MATHEMATICS IN THE MODERN
WORLD
FINAL EXAMINATION
Fibonacci Numbers and the Golden Ratio
Fibonacci numbers is a list of integers that starts
with 0 or 1, followed by 1, and proceeds with
enumerating the rest of the elements based on a rule
that each element is the sum of the preceding two
integers.
The list is named after Leonardo Pisano Bigollo
(also Leonardo Fibonacci), an Italian mathematician
who wrote the book Liber/ibaci in 1202.
The book contained Leonardo's description of
Hindu-Arabic numeration system. A number system
which, he explained, is more significant and
efficient than the Roman numeration system used in
Europe at that time. The book also contained a problem
that concerns the birth rate of rabbits. It is this problem
which gave rise to the Fibonacci numbers.
The sequence of numbers in the Fibonacci
sequence describes the population increase in rabbits for
n months. He discovered that the number of pairs of
rabbits for any month is the sum of the numbers of pairs
of rabbits from the two preceding months. .
His name Fibonacci is short for filius Bonacci, meaning
”son of Bonacci”.
Fibonacci Sequence ( Leonardo of Pisano Bigollo )
- starting with 0 and 1, the succeeding terms
can be generated by adding the two numbers that
came before the term. the Fibonacci numbers,
commonly denoted Fn form a sequence, called
the Fibonacci sequence, such that each number is
the sum of the two preceding ones, starting from 0
and 1. That is,
F0= 0, F1= 1
Fn = Fn-1+Fn-2 for n > 1.
One has F2 = 1. In some books, and particularly in old
ones, F0, the "0" is omitted, and the Fibonacci sequence
starts with
F1 = F2 = 1. The beginning of the sequence is thus:
(0), 1, 1, 2, 3, 5, 8, 13, 21, 34, 55, 89, 144…..
THE RULE
The Fibonacci Sequence can be written as a "Rule"
the terms are numbered from 0 onwards like this
: term number 6 is called x6 (which equals 8).
n
0 1 2 3 4 5 6 7 8 9 10
xn 0 1 1 2 3 5 8 13 21 34 55
The Rule is
x n = x n−1 + x n−2
where:
xn = is term number "n"
xn−1 = is the previous term (n−1)
xn−2 = is the term before that (n−2)
Example: term 9 is calculated like this:
x9= x9−1 + x9−2= x8 + x7
= 21 + 13
= 34
They also appear in biological settings, such as
branch Applications of Fibonacci numbers include
computer algorithm shing in trees, the arrangement of
leaves on a stem, the fruit sprouts of a pineapple, the
flowering of an artichoke, an uncurling fern and the
arrangement of a pine cone’s bracts.
Golden Ratio
Euclid's book Elements gives the first written
definition of what we take to mean the golden ratio.
A line segment is said to follow the golden ratio
if the “whole line is to the greater segment as the
greater is to the lesser”.
Given a line segment which is the sum of a and
b, where a > b, the segment follows the golden ratio if
the ratio of a + b to a is equal to the ratio of a to b.
Golden Ratio
The ratio of the entire line segment to the longer
segment is equal to the ratio of the longer segment to
the shorter.
It is also called by other names: golden
mean, golden proportion, golden cut,divine section,
divine proportion, extreme and mean ratio, and medial
section.
Golden Rectangle
The golden rectangle, golden triangle, and the
golden angle are three geometric shapes known to
contain the golden ratio and are considered to be
among the reasons behind the aesthetic appeal of
many artistic pieces past and present.
We could not be certain, however, if great
artists from distant past deliberately used the ratio
to set the proportions of their art, since no explicit
written accounts of that had been discovered yet.
3. If you have a wooden board that is 0.75m wide, how
long should you cut it such that the Golden Ratio is
observed?
VARIABLES
- a variable is a symbol commonly a single
letter that represents a number called
the value of the variable which is either
arbitrary, not fully specified, or unknown.
Making algebraic computations with
variables as if they were explicit numbers allows
one to solve a range of problems in a single
computation.
VARIABLES
A variable is sometimes thought of as a
mathematical “ John Doe “ because you can use it as a
placeholder when you want to talk about something but
either
1.) you imagine that it has one or more values but you
don’t know what they are.
2.) you want whatever you say about it to be equally true
for all elements in a given set
so that you are not restricted to considering only a
particular, concrete value for it
1.) Is there a number with the following property:
doubling it and adding 3 gives the same result as
squaring it?
Is there a number x with the property that 2x +
3 = x2?
2.) No matter what number might be chosen if it is
greater than 2, then its square is greater than 4.
No matter what number (n) might be chosen, if n it is
greater than 2, then n2 is greater than 4.
2x + 3 = x2
1.) Is there a number with the following property: doubling
it and adding 3 gives the same result as squaring it?
