     MIFLASONA                     NOVARTIS
                                                                                                                           INAL

ASMA             DIPROPIONATO DE BECLOMETSONA 250MCG   7897473201705     BECLORT                       GLENMARK            250 MCG/DOSE SOL AER SPRAY CT LT AL X 200 DOSES
ELENCO OFICIAL DOS MEDICAMENTOS DISPONIBILIZADOS PELO PROGRAMA AQUI TEM FARMÁCIA POPULAR - SISTEMA DE
                                                           COPAGAMENTO


   PATOLOGIA                  PRINCÍPIO ATIVO           CÓDIGO DE BARRA             PRODUTO            LABORATÓRIO                      APRESENTAÇÃO
ASMA             DIPROPIONATO DE BECLOMETSONA 250MCG   7896269900204    BECLOSOL                  GLAXOSMITHKLINE    250MCG SPRAY C/200DS
ASMA             DIPROPIONATO DE BECLOMETSONA 250MCG   7896672201059    CLENIL                    CHIESI             250 MCG/DOSE SOL AER SPRAY CT TB AL X 15,5 G
                                                                                                                     250 MCG/DOSE SOL AER SPRAY CT TB AL X 15,5 G +
ASMA             DIPROPIONATO DE BECLOMETSONA 250MCG   7896672201042   CLENIL                     CHIESI
                                                                                                                     ESPACADOR JET
                                                                                                                     250 MCG/DOSE SOL AER CT TB AL + DISPOSITIVO ORAL
ASMA             DIPROPIONATO DE BECLOMETSONA 250MCG   7896672202926   CLENIL HFA                 CHIESI
                                                                                                                     + ESPAÇ JET X 200 DOSES
                                                                                                                     250 MCG/DOSE SOL AER CT TB AL + DISPOSITIVO ORAL
ASMA             DIPROPIONATO DE BECLOMETSONA 250MCG   7896672202902   CLENIL HFA                 CHIESI
                                                                                                                     X 200 DOSES
                                                                                                                     250 MCG/DOSE SOL AER CT TB AL + ESPAÇ JET X 200
ASMA             DIPROPIONATO DE BECLOMETSONA 250MCG   7896672202919   CLENIL HFA                 CHIESI
                                                                                                                     DOSES
ASMA             DIPROPIONATO DE BECLOMETSONA 50MCG    7896269900266   BECLOSOL                   GLAXOSMITHKLINE    50 MCG SPRAY C/200DS
ASMA             DIPROPIONATO DE BECLOMETSONA 50MCG    7896672202636   CLENIL                     CHIESI             50 MCG/DOSE ORAL SPRAY - TB C/ 15 ML
                                                                                                                     50 MCG/DOSE SOL AER CT TB AL + DISPOSITIVO ORAL +
ASMA             DIPROPIONATO DE BECLOMETSONA 50MCG    7896672202834   CLENIL HFA                 CHIESI
                                                                                                                     ESPAÇ JET X 200 DOSES
                                                                                                                     50 MCG/DOSE SOL AER CT TB AL + DISPOSITIVO ORAL X
ASMA             DIPROPIONATO DE BECLOMETSONA 50MCG    7896672202810   CLENIL HFA                 CHIESI
                                                                                                                     200 DOSES
                                                                                                                     50 MCG/DOSE SOL AER CT TB AL + ESPAÇ JET X 200
ASMA             DIPROPIONATO DE BECLOMETSONA 50MCG    7896672202827   CLENIL HFA                 CHIESI
                                                                                                                     DOSES
ASMA             SULFATO DE SALBUTAMOL 100MCG          7896112147640   AERODINI                   TEUTO              100 MCG/DOSE SPRAY ERA X 200
                                                                                                                     100 MCG/JATO DOSE SOL PROP AER CT TB AL X 200
ASMA             SULFATO DE SALBUTAMOL 100MCG          7898014561333   AEROFRIN                   PHARMASCIENCE
                                                                                                                     JATOS
ASMA             SULFATO DE SALBUTAMOL 100MCG          7897473201071   AEROGOLD                   GLENMARK           100 MCG LATA C/ 200 DOSES
ASMA             SULFATO DE SALBUTAMOL 100MCG          7896672202445   AEROJET                    CHIESI             100 MCG / DOSE SOL AER CT TB AL X 15 G
                                                                                                                     100 MCG / DOSE SOL AER CT TB AL X 15 G +
ASMA             SULFATO DE SALBUTAMOL 100MCG          7896672201912   AEROJET                    CHIESI
                                                                                                                     ESPACADOR JET
ASMA             SULFATO DE SALBUTAMOL 100MCG          7896269900150   AEROLIN                    GLAXOSMITHKLINE    100 MCG/DOSE SPRAY 200 DOSES (134A)
                                                                                                                     100 MCG/DOSE ERA CT FR AL 200 DOSES C/
ASMA             SULFATO DE SALBUTAMOL 100MCG          7896181901198   TEODEN                     BIOSINTETICA
                                                                                                                     AEROCAMERA
ASMA             SULFATO DE SALBUTAMOL 5MG             7896269900068   AEROLIN                    GLAXOSMITHKLINE    SOLUÇÃO PARA NEBULIZAÇÃO 10ML
DIABETES         CLORIDRATO DE METFORMINA 500MG        7898361881566   CLORIDRATO DE METFORMINA   AUROBINDO PHARMA   500 MG COM REV CT BL AL PLAS INC X 30
DIABETES         CLORIDRATO DE METFORMINA 500MG        7898361881573   CLORIDRATO DE METFORMINA   AUROBINDO PHARMA   500 MG COM REV CT BL AL PLAS INC X 60
DIABETES         CLORIDRATO DE METFORMINA 500MG        7896181904922   CLORIDRATO DE METFORMINA   BIOSINTETICA       500 MG COM REV CT 2 BL AL PLAS INC X 15
DIABETES         CLORIDRATO DE METFORMINA 500MG        7896181908944   CLORIDRATO DE METFORMINA   BIOSINTETICA       500 MG COM REV CT BL AL PLAS INC X 60
DIABETES         CLORIDRATO DE METFORMINA 500MG        7898095341749   CLORIDRATO DE METFORMINA   BRAINFARMA         500 MG COM REV CT BL AL PLAS INC X 30
DIABETES         CLORIDRATO DE METFORMINA 500MG        7898095341732   CLORIDRATO DE METFORMINA   BRAINFARMA         500mg cx 30 comp
DIABETES         CLORIDRATO DE METFORMINA 500MG        7899106000297   CLORIDRATO DE METFORMINA   BRITON             500 MG COM REV CT 1 BL AL PLAS INC X 10
DIABETES         CLORIDRATO DE METFORMINA 500MG        7899106000303   CLORIDRATO DE METFORMINA   BRITON             500 MG COM REV CT 3 BL AL PLAS INC X 10
DIABETES         CLORIDRATO DE METFORMINA 500MG        7896004712888   CLORIDRATO DE METFORMINA   EMS                500 MG COM REV CT BL AL PLAS INC X 60

DIABETES         CLORIDRATO DE METFORMINA 500MG        7896004719900   CLORIDRATO DE METFORMINA   EMS                500 MG COM REV CT BL AL PLAS LEIT X 90 (EMB FRAC)

DIABETES         CLORIDRATO DE METFORMINA 500MG        7896004709192   CLORIDRATO DE METFORMINA   EMS                500MG 3 BLT C/ 10 COMP
DIABETES         CLORIDRATO DE METFORMINA 500MG        7896004712840   CLORIDRATO DE METFORMINA   GENERICOS GERMED   500 MG COM REV CT BL AL PLAS INC X 60
DIABETES         CLORIDRATO DE METFORMINA 500MG        7896004709222   CLORIDRATO DE METFORMINA   GENERICOS GERMED   500MG 3BLT C/10COMP
DIABETES         CLORIDRATO DE METFORMINA 500MG        7899100400239   CLORIDRATO DE METFORMINA   IPCA               500 MG COM REV CT 1 BL AL PLAS INC X 10
DIABETES         CLORIDRATO DE METFORMINA 500MG        7899100400246   CLORIDRATO DE METFORMINA   IPCA               500 MG COM REV CT 3 BL AL PLAS INC X 10
DIABETES         CLORIDRATO DE METFORMINA 500MG        7896422507943   CLORIDRATO DE METFORMINA   MEDLEY             500 MG COM REV CT 3 BL AL PLAS INC X 10
ELENCO OFICIAL DOS MEDICAMENTOS DISPONIBILIZADOS PELO PROGRAMA AQUI TEM FARMÁCIA POPULAR - SISTEMA DE
                                                           COPAGAMENTO


   PATOLOGIA                 PRINCÍPIO ATIVO      CÓDIGO DE BARRA             PRODUTO              LABORATÓRIO                       APRESENTAÇÃO

DIABETES         CLORIDRATO DE METFORMINA 500MG   7896422508056     CLORIDRATO DE METFORMINA   MEDLEY              500 MG COM REV CT 6 BL AL PLAS INC X 10 (EMB HOSP)

DIABETES         CLORIDRATO DE METFORMINA 500MG   7896422508377     CLORIDRATO DE METFORMINA   MEDLEY              500 MG COM REV CT 9 BL AL PLAS INC X 10 (EMB HOSP)

DIABETES         CLORIDRATO DE METFORMINA 500MG   7895296249027     CLORIDRATO DE METFORMINA   MEPHA-RATIOPHARM    500 MG COM REV CT 3 BL AL PLAS INC X 10
DIABETES         CLORIDRATO DE METFORMINA 500MG   7895296249058     CLORIDRATO DE METFORMINA   MEPHA-RATIOPHARM    500 MG COM REV CT BL AL PLAS INC X 10
DIABETES         CLORIDRATO DE METFORMINA 500MG   7891721238239     CLORIDRATO DE METFORMINA   MERCK               500 MG COM REV CT 4 BL AL PLAS INC X 15
DIABETES         CLORIDRATO DE METFORMINA 500MG   7891721238123     CLORIDRATO DE METFORMINA   MERCK               500 MG COM REV CT CART 3 BL AL PLAS INC X 10
DIABETES         CLORIDRATO DE METFORMINA 500MG   7897759001432     CLORIDRATO DE METFORMINA   NOVO NORDISK        500 MG COMP REV CT 3 BL AL PLAS INC X 10
DIABETES         CLORIDRATO DE METFORMINA 500MG   7897076912565     CLORIDRATO DE METFORMINA   RANBAXY             500 MG COM REV CT BL AL PLAS INC X 60
DIABETES         CLORIDRATO DE METFORMINA 500MG   7897076909848     CLORIDRATO DE METFORMINA   RANBAXY             500 MG COMP REV C/5 BL X 6
DIABETES         CLORIDRATO DE METFORMINA 500MG   7897595604378     CLORIDRATO DE METFORMINA   SANDOZ              500MG COM REV CT 2 BL AL PLAS INC X 15
DIABETES         CLORIDRATO DE METFORMINA 500MG   7891058004743     CLORIDRATO DE METFORMINA   SANOFI-AVENTIS      500 MG COM REV CT BL AL PLAS INC X 30

DIABETES         CLORIDRATO DE METFORMINA 500MG   7891058004750     CLORIDRATO DE METFORMINA   SANOFI-AVENTIS      500 MG COM REV CT BL AL PLAS INC X 60 (EMB HOSP)

DIABETES         CLORIDRATO DE METFORMINA 500MG   7894916140942     CLORIDRATO DE METFORMINA   SIGMA PHARMA        500MG 3 BLT C/ 10 COMP
DIABETES         CLORIDRATO DE METFORMINA 500MG   7896112126478     CLORIDRATO DE METFORMINA   TEUTO               500 MG COM CT BL AL PLAS INC X 30
DIABETES         CLORIDRATO DE METFORMINA 500MG   7898040321413     DIMEFOR                    FARMOQUIMICA        500 MG COM REV CT FR PLAS INC X 30
DIABETES         CLORIDRATO DE METFORMINA 500MG   7895858005023     FORMET                     CELLOFARM           500 MG COM REV CT BL AL PLAS INC X 20
DIABETES         CLORIDRATO DE METFORMINA 500MG   7895858000899     FORMET                     CELLOFARM           500 MG COMP. VER. CX. 30
DIABETES         CLORIDRATO DE METFORMINA 500MG   7896472502394     FORMYN                     MULTILAB            500 MG COM REV CX 3 BL AL PLAS INC X 10
DIABETES         CLORIDRATO DE METFORMINA 500MG   7891721000614     GLIFAGE                    MERCK               500 MG COM REV EST CART 3 BL AL PLAS INC X 10
DIABETES         CLORIDRATO DE METFORMINA 500MG   7891721024009     GLIFAGE XR                 MERCK               500 MG COM AP CT BL AL PLAS INC X 30
DIABETES         CLORIDRATO DE METFORMINA 500MG   7891721013218     GLIFAGE XR                 MERCK               500MG COM AP EST CART BL AL PLAS INC X 30
DIABETES         CLORIDRATO DE METFORMINA 500MG   7897759000251     GLUCOFORMIN                NOVO NORDISK        500 MG COMP REV CT 3 BL AL PLAS INC X 10
DIABETES         CLORIDRATO DE METFORMINA 500MG   7897655041204     MEGUANIN                   UCI-FARMA           500 MG COM C/30
DIABETES         CLORIDRATO DE METFORMINA 500MG   7898099381031     METFORDIN                  BIOFARMA            500 MG COMP 3BLX10
DIABETES         CLORIDRATO DE METFORMINA 500MG   7898100242405     METFORM                    BRASTERAPICA        500 MG COM REV CT 3 BL AL PLAS INC X 10
DIABETES         CLORIDRATO DE METFORMINA 500MG   7896523206486     METFORMED                  CIMED               500 MG CT 2 BL X 15
DIABETES         CLORIDRATO DE METFORMINA 500MG   7896261012974     METFORMIX                  NOVARTIS            500 MG COM REV CT 8 BL AL PVC X 6
DIABETES         CLORIDRATO DE METFORMINA 500MG   7896261016996     METFORMIX                  NOVARTIS            500 MG COM REV CT BL AL PVC X 12
DIABETES         CLORIDRATO DE METFORMINA 500MG   7896261015753     METFORMIX                  NOVARTIS            500 MG COM REV CT BL AL PVC X 24
DIABETES         CLORIDRATO DE METFORMINA 500MG   8902220107748     METTA SR                   TORRENT DO BRASIL   500 MG COM LIB PROL CT BL AL/AL X 10
DIABETES         CLORIDRATO DE METFORMINA 500MG   8902220107304     METTA SR                   TORRENT DO BRASIL   500 MG COM LIB PROL CT BL AL/AL X 30
DIABETES         CLORIDRATO DE METFORMINA 500MG   7896112133612     TEUTOFORMIN                TEUTO               500 MG COM CT BL AL PLAS INC X 30
DIABETES         CLORIDRATO DE METFORMINA 500MG   7898060138633     TRIFORMIN                  GLOBO               500 MG COM CT 3 BL AL PLAS INC X 10
DIABETES         CLORIDRATO DE METFORMINA 850MG   7898902274123     CLORIDRATO DE METFORMINA   ACCORD              850 MG COM REV CT BL AL PVC INC X 15
                                                                                                                   850 MG COM REV CT BL AL PVC INC X 30
DIABETES         CLORIDRATO DE METFORMINA 850MG   7898902274031     CLORIDRATO DE METFORMINA   ACCORD

DIABETES         CLORIDRATO DE METFORMINA 850MG   7898361881580     CLORIDRATO DE METFORMINA   AUROBINDO PHARMA    850 MG COM REV CT BL AL PLAS INC X 30
DIABETES         CLORIDRATO DE METFORMINA 850MG   7898361881597     CLORIDRATO DE METFORMINA   AUROBINDO PHARMA    850 MG COM REV CT BL AL PLAS INC X 60
DIABETES         CLORIDRATO DE METFORMINA 850MG   7896181901402     CLORIDRATO DE METFORMINA   BIOSINTETICA        850 MG COM REV CT 3 BL AL PLAS INC X 10
DIABETES         CLORIDRATO DE METFORMINA 850MG   7896181908968     CLORIDRATO DE METFORMINA   BIOSINTETICA        850 MG COM REV CT BL AL PLS INC X 60
DIABETES         CLORIDRATO DE METFORMINA 850MG   7898095341794     CLORIDRATO DE METFORMINA   BRAINFARMA          850 MG COM REV CT BL AL PLAS INC X 30
DIABETES         CLORIDRATO DE METFORMINA 850MG   7899106000334     CLORIDRATO DE METFORMINA   BRITON              850 MG COM REV CT 1 BL AL PLAS INC X 10
DIABETES         CLORIDRATO DE METFORMINA 850MG   7899106000341     CLORIDRATO DE METFORMINA   BRITON              850 MG COM REV CT 3 BL AL PLAS INC X 10
DIABETES         CLORIDRATO DE METFORMINA 850MG   7893353613613     CLORIDRATO DE METFORMINA   BUNKER              850 MG COM REV CT BL AL PLAS INC X 30
ELENCO OFICIAL DOS MEDICAMENTOS DISPONIBILIZADOS PELO PROGRAMA AQUI TEM FARMÁCIA POPULAR - SISTEMA DE
                                                            COPAGAMENTO


    PATOLOGIA                   PRINCÍPIO ATIVO     CÓDIGO DE BARRA            PRODUTO             LABORATÓRIO                     APRESENTAÇÃO
DIABETES          CLORIDRATO DE METFORMINA 850MG   7896523210001    CLORIDRATO DE METFORMINA   CIMED              850 MG COM CT BL AL PLAS INC X 30
DIABETES          CLORIDRATO DE METFORMINA 850MG   7896004709185    CLORIDRATO DE METFORMINA   EMS                850 MG COM REV CT BL AL PLAS INC X 30
DIABETES          CLORIDRATO DE METFORMINA 850MG   7896004712895    CLORIDRATO DE METFORMINA   EMS                850 MG COM REV CT BL AL PLAS INC X 60

DIABETES          CLORIDRATO DE METFORMINA 850MG   7896004719917   CLORIDRATO DE METFORMINA    EMS                850 MG COM REV CT BL AL PLAS LEIT X 90 (EMB FRAC)

DIABETES          CLORIDRATO DE METFORMINA 850MG   7896004712864   CLORIDRATO DE METFORMINA    GENERICOS GERMED   850 MG COM REV CT BL AL PLAS INC X 60
DIABETES          CLORIDRATO DE METFORMINA 850MG   7896004709215   CLORIDRATO DE METFORMINA    GENERICOS GERMED   850MG 3BLT C/10COMP
DIABETES          CLORIDRATO DE METFORMINA 850MG   7899100400277   CLORIDRATO DE METFORMINA    IPCA               850 MG COM REV CT 1 BL AL PLAS INC X 10
DIABETES          CLORIDRATO DE METFORMINA 850MG   7899100400284   CLORIDRATO DE METFORMINA    IPCA               850 MG COM REV CT 3 BL AL PLAS INC X 10
DIABETES          CLORIDRATO DE METFORMINA 850MG   7896422507950   CLORIDRATO DE METFORMINA    MEDLEY             850 MG COM REV CT 3 BL AL PLAS INC X 10

DIABETES          CLORIDRATO DE METFORMINA 850MG   7896422508063   CLORIDRATO DE METFORMINA    MEDLEY             850 MG COM REV CT 6 BL AL PLAS INC X 10 (EMB HOSP)

DIABETES          CLORIDRATO DE METFORMINA 850MG   7895296249041   CLORIDRATO DE METFORMINA    MEPHA-RATIOPHARM   850 MG COM REV CT 3 BL AL PLAS INC X 10
DIABETES          CLORIDRATO DE METFORMINA 850MG   7891721238109   CLORIDRATO DE METFORMINA    MERCK              850 MG COM REV CT 3 BL AL PLAS INC X 10
DIABETES          CLORIDRATO DE METFORMINA 850MG   7891721238246   CLORIDRATO DE METFORMINA    MERCK              850 MG COM REV CT 6 BL AL PLAS INC X 10
DIABETES          CLORIDRATO DE METFORMINA 850MG   7897759001449   CLORIDRATO DE METFORMINA    NOVO NORDISK       850 MG COMP REV CT 3 BL AL PLAS INC X 10
DIABETES          CLORIDRATO DE METFORMINA 850MG   7898148291298   CLORIDRATO DE METFORMINA    PRATI, DONADUZZI   850 MG COM VER CT BL AL PLAS INC X30
DIABETES          CLORIDRATO DE METFORMINA 850MG   7897076912572   CLORIDRATO DE METFORMINA    RANBAXY            850 MG COM REV CT BL AL PLAS INC X 60
DIABETES          CLORIDRATO DE METFORMINA 850MG   7897076909855   CLORIDRATO DE METFORMINA    RANBAXY            850 MG COMP REV C/5 BL X 6
DIABETES          CLORIDRATO DE METFORMINA 850MG   7897595604385   CLORIDRATO DE METFORMINA    SANDOZ             850MG COM REV CT 3 BL AL PLAS INC X 10
DIABETES          CLORIDRATO DE METFORMINA 850MG   7894916140935   CLORIDRATO DE METFORMINA    SIGMA PHARMA       850 MG 3 BLT C/ 10 COMP
DIABETES          CLORIDRATO DE METFORMINA 850MG   7896112126485   CLORIDRATO DE METFORMINA    TEUTO              850 MG COM CT BL AL PLAS INC X 30
DIABETES          CLORIDRATO DE METFORMINA 850MG   7896112126492   CLORIDRATO DE METFORMINA    TEUTO              850 MG COM CT BL AL PLAS INC X 50 (EMB HOSP)
DIABETES          CLORIDRATO DE METFORMINA 850MG   7896112128670   CLORIDRATO DE METFORMINA    TEUTO              850 MG COM CT BL AL PLAS INC X 60
DIABETES          CLORIDRATO DE METFORMINA 850MG   7896006230663   DIAFORMIN                   UNIAO QUIMICA      COM CT BL AL PLAS INC X 30
DIABETES          CLORIDRATO DE METFORMINA 850MG   7898040320713   DIMEFOR                     FARMOQUIMICA       850MG C/30 COMP
DIABETES          CLORIDRATO DE METFORMINA 850MG   7895858005030   FORMET                      CELLOFARM          850 MG COM REV CT BL AL PLAS INC X 20
DIABETES          CLORIDRATO DE METFORMINA 850MG   7895858000936   FORMET                      CELLOFARM          850 MG COMP. VER. CX. 30
DIABETES          CLORIDRATO DE METFORMINA 850MG   7896472502387   FORMYN                      MULTILAB           850 MG COM REV CX 3 BL AL PLAS INC X 10
DIABETES          CLORIDRATO DE METFORMINA 850MG   7899095201484   GLICEFOR                    GEOLAB             850 MG COM CT 03 BL X 10
DIABETES          CLORIDRATO DE METFORMINA 850MG   7898049798223   GLICOMET                    VITAPAN            850 MG C/3 BL C/10 COMP
DIABETES          CLORIDRATO DE METFORMINA 850MG   7891721000744   GLIFAGE                     MERCK              850 MG COM REV EST 3 BL AL PLAS INC X 10
DIABETES          CLORIDRATO DE METFORMINA 850MG   7898216362158   GLIFORMIL                   PHARLAB            850 MG COM REV CT BL PLAS INC X 30
DIABETES          CLORIDRATO DE METFORMINA 850MG   7897759001418   GLUCOFORMIN                 NOVO NORDISK       850 MG COMP REV CT 3 BL AL PLAS INC X 10
DIABETES          CLORIDRATO DE METFORMINA 850MG   7897759000268   GLUCOFORMIN                 NOVO NORDISK       850 MG COMP REV CT 3 BL AL PLAS INC X 10
DIABETES          CLORIDRATO DE METFORMINA 850MG   7898123903178   HIPOFORMIN                  HIPOLABOR          850 MG COM REV CT 3 BL AL PLAS INC X 10
DIABETES          CLORIDRATO DE METFORMINA 850MG   7897655041228   MEGUANIN                    UCI-FARMA          850 MG COM C/30
DIABETES          CLORIDRATO DE METFORMINA 850MG   7898099381048   METFORDIN                   BIOFARMA           850 MG COMP 3BLX10
DIABETES          CLORIDRATO DE METFORMINA 850MG   7898100241903   METFORM                     BRASTERAPICA       850MG COM VER CT 3 BL AL PLAS INC X 10
DIABETES          CLORIDRATO DE METFORMINA 850MG   7896523206493   METFORMED                   CIMED              850MG COM VER CT 2 BL AL PLAS INC X 15
DIABETES          CLORIDRATO DE METFORMINA 850MG   7896261012981   METFORMIX                   NOVARTIS           850 MG COM REV CT 8 BL AL PVC X 6
DIABETES          CLORIDRATO DE METFORMINA 850MG   7896261017009   METFORMIX                   NOVARTIS           850 MG COM REV CT BL AL PVC X 12
DIABETES          CLORIDRATO DE METFORMINA 850MG   7896261015760   METFORMIX                   NOVARTIS           850 MG COM REV CT BL AL PVC X 24
DIABETES          CLORIDRATO DE METFORMINA 850MG   7896714200224   NEO METFORMIN               NEO QUIMICA        COMP 850MG (CX C/3 BL C/10)
DIABETES          CLORIDRATO DE METFORMINA 850MG   7896112145554   TEUTOFORMIN                 TEUTO              COMP 850MG CX C/30
DIABETES          CLORIDRATO DE METFORMINA 850MG   7898060131115   TRIFORMIN                   GLOBO              850 MG COM CT 3 BL AL PLAS INC X 10
DIABETES          GLIBENCLAMIDA 5MG                7898109240105   AGLUCIL                     ELOFAR             CX C/5X6
ELENCO OFICIAL DOS MEDICAMENTOS DISPONIBILIZADOS PELO PROGRAMA AQUI TEM FARMÁCIA POPULAR - SISTEMA DE
                                                            COPAGAMENTO


    PATOLOGIA                  PRINCÍPIO ATIVO    CÓDIGO DE BARRA               PRODUTO                LABORATÓRIO                      APRESENTAÇÃO
DIABETES          GLIBENCLAMIDA 5MG              7893736014723      BENCLAMIN                   CAZI                 5 MG COMP CT ENV KRAFT POLIET X 20
DIABETES          GLIBENCLAMIDA 5MG              7896112143611      CLAMIBEN                    TEUTO                COMP 5MG CX C/30
DIABETES          GLIBENCLAMIDA 5MG              7891058212070      DAONIL                      SANOFI-AVENTIS       5 MG COM CT 1 BL AL PLAS INC X 30
DIABETES          GLIBENCLAMIDA 5MG              7892885200124      DIABEN                      KINDER               5,0MG/COMP CX C/1 BL C/30
DIABETES          GLIBENCLAMIDA 5MG              7898075310376      DIABETTY'S                  NECKERMAN            5MG CX C/ 30 COMP
DIABETES          GLIBENCLAMIDA 5MG              7898146820094      DIABEXIL                    ARROW                5MG COMP CX C/2 BLX15
DIABETES          GLIBENCLAMIDA 5MG              7897076905468      DIABINIL (APEX)             HERALD'S             5 MG COMP. CX C/ 30
DIABETES          GLIBENCLAMIDA 5MG              7896226502625      EUGLUCON                    ROCHE                5MG 30 COMP
DIABETES          GLIBENCLAMIDA 5MG              7898035310194      GLIBEMIDA                   PERFLORA             5MG C/ 30 COMP
DIABETES          GLIBENCLAMIDA 5MG              7896676404999      GLIBEN                      CRISTALIA            5MG-20 BLIST. 10CPS.
DIABETES          GLIBENCLAMIDA 5MG              7896181905509      GLIBENCLAMIDA               BIOSINTETICA         5 MG COM CT 2 BL AL PLAS INC X 15
DIABETES          GLIBENCLAMIDA 5MG              7896004706467      GLIBENCLAMIDA               EMS                  5 MG COM CT BL AL PLAS INC X 60
DIABETES          GLIBENCLAMIDA 5MG              7896004706474      GLIBENCLAMIDA               EMS                  5MG 2 BLT C/ 15 COMP
DIABETES          GLIBENCLAMIDA 5MG              7896004707945      GLIBENCLAMIDA               GENERICOS GERMED     5MG COM CT BL AL PLAS INC X 30
DIABETES          GLIBENCLAMIDA 5MG              7895296272018      GLIBENCLAMIDA               MEPHA-RATIOPHARM     5 MG COM CT BL AL PLAS INC X 30
DIABETES          GLIBENCLAMIDA 5MG              7896714217093      GLIBENCLAMIDA               NEO QUIMICA          5 MG COM CT BL AL PLAS INC X 30
DIABETES          GLIBENCLAMIDA 5MG              7898148297269      GLIBENCLAMIDA               PRATI, DONADUZZI     5 MG COM CT BL AL PLAS INC X 30
DIABETES          GLIBENCLAMIDA 5MG              7897076909626      GLIBENCLAMIDA               RANBAXY              5MG COMP C/ 3 BL X 10
DIABETES          GLIBENCLAMIDA 5MG              7891058002510      GLIBENCLAMIDA               SANOFI-AVENTIS       5 MG COM CT BL AL PLAS INC X 30
DIABETES          GLIBENCLAMIDA 5MG              7891058002527      GLIBENCLAMIDA               SANOFI-AVENTIS       5 MG COM CT BL AL PLAS INC X 60 (EMB HOSP)
DIABETES          GLIBENCLAMIDA 5MG              7894916141024      GLIBENCLAMIDA               SIGMA PHARMA         5 MG COM CT BL AL PLAS INC X 30
DIABETES          GLIBENCLAMIDA 5MG              7898910350055      GLIBENCLAMIDA               ZYDUS                5 MG COM CT BL AL PVC X 30
DIABETES          GLIBENCLAMIDA 5MG              7896137112197      GLIBENCLAMON                SANVAL               5 MG COMP CT 03 BL ALP PLAS INC X 10
DIABETES          GLIBENCLAMIDA 5MG              7894916503372      GLIBENDIAB                  SIGMA PHARMA         5 MG COM CT BL AL PVDC BCO LEIT X 30
DIABETES          GLIBENCLAMIDA 5MG              7898078942208      GLIBEXIL                    ROYTON               5 MG - CX. C/ 30 COMP
DIABETES          GLIBENCLAMIDA 5MG              7898060138497      GLICAMIDA                   GLOBO                5MG COMP BL CX C/30
DIABETES          GLIBENCLAMIDA 5MG              7899095201781      GLICAMIN                    GEOLAB               5 MG COM CT 02 BL X 15
DIABETES          GLIBENCLAMIDA 5MG              7898256080081      GLICOCONTROL                UNIFARMA             5MG COM CT 3 BL AL PLAS INC X 10
DIABETES          GLIBENCLAMIDA 5MG              7896862910556      GLICONIL                    MEDQUIMICA           CX. C/ 30 COMP.
DIABETES          GLIBENCLAMIDA 5MG              7898103650696      GLIMIL 5MG                  MILIAN               CAIXA COM 20CPDS
DIABETES          GLIBENCLAMIDA 5MG              7896714200071      GLIONIL                     NEO QUIMICA          CP 5MG (CX C/1 BL C/30)
DIABETES          GLIBENCLAMIDA 5MG              7896622302836      GLUCOSIL                    LUPER                5 MG CX C/ 3 BL X 10
DIABETES          GLIBENCLAMIDA 5MG              7897322700632      LISAGLUCON                  FARMASA              5 MG COMP CT BL AL PLAST INC X 20
DIABETES          GLIBENCLAMIDA 5MG              7897917001069      NILCLAMIDA                  BELFAR               CXS. C/30 COMP.
DIABETES          GLIBENCLAMIDA 5MG              7898371171022      REDUXGEN                    GENOMA               5 MG COM CT 01 BL AL PLAS INC X 30
DIABETES          GLIBENCLAMIDA 5MG              7896006256304      UNI GLIBEN                  UNIAO QUIMICA        COM CT STR X 20
DIABETES          INSULINA HUMANA NPH 100UI      7896382700583      HUMULIN                     ELI LILLY            HUMULIN N - 1 FRASCO-AMPOLA 10 ML
DIABETES          INSULINA HUMANA NPH 100UI      7896382703317      HUMULIN                     ELI LILLY            HUMULIN N - 2 CARPULES COM 3,0ML
DIABETES          INSULINA HUMANA NPH 100UI      7898149935634      INSUGEN N                   BERGAMO              100 UI/ML SUS INJ CT 5 CARP VD INC X 3 ML
DIABETES          INSULINA HUMANA NPH 100UI      7898149935665      INSUGEN N                   BERGAMO              100 UI/ML SUS INJ CT 5 FA VD INC X 10 ML
DIABETES          INSULINA HUMANA NPH 100UI      7898149935627      INSUGEN N                   BERGAMO              100 UI/ML SUS INJ CT CARP VD INC X 3 ML
DIABETES          INSULINA HUMANA NPH 100UI      7898149935658      INSUGEN N                   BERGAMO              100 UI/ML SUS INJ CT FA VD INC X 10 ML

DIABETES          INSULINA HUMANA NPH 100UI      7897759000091      INSULINA HUMANA BIOHULIN NPH NOVO NORDISK        100 UI SUSP INJ CX/1 FR 10 ML

DIABETES          INSULINA HUMANA NPH 100UI      7891058009120      INSUMAN N                   SANOFI-AVENTIS       100 UI/ML SUS INJ CT 1 FA VD INC X 5 ML
DIABETES          INSULINA HUMANA NPH 100UI      7891058009168      INSUMAN N                   SANOFI-AVENTIS       100 UI/ML SUS INJ CT 5 CARP VD INC X 3 ML
ELENCO OFICIAL DOS MEDICAMENTOS DISPONIBILIZADOS PELO PROGRAMA AQUI TEM FARMÁCIA POPULAR - SISTEMA DE
                                                            COPAGAMENTO


    PATOLOGIA                  PRINCÍPIO ATIVO    CÓDIGO DE BARRA                PRODUTO             LABORATÓRIO                       APRESENTAÇÃO
DIABETES          INSULINA HUMANA NPH 100UI       7891058016432     INSUMAN N OPTISET          SANOFI-AVENTIS       100 UI/ML SUS INJ CT 5 CARP VD INC X 3 ML + 5 SIST
DIABETES          INSULINA HUMANA NPH 100UI       7896714215587     INSUNEO N                  NEO QUIMICA          100 UI/ML SUSP INJ CT FR AMP INC X 10 ML
DIABETES          INSULINA HUMANA NPH 100UI       7895858005436     INSUNORM N                 CELLOFARM            100 UI/ML SUS INJ CT FA VD INC X 10 ML
DIABETES          INSULINA HUMANA NPH 100UI       7897705200308     NOVOLIN                    NOVO NORDISK         100 UI/ML SUSP INJ CX FR VD X 10 ML
DIABETES          INSULINA HUMANA NPH 100UI       7897705200087     NOVOLIN                    NOVO NORDISK         N 100 UI/ML SUSP INJ CX 1 FR AMP (100 UI 10ML)
DIABETES          INSULINA HUMANA NPH 100UI       7897705200322     NOVOLIN                    NOVO NORDISK         N PENFILL 100 UI/ML SUSP INJ CX 5 REFIL FR VD X 3
DIABETES          INSULINA HUMANA REGULAR 100UI   7896382700576     HUMULIN                    ELI LILLY            HUMULIN R - 1 FRASCO-AMPOLA 10 ML
DIABETES          INSULINA HUMANA REGULAR 100UI   7896382702495     HUMULIN                    ELI LILLY            HUMULIN R - 1 CARPULE COM 3,0ML
DIABETES          INSULINA HUMANA REGULAR 100UI   7896382703300     HUMULIN                    ELI LILLY            HUMULIN R - 2 CARPULES COM 3,0ML
                                                                    INSULINA HUMANA BIOHULIN
DIABETES          INSULINA HUMANA REGULAR 100UI   7897759000084                                NOVO NORDISK         100 UI SOL INJ CX/1 FR 10 ML
                                                                    REGULAR
                                                                    INSULINA HUMANA BIOHULIN
DIABETES          INSULINA HUMANA REGULAR 100UI   7897759000374                                NOVO NORDISK         100 UI SOL INJ CX/3 CARPULES/3,0 ML
                                                                    REGULAR
                                                                    INSULINA HUMANA BIOHULIN
DIABETES          INSULINA HUMANA REGULAR 100UI   7897759000213                                NOVO NORDISK         100 UI SOL INJ CX/5 CARPULES/1,5 ML
                                                                    REGULAR
DIABETES          INSULINA HUMANA REGULAR 100UI   7891058009151     INSUMAN R                  SANOFI-AVENTIS       100 UI/ML SOL INJ CT 5 CARP VD INC X 3 ML
DIABETES          INSULINA HUMANA REGULAR 100UI   7891058009113     INSUMAN R                  SANOFI-AVENTIS       100 UI/ML SOL INJ CT FA VD INC X 5 ML

DIABETES          INSULINA HUMANA REGULAR 100UI   7891058016463     INSUMAN R OPTISET          SANOFI-AVENTIS       100 UI/ML SOL INJ CT 5 CARP VD INC X 3 ML + 5 SIST

DIABETES          INSULINA HUMANA REGULAR 100UI   7895858005412     INSUNORM R                 CELLOFARM            100 UI/ML SUS INJ CT FA VD INC X 10 ML
DIABETES          INSULINA HUMANA REGULAR 100UI   7897705200070     NOVOLIN                    NOVO NORDISK         R 100 UI/ML SOL INJ CX 1 FR AMP (100 UI 10ML)

DIABETES          INSULINA HUMANA REGULAR 100UI   7897705200315     NOVOLIN                    NOVO NORDISK         R PENFILL 100 UI/ML SOL INJ CX 5 REFIL FR VD X 3 ML

