Instructor: Jonathan A. Landaverde Prof. Ing. Eduardo Escapini Matemática II
    c
n
xg
dxxgxg
n
n




 1
)(
)()(
1
  c
a
a
dxxga
xg
xg
ln
)(
)(
)(
1a a 0^,
easi 
cec
e
c
e
e
dxxge xg
xgxg
xg

)(
)()(
)(
1ln
)(
cxg
xg
xg


 )(ln
)(
)(
    cxgCosdxxgxgSen  )()()(
Nota: la formula #5 también se aplica si se sustituye Sen(x)
por cualquier otra función trigonométrica, e integrando la
correspondiente función.
Fórmulas de integración directaFórmulas de integración básicas
conocidas
cxdx 
c
n
x
dxx
n
n




 1
1
cxCosdxxSen  )()(
cxSendxxCos  )()(
cxTandxxSec  )()(2
cxSecdxxTanxSec  )()()(
  cxCotdxxCsc )()(2
cxCscdxxCotxCsc  )()()(
cxSendx
x



 )(
1
1 1
2
cxTandx
x



 )(
1
1 1
2
cxSecdx
xx



 )(
1
1 1
2
cdx ee
xx

c
a
dx aa
x
x
 ln
cxdx
x
 ln
1
cxTanxSecdxxSec  )()(ln)(
cxCtgxCscdxxCsc  )()(ln)(
cdx 0
ckxdxk 
  dxxfxkf )()(
    dxxgdxxfdxxgxf )()()()(
1.
2.
3.
4.
5.
6.
7.
8.
9.
10.
11.
12.
13.
14.
15.
16.
17.
18.
19.
20.
1.
2.
3.
4.
5.
La integral indefinida:
cxfdxxf  )()(
cdx ee
xx
 

21.
Integración por partes
  vduuvudv
I
L
A
T
E
nversa
ogarítmica
lgebraica
rigonométrica
xponencial
Instructor: Jonathan A. Landaverde Prof. Ing. Eduardo Escapini Matemática II
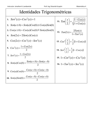
Identidades Trigonométricas
1)()( 22
 xCosxSen
)()()()()( bSenaCosbCosaSenbaSen 
)()()()()( bSenaSenbCosaCosbaCos 
)()(2)2( xCosxSenxSen 
)()()2( 22
xSenxCosxCos 
2
)2(1
)(2 xCos
xCos


2
)2(1
)(2 xCos
xSen


2
)()(
)()(
baSenbaSen
bCosaSen


2
)()(
)()(
baCosbaCos
bCosaCos


2
)()(
)()(
baCosbaCos
bSenaSen


)()(1 22
xSecxTan 
)()(1 22
xCscxCot 
 )(1
2
1
2
2
xCos
x
Sen 





 )(1
2
1
2
2
xCos
x
Cos 





)(1
)(2
)2( 2
xTan
xTan
xTan


)(1
)(1
2 xCos
xCosx
Tan







1.
2.
3.
4.
5.
6.
7.
8.
9.
10.
12.
13.
14.
15.
16.
11.

La integral indefinida e identidades trigonometricas

  • 1.
    Instructor: Jonathan A.Landaverde Prof. Ing. Eduardo Escapini Matemática II     c n xg dxxgxg n n      1 )( )()( 1   c a a dxxga xg xg ln )( )( )( 1a a 0^, easi  cec e c e e dxxge xg xgxg xg  )( )()( )( 1ln )( cxg xg xg    )(ln )( )(     cxgCosdxxgxgSen  )()()( Nota: la formula #5 también se aplica si se sustituye Sen(x) por cualquier otra función trigonométrica, e integrando la correspondiente función. Fórmulas de integración directaFórmulas de integración básicas conocidas cxdx  c n x dxx n n      1 1 cxCosdxxSen  )()( cxSendxxCos  )()( cxTandxxSec  )()(2 cxSecdxxTanxSec  )()()(   cxCotdxxCsc )()(2 cxCscdxxCotxCsc  )()()( cxSendx x     )( 1 1 1 2 cxTandx x     )( 1 1 1 2 cxSecdx xx     )( 1 1 1 2 cdx ee xx  c a dx aa x x  ln cxdx x  ln 1 cxTanxSecdxxSec  )()(ln)( cxCtgxCscdxxCsc  )()(ln)( cdx 0 ckxdxk    dxxfxkf )()(     dxxgdxxfdxxgxf )()()()( 1. 2. 3. 4. 5. 6. 7. 8. 9. 10. 11. 12. 13. 14. 15. 16. 17. 18. 19. 20. 1. 2. 3. 4. 5. La integral indefinida: cxfdxxf  )()( cdx ee xx    21. Integración por partes   vduuvudv I L A T E nversa ogarítmica lgebraica rigonométrica xponencial
  • 2.
    Instructor: Jonathan A.Landaverde Prof. Ing. Eduardo Escapini Matemática II Identidades Trigonométricas 1)()( 22  xCosxSen )()()()()( bSenaCosbCosaSenbaSen  )()()()()( bSenaSenbCosaCosbaCos  )()(2)2( xCosxSenxSen  )()()2( 22 xSenxCosxCos  2 )2(1 )(2 xCos xCos   2 )2(1 )(2 xCos xSen   2 )()( )()( baSenbaSen bCosaSen   2 )()( )()( baCosbaCos bCosaCos   2 )()( )()( baCosbaCos bSenaSen   )()(1 22 xSecxTan  )()(1 22 xCscxCot   )(1 2 1 2 2 xCos x Sen        )(1 2 1 2 2 xCos x Cos       )(1 )(2 )2( 2 xTan xTan xTan   )(1 )(1 2 xCos xCosx Tan        1. 2. 3. 4. 5. 6. 7. 8. 9. 10. 12. 13. 14. 15. 16. 11.