สามารถกดเพื่อไปยังหน้ าต่ างดาวโหลด “Title Lists” ของฐานข้ อมูล



  สามารถกดเพื่อกลับไปสู่หน้ าต่ าง “รวมฐานข้ อมูลของ                                                                              ชื่อสถาบัน
  Cengage” ที่ทางสถาบันบอกรับ


 1          การเลือกค้ นหาแบบรายวิชา               การเลือกค้ นหาแบบตามปี พิมพ์
                                                                 การเลือกค้ นหาแบบพิเศษ
                                                                                                                     การดูข้อมูลของคําหรือสิ่งที่เคยพิมพ์
                                                                                                                     ค้ นหาใน
                                                                                                             ผู้ใช้ สามารถพิมพ์ คาํ
                                                                                                             หรื อสิ่งที่ต้องการจะค้ นหาลงในช่ องว่ าง
                                                                                                                                        สามารถเลือกผลการค้ นหา
                        สามารถเลือกผลการค้ นหาเป็ น                                                                                     เป็ น “ทังหมดที่ค้นพบ”
                                                                                                                                                 ้
                        รายสาขาหรือประเภทวิชา
                                                                                                                        สามารถเลือกผลการค้ นหาเป็ น “คํา”
                   สามารถเลือกจํากัดผลการค้ นหาเป็ น
                                                                                                                      สามารถเลือกจํากัดผลการค้ นหาเป็ น
                   แบบ “Full-text” เท่ านัน  ้
                                                                                                                      แบบ “ข้ อมูลและรู ปภาพ” เท่ านัน
                                                                                                                                                     ้




   2   หลังจากที่ได้ กด                         ผลที่แสดงออกมานันจะแบ่งเป็ นประเภทต่างๆ ดังนี ้
                                                                ้

                     นิตยสาร วารสาร หนังสือ           ข่ าว       วิดีโอ


                                                       ตัวอักษรสีแดงจะเป็ นการแสดง
                                                       ผลของคําที่ได้ พมพ์ ค้นหา
                                                                       ิ

                                                          สามารถเลือกดูเป็ นแบบ “PDF”

                                                                                                                                         อุปกรณ์ การพิมพ์
สามารถเลือกดูเป็ นแบบ “PDF”
                                                                                                                                       การส่ งข้ อมูลผ่ านไปยัง
                                                                                                                                       FaceBook, Google
                                                                                                       การอ้ างอิง                     และอื่นๆ



สามารถส่ งข้ อมูลทาง “E-mail”                                                      พจนานุกรม

                                                                                                                                       การดาวโหลดเสียงอ่ าน


                                                                                                                     อุปกรณ์ แปลภาษา
        New Knowledge Information Co.,Ltd.
        Contact: Mr. Krairerk S. Tel: 02-1293983 / 085-910 9105    E-mail: krairerk.s@newknowledgeinfo.com
3                                        การค้ นหาข้ อมูลโดยต้ องการข้ อมูลเฉพาะเจาะจง




    New Knowledge Information Co.,Ltd.
    Contact: Mr. Krairerk S. Tel: 02-1293983 / 085-910 9105   E-mail: krairerk.s@newknowledgeinfo.com
Health Reference Center Academic
Available 24 hours a day via the Internet, Health Reference Center - Academic provides a one-stop, full service resource for health-related research. It provides an integrated collection of general interest health
and fitness magazines, medical and professional periodicals, reference books and pamphlets. Records are available in a combination of indexing, abstracts or full text formats. Designed for nursing and allied
health students, as well as consumer health researchers. Select titles may have different coverage based on the market your library serves.
Updated March 1, 2012
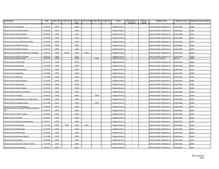
Journal Name                                                      ISSN        Index Start      Index End        Full-text    Full-text End Image Start         Image End            Format           Refereed/Peer-     Embargo             Publisher Name                  Publisher Country   Publication Primary Subject
                                                                                                                  Start                                                                                Reviewed          (Days)
10 Tips For Healthy Restaurant Dining                                            4/2007                          4/2007                                                              Video                                        Health Guru Media, Inc.                 United States         Health

A Friend Indeed                                                0824-1961         9/2002          1/2006          9/2002          1/2006           9/2002          1/2006           Newsletter                                     A Friend Indeed Publications, Inc.      Canada                Women's issues/gender studies

A New Agenda for Women's Health and Nutrition                                    8/1994                          8/1994                                                              Report                                       The World Bank                          United States         Women's issues/gender studies
                                                                                                                                                                                                                                  American Speech-Language-Hearing
A S H A Leader                                                 1085-9586         1/1999                          1/1999                           9/1999                       Magazine/Journal                                   Association                             United States         Health
                                                                                                                                                                                                                                  American Association of Critical-Care
AACN Bold Voices                                               1948-7088         7/2009                                                                                            Newsletter                                     Nurses                                  United States         Psychology and mental health
                                                                                                                                                                                                                                  American Association of Critical-Care
AACN News                                                      1075-7732         12/2006         7/2008          12/2006         7/2008                                            Newsletter                                     Nurses                                  United States         Psychology and mental health
                                                                                                                                                                                                                                  American Academy of Orthopaedic
AAOS Now                                                       1935-6765         12/2010                         12/2010                         12/2010                       Magazine/Journal              Y                    Surgeons                                United States         Health
                                                                                                                                                                                                                                  American Association of Retired
AARP: The Magazine                                             1541-9894         11/2004                                                                                       Magazine/Journal                                   Persons                                 United States         General interest
Abdominal Imaging                                              0942-8925          1/2000                                                                                       Magazine/Journal              Y                    Springer                                United States         Health
ABNF Journal                                                   1046-7041          1/2002         11/2004         1/2002          11/2004          5/2002         11/2004       Magazine/Journal              Y                    Tucker Publications, Inc.               United States         Health
Abstracts in Hematology & Oncology                                                5/2005         11/2007         5/2005          11/2007                                       Magazine/Journal                                   CMP Medica, LLC                         United States         Health
Academy of Health Care Management Journal                      1559-7628          1/2005                         1/2005                           1/2005                       Magazine/Journal              Y                    The DreamCatchers Group, LLC            United States         Health care industry
Academy of Management Journal                                  0001-4273          3/1980                                                                                       Magazine/Journal              Y                    Academy of Management                   United States         Business, general
ACC Current Journal Review                                     1062-1458          7/1996         12/2005                                                                       Magazine/Journal              Y                    Elsevier B.V.                           Netherlands           Health
Accent on Living                                               0001-4508         12/1987          6/2001         3/1989          6/2001           6/1994          6/2001       Magazine/Journal                                   Cheever Publishing, Inc.                United States         Health
                                                                                                                                                                                                                                  American Dental Hygienists'
Access                                                         1050-0758         9/2007                          9/2007                           9/2007                       Magazine/Journal                                   Association                                                   Health
Accident and Emergency Nursing                                 0965-2302         1/2005                          1/2005          7/2006           1/2005          7/2006       Magazine/Journal              Y                    Elsevier B.V.                           Netherlands           Health care industry
ACOG Clinical Review                                           1085-6862         3/1996                                                                                        Magazine/Journal              Y                    Elsevier B.V.                           Netherlands           Science and technology
                                                                                                                                                                                                                                  American Council on Science and
ACSH News & Views                                              0737-8637          1/1988         5/1988                                                                        Magazine/Journal                                   Health                                  United States         Health
Acta Anaesthesiologica Scandinavica                            0001-5172          2/2000                                                                                       Magazine/Journal              Y                    Blackwell Publishers Ltd.               United Kingdom        Health
Acta Biochimica et Biophysica Sinica                           1672-9145          1/2006                                                                                       Magazine/Journal              Y                    Blackwell Publishers Ltd.               United Kingdom        Biological sciences
Acta Clinica Belgica                                           0001-5512          5/2009                         5/2009                           5/2009                       Magazine/Journal              Y                    Acta Clinica Belgica                    Belgium               Health
Acta Crystallographica Section D                               0907-4449         11/1998                                                                                       Magazine/Journal              Y                    Blackwell Publishers Ltd.               United Kingdom        Chemistry
Acta Crystallographica Section F                               1744-3091          1/2006                                                                                       Magazine/Journal              Y                    Blackwell Publishers Ltd.               United Kingdom        Chemistry
Acta Diabetologica                                             0940-5429          6/1991                                                                                       Magazine/Journal              Y                    Springer                                United States         Health
Acta Neurochirurgica                                           0001-6268          3/1980                                                                                       Magazine/Journal              Y                    Springer                                United States         Health

Acta   Neurologica Scandinavica                                0001-6314         3/2002                                                                                        Magazine/Journal              Y                    Blackwell Publishers Ltd.               United   Kingdom      Psychology and mental health
Acta   Neuropathologica                                        0001-6322         9/2003                                                                                        Magazine/Journal              Y                    Springer                                United   States       Science and technology
Acta   Ophthalmologica                                         1755-375X         8/2008                                                                                        Magazine/Journal              Y                    Blackwell Publishers Ltd.               United   Kingdom      Health
Acta   Ophthalmologica Scandinavica                            1395-3907         2/2006          6/2008                                                                        Magazine/Journal              Y                    Blackwell Publishers Ltd.               United   Kingdom      Health
                                                                                                                                                                                                                                  Scandinavian University Press
Acta Oto-Laryngologica                                         0001-6489         9/1989          9/1989                                                                        Magazine/Journal              Y                    (Norway)                                                      Health
                                                                                                                                                                                                                                                                                                Pharmaceuticals and cosmetics
Acta Pharmacologica Sinica                                     1671-4083          1/2006                                                                                       Magazine/Journal              Y                    Blackwell Publishers Ltd.               United Kingdom        industries
Acta Physiologiae Plantarum                                    0137-5881         12/1997                                                                                       Magazine/Journal              Y                    Springer                                United States         Biological sciences
Acta Physiologica                                              1748-1708          1/2006                                                                                       Magazine/Journal              Y                    Blackwell Publishers Ltd.               United Kingdom        Biological sciences

Acta Psychiatrica Scandinavica                                 0001-690X         5/2002                                                                                        Magazine/Journal              Y                    Blackwell Publishers Ltd.               United Kingdom        Psychology and mental health

Acupuncture in Medicine                                        0964-5284         1/2006          7/2008          1/2006          7/2008           1/2006          7/2008       Magazine/Journal              Y                    British Medical Acupuncture Society     United Kingdom        Health
                                                                                                                                                                                                                                  American Physical Therapy
Acute Care Perspectives                                        1551-9147         3/2008          12/2009         3/2008          12/2009          3/2008         12/2009       Magazine/Journal              Y                    Association, Acute Care Section         United   States       Health
Addiction                                                      0965-2140         4/1983                                                                                        Magazine/Journal              Y                    Blackwell Publishers Ltd.               United   Kingdom      Health
Addiction & Recovery                                           1052-4614         6/1990          7/1993          6/1990          7/1993                                        Magazine/Journal                                   Vendome Group LLC                       United   States       Health
Addiction Biology                                              1355-6215         3/2006                                                                                        Magazine/Journal              Y                    Blackwell Publishers Ltd.               United   Kingdom      Social sciences

Addiction Letter                                               8756-405X         1/1989          6/1996          1/1989          6/1996                                            Newsletter                                     Manisses Communications Group, Inc. United States             Health care industry




                                                                                                                                                                                                                                                                                                  HRC Academic
                                                                                                                                                                                                                                                                                                          1/62
Journal Name                                                   ISSN      Index Start   Index End   Full-text   Full-text End Image Start   Image End       Format         Refereed/Peer-   Embargo             Publisher Name                 Publisher Country   Publication Primary Subject
                                                                                                     Start                                                                  Reviewed        (Days)

Addiction Professional                                       1542-8435     5/2004                   5/2004                     5/2004                  Magazine/Journal                              Vendome Group LLC                      United States         Psychology and mental health
Addictive Behaviors                                          0306-4603     1/1994                                                                      Magazine/Journal         Y                    Elsevier B.V.                          Netherlands           Health
Administration in Social Work                                0364-3107     1/1992                                                                      Magazine/Journal         Y                    Routledge                              United Kingdom        Sociology and social work

Adolescence                                                  0001-8449     3/1989       12/2009     3/1993       12/2009       6/1994       12/2009    Magazine/Journal         Y                    Libra Publishers, Inc.                 United States         Psychology and mental health
                                                                                                                                                                                                     British Association for Adoption &
Adoption & Fostering                                         0308-5759     3/2006                   3/2006                     3/2006                  Magazine/Journal         Y                    Fostering                              United Kingdom        Family and marriage

Adultspan Journal                                            1524-6817     3/2000                   3/2000                     3/2000                  Magazine/Journal         Y                    American Counseling Association        United States         Psychology and mental health
                                                                                                                                                                                                     Lippincott Williams & Wilkins, WK
Advanced Emergency Nursing Journal                           1931-4485     7/2006                                                                      Magazine/Journal         Y                    Health                                 United   States       Health
Advances in Breast Cancer                                    1742-0946     6/2007                   6/2007                     6/2007                  Magazine/Journal                              Mediscript Ltd.                        United   Kingdom      Health
Advances in Gastrointestinal Cancer                          1479-9995     6/2007       10/2009     6/2007       10/2009       6/2007       10/2009    Magazine/Journal                              Mediscript Ltd.                        United   Kingdom      Health
Advances in Health Sciences Education                        1382-4996     8/2006                                                                      Magazine/Journal         Y                    Springer                               United   States       Education
Advances in Hematology                                       1687-9104     1/2009                   1/2009                     1/2009                  Magazine/Journal         Y                    Hindawi Publishing Corp.               Egypt                 Health
                                                                                                                                                                                                     American-Eurasian Network for
Advances in Medical and Dental Sciences                      1995-0764     9/2007                   9/2007                     9/2007                  Magazine/Journal         Y                    Scientific Information                 Jordan                Health

Advances in Mental Health                                    1837-4905     8/2010                   8/2010                     8/2010                  Magazine/Journal         Y                    eContent Management Pty Ltd.           Australia             Psychology and mental health
                                                                                                                                                                                                     Lippincott Williams & Wilkins, WK
Advances in Nursing Science                                  0161-9268      3/1996                                                                     Magazine/Journal         Y                    Health                                 United States         Health
Advances in Oncology                                         1750-5925     11/2008                 11/2008                    11/2008                  Magazine/Journal         Y                    Mediscript Ltd.                        United Kingdom        Health
Advances in Pharmacological Sciences                         1687-6334      1/2008                  1/2008                     1/2008                  Magazine/Journal         Y                    Hindawi Publishing Corp.               Egypt                 Health

Advances in Physical Education                               2164-0386     8/2011                                                                      Magazine/Journal         Y                    Scientific Research Publishing, Inc.   United States         Education
                                                                                                                                                                                                     Lippincott Williams & Wilkins, WK
Advances   in   Skin & Wound Care                            1527-7941     1/2000                                                                      Magazine/Journal         Y                    Health                                 United States         Health
Advances   in   Therapy                                      0741-238X     1/2008                                                                      Magazine/Journal         Y                    Springer                               United States         Health
Advances   in   Urology                                      1687-6369     1/2008                   1/2008                     1/2008                  Magazine/Journal         Y                    Hindawi Publishing Corp.               Egypt                 Health
Advances   in   Wound Care: The Journal for Prevention and                                                                                                                                           Lippincott Williams & Wilkins, WK
Healing                                                      1076-2191     1/1996       11/1999                                                        Magazine/Journal         Y                    Health                                 United States         Health care industry

Adverse Event Reporting News                                 1550-5332     1/2007                   1/2007                     1/2007                  Magazine/Journal                              Washington Information Source, Inc.    United States         Government
                                                                                                                                                                                                     Asian-Pacific Resource & Research
Advocating Accountability                                                  1/2008                   1/2008                     1/2008                    Monograph                                   Centre for Women                       Malaysia              Women's issues/gender studies
Aesthetic Plastic Surgery                                    0364-216X     1/1997                                                                      Magazine/Journal         Y                    Springer                               United States         Health
                                                                                                                                                                                                     Aerobics and Fitness Association of
AFAA's American Fitness                                      0749-8942     12/1987      11/1989     2/1988       11/1989                               Magazine/Journal                              America                                United States         Sports and fitness
Affilia Journal of Women and Social Work                     0886-1099      3/1992                  9/1997       12/1998                               Magazine/Journal         Y                    Sage Publications, Inc.                United States         Sociology and social work
Africa - Regional AIDS Strategy For the Sahel                               1/1995                  1/1995                                                 Report                                    The World Bank                         United States         Health
                                                                                                                                                                                                     Medknow Publications and Media Pvt.
African Journal of Paediatric Surgery                        0189-6725     1/2008                   1/2008                                             Magazine/Journal         Y                    Ltd.                                   India                 Health
AGE                                                          0161-9152     3/2005                                                                      Magazine/Journal         Y                    Springer                               United States         Social sciences
Age and Ageing                                               0002-0729     1/1989                   5/1992       11/1998                               Magazine/Journal         Y                    Oxford University Press                United Kingdom        Seniors
Ageing International                                         0163-5158     9/1996                                                                      Magazine/Journal                              Springer                               United States         Seniors

Aggression and Violent Behavior                              1359-1789     1/2006                                                                      Magazine/Journal         Y                    Elsevier B.V.                          Netherlands           Psychology and mental health
Aging and Demographic Change In European Societies:
Main Trends andAlternative Policy Options                                   3/2007                  3/2007                                                 Report                                    The World Bank                         United States         Sociology and social work
Aging Cell                                                   1474-9718     12/2003                                                                     Magazine/Journal                              Blackwell Publishers Ltd.              United Kingdom        Biological sciences
Aging Health                                                 1745-509X      8/2005                  8/2005                     5/2006                  Magazine/Journal         Y                    Future Medicine Ltd.                   United Kingdom        Health
Agri: The Journal of The Turkish Society of Algology         1300-0012     10/2011                 10/2011                    10/2011                  Magazine/Journal         Y                    KARE Publishing                        Turkey                Health
AIDS Alert                                                   0887-0292      1/1988                  1/1988                     1/1999       3/2005       Newsletter             Y                    AHC Media LLC                          United States         Health
AIDS and Behavior                                            1090-7165      3/1997                                                                     Magazine/Journal         Y                    Springer                               United States         Health
AIDS Patient Care                                            0893-5068      2/1989      12/1995                                                        Magazine/Journal         Y                    Mary Ann Liebert, Inc.                 United States         Health
AIDS Patient Care and STDs                                   1087-2914      2/1996       1/2012                                                        Magazine/Journal         Y                    Mary Ann Liebert, Inc.                 United States         Health
AIDS Prevention and Mitigation In Sub-Saharan Africa: An
Updated World BankStrategy                                                  4/1996                  4/1996                                                 Report                                    The World Bank                         United States         Health
AIDS Reader                                                  1053-0894      3/2005                  3/2005                                             Magazine/Journal         Y                    CMP Medica, LLC                        United States         Health
AIDS Research and Human Retroviruses                         0889-2229     12/2007      11/2011    12/2007       11/2011      12/2007       11/2011    Magazine/Journal         Y                    Mary Ann Liebert, Inc.                 United States         Health
AIDS Research and Therapy                                    1742-6405     12/2006                 12/2006                                             Magazine/Journal         Y                    BioMed Central Ltd.                    United Kingdom        Health
AIDS Treatment News                                          1052-4207      9/2000                  9/2000                    10/2000                    Newsletter                                  John S. James                          United States         Health
AIDS Vaccine Week                                            1543-6918      1/2003                  1/2003                                               Newsletter                                  NewsRX                                 United States         Health
AIDS Weekly                                                  1069-1456      1/1991       2/2012     1/1991        2/2012                                 Newsletter                                  NewsRX                                 United States         Health
AIDS Weekly Plus                                                           11/1995      10/1999    11/1995       10/1999                                 Newsletter                                  NewsRX                                 United States         Health
Air Medical Journal                                          1067-991X      5/2001                                                                     Magazine/Journal         Y                    Elsevier B.V.                          Netherlands           Health




                                                                                                                                                                                                                                                                    HRC Academic
                                                                                                                                                                                                                                                                            2/62
Journal Name                                            ISSN      Index Start   Index End   Full-text   Full-text End Image Start   Image End       Format         Refereed/Peer-   Embargo             Publisher Name                     Publisher Country   Publication Primary Subject
                                                                                              Start                                                                  Reviewed        (Days)
AJIC: American Journal of Infection Control           0196-6553     2/1998                                                                      Magazine/Journal          Y                   Elsevier B.V.                              Netherlands           Health
                                                                                                                                                                                              American Occupational Therapy
AJOT: American Journal of Occupational Therapy        0272-9490     1/2004                   1/2004                     1/2004                  Magazine/Journal         Y                    Association                                United States         Health

Alcohol Health & Research World                       0090-838X     12/1987      12/1998     1/1989       12/1998       6/1994        6/1997    Magazine/Journal         Y                    U.S. Government Printing Office            United   States       Psychology and mental health
Alcohol Research & Health                             1535-7414      1/1999                  1/1999                     9/1999                  Magazine/Journal         Y                    U.S. Government Printing Office            United   States       Health
Alcoholism & Addiction Magazine                       0884-1403      2/1988      11/1989     2/1988       11/1989                               Magazine/Journal                              Vendome Group LLC                          United   States       Health
Alcoholism & Drug Abuse Week                          1042-1394      1/1989      12/1996     1/1989       12/1996                                 Newsletter                                  Wiley Periodicals, Inc.                    United   States       Health

Alcoholism & Drug Abuse Weekly                        1042-1394     1/1997                   1/1997                     3/1997                     Newsletter                         180     Wiley Periodicals, Inc.                    United States         Psychology and mental health
                                                                                                                                                                                              National Council on Alcoholism and
Alcoholism Report                                     0276-3613     1/1989       12/1994     1/1989       12/1994                                 Newsletter                                  Drug Dependence, Inc.                      United States         Health
Alcoholism: Clinical and Experimental Research        0145-6008     1/2006                                                                      Magazine/Journal         Y                    Blackwell Publishers Ltd.                  United Kingdom        Social sciences
                                                                                                                                                                                                                                                               Pharmaceuticals and cosmetics
Alimentary Pharmacology and Therapeutics              0269-2813     2/2000                                                                      Magazine/Journal         Y                    Blackwell Publishers Ltd.                  United Kingdom        industries
Alimentos e Nutricao (Brazilian Journal of Food and                                                                                                                                           Faculdade de Ciencias Farmaceuticas
Nutrition)                                            0103-4235      1/2008                  1/2008                     1/2008                  Magazine/Journal         Y                    UNESP                                      Brazil                Food/cooking/nutrition
Allergy                                               0105-4538     12/2001                                                                     Magazine/Journal         Y                    Blackwell Publishers Ltd.                  United Kingdom        Health
Allergy, Asthma & Clinical Immunology                 1710-1492      3/2005                  3/2005                                             Magazine/Journal         Y                    BioMed Central Ltd.                        United Kingdom        Health
Alternative Medicine Review                           1089-5159      2/1999                  8/2000                     8/2000                  Magazine/Journal         Y                    Thorne Research Inc.                       United States         Health
Alternative Therapies in Health and Medicine          1078-6791      1/2000                                                                     Magazine/Journal         Y                    InnoVision Communications                                        Health
Alternative Therapies in Women's Health               1522-3396     12/1998      6/2009     12/1998        6/2009       1/2002       3/2005       Newsletter                                  AHC Media LLC                              United States         Health
                                                                                                                                                                                              Lippincott Williams & Wilkins, WK
Alzheimer's Care Quarterly                            1525-3279      9/2001      10/2006                                                        Magazine/Journal         Y                    Health                                     United States         Health care industry
Alzheimer's Research & Therapy                        1758-9193     10/2009                 10/2009                                             Magazine/Journal         Y                    BioMed Central Ltd.                        United Kingdom        Health
                                                                                                                                                                                              American Running & Fitness
AMAA Journal                                                        3/2002                   1/2003                     1/2003                  Magazine/Journal         Y                    Association                                United States         Sports and fitness
Ambulatory Pediatrics                                 1530-1567     1/2001       11/2008                                                        Magazine/Journal         Y                    Elsevier B.V.                              Netherlands           Health

American Baby                                         0044-7544     1/1980                                                                      Magazine/Journal                              Reed Business Information, Inc. (US) United States               Family and marriage
                                                                                                                                                                                                                                                               Pharmaceuticals and cosmetics
American Druggist                                     0190-5279     1/1981       7/1999     12/1993        7/1999       1/1994        2/1997    Magazine/Journal                              American Druggist, Inc.                    United States         industries
                                                                                                                                                                                              American Academy of Family
American Family Physician                             0002-838X     1/1981                                                                      Magazine/Journal         Y                    Physicians                                 United States         Health
                                                                                                                                                                                              Aerobics and Fitness Association of
American   Fitness                                    0893-5238      1/1990                  1/1990        1/2005       9/1999       11/2004    Magazine/Journal                              America                                    United States         Sports and fitness
American   Health                                     0730-7004      1/1988      10/1996                                                        Magazine/Journal                              American Health                            United States         Sports and fitness
American   Health (1999)                              1523-3359      1/1999      10/1999                                                        Magazine/Journal                              American Health                            United States         Health
American   Health For Women                           1092-1656     11/1996      11/1998                                                        Magazine/Journal                              American Health                            United States         Health care industry
American   Heart Journal                              0002-8703      3/1989                                                                     Magazine/Journal         Y                    Elsevier B.V.                              Netherlands           Health

American Imago                                        0065-860X     3/1980                  12/1992        6/1995       6/1994        6/1995    Magazine/Journal         Y                    Johns Hopkins University Press             United States         Psychology and mental health
                                                                                                                                                                                              American Institute for Cancer
American Institute for Cancer Research Newsletter     1044-4580     3/2008                   3/2008                     3/2008                  Magazine/Journal                              Research                                   United States         Health
                                                                                                                                                                                              American Speech-Language-Hearing
American Journal of Audiology                         1059-0889     6/2006                   6/2006                     6/2006                  Magazine/Journal                              Association                                United States         Health
American Journal of Cardiology                        0002-9149     6/1989                                                                      Magazine/Journal         Y                    Elsevier B.V.                              Netherlands           Health
American Journal of Cardiovascular Drugs              1175-3277     3/2003                   3/2003        9/2011       3/2003       9/2011     Magazine/Journal                              Wolters Kluwer Health                      United Kingdom        Health
                                                                                                                                                                                              Institute for Advanced Research in
American Journal of Chinese Medicine                  0192-415X     1/2000                                                                      Magazine/Journal         Y                    Asian Science & Medicine                   United States         Health
American Journal of Clinical Dermatology              1175-0561     1/2004                   1/2004        9/2011       1/2004       9/2011     Magazine/Journal         Y                    Wolters Kluwer Health                      United Kingdom        Health
                                                                                                                                                                                              American Society for Clinical Nutrition,
American Journal of Clinical Nutrition                0002-9165     6/1989                                                                      Magazine/Journal         Y                    Inc.                                       United States         Food/cooking/nutrition

American Journal of Community Psychology              0091-0562     2/1989                                                                      Magazine/Journal         Y                    Springer                                   United States         Psychology and mental health
                                                                                                                                                                                              American Association of Critical-Care
American Journal of Critical Care                     1062-3264     1/2002                   1/2002        7/2008       5/2002        7/2008    Magazine/Journal         Y                    Nurses                                     United States         Health
American Journal of Diseases of Children              0002-922X     7/1989       12/1993                                                        Magazine/Journal         Y                    American Medical Association               United States         Health

American Journal of Drug and Alcohol Abuse            0095-2990     6/1989                   6/1989       11/2006       8/1999       11/2006    Magazine/Journal         Y                    Taylor & Francis Ltd.                      United Kingdom        Psychology and mental health
American Journal of Emergency Medicine                0735-6757     1/2001                                                                      Magazine/Journal         Y                    Elsevier B.V.                              Netherlands           Health
American Journal of Epidemiology                      0002-9262     7/1998                                                                      Magazine/Journal         Y                    Johns Hopkins University Press             United States         Health

American Journal of Family Therapy                    0192-6187     3/1989                                                                      Magazine/Journal         Y                    Brunner-Mazel Inc.                                               Psychology and mental health
American Journal of Gastroenterology                  0002-9270     1/2004                                                                      Magazine/Journal         Y                    Blackwell Publishers Ltd.                  United Kingdom        Health
American Journal of Health Behavior                   1087-3244     1/2008       9/2009      1/2008        9/2009       1/2008       9/2009     Magazine/Journal         Y                    PNG Publications                           United States         Health




                                                                                                                                                                                                                                                                 HRC Academic
                                                                                                                                                                                                                                                                         3/62
Journal Name                                                  ISSN      Index Start   Index End   Full-text   Full-text End Image Start   Image End       Format         Refereed/Peer-   Embargo             Publisher Name                Publisher Country   Publication Primary Subject
                                                                                                    Start                                                                  Reviewed        (Days)
                                                                                                                                                                                                    American Alliance for Health, Physical
                                                                                                                                                                                                    Education, Recreation and Dance
American Journal of Health Education                        1932-5037     3/2007                   3/2007                     3/2007                  Magazine/Journal         Y                    (AAHPERD)                              United States        Education

American Journal of Health Studies                          1090-0500     1/2000                   1/2000                     1/2000                  Magazine/Journal         Y                    American Journal of Health Studies    United States         Health
                                                                                                                                                                                                    American Society of Health-System
American   Journal   of   Health-System Pharmacy            1079-2082      9/2006                  9/2006                     9/2006                  Magazine/Journal         Y                    Pharmacists                           United   States       Health care industry
American   Journal   of   Hematology/Oncology               1939-6163     10/2008      3/2009     10/2008        3/2009      10/2008       3/2009     Magazine/Journal         Y                    Sequence Medical                      United   States       Health
American   Journal   of   Human Genetics                    0002-9297      1/1998      1/2012                                                         Magazine/Journal         Y                    University of Chicago Press           United   States       Biological sciences
American   Journal   of   Immunology                        1553-619X      1/2005                  1/2005                     4/2005                  Magazine/Journal         Y                    Science Publications                  United   States       Biological sciences
American   Journal   of   Infectious Diseases               1553-6203      1/2005                  1/2005                     4/2005                  Magazine/Journal         Y                    Science Publications                  United   States       Biological sciences
                                                                                                                                                                                                    American Society of Law, Medicine &
American   Journal   of   Law & Medicine                    0098-8588     3/1980                   9/1992                     3/1994                  Magazine/Journal         Y                    Ethics                                United States         Law
American   Journal   of   Managed Care                      1096-1860     1/2006       9/2007      1/2006        9/2007       1/2006       9/2007     Magazine/Journal         Y                    Ascend Media                          United States         Health care industry
American   Journal   of   Medical Quality                   1062-8606     1/2005                   1/2005        9/2008       1/2005       9/2007     Magazine/Journal         Y                    Sage Publications, Inc.               United States         Health
American   Journal   of   Medicine                          0002-9343     3/1989                                                                      Magazine/Journal         Y                    Elsevier B.V.                         Netherlands           Health
                                                                                                                                                                                                    Lippincott Williams & Wilkins, WK
American Journal     of   Nursing                           0002-936X     1/1989                                                                      Magazine/Journal         Y                    Health                                United States         Health
American Journal     of   Obstetrics and Gynecology         0002-9378     6/1989                                                                      Magazine/Journal         Y                    Elsevier B.V.                         Netherlands           Health
American Journal     of   Ophthalmology                     0002-9394     5/1989                                                                      Magazine/Journal         Y                    Elsevier B.V.                         Netherlands           Health
American Journal     of   Orthodontics & Dentofacial
Orthopedics                                                 0889-5406     1/1995                                                                      Magazine/Journal         Y                    Elsevier B.V.                         Netherlands           Health
                                                                                                                                                                                                    American Psychological Association,
American Journal of Orthopsychiatry                         0002-9432     1/1987                                                                      Magazine/Journal         Y                    Inc.                                  United States         Health
American Journal of Otolaryngology--Head and Neck
Medicine and Surgery                                        0196-0709     6/1998                                                                      Magazine/Journal         Y                    Elsevier B.V.                         Netherlands           Health
                                                                                                                                                                                                    American Society for Investigative
American Journal of Pathology                               0002-9440     5/1989       5/1989                                                         Magazine/Journal         Y                    Pathology                             United States         Health
                                                                                                                                                                                                    American Association of Colleges of
American   Journal   of   Pharmaceutical Education          0002-9459     4/2008                   4/2008                                             Magazine/Journal         Y                    Pharmacy                              United   States       Education
American   Journal   of   Pharmacology and Toxicology       1557-4962     1/2006                   1/2006                     1/2006                  Magazine/Journal         Y                    Science Publications                  United   States       Health
American   Journal   of   Physiology                        0002-9513     1/1993                                                                      Magazine/Journal         Y                    American Physiological Society        United   States       Biological sciences
American   Journal   of   Primatology                       0275-2565     1/2002                                                                      Magazine/Journal         Y                    John Wiley & Sons, Inc.               United   Kingdom      Biological sciences

American Journal of Psychiatry                              0002-953X     4/1989                                                                      Magazine/Journal         Y                    American Psychiatric Association      United States         Psychology and mental health
                                                                                                                                                                                                    Palgrave Macmillan, a Division of
American Journal of Psychoanalysis                          0002-9548     3/1989                   6/2004        3/2011       6/2004       12/2007    Magazine/Journal         Y                    Macmillan Publishers Ltd.             United Kingdom        Psychology and mental health

American Journal of Psychology                              0002-9556     3/1987                   3/1993        3/2000       6/1994        3/2000    Magazine/Journal         Y                    University of Illinois Press          United States         Psychology and mental health
                                                                                                                                                                                                    Association for the Advancement of
American Journal of Psychotherapy                           0002-9564     4/1989                                                                      Magazine/Journal         Y                    Psychotherapy                         United States         Psychology and mental health
                                                                                                                                                                                                    American Public Health Association,
American Journal of Public Health                           0090-0036     1/1988                                                                      Magazine/Journal         Y                    Inc.                                  United States         Government
                                                                                                                                                                                                    American Speech-Language-Hearing
American   Journal   of   Speech-Language Pathology         1058-0360     2/2006                   2/2006                     2/2006                  Magazine/Journal                              Association                           United States         Health
American   Journal   of   Sports Medicine                   0363-5465     1/1989                  11/2005        9/2008      11/2005       10/2007    Magazine/Journal         Y                    Sage Publications, Inc.               United States         Health
American   Journal   of   Surgery                           0002-9610     3/1989                                                                      Magazine/Journal         Y                    Elsevier B.V.                         Netherlands           Health
American   Journal   of   Transplantation                   1600-6135     4/2002                                                                      Magazine/Journal         Y                    Blackwell Publishers Ltd.             United Kingdom        Health

American Libraries                                          0002-9769     1/1980                   1/1983                     7/1994                  Magazine/Journal                      14      American Library Association          United States         Library and information science
American Medical News                                       0001-1843     5/1981                   1/1990        3/2009                                 Newspaper                                   American Medical Association          United States         Health

American Medical Writers Association Journal                1075-6361     9/2009                   9/2009                     9/2009                  Magazine/Journal                              American Medical Writers Association United States          Education
                                                                                                                                                                                                    U.S. Rehabilitation Services
American Rehabilitation                                     0362-4048     1/1988        9/2004     3/1989        9/2004       3/1999        9/2004    Magazine/Journal                              Administration                       United States          Education
American Review of Respiratory Diseases                     0003-0805     3/1990       12/1991                                                        Magazine/Journal         Y                    American Lung Association            United States          Health

Americans with Disabilities Act: Putting it into Practice                 8/2007                   8/2007                                                  Video                                    Health Guru Media, Inc.               United States         Health
AMT Events                                                  0746-9217     6/2007                   6/2007                     6/2007                  Magazine/Journal                              American Medical Technologists        United States         Education

An Overview of Clandestine Abortion in Latin America                      12/1996                 12/1996                    12/1996                     Pamphlet                                   Guttmacher Institute                  United States         Health
Anaesthesia                                                 0003-2409     3/1983                                                                      Magazine/Journal         Y                    Blackwell Publishers Ltd.             United Kingdom        Health

Anaesthesia and Intensive Care                              0310-057X      2/2006                  2/2006                     2/2006                  Magazine/Journal         Y            365     Australian Society of Anaesthetists   Australia             Health
Analyses of Social Issues and Public Policy                 1529-7489     12/2006                                                                     Magazine/Journal         Y                    Blackwell Publishers Ltd.             United Kingdom        Social sciences
Analysis of Gambling Behavior                               1942-6453      6/2007      6/2007      6/2007        6/2007       6/2007       6/2007     Magazine/Journal         Y                    Behavior Analyst Online               United States         Social sciences




                                                                                                                                                                                                                                                                  HRC Academic
                                                                                                                                                                                                                                                                          4/62
Journal Name                                                  ISSN      Index Start   Index End   Full-text   Full-text End Image Start   Image End       Format         Refereed/Peer-   Embargo             Publisher Name                Publisher Country   Publication Primary Subject
                                                                                                    Start                                                                  Reviewed        (Days)
Anatolian Journal of Cardiology (Anadolu Kardiyoloji
Dergisi)                                                    1302-8723     9/2006                   9/2006                     9/2006                  Magazine/Journal         Y                    Aves Yayincilik                     Turkey                  Health
Anatomia, Histologia, Embryologia                           0340-2096     2/2006                                                                      Magazine/Journal         Y                    Blackwell Publishers Ltd.           United Kingdom          Health
Anatomy and Embryology                                      0340-2061     8/2005       12/2006                                                        Magazine/Journal         Y                    Springer                            United States           Biological sciences
Andrologia                                                  0303-4569     2/2006                                                                      Magazine/Journal         Y                    Blackwell Publishers Ltd.           United Kingdom          Health
                                                                                                                                                                                                    Medknow Publications and Media Pvt.
Anesthesia: Essays and Researches                           0259-2611     1/2010                   1/2010                                             Magazine/Journal         Y                    Ltd.                                India                   Health
Angiogenesis Weekly                                         1531-6416     1/2001                   1/2001                     1/2001        9/2001      Newsletter                                  NewsRX                              United States           Health
Angiology                                                   0003-3197     1/2001                                                                      Magazine/Journal         Y                    Westminster Publications Inc.       United States           Health
Angle Closure and Angle Closure Glaucoma                                  1/2006                   1/2006                     1/2006                      Report               Y                    Kugler Publications                 Netherlands             Health
Anil Aggrawal's Internet Journal of Forensic Medicine and
Toxicology                                                  0972-8074     1/2000                   1/2000                     7/2000                  Magazine/Journal                              Anil Aggrawal                         India                 Health