DIABETES          INSULINA HUMANA REGULAR 100UI   7895197160131     WOSULIN R                  MEIZLER              100 UI/ML SOL INJ CX 5 CARP VD INC X 3 ML
DIABETES          INSULINA HUMANA REGULAR 100UI   7895197160100     WOSULIN R                  MEIZLER              100 UI/ML SOL INJ CX CARP VD INC X 3 ML
DIABETES          INSULINA HUMANA REGULAR 100UI   7895197160032     WOSULIN R                  MEIZLER              100 UI/ML SOL INJ CX FA VD INC X 10 ML
DIABETES          INSULINA HUMANA REGULAR 100UI   7895197160025     WOSULIN R                  MEIZLER              100 UI/ML SOL INJ CX FA VD INC X 5 ML
DIABETES          INSULINA HUMANA REGULAR 100UI   7895197160018     WOSULIN R                  MEIZLER              100UI/ML SUS INJ CX FA VD INC X 3ML
DISLIPIDEMIA      SINVASTATINA 10MG               7896112145462     ANDROLIP                   TEUTO                10 MG COMP REV CX C/10
DISLIPIDEMIA      SINVASTATINA 10MG               7896112145486     ANDROLIP                   TEUTO                10 MG COMP REV CX C/30
DISLIPIDEMIA      SINVASTATINA 10MG               7891721003042     CLINFAR                    MERCK                10 MG COM REV CT CART 3 BL AL PLAS INC X 10
DISLIPIDEMIA      SINVASTATINA 10MG               7891721003059     CLINFAR                    MERCK                10 MG COM REV CT CART BL AL PLAS INC X 10
DISLIPIDEMIA      SINVASTATINA 10MG               7898096577284     CORDIRON                   DIFFUCAP-CHEMOBRAS   10 MG COM REV CT 2 BL X 15
DISLIPIDEMIA      SINVASTATINA 10MG               7898096577468     CORDIRON                   DIFFUCAP-CHEMOBRAS   10 MG COM REV CT BL AL PLAS INC X 06
DISLIPIDEMIA      SINVASTATINA 10MG               7898371171572     GENOCARDIL                 GENOMA               10 MG COM REV CT 01 BL AL PLAS INC X 30
DISLIPIDEMIA      SINVASTATINA 10MG               7896422509947     LIPOTEX                    MEDLEY               10 MG COM REV CT BL AL PVC/PVDC INC X 10
DISLIPIDEMIA      SINVASTATINA 10MG               7896422509954     LIPOTEX                    MEDLEY               10 MG COM REV CT BL AL PVC/PVDC INC X 30
DISLIPIDEMIA      SINVASTATINA 10MG               7896006228431     LIPTRAT                    UNIAO QUIMICA        10 MG COM REV CT BL AL PLAS INC X 30
DISLIPIDEMIA      SINVASTATINA 10MG               7897322701141     LOVACOR                    FARMASA              10 MG COMP REV CT 2 BL AL PLAST INC X 15
DISLIPIDEMIA      SINVASTATINA 10MG               7897322701110     LOVACOR                    FARMASA              10 MG COMP REV CT BL AL PLAST INC X 10
DISLIPIDEMIA      SINVASTATINA 10MG               7896472502813     MENOCOL                    MULTILAB             10 MG COM REV CT 1 BL AL PLAS INC X 30
DISLIPIDEMIA      SINVASTATINA 10MG               7898331960574     MEVILIP                    LABORIS              10 MG COMP REV CX 3 BL X 10
DISLIPIDEMIA      SINVASTATINA 10MG               7896317901320     MIVALEN                    ATIVUS               10 MG CX COM 10 COMP REV
DISLIPIDEMIA      SINVASTATINA 10MG               7896317901337     MIVALEN                    ATIVUS               10 MG CX COM 30 COMP REV
DISLIPIDEMIA      SINVASTATINA 10MG               7896714203386     REVASTIN                   NEO QUIMICA          10 MG COM REV CT 3 BL AL PLAS AMB X 10
DISLIPIDEMIA      SINVASTATINA 10MG               7894916206853     SINVALIP                   SIGMA PHARMA         10 MG COM REV CT BL AL PLAS LEIT X 30
ELENCO OFICIAL DOS MEDICAMENTOS DISPONIBILIZADOS PELO PROGRAMA AQUI TEM FARMÁCIA POPULAR - SISTEMA DE
                                                             COPAGAMENTO


     PATOLOGIA                   PRINCÍPIO ATIVO    CÓDIGO DE BARRA              PRODUTO        LABORATÓRIO                      APRESENTAÇÃO
DISLIPIDEMIA       SINVASTATINA 10MG               7898100242276      SINVANE              BRASTERAPICA       10 MG COM REV CT 3 BL AL PLAS INC X 10
DISLIPIDEMIA       SINVASTATINA 10MG               7898100242269      SINVANE              BRASTERAPICA       10 MG COM REV CT BL AL PLAS INC X 10
DISLIPIDEMIA       SINVASTATINA 10MG               7897851250394      SINVASCOR            BALDACCI           10 MG COMP. REV 3 BL X 10
DISLIPIDEMIA       SINVASTATINA 10MG               7898060131566      SINVASMAX            GLOBO              10 MG COM REV CT 3 BL AL PLAS INC X 10
DISLIPIDEMIA       SINVASTATINA 10MG               7897595601766      SINVASTACOR          SANDOZ             10 MG COM REV CT BL AL PLAS INC X 30
DISLIPIDEMIA       SINVASTATINA 10MG               7896523206509      SINVASTAMED          CIMED              10 MG COM REV BL AL PLAS INC X 30
DISLIPIDEMIA       SINVASTATINA 10MG               7896181913016      SINVASTATINA         BIOSINTETICA       10 MG COM REV CT BL AL PVC/PVDC X 30
DISLIPIDEMIA       SINVASTATINA 10MG               7898095346935      SINVASTATINA         BRAINFARMA         10 MG COM REV CT 1BL AL PLAS INC X 10
DISLIPIDEMIA       SINVASTATINA 10MG               7898095346959      SINVASTATINA         BRAINFARMA         10 MG COM REV CT 3BL AL PLAS INC X 10
DISLIPIDEMIA       SINVASTATINA 10MG               7896676410143      SINVASTATINA         CRISTALIA          10 MG COM REV CT BL AL PLAS INC X 10
DISLIPIDEMIA       SINVASTATINA 10MG               7896676410150      SINVASTATINA         CRISTALIA          10 MG COM REV CT BL AL PLAS INC X 30
DISLIPIDEMIA       SINVASTATINA 10MG               7896004701943      SINVASTATINA         EMS                10 MG 3 BL X 10 COMP
DISLIPIDEMIA       SINVASTATINA 10MG               7896004701950      SINVASTATINA         EMS                10MG 1 BL X 10 COMP
DISLIPIDEMIA       SINVASTATINA 10MG               7898146821527      SINVASTATINA         EUROFARMA          10 MG COM REV CT BL AL PLAS INC X 30
DISLIPIDEMIA       SINVASTATINA 10MG               7896004711133      SINVASTATINA         GENERICOS GERMED   10 MG COM REV CT BL AL PLAS OPC X 30
DISLIPIDEMIA       SINVASTATINA 10MG               7894916141192      SINVASTATINA         LEGRAND            10 MG COM REV CT BL AL PLAS OPC X 30
DISLIPIDEMIA       SINVASTATINA 10MG               7896422507837      SINVASTATINA         MEDLEY             10 MG COM REV CT BL AL PLAS INC X 30
DISLIPIDEMIA       SINVASTATINA 10MG               7896422508599      SINVASTATINA         MEDLEY             10 MG COM REVEST CT 2 BL AL PLAS INC X 10
DISLIPIDEMIA       SINVASTATINA 10MG               7896422507820      SINVASTATINA         MEDLEY             10 MG COM REVEST CT BL AL PLAS INC X 10
DISLIPIDEMIA       SINVASTATINA 10MG               7895296244039      SINVASTATINA         MEPHA-RATIOPHARM   10 MG COM REV CT 1 BL AL PLAS INC X 10
DISLIPIDEMIA       SINVASTATINA 10MG               7895296244046      SINVASTATINA         MEPHA-RATIOPHARM   10 MG COM REV CT 3 BL AL PLAS INC X 10
DISLIPIDEMIA       SINVASTATINA 10MG               7896261007031      SINVASTATINA         NOVARTIS           10 MG COM REV CT 3 BL AL PLAS INC X 10
DISLIPIDEMIA       SINVASTATINA 10MG               7896261007024      SINVASTATINA         NOVARTIS           10 MG COM REV CT BL AL PLAS INC X 10
DISLIPIDEMIA       SINVASTATINA 10MG               7897076906915      SINVASTATINA         RANBAXY            10 MG COMP C/1 BL X 10
DISLIPIDEMIA       SINVASTATINA 10MG               7897076906953      SINVASTATINA         RANBAXY            10 MG COMP C/3 BL X 10
DISLIPIDEMIA       SINVASTATINA 10MG               7897595603296      SINVASTATINA         SANDOZ             10 MG COM REV CT 3BL AL PLAS INC X 10
DISLIPIDEMIA       SINVASTATINA 10MG               7897595604279      SINVASTATINA         SANDOZ             10 MG COM REV CT BL AL PLAS INC X 10
DISLIPIDEMIA       SINVASTATINA 10MG               7897595609816      SINVASTATINA         SANDOZ             10 MG COM REV CT BL AL PLAS INC X 30
DISLIPIDEMIA       SINVASTATINA 10MG               7898216360611      SINVASTIN            PHARLAB            10 MG COM CT BL AL INC X 10
DISLIPIDEMIA       SINVASTATINA 10MG               7898216360628      SINVASTIN            PHARLAB            10 MG COM CT BL AL INC X 30
DISLIPIDEMIA       SINVASTATINA 10MG               7896137112708      SINVASTON            SANVAL             10 MG COM REV CT 3 BL AL PLAS INC X 10
DISLIPIDEMIA       SINVASTATINA 10MG               7896137112692      SINVASTON            SANVAL             10 MG COM REV CTT BL AL PLAS INC X 10
DISLIPIDEMIA       SINVASTATINA 10MG               7896004702353      SINVATROX            EMS                10MG 3 BL X 10 COMP
DISLIPIDEMIA       SINVASTATINA 10MG               7896004716053      SINVATROX            EMS                10MG BL X 10 COMP
DISLIPIDEMIA       SINVASTATINA 10MG               7899095201064      SINVAX               GEOLAB             10 MG COM CT 03 BL AL PLAS OPC X 10
DISLIPIDEMIA       SINVASTATINA 10MG               7899095201057      SINVAX               GEOLAB             10 MG COMP. CT 01 BL X 10
DISLIPIDEMIA       SINVASTATINA 10MG               7898049797080      SIVASTIN             VITAPAN            10 MG COM REV CT 3 BL AL PLAS AMB X 10
DISLIPIDEMIA       SINVASTATINA 10MG               7898049797721      SIVASTIN             VITAPAN            10 MG CX C/ 01 BL C/10 COMP REV
DISLIPIDEMIA       SINVASTATINA 10MG               7896241293737      VASLIP               BIOLAB SANUS       10 MG COM REV CT 3 BL AL PLAS INC X 10
DISLIPIDEMIA       SINVASTATINA 10MG               7898158692788      VASTATIL             CIFARMA            10 MG CX COM 30 COMP
DISLIPIDEMIA       SINVASTATINA 10MG               7897337705332      ZOCOR                MERCK SHARP        10 MG CX. 1 BL X 10 CPD
DISLIPIDEMIA       SINVASTATINA 10MG               7897337707169      ZOCOR                MERCK SHARP        10 MG CX. 3 BL X 10 CPD
DISLIPIDEMIA       SINVASTATINA 20MG               7891721012884      CLINFAR              MERCK              20 MG COM REV CT CART 3 BL AL PLAS INC X 10
DISLIPIDEMIA       SINVASTATINA 20MG               7891721013119      CLINFAR              MERCK              20 MG COM REV CT CART BL AL PLAS INC X 10
DISLIPIDEMIA       SINVASTATINA 20MG               7898371171596      GENOCARDIL           GENOMA             20 MG COM REV CT 01 BL AL PLAS INC X 30
DISLIPIDEMIA       SINVASTATINA 20MG               7896422509978      LIPOTEX              MEDLEY             20 MG COM REV CT BL AL PVC/PVDC INC X 10
DISLIPIDEMIA       SINVASTATINA 20MG               7896422509985      LIPOTEX              MEDLEY             20 MG COM REV CT BL X 30
ELENCO OFICIAL DOS MEDICAMENTOS DISPONIBILIZADOS PELO PROGRAMA AQUI TEM FARMÁCIA POPULAR - SISTEMA DE
                                                             COPAGAMENTO


     PATOLOGIA                   PRINCÍPIO ATIVO    CÓDIGO DE BARRA              PRODUTO        LABORATÓRIO                      APRESENTAÇÃO
DISLIPIDEMIA       SINVASTATINA 20MG               7897322701257      LOVACOR              FARMASA            20 MG COMP REV CT BL AL PLAST INC X 10
DISLIPIDEMIA       SINVASTATINA 20MG               7896472502820      MENOCOL              MULTILAB           20 MG COM REV CT 1 BL AL PLAS INC X 30
DISLIPIDEMIA       SINVASTATINA 20MG               7898331961106      MEVILIP              LABORIS            20 MG COM REV CT BL AL PLAS INC X 10
DISLIPIDEMIA       SINVASTATINA 20MG               7898331960581      MEVILIP              LABORIS            20 MG COMP REV CX 3 BL X 10
DISLIPIDEMIA       SINVASTATINA 20MG               7894916206860      SINVALIP             SIGMA PHARMA       20 MG 3BL X10 COMP REV
DISLIPIDEMIA       SINVASTATINA 20MG               7898100242290      SINVANE              BRASTERAPICA       20 MG COM REV CT 3 BL AL PLAS INC X 10
DISLIPIDEMIA       SINVASTATINA 20MG               7898100242283      SINVANE              BRASTERAPICA       20 MG COM REV CT BL AL PLAS INC X 10
DISLIPIDEMIA       SINVASTATINA 20MG               7897851250530      SINVASCOR            BALDACCI           20 MG COMP. REV 3 BL X 10
DISLIPIDEMIA       SINVASTATINA 20MG               7898060138114      SINVASMAX            GLOBO              20 MG COM REV CT 3 BL AL PLAS INC X 10
DISLIPIDEMIA       SINVASTATINA 20MG               7897595601773      SINVASTACOR          SANDOZ             20 MG COM REV CT BL AL PLAS INC X 30
DISLIPIDEMIA       SINVASTATINA 20MG               7896523206516      SINVASTAMED          CIMED              20 MG COM REV BL AL PLAS INC X 10
DISLIPIDEMIA       SINVASTATINA 20MG               7896523206660      SINVASTAMED          CIMED              20 MG COM REV CT 02 BL AL PLAS INC X 15
DISLIPIDEMIA       SINVASTATINA 20MG               7896181913061      SINVASTATINA         BIOSINTETICA       20 MG COM REV CT BL AL PVC/PVDC X 30
DISLIPIDEMIA       SINVASTATINA 20MG               7898095346997      SINVASTATINA         BRAINFARMA         20 MG COM REV CT 3 BL AL PLAS INC X 10
DISLIPIDEMIA       SINVASTATINA 20MG               7896676410167      SINVASTATINA         CRISTALIA          20 MG COM REV CT BL AL PLAS INC X 30
DISLIPIDEMIA       SINVASTATINA 20MG               7896004710761      SINVASTATINA         EMS                20 MG COM REV CT BL AL PLAS OPC X 30
DISLIPIDEMIA       SINVASTATINA 20MG               7898146821381      SINVASTATINA         EUROFARMA          20 MG COM REV CT BL ALPLAS INC X 30
DISLIPIDEMIA       SINVASTATINA 20MG               7896004710792      SINVASTATINA         GENERICOS GERMED   20 MG COM REV CT BL AL PLAS OPC X 30
DISLIPIDEMIA       SINVASTATINA 20MG               7894916140812      SINVASTATINA         LEGRAND            20 MG COM REV CT BL AL PLAS OPC X 30
DISLIPIDEMIA       SINVASTATINA 20MG               7896422508629      SINVASTATINA         MEDLEY             20 MG COM REVEST CT 2 BL AL PLAS INC X 10
DISLIPIDEMIA       SINVASTATINA 20MG               7896422507844      SINVASTATINA         MEDLEY             20 MG COM REVEST CT 3 BL AL PLAS INC X 10
DISLIPIDEMIA       SINVASTATINA 20MG               7896422508612      SINVASTATINA         MEDLEY             20 MG COM REVEST CT BL AL PLAS INC X 10
DISLIPIDEMIA       SINVASTATINA 20MG               7895296244053      SINVASTATINA         MEPHA-RATIOPHARM   20 MG 1 BL X 10 COMP
DISLIPIDEMIA       SINVASTATINA 20MG               7895296244060      SINVASTATINA         MEPHA-RATIOPHARM   20 MG 3 BL X 10 COMP
DISLIPIDEMIA       SINVASTATINA 20MG               7896261007055      SINVASTATINA         NOVARTIS           20 MG COM REV CT 3 BL AL PLAS INC X 10
DISLIPIDEMIA       SINVASTATINA 20MG               7896261007048      SINVASTATINA         NOVARTIS           20 MG COM REV CT BL AL PLAS INC X 10
DISLIPIDEMIA       SINVASTATINA 20MG               7897076906960      SINVASTATINA         RANBAXY            20 MG COMP C/3 BL X 10
DISLIPIDEMIA       SINVASTATINA 20MG               7897595603319      SINVASTATINA         SANDOZ             20 MG COM REV CT 3 BL AL PLAS INC X 10
DISLIPIDEMIA       SINVASTATINA 20MG               7897595604286      SINVASTATINA         SANDOZ             20 MG COM REV CT BL AL PLAS INC X 10
DISLIPIDEMIA       SINVASTATINA 20MG               7897595609830      SINVASTATINA         SANDOZ             20 MG COM REV CT BL AL PLAS INC X 10
DISLIPIDEMIA       SINVASTATINA 20MG               7897595609854      SINVASTATINA         SANDOZ             20 MG COM REV CT BL AL PLAS INC X 30
DISLIPIDEMIA       SINVASTATINA 20MG               7898216360642      SINVASTIN            PHARLAB            20 MG COM CT BL AL INC X 30
DISLIPIDEMIA       SINVASTATINA 20MG               7898216360635      SINVASTIN            PHARLAB            20MG COM CT BL AL INC X 10
DISLIPIDEMIA       SINVASTATINA 20MG               7896137112722      SINVASTON            SANVAL             20 MG COM REV CT 3 BL AL PLAS INC X 10
DISLIPIDEMIA       SINVASTATINA 20MG               7896137112715      SINVASTON            SANVAL             20 MG COM REV CT BL AL INC X 10
DISLIPIDEMIA       SINVASTATINA 20MG               7896004704470      SINVATROX            LEGRAND            20 MG 3 BL X 10 COMP
DISLIPIDEMIA       SINVASTATINA 20MG               7899095201088      SINVAX               GEOLAB             20 MG COM REV CT 3 BL AL PLAS INC X 10
DISLIPIDEMIA       SINVASTATINA 20MG               7899095201071      SINVAX               GEOLAB             20 MG COMP. CT 01 BL X 10
DISLIPIDEMIA       SINVASTATINA 20MG               7895858000301      SINVAZ               CELLOFARM          20 MG COMP. CX. 30
DISLIPIDEMIA       SINVASTATINA 20MG               7896241228142      VASLIP               BIOLAB SANUS       20 MG COM REV CT 3 BL AL PLAS INC X 10
DISLIPIDEMIA       SINVASTATINA 20MG               7898158692757      VASTATIL             CIFARMA            20 MG CX COM 30 COMP
DISLIPIDEMIA       SINVASTATINA 20MG               7897337701211      ZOCOR                MERCK SHARP        20 MG CX. 3 BL X 10 CPD
DISLIPIDEMIA       SINVASTATINA 40MG               7891721016189      CLINFAR              MERCK              40 MG COM REV CT BL AL PLAS INC X 10
DISLIPIDEMIA       SINVASTATINA 40MG               7891721016165      CLINFAR              MERCK              40 MG COM REV CT BL AL PLAS INC X 30
DISLIPIDEMIA       SINVASTATINA 40MG               7891721016196      CLINFAR              MERCK              80 MG COM REV CT BL AL PLAS INC X 10
DISLIPIDEMIA       SINVASTATINA 40MG               7898371171619      GENOCARDIL           GENOMA             40 MG COM REV CT 01 BL AL PLAS INC X 10
DISLIPIDEMIA       SINVASTATINA 40MG               7896422510110      LIPOTEX              MEDLEY             40 MG COM REV CT 2 BL X 15
ELENCO OFICIAL DOS MEDICAMENTOS DISPONIBILIZADOS PELO PROGRAMA AQUI TEM FARMÁCIA POPULAR - SISTEMA DE
                                                             COPAGAMENTO


     PATOLOGIA                   PRINCÍPIO ATIVO      CÓDIGO DE BARRA              PRODUTO        LABORATÓRIO                     APRESENTAÇÃO
DISLIPIDEMIA       SINVASTATINA 40MG                 7896422510004      LIPOTEX              MEDLEY             40 MG COM REV CT BL AL PVC/PVDC INC X 10
DISLIPIDEMIA       SINVASTATINA 40MG                 7896472502936      MENOCOL              MULTILAB           40 MG COM REV CT 1 BL AL PLAS INC X 30
DISLIPIDEMIA       SINVASTATINA 40MG                 7898331960598      MEVILIP              LABORIS            40 MG COMP REV CX 1 BL X 10
DISLIPIDEMIA       SINVASTATINA 40MG                 7894916206877      SINVALIP             SIGMA PHARMA       40 MG 3BL X 10 COMP
DISLIPIDEMIA       SINVASTATINA 40MG                 7898100242306      SINVANE              BRASTERAPICA       40 MG COM REV CT BL AL PLAS INC X 10
DISLIPIDEMIA       SINVASTATINA 40MG                 7897851250622      SINVASCOR            BALDACCI           40 MG COM CT 3 BL X 10
DISLIPIDEMIA       SINVASTATINA 40MG                 7897851250615      SINVASCOR            BALDACCI           40 MG COMP. REV. 1 BL X 10
DISLIPIDEMIA       SINVASTATINA 40MG                 7898060138091      SINVASMAX            GLOBO              40 MG COM REV CT 3 BL AL PLAS INC X 10
DISLIPIDEMIA       SINVASTATINA 40MG                 7897595603180      SINVASTACOR          SANDOZ             40 MG COM REV CT BL AL PLAS INC X 10
DISLIPIDEMIA       SINVASTATINA 40MG                 7897595604163      SINVASTACOR          SANDOZ             40 MG COM REV CT BL AL PLAS INC X 30
DISLIPIDEMIA       SINVASTATINA 40MG                 7896181913115      SINVASTATINA         BIOSINTETICA       40 MG COM REV CT BL AL PVC/PVDC X 10
DISLIPIDEMIA       SINVASTATINA 40MG                 7896181913627      SINVASTATINA         BIOSINTETICA       40 MG COM REV CT BL AL PVC/PVDC X 30
DISLIPIDEMIA       SINVASTATINA 40MG                 7898095347383      SINVASTATINA         BRAINFARMA         40 MG COM REV CT 1 BL AL PLAS INC X 10
DISLIPIDEMIA       SINVASTATINA 40MG                 7896676410174      SINVASTATINA         CRISTALIA          40 MG COM REV CT BL AL PLAS INC X 10
DISLIPIDEMIA       SINVASTATINA 40MG                 7896004711188      SINVASTATINA         EMS                40 MG COM REV CT BL AL PLAS OPC X 30
DISLIPIDEMIA       SINVASTATINA 40MG                 7898146823309      SINVASTATINA         EUROFARMA          40 MG COM REV CT BL AL PLAS INC X 30
DISLIPIDEMIA       SINVASTATINA 40MG                 7898146821411      SINVASTATINA         EUROFARMA          40 MG COM REV CT BL AL PLAS INC X10
DISLIPIDEMIA       SINVASTATINA 40MG                 7896004711126      SINVASTATINA         GENERICOS GERMED   40 MG COM REV CT BL AL PLAS OPC X 30
DISLIPIDEMIA       SINVASTATINA 40MG                 7894916141215      SINVASTATINA         LEGRAND            40 MG COM REV CT BL AL PLAS OPC X 30
DISLIPIDEMIA       SINVASTATINA 40MG                 7896422508643      SINVASTATINA         MEDLEY             40 MG COM REVEST CT 3 BL AL PLAS INC X 10
DISLIPIDEMIA       SINVASTATINA 40MG                 7896422507868      SINVASTATINA         MEDLEY             40 MG COM REVEST CT BL AL PLAS INC X 10
DISLIPIDEMIA       SINVASTATINA 40MG                 7895296244077      SINVASTATINA         MEPHA-RATIOPHARM   40 MG 1 BL X 10 COMP
DISLIPIDEMIA       SINVASTATINA 40MG                 7895296244084      SINVASTATINA         MEPHA-RATIOPHARM   40 MG 3 BL X 10 COMP
DISLIPIDEMIA       SINVASTATINA 40MG                 7896261007062      SINVASTATINA         NOVARTIS           40 MG COM REV CT BL AL PLAS INC X 10
DISLIPIDEMIA       SINVASTATINA 40MG                 7897076906939      SINVASTATINA         RANBAXY            40 MG COMP C/1 BL X 10
DISLIPIDEMIA       SINVASTATINA 40MG                 7897076906977      SINVASTATINA         RANBAXY            40mg cx 30 comp
DISLIPIDEMIA       SINVASTATINA 40MG                 7897595605191      SINVASTATINA         SANDOZ             40 MG COM REV CT 3 BL AL PLAS INC X 10
DISLIPIDEMIA       SINVASTATINA 40MG                 7897595609878      SINVASTATINA         SANDOZ             40 MG COM REV CT BL AL PLAS INC X 10
DISLIPIDEMIA       SINVASTATINA 40MG                 7897595603432      SINVASTATINA         SANDOZ             40 MG COM REV CT BL AL PLAS INC X 10
DISLIPIDEMIA       SINVASTATINA 40MG                 7897595609892      SINVASTATINA         SANDOZ             40 MG COM REV CT BL AL PLAS INC X 30
DISLIPIDEMIA       SINVASTATINA 40MG                 7896137112791      SINVASTON            SANVAL             40 MG COM REV CT BL AL PLAS INC X 10
DISLIPIDEMIA       SINVASTATINA 40MG                 7896137112845      SINVASTON            SANVAL             40 MG COM REVE CT 3 BL AL PLAS INC X 10
DISLIPIDEMIA       SINVASTATINA 40MG                 7899095201989      SINVAX               GEOLAB             40 MG COM REV CT BL AL PLAS INC X 30
DISLIPIDEMIA       SINVASTATINA 40MG                 7899095201095      SINVAX               GEOLAB             40 MG COM REVE CT 01 BL AL PLAS INC X 10
DISLIPIDEMIA       SINVASTATINA 40MG                 7896241285022      VASLIP               BIOLAB SANUS       40 MG COM REV CT 3 BL AL PLAS INC X 10
DISLIPIDEMIA       SINVASTATINA 40MG                 7898158699725      VASTATIL             CIFARMA            40 MG COM REV CT BL AL PLAS INC X 30
DISLIPIDEMIA       SINVASTATINA 40MG                 7898158692764      VASTATIL             CIFARMA            40 MG CX COM 10 COMP
DISLIPIDEMIA       SINVASTATINA 40MG                 7897337706612      ZOCOR                MERCK SHARP        40 MG MG COM REV CT BL ALA PLAS INC X 10
DOENCA DE
                   CARBIDOPA 25MG + LEVODOPA 250MG   7896181900900      CARBIDOPA/LEVODOPA   BIOSINTETICA       25 MG + 250 MG COM CT 3 BL AL PLAS INC X 10
PARKINSON
DOENCA DE
                   CARBIDOPA 25MG + LEVODOPA 250MG   7896112456940      LEVOCARB             BIOLAB SANUS       250 MG + 25 MG COM CT 3 ENV AL POLIET X 10
PARKINSON
DOENCA DE
                   CARBIDOPA 25MG + LEVODOPA 250MG   7896714204383      PARKLEN              NEO QUIMICA        CP 25MG + 250MG (CX C/3 BL C/10)
PARKINSON
DOENCA DE
                   CARBIDOPA 25MG + LEVODOPA 250MG   7897337702317      SINEMET              MERCK SHARP        25 MG + 250 MG COM CT 06 BL AL PLAS INC X 5
PARKINSON
ELENCO OFICIAL DOS MEDICAMENTOS DISPONIBILIZADOS PELO PROGRAMA AQUI TEM FARMÁCIA POPULAR - SISTEMA DE
                                                            COPAGAMENTO


    PATOLOGIA                  PRINCÍPIO ATIVO       CÓDIGO DE BARRA             PRODUTO        LABORATÓRIO                     APRESENTAÇÃO
DOENCA DE
                  CARBIDOPA 25MG + LEVODOPA 250MG    7896641600203     SINEMET              MERCK SHARP        25/250 MG.COM.CT.C/ 6 BL X 5
PARKINSON
DOENCA DE         CLORIDRATO DE BENSERAZIDA 25MG +
                                                     7896226503721     PROLOPA              ROCHE              100 MG + 25 MG COM DISP CT FR VD AMB X 30
PARKINSON         LEVODOPA 100MG
DOENCA DE         CLORIDRATO DE BENSERAZIDA 25MG +                                                             100 MG + 25 MG CAP GELAT DURA LIB PROL CT FR VD
                                                     7896226500362     PROLOPA HBS          ROCHE
PARKINSON         LEVODOPA 100MG                                                                               AMB X 30
GLAUCOMA          MALEATO DE TIMOLOL 2,5MG           7896006290186     GLAUCOTRAT           UNIAO QUIMICA      0,25% SOL OFT FR GTS 5ML
GLAUCOMA          MALEATO DE TIMOLOL 2,5MG           7897316804254     MALEATO DE TIMOLOL   ALLERGAN           0,25% SOL OFT FR GTS 5ML
GLAUCOMA          MALEATO DE TIMOLOL 2,5MG           7896181909439     MALEATO DE TIMOLOL   BIOSINTETICA       0,25% SOL OFT FR GTS 5ML
GLAUCOMA          MALEATO DE TIMOLOL 2,5MG           7896004715810     MALEATO DE TIMOLOL   EMS                0,25% SOL OFT FR GTS 5ML
GLAUCOMA          MALEATO DE TIMOLOL 2,5MG           7896004716046     MALEATO DE TIMOLOL   GENERICOS GERMED   0,25% SOL OFT FR GTS 5ML
GLAUCOMA          MALEATO DE TIMOLOL 2,5MG           7894916142793     MALEATO DE TIMOLOL   SIGMA PHARMA       0,25% SOL OFT FR GTS 5ML
GLAUCOMA          MALEATO DE TIMOLOL 2,5MG           7896714225982     TIMONEO              NEO QUIMICA        0,25% SOL OFT FR GTS 5ML
GLAUCOMA          MALEATO DE TIMOLOL 2,5MG           7897337705820     TIMOPTOL             MERCK SHARP        0,25% SOL OFT FR GTS 5ML
GLAUCOMA          MALEATO DE TIMOLOL 2,5MG           7897337709231     TIMOPTOL             MERCK SHARP        0,25% SOL OFT FR GTS 5ML
GLAUCOMA          MALEATO DE TIMOLOL 5MG             7896006290162     GLAUCOTRAT           UNIAO QUIMICA      0,5% SOL OFT FR GTS 5ML
GLAUCOMA          MALEATO DE TIMOLOL 5MG             7896548114124     GLAUTIMOL            ALCON              0,5% SOL OFT FR GTS 5ML
GLAUCOMA          MALEATO DE TIMOLOL 5MG             7896676406436     MAL.TIMOLOL          CRISTALIA          0,5% SOL OFT FR GTS 5ML
GLAUCOMA          MALEATO DE TIMOLOL 5MG             7896548165577     MALEATO DE TIMOLOL   ALCON              0,5% SOL OFT FR GTS 5ML
GLAUCOMA          MALEATO DE TIMOLOL 5MG             7897316804261     MALEATO DE TIMOLOL   ALLERGAN           0,5% SOL OFT FR GTS 5ML
GLAUCOMA          MALEATO DE TIMOLOL 5MG             7898318250636     MALEATO DE TIMOLOL   APOTEX             0,5% SOL OFT FR GTS 5ML
GLAUCOMA          MALEATO DE TIMOLOL 5MG             7896181907077     MALEATO DE TIMOLOL   BIOSINTETICA       0,5% SOL OFT FR GTS 5ML
GLAUCOMA          MALEATO DE TIMOLOL 5MG             7896004715711     MALEATO DE TIMOLOL   EMS                0,5% SOL OFT FR GTS 5ML
GLAUCOMA          MALEATO DE TIMOLOL 5MG             7896004715896     MALEATO DE TIMOLOL   GENERICOS GERMED   0,5% SOL OFT FR GTS 5ML
GLAUCOMA          MALEATO DE TIMOLOL 5MG             7896714225753     MALEATO DE TIMOLOL   NEO QUIMICA        0,5% SOL OFT FR GTS 5ML
GLAUCOMA          MALEATO DE TIMOLOL 5MG             7894916142786     MALEATO DE TIMOLOL   SIGMA PHARMA       0,5% SOL OFT FR GTS 5ML
GLAUCOMA          MALEATO DE TIMOLOL 5MG             7896112126669     MALEATO DE TIMOLOL   TEUTO              0,5% SOL OFT FR GTS 5ML
GLAUCOMA          MALEATO DE TIMOLOL 5MG             7896112110842     TENOFTAL             TEUTO              0,5% SOL OFT FR GTS 5ML
GLAUCOMA          MALEATO DE TIMOLOL 5MG             7896714225005     TIMONEO              NEO QUIMICA        0,5% SOL OFT FR GTS 5ML
GLAUCOMA          MALEATO DE TIMOLOL 5MG             7897337705837     TIMOPTOL             MERCK SHARP        0,5% SOL OFT FR GTS 5ML
GLAUCOMA          MALEATO DE TIMOLOL 5MG             7897337709248     TIMOPTOL XE          MERCK SHARP        0,5% SOL OFT FR GTS 5ML
HIPERTENSÃO       ATENOLOL 25MG                      7896241221853     ABLOK                BIOLAB SANUS       COM CT 3 BL AL PLAS INC X 10 25MG
HIPERTENSÃO       ATENOLOL 25MG                      7898216362196     ANGILESS             PHARLAB            25 MG COM CT BL AL PLAS INC X 30
HIPERTENSÃO       ATENOLOL 25MG                      7898216362195     ANGILESS             PHARLAB            25 MG COM CT BL AL PLAS INC X 30
HIPERTENSÃO       ATENOLOL 25MG                      7896181901723     ANGIPRESS            BIOSINTETICA       25 MG COM CT BL AL PLAS INC X 28
HIPERTENSÃO       ATENOLOL 25MG                      7898060138565     ANGITENS             GLOBO              25 MG COM CT 3 BL AL PLAS INC X 10
HIPERTENSÃO       ATENOLOL 25MG                      7896004708218     ATENEGRAN            EMS                25MG 2 BL X 14 COMP
HIPERTENSÃO       ATENOLOL 25MG                      7896714233376     ATENEUM              NEO QUIMICA        25 MG COM CT BL AL PLAS INC X 30
HIPERTENSÃO       ATENOLOL 25MG                      7897851220168     ATENOBAL             BALDACCI           25 MG COMP. 3 BL X 10
HIPERTENSÃO       ATENOLOL 25MG                      7892885200292     ATENOKIN             KINDER             25MG/COMP CX C/1 BL C/30
HIPERTENSÃO       ATENOLOL 25MG                      7896206400996     ATENOL               ASTRAZENECA        25 MG COMP CT 2 BL AL PLAS INC X 14
HIPERTENSÃO       ATENOLOL 25MG                      7898932797203     ATENOLOL             ACCORD             25 MG COM REV CX BL AL/PVC X 30
HIPERTENSÃO       ATENOLOL 25MG                      7898361880606     ATENOLOL             AUROBINDO PHARMA   25 MG COM CT BL AL PLAS INC X 14
HIPERTENSÃO       ATENOLOL 25MG                      7898361880613     ATENOLOL             AUROBINDO PHARMA   25 MG COM CT BL AL PLAS INC X 28
HIPERTENSÃO       ATENOLOL 25MG                      7896181900122     ATENOLOL             BIOSINTETICA       25 MG COM CT 2 BL AL PLAS INC X 15
HIPERTENSÃO       ATENOLOL 25MG                      7899106000372     ATENOLOL             BRITON             25 MG COM REV CT 1 BL AL PLAS INC X 14
HIPERTENSÃO       ATENOLOL 25MG                      7899106000389     ATENOLOL             BRITON             25 MG COM REV CT 2 BL AL PLAS INC X 14
ELENCO OFICIAL DOS MEDICAMENTOS DISPONIBILIZADOS PELO PROGRAMA AQUI TEM FARMÁCIA POPULAR - SISTEMA DE
                                                            COPAGAMENTO