5.) The difference of two numbers is 10. If the smaller of
the two is x, what is the larger?
6.) The product of two numbers is 10. If one of them is y,
what is the other?
7.) If x is an unspecified number, what is four less than six
times the number?
8.) An integer x is five greater than twice another integer
y. What is x?
EXAMPLE:
1.) The length of a rectangle is 1.5 ft greater than its
width. Its perimeter is 8 ft. Find its dimensions.
1.) The length of a rectangle is 1.5 ft greater than its
width. Its perimeter is 8 ft. Find its dimensions.
a.) Find two numbers whose sum is 70 such that the
first divided by the second gives a quotient of 2 and a
remainder of 1.
b.) The length of a rectangle is 1.5 ft greater than its
width. Its perimeter is 8 ft. Find its dimensions.
c.) Find three consecutive odd integers whose sum is 39?
X ---- 1st odd
x + 2 -- 2nd odd
x + 4 ---3rd odd
x + (x+2)+(x+4) = 39
d.) Find two consecutive positive odd numbers, whose
product is 35?
X ---- smallest number
x + 2 --- larger odd number
x(x +2) = 35
e.) One number is 5 less than another. If their sum is
135, what are the numbers?
Y = x – 5
x + y = 135
SEATWORK:
1.) Find two consecutive positive odd numbers, whose
product is 35.
2.) A 29 ft rope is cut into two pieces. One piece is 3 ft
longer than the other. How long are the pieces?
3.) Five plus twice a number is seven times the number.
What is the number?
4.) Find two numbers such that their sum is 337 and
their difference is 43.
5. ) Find two numbers whose sum is 196 if the larger
exceeds the smaller by 8.
- It is highly used for interval and ratio data.
- The mean is affected by each and every value which is
an advantage.
- The mean uses all the data and each data influences the
mean.
- It is also a disadvantage because extremely large or
small values can cause the mean to be pulled toward the
MEAN OF UNGROUPED DATA
Averages can be obtained through weighted or un-
weighted average.
EXAMPLE:
1.) Suppose we get the average of the grades of
students whose subjects have varied number of units.
Physics lec (3 units) ---------------------- 85
Physics lab (2 units) ---------------------- 83
Analytic Geometry (5 units) -------------90
Philippine Literature (3 units) -----------78
Physical Education(1 unit) ----------------79
MEDIAN OF UNGROUPED DATA
Median for ungrouped data can be obtained by
inspection. A value which is found at the middle of the
distribution of an array of data.
In cases where there are even data in the array of
distribution, the two middle values will be added divided
by two to obtain its true median point.
Suppose a teacher gives an examination, a score
common in the class is called the modal score.
The manufacturer of shirt or shoes would be
always very particular with the modal size or modal color
as his basic consideration for production. Mode used the
symbol X
EXAMPLE:
1.) Mode of Ungrouped Data
Group A: 15,16,18,18,19, 20, 24
Group B: 78, 79, 81, 85, 85, 87,90,90,9l,92
SOLUTION:
GROUP A = 18 ( UNIMODAL)
GROUP B = 85, 90 ( BIMODAL)
APPORTIONMENT
HAMILTON’S METHOD
1.) Determine how many people each representative
should represent. Do this by dividing the total
population of all the states by the total number of
representatives. This answer is called standard divisor
or divisor.
2.) Divide each state’s population by the divisor to
determine how many representatives it should have.
Record this answer to several decimal places. This
answer is called the quota.
3.) Cut off all the decimal parts of all the quotas. These
are called the lower quotas. Then add the lower quotas.
This sum will always be less than or equal to the total
number of representatives.
4.) Assuming that the total from step 3 was less than the
total number of representatives, assign the remaining
representatives, one each to the states whose decimal
parts of the quota were largest until the desired total is
reached.
Population Quota Initial Final
State A 27500 4.3651 4
State B 38300 6.0794 6
State C 46500 7.3809 7
State D 76700 12.1746 12
Total 189000 29
2.) A teacher wishes to distribute 10 chocolates among
4 students, based on how many pages of a book they
read. The table below lists the total number of pages
read by each student. Using Hamilton’s Method. Find
the f.f.
a.) Find the divisor
b.) Find the quota for Andrea
c.) Find the initial apportionment for Andrea
Student Pages
Jen 580
Andrea 230
Rehanna 180
Jane 130
Student Pages Quota Initial Final
Jen 580 5.1786 5 5
Andrea 230 2.0536 2 2
Rehanna 180 1.6071 1 2
Jane 130 1.1607 1 1
Total 1120 9 10

MATH POINTERS-FINals PowerPoint presentation

  • 1.
    MATHEMATICS IN THEMODERN WORLD FINAL EXAMINATION
  • 2.