Animal Cognition                                            1435-9448     10/2005                                                                     Magazine/Journal         Y                    Springer                            United States           Psychology and mental health
ANNA Journal                                                8750-0779     12/1995      12/1999    12/1995       12/1999       2/1996       12/1999    Magazine/Journal         Y                    Jannetti Publications, Inc.         United States           Health care industry
                                                                                                                                                                                                    Medknow Publications and Media Pvt.
Annals of African Medicine                                  1596-3519     1/2007                   1/2007                                             Magazine/Journal         Y                    Ltd.                                India                   Health
                                                                                                                                                                                                    Medknow Publications and Media Pvt.
Annals   of   Cardiac Anaesthesia                           0971-9784      1/2005                  1/2005                                             Magazine/Journal         Y                    Ltd.                                India                   Health
Annals   of   Clinical Microbiology and Antimicrobials      1476-0711     12/2006                 12/2006                                             Magazine/Journal         Y                    BioMed Central Ltd.                 United Kingdom          Health
Annals   of   Emergency Medicine                            0196-0644      7/2000                                                                     Magazine/Journal         Y                    Elsevier B.V.                       Netherlands             Health
Annals   of   Epidemiology                                  1047-2797     10/1997                                                                     Magazine/Journal         Y                    Elsevier B.V.                       Netherlands             Health
Annals   of   Family Medicine                               1544-1709      1/2004      7/2008                                                         Magazine/Journal         Y                    Annals of Family Medicine           United States           Health

Annals of General Psychiatry                                1744-859X     12/2006                 12/2006                                             Magazine/Journal         Y                    BioMed Central Ltd.                   United Kingdom        Psychology and mental health
Annals of Hematology                                        0939-5555     12/2005                                                                     Magazine/Journal         Y                    Springer                              United States         Health
Annals of Human Genetics                                    0003-4800      1/2006                                                                     Magazine/Journal         Y                    Blackwell Publishers Ltd.             United Kingdom        Biological sciences
                                                                                                                                                                                                    Medknow Publications and Media Pvt.
Annals of Indian Academy of Neurology                       0972-2327     1/2006                   1/2006                                             Magazine/Journal         Y                    Ltd.                                  India                 Health
Annals of Internal Medicine                                 0003-4819     3/1989                                                                      Magazine/Journal         Y                    American College of Physicians        United States         Health
                                                                                                                                                                                                    Medknow Publications and Media Pvt.
Annals of Medical and Health Sciences Research              2141-9248      1/2011                  1/2011                                             Magazine/Journal         Y                    Ltd.                                  India                 Health
Annals of Neurology                                         0364-5134     11/1991      12/1991                                                        Magazine/Journal         Y                    Little Brown and Company                                    Health
                                                                                                                                                                                                    Medknow Publications and Media Pvt.
Annals   of   Nigerian Medicine                             0331-3131     1/2010                   1/2010                                             Magazine/Journal         Y                    Ltd.                                  India                 Health
Annals   of   Noninvasive Electrocardiology                 1082-720X     1/2006                                                                      Magazine/Journal         Y                    Blackwell Publishers Ltd.             United Kingdom        Health
Annals   of   Ophthalmology                                 1530-4086     3/2000                                                                      Magazine/Journal         Y                    Springer                              United States         Health
Annals   of   Otology, Rhinology and Laryngology            0003-4894     7/1989       11/1991                                                        Magazine/Journal         Y                    Annals Publishing Co.                                       Health
                                                                                                                                                                                                    Medknow Publications and Media Pvt.
Annals of Pediatric Cardiology                              0974-2069     1/2008                   1/2008                                             Magazine/Journal         Y                    Ltd.                                  India                 Health
                                                                                                                                                                                                    Medknow Publications and Media Pvt.
Annals of Saudi Medicine                                    0256-4947     1/2008                   1/2008                                             Magazine/Journal         Y                    Ltd.                                  India                 Health
                                                                                                                                                                                                    Lippincott Williams & Wilkins, WK
Annals of Surgery                                           0003-4932     4/1989       12/1991                                                        Magazine/Journal         Y                    Health                                United States         Health
Annals of Surgical Innovation and Research                  1750-1164     5/2007                   5/2007                                             Magazine/Journal         Y                    BioMed Central Ltd.                   United Kingdom        Health

Annals of the American Psychotherapy Association            1535-4075      9/2001                  9/2001                    11/2001                  Magazine/Journal         Y                    American Psychotherapy Association    United States         Psychology and mental health
Annals of the New York Academy of Sciences                  0077-8923     12/1992                                                                     Magazine/Journal         Y                    Blackwell Publishers Ltd.             United Kingdom        Science and technology
Annals of the Rheumatic Diseases                            0003-4967      5/1989                  7/2000        4/2004       7/2000       6/2001     Magazine/Journal         Y                    British Medical Association           United States         Health
                                                                                                                                                                                                    Medknow Publications and Media Pvt.
Annals of Thoracic Medicine                                 1817-1737      1/2006                  1/2006                                             Magazine/Journal                              Ltd.                                  India                 Health
Annals of Thoracic Surgery                                  0003-4975     10/1990                                                                     Magazine/Journal         Y                    Elsevier B.V.                         Netherlands           Health
                                                                                                                                                                                                    Medknow Publications and Media Pvt.
Annals of Tropical Medicine and Public Health               1755-6783     1/2008                   1/2008                                             Magazine/Journal         Y                    Ltd.                                  India                 Health
Annals of Vascular Surgery                                  0890-5096     3/2006                                                                      Magazine/Journal         Y                    Springer                              United States         Health
                                                                                                                                                                                                    American Therapeutic Recreation
Annual   in Therapeutic Recreation                                        1/2010                   1/2010                     1/2010                  Magazine/Journal                              Association                           United   States       Health
Annual   Review of Biochemistry                             0066-4154     1/1999                                                                      Magazine/Journal         Y                    Annual Reviews, Inc.                  United   States       Biological sciences
Annual   Review of Genetics                                 0066-4197     1/1993                   1/1993                     1/1995       1/2003     Magazine/Journal         Y            365     Annual Reviews, Inc.                  United   States       Biological sciences
Annual   Review of Medicine                                 0066-4219     1/2002                                                                      Magazine/Journal         Y                    Annual Reviews, Inc.                  United   States       Health
Annual   Review of Microbiology                             0066-4227     1/1993                   1/1993                     1/1994       1/2003     Magazine/Journal         Y            365     Annual Reviews, Inc.                  United   States       Biological sciences
Annual   Review of Physical Chemistry                       0066-426X     1/1997                                                                      Magazine/Journal         Y                    Annual Reviews, Inc.                  United   States       Chemistry
Annual   Review of Plant Biology                            1543-5008     1/2002                                                                      Magazine/Journal         Y                    Annual Reviews, Inc.                  United   States       Biological sciences

Annual Review of Psychology                                 0066-4308     1/1990                   1/1993        1/2004       1/1994        1/2004    Magazine/Journal         Y                    Annual Reviews, Inc.                  United States         Psychology and mental health
                                                                                                                                                                                                    Society for the Scientific Study of
Annual Review of Sex Research                               1053-2528     1/1997       1/2006                                                         Magazine/Journal         Y                    Sexuality, Inc.                       United States         Psychology and mental health




                                                                                                                                                                                                                                                                  HRC Academic
                                                                                                                                                                                                                                                                          5/62
Journal Name                                                ISSN      Index Start   Index End   Full-text   Full-text End Image Start   Image End       Format         Refereed/Peer-   Embargo             Publisher Name              Publisher Country   Publication Primary Subject
                                                                                                  Start                                                                  Reviewed        (Days)
Anterior Hip Replacement                                                 5/2010                   5/2010                                                 Video                                    Detroit Medical Center              United   States       Health
Anti-Infectives Week                                      1543-6896      1/2003                   1/2003                                              Newsletter                                  NewsRX                              United   States       Health
Antioxidants & Redox Signaling                            1523-0864     11/2007                  11/2007      11/2011      11/2007       11/2011    Magazine/Journal         Y                    Mary Ann Liebert, Inc.              United   States       Biological sciences
Antiviral Weekly                                          1086-0207      4/1999      5/2000       4/1999       5/2000      10/1999       12/1999      Newsletter                                  NewsRX                              United   States       Health
ANZ Journal of Surgery                                    1445-1433      6/2002                                                                     Magazine/Journal         Y                    Blackwell Publishers Ltd.           United   Kingdom      Health
AORN Journal                                              0001-2092      1/1996      1/2012      1/1996        7/2008       1/1996       5/2008     Magazine/Journal         Y                    Elsevier Science Publishers                               Health
APMIS                                                     0903-4641      7/2004                                                                     Magazine/Journal         Y                    Blackwell Publishers Ltd.           United Kingdom        Biological sciences
Apoptosis - An International Journal on Programmed Cell
Death                                                     1360-8185     8/1996                                                                      Magazine/Journal         Y                    Springer                            United States         Biological sciences
                                                                                                                                                                                                  Elsevier Advanced Technology
Applied   Behavioral Science Review                       1068-8595     3/1999       9/1999      3/1999        9/1999       3/1999        3/1999    Magazine/Journal         Y                    Publications                        United Kingdom        Psychology and mental health
Applied   Biochemistry and Biotechnology                  0273-2289     3/1996                                                                      Magazine/Journal         Y                    Springer                            United States         Biological sciences
Applied   Clinical Trials                                 1064-8542     8/2000                   8/2000                     2/2002       6/2004     Magazine/Journal         Y                    Advanstar Communications, Inc.      United States         Health
Applied   Genetics News                                   0271-7107     6/1998       8/2002      6/1998        8/2002                                 Newsletter                                  BCC Research                        United States         Biotechnology industry
Applied   Health Economics and Health Policy              1175-5652     1/2004                   1/2004        7/2011       1/2004       7/2011     Magazine/Journal         Y                    Wolters Kluwer Health               United Kingdom        Health care industry
Applied   Microbiology and Biotechnology                  0175-7598     4/2004                                                                      Magazine/Journal         Y                    Springer                            United States         Science and technology
Applied   Neurology                                       1931-4159     2/2005       12/2007     2/2005       12/2007                               Magazine/Journal                              CMP Medica, LLC                     United States         Health
Applied   Nursing Research                                0897-1897     2/2000                                                                      Magazine/Journal         Y                    Elsevier B.V.                       Netherlands           Health
Applied   Physiology, Nutrition, and Metabolism           1715-5312     3/1993                   2/1999                     2/1999                  Magazine/Journal         Y            365     NRC Research Press                  Canada                Health

Applied Psychophysiology and Biofeedback                  1090-0586     3/2006                                                                      Magazine/Journal         Y                    Springer                            United States         Psychology and mental health
Applied Radiology                                         0160-9963     1/2005                   1/2005                     1/2005                  Magazine/Journal         Y                    Anderson Publishing Ltd.            United States         Health
Applied Vegetation Science                                1402-2001     4/2007       8/2008      4/2007        8/2008       4/2007       8/2008     Magazine/Journal         Y                    Opulus Press AB                     Sweden                Biological sciences
                                                                                                                                                                                                                                                            Architecture and design
Architectural Record                                      0003-858X      1/1980                                                                     Magazine/Journal                              The McGraw-Hill Companies, Inc.     United   States       industries
Archives of Dermatological Research                       0340-3696      7/2005                                                                     Magazine/Journal         Y                    Springer                            United   States       Health
Archives of Dermatology                                   0003-987X      8/1999                                                                     Magazine/Journal         Y                    American Medical Association        United   States       Health
Archives of Disease in Childhood                          0003-9888     10/1989                  1/2001        4/2004       4/2001       10/2001    Magazine/Journal         Y                    British Medical Association         United   States       Health
Archives of Disease in Childhood. Fetal and Neonatal
Edition                                                   1359-2998     1/2001                   1/2001        3/2004       9/2001       9/2001     Magazine/Journal         Y                    British Medical Association         United States         Health
Archives of Environmental and Occupational Health         1933-8244     1/2005                   1/2005        6/2009       1/2005       6/2009     Magazine/Journal         Y                    Taylor & Francis Ltd.               United Kingdom        Environmental issues

Archives of Environmental Contamination and Toxicology    0090-4341     10/2006                                                                     Magazine/Journal         Y                    Springer                            United States         Science and technology
Archives of Environmental Health                          0003-9896     5/1989       12/2004    11/1989       12/2004      11/1999       12/2004    Magazine/Journal         Y                    Taylor & Francis Ltd.               United Kingdom        Environmental issues
Archives of Family Medicine                               1063-3987     7/2000       11/2000                                                        Magazine/Journal         Y                    American Medical Association        United States         Health

Archives   of   General Psychiatry                        0003-990X      8/1999                                                                     Magazine/Journal         Y                    American Medical Association        United States         Psychology and mental health
Archives   of   Gerontology and Geriatrics                0167-4943      5/2005                                                                     Magazine/Journal         Y                    Elsevier B.V.                       Netherlands           Health
Archives   of   Gynecology and Obstetrics                 0932-0067     12/2005                                                                     Magazine/Journal         Y                    Springer                            United States         Health
Archives   of   Internal Medicine                         0003-9926      6/1989                                                                     Magazine/Journal         Y                    American Medical Association        United States         Health
Archives   of   Microbiology                              0302-8933      9/2005                                                                     Magazine/Journal         Y                    Springer                            United States         Biological sciences
Archives   of   Neurology                                 0003-9942      6/1989      12/1991                                                        Magazine/Journal         Y                    American Medical Association        United States         Health
Archives   of   Neuropsychiatry                           1300-0667      9/2008                  9/2008                     9/2008                  Magazine/Journal         Y                    Galenos Yayinevi Tic. Ltd.          Turkey                Health
Archives   of   Ophthalmology                             0003-9950      7/2000                                                                     Magazine/Journal         Y                    American Medical Association        United States         Health
Archives   of   Orthopaedic and Trauma Surgery            0936-8051      9/2005      3/2012                                                         Magazine/Journal         Y                    Springer                            United States         Health
Archives   of   Osteoporosis                              1862-3522     12/2006                                                                     Magazine/Journal                              Springer                            United States         Health
Archives   of   Otolaryngology - Head & Neck Surgery      0886-4470      4/1999                                                                     Magazine/Journal         Y                    American Medical Association        United States         Health
Archives   of   Pathology & Laboratory Medicine           1543-2165      7/2000                  7/2000                                             Magazine/Journal         Y                    College of American Pathologists    United States         Health
Archives   of   Pediatrics & Adolescent Medicine          1072-4710      1/1994                                                                     Magazine/Journal         Y                    American Medical Association        United States         Health
Archives   of   Pharmacy Practice                         2045-080X      1/2010                  1/2010                     1/2010                  Magazine/Journal         Y                    Archives of Pharmacy Practice       United Kingdom        Health
Archives   of   Physical Medicine and Rehabilitation      0003-9993      3/2000                                                                     Magazine/Journal         Y                    Elsevier B.V.                       Netherlands           Health
Archives   of   Psychiatric Nursing                       0883-9417     12/1995                                                                     Magazine/Journal         Y                    Elsevier B.V.                       Netherlands           Health care industry
Archives   of   Public Health                             0778-7367     10/2011                 10/2011                                             Magazine/Journal                              BioMed Central Ltd.                 United Kingdom
Archives   of   Surgery                                   0004-0010      5/1989      11/1991                                                        Magazine/Journal         Y                    American Medical Association        United States         Health
Archives   of   the Turkish Dermatology and Venerology    1019-214X      9/2008                  9/2008                     9/2008                  Magazine/Journal         Y                    Galenos Yayinevi Tic. Ltd.          Turkey                Health
Archives   of   Toxicology                                0340-5761      7/1989                                                                     Magazine/Journal         Y                    Springer                            United States         Health
Archives   of   Virology                                  0304-8608      3/1980                                                                     Magazine/Journal         Y                    Springer                            United States         Biological sciences

Archives of Women's Mental Health                         1434-1816     4/1998                                                                      Magazine/Journal         Y                    Springer                            United States         Women's issues/gender studies
Archives: The International Journal of Medicine           1791-4000     1/2008                   1/2009                     1/2009                  Magazine/Journal         Y                    Renaissance Medical Publishing      Greece                Health
Arizona Nurse                                             0004-1599     2/2009                   2/2009                     2/2009                    Newsletter                                  Arizona Nurses Association          United States         Health

Aromatic News                                                           6/2010                   6/2010                     6/2010                     Newsletter                                 Jeanne Rose - Herbal Rose Report    United States         Biological sciences
                                                                                                                                                                                                  Asian-Pacific Resource & Research
Arrows For Change                                         1394-4444     12/2001                 12/2001                    12/2001                  Magazine/Journal                              Centre for Women                    Malaysia              Women's issues/gender studies
Arthritis and Rheumatism                                  0004-3591      6/1989      11/1991                                                        Magazine/Journal         Y                    Lippincott-Raven Publishers         United States         Health
Arthritis Today                                           0890-1120      1/1988                  1/1988        1/1994                               Magazine/Journal                              Arthritis Foundation, Inc.          United States         Health




                                                                                                                                                                                                                                                              HRC Academic
                                                                                                                                                                                                                                                                      6/62
Journal Name                                                 ISSN      Index Start   Index End   Full-text   Full-text End Image Start   Image End       Format         Refereed/Peer-   Embargo             Publisher Name                   Publisher Country   Publication Primary Subject
                                                                                                   Start                                                                  Reviewed        (Days)
Artificial Organs                                          0160-564X     8/1998                                                                      Magazine/Journal          Y                   Blackwell Publishers Ltd.           United        Kingdom      Health
AScribe Health News Service                                              6/2003                   6/2003                                                Newswire                                   AScribe                             United        States       Health
AScribe Medicine News Service                                            6/2003                   6/2003                                                Newswire                                   AScribe                             United        States       Health
Asia Pacific Family Medicine                               1444-1683     9/2008                   9/2008                                             Magazine/Journal         Y                    BioMed Central Ltd.                 United        Kingdom      Health
Asian Journal of Andrology                                 1008-682X     1/2006                                                                      Magazine/Journal                              Blackwell Publishers Ltd.           United        Kingdom      Health
                                                                                                                                                                                                   Medknow Publications and Media Pvt.
Asian Journal of Neurosurgery                              1793-5482     7/2011                   7/2011                                             Magazine/Journal         Y                    Ltd.                                India                      Health
                                                                                                                                                                                                   Medknow Publications and Media Pvt.
Asian Journal of Pharmaceutics                             0973-8398     7/2008                   7/2008                                             Magazine/Journal         Y                    Ltd.                                India                      Health

Asian Journal of Social Psychology                         1367-2223     4/2006                                                                      Magazine/Journal         Y                    Blackwell Publishers Ltd.                United Kingdom        Psychology and mental health
                                                                                                                                                                                                   American Society of Radiologic
ASRT Scanner                                               0161-3863      1/2007                  1/2007        4/2008       1/2007        4/2008    Magazine/Journal                              Technologists                            United   States       Health
ASSAY and Drug Development Technologies                    1540-658X     12/2007      10/2011    12/2007       10/2011      12/2007       10/2011    Magazine/Journal         Y                    Mary Ann Liebert, Inc.                   United   States       Health
Assisted Living                                                          12/2006                 12/2006                    12/2006                  Magazine/Journal                              Haymarket Media, Inc.                    United   States       Health
Assisted Living Business Report                            1095-1776      4/2000       6/2000     4/2000        6/2000                                 Newsletter                                  AHC Media LLC                            United   States       Health care industry
Asthma Management                                                         6/1998      11/1999     6/1998       11/1999                                 Newsletter                                  AHC Media LLC                            United   States       Health
Astrobiology                                               1531-1074     12/2007      11/2011    12/2007       11/2011      12/2007       11/2011    Magazine/Journal         Y                    Mary Ann Liebert, Inc.                   United   States       Biological sciences

At the Crossings: Pediatric Ophthalmology and Strabismus                 1/2004                   1/2004                     1/2004                      Report               Y                    Kugler Publications                      Netherlands           Health
Audiology Today                                            1535-2609     1/2004                   1/2004                     1/2004                  Magazine/Journal                              American Academy of Audiology            United States         Health
Australasian Emergency Nursing Journal                     1574-6267     9/2005                                                                      Magazine/Journal         Y                    Elsevier B.V.                            Netherlands           Health
Australasian Journal of Dermatology                        0004-8380     2/2006                                                                      Magazine/Journal         Y                    Blackwell Publishers Ltd.                United Kingdom        Health
Australasian Journal on Ageing                             1440-6381     3/2006                                                                      Magazine/Journal         Y                    Blackwell Publishers Ltd.                United Kingdom        Health care industry
Australasian Radiology                                     0004-8461     2/2006       12/2007                                                        Magazine/Journal         Y                    Blackwell Publishers Ltd.                United Kingdom        Health care industry
Australian and New Zealand Journal of Obstetrics and
Gynaecology                                                0004-8666     2/2006                                                                      Magazine/Journal         Y                    Blackwell Publishers Ltd.                United Kingdom        Health care industry

Australian and New Zealand Journal of Psychiatry           0004-8674     1/2006                                                                      Magazine/Journal         Y                    Blackwell Publishers Ltd.                United Kingdom        Psychology and mental health

Australian and New Zealand Journal of Public Health        1326-0200     2/1997                                                                      Magazine/Journal         Y                    Public Health Association of Australia   Australia             Health
                                                                                                                                                                                                   Reed Business Information Ltd.
Australian Doctor                                          1039-7116     6/2003       3/2010                                                         Magazine/Journal                              (Australia)                              United Kingdom        Health care industry
                                                                                                                                                                                                   Australian Healthcare and Hospitals
Australian Health Review                                   0156-5788     2/2006                   2/2006        8/2008       2/2006        8/2008    Magazine/Journal         Y                    Association                              Australia             Health
Australian Journal of Advanced Nursing                     0813-0531     9/2005                   9/2005                     9/2005                  Magazine/Journal         Y                    Australian Nursing Federation            Australia             Health
                                                                                                                                                                                                   Australian Society of Clinical
Australian Journal of Clinical Hypnotherapy and Hypnosis   0810-0713     3/2010                   3/2010                     3/2010                  Magazine/Journal         Y                    Hypnotherapists                          Australia             Health
                                                                                                                                                                                                   National Herbalists Association of
Australian Journal of Medical Herbalism                    1033-8330     9/2006                   9/2006                     9/2006                  Magazine/Journal         Y                    Australia                                Australia             Health
Australian Journal of Nutrition and Dietetics              1032-1322     3/2001       12/2001     3/2001       12/2001      12/2001       12/2001    Magazine/Journal         Y                    Dietitians Association of Australia      Australia             Health

Australian Journal of Physiotherapy                        0004-9514      3/2007      12/2009     3/2007       12/2009       3/2007       12/2009    Magazine/Journal         Y                    Australian Physiotherapy Association     Australia             Health
Australian Journal of Rural Health                         1038-5282      2/2006                                                                     Magazine/Journal         Y                    Blackwell Publishers Ltd.                United Kingdom        Health
Australian Nursing Journal                                 1320-3185     11/2001                 11/2001                    11/2001                  Magazine/Journal                              Australian Nursing Federation            Australia             Health care industry
Australian Occupational Therapy Journal                    0045-0766      6/2006                                                                     Magazine/Journal         Y                    Blackwell Publishers Ltd.                United Kingdom        Health care industry
Australian Veterinary Journal                              0005-0423      4/1983                                                                     Magazine/Journal         Y                    Blackwell Publishers Ltd.                United Kingdom        Health
Autoimmune Diseases                                        2090-0430      1/2010                  1/2010                     1/2010                  Magazine/Journal         Y                    Hindawi Publishing Corp.                 Egypt                 Health
Automated Experimentation                                  1759-4499     10/2009                 10/2009                                             Magazine/Journal         Y                    BioMed Central Ltd.                      United Kingdom        Science and technology
Autonomic and Autacoid Pharmacology                        1474-8665      4/2006                                                                     Magazine/Journal         Y                    Blackwell Publishers Ltd.                United Kingdom        Health
Avicenna Journal of Medical Biotechnology (AJMB)           2008-2835      4/2009                  4/2009                     4/2009                  Magazine/Journal         Y                    Avicenna Research Institute              Iran                  Health
                                                                                                                                                                                                   Medknow Publications and Media Pvt.
Avicenna Journal of Medicine                               2231-0770     1/2011                   1/2011                                             Magazine/Journal         Y                    Ltd.                                     India                 Health
AWHONN Lifelines                                           1091-5923     2/2006       10/2006                                                        Magazine/Journal         Y                    Blackwell Publishers Ltd.                United Kingdom        Health care industry
AYU (An International Quarterly Journal of Research in                                                                                                                                             Medknow Publications and Media Pvt.
Ayurveda)                                                  0974-8520     1/2010                   1/2010                                             Magazine/Journal         Y                    Ltd.                                     India                 Health
                                                                                                                                                                                                   Lippincott Williams & Wilkins, WK
Back Letter                                                0894-7376     1/1989                                                                         Newsletter                                 Health                                   United States         Health
                                                                                                                                                                                                   The Lancet Publishing Group, a
Bailliere's Best Practice in Clinical Anesthesiology       1521-6896      3/2005      9/2006      3/2005        9/2006      12/2005       9/2006     Magazine/Journal                              division of Elsevier Science Ltd.                              Health
Bandolier                                                  1353-9906      2/1994      7/2007      2/1994        7/2007       2/1994       7/2007     Magazine/Journal                              Oxford Medical Knowledge Ltd.            United   Kingdom      Health care industry
Bangladesh - HIV/AIDS Prevention Project                                  6/2008                  6/2008                                                 Report                                    The World Bank                           United   States       Health
Barbados - HIV/AIDS Prevention and Control Project                        6/2008                  6/2008                                                 Report                                    The World Bank                           United   States       Health
Barbados - Second HIV/AIDS Project                                        7/2008                  7/2008                                                 Report                                    The World Bank                           United   States       Health
Bariatric Medicine Alert                                   1935-2808      1/2007      6/2007      1/2007        6/2007                                 Newsletter                                  AHC Media LLC                            United   States       Health
Bariatric Nursing and Surgical Patient Care                1557-1459     12/2007      9/2011     12/2007        9/2011      12/2007       9/2011     Magazine/Journal                              Mary Ann Liebert, Inc.                   United   States       Health
Basic & Clinical Pharmacology & Toxicology                 1742-7835      5/2006                                                                     Magazine/Journal         Y                    Blackwell Publishers Ltd.                United   Kingdom      Health




                                                                                                                                                                                                                                                                    HRC Academic
                                                                                                                                                                                                                                                                            7/62
Journal Name                                              ISSN      Index Start   Index End   Full-text   Full-text End Image Start   Image End       Format         Refereed/Peer-   Embargo              Publisher Name                Publisher Country   Publication Primary Subject
                                                                                                Start                                                                  Reviewed        (Days)
Basic Research in Cardiology                            0300-8428     1/1980                                                                      Magazine/Journal          Y                   Springer                               United States         Health

Baylor University Medical Center Proceedings            0899-8280     1/2000                   1/2000                     1/2000                  Magazine/Journal         Y                    The Baylor University Medical Center   United States         Health

Behavior Analyst Today                                  1539-4352     1/2000                   1/2000                     1/2000                  Magazine/Journal         Y                    Behavior Analyst Online                United States         Psychology and mental health
Behavior Genetics                                       0001-8244     1/2006                                                                      Magazine/Journal         Y                    Springer                               United States         Science and technology

Behavioral and Brain Functions                          1744-9081     1/2007                   1/2007                                             Magazine/Journal         Y                    BioMed Central Ltd.                    United Kingdom        Psychology and mental health

Behavioral Development Bulletin                         1942-0722     3/2007       3/2008      3/2007        3/2008       3/2007        3/2008    Magazine/Journal         Y                    Behavior Analyst Online                United States         Psychology and mental health
                                                                                                                                                                                                Council for Children with Behavioral
Behavioral Disorders                                    0198-7429     11/2010                 11/2010                    11/2010                  Magazine/Journal         Y                    Disorders                              United States         Psychology and mental health
Behavioral Health Management                            1075-6701      1/1994      11/2005     1/1994       11/2005      11/1996       11/2005    Magazine/Journal                              Vendome Group LLC                      United States         Health care industry

Behavioral Health Treatment                             1089-2559     7/1996       12/1997     7/1996       12/1997                                  Newsletter                                 Manisses Communications Group, Inc. United States            Health care industry

Behavioral Healthcare                                   1931-7093     1/2006                   1/2006                     1/2006                  Magazine/Journal         Y                    Vendome Group LLC                      United States         Psychology and mental health

Behavioral Healthcare Tomorrow                          1063-8490     6/2002       12/2005     6/2002       12/2005       6/2002       12/2005    Magazine/Journal         Y                    Vendome Group LLC                      United States         Psychology and mental health

Behavioral Medicine                                     0896-4289     3/1997                   3/1997        6/2009       9/1999        6/2009    Magazine/Journal         Y                    Taylor & Francis Ltd.                  United Kingdom        Psychology and mental health
                                                                                                                                                                                                Fundacion VECA, Asociacion
                                                                                                                                                                                                Psicologia Iberoamericana de Clinica
Behavioral Psychology/Psicologia Conductual             1132-9483     1/2009                   1/2009                     1/2009                  Magazine/Journal         Y                    y Salud                                Spain                 Psychology and mental health
Behavioral Sciences & the Law                           0735-3936     1/1984                                                                      Magazine/Journal         Y                    John Wiley & Sons, Inc.                United Kingdom        Law
Best Life                                               1548-212X     3/2004       5/2009      3/2004        5/2009                               Magazine/Journal                              Rodale, Inc.                           United States         Fashion and beauty
Best Practice                                           1329-1874     1/2009                   1/2009                     3/2009                  Magazine/Journal                              Joanna Briggs Institute                Australia             Health care industry
Best Practice & Research: Clinical Anaesthesiology      1753-3740     3/2007                                                                      Magazine/Journal                              Elsevier B.V.                          Netherlands           Health care industry
best practice onkologie                                 0946-4565     8/2006                                                                      Magazine/Journal         Y                    Springer                               United States         Health
Bestways                                                0362-4250     1/1988       4/1990      1/1989        4/1990                               Magazine/Journal                              Vegetarian Times, Inc.                 United States         Food/cooking/nutrition

Better Health                                           8750-1228      1/1988      1/1989                                                         Magazine/Journal                              University of Alabama at Birmingham                          Health
Better Homes and Gardens                                0006-0151      1/1980                                                                     Magazine/Journal                              Meredith Corporation                United States            Home and garden
Better Nutrition                                        0405-668X      1/1996                  1/1996                     8/1999                  Magazine/Journal                              Active Interest Media               United States            Food/cooking/nutrition
Better Nutrition for Today's Living                                    5/1990      12/1995                                                        Magazine/Journal                              Active Interest Media               United States            Health
Beyond the Bean                                                       11/2007                 11/2007                     7/2010                    Newsletter                                  United Soybean Board                United States            Agricultural industry
Biochemistry (Moscow)                                   0006-2979     12/2000                                                                     Magazine/Journal         Y                    Springer                            United States            Science and technology
Biochemistry (Moscow) Supplement Series B: Biomedical
Chemistry                                               1990-7508     3/2007                                                                      Magazine/Journal                              Springer                               United States         Chemistry
Biochemistry and Cell Biology                           0829-8211     2/2006                   2/2006                     2/2006                  Magazine/Journal         Y            365     NRC Research Press                     Canada                Biological sciences
BioData Mining                                          1756-0381     7/2008                   7/2008                                             Magazine/Journal         Y                    BioMed Central Ltd.                    United Kingdom        Biotechnology industry
                                                                                                                                                                                                The Society for the Study of Social
Biodemography and Social Biology                        1948-5565     1/2008                                                                      Magazine/Journal         Y                    Biology                                United States         Sociology and social work
BioDrugs                                                1173-8804     5/2003                   5/2003        9/2011       5/2003       9/2011     Magazine/Journal         Y                    Wolters Kluwer Health                  United Kingdom        Health
                                                                                                                                                                                                                                                             Petroleum, energy and mining
BioEnergy Research                                      1939-1234     3/2008                                                                      Magazine/Journal                              Springer                               United States         industries
Bioethics                                               0269-9702     1/1998                                                                      Magazine/Journal         Y                    Blackwell Publishers Ltd.              United Kingdom        Biological sciences
Biogerontology                                          1389-5729     6/2006                                                                      Magazine/Journal         Y                    Springer                               United States         Science and technology
                                                                                                                                                                                                Biomedical Informatics Publishing
Bioinformation                                          0973-2063     1/2005                   1/2005                     1/2005                  Magazine/Journal         Y                    Group                                  India
Biological Bulletin                                     0006-3185     2/1989                   8/1994                                             Magazine/Journal         Y            365     Marine Biological Laboratory           United States         Biological sciences

Biological   Chemistry                                  1431-6730      1/1997                  5/1997                     5/1997                  Magazine/Journal         Y                    Walter de Gruyter GmbH & Co. KG        Germany               Biological sciences
Biological   Cybernetics                                0340-1200     10/2005                                                                     Magazine/Journal         Y                    Springer                               United States         Science and technology
Biological   Procedures Online                          1480-9222      3/2009                  3/2009                                             Magazine/Journal         Y                    BioMed Central Ltd.                    United Kingdom        Biological sciences
Biological   Sciences Review                            0953-5365      9/1999                  9/1999        4/2011                               Magazine/Journal         Y                    Philip Allan Updates                   United Kingdom        Biological sciences
Biological   Trace Element Research                     0163-4984      1/2000                                                                     Magazine/Journal         Y                    Springer                               United States         Biological sciences

Biology of Mood & Anxiety Disorders                     2045-5380      9/2011                  9/2011                                             Magazine/Journal         Y                    BioMed Central Ltd.                    United   Kingdom      Psychology and mental health
Biology of Sex Differences                              2042-6410     11/2010                 11/2010                                             Magazine/Journal         Y                    BioMed Central Ltd.                    United   Kingdom      Biological sciences
BioMagnetic Research and Technology                     1477-044X      1/2007      10/2008     1/2007       10/2008                               Magazine/Journal         Y                    BioMed Central Ltd.                    United   Kingdom      Biological sciences
Biomarkers in Medicine                                  1752-0363      6/2007                  6/2007                                             Magazine/Journal         Y            365     Future Medicine Ltd.                   United   Kingdom      Health
Biomechanics                                            1075-9662      4/2002      6/2008      4/2002        6/2008                               Magazine/Journal                              CMP Medica, LLC                        United   States       Health
Biomedical Business & Technology                        1930-2614      5/2000                  5/2000                                             Magazine/Journal                              AHC Media LLC                          United   States       Health care industry

Biomedical Market Newsletter                            1064-4180     4/1998                   4/1998                     8/1999                     Newsletter            Y                    Biomedical Market Newsletter, Inc.     United States         Health care industry




                                                                                                                                                                                                                                                               HRC Academic
                                                                                                                                                                                                                                                                       8/62
Journal Name                                                     ISSN      Index Start   Index End   Full-text   Full-text End Image Start   Image End       Format         Refereed/Peer-   Embargo             Publisher Name                Publisher Country   Publication Primary Subject
                                                                                                       Start                                                                  Reviewed        (Days)
                                                                                                                                                                                                       Medknow Publications and Media Pvt.
Biomedical Research                                            0970-938X     1/2009       9/2009      1/2009        9/2009                               Magazine/Journal         Y                    Ltd.                                  India                 Science and technology
                                                                                                                                                                                                       Lippincott Williams & Wilkins, WK
Biomedical Safety & Standards                                  1080-9775     1/2002                                                                        Newsletter                                  Health                                United States         Health care industry
Biometrics                                                     0006-341X     9/1999                                                                      Magazine/Journal         Y                    Blackwell Publishers Ltd.             United Kingdom        Biological sciences
Biopreservation and Biobanking                                 1947-5535     3/2009       10/2011     3/2009       10/2011       3/2009       10/2011    Magazine/Journal                              Mary Ann Liebert, Inc.                United States         Science and technology

BioPsychoSocial Medicine                                       1751-0759     3/2007                   3/2007                                             Magazine/Journal         Y                    BioMed Central Ltd.                   United Kingdom        Psychology and mental health
BioScience                                                     0006-3568     1/1980                   1/1989        2/2011       7/1994       2/2011     Magazine/Journal         Y                    University of California Press        United States         Biological sciences
Biosecurity and Bioterrorism: Biodefense Strategy, Practice,
and Science                                                    1538-7135     12/2007      9/2011     12/2007        9/2011      12/2007        9/2011    Magazine/Journal         Y                    Mary Ann Liebert, Inc.                United   States       Biotechnology industry
BioSpectrum Asia                                                             11/2011                 11/2011                                             Magazine/Journal                              HT Media Ltd.                         India                 Regional focus/area studies
Biotech Business Week                                          1535-2757      2/2003                  2/2003                                               Newsletter                                  NewsRX                                United   States       Biotechnology industry
Biotech Equipment Update                                                      7/1998                  7/1998                                               Newsletter                                  Worldwide Videotex                    United   States       Biotechnology industry
BIOTECH Patent News                                            0898-2813      8/1997                  8/1997                                               Newsletter                                  Biotech Patent News                   United   States       Biotechnology industry
Biotech Week                                                   1045-1404      1/2001                  1/2001                     2/2001        7/2001      Newsletter                                  NewsRX                                United   States       Biotechnology industry
Biotechnology for Biofuels                                     1754-6834      4/2008                  4/2008                                             Magazine/Journal         Y                    BioMed Central Ltd.                   United   Kingdom      Biotechnology industry
Biotechnology Law Report                                       0730-031X     10/2007      10/2011    10/2007       10/2011      10/2007       10/2011    Magazine/Journal         Y                    Mary Ann Liebert, Inc.                United   States       Biotechnology industry
Biotechnology Letters                                          0141-5492      1/1997                                                                     Magazine/Journal         Y                    Springer                              United   States       Science and technology
Bioterrorism Watch Newsletter                                  1543-0243      1/2002      4/2008      1/2002        4/2008                                 Newsletter                                  AHC Media LLC                         United   States       Health care industry
Bioterrorism Week                                              1537-7717      1/2003                  1/2003                                                Newswire                                   NewsRX                                United   States       Health
Bio-Terrorism.Info                                                            8/2002      1/2003      8/2002        1/2003                                  Newswire                                   NewsRX                                United   States       Health
BioWorld Insight                                                              1/2002                  1/2002                                             Magazine/Journal                              AHC Media LLC                         United   States       Science and technology
BioWorld International                                         1541-0587      9/2001                  9/2001                    10/2001                    Newsletter                                  AHC Media LLC                         United   States       Biotechnology industry