    PATOLOGIA                  PRINCÍPIO ATIVO    CÓDIGO DE BARRA                 PRODUTO        LABORATÓRIO                     APRESENTAÇÃO
HIPERTENSÃO       ATENOLOL 25MG                  7896676411676      ATENOLOL                CRISTALIA          25MG COM CT BL AL PLAS INC X 30
HIPERTENSÃO       ATENOLOL 25MG                  7896004719368      ATENOLOL                EMS                25 MG COM CT BL AL PLAS INC X 90 (EMB FRAC)
HIPERTENSÃO       ATENOLOL 25MG                  7896004705781      ATENOLOL                EMS                25MG 2 BL X 15 COMP
HIPERTENSÃO       ATENOLOL 25MG                  7896004705880      ATENOLOL                EMS                25MG 4 BL X 15 COMP
HIPERTENSÃO       ATENOLOL 25MG                  7896004709024      ATENOLOL                GENERICOS GERMED   25 MG COM CT 2 BL AL PLAS INC X 15
HIPERTENSÃO       ATENOLOL 25MG                  7899100400314      ATENOLOL                IPCA               25 MG COM REV CT 1 BL AL PLAS INC X 14
HIPERTENSÃO       ATENOLOL 25MG                  7899100400321      ATENOLOL                IPCA               25 MG COM REV CT 2 BL AL PLAS INC X 14
HIPERTENSÃO       ATENOLOL 25MG                  7896422506342      ATENOLOL                MEDLEY             25 MG COM CT 3 BL AL PLAS INC X 10
HIPERTENSÃO       ATENOLOL 25MG                  7895296299022      ATENOLOL                MEPHA-RATIOPHARM   25 MG COM CT BL AL PLAS INC X 30
HIPERTENSÃO       ATENOLOL 25MG                  7896261006164      ATENOLOL                NOVARTIS           25 MG COM CT 3 BL AL PLAS INC X 10
HIPERTENSÃO       ATENOLOL 25MG                  7898216362257      ATENOLOL                PHARLAB            25 MG COM CT BL AL PLAS INC X 30
HIPERTENSÃO       ATENOLOL 25MG                  7898148290772      ATENOLOL                PRATI, DONADUZZI   25 MG COM CT BL AL PLAS INC X 30
HIPERTENSÃO       ATENOLOL 25MG                  7897076910112      ATENOLOL                RANBAXY            25 MG COM CT BL AL PLAS INC X 28
HIPERTENSÃO       ATENOLOL 25MG                  7897076910097      ATENOLOL                RANBAXY            25 MG COM CT BL AL PLAS INC X 30
HIPERTENSÃO       ATENOLOL 25MG                  7897076910127      ATENOLOL                RANBAXY            25 MG CT FR PLAS OPC X 28
HIPERTENSÃO       ATENOLOL 25MG                  7897595605412      ATENOLOL                SANDOZ             25 MG COM REV CT BL AL PLAS INC X 60
HIPERTENSÃO       ATENOLOL 25MG                  7897595602572      ATENOLOL                SANDOZ             25MG CP REV C/30
HIPERTENSÃO       ATENOLOL 25MG                  7894916144209      ATENOLOL                SIGMA PHARMA       25 MG COM CT BL AL PLAS INC X 30
HIPERTENSÃO       ATENOLOL 25MG                  7897595602602      ATENOPRESS              HEXAL              25MG COMP REVESTIDOS C/28
HIPERTENSÃO       ATENOLOL 25MG                  7897595612090      ATENOPRESS              SANDOZ             25 MG COM BL AL PLAS INC X 28
HIPERTENSÃO       ATENOLOL 25MG                  7897595612106      ATENOPRESS              SANDOZ             25 MG COM BL AL PLAS INC X 30
HIPERTENSÃO       ATENOLOL 25MG                  7897595605580      ATENOPRESS              SANDOZ             25 MG COM REV CT 3 BL AL PLAS INC X 10
HIPERTENSÃO       ATENOLOL 25MG                  7898099382106      BIOTENOR                BIOFARMA           25MG CT2BL AL PL INCX14
HIPERTENSÃO       ATENOLOL 25MG                  7898371170322      GENOPRESS               GENOMA             CX C/01BL C/30 COMP 25MG
HIPERTENSÃO       ATENOLOL 25MG                  7898906376229      PLENACOR                BAGO               25 MG COM EST CART BL AL PVC X 28
HIPERTENSÃO       ATENOLOL 25MG                  7891721001765      PLENACOR                MERCK              25 MG COM EST CART BL AL PVC X 28
HIPERTENSÃO       ATENOLOL 25MG                  7899095201866      TELOL                   GEOLAB             25 MG COM CT 03 BL AL PLAS INC X 10
HIPERTENSÃO       ATENOLOL 25MG                  7899095201576      TELOL                   GEOLAB             25 MG COM CT 2 BL X 14
HIPERTENSÃO       ATENOLOL 25MG                  7898049794522      TENOLON                 VITAPAN            25 MG COM CT 02 BL AL PLAS INC X 14
HIPERTENSÃO       CAPTOPRIL 25MG                 7894164000166      ABEPOTEN                ABNAT              25 MG COM CT BL AL PLAS INC X 20
HIPERTENSÃO       CAPTOPRIL 25MG                 7894164001439      ABEPOTEN                ABNAT              25 MG CT FR PLAS OPC X 28
HIPERTENSÃO       CAPTOPRIL 25MG                 7894164003167      ABEPOTEN                MDCPHARMA          25 MG CT FR PLAS OPC X 28
HIPERTENSÃO       CAPTOPRIL 25MG                 7898272940208      ANTIPRESSIN             TKS                30 COMP. (25 MG)
HIPERTENSÃO       CAPTOPRIL 25MG                 7898100241064      AORTEN                  BRASTERAPICA       25MG COM CT BL AL PLAS INC X 30
HIPERTENSÃO       CAPTOPRIL 25MG                 7898099382298      CABIOTEN                BIOFARMA           25MG CX. C/ 16 COMP
HIPERTENSÃO       CAPTOPRIL 25MG                 7898099382304      CABIOTEN                BIOFARMA           25MG CX. C/ 28 COMP
HIPERTENSÃO       CAPTOPRIL 25MG                 7897851220335      CAPOBAL                 BALDACCI           25 MG COM CT BL AL PLAS INC X 30
HIPERTENSÃO       CAPTOPRIL 25MG                 7896016801747      CAPOTEN                 B-MS               25MG COMP - CARTUCHO COM 1 BLISTER X 16
HIPERTENSÃO       CAPTOPRIL 25MG                 7896016801372      CAPOTEN                 B-MS               25MG COMP - CARTUCHO COM 2 BLISTERS X 14
HIPERTENSÃO       CAPTOPRIL 25MG                 7896006226765      CAPOTRAT                UNIAO QUIMICA      25 MG COM X 30
HIPERTENSÃO       CAPTOPRIL 25MG                 7896714207797      CAPOTRINEO              NEO QUIMICA        25 MG COM CT 3 BL AL PLAS INC X 10
HIPERTENSÃO       CAPTOPRIL 25MG                 7896714201207      CAPOTRINEO              NEO QUIMICA        CP 25MG (CX C/1 BL C/16)
HIPERTENSÃO       CAPTOPRIL 25MG                 7899095200067      CAPOX                   GEOLAB             25 MG COMP. CT 02 BL X 15
HIPERTENSÃO       CAPTOPRIL 25MG                 7896112142331      CAPRIL                  TEUTO              COMP 25MG CX C/15
HIPERTENSÃO       CAPTOPRIL 25MG                 7896685301135      CAPTIL                  INFAN              25MG CX. C/ 15 COMPR.
HIPERTENSÃO       CAPTOPRIL 25MG                 7896685301142      CAPTIL                  INFAN              25MG CX. C/ 30 COMPR.
HIPERTENSÃO       CAPTOPRIL 25MG                 7898060131948      CAPTOCORD               GLOBO              25 MG COM CT 4 BL AL PLAS INC X 15
ELENCO OFICIAL DOS MEDICAMENTOS DISPONIBILIZADOS PELO PROGRAMA AQUI TEM FARMÁCIA POPULAR - SISTEMA DE
                                                            COPAGAMENTO


    PATOLOGIA                  PRINCÍPIO ATIVO    CÓDIGO DE BARRA                PRODUTO        LABORATÓRIO                      APRESENTAÇÃO
HIPERTENSÃO       CAPTOPRIL 25MG                 7898060138053      CAPTOCORD              GLOBO              25MG COMP BL CX C/15
HIPERTENSÃO       CAPTOPRIL 25MG                 7898060138060      CAPTOCORD              GLOBO              25MG COMP BL CX C/30
HIPERTENSÃO       CAPTOPRIL 25MG                 7896472501915      CAPTOLAB               MULTILAB           25MG BLISTER COM 30 COMP
HIPERTENSÃO       CAPTOPRIL 25MG                 7896472504558      CAPTOLAB               MULTILAB           25MG BLISTER COM 60 COMP
HIPERTENSÃO       CAPTOPRIL 25MG                 7893658100313      CAPTOMAX               MILIAN             25MG CAIXA COM 15 CPDS
HIPERTENSÃO       CAPTOPRIL 25MG                 7898103650344      CAPTOMAX               MILIAN             25MG CAIXA COM 30 CPDS
HIPERTENSÃO       CAPTOPRIL 25MG                 7896523202341      CAPTOMED               CIMED              25 MG COM BL X 20
HIPERTENSÃO       CAPTOPRIL 25MG                 7896523207292      CAPTOMED               CIMED              25 MG COM CT BL AL PLAS INC X 60
HIPERTENSÃO       CAPTOPRIL 25MG                 7897917001489      CAPTOMIDO              BELFAR             25MG CX C/ 30
HIPERTENSÃO       CAPTOPRIL 25MG                 7898078940334      CAPTON                 ROYTON             25 MG - CX. C/ 16 COMP.
HIPERTENSÃO       CAPTOPRIL 25MG                 7898078940341      CAPTON                 ROYTON             25 MG - CX. C/ 28 COMP.
HIPERTENSÃO       CAPTOPRIL 25MG                 7893353607926      CAPTOPIRIL             BUNKER             25 MG CX 16 COMP
HIPERTENSÃO       CAPTOPRIL 25MG                 7898146821688      CAPTOPRIL              ARROW              25 MG COM CT BL AL PLAS INC X 30
HIPERTENSÃO       CAPTOPRIL 25MG                 7898361880682      CAPTOPRIL              AUROBINDO PHARMA   25 MG COM CT BL AL PLAS INC X 30
HIPERTENSÃO       CAPTOPRIL 25MG                 7898920244139      CAPTOPRIL              BALM-LABOR         25 MG COM CT BL AL PVC X 20
HIPERTENSÃO       CAPTOPRIL 25MG                 7898920244146      CAPTOPRIL              BALM-LABOR         25 MG COM CT BL AL PVC X 30
HIPERTENSÃO       CAPTOPRIL 25MG                 7896181903666      CAPTOPRIL              BIOSINTETICA       25 MG COM CT 3 BL AL PLAS INC X 10
HIPERTENSÃO       CAPTOPRIL 25MG                 7898372705721      CAPTOPRIL              CINFA              25 MG COMP CT 3 BL AL PLAS INC X 10
HIPERTENSÃO       CAPTOPRIL 25MG                 7898372700054      CAPTOPRIL              CINFA              25 MG COMP CT 6 BL AL PLAS INC X 10 (EMB.HOSP.)
HIPERTENSÃO       CAPTOPRIL 25MG                 7896676410815      CAPTOPRIL              CRISTALIA          25MG-3BLIST.10CPS.
HIPERTENSÃO       CAPTOPRIL 25MG                 7896004707020      CAPTOPRIL              EMS                25 MG COM CT BL AL PLAS INC X 60 (EMB HOSP)
HIPERTENSÃO       CAPTOPRIL 25MG                 7896004719313      CAPTOPRIL              EMS                25 MG COM CT BL AL PLAS INC X 90 (EMB FRAC)
HIPERTENSÃO       CAPTOPRIL 25MG                 7896004700380      CAPTOPRIL              EMS                25 MG X 16 COMP
HIPERTENSÃO       CAPTOPRIL 25MG                 7896004700397      CAPTOPRIL              EMS                25MG 2 BL X 14 COMP
HIPERTENSÃO       CAPTOPRIL 25MG                 7896004704326      CAPTOPRIL              EMS                25MG 2 BL X 15 COMP
HIPERTENSÃO       CAPTOPRIL 25MG                 7891317414870      CAPTOPRIL              EUROFARMA          CT C/ 30 COMP 25,0MG
HIPERTENSÃO       CAPTOPRIL 25MG                 7896004704654      CAPTOPRIL              GENERICOS GERMED   25MG 2 BL X 15 COMP
HIPERTENSÃO       CAPTOPRIL 25MG                 7896622302966      CAPTOPRIL              LUPER              25 MG COM CT BL AL PVC X 16
HIPERTENSÃO       CAPTOPRIL 25MG                 7896622302973      CAPTOPRIL              LUPER              25 MG COM CT BL AL PVC X 28
HIPERTENSÃO       CAPTOPRIL 25MG                 7898917592489      CAPTOPRIL              MARIOL             25,00 MG COM CT BL AL PLAS INC X 30
HIPERTENSÃO       CAPTOPRIL 25MG                 7898917592496      CAPTOPRIL              MARIOL             25,00 MG COM CT BL AL PLAS INC X 60 (EMB FRAC)
HIPERTENSÃO       CAPTOPRIL 25MG                 7898917592502      CAPTOPRIL              MARIOL             25,00 MG COM CT BL AL PLAS INC X 90 (EMB FRAC)
HIPERTENSÃO       CAPTOPRIL 25MG                 7896422503693      CAPTOPRIL              MEDLEY             25 MG COMP CT 1 BL AL PLAS INC X 16
HIPERTENSÃO       CAPTOPRIL 25MG                 7896422503709      CAPTOPRIL              MEDLEY             25 MG COMP CT 1 BL AL PLAS INC X 30
HIPERTENSÃO       CAPTOPRIL 25MG                 7896422503716      CAPTOPRIL              MEDLEY             25 MG COMP CT 2 BL AL PLAS INC X 30
HIPERTENSÃO       CAPTOPRIL 25MG                 7896422503723      CAPTOPRIL              MEDLEY             25 MG COMP CT 3 BL AL PLAS INC X 30
HIPERTENSÃO       CAPTOPRIL 25MG                 7891721272431      CAPTOPRIL              MERCK              25 MG COM EST FR PLAS OPC X 30
HIPERTENSÃO       CAPTOPRIL 25MG                 7891721272448      CAPTOPRIL              MERCK              25 MG COM EST FR PLAS OPC X 50
HIPERTENSÃO       CAPTOPRIL 25MG                 7896714205687      CAPTOPRIL              NEO QUIMICA        25 MG COM CX BL AL PLAS INC X 30
HIPERTENSÃO       CAPTOPRIL 25MG                 7896261006966      CAPTOPRIL              NOVARTIS           25 MG COM CT 3 BL AL PLAS INC X 10
HIPERTENSÃO       CAPTOPRIL 25MG                 7898148290505      CAPTOPRIL              PRATI, DONADUZZI   25 MG COM CT BL AL PLAS INC X 15
HIPERTENSÃO       CAPTOPRIL 25MG                 7898148290512      CAPTOPRIL              PRATI, DONADUZZI   25 MG COM CT BL AL PLAS INC X 30
HIPERTENSÃO       CAPTOPRIL 25MG                 7897076910301      CAPTOPRIL              RANBAXY            25 MG COMP C/4 BL X 4
HIPERTENSÃO       CAPTOPRIL 25MG                 7897076910318      CAPTOPRIL              RANBAXY            25 MG COMP C/7 BL X 4
HIPERTENSÃO       CAPTOPRIL 25MG                 7897076912626      CAPTOPRIL              RANBAXY            25,0 MG COM CT BL AL PLAS INC X 30
HIPERTENSÃO       CAPTOPRIL 25MG                 7897076912596      CAPTOPRIL              RANBAXY            25,0 MG COM CT BL AL PLAS INC X 60
ELENCO OFICIAL DOS MEDICAMENTOS DISPONIBILIZADOS PELO PROGRAMA AQUI TEM FARMÁCIA POPULAR - SISTEMA DE
                                                            COPAGAMENTO


    PATOLOGIA                   PRINCÍPIO ATIVO     CÓDIGO DE BARRA                 PRODUTO        LABORATÓRIO                      APRESENTAÇÃO
HIPERTENSÃO       CAPTOPRIL 25MG                   7897595603357      CAPTOPRIL               SANDOZ             25 MG C/ CT 3 BL AL PLAS INC X 10
HIPERTENSÃO       CAPTOPRIL 25MG                   7897595603395      CAPTOPRIL               SANDOZ             25MG COM CT 1 BL AL PLAS INC X 14
HIPERTENSÃO       CAPTOPRIL 25MG                   7897595602008      CAPTOPRIL               SANDOZ             25MG COMP CX C/ 28
HIPERTENSÃO       CAPTOPRIL 25MG                   7894916141147      CAPTOPRIL               SIGMA PHARMA       25 MG COM CT BL AL PLAS INC X 30
HIPERTENSÃO       CAPTOPRIL 25MG                   7896112116660      CAPTOPRIL               TEUTO              COMP 25MG C/30
HIPERTENSÃO       CAPTOPRIL 25MG                   7896006214984      CAPTOPRIL               UNIAO QUIMICA      25 M MG COM CT BL AL PLAS INC X 30
HIPERTENSÃO       CAPTOPRIL 25MG                   7898049795697      CAPTOPRIL               VITAPAN            25 MG CX C/2 BL C/ 15 COMP
HIPERTENSÃO       CAPTOPRIL 25MG                   7898158691019      CAPTOPRON               CIBRAN             25MG CX COM 16 COMP
HIPERTENSÃO       CAPTOPRIL 25MG                   7898158691026      CAPTOPRON               CIBRAN             25MG CX COM 32 COMP
HIPERTENSÃO       CAPTOPRIL 25MG                   7898216360178      CAPTOSEN                PHARLAB            25MG COMP BL 16
HIPERTENSÃO       CAPTOPRIL 25MG                   7898216360161      CAPTOSEN                PHARLAB            25MG COMP BL 30
HIPERTENSÃO       CAPTOPRIL 25MG                   7898168730944      CAPTOSIF                SINTERAPICO        25MG CX C/ 2X15 COMPRIMIDOS
HIPERTENSÃO       CAPTOPRIL 25MG                   7897595603708      CAPTOTEC                SANDOZ             25 MG COM CT 4 BL AL PLAS INC X 14
HIPERTENSÃO       CAPTOPRIL 25MG                   7897595605627      CAPTOTEC                SANDOZ             25 MG COM CT BL AL PLAS INC X 30
HIPERTENSÃO       CAPTOPRIL 25MG                   7897595609489      CAPTOTEC                SANDOZ             25 MG COM CT BL AL PLAS INC X 60
HIPERTENSÃO       CAPTOPRIL 25MG                   7897595601698      CAPTOTEC                SANDOZ             25 MG COMP CX.C/28
HIPERTENSÃO       CAPTOPRIL 25MG                   7898049794430      CAPTOZEN                VITAPAN            25MG CX C/ 02 BLS C/ 15 COMP
HIPERTENSÃO       CAPTOPRIL 25MG                   7898089300288      CARDILOM                OSORIO DE MORAES   25,0 MG COMP CT C/ 2 BL C/ 10 COMP
HIPERTENSÃO       CAPTOPRIL 25MG                   7896422503877      CATOPROL                MEDLEY             25 MG CT 1 BL X 30 COMP
HIPERTENSÃO       CAPTOPRIL 25MG                   7896422503860      CATOPROL                MEDLEY             25 MG CT 1 BL X 16 COMP
HIPERTENSÃO       CAPTOPRIL 25MG                   7896707242095      DUCTOPRIL               DUCTO              COMP 25MG (CX C/01 BL C/14)
HIPERTENSÃO       CAPTOPRIL 25MG                   7896707220369      DUCTOPRIL               DUCTO              COMP 25MG (CX C/01 BL C/16)
HIPERTENSÃO       CAPTOPRIL 25MG                   7896707242101      DUCTOPRIL               DUCTO              COMP 25MG (CX C/02 BL C/14)
HIPERTENSÃO       CAPTOPRIL 25MG                   7896707242163      DUCTOPRIL               DUCTO              COMP 25MG (CX C/02 BL C/16)
HIPERTENSÃO       CAPTOPRIL 25MG                   7898371170148      GENOPTRIL               GENOMA             CX C/01BL C/30 COMP 25MG
HIPERTENSÃO       CAPTOPRIL 25MG                   7898157480904      HEMOPRESS               JARREL             25MG 30CP
HIPERTENSÃO       CAPTOPRIL 25MG                   7898157480881      HEMOPRESS               JARREL             25MG CX 15 COMP
HIPERTENSÃO       CAPTOPRIL 25MG                   7896286429047      HIPOCATRIL              CIBRAN             25 MG COMP CX COM 15
HIPERTENSÃO       CAPTOPRIL 25MG                   7896286429054      HIPOCATRIL              CIBRAN             25 MG COMP CX COM 30
HIPERTENSÃO       CAPTOPRIL 25MG                   7896137111763      HIPOTEN                 SANVAL             25 MG COMP CT 02 BL AL PLAS INC X 10
HIPERTENSÃO       CAPTOPRIL 25MG                   7898059470133      HIPOTENSIL              MEDINFAR           25MG COMP CX 10
HIPERTENSÃO       CAPTOPRIL 25MG                   7898059471040      HIPOTENSIL              MEDINFAR           25MG COMP CX 20
HIPERTENSÃO       CAPTOPRIL 25MG                   7898059470154      HIPOTENSIL              MEDINFAR           25MG COMP CX 30
HIPERTENSÃO       CAPTOPRIL 25MG                   7898059470164      HIPOTENSIL              MEDINFAR           25MG COMP CX 60
HIPERTENSÃO       CAPTOPRIL 25MG                   7898331960390      LABOPRIL                LABORIS            25MG COMP CX 3 BL X 10
HIPERTENSÃO       CAPTOPRIL 25MG                   7893736015027      NORMAPRIL               CAZI               25 MG COMP CT ENV KRAFT POLIET X 28
HIPERTENSÃO       CAPTOPRIL 25MG                   7892885200209      PRESSOMAX               KINDER             25MG/COMP CX C/ 2 BL C/16
HIPERTENSÃO       CAPTOPRIL 25MG                   7896862910822      PRESSTOPRIL             MEDQUIMICA         25,0MG COMP. CX. C/28
HIPERTENSÃO       CAPTOPRIL 25MG                   7896862910228      PRESSTOPRIL             MEDQUIMICA         25MG CX. C/ 16 COMP.
HIPERTENSÃO       CAPTOPRIL 25MG                   7896004714738      PRILPRESSIN             EMS                25MG 3 BLX10 COMP
HIPERTENSÃO       CAPTOPRIL 25MG                   7895858002541      REPRIL                  CELLOFARM          25 MG COM CT BL AL PLAS INC X 16
HIPERTENSÃO       CAPTOPRIL 25MG                   7898014560879      RITPRESS                PHARMASCIENCE      25 MG 15 COMP
HIPERTENSÃO       CAPTOPRIL 25MG                   7898014560886      RITPRESS                PHARMASCIENCE      25 MG 30 COMP
HIPERTENSÃO       CAPTOPRIL 25MG                   7898295928832      TOMPRIL                 LUPER              25,0 MG C/16 COMPRIMIDOS
HIPERTENSÃO       CAPTOPRIL 25MG                   7896622301624      VENOPRIL                LUPER              25,0 MG C/16 COMPRIMIDOS
HIPERTENSÃO       CLORIDRATO DE PROPRANOLOL 40MG   7898049790548      AMPRAX                  VITAPAN            40 MG CPR CX C/ 2X20
HIPERTENSÃO       CLORIDRATO DE PROPRANOLOL 40MG   7896112141402      ANTITENSIN              TEUTO              COMP 40MG CX C/40
ELENCO OFICIAL DOS MEDICAMENTOS DISPONIBILIZADOS PELO PROGRAMA AQUI TEM FARMÁCIA POPULAR - SISTEMA DE
                                                            COPAGAMENTO


    PATOLOGIA                   PRINCÍPIO ATIVO     CÓDIGO DE BARRA              PRODUTO               LABORATÓRIO                      APRESENTAÇÃO
HIPERTENSÃO       CLORIDRATO DE PROPRANOLOL 40MG   7897595605016      CARDBLOC                    SANDOZ             40 MG COM CT BL AL PLAS AMB X 30
HIPERTENSÃO       CLORIDRATO DE PROPRANOLOL 40MG   7896472502028      CARDIX                      MULTILAB           40 MG COM CT 4 BL AL PLAS X 10
HIPERTENSÃO       CLORIDRATO DE PROPRANOLOL 40MG   7896523210438      CLORIDRATO DE PROPRANOLOL   CIMED              40 MG COM CT BL AL PLAS INC X 30
HIPERTENSÃO       CLORIDRATO DE PROPRANOLOL 40MG   7896004707341      CLORIDRATO DE PROPRANOLOL   GENERICOS GERMED   40MG 4 BL X 15 COMP
HIPERTENSÃO       CLORIDRATO DE PROPRANOLOL 40MG   7896004706160      CLORIDRATO DE PROPRANOLOL   GENERICOS GERMED   40MG X 30 COMP
HIPERTENSÃO       CLORIDRATO DE PROPRANOLOL 40MG   7896422515535      CLORIDRATO DE PROPRANOLOL   MEDLEY             40 MG COM CT BL AL PLAS INC X 30
HIPERTENSÃO       CLORIDRATO DE PROPRANOLOL 40MG   7896422515573      CLORIDRATO DE PROPRANOLOL   MEDLEY             40 MG COM CT BL AL PLAS INC X 90 (EMB HOSP)
HIPERTENSÃO       CLORIDRATO DE PROPRANOLOL 40MG   7896714205182      CLORIDRATO DE PROPRANOLOL   NEO QUIMICA        40 MG COM CT 2 BL AL PLAS INC X 15
HIPERTENSÃO       CLORIDRATO DE PROPRANOLOL 40MG   7898216362431      CLORIDRATO DE PROPRANOLOL   PHARLAB            40 MG COM CT BL AL PLAS INC X 30
HIPERTENSÃO       CLORIDRATO DE PROPRANOLOL 40MG   7898148295784      CLORIDRATO DE PROPRANOLOL   PRATI, DONADUZZI   40 MG COM CT BL AL PLAS INC X 20
HIPERTENSÃO       CLORIDRATO DE PROPRANOLOL 40MG   7896112148708      CLORIDRATO DE PROPRANOLOL   TEUTO              COMP. 40 MG - CX C/ 20
HIPERTENSÃO       CLORIDRATO DE PROPRANOLOL 40MG   7896112110576      CLORIDRATO DE PROPRANOLOL   TEUTO              COMP. 40 MG - CX C/ 30
HIPERTENSÃO       CLORIDRATO DE PROPRANOLOL 40MG   7896112149187      CLORIDRATO DE PROPRANOLOL   TEUTO              COMP. 40 MG - CX C/ 40
HIPERTENSÃO       CLORIDRATO DE PROPRANOLOL 40MG   7896006245193      CLORIDRATO DE PROPRANOLOL   UNIAO QUIMICA      40 MG COM CT 2 BL AL PLAS INC. X 10
HIPERTENSÃO       CLORIDRATO DE PROPRANOLOL 40MG   7896006245247      CLORIDRATO DE PROPRANOLOL   UNIAO QUIMICA      40 MG COM CT 3 BL AL PLAS INC. X 10
HIPERTENSÃO       CLORIDRATO DE PROPRANOLOL 40MG   7896006245278      CLORIDRATO DE PROPRANOLOL   UNIAO QUIMICA      40 MG COM CT 4 BL AL PLAS INC. X 10
HIPERTENSÃO       CLORIDRATO DE PROPRANOLOL 40MG   7896714204987      HIPERNOLOL                  NEO QUIMICA        COMP 40MG (CX C/2 BL C/20)
HIPERTENSÃO       CLORIDRATO DE PROPRANOLOL 40MG   7896714200293      HIPERNOLOL                  NEO QUIMICA        COMP 40MG (CX C/2 BL C/20)
HIPERTENSÃO       CLORIDRATO DE PROPRANOLOL 40MG   7896206400279      INDERAL                     ASTRAZENECA        40 MG COMP CT 2 STR AL/AL X 10
HIPERTENSÃO       CLORIDRATO DE PROPRANOLOL 40MG   7898216362462      PHARNOLOL                   PHARLAB            40 MG COM CT BL AL PLAS INC X 30
HIPERTENSÃO       CLORIDRATO DE PROPRANOLOL 40MG   7899095200685      POLOL                       GEOLAB             40 MG COMP. CT 02 BL X 20
HIPERTENSÃO       CLORIDRATO DE PROPRANOLOL 40MG   7896707200682      PRADINOLOL                  DUCTO              COMP 40MG (CX C/02 BL C/20)
HIPERTENSÃO       CLORIDRATO DE PROPRANOLOL 40MG   7896707243115      PRADINOLOL                  DUCTO              COMP 40MG (CX C/03 BL C/10)
HIPERTENSÃO       CLORIDRATO DE PROPRANOLOL 40MG   7896707200460      PRADINOLOL                  DUCTO              COMP 40MG (CX C/04 BL C/10)
HIPERTENSÃO       CLORIDRATO DE PROPRANOLOL 40MG   7893736001631      PRANOLAL                    CAZI               40 MG COMP CT FR VD AMB X 50
HIPERTENSÃO       CLORIDRATO DE PROPRANOLOL 40MG   7896862910259      PRESSOFLUX                  MEDQUIMICA         40MG CX. C/ 40 COMP.
HIPERTENSÃO       CLORIDRATO DE PROPRANOLOL 40MG   7896286461030      PRONOCARD                   CIBRAN             40 MG COMP CX COM 40
HIPERTENSÃO       CLORIDRATO DE PROPRANOLOL 40MG   7896782802597      PRONOL                      HERALD'S           40MG COMP CX C/ 40
HIPERTENSÃO       CLORIDRATO DE PROPRANOLOL 40MG   7898103650399      PRONOLOL 40MG               MILIAN             CAIXA COM 20 CPDS
HIPERTENSÃO       CLORIDRATO DE PROPRANOLOL 40MG   7898103650405      PRONOLOL 40MG               MILIAN             CAIXA COM 40 CPDS
HIPERTENSÃO       CLORIDRATO DE PROPRANOLOL 40MG   7893353606813      PROPACOR                    BUNKER             CLOR.40 MG CX 20 COMP
HIPERTENSÃO       CLORIDRATO DE PROPRANOLOL 40MG   7898060131290      PROPALOL                    GLOBO              40MG COMP BL CX C/40
HIPERTENSÃO       CLORIDRATO DE PROPRANOLOL 40MG   7898100241132      PROPANOLON                  BRASTERAPICA       40MG COM CT 2 BL AL PLAS INC X 20
HIPERTENSÃO       CLORIDRATO DE PROPRANOLOL 40MG   7898078942291      PROPANOX                    ROYTON             40 MG - CX. C/ 40 COMP
HIPERTENSÃO       CLORIDRATO DE PROPRANOLOL 40MG   7898099380959      PROPARIL                    BIOFARMA           40 MG COMP 2 BLX20
HIPERTENSÃO       CLORIDRATO DE PROPRANOLOL 40MG   7896523206646      PROPRAMED                   CIMED              40 MG COM C/ 2 BL X 20
HIPERTENSÃO       CLORIDRATO DE PROPRANOLOL 40MG   7896523206387      PROPRAMED                   CIMED              40 MG CX C/ 20 COMP
HIPERTENSÃO       CLORIDRATO DE PROPRANOLOL 40MG   7897076905352      PROPRANOL (PROPRANOLOL)     HERALD'S           40 MG COMP CX C/ 40
HIPERTENSÃO       CLORIDRATO DE PROPRANOLOL 40MG   7894916550055      PROPRANOLOL AYERST          SIGMA PHARMA       40MG 2 BL X15 COMP
HIPERTENSÃO       CLORIDRATO DE PROPRANOLOL 40MG   7898089300554      PROPRANOLOM                 OSORIO DE MORAES   40,0 MG COMP CT C/ 2 BL C/ 20 COMP
HIPERTENSÃO       CLORIDRATO DE PROPRANOLOL 40MG   7896006280606      UNI PROPRALOL               UNIAO QUIMICA      COM CT 4 BL AL PLAS INC X 10
HIPERTENSÃO       HIDROCLOROTIAZIDA 25MG           7897595901521      CLORANA                     SANOFI-AVENTIS     25 MG COM CT BL PLAS PAPEL X 30
HIPERTENSÃO       HIDROCLOROTIAZIDA 25MG           7898158695499      CLORIZIN                    CIFARMA            25MG COM CT BL AL PLAS INC X 30
HIPERTENSÃO       HIDROCLOROTIAZIDA 25MG           7898158690708      CLORIZIN                    CIFARMA            25MG CX COM 20 COMP
HIPERTENSÃO       HIDROCLOROTIAZIDA 25MG           7898078940976      DIURETIC                    ROYTON             25 MG - CX. C/ 20 COMP
HIPERTENSÃO       HIDROCLOROTIAZIDA 25MG           7893736002300      DIUREZIN                    CAZI               25 MG COMP CX CT 2 ENV KRAFT POLIET X 10
HIPERTENSÃO       HIDROCLOROTIAZIDA 25MG           7896112122432      DIURIX                      TEUTO              25 MG COM CT BL AL PLAS INC X 30
ELENCO OFICIAL DOS MEDICAMENTOS DISPONIBILIZADOS PELO PROGRAMA AQUI TEM FARMÁCIA POPULAR - SISTEMA DE
                                                            COPAGAMENTO


    PATOLOGIA                  PRINCÍPIO ATIVO    CÓDIGO DE BARRA              PRODUTO        LABORATÓRIO                      APRESENTAÇÃO
HIPERTENSÃO       HIDROCLOROTIAZIDA 25MG         7896112141280      DIURIX               TEUTO              COMP 25MG CX C/20
HIPERTENSÃO       HIDROCLOROTIAZIDA 25MG         7898103650566      HIDRAZIN 25MG        MILIAN             CAIXA COM 20 CPDS
HIPERTENSÃO       HIDROCLOROTIAZIDA 25MG         7898099382571      HIDROBIO             BIOFARMA           25 MG COMP BL X 20
HIPERTENSÃO       HIDROCLOROTIAZIDA 25MG         7896004716176      HIDROCLOROTIAZIDA    EMS                25 MG C/ CT BL AL PLAS LEIT X 30
HIPERTENSÃO       HIDROCLOROTIAZIDA 25MG         7896004716190      HIDROCLOROTIAZIDA    GENERICOS GERMED   25 MG C/ CT BL AL PLAS LEIT X 30
HIPERTENSÃO       HIDROCLOROTIAZIDA 25MG         7896714211978      HIDROCLOROTIAZIDA    NEO QUIMICA        25 MG COM CT BL AL PLAS INC X 30
HIPERTENSÃO       HIDROCLOROTIAZIDA 25MG         7898148296729      HIDROCLOROTIAZIDA    PRATI, DONADUZZI   25 MG COM CT BL AL PLAS INC X 30
HIPERTENSÃO       HIDROCLOROTIAZIDA 25MG         7891058002657      HIDROCLOROTIAZIDA    SANOFI-AVENTIS     25 MG COM CT BL PAPEL PLAS INC X 30
HIPERTENSÃO       HIDROCLOROTIAZIDA 25MG         7894916143516      HIDROCLOROTIAZIDA    SIGMA PHARMA       25 MG C/ CT BL AL PLAS LEIT X 30
HIPERTENSÃO       HIDROCLOROTIAZIDA 25MG         7898216362639      HIDROLESS            PHARLAB            25 MG COM CT BL AL/PLAS INC X 30
HIPERTENSÃO       HIDROCLOROTIAZIDA 25MG         7898216360086      HIDROLESS            PHARLAB            25MG COMP BL 20
HIPERTENSÃO       HIDROCLOROTIAZIDA 25MG         7896523207537      HIDROMED             CIMED              25 MG COM CT 2 BL AL PLAS INC X 15
HIPERTENSÃO       HIDROCLOROTIAZIDA 25MG         7896523206363      HIDROMED             CIMED              25 MG CX C/ 20 COMP
HIPERTENSÃO       HIDROCLOROTIAZIDA 25MG         7896006233350      UNIAZIDA             UNIAO QUIMICA      25 MG COM CT BL AL PLAS INC X 30
HIPERTENSÃO       LOSARTANA POTÁSSICA 50MG       7896241286784      ARADOIS              BIOLAB SANUS       50 MG COM REV CT BL AL PLAS AMB X 30
HIPERTENSÃO       LOSARTANA POTÁSSICA 50MG       7896112428602      ARADOIS              BIOLAB SANUS       50 MG COM REV CT BL AL PLAS AMB X 45
HIPERTENSÃO       LOSARTANA POTÁSSICA 50MG       7896112486855      ARADOIS              BIOLAB SANUS       50 MG COM REV CT BL AL PLAS INC X 45
HIPERTENSÃO       LOSARTANA POTÁSSICA 50MG       7896112486886      ARADOIS              BIOLAB SANUS       50 MG COM REV CT BL AL PLAS INC X 60
HIPERTENSÃO       LOSARTANA POTÁSSICA 50MG       7898331960246      CARDVITA             LABORIS            50MG COMP REV CX 1 BL X 14
HIPERTENSÃO       LOSARTANA POTÁSSICA 50MG       7898331960253      CARDVITA             LABORIS            50MG COMP REV CX 2 BL X 14
HIPERTENSÃO       LOSARTANA POTÁSSICA 50MG       7896181902737      CORUS                BIOSINTETICA       50 MG COM REV CT 2 BL AL PLAS INC X 14
HIPERTENSÃO       LOSARTANA POTÁSSICA 50MG       7896181902669      CORUS                BIOSINTETICA       50 MG COM REV CT BL AL PLAS INC X 14
HIPERTENSÃO       LOSARTANA POTÁSSICA 50MG       7897337709255      COZAAR               MERCK SHARP        50 MG CX. 1 BL X 14 CPD
HIPERTENSÃO       LOSARTANA POTÁSSICA 50MG       7897337701303      COZAAR               MERCK SHARP        50 MG CX. 1 BL X 15 CPD
HIPERTENSÃO       LOSARTANA POTÁSSICA 50MG       7897337709262      COZAAR               MERCK SHARP        50 MG CX. 2 BL X 14 CPD
HIPERTENSÃO       LOSARTANA POTÁSSICA 50MG       7897337701297      COZAAR               MERCK SHARP        50 MG CX. 2 BL X 15 CPD
HIPERTENSÃO       LOSARTANA POTÁSSICA 50MG       7896714203614      LANZACOR             NEO QUIMICA        50MG CP VER CX C/14
HIPERTENSÃO       LOSARTANA POTÁSSICA 50MG       7896714203607      LANZACOR             NEO QUIMICA        50MG CPRV 2 BL C/14 CP
HIPERTENSÃO       LOSARTANA POTÁSSICA 50MG       7897595602145      LORSACOR             SANDOZ             50 MG COM REV CT 2 BL AL PLAS INC X 14
HIPERTENSÃO       LOSARTANA POTÁSSICA 50MG       7897595602138      LORSACOR             SANDOZ             50 MG COM REV CT BL AL PLAS INC X 14
HIPERTENSÃO       LOSARTANA POTÁSSICA 50MG       7897595608215      LORSACOR             SANDOZ             50 MG COM REV CT BL AL PLAS INC X 30
HIPERTENSÃO       LOSARTANA POTÁSSICA 50MG       7897595605252      LORSACOR             SANDOZ             50 MG COM REV CT BL AL PLAS INC X 60
HIPERTENSÃO       LOSARTANA POTÁSSICA 50MG       7898049796236      LOSACORON            VITAPAN            50 MG COM REV CT BL AL PLAS INC X 28
HIPERTENSÃO       LOSARTANA POTÁSSICA 50MG       7898049797905      LOSACORON            VITAPAN            50mg CX C/ 01 BL C/ 14 COMP REV
HIPERTENSÃO       LOSARTANA POTÁSSICA 50MG       7898078942550      LOSAPRIN             ROYTON             50 MG - CX. C/ 14 COMP
HIPERTENSÃO       LOSARTANA POTÁSSICA 50MG       7898078942567      LOSAPRIN             ROYTON             50 MG - CX. C/ 28 COMP
HIPERTENSÃO       LOSARTANA POTÁSSICA 50MG       7896422507738      LOSARTAN             MEDLEY             50MG COM REV CT 2 BL AL PLAS OPC X 15
HIPERTENSÃO       LOSARTANA POTÁSSICA 50MG       7896422507752      LOSARTAN             MEDLEY             50MG COM REV CT 4 BL AL PLAS OPC X 15