    Fibonacci Numbers andthe Golden Ratio Fibonacci numbers is a list of integers that starts with 0 or 1, followed by 1, and proceeds with enumerating the rest of the elements based on a rule that each element is the sum of the preceding two integers. The list is named after Leonardo Pisano Bigollo (also Leonardo Fibonacci), an Italian mathematician who wrote the book Liber/ibaci in 1202.
  • 3.
    The book containedLeonardo's description of Hindu-Arabic numeration system. A number system which, he explained, is more significant and efficient than the Roman numeration system used in Europe at that time. The book also contained a problem that concerns the birth rate of rabbits. It is this problem which gave rise to the Fibonacci numbers. The sequence of numbers in the Fibonacci sequence describes the population increase in rabbits for n months. He discovered that the number of pairs of rabbits for any month is the sum of the numbers of pairs of rabbits from the two preceding months. . His name Fibonacci is short for filius Bonacci, meaning ”son of Bonacci”.
  • 4.
    Fibonacci Sequence (Leonardo of Pisano Bigollo ) - starting with 0 and 1, the succeeding terms can be generated by adding the two numbers that came before the term. the Fibonacci numbers, commonly denoted Fn form a sequence, called the Fibonacci sequence, such that each number is the sum of the two preceding ones, starting from 0 and 1. That is, F0= 0, F1= 1 Fn = Fn-1+Fn-2 for n > 1. One has F2 = 1. In some books, and particularly in old ones, F0, the "0" is omitted, and the Fibonacci sequence starts with F1 = F2 = 1. The beginning of the sequence is thus: (0), 1, 1, 2, 3, 5, 8, 13, 21, 34, 55, 89, 144…..
  • 5.
    THE RULE The FibonacciSequence can be written as a "Rule" the terms are numbered from 0 onwards like this : term number 6 is called x6 (which equals 8). n 0 1 2 3 4 5 6 7 8 9 10 xn 0 1 1 2 3 5 8 13 21 34 55
  • 6.
    The Rule is xn = x n−1 + x n−2 where: xn = is term number "n" xn−1 = is the previous term (n−1) xn−2 = is the term before that (n−2) Example: term 9 is calculated like this: x9= x9−1 + x9−2= x8 + x7 = 21 + 13 = 34
  • 11.
    They also appearin biological settings, such as branch Applications of Fibonacci numbers include computer algorithm shing in trees, the arrangement of leaves on a stem, the fruit sprouts of a pineapple, the flowering of an artichoke, an uncurling fern and the arrangement of a pine cone’s bracts.
  • 33.
    Golden Ratio Euclid's bookElements gives the first written definition of what we take to mean the golden ratio. A line segment is said to follow the golden ratio if the “whole line is to the greater segment as the greater is to the lesser”. Given a line segment which is the sum of a and b, where a > b, the segment follows the golden ratio if the ratio of a + b to a is equal to the ratio of a to b.
  • 35.
    Golden Ratio The ratioof the entire line segment to the longer segment is equal to the ratio of the longer segment to the shorter. It is also called by other names: golden mean, golden proportion, golden cut,divine section, divine proportion, extreme and mean ratio, and medial section.
  • 36.
    Golden Rectangle The goldenrectangle, golden triangle, and the golden angle are three geometric shapes known to contain the golden ratio and are considered to be among the reasons behind the aesthetic appeal of many artistic pieces past and present. We could not be certain, however, if great artists from distant past deliberately used the ratio to set the proportions of their art, since no explicit written accounts of that had been discovered yet.
  • 41.
    3. If youhave a wooden board that is 0.75m wide, how long should you cut it such that the Golden Ratio is observed?
  • 42.
    VARIABLES - a variableis a symbol commonly a single letter that represents a number called the value of the variable which is either arbitrary, not fully specified, or unknown. Making algebraic computations with variables as if they were explicit numbers allows one to solve a range of problems in a single computation.
  • 43.
    VARIABLES A variable issometimes thought of as a mathematical “ John Doe “ because you can use it as a placeholder when you want to talk about something but either 1.) you imagine that it has one or more values but you don’t know what they are. 2.) you want whatever you say about it to be equally true for all elements in a given set so that you are not restricted to considering only a particular, concrete value for it
  • 44.
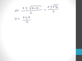
    1.) Is therea number with the following property: doubling it and adding 3 gives the same result as squaring it? Is there a number x with the property that 2x + 3 = x2? 2.) No matter what number might be chosen if it is greater than 2, then its square is greater than 4. No matter what number (n) might be chosen, if n it is greater than 2, then n2 is greater than 4.
  • 47.
    2x + 3= x2
  • 53.
    1.) Is therea number with the following property: doubling it and adding 3 gives the same result as squaring it?