Bipolar Disorders                                              1398-5647     2/2006                                                                      Magazine/Journal         Y                    Blackwell Publishers Ltd.             United Kingdom        Psychology and mental health
Birmingham Hip Resurfacing                                                   7/2008                   7/2008                                                  Video                                    Detroit Medical Center                United States         Health
Birth                                                          0730-7659     3/2006                                                                      Magazine/Journal         Y                    Blackwell Publishers Ltd.             United Kingdom        Health
BJOG: An International Journal of Obstetrics and
Gynaecology                                                    1470-0328     1/2006                                                                      Magazine/Journal         Y                    Blackwell Publishers Ltd.             United Kingdom        Health
BJU International                                              1464-4096     3/2000                                                                      Magazine/Journal         Y                    Blackwell Publishers Ltd.             United Kingdom        Health
Blood Services In Central Asian Health Systems: A Clear
and Present Danger ofSpreading HIV/AIDS and Other
Infectious Diseases                                                           5/2008                  5/2008                                                 Report                                    The World Bank                        United   States       Health
Blood Weekly                                                   1065-6073      6/1998                  6/1998                                               Newsletter                                  NewsRX                                United   States       Health
BMC Anesthesiology                                             1471-2253     12/2006                 12/2006                                             Magazine/Journal         Y                    BioMed Central Ltd.                   United   Kingdom      Health
BMC Biochemistry                                               1471-2091     12/2006                 12/2006                                             Magazine/Journal         Y                    BioMed Central Ltd.                   United   Kingdom      Biological sciences
BMC Biophysics                                                 2046-1682      3/2011                  3/2011                                             Magazine/Journal         Y                    BioMed Central Ltd.                   United   Kingdom      Biological sciences
BMC Blood Disorders                                            1471-2326     12/2006                 12/2006                                             Magazine/Journal         Y                    BioMed Central Ltd.                   United   Kingdom      Health
BMC Cancer                                                     1471-2407      1/2007                  1/2007                                             Magazine/Journal         Y                    BioMed Central Ltd.                   United   Kingdom      Health
BMC Cardiovascular Disorders                                   1471-2261      1/2007                  1/2007                                             Magazine/Journal         Y                    BioMed Central Ltd.                   United   Kingdom      Health
BMC Cell Biology                                               1471-2121      1/2007                  1/2007                                             Magazine/Journal         Y                    BioMed Central Ltd.                   United   Kingdom      Biological sciences
BMC Chemical Biology                                           1472-6769     12/2006                 12/2006                                             Magazine/Journal         Y                    BioMed Central Ltd.                   United   Kingdom      Biological sciences
BMC Clinical Pathology                                         1472-6890     12/2006                 12/2006                                             Magazine/Journal         Y                    BioMed Central Ltd.                   United   Kingdom      Health
BMC Clinical Pharmacology                                      1472-6904     12/2006                 12/2006                                             Magazine/Journal         Y                    BioMed Central Ltd.                   United   Kingdom      Health
BMC Complementary and Alternative Medicine                     1472-6882     12/2006                 12/2006                                             Magazine/Journal         Y                    BioMed Central Ltd.                   United   Kingdom      Health
BMC Dermatology                                                1471-5945     12/2006                 12/2006                                             Magazine/Journal         Y                    BioMed Central Ltd.                   United   Kingdom      Health
BMC Emergency Medicine                                         1471-227X     12/2006                 12/2006                                             Magazine/Journal         Y                    BioMed Central Ltd.                   United   Kingdom      Health care industry
BMC Endocrine Disorders                                        1472-6823     12/2006                 12/2006                                             Magazine/Journal         Y                    BioMed Central Ltd.                   United   Kingdom      Health
BMC Evolutionary Biology                                       1471-2148      1/2007                  1/2007                                             Magazine/Journal         Y                    BioMed Central Ltd.                   United   Kingdom      Biological sciences
BMC Family Practice                                            1471-2296      1/2007                  1/2007                                             Magazine/Journal         Y                    BioMed Central Ltd.                   United   Kingdom      Family and marriage
BMC Gastroenterology                                           1471-230X     12/2006                 12/2006                                             Magazine/Journal         Y                    BioMed Central Ltd.                   United   Kingdom      Health
BMC Genetics                                                   1471-2156     12/2006                 12/2006                                             Magazine/Journal         Y                    BioMed Central Ltd.                   United   Kingdom      Biological sciences
BMC Genomics                                                   1471-2164      1/2007                  1/2007                                             Magazine/Journal         Y                    BioMed Central Ltd.                   United   Kingdom      Biological sciences
BMC Geriatrics                                                 1471-2318     12/2006                 12/2006                                             Magazine/Journal         Y                    BioMed Central Ltd.                   United   Kingdom      Health
BMC Health Services Research                                   1472-6963      1/2007                  1/2007                                             Magazine/Journal         Y                    BioMed Central Ltd.                   United   Kingdom      Health
BMC Immunology                                                 1471-2172      1/2007                  1/2007                                             Magazine/Journal         Y                    BioMed Central Ltd.                   United   Kingdom      Health
BMC Infectious Diseases                                        1471-2334     12/2006                 12/2006                                             Magazine/Journal         Y                    BioMed Central Ltd.                   United   Kingdom      Health
BMC International Health and Human Rights                      1472-698X     12/2006                 12/2006                                             Magazine/Journal         Y                    BioMed Central Ltd.                   United   Kingdom      Health
BMC Medical Education                                          1472-6920      1/2007                  1/2007                                             Magazine/Journal         Y                    BioMed Central Ltd.                   United   Kingdom      Education
BMC Medical Ethics                                             1472-6939     12/2006                 12/2006                                             Magazine/Journal         Y                    BioMed Central Ltd.                   United   Kingdom      Health care industry
BMC Medical Genetics                                           1471-2350      1/2007                  1/2007                                             Magazine/Journal         Y                    BioMed Central Ltd.                   United   Kingdom      Health
BMC Medical Imaging                                            1471-2342     12/2006                 12/2006                                             Magazine/Journal         Y                    BioMed Central Ltd.                   United   Kingdom      Health care industry
BMC Medical Informatics and Decision Making                    1472-6947      1/2007                  1/2007                                             Magazine/Journal         Y                    BioMed Central Ltd.                   United   Kingdom      Health care industry
BMC Medical Research Methodology                               1471-2288      1/2007                  1/2007                                             Magazine/Journal         Y                    BioMed Central Ltd.                   United   Kingdom      Health
BMC Medicine                                                   1741-7015      3/2007                  3/2007                                             Magazine/Journal         Y                    BioMed Central Ltd.                   United   Kingdom      Health
BMC Molecular Biology                                          1471-2199      1/2007                  1/2007                                             Magazine/Journal         Y                    BioMed Central Ltd.                   United   Kingdom      Biological sciences




                                                                                                                                                                                                                                                                     HRC Academic
                                                                                                                                                                                                                                                                             9/62
Journal Name                                                ISSN      Index Start   Index End   Full-text   Full-text End Image Start   Image End       Format         Refereed/Peer-   Embargo              Publisher Name                Publisher Country   Publication Primary Subject
                                                                                                  Start                                                                  Reviewed        (Days)
BMC   Musculoskeletal Disorders                           1471-2474     12/2006                  12/2006                                            Magazine/Journal          Y                   BioMed   Central   Ltd.                United   Kingdom      Health
BMC   Neurology                                           1471-2377      1/2007                   1/2007                                            Magazine/Journal          Y                   BioMed   Central   Ltd.                United   Kingdom      Health
BMC   Neuroscience                                        1471-2202      1/2007                   1/2007                                            Magazine/Journal          Y                   BioMed   Central   Ltd.                United   Kingdom      Science and technology
BMC   Nursing                                             1472-6955     12/2006                  12/2006                                            Magazine/Journal          Y                   BioMed   Central   Ltd.                United   Kingdom      Health
BMC   Ophthalmology                                       1471-2415     12/2006                  12/2006                                            Magazine/Journal          Y                   BioMed   Central   Ltd.                United   Kingdom      Health
BMC   Palliative Care                                     1472-684X     12/2006                  12/2006                                            Magazine/Journal          Y                   BioMed   Central   Ltd.                United   Kingdom      Health care industry
BMC   Pediatrics                                          1471-2431      1/2007                   1/2007                                            Magazine/Journal          Y                   BioMed   Central   Ltd.                United   Kingdom      Health
BMC   Pharmacology                                        1471-2210     12/2006                  12/2006                                            Magazine/Journal          Y                   BioMed   Central   Ltd.                United   Kingdom      Health
BMC   Physiology                                          1472-6793     12/2006                  12/2006                                            Magazine/Journal          Y                   BioMed   Central   Ltd.                United   Kingdom      Biological sciences
BMC   Pregnancy and Childbirth                            1471-2393     12/2006                  12/2006                                            Magazine/Journal          Y                   BioMed   Central   Ltd.                United   Kingdom      Health

BMC Psychiatry                                            1471-244X      1/2007                  1/2007                                             Magazine/Journal         Y                    BioMed Central Ltd.                    United   Kingdom      Psychology and mental health
BMC Public Health                                         1471-2458      1/2007                  1/2007                                             Magazine/Journal         Y                    BioMed Central Ltd.                    United   Kingdom      Health
BMC Pulmonary Medicine                                    1471-2466     12/2006                 12/2006                                             Magazine/Journal         Y                    BioMed Central Ltd.                    United   Kingdom      Health
BMC Research Notes                                        1756-0500      5/2008                  5/2008                                             Magazine/Journal         Y                    BioMed Central Ltd.                    United   Kingdom      Biological sciences
BMC Surgery                                               1471-2482     12/2006                 12/2006                                             Magazine/Journal         Y                    BioMed Central Ltd.                    United   Kingdom      Health
BMC Systems Biology                                       1752-0509      1/2007                  1/2007                                             Magazine/Journal         Y                    BioMed Central Ltd.                    United   Kingdom      Biological sciences
BMC Urology                                               1471-2490     12/2006                 12/2006                                             Magazine/Journal         Y                    BioMed Central Ltd.                    United   Kingdom      Health
BMC Women's Health                                        1472-6874     12/2006                 12/2006                                             Magazine/Journal         Y                    BioMed Central Ltd.                    United   Kingdom      Health
BMJ Quality & Safety                                      2044-5415      4/2011                                                                     Magazine/Journal         Y                    British Medical Association            United   States       Health
                                                                                                                                                                                                  Oakstone Publishing, LLC dba
                                                                                                                                                                                                  Personal Best: A Haights Cross
Body Bulletin                                             0275-9101     4/1999                                                                        Newsletter                                  Communications Co.                     United States         Health
Bone Marrow Transplantation                               0268-3369     7/2001                   7/2001                     5/2007                  Magazine/Journal         Y            365     Nature Publishing Group                United Kingdom        Health
Botswana - HIV/AIDS Project                                             5/2008                   5/2008                                                 Report                                    The World Bank                         United States         Health

Botswana - National HIV/AIDS Prevention Support Project                 1/2008                   1/2008                                                 Report                                    The World Bank                         United States         Health
Brain                                                     0006-8950     4/1989       6/1991                                                         Magazine/Journal         Y                    Oxford University Press                United Kingdom        Health

Brain and Cognition                                       0278-2626     6/2001                                                                      Magazine/Journal         Y                    Elsevier B.V.                          Netherlands           Psychology and mental health

Brain and Language                                        0093-934X     5/2005                                                                      Magazine/Journal         Y                    Elsevier B.V.                          Netherlands           Psychology and mental health
Brain Imaging and Behavior                                1931-7557     6/2007                                                                      Magazine/Journal         Y                    Springer                               United States         Health

Brain Pathology                                           1015-6305      4/2004                                                                     Magazine/Journal         Y                    Blackwell Publishers Ltd.               United Kingdom       Psychology and mental health
Brazil - AIDS and STD Control Project                                   12/1998                 12/1998                                                 Report                                    The World Bank                          United States        Health
Brazil - Third AIDS and STD Control Project                             12/2008                 12/2008                                                 Report                                    The World Bank                          United States        Health
                                                                                                                                                                                                  Association of the Brazilian Journal of
Brazilian Journal of Biology                              1519-6984     2/2008                   2/2008                     2/2008                  Magazine/Journal         Y                    Biology                                 Brazil               Biological sciences
Brazilian Journal of Infectious Diseases                  1413-8670     2/2008                   2/2008                     2/2008                  Magazine/Journal         Y                    Contexto                                Brazil               Health
                                                                                                                                                                                                  Sociedade Brasileira de Pesquisa
Brazilian Oral Research                                   1806-8324      1/2009                  1/2009                     4/2009                  Magazine/Journal                              Odontologica - SBPQO                    Brazil               Health
Breast Cancer                                             1340-6868      7/2006                                                                     Magazine/Journal         Y                    Springer                                United States        Health
Breast Cancer Research (Online Edition)                   1465-542X      3/2007                  3/2007                                             Magazine/Journal         Y                    BioMed Central Ltd.                     United Kingdom       Health
Breast Journal                                            1075-122X      1/2006                                                                     Magazine/Journal         Y                    Blackwell Publishers Ltd.               United Kingdom       Health care industry
Breastfeeding Medicine                                    1556-8253     12/2007                 12/2007       10/2011      12/2007       10/2011    Magazine/Journal         Y                    Mary Ann Liebert, Inc.                  United States        Biological sciences

Breastfeeding Review                                      0729-2759     11/2006                 11/2006                    11/2006                  Magazine/Journal         Y                    Australian Breastfeeding Association   Australia             Health
Briefings on Patient Safety                               1528-7637      1/2007       9/2010     1/2007        9/2010       3/2007       9/2010       Newsletter                                  HCPro, Inc.                            United States         Health care industry
British Heart Journal                                     0007-0769      1/1990      10/1991                                                        Magazine/Journal         Y                    BMJ Publishing Group                                         Health
British Journal of Clinical Pharmacology                  0306-5251     11/1996                                                                     Magazine/Journal         Y                    Blackwell Publishers Ltd.              United Kingdom        Health
British Journal of Dermatology                            0007-0963      2/1999                                                                     Magazine/Journal         Y                    Blackwell Publishers Ltd.              United Kingdom        Health
British Journal of Haematology                            0007-1048      3/1996                                                                     Magazine/Journal         Y                    Blackwell Publishers Ltd.              United Kingdom        Health

British Journal of Learning Disabilities                  1354-4187     3/2002                                                                      Magazine/Journal                              Blackwell Publishers Ltd.              United Kingdom        Psychology and mental health
British Journal of Medical Practitioners                  1757-8515     9/2008                   3/2011                     3/2011                  Magazine/Journal         Y                    J M N Medical Education Ltd.           United Kingdom        Health
British Journal of Obstetrics and Gynecology              0306-5456     6/1989       11/1991                                                        Magazine/Journal         Y                    Blackwell Publishers Ltd.              United Kingdom        Health
                                                                                                                                                                                                  College of Occupational Therapists
British Journal of Occupational Therapy                   0308-0226     3/2008                   3/2008                     3/2008                  Magazine/Journal         Y            365     Ltd.                                   United Kingdom        Health
British Journal of Ophthalmology                          0007-1161     1/1990                   4/2001        4/2004       7/2001       11/2001    Magazine/Journal         Y                    British Medical Association            United States         Health

British Journal of Podiatry                               1460-7328     2/2007       11/2007     2/2007       11/2007       2/2007       11/2007    Magazine/Journal         Y                    Society of Chiropodists and Podiatrists United Kingdom       Health

British Journal of Psychiatry                             0007-1250     11/1989      11/1991                                                        Magazine/Journal         Y                    Royal College of Psychiatrists (UK)                          Health

British Journal of Psychology                             0007-1269     2/1989                  11/1992        5/2007       5/1994        5/2007    Magazine/Journal         Y                    British Psychological Society          United Kingdom        Psychology and mental health
British Journal of Social Work                            0045-3102     2/1992                                                                      Magazine/Journal         Y                    Oxford University Press                United Kingdom        Sociology and social work




                                                                                                                                                                                                                                                                 HRC Academic
                                                                                                                                                                                                                                                                        10/62
Journal Name                                                 ISSN      Index Start   Index End   Full-text   Full-text End Image Start   Image End       Format         Refereed/Peer-   Embargo              Publisher Name                Publisher Country   Publication Primary Subject
                                                                                                   Start                                                                  Reviewed        (Days)
British Journal of Sports Medicine                         0306-3674     2/2001                   2/2001        4/2004       8/2001       8/2001     Magazine/Journal          Y                   British Medical Association            United States         Health
British Journal of Surgery                                 0007-1323     1/1990       12/1991                                                        Magazine/Journal          Y                   Blackwell Publishers Ltd.              United Kingdom        Health
British Medical Journal                                    1759-2151     7/1989                   3/1991        4/2004       7/1999       5/2001     Magazine/Journal          Y                   British Medical Association            United States         Health
                                                                                                                                                                                                                                                                Construction and materials
Brittonia                                                  0007-196X     1/1997                                                                      Magazine/Journal         Y                    Springer                               United States         industries

Brown University Child and Adolescent Behavior Letter      1058-1073     7/1991                   7/1991                     7/1999                     Newsletter                         180     Wiley Periodicals, Inc.                United States         Psychology and mental health
Brown University Child and Adolescent
Psychopharmacology Update                                  1527-8395     6/2002                   6/2002                     7/2002                     Newsletter                         180     Wiley Periodicals, Inc.                United States         Health

Brown University Child Behavior and Development Letter     0885-7261     1/1989       6/1991      1/1989        6/1991                                  Newsletter                                 Wiley Periodicals, Inc.                United States         Psychology and mental health
Brown University Digest of Addiction Theory and
Application                                                1040-6328     1/1989                   1/1989                     8/1999                     Newsletter                         180     Wiley Periodicals, Inc.                United States         Health

Brown University Geriatric Psychopharmacology Update       1529-2584     5/2002                   5/2002                     5/2002                     Newsletter                         180     Wiley Periodicals, Inc.                United States         Psychology and mental health

Brown University Long-term Care Letter                     1042-1386     1/1989       4/1992      1/1989        4/1992                                  Newsletter                                 Manisses Communications Group, Inc. United States            Health

Brown University Long-Term Care Quality Advisor            1095-1083     9/1996       2/2000      9/1996        2/2000       9/1999        2/2000       Newsletter                                 Manisses Communications Group, Inc. United States            Health

Brown University Long-Term Care Quality Letter             1088-9248     5/1992       8/1996      5/1992        8/1996                                  Newsletter                                 Manisses Communications Group, Inc. United States            Health

Brown University Psychopharmacology Update                 1068-5308     4/1999                   4/1999                    10/1999                  Magazine/Journal                      180     Wiley Periodicals, Inc.                United States         Psychology and mental health
Brown University STD Update                                0898-8323     1/1989       1/1989                                                         Magazine/Journal                              NewsRX                                 United States         Health

Bulletin of Environmental Contamination and Toxicology     0007-4861     6/2006                                                                      Magazine/Journal         Y                    Springer                               United States         Environmental issues
                                                                                                                                                                                                   American Society for Information
Bulletin of the American Society for Information Science   0095-4403     2/1980       10/2000                                                        Magazine/Journal                              Science and Technology                 United States         Library and information science
Bulletin of the American Society for Information Science                                                                                                                                           American Society for Information
and Technology                                             0095-4403     12/2001                                                                     Magazine/Journal                              Science and Technology                 United States         Library and information science
Bulletin of the New Jersey Academy of Science              0028-5455      3/1999                  3/1999                     3/2001                  Magazine/Journal         Y                    New Jersey Academy of Science          United States         Science and technology
Bulletin of the NYU Hospital for Joint Diseases            1936-9719      9/2001                  9/2001                                             Magazine/Journal         Y                    J. Michael Ryan Publishing Co.         United States         Health
Bulletin of the World Health Organization                  0042-9686      1/1989                  7/1989                     1/1998                  Magazine/Journal         Y                    World Health Organization              Switzerland           Health
Burns                                                      0305-4179      2/1998                                                                     Magazine/Journal         Y                    Elsevier B.V.                          Netherlands           Health
Burundi - Second Multisectoral HIV/AIDS Project                           2/2008                  2/2008                                                 Report                                    The World Bank                         United States         Health
Business & Health                                          0739-9413      1/1989      2/2002      1/1989        2/2002      12/1999       1/2002     Magazine/Journal                              Thomson Healthcare, Inc.               United States         Insurance

Business Coalitions Tackling AIDS: A Worldwide Review                    1/2008                   1/2008                                                 Report                                    The World Bank                        United States          Health
Ca                                                         0007-9235     1/1988                                                                      Magazine/Journal         Y                    American Cancer Society, Inc.         United States          Health
Calcified Tissue International                             0171-967X     9/2002                                                                      Magazine/Journal         Y                    Springer                              United States          Health
                                                                                                                                                                                                   California Association of School
California School Psychologist                             1087-3414      1/2008      1/2009      1/2008        1/2009       1/2008        1/2009    Magazine/Journal         Y                    Psychologists                         United States          Psychology and mental health
Cameroon - Multi-Sectoral HIV/AIDS Project                               11/2000                 11/2000                                                 Report                                    The World Bank                        United States          Health
                                                                                                                                                                                                   Canada Department of National
                                                                                                                                                                                                   Health and Welfare, Health Services &
Canada's Mental Health                                     0008-2791     3/1988       9/1994                                                         Magazine/Journal                              Promotion Branch                      Canada                 Health
                                                                                                                                                                                                   The Canadian Dental Hygienists
Canadian Journal of Dental Hygiene                         1712-171X     9/2006                   9/2006                    11/2006                  Magazine/Journal                      365     Association                           Canada                 Health
Canadian Journal of Emergency Medicine                     1488-1543     9/2004                   9/2004                    9/2004                   Magazine/Journal         Y                    Decker Publishing                     United States          Health

Canadian Journal of Experimental Psychology                1196-1961     3/1993                                                                      Magazine/Journal         Y                    Canadian Psychological Assn.           Canada                Psychology and mental health
                                                                                                                                                                                                   SIECCAN, The Sex Information and
Canadian Journal of Human Sexuality                        1188-4517     1/1996                   1/1996                     6/1999                  Magazine/Journal         Y                    Education Council of Canada            Canada                Psychology and mental health
Canadian Journal of Microbiology                           0008-4166     1/2006                   1/2006                     7/2006                  Magazine/Journal         Y            365     NRC Research Press                     Canada                Biological sciences
                                                                                                                                                                                                   Canadian Association of Occupational
Canadian Journal of Occupational Therapy                   0008-4174      2/1997                  2/1997                     2/1997                  Magazine/Journal         Y                    Therapists                             Canada                Health
Canadian Journal of Physiology and Pharmacology            0008-4212     12/2005                 12/2005                    12/2005                  Magazine/Journal         Y            365     NRC Research Press                     Canada                Biological sciences

Canadian Journal of Public Health                          0008-4263     1/1988                   3/2009                     3/2009                  Magazine/Journal         Y                    Canadian Public Health Association                           Government
                                                                                                                                                                                                   Canadian Association for Research in
Canadian Journal of Rehabilitation                         0828-0827     6/1996       6/1999                                                         Magazine/Journal         Y                    Rehabilitation                       Canada                  Health
Canadian Journal of Rural Medicine                         1203-7796     6/2004                   6/2004                     6/2004                  Magazine/Journal         Y                    Canadian Medical Association         Canada                  Health

Canadian Journal of Speech-Language Pathology &                                                                                                                                                    Canadian Association of Speech-
Audiology                                                  0848-1970     12/2006                  9/2007                     9/2007                  Magazine/Journal         Y                    Language Pathologists & Audiologists Canada                  Education
Canadian Journal of Surgery                                0008-428X      8/2004                  8/2004                     8/2004                  Magazine/Journal         Y                    Canadian Medical Association         Canada                  Health




                                                                                                                                                                                                                                                                  HRC Academic
                                                                                                                                                                                                                                                                         11/62
Journal Name                                       ISSN      Index Start   Index End   Full-text   Full-text End Image Start   Image End       Format         Refereed/Peer-   Embargo             Publisher Name                Publisher Country   Publication Primary Subject
                                                                                         Start                                                                  Reviewed        (Days)

Canadian Journal on Aging                        0714-9808      3/1988                                                                     Magazine/Journal         Y                    Canadian Association on Gerontology   Canada                Seniors
Canadian Medical Association Journal             0008-4409      6/1989      12/1991                                                        Magazine/Journal         Y                    Canadian Medical Association          Canada                Health
Canadian Nurse                                   0008-4581      1/1988                                                                     Magazine/Journal                              Canadian Nurses Association           Canada                Health
Canadian Urological Association Journal (CUAJ)   1911-6470      2/2009                  2/2009                                             Magazine/Journal         Y                    Canadian Urological Association       Canada                Health
Cancer                                           0008-543X      6/1989                                                                     Magazine/Journal         Y                    J.B. Lippincott Company               United States         Health
Cancer Biotechnology Weekly                                    12/1994       5/1996    12/1994        5/1996                                 Newsletter                                  NewsRX                                United States         Health care industry
Cancer Biotherapy & Radiopharmaceuticals         1084-9785     12/2007      10/2011    12/2007       10/2011      12/2007       10/2011    Magazine/Journal         Y                    Mary Ann Liebert, Inc.                United States         Health
Cancer Causes & Control                          0957-5243      1/1997                                                                     Magazine/Journal         Y                    Springer                              United States         Health
Cancer Cell International                        1475-2867     12/2006                 12/2006                                             Magazine/Journal         Y                    BioMed Central Ltd.                   United Kingdom        Biological sciences
Cancer Chemotherapy and Pharmacology             0344-5704     11/2005                                                                     Magazine/Journal         Y                    Springer                              United States         Health
Cancer Cytopathology                             1934-662X      2/1997                                                                     Magazine/Journal         Y                    Wiley-Liss, Inc.                                            Health
Cancer Gene Therapy                              0929-1903      4/2001                  4/2001                     5/2007                  Magazine/Journal         Y            365     Nature Publishing Group               United   Kingdom      Health
Cancer Gene Therapy Week                         1543-6829      1/2003                  1/2003                                               Newsletter                                  NewsRX                                United   States       Health
Cancer Immunology, Immunotherapy                 0340-7004      1/2006                                                                     Magazine/Journal         Y                    Springer                              United   States       Health
Cancer Nanotechnology                            1868-6958     12/2010                                                                     Magazine/Journal                              Springer                              United   States       Health
Cancer News                                      0008-5464      6/1988      6/1994                                                         Magazine/Journal                              American Cancer Society, Inc.         United   States       Health
                                                                                                                                                                                         Royal College of Nursing Publishing
Cancer   Nursing Practice                        1475-4266     4/2003                   4/2003                     4/2003                  Magazine/Journal         Y            90      Company (RCN)                         United   Kingdom      Health
Cancer   Research Alert                          1525-3333     7/1999        7/2000     7/1999        7/2000                                 Newsletter                                  AHC Media LLC                         United   States       Health
Cancer   Researcher Weekly                       1071-7226     5/1993       12/1994     5/1993       12/1994                                 Newsletter                                  NewsRX                                United   States       Health care industry
Cancer   Science                                 1347-9032     1/2006                                                                      Magazine/Journal         Y                    Blackwell Publishers Ltd.             United   Kingdom      Health
Cancer   Vaccine Week                            1543-6810     1/2003                   1/2003                                               Newsletter                                  NewsRX                                United   States       Health
Cancer   Weekly                                  1071-7218     1/1991        2/2012     1/1991        2/2012       1/2003       1/2003       Newsletter                                  NewsRX                                United   States       Health
Cancer   Weekly Plus                                           6/1996       10/1999     6/1996       10/1999                                 Newsletter                                  NewsRX                                United   States       Health

                                                                                                                                                                                         Canadian Association of Nephrology
CANNT Journal                                    1498-5136     7/2006                   7/2006                     7/2006                  Magazine/Journal         Y                    Nurses & Technologists                Canada                Health care industry
Cardiac Resynchronization                                      7/2008                   7/2008                                                  Video                                    Detroit Medical Center                United States         Health
Cardiology Research and Practice                 2090-0597     1/2009                   1/2009                     1/2009                  Magazine/Journal         Y                    Hindawi Publishing Corp.              Egypt                 Health
                                                                                                                                                                                         Cardiovascular & Pulmonary Section,
Cardiopulmonary Physical Therapy Journal         1541-7891     12/2006                 12/2006                    12/2006                  Magazine/Journal                              APTA                                  United   States       Health
CardioVascular and Interventional Radiology      0174-1551      7/1998                                                                     Magazine/Journal         Y                    Springer                              United   States       Health
Cardiovascular Device & Drugs                                   5/2000       9/2008     5/2000        9/2008                                 Newsletter                                  AHC Media LLC                         United   States       Health care industry
Cardiovascular Device Update                     1084-3930     11/2001      12/2007    11/2001       12/2007      12/2001       3/2005       Newsletter                                  AHC Media LLC                         United   States       Health care industry
Cardiovascular Diabetology                       1475-2840     12/2006                 12/2006                                             Magazine/Journal         Y                    BioMed Central Ltd.                   United   Kingdom      Health
Cardiovascular Drug Reviews                      0897-5957      3/2006      3/2008                                                         Magazine/Journal         Y                    Blackwell Publishers Ltd.             United   Kingdom      Health
Cardiovascular Engineering and Technology        1869-408X      3/2010                                                                     Magazine/Journal         Y                    Springer                              United   States       Health
Cardiovascular Therapeutics                      1755-5914      9/2008                                                                     Magazine/Journal         Y                    Blackwell Publishers Ltd.             United   Kingdom      Health
Cardiovascular Ultrasound                        1476-7120      1/2007                  1/2007                                             Magazine/Journal         Y                    BioMed Central Ltd.                   United   Kingdom      Health
Cardiovascular Week                              1543-6853      1/2003                  1/2003                                               Newsletter                                  NewsRX                                United   States       Health
                                                                                                                                                                                         Capital Area Roundtable on
CARING Newsletter                                1551-9104     3/2005                   3/2005                     3/2005                    Newsletter                                  Informatics in Nursing                United States         Health
Case in Point                                    1542-6971     4/2007                   4/2007                     4/2007                  Magazine/Journal                              Contexo Media LLC                     United States         Health
Case Management Advisor                          1053-5500     1/1997                   1/1997                     1/2002       3/2005       Newsletter                                  AHC Media LLC                         United States         Health care industry
Case Manager                                     1061-9259     1/1995       11/2006                                                        Magazine/Journal         Y                    Elsevier B.V.                         Netherlands
Cases Journal                                    1757-1626     5/2008        4/2010     5/2008        4/2010                               Magazine/Journal         Y                    Cases Network Ltd.                    United Kingdom        Health care industry
CDC AIDS Weekly                                  0884-903X     1/1989       12/1990     1/1989       12/1990                                 Newsletter                                  NewsRX                                United States         Health care industry
CDI Journal                                                    4/2009       10/2009     4/2009       10/2009       4/2009       10/2009    Magazine/Journal                              HCPro, Inc.                           United States         Health

CD-ROM Librarian                                 0893-9934     6/1988       12/1992     6/1988       12/1992                               Magazine/Journal                              INT Media Group, Inc.                 United States         Library and information science
                                                                                                                                                                                                                                                     Computers and office
CD-ROM Professional                              1049-0833      5/1990      12/1996     5/1990       12/1996       7/1994       12/1996    Magazine/Journal                              Information Today, Inc.               United   States       automation industries
Cell & Bioscience                                2045-3701      1/2011                  1/2011                                             Magazine/Journal         Y                    BioMed Central Ltd.                   United   Kingdom      Biological sciences
Cell and Tissue Biology                          1990-519X      2/2007                                                                     Magazine/Journal                              Springer                              United   States       Biological sciences
Cell and Tissue Research                         0302-766X     11/2005                                                                     Magazine/Journal         Y                    Springer                              United   States       Health
Cell Communication and Signaling                 1478-811X     12/2006                 12/2006                                             Magazine/Journal         Y                    BioMed Central Ltd.                   United   Kingdom      Biological sciences
Cell Division                                    1747-1028      1/2007                  1/2007                                             Magazine/Journal         Y                    BioMed Central Ltd.                   United   Kingdom      Biological sciences
Cell Preservation Technology                     1538-344X      9/2007      12/2008     9/2007       12/2008       9/2007       12/2008    Magazine/Journal                              Mary Ann Liebert, Inc.                United   States       Science and technology
Cell Proliferation                               0960-7722      2/2006                                                                     Magazine/Journal         Y                    Blackwell Publishers Ltd.             United   Kingdom      Biological sciences
Cell Therapy News                                               9/2002      5/2003      9/2002        5/2003                                 Newsletter                                  BCC Research                          United   States       Biotechnology industry
Cellular and Molecular Life Sciences (CMLS)      1420-682X      1/1997                                                                     Magazine/Journal         Y                    Springer                              United   States       Biological sciences
Cellular Microbiology                            1462-5814     11/2002                                                                     Magazine/Journal         Y                    Blackwell Publishers Ltd.             United   Kingdom      Biological sciences
Cellular Reprogramming                           2152-4971     10/2010      11/2011    10/2010       11/2011      10/2010       11/2011    Magazine/Journal         Y                    Mary Ann Liebert, Inc.                United   States       Biological sciences
Cellulose                                        0969-0239      4/1997                                                                     Magazine/Journal         Y                    Springer                              United   States       Science and technology

Center for Medical Consumers                     2155-1480     8/2009                   8/2009                                                Newsletter                                 Center for Medical Consumers, Inc.    United States         Health




                                                                                                                                                                                                                                                       HRC Academic
                                                                                                                                                                                                                                                              12/62
Journal Name                                              ISSN      Index Start   Index End   Full-text   Full-text End Image Start   Image End       Format         Refereed/Peer-   Embargo             Publisher Name                 Publisher Country   Publication Primary Subject
                                                                                                Start                                                                  Reviewed        (Days)
Cephalalgia                                             0333-1024      2/2002                                                                     Magazine/Journal          Y                   Blackwell Publishers Ltd.              United   Kingdom      Health
Cerebrospinal Fluid Research                            1743-8454     12/2006      11/2010    12/2006       11/2010                               Magazine/Journal          Y                   BioMed Central Ltd.                    United   Kingdom      Health
Chad - Population and AIDS Control Project                             3/2005                  3/2005                                                 Report                                    The World Bank                         United   States       Health
Chemical Biology & Drug Design                          1747-0277      1/2006                                                                     Magazine/Journal         Y                    Blackwell Publishers Ltd.              United   Kingdom      Biological sciences

Chest                                                   0012-3692      5/1989                  5/1989        7/2006       5/1991        6/2006    Magazine/Journal         Y                    American College of Chest Physicians United States           Health
CHF Disease Management                                                10/1998      6/2000     10/1998        6/2000                                 Newsletter                                  AHC Media LLC                        United States           Health
Child                                                   0894-7988      6/2000      6/2007                                                         Magazine/Journal                              Meredith Corporation                 United States           Family and marriage

Child & Family Behavior Therapy                         0731-7107     1/2003                                                                      Magazine/Journal         Y                    Haworth Press, Inc.                                          Psychology and mental health
Child & Family Social Work                              1356-7500     2/2006                                                                      Magazine/Journal         Y                    Blackwell Publishers Ltd.              United Kingdom        Sociology and social work
Child Abuse and Neglect                                 0145-2134     1/1992                                                                      Magazine/Journal         Y                    Elsevier Science Publishers                                  Sociology and social work

Child and Adolescent Mental Health                      1475-357X     2/2006                                                                      Magazine/Journal         Y                    Blackwell Publishers Ltd.              United Kingdom        Psychology and mental health
Child and Adolescent Psychiatry and Mental Health       1753-2000     6/2007                   6/2007                                             Magazine/Journal         Y                    BioMed Central Ltd.                    United Kingdom        Health

Child Development                                       0009-3920     2/1987                                                                      Magazine/Journal         Y                    Blackwell Publishers Ltd.              United Kingdom        Psychology and mental health
Child Health Alert                                      1064-4849     1/1988       4/2010      1/1989        4/2010       9/1999       4/2010       Newsletter                                  Child Health Alert, Inc.               United States         Health
Child Psychiatry and Human Development                  0009-398X     9/2006                                                                      Magazine/Journal         Y                    Springer                               United States         Health
                                                                                                                                                                                                State University of New York at
Child Study Journal                                     0009-4005     12/1998      3/2004     12/1998        3/2004       3/1999        3/2004    Magazine/Journal         Y                    Buffalo                                United States         Education

Child Welfare                                           0009-4021     1/1987                   1/2007                     1/2007                  Magazine/Journal         Y                    Child Welfare League of America, Inc. United States          Sociology and social work

Child: Care, Health and Development                     0305-1862     1/1999                                                                      Magazine/Journal         Y                    Blackwell Publishers Ltd.              United Kingdom        Psychology and mental health

Children & Schools                                      1532-8759     7/2003                                                                      Magazine/Journal         Y                    National Association of Social Workers United States         Education
Children Today                                          0361-4336     1/1980       3/1997      3/1984        3/1997       6/1994       3/1997     Magazine/Journal                              U.S. Government Printing Office        United States         Family and marriage

Children's Voice Magazine                               1057-736X     1/2007                   1/2007                     1/2007                  Magazine/Journal                              Child Welfare League of America, Inc. United States          Sociology and social work
Child's Nervous System                                  0256-7040     2/1997                                                                      Magazine/Journal         Y                    Springer                              United States          Health
China Medical Device Manufacturer                       1553-9083     9/2008                   9/2008                     9/2008                  Magazine/Journal                              Canon Communications LLC              United States          Health
Chinese Journal of Clinical Oncology                    1672-7118     2/2006                                                                      Magazine/Journal                              Springer                              United States          Health
Chinese Journal of Digestive Diseases                   1443-9611     1/2006                                                                      Magazine/Journal         Y                    Blackwell Publishers Ltd.             United Kingdom         Health

Chinese Medicine (Irvine)                               2151-1918     6/2010                   6/2010                     6/2010                  Magazine/Journal         Y                    Scientific Research Publishing, Inc.   United   States       Health
Chiropractic & Manual Therapies                         2045-709X     1/2011                   1/2011                                             Magazine/Journal         Y                    BioMed Central Ltd.                    United   Kingdom      Health
Chiropractic and Osteopathy                             1746-1340     1/2007       12/2010     1/2007       12/2010                               Magazine/Journal         Y                    BioMed Central Ltd.                    United   Kingdom      Health
Chiropractic Products                                   1041-2360     4/2006        8/2008     4/2006        8/2008       4/2006       8/2008     Magazine/Journal                              Allied Media LLC                       United   States       Health
Chromosoma                                              0009-5915     5/1999                                                                      Magazine/Journal         Y                    Springer                               United   States       Biological sciences
                                                                                                                                                                                                Centers for Disease Control and
Chronic Disease Notes & Reports                                       2/2009                   2/2009                     2/2009                    Newsletter                                  Prevention                             United States         Health
Chronicle                                               1552-9983     1/1985       11/2005                                                        Magazine/Journal                              DNA Publications, Inc.                 United States         Literature/writing
                                                                                                                                                                                                Medknow Publications and Media Pvt.
Chronicles of Young Scientists                          0975-9212     1/2010                   1/2010                                             Magazine/Journal         Y                    Ltd.                                   India                 Health

Circuits and Systems                                    2153-1285     7/2010                   7/2010                     7/2010                  Magazine/Journal         Y                    Scientific Research Publishing, Inc.   United States         Computers
                                                                                                                                                                                                Lippincott Williams & Wilkins, WK
Circulation                                             0009-7322      1/2007                                                                     Magazine/Journal         Y                    Health                                 United   States       Health
Clin Alert                                              0069-4770      1/2005      9/2008      1/2005        9/2008       1/2005       10/2007    Magazine/Journal                              Sage Publications, Inc.                United   States       Health
Clinical & Experimental Allergy                         0954-7894     12/1997                                                                     Magazine/Journal         Y                    Blackwell Publishers Ltd.              United   Kingdom      Health
Clinical Advisor                                        1524-7317     12/2005                 12/2005                    12/2005                  Magazine/Journal                              Haymarket Media, Inc.                  United   States       Health
Clinical and Experimental Dermatology                   0307-6938      1/1997                                                                     Magazine/Journal         Y                    Blackwell Publishers Ltd.              United   Kingdom      Health
Clinical and Experimental Immunology                    0009-9104      9/1993                                                                     Magazine/Journal         Y                    Blackwell Publishers Ltd.              United   Kingdom      Health
Clinical and Experimental Medicine                      1591-8890      6/2001                                                                     Magazine/Journal         Y                    Springer                               United   States       Health
Clinical and Experimental Nephrology                    1342-1751      3/1999                                                                     Magazine/Journal         Y                    Springer                               United   States       Health
Clinical and Experimental Ophthalmology                 1442-6404      2/2002                                                                     Magazine/Journal         Y                    Blackwell Publishers Ltd.              United   Kingdom      Health
Clinical and Experimental Optometry                     0816-4622      1/2006                                                                     Magazine/Journal         Y                    Blackwell Publishers Ltd.              United   Kingdom      Health

Clinical and Experimental Pharmacology and Physiology   0305-1870     3/1998                                                                      Magazine/Journal         Y                    Blackwell Publishers Ltd.              United Kingdom        Health
                                                                                                                                                                                                Canadian Society for Clinical
Clinical   and Investigative Medicine                   0147-958X      2/2004      12/2004     2/2004       12/2004       2/2004       12/2004    Magazine/Journal         Y                    Investigation                          Canada                Health
Clinical   and Laboratory Haematology                   0141-9854      2/2006      2/2007                                                         Magazine/Journal         Y                    Blackwell Publishers Ltd.              United Kingdom        Health
Clinical   and Molecular Allergy                        1476-7961     12/2006                 12/2006                                             Magazine/Journal         Y                    BioMed Central Ltd.                    United Kingdom        Health
Clinical   and Translational Allergy                    2045-7022      6/2011                  6/2011                                             Magazine/Journal         Y                    BioMed Central Ltd.                    United Kingdom        Health
Clinical   Autonomic Research                           0959-9851     12/1990                                                                     Magazine/Journal         Y                    Springer                               United States         Health
Clinical   Biomechanics                                 0268-0033      3/1998                                                                     Magazine/Journal         Y                    Elsevier B.V.                          Netherlands           Health care industry




                                                                                                                                                                                                                                                               HRC Academic
                                                                                                                                                                                                                                                                      13/62
Journal Name                                                     ISSN      Index Start   Index End   Full-text   Full-text End Image Start   Image End       Format         Refereed/Peer-   Embargo             Publisher Name                Publisher Country   Publication Primary Subject
                                                                                                       Start                                                                  Reviewed        (Days)
Clinical Cardiology Alert                                      0741-4218     1/1997                   1/1997                     9/1999       3/2005     Magazine/Journal                              AHC Media LLC                         United States         Health
                                                                                                                                                                                                       American Association for Clinical
Clinical Chemistry                                             0009-9147     1/1997                   1/1997                     1/1997                  Magazine/Journal         Y            365     Chemistry, Inc.                       United States         Chemistry

Clinical Chemistry and Laboratory Medicine                     1434-6621     1/1980                   5/1983                     5/1983                  Magazine/Journal         Y                    Walter de Gruyter GmbH & Co. KG       Germany               Science and technology

Clinical Child and Family Psychology Review                    1096-4037      3/2006                                                                     Magazine/Journal         Y                    Springer                              United States         Psychology and mental health
Clinical Chiropractic                                          1479-2354      3/2005                                                                     Magazine/Journal         Y                    Elsevier B.V.                         Netherlands           Health care industry
Clinical Cornerstone                                           1098-3597      8/1998                                                                     Magazine/Journal         Y                    Elsevier B.V.                         Netherlands
Clinical Dermatology                                           1750-306X      5/2007                  5/2007                     6/2008                  Magazine/Journal         Y                    Mediscript Ltd.                       United Kingdom        Health
Clinical Diabetes                                              0891-8929      9/1989                  9/1989                     1/2000                  Magazine/Journal         Y                    American Diabetes Association         United States         Health
Clinical Drug Investigation                                    1173-2563      4/2003                  4/2003        9/2011       4/2003       9/2011     Magazine/Journal         Y                    Wolters Kluwer Health                 United Kingdom        Health
Clinical Effectiveness in Nursing                              1361-9004      3/1997                                                                     Magazine/Journal         Y                    Elsevier B.V.                         Netherlands           Health care industry
Clinical Epigenetics                                           1868-7075      9/2010                 10/2011                                             Magazine/Journal         Y                    BioMed Central Ltd.                   United Kingdom        Biological sciences
Clinical Genetics                                              0009-9163      3/1993                                                                     Magazine/Journal         Y                    Blackwell Publishers Ltd.             United Kingdom        Biological sciences
Clinical Infectious Diseases                                   1058-4838      1/2001                                                                     Magazine/Journal         Y                    University of Chicago Press           United States         Health
Clinical Journal of Oncology Nursing                           1092-1095     12/2006                 12/2006                    12/2006                  Magazine/Journal         Y            365     Oncology Nursing Society              United States         Health
Clinical Kinesiology: Journal of the American Kinesiotherapy
Association                                                    0896-9620     3/2003                   3/2003                     3/2003                  Magazine/Journal         Y                    American Kinesiotherapy Association   United States         Health
                                                                                                                                                                                                       American Society for Clinical
Clinical   Laboratory Science                                  0894-959X     3/2006                   3/2006                     3/2006                  Magazine/Journal         Y                    Laboratory Science                    United States         Science and technology
Clinical   Lipidology                                          1758-4299     2/2009                   2/2009                    11/2009                  Magazine/Journal                              Future Medicine Ltd.                  United Kingdom        Health
Clinical   Microbiology and Infection                          1198-743X     4/2000                                                                      Magazine/Journal         Y                    Blackwell Publishers Ltd.             United Kingdom        Biological sciences
Clinical   Nursing Research                                    1054-7738     2/1996                   2/1996        8/1998                               Magazine/Journal         Y                    Sage Publications, Inc.               United States         Health
Clinical   Nutrition                                           0261-5614     2/1995                                                                      Magazine/Journal         Y                    Elsevier B.V.                         Netherlands           Health
Clinical   Oncology Alert                                      0886-7186     1/1997                   1/1997                     9/1999       3/2005       Newsletter             Y                    AHC Media LLC                         United States         Health
Clinical   Oncology Week                                       1543-6799     1/2003                   1/2003                                               Newsletter                                  NewsRX                                United States         Health
Clinical   Otolaryngology                                      0307-7772     2/2006                                                                      Magazine/Journal         Y                    Blackwell Publishers Ltd.             United Kingdom        Health care industry
Clinical   Outcomes Measurement                                              7/1998       8/1998      7/1998        8/1998                                 Newsletter                                  AHC Media LLC                         United States         Health
Clinical   Pediatrics                                          0009-9228     6/1989                                                                      Magazine/Journal         Y                    Westminster Publications Inc.         United States         Health
Clinical   Pharmacokinetics                                    0312-5963     6/2003                   6/2003        9/2011       6/2003       9/2011     Magazine/Journal         Y                    Wolters Kluwer Health                 United Kingdom        Health
                                                                                                                                                                                                                                                                   Pharmaceuticals and cosmetics
Clinical Pharmacology & Therapeutics                           0009-9236     3/1996                                                                      Magazine/Journal         Y                    Nature Publishing Group               United Kingdom        industries
Clinical Physiology and Functional Imaging                     1475-0961     1/2006                                                                      Magazine/Journal         Y                    Blackwell Publishers Ltd.             United Kingdom        Biological sciences

Clinical Practice and Epidemiology in Mental Health            1745-0179     12/2006      6/2009     12/2006        6/2009                               Magazine/Journal         Y                    BioMed Central Ltd.                   United Kingdom        Psychology and mental health
Clinical Proteomics                                            1542-6416     11/2010                 11/2010                                             Magazine/Journal         Y                    BioMed Central Ltd.                   United Kingdom        Health

Clinical Psychiatry News                                       0270-6644     6/2001                   6/2001                                             Magazine/Journal                              International Medical News Group      United States         Psychology and mental health
Clinical Rheumatology                                          0770-3198     3/1982                                                                      Magazine/Journal         Y                    Springer                              United States         Health
Clinical Therapeutics                                          0149-2918     5/1999                                                                      Magazine/Journal         Y                    Elsevier B.V.                         Netherlands           Health care industry
                                                                                                                                                                                                                                                                   Pharmaceuticals and cosmetics
Clinical Toxicology                                            1556-3650      1/2005                  1/2005       10/2006       1/2005       10/2006    Magazine/Journal         Y                    Taylor & Francis Ltd.                 United Kingdom        industries
Clinical Transplantation                                       0902-0063      1/2006                                                                     Magazine/Journal         Y                    Blackwell Publishers Ltd.             United Kingdom        Health care industry
Clinical Trials Administrator                                  1544-8460      7/2003                  7/2003                                             Magazine/Journal         Y                    AHC Media LLC                         United States         Health care industry
Clinical Trials Week                                           1543-6772      1/2003                  1/2003                                               Newsletter                                  NewsRX                                United States         Health
Clinician Reviews                                              1052-0627      8/1999                  8/1999                     9/1999                  Magazine/Journal         Y                    Quadrant Healthcom, Inc.              United States         Health
Clinics in Mother and Child Health                             1812-5840      1/2011                  1/2011                     1/2011                  Magazine/Journal         Y                    Ashdin Publishing                     Belgium               Health
Cloning and Stem Cells                                         1536-2302     12/2007      12/2009    12/2007       12/2009      12/2007       9/2009     Magazine/Journal         Y                    Mary Ann Liebert, Inc.                United States         Biological sciences
CMAJ: Canadian Medical Association Journal                     0820-3946      8/2004                  8/2004                     8/2004                  Magazine/Journal         Y                    Canadian Medical Association          Canada                Health
CME: Your SA Journal of CPD                                    1016-6742      1/2007                  1/2007                     1/2007                  Magazine/Journal                              South African Medical Association     South Africa          Health
CNS Drug Reviews                                               1080-563X      3/2006      3/2008                                                         Magazine/Journal         Y                    Blackwell Publishers Ltd.             United Kingdom        Health care industry
CNS Drugs                                                      1172-7047      8/2003                  8/2003        9/2011       8/2003       9/2011     Magazine/Journal         Y                    Wolters Kluwer Health                 United Kingdom        Health
CNS Neuroscience & Therapeutics                                1755-5930      9/2009                                                                     Magazine/Journal         Y                    Blackwell Publishers Ltd.             United Kingdom        Health care industry

Cognitive Science                                              0364-0213     1/1992                   1/1998        1/2002       4/1999        5/2001    Magazine/Journal         Y                    Elsevier Science Publishers                                 Psychology and mental health
                                                                                                                                                                                                       Medical Education & Research
Colitis Club Quarterly                                                       9/2000       9/2000      9/2000        9/2000       9/2000        9/2000      Newsletter                                  Foundation                            United States         Health
Colorado Nurse                                                 8750-846X     3/2007                   3/2007                     3/2007                  Magazine/Journal                              Colorado Nurses Association           United States         Health care industry
Colorectal Disease                                             1462-8910     7/2005                                                                      Magazine/Journal         Y                    Blackwell Publishers Ltd.             United Kingdom        Health care industry

Combatting AIDS and Other Sexually Transmitted Diseases
In Africa: A Reviewof the World Bank's Agenda For Action                     11/1992                 11/1992                                                 Report                                    The World Bank                        United States         Health

Communication & Medicine                                       1612-1783     4/2004       10/2007     4/2004       10/2007       4/2004       10/2007    Magazine/Journal         Y                    Walter de Gruyter GmbH & Co. KG       Germany               Social sciences
Communication Disorders Quarterly                              1525-7401     9/1999                   9/1999        9/2007       1/2000        6/2007    Magazine/Journal         Y                    Sage Publications, Inc.               United States         Education
Community Care                                                 0307-5508     3/1992       11/2011     3/2001       11/2011                               Magazine/Journal                              Reed Business Information Ltd.        United Kingdom        Sociology and social work




                                                                                                                                                                                                                                                                     HRC Academic
                                                                                                                                                                                                                                                                            14/62
Journal Name                                                 ISSN      Index Start   Index End   Full-text   Full-text End Image Start   Image End       Format         Refereed/Peer-   Embargo             Publisher Name                Publisher Country   Publication Primary Subject
                                                                                                   Start                                                                  Reviewed        (Days)
Community Dentistry and Oral Epidemiology                  0301-5661     2/1983                                                                      Magazine/Journal          Y                   Blackwell Publishers Ltd.             United Kingdom        Health care industry
Community Living                                           0951-9815     3/2008                   3/2008                     3/2008                  Magazine/Journal          Y                   CL Initiatives Ltd.                   United Kingdom        Social sciences

Community Mental Health Journal                            0010-3853      3/1989                                                                     Magazine/Journal         Y                    Springer                              United   States       Psychology and mental health
Community Practitioner                                     1462-2815      4/2007                  4/2007                     4/2007                  Magazine/Journal         Y                    Ten Alps Publishing                   United   Kingdom      Health
Comparative and Functional Genomics                        1531-6912      1/2005                  1/2005                     1/2005                  Magazine/Journal         Y                    Hindawi Publishing Corp.              Egypt                 Biological sciences
Comparative Hepatology                                     1476-5926     12/2006                 12/2006                                             Magazine/Journal         Y                    BioMed Central Ltd.                   United   Kingdom      Health
Complementary Health Practice Review                       1533-2101      1/2001                 10/2005        4/2008      10/2005       1/2008     Magazine/Journal         Y                    Sage Publications, Inc.               United   States       Health

Complementary or Alternative Medicine                                     8/2008                  8/2008                                               Newsletter                                  Harvard Health Publications Group     United States         Health
Complementary Therapies in Clinical Practice               1744-3881      2/2005                                                                     Magazine/Journal         Y                    Elsevier B.V.                         Netherlands           Health care industry
Complementary Therapies in Medicine                        0965-2299      3/2000                                                                     Magazine/Journal                              Elsevier B.V.                         Netherlands           Health care industry
Complementary Therapies in Nursing and Midwifery           1353-6117      2/1995                                                                     Magazine/Journal         Y                    Elsevier B.V.                         Netherlands
Compliance Hotline                                         1541-0609     10/2001      12/2002    10/2001       12/2002      11/2001       12/2002      Newsletter                                  AHC Media LLC                         United States         Health care industry
Compliance Week                                            1549-957X     10/2008                 10/2008                    10/2008                  Magazine/Journal                              Haymarket Media, Inc.                 United States         Law
Comprehensive Psychiatry                                   0010-440X      3/2000                                                                     Magazine/Journal         Y                    Elsevier B.V.                         Netherlands           Health care industry

                                                                                                                                                                                                   Penton Media, Inc., Penton Business
Computers in Healthcare                                    0745-1075     3/1980       12/1993     1/1988       12/1993                               Magazine/Journal                              Media, Inc. and their subsidiaries    United States         Health care industry
Computers in Libraries                                     1041-7915     2/1989                   2/1989                     7/1994                  Magazine/Journal                              Information Today, Inc.               United States         Computers
                                                                                                                                                                                                   University of Texas at Austin
Conference of Latin Americanist Geographers Yearbook       1054-3074     1/1999       1/2000      1/1999        1/2000       1/1999        1/2000    Almanac/Yearbook                              (University of Texas Press)           United States         Geography
Conflict and Health                                        1752-1505     3/2007                   3/2007                                             Magazine/Journal         Y                    BioMed Central Ltd.                   United Kingdom        Health

Confronting AIDS: Public Priorities In a Global Epidemic                 10/1997                 10/1997                                                 Report                                    The World Bank                        United States         Health
Congenital Anomalies                                       0914-3505     3/2003                                                                      Magazine/Journal         Y                    Blackwell Publishers Ltd.             United Kingdom        Health care industry

Connect: The World of Critical Care Nursing                1748-6254     1/2006                   1/2006                     1/2006                  Magazine/Journal                              Connect Healthcare Publishing Ltd.    Australia             Health
                                                                                                                                                                                                   Medknow Publications and Media Pvt.
Conservation and Society                                   0972-4923     1/2009                   1/2009                                             Magazine/Journal         Y                    Ltd.                                  India                 Environmental issues
Consultant                                                 0010-7069     1/1981                   1/1989                    11/1992       7/2005     Magazine/Journal         Y                    HMP Communications, LLC               United States         Health
Consultant for Pediatricians                               1545-8539     3/2005                   3/2005                                             Magazine/Journal                              HMP Communications, LLC               United States         Health
Consumer Health News (English)                                           2/2009                   2/2009                                                Newswire                                   HealthDay                             United States         Health
                                                                                                                                                                                                   Consumers Union of the United
Consumer Reports                                           0010-7174     1/1980                   1/1999        6/2009       1/1999        6/2009    Magazine/Journal                              States, Inc.                          United States         Consumer news and advice
                                                                                                                                                                                                   Consumers Union of the United
Consumer Reports Health Letter                             1044-3193     9/1989       7/1991                                                            Newsletter                                 States, Inc.                          United States         Health
                                                                                                                                                                                                   Consumers Union of the United
Consumer Reports on Health                                 1058-0832     8/1991                  10/2006        6/2009                                 Newsletter                                  States, Inc.                          United States         Health
Contact Dermatitis                                         0105-1873     1/2006                                                                      Magazine/Journal         Y                    Blackwell Publishers Ltd.             United Kingdom        Health
                                                                                                                                                                                                   Medknow Publications and Media Pvt.
Contemporary   Clinical Dentistry                          0976-237X     1/2010                   1/2010                                             Magazine/Journal         Y                    Ltd.                                  India                 Health
Contemporary   Drug Problems                               0091-4509     1/1980                   9/1992                     3/1994                  Magazine/Journal         Y                    Federal Legal Publications, Inc.      United States         Law
Contemporary   Islam                                       1872-0218     6/2007                                                                      Magazine/Journal                              Springer                              United States         Regional focus/area studies
Contemporary   Long Term Care                              8750-9652     4/1999       4/2007      4/1999        4/2007       6/1999       4/2007     Magazine/Journal                              HCPro, Inc.                           United States         Health care industry
Contemporary   Nurse                                       1037-6178     4/2005                   4/2005                     4/2005                  Magazine/Journal         Y                    eContent Management Pty Ltd.          Australia             Health
Contemporary   OB/GYN                                      0090-3159     4/1999                   4/1999        8/2006       2/2002       8/2006     Magazine/Journal         Y                    Advanstar Communications, Inc.        United States         Health
Contemporary   Pediatrics                                  8750-0507     4/1999                   4/1999        8/2006       2/2002       8/2006     Magazine/Journal         Y                    Advanstar Communications, Inc.        United States         Health
                                                                                                                                                                                                   American Psychological Association,
Contemporary Psychology                                    0010-7549     6/1989       2/1991                                                         Magazine/Journal         Y                    Inc.                                  United States         Psychology and mental health
                                                                                                                                                                                                   California Association of School
Contemporary School Psychology                             2159-2020      1/2011                  1/2011                     1/2011                  Magazine/Journal         Y                    Psychologists                         United States         Psychology and mental health
Contemporary Surgery                                       0045-8341      3/2007      12/2008     3/2007       12/2008       3/2007       12/2008    Magazine/Journal         Y                    Dowden Health Media, Inc.             United States         Health
Contemporary Urology                                       1042-2250     10/2000       1/2008                                                        Magazine/Journal         Y                    Advanstar Communications, Inc.        United States         Health
Continental Journal of Biomedical Sciences                 2141-419X      1/2007                  1/2007                     1/2007                  Magazine/Journal         Y                    Wilolud Journals                      Nigeria               Science and technology
Continental Journal of Medical Research                    2141-4211      1/2007                  1/2007                     1/2007                  Magazine/Journal         Y                    Wilolud Journals                      Nigeria               Science and technology
Continental Journal of Microbiology                        2141-4106      1/2007                  1/2007                     1/2007                  Magazine/Journal         Y                    Wilolud Journals                      Nigeria               Science and technology
Continental Journal of Pharmaceutical Sciences             2141-4149      1/2007                  1/2007                     1/2007                  Magazine/Journal         Y                    Wilolud Journals                      Nigeria               Science and technology
Continental Journal of Tropical Medicine                   2141-4167      1/2007                  1/2007                     1/2007                  Magazine/Journal         Y                    Wilolud Journals                      Nigeria               Health

Contraception Counts: State-by-State Information Set                      1/1999                  1/1999                     1/1999                     Pamphlet                                   Guttmacher Institute                  United States         Family and marriage
Contraceptive Services                                                    1/1998                  1/1998                     1/1998                     Pamphlet                                   Guttmacher Institute                  United States         Family and marriage
Contraceptive Technology Update                            0274-726X      1/1997                  1/1997                    11/1999       4/2005     Magazine/Journal                              AHC Media LLC                         United States         Health
COPE                                                       0890-5053      1/1988      4/1989                                                         Magazine/Journal                              Media America Inc.                                          Health
Core Evidence                                              1555-1741      1/2005                                                                     Magazine/Journal         Y                    Dove Medical Press Limited            United Kingdom        Health
Coronary Health Care                                       1362-3265      2/1997      5/1997                                                         Magazine/Journal         Y                    Elsevier B.V.                         Netherlands
Cortlandt Forum                                            1048-5791     12/2005      1/2009     12/2005        1/2009      12/2005       1/2009     Magazine/Journal                              Haymarket Media, Inc.                 United States         Health




                                                                                                                                                                                                                                                                 HRC Academic
                                                                                                                                                                                                                                                                        15/62
Journal Name                                                   ISSN      Index Start   Index End   Full-text   Full-text End Image Start   Image End       Format         Refereed/Peer-   Embargo             Publisher Name                  Publisher Country   Publication Primary Subject
                                                                                                     Start                                                                  Reviewed        (Days)
Cosmetic Surgery Times                                       1094-6810      7/2000                   7/2000                    3/2002       6/2004       Newsletter                                  Advanstar Communications, Inc.          United States         Health
Cost Effectiveness and Resource Allocation                   1478-7547     12/2006                  12/2006                                            Magazine/Journal         Y                    BioMed Central Ltd.                     United Kingdom        Health care industry
Cost Management in Cardiac Care                              1087-0644      1/1997      9/1999       1/1997       9/1999                                 Newsletter                                  AHC Media LLC                           United States         Health

Cote D'ivoire - Emergency Multi-Sector HIV/AIDS Project                     5/2008                  5/2008                                                 Report                                    The World Bank                          United   States       Health
Cough                                                        1745-9974      1/2007                  1/2007                                             Magazine/Journal         Y                    BioMed Central Ltd.                     United   Kingdom      Health
Counseling and Values                                        0160-7960      4/2000                  4/2000                     4/2000                  Magazine/Journal         Y            540     American Counseling Association         United   States       Philosophy and religion
CQ Healthbeat                                                               7/2009                  7/2009                                                Transcript                                 CQ-Roll Call, Inc.                      United   States       Health
CRANIO: The Journal of Craniomandibular Practice             0886-9634     10/2006                 10/2006                    10/2006                  Magazine/Journal         Y                    Chroma, Inc.                            United   States       Science and technology
Critical Care                                                1364-8535      1/2007                  1/2007                                             Magazine/Journal         Y                    BioMed Central Ltd.                     United   Kingdom      Health
Critical Care Alert                                          1067-9502      1/1997                  1/1997                    11/1999       3/2005       Newsletter                                  AHC Media LLC                           United   States       Health
Critical Care Management                                     1070-4523     11/1997      3/2000     11/1997        3/2000                                 Newsletter                                  AHC Media LLC                           United   States       Health
                                                                                                                                                                                                     American Association of Critical-Care
Critical Care Nurse                                          0279-5442     4/2002                   4/2002        4/2008      10/2002        2/2008    Magazine/Journal         Y                    Nurses                                  United States         Health
                                                                                                                                                                                                     Lippincott Williams & Wilkins, WK
Critical Care Nursing Quarterly                              0887-9303      2/1996                                                                     Magazine/Journal         Y                    Health                                  United States         Health care industry
Croatian Medical Journal                                     0353-9504     12/2007                 12/2007                    12/2007                  Magazine/Journal         Y                    Sveuciliste U Zagrebu                   Croatia               Health
                                                                                                                                                                                                     Centre for Addiction and Mental
CrossCurrents - The Journal of Addiction and Mental Health   1706-9548      9/2002                  9/2002                    12/2002                    Newsletter                                  Health                                  Canada                Psychology and mental health
Culture, Medicine and Psychiatry                             0165-005X     12/2005                                                                     Magazine/Journal         Y                    Springer                                United States         Social sciences
Current Allergy and Asthma Reports                           1529-7322      3/2001                                                                     Magazine/Journal                              Springer                                United States         Health
Current Cardiology Reports                                   1523-3782      5/1999                                                                     Magazine/Journal                              Springer                                United States         Health
Current Cardiovascular Risk Reports                          1932-9520      2/2007                                                                     Magazine/Journal                              Springer                                United States         Health
Current Colorectal Cancer Reports                            1556-3790      3/2005                                                                     Magazine/Journal                              Springer                                United States         Health
Current Concepts in Aesthetic and Reconstructive
Oculoplastic Surgery                                                        1/2000                  1/2000                     1/2000                      Report               Y                    Kugler Publications                     Netherlands           Health
Current Diabetes Reports                                     1534-4827      2/2001                                                                     Magazine/Journal                              Springer                                United States         Health
Current Fungal Infection Reports                             1936-3761      6/2007                                                                     Magazine/Journal                              Springer                                United States         Health
Current Gastroenterology Reports                             1522-8037      4/1996                                                                     Magazine/Journal                              Springer                                United States         Health
Current Genetics: Lower Eukaryotes and Organelles            0172-8083     12/2003                                                                     Magazine/Journal         Y                    Springer                                United States         Biological sciences
Current GERD Reports                                         1934-967X      3/2007                                                                     Magazine/Journal                              Springer                                United States         Health
Current Health 2, a Weekly Reader publication                0163-156X      9/1986      4/2010      2/1989        4/2010       9/1994       1/1997     Magazine/Journal                              Weekly Reader Corp.                     United States         Health
Current Health Teens, a Weekly Reader publication            2157-5703      9/2010                  9/2010                                             Magazine/Journal                              Weekly Reader Corp.                     United States         Health
Current Heart Failure Reports                                1546-9530      3/2004                                                                     Magazine/Journal                              Springer                                United States         Health
Current Hematologic Malignancy Reports                       1558-8211      9/1996                                                                     Magazine/Journal                              Springer                                United States         Health
Current Hepatitis Reports                                    1540-3416     11/2002                                                                     Magazine/Journal                              Springer                                United States         Health
Current HIV/AIDS Reports                                     1548-3568      3/1996                                                                     Magazine/Journal                              Springer                                United States         Health
Current Hypertension Reports                                 1522-6417      8/1996                                                                     Magazine/Journal                              Springer                                United States         Health
Current Infectious Disease Reports                           1523-3847      4/1996                                                                     Magazine/Journal                              Springer                                United States         Health
Current Microbiology                                         0343-8651      3/2001                                                                     Magazine/Journal         Y                    Springer                                United States         Biological sciences
Current Neurology and Neuroscience Reports                   1528-4042      2/1996                                                                     Magazine/Journal                              Springer                                United States         Health
Current Oncology Reports                                     1523-3790      2/1996                                                                     Magazine/Journal                              Springer                                United States         Health
Current Orthopaedics                                         0268-0890      2/2005                                                                     Magazine/Journal         Y                    Elsevier B.V.                           Netherlands           Health care industry
Current Osteoporosis Reports                                 1544-1873      9/1996                                                                     Magazine/Journal                              Springer                                United States         Health
Current Paediatrics                                          0957-5839      3/1995                  2/2005                     2/2005                  Magazine/Journal                              Elsevier B.V.                           Netherlands           Health
Current Pain and Headache Reports                            1531-3433      2/2001                                                                     Magazine/Journal                              Springer                                United States         Health
Current Prostate Reports                                     1544-225X      3/1996      5/2008                                                         Magazine/Journal                              Springer                                United States         Health

Current Psychiatry                                           1537-8276     3/2007                   3/2007                     3/2007                  Magazine/Journal                       7      Dowden Health Media, Inc.               United States         Psychology and mental health
Current Psychiatry Reports                                   1523-3812     2/1996                                                                      Magazine/Journal                              Springer                                United States         Health

Current   Psychology                                         1046-1310     12/1998                 12/1998        3/2001       6/1999        3/2001    Magazine/Journal         Y                    Transaction Publishers, Inc.            United States         Psychology and mental health
Current   Reviews in Musculoskeletal Medicine                1935-9748      3/2008                                                                     Magazine/Journal         Y                    Springer                                United States         Health
Current   Rheumatology Reports                               1523-3774      2/1996                                                                     Magazine/Journal                              Springer                                United States         Health
Current   Sexual Health Reports                              1548-3584      6/1996                                                                     Magazine/Journal                              Springer                                United States         Health
Current   Sports Medicine Reports                            1537-890X     12/1996                                                                     Magazine/Journal                              Springer                                United States         Health
Current   Therapeutic Research                               0011-393X      2/1999                                                                     Magazine/Journal         Y                    Elsevier B.V.                           Netherlands           Health care industry

Current   Treatment Options   in   Cardiovascular Medicine   1092-8464      6/1996                                                                     Magazine/Journal                              Springer                            United States             Health
Current   Treatment Options   in   Gastroenterology          1092-8472     12/1998                                                                     Magazine/Journal                              Springer                            United States             Health
Current   Treatment Options   in   Neurology                 1092-8480     12/1996                                                                     Magazine/Journal                              Springer                            United States             Health
Current   Treatment Options   in   Oncology                  1527-2729      2/2000                                                                     Magazine/Journal                              Springer                            United States             Health
Current   Urology Reports                                    1527-2737      8/1996                                                                     Magazine/Journal                              Springer                            United States             Health
                                                                                                                                                                                                     Medknow Publications and Media Pvt.
CytoJournal                                                  1742-6413     12/2006                 12/2006                                             Magazine/Journal         Y                    Ltd.                                India                     Biological sciences
Cytology and Genetics                                        0095-4527      2/2007                                                                     Magazine/Journal         Y                    Springer                            United States             Health
Cytopathology                                                0956-5507      2/2006                                                                     Magazine/Journal         Y                    Blackwell Publishers Ltd.           United Kingdom            Biological sciences




                                                                                                                                                                                                                                                                     HRC Academic
                                                                                                                                                                                                                                                                            16/62
Journal Name                                   ISSN      Index Start   Index End   Full-text   Full-text End Image Start   Image End       Format         Refereed/Peer-   Embargo            Publisher Name                 Publisher Country   Publication Primary Subject
                                                                                     Start                                                                  Reviewed        (Days)
Dairy Council Digest                         0011-5568     1/1988       11/1994                                                           Newsletter                                 National Dairy Council                United States         Business
                                                                                                                                                                                     Native American Women's Health                              Ethnic, cultural, racial
Dakota Roundtable                                          2/1999       2/1999      2/1999        2/1999                                   Report                                    Education Resource Center             United States         issues/studies
                                                                                                                                                                                     Native American Women's Health                              Ethnic, cultural, racial
Dakota Roundtable II                                       9/1994       9/1994      9/1994        9/1994                                   Report                                    Education Resource Center             United States         issues/studies
                                                                                                                                                                                     Native American Women's Health                              Ethnic, cultural, racial
Dakota Roundtable III                                      4/1996       4/1996      4/1996        4/1996                                   Report                                    Education Resource Center             United States         issues/studies

Database (U.S.)                              0162-4105     2/1983       6/1985                                                         Magazine/Journal                              Information Today, Inc.               United States         Library and information science
                                                                                                                                                                                                                                                 Computers and office
Database Searcher                            0891-6713     6/1988       1/1993      6/1988        1/1993       4/1991       4/1991     Magazine/Journal                              INT Media Group, Inc.                 United States         automation industries
Death Studies                                0748-1187     1/1989                                                                      Magazine/Journal         Y                    Taylor & Francis Ltd.                 United Kingdom        Sociology and social work
Debates in Neuroscience                      1559-8314     3/2007       12/2007                                                        Magazine/Journal         Y                    Springer                              United States         Science and technology

Dementia                                     1471-3012     2/2005                   2/2005        8/2008       2/2005        8/2007    Magazine/Journal         Y                    Sage Publications, Inc.               United States         Psychology and mental health
                                                                                                                                                                                     American Dental Assistants
Dental Assistant                             1088-3886      5/2002                  5/2002                     5/2002                  Magazine/Journal         Y                    Association                           United   States       Health
Dental Hypotheses                            2155-8213      1/2010                  1/2010                     1/2010                  Magazine/Journal         Y                    Dental Hypotheses                     Iran                  Health
Dental Implantology Update                   1062-0346     10/2001                 10/2001                    11/2001                    Newsletter                                  AHC Media LLC                         United   States       Health care industry
Dental Lab Products                          0146-9738      7/2002                  7/2002                     9/2002                  Magazine/Journal                              Advanstar Communications, Inc.        United   States       Health care industry
Der Kardiologe                               1864-9718      7/2007                                                                     Magazine/Journal         Y                    Springer                              United   States       Health
Dermatologic Surgery                         1076-0512      1/2001                                                                     Magazine/Journal         Y                    Blackwell Publishers Ltd.             United   Kingdom      Health
Dermatologic Therapy                         1396-0296      3/2006                                                                     Magazine/Journal         Y                    Blackwell Publishers Ltd.             United   Kingdom      Health
Dermatology Nursing                          1060-3441      2/1996      11/2010     2/1996       11/2010       2/1996       11/2010    Magazine/Journal         Y                    Jannetti Publications, Inc.           United   States       Health
Dermatology Research and Practice            1687-6105      1/2009                  1/2009                     1/2009                  Magazine/Journal         Y                    Hindawi Publishing Corp.              Egypt                 Health
Developing World Bioethics                   1471-8731      5/2006                                                                     Magazine/Journal         Y                    Blackwell Publishers Ltd.             United   Kingdom      Biological sciences
Development Genes and Evolution              0949-944X      5/1997                                                                     Magazine/Journal         Y                    Springer                              United   States       Biological sciences
Development, Growth and Differentiation      0012-1592      6/1999                                                                     Magazine/Journal         Y                    Blackwell Publishers Ltd.             United   Kingdom      Biological sciences
Developmental Medicine and Child Neurology   0012-1622     10/1989      11/1991                                                        Magazine/Journal         Y                    Mac Keith Press (UK)                                        Health
                                                                                                                                                                                     American Psychological Association,
Developmental Psychology                     0012-1649     1/1989                                                                      Magazine/Journal         Y                    Inc.                                  United States         Psychology and mental health

Developmental Science                        1363-755X      1/2006                                                                     Magazine/Journal                              Blackwell Publishers Ltd.             United Kingdom        Psychology and mental health
Diabetes                                     0012-1797      6/1989                  6/1989                     4/1997                  Magazine/Journal         Y                    American Diabetes Association         United States         Health
Diabetes and Primary Care                    1466-8955      3/2002                  3/2002        3/2011       3/2002       3/2011     Magazine/Journal         Y                    S.B. Communications                   United Kingdom        Health
Diabetes Care                                0149-5992      8/1999                  8/1999                     9/1999                  Magazine/Journal         Y                    American Diabetes Association         United States         Health
Diabetes Educator                            0145-7217      1/2005                  1/2005        9/2008       1/2005       9/2007     Magazine/Journal         Y                    Sage Publications, Inc.               United States         Education
Diabetes Forecast                            0095-8301      1/1988                  1/1989                     9/1999                  Magazine/Journal                              American Diabetes Association         United States         Health
Diabetes in the News                         0893-5939      1/1988      5/1995      1/1988        5/1995                               Magazine/Journal                              Bayer Healthcare LLC                  United States         Health
Diabetes Management                                         6/1998      6/2000      6/1998        6/2000                                 Newsletter                                  AHC Media LLC                         United States         Health
Diabetes Research and Clinical Practice      0168-8227     10/1996                                                                     Magazine/Journal         Y                    Elsevier B.V.                         Netherlands           Health
Diabetes Spectrum                            1040-9165      1/1999                  1/1999                    12/1999                  Magazine/Journal         Y                    American Diabetes Association         United States         Health
Diabetes Technology & Therapeutics           1520-9156      2/2008                  2/2008       11/2011       2/2008       11/2011    Magazine/Journal         Y                    Mary Ann Liebert, Inc.                United States         Health
Diabetes Week                                1537-1425      7/2001                  7/2001                                               Newsletter                                  NewsRX                                United States         Health
Diabetes, Obesity and Metabolism             1462-8902      1/2006                                                                     Magazine/Journal                              Blackwell Publishers Ltd.             United Kingdom        Health
Diabetic Foot                                1462-2041      3/2002                  3/2002       12/2010       3/2002       12/2010    Magazine/Journal         Y                    S.B. Communications                   United Kingdom        Health
Diabetic Medicine                            0742-3071      3/2006                                                                     Magazine/Journal         Y                    Blackwell Publishers Ltd.             United Kingdom        Health
Diabetologia                                 0012-186X      8/1998                                                                     Magazine/Journal         Y                    Springer                              United States         Health
Diabetology & Metabolic Syndrome             1758-5996      8/2009                  8/2009                                             Magazine/Journal         Y                    BioMed Central Ltd.                   United Kingdom        Health
Diagnostic Imaging                           0194-2514      4/2002                  4/2002                                             Magazine/Journal                              CMP Medica, LLC                       United States         Health
Diagnostic Pathology                         1746-1596      1/2007                  1/2007                                             Magazine/Journal         Y                    BioMed Central Ltd.                   United Kingdom        Health
Diagnostic Update                                          12/2004      9/2008     12/2004        9/2008                               Magazine/Journal                              AHC Media LLC                         United States         Health
Diagnostics & Imaging Update                               11/2001      7/2002     11/2001        7/2002      12/2001       7/2002       Newsletter                                  AHC Media LLC                         United States         Biotechnology industry
Diagnostics & Imaging Week                                  5/2000      9/2008      5/2000        9/2008       7/2002       8/2008       Newsletter                                  AHC Media LLC                         United States         Biotechnology industry
Differentiation                              0301-4681      2/2006                                                                     Magazine/Journal         Y                    Blackwell Publishers Ltd.             United Kingdom        Biological sciences
Digestive Diseases and Sciences              0163-2116     10/1989                                                                     Magazine/Journal         Y                    Springer                              United States         Health
Dimensions in Health Service                 0317-0407      2/1988      6/1991                                                         Magazine/Journal                              Canadian Healthcare Association                             Health care industry
Disability and Health Journal                1936-6574      1/2008                                                                     Magazine/Journal                              Elsevier B.V.                         Netherlands           Health
Disaster Management & Response               1540-2487      7/2004                                                                     Magazine/Journal         Y                    Elsevier B.V.                         Netherlands
Disasters                                    0361-3666      3/2007                                                                     Magazine/Journal         Y                    Blackwell Publishers Ltd.             United Kingdom        Government
Discharge Planning Advisor                   1940-8706      1/2008                  1/2008                                               Newsletter                                  AHC Media LLC                         United States         Health care industry
Disease Management Advisor                   1531-5681      1/2007      10/2008     1/2007       10/2008       2/2007       10/2008      Newsletter                                  HCPro, Inc.                           United States         Health care industry
Disease State Management                     1807-030X      1/1997       9/1999     1/1997        9/1999                                 Newsletter                                  AHC Media LLC                         United States         Health
Diseases of the Colon & Rectum               0012-3706     12/2005                                                                     Magazine/Journal         Y                    Springer                              United States         Health
Diseases of the Esophagus                    1120-8694      2/2006                                                                     Magazine/Journal         Y                    Blackwell Publishers Ltd.             United Kingdom        Health




                                                                                                                                                                                                                                                    HRC Academic
                                                                                                                                                                                                                                                           17/62
Journal Name                                                  ISSN      Index Start   Index End   Full-text   Full-text End Image Start   Image End       Format         Refereed/Peer-   Embargo             Publisher Name                  Publisher Country   Publication Primary Subject
                                                                                                    Start                                                                  Reviewed        (Days)

Dissector: Journal of the Perioperative Nurses College of                                                                                                                                           New Zealand Nurses' Organisation,
the New ZealandNurses Organisation                          1174-7579      3/2011                  3/2011                     3/2011                  Magazine/Journal         Y                    Perioperative Nurses College            New Zealand           Health
Doctor                                                      0046-0451     12/2003      7/2007     12/2003        7/2007                               Magazine/Journal                              Reed Business Information Ltd.          United Kingdom        Health
Doctor's People Newsletter                                                 7/1988      3/1992      1/1989        3/1992                                 Newsletter                                  People's Doctor, Inc.                   United States         Health
Doklady Biochemistry and Biophysics                         1607-6729      2/2006                                                                     Magazine/Journal         Y                    Springer                                United States         Biological sciences
Drug and Alcohol Dependence                                 0376-8716      3/2005                                                                     Magazine/Journal         Y                    Elsevier B.V.                           Netherlands           Health
Drug Benefit Trends                                         1080-5826      3/2005                  3/2005                                             Magazine/Journal                              CMP Medica, LLC                         United States         Health
                                                                                                                                                                                                                                                                  Pharmaceuticals and cosmetics
Drug Cost Management Report                                 1530-3438     5/2002       11/2003     5/2002       11/2003                                 Newsletter                                  Atlantic Information Services, Inc.     United States         industries
Drug Formulary Review                                       1548-2790     1/1997       11/2010     1/1997       11/2010       7/2004       3/2005       Newsletter                                  AHC Media LLC                           United States         Health care industry
Drug Safety                                                 0114-5916     8/2003                   8/2003        9/2011       8/2003       9/2011     Magazine/Journal         Y                    Wolters Kluwer Health                   United Kingdom        Health
                                                                                                                                                                                                                                                                  Pharmaceuticals and cosmetics
Drug Topics                                                 0012-6616     1/1981                   1/1983                                             Magazine/Journal                              Advanstar Communications, Inc.          United States         industries
Drug Utilization Review                                     0884-8521     6/1999       12/2003     6/1999       12/2003      11/1999       12/2003      Newsletter                                  AHC Media LLC                           United States         Health care industry
                                                                                                                                                                                                                                                                  Pharmaceuticals and cosmetics
Drug Week                                                   1531-6440     12/2000                 12/2000                     1/2001        7/2001      Newsletter                                  NewsRX                                  United   States       industries
DrugNotes                                                                 11/2010                 11/2010                                                Collection                                 Thomson Healthcare, Inc.                United   States       Health
DrugNotes (Spanish)                                                        1/2012                  1/2012                                                Collection                                 Thomson Healthcare, Inc.                United   States       Health
Drugs                                                       0012-6667      3/2003                  3/2003        9/2011       3/2003       9/2011     Magazine/Journal         Y                    Wolters Kluwer Health                   United   Kingdom      Health
Drugs & Aging                                               1170-229X      8/2003                  8/2003        9/2011       8/2003       9/2011     Magazine/Journal         Y                    Wolters Kluwer Health                   United   Kingdom      Health
Drugs & Society                                             8756-8233      1/1999      1/2000                                                         Magazine/Journal         Y                    Haworth Press, Inc.                                           Sociology and social work
Drugs & Therapy Perspectives                                1172-0360      8/2004                  8/2004        9/2011       8/2004       9/2011     Magazine/Journal         Y                    Wolters Kluwer Health                   United Kingdom        Health
Drugs in R&D                                                1174-5886      5/2010                  5/2010        9/2011       5/2010       9/2011     Magazine/Journal                              Wolters Kluwer Health                   United Kingdom        Health
Duke Medicine Health News                                   2153-8387      1/2009                  1/2009                     1/2009                    Newsletter                                  Belvoir Media Group, LLC                United States         Health
                                                                                                                                                                                                                                                                  Zoology and wildlife
DVM Newsmagazine                                            0012-7337      7/2003                  7/2003                                             Magazine/Journal                              Advanstar Communications, Inc.          United States         conservation
Dynamic Chiropractic                                        1076-9684     10/2007                 10/2007        8/2010      10/2007       8/2010     Magazine/Journal                              MPA Media                               United States         Health
Dynamic Medicine                                            1476-5918     12/2006      12/2009    12/2006       12/2009                               Magazine/Journal         Y                    BioMed Central Ltd.                     United Kingdom        Science and technology
                                                                                                                                                                                                    Canadian Association of Critical Care
Dynamics                                                    1497-3715     12/2006                 12/2006                    12/2006                  Magazine/Journal                              Nurses                                  Canada                Health care industry
Dysphagia                                                   0179-051X      1/1997                                                                     Magazine/Journal         Y                    Springer                                United States         Health
E                                                           1046-8021      1/1992                  9/1993                     8/1994                  Magazine/Journal                              Earth Action Network, Inc.              United States         Environmental issues
Ear, Nose and Throat Journal                                0145-5613      8/1999                  8/1999                    10/1999                  Magazine/Journal         Y                    Vendome Group LLC                       United States         Health
Early Human Development                                     0378-3782      1/2005                  1/2005        8/2006       1/2005       8/2006     Magazine/Journal         Y                    Elsevier B.V.                           Netherlands           Health care industry
                                                                                                                                                                                                    The Hong Kong College of
East Asian Archives of Psychiatry                           2078-9947     6/2010                   6/2010                     6/2010                  Magazine/Journal         Y                    Psychiatrists Ltd.                      Hong Kong             Psychology and mental health
East West                                                   0888-1375     1/1988       11/1991     1/1989       11/1991                               Magazine/Journal                              Weider Publications LLC                 United States         Health
East West Natural Health                                    1061-4664     1/1992       11/1992     1/1992       11/1992                               Magazine/Journal                              Weider Publications LLC                 United States         Health
Eastern Mediterranean Health Journal                        1020-3397     1/2006                   1/2006                     1/2006                  Magazine/Journal         Y                    World Health Organization               Switzerland           Health
Echocardiography                                            0742-2822     1/2006                                                                      Magazine/Journal         Y                    Blackwell Publishers Ltd.               United Kingdom        Health

EContent                                                    1525-2531      8/1999                  8/1999                    12/1999                  Magazine/Journal                              Information Today, Inc.                 United   States       Library and information science
ED Documentation & Coding Update                            1542-9822      1/2003      3/2003      1/2003        3/2003                                 Newsletter                                  AHC Media LLC                           United   States       Health
ED Legal Letter                                             1087-7347      1/1997                  1/1997                    11/2001       3/2005       Newsletter                                  AHC Media LLC                           United   States       Health care industry
ED Management                                               1044-9167      1/1997                  1/1997                    12/2001       3/2005       Newsletter                                  AHC Media LLC                           United   States       Health care industry
ED Nursing                                                  1096-4304     11/1997                 11/1997                    12/2001       3/2005     Magazine/Journal                              AHC Media LLC                           United   States       Health
Edell Health Letter                                         0896-6613      5/1988      12/1993                                                          Newsletter                                  Time Inc., Health                       United   States       Health

Educator Update                                                           1/2008                   1/2008                     1/2011                  Magazine/Journal                              National Association of EMS Educators United States           Education

                                                                                                                                                                                                    Penton Media, Inc., Penton Business
EHS Today                                                                 11/2008                 11/2008                    11/2008                  Magazine/Journal                              Media, Inc. and their subsidiaries      United States         Health care industry
EJC Supplements                                             1359-6349     12/2004                                                                     Magazine/Journal         Y                    Elsevier B.V.                           Netherlands           Health care industry
Electrocatalysis                                            1868-2529      5/2010                                                                     Magazine/Journal         Y                    Springer                                United States         Chemistry

Electronic Library                                          0264-0473     1/1984       1/1985                                                         Magazine/Journal         Y                    Sage Publications, Inc.                 United States         Library and information science
                                                                                                                                                                                                                                                                  Computers and office
EMedia                                                      1525-4658     9/1999       5/2000      9/1999        5/2000       9/1999        5/2000    Magazine/Journal                              Information Today, Inc.                 United States         automation industries
                                                                                                                                                                                                                                                                  Computers and office
EMedia Magazine                                             1529-7306     6/2000       7/2002      6/2000        7/2002       7/2000        7/2002    Magazine/Journal                              Information Today, Inc.                 United States         automation industries
                                                                                                                                                                                                                                                                  Computers and office
EMedia Professional                                         1090-946X     1/1997       8/1999      1/1997        8/1999       1/1997        8/1999    Magazine/Journal                              Information Today, Inc.                 United States         automation industries
                                                                                                                                                                                                                                                                  Computers and office
EMedia, The Digital Studio Magazine                         1525-4658      8/2002      10/2004     8/2002       10/2004       8/2002       10/2004    Magazine/Journal                              Information Today, Inc.                 United States         automation industries
Emergency Medicine Alert                                    1075-6914     11/2001      12/2005    11/2001       12/2005      12/2001       2/2005       Newsletter             Y                    AHC Media LLC                           United States         Health
Emergency Medicine Australasia                              1742-6731      6/1999                                                                     Magazine/Journal         Y                    Blackwell Publishers Ltd.               United Kingdom        Health care industry




                                                                                                                                                                                                                                                                    HRC Academic
                                                                                                                                                                                                                                                                           18/62
Journal Name                                                  ISSN      Index Start   Index End   Full-text   Full-text End Image Start   Image End       Format         Refereed/Peer-   Embargo              Publisher Name               Publisher Country   Publication Primary Subject
                                                                                                    Start                                                                  Reviewed        (Days)
Emergency Medicine Journal                                  1472-0205     1/2001                   1/2001        3/2004       1/2001       9/2001     Magazine/Journal          Y                   British Medical Association           United States         Health
Emergency Medicine Reports                                  0746-2506     1/1997                   1/1997                    11/2001       2/2005       Newsletter                                  AHC Media LLC                         United States         Health
                                                                                                                                                                                                    Royal College of Nursing Publishing
Emergency Nurse                                             1354-5752     5/2003                   5/2003                     5/2003                  Magazine/Journal         Y            90      Company (RCN)                         United Kingdom        Health
                                                                                                                                                                                                    U.S. National Center for Infectious
Emerging Infectious Diseases                                1080-6040      1/1999                  1/1999                     1/1999                  Magazine/Journal         Y                    Diseases                              United   States       Health
Emerging Themes in Epidemiology                             1742-7622     12/2006                 12/2006                                             Magazine/Journal         Y                    BioMed Central Ltd.                   United   Kingdom      Health
Employee Health & Fitness                                   0199-6304      1/1997      12/2000     1/1997       12/2000                                 Newsletter                                  AHC Media LLC                         United   States       Health
EMS Magazine                                                0094-6575      6/2009       2/2011     6/2009        2/2011                               Magazine/Journal                              Cygnus Business Media                 United   States       Government
Endocrine                                                   1355-008X      2/1997                                                                     Magazine/Journal         Y                    Springer                              United   States       Biological sciences
                                                                                                                                                                                                                                                                Petroleum, energy and mining
Energy Systems                                              1868-3967     2/2010                                                                      Magazine/Journal         Y                    Springer                              United   States       industries
ENP Newswire                                                              1/2010                   1/2010                                                Newswire                                   Normans Media Ltd.                    United   Kingdom
Environment                                                 0013-9157     1/1980                  12/1992        9/2009       7/1994       7/2009     Magazine/Journal         Y                    Taylor & Francis Ltd.                 United   Kingdom      Environmental issues
Environment and Behavior                                    0013-9165     1/1989                   1/1997       11/1998                               Magazine/Journal         Y                    Sage Publications, Inc.               United   States       Environmental issues
Environmental Geochemistry and Health                       0269-4042     2/2006                                                                      Magazine/Journal         Y                    Springer                              United   States       Science and technology
                                                                                                                                                                                                    National Institute of Environmental
Environmental Health Perspectives                           0091-6765     1/1999                   4/2000                                             Magazine/Journal         Y                    Health Sciences                       United States         Environmental issues

Environmental Health: A Global Access Science Source        1476-069X     12/2006                 12/2006                                             Magazine/Journal         Y                    BioMed Central Ltd.                   United Kingdom        Health
Environmental Management                                    0364-152X      9/2006                                                                     Magazine/Journal         Y                    Springer                              United States         Science and technology
Environmental Microbiology                                  1462-2912     10/2000                                                                     Magazine/Journal         Y                    Blackwell Publishers Ltd.             United Kingdom        Biotechnology industry
Environmental Monitoring and Assessment                     0167-6369      4/2006                                                                     Magazine/Journal         Y                    Springer                              United States         Science and technology
Environmental Nutrition                                     0893-4452      1/1988                  1/1999                                             Magazine/Journal                              Belvoir Media Group, LLC              United States         Food/cooking/nutrition
Enzyme Research                                             2090-0414      1/2010                  1/2010                     1/2010                  Magazine/Journal         Y                    Hindawi Publishing Corp.              Egypt                 Biological sciences
Epigenetics & Chromatin                                     1756-8935     10/2008                 10/2008                                             Magazine/Journal         Y                    BioMed Central Ltd.                   United Kingdom        Health
Epigenomics                                                 1750-1911     10/2009                 10/2009                                             Magazine/Journal         Y            365     Future Medicine Ltd.                  United Kingdom        Health
Epilepsi: Journal of the Turkish Epilepsi Society           1300-7157      5/2011                  5/2011                     5/2011                  Magazine/Journal         Y                    KARE Publishing                       Turkey                Health

Epilepsia                                                   0013-9580     1/2002                                                                      Magazine/Journal         Y                    Blackwell Publishers Ltd.             United Kingdom        Psychology and mental health
EPMA Journal                                                1878-5077     3/2010                                                                      Magazine/Journal                              Springer                              United States         Health
ERA Forum                                                   1612-3093     9/2002                                                                      Magazine/Journal                              Springer                              United States         Law
                                                                                                                                                                                                                                                                Architecture and design
Ergonomics                                                  0014-0139     1/1992                                                                      Magazine/Journal         Y                    Taylor & Francis Ltd.                 United Kingdom        industries
Ergotherapie & Rehabilitation                               0942-8623     1/2007       3/2009      1/2007        1/2009       1/2007       1/2009     Magazine/Journal                              Schulz-Kirchner Verlag GmbH           Germany               Education
European Archives of Oto-Rhino-Laryngology                  0937-4477     8/2006                                                                      Magazine/Journal         Y                    Springer                              United States         Health
                                                                                                                                                                                                    European Academy of Paediatric
European Archives of Paediatric Dentistry                   1818-6300     1/2007                   1/2007                     1/2007                  Magazine/Journal         Y                    Dentistry                             Greece                Health

European Archives of Psychiatry and Clinical Neuroscience   0940-1334     9/1990                                                                      Magazine/Journal         Y                    Springer                              United States         Health
European Biophysics Journal                                 0175-7571     3/1997                                                                      Magazine/Journal         Y                    Springer                              United States         Biological sciences

European   Child & Adolescent Psychiatry                    1018-8827     1/1992                                                                      Magazine/Journal         Y                    Springer                              United States         Psychology and mental health
European   Journal of Applied Physiology                    1439-6319     4/2003                                                                      Magazine/Journal         Y                    Springer                              United States         Health
European   Journal of Cancer                                0959-8049     8/1995                                                                      Magazine/Journal         Y                    Elsevier B.V.                         Netherlands           Health
European   Journal of Cancer Care                           0961-5423     3/2006                                                                      Magazine/Journal         Y                    Blackwell Publishers Ltd.             United Kingdom        Health care industry
European   Journal of Cardiovascular Nursing                1474-5151     6/2005                                                                      Magazine/Journal         Y                    Elsevier B.V.                         Netherlands           Health care industry
European   Journal of Clinical Investigation                0014-2972     1/2006                                                                      Magazine/Journal         Y                    Blackwell Publishers Ltd.             United Kingdom        Health
European   Journal of Clinical Microbiology & Infectious
Diseases                                                    0934-9723      9/2005                                                                     Magazine/Journal         Y                    Springer                              United   States       Biological sciences
European   Journal   of   Clinical Nutrition                0954-3007      1/1992                  1/2000                     1/2000                  Magazine/Journal         Y            365     Nature Publishing Group               United   Kingdom      Food/cooking/nutrition
European   Journal   of   Clinical Pharmacology             0031-6970     10/2005                                                                     Magazine/Journal         Y                    Springer                              United   States       Health
European   Journal   of   Haematology                       0902-4441      3/2001                                                                     Magazine/Journal         Y                    Blackwell Publishers Ltd.             United   Kingdom      Health
European   Journal   of   Health Economics                  1618-7598      6/2006                                                                     Magazine/Journal         Y                    Springer                              United   States       Health care industry
European   Journal   of   Medical Research                  0949-2321      1/2010                  1/2010                                             Magazine/Journal         Y                    BioMed Central Ltd.                   United   Kingdom      Health
European   Journal   of   Neurology                         1351-5101      3/2002                                                                     Magazine/Journal         Y                    Blackwell Publishers Ltd.             United   Kingdom      Health
European   Journal   of   Neuroscience                      0953-816X      1/1992                                                                     Magazine/Journal         Y                    Blackwell Publishers Ltd.             United   Kingdom      Science and technology
European   Journal   of   Nuclear Medicine and Molecular
Imaging                                                     1619-7070     3/2006                                                                      Magazine/Journal         Y                    Springer                              United States         Health
European   Journal of Nutrition                             1436-6207     2/1999                                                                      Magazine/Journal         Y                    Springer                              United States         Health
European   Journal of Oncology Nursing                      1462-3889     3/1999                                                                      Magazine/Journal         Y                    Elsevier B.V.                         Netherlands           Health care industry
European   Journal of Oral Sciences                         0909-8836     2/2006                                                                      Magazine/Journal         Y                    Blackwell Publishers Ltd.             United Kingdom        Health
European   Journal of Pain                                  1090-3801     6/2005                                                                      Magazine/Journal         Y                    Elsevier B.V.                         Netherlands           Health care industry
European   Journal of Pediatrics                            0340-6199     1/2006                                                                      Magazine/Journal         Y                    Springer                              United States         Health
European   Journal of Trauma                                1439-0590     2/2000       12/2006                                                        Magazine/Journal         Y                    Springer                              United States         Health
European   Journal of Trauma and Emergency Surgery          1863-9933     2/2007                                                                      Magazine/Journal         Y                    Springer                              United States         Health
European   Medical Device Technology                        2152-3649     1/2010                   1/2010                                             Magazine/Journal                              Canon Communications LLC              United States         Health




                                                                                                                                                                                                                                                                  HRC Academic
                                                                                                                                                                                                                                                                         19/62
Journal Name                                             ISSN      Index Start   Index End   Full-text   Full-text End Image Start   Image End       Format         Refereed/Peer-   Embargo              Publisher Name               Publisher Country   Publication Primary Subject
                                                                                               Start                                                                  Reviewed        (Days)
European Orthopaedics and Traumatology                 1867-4569     5/2010                                                                      Magazine/Journal          Y                   Springer                              United States         Health
European Radiology                                     0938-7994     9/2001                                                                      Magazine/Journal          Y                   Springer                              United States         Health
European Spine Journal                                 0940-6719     7/2004                                                                      Magazine/Journal          Y                   Springer                              United States         Health
                                                                                                                                                                                                                                                           Computers and office
EventDV                                                1554-2009     1/2005                   1/2005                     1/2005                  Magazine/Journal                              Information Today, Inc.               United States         automation industries

Evidence-Based Mental Health                           1362-0347     2/2001                   2/2001        2/2004       8/2001        8/2001    Magazine/Journal         Y                    British Medical Association           United States         Psychology and mental health

Evidence-Based Midwifery (Royal College of Midwives)   1479-4489     6/2003                   6/2003        6/2010       6/2003        6/2010    Magazine/Journal         Y                    Redactive Media Group                 United   Kingdom      Health
Evidence-Based Nursing                                 1367-6539     1/2001                   1/2001       10/2003                               Magazine/Journal         Y                    British Medical Association           United   States       Health
EvoDevo                                                2041-9139     7/2010                   7/2010                                             Magazine/Journal         Y                    BioMed Central Ltd.                   United   Kingdom      Science and technology
Evolution & Development                                1520-541X     1/2006                                                                      Magazine/Journal         Y                    Blackwell Publishers Ltd.             United   Kingdom      Biological sciences
Exceptional Children                                   0014-4029     1/1987                   1/1988                     9/1994                  Magazine/Journal         Y            30      Council for Exceptional Children      United   States       Education
Exceptional Parent                                     0046-9157     1/1988                   1/1989                     8/1999                  Magazine/Journal                              EP Global Communications, Inc.        United   States       Family and marriage
Executive Health Report                                0882-2131     1/1988        5/1991     1/1988        5/1991                               Magazine/Journal                              IMI Publications                      United   States       Health
Executive Health's Good Health Report                  1071-8680     6/1991       10/1999     6/1991       10/1999       8/1999       9/1999       Newsletter                                  IMI Publications                      United   States       Sports and fitness

Existential Analysis                                   1752-5616      1/2008                  1/2008                     1/2008                  Magazine/Journal         Y                    Society for Existential Analysis      United Kingdom        Psychology and mental health
Experimental Brain Research                            0014-4819      9/2001                                                                     Magazine/Journal         Y                    Springer                              United States         Health care industry
Experimental Dermatology                               0906-6705      6/2002                                                                     Magazine/Journal         Y                    Blackwell Publishers Ltd.             United Kingdom        Health
Experimental Diabetes Research                         1687-5214      1/2004                  1/2004                     1/2004                  Magazine/Journal         Y                    Hindawi Publishing Corp.              Egypt                 Health
Experimental Medicine                                  1791-9967      1/2009                  1/2009                     1/2009                  Magazine/Journal         Y                    Renaissance Medical Publishing        Greece                Health
Experimental Physiology                                0958-0670      1/2006                                                                     Magazine/Journal         Y                    Blackwell Publishers Ltd.             United Kingdom        Biological sciences
Expert Review of Anticancer Therapy                    1473-7140      6/2001                  6/2001                     6/2001                  Magazine/Journal         Y            365     Expert Reviews Ltd.                   United Kingdom        Health
Expert Review of Anti-infective Therapy                1478-7210      1/2003                  1/2003                     1/2003                  Magazine/Journal         Y            365     Expert Reviews Ltd.                   United Kingdom        Health
Expert Review of Cardiovascular Therapy                1477-9072      5/2003                  5/2003                     5/2003                  Magazine/Journal         Y            365     Expert Reviews Ltd.                   United Kingdom        Health
Expert Review of Clinical Immunology                   1744-666X      5/2005                  5/2005                     1/2010                  Magazine/Journal         Y                    Expert Reviews Ltd.                   United Kingdom        Health
Expert Review of Clinical Pharmacology                 1751-2433      1/2008                  1/2008                     1/2010                  Magazine/Journal         Y                    Expert Reviews Ltd.                   United Kingdom        Health
Expert Review of Dermatology                           1746-9872      2/2006                  2/2006                     3/2007                  Magazine/Journal         Y                    Expert Reviews Ltd.                   United Kingdom        Health
Expert Review of Endocrinology & Metabolism            1744-6651      1/2006                  1/2006                     1/2010                  Magazine/Journal         Y                    Expert Reviews Ltd.                   United Kingdom        Health
Expert Review of Gastroenterology & Hepatology         1747-4124     10/2007                 10/2007                                             Magazine/Journal         Y            365     Expert Reviews Ltd.                   United Kingdom        Health
Expert Review of Hematology                            1747-4086     10/2008                 10/2008                    11/2009                  Magazine/Journal         Y                    Expert Reviews Ltd.                   United Kingdom        Health
Expert Review of Medical Devices                       1743-4440      9/2004                  9/2004                     9/2004                  Magazine/Journal         Y            365     Expert Reviews Ltd.                   United Kingdom        Health
Expert Review of Molecular Diagnostics                 1473-7159      5/2001                  5/2001                     5/2001                  Magazine/Journal         Y            365     Expert Reviews Ltd.                   United Kingdom        Health
Expert Review of Neurotherapeutics                     1473-7175      9/2001                  9/2001                     9/2001                  Magazine/Journal         Y            365     Expert Reviews Ltd.                   United Kingdom        Health
Expert Review of Obstetrics & Gynecology               1747-4108      9/2006                  9/2006                     1/2010                  Magazine/Journal         Y                    Expert Reviews Ltd.                   United Kingdom        Health
Expert Review of Ophthalmology                         1746-9899     10/2006                 10/2006                                             Magazine/Journal         Y            365     Expert Reviews Ltd.                   United Kingdom        Health
Expert Review of Pharmacoeconomics & Outcomes
Research                                               1473-7167     10/2001                 10/2001                    10/2001                  Magazine/Journal         Y            365     Expert Reviews Ltd.                   United Kingdom        Health
Expert Review of Proteomics                            1478-9450      6/2004                  6/2004                     6/2004                  Magazine/Journal         Y            365     Expert Reviews Ltd.                   United Kingdom        Health
Expert Review of Respiratory Medicine                  1747-6348      8/2007                  8/2007                    11/2009                  Magazine/Journal         Y                    Expert Reviews Ltd.                   United Kingdom        Health
Expert Review of Vaccines                              1476-0584      6/2002                  6/2002                     6/2002                  Magazine/Journal         Y            365     Expert Reviews Ltd.                   United Kingdom        Health
Extremophiles: Life Under Extreme Conditions           1431-0651      2/1997                                                                     Magazine/Journal         Y                    Springer                              United States         Biological sciences
Eye on the Bayou                                                      1/2006                  1/2006                     1/2006                      Report               Y                    Kugler Publications                   Netherlands           Health
Fact Sheets (Series)                                                 12/1999                 12/1999                     2/2002                      Report                                    Guttmacher Institute                  United States         Health
                                                                                                                                                                                               American Psychological Association,
Families, Systems & Health                             1091-7527     9/1998                   9/1998                     9/1999                  Magazine/Journal         Y                    Inc.                                  United States         Health
                                                                                                                                                                                               Lippincott Williams & Wilkins, WK
Family   and Community Health                          0160-6379     1/1996                                                                      Magazine/Journal         Y                    Health                                United   States       Health care industry
Family   Economics and Nutrition Review                1085-9985     6/1995        3/2004     3/1996        3/2004       1/1999       3/2004     Magazine/Journal         Y                    Superintendent of Documents           United   States       Family and marriage
Family   Health                                        0014-7249     1/1980        6/1981                                                        Magazine/Journal                              Time Inc., Health                     United   States       Health
Family   Planning Perspectives                         0014-7354     1/1992        1/2002                                                        Magazine/Journal         Y                    Blackwell Publishers Ltd.             United   Kingdom      Family and marriage
Family   Practice Alert                                1093-2534     1/1998       12/1999     1/1998       12/1999                                 Newsletter                                  AHC Media LLC                         United   States       Health
                                                                                                                                                                                               American Academy of Family
Family Practice Management                             1069-5648     4/2001                                                                      Magazine/Journal         Y                    Physicians                            United States         Health care industry
Family Practice News                                   0300-7073     9/1998                   9/1998                                             Magazine/Journal                              International Medical News Group      United States         Health
Family Practice Recertification                        0163-6642     6/2007       11/2007     6/2007       11/2007       6/2007       11/2007    Magazine/Journal                              Ascend Media                          United States         Health care industry

Family Process                                         0014-7370      9/1998                                                                     Magazine/Journal         Y                    Blackwell Publishers Ltd.             United   Kingdom      Psychology and mental health
FDA Consumer                                           0362-1332      1/1980      3/2007      1/1984        3/2007       7/1994       3/2007     Magazine/Journal                              U.S. Government Printing Office       United   States       Health
FEBS Journal                                           1742-464X      1/2006                                                                     Magazine/Journal         Y                    Blackwell Publishers Ltd.             United   Kingdom      Biological sciences
FEMS Immunology and Medical Microbiology               0928-8244      8/1999                                                                     Magazine/Journal         Y                    Blackwell Publishers Ltd.             United   Kingdom      Health care industry
FEMS Microbiology Ecology                              0168-6496      1/2006                                                                     Magazine/Journal         Y                    Blackwell Publishers Ltd.             United   Kingdom      Biological sciences
FEMS Microbiology Letters                              0378-1097      1/2006                                                                     Magazine/Journal         Y                    Blackwell Publishers Ltd.             United   Kingdom      Biological sciences
FEMS Microbiology Reviews                              0168-6445      1/2006                                                                     Magazine/Journal         Y                    Blackwell Publishers Ltd.             United   Kingdom      Biological sciences
FEMS Yeast Research                                    1567-1356      4/2001                                                                     Magazine/Journal                              Blackwell Publishers Ltd.             United   Kingdom      Biological sciences
Fibrogenesis & Tissue Repair                           1755-1536     10/2008                 10/2008                                             Magazine/Journal         Y                    BioMed Central Ltd.                   United   Kingdom      Health




                                                                                                                                                                                                                                                             HRC Academic
                                                                                                                                                                                                                                                                    20/62
Journal Name                                             ISSN      Index Start   Index End   Full-text   Full-text End Image Start   Image End       Format         Refereed/Peer-   Embargo             Publisher Name                 Publisher Country   Publication Primary Subject
                                                                                               Start                                                                  Reviewed        (Days)
Filaria Journal                                        1475-2883     12/2006      12/2007     12/2006      12/2007                               Magazine/Journal          Y                   BioMed Central Ltd.                    United Kingdom        Health
Fit Pregnancy                                          1079-3615      2/2002                                                                     Magazine/Journal                              Weider Publications LLC                United States         Sports and fitness
Fitoterapia                                            0367-326X      3/2005                                                                     Magazine/Journal         Y                    Elsevier B.V.                          Netherlands           Earth sciences
Flex                                                   8750-8915      2/2002                  2/2002                                             Magazine/Journal                              Weider Publications LLC                United States         Sports and fitness
Fluids and Barriers of the CNS                         2045-8118      1/2011                  1/2011                                             Magazine/Journal         Y                    BioMed Central Ltd.                    United Kingdom        Health
                                                                                                                                                                                                                                                            Pharmaceuticals and cosmetics
Focus on Alternative and Complementary Therapies       1465-3573     3/2000                                                                      Magazine/Journal         Y                    Pharmaceutical Press                                         industries

FOCUS: Journal for Respiratory Care & Sleep Medicine                 3/2003                   3/2003                     3/2003                  Magazine/Journal                              Focus Publications, Inc.               United States         Health care industry
FOCUS: Journal for Respiratory Care Managers and
Educators                                                            1/2000       1/2003      1/2000        1/2003       1/2001       1/2003     Magazine/Journal                              Focus Publications, Inc.               United States         Health care industry
Food & Fitness Advisor                                 1528-7475     1/2006                   1/2006                     1/2006                  Magazine/Journal                              Belvoir Media Group, LLC               United States         Food/cooking/nutrition
Food & Nutrition News                                  0015-6310     1/1989       11/1994                                                        Magazine/Journal                              National Live Stock & Meat Board                             Food/cooking/nutrition

Food and Nutrition                                     0046-4384     2/1980       8/1993      4/1984        8/1993                               Magazine/Journal                              U.S. Government Printing Office        United States         Food and beverage industries

Food and Nutrition Sciences                            2157-944X     1/2011                                                                      Magazine/Journal         Y                    Scientific Research Publishing, Inc.   United States         Food/cooking/nutrition

Food Safety Issues                                     1530-0404      6/2000      1/2002      6/2000        1/2002       7/2000       12/2000      Newsletter                                  The Food Institute                     United States         Food and beverage industries
Foodborne Pathogens and Disease                        1535-3141     12/2007                 12/2007       11/2011      12/2007       11/2011    Magazine/Journal         Y                    Mary Ann Liebert, Inc.                 United States         Health
Foot                                                   0958-2592      6/2005                                                                     Magazine/Journal         Y                    Elsevier B.V.                          Netherlands           Health care industry
                                                                                                                                                                                                                                                            Pharmaceuticals and cosmetics
Formulary                                              1082-801X      6/2000                  6/2000                                             Magazine/Journal         Y                    Advanstar Communications, Inc.         United States         industries
Forum Logopadie                                        0932-0547      1/2007       3/2009     1/2007        3/2009       1/2007        3/2009    Magazine/Journal                              Schulz-Kirchner Verlag GmbH            Germany               Health
Foundations and Trends in Econometrics                 1551-3076      1/2005       4/2005     1/2005        4/2005       1/2005        4/2005    Magazine/Journal                              Now Publishers, Inc.                   United States
Foundations and Trends in Information Retrieval        1554-0669     11/2006      12/2006    11/2006       12/2006      11/2006       12/2006    Magazine/Journal         Y                    Now Publishers, Inc.                   United States         Computers
Foundations and Trends in Web Science                  1555-077X      9/2006       9/2006     9/2006        9/2006       9/2006        9/2006    Magazine/Journal                              Now Publishers, Inc.                   United States         Computers
From the Osteoporosis World                            1300-9141      8/2008      12/2010     8/2008       12/2010       8/2008       12/2010    Magazine/Journal         Y                    Galenos Yayinevi Tic. Ltd.             Turkey                Health
Functional & Integrative Genomics                      1438-793X      1/2006                                                                     Magazine/Journal         Y                    Springer                               United States         Biological sciences

                                                                                                                                                                                               Penton Media, Inc., Penton Business
Functional Foods and Neutraceuticals                   1470-0336     1/2006       7/2008      1/2006        7/2008                               Magazine/Journal                              Media, Inc. and their subsidiaries     United States         Food/cooking/nutrition

                                                                                                                                                                                               Penton Media, Inc., Penton Business
Functional Ingredients                                                5/2009                  5/2009                                             Magazine/Journal                              Media, Inc. and their subsidiaries     United   States       Food/cooking/nutrition
Fundamental & Clinical Pharmacology                    0767-3981      2/2006                                                                     Magazine/Journal         Y                    Blackwell Publishers Ltd.              United   Kingdom      Health
Future Cardiology                                      1479-6678      1/2005                  1/2005                                             Magazine/Journal         Y            365     Future Medicine Ltd.                   United   Kingdom      Health
Future Lipidology                                      1746-0875      2/2006      12/2008     2/2006       12/2008                               Magazine/Journal                              Future Medicine Ltd.                   United   Kingdom      Health
Future Microbiology                                    1746-0913      6/2006                  6/2006                                             Magazine/Journal                      365     Future Medicine Ltd.                   United   Kingdom      Health
Future Neurology                                       1479-6708     11/2006                 11/2006                     1/2010                  Magazine/Journal         Y                    Future Medicine Ltd.                   United   Kingdom      Health
                                                                                                                                                                                               Princeton University-Woodrow Wilson
                                                                                                                                                                                               School of Public and International
Future of Children                                     1054-8289      9/2000                  9/2000                     9/2000                  Magazine/Journal         Y                    Affairs                                United States         Family and marriage
Future Oncology                                        1479-6694      2/2005                  2/2005                                             Magazine/Journal         Y            365     Future Medicine Ltd.                   United Kingdom        Health
Future Rheumatology                                    1746-0816      2/2006      12/2008     2/2006       12/2008                               Magazine/Journal         Y                    Future Medicine Ltd.                   United Kingdom        Health
Future Virology                                        1746-0794      1/2006                  1/2006                     1/2010                  Magazine/Journal                              Future Medicine Ltd.                   United Kingdom        Health
Gaming Law Review                                      1092-1885     12/2007      10/2008    12/2007       10/2008      12/2007       10/2008    Magazine/Journal                              Mary Ann Liebert, Inc.                 United States         Law
Gaming Law Review and Economics                        1097-5349      1/2010      10/2011     1/2010       10/2011       1/2010       10/2011    Magazine/Journal                              Mary Ann Liebert, Inc.                 United States         Law
Gastric Cancer                                         1436-3291      3/1998                                                                     Magazine/Journal         Y                    Springer                               United States         Health
Gastroenterology Week                                  1543-6756      1/2003                  1/2003                                               Newsletter                                  NewsRX                                 United States         Health
Gastrointestinal Endoscopy                             0016-5107      1/1995                                                                     Magazine/Journal         Y                    Elsevier B.V.                          Netherlands           Health
Gene Therapy                                           0969-7128      1/2003                  1/2003                     5/2007                  Magazine/Journal         Y            365     Nature Publishing Group                United Kingdom        Health
Gene Therapy Weekly                                    1078-2842      7/2008                  7/2008                                               Newsletter                                  NewsRX                                 United States         Health
General Hospital Psychiatry                            0163-8343      1/2005                                                                     Magazine/Journal         Y                    Elsevier B.V.                          Netherlands           Health care industry
Generations                                                           5/1994                  5/1994                     5/1994                    Newsletter             Y                    National Ataxia Foundation             United States         Health
Generations (San Francisco, California)                0738-7806      3/2001                                                                     Magazine/Journal         Y                    American Society on Aging                                    Seniors
Genes and Immunity                                     1466-4879      5/2001                  5/2001                     4/2007                  Magazine/Journal         Y            365     Nature Publishing Group                United   Kingdom      Health
Genes to Cells                                         1356-9597     11/2004                                                                     Magazine/Journal         Y                    Blackwell Publishers Ltd.              United   Kingdom      Biological sciences
Genes, Brain and Behavior                              1601-1848      2/2006                                                                     Magazine/Journal         Y                    Blackwell Publishers Ltd.              United   Kingdom      Biological sciences
Genetic Engineering and Biotechnology Journal          2150-3516      1/2010                  1/2010                     1/2010                  Magazine/Journal         Y                    HATASO Enterprises, LLC                United   States       Biotechnology industry
Genetic Testing                                        1090-6576     12/2007      12/2008    12/2007       12/2008      12/2007       12/2008    Magazine/Journal         Y                    Mary Ann Liebert, Inc.                 United   States       Science and technology
Genetic Testing and Molecular Biomarkers               1945-0265      2/2009      11/2011     2/2009       11/2011       2/2009       11/2011    Magazine/Journal         Y                    Mary Ann Liebert, Inc.                 United   States       Science and technology
Genetic Vaccines and Therapy                           1479-0556      1/2007                  1/2007                                             Magazine/Journal         Y                    BioMed Central Ltd.                    United   Kingdom      Biological sciences

Genetic, Social, and General Psychology Monographs     8756-7547     2/1997       11/2006     2/1997       11/2006       8/1999       11/2006    Magazine/Journal         Y                    Heldref Publications                   United States         Psychology and mental health
                                                                                                                                                                                                                                                            Zoology and wildlife
Genetics Selection Evolution                           0999-193X     1/2009                   1/2009                                             Magazine/Journal         Y                    BioMed Central Ltd.                    United Kingdom        conservation




                                                                                                                                                                                                                                                              HRC Academic
                                                                                                                                                                                                                                                                     21/62
Journal Name                                    ISSN      Index Start   Index End   Full-text   Full-text End Image Start   Image End       Format         Refereed/Peer-   Embargo             Publisher Name                 Publisher Country   Publication Primary Subject
                                                                                      Start                                                                  Reviewed        (Days)
Genome                                        0831-2796      1/2006                   1/2006                    1/2006                  Magazine/Journal          Y            365    NRC Research Press                     Canada                Biological sciences
Genome Integrity                              2041-9414      5/2010                   5/2010                                            Magazine/Journal          Y                   BioMed Central Ltd.                    United Kingdom        Health
Genome Medicine                               1756-994X      1/2009                   1/2009                                            Magazine/Journal          Y                   BioMed Central Ltd.                    United Kingdom        Health
Genomics & Genetics Weekly                    1531-6467      1/2001                   1/2001                    1/2001        9/2001      Newsletter                                  NewsRX                                 United States         Health
Genomics and World Health                                    1/2002      1/2002       1/2002       1/2002                                   Report                                    World Health Organization              Switzerland           Health
Georgia Nursing                               0016-8335     11/2005                  11/2005                   11/2005                    Newsletter                                  Georgia Nurses Association             United States         Health
Geriatric Emergency Medicine Reports          1527-9146      1/2000      10/2002      1/2000      10/2002       4/2002       10/2002      Newsletter                                  AHC Media LLC                          United States         Health
Geriatric Nursing                             0197-4572      1/1995                                                                     Magazine/Journal         Y                    Elsevier B.V.                          Netherlands           Seniors
Geriatric Times                               1544-2233      5/2002      11/2004     5/2002       11/2004                               Magazine/Journal                              CMP Medica, LLC                        United States         Seniors
Geriatrics                                    0016-867X      1/1992      10/2009     1/1993        6/2006                               Magazine/Journal         Y                    Advanstar Communications, Inc.         United States         Health
Geriatrics and Gerontology International      1444-1586      3/2006                                                                     Magazine/Journal         Y                    Blackwell Publishers Ltd.              United Kingdom        Health
Gerontologist                                 0016-9013      2/1988                                                                     Magazine/Journal         Y                    Gerontological Society of America      United States         Health
Gerson Healing Newsletter                                    5/2006                  5/2006                     5/2006                    Newsletter                                  The Gerson Institute                   United States         Health

Getting Paid in Behavioral Healthcare         1541-7646     10/2002      6/2006     10/2002        6/2006      10/2002        6/2006       Newsletter                                 Manisses Communications Group, Inc.    United States         Psychology and mental health
Glaucoma Diagnosis: Structure and Function                   1/2004                  1/2004                     1/2004                      Report               Y                    Kugler Publications                    Netherlands           Health
Glaucoma in the New Millennium                               1/2003                  1/2003                     1/2003                      Report               Y                    Kugler Publications                    Netherlands           Health
Glaucoma Screening                                           1/2008                  1/2008                     1/2008                      Report               Y                    Kugler Publications                    Netherlands           Health
                                                                                                                                                                                      Canadian Center of Science and
Global Journal of Health Science              1916-9736      4/2010                  4/2010                     4/2010                  Magazine/Journal         Y                    Education (CCSE)                       Canada                Health
Globalization and Health                      1744-8603     12/2006                 12/2006                                             Magazine/Journal         Y                    BioMed Central Ltd.                    United Kingdom        Health
                                                                                                                                                                                      Hearst Magazines, a Division of the
Good Housekeeping                             0017-209X     1/1980                   1/1996                     1/1996                  Magazine/Journal                      45      Hearst Corporation                     United States         Home and garden

GP                                            0268-8417     11/2001                 11/2001                                             Magazine/Journal                      14      Haymarket Business Publications Ltd.   United Kingdom        News, opinion and commentary
                                                                                                                                                                                      American Society for Gravitational                           Aerospace and defense
Gravitational and Space Biology               1089-988X      5/1999                  5/1999                     5/1999                  Magazine/Journal         Y                    and Space Biology                      United   States       industries
Gut                                           0017-5749      4/1989                  1/2001        4/2004       1/2001       11/2001    Magazine/Journal         Y                    British Medical Association            United   States       Health
Gut Pathogens                                 1757-4749      2/2009                  2/2009                                             Magazine/Journal         Y                    BioMed Central Ltd.                    United   Kingdom      Health
Guttmacher Policy Review                      1096-7699      1/2006                  1/2006                     1/2006                  Magazine/Journal                              Guttmacher Institute                   United   States       Family and marriage
Guttmacher Report on Public Policy            1096-7699     12/2001      11/2005    12/2001       11/2005       2/2002       11/2005    Magazine/Journal                              Guttmacher Institute                   United   States       Family and marriage
Gyroscopy and Navigation                      2075-1087      1/2010                                                                     Magazine/Journal                              Springer                               United   States       Physics
H&HN Hospitals & Health Networks              1068-8838      1/1999                  1/1999                     5/1999                  Magazine/Journal                              Health Forum                           United   States       Health care industry
Haemophilia                                   1351-8216     11/2000                                                                     Magazine/Journal         Y                    Blackwell Publishers Ltd.              United   Kingdom      Health
Harm Reduction Journal                        1477-7517      1/2007                  1/2007                                             Magazine/Journal         Y                    BioMed Central Ltd.                    United   Kingdom      Health

Harvard Children's Health                                   8/2006                   8/2006                                                 Report                                    Harvard Health Publications Group      United States         Health

Harvard Health Commentaries                                 8/2006                   8/2006                                                Newsletter                                 Harvard Health Publications Group      United States         Health

Harvard Health Letter                         1052-1577     10/1990                 10/1990                                                Newsletter            Y                    Harvard Health Publications Group      United States         Health

Harvard Heart Letter                          1051-5313     1/1995                   1/1995                                                Newsletter            Y                    Harvard Health Publications Group      United States         Health

Harvard Medical School Health Letter          0161-7486     7/1981       9/1990      1/1989        9/1990                                  Newsletter            Y                    Harvard Health Publications Group      United States         Health

Harvard Men's Health Watch                    1089-1102     8/2001                   8/2001                                                Newsletter                                 Harvard Health Publications Group      United States         Health

Harvard Mental Health Letter                  1057-5022     1/1995                   1/1995                                                Newsletter                                 Harvard Health Publications Group      United States         Psychology and mental health

Harvard Reviews of Health News                              7/2006                   7/2006                                                Newswire                                   Harvard Health Publications Group      United States         Health

Harvard Women's Health Watch                  1070-910X      5/1998                  5/1998                                               Newsletter             Y                    Harvard Health Publications Group      United   States       Women's issues/gender studies
Hastings Center Report                        0093-0334      2/1988      9/2011      2/1988        9/2011       7/1999       9/2011     Magazine/Journal         Y                    Hastings Center                        United   States       Health
Head & Neck Oncology                          1758-3284      1/2009                  1/2009                                             Magazine/Journal         Y                    BioMed Central Ltd.                    United   Kingdom      Health
Head and Neck Pathology                       1936-055X      9/2007                                                                     Magazine/Journal                              Springer                               United   States       Health
Headache and Pain                             1545-8261      6/2005      11/2005     6/2005       11/2005                               Magazine/Journal         Y                    CMP Medica, LLC                        United   States       Health
Headache: The Journal of Head and Face Pain   0017-8748     11/1999                                                                     Magazine/Journal         Y                    Blackwell Publishers Ltd.              United   Kingdom      Health

Health                                        1949-4998     6/2009                   6/2009                     6/2009                  Magazine/Journal         Y                    Scientific Research Publishing, Inc.   United States         Health
Health & Medicine Week                        1531-6459     1/2001                   1/2001                     3/2001        7/2001      Newsletter                                  NewsRX                                 United States         Health
Health & Nutrition                                          1/1988       1/1988                                                         Magazine/Journal                              Lowenstein Associates, Inc.            United States         Health

Health   & Safety at Work                     0141-8246     6/1992                                                                      Magazine/Journal                              Tolley Publishing Company Ltd. (UK)                          Health
Health   (San Francisco, CA)                  1059-938X     2/1992                                                                      Magazine/Journal                              Time Inc., Health                      United States         Health
Health   (Time Inc., Health)                  0279-3547     7/1981       7/1991                                                         Magazine/Journal                              Time Inc., Health                      United States         Health
Health   and Place                            1353-8292     3/2006                                                                      Magazine/Journal         Y                    Elsevier B.V.                          Netherlands           Geography




                                                                                                                                                                                                                                                     HRC Academic
                                                                                                                                                                                                                                                            22/62
Journal Name                                      ISSN      Index Start   Index End   Full-text   Full-text End Image Start   Image End       Format         Refereed/Peer-   Embargo             Publisher Name                Publisher Country   Publication Primary Subject
                                                                                        Start                                                                  Reviewed        (Days)
Health and Quality of Life Outcomes             1477-7525     1/2007                   1/2007                                             Magazine/Journal          Y                   BioMed Central Ltd.                   United Kingdom        Health
Health and Social Care in the Community         0966-0410     1/2006                                                                      Magazine/Journal          Y                   Blackwell Publishers Ltd.             United Kingdom        Health care industry

Health and Social Work                          0360-7283     2/1989                   2/1998                    11/1999                  Magazine/Journal         Y                    National Association of Social Workers United States        Sociology and social work

Health A-to-Z                                                 8/2006                   8/2006                                               Newsletter                                  Harvard Health Publications Group     United States         Health
Health Care Biller                              1063-5335     5/2006       1/2008      5/2006        1/2008       5/2006       1/2008     Magazine/Journal                              Aspen Publishers, Inc.                United States         Health care industry
Health Care Collector                           1060-0442     5/2008                   5/2008                     5/2008                  Magazine/Journal                              Aspen Publishers, Inc.                United States         Health
                                                                                                                                                                                        Lippincott Williams & Wilkins, WK
Health Care Food & Nutrition Focus              1090-2260     2/2002       9/2006                                                            Newsletter                                 Health                                United States         Health care industry
                                                                                                                                                                                        Lippincott Williams & Wilkins, WK
Health Care Management Review                   0361-6274     3/1981                                                                      Magazine/Journal         Y                    Health                                United States         Health care industry
Health Care Management Science                  1386-9620     3/1998                                                                      Magazine/Journal         Y                    Springer                              United States         Health care industry
                                                                                                                                                                                        Lippincott Williams & Wilkins, WK
Health   Care Manager                           1525-5794     12/2001                                                                     Magazine/Journal         Y                    Health                                United States         Health care industry
Health   Data Management                        1079-9869      3/1998                  3/1998                    12/1999       3/2000     Magazine/Journal                              SourceMedia, Inc.                     United States         Health care industry
Health   Education                              0965-4283      1/2005                                                                     Magazine/Journal         Y                    Emerald Group Publishing, Ltd.        United Kingdom        Health
Health   Education Journal                      0017-8969      3/1992                                                                     Magazine/Journal         Y                    Health Education Authority                                  Health
Health   Expectations                           1369-6513      3/2006                                                                     Magazine/Journal         Y                    Blackwell Publishers Ltd.             United Kingdom        Health care industry
Health   Informatics Journal                    1460-4582      3/2004                  3/2005        9/2008       3/2005       9/2007     Magazine/Journal                              Sage Publications, Inc.               United States         Health
Health   Information & Libraries Journal        1471-1834      6/2003                                                                     Magazine/Journal         Y                    Blackwell Publishers Ltd.             United Kingdom        Social sciences
                                                                                                                                                                                        Health Information Management
Health Information Management Journal           1833-3583     2/2008                   2/2008                     2/2008                  Magazine/Journal         Y                    Association of Australia Ltd.         Australia             Health
Health Law Journal                              1192-8336     1/1993                   1/2001                     1/2001                  Magazine/Journal         Y                    Health Law Institute                  Canada                Law
Health Law Review                               1188-8725     4/1992                   3/2001                     3/2001                  Magazine/Journal                              Health Law Institute                  Canada                Law

Health   Letter                                 1052-1577     1/1980        6/1981                                                          Newsletter             Y                    Harvard Health Publications Group     United   States       Health
Health   Letter on the CDC                      1078-2907     6/1998       12/1999     6/1998       12/1999                                 Newsletter                                  NewsRX                                United   States       Health
Health   Management Technology                  1074-4770     1/1994                   1/1994                     7/1994                  Magazine/Journal                              NP Communications, LLC                United   States       Health care industry
Health   Marketing Quarterly                    0735-9683     6/1992                                                                      Magazine/Journal         Y                    Routledge                             United   Kingdom      Health care industry
                                                                                                                                                                                        Case Western Reserve University
Health   Matrix                                 0748-383X     3/1991                   1/2008                     1/2008                  Magazine/Journal         Y                    School of Law                         United States         Law
Health   News & Review                          1056-1900     1/1988        6/1995                                                        Magazine/Journal                              McGraw-Hill Companies, Inc.                                 Health
Health   News Magazine                          1081-5880     1/2006       12/2008     1/2006       12/2008       1/2006       12/2008    Magazine/Journal                              Belvoir Media Group, LLC              United States         Health
Health   Niche Advisor                          1521-7612     8/2002       12/2002     8/2002       12/2002       8/2002       12/2002      Newsletter                                  Aspen Publishers, Inc.                United States         Health care industry
Health   policy                                 0168-8510     6/2005                                                                      Magazine/Journal         Y                    Elsevier B.V.                         Netherlands           Health
                                                                                                                                                                                        American Psychological Association,
Health   Psychology                             0278-6133      1/1999                                                                     Magazine/Journal         Y                    Inc.                                  United States         Psychology and mental health
Health   Report                                                1/2001                  1/2001                     1/2001                      Report                                    Adva Center                           Israel                Health
Health   Research Policy and Systems            1478-4505     12/2006                 12/2006                                             Magazine/Journal         Y                    BioMed Central Ltd.                   United Kingdom        Health care industry
Health   SA Gesondheid                          1025-9848      3/2001                  3/2001                     3/2001                  Magazine/Journal                              University of Johannesburg            South Africa          Health
Health   Science                                0883-8216      3/2001                  3/2001                     3/2001                  Magazine/Journal                              American Natural Hygiene Society      United States         Health
                                                                                                                                                                                        Health Research and Educational
Health Services Research                        0017-9124     9/1981                  12/1991                     8/1992                  Magazine/Journal         Y                    Trust                                 United States         Health care industry
Health Sociology Review                         1446-1242     1/1991                   1/1991                     1/1991                  Magazine/Journal         Y                    eContent Management Pty Ltd.          Australia             Sociology and social work
                                                                                                                                                                                        Palgrave Macmillan, a Division of
Health Statistics Quarterly                     1465-1645     3/2007                   3/2007                     3/2007                  Magazine/Journal                      365     Macmillan Publishers Ltd.             United   Kingdom      Social sciences
Healthcare Advertising Review                   8756-4513     1/2007       11/2008     1/2007       11/2008       3/2007       11/2008      Newsletter                                  HCPro, Inc.                           United   States       Health care industry
Healthcare Benchmarks                           1091-6768     1/1997        6/2002     1/1997        6/2002       1/2002        6/2002      Newsletter                                  AHC Media LLC                         United   States       Health care industry
HealthCare Benchmarks and Quality Improvement   1541-1052     7/2002                   7/2002                     7/2002                    Newsletter                                  AHC Media LLC                         United   States       Health care industry
                                                                                                                                                                                        Healthcare Financial Management
Healthcare   Financial Management               0735-0732      6/1982                  1/1996                     1/1996                  Magazine/Journal         Y                    Association                           United   States       Health care   industry
Healthcare   Imaging Update                     1940-8684      4/2008      9/2008      4/2008        9/2008                                 Newsletter                                  AHC Media LLC                         United   States       Health
Healthcare   Info Tech Business Report                         1/1999      6/1999      1/1999        6/1999                                 Newsletter                                  AHC Media LLC                         United   States       Health
Healthcare   Informatics                        1050-9135      6/2007                  6/2007                     6/2007                  Magazine/Journal                              Vendome Group LLC                     United   States       Computers
Healthcare   Purchasing News                    0279-4799      6/1999                  6/1999                     9/1999                  Magazine/Journal                              Healthcare Purchasing News                                  Health care   industry
Healthcare   Registration                       1060-0434      7/2006                  7/2006                     7/2006                  Magazine/Journal                              Aspen Publishers, Inc.                United   States       Health care   industry
Healthcare   Review                             1084-130X      9/2000                                                                     Magazine/Journal         Y                    Healthcare Review                     United   States       Health care   industry
Healthcare   Risk Management                    1081-6534      1/1996                  1/1996                    12/2001        3/2005      Newsletter                                  AHC Media LLC                         United   States       Health care   industry
Healthcare   Strategic Management               0742-1478      6/1998      12/2007     6/1998       12/2007       2/2000       12/2007      Newsletter                                  HCPro, Inc.                           United   States       Health care   industry
Healthcare   Traveler                           1077-5676     11/2005                 11/2005                    11/2005                  Magazine/Journal                              Advanstar Communications, Inc.        United   States       Health care   industry

HealthFacts                                     0738-811X      1/1988      7/2009      1/1988        7/2009       7/1994       1/2007       Newsletter                                  Center for Medical Consumers, Inc.    United States         Health
Healthline                                      0736-7929      1/1988      4/2000                                                         Magazine/Journal                              Healthline Publishing Inc.                                  Health
HealthTips                                                    12/1987      6/1994                                                           Newsletter                                  California Medical Association        United States         Health
Healthy Years                                   1551-4617      1/2006                  1/2006                     1/2006                  Magazine/Journal                              Belvoir Media Group, LLC              United States         Health




                                                                                                                                                                                                                                                      HRC Academic
                                                                                                                                                                                                                                                             23/62
Journal Name                                           ISSN      Index Start   Index End   Full-text   Full-text End Image Start   Image End       Format         Refereed/Peer-   Embargo             Publisher Name                Publisher Country   Publication Primary Subject
                                                                                             Start                                                                  Reviewed        (Days)
                                                                                                                                                                                             Lippincott Williams & Wilkins, WK
Hearing Journal                                      0745-7472     4/1999                                                                      Magazine/Journal                              Health                                United States         Health care industry
Hearing Products Report                              1530-6003     1/2006       11/2008     1/2006       11/2008       1/2006       11/2008    Magazine/Journal                              Allied Media LLC                      United States         Health
Hearing Review                                       1074-5734     1/2006                   1/2006                     1/2006                  Magazine/Journal                              Allied Media LLC                      United States         Health
Hearing Review Products                                            2/2009                   2/2009                     2/2009                  Magazine/Journal                              Allied Media LLC                      United States         Health
Heart                                                1355-6037     1/2001                   1/2001        4/2004       8/2001       11/2001    Magazine/Journal         Y                    British Medical Association           United States         Health
Heart Advisor                                        1523-9004     1/2006                   1/2006                     1/2006                  Magazine/Journal                              Belvoir Media Group, LLC              United States         Health
Heart and Lung                                       0147-9563     9/1989                                                                      Magazine/Journal         Y                    Elsevier B.V.                         Netherlands           Health
Heart and Vessels                                    0910-8327     2/1985                                                                      Magazine/Journal         Y                    Springer                              United States         Health
Heart Disease Weekly                                 1531-6408     1/2001                   1/2001                     3/2001        7/2001      Newsletter                                  NewsRX                                United States         Health
Heart Valve Replacement                                            7/2008                   7/2008                                                  Video                                    Detroit Medical Center                United States         Health
                                                                                                                                                                                             Medknow Publications and Media Pvt.
Heart Views                                          1995-705X      1/2010                  1/2010                                             Magazine/Journal         Y                    Ltd.                                  India                 Health
HeartCare                                                           6/1990      8/1990      6/1990        8/1990                                 Newsletter                                  HeartCorps, Inc.                      United   States       Health
HeartCorps                                           0899-1952      1/1989      3/1990      1/1989        3/1990                                 Newsletter                                  HeartCorps, Inc.                      United   States       Health
Helicobacter                                         1083-4389      7/1997                                                                     Magazine/Journal         Y                    Blackwell Publishers Ltd.             United   Kingdom      Health
Hematology Week                                      1543-673X      1/2003                  1/2003                                               Newsletter                                  NewsRX                                United   States       Health
Hepatitis Weekly                                     1086-0223      6/1998                  6/1998                                               Newsletter                                  NewsRX                                United   States       Health
Hepatology International                             1936-0533      3/2007                                                                     Magazine/Journal         Y                    Springer                              United   States       Health
Hereditary Cancer in Clinical Practice               1897-4287      1/2003                  1/2003                                             Magazine/Journal         Y                    BioMed Central Ltd.                   United   Kingdom      Health
Hernia                                               1265-4906      5/1997                                                                     Magazine/Journal         Y                    Springer                              United   States       Health
Herpes Viruses Weekly                                               6/1998      3/1999      6/1998        3/1999                               Magazine/Journal                              NewsRX                                United   States       Health
Herpesviridae                                        2042-4280     12/2010                 12/2010                                             Magazine/Journal         Y                    BioMed Central Ltd.                   United   Kingdom      Health
High Altitude Medicine & Biology                     1527-0297     12/2007      10/2011    12/2007       10/2011      12/2007       10/2011    Magazine/Journal         Y                    Mary Ann Liebert, Inc.                United   States       Biological sciences
High Blood Pressure & Cardiovascular Prevention      1120-9879      1/2003                  1/2003        7/2011       1/2003        7/2011    Magazine/Journal                              Wolters Kluwer Health                 United   Kingdom      Health
Hippocrates                                          0892-2977      1/1988      11/1989                                                        Magazine/Journal                              Time Inc., Health                     United   States       Health

Hispanic Journal of Behavioral Sciences              0739-9863     2/1992                   2/1997       11/1998                               Magazine/Journal         Y                    Sage Publications, Inc.               United States         Psychology and mental health
Histochemistry and Cell Biology                      0948-6143     7/2005                                                                      Magazine/Journal         Y                    Springer                              United States         Biological sciences
Histopathology                                       0309-0167     6/1999                                                                      Magazine/Journal         Y                    Blackwell Publishers Ltd.             United Kingdom        Health
History of Science                                   0073-2753     3/1996                                                                      Magazine/Journal         Y                    Science History Publications, Ltd.                          History
HIV Medicine                                         1464-2662     1/2006                                                                      Magazine/Journal         Y                    Blackwell Publishers Ltd.             United Kingdom        Health
HIV Nursing                                          1474-7359     6/2007                   6/2007                     6/2007                  Magazine/Journal                              Mediscript Ltd.                       United Kingdom        Health
HIV Therapy                                          1758-4310     5/2007       12/2010     5/2007       12/2010       1/2010       1/2010     Magazine/Journal                              Future Medicine Ltd.                  United Kingdom        Health
                                                                                                                                                                                             The Center for AIDS: Hope &                                 Computers and office
HIV Treatment: ALERTS!                               1535-2048     2/2001                   2/2001                     2/2001                     Newsletter                                 Remembrance Project                   United States         automation industries
HIV/AIDS In Ethiopia: An Epidemiological Synthesis                 4/2008                   4/2008                                                 Report                                    The World Bank                        United States         Health
Holistic Medicine                                    0884-3988     7/1989       9/1991                                                            Newsletter            Y                    Taylor & Francis Ltd.                 United Kingdom        Health
                                                                                                                                                                                             Lippincott Williams & Wilkins, WK
Holistic Nursing Practice                            0887-9311     1/1996                                                                      Magazine/Journal         Y                    Health                                United States         Health
Holistic Nursing Update                              1528-7114     1/2000       8/2000      1/2000        8/2000                                 Newsletter                                  AHC Media LLC                         United States         Health   care industry
Home Health Business Report                          1073-9572     1/1999       6/2000      1/1999        6/2000                                 Newsletter                                  AHC Media LLC                         United States         Health   care industry
Home Infusion Therapy Management                     1082-8648     1/1997       4/2000      1/1997        4/2000                                 Newsletter                                  AHC Media LLC                         United States         Health   care industry
Homecare Q&A                                                       3/2009                   3/2009                     3/2009                  Magazine/Journal                              HCPro, Inc.                           United States         Health
Homecare Quality Management                          1087-0407     1/1997       9/2001      1/1997        9/2001                                 Newsletter                                  AHC Media LLC                         United States         Health   care industry
Homeopathy                                           1475-4916     1/1998                                                                      Magazine/Journal         Y                    Elsevier B.V.                         Netherlands           Health
                                                                                                                                                                                             The Hong Kong College of
Hong Kong Journal of Psychiatry                      1026-2121     3/2000       12/2009     3/2000       12/2009       3/2000       12/2009    Magazine/Journal         Y                    Psychiatrists Ltd.                    Hong Kong             Psychology and mental health
Hormones and Cancer                                  1868-8497     2/2010                                                                      Magazine/Journal         Y                    Springer                              United States         Health
Hospice Management Advisor                           1087-0288     1/1997                   1/1997                    12/2001       4/2005       Newsletter                                  AHC Media LLC                         United States         Health care industry
                                                                                                                                                                                             American College of Healthcare
Hospital   & Health Services Administration          8750-3735      6/1981      12/1997     3/1989        9/1997       3/1991       9/1997     Magazine/Journal         Y                    Executives                            United   States       Health   care   industry
Hospital   Access Management                         1079-0365      1/1997                  1/1997                    12/2001       3/2005       Newsletter                                  AHC Media LLC                         United   States       Health   care   industry
Hospital   Case Management                           1087-0652      1/1996                  1/1996                    12/2001       3/2005       Newsletter                                  AHC Media LLC                         United   States       Health   care   industry
Hospital   Doctor                                    0262-3145     12/2003      7/2007     12/2003        7/2007                               Magazine/Journal                              Reed Business Information Ltd.        United   Kingdom      Health   care   industry
Hospital   Employee Health                           0744-6470      1/1996                  1/1996                     9/2002       4/2004       Newsletter                                  AHC Media LLC                         United   States       Health   care   industry
Hospital   Home Health                               0884-8998      1/1996       9/2010     1/1996        9/2010      12/2001       3/2005       Newsletter                                  AHC Media LLC                         United   States       Health   care   industry
Hospital   Infection Control                         0098-180X      1/1996      12/2008     1/1996       12/2008      12/2001       3/2005       Newsletter                                  AHC Media LLC                         United   States       Health
Hospital   Infection Control & Prevention            1945-9653      1/2009                  1/2009                                               Newsletter                                  AHC Media LLC                         United   States       Health
Hospital   Law Newsletter                            0738-0984     10/2005      12/2005    10/2005       12/2005      10/2005       12/2005    Magazine/Journal                              Aspen Publishers, Inc.                United   States       Health   care industry
Hospital   Law's Regan Report                        1528-8463      1/2000                  1/2000                     1/2000                    Newsletter                                  Medical Law Publishing                United   States       Law
Hospital   Material Management Quarterly             0192-2262      2/1992      2/2001                                                         Magazine/Journal                              Aspen Publishers, Inc.                United   States       Health   care   industry
Hospital   Materials Management                      0888-3068      5/1998      8/2009      5/1998        8/2009       2/2000       8/2009       Newsletter                                  HCPro, Inc.                           United   States       Health   care   industry
Hospital   Medicine Alert                            1931-9037      3/2006                  3/2006                                               Newsletter                                  AHC Media LLC                         United   States       Health   care   industry
Hospital   Payment & Information Management          1074-8334     11/2001      6/2003     11/2001        6/2003      12/2001       6/2003       Newsletter                                  AHC Media LLC                         United   States       Health   care   industry
Hospital   Peer Review                               0149-2632      1/1996                  1/1996                    12/2001       3/2005       Newsletter                                  AHC Media LLC                         United   States       Health   care   industry




                                                                                                                                                                                                                                                           HRC Academic
                                                                                                                                                                                                                                                                  24/62
Journal Name                                         ISSN      Index Start   Index End   Full-text   Full-text End Image Start   Image End       Format         Refereed/Peer-   Embargo            Publisher Name                   Publisher Country   Publication Primary Subject
                                                                                           Start                                                                  Reviewed        (Days)
                                                                                                                                                                                                                                                         Pharmaceuticals and cosmetics
Hospital Pharmacist Report                         1052-3146     11/2000      12/2001    11/2000       12/2001      12/2000       12/2001    Magazine/Journal                              Thomson Healthcare, Inc.                United   States       industries
Hospital Practice                                  8750-2836      1/1992       9/2001                                                        Magazine/Journal         Y                    JTE Multimedia                          United   States       Health
Hospital Recruiting Update                         1542-9814      4/2003      11/2003     4/2003       11/2003                                 Newsletter                                  AHC Media LLC                           United   States       Health care industry
Hospital Topics                                    0018-5868      1/1997                  1/1997        6/2009       1/1999       6/2009     Magazine/Journal         Y                    Taylor & Francis Ltd.                   United   Kingdom      Health care industry
Hospitals                                          0018-5973      2/1986       5/1993     2/1986        5/1993       1/1993       5/1993     Magazine/Journal                              Health Forum                            United   States       Health care industry
Hospitals & Health Networks                        1068-8838      6/1993      12/1998     6/1993       12/1998       6/1993       7/1998     Magazine/Journal                              Health Forum                            United   States       Health care industry
Human Biology                                      0018-7143      2/1989                  4/1993                     6/1994                  Magazine/Journal         Y                    Wayne State University Press            United   States       Biological sciences
Human Cell                                         0914-7470      2/2006                                                                     Magazine/Journal                              Springer                                United   States       Biological sciences

Human Development                                  0018-716X     1/1992                                                                      Magazine/Journal         Y                    S. Karger AG                            Switzerland           Psychology and mental health

Human Ecology                                      1530-7069     1/2000                   1/2000                     1/2000                  Magazine/Journal         Y                    Cornell University, Human Ecology       United States         Social sciences

Human   Ecology Forum                              0018-7178      1/1989       9/1999     1/1994        9/1999       1/1995        9/1999    Magazine/Journal                              Cornell University, Human Ecology       United   States       Social sciences
Human   Gene Therapy                               1043-0342     12/2007      10/2011    12/2007       10/2011      12/2007       10/2011    Magazine/Journal         Y                    Mary Ann Liebert, Inc.                  United   States       Biological sciences
Human   Genetics                                   0340-6717      7/2005                                                                     Magazine/Journal         Y                    Springer                                United   States       Biological sciences
Human   Genomics and Proteomics                    1757-4242      1/2009                  1/2009                     1/2009                  Magazine/Journal         Y                    Hindawi Publishing Corp.                Egypt                 Biological sciences
Human   Relations                                  0018-7267      1/1982                  1/1997       10/1999       1/1997       6/1998     Magazine/Journal         Y                    Sage Publications, Inc.                 United   States       Social sciences
                                                                                                                                                                                                                                                         Human resources and labor
Human Resource Management                          0090-4848     3/1980                                                                      Magazine/Journal         Y                    John Wiley & Sons, Inc.                 United Kingdom        relations
Human Resources for Health                         1478-4491     1/2007                   1/2007                                             Magazine/Journal         Y                    BioMed Central Ltd.                     United Kingdom        Health care industry

Humane Health Care International                   1205-8890      1/1996       9/1997     1/1996        9/1997                               Magazine/Journal         Y                    Humane Health Care International        Canada                Health
Humane Medicine                                    0828-7090      3/1990      10/1994                                                        Magazine/Journal         Y                    Multimed, Inc.                          Canada                Health
Hybridoma                                          1554-0014     12/2007      10/2011    12/2007       10/2011      12/2007       10/2011    Magazine/Journal         Y                    Mary Ann Liebert, Inc.                  United States         Science and technology
Hyperbaric Oxygen Therapy                                         7/2008                  7/2008                                                  Video                                    Detroit Medical Center                  United States         Health

ICMR Bulletin                                      0377-4910     7/2007                   7/2007                     7/2007                  Magazine/Journal                              Indian Council of Medical Research      India                 Health
IDEA Fitness Journal                               1548-419X     6/2004                   6/2004        6/2008       6/2004       6/2008     Magazine/Journal         Y                    IDEA Health & Fitness                   United States         Health
IDEA Health & Fitness Source                       1096-8156     6/1999       5/2004      6/1999        5/2004       1/2000       5/2004     Magazine/Journal         Y                    IDEA Health & Fitness                   United States         Health
                                                                                                                                                                                           Medknow Publications and Media Pvt.
IETE Journal of Education                          0974-7338     1/2008                   1/2008                                             Magazine/Journal         Y                    Ltd.                                    India                 Education
                                                                                                                                                                                           Medknow Publications and Media Pvt.                           Human resources and labor
IETE Technical Review                              0256-4602      9/2008                  9/2008                                             Magazine/Journal         Y                    Ltd.                                    India                 relations
Image: Journal of Nursing Scholarship              0743-5150      3/1996      12/1999     3/1996       12/1999      12/1996       12/1999    Magazine/Journal         Y                    Blackwell Publishers Ltd.               United   Kingdom      Health
Imaging Economics                                                 3/2006                  3/2006                     3/2006                  Magazine/Journal                              Allied Media LLC                        United   States       Health
Imaging in Medicine                                1755-5191     10/2009                 10/2009                    12/2009                  Magazine/Journal                              Future Medicine Ltd.                    United   Kingdom      Health
Immunogenetics                                     0093-7711      5/1999                                                                     Magazine/Journal         Y                    Springer                                United   States       Biological sciences
Immunological Reviews                              0105-2896      2/1999                                                                     Magazine/Journal         Y                    Blackwell Publishers Ltd.               United   Kingdom      Health
Immunology                                         0019-2805      3/2002                                                                     Magazine/Journal         Y                    Blackwell Publishers Ltd.               United   Kingdom      Health
Immunology and Cell Biology                        0818-9641      2/2006                                                                     Magazine/Journal         Y                    Blackwell Publishers Ltd.               United   Kingdom      Health
Immunotherapy                                      1750-743X      1/2009                  1/2009                                             Magazine/Journal         Y            365     Future Medicine Ltd.                    United   Kingdom      Health
Immunotherapy Weekly                               1090-8625      7/2008                  7/2008                                               Newsletter                                  NewsRX                                  United   States       Health
                                                                                                                                                                                           Native American Women's Health
Impact of AIDS in the Native American Community                   6/1996      6/1996      6/1996        6/1996                                   Report                                    Education Resource Center               United States         Health
Implementation Science                             1748-5908     12/2006                 12/2006                                             Magazine/Journal         Y                    BioMed Central Ltd.                     United Kingdom        Health
Impotence & Male Health Weekly Plus                               6/1998      7/1999      6/1998        7/1999                                 Newsletter                                  NewsRX                                  United States         Health care industry

Improving Women's Health in Pakistan                             5/1998                   5/1998                                                 Report                                    The World Bank                          United States         Women's issues/gender studies
Improving Women's Health Services in the Russian
Federation                                                       4/1998                   4/1998                                                 Report                                    The World Bank                          United   States       Women's issues/gender studies
In Brief (Series)                                                8/1996                   8/1996                    12/1996                  Magazine/Journal                              Guttmacher Institute                    United   States       Health
In Health                                          1047-0549     1/1990       12/1991                                                          Newsletter                                  Time Inc., Health                       United   States       Food/cooking/nutrition
Independent Living                                 1048-3772     1/1989       11/1994     1/1989       11/1994                               Magazine/Journal                              Quadrant Healthcom, Inc.                United   States       Social sciences
Independent Living & Health Care Today             1040-6417     6/1988        9/1988                                                        Magazine/Journal                              Quadrant Healthcom, Inc.                United   States       Social sciences
India - Third National HIV/AIDS Control Project:
Procurement Plan For Year2008-2009                               6/2008                   6/2008                                                 Report                                    The World Bank                          United States         Health
                                                                                                                                                                                           Medknow Publications   and Media Pvt.
Indian Dermatology Online Journal                                1/2010                   1/2010                                             Magazine/Journal         Y                    Ltd.                                    India                 Health
                                                                                                                                                                                           Medknow Publications   and Media Pvt.
Indian Journal of Anaesthesia                      0019-5049     1/2007                   1/2007                                             Magazine/Journal         Y                    Ltd.                                    India                 Health
                                                                                                                                                                                           Medknow Publications   and Media Pvt.
Indian Journal of Cancer                           0019-509X     7/2002                   7/2002                     7/2002        7/2004    Magazine/Journal         Y                    Ltd.                                    India                 Health
                                                                                                                                                                                           Medknow Publications   and Media Pvt.
Indian Journal of Community Medicine               0970-0218     4/2007                   4/2007                                             Magazine/Journal         Y                    Ltd.                                    India                 Health




                                                                                                                                                                                                                                                           HRC Academic
                                                                                                                                                                                                                                                                  25/62
Journal Name                                                  ISSN      Index Start   Index End   Full-text   Full-text End Image Start   Image End       Format         Refereed/Peer-   Embargo              Publisher Name                  Publisher Country   Publication Primary Subject
                                                                                                    Start                                                                  Reviewed        (Days)
                                                                                                                                                                                                    Medknow    Publications and Media Pvt.
Indian Journal of Critical Care Medicine                    0972-5229     1/2003                   1/2003                     1/2003       12/2003    Magazine/Journal         Y                    Ltd.                                     India                 Health
                                                                                                                                                                                                    Medknow    Publications and Media Pvt.
Indian Journal of Dermatology                               0019-5154     10/2005                 10/2005                                             Magazine/Journal         Y                    Ltd.                                     India                 Health
                                                                                                                                                                                                    Medknow    Publications and Media Pvt.
Indian Journal of Dermatology, Venereology and Leprology    0378-6323      5/2003                  5/2003                     5/2003        7/2004    Magazine/Journal         Y                    Ltd.                                     India                 Health
Indian Journal of Hematology and Blood Transfusion          0971-4502     12/2007                                                                     Magazine/Journal         Y                    Springer                                 United States         Health
                                                                                                                                                                                                    Medknow    Publications and Media Pvt.
Indian Journal of Human Genetics                            0971-6866     1/2003                   1/2003                     1/2003        1/2004    Magazine/Journal         Y                    Ltd.                                     India                 Health
                                                                                                                                                                                                    Medknow    Publications and Media Pvt.
Indian Journal of Medical and Paediatric Oncology           0971-5851     1/2009                   1/2009                                             Magazine/Journal         Y                    Ltd.                                     India                 Health
                                                                                                                                                                                                    Medknow    Publications and Media Pvt.
Indian Journal of Medical Microbiology                      0255-0857     1/2005                   1/2005                                             Magazine/Journal                              Ltd.                                     India                 Health
                                                                                                                                                                                                    Medknow    Publications and Media Pvt.
Indian Journal of Medical Research                          0971-5916     4/2007                   4/2007                     4/2007                  Magazine/Journal         Y                    Ltd.                                     India                 Health
                                                                                                                                                                                                    Medknow    Publications and Media Pvt.
Indian Journal of Medical Sciences                          0019-5359     7/2003                   7/2003                     7/2003        8/2004    Magazine/Journal         Y                    Ltd.                                     India                 Health
Indian Journal of Microbiology                              0046-8991     3/2007                                                                      Magazine/Journal         Y                    Springer                                 United States         Biological sciences
                                                                                                                                                                                                    Medknow    Publications and Media Pvt.
Indian Journal of Nephrology                                0971-4065     1/2007                   1/2007                                             Magazine/Journal         Y                    Ltd.                                     India                 Health
                                                                                                                                                                                                    Medknow    Publications and Media Pvt.
Indian Journal of Nuclear Medicine                          0972-3919     1/2010                   1/2010                                             Magazine/Journal         Y                    Ltd.                                     India                 Health
                                                                                                                                                                                                    Medknow    Publications and Media Pvt.
Indian Journal of Occupational and Environmental Medicine   0973-2284     1/2005                   1/2005                                             Magazine/Journal         Y                    Ltd.                                     India                 Health
                                                                                                                                                                                                    Medknow    Publications and Media Pvt.
Indian Journal of Ophthalmology                             0301-4738     1/1983                   1/1999                                             Magazine/Journal         Y                    Ltd.                                     India                 Health
Indian Journal of Otolaryngology and Head and Neck                                                                                                                                                  Medknow    Publications and Media Pvt.
Surgery                                                     0019-5421     1/2005       1/2006      1/2005        1/2006                               Magazine/Journal         Y                    Ltd.                                     India                 Health
                                                                                                                                                                                                    Medknow    Publications and Media Pvt.
Indian Journal of Otology                                   0971-7749     1/2011                   1/2011                                             Magazine/Journal         Y                    Ltd.                                     India                 Health
                                                                                                                                                                                                    Medknow    Publications and Media Pvt.
Indian Journal of Palliative Care                           0973-1075     7/2004                   7/2004                                             Magazine/Journal         Y                    Ltd.                                     India                 Health
                                                                                                                                                                                                    Medknow    Publications and Media Pvt.
Indian Journal of Pathology and Microbiology                0377-4929     1/2008                   1/2008                                             Magazine/Journal         Y                    Ltd.                                     India                 Health
Indian Journal of Pediatrics                                0019-5456     8/2001                                                                      Magazine/Journal                              Springer                                 United States         Health
                                                                                                                                                                                                    Medknow    Publications and Media Pvt.                         Pharmaceuticals and cosmetics
Indian Journal of Pharmaceutical Sciences                   0250-474X     1/2006                   1/2006                                             Magazine/Journal         Y                    Ltd.                                     India                 industries
                                                                                                                                                                                                    Medknow    Publications and Media Pvt.
Indian Journal of Pharmacology                              0253-7613     10/2004                 10/2004                                             Magazine/Journal         Y                    Ltd.                                     India                 Health
                                                                                                                                                                                                    Medknow    Publications and Media Pvt.
Indian Journal of Plastic Surgery                           0970-0358     1/2003                   1/2003                     1/2003        1/2004    Magazine/Journal         Y                    Ltd.                                     India                 Health
                                                                                                                                                                                                    Medknow    Publications and Media Pvt.
Indian Journal of Psychiatry                                0019-5545     1/2006                   1/2006                                             Magazine/Journal         Y                    Ltd.                                     India                 Psychology and mental health
                                                                                                                                                                                                    Medknow    Publications and Media Pvt.
Indian Journal of Psychological Medicine                    0253-7176     1/2008                   1/2008                                             Magazine/Journal                              Ltd.                                     India                 Psychology and mental health
                                                                                                                                                                                                    Medknow    Publications and Media Pvt.
Indian Journal of Public Health                             0019-557X     1/2010                   1/2010                                             Magazine/Journal         Y                    Ltd.                                     India                 Health
                                                                                                                                                                                                    Medknow    Publications and Media Pvt.
Indian Journal of Radiology and Imaging                     0970-2016     1/2004                   1/2004                                             Magazine/Journal         Y                    Ltd.                                     India                 Health
                                                                                                                                                                                                    Medknow    Publications and Media Pvt.
Indian Journal of Sexually Transmitted Diseases             0253-7184     1/2007       7/2007      1/2007        7/2007                               Magazine/Journal         Y                    Ltd.                                     India                 Health
                                                                                                                                                                                                    Medknow    Publications and Media Pvt.
Indian Journal of Sexually Transmitted Diseases and AIDS    1998-3816     1/2008                   1/2008                                             Magazine/Journal         Y                    Ltd.                                     India                 Health
                                                                                                                                                                                                    Medknow    Publications and Media Pvt.
Indian Journal of Surgery                                   0019-5650     1/2003       2/2012      1/2003        5/2007       1/2003        7/2004    Magazine/Journal         Y                    Ltd.                                     India                 Health

Indian Journal of Thoracic and Cardiovascular Surgery       0970-9134     6/2000                                                                      Magazine/Journal         Y                    Springer                            United States              Health
                                                                                                                                                                                                    Medknow Publications and Media Pvt.
Indian Journal of Urology                                   0970-1591     1/2005                   1/2005                                             Magazine/Journal         Y                    Ltd.                                India                      Health
Indonesia - HIV/AIDS and Stds Prevention and
Management Project                                                         6/2005                  6/2005                                                 Report                                    The World Bank                           United States         Health
Indoor Air                                                  0905-6947      2/2006                                                                     Magazine/Journal         Y                    Blackwell Publishers Ltd.                United Kingdom        Health
Industrial Biotechnology                                    1550-9087     12/2007      10/2011    12/2007       10/2011      12/2007       10/2011    Magazine/Journal         Y                    Mary Ann Liebert, Inc.                   United States         Biotechnology industry
                                                                                                                                                                                                    Medknow Publications and Media Pvt.
Industrial Psychiatry                                       0972-6748     1/2008                   1/2008                                             Magazine/Journal         Y                    Ltd.                                     India                 Health
                                                                                                                                                                                                    Lippincott Williams & Wilkins, WK
Infants & Young Children                                    0896-3746     1/2002                                                                      Magazine/Journal         Y                    Health                                   United States         Health care industry




                                                                                                                                                                                                                                                                     HRC Academic
                                                                                                                                                                                                                                                                            26/62
Journal Name                                                    ISSN      Index Start   Index End   Full-text   Full-text End Image Start   Image End       Format         Refereed/Peer-   Embargo              Publisher Name                  Publisher Country    Publication Primary Subject
                                                                                                      Start                                                                  Reviewed        (Days)
Infection                                                     0300-8126     11/1998                                                                     Magazine/Journal          Y                   Springer                                 United   States        Health
Infection Control for Physician Practices                     1936-1874      7/2007      10/2007     7/2007       10/2007                                 Newsletter                                  AHC Media LLC                            United   States        Health care industry
Infections in Medicine                                        0749-6524      3/2005                  3/2005                                             Magazine/Journal                              CMP Medica, LLC                          United   States        Health
Infectious Agents and Cancer                                  1750-9378      1/2007                  1/2007                                             Magazine/Journal         Y                    BioMed Central Ltd.                      United   Kingdom       Health
Infectious Disease Alert                                      0739-7348      1/1997                  1/1997                    10/1999       3/2005     Magazine/Journal                              AHC Media LLC                            United   States        Health

Infectious Diseases in Obstetrics and Gynecology              1064-7449     1/2005                   1/2005                     1/2005                  Magazine/Journal         Y                    Hindawi Publishing Corp.                 Egypt                  Women's issues/gender studies
Inflammation                                                  0360-3997     2/1997                                                                      Magazine/Journal         Y                    Springer                                 United States          Health
                                                                                                                                                                                                                                                                      Pharmaceuticals and cosmetics
Inflammopharmacology                                          0925-4692     6/1997                                                                      Magazine/Journal         Y                    Springer                                 United States          industries

Info Nursing                                                  0846-524X     3/2007                   3/2007                     3/2007                  Magazine/Journal                              Nurses Association of New Brunswick Canada                      Health
Information Highways                                          1195-3616     2/1996       1/2005                                                         Magazine/Journal                              Information Highways                Canada                      High technology industry

Information Outlook                                           1091-0808     1/1997                   1/1997                     1/1997                  Magazine/Journal                              Special Libraries Association            United States          Library and information science

Information Technology and Libraries                          0730-9295     3/1983       6/1985                                                         Magazine/Journal         Y            14      American Library Association             United States          Library and information science

Information Today                                             8755-6286      6/1988                  6/1988                    11/1999                  Magazine/Journal                              Information Today, Inc.                  United States          Library and information science
Information World Review                                      0950-9879      3/2005      11/2010     3/2005       11/2010                               Magazine/Journal                              Incisive Financial Publishing Ltd.       United Kingdom         Telecommunications industry
Injury Prevention                                             1353-8047      3/2001                  3/2001        2/2004                               Magazine/Journal         Y                    British Medical Association              United States          Health
Innovation: Management, Policy, & Practice                    1447-9338      2/2005                  2/2005                    12/2006                  Magazine/Journal         Y                    eContent Management Pty Ltd.             Australia              Business
Inorganic Materials: Applied Research                         2075-1133      1/2010                                                                     Magazine/Journal                              Springer                                 United States          Chemistry
Inquiry                                                       0046-9580     12/1981                  6/2009                                             Magazine/Journal         Y                    Excellus Health Plan, Inc.               United States          Health care industry
Inroads: A Journal of Opinion                                 1188-746X      1/1996                  1/1996                     1/2002                  Magazine/Journal                              Inroads, Inc.                            Canada                 Social sciences
Insect Molecular Biology                                      0962-1075      8/1992                                                                     Magazine/Journal         Y                    Blackwell Publishers Ltd.                United Kingdom         Biological sciences
Inside Case Management                                        1073-6514      5/2002      12/2003     5/2002       12/2003       5/2002       12/2003      Newsletter                                  Aspen Publishers, Inc.                   United States          Health care industry
Inside MS                                                     0739-9774      1/1988       8/2007     3/1988        8/2007       3/2000        6/2007    Magazine/Journal                              National Multiple Sclerosis Society      United States          Health
Insight - the Journal of the American Society of Ophthalmic
Registered Nurses                                             1060-135X     6/1995                                                                      Magazine/Journal         Y                    Elsevier B.V.                            Netherlands            Health care industry
Integrative Cancer Therapies                                  1534-7354     3/2005                   3/2005        9/2008       3/2005        9/2007    Magazine/Journal                              Sage Publications, Inc.                  United States          Health
Integrative Physiological and Behavioral Science              1053-881X     1/2000       10/2005     1/2000       10/2000       4/2000       10/2000    Magazine/Journal         Y                    Transaction Publishers, Inc.             United States          Biological sciences

Integrative Psychological and Behavioral Science              1932-4502     1/2000                                                                      Magazine/Journal         Y                    Springer                                 United States          Psychology and mental health

Intelligence                                                  0160-2896     1/1992                   5/1997        1/2002      12/1998       1/2002     Magazine/Journal         Y                    Elsevier Science Publishers                                     Psychology and mental health
Intensive and Critical Care Nursing                           0964-3397     2/2005                   2/2005        4/2006       2/2005       4/2006     Magazine/Journal                              Elsevier B.V.                            Netherlands            Health care industry
Intensive Care Medicine                                       0342-4642     1/1997                                                                      Magazine/Journal         Y                    Springer                                 United States          Health care industry
                                                                                                                                                                                                      American Assembly for Men in
InterAction                                                   1066-1441     7/2006                   7/2006                     7/2006                    Newsletter                                  Nursing                                  United   States        Health
Internal and Emergency Medicine                               1828-0447     3/2007                                                                      Magazine/Journal         Y                    Springer                                 United   States        Health
Internal Medicine                                             1056-9286     9/1999       5/2000      9/1999        5/2000       2/2000       5/2000     Magazine/Journal                              AHC Media LLC                            United   States        Health
Internal Medicine Alert                                       0195-315X     1/1997                   1/1997                     4/1999       2/2005     Magazine/Journal                              AHC Media LLC                            United   States        Health
Internal Medicine Journal                                     1444-0903     1/2006                                                                      Magazine/Journal         Y                    Blackwell Publishers Ltd.                United   Kingdom       Health
Internal Medicine News                                        1097-8690     7/2001                   7/2001                                             Magazine/Journal                              International Medical News Group         United   States        Health care industry
International Archives of Medicine                            1755-7682     4/2008                   4/2008                                             Magazine/Journal         Y                    BioMed Central Ltd.                      United   Kingdom       Health care industry
International Archives of Occupational and Environmental
Health                                                        0340-0131     9/2005                                                                      Magazine/Journal         Y                    Springer                                 United States          Health
International Breastfeeding Journal                           1746-4358     1/2007                   1/2007                                             Magazine/Journal         Y                    BioMed Central Ltd.                      United Kingdom         Health
                                                                                                                                                                                                      American Alliance for Health, Physical
                                                                                                                                                                                                      Education, Recreation and Dance
International Electronic Journal of Health Education          1529-1944      1/2007                  1/2007                     1/2007                  Magazine/Journal         Y                    (AAHPERD)                                United States          Education
International Family Planning Perspectives                    0190-3187      9/2001      12/2008     9/2001       12/2008       9/2001       12/2008    Magazine/Journal         Y                    Guttmacher Institute                     United States          Family and marriage
International Journal for Equity in Health                    1475-9276     12/2006                 12/2006                                             Magazine/Journal         Y                    BioMed Central Ltd.                      United Kingdom         Health

International   Journal   of   Aging & Human Development      0091-4150     7/1989                                                                      Magazine/Journal         Y                    Baywood Publishing Company, Inc.         United States          Health
International   Journal   of   Alzheimer's Disease            2090-0252     6/1981                   1/2009                     1/2009                  Magazine/Journal         Y                    Hindawi Publishing Corp.                 Egypt                  Health
International   Journal   of   Andrology                      0105-6263     2/2006                                                                      Magazine/Journal         Y                    Blackwell Publishers Ltd.                United Kingdom         Health
International   Journal   of   Aromatherapy                   0962-4562     3/2004       8/2006                                                         Magazine/Journal         Y                    Elsevier Limited - Health Sciences       United Kingdom         Health
                                                                                                                                                                                                      Medknow Publications and Media Pvt.
International Journal of Ayurveda Research                    0974-7788     1/2010                   1/2010                                             Magazine/Journal         Y                    Ltd.                                     India                  Health
International Journal of Behavioral Consultation and
Therapy                                                       1555-7855     3/2005                   3/2005                     3/2005                  Magazine/Journal         Y                    Behavior Analyst Online                  United States          Psychology and mental health

                                                                                                                                                                                                      World Academy of Science,
International Journal of Biological and Medical Sciences      1307-7457     1/2008                   1/2008                                             Magazine/Journal         Y                    Engineering & Technology (WASET)         United Arab Emirates   Biological sciences




                                                                                                                                                                                                                                                                        HRC Academic
                                                                                                                                                                                                                                                                               27/62
Journal Name                                                     ISSN      Index Start   Index End   Full-text   Full-text End Image Start   Image End       Format         Refereed/Peer-   Embargo             Publisher Name                 Publisher Country    Publication Primary Subject
                                                                                                       Start                                                                  Reviewed        (Days)

                                                                                                                                                                                                       World Academy of Science,
International Journal of Biomedical Sciences                   1306-1216     1/2006       3/2008      1/2006        3/2008       6/2006        3/2008    Magazine/Journal         Y                    Engineering & Technology (WASET)       United Arab Emirates
                                                                                                                                                                                                       International Childbirth Education
International Journal of Childbirth Education                  0887-8625     3/2010                   3/2010                     3/2010                  Magazine/Journal         Y                    Association                            United States          Family and marriage

International Journal of Clinical Medicine                     2158-284X     2/2011                                                                      Magazine/Journal         Y                    Scientific Research Publishing, Inc.   United   States        Health
International Journal of Clinical Oncology                     1341-9625     5/1996                                                                      Magazine/Journal         Y                    Springer                               United   States        Health
International Journal of Clinical Practice                     1368-5031     1/2005                                                                      Magazine/Journal         Y                    Blackwell Publishers Ltd.              United   Kingdom       Health
International Journal of Clinical Rheumatology                 1758-4272     2/2009                   2/2009                    11/2009                  Magazine/Journal         Y                    Future Medicine Ltd.                   United   Kingdom       Health
International Journal of Collaborative Research on Internal
Medicine & PublicHealth (IJCRIMPH)                             1840-4529     3/2009                   3/2009                     3/2009                  Magazine/Journal         Y                    DRUNPP                              Malaysia                  Health
International Journal of Colorectal Disease                    0179-1958     9/2006                                                                      Magazine/Journal         Y                    Springer                            United States             Health
                                                                                                                                                                                                       Medknow Publications and Media Pvt.
International Journal of Critical Illness and Injury Science                 1/2011                   1/2011                                             Magazine/Journal         Y                    Ltd.                                India                     Health
International Journal of Dental Hygiene                        1601-5029     2/2006                                                                      Magazine/Journal         Y                    Blackwell Publishers Ltd.           United Kingdom            Health
International Journal of Dermatology                           0011-9059     8/1998                                                                      Magazine/Journal         Y                    Blackwell Publishers Ltd.           United Kingdom            Health

International Journal of Diabetes in Developing Countries      0973-3930     1/2006       10/2010                                                        Magazine/Journal                              Springer                               United States          Health
International Journal of Drug Policy                           0955-3959     6/2005                                                                      Magazine/Journal         Y                    Elsevier B.V.                          Netherlands            Health

International   Journal   of   Eating Disorders                0276-3478      1/1994                                                                     Magazine/Journal         Y                    John Wiley & Sons, Inc.                United Kingdom         Psychology and mental health
International   Journal   of   Emergency Medicine              1865-1372      4/2008                                                                     Magazine/Journal                              Springer                               United States          Health
International   Journal   of   Environment and Health          1743-4955      1/2007                                                                     Magazine/Journal         Y                    Inderscience Publishers Ltd.           Switzerland            Environmental issues
International   Journal   of   Essential Oil Therapies         1961-4209      7/2009                                                                     Magazine/Journal         Y                    Elsevier Limited - Health Sciences     United Kingdom         Health
International   Journal   of   Evidence-Based Healthcare       1744-1595      3/2006                                                                     Magazine/Journal         Y                    Blackwell Publishers Ltd.              United Kingdom         Health care industry
International   Journal   of   Evolutionary Biology            2090-052X      1/2009                  1/2009                     1/2009                  Magazine/Journal         Y                    Hindawi Publishing Corp.               Egypt                  Biological sciences
International   Journal   of   Experimental Pathology          0959-9673      2/2006                                                                     Magazine/Journal         Y                    Blackwell Publishers Ltd.              United Kingdom         Health
International   Journal   of   Food Sciences and Nutrition     0963-7486      6/1992                  9/1997        5/2000       9/1999       5/2000     Magazine/Journal         Y                    Taylor & Francis Ltd.                  United Kingdom         Food/cooking/nutrition
International   Journal   of   Gastrointestinal Cancer         1537-3649     10/2001                                                                     Magazine/Journal         Y                    Springer                               United States          Health
                                                                                                                                                                                                       Medknow Publications and Media Pvt.
International   Journal of Green Pharmacy                      0973-8258     1/2008                   1/2008                                             Magazine/Journal         Y                    Ltd.                                   India                  Health
International   Journal of Gynecological Cancer                1048-891X     1/2002                                                                      Magazine/Journal         Y                    Blackwell Publishers Ltd.              United Kingdom         Health
International   Journal of Health Care Finance and
Economics                                                      1389-6563      3/2001                                                                     Magazine/Journal                              Springer                               United States          Health care industry
International   Journal of Health Geographics                  1476-072X     12/2006                 12/2006                                             Magazine/Journal         Y                    BioMed Central Ltd.                    United Kingdom         Health
                                                                                                                                                                                                       Institute of Health Promotion and
International Journal     of Health Promotion and Education    1463-5240     10/2006                 10/2006                    10/2006                  Magazine/Journal         Y                    Education                              United Kingdom         Education
International Journal     of Health Science                    1791-4299     1/2008                  1/2009                     1/2009                   Magazine/Journal         Y                    Renaissance Medical Publishing         Greece                 Health
International Journal     of Healthcare Information Systems
and Informatics                                                1555-3396     1/2006                   1/2006                     1/2006                  Magazine/Journal         Y                    IGI Global                             United   States        Computers
International Journal     of   Hypertension                    2090-0392     1/2010                   1/2010                     1/2010                  Magazine/Journal         Y                    Hindawi Publishing Corp.               Egypt                  Health
International Journal     of   Immunogenetics                  1744-3121     2/2006                                                                      Magazine/Journal         Y                    Blackwell Publishers Ltd.              United   Kingdom       Biological sciences
International Journal     of   Impotence Research              0955-9930     2/2003                   2/2003                     3/2007                  Magazine/Journal         Y            365     Nature Publishing Group                United   Kingdom       Health
International Journal     of   Inflammation                    2042-0099     1/2010                   1/2010                     1/2010                  Magazine/Journal         Y                    Hindawi Publishing Corp.               Egypt                  Health
International Journal     of   Laboratory Hematology           1751-5521     2/2008                                                                      Magazine/Journal         Y                    Blackwell Publishers Ltd.              United   Kingdom       Health
International Journal     of   Lower Extremity Wounds          1534-7346     3/2005                   3/2005        9/2008       3/2005       9/2007     Magazine/Journal         Y                    Sage Publications, Inc.                United   States        Health
International Journal     of   Men's Health                    1532-6306     1/2003                   1/2003                     1/2003                  Magazine/Journal         Y                    Men's Studies Press                    United   States        Health

International Journal of Mental Health                         0020-7411     3/1999                                                                      Magazine/Journal         Y                    M.E. Sharpe, Inc.                      United States          Psychology and mental health
International Journal of Mental Health Nursing                 1445-8330     3/2006                                                                      Magazine/Journal         Y                    Blackwell Publishers Ltd.              United Kingdom         Health
International Journal of Mental Health Systems                 1752-4458     8/2007                   8/2007                                             Magazine/Journal         Y                    BioMed Central Ltd.                    United Kingdom         Health
                                                                                                                                                                                                       Universidad de La Frontera, Facultad
International Journal of Morphology                            0717-9367     3/2003                   3/2003                     3/2003                  Magazine/Journal         Y                    de Medicina                            Chile                  Biological sciences

International Journal     of   Multiple Research Approaches    1834-0806     10/2007                 10/2007                    10/2007                  Magazine/Journal         Y                    eContent Management Pty Ltd.           Australia              Business, international
International Journal     of   Nursing Practice                1322-7114      2/2006                                                                     Magazine/Journal         Y                    Blackwell Publishers Ltd.              United Kingdom         Health care industry
International Journal     of   Nursing Studies                 0020-7489      1/2005                  1/2005        1/2007       1/2005       1/2007     Magazine/Journal         Y                    Elsevier B.V.                          Netherlands            Health care industry
International Journal     of   Nursing Terminologies and
Classifications                                                1541-5147     10/2002                 10/2002       10/2004      10/2002       10/2004    Magazine/Journal         Y                    Blackwell Publishers Ltd.           United Kingdom            Health
International Journal     of   Obesity                         0307-0565      1/2003                  1/2003                     5/2007                  Magazine/Journal         Y            365     Nature Publishing Group             United Kingdom            Health
International Journal     of   Older People Nursing            1748-3735      3/2006                                                                     Magazine/Journal                              Blackwell Publishers Ltd.           United Kingdom            Health care industry
International Journal     of   Osteopathic Medicine            1746-0689      3/2005                                                                     Magazine/Journal         Y                    Elsevier B.V.                       Netherlands               Health care industry
International Journal     of   Paediatric Dentistry            0960-7439      9/2003                                                                     Magazine/Journal         Y                    Blackwell Publishers Ltd.           United Kingdom            Health
International Journal     of   Pediatric Endocrinology         1687-9848      1/2008                  1/2008                                             Magazine/Journal         Y                    BioMed Central Ltd.                 United Kingdom            Health
                                                                                                                                                                                                       Medknow Publications and Media Pvt.
International Journal of Pharmaceutical Investigation          2230-973X     1/2011                   1/2011                                             Magazine/Journal         Y                    Ltd.                                India                     Health




                                                                                                                                                                                                                                                                       HRC Academic
                                                                                                                                                                                                                                                                              28/62
Journal Name                                                    ISSN      Index Start   Index End   Full-text   Full-text End Image Start   Image End       Format         Refereed/Peer-   Embargo             Publisher Name                 Publisher Country   Publication Primary Subject
                                                                                                      Start                                                                  Reviewed        (Days)
International   Journal   of   Photoenergy                    1110-662X     1/2005                   1/2005                     1/2005                  Magazine/Journal          Y                   Hindawi Publishing Corp.               Egypt                 Chemistry
International   Journal   of   Public Health                  1661-8556     2/2007                                                                      Magazine/Journal          Y                   Springer                               United States         Health
International   Journal   of   Social Psychiatry              0020-7640     3/1989                                                                      Magazine/Journal          Y                   The Avenue Publishing Company          United Kingdom        Sociology and social work
International   Journal   of   Sport Nutrition                1050-1606     3/1998       9/2000                                                         Magazine/Journal          Y                   Human Kinetics Publishers, Inc.        United States         Food/cooking/nutrition
International   Journal   of   Sport Nutrition and Exercise
Metabolism                                                    1050-1606     12/2000                                                                     Magazine/Journal         Y                    Human Kinetics Publishers, Inc.     United States            Food/cooking/nutrition
International   Journal of Surgical Pathology                 1066-8969      1/2001                                                                     Magazine/Journal         Y                    Westminster Publications Inc.       United States            Health
International   Journal of Trauma Nursing                     1075-4210      4/1995      10/1996                                                        Magazine/Journal         Y                    Elsevier B.V.                       Netherlands
                                                                                                                                                                                                      Medknow Publications and Media Pvt.
International Journal of Trichology                           0974-7753     1/2009                   1/2009                                             Magazine/Journal         Y                    Ltd.                                India                    Health
International Journal of Urology                              0919-8172     1/1999                                                                      Magazine/Journal         Y                    Blackwell Publishers Ltd.           United Kingdom           Health
International Journal of Vascular Medicine                    2090-2824     1/2010                   1/2010                     1/2010                  Magazine/Journal         Y                    Hindawi Publishing Corp.            Egypt                    Health
                                                                                                                                                                                                      Medknow Publications and Media Pvt.
International Journal of Yoga                                 0973-6131     1/2008                   1/2008                                             Magazine/Journal         Y                    Ltd.                                India                    Health
                                                                                                                                                                                                      International Confederation of
International   Midwifery                                     1560-3296     11/2002      6/2009     11/2002        6/2009      11/2002        6/2009    Magazine/Journal                              Midwives                            Netherlands              News, opinion and commentary
International   Nursing Review                                0020-8132      3/2006                                                                     Magazine/Journal         Y                    Blackwell Publishers Ltd.           United Kingdom           Health care industry
International   Perspectives on Sexual and Reproductive
Health                                                        1944-0391      3/2009                  3/2009                     3/2009                  Magazine/Journal         Y                    Guttmacher Institute                   United   States       Family and marriage
International   Seminars in Surgical Oncology                 1477-7800      1/2007      2/2010      1/2007        2/2010                               Magazine/Journal         Y                    BioMed Central Ltd.                    United   Kingdom      Health
International   Social Work                                   0020-8728      1/1994                                                                     Magazine/Journal         Y                    Sage Publications, Inc.                United   States       Sociology and social work
International   Wound Journal                                 1742-4801     12/2006                                                                     Magazine/Journal         Y                    Blackwell Publishers Ltd.              United   Kingdom      Health

Internet Journal of Academic Physician Assistants             1092-4078     7/2005                   7/2005                                             Magazine/Journal         Y                    Internet Scientific Publications LLC   United States         Health

Internet Journal of Advanced Nursing Practice                 1523-6064     1/2005                   1/2005                                             Magazine/Journal         Y                    Internet Scientific Publications LLC   United States         Health

Internet Journal of Alternative Medicine                      1540-2584     1/2005                   1/2005                                             Magazine/Journal         Y                    Internet Scientific Publications LLC   United States         Health

Internet Journal of Anesthesiology                            1092-406X     4/2005                   4/2005                                             Magazine/Journal         Y                    Internet Scientific Publications LLC   United States         Health

Internet Journal of Asthma, Allergy and Immunology            1532-0642     1/2005                   1/2005                                             Magazine/Journal         Y                    Internet Scientific Publications LLC   United States         Health

Internet Journal of Bioengineering                            1937-8246     1/2005                   1/2005                                             Magazine/Journal                              Internet Scientific Publications LLC   United States         Health

Internet Journal of Cardiology                                1528-834X     7/2005                   7/2005                                             Magazine/Journal         Y                    Internet Scientific Publications LLC   United States         Health

Internet Journal of Cardiovascular Research                   1540-2592     7/2005                   7/2005                                             Magazine/Journal         Y                    Internet Scientific Publications LLC   United States         Health

Internet Journal of Dental Science                            1937-8238     7/2005                   7/2005                                             Magazine/Journal                              Internet Scientific Publications LLC   United States         Health

Internet Journal of Dermatology                               1531-3018     1/2005                   1/2005                                             Magazine/Journal         Y                    Internet Scientific Publications LLC   United States         Health

Internet Journal of Emergency and Intensive Care Medicine     1092-4051     7/2005                   7/2005                                             Magazine/Journal         Y                    Internet Scientific Publications LLC   United States         Health

Internet Journal of Emergency Medicine                        1935-9551     7/2005                   7/2005                                             Magazine/Journal         Y                    Internet Scientific Publications LLC   United States         Health

Internet Journal of Endocrinology                             1540-2606     7/2005                   7/2005                                             Magazine/Journal         Y                    Internet Scientific Publications LLC   United States         Health

Internet Journal of Epidemiology                              1540-2614     1/2005                   1/2005                                             Magazine/Journal         Y                    Internet Scientific Publications LLC   United States         Health

Internet Journal of Family Practice                           1528-8358     7/2005                   7/2005                                             Magazine/Journal         Y                    Internet Scientific Publications LLC   United States         Health

Internet Journal of Forensic Science                          1540-2622     1/2005                   1/2005                                             Magazine/Journal         Y                    Internet Scientific Publications LLC   United States         Health

Internet Journal of Gastroenterology                          1528-8323     1/2005                   1/2005                                             Magazine/Journal         Y                    Internet Scientific Publications LLC   United States         Health

Internet Journal of Genomics and Proteomics                   1540-2630     1/2005                   1/2005                                             Magazine/Journal         Y                    Internet Scientific Publications LLC   United States         Health

Internet Journal of Geriatrics and Gerontology                1937-8211     1/2005                   1/2005                                             Magazine/Journal                              Internet Scientific Publications LLC   United States         Health

Internet Journal of Gynecology and Obstetrics                 1528-8439     7/2005                   7/2005                                             Magazine/Journal         Y                    Internet Scientific Publications LLC   United States         Health

Internet Journal of Health                                    1528-8315     7/2005                   7/2005                                             Magazine/Journal         Y                    Internet Scientific Publications LLC   United States         Health

Internet Journal of Healthcare Administration                 1531-2933     1/2005                   1/2005                                             Magazine/Journal         Y                    Internet Scientific Publications LLC   United States         Health




                                                                                                                                                                                                                                                                     HRC Academic
                                                                                                                                                                                                                                                                            29/62
Journal Name                                                 ISSN      Index Start   Index End   Full-text   Full-text End Image Start   Image End       Format         Refereed/Peer-   Embargo             Publisher Name                 Publisher Country   Publication Primary Subject
                                                                                                   Start                                                                  Reviewed        (Days)

Internet Journal of Hematology                             1540-2649     1/2005                   1/2005                                             Magazine/Journal         Y                    Internet Scientific Publications LLC   United States         Health

Internet Journal of Infectious Diseases                    1528-8366     1/2005                   1/2005                                             Magazine/Journal         Y                    Internet Scientific Publications LLC   United States         Health

Internet Journal of Internal Medicine                      1528-8382     1/2005                   1/2005                                             Magazine/Journal         Y                    Internet Scientific Publications LLC   United States         Health

Internet Journal of Laboratory Medicine                    1937-8181     1/2005                   1/2005                                             Magazine/Journal                              Internet Scientific Publications LLC   United States         Health

Internet Journal of Law, Healthcare and Ethics             1528-8250     1/2005                   1/2005                                             Magazine/Journal         Y                    Internet Scientific Publications LLC   United States         Health

Internet Journal of Medical Informatics                    1937-8300     7/2005                   7/2005                                             Magazine/Journal                              Internet Scientific Publications LLC   United States         Health

Internet Journal of Medical Simulation                     1559-4734     1/2005                   1/2005                                             Magazine/Journal         Y                    Internet Scientific Publications LLC   United States         Health

Internet Journal of Medical Simulation and Technology      1540-2657     1/2005       8/2006      1/2005        8/2006                               Magazine/Journal         Y                    Internet Scientific Publications LLC   United States         Health

Internet Journal of Medical Technology                     1559-4610     7/2005                   7/2005                                             Magazine/Journal         Y                    Internet Scientific Publications LLC   United States         Health
Internet Journal of Medical Update                         1694-0423     1/2006                   1/2006                     1/2006                  Magazine/Journal         Y                    Dr. Arun Kumar Agnihotri               Mauritius             Health

Internet Journal of Mental Health                          1531-2941     7/2005                   7/2005                                             Magazine/Journal         Y                    Internet Scientific Publications LLC   United States         Health

Internet Journal of Microbiology                           1937-8289     1/2005                   1/2005                                             Magazine/Journal         Y                    Internet Scientific Publications LLC   United States         Health

Internet Journal of Nanotechnology                         1937-8262     1/2005                   1/2005                                             Magazine/Journal         Y                    Internet Scientific Publications LLC   United States         Health

Internet Journal of Nephrology                             1540-2665     7/2005                   7/2005                                             Magazine/Journal         Y                    Internet Scientific Publications LLC   United States         Health

Internet Journal of Neurology                              1531-295X     1/2005                   1/2005                                             Magazine/Journal         Y                    Internet Scientific Publications LLC   United States         Health

Internet Journal of Neuromonitoring                        1531-300X     1/2005                   1/2005                                             Magazine/Journal         Y                    Internet Scientific Publications LLC   United States         Health

Internet Journal of Neurosurgery                           1528-8285     1/2006                   1/2006                                             Magazine/Journal         Y                    Internet Scientific Publications LLC   United States         Health

Internet Journal of Nuclear Medicine                       1539-4638     7/2005                   7/2005                                             Magazine/Journal         Y                    Internet Scientific Publications LLC   United States         Health

Internet Journal of Nutrition and Wellness                 1937-8297     7/2005                   7/2005                                             Magazine/Journal                              Internet Scientific Publications LLC   United States         Health

Internet Journal of Oncology                               1528-8331     7/2005                   7/2005                     7/2006                  Magazine/Journal         Y                    Internet Scientific Publications LLC   United States         Health

Internet Journal of Ophthalmology and Visual Science       1528-8269     7/2005                   7/2005                                             Magazine/Journal         Y                    Internet Scientific Publications LLC   United States         Health

Internet Journal of Orthopedic Surgery                     1531-2968     1/2005                   1/2005                     1/2006                  Magazine/Journal         Y                    Internet Scientific Publications LLC   United States         Health

Internet Journal of Otorhinolaryngology                    1528-8420     1/2005                   1/2005                                             Magazine/Journal         Y                    Internet Scientific Publications LLC   United States         Health
Internet Journal of Pain, Symptom Control and Palliative
Care                                                       1528-8277     1/2005                   1/2005                                             Magazine/Journal                              Internet Scientific Publications LLC   United States         Health

Internet Journal of Parasitic Diseases                     1559-4629     1/2005                   1/2005                                             Magazine/Journal         Y                    Internet Scientific Publications LLC   United States         Health

Internet Journal of Pathology                              1528-8307     1/2005                   1/2005                                             Magazine/Journal         Y                    Internet Scientific Publications LLC   United States         Health

Internet Journal of Pediatrics and Neonatology             1528-8374     1/2005                   1/2005                                             Magazine/Journal         Y                    Internet Scientific Publications LLC   United States         Health

Internet Journal of Perfusionists                          1531-3026     1/2005       3/2007      1/2005        3/2007                               Magazine/Journal         Y                    Internet Scientific Publications LLC   United States         Health

Internet Journal of Pharmacology                           1531-2976     7/2005                   7/2005                                             Magazine/Journal         Y                    Internet Scientific Publications LLC   United States         Health

Internet Journal of Plastic Surgery                        1528-8293     1/2005                   1/2005                                             Magazine/Journal         Y                    Internet Scientific Publications LLC   United States         Health

Internet Journal of Pulmonary Medicine                     1531-2984     1/2005                   1/2005                                             Magazine/Journal         Y                    Internet Scientific Publications LLC   United States         Health

Internet Journal of Radiology                              1528-8404     7/2005                   7/2005                                             Magazine/Journal         Y                    Internet Scientific Publications LLC   United States         Health

Internet Journal of Rescue and Disaster Medicine           1531-2992     1/2005                   1/2005                                             Magazine/Journal         Y                    Internet Scientific Publications LLC   United States         Health

Internet Journal of Rheumatology                           1528-8412     1/2005                   1/2005                                             Magazine/Journal         Y                    Internet Scientific Publications LLC   United States         Health




                                                                                                                                                                                                                                                                  HRC Academic
                                                                                                                                                                                                                                                                         30/62
Journal Name                                                ISSN      Index Start   Index End   Full-text   Full-text End Image Start   Image End       Format         Refereed/Peer-   Embargo             Publisher Name                 Publisher Country   Publication Primary Subject
                                                                                                  Start                                                                  Reviewed        (Days)

Internet Journal of Spine Surgery                         1937-8270     7/2005                   7/2005                                             Magazine/Journal                              Internet Scientific Publications LLC   United States         Health

Internet Journal of Surgery                               1528-8242     1/2005                   1/2005                                             Magazine/Journal         Y                    Internet Scientific Publications LLC   United States         Health

Internet Journal of Third World Medicine                  1539-4646     7/2005                   7/2005                                             Magazine/Journal         Y                    Internet Scientific Publications LLC   United States         Health

Internet Journal of Thoracic and Cardiovascular Surgery   1524-0274     7/2005                   7/2005                                             Magazine/Journal         Y                    Internet Scientific Publications LLC   United States         Health

Internet Journal of Toxicology                            1559-3916     1/2005                   1/2005                                             Magazine/Journal         Y                    Internet Scientific Publications LLC   United States         Health

Internet Journal of Tropical Medicine                     1540-2681     1/2005                   1/2005                                             Magazine/Journal         Y                    Internet Scientific Publications LLC   United States         Health

Internet Journal of Urology                               1528-8390     1/2005                   1/2005                                             Magazine/Journal         Y                    Internet Scientific Publications LLC   United States         Health

Internet Journal of Veterinary Medicine                   1937-8165     8/2006                   8/2006                                             Magazine/Journal                              Internet Scientific Publications LLC   United States         Health

Internet Journal of World Health and Societal Politics    1540-269X      1/2005                  1/2005                                             Magazine/Journal         Y                    Internet Scientific Publications LLC   United States         Health
Interventional Cardiology                                 1755-5302     10/2009                 10/2009                     2/2010                  Magazine/Journal                              Future Medicine Ltd.                   United Kingdom        Health
Into a New World-Young Women's Sexual and
Reproductive Lives                                                      1/1998       1/1998      1/1998        1/1998       1/1998        1/1998       Newsletter                                 Guttmacher Institute                  United States          Family and marriage
                                                                                                                                                                                                  Universidad de Antioquia, Facultad de
Investigaci≤n y Educaci≤n en Enfermeria                   0120-5307      3/2005                  3/2005                     3/2005                  Magazine/Journal                              Enfermeria                            Colombia               Health
Investigative Genetics                                    2041-2223      9/2010                  9/2010                                             Magazine/Journal         Y                    BioMed Central Ltd.                   United Kingdom         Health
Iowa Nurse Reporter                                                      3/2007                  3/2007                     3/2007                  Magazine/Journal                              Iowa Nurses Association               United States          Health care industry
IRB Advisor                                               1535-2064      4/2001                  4/2001                                             Magazine/Journal                              AHC Media LLC                         United States          Health
IRB: Ethics & Human Research                              0193-7758      5/2007      9/2011      5/2007        9/2011                               Magazine/Journal         Y                    Hastings Center                       United States          Health
Irish Journal of Medical Sciences                         0021-1265      3/2007                                                                     Magazine/Journal         Y                    Springer                              United States          Health
ISNA Bulletin                                                           11/2006                 11/2006                                               Newsletter                                  Indiana State Nurses Association      United States          Health care industry
                                                                                                                                                                                                  International Scholarly Research
ISRN Dentistry                                            2090-4371     1/2011                                                                      Magazine/Journal         Y                    Network                               Egypt                  Health
                                                                                                                                                                                                  International Scholarly Research
ISRN Obstetrics and Gynecology                            2090-4436     1/2011                                                                      Magazine/Journal         Y                    Network                               Egypt                  Health

                                                                                                                                                                                                  National Legal Center for the
Issues in Law & Medicine                                  8756-8160      7/1985                  3/1989                     9/1998                  Magazine/Journal         Y                    Medically Dependent & Disabled, Inc.                         Law
Istanbul Medical Journal                                  1304-8503     10/2011                 10/2011                    10/2011                  Magazine/Journal         Y                    KARE Publishing                      Turkey                  Health
Italian Journal of Neurological Sciences                  0392-0461      2/1981      12/1999                                                        Magazine/Journal         Y                    Springer                             United States           Science and technology
Italian Journal of Pediatrics                             1720-8482     11/2008                 11/2008                                             Magazine/Journal         Y                    BioMed Central Ltd.                  United Kingdom          Health
IVUS Vascular Imaging                                                    7/2008                  7/2008                                                  Video                                    Detroit Medical Center               United States           Health
JAAPA-Journal of the American Academy of Physicians
Assistants                                                1547-1896     10/1999                 10/1999                    11/1999                  Magazine/Journal         Y                    Haymarket Media, Inc.                  United States         Health care industry

JAMA, The Journal of the American Medical Association     0098-7484     1/1987                                                                      Magazine/Journal         Y                    American Medical Association           United States         Health
Jamaica - Second HIV/AIDS Project                                       4/2008                   4/2008                                                 Report                                    The World Bank                         United States         Health

JAOA: Journal of the American Osteopathic Association     0098-6151     6/1989       11/1991                                                        Magazine/Journal         Y                    American Osteopathic Association                             Health
Japan Journal of Nursing Science                          1742-7932     6/2006                                                                      Magazine/Journal                              Blackwell Publishers Ltd.              United Kingdom        Health care industry
Japanese Journal of Human Genetics                        0021-5074     3/1980       12/1996                                                        Magazine/Journal         Y                    Springer                               United States         Health
JARO - Journal of the Association for Research in
Otolaryngology                                            1525-3961     9/2005                                                                      Magazine/Journal         Y                    Springer                               United States         Health
JBIC Journal of Biological Inorganic Chemistry            0949-8257     8/2005                                                                      Magazine/Journal         Y                    Springer                               United States         Biological sciences
JDDG                                                      1610-0379     1/2006                                                                      Magazine/Journal         Y                    Blackwell Publishers Ltd.              United Kingdom        Health
                                                                                                                                                                                                                                                               Pharmaceuticals and cosmetics
JobWatch                                                  1528-6002     9/2001       2/2008      9/2001        2/2008      10/2001        2/2008    Magazine/Journal                              Thomson Healthcare, Inc.               United States         industries
Joe Weider's Muscle & Fitness                             0744-5105     1/1988                  11/2001                                             Magazine/Journal                              Weider Publications LLC                United States         Health
JOM                                                       1047-4838     1/1998                                                                      Magazine/Journal         Y                    Springer                               United States         Science and technology
Journal Africain d'Hepato-Gastroenterologie               1954-3204     9/2010                                                                      Magazine/Journal                              Springer                               United States         Health
Journal for Nurse Practitioners                           1555-4155     9/2005                                                                      Magazine/Journal         Y                    Elsevier B.V.                          Netherlands           Health care industry
Journal for Specialists in Pediatric Nursing              1539-0136     4/2002                   4/2002       10/2004       4/2002       10/2004    Magazine/Journal         Y                    Blackwell Publishers Ltd.              United Kingdom        Health

Journal of Abnormal Child Psychology                      0091-0627     4/1989                                                                      Magazine/Journal         Y                    Springer                               United States         Psychology and mental health
                                                                                                                                                                                                  American Psychological Association,
Journal of Abnormal Psychology                            0021-843X     2/1987                                                                      Magazine/Journal         Y                    Inc.                                   United States         Psychology and mental health
Journal of Academic Emergency Medicine                    1305-760X     9/2010                   9/2010                     9/2010                  Magazine/Journal         Y                    Aves Yayincilik                        Turkey                Health
                                                                                                                                                                                                  Lippincott Williams & Wilkins, WK
Journal of Acquired Immune Deficiency Syndromes           0894-9255     2/1989       12/1994                                                        Magazine/Journal         Y                    Health                                 United States         Health




                                                                                                                                                                                                                                                                 HRC Academic
                                                                                                                                                                                                                                                                        31/62
Journal Name                                                ISSN      Index Start   Index End   Full-text   Full-text End Image Start   Image End       Format         Refereed/Peer-   Embargo              Publisher Name                    Publisher Country      Publication Primary Subject
                                                                                                  Start                                                                  Reviewed        (Days)
                                                                                                                                                                                                  Lippincott Williams & Wilkins, WK
Journal of Acquired Immune Deficiency Syndromes (1999)    1525-4135     6/1999       8/2007                                                         Magazine/Journal         Y                    Health                                     United States            Health
Journal of Acupuncture and Meridian Studies               2005-2901     9/2008                                                                      Magazine/Journal                              Elsevier B.V.                              Netherlands              Health
                                                                                                                                                                                                  Centre for Addiction and Mental
Journal of Addiction and Mental Health                    1481-3122     1/2002       5/2002      1/2002        5/2002                                  Newsletter                                 Health                                     Canada                   Psychology and mental health

Journal of     Adolescence                                0140-1971     3/1989                                                                      Magazine/Journal         Y                    Elsevier B.V.                       Netherlands                     Psychology and mental health
Journal of     Adolescent Health                          1054-139X     2/1996                                                                      Magazine/Journal         Y                    Elsevier B.V.                       Netherlands                     Health care industry
Journal of     Advanced Nursing                           0309-2402     1/2006                                                                      Magazine/Journal         Y                    Blackwell Publishers Ltd.           United Kingdom                  Health care industry
Journal of     Advanced Pharmaceutical Technology &                                                                                                                                               Medknow Publications and Media Pvt.
Research                                                                 1/2010                  1/2010                                             Magazine/Journal                              Ltd.                                India                           Health
Journal of     Aerosol Medicine                           0894-2684     12/2007      12/2007    12/2007       12/2007      12/2007       12/2007    Magazine/Journal         Y                    Mary Ann Liebert, Inc.              United States                   Health

Journal of Aerosol Medicine and Pulmonary Drug Delivery   1941-2703     6/2008       11/2011     6/2008       11/2011       6/2008       11/2011    Magazine/Journal         Y                    Mary Ann Liebert, Inc.                     United States            Health
Journal of Aging & Social Policy                          0895-9420     1/1994                                                                      Magazine/Journal         Y                    Routledge                                  United Kingdom           Seniors
                                                                                                                                                                                                  Elsevier Advanced Technology
Journal of Aging Studies                                  0890-4065     3/1994                   3/1998       12/2001       9/1999       12/2001    Magazine/Journal         Y                    Publications                               United Kingdom           Seniors
                                                                                                                                                                                                  American Alcohol & Drug Information
Journal of Alcohol & Drug Education                       0090-1482     9/2000                   9/2000                     9/2000                  Magazine/Journal         Y                    Foundation                                 United States            Health

Journal of Ambient Intelligence and Humanized Computing   1868-5137     3/2010                                                                      Magazine/Journal         Y                    Springer                                   United States            Computers
                                                                                                                                                                                                  Lippincott Williams & Wilkins, WK
Journal of Ambulatory Care Management                     0148-9917     1/2002                                                                      Magazine/Journal         Y                    Health                                     United States            Health care industry
Journal of American College Health                        0744-8481     1/1997                   1/1997        7/2009       9/1999       7/2009     Magazine/Journal         Y                    Taylor & Francis Ltd.                      United Kingdom           Health
                                                                                                                                                                                                  Association of American Physicians
Journal of American Physicians and Surgeons               1543-4826     9/2006                   9/2006                     9/2006                  Magazine/Journal         Y                    and Surgeons, Inc.                         United States            Health care industry
Journal of Amino Acids                                    2090-0112     1/2010                   1/2010                     1/2010                  Magazine/Journal         Y                    Hindawi Publishing Corp.                   Egypt                    Biological sciences
                                                                                                                                                                                                  Medknow Publications and Media Pvt.
Journal of Anaesthesiology Clinical Pharmacology          0970-9185      4/2011                  4/2011                                             Magazine/Journal         Y                    Ltd.                                       India                    Health
Journal of Analytical Chemistry                           1061-9348     12/2000                                                                     Magazine/Journal         Y                    Springer                                   United States            Chemistry

Journal   of   Analytical Psychology                      0021-8774     2/2006                                                                      Magazine/Journal         Y                    Blackwell Publishers Ltd.                  United   Kingdom         Psychology and mental health
Journal   of   Anatomy                                    0021-8782     1/2006                                                                      Magazine/Journal         Y                    Blackwell Publishers Ltd.                  United   Kingdom         Health
Journal   of   Anesthesia                                 0913-8668     8/2003                                                                      Magazine/Journal         Y                    Springer                                   United   States          Health
Journal   of   Angiogenesis Research                      2040-2384     9/2009       12/2010     9/2009       12/2010                               Magazine/Journal         Y                    BioMed Central Ltd.                        United   Kingdom         Health
                                                                                                                                                                                                                                                                      Zoology and wildlife
Journal   of   Animal Physiology and Animal Nutrition     0931-2439     10/1999                                                                     Magazine/Journal         Y                    Blackwell Publishers Ltd.                  United Kingdom           conservation
Journal   of   Anxiety Disorders                          0887-6185     5/2008                                                                      Magazine/Journal         Y                    Elsevier B.V.                              Netherlands
Journal   of   Applied and Industrial Mathematics         1990-4789     3/2007                                                                      Magazine/Journal         Y                    Springer                                   United States            Mathematics
Journal   of   Applied Gerontology                        0733-4648     3/1994                   3/1997       12/1998                               Magazine/Journal         Y                    Sage Publications, Inc.                    United States            Seniors
Journal   of   Applied Microbiology                       1364-5072     1/2006                                                                      Magazine/Journal         Y                    Blackwell Publishers Ltd.                  United Kingdom           Biological sciences
                                                                                                                                                                                                  American Psychological Association,
Journal of Applied Psychology                             0021-9010     2/1981                                                                      Magazine/Journal         Y                    Inc.                                       United States            Psychology and mental health
Journal of Applied Research                               1537-064X     3/2006                   3/2006                     3/2006                  Magazine/Journal         Y                    Therapeutic Solutions LLC                  United States            Health
                                                                                                                                                                                                  National Athletic Trainers' Association,
Journal of Athletic Training                              1062-6050     3/1992                   4/2007                                             Magazine/Journal         Y                    Inc.                                       United States            Sports and fitness
Journal of Autism and Developmental Disorders             0162-3257     2/1997                                                                      Magazine/Journal         Y                    Springer                                   United States            Health
Journal of Avian Medicine and Surgery                     1082-6742     3/2006                   3/2006                     3/2006                  Magazine/Journal         Y                    Association of Avian Veterinarians         United States            Health
                                                                                                                                                                                                  Medknow Publications and Media Pvt.
Journal of Ayurveda and Integrative Medicine              0975-9476     1/2010                   1/2010                                             Magazine/Journal         Y                    Ltd.                                       India                    Health
                                                                                                                                                                                                  Lippincott Williams & Wilkins, WK
Journal of Behavioral Health Services & Research          1094-3412     2/2002                                                                      Magazine/Journal         Y                    Health                                     United States            Health care industry

Journal of Behavioral Medicine                            0160-7715     2/1997                                                                      Magazine/Journal         Y                    Springer                                   United States            Psychology and mental health

Journal   of   Behavioural Sciences                       1028-9097     12/2006                 12/2006                                             Magazine/Journal                              Asianet-Pakistan                           Pakistan                 Psychology and mental health
Journal   of   Biological Engineering                     1754-1611     10/2007                 10/2007                                             Magazine/Journal         Y                    BioMed Central Ltd.                        United Kingdom           Biotechnology industry
Journal   of   Biological Rhythms                         0748-7304      2/2005                  2/2005        8/2008       2/2005       10/2007    Magazine/Journal         Y                    Sage Publications, Inc.                    United States            Biological sciences
Journal   of   Biology and Life Science                   2157-6076      8/2010                  8/2010                     8/2010                  Magazine/Journal         Y                    Macrothink Institute, Inc.                 British Virgin Islands   Biological sciences

Journal of Biomaterials and Nanobiotechnology             2158-7027     1/2011                                                                      Magazine/Journal         Y                    Scientific Research Publishing, Inc.       United States            Biotechnology industry

Journal of Biomedical Discovery and Collaboration         1747-5333     12/2006      1/2009     12/2006        1/2009                               Magazine/Journal         Y                    University of Illinois Library System      United States            Science and technology
Journal of Biomedical Science                             1021-7770     7/2005                                                                      Magazine/Journal         Y                    BioMed Central Ltd.                        United Kingdom           Biological sciences

Journal of Biomedical Science and Engineering (JBiSE)     1937-6871     5/2008                   5/2008                     5/2008                  Magazine/Journal         Y                    Scientific Research Publishing, Inc.       United States            Science and technology
Journal of Biomedical Semantics                           2041-1480     3/2010                   3/2010                                             Magazine/Journal         Y                    BioMed Central Ltd.                        United Kingdom           Health




                                                                                                                                                                                                                                                                        HRC Academic
                                                                                                                                                                                                                                                                               32/62
Journal Name                                                    ISSN      Index Start   Index End   Full-text   Full-text End Image Start   Image End       Format         Refereed/Peer-   Embargo               Publisher Name               Publisher Country   Publication Primary Subject
                                                                                                      Start                                                                  Reviewed        (Days)
Journal   of   Biomedicine and Biotechnology                  1110-7243     1/2005                   1/2005                     1/2005                  Magazine/Journal          Y                   Hindawi Publishing Corp.               Egypt                 Biotechnology industry
Journal   of   Biomolecular NMR                               0925-2738     1/1997                                                                      Magazine/Journal          Y                   Springer                               United States         Chemistry
Journal   of   Biomolecular Screening                         1087-0571     2/2005                   2/2005        9/2008       2/2005       10/2007    Magazine/Journal          Y                   Sage Publications, Inc.                United States         Biological sciences
Journal   of   Biomusical Engineering                         2090-2700     1/2011                   1/2011                     1/2011                  Magazine/Journal          Y                   Ashdin Publishing                      Belgium               Science and technology

Journal of Biophysical Chemistry                              2153-036X     5/2010                   5/2010                     5/2010                  Magazine/Journal         Y                    Scientific Research Publishing, Inc.   United States         Biological sciences
Journal of Biosciences                                        0250-5991     6/2002                                                                      Magazine/Journal         Y                    Springer                               United States         Biological sciences

Journal of Black Psychology                                   0095-7984      2/1993                                                                     Magazine/Journal         Y                    Sage Publications, Inc.                United States         Psychology and mental health
Journal of Bodywork & Movement Therapies                      1360-8592     10/1996                                                                     Magazine/Journal         Y                    Elsevier B.V.                          Netherlands           Health
                                                                                                                                                                                                      Journal of Bone and Joint Surgery
Journal of Bone and Joint Surgery: American Volume            0021-9355     6/1989       12/1991                                                        Magazine/Journal         Y                    Inc.                                                         Health

Journal of Brachial Plexus and Peripheral Nerve Injury        1749-7221     1/2007                   1/2007                                             Magazine/Journal         Y                    BioMed Central Ltd.                 United Kingdom           Psychology and mental health
Journal of Cancer Research and Clinical Oncology              0171-5216     3/1998                                                                      Magazine/Journal         Y                    Springer                            United States            Health
                                                                                                                                                                                                      Medknow Publications and Media Pvt.
Journal of Cancer Research and Therapeutics                   0973-1482     1/2005                   1/2005                                             Magazine/Journal         Y                    Ltd.                                India                    Health
Journal of Cancer Survivorship                                1932-2259     6/2007                                                                      Magazine/Journal         Y                    Springer                            United States            Health

Journal of Cancer Therapy                                     2151-1934     3/2010                   3/2010                     3/2010                  Magazine/Journal         Y                    Scientific Research Publishing, Inc.   United States         Health
                                                                                                                                                                                                      Medknow Publications and Media Pvt.
Journal   of   Carcinogenesis                                 0974-6773     12/2006                 12/2006                                             Magazine/Journal         Y                    Ltd.                                   India                 Health
Journal   of   Cardiac Failure                                1071-9164     12/1995                                                                     Magazine/Journal         Y                    Elsevier B.V.                          Netherlands           Health care industry
Journal   of   Cardiac Surgery                                0886-0440      1/2006                                                                     Magazine/Journal         Y                    Blackwell Publishers Ltd.              United Kingdom        Health
Journal   of   Cardiothoracic Surgery                         1749-8090      1/2007                  1/2007                                             Magazine/Journal         Y                    BioMed Central Ltd.                    United Kingdom        Health
                                                                                                                                                                                                      Medknow Publications and Media Pvt.
Journal of Cardiovascular Disease Research                    0975-3583     1/2010                   1/2010                                             Magazine/Journal         Y                    Ltd.                                   India                 Health
Journal of Cardiovascular Electrophysiology                   1045-3873     1/2006                                                                      Magazine/Journal         Y                    Blackwell Publishers Ltd.              United Kingdom        Health
Journal of Cardiovascular Magnetic Resonance                  1532-429X     1/2008                   1/2008                                             Magazine/Journal         Y                    BioMed Central Ltd.                    United Kingdom        Health
                                                                                                                                                                                                      Lippincott Williams & Wilkins, WK
Journal of Cardiovascular Nursing                             0889-4655     1/1996                                                                      Magazine/Journal         Y                    Health                                 United States         Health care industry

Journal   of   Cardiovascular Pharmacology and Therapeutics   1074-2484     10/2000                                                                     Magazine/Journal         Y                    Westminster Publications Inc.          United   States       Health
Journal   of   Cardiovascular Translational Research          1937-5387      3/2008                                                                     Magazine/Journal                              Springer                               United   States       Health
Journal   of   Cell Biology                                   0021-9525      1/1992                                                                     Magazine/Journal         Y                    Rockefeller University Press           United   States       Biological sciences
Journal   of   Chemical Sciences                              0974-3626      1/2007                                                                     Magazine/Journal         Y                    Springer                               United   States       Chemistry
Journal   of   Cheminformatics                                1758-2946      3/2009                  3/2009                                             Magazine/Journal         Y                    BioMed Central Ltd.                    United   Kingdom      Chemistry

Journal of Child and Adolescent Psychiatric Nursing           1073-6077     1/1996                   1/1996       10/2004       1/1996       10/2004    Magazine/Journal         Y                    Blackwell Publishers Ltd.              United Kingdom        Psychology and mental health

Journal   of   Child and Adolescent Psychopharmacology        1044-5463     11/2007                 11/2007       10/2011      11/2007       10/2011    Magazine/Journal         Y                    Mary Ann Liebert, Inc.                 United States         Health
Journal   of   Child and Adolescent Substance Abuse           1067-828X     1/2001                                                                      Magazine/Journal         Y                    Haworth Press, Inc.                                          Social sciences
Journal   of   Children's Orthopaedics                        1863-2521      3/2007                                                                     Magazine/Journal         Y                    Springer                               United States         Health
Journal   of   Chinese Medicine                               0143-8042     6/2000                   2/2002                     2/2002                  Magazine/Journal                              The Journal of Chinese Medicine        United Kingdom        Health
Journal   of   Chinese Political Science                      1080-6954     4/2007                                                                      Magazine/Journal         Y                    Springer                               United States         Political science

Journal of Chiropractic                                       0744-9984     1/1990       12/1991                                                        Magazine/Journal         Y                    American Chiropractic Association Inc.                       Health
Journal of Clinical Bioinformatics                            2043-9113     1/2011                   1/2011                                             Magazine/Journal         Y                    BioMed Central Ltd.                    United Kingdom        Health

Journal of Clinical Child and Adolescent Psychology           1537-4416     3/2002                                                                      Magazine/Journal         Y                    Routledge                              United Kingdom        Psychology and mental health

Journal of Clinical Child Psychology                          0047-228X     3/1989       12/2001                                                        Magazine/Journal         Y                    Lawrence Erlbaum Associates, Inc.      United States         Psychology and mental health
                                                                                                                                                                                                      Lippincott Williams & Wilkins, WK
Journal of Clinical Engineering                               0363-8855     9/2001                                                                      Magazine/Journal         Y                    Health                                 United States         Health care industry
                                                                                                                                                                                                      American Society for Clinical
Journal of Clinical Investigation                             0021-9738     4/2006                   4/2006                     5/2006                  Magazine/Journal         Y                    Investigation                          United States         Health care industry
                                                                                                                                                                                                      Medknow Publications and Media Pvt.
Journal   of   Clinical   Neonatology                         2249-4847      1/2012                  1/2012                                             Magazine/Journal         Y                    Ltd.                                   India                 Health
Journal   of   Clinical   Nursing                             0962-1067      1/2006                                                                     Magazine/Journal         Y                    Blackwell Publishers Ltd.              United   Kingdom      Health care industry
Journal   of   Clinical   Pathology                           0021-9746     11/1989                  1/2001        3/2004       1/2001       10/2001    Magazine/Journal         Y                    British Medical Association            United   States       Health
Journal   of   Clinical   Periodontology                      0303-6979      1/1992                                                                     Magazine/Journal         Y                    Blackwell Publishers Ltd.              United   Kingdom      Health
Journal   of   Clinical   Pharmacology                        0091-2700      1/2005                  1/2005        9/2008       1/2005       11/2007    Magazine/Journal         Y                    Sage Publications, Inc.                United   States       Health
Journal   of   Clinical   Pharmacy and Therapeutics           0269-4727      2/2006                                                                     Magazine/Journal         Y                    Blackwell Publishers Ltd.              United   Kingdom      Health

Journal of Clinical Psychology                                0021-9762     1/1989                                                                      Magazine/Journal         Y                    John Wiley & Sons, Inc.                United Kingdom        Psychology and mental health
Journal of Cognitive Neuroscience                             0898-929X     1/1992                   9/1994        5/2001                               Magazine/Journal         Y                    MIT Press Journals                     United States         Health




                                                                                                                                                                                                                                                                      HRC Academic
                                                                                                                                                                                                                                                                             33/62
Journal Name                                               ISSN      Index Start   Index End   Full-text   Full-text End Image Start   Image End       Format         Refereed/Peer-   Embargo              Publisher Name               Publisher Country   Publication Primary Subject
                                                                                                 Start                                                                  Reviewed        (Days)

Journal   of   Communication Disorders                   0021-9924     5/2005                                                                      Magazine/Journal         Y                    Elsevier B.V.                         Netherlands           Psychology and mental health
Journal   of   Community Genetics                        1868-310X     3/2010                                                                      Magazine/Journal         Y                    Springer                              United States         Biological sciences
Journal   of   Community Health                          0094-5145     3/1987                                                                      Magazine/Journal         Y                    Springer                              United States         Health
Journal   of   Community Nursing                         0140-0908     1/2008                   1/2008                     1/2008                  Magazine/Journal                              PTM Publishers Ltd.                   United Kingdom        Health

Journal of Comparative Physiology A: Neuroethology,
Sensory, Neural, andBehavioral Physiology                0340-7594     9/2005                                                                      Magazine/Journal         Y                    Springer                              United States         Health
Journal of Comparative Physiology B: Biochemical,
Systemic, and EnvironmentalPhysiology                    0174-1578      8/2005                                                                     Magazine/Journal         Y                    Springer                              United States         Biological sciences
Journal of Computational Biology                         1066-5277     11/2007      11/2011    11/2007       11/2011      11/2007       11/2011    Magazine/Journal         Y                    Mary Ann Liebert, Inc.                United States         Biological sciences
Journal of Computer-Aided Molecular Design               0920-654X      7/2005                                                                     Magazine/Journal         Y                    Springer                              United States         Computers
                                                                                                                                                                                                 Medknow Publications and Media Pvt.
Journal of Conservative Dentistry                        0972-0707     4/2005                   4/2005                                             Magazine/Journal         Y                    Ltd.                                  India                 Health
                                                                                                                                                                                                 American Psychological Association,
Journal   of   Consulting and Clinical Psychology        0022-006X      2/1987                                                                     Magazine/Journal         Y                    Inc.                                  United   States       Psychology and mental health
Journal   of   Contemporary Mathematical Analysis        1068-3623      2/2007                                                                     Magazine/Journal         Y                    Springer                              United   States       Mathematics
Journal   of   Continuing Education Topics & Issues      1522-8606      1/2007                  1/2007                     4/2007                  Magazine/Journal         Y                    American Medical Technologists        United   States       Education
Journal   of   Controversial Medical Claims              1530-1060     11/2001      2/2010     11/2001        2/2010      11/2001       2/2010     Magazine/Journal         Y                    Aspen Publishers, Inc.                United   States       Health care industry
                                                                                                                                                                                                 Medknow Publications and Media Pvt.
Journal of Craniovertebral Junction and Spine            0974-8237     1/2010                   1/2010                                             Magazine/Journal         Y                    Ltd.                                  India                 Health
Journal of Critical Care                                 0883-9441     6/1998                                                                      Magazine/Journal         Y                    Elsevier B.V.                         Netherlands           Health care industry
Journal of Critical Illness                              1040-0257     4/1999       6/2003      4/1999        6/2003       8/1999       6/2003     Magazine/Journal         Y                    CMP Medica, LLC                       United States         Health

Journal of Cross-Cultural Psychology                     0022-0221     3/1992                   1/1997       11/1998                               Magazine/Journal         Y                    Sage Publications, Inc.               United States         Psychology and mental health
Journal of Cultural Diversity                            1071-5568     3/2002       9/2004      3/2002        9/2004       9/2002       9/2004     Magazine/Journal         Y                    Tucker Publications, Inc.             United States         Health
                                                                                                                                                                                                 Medknow Publications and Media Pvt.
Journal   of   Cutaneous and Aesthetic Surgery           0974-2077      1/2008                  1/2008                                             Magazine/Journal         Y                    Ltd.                                  India                 Health
Journal   of   Cutaneous Medicine and Surgery            1203-4754      8/2005                                                                     Magazine/Journal         Y                    Springer                              United States         Health
Journal   of   Cutaneous Pathology                       0303-6987     11/2005                                                                     Magazine/Journal         Y                    Blackwell Publishers Ltd.             United Kingdom        Health
Journal   of   CyberTherapy and Rehabilitation           1784-9934      3/2008                  3/2008                     3/2008                  Magazine/Journal         Y                    Virtual Reality Medical Institute     Belgium               Health
                                                                                                                                                                                                 Medknow Publications and Media Pvt.
Journal   of   Cytology                                  0970-9371      1/2008                  1/2008                                             Magazine/Journal         Y                    Ltd.                                  India                 Biological sciences
Journal   of   Dance Medicine & Science                  1089-313X      1/2004      10/2010     1/2004       10/2010                               Magazine/Journal         Y                    J. Michael Ryan Publishing Co.        United States         Health
Journal   of   Deaf Studies and Deaf Education           1081-4159     12/2003                                                                     Magazine/Journal         Y                    Oxford University Press               United Kingdom        Education
Journal   of   Dental Biomechanics                       1758-7360      1/2010                  1/2010                     1/2010                  Magazine/Journal         Y                    Hindawi Publishing Corp.              Egypt                 Health
                                                                                                                                                                                                 American Dental Hygienists'
Journal of Dental Hygiene                                1043-254X     3/1996                   3/1996                     3/1996                  Magazine/Journal         Y                    Association                                                 Health
                                                                                                                                                                                                 Medknow Publications and Media Pvt.
Journal of Dental Implants                               0974-6781     1/2011                   1/2011                                             Magazine/Journal         Y                    Ltd.                                  India                 Health
Journal of Dentistry                                     0300-5712     1/2005                   1/2005        1/2007       1/2005       1/2007     Magazine/Journal         Y                    Elsevier B.V.                         Netherlands           Health
Journal of Dermatology                                   0385-2407     1/2006                                                                      Magazine/Journal         Y                    Blackwell Publishers Ltd.             United Kingdom        Health
                                                                                                                                                                                                 Lippincott Williams & Wilkins, WK
Journal   of   Developmental & Behavioral Pediatrics     0196-206X     8/2000                                                                      Magazine/Journal         Y                    Health                                United   States       Health
Journal   of   Diabetes Nursing                          1368-1109     1/2002                   1/2002        4/2011       1/2002       4/2011     Magazine/Journal         Y                    S.B. Communications                   United   Kingdom      Health
Journal   of   Diagnostic Medical Sonography             8756-4793     1/2005                   1/2005        9/2008       1/2005       9/2007     Magazine/Journal         Y                    Sage Publications, Inc.               United   States       Health
Journal   of   Digital Imaging                           0897-1889     6/2001                                                                      Magazine/Journal         Y                    Springer                              United   States       Health
Journal   of   Disability Policy Studies                 1044-2073     3/2000                                                                      Magazine/Journal         Y                    Sage Publications, Inc.               United   States       Law

Journal of Drug Issues                                   0022-0426     1/1989                                                                      Magazine/Journal         Y                    Journal of Drug Issues, Inc.          United States         Psychology and mental health

Journal of Drugs in Dermatology                          1545-9616     12/2002                 12/2002                    12/2002                  Magazine/Journal         Y                    Journal of Drugs in Dermatology, Inc. United States         Health

Journal of Early and Intensive Behavioral Intervention   1554-4893     2/2004       9/2008      2/2004        9/2008       2/2004        9/2008    Magazine/Journal         Y                    Behavior Analyst Online             United States           Psychology and mental health
Journal of Education and Research in Nursing             1305-0397     1/2011                   1/2011                     1/2011                  Magazine/Journal         Y                    KARE Publishing                     Turkey                  Health
Journal of Elder Abuse & Neglect                         0894-6566     3/1994                                                                      Magazine/Journal         Y                    Routledge                           United Kingdom          Seniors
                                                                                                                                                                                                 Medknow Publications and Media Pvt.
Journal of Emergencies, Trauma and Shock                 0974-2700     7/2008                   7/2008                                             Magazine/Journal         Y                    Ltd.                                India                   Health
Journal of Emergency Medicine                            0736-4679     1/2005                                                                      Magazine/Journal         Y                    Elsevier B.V.                       Netherlands             Health care industry
Journal of Emergency Nursing                             0099-1767     2/1995                                                                      Magazine/Journal         Y                    Elsevier B.V.                       Netherlands             Health care industry

Journal of Emotional and Behavioral Disorders            1063-4266     6/2000                                                                      Magazine/Journal         Y                    Sage Publications, Inc.               United States         Psychology and mental health
Journal of Endocrinology, Metabolism and Diabetes of
South Africa                                             1608-9677      6/2007      6/2007      6/2007        6/2007       6/2007        6/2007    Magazine/Journal         Y                    South African Medical Association     South Africa          Health
Journal of Endourology                                   0892-7790     11/2007                 11/2007       11/2011      11/2007       11/2011    Magazine/Journal         Y                    Mary Ann Liebert, Inc.                United States         Health
                                                                                                                                                                                                 National Environmental Health
Journal of Environmental Health                          0022-0892     1/1989                   3/1993                     7/1994                  Magazine/Journal         Y                    Association                           United States         Health




                                                                                                                                                                                                                                                               HRC Academic
                                                                                                                                                                                                                                                                      34/62
Journal Name                                                  ISSN      Index Start   Index End   Full-text   Full-text End Image Start   Image End       Format         Refereed/Peer-   Embargo             Publisher Name                  Publisher Country   Publication Primary Subject
                                                                                                    Start                                                                  Reviewed        (Days)
Journal   of   Epidemiology & Community Health              0143-005X     1/2001                   1/2001        4/2004       8/2001       11/2001    Magazine/Journal          Y                   British Medical Association             United States         Health
Journal   of   Esthetic and Restorative Dentistry           1496-4155     4/2007                                                                      Magazine/Journal          Y                   Blackwell Publishers Ltd.               United Kingdom        Health
Journal   of   Ethnic & Cultural Diversity in Social Work   1531-3204     1/1992                                                                      Magazine/Journal          Y                   Routledge                               United Kingdom        Sociology and social work
Journal   of   Ethnicity in Substance Abuse                 1533-2640     1/2002                                                                      Magazine/Journal          Y                   Routledge                               United Kingdom        Sociology and social work
Journal   of   Eukaryotic Microbiology                      1066-5234     1/2006                                                                      Magazine/Journal          Y                   Blackwell Publishers Ltd.               United Kingdom        Biological sciences
Journal   of   Evaluation in Clinical Practice              1356-1294     4/2007                                                                      Magazine/Journal          Y                   Blackwell Publishers Ltd.               United Kingdom        Health
Journal   of   Evidence-Based Dental Practice               1532-3382     7/2001                                                                      Magazine/Journal          Y                   Elsevier B.V.                           Netherlands           Health care industry
Journal   of   Evolutionary Biology                         1010-061X     1/2006                                                                      Magazine/Journal          Y                   Blackwell Publishers Ltd.               United Kingdom        Biological sciences

Journal of Evolutionary Psychology                          0737-4828     8/2001       10/2006     8/2001       10/2006       3/2002       10/2006    Magazine/Journal         Y                    Institute for Evolutionary Psychology   United States         Psychology and mental health
Journal of Experimental & Clinical Cancer Research          1756-9966     5/2008                   5/2008                                             Magazine/Journal         Y                    BioMed Central Ltd.                     United Kingdom        Health

Journal of Experimental Child Psychology                    0022-0965     2/1989                                                                      Magazine/Journal         Y                    Elsevier B.V.                           Netherlands           Psychology and mental health
                                                                                                                                                                                                    American Psychological Association,
Journal of Experimental Psychology: General                 0096-3445     3/1989                                                                      Magazine/Journal         Y                    Inc.                                    United States         Psychology and mental health
Journal of Experimental Psychology: Human Perception and                                                                                                                                            American Psychological Association,
Performance                                                 0096-1523     2/1989                                                                      Magazine/