HIPERTENSÃO       LOSARTANA POTÁSSICA 50MG       7896422507721      LOSARTAN             MEDLEY             50MG COM REV CT BL AL PLAST OPC X 15 POTÁSSICO

HIPERTENSÃO       LOSARTANA POTÁSSICA 50MG       7898095344634      LOSARTAN POTÁSSICO   BRAINFARMA         50MG COM REV CT 1 BL AL PLAS OPC X 14
HIPERTENSÃO       LOSARTANA POTÁSSICA 50MG       7898095344658      LOSARTAN POTÁSSICO   BRAINFARMA         50MG COM REV CT 2 BL AL PLAS OPC X 14
HIPERTENSÃO       LOSARTANA POTÁSSICA 50MG       7895296240055      LOSARTAN POTÁSSICO   MEPHA-RATIOPHARM   50MG COM REV CT 1 BL AL PLAS OPC X 10
HIPERTENSÃO       LOSARTANA POTÁSSICA 50MG       7895296240079      LOSARTAN POTÁSSICO   MEPHA-RATIOPHARM   50MG COM REV CT 1 BL AL PLAS OPC X 14
HIPERTENSÃO       LOSARTANA POTÁSSICA 50MG       7895296240086      LOSARTAN POTÁSSICO   MEPHA-RATIOPHARM   50MG COM REV CT 2 BL AL PLAS OPC X 14
HIPERTENSÃO       LOSARTANA POTÁSSICA 50MG       7895296240062      LOSARTAN POTÁSSICO   MEPHA-RATIOPHARM   50MG COM REV CT 3 BL AL PLAS OPC X 10
HIPERTENSÃO       LOSARTANA POTÁSSICA 50MG       7897076907691      LOSARTAN POTÁSSICO   RANBAXY            50 MG COM REV CT 3 BL AL PLAS OPC X 10
ELENCO OFICIAL DOS MEDICAMENTOS DISPONIBILIZADOS PELO PROGRAMA AQUI TEM FARMÁCIA POPULAR - SISTEMA DE
                                                            COPAGAMENTO


    PATOLOGIA                  PRINCÍPIO ATIVO    CÓDIGO DE BARRA             PRODUTO          LABORATÓRIO                        APRESENTAÇÃO
HIPERTENSÃO       LOSARTANA POTÁSSICA 50MG       7897076907677      LOSARTAN POTÁSSICO    RANBAXY              50 MG COMP C/ 1 BL X 14
HIPERTENSÃO       LOSARTANA POTÁSSICA 50MG       7897076907684      LOSARTAN POTÁSSICO    RANBAXY              50 MG COMP C/ 2 BL X 14
HIPERTENSÃO       LOSARTANA POTÁSSICA 50MG       7894916147019      LOSARTANA POTASSICA   EMS                  50 MG COM REV CT BL AL PLAS LEIT X 60
HIPERTENSÃO       LOSARTANA POTÁSSICA 50MG       7897322703473      LOSARTANA POTASSICA   FARMASA              50 MG COM REV CT BL AL PLAS LEIT X 30
HIPERTENSÃO       LOSARTANA POTÁSSICA 50MG       7897322703459      LOSARTANA POTASSICA   FARMASA              50 MG COM REV CT BL PLAS LEIT X 15
HIPERTENSÃO       LOSARTANA POTÁSSICA 50MG       7897595604354      LOSARTANA POTASSICA   SANDOZ               50 MG COM REV CT BL AL PLAS INC X 14
HIPERTENSÃO       LOSARTANA POTÁSSICA 50MG       7897595604361      LOSARTANA POTASSICA   SANDOZ               50 MG COM REV CT BL AL PLAS INC X 28
HIPERTENSÃO       LOSARTANA POTÁSSICA 50MG       7898372707374      LOSARTANA POTÁSSICA   BIOLUNIS             50 MG COM REV CT BL AL PVC X 30
HIPERTENSÃO       LOSARTANA POTÁSSICA 50MG       7896181905622      LOSARTANA POTÁSSICA   BIOSINTETICA         50 MG COM REV CT 1 BL AL PLAS INC X 14
HIPERTENSÃO       LOSARTANA POTÁSSICA 50MG       7896181904861      LOSARTANA POTÁSSICA   BIOSINTETICA         50 MG COM REV CT 2 BL AL PLAS INC X 14
HIPERTENSÃO       LOSARTANA POTÁSSICA 50MG       7896676406740      LOSARTANA POTÁSSICA   CRISTALIA            50 MG COM REV CT 3 BL AL PLAS OPC X 10
HIPERTENSÃO       LOSARTANA POTÁSSICA 50MG       7896676412161      LOSARTANA POTÁSSICA   CRISTALIA            50mg 2 BL X 10 CPS
HIPERTENSÃO       LOSARTANA POTÁSSICA 50MG       7896004706795      LOSARTANA POTÁSSICA   EMS                  50 MG COM REV CT BL AL PLAS LEIT X 30
HIPERTENSÃO       LOSARTANA POTÁSSICA 50MG       7891317430528      LOSARTANA POTÁSSICA   EUROFARMA            50 MG COM REV CT BL AL PLAS LEIT X 15
HIPERTENSÃO       LOSARTANA POTÁSSICA 50MG       7891317427542      LOSARTANA POTÁSSICA   EUROFARMA            50 MG CT C/ 30 CPR
HIPERTENSÃO       LOSARTANA POTÁSSICA 50MG       7896004708539      LOSARTANA POTÁSSICA   GENERICOS GERMED     50 MG COM REV CT BL AL PLAS LEIT X 30
HIPERTENSÃO       LOSARTANA POTÁSSICA 50MG       7891721238567      LOSARTANA POTÁSSICA   MERCK                50MG COM REV EST CART BL AL PLAS INC X 30
HIPERTENSÃO       LOSARTANA POTÁSSICA 50MG       7896714208565      LOSARTANA POTÁSSICA   NEO QUIMICA          50 MG COM REV CT BL AL PLAS INC X 30
HIPERTENSÃO       LOSARTANA POTÁSSICA 50MG       7896261009493      LOSARTANA POTÁSSICA   NOVARTIS             50 MG COM REV CT BL AL PLAS INC X 14
HIPERTENSÃO       LOSARTANA POTÁSSICA 50MG       7896261009509      LOSARTANA POTÁSSICA   NOVARTIS             50 MG COM REV CT BL AL PLAS INC X 28
HIPERTENSÃO       LOSARTANA POTÁSSICA 50MG       7898148301706      LOSARTANA POTÁSSICA   PRATI, DONADUZZI     50 MG COM REV CT BL AL PLAS INC X 15
HIPERTENSÃO       LOSARTANA POTÁSSICA 50MG       7898148301720      LOSARTANA POTÁSSICA   PRATI, DONADUZZI     50 MG COM REV CT BL AL PLAS INC X 30
HIPERTENSÃO       LOSARTANA POTÁSSICA 50MG       7897076913814      LOSARTANA POTÁSSICA   RANBAXY              50 MG COM REV CT BL AL PLAS OPC X 60
HIPERTENSÃO       LOSARTANA POTÁSSICA 50MG       7894916145145      LOSARTANA POTÁSSICA   SIGMA PHARMA         50 MG COM REV CT BL AL PLAS LEIT X 30
HIPERTENSÃO       LOSARTANA POTÁSSICA 50MG       7896112114185      LOSARTANA POTÁSSICA   TEUTO                50 MG COM REV CT BL AL PLAS BCO OPC X 30
HIPERTENSÃO       LOSARTANA POTÁSSICA 50MG       7896112134220      LOSARTANA POTÁSSICA   TEUTO                50 MG COM REV CT BL AL PLAS BCO OPC X 60
HIPERTENSÃO       LOSARTANA POTÁSSICA 50MG       7898910350239      LOSARTANA POTÁSSICA   ZYDUS                50 MG COM REV CT STR AL X 30
HIPERTENSÃO       LOSARTANA POTÁSSICA 50MG       7896226102078      LOSARTEC              MARJAN               50MG COMP REV CX COM 10
HIPERTENSÃO       LOSARTANA POTÁSSICA 50MG       7896226102085      LOSARTEC              MARJAN               50MG COMP REV CX COM 30
HIPERTENSÃO       LOSARTANA POTÁSSICA 50MG       7891721021190      LOSARTION             MERCK                50 MG COM REV EST CART BL AL PLAS INC X 10
HIPERTENSÃO       LOSARTANA POTÁSSICA 50MG       7891721013362      LOSARTION             MERCK                50 MG COM REV EST CART BL AL PLAS INC X 30
HIPERTENSÃO       LOSARTANA POTÁSSICA 50MG       7896685300725      LOSATAL               INFAN                50 MG COM REV CT BL AL PLAS INC X 14
HIPERTENSÃO       LOSARTANA POTÁSSICA 50MG       7896685300732      LOSATAL               INFAN                50 MG COM REV CT BL AL PLAS INC X 28
HIPERTENSÃO       LOSARTANA POTÁSSICA 50MG       7896112136491      LOTANOL               TEUTO                50 MG COM REV BL AL PLAS OPC X 30
HIPERTENSÃO       LOSARTANA POTÁSSICA 50MG       7896112136507      LOTANOL               TEUTO                50 MG COM REV BL AL PLAS OPC X 60
HIPERTENSÃO       LOSARTANA POTÁSSICA 50MG       8902220105034      TORLOS                TORRENT DO BRASIL    50MG 2 BLISTERS COM 7 COMPRIMIDOS
HIPERTENSÃO       LOSARTANA POTÁSSICA 50MG       8902220105539      TORLOS                TORRENT DO BRASIL    50MG 4 BLISTERS COM 7 COMPRIMIDOS
HIPERTENSÃO       LOSARTANA POTÁSSICA 50MG       7896422510318      VALTRIAN              MEDLEY               50 MG COM REV CT BL AL PLAS OPC X 15
HIPERTENSÃO       LOSARTANA POTÁSSICA 50MG       7896422510288      VALTRIAN              MEDLEY               50MG COM REV CT 2 BL X 15
HIPERTENSÃO       LOSARTANA POTÁSSICA 50MG       7894916502795      ZAARPRESS             SIGMA PHARMA         50MG 2BL X 15 COMP
HIPERTENSÃO       LOSARTANA POTÁSSICA 50MG       7891317425869      ZART                  EUROFARMA            50 MG COM REV CT BL AL PLAST LEITOSO X 30
HIPERTENSÃO       LOSARTANA POTÁSSICA 50MG       7891317473891      ZART                  EUROFARMA            50 MG COM REV CT BL AL PLAST LEITOSO X 7
HIPERTENSÃO       MALEATO DE ENALAPRIL 10MG      7898096577161      ANGIOPRIL             DIFFUCAP-CHEMOBRAS   10MG CX C/ 30 COMP
HIPERTENSÃO       MALEATO DE ENALAPRIL 10MG      7897322700151      ATENS                 FARMASA              10 MG COMP CT BL AL PLAST INC X 20
HIPERTENSÃO       MALEATO DE ENALAPRIL 10MG      7898331960192      CARDIONATO            LABORIS              10MG COMP REV CX FR X 30
HIPERTENSÃO       MALEATO DE ENALAPRIL 10MG      7897851259595      ENALABAL              BALDACCI             10 MG COMP. 2 BL X 15
HIPERTENSÃO       MALEATO DE ENALAPRIL 10MG      7896523206073      ENALAMED              CIMED                10 MG C/3 STRIP X 10
ELENCO OFICIAL DOS MEDICAMENTOS DISPONIBILIZADOS PELO PROGRAMA AQUI TEM FARMÁCIA POPULAR - SISTEMA DE
                                                            COPAGAMENTO


    PATOLOGIA                  PRINCÍPIO ATIVO    CÓDIGO DE BARRA              PRODUTO          LABORATÓRIO                      APRESENTAÇÃO
HIPERTENSÃO       MALEATO DE ENALAPRIL 10MG      7988103650627      ENALAP 10MG            MILIAN             CAIXA COM 30 CPDS
HIPERTENSÃO       MALEATO DE ENALAPRIL 10MG      7897852900496      ENALATEC               GREENPHARMA        10MG CX C/ 30CPR
HIPERTENSÃO       MALEATO DE ENALAPRIL 10MG      7892885200278      ENALIL                 KINDER             10MG/COMP CX C/2 BL C/15
HIPERTENSÃO       MALEATO DE ENALAPRIL 10MG      7892984031780      ENALPRESS              LASA               10MG CX. C/ 30 COMP
HIPERTENSÃO       MALEATO DE ENALAPRIL 10MG      7898078940747      ENALPRIN               ROYTON             10 MG - CX. C/ 30 COMP
HIPERTENSÃO       MALEATO DE ENALAPRIL 10MG      7898216360215      ENAPLEX                PHARLAB            10MG COMP ENV 30
HIPERTENSÃO       MALEATO DE ENALAPRIL 10MG      7897595601476      ENAPROTEC              HEXAL              10 MG COMP CX. C/30
HIPERTENSÃO       MALEATO DE ENALAPRIL 10MG      7896685301210      ENATEC                 INFAN              10MG CX. C/ 30 COMP
HIPERTENSÃO       MALEATO DE ENALAPRIL 10MG      7898100241293      ENATIL                 BRASTERAPICA       10 MG COM REV CT 3 BL AL PLAS INC X 10
HIPERTENSÃO       MALEATO DE ENALAPRIL 10MG      7898295923325      ENATOM                 LUPER              10 MG C/30 COMPRIMIDOS
HIPERTENSÃO       MALEATO DE ENALAPRIL 10MG      7896181916390      EUPRESSIN              BIOSINTETICA       10 MG COM CT STR X 07
HIPERTENSÃO       MALEATO DE ENALAPRIL 10MG      7896181903376      EUPRESSIN              BIOSINTETICA       10 MG COM CT STR X 30
HIPERTENSÃO       MALEATO DE ENALAPRIL 10MG      7898371170087      GENALAPRIL             GENOMA             CX C/01BL C/30 COMP 10MG
HIPERTENSÃO       MALEATO DE ENALAPRIL 10MG      7898906376144      GLIOTEN                BAGO               10 MG COM EST BL AL/AL X 30
HIPERTENSÃO       MALEATO DE ENALAPRIL 10MG      7891721001581      GLIOTEN                MERCK              10 MG COM REV EST CART BL AL/AL X 30
HIPERTENSÃO       MALEATO DE ENALAPRIL 10MG      7896622302386      HIPERTIN               LUPER              10 MG C/30 COMPRIMIDOS
HIPERTENSÃO       MALEATO DE ENALAPRIL 10MG      7898123901662      LAPRITEC               HIPOLABOR          10MG CX C/30 CP
HIPERTENSÃO       MALEATO DE ENALAPRIL 10MG      7898060133676      MALEAPRIL              GALLIA             10MG COMP STR CX C/30
HIPERTENSÃO       MALEATO DE ENALAPRIL 10MG      7898361880286      MALEATO DE ENALAPRIL   AUROBINDO PHARMA   10 MG COM CT BL AL/AL X 30
HIPERTENSÃO       MALEATO DE ENALAPRIL 10MG      7896181900894      MALEATO DE ENALAPRIL   BIOSINTETICA       10 MG COM CT 3 STR X 10
HIPERTENSÃO       MALEATO DE ENALAPRIL 10MG      7898095345235      MALEATO DE ENALAPRIL   BRAINFARMA         10 MG COM CT STR AL X 30
HIPERTENSÃO       MALEATO DE ENALAPRIL 10MG      7896523210759      MALEATO DE ENALAPRIL   CIMED              10 MG COM CT STRIP AL X 30
HIPERTENSÃO       MALEATO DE ENALAPRIL 10MG      7896676410990      MALEATO DE ENALAPRIL   CRISTALIA          10MG-3 BLIST.10CPS
HIPERTENSÃO       MALEATO DE ENALAPRIL 10MG      7896004718927      MALEATO DE ENALAPRIL   EMS                10 MG COM CT BL AL/AL X 60 (EMB FRAC)
HIPERTENSÃO       MALEATO DE ENALAPRIL 10MG      7896004700533      MALEATO DE ENALAPRIL   EMS                10MG 3STP C/10 COMP
HIPERTENSÃO       MALEATO DE ENALAPRIL 10MG      7896004710358      MALEATO DE ENALAPRIL   GENERICOS GERMED   10MG 3STP C/ 10 COMP
HIPERTENSÃO       MALEATO DE ENALAPRIL 10MG      7897595602718      MALEATO DE ENALAPRIL   HEXAL              10MG MALEATO CX C/ 10 CP
HIPERTENSÃO       MALEATO DE ENALAPRIL 10MG      7896422514248      MALEATO DE ENALAPRIL   MEDLEY             10 MG COM CT BL AL/AL X 30
HIPERTENSÃO       MALEATO DE ENALAPRIL 10MG      7896422506328      MALEATO DE ENALAPRIL   MEDLEY             10 MG COMP CT C/ 3 STRIP X 10
HIPERTENSÃO       MALEATO DE ENALAPRIL 10MG      7895296216036      MALEATO DE ENALAPRIL   MEPHA-RATIOPHARM   10 MG COM CT BL AL/AL X 30
HIPERTENSÃO       MALEATO DE ENALAPRIL 10MG      7895296113595      MALEATO DE ENALAPRIL   MEPHA-RATIOPHARM   10MG COM CT 4 BL AL/AL X 7
HIPERTENSÃO       MALEATO DE ENALAPRIL 10MG      7896714205823      MALEATO DE ENALAPRIL   NEO QUIMICA        10MG COM CT ENV AL X 30
HIPERTENSÃO       MALEATO DE ENALAPRIL 10MG      7896261006645      MALEATO DE ENALAPRIL   NOVARTIS           10 MG COM CT 3 BL AL/AL X 10
HIPERTENSÃO       MALEATO DE ENALAPRIL 10MG      7898148291830      MALEATO DE ENALAPRIL   PRATI, DONADUZZI   10 MG COM CT BL AL PLAS INC X 30
HIPERTENSÃO       MALEATO DE ENALAPRIL 10MG      7898148300884      MALEATO DE ENALAPRIL   PRATI, DONADUZZI   10 MG COM CT BL AL/AL X 30
HIPERTENSÃO       MALEATO DE ENALAPRIL 10MG      7897076906823      MALEATO DE ENALAPRIL   RANBAXY            10 MG COMP C/1 STR X 10
HIPERTENSÃO       MALEATO DE ENALAPRIL 10MG      7897076906830      MALEATO DE ENALAPRIL   RANBAXY            10 MG COMP C/3 STR X 10
HIPERTENSÃO       MALEATO DE ENALAPRIL 10MG      7897595602268      MALEATO DE ENALAPRIL   SANDOZ             10 MG C/ CT 3 BL AL/AL X 10
HIPERTENSÃO       MALEATO DE ENALAPRIL 10MG      7894916143028      MALEATO DE ENALAPRIL   SIGMA PHARMA       10 MG COM CT BL AL / AL X 30
HIPERTENSÃO       MALEATO DE ENALAPRIL 10MG      7896112113775      MALEATO DE ENALAPRIL   TEUTO              10MG COM CT 3 ENV AL X 10
HIPERTENSÃO       MALEATO DE ENALAPRIL 10MG      7896112126225      MALEATO DE ENALAPRIL   TEUTO              10MG COM CT 3 ENV AL X 10
HIPERTENSÃO       MALEATO DE ENALAPRIL 10MG      7894916504010      MALENA                 SIGMA PHARMA       10 MG COM CT BL AL/AL X 30
HIPERTENSÃO       MALEATO DE ENALAPRIL 10MG      7896472501885      MULTIPRESSIM           MULTILAB           10MG BLISTER C/ 30CPRS
HIPERTENSÃO       MALEATO DE ENALAPRIL 10MG      7896004714455      PRESSEL                LEGRAND            10MG 3STP C/10 COMP
HIPERTENSÃO       MALEATO DE ENALAPRIL 10MG      7898060138398      PRESSOCORD             GLOBO              10MG COMP BL CX C/30
HIPERTENSÃO       MALEATO DE ENALAPRIL 10MG      7896862910457      PRESSOMEDE             MEDQUIMICA         10MG CX. C/ 30 COMP.
HIPERTENSÃO       MALEATO DE ENALAPRIL 10MG      7896112127239      PRESSOTEC              TEUTO              10 MG COM CT BL AL/AL X 30
ELENCO OFICIAL DOS MEDICAMENTOS DISPONIBILIZADOS PELO PROGRAMA AQUI TEM FARMÁCIA POPULAR - SISTEMA DE
                                                            COPAGAMENTO


    PATOLOGIA                  PRINCÍPIO ATIVO    CÓDIGO DE BARRA              PRODUTO          LABORATÓRIO                      APRESENTAÇÃO
HIPERTENSÃO       MALEATO DE ENALAPRIL 10MG      7896112141266      PRESSOTEC              TEUTO              COMP 10MG CX C/30
HIPERTENSÃO       MALEATO DE ENALAPRIL 10MG      7896534203849      PRODOPRESSIN           PRODOTTI           10MG CX 30 COMP
HIPERTENSÃO       MALEATO DE ENALAPRIL 10MG      7899095201132      PRYLTEC                GEOLAB             10 MG COMP. CT 03 BL X 10
HIPERTENSÃO       MALEATO DE ENALAPRIL 10MG      7896714200743      RENALAPRIL             NEO QUIMICA        CP 10MG (CX C/03 ENV AL C/10)
HIPERTENSÃO       MALEATO DE ENALAPRIL 10MG      7898049798414      RENAPRIL               VITAPAN            10 MG CX C/ 03 ENV AL C/ 10 COMP REVES
HIPERTENSÃO       MALEATO DE ENALAPRIL 10MG      7893736003840      RENIPRESS              CAZI               10 MG COMP CT ENV KRAFT X 30
HIPERTENSÃO       MALEATO DE ENALAPRIL 10MG      7897337705882      RENITEC                MERCK SHARP        10 MG CX. 6 BL X 5 CPD
HIPERTENSÃO       MALEATO DE ENALAPRIL 10MG      7897917001182      RENOPRIL               BELFAR             CXS. C/30 COMP. 10 MG
HIPERTENSÃO       MALEATO DE ENALAPRIL 10MG      7896137111848      SANVAPRESS             SANVAL             10 MG COMP CT 02 X 10
HIPERTENSÃO       MALEATO DE ENALAPRIL 10MG      7896112429913      VASOPRIL               BIOLAB SANUS       10 MG COM CT STR X 45
HIPERTENSÃO       MALEATO DE ENALAPRIL 10MG      7896112414971      VASOPRIL               BIOLAB SANUS       10 MG COM CT STR X 60
HIPERTENSÃO       MALEATO DE ENALAPRIL 10MG      7896112493662      VASOPRIL               BIOLAB SANUS       COM CT STR X 30 - 10MG
HIPERTENSÃO       MALEATO DE ENALAPRIL 10MG      7896241293669      VASOPRIL               BIOLAB SANUS       COM CT STR X 30 - 10MG
HIPERTENSÃO       MALEATO DE ENALAPRIL 10MG      7898272940468      VENALAPRIL             TKS                10MG 30 COMP
HIPERTENSÃO       MALEATO DE ENALAPRIL 10MG      7898272940239      VENALAPRIL             TKS                10MG 30 COMP.

INFLUENZA A (H1N1) FOSFATO DE OSELTAMIVIR 30MG   7896226506098      TAMIFLU                ROCHE              30 MG CAP GEL DUR CT BL AL PLAS INC X 10

INFLUENZA A (H1N1) FOSFATO DE OSELTAMIVIR 45MG   7896226506111      TAMIFLU                ROCHE              45 MG CAP GEL DUR CT BL AL PLAS INC X 10

INFLUENZA A (H1N1) FOSFATO DE OSELTAMIVIR 75MG   7896226502168      TAMIFLU                ROCHE              75 MG CAP GEL DUR CT BL AL PLAS INC X 10

OSTEOPOROSE       ALENDRONATO DE SÓDIO 70MG      7898040320690      ALENDIL                FARMOQUIMICA       70MG C/2 COMP
OSTEOPOROSE       ALENDRONATO DE SÓDIO 70MG      7898040320621      ALENDIL                FARMOQUIMICA       70MG C/4 COMP
OSTEOPOROSE       ALENDRONATO DE SÓDIO 70MG      7896004727479      ALENDÓSSEO             EMS                70 MG COM CT BL AL PLAS OPC X 4
OSTEOPOROSE       ALENDRONATO DE SÓDIO 70MG      7898146821923      ALENDRONATO DE SÓDIO   ARROW              70 MG COM CT BL AL PLAS INC X 2
OSTEOPOROSE       ALENDRONATO DE SÓDIO 70MG      7898146821954      ALENDRONATO DE SÓDIO   EUROFARMA          70 MG COM CT BL AL PLAS INC X 4
OSTEOPOROSE       ALENDRONATO DE SÓDIO 70MG      7897595610089      ALENDRONATO DE SÓDIO   SANDOZ             70 MG COM REV CT BL AL/AL X 4
OSTEOPOROSE       ALENDRONATO DE SÓDIO 70MG      7896004715308      ALENDRONATO SÓDICO     EMS                70 MG COM CT BL AL PLAS LEIT X 2
OSTEOPOROSE       ALENDRONATO DE SÓDIO 70MG      7896004715322      ALENDRONATO SÓDICO     EMS                70 MG COM CT BL AL PLAS LEIT X 4
OSTEOPOROSE       ALENDRONATO DE SÓDIO 70MG      7896004715339      ALENDRONATO SÓDICO     GENERICOS GERMED   70 MG COM CT BL AL PLAS LEIT X 2
OSTEOPOROSE       ALENDRONATO DE SÓDIO 70MG      7896004715353      ALENDRONATO SÓDICO     GENERICOS GERMED   70 MG COM CT BL AL PLAS LEIT X 4
OSTEOPOROSE       ALENDRONATO DE SÓDIO 70MG      7894916143417      ALENDRONATO SÓDICO     SIGMA PHARMA       70 MG COM CT BL AL PLAS LEIT X 2
OSTEOPOROSE       ALENDRONATO DE SÓDIO 70MG      7894916143424      ALENDRONATO SÓDICO     SIGMA PHARMA       70 MG COM CT BL AL PLAS LEIT X 4
OSTEOPOROSE       ALENDRONATO DE SÓDIO 70MG      7896004726847      BONAGRAN               LEGRAND            70 MG COM CT BL AL PLAS OPC X 4
OSTEOPOROSE       ALENDRONATO DE SÓDIO 70MG      7896241217672      BONALEN                UNIAO QUIMICA      COM REV CT BL AL PLAS AMB X 4 70MG
OSTEOPOROSE       ALENDRONATO DE SÓDIO 70MG      7897595610973      BONEPREV               SANDOZ             70 MG COM REV CT BL AL/AL X 4
OSTEOPOROSE       ALENDRONATO DE SÓDIO 70MG      7896253902108      ENDRONAX               SOLVAY FARMA       70 MG COMP CT 1 BL AL PLAS INC X 4
OSTEOPOROSE       ALENDRONATO DE SÓDIO 70MG      7893454213118      ENDROSTAN              DELTA              70 MG COM CT BL AL PLAS INC X 4
OSTEOPOROSE       ALENDRONATO DE SÓDIO 70MG      7897337704519      FOSAMAX                MERCK SHARP        70 MG CX. 1 BL X 4 CPD
OSTEOPOROSE       ALENDRONATO DE SÓDIO 70MG      7897337702515      FOSAMAX                MERCK SHARP        70 MG CX. 1 BL X 4 CPD
OSTEOPOROSE       ALENDRONATO DE SÓDIO 70MG      7897655402005      MINUSORB               UCI-FARMA          70 MG COM. CX C/4
OSTEOPOROSE       ALENDRONATO DE SÓDIO 70MG      7898060138664      OSSOMAX                GALLIA             70MG COMP BL CX C/4
OSTEOPOROSE       ALENDRONATO DE SÓDIO 70MG      7896226102658      OSTENAN                MARJAN             70 MG COMP REV CX COM 02
OSTEOPOROSE       ALENDRONATO DE SÓDIO 70MG      7896226102641      OSTENAN                MARJAN             70 MG COMP REV CX COM 04
OSTEOPOROSE       ALENDRONATO DE SÓDIO 70MG      7898109241508      OSTEOFAR               ELOFAR             CX C/1 ENV X2COM 70MG
OSTEOPOROSE       ALENDRONATO DE SÓDIO 70MG      7898109241522      OSTEOFAR               ELOFAR             CX C/1 ENV X4COM 70MG
OSTEOPOROSE       ALENDRONATO DE SÓDIO 70MG      7894916501712      OSTEOFORM              SIGMA PHARMA       70MG 1 BL X 2 COMP
ELENCO OFICIAL DOS MEDICAMENTOS DISPONIBILIZADOS PELO PROGRAMA AQUI TEM FARMÁCIA POPULAR - SISTEMA DE
                                                            COPAGAMENTO


    PATOLOGIA                 PRINCÍPIO ATIVO    CÓDIGO DE BARRA           PRODUTO        LABORATÓRIO                    APRESENTAÇÃO
OSTEOPOROSE       ALENDRONATO DE SÓDIO 70MG     7894916501729    OSTEOFORM           SIGMA PHARMA       70MG 1 BL X 4 COMP
OSTEOPOROSE       ALENDRONATO DE SÓDIO 70MG     7896317901788    TEROST              ATIVUS             70 MG COM CT BL AL PLAS INC X 4
                                                                                                        32 MCG/DOSE SUS NAS CT FR VD AMB NEB X 120
RINITE            BUDESONIDA 32MCG              7896206402037   BUDECORT AQUA        ASTRAZENECA
                                                                                                        DOSES
                                                                                                        32 MCG/DOSE SUS AQU NAS CT FR PLAS OPC X 6 ML
RINITE            BUDESONIDA 32MCG              7896181909156   BUSONID              BIOSINTETICA
                                                                                                        (120 DOSES)
                                                                                                        32 MCG/DOSE SUS AQU NAS CT FR PLAS OPC X 6 ML
RINITE            BUDESONIDA 32MCG              7896181915171   BUSONID              BIOSINTETICA
                                                                                                        (120 DOSES)
                                                                                                        32 MCG/DOSE SUS AQUOSA NAS CT FR PLAS OPC X 3
RINITE            BUDESONIDA 32MCG              7896181917199   BUSONID              BIOSINTETICA
                                                                                                        ML (60 DOSES)
                                                                                                        32 MCG / DOSE SUS NAS CT FRAS PLAS OPC NEB X 120
RINITE            BUDESONIDA 32MCG              7891317439323   NOEX                 EUROFARMA
                                                                                                        DOSES
                                                                                                        32 MCG/DOSE SUS NAS CT FR VD AMB NEB X 120
RINITE            BUDESONIDA 32MCG              7891317426958   NOEX                 EUROFARMA
                                                                                                        DOSES
                                                                                                        50 MCG/DOSE AER NASAL CT FR AL X 10 ML (200
RINITE            BUDESONIDA 50MCG              7896181903598   BUSONID              BIOSINTETICA
                                                                                                        DOSES)
                                                                                                        50 MCG/DOSE SUS AQUOSA NAS CT FR PLAS OPC X 10
RINITE            BUDESONIDA 50MCG              7896181901761   BUSONID              BIOSINTETICA
                                                                                                        ML (200 DOSES)
                                                                                                        50 MCG/DOSE SUS AQUOSA NAS CT FR PLAS OPC X 6
RINITE            BUDESONIDA 50MCG              7896181907176   BUSONID              BIOSINTETICA
                                                                                                        ML (120 DOSES)
                                                                                                        50 MGC/DOSE SUS AQUOSA NAS CT FR PLAS OPC X 3
RINITE            BUDESONIDA 50MCG              7896181917205   BUSONID              BIOSINTETICA
                                                                                                        ML (60 DOSES)
                                                                                                        50 MCG / DOSE SUS NAS CT FR PLAS OPC NEB X 200
RINITE            BUDESONIDA 50MCG              7891317439330   NOEX                 EUROFARMA
                                                                                                        DOSES

Medicamentos

  • 1.
    ELENCO OFICIAL DOSMEDICAMENTOS DISPONIBILIZADOS PELO PROGRAMA AQUI TEM FARMÁCIA POPULAR - SISTEMA DE COPAGAMENTO PATOLOGIA PRINCÍPIO ATIVO CÓDIGO DE BARRA PRODUTO LABORATÓRIO APRESENTAÇÃO ANTICONCEPÇÃO ACETATO DE MEDROXIPROGESTERONA 15OMG 7894916203357 CONTRACEP GENERICOS GERMED 150 MG/ML SUS INJ CT FA VD INC X 1 ML ANTICONCEPÇÃO ACETATO DE MEDROXIPROGESTERONA 15OMG 7894916502900 CONTRACEP SIGMA PHARMA 150 MG/ML SUS INJ CT FA VD INC X 1 ML ANTICONCEPÇÃO ACETATO DE MEDROXIPROGESTERONA 15OMG 7896931415074 DEPO PROVERA PFIZER 150 MG/ML SUS INJ CT FA VD INC X 1 ML ANTICONCEPÇÃO ACETATO DE MEDROXIPROGESTERONA 15OMG 7891268101782 DEPO PROVERA PFIZER 150 MG/ML SUS INJ CT SER PREENC X 1 ML ANTICONCEPÇÃO ACETATO DE MEDROXIPROGESTERONA 15OMG 7891268101799 DEPO PROVERA PFIZER 150 MG/ML SUS INJ CT SER PREENC X 1 ML ANTICONCEPÇÃO ACETATO DE MEDROXIPROGESTERONA 15OMG 7896931415081 DEPO PROVERA PFIZER 150 MG/ML SUS INJ CT SER PREENC X 1 ML ANTICONCEPÇÃO ETINILESTRADIOL + LEVONORGESTREL 7896006234005 CICLO 21 UNIAO QUIMICA 0,15 MG+ 0,03 MG + COM CT 3 EST CALEND X 21 ANTICONCEPÇÃO ETINILESTRADIOL + LEVONORGESTREL 7896006234067 CICLO 21 UNIAO QUIMICA 0,15 MG+ 0,03 MG + COM CT EST CALEND X 21 0,15 MG + 0,03 MG DRG CT BL CALEND AL PLAS INC X ANTICONCEPÇÃO ETINILESTRADIOL + LEVONORGESTREL 7898158692948 CICLOFEMME CIFARMA 21 ANTICONCEPÇÃO ETINILESTRADIOL + LEVONORGESTREL 7896714203737 CONCEPNOR NEO QUIMICA 0,150MG+0,30 MG DRG CT BL AL PLAS INC X 21 ANTICONCEPÇÃO ETINILESTRADIOL + LEVONORGESTREL 7896112435648 GESTRELAN BIOLAB SANUS 0,15 MG + 0,03 MG COM CT 3 BL AL PLAS INC X 21 ANTICONCEPÇÃO ETINILESTRADIOL + LEVONORGESTREL 7891317004408 LEVOGEN EUROFARMA 0,150 MG + 0,030 MG COM REV CT BL AL PLAS INC X 63 ANTICONCEPÇÃO ETINILESTRADIOL + LEVONORGESTREL 7891317443665 LEVOGEN EUROFARMA 0,150 MG + 0,030 MG DRG CT BL AL PLAS INC X 21 0,15 MG + 0,03 MG DRG CT BL CALEND AL PLAS INC X ANTICONCEPÇÃO ETINILESTRADIOL + LEVONORGESTREL 7896116860217 MICROVLAR SCHERING 21 0,15 MG + 0,03 MG DRG CT BL CALEND AL PLAS INC X ANTICONCEPÇÃO ETINILESTRADIOL + LEVONORGESTREL 7896116801401 MICROVLAR SCHERING 21 ANTICONCEPÇÃO ETINILESTRADIOL + LEVONORGESTREL 7896004714196 NOCICLIN EMS 0,15 MG + 0,03 MG COM CT BL AL PLAS INC X 21 ANTICONCEPÇÃO ETINILESTRADIOL + LEVONORGESTREL 7891045008440 NORDETTE WYETH 0,15 MG + 0,03 MG DRG CT 3 BL AL PLAS INC X 21 ANTICONCEPÇÃO ETINILESTRADIOL + LEVONORGESTREL 7891045008433 NORDETTE WYETH 0,15 MG + 0,03 MG DRG CT BL AL PLAS INC X 21 ANTICONCEPÇÃO NORETISTERONA 0,35MG 7891317008086 LINATIS EUROFARMA 0,35 MG COM CT 5 BL AL PLAS INC X 7 ANTICONCEPÇÃO NORETISTERONA 0,35MG 7896212478859 MICRONOR JANSSEN-CILAG 350 MCG COM CT BL AL PLAS INC X 35 ANTICONCEPÇÃO NORETISTERONA 0,35MG 7896241274903 NORESTIN BIOLAB SANUS 0,35 MG COM CT EST X 35 VALERATO DE ESTRADIOL + ENANTATO DE ENANTATO DE NORETISTERONA + 50 MG/ML + 5 MG/ML SOL INJ CT AMP VD AMB X 1 ML ANTICONCEPÇÃO 7898158696236 CIFARMA NORETISTERONA VALERATO DE ESTRADIOL + SERINGA VALERATO DE ESTRADIOL + ENANTATO DE ENANTATO DE NORETISTERONA + 50 MG/ML + 5 MG/ML SOL INJ CT SER PRÉ-ENCHIDA VD ANTICONCEPÇÃO 7891317437220 EUROFARMA NORETISTERONA VALERATO DE ESTRADIOL INC X 1 ML + AGULHA DESC VALERATO DE ESTRADIOL + ENANTATO DE 50 MG/ML + 5 MG/ML SOL INJ CT SER VD INC X 1 ML + ANTICONCEPÇÃO 7891106904537 MESIGYNA BAYER NORETISTERONA AGU VALERATO DE ESTRADIOL + ENANTATO DE ANTICONCEPÇÃO 7501303486001 MESIGYNA INSTAJECT SCHERING 50 MG/ML + 5 MG/ML SOL INJ CT SER VD INC X 1 ML NORETISTERONA VALERATO DE ESTRADIOL + ENANTATO DE (50 MG + 5 MG)/ML SOL INJ CT SER PREENCH VD INC X ANTICONCEPÇÃO 7891317433321 NOELE EUROFARMA NORETISTERONA 1 ML + SER VALERATO DE ESTRADIOL + ENANTATO DE (50 + 5) MG/ML SOL INJ CT AMP VD AMB X 1 ML + ANTICONCEPÇÃO 7898158693686 NOREGYNA CIFARMA NORETISTERONA SERINGA 20 MCG/DOSE AER DOSIF CT FR AÇO INOX X 10 ML + ASMA BROMETO DE IPRATRÓPIO 0,02MG 7896026302432 ATROVENT BOEHRINGER BOCAL 20 MCG/DOSE AER DOSIF CT FR AÇO INOX X 10 ML + ASMA BROMETO DE IPRATRÓPIO 0,02MG 7896026302449 ATROVENT BOEHRINGER BOCAL + AEROCÂMERA
  • 2.
    ELENCO OFICIAL DOSMEDICAMENTOS DISPONIBILIZADOS PELO PROGRAMA AQUI TEM FARMÁCIA POPULAR - SISTEMA DE COPAGAMENTO PATOLOGIA PRINCÍPIO ATIVO CÓDIGO DE BARRA PRODUTO LABORATÓRIO APRESENTAÇÃO 0,25 MG/ML SOL INAL CT ENV AL 10 FLAC PLAS OPC X 2 ASMA BROMETO DE IPRATRÓPIO 0,25MG 7896672202605 ALVENT CHIESI ML 0,25 MG/ML SOL INAL CT ENV AL 5 FLAC PLAS OPC X 2 ASMA BROMETO DE IPRATRÓPIO 0,25MG 7896672202599 ALVENT CHIESI ML 0,25 MG/ML SOL INAL CT ENV AL C/ 20 FLAC PLAS OPC ASMA BROMETO DE IPRATRÓPIO 0,25MG 7896672202407 ALVENT CHIESI X 2 ML ASMA BROMETO DE IPRATRÓPIO 0,25MG 7896006210108 ARES UNIAO QUIMICA SOL INAL CT FR VD AMB X 20 ML ASMA BROMETO DE IPRATRÓPIO 0,25MG 7896004725574 ASMALIV LEGRAND 0,25 MG/ML SOL INAL CT FR VD AMB CGT X 20 ML ASMA BROMETO DE IPRATRÓPIO 0,25MG 7896026300216 ATROVENT BOEHRINGER 0,25 MG/ML SOL INAL CT FR X 20 ML ASMA BROMETO DE IPRATRÓPIO 0,25MG 7896181913252 BROMETO DE IPRATRÓPIO BIOSINTETICA 0,25 MG/ML SOL P/ INAL CT FR VD AMB GOT X 20 ML ASMA BROMETO DE IPRATRÓPIO 0,25MG 7896004725437 BROMETO DE IPRATRÓPIO GENERICOS GERMED 0,25 MG/ML SOL P/ INAL CT FR VD AMB GOT X 20 ML ASMA BROMETO DE IPRATRÓPIO 0,25MG 7898060132785 BROMETO DE IPRATRÓPIO GLOBO 0,250 MG/ML SOL INAL CT FR VD AMB X 20 ML ASMA BROMETO DE IPRATRÓPIO 0,25MG 7898123906162 BROMETO DE IPRATRÓPIO HIPOLABOR 0,25 MG/ML SOL INAL CT FR PLAS OPC GOT X 20 ML ASMA BROMETO DE IPRATRÓPIO 0,25MG 7894916145435 BROMETO DE IPRATRÓPIO LEGRAND 0,25 MG/ML SOL P/ INAL CT FR VD AMB GOT X 20 ML ASMA BROMETO DE IPRATRÓPIO 0,25MG 7896714214337 BROMETO DE IPRATRÓPIO NEO QUIMICA 0,25 MG/ML SOL P/ INAL CT FR VD AMB GOT X 20 ML ASMA BROMETO DE IPRATRÓPIO 0,25MG 7898148299492 BROMETO DE IPRATRÓPIO PRATI, DONADUZZI 0,25 MG/ML SOL INAL CT FR VD AMB GOT X 20 ML ASMA BROMETO DE IPRATRÓPIO 0,25MG 7898148299010 BROMETO DE IPRATRÓPIO PRATI, DONADUZZI 0,25MG/ML SOL INAL CT FR PLAS OPC GOT X 20ML ASMA BROMETO DE IPRATRÓPIO 0,25MG 7896112114413 BROMETO DE IPRATRÓPIO TEUTO 0,25 MG/ML SOL INAL CT FR VD AMB GOT X 20 ML ASMA BROMETO DE IPRATRÓPIO 0,25MG 7896004725420 BROMETO DE IPRATRÓPRIO EMS 0,25 MG/ML SOL P/ INAL CT FR VD AMB GOT X 20 ML ASMA BROMETO DE IPRATRÓPIO 0,25MG 7896006262510 BROMETRO IPRATRÓPIO 0,25 MG UNIAO QUIMICA SOL INAL CT FR VD AMB X 20 ML ASMA BROMETO DE IPRATRÓPIO 0,25MG 7898149937287 BROMOVENT BERGAMO 0,250 MG/ML SOL INAL CT 10 FR PLAS GOT X 20 ML ASMA BROMETO DE IPRATRÓPIO 0,25MG 7898149933784 BROMOVENT BERGAMO 0,250 MG/ML SOL INAL CT FR PLAS GOT X 20 ML ASMA BROMETO DE IPRATRÓPIO 0,25MG 7896004725567 BRONCOVENT GENERICOS GERMED 0,25 MG/ML SOL INAL CT FR VD AMB CGT X 20 ML ASMA BROMETO DE IPRATRÓPIO 0,25MG 7898074615120 IPRABON ZAMBON 0,25MG/ML SOL FR VD X 20ML ASMA BROMETO DE IPRATRÓPIO 0,25MG 7897473201743 IPRAFLUX GLENMARK 0,25 MG/ML SOL INAL CT FR VD AMB X 15 ML ASMA BROMETO DE IPRATRÓPIO 0,25MG 7896714270234 IPRANEO NEO QUIMICA 0,25MG/ML SOL INAL C/ 20ML + CT ASMA DIPROPIONATO DE BECLOMETSONA 200MCG 7896672202322 CLENIL CHIESI 200 MCG/DOSE PO INAL CT DISPOSIT INAL X 100 DOSES 200 MCG/DOSE SOL AER CT TB AL + DISPOSITIVO ORAL ASMA DIPROPIONATO DE BECLOMETSONA 200MCG 7896672202896 CLENIL HFA CHIESI + ESPAÇ JET X 200 DOSES 200 MCG/DOSE SOL AER CT TB AL + DISPOSITIVO ORAL ASMA DIPROPIONATO DE BECLOMETSONA 200MCG 7896672202872 CLENIL HFA CHIESI X 200 DOSES 200 MCG/DOSE SOL AER CT TB AL + ESPAÇ JET X 200 ASMA DIPROPIONATO DE BECLOMETSONA 200MCG 7896672202889 CLENIL HFA CHIESI DOSES 200 MCG PÓ ENCAP P/ INAL CT 6 BL AL PLAS INC X 10 + ASMA DIPROPIONATO DE BECLOMETSONA 200MCG 7896261004009 MIFLASONA NOVARTIS INAL ASMA DIPROPIONATO DE BECLOMETSONA 250MCG 7897473201705 BECLORT GLENMARK 250 MCG/DOSE SOL AER SPRAY CT LT AL X 200 DOSES
  • 3.
    ELENCO OFICIAL DOSMEDICAMENTOS DISPONIBILIZADOS PELO PROGRAMA AQUI TEM FARMÁCIA POPULAR - SISTEMA DE COPAGAMENTO PATOLOGIA PRINCÍPIO ATIVO CÓDIGO DE BARRA PRODUTO LABORATÓRIO APRESENTAÇÃO ASMA DIPROPIONATO DE BECLOMETSONA 250MCG 7896269900204 BECLOSOL GLAXOSMITHKLINE 250MCG SPRAY C/200DS ASMA DIPROPIONATO DE BECLOMETSONA 250MCG 7896672201059 CLENIL CHIESI 250 MCG/DOSE SOL AER SPRAY CT TB AL X 15,5 G 250 MCG/DOSE SOL AER SPRAY CT TB AL X 15,5 G + ASMA DIPROPIONATO DE BECLOMETSONA 250MCG 7896672201042 CLENIL CHIESI ESPACADOR JET 250 MCG/DOSE SOL AER CT TB AL + DISPOSITIVO ORAL ASMA DIPROPIONATO DE BECLOMETSONA 250MCG 7896672202926 CLENIL HFA CHIESI + ESPAÇ JET X 200 DOSES 250 MCG/DOSE SOL AER CT TB AL + DISPOSITIVO ORAL ASMA DIPROPIONATO DE BECLOMETSONA 250MCG 7896672202902 CLENIL HFA CHIESI X 200 DOSES 250 MCG/DOSE SOL AER CT TB AL + ESPAÇ JET X 200 ASMA DIPROPIONATO DE BECLOMETSONA 250MCG 7896672202919 CLENIL HFA CHIESI DOSES ASMA DIPROPIONATO DE BECLOMETSONA 50MCG 7896269900266 BECLOSOL GLAXOSMITHKLINE 50 MCG SPRAY C/200DS ASMA DIPROPIONATO DE BECLOMETSONA 50MCG 7896672202636 CLENIL CHIESI 50 MCG/DOSE ORAL SPRAY - TB C/ 15 ML 50 MCG/DOSE SOL AER CT TB AL + DISPOSITIVO ORAL + ASMA DIPROPIONATO DE BECLOMETSONA 50MCG 7896672202834 CLENIL HFA CHIESI ESPAÇ JET X 200 DOSES 50 MCG/DOSE SOL AER CT TB AL + DISPOSITIVO ORAL X ASMA DIPROPIONATO DE BECLOMETSONA 50MCG 7896672202810 CLENIL HFA CHIESI 200 DOSES 50 MCG/DOSE SOL AER CT TB AL + ESPAÇ JET X 200 ASMA DIPROPIONATO DE BECLOMETSONA 50MCG 7896672202827 CLENIL HFA CHIESI DOSES ASMA SULFATO DE SALBUTAMOL 100MCG 7896112147640 AERODINI TEUTO 100 MCG/DOSE SPRAY ERA X 200 100 MCG/JATO DOSE SOL PROP AER CT TB AL X 200 ASMA SULFATO DE SALBUTAMOL 100MCG 7898014561333 AEROFRIN PHARMASCIENCE JATOS ASMA SULFATO DE SALBUTAMOL 100MCG 7897473201071 AEROGOLD GLENMARK 100 MCG LATA C/ 200 DOSES ASMA SULFATO DE SALBUTAMOL 100MCG 7896672202445 AEROJET CHIESI 100 MCG / DOSE SOL AER CT TB AL X 15 G 100 MCG / DOSE SOL AER CT TB AL X 15 G + ASMA SULFATO DE SALBUTAMOL 100MCG 7896672201912 AEROJET CHIESI ESPACADOR JET ASMA SULFATO DE SALBUTAMOL 100MCG 7896269900150 AEROLIN GLAXOSMITHKLINE 100 MCG/DOSE SPRAY 200 DOSES (134A) 100 MCG/DOSE ERA CT FR AL 200 DOSES C/ ASMA SULFATO DE SALBUTAMOL 100MCG 7896181901198 TEODEN BIOSINTETICA AEROCAMERA ASMA SULFATO DE SALBUTAMOL 5MG 7896269900068 AEROLIN GLAXOSMITHKLINE SOLUÇÃO PARA NEBULIZAÇÃO 10ML DIABETES CLORIDRATO DE METFORMINA 500MG 7898361881566 CLORIDRATO DE METFORMINA AUROBINDO PHARMA 500 MG COM REV CT BL AL PLAS INC X 30 DIABETES CLORIDRATO DE METFORMINA 500MG 7898361881573 CLORIDRATO DE METFORMINA AUROBINDO PHARMA 500 MG COM REV CT BL AL PLAS INC X 60 DIABETES CLORIDRATO DE METFORMINA 500MG 7896181904922 CLORIDRATO DE METFORMINA BIOSINTETICA 500 MG COM REV CT 2 BL AL PLAS INC X 15 DIABETES CLORIDRATO DE METFORMINA 500MG 7896181908944 CLORIDRATO DE METFORMINA BIOSINTETICA 500 MG COM REV CT BL AL PLAS INC X 60 DIABETES CLORIDRATO DE METFORMINA 500MG 7898095341749 CLORIDRATO DE METFORMINA BRAINFARMA 500 MG COM REV CT BL AL PLAS INC X 30 DIABETES CLORIDRATO DE METFORMINA 500MG 7898095341732 CLORIDRATO DE METFORMINA BRAINFARMA 500mg cx 30 comp DIABETES CLORIDRATO DE METFORMINA 500MG 7899106000297 CLORIDRATO DE METFORMINA BRITON 500 MG COM REV CT 1 BL AL PLAS INC X 10 DIABETES CLORIDRATO DE METFORMINA 500MG 7899106000303 CLORIDRATO DE METFORMINA BRITON 500 MG COM REV CT 3 BL AL PLAS INC X 10 DIABETES CLORIDRATO DE METFORMINA 500MG 7896004712888 CLORIDRATO DE METFORMINA EMS 500 MG COM REV CT BL AL PLAS INC X 60 DIABETES CLORIDRATO DE METFORMINA 500MG 7896004719900 CLORIDRATO DE METFORMINA EMS 500 MG COM REV CT BL AL PLAS LEIT X 90 (EMB FRAC) DIABETES CLORIDRATO DE METFORMINA 500MG 7896004709192 CLORIDRATO DE METFORMINA EMS 500MG 3 BLT C/ 10 COMP DIABETES CLORIDRATO DE METFORMINA 500MG 7896004712840 CLORIDRATO DE METFORMINA GENERICOS GERMED 500 MG COM REV CT BL AL PLAS INC X 60 DIABETES CLORIDRATO DE METFORMINA 500MG 7896004709222 CLORIDRATO DE METFORMINA GENERICOS GERMED 500MG 3BLT C/10COMP DIABETES CLORIDRATO DE METFORMINA 500MG 7899100400239 CLORIDRATO DE METFORMINA IPCA 500 MG COM REV CT 1 BL AL PLAS INC X 10 DIABETES CLORIDRATO DE METFORMINA 500MG 7899100400246 CLORIDRATO DE METFORMINA IPCA 500 MG COM REV CT 3 BL AL PLAS INC X 10 DIABETES CLORIDRATO DE METFORMINA 500MG 7896422507943 CLORIDRATO DE METFORMINA MEDLEY 500 MG COM REV CT 3 BL AL PLAS INC X 10
  • 4.
    ELENCO OFICIAL DOSMEDICAMENTOS DISPONIBILIZADOS PELO PROGRAMA AQUI TEM FARMÁCIA POPULAR - SISTEMA DE COPAGAMENTO PATOLOGIA PRINCÍPIO ATIVO CÓDIGO DE BARRA PRODUTO LABORATÓRIO APRESENTAÇÃO DIABETES CLORIDRATO DE METFORMINA 500MG 7896422508056 CLORIDRATO DE METFORMINA MEDLEY 500 MG COM REV CT 6 BL AL PLAS INC X 10 (EMB HOSP) DIABETES CLORIDRATO DE METFORMINA 500MG 7896422508377 CLORIDRATO DE METFORMINA MEDLEY 500 MG COM REV CT 9 BL AL PLAS INC X 10 (EMB HOSP) DIABETES CLORIDRATO DE METFORMINA 500MG 7895296249027 CLORIDRATO DE METFORMINA MEPHA-RATIOPHARM 500 MG COM REV CT 3 BL AL PLAS INC X 10 DIABETES CLORIDRATO DE METFORMINA 500MG 7895296249058 CLORIDRATO DE METFORMINA MEPHA-RATIOPHARM 500 MG COM REV CT BL AL PLAS INC X 10 DIABETES CLORIDRATO DE METFORMINA 500MG 7891721238239 CLORIDRATO DE METFORMINA MERCK 500 MG COM REV CT 4 BL AL PLAS INC X 15 DIABETES CLORIDRATO DE METFORMINA 500MG 7891721238123 CLORIDRATO DE METFORMINA MERCK 500 MG COM REV CT CART 3 BL AL PLAS INC X 10 DIABETES CLORIDRATO DE METFORMINA 500MG 7897759001432 CLORIDRATO DE METFORMINA NOVO NORDISK 500 MG COMP REV CT 3 BL AL PLAS INC X 10 DIABETES CLORIDRATO DE METFORMINA 500MG 7897076912565 CLORIDRATO DE METFORMINA RANBAXY 500 MG COM REV CT BL AL PLAS INC X 60 DIABETES CLORIDRATO DE METFORMINA 500MG 7897076909848 CLORIDRATO DE METFORMINA RANBAXY 500 MG COMP REV C/5 BL X 6 DIABETES CLORIDRATO DE METFORMINA 500MG 7897595604378 CLORIDRATO DE METFORMINA SANDOZ 500MG COM REV CT 2 BL AL PLAS INC X 15 DIABETES CLORIDRATO DE METFORMINA 500MG 7891058004743 CLORIDRATO DE METFORMINA SANOFI-AVENTIS 500 MG COM REV CT BL AL PLAS INC X 30 DIABETES CLORIDRATO DE METFORMINA 500MG 7891058004750 CLORIDRATO DE METFORMINA SANOFI-AVENTIS 500 MG COM REV CT BL AL PLAS INC X 60 (EMB HOSP) DIABETES CLORIDRATO DE METFORMINA 500MG 7894916140942 CLORIDRATO DE METFORMINA SIGMA PHARMA 500MG 3 BLT C/ 10 COMP DIABETES CLORIDRATO DE METFORMINA 500MG 7896112126478 CLORIDRATO DE METFORMINA TEUTO 500 MG COM CT BL AL PLAS INC X 30 DIABETES CLORIDRATO DE METFORMINA 500MG 7898040321413 DIMEFOR FARMOQUIMICA 500 MG COM REV CT FR PLAS INC X 30 DIABETES CLORIDRATO DE METFORMINA 500MG 7895858005023 FORMET CELLOFARM 500 MG COM REV CT BL AL PLAS INC X 20 DIABETES CLORIDRATO DE METFORMINA 500MG 7895858000899 FORMET CELLOFARM 500 MG COMP. VER. CX. 30 DIABETES CLORIDRATO DE METFORMINA 500MG 7896472502394 FORMYN MULTILAB 500 MG COM REV CX 3 BL AL PLAS INC X 10 DIABETES CLORIDRATO DE METFORMINA 500MG 7891721000614 GLIFAGE MERCK 500 MG COM REV EST CART 3 BL AL PLAS INC X 10 DIABETES CLORIDRATO DE METFORMINA 500MG 7891721024009 GLIFAGE XR MERCK 500 MG COM AP CT BL AL PLAS INC X 30 DIABETES CLORIDRATO DE METFORMINA 500MG 7891721013218 GLIFAGE XR MERCK 500MG COM AP EST CART BL AL PLAS INC X 30 DIABETES CLORIDRATO DE METFORMINA 500MG 7897759000251 GLUCOFORMIN NOVO NORDISK 500 MG COMP REV CT 3 BL AL PLAS INC X 10 DIABETES CLORIDRATO DE METFORMINA 500MG 7897655041204 MEGUANIN UCI-FARMA 500 MG COM C/30 DIABETES CLORIDRATO DE METFORMINA 500MG 7898099381031 METFORDIN BIOFARMA 500 MG COMP 3BLX10 DIABETES CLORIDRATO DE METFORMINA 500MG 7898100242405 METFORM BRASTERAPICA 500 MG COM REV CT 3 BL AL PLAS INC X 10 DIABETES CLORIDRATO DE METFORMINA 500MG 7896523206486 METFORMED CIMED 500 MG CT 2 BL X 15 DIABETES CLORIDRATO DE METFORMINA 500MG 7896261012974 METFORMIX NOVARTIS 500 MG COM REV CT 8 BL AL PVC X 6 DIABETES CLORIDRATO DE METFORMINA 500MG 7896261016996 METFORMIX NOVARTIS 500 MG COM REV CT BL AL PVC X 12 DIABETES CLORIDRATO DE METFORMINA 500MG 7896261015753 METFORMIX NOVARTIS 500 MG COM REV CT BL AL PVC X 24 DIABETES CLORIDRATO DE METFORMINA 500MG 8902220107748 METTA SR TORRENT DO BRASIL 500 MG COM LIB PROL CT BL AL/AL X 10 DIABETES CLORIDRATO DE METFORMINA 500MG 8902220107304 METTA SR TORRENT DO BRASIL 500 MG COM LIB PROL CT BL AL/AL X 30 DIABETES CLORIDRATO DE METFORMINA 500MG 7896112133612 TEUTOFORMIN TEUTO 500 MG COM CT BL AL PLAS INC X 30 DIABETES CLORIDRATO DE METFORMINA 500MG 7898060138633 TRIFORMIN GLOBO 500 MG COM CT 3 BL AL PLAS INC X 10 DIABETES CLORIDRATO DE METFORMINA 850MG 7898902274123 CLORIDRATO DE METFORMINA ACCORD 850 MG COM REV CT BL AL PVC INC X 15 850 MG COM REV CT BL AL PVC INC X 30 DIABETES CLORIDRATO DE METFORMINA 850MG 7898902274031 CLORIDRATO DE METFORMINA ACCORD DIABETES CLORIDRATO DE METFORMINA 850MG 7898361881580 CLORIDRATO DE METFORMINA AUROBINDO PHARMA 850 MG COM REV CT BL AL PLAS INC X 30 DIABETES CLORIDRATO DE METFORMINA 850MG 7898361881597 CLORIDRATO DE METFORMINA AUROBINDO PHARMA 850 MG COM REV CT BL AL PLAS INC X 60 DIABETES CLORIDRATO DE METFORMINA 850MG 7896181901402 CLORIDRATO DE METFORMINA BIOSINTETICA 850 MG COM REV CT 3 BL AL PLAS INC X 10 DIABETES CLORIDRATO DE METFORMINA 850MG 7896181908968 CLORIDRATO DE METFORMINA BIOSINTETICA 850 MG COM REV CT BL AL PLS INC X 60 DIABETES CLORIDRATO DE METFORMINA 850MG 7898095341794 CLORIDRATO DE METFORMINA BRAINFARMA 850 MG COM REV CT BL AL PLAS INC X 30 DIABETES CLORIDRATO DE METFORMINA 850MG 7899106000334 CLORIDRATO DE METFORMINA BRITON 850 MG COM REV CT 1 BL AL PLAS INC X 10 DIABETES CLORIDRATO DE METFORMINA 850MG 7899106000341 CLORIDRATO DE METFORMINA BRITON 850 MG COM REV CT 3 BL AL PLAS INC X 10 DIABETES CLORIDRATO DE METFORMINA 850MG 7893353613613 CLORIDRATO DE METFORMINA BUNKER 850 MG COM REV CT BL AL PLAS INC X 30
  • 5.
    ELENCO OFICIAL DOSMEDICAMENTOS DISPONIBILIZADOS PELO PROGRAMA AQUI TEM FARMÁCIA POPULAR - SISTEMA DE COPAGAMENTO PATOLOGIA PRINCÍPIO ATIVO CÓDIGO DE BARRA PRODUTO LABORATÓRIO APRESENTAÇÃO DIABETES CLORIDRATO DE METFORMINA 850MG 7896523210001 CLORIDRATO DE METFORMINA CIMED 850 MG COM CT BL AL PLAS INC X 30 DIABETES CLORIDRATO DE METFORMINA 850MG 7896004709185 CLORIDRATO DE METFORMINA EMS 850 MG COM REV CT BL AL PLAS INC X 30 DIABETES CLORIDRATO DE METFORMINA 850MG 7896004712895 CLORIDRATO DE METFORMINA EMS 850 MG COM REV CT BL AL PLAS INC X 60 DIABETES CLORIDRATO DE METFORMINA 850MG 7896004719917 CLORIDRATO DE METFORMINA EMS 850 MG COM REV CT BL AL PLAS LEIT X 90 (EMB FRAC) DIABETES CLORIDRATO DE METFORMINA 850MG 7896004712864 CLORIDRATO DE METFORMINA GENERICOS GERMED 850 MG COM REV CT BL AL PLAS INC X 60 DIABETES CLORIDRATO DE METFORMINA 850MG 7896004709215 CLORIDRATO DE METFORMINA GENERICOS GERMED 850MG 3BLT C/10COMP DIABETES CLORIDRATO DE METFORMINA 850MG 7899100400277 CLORIDRATO DE METFORMINA IPCA 850 MG COM REV CT 1 BL AL PLAS INC X 10 DIABETES CLORIDRATO DE METFORMINA 850MG 7899100400284 CLORIDRATO DE METFORMINA IPCA 850 MG COM REV CT 3 BL AL PLAS INC X 10 DIABETES CLORIDRATO DE METFORMINA 850MG 7896422507950 CLORIDRATO DE METFORMINA MEDLEY 850 MG COM REV CT 3 BL AL PLAS INC X 10 DIABETES CLORIDRATO DE METFORMINA 850MG 7896422508063 CLORIDRATO DE METFORMINA MEDLEY 850 MG COM REV CT 6 BL AL PLAS INC X 10 (EMB HOSP) DIABETES CLORIDRATO DE METFORMINA 850MG 7895296249041 CLORIDRATO DE METFORMINA MEPHA-RATIOPHARM 850 MG COM REV CT 3 BL AL PLAS INC X 10 DIABETES CLORIDRATO DE METFORMINA 850MG 7891721238109 CLORIDRATO DE METFORMINA MERCK 850 MG COM REV CT 3 BL AL PLAS INC X 10 DIABETES CLORIDRATO DE METFORMINA 850MG 7891721238246 CLORIDRATO DE METFORMINA MERCK 850 MG COM REV CT 6 BL AL PLAS INC X 10 DIABETES CLORIDRATO DE METFORMINA 850MG 7897759001449 CLORIDRATO DE METFORMINA NOVO NORDISK 850 MG COMP REV CT 3 BL AL PLAS INC X 10 DIABETES CLORIDRATO DE METFORMINA 850MG 7898148291298 CLORIDRATO DE METFORMINA PRATI, DONADUZZI 850 MG COM VER CT BL AL PLAS INC X30 DIABETES CLORIDRATO DE METFORMINA 850MG 7897076912572 CLORIDRATO DE METFORMINA RANBAXY 850 MG COM REV CT BL AL PLAS INC X 60 DIABETES CLORIDRATO DE METFORMINA 850MG 7897076909855 CLORIDRATO DE METFORMINA RANBAXY 850 MG COMP REV C/5 BL X 6 DIABETES CLORIDRATO DE METFORMINA 850MG 7897595604385 CLORIDRATO DE METFORMINA SANDOZ 850MG COM REV CT 3 BL AL PLAS INC X 10 DIABETES CLORIDRATO DE METFORMINA 850MG 7894916140935 CLORIDRATO DE METFORMINA SIGMA PHARMA 850 MG 3 BLT C/ 10 COMP DIABETES CLORIDRATO DE METFORMINA 850MG 7896112126485 CLORIDRATO DE METFORMINA TEUTO 850 MG COM CT BL AL PLAS INC X 30 DIABETES CLORIDRATO DE METFORMINA 850MG 7896112126492 CLORIDRATO DE METFORMINA TEUTO 850 MG COM CT BL AL PLAS INC X 50 (EMB HOSP) DIABETES CLORIDRATO DE METFORMINA 850MG 7896112128670 CLORIDRATO DE METFORMINA TEUTO 850 MG COM CT BL AL PLAS INC X 60 DIABETES CLORIDRATO DE METFORMINA 850MG 7896006230663 DIAFORMIN UNIAO QUIMICA COM CT BL AL PLAS INC X 30 DIABETES CLORIDRATO DE METFORMINA 850MG 7898040320713 DIMEFOR FARMOQUIMICA 850MG C/30 COMP DIABETES CLORIDRATO DE METFORMINA 850MG 7895858005030 FORMET CELLOFARM 850 MG COM REV CT BL AL PLAS INC X 20 DIABETES CLORIDRATO DE METFORMINA 850MG 7895858000936 FORMET CELLOFARM 850 MG COMP. VER. CX. 30 DIABETES CLORIDRATO DE METFORMINA 850MG 7896472502387 FORMYN MULTILAB 850 MG COM REV CX 3 BL AL PLAS INC X 10 DIABETES CLORIDRATO DE METFORMINA 850MG 7899095201484 GLICEFOR GEOLAB 850 MG COM CT 03 BL X 10 DIABETES CLORIDRATO DE METFORMINA 850MG 7898049798223 GLICOMET VITAPAN 850 MG C/3 BL C/10 COMP DIABETES CLORIDRATO DE METFORMINA 850MG 7891721000744 GLIFAGE MERCK 850 MG COM REV EST 3 BL AL PLAS INC X 10 DIABETES CLORIDRATO DE METFORMINA 850MG 7898216362158 GLIFORMIL PHARLAB 850 MG COM REV CT BL PLAS INC X 30 DIABETES CLORIDRATO DE METFORMINA 850MG 7897759001418 GLUCOFORMIN NOVO NORDISK 850 MG COMP REV CT 3 BL AL PLAS INC X 10 DIABETES CLORIDRATO DE METFORMINA 850MG 7897759000268 GLUCOFORMIN NOVO NORDISK 850 MG COMP REV CT 3 BL AL PLAS INC X 10 DIABETES CLORIDRATO DE METFORMINA 850MG 7898123903178 HIPOFORMIN HIPOLABOR 850 MG COM REV CT 3 BL AL PLAS INC X 10 DIABETES CLORIDRATO DE METFORMINA 850MG 7897655041228 MEGUANIN UCI-FARMA 850 MG COM C/30 DIABETES CLORIDRATO DE METFORMINA 850MG 7898099381048 METFORDIN BIOFARMA 850 MG COMP 3BLX10 DIABETES CLORIDRATO DE METFORMINA 850MG 7898100241903 METFORM BRASTERAPICA 850MG COM VER CT 3 BL AL PLAS INC X 10 DIABETES CLORIDRATO DE METFORMINA 850MG 7896523206493 METFORMED CIMED 850MG COM VER CT 2 BL AL PLAS INC X 15 DIABETES CLORIDRATO DE METFORMINA 850MG 7896261012981 METFORMIX NOVARTIS 850 MG COM REV CT 8 BL AL PVC X 6 DIABETES CLORIDRATO DE METFORMINA 850MG 7896261017009 METFORMIX NOVARTIS 850 MG COM REV CT BL AL PVC X 12 DIABETES CLORIDRATO DE METFORMINA 850MG 7896261015760 METFORMIX NOVARTIS 850 MG COM REV CT BL AL PVC X 24 DIABETES CLORIDRATO DE METFORMINA 850MG 7896714200224 NEO METFORMIN NEO QUIMICA COMP 850MG (CX C/3 BL C/10) DIABETES CLORIDRATO DE METFORMINA 850MG 7896112145554 TEUTOFORMIN TEUTO COMP 850MG CX C/30 DIABETES CLORIDRATO DE METFORMINA 850MG 7898060131115 TRIFORMIN GLOBO 850 MG COM CT 3 BL AL PLAS INC X 10 DIABETES GLIBENCLAMIDA 5MG 7898109240105 AGLUCIL ELOFAR CX C/5X6
  • 6.
    ELENCO OFICIAL DOSMEDICAMENTOS DISPONIBILIZADOS PELO PROGRAMA AQUI TEM FARMÁCIA POPULAR - SISTEMA DE COPAGAMENTO PATOLOGIA PRINCÍPIO ATIVO CÓDIGO DE BARRA PRODUTO LABORATÓRIO APRESENTAÇÃO DIABETES GLIBENCLAMIDA 5MG 7893736014723 BENCLAMIN CAZI 5 MG COMP CT ENV KRAFT POLIET X 20 DIABETES GLIBENCLAMIDA 5MG 7896112143611 CLAMIBEN TEUTO COMP 5MG CX C/30 DIABETES GLIBENCLAMIDA 5MG 7891058212070 DAONIL SANOFI-AVENTIS 5 MG COM CT 1 BL AL PLAS INC X 30 DIABETES GLIBENCLAMIDA 5MG 7892885200124 DIABEN KINDER 5,0MG/COMP CX C/1 BL C/30 DIABETES GLIBENCLAMIDA 5MG 7898075310376 DIABETTY'S NECKERMAN 5MG CX C/ 30 COMP DIABETES GLIBENCLAMIDA 5MG 7898146820094 DIABEXIL ARROW 5MG COMP CX C/2 BLX15 DIABETES GLIBENCLAMIDA 5MG 7897076905468 DIABINIL (APEX) HERALD'S 5 MG COMP. CX C/ 30 DIABETES GLIBENCLAMIDA 5MG 7896226502625 EUGLUCON ROCHE 5MG 30 COMP DIABETES GLIBENCLAMIDA 5MG 7898035310194 GLIBEMIDA PERFLORA 5MG C/ 30 COMP DIABETES GLIBENCLAMIDA 5MG 7896676404999 GLIBEN CRISTALIA 5MG-20 BLIST. 10CPS. DIABETES GLIBENCLAMIDA 5MG 7896181905509 GLIBENCLAMIDA BIOSINTETICA 5 MG COM CT 2 BL AL PLAS INC X 15 DIABETES GLIBENCLAMIDA 5MG 7896004706467 GLIBENCLAMIDA EMS 5 MG COM CT BL AL PLAS INC X 60 DIABETES GLIBENCLAMIDA 5MG 7896004706474 GLIBENCLAMIDA EMS 5MG 2 BLT C/ 15 COMP DIABETES GLIBENCLAMIDA 5MG 7896004707945 GLIBENCLAMIDA GENERICOS GERMED 5MG COM CT BL AL PLAS INC X 30 DIABETES GLIBENCLAMIDA 5MG 7895296272018 GLIBENCLAMIDA MEPHA-RATIOPHARM 5 MG COM CT BL AL PLAS INC X 30 DIABETES GLIBENCLAMIDA 5MG 7896714217093 GLIBENCLAMIDA NEO QUIMICA 5 MG COM CT BL AL PLAS INC X 30 DIABETES GLIBENCLAMIDA 5MG 7898148297269 GLIBENCLAMIDA PRATI, DONADUZZI 5 MG COM CT BL AL PLAS INC X 30 DIABETES GLIBENCLAMIDA 5MG 7897076909626 GLIBENCLAMIDA RANBAXY 5MG COMP C/ 3 BL X 10 DIABETES GLIBENCLAMIDA 5MG 7891058002510 GLIBENCLAMIDA SANOFI-AVENTIS 5 MG COM CT BL AL PLAS INC X 30 DIABETES GLIBENCLAMIDA 5MG 7891058002527 GLIBENCLAMIDA SANOFI-AVENTIS 5 MG COM CT BL AL PLAS INC X 60 (EMB HOSP) DIABETES GLIBENCLAMIDA 5MG 7894916141024 GLIBENCLAMIDA SIGMA PHARMA 5 MG COM CT BL AL PLAS INC X 30 DIABETES GLIBENCLAMIDA 5MG 7898910350055 GLIBENCLAMIDA ZYDUS 5 MG COM CT BL AL PVC X 30 DIABETES GLIBENCLAMIDA 5MG 7896137112197 GLIBENCLAMON SANVAL 5 MG COMP CT 03 BL ALP PLAS INC X 10 DIABETES GLIBENCLAMIDA 5MG 7894916503372 GLIBENDIAB SIGMA PHARMA 5 MG COM CT BL AL PVDC BCO LEIT X 30 DIABETES GLIBENCLAMIDA 5MG 7898078942208 GLIBEXIL ROYTON 5 MG - CX. C/ 30 COMP DIABETES GLIBENCLAMIDA 5MG 7898060138497 GLICAMIDA GLOBO 5MG COMP BL CX C/30 DIABETES GLIBENCLAMIDA 5MG 7899095201781 GLICAMIN GEOLAB 5 MG COM CT 02 BL X 15 DIABETES GLIBENCLAMIDA 5MG 7898256080081 GLICOCONTROL UNIFARMA 5MG COM CT 3 BL AL PLAS INC X 10 DIABETES GLIBENCLAMIDA 5MG 7896862910556 GLICONIL MEDQUIMICA CX. C/ 30 COMP. DIABETES GLIBENCLAMIDA 5MG 7898103650696 GLIMIL 5MG MILIAN CAIXA COM 20CPDS DIABETES GLIBENCLAMIDA 5MG 7896714200071 GLIONIL NEO QUIMICA CP 5MG (CX C/1 BL C/30) DIABETES GLIBENCLAMIDA 5MG 7896622302836 GLUCOSIL LUPER 5 MG CX C/ 3 BL X 10 DIABETES GLIBENCLAMIDA 5MG 7897322700632 LISAGLUCON FARMASA 5 MG COMP CT BL AL PLAST INC X 20 DIABETES GLIBENCLAMIDA 5MG 7897917001069 NILCLAMIDA BELFAR CXS. C/30 COMP. DIABETES GLIBENCLAMIDA 5MG 7898371171022 REDUXGEN GENOMA 5 MG COM CT 01 BL AL PLAS INC X 30 DIABETES GLIBENCLAMIDA 5MG 7896006256304 UNI GLIBEN UNIAO QUIMICA COM CT STR X 20 DIABETES INSULINA HUMANA NPH 100UI 7896382700583 HUMULIN ELI LILLY HUMULIN N - 1 FRASCO-AMPOLA 10 ML DIABETES INSULINA HUMANA NPH 100UI 7896382703317 HUMULIN ELI LILLY HUMULIN N - 2 CARPULES COM 3,0ML DIABETES INSULINA HUMANA NPH 100UI 7898149935634 INSUGEN N BERGAMO 100 UI/ML SUS INJ CT 5 CARP VD INC X 3 ML DIABETES INSULINA HUMANA NPH 100UI 7898149935665 INSUGEN N BERGAMO 100 UI/ML SUS INJ CT 5 FA VD INC X 10 ML DIABETES INSULINA HUMANA NPH 100UI 7898149935627 INSUGEN N BERGAMO 100 UI/ML SUS INJ CT CARP VD INC X 3 ML DIABETES INSULINA HUMANA NPH 100UI 7898149935658 INSUGEN N BERGAMO 100 UI/ML SUS INJ CT FA VD INC X 10 ML DIABETES INSULINA HUMANA NPH 100UI 7897759000091 INSULINA HUMANA BIOHULIN NPH NOVO NORDISK 100 UI SUSP INJ CX/1 FR 10 ML DIABETES INSULINA HUMANA NPH 100UI 7891058009120 INSUMAN N SANOFI-AVENTIS 100 UI/ML SUS INJ CT 1 FA VD INC X 5 ML DIABETES INSULINA HUMANA NPH 100UI 7891058009168 INSUMAN N SANOFI-AVENTIS 100 UI/ML SUS INJ CT 5 CARP VD INC X 3 ML
  • 7.
    ELENCO OFICIAL DOSMEDICAMENTOS DISPONIBILIZADOS PELO PROGRAMA AQUI TEM FARMÁCIA POPULAR - SISTEMA DE COPAGAMENTO PATOLOGIA PRINCÍPIO ATIVO CÓDIGO DE BARRA PRODUTO LABORATÓRIO APRESENTAÇÃO DIABETES INSULINA HUMANA NPH 100UI 7891058016432 INSUMAN N OPTISET SANOFI-AVENTIS 100 UI/ML SUS INJ CT 5 CARP VD INC X 3 ML + 5 SIST DIABETES INSULINA HUMANA NPH 100UI 7896714215587 INSUNEO N NEO QUIMICA 100 UI/ML SUSP INJ CT FR AMP INC X 10 ML DIABETES INSULINA HUMANA NPH 100UI 7895858005436 INSUNORM N CELLOFARM 100 UI/ML SUS INJ CT FA VD INC X 10 ML DIABETES INSULINA HUMANA NPH 100UI 7897705200308 NOVOLIN NOVO NORDISK 100 UI/ML SUSP INJ CX FR VD X 10 ML DIABETES INSULINA HUMANA NPH 100UI 7897705200087 NOVOLIN NOVO NORDISK N 100 UI/ML SUSP INJ CX 1 FR AMP (100 UI 10ML) DIABETES INSULINA HUMANA NPH 100UI 7897705200322 NOVOLIN NOVO NORDISK N PENFILL 100 UI/ML SUSP INJ CX 5 REFIL FR VD X 3 DIABETES INSULINA HUMANA REGULAR 100UI 7896382700576 HUMULIN ELI LILLY HUMULIN R - 1 FRASCO-AMPOLA 10 ML DIABETES INSULINA HUMANA REGULAR 100UI 7896382702495 HUMULIN ELI LILLY HUMULIN R - 1 CARPULE COM 3,0ML DIABETES INSULINA HUMANA REGULAR 100UI 7896382703300 HUMULIN ELI LILLY HUMULIN R - 2 CARPULES COM 3,0ML INSULINA HUMANA BIOHULIN DIABETES INSULINA HUMANA REGULAR 100UI 7897759000084 NOVO NORDISK 100 UI SOL INJ CX/1 FR 10 ML REGULAR INSULINA HUMANA BIOHULIN DIABETES INSULINA HUMANA REGULAR 100UI 7897759000374 NOVO NORDISK 100 UI SOL INJ CX/3 CARPULES/3,0 ML REGULAR INSULINA HUMANA BIOHULIN DIABETES INSULINA HUMANA REGULAR 100UI 7897759000213 NOVO NORDISK 100 UI SOL INJ CX/5 CARPULES/1,5 ML REGULAR DIABETES INSULINA HUMANA REGULAR 100UI 7891058009151 INSUMAN R SANOFI-AVENTIS 100 UI/ML SOL INJ CT 5 CARP VD INC X 3 ML DIABETES INSULINA HUMANA REGULAR 100UI 7891058009113 INSUMAN R SANOFI-AVENTIS 100 UI/ML SOL INJ CT FA VD INC X 5 ML DIABETES INSULINA HUMANA REGULAR 100UI 7891058016463 INSUMAN R OPTISET SANOFI-AVENTIS 100 UI/ML SOL INJ CT 5 CARP VD INC X 3 ML + 5 SIST DIABETES INSULINA HUMANA REGULAR 100UI 7895858005412 INSUNORM R CELLOFARM 100 UI/ML SUS INJ CT FA VD INC X 10 ML DIABETES INSULINA HUMANA REGULAR 100UI 7897705200070 NOVOLIN NOVO NORDISK R 100 UI/ML SOL INJ CX 1 FR AMP (100 UI 10ML) DIABETES INSULINA HUMANA REGULAR 100UI 7897705200315 NOVOLIN NOVO NORDISK R PENFILL 100 UI/ML SOL INJ CX 5 REFIL FR VD X 3 ML DIABETES INSULINA HUMANA REGULAR 100UI 7895197160131 WOSULIN R MEIZLER 100 UI/ML SOL INJ CX 5 CARP VD INC X 3 ML DIABETES INSULINA HUMANA REGULAR 100UI 7895197160100 WOSULIN R MEIZLER 100 UI/ML SOL INJ CX CARP VD INC X 3 ML DIABETES INSULINA HUMANA REGULAR 100UI 7895197160032 WOSULIN R MEIZLER 100 UI/ML SOL INJ CX FA VD INC X 10 ML DIABETES INSULINA HUMANA REGULAR 100UI 7895197160025 WOSULIN R MEIZLER 100 UI/ML SOL INJ CX FA VD INC X 5 ML DIABETES INSULINA HUMANA REGULAR 100UI 7895197160018 WOSULIN R MEIZLER 100UI/ML SUS INJ CX FA VD INC X 3ML DISLIPIDEMIA SINVASTATINA 10MG 7896112145462 ANDROLIP TEUTO 10 MG COMP REV CX C/10 DISLIPIDEMIA SINVASTATINA 10MG 7896112145486 ANDROLIP TEUTO 10 MG COMP REV CX C/30 DISLIPIDEMIA SINVASTATINA 10MG 7891721003042 CLINFAR MERCK 10 MG COM REV CT CART 3 BL AL PLAS INC X 10 DISLIPIDEMIA SINVASTATINA 10MG 7891721003059 CLINFAR MERCK 10 MG COM REV CT CART BL AL PLAS INC X 10 DISLIPIDEMIA SINVASTATINA 10MG 7898096577284 CORDIRON DIFFUCAP-CHEMOBRAS 10 MG COM REV CT 2 BL X 15 DISLIPIDEMIA SINVASTATINA 10MG 7898096577468 CORDIRON DIFFUCAP-CHEMOBRAS 10 MG COM REV CT BL AL PLAS INC X 06 DISLIPIDEMIA SINVASTATINA 10MG 7898371171572 GENOCARDIL GENOMA 10 MG COM REV CT 01 BL AL PLAS INC X 30 DISLIPIDEMIA SINVASTATINA 10MG 7896422509947 LIPOTEX MEDLEY 10 MG COM REV CT BL AL PVC/PVDC INC X 10 DISLIPIDEMIA SINVASTATINA 10MG 7896422509954 LIPOTEX MEDLEY 10 MG COM REV CT BL AL PVC/PVDC INC X 30 DISLIPIDEMIA SINVASTATINA 10MG 7896006228431 LIPTRAT UNIAO QUIMICA 10 MG COM REV CT BL AL PLAS INC X 30 DISLIPIDEMIA SINVASTATINA 10MG 7897322701141 LOVACOR FARMASA 10 MG COMP REV CT 2 BL AL PLAST INC X 15 DISLIPIDEMIA SINVASTATINA 10MG 7897322701110 LOVACOR FARMASA 10 MG COMP REV CT BL AL PLAST INC X 10 DISLIPIDEMIA SINVASTATINA 10MG 7896472502813 MENOCOL MULTILAB 10 MG COM REV CT 1 BL AL PLAS INC X 30 DISLIPIDEMIA SINVASTATINA 10MG 7898331960574 MEVILIP LABORIS 10 MG COMP REV CX 3 BL X 10 DISLIPIDEMIA SINVASTATINA 10MG 7896317901320 MIVALEN ATIVUS 10 MG CX COM 10 COMP REV DISLIPIDEMIA SINVASTATINA 10MG 7896317901337 MIVALEN ATIVUS 10 MG CX COM 30 COMP REV DISLIPIDEMIA SINVASTATINA 10MG 7896714203386 REVASTIN NEO QUIMICA 10 MG COM REV CT 3 BL AL PLAS AMB X 10 DISLIPIDEMIA SINVASTATINA 10MG 7894916206853 SINVALIP SIGMA PHARMA 10 MG COM REV CT BL AL PLAS LEIT X 30
  • 8.
    ELENCO OFICIAL DOSMEDICAMENTOS DISPONIBILIZADOS PELO PROGRAMA AQUI TEM FARMÁCIA POPULAR - SISTEMA DE COPAGAMENTO PATOLOGIA PRINCÍPIO ATIVO CÓDIGO DE BARRA PRODUTO LABORATÓRIO APRESENTAÇÃO DISLIPIDEMIA SINVASTATINA 10MG 7898100242276 SINVANE BRASTERAPICA 10 MG COM REV CT 3 BL AL PLAS INC X 10 DISLIPIDEMIA SINVASTATINA 10MG 7898100242269 SINVANE BRASTERAPICA 10 MG COM REV CT BL AL PLAS INC X 10 DISLIPIDEMIA SINVASTATINA 10MG 7897851250394 SINVASCOR BALDACCI 10 MG COMP. REV 3 BL X 10 DISLIPIDEMIA SINVASTATINA 10MG 7898060131566 SINVASMAX GLOBO 10 MG COM REV CT 3 BL AL PLAS INC X 10 DISLIPIDEMIA SINVASTATINA 10MG 7897595601766 SINVASTACOR SANDOZ 10 MG COM REV CT BL AL PLAS INC X 30 DISLIPIDEMIA SINVASTATINA 10MG 7896523206509 SINVASTAMED CIMED 10 MG COM REV BL AL PLAS INC X 30 DISLIPIDEMIA SINVASTATINA 10MG 7896181913016 SINVASTATINA BIOSINTETICA 10 MG COM REV CT BL AL PVC/PVDC X 30 DISLIPIDEMIA SINVASTATINA 10MG 7898095346935 SINVASTATINA BRAINFARMA 10 MG COM REV CT 1BL AL PLAS INC X 10 DISLIPIDEMIA SINVASTATINA 10MG 7898095346959 SINVASTATINA BRAINFARMA 10 MG COM REV CT 3BL AL PLAS INC X 10 DISLIPIDEMIA SINVASTATINA 10MG 7896676410143 SINVASTATINA CRISTALIA 10 MG COM REV CT BL AL PLAS INC X 10 DISLIPIDEMIA SINVASTATINA 10MG 7896676410150 SINVASTATINA CRISTALIA 10 MG COM REV CT BL AL PLAS INC X 30 DISLIPIDEMIA SINVASTATINA 10MG 7896004701943 SINVASTATINA EMS 10 MG 3 BL X 10 COMP DISLIPIDEMIA SINVASTATINA 10MG 7896004701950 SINVASTATINA EMS 10MG 1 BL X 10 COMP DISLIPIDEMIA SINVASTATINA 10MG 7898146821527 SINVASTATINA EUROFARMA 10 MG COM REV CT BL AL PLAS INC X 30 DISLIPIDEMIA SINVASTATINA 10MG 7896004711133 SINVASTATINA GENERICOS GERMED 10 MG COM REV CT BL AL PLAS OPC X 30 DISLIPIDEMIA SINVASTATINA 10MG 7894916141192 SINVASTATINA LEGRAND 10 MG COM REV CT BL AL PLAS OPC X 30 DISLIPIDEMIA SINVASTATINA 10MG 7896422507837 SINVASTATINA MEDLEY 10 MG COM REV CT BL AL PLAS INC X 30 DISLIPIDEMIA SINVASTATINA 10MG 7896422508599 SINVASTATINA MEDLEY 10 MG COM REVEST CT 2 BL AL PLAS INC X 10 DISLIPIDEMIA SINVASTATINA 10MG 7896422507820 SINVASTATINA MEDLEY 10 MG COM REVEST CT BL AL PLAS INC X 10 DISLIPIDEMIA SINVASTATINA 10MG 7895296244039 SINVASTATINA MEPHA-RATIOPHARM 10 MG COM REV CT 1 BL AL PLAS INC X 10 DISLIPIDEMIA SINVASTATINA 10MG 7895296244046 SINVASTATINA MEPHA-RATIOPHARM 10 MG COM REV CT 3 BL AL PLAS INC X 10 DISLIPIDEMIA SINVASTATINA 10MG 7896261007031 SINVASTATINA NOVARTIS 10 MG COM REV CT 3 BL AL PLAS INC X 10 DISLIPIDEMIA SINVASTATINA 10MG 7896261007024 SINVASTATINA NOVARTIS 10 MG COM REV CT BL AL PLAS INC X 10 DISLIPIDEMIA SINVASTATINA 10MG 7897076906915 SINVASTATINA RANBAXY 10 MG COMP C/1 BL X 10 DISLIPIDEMIA SINVASTATINA 10MG 7897076906953 SINVASTATINA RANBAXY 10 MG COMP C/3 BL X 10 DISLIPIDEMIA SINVASTATINA 10MG 7897595603296 SINVASTATINA SANDOZ 10 MG COM REV CT 3BL AL PLAS INC X 10 DISLIPIDEMIA SINVASTATINA 10MG 7897595604279 SINVASTATINA SANDOZ 10 MG COM REV CT BL AL PLAS INC X 10 DISLIPIDEMIA SINVASTATINA 10MG 7897595609816 SINVASTATINA SANDOZ 10 MG COM REV CT BL AL PLAS INC X 30 DISLIPIDEMIA SINVASTATINA 10MG 7898216360611 SINVASTIN PHARLAB 10 MG COM CT BL AL INC X 10 DISLIPIDEMIA SINVASTATINA 10MG 7898216360628 SINVASTIN PHARLAB 10 MG COM CT BL AL INC X 30 DISLIPIDEMIA SINVASTATINA 10MG 7896137112708 SINVASTON SANVAL 10 MG COM REV CT 3 BL AL PLAS INC X 10 DISLIPIDEMIA SINVASTATINA 10MG 7896137112692 SINVASTON SANVAL 10 MG COM REV CTT BL AL PLAS INC X 10 DISLIPIDEMIA SINVASTATINA 10MG 7896004702353 SINVATROX EMS 10MG 3 BL X 10 COMP DISLIPIDEMIA SINVASTATINA 10MG 7896004716053 SINVATROX EMS 10MG BL X 10 COMP DISLIPIDEMIA SINVASTATINA 10MG 7899095201064 SINVAX GEOLAB 10 MG COM CT 03 BL AL PLAS OPC X 10 DISLIPIDEMIA SINVASTATINA 10MG 7899095201057 SINVAX GEOLAB 10 MG COMP. CT 01 BL X 10 DISLIPIDEMIA SINVASTATINA 10MG 7898049797080 SIVASTIN VITAPAN 10 MG COM REV CT 3 BL AL PLAS AMB X 10 DISLIPIDEMIA SINVASTATINA 10MG 7898049797721 SIVASTIN VITAPAN 10 MG CX C/ 01 BL C/10 COMP REV DISLIPIDEMIA SINVASTATINA 10MG 7896241293737 VASLIP BIOLAB SANUS 10 MG COM REV CT 3 BL AL PLAS INC X 10 DISLIPIDEMIA SINVASTATINA 10MG 7898158692788 VASTATIL CIFARMA 10 MG CX COM 30 COMP DISLIPIDEMIA SINVASTATINA 10MG 7897337705332 ZOCOR MERCK SHARP 10 MG CX. 1 BL X 10 CPD DISLIPIDEMIA SINVASTATINA 10MG 7897337707169 ZOCOR MERCK SHARP 10 MG CX. 3 BL X 10 CPD DISLIPIDEMIA SINVASTATINA 20MG 7891721012884 CLINFAR MERCK 20 MG COM REV CT CART 3 BL AL PLAS INC X 10 DISLIPIDEMIA SINVASTATINA 20MG 7891721013119 CLINFAR MERCK 20 MG COM REV CT CART BL AL PLAS INC X 10 DISLIPIDEMIA SINVASTATINA 20MG 7898371171596 GENOCARDIL GENOMA 20 MG COM REV CT 01 BL AL PLAS INC X 30 DISLIPIDEMIA SINVASTATINA 20MG 7896422509978 LIPOTEX MEDLEY 20 MG COM REV CT BL AL PVC/PVDC INC X 10 DISLIPIDEMIA SINVASTATINA 20MG 7896422509985 LIPOTEX MEDLEY 20 MG COM REV CT BL X 30
  • 9.
    ELENCO OFICIAL DOSMEDICAMENTOS DISPONIBILIZADOS PELO PROGRAMA AQUI TEM FARMÁCIA POPULAR - SISTEMA DE COPAGAMENTO PATOLOGIA PRINCÍPIO ATIVO CÓDIGO DE BARRA PRODUTO LABORATÓRIO APRESENTAÇÃO DISLIPIDEMIA SINVASTATINA 20MG 7897322701257 LOVACOR FARMASA 20 MG COMP REV CT BL AL PLAST INC X 10 DISLIPIDEMIA SINVASTATINA 20MG 7896472502820 MENOCOL MULTILAB 20 MG COM REV CT 1 BL AL PLAS INC X 30 DISLIPIDEMIA SINVASTATINA 20MG 7898331961106 MEVILIP LABORIS 20 MG COM REV CT BL AL PLAS INC X 10 DISLIPIDEMIA SINVASTATINA 20MG 7898331960581 MEVILIP LABORIS 20 MG COMP REV CX 3 BL X 10 DISLIPIDEMIA SINVASTATINA 20MG 7894916206860 SINVALIP SIGMA PHARMA 20 MG 3BL X10 COMP REV DISLIPIDEMIA SINVASTATINA 20MG 7898100242290 SINVANE BRASTERAPICA 20 MG COM REV CT 3 BL AL PLAS INC X 10 DISLIPIDEMIA SINVASTATINA 20MG 7898100242283 SINVANE BRASTERAPICA 20 MG COM REV CT BL AL PLAS INC X 10 DISLIPIDEMIA SINVASTATINA 20MG 7897851250530 SINVASCOR BALDACCI 20 MG COMP. REV 3 BL X 10 DISLIPIDEMIA SINVASTATINA 20MG 7898060138114 SINVASMAX GLOBO 20 MG COM REV CT 3 BL AL PLAS INC X 10 DISLIPIDEMIA SINVASTATINA 20MG 7897595601773 SINVASTACOR SANDOZ 20 MG COM REV CT BL AL PLAS INC X 30 DISLIPIDEMIA SINVASTATINA 20MG 7896523206516 SINVASTAMED CIMED 20 MG COM REV BL AL PLAS INC X 10 DISLIPIDEMIA SINVASTATINA 20MG 7896523206660 SINVASTAMED CIMED 20 MG COM REV CT 02 BL AL PLAS INC X 15 DISLIPIDEMIA SINVASTATINA 20MG 7896181913061 SINVASTATINA BIOSINTETICA 20 MG COM REV CT BL AL PVC/PVDC X 30 DISLIPIDEMIA SINVASTATINA 20MG 7898095346997 SINVASTATINA BRAINFARMA 20 MG COM REV CT 3 BL AL PLAS INC X 10 DISLIPIDEMIA SINVASTATINA 20MG 7896676410167 SINVASTATINA CRISTALIA 20 MG COM REV CT BL AL PLAS INC X 30 DISLIPIDEMIA SINVASTATINA 20MG 7896004710761 SINVASTATINA EMS 20 MG COM REV CT BL AL PLAS OPC X 30 DISLIPIDEMIA SINVASTATINA 20MG 7898146821381 SINVASTATINA EUROFARMA 20 MG COM REV CT BL ALPLAS INC X 30 DISLIPIDEMIA SINVASTATINA 20MG 7896004710792 SINVASTATINA GENERICOS GERMED 20 MG COM REV CT BL AL PLAS OPC X 30 DISLIPIDEMIA SINVASTATINA 20MG 7894916140812 SINVASTATINA LEGRAND 20 MG COM REV CT BL AL PLAS OPC X 30 DISLIPIDEMIA SINVASTATINA 20MG 7896422508629 SINVASTATINA MEDLEY 20 MG COM REVEST CT 2 BL AL PLAS INC X 10 DISLIPIDEMIA SINVASTATINA 20MG 7896422507844 SINVASTATINA MEDLEY 20 MG COM REVEST CT 3 BL AL PLAS INC X 10 DISLIPIDEMIA SINVASTATINA 20MG 7896422508612 SINVASTATINA MEDLEY 20 MG COM REVEST CT BL AL PLAS INC X 10 DISLIPIDEMIA SINVASTATINA 20MG 7895296244053 SINVASTATINA MEPHA-RATIOPHARM 20 MG 1 BL X 10 COMP DISLIPIDEMIA SINVASTATINA 20MG 7895296244060 SINVASTATINA MEPHA-RATIOPHARM 20 MG 3 BL X 10 COMP DISLIPIDEMIA SINVASTATINA 20MG 7896261007055 SINVASTATINA NOVARTIS 20 MG COM REV CT 3 BL AL PLAS INC X 10 DISLIPIDEMIA SINVASTATINA 20MG 7896261007048 SINVASTATINA NOVARTIS 20 MG COM REV CT BL AL PLAS INC X 10 DISLIPIDEMIA SINVASTATINA 20MG 7897076906960 SINVASTATINA RANBAXY 20 MG COMP C/3 BL X 10 DISLIPIDEMIA SINVASTATINA 20MG 7897595603319 SINVASTATINA SANDOZ 20 MG COM REV CT 3 BL AL PLAS INC X 10 DISLIPIDEMIA SINVASTATINA 20MG 7897595604286 SINVASTATINA SANDOZ 20 MG COM REV CT BL AL PLAS INC X 10 DISLIPIDEMIA SINVASTATINA 20MG 7897595609830 SINVASTATINA SANDOZ 20 MG COM REV CT BL AL PLAS INC X 10 DISLIPIDEMIA SINVASTATINA 20MG 7897595609854 SINVASTATINA SANDOZ 20 MG COM REV CT BL AL PLAS INC X 30 DISLIPIDEMIA SINVASTATINA 20MG 7898216360642 SINVASTIN PHARLAB 20 MG COM CT BL AL INC X 30 DISLIPIDEMIA SINVASTATINA 20MG 7898216360635 SINVASTIN PHARLAB 20MG COM CT BL AL INC X 10 DISLIPIDEMIA SINVASTATINA 20MG 7896137112722 SINVASTON SANVAL 20 MG COM REV CT 3 BL AL PLAS INC X 10 DISLIPIDEMIA SINVASTATINA 20MG 7896137112715 SINVASTON SANVAL 20 MG COM REV CT BL AL INC X 10 DISLIPIDEMIA SINVASTATINA 20MG 7896004704470 SINVATROX LEGRAND 20 MG 3 BL X 10 COMP DISLIPIDEMIA SINVASTATINA 20MG 7899095201088 SINVAX GEOLAB 20 MG COM REV CT 3 BL AL PLAS INC X 10 DISLIPIDEMIA SINVASTATINA 20MG 7899095201071 SINVAX GEOLAB 20 MG COMP. CT 01 BL X 10 DISLIPIDEMIA SINVASTATINA 20MG 7895858000301 SINVAZ CELLOFARM 20 MG COMP. CX. 30 DISLIPIDEMIA SINVASTATINA 20MG 7896241228142 VASLIP BIOLAB SANUS 20 MG COM REV CT 3 BL AL PLAS INC X 10 DISLIPIDEMIA SINVASTATINA 20MG 7898158692757 VASTATIL CIFARMA 20 MG CX COM 30 COMP DISLIPIDEMIA SINVASTATINA 20MG 7897337701211 ZOCOR MERCK SHARP 20 MG CX. 3 BL X 10 CPD DISLIPIDEMIA SINVASTATINA 40MG 7891721016189 CLINFAR MERCK 40 MG COM REV CT BL AL PLAS INC X 10 DISLIPIDEMIA SINVASTATINA 40MG 7891721016165 CLINFAR MERCK 40 MG COM REV CT BL AL PLAS INC X 30 DISLIPIDEMIA SINVASTATINA 40MG 7891721016196 CLINFAR MERCK 80 MG COM REV CT BL AL PLAS INC X 10 DISLIPIDEMIA SINVASTATINA 40MG 7898371171619 GENOCARDIL GENOMA 40 MG COM REV CT 01 BL AL PLAS INC X 10 DISLIPIDEMIA SINVASTATINA 40MG 7896422510110 LIPOTEX MEDLEY 40 MG COM REV CT 2 BL X 15
  • 10.
    ELENCO OFICIAL DOSMEDICAMENTOS DISPONIBILIZADOS PELO PROGRAMA AQUI TEM FARMÁCIA POPULAR - SISTEMA DE COPAGAMENTO PATOLOGIA PRINCÍPIO ATIVO CÓDIGO DE BARRA PRODUTO LABORATÓRIO APRESENTAÇÃO DISLIPIDEMIA SINVASTATINA 40MG 7896422510004 LIPOTEX MEDLEY 40 MG COM REV CT BL AL PVC/PVDC INC X 10 DISLIPIDEMIA SINVASTATINA 40MG 7896472502936 MENOCOL MULTILAB 40 MG COM REV CT 1 BL AL PLAS INC X 30 DISLIPIDEMIA SINVASTATINA 40MG 7898331960598 MEVILIP LABORIS 40 MG COMP REV CX 1 BL X 10 DISLIPIDEMIA SINVASTATINA 40MG 7894916206877 SINVALIP SIGMA PHARMA 40 MG 3BL X 10 COMP DISLIPIDEMIA SINVASTATINA 40MG 7898100242306 SINVANE BRASTERAPICA 40 MG COM REV CT BL AL PLAS INC X 10 DISLIPIDEMIA SINVASTATINA 40MG 7897851250622 SINVASCOR BALDACCI 40 MG COM CT 3 BL X 10 DISLIPIDEMIA SINVASTATINA 40MG 7897851250615 SINVASCOR BALDACCI 40 MG COMP. REV. 1 BL X 10 DISLIPIDEMIA SINVASTATINA 40MG 7898060138091 SINVASMAX GLOBO 40 MG COM REV CT 3 BL AL PLAS INC X 10 DISLIPIDEMIA SINVASTATINA 40MG 7897595603180 SINVASTACOR SANDOZ 40 MG COM REV CT BL AL PLAS INC X 10 DISLIPIDEMIA SINVASTATINA 40MG 7897595604163 SINVASTACOR SANDOZ 40 MG COM REV CT BL AL PLAS INC X 30 DISLIPIDEMIA SINVASTATINA 40MG 7896181913115 SINVASTATINA BIOSINTETICA 40 MG COM REV CT BL AL PVC/PVDC X 10 DISLIPIDEMIA SINVASTATINA 40MG 7896181913627 SINVASTATINA BIOSINTETICA 40 MG COM REV CT BL AL PVC/PVDC X 30 DISLIPIDEMIA SINVASTATINA 40MG 7898095347383 SINVASTATINA BRAINFARMA 40 MG COM REV CT 1 BL AL PLAS INC X 10 DISLIPIDEMIA SINVASTATINA 40MG 7896676410174 SINVASTATINA CRISTALIA 40 MG COM REV CT BL AL PLAS INC X 10 DISLIPIDEMIA SINVASTATINA 40MG 7896004711188 SINVASTATINA EMS 40 MG COM REV CT BL AL PLAS OPC X 30 DISLIPIDEMIA SINVASTATINA 40MG 7898146823309 SINVASTATINA EUROFARMA 40 MG COM REV CT BL AL PLAS INC X 30 DISLIPIDEMIA SINVASTATINA 40MG 7898146821411 SINVASTATINA EUROFARMA 40 MG COM REV CT BL AL PLAS INC X10 DISLIPIDEMIA SINVASTATINA 40MG 7896004711126 SINVASTATINA GENERICOS GERMED 40 MG COM REV CT BL AL PLAS OPC X 30 DISLIPIDEMIA SINVASTATINA 40MG 7894916141215 SINVASTATINA LEGRAND 40 MG COM REV CT BL AL PLAS OPC X 30 DISLIPIDEMIA SINVASTATINA 40MG 7896422508643 SINVASTATINA MEDLEY 40 MG COM REVEST CT 3 BL AL PLAS INC X 10 DISLIPIDEMIA SINVASTATINA 40MG 7896422507868 SINVASTATINA MEDLEY 40 MG COM REVEST CT BL AL PLAS INC X 10 DISLIPIDEMIA SINVASTATINA 40MG 7895296244077 SINVASTATINA MEPHA-RATIOPHARM 40 MG 1 BL X 10 COMP DISLIPIDEMIA SINVASTATINA 40MG 7895296244084 SINVASTATINA MEPHA-RATIOPHARM 40 MG 3 BL X 10 COMP DISLIPIDEMIA SINVASTATINA 40MG 7896261007062 SINVASTATINA NOVARTIS 40 MG COM REV CT BL AL PLAS INC X 10 DISLIPIDEMIA SINVASTATINA 40MG 7897076906939 SINVASTATINA RANBAXY 40 MG COMP C/1 BL X 10 DISLIPIDEMIA SINVASTATINA 40MG 7897076906977 SINVASTATINA RANBAXY 40mg cx 30 comp DISLIPIDEMIA SINVASTATINA 40MG 7897595605191 SINVASTATINA SANDOZ 40 MG COM REV CT 3 BL AL PLAS INC X 10 DISLIPIDEMIA SINVASTATINA 40MG 7897595609878 SINVASTATINA SANDOZ 40 MG COM REV CT BL AL PLAS INC X 10 DISLIPIDEMIA SINVASTATINA 40MG 7897595603432 SINVASTATINA SANDOZ 40 MG COM REV CT BL AL PLAS INC X 10 DISLIPIDEMIA SINVASTATINA 40MG 7897595609892 SINVASTATINA SANDOZ 40 MG COM REV CT BL AL PLAS INC X 30 DISLIPIDEMIA SINVASTATINA 40MG 7896137112791 SINVASTON SANVAL 40 MG COM REV CT BL AL PLAS INC X 10 DISLIPIDEMIA SINVASTATINA 40MG 7896137112845 SINVASTON SANVAL 40 MG COM REVE CT 3 BL AL PLAS INC X 10 DISLIPIDEMIA SINVASTATINA 40MG 7899095201989 SINVAX GEOLAB 40 MG COM REV CT BL AL PLAS INC X 30 DISLIPIDEMIA SINVASTATINA 40MG 7899095201095 SINVAX GEOLAB 40 MG COM REVE CT 01 BL AL PLAS INC X 10 DISLIPIDEMIA SINVASTATINA 40MG 7896241285022 VASLIP BIOLAB SANUS 40 MG COM REV CT 3 BL AL PLAS INC X 10 DISLIPIDEMIA SINVASTATINA 40MG 7898158699725 VASTATIL CIFARMA 40 MG COM REV CT BL AL PLAS INC X 30 DISLIPIDEMIA SINVASTATINA 40MG 7898158692764 VASTATIL CIFARMA 40 MG CX COM 10 COMP DISLIPIDEMIA SINVASTATINA 40MG 7897337706612 ZOCOR MERCK SHARP 40 MG MG COM REV CT BL ALA PLAS INC X 10 DOENCA DE CARBIDOPA 25MG + LEVODOPA 250MG 7896181900900 CARBIDOPA/LEVODOPA BIOSINTETICA 25 MG + 250 MG COM CT 3 BL AL PLAS INC X 10 PARKINSON DOENCA DE CARBIDOPA 25MG + LEVODOPA 250MG 7896112456940 LEVOCARB BIOLAB SANUS 250 MG + 25 MG COM CT 3 ENV AL POLIET X 10 PARKINSON DOENCA DE CARBIDOPA 25MG + LEVODOPA 250MG 7896714204383 PARKLEN NEO QUIMICA CP 25MG + 250MG (CX C/3 BL C/10) PARKINSON DOENCA DE CARBIDOPA 25MG + LEVODOPA 250MG 7897337702317 SINEMET MERCK SHARP 25 MG + 250 MG COM CT 06 BL AL PLAS INC X 5 PARKINSON
  • 11.
    ELENCO OFICIAL DOSMEDICAMENTOS DISPONIBILIZADOS PELO PROGRAMA AQUI TEM FARMÁCIA POPULAR - SISTEMA DE COPAGAMENTO PATOLOGIA PRINCÍPIO ATIVO CÓDIGO DE BARRA PRODUTO LABORATÓRIO APRESENTAÇÃO DOENCA DE CARBIDOPA 25MG + LEVODOPA 250MG 7896641600203 SINEMET MERCK SHARP 25/250 MG.COM.CT.C/ 6 BL X 5 PARKINSON DOENCA DE CLORIDRATO DE BENSERAZIDA 25MG + 7896226503721 PROLOPA ROCHE 100 MG + 25 MG COM DISP CT FR VD AMB X 30 PARKINSON LEVODOPA 100MG DOENCA DE CLORIDRATO DE BENSERAZIDA 25MG + 100 MG + 25 MG CAP GELAT DURA LIB PROL CT FR VD 7896226500362 PROLOPA HBS ROCHE PARKINSON LEVODOPA 100MG AMB X 30 GLAUCOMA MALEATO DE TIMOLOL 2,5MG 7896006290186 GLAUCOTRAT UNIAO QUIMICA 0,25% SOL OFT FR GTS 5ML GLAUCOMA MALEATO DE TIMOLOL 2,5MG 7897316804254 MALEATO DE TIMOLOL ALLERGAN 0,25% SOL OFT FR GTS 5ML GLAUCOMA MALEATO DE TIMOLOL 2,5MG 7896181909439 MALEATO DE TIMOLOL BIOSINTETICA 0,25% SOL OFT FR GTS 5ML GLAUCOMA MALEATO DE TIMOLOL 2,5MG 7896004715810 MALEATO DE TIMOLOL EMS 0,25% SOL OFT FR GTS 5ML GLAUCOMA MALEATO DE TIMOLOL 2,5MG 7896004716046 MALEATO DE TIMOLOL GENERICOS GERMED 0,25% SOL OFT FR GTS 5ML GLAUCOMA MALEATO DE TIMOLOL 2,5MG 7894916142793 MALEATO DE TIMOLOL SIGMA PHARMA 0,25% SOL OFT FR GTS 5ML GLAUCOMA MALEATO DE TIMOLOL 2,5MG 7896714225982 TIMONEO NEO QUIMICA 0,25% SOL OFT FR GTS 5ML GLAUCOMA MALEATO DE TIMOLOL 2,5MG 7897337705820 TIMOPTOL MERCK SHARP 0,25% SOL OFT FR GTS 5ML GLAUCOMA MALEATO DE TIMOLOL 2,5MG 7897337709231 TIMOPTOL MERCK SHARP 0,25% SOL OFT FR GTS 5ML GLAUCOMA MALEATO DE TIMOLOL 5MG 7896006290162 GLAUCOTRAT UNIAO QUIMICA 0,5% SOL OFT FR GTS 5ML GLAUCOMA MALEATO DE TIMOLOL 5MG 7896548114124 GLAUTIMOL ALCON 0,5% SOL OFT FR GTS 5ML GLAUCOMA MALEATO DE TIMOLOL 5MG 7896676406436 MAL.TIMOLOL CRISTALIA 0,5% SOL OFT FR GTS 5ML GLAUCOMA MALEATO DE TIMOLOL 5MG 7896548165577 MALEATO DE TIMOLOL ALCON 0,5% SOL OFT FR GTS 5ML GLAUCOMA MALEATO DE TIMOLOL 5MG 7897316804261 MALEATO DE TIMOLOL ALLERGAN 0,5% SOL OFT FR GTS 5ML GLAUCOMA MALEATO DE TIMOLOL 5MG 7898318250636 MALEATO DE TIMOLOL APOTEX 0,5% SOL OFT FR GTS 5ML GLAUCOMA MALEATO DE TIMOLOL 5MG 7896181907077 MALEATO DE TIMOLOL BIOSINTETICA 0,5% SOL OFT FR GTS 5ML GLAUCOMA MALEATO DE TIMOLOL 5MG 7896004715711 MALEATO DE TIMOLOL EMS 0,5% SOL OFT FR GTS 5ML GLAUCOMA MALEATO DE TIMOLOL 5MG 7896004715896 MALEATO DE TIMOLOL GENERICOS GERMED 0,5% SOL OFT FR GTS 5ML GLAUCOMA MALEATO DE TIMOLOL 5MG 7896714225753 MALEATO DE TIMOLOL NEO QUIMICA 0,5% SOL OFT FR GTS 5ML GLAUCOMA MALEATO DE TIMOLOL 5MG 7894916142786 MALEATO DE TIMOLOL SIGMA PHARMA 0,5% SOL OFT FR GTS 5ML GLAUCOMA MALEATO DE TIMOLOL 5MG 7896112126669 MALEATO DE TIMOLOL TEUTO 0,5% SOL OFT FR GTS 5ML GLAUCOMA MALEATO DE TIMOLOL 5MG 7896112110842 TENOFTAL TEUTO 0,5% SOL OFT FR GTS 5ML GLAUCOMA MALEATO DE TIMOLOL 5MG 7896714225005 TIMONEO NEO QUIMICA 0,5% SOL OFT FR GTS 5ML GLAUCOMA MALEATO DE TIMOLOL 5MG 7897337705837 TIMOPTOL MERCK SHARP 0,5% SOL OFT FR GTS 5ML GLAUCOMA MALEATO DE TIMOLOL 5MG 7897337709248 TIMOPTOL XE MERCK SHARP 0,5% SOL OFT FR GTS 5ML HIPERTENSÃO ATENOLOL 25MG 7896241221853 ABLOK BIOLAB SANUS COM CT 3 BL AL PLAS INC X 10 25MG HIPERTENSÃO ATENOLOL 25MG 7898216362196 ANGILESS PHARLAB 25 MG COM CT BL AL PLAS INC X 30 HIPERTENSÃO ATENOLOL 25MG 7898216362195 ANGILESS PHARLAB 25 MG COM CT BL AL PLAS INC X 30 HIPERTENSÃO ATENOLOL 25MG 7896181901723 ANGIPRESS BIOSINTETICA 25 MG COM CT BL AL PLAS INC X 28 HIPERTENSÃO ATENOLOL 25MG 7898060138565 ANGITENS GLOBO 25 MG COM CT 3 BL AL PLAS INC X 10 HIPERTENSÃO ATENOLOL 25MG 7896004708218 ATENEGRAN EMS 25MG 2 BL X 14 COMP HIPERTENSÃO ATENOLOL 25MG 7896714233376 ATENEUM NEO QUIMICA 25 MG COM CT BL AL PLAS INC X 30 HIPERTENSÃO ATENOLOL 25MG 7897851220168 ATENOBAL BALDACCI 25 MG COMP. 3 BL X 10 HIPERTENSÃO ATENOLOL 25MG 7892885200292 ATENOKIN KINDER 25MG/COMP CX C/1 BL C/30 HIPERTENSÃO ATENOLOL 25MG 7896206400996 ATENOL ASTRAZENECA 25 MG COMP CT 2 BL AL PLAS INC X 14 HIPERTENSÃO ATENOLOL 25MG 7898932797203 ATENOLOL ACCORD 25 MG COM REV CX BL AL/PVC X 30 HIPERTENSÃO ATENOLOL 25MG 7898361880606 ATENOLOL AUROBINDO PHARMA 25 MG COM CT BL AL PLAS INC X 14 HIPERTENSÃO ATENOLOL 25MG 7898361880613 ATENOLOL AUROBINDO PHARMA 25 MG COM CT BL AL PLAS INC X 28 HIPERTENSÃO ATENOLOL 25MG 7896181900122 ATENOLOL BIOSINTETICA 25 MG COM CT 2 BL AL PLAS INC X 15 HIPERTENSÃO ATENOLOL 25MG 7899106000372 ATENOLOL BRITON 25 MG COM REV CT 1 BL AL PLAS INC X 14 HIPERTENSÃO ATENOLOL 25MG 7899106000389 ATENOLOL BRITON 25 MG COM REV CT 2 BL AL PLAS INC X 14
  • 12.
    ELENCO OFICIAL DOSMEDICAMENTOS DISPONIBILIZADOS PELO PROGRAMA AQUI TEM FARMÁCIA POPULAR - SISTEMA DE COPAGAMENTO PATOLOGIA PRINCÍPIO ATIVO CÓDIGO DE BARRA PRODUTO LABORATÓRIO APRESENTAÇÃO HIPERTENSÃO ATENOLOL 25MG 7896676411676 ATENOLOL CRISTALIA 25MG COM CT BL AL PLAS INC X 30 HIPERTENSÃO ATENOLOL 25MG 7896004719368 ATENOLOL EMS 25 MG COM CT BL AL PLAS INC X 90 (EMB FRAC) HIPERTENSÃO ATENOLOL 25MG 7896004705781 ATENOLOL EMS 25MG 2 BL X 15 COMP HIPERTENSÃO ATENOLOL 25MG 7896004705880 ATENOLOL EMS 25MG 4 BL X 15 COMP HIPERTENSÃO ATENOLOL 25MG 7896004709024 ATENOLOL GENERICOS GERMED 25 MG COM CT 2 BL AL PLAS INC X 15 HIPERTENSÃO ATENOLOL 25MG 7899100400314 ATENOLOL IPCA 25 MG COM REV CT 1 BL AL PLAS INC X 14 HIPERTENSÃO ATENOLOL 25MG 7899100400321 ATENOLOL IPCA 25 MG COM REV CT 2 BL AL PLAS INC X 14 HIPERTENSÃO ATENOLOL 25MG 7896422506342 ATENOLOL MEDLEY 25 MG COM CT 3 BL AL PLAS INC X 10 HIPERTENSÃO ATENOLOL 25MG 7895296299022 ATENOLOL MEPHA-RATIOPHARM 25 MG COM CT BL AL PLAS INC X 30 HIPERTENSÃO ATENOLOL 25MG 7896261006164 ATENOLOL NOVARTIS 25 MG COM CT 3 BL AL PLAS INC X 10 HIPERTENSÃO ATENOLOL 25MG 7898216362257 ATENOLOL PHARLAB 25 MG COM CT BL AL PLAS INC X 30 HIPERTENSÃO ATENOLOL 25MG 7898148290772 ATENOLOL PRATI, DONADUZZI 25 MG COM CT BL AL PLAS INC X 30 HIPERTENSÃO ATENOLOL 25MG 7897076910112 ATENOLOL RANBAXY 25 MG COM CT BL AL PLAS INC X 28 HIPERTENSÃO ATENOLOL 25MG 7897076910097 ATENOLOL RANBAXY 25 MG COM CT BL AL PLAS INC X 30 HIPERTENSÃO ATENOLOL 25MG 7897076910127 ATENOLOL RANBAXY 25 MG CT FR PLAS OPC X 28 HIPERTENSÃO ATENOLOL 25MG 7897595605412 ATENOLOL SANDOZ 25 MG COM REV CT BL AL PLAS INC X 60 HIPERTENSÃO ATENOLOL 25MG 7897595602572 ATENOLOL SANDOZ 25MG CP REV C/30 HIPERTENSÃO ATENOLOL 25MG 7894916144209 ATENOLOL SIGMA PHARMA 25 MG COM CT BL AL PLAS INC X 30 HIPERTENSÃO ATENOLOL 25MG 7897595602602 ATENOPRESS HEXAL 25MG COMP REVESTIDOS C/28 HIPERTENSÃO ATENOLOL 25MG 7897595612090 ATENOPRESS SANDOZ 25 MG COM BL AL PLAS INC X 28 HIPERTENSÃO ATENOLOL 25MG 7897595612106 ATENOPRESS SANDOZ 25 MG COM BL AL PLAS INC X 30 HIPERTENSÃO ATENOLOL 25MG 7897595605580 ATENOPRESS SANDOZ 25 MG COM REV CT 3 BL AL PLAS INC X 10 HIPERTENSÃO ATENOLOL 25MG 7898099382106 BIOTENOR BIOFARMA 25MG CT2BL AL PL INCX14 HIPERTENSÃO ATENOLOL 25MG 7898371170322 GENOPRESS GENOMA CX C/01BL C/30 COMP 25MG HIPERTENSÃO ATENOLOL 25MG 7898906376229 PLENACOR BAGO 25 MG COM EST CART BL AL PVC X 28 HIPERTENSÃO ATENOLOL 25MG 7891721001765 PLENACOR MERCK 25 MG COM EST CART BL AL PVC X 28 HIPERTENSÃO ATENOLOL 25MG 7899095201866 TELOL GEOLAB 25 MG COM CT 03 BL AL PLAS INC X 10 HIPERTENSÃO ATENOLOL 25MG 7899095201576 TELOL GEOLAB 25 MG COM CT 2 BL X 14 HIPERTENSÃO ATENOLOL 25MG 7898049794522 TENOLON VITAPAN 25 MG COM CT 02 BL AL PLAS INC X 14 HIPERTENSÃO CAPTOPRIL 25MG 7894164000166 ABEPOTEN ABNAT 25 MG COM CT BL AL PLAS INC X 20 HIPERTENSÃO CAPTOPRIL 25MG 7894164001439 ABEPOTEN ABNAT 25 MG CT FR PLAS OPC X 28 HIPERTENSÃO CAPTOPRIL 25MG 7894164003167 ABEPOTEN MDCPHARMA 25 MG CT FR PLAS OPC X 28 HIPERTENSÃO CAPTOPRIL 25MG 7898272940208 ANTIPRESSIN TKS 30 COMP. (25 MG) HIPERTENSÃO CAPTOPRIL 25MG 7898100241064 AORTEN BRASTERAPICA 25MG COM CT BL AL PLAS INC X 30 HIPERTENSÃO CAPTOPRIL 25MG 7898099382298 CABIOTEN BIOFARMA 25MG CX. C/ 16 COMP HIPERTENSÃO CAPTOPRIL 25MG 7898099382304 CABIOTEN BIOFARMA 25MG CX. C/ 28 COMP HIPERTENSÃO CAPTOPRIL 25MG 7897851220335 CAPOBAL BALDACCI 25 MG COM CT BL AL PLAS INC X 30 HIPERTENSÃO CAPTOPRIL 25MG 7896016801747 CAPOTEN B-MS 25MG COMP - CARTUCHO COM 1 BLISTER X 16 HIPERTENSÃO CAPTOPRIL 25MG 7896016801372 CAPOTEN B-MS 25MG COMP - CARTUCHO COM 2 BLISTERS X 14 HIPERTENSÃO CAPTOPRIL 25MG 7896006226765 CAPOTRAT UNIAO QUIMICA 25 MG COM X 30 HIPERTENSÃO CAPTOPRIL 25MG 7896714207797 CAPOTRINEO NEO QUIMICA 25 MG COM CT 3 BL AL PLAS INC X 10 HIPERTENSÃO CAPTOPRIL 25MG 7896714201207 CAPOTRINEO NEO QUIMICA CP 25MG (CX C/1 BL C/16) HIPERTENSÃO CAPTOPRIL 25MG 7899095200067 CAPOX GEOLAB 25 MG COMP. CT 02 BL X 15 HIPERTENSÃO CAPTOPRIL 25MG 7896112142331 CAPRIL TEUTO COMP 25MG CX C/15 HIPERTENSÃO CAPTOPRIL 25MG 7896685301135 CAPTIL INFAN 25MG CX. C/ 15 COMPR. HIPERTENSÃO CAPTOPRIL 25MG 7896685301142 CAPTIL INFAN 25MG CX. C/ 30 COMPR. HIPERTENSÃO CAPTOPRIL 25MG 7898060131948 CAPTOCORD GLOBO 25 MG COM CT 4 BL AL PLAS INC X 15
  • 13.
    ELENCO OFICIAL DOSMEDICAMENTOS DISPONIBILIZADOS PELO PROGRAMA AQUI TEM FARMÁCIA POPULAR - SISTEMA DE COPAGAMENTO PATOLOGIA PRINCÍPIO ATIVO CÓDIGO DE BARRA PRODUTO LABORATÓRIO APRESENTAÇÃO HIPERTENSÃO CAPTOPRIL 25MG 7898060138053 CAPTOCORD GLOBO 25MG COMP BL CX C/15 HIPERTENSÃO CAPTOPRIL 25MG 7898060138060 CAPTOCORD GLOBO 25MG COMP BL CX C/30 HIPERTENSÃO CAPTOPRIL 25MG 7896472501915 CAPTOLAB MULTILAB 25MG BLISTER COM 30 COMP HIPERTENSÃO CAPTOPRIL 25MG 7896472504558 CAPTOLAB MULTILAB 25MG BLISTER COM 60 COMP HIPERTENSÃO CAPTOPRIL 25MG 7893658100313 CAPTOMAX MILIAN 25MG CAIXA COM 15 CPDS HIPERTENSÃO CAPTOPRIL 25MG 7898103650344 CAPTOMAX MILIAN 25MG CAIXA COM 30 CPDS HIPERTENSÃO CAPTOPRIL 25MG 7896523202341 CAPTOMED CIMED 25 MG COM BL X 20 HIPERTENSÃO CAPTOPRIL 25MG 7896523207292 CAPTOMED CIMED 25 MG COM CT BL AL PLAS INC X 60 HIPERTENSÃO CAPTOPRIL 25MG 7897917001489 CAPTOMIDO BELFAR 25MG CX C/ 30 HIPERTENSÃO CAPTOPRIL 25MG 7898078940334 CAPTON ROYTON 25 MG - CX. C/ 16 COMP. HIPERTENSÃO CAPTOPRIL 25MG 7898078940341 CAPTON ROYTON 25 MG - CX. C/ 28 COMP. HIPERTENSÃO CAPTOPRIL 25MG 7893353607926 CAPTOPIRIL BUNKER 25 MG CX 16 COMP HIPERTENSÃO CAPTOPRIL 25MG 7898146821688 CAPTOPRIL ARROW 25 MG COM CT BL AL PLAS INC X 30 HIPERTENSÃO CAPTOPRIL 25MG 7898361880682 CAPTOPRIL AUROBINDO PHARMA 25 MG COM CT BL AL PLAS INC X 30 HIPERTENSÃO CAPTOPRIL 25MG 7898920244139 CAPTOPRIL BALM-LABOR 25 MG COM CT BL AL PVC X 20 HIPERTENSÃO CAPTOPRIL 25MG 7898920244146 CAPTOPRIL BALM-LABOR 25 MG COM CT BL AL PVC X 30 HIPERTENSÃO CAPTOPRIL 25MG 7896181903666 CAPTOPRIL BIOSINTETICA 25 MG COM CT 3 BL AL PLAS INC X 10 HIPERTENSÃO CAPTOPRIL 25MG 7898372705721 CAPTOPRIL CINFA 25 MG COMP CT 3 BL AL PLAS INC X 10 HIPERTENSÃO CAPTOPRIL 25MG 7898372700054 CAPTOPRIL CINFA 25 MG COMP CT 6 BL AL PLAS INC X 10 (EMB.HOSP.) HIPERTENSÃO CAPTOPRIL 25MG 7896676410815 CAPTOPRIL CRISTALIA 25MG-3BLIST.10CPS. HIPERTENSÃO CAPTOPRIL 25MG 7896004707020 CAPTOPRIL EMS 25 MG COM CT BL AL PLAS INC X 60 (EMB HOSP) HIPERTENSÃO CAPTOPRIL 25MG 7896004719313 CAPTOPRIL EMS 25 MG COM CT BL AL PLAS INC X 90 (EMB FRAC) HIPERTENSÃO CAPTOPRIL 25MG 7896004700380 CAPTOPRIL EMS 25 MG X 16 COMP HIPERTENSÃO CAPTOPRIL 25MG 7896004700397 CAPTOPRIL EMS 25MG 2 BL X 14 COMP HIPERTENSÃO CAPTOPRIL 25MG 7896004704326 CAPTOPRIL EMS 25MG 2 BL X 15 COMP HIPERTENSÃO CAPTOPRIL 25MG 7891317414870 CAPTOPRIL EUROFARMA CT C/ 30 COMP 25,0MG HIPERTENSÃO CAPTOPRIL 25MG 7896004704654 CAPTOPRIL GENERICOS GERMED 25MG 2 BL X 15 COMP HIPERTENSÃO CAPTOPRIL 25MG 7896622302966 CAPTOPRIL LUPER 25 MG COM CT BL AL PVC X 16 HIPERTENSÃO CAPTOPRIL 25MG 7896622302973 CAPTOPRIL LUPER 25 MG COM CT BL AL PVC X 28 HIPERTENSÃO CAPTOPRIL 25MG 7898917592489 CAPTOPRIL MARIOL 25,00 MG COM CT BL AL PLAS INC X 30 HIPERTENSÃO CAPTOPRIL 25MG 7898917592496 CAPTOPRIL MARIOL 25,00 MG COM CT BL AL PLAS INC X 60 (EMB FRAC) HIPERTENSÃO CAPTOPRIL 25MG 7898917592502 CAPTOPRIL MARIOL 25,00 MG COM CT BL AL PLAS INC X 90 (EMB FRAC) HIPERTENSÃO CAPTOPRIL 25MG 7896422503693 CAPTOPRIL MEDLEY 25 MG COMP CT 1 BL AL PLAS INC X 16 HIPERTENSÃO CAPTOPRIL 25MG 7896422503709 CAPTOPRIL MEDLEY 25 MG COMP CT 1 BL AL PLAS INC X 30 HIPERTENSÃO CAPTOPRIL 25MG 7896422503716 CAPTOPRIL MEDLEY 25 MG COMP CT 2 BL AL PLAS INC X 30 HIPERTENSÃO CAPTOPRIL 25MG 7896422503723 CAPTOPRIL MEDLEY 25 MG COMP CT 3 BL AL PLAS INC X 30 HIPERTENSÃO CAPTOPRIL 25MG 7891721272431 CAPTOPRIL MERCK 25 MG COM EST FR PLAS OPC X 30 HIPERTENSÃO CAPTOPRIL 25MG 7891721272448 CAPTOPRIL MERCK 25 MG COM EST FR PLAS OPC X 50 HIPERTENSÃO CAPTOPRIL 25MG 7896714205687 CAPTOPRIL NEO QUIMICA 25 MG COM CX BL AL PLAS INC X 30 HIPERTENSÃO CAPTOPRIL 25MG 7896261006966 CAPTOPRIL NOVARTIS 25 MG COM CT 3 BL AL PLAS INC X 10 HIPERTENSÃO CAPTOPRIL 25MG 7898148290505 CAPTOPRIL PRATI, DONADUZZI 25 MG COM CT BL AL PLAS INC X 15 HIPERTENSÃO CAPTOPRIL 25MG 7898148290512 CAPTOPRIL PRATI, DONADUZZI 25 MG COM CT BL AL PLAS INC X 30 HIPERTENSÃO CAPTOPRIL 25MG 7897076910301 CAPTOPRIL RANBAXY 25 MG COMP C/4 BL X 4 HIPERTENSÃO CAPTOPRIL 25MG 7897076910318 CAPTOPRIL RANBAXY 25 MG COMP C/7 BL X 4 HIPERTENSÃO CAPTOPRIL 25MG 7897076912626 CAPTOPRIL RANBAXY 25,0 MG COM CT BL AL PLAS INC X 30 HIPERTENSÃO CAPTOPRIL 25MG 7897076912596 CAPTOPRIL RANBAXY 25,0 MG COM CT BL AL PLAS INC X 60
  • 14.
    ELENCO OFICIAL DOSMEDICAMENTOS DISPONIBILIZADOS PELO PROGRAMA AQUI TEM FARMÁCIA POPULAR - SISTEMA DE COPAGAMENTO PATOLOGIA PRINCÍPIO ATIVO CÓDIGO DE BARRA PRODUTO LABORATÓRIO APRESENTAÇÃO HIPERTENSÃO CAPTOPRIL 25MG 7897595603357 CAPTOPRIL SANDOZ 25 MG C/ CT 3 BL AL PLAS INC X 10 HIPERTENSÃO CAPTOPRIL 25MG 7897595603395 CAPTOPRIL SANDOZ 25MG COM CT 1 BL AL PLAS INC X 14 HIPERTENSÃO CAPTOPRIL 25MG 7897595602008 CAPTOPRIL SANDOZ 25MG COMP CX C/ 28 HIPERTENSÃO CAPTOPRIL 25MG 7894916141147 CAPTOPRIL SIGMA PHARMA 25 MG COM CT BL AL PLAS INC X 30 HIPERTENSÃO CAPTOPRIL 25MG 7896112116660 CAPTOPRIL TEUTO COMP 25MG C/30 HIPERTENSÃO CAPTOPRIL 25MG 7896006214984 CAPTOPRIL UNIAO QUIMICA 25 M MG COM CT BL AL PLAS INC X 30 HIPERTENSÃO CAPTOPRIL 25MG 7898049795697 CAPTOPRIL VITAPAN 25 MG CX C/2 BL C/ 15 COMP HIPERTENSÃO CAPTOPRIL 25MG 7898158691019 CAPTOPRON CIBRAN 25MG CX COM 16 COMP HIPERTENSÃO CAPTOPRIL 25MG 7898158691026 CAPTOPRON CIBRAN 25MG CX COM 32 COMP HIPERTENSÃO CAPTOPRIL 25MG 7898216360178 CAPTOSEN PHARLAB 25MG COMP BL 16 HIPERTENSÃO CAPTOPRIL 25MG 7898216360161 CAPTOSEN PHARLAB 25MG COMP BL 30 HIPERTENSÃO CAPTOPRIL 25MG 7898168730944 CAPTOSIF SINTERAPICO 25MG CX C/ 2X15 COMPRIMIDOS HIPERTENSÃO CAPTOPRIL 25MG 7897595603708 CAPTOTEC SANDOZ 25 MG COM CT 4 BL AL PLAS INC X 14 HIPERTENSÃO CAPTOPRIL 25MG 7897595605627 CAPTOTEC SANDOZ 25 MG COM CT BL AL PLAS INC X 30 HIPERTENSÃO CAPTOPRIL 25MG 7897595609489 CAPTOTEC SANDOZ 25 MG COM CT BL AL PLAS INC X 60 HIPERTENSÃO CAPTOPRIL 25MG 7897595601698 CAPTOTEC SANDOZ 25 MG COMP CX.C/28 HIPERTENSÃO CAPTOPRIL 25MG 7898049794430 CAPTOZEN VITAPAN 25MG CX C/ 02 BLS C/ 15 COMP HIPERTENSÃO CAPTOPRIL 25MG 7898089300288 CARDILOM OSORIO DE MORAES 25,0 MG COMP CT C/ 2 BL C/ 10 COMP HIPERTENSÃO CAPTOPRIL 25MG 7896422503877 CATOPROL MEDLEY 25 MG CT 1 BL X 30 COMP HIPERTENSÃO CAPTOPRIL 25MG 7896422503860 CATOPROL MEDLEY 25 MG CT 1 BL X 16 COMP HIPERTENSÃO CAPTOPRIL 25MG 7896707242095 DUCTOPRIL DUCTO COMP 25MG (CX C/01 BL C/14) HIPERTENSÃO CAPTOPRIL 25MG 7896707220369 DUCTOPRIL DUCTO COMP 25MG (CX C/01 BL C/16) HIPERTENSÃO CAPTOPRIL 25MG 7896707242101 DUCTOPRIL DUCTO COMP 25MG (CX C/02 BL C/14) HIPERTENSÃO CAPTOPRIL 25MG 7896707242163 DUCTOPRIL DUCTO COMP 25MG (CX C/02 BL C/16) HIPERTENSÃO CAPTOPRIL 25MG 7898371170148 GENOPTRIL GENOMA CX C/01BL C/30 COMP 25MG HIPERTENSÃO CAPTOPRIL 25MG 7898157480904 HEMOPRESS JARREL 25MG 30CP HIPERTENSÃO CAPTOPRIL 25MG 7898157480881 HEMOPRESS JARREL 25MG CX 15 COMP HIPERTENSÃO CAPTOPRIL 25MG 7896286429047 HIPOCATRIL CIBRAN 25 MG COMP CX COM 15 HIPERTENSÃO CAPTOPRIL 25MG 7896286429054 HIPOCATRIL CIBRAN 25 MG COMP CX COM 30 HIPERTENSÃO CAPTOPRIL 25MG 7896137111763 HIPOTEN SANVAL 25 MG COMP CT 02 BL AL PLAS INC X 10 HIPERTENSÃO CAPTOPRIL 25MG 7898059470133 HIPOTENSIL MEDINFAR 25MG COMP CX 10 HIPERTENSÃO CAPTOPRIL 25MG 7898059471040 HIPOTENSIL MEDINFAR 25MG COMP CX 20 HIPERTENSÃO CAPTOPRIL 25MG 7898059470154 HIPOTENSIL MEDINFAR 25MG COMP CX 30 HIPERTENSÃO CAPTOPRIL 25MG 7898059470164 HIPOTENSIL MEDINFAR 25MG COMP CX 60 HIPERTENSÃO CAPTOPRIL 25MG 7898331960390 LABOPRIL LABORIS 25MG COMP CX 3 BL X 10 HIPERTENSÃO CAPTOPRIL 25MG 7893736015027 NORMAPRIL CAZI 25 MG COMP CT ENV KRAFT POLIET X 28 HIPERTENSÃO CAPTOPRIL 25MG 7892885200209 PRESSOMAX KINDER 25MG/COMP CX C/ 2 BL C/16 HIPERTENSÃO CAPTOPRIL 25MG 7896862910822 PRESSTOPRIL MEDQUIMICA 25,0MG COMP. CX. C/28 HIPERTENSÃO CAPTOPRIL 25MG 7896862910228 PRESSTOPRIL MEDQUIMICA 25MG CX. C/ 16 COMP. HIPERTENSÃO CAPTOPRIL 25MG 7896004714738 PRILPRESSIN EMS 25MG 3 BLX10 COMP HIPERTENSÃO CAPTOPRIL 25MG 7895858002541 REPRIL CELLOFARM 25 MG COM CT BL AL PLAS INC X 16 HIPERTENSÃO CAPTOPRIL 25MG 7898014560879 RITPRESS PHARMASCIENCE 25 MG 15 COMP HIPERTENSÃO CAPTOPRIL 25MG 7898014560886 RITPRESS PHARMASCIENCE 25 MG 30 COMP HIPERTENSÃO CAPTOPRIL 25MG 7898295928832 TOMPRIL LUPER 25,0 MG C/16 COMPRIMIDOS HIPERTENSÃO CAPTOPRIL 25MG 7896622301624 VENOPRIL LUPER 25,0 MG C/16 COMPRIMIDOS HIPERTENSÃO CLORIDRATO DE PROPRANOLOL 40MG 7898049790548 AMPRAX VITAPAN 40 MG CPR CX C/ 2X20 HIPERTENSÃO CLORIDRATO DE PROPRANOLOL 40MG 7896112141402 ANTITENSIN TEUTO COMP 40MG CX C/40
  • 15.
    ELENCO OFICIAL DOSMEDICAMENTOS DISPONIBILIZADOS PELO PROGRAMA AQUI TEM FARMÁCIA POPULAR - SISTEMA DE COPAGAMENTO PATOLOGIA PRINCÍPIO ATIVO CÓDIGO DE BARRA PRODUTO LABORATÓRIO APRESENTAÇÃO HIPERTENSÃO CLORIDRATO DE PROPRANOLOL 40MG 7897595605016 CARDBLOC SANDOZ 40 MG COM CT BL AL PLAS AMB X 30 HIPERTENSÃO CLORIDRATO DE PROPRANOLOL 40MG 7896472502028 CARDIX MULTILAB 40 MG COM CT 4 BL AL PLAS X 10 HIPERTENSÃO CLORIDRATO DE PROPRANOLOL 40MG 7896523210438 CLORIDRATO DE PROPRANOLOL CIMED 40 MG COM CT BL AL PLAS INC X 30 HIPERTENSÃO CLORIDRATO DE PROPRANOLOL 40MG 7896004707341 CLORIDRATO DE PROPRANOLOL GENERICOS GERMED 40MG 4 BL X 15 COMP HIPERTENSÃO CLORIDRATO DE PROPRANOLOL 40MG 7896004706160 CLORIDRATO DE PROPRANOLOL GENERICOS GERMED 40MG X 30 COMP HIPERTENSÃO CLORIDRATO DE PROPRANOLOL 40MG 7896422515535 CLORIDRATO DE PROPRANOLOL MEDLEY 40 MG COM CT BL AL PLAS INC X 30 HIPERTENSÃO CLORIDRATO DE PROPRANOLOL 40MG 7896422515573 CLORIDRATO DE PROPRANOLOL MEDLEY 40 MG COM CT BL AL PLAS INC X 90 (EMB HOSP) HIPERTENSÃO CLORIDRATO DE PROPRANOLOL 40MG 7896714205182 CLORIDRATO DE PROPRANOLOL NEO QUIMICA 40 MG COM CT 2 BL AL PLAS INC X 15 HIPERTENSÃO CLORIDRATO DE PROPRANOLOL 40MG 7898216362431 CLORIDRATO DE PROPRANOLOL PHARLAB 40 MG COM CT BL AL PLAS INC X 30 HIPERTENSÃO CLORIDRATO DE PROPRANOLOL 40MG 7898148295784 CLORIDRATO DE PROPRANOLOL PRATI, DONADUZZI 40 MG COM CT BL AL PLAS INC X 20 HIPERTENSÃO CLORIDRATO DE PROPRANOLOL 40MG 7896112148708 CLORIDRATO DE PROPRANOLOL TEUTO COMP. 40 MG - CX C/ 20 HIPERTENSÃO CLORIDRATO DE PROPRANOLOL 40MG 7896112110576 CLORIDRATO DE PROPRANOLOL TEUTO COMP. 40 MG - CX C/ 30 HIPERTENSÃO CLORIDRATO DE PROPRANOLOL 40MG 7896112149187 CLORIDRATO DE PROPRANOLOL TEUTO COMP. 40 MG - CX C/ 40 HIPERTENSÃO CLORIDRATO DE PROPRANOLOL 40MG 7896006245193 CLORIDRATO DE PROPRANOLOL UNIAO QUIMICA 40 MG COM CT 2 BL AL PLAS INC. X 10 HIPERTENSÃO CLORIDRATO DE PROPRANOLOL 40MG 7896006245247 CLORIDRATO DE PROPRANOLOL UNIAO QUIMICA 40 MG COM CT 3 BL AL PLAS INC. X 10 HIPERTENSÃO CLORIDRATO DE PROPRANOLOL 40MG 7896006245278 CLORIDRATO DE PROPRANOLOL UNIAO QUIMICA 40 MG COM CT 4 BL AL PLAS INC. X 10 HIPERTENSÃO CLORIDRATO DE PROPRANOLOL 40MG 7896714204987 HIPERNOLOL NEO QUIMICA COMP 40MG (CX C/2 BL C/20) HIPERTENSÃO CLORIDRATO DE PROPRANOLOL 40MG 7896714200293 HIPERNOLOL NEO QUIMICA COMP 40MG (CX C/2 BL C/20) HIPERTENSÃO CLORIDRATO DE PROPRANOLOL 40MG 7896206400279 INDERAL ASTRAZENECA 40 MG COMP CT 2 STR AL/AL X 10 HIPERTENSÃO CLORIDRATO DE PROPRANOLOL 40MG 7898216362462 PHARNOLOL PHARLAB 40 MG COM CT BL AL PLAS INC X 30 HIPERTENSÃO CLORIDRATO DE PROPRANOLOL 40MG 7899095200685 POLOL GEOLAB 40 MG COMP. CT 02 BL X 20 HIPERTENSÃO CLORIDRATO DE PROPRANOLOL 40MG 7896707200682 PRADINOLOL DUCTO COMP 40MG (CX C/02 BL C/20) HIPERTENSÃO CLORIDRATO DE PROPRANOLOL 40MG 7896707243115 PRADINOLOL DUCTO COMP 40MG (CX C/03 BL C/10) HIPERTENSÃO CLORIDRATO DE PROPRANOLOL 40MG 7896707200460 PRADINOLOL DUCTO COMP 40MG (CX C/04 BL C/10) HIPERTENSÃO CLORIDRATO DE PROPRANOLOL 40MG 7893736001631 PRANOLAL CAZI 40 MG COMP CT FR VD AMB X 50 HIPERTENSÃO CLORIDRATO DE PROPRANOLOL 40MG 7896862910259 PRESSOFLUX MEDQUIMICA 40MG CX. C/ 40 COMP. HIPERTENSÃO CLORIDRATO DE PROPRANOLOL 40MG 7896286461030 PRONOCARD CIBRAN 40 MG COMP CX COM 40 HIPERTENSÃO CLORIDRATO DE PROPRANOLOL 40MG 7896782802597 PRONOL HERALD'S 40MG COMP CX C/ 40 HIPERTENSÃO CLORIDRATO DE PROPRANOLOL 40MG 7898103650399 PRONOLOL 40MG MILIAN CAIXA COM 20 CPDS HIPERTENSÃO CLORIDRATO DE PROPRANOLOL 40MG 7898103650405 PRONOLOL 40MG MILIAN CAIXA COM 40 CPDS HIPERTENSÃO CLORIDRATO DE PROPRANOLOL 40MG 7893353606813 PROPACOR BUNKER CLOR.40 MG CX 20 COMP HIPERTENSÃO CLORIDRATO DE PROPRANOLOL 40MG 7898060131290 PROPALOL GLOBO 40MG COMP BL CX C/40 HIPERTENSÃO CLORIDRATO DE PROPRANOLOL 40MG 7898100241132 PROPANOLON BRASTERAPICA 40MG COM CT 2 BL AL PLAS INC X 20 HIPERTENSÃO CLORIDRATO DE PROPRANOLOL 40MG 7898078942291 PROPANOX ROYTON 40 MG - CX. C/ 40 COMP HIPERTENSÃO CLORIDRATO DE PROPRANOLOL 40MG 7898099380959 PROPARIL BIOFARMA 40 MG COMP 2 BLX20 HIPERTENSÃO CLORIDRATO DE PROPRANOLOL 40MG 7896523206646 PROPRAMED CIMED 40 MG COM C/ 2 BL X 20 HIPERTENSÃO CLORIDRATO DE PROPRANOLOL 40MG 7896523206387 PROPRAMED CIMED 40 MG CX C/ 20 COMP HIPERTENSÃO CLORIDRATO DE PROPRANOLOL 40MG 7897076905352 PROPRANOL (PROPRANOLOL) HERALD'S 40 MG COMP CX C/ 40 HIPERTENSÃO CLORIDRATO DE PROPRANOLOL 40MG 7894916550055 PROPRANOLOL AYERST SIGMA PHARMA 40MG 2 BL X15 COMP HIPERTENSÃO CLORIDRATO DE PROPRANOLOL 40MG 7898089300554 PROPRANOLOM OSORIO DE MORAES 40,0 MG COMP CT C/ 2 BL C/ 20 COMP HIPERTENSÃO CLORIDRATO DE PROPRANOLOL 40MG 7896006280606 UNI PROPRALOL UNIAO QUIMICA COM CT 4 BL AL PLAS INC X 10 HIPERTENSÃO HIDROCLOROTIAZIDA 25MG 7897595901521 CLORANA SANOFI-AVENTIS 25 MG COM CT BL PLAS PAPEL X 30 HIPERTENSÃO HIDROCLOROTIAZIDA 25MG 7898158695499 CLORIZIN CIFARMA 25MG COM CT BL AL PLAS INC X 30 HIPERTENSÃO HIDROCLOROTIAZIDA 25MG 7898158690708 CLORIZIN CIFARMA 25MG CX COM 20 COMP HIPERTENSÃO HIDROCLOROTIAZIDA 25MG 7898078940976 DIURETIC ROYTON 25 MG - CX. C/ 20 COMP HIPERTENSÃO HIDROCLOROTIAZIDA 25MG 7893736002300 DIUREZIN CAZI 25 MG COMP CX CT 2 ENV KRAFT POLIET X 10 HIPERTENSÃO HIDROCLOROTIAZIDA 25MG 7896112122432 DIURIX TEUTO 25 MG COM CT BL AL PLAS INC X 30
  • 16.
    ELENCO OFICIAL DOSMEDICAMENTOS DISPONIBILIZADOS PELO PROGRAMA AQUI TEM FARMÁCIA POPULAR - SISTEMA DE COPAGAMENTO PATOLOGIA PRINCÍPIO ATIVO CÓDIGO DE BARRA PRODUTO LABORATÓRIO APRESENTAÇÃO HIPERTENSÃO HIDROCLOROTIAZIDA 25MG 7896112141280 DIURIX TEUTO COMP 25MG CX C/20 HIPERTENSÃO HIDROCLOROTIAZIDA 25MG 7898103650566 HIDRAZIN 25MG MILIAN CAIXA COM 20 CPDS HIPERTENSÃO HIDROCLOROTIAZIDA 25MG 7898099382571 HIDROBIO BIOFARMA 25 MG COMP BL X 20 HIPERTENSÃO HIDROCLOROTIAZIDA 25MG 7896004716176 HIDROCLOROTIAZIDA EMS 25 MG C/ CT BL AL PLAS LEIT X 30 HIPERTENSÃO HIDROCLOROTIAZIDA 25MG 7896004716190 HIDROCLOROTIAZIDA GENERICOS GERMED 25 MG C/ CT BL AL PLAS LEIT X 30 HIPERTENSÃO HIDROCLOROTIAZIDA 25MG 7896714211978 HIDROCLOROTIAZIDA NEO QUIMICA 25 MG COM CT BL AL PLAS INC X 30 HIPERTENSÃO HIDROCLOROTIAZIDA 25MG 7898148296729 HIDROCLOROTIAZIDA PRATI, DONADUZZI 25 MG COM CT BL AL PLAS INC X 30 HIPERTENSÃO HIDROCLOROTIAZIDA 25MG 7891058002657 HIDROCLOROTIAZIDA SANOFI-AVENTIS 25 MG COM CT BL PAPEL PLAS INC X 30 HIPERTENSÃO HIDROCLOROTIAZIDA 25MG 7894916143516 HIDROCLOROTIAZIDA SIGMA PHARMA 25 MG C/ CT BL AL PLAS LEIT X 30 HIPERTENSÃO HIDROCLOROTIAZIDA 25MG 7898216362639 HIDROLESS PHARLAB 25 MG COM CT BL AL/PLAS INC X 30 HIPERTENSÃO HIDROCLOROTIAZIDA 25MG 7898216360086 HIDROLESS PHARLAB 25MG COMP BL 20 HIPERTENSÃO HIDROCLOROTIAZIDA 25MG 7896523207537 HIDROMED CIMED 25 MG COM CT 2 BL AL PLAS INC X 15 HIPERTENSÃO HIDROCLOROTIAZIDA 25MG 7896523206363 HIDROMED CIMED 25 MG CX C/ 20 COMP HIPERTENSÃO HIDROCLOROTIAZIDA 25MG 7896006233350 UNIAZIDA UNIAO QUIMICA 25 MG COM CT BL AL PLAS INC X 30 HIPERTENSÃO LOSARTANA POTÁSSICA 50MG 7896241286784 ARADOIS BIOLAB SANUS 50 MG COM REV CT BL AL PLAS AMB X 30 HIPERTENSÃO LOSARTANA POTÁSSICA 50MG 7896112428602 ARADOIS BIOLAB SANUS 50 MG COM REV CT BL AL PLAS AMB X 45 HIPERTENSÃO LOSARTANA POTÁSSICA 50MG 7896112486855 ARADOIS BIOLAB SANUS 50 MG COM REV CT BL AL PLAS INC X 45 HIPERTENSÃO LOSARTANA POTÁSSICA 50MG 7896112486886 ARADOIS BIOLAB SANUS 50 MG COM REV CT BL AL PLAS INC X 60 HIPERTENSÃO LOSARTANA POTÁSSICA 50MG 7898331960246 CARDVITA LABORIS 50MG COMP REV CX 1 BL X 14 HIPERTENSÃO LOSARTANA POTÁSSICA 50MG 7898331960253 CARDVITA LABORIS 50MG COMP REV CX 2 BL X 14 HIPERTENSÃO LOSARTANA POTÁSSICA 50MG 7896181902737 CORUS BIOSINTETICA 50 MG COM REV CT 2 BL AL PLAS INC X 14 HIPERTENSÃO LOSARTANA POTÁSSICA 50MG 7896181902669 CORUS BIOSINTETICA 50 MG COM REV CT BL AL PLAS INC X 14 HIPERTENSÃO LOSARTANA POTÁSSICA 50MG 7897337709255 COZAAR MERCK SHARP 50 MG CX. 1 BL X 14 CPD HIPERTENSÃO LOSARTANA POTÁSSICA 50MG 7897337701303 COZAAR MERCK SHARP 50 MG CX. 1 BL X 15 CPD HIPERTENSÃO LOSARTANA POTÁSSICA 50MG 7897337709262 COZAAR MERCK SHARP 50 MG CX. 2 BL X 14 CPD HIPERTENSÃO LOSARTANA POTÁSSICA 50MG 7897337701297 COZAAR MERCK SHARP 50 MG CX. 2 BL X 15 CPD HIPERTENSÃO LOSARTANA POTÁSSICA 50MG 7896714203614 LANZACOR NEO QUIMICA 50MG CP VER CX C/14 HIPERTENSÃO LOSARTANA POTÁSSICA 50MG 7896714203607 LANZACOR NEO QUIMICA 50MG CPRV 2 BL C/14 CP HIPERTENSÃO LOSARTANA POTÁSSICA 50MG 7897595602145 LORSACOR SANDOZ 50 MG COM REV CT 2 BL AL PLAS INC X 14 HIPERTENSÃO LOSARTANA POTÁSSICA 50MG 7897595602138 LORSACOR SANDOZ 50 MG COM REV CT BL AL PLAS INC X 14 HIPERTENSÃO LOSARTANA POTÁSSICA 50MG 7897595608215 LORSACOR SANDOZ 50 MG COM REV CT BL AL PLAS INC X 30 HIPERTENSÃO LOSARTANA POTÁSSICA 50MG 7897595605252 LORSACOR SANDOZ 50 MG COM REV CT BL AL PLAS INC X 60 HIPERTENSÃO LOSARTANA POTÁSSICA 50MG 7898049796236 LOSACORON VITAPAN 50 MG COM REV CT BL AL PLAS INC X 28 HIPERTENSÃO LOSARTANA POTÁSSICA 50MG 7898049797905 LOSACORON VITAPAN 50mg CX C/ 01 BL C/ 14 COMP REV HIPERTENSÃO LOSARTANA POTÁSSICA 50MG 7898078942550 LOSAPRIN ROYTON 50 MG - CX. C/ 14 COMP HIPERTENSÃO LOSARTANA POTÁSSICA 50MG 7898078942567 LOSAPRIN ROYTON 50 MG - CX. C/ 28 COMP HIPERTENSÃO LOSARTANA POTÁSSICA 50MG 7896422507738 LOSARTAN MEDLEY 50MG COM REV CT 2 BL AL PLAS OPC X 15 HIPERTENSÃO LOSARTANA POTÁSSICA 50MG 7896422507752 LOSARTAN MEDLEY 50MG COM REV CT 4 BL AL PLAS OPC X 15 HIPERTENSÃO LOSARTANA POTÁSSICA 50MG 7896422507721 LOSARTAN MEDLEY 50MG COM REV CT BL AL PLAST OPC X 15 POTÁSSICO HIPERTENSÃO LOSARTANA POTÁSSICA 50MG 7898095344634 LOSARTAN POTÁSSICO BRAINFARMA 50MG COM REV CT 1 BL AL PLAS OPC X 14 HIPERTENSÃO LOSARTANA POTÁSSICA 50MG 7898095344658 LOSARTAN POTÁSSICO BRAINFARMA 50MG COM REV CT 2 BL AL PLAS OPC X 14 HIPERTENSÃO LOSARTANA POTÁSSICA 50MG 7895296240055 LOSARTAN POTÁSSICO MEPHA-RATIOPHARM 50MG COM REV CT 1 BL AL PLAS OPC X 10 HIPERTENSÃO LOSARTANA POTÁSSICA 50MG 7895296240079 LOSARTAN POTÁSSICO MEPHA-RATIOPHARM 50MG COM REV CT 1 BL AL PLAS OPC X 14 HIPERTENSÃO LOSARTANA POTÁSSICA 50MG 7895296240086 LOSARTAN POTÁSSICO MEPHA-RATIOPHARM 50MG COM REV CT 2 BL AL PLAS OPC X 14 HIPERTENSÃO LOSARTANA POTÁSSICA 50MG 7895296240062 LOSARTAN POTÁSSICO MEPHA-RATIOPHARM 50MG COM REV CT 3 BL AL PLAS OPC X 10 HIPERTENSÃO LOSARTANA POTÁSSICA 50MG 7897076907691 LOSARTAN POTÁSSICO RANBAXY 50 MG COM REV CT 3 BL AL PLAS OPC X 10
  • 17.
    ELENCO OFICIAL DOSMEDICAMENTOS DISPONIBILIZADOS PELO PROGRAMA AQUI TEM FARMÁCIA POPULAR - SISTEMA DE COPAGAMENTO PATOLOGIA PRINCÍPIO ATIVO CÓDIGO DE BARRA PRODUTO LABORATÓRIO APRESENTAÇÃO HIPERTENSÃO LOSARTANA POTÁSSICA 50MG 7897076907677 LOSARTAN POTÁSSICO RANBAXY 50 MG COMP C/ 1 BL X 14 HIPERTENSÃO LOSARTANA POTÁSSICA 50MG 7897076907684 LOSARTAN POTÁSSICO RANBAXY 50 MG COMP C/ 2 BL X 14 HIPERTENSÃO LOSARTANA POTÁSSICA 50MG 7894916147019 LOSARTANA POTASSICA EMS 50 MG COM REV CT BL AL PLAS LEIT X 60 HIPERTENSÃO LOSARTANA POTÁSSICA 50MG 7897322703473 LOSARTANA POTASSICA FARMASA 50 MG COM REV CT BL AL PLAS LEIT X 30 HIPERTENSÃO LOSARTANA POTÁSSICA 50MG 7897322703459 LOSARTANA POTASSICA FARMASA 50 MG COM REV CT BL PLAS LEIT X 15 HIPERTENSÃO LOSARTANA POTÁSSICA 50MG 7897595604354 LOSARTANA POTASSICA SANDOZ 50 MG COM REV CT BL AL PLAS INC X 14 HIPERTENSÃO LOSARTANA POTÁSSICA 50MG 7897595604361 LOSARTANA POTASSICA SANDOZ 50 MG COM REV CT BL AL PLAS INC X 28 HIPERTENSÃO LOSARTANA POTÁSSICA 50MG 7898372707374 LOSARTANA POTÁSSICA BIOLUNIS 50 MG COM REV CT BL AL PVC X 30 HIPERTENSÃO LOSARTANA POTÁSSICA 50MG 7896181905622 LOSARTANA POTÁSSICA BIOSINTETICA 50 MG COM REV CT 1 BL AL PLAS INC X 14 HIPERTENSÃO LOSARTANA POTÁSSICA 50MG 7896181904861 LOSARTANA POTÁSSICA BIOSINTETICA 50 MG COM REV CT 2 BL AL PLAS INC X 14 HIPERTENSÃO LOSARTANA POTÁSSICA 50MG 7896676406740 LOSARTANA POTÁSSICA CRISTALIA 50 MG COM REV CT 3 BL AL PLAS OPC X 10 HIPERTENSÃO LOSARTANA POTÁSSICA 50MG 7896676412161 LOSARTANA POTÁSSICA CRISTALIA 50mg 2 BL X 10 CPS HIPERTENSÃO LOSARTANA POTÁSSICA 50MG 7896004706795 LOSARTANA POTÁSSICA EMS 50 MG COM REV CT BL AL PLAS LEIT X 30 HIPERTENSÃO LOSARTANA POTÁSSICA 50MG 7891317430528 LOSARTANA POTÁSSICA EUROFARMA 50 MG COM REV CT BL AL PLAS LEIT X 15 HIPERTENSÃO LOSARTANA POTÁSSICA 50MG 7891317427542 LOSARTANA POTÁSSICA EUROFARMA 50 MG CT C/ 30 CPR HIPERTENSÃO LOSARTANA POTÁSSICA 50MG 7896004708539 LOSARTANA POTÁSSICA GENERICOS GERMED 50 MG COM REV CT BL AL PLAS LEIT X 30 HIPERTENSÃO LOSARTANA POTÁSSICA 50MG 7891721238567 LOSARTANA POTÁSSICA MERCK 50MG COM REV EST CART BL AL PLAS INC X 30 HIPERTENSÃO LOSARTANA POTÁSSICA 50MG 7896714208565 LOSARTANA POTÁSSICA NEO QUIMICA 50 MG COM REV CT BL AL PLAS INC X 30 HIPERTENSÃO LOSARTANA POTÁSSICA 50MG 7896261009493 LOSARTANA POTÁSSICA NOVARTIS 50 MG COM REV CT BL AL PLAS INC X 14 HIPERTENSÃO LOSARTANA POTÁSSICA 50MG 7896261009509 LOSARTANA POTÁSSICA NOVARTIS 50 MG COM REV CT BL AL PLAS INC X 28 HIPERTENSÃO LOSARTANA POTÁSSICA 50MG 7898148301706 LOSARTANA POTÁSSICA PRATI, DONADUZZI 50 MG COM REV CT BL AL PLAS INC X 15 HIPERTENSÃO LOSARTANA POTÁSSICA 50MG 7898148301720 LOSARTANA POTÁSSICA PRATI, DONADUZZI 50 MG COM REV CT BL AL PLAS INC X 30 HIPERTENSÃO LOSARTANA POTÁSSICA 50MG 7897076913814 LOSARTANA POTÁSSICA RANBAXY 50 MG COM REV CT BL AL PLAS OPC X 60 HIPERTENSÃO LOSARTANA POTÁSSICA 50MG 7894916145145 LOSARTANA POTÁSSICA SIGMA PHARMA 50 MG COM REV CT BL AL PLAS LEIT X 30 HIPERTENSÃO LOSARTANA POTÁSSICA 50MG 7896112114185 LOSARTANA POTÁSSICA TEUTO 50 MG COM REV CT BL AL PLAS BCO OPC X 30 HIPERTENSÃO LOSARTANA POTÁSSICA 50MG 7896112134220 LOSARTANA POTÁSSICA TEUTO 50 MG COM REV CT BL AL PLAS BCO OPC X 60 HIPERTENSÃO LOSARTANA POTÁSSICA 50MG 7898910350239 LOSARTANA POTÁSSICA ZYDUS 50 MG COM REV CT STR AL X 30 HIPERTENSÃO LOSARTANA POTÁSSICA 50MG 7896226102078 LOSARTEC MARJAN 50MG COMP REV CX COM 10 HIPERTENSÃO LOSARTANA POTÁSSICA 50MG 7896226102085 LOSARTEC MARJAN 50MG COMP REV CX COM 30 HIPERTENSÃO LOSARTANA POTÁSSICA 50MG 7891721021190 LOSARTION MERCK 50 MG COM REV EST CART BL AL PLAS INC X 10 HIPERTENSÃO LOSARTANA POTÁSSICA 50MG 7891721013362 LOSARTION MERCK 50 MG COM REV EST CART BL AL PLAS INC X 30 HIPERTENSÃO LOSARTANA POTÁSSICA 50MG 7896685300725 LOSATAL INFAN 50 MG COM REV CT BL AL PLAS INC X 14 HIPERTENSÃO LOSARTANA POTÁSSICA 50MG 7896685300732 LOSATAL INFAN 50 MG COM REV CT BL AL PLAS INC X 28 HIPERTENSÃO LOSARTANA POTÁSSICA 50MG 7896112136491 LOTANOL TEUTO 50 MG COM REV BL AL PLAS OPC X 30 HIPERTENSÃO LOSARTANA POTÁSSICA 50MG 7896112136507 LOTANOL TEUTO 50 MG COM REV BL AL PLAS OPC X 60 HIPERTENSÃO LOSARTANA POTÁSSICA 50MG 8902220105034 TORLOS TORRENT DO BRASIL 50MG 2 BLISTERS COM 7 COMPRIMIDOS HIPERTENSÃO LOSARTANA POTÁSSICA 50MG 8902220105539 TORLOS TORRENT DO BRASIL 50MG 4 BLISTERS COM 7 COMPRIMIDOS HIPERTENSÃO LOSARTANA POTÁSSICA 50MG 7896422510318 VALTRIAN MEDLEY 50 MG COM REV CT BL AL PLAS OPC X 15 HIPERTENSÃO LOSARTANA POTÁSSICA 50MG 7896422510288 VALTRIAN MEDLEY 50MG COM REV CT 2 BL X 15 HIPERTENSÃO LOSARTANA POTÁSSICA 50MG 7894916502795 ZAARPRESS SIGMA PHARMA 50MG 2BL X 15 COMP HIPERTENSÃO LOSARTANA POTÁSSICA 50MG 7891317425869 ZART EUROFARMA 50 MG COM REV CT BL AL PLAST LEITOSO X 30 HIPERTENSÃO LOSARTANA POTÁSSICA 50MG 7891317473891 ZART EUROFARMA 50 MG COM REV CT BL AL PLAST LEITOSO X 7 HIPERTENSÃO MALEATO DE ENALAPRIL 10MG 7898096577161 ANGIOPRIL DIFFUCAP-CHEMOBRAS 10MG CX C/ 30 COMP HIPERTENSÃO MALEATO DE ENALAPRIL 10MG 7897322700151 ATENS FARMASA 10 MG COMP CT BL AL PLAST INC X 20 HIPERTENSÃO MALEATO DE ENALAPRIL 10MG 7898331960192 CARDIONATO LABORIS 10MG COMP REV CX FR X 30 HIPERTENSÃO MALEATO DE ENALAPRIL 10MG 7897851259595 ENALABAL BALDACCI 10 MG COMP. 2 BL X 15 HIPERTENSÃO MALEATO DE ENALAPRIL 10MG 7896523206073 ENALAMED CIMED 10 MG C/3 STRIP X 10
  • 18.
    ELENCO OFICIAL DOSMEDICAMENTOS DISPONIBILIZADOS PELO PROGRAMA AQUI TEM FARMÁCIA POPULAR - SISTEMA DE COPAGAMENTO PATOLOGIA PRINCÍPIO ATIVO CÓDIGO DE BARRA PRODUTO LABORATÓRIO APRESENTAÇÃO HIPERTENSÃO MALEATO DE ENALAPRIL 10MG 7988103650627 ENALAP 10MG MILIAN CAIXA COM 30 CPDS HIPERTENSÃO MALEATO DE ENALAPRIL 10MG 7897852900496 ENALATEC GREENPHARMA 10MG CX C/ 30CPR HIPERTENSÃO MALEATO DE ENALAPRIL 10MG 7892885200278 ENALIL KINDER 10MG/COMP CX C/2 BL C/15 HIPERTENSÃO MALEATO DE ENALAPRIL 10MG 7892984031780 ENALPRESS LASA 10MG CX. C/ 30 COMP HIPERTENSÃO MALEATO DE ENALAPRIL 10MG 7898078940747 ENALPRIN ROYTON 10 MG - CX. C/ 30 COMP HIPERTENSÃO MALEATO DE ENALAPRIL 10MG 7898216360215 ENAPLEX PHARLAB 10MG COMP ENV 30 HIPERTENSÃO MALEATO DE ENALAPRIL 10MG 7897595601476 ENAPROTEC HEXAL 10 MG COMP CX. C/30 HIPERTENSÃO MALEATO DE ENALAPRIL 10MG 7896685301210 ENATEC INFAN 10MG CX. C/ 30 COMP HIPERTENSÃO MALEATO DE ENALAPRIL 10MG 7898100241293 ENATIL BRASTERAPICA 10 MG COM REV CT 3 BL AL PLAS INC X 10 HIPERTENSÃO MALEATO DE ENALAPRIL 10MG 7898295923325 ENATOM LUPER 10 MG C/30 COMPRIMIDOS HIPERTENSÃO MALEATO DE ENALAPRIL 10MG 7896181916390 EUPRESSIN BIOSINTETICA 10 MG COM CT STR X 07 HIPERTENSÃO MALEATO DE ENALAPRIL 10MG 7896181903376 EUPRESSIN BIOSINTETICA 10 MG COM CT STR X 30 HIPERTENSÃO MALEATO DE ENALAPRIL 10MG 7898371170087 GENALAPRIL GENOMA CX C/01BL C/30 COMP 10MG HIPERTENSÃO MALEATO DE ENALAPRIL 10MG 7898906376144 GLIOTEN BAGO 10 MG COM EST BL AL/AL X 30 HIPERTENSÃO MALEATO DE ENALAPRIL 10MG 7891721001581 GLIOTEN MERCK 10 MG COM REV EST CART BL AL/AL X 30 HIPERTENSÃO MALEATO DE ENALAPRIL 10MG 7896622302386 HIPERTIN LUPER 10 MG C/30 COMPRIMIDOS HIPERTENSÃO MALEATO DE ENALAPRIL 10MG 7898123901662 LAPRITEC HIPOLABOR 10MG CX C/30 CP HIPERTENSÃO MALEATO DE ENALAPRIL 10MG 7898060133676 MALEAPRIL GALLIA 10MG COMP STR CX C/30 HIPERTENSÃO MALEATO DE ENALAPRIL 10MG 7898361880286 MALEATO DE ENALAPRIL AUROBINDO PHARMA 10 MG COM CT BL AL/AL X 30 HIPERTENSÃO MALEATO DE ENALAPRIL 10MG 7896181900894 MALEATO DE ENALAPRIL BIOSINTETICA 10 MG COM CT 3 STR X 10 HIPERTENSÃO MALEATO DE ENALAPRIL 10MG 7898095345235 MALEATO DE ENALAPRIL BRAINFARMA 10 MG COM CT STR AL X 30 HIPERTENSÃO MALEATO DE ENALAPRIL 10MG 7896523210759 MALEATO DE ENALAPRIL CIMED 10 MG COM CT STRIP AL X 30 HIPERTENSÃO MALEATO DE ENALAPRIL 10MG 7896676410990 MALEATO DE ENALAPRIL CRISTALIA 10MG-3 BLIST.10CPS HIPERTENSÃO MALEATO DE ENALAPRIL 10MG 7896004718927 MALEATO DE ENALAPRIL EMS 10 MG COM CT BL AL/AL X 60 (EMB FRAC) HIPERTENSÃO MALEATO DE ENALAPRIL 10MG 7896004700533 MALEATO DE ENALAPRIL EMS 10MG 3STP C/10 COMP HIPERTENSÃO MALEATO DE ENALAPRIL 10MG 7896004710358 MALEATO DE ENALAPRIL GENERICOS GERMED 10MG 3STP C/ 10 COMP HIPERTENSÃO MALEATO DE ENALAPRIL 10MG 7897595602718 MALEATO DE ENALAPRIL HEXAL 10MG MALEATO CX C/ 10 CP HIPERTENSÃO MALEATO DE ENALAPRIL 10MG 7896422514248 MALEATO DE ENALAPRIL MEDLEY 10 MG COM CT BL AL/AL X 30 HIPERTENSÃO MALEATO DE ENALAPRIL 10MG 7896422506328 MALEATO DE ENALAPRIL MEDLEY 10 MG COMP CT C/ 3 STRIP X 10 HIPERTENSÃO MALEATO DE ENALAPRIL 10MG 7895296216036 MALEATO DE ENALAPRIL MEPHA-RATIOPHARM 10 MG COM CT BL AL/AL X 30 HIPERTENSÃO MALEATO DE ENALAPRIL 10MG 7895296113595 MALEATO DE ENALAPRIL MEPHA-RATIOPHARM 10MG COM CT 4 BL AL/AL X 7 HIPERTENSÃO MALEATO DE ENALAPRIL 10MG 7896714205823 MALEATO DE ENALAPRIL NEO QUIMICA 10MG COM CT ENV AL X 30 HIPERTENSÃO MALEATO DE ENALAPRIL 10MG 7896261006645 MALEATO DE ENALAPRIL NOVARTIS 10 MG COM CT 3 BL AL/AL X 10 HIPERTENSÃO MALEATO DE ENALAPRIL 10MG 7898148291830 MALEATO DE ENALAPRIL PRATI, DONADUZZI 10 MG COM CT BL AL PLAS INC X 30 HIPERTENSÃO MALEATO DE ENALAPRIL 10MG 7898148300884 MALEATO DE ENALAPRIL PRATI, DONADUZZI 10 MG COM CT BL AL/AL X 30 HIPERTENSÃO MALEATO DE ENALAPRIL 10MG 7897076906823 MALEATO DE ENALAPRIL RANBAXY 10 MG COMP C/1 STR X 10 HIPERTENSÃO MALEATO DE ENALAPRIL 10MG 7897076906830 MALEATO DE ENALAPRIL RANBAXY 10 MG COMP C/3 STR X 10 HIPERTENSÃO MALEATO DE ENALAPRIL 10MG 7897595602268 MALEATO DE ENALAPRIL SANDOZ 10 MG C/ CT 3 BL AL/AL X 10 HIPERTENSÃO MALEATO DE ENALAPRIL 10MG 7894916143028 MALEATO DE ENALAPRIL SIGMA PHARMA 10 MG COM CT BL AL / AL X 30 HIPERTENSÃO MALEATO DE ENALAPRIL 10MG 7896112113775 MALEATO DE ENALAPRIL TEUTO 10MG COM CT 3 ENV AL X 10 HIPERTENSÃO MALEATO DE ENALAPRIL 10MG 7896112126225 MALEATO DE ENALAPRIL TEUTO 10MG COM CT 3 ENV AL X 10 HIPERTENSÃO MALEATO DE ENALAPRIL 10MG 7894916504010 MALENA SIGMA PHARMA 10 MG COM CT BL AL/AL X 30 HIPERTENSÃO MALEATO DE ENALAPRIL 10MG 7896472501885 MULTIPRESSIM MULTILAB 10MG BLISTER C/ 30CPRS HIPERTENSÃO MALEATO DE ENALAPRIL 10MG 7896004714455 PRESSEL LEGRAND 10MG 3STP C/10 COMP HIPERTENSÃO MALEATO DE ENALAPRIL 10MG 7898060138398 PRESSOCORD GLOBO 10MG COMP BL CX C/30 HIPERTENSÃO MALEATO DE ENALAPRIL 10MG 7896862910457 PRESSOMEDE MEDQUIMICA 10MG CX. C/ 30 COMP. HIPERTENSÃO MALEATO DE ENALAPRIL 10MG 7896112127239 PRESSOTEC TEUTO 10 MG COM CT BL AL/AL X 30
  • 19.
    ELENCO OFICIAL DOSMEDICAMENTOS DISPONIBILIZADOS PELO PROGRAMA AQUI TEM FARMÁCIA POPULAR - SISTEMA DE COPAGAMENTO PATOLOGIA PRINCÍPIO ATIVO CÓDIGO DE BARRA PRODUTO LABORATÓRIO APRESENTAÇÃO HIPERTENSÃO MALEATO DE ENALAPRIL 10MG 7896112141266 PRESSOTEC TEUTO COMP 10MG CX C/30 HIPERTENSÃO MALEATO DE ENALAPRIL 10MG 7896534203849 PRODOPRESSIN PRODOTTI 10MG CX 30 COMP HIPERTENSÃO MALEATO DE ENALAPRIL 10MG 7899095201132 PRYLTEC GEOLAB 10 MG COMP. CT 03 BL X 10 HIPERTENSÃO MALEATO DE ENALAPRIL 10MG 7896714200743 RENALAPRIL NEO QUIMICA CP 10MG (CX C/03 ENV AL C/10) HIPERTENSÃO MALEATO DE ENALAPRIL 10MG 7898049798414 RENAPRIL VITAPAN 10 MG CX C/ 03 ENV AL C/ 10 COMP REVES HIPERTENSÃO MALEATO DE ENALAPRIL 10MG 7893736003840 RENIPRESS CAZI 10 MG COMP CT ENV KRAFT X 30 HIPERTENSÃO MALEATO DE ENALAPRIL 10MG 7897337705882 RENITEC MERCK SHARP 10 MG CX. 6 BL X 5 CPD HIPERTENSÃO MALEATO DE ENALAPRIL 10MG 7897917001182 RENOPRIL BELFAR CXS. C/30 COMP. 10 MG HIPERTENSÃO MALEATO DE ENALAPRIL 10MG 7896137111848 SANVAPRESS SANVAL 10 MG COMP CT 02 X 10 HIPERTENSÃO MALEATO DE ENALAPRIL 10MG 7896112429913 VASOPRIL BIOLAB SANUS 10 MG COM CT STR X 45 HIPERTENSÃO MALEATO DE ENALAPRIL 10MG 7896112414971 VASOPRIL BIOLAB SANUS 10 MG COM CT STR X 60 HIPERTENSÃO MALEATO DE ENALAPRIL 10MG 7896112493662 VASOPRIL BIOLAB SANUS COM CT STR X 30 - 10MG HIPERTENSÃO MALEATO DE ENALAPRIL 10MG 7896241293669 VASOPRIL BIOLAB SANUS COM CT STR X 30 - 10MG HIPERTENSÃO MALEATO DE ENALAPRIL 10MG 7898272940468 VENALAPRIL TKS 10MG 30 COMP HIPERTENSÃO MALEATO DE ENALAPRIL 10MG 7898272940239 VENALAPRIL TKS 10MG 30 COMP. INFLUENZA A (H1N1) FOSFATO DE OSELTAMIVIR 30MG 7896226506098 TAMIFLU ROCHE 30 MG CAP GEL DUR CT BL AL PLAS INC X 10 INFLUENZA A (H1N1) FOSFATO DE OSELTAMIVIR 45MG 7896226506111 TAMIFLU ROCHE 45 MG CAP GEL DUR CT BL AL PLAS INC X 10 INFLUENZA A (H1N1) FOSFATO DE OSELTAMIVIR 75MG 7896226502168 TAMIFLU ROCHE 75 MG CAP GEL DUR CT BL AL PLAS INC X 10 OSTEOPOROSE ALENDRONATO DE SÓDIO 70MG 7898040320690 ALENDIL FARMOQUIMICA 70MG C/2 COMP OSTEOPOROSE ALENDRONATO DE SÓDIO 70MG 7898040320621 ALENDIL FARMOQUIMICA 70MG C/4 COMP OSTEOPOROSE ALENDRONATO DE SÓDIO 70MG 7896004727479 ALENDÓSSEO EMS 70 MG COM CT BL AL PLAS OPC X 4 OSTEOPOROSE ALENDRONATO DE SÓDIO 70MG 7898146821923 ALENDRONATO DE SÓDIO ARROW 70 MG COM CT BL AL PLAS INC X 2 OSTEOPOROSE ALENDRONATO DE SÓDIO 70MG 7898146821954 ALENDRONATO DE SÓDIO EUROFARMA 70 MG COM CT BL AL PLAS INC X 4 OSTEOPOROSE ALENDRONATO DE SÓDIO 70MG 7897595610089 ALENDRONATO DE SÓDIO SANDOZ 70 MG COM REV CT BL AL/AL X 4 OSTEOPOROSE ALENDRONATO DE SÓDIO 70MG 7896004715308 ALENDRONATO SÓDICO EMS 70 MG COM CT BL AL PLAS LEIT X 2 OSTEOPOROSE ALENDRONATO DE SÓDIO 70MG 7896004715322 ALENDRONATO SÓDICO EMS 70 MG COM CT BL AL PLAS LEIT X 4 OSTEOPOROSE ALENDRONATO DE SÓDIO 70MG 7896004715339 ALENDRONATO SÓDICO GENERICOS GERMED 70 MG COM CT BL AL PLAS LEIT X 2 OSTEOPOROSE ALENDRONATO DE SÓDIO 70MG 7896004715353 ALENDRONATO SÓDICO GENERICOS GERMED 70 MG COM CT BL AL PLAS LEIT X 4 OSTEOPOROSE ALENDRONATO DE SÓDIO 70MG 7894916143417 ALENDRONATO SÓDICO SIGMA PHARMA 70 MG COM CT BL AL PLAS LEIT X 2 OSTEOPOROSE ALENDRONATO DE SÓDIO 70MG 7894916143424 ALENDRONATO SÓDICO SIGMA PHARMA 70 MG COM CT BL AL PLAS LEIT X 4 OSTEOPOROSE ALENDRONATO DE SÓDIO 70MG 7896004726847 BONAGRAN LEGRAND 70 MG COM CT BL AL PLAS OPC X 4 OSTEOPOROSE ALENDRONATO DE SÓDIO 70MG 7896241217672 BONALEN UNIAO QUIMICA COM REV CT BL AL PLAS AMB X 4 70MG OSTEOPOROSE ALENDRONATO DE SÓDIO 70MG 7897595610973 BONEPREV SANDOZ 70 MG COM REV CT BL AL/AL X 4 OSTEOPOROSE ALENDRONATO DE SÓDIO 70MG 7896253902108 ENDRONAX SOLVAY FARMA 70 MG COMP CT 1 BL AL PLAS INC X 4 OSTEOPOROSE ALENDRONATO DE SÓDIO 70MG 7893454213118 ENDROSTAN DELTA 70 MG COM CT BL AL PLAS INC X 4 OSTEOPOROSE ALENDRONATO DE SÓDIO 70MG 7897337704519 FOSAMAX MERCK SHARP 70 MG CX. 1 BL X 4 CPD OSTEOPOROSE ALENDRONATO DE SÓDIO 70MG 7897337702515 FOSAMAX MERCK SHARP 70 MG CX. 1 BL X 4 CPD OSTEOPOROSE ALENDRONATO DE SÓDIO 70MG 7897655402005 MINUSORB UCI-FARMA 70 MG COM. CX C/4 OSTEOPOROSE ALENDRONATO DE SÓDIO 70MG 7898060138664 OSSOMAX GALLIA 70MG COMP BL CX C/4 OSTEOPOROSE ALENDRONATO DE SÓDIO 70MG 7896226102658 OSTENAN MARJAN 70 MG COMP REV CX COM 02 OSTEOPOROSE ALENDRONATO DE SÓDIO 70MG 7896226102641 OSTENAN MARJAN 70 MG COMP REV CX COM 04 OSTEOPOROSE ALENDRONATO DE SÓDIO 70MG 7898109241508 OSTEOFAR ELOFAR CX C/1 ENV X2COM 70MG OSTEOPOROSE ALENDRONATO DE SÓDIO 70MG 7898109241522 OSTEOFAR ELOFAR CX C/1 ENV X4COM 70MG OSTEOPOROSE ALENDRONATO DE SÓDIO 70MG 7894916501712 OSTEOFORM SIGMA PHARMA 70MG 1 BL X 2 COMP
  • 20.
    ELENCO OFICIAL DOSMEDICAMENTOS DISPONIBILIZADOS PELO PROGRAMA AQUI TEM FARMÁCIA POPULAR - SISTEMA DE COPAGAMENTO PATOLOGIA PRINCÍPIO ATIVO CÓDIGO DE BARRA PRODUTO LABORATÓRIO APRESENTAÇÃO OSTEOPOROSE ALENDRONATO DE SÓDIO 70MG 7894916501729 OSTEOFORM SIGMA PHARMA 70MG 1 BL X 4 COMP OSTEOPOROSE ALENDRONATO DE SÓDIO 70MG 7896317901788 TEROST ATIVUS 70 MG COM CT BL AL PLAS INC X 4 32 MCG/DOSE SUS NAS CT FR VD AMB NEB X 120 RINITE BUDESONIDA 32MCG 7896206402037 BUDECORT AQUA ASTRAZENECA DOSES 32 MCG/DOSE SUS AQU NAS CT FR PLAS OPC X 6 ML RINITE BUDESONIDA 32MCG 7896181909156 BUSONID BIOSINTETICA (120 DOSES) 32 MCG/DOSE SUS AQU NAS CT FR PLAS OPC X 6 ML RINITE BUDESONIDA 32MCG 7896181915171 BUSONID BIOSINTETICA (120 DOSES) 32 MCG/DOSE SUS AQUOSA NAS CT FR PLAS OPC X 3 RINITE BUDESONIDA 32MCG 7896181917199 BUSONID BIOSINTETICA ML (60 DOSES) 32 MCG / DOSE SUS NAS CT FRAS PLAS OPC NEB X 120 RINITE BUDESONIDA 32MCG 7891317439323 NOEX EUROFARMA DOSES 32 MCG/DOSE SUS NAS CT FR VD AMB NEB X 120 RINITE BUDESONIDA 32MCG 7891317426958 NOEX EUROFARMA DOSES 50 MCG/DOSE AER NASAL CT FR AL X 10 ML (200 RINITE BUDESONIDA 50MCG 7896181903598 BUSONID BIOSINTETICA DOSES) 50 MCG/DOSE SUS AQUOSA NAS CT FR PLAS OPC X 10 RINITE BUDESONIDA 50MCG 7896181901761 BUSONID BIOSINTETICA ML (200 DOSES) 50 MCG/DOSE SUS AQUOSA NAS CT FR PLAS OPC X 6 RINITE BUDESONIDA 50MCG 7896181907176 BUSONID BIOSINTETICA ML (120 DOSES) 50 MGC/DOSE SUS AQUOSA NAS CT FR PLAS OPC X 3 RINITE BUDESONIDA 50MCG 7896181917205 BUSONID BIOSINTETICA ML (60 DOSES) 50 MCG / DOSE SUS NAS CT FR PLAS OPC NEB X 200 RINITE BUDESONIDA 50MCG 7891317439330 NOEX EUROFARMA DOSES