  • 57.
    5.) The differenceof two numbers is 10. If the smaller of the two is x, what is the larger? 6.) The product of two numbers is 10. If one of them is y, what is the other? 7.) If x is an unspecified number, what is four less than six times the number? 8.) An integer x is five greater than twice another integer y. What is x?
  • 58.
    EXAMPLE: 1.) The lengthof a rectangle is 1.5 ft greater than its width. Its perimeter is 8 ft. Find its dimensions.
  • 59.
    1.) The lengthof a rectangle is 1.5 ft greater than its width. Its perimeter is 8 ft. Find its dimensions.
  • 60.
    a.) Find twonumbers whose sum is 70 such that the first divided by the second gives a quotient of 2 and a remainder of 1.
  • 62.
    b.) The lengthof a rectangle is 1.5 ft greater than its width. Its perimeter is 8 ft. Find its dimensions.
  • 63.
    c.) Find threeconsecutive odd integers whose sum is 39? X ---- 1st odd x + 2 -- 2nd odd x + 4 ---3rd odd x + (x+2)+(x+4) = 39
  • 64.
    d.) Find twoconsecutive positive odd numbers, whose product is 35? X ---- smallest number x + 2 --- larger odd number x(x +2) = 35
  • 66.
    e.) One numberis 5 less than another. If their sum is 135, what are the numbers? Y = x – 5 x + y = 135
  • 70.
    SEATWORK: 1.) Find twoconsecutive positive odd numbers, whose product is 35. 2.) A 29 ft rope is cut into two pieces. One piece is 3 ft longer than the other. How long are the pieces? 3.) Five plus twice a number is seven times the number. What is the number? 4.) Find two numbers such that their sum is 337 and their difference is 43. 5. ) Find two numbers whose sum is 196 if the larger exceeds the smaller by 8.
  • 72.
    - It ishighly used for interval and ratio data. - The mean is affected by each and every value which is an advantage. - The mean uses all the data and each data influences the mean. - It is also a disadvantage because extremely large or small values can cause the mean to be pulled toward the
  • 73.
    MEAN OF UNGROUPEDDATA Averages can be obtained through weighted or un- weighted average. EXAMPLE: 1.) Suppose we get the average of the grades of students whose subjects have varied number of units. Physics lec (3 units) ---------------------- 85 Physics lab (2 units) ---------------------- 83 Analytic Geometry (5 units) -------------90 Philippine Literature (3 units) -----------78 Physical Education(1 unit) ----------------79
  • 77.
    MEDIAN OF UNGROUPEDDATA Median for ungrouped data can be obtained by inspection. A value which is found at the middle of the distribution of an array of data. In cases where there are even data in the array of distribution, the two middle values will be added divided by two to obtain its true median point.
  • 80.
    Suppose a teachergives an examination, a score common in the class is called the modal score. The manufacturer of shirt or shoes would be always very particular with the modal size or modal color as his basic consideration for production. Mode used the symbol X EXAMPLE: 1.) Mode of Ungrouped Data Group A: 15,16,18,18,19, 20, 24 Group B: 78, 79, 81, 85, 85, 87,90,90,9l,92
  • 81.
    SOLUTION: GROUP A =18 ( UNIMODAL) GROUP B = 85, 90 ( BIMODAL)
  • 82.
    APPORTIONMENT HAMILTON’S METHOD 1.) Determinehow many people each representative should represent. Do this by dividing the total population of all the states by the total number of representatives. This answer is called standard divisor or divisor. 2.) Divide each state’s population by the divisor to determine how many representatives it should have. Record this answer to several decimal places. This answer is called the quota.
  • 83.
    3.) Cut offall the decimal parts of all the quotas. These are called the lower quotas. Then add the lower quotas. This sum will always be less than or equal to the total number of representatives. 4.) Assuming that the total from step 3 was less than the total number of representatives, assign the remaining representatives, one each to the states whose decimal parts of the quota were largest until the desired total is reached.
  • 84.
    Population Quota InitialFinal State A 27500 4.3651 4 State B 38300 6.0794 6 State C 46500 7.3809 7 State D 76700 12.1746 12 Total 189000 29
  • 85.
    2.) A teacherwishes to distribute 10 chocolates among 4 students, based on how many pages of a book they read. The table below lists the total number of pages read by each student. Using Hamilton’s Method. Find the f.f. a.) Find the divisor b.) Find the quota for Andrea c.) Find the initial apportionment for Andrea Student Pages Jen 580 Andrea 230 Rehanna 180 Jane 130
  • 86.
    Student Pages QuotaInitial Final Jen 580 5.1786 5 5 Andrea 230 2.0536 2 2 Rehanna 180 1.6071 1 2 Jane 130 1.1607 1 1 Total 1120 9 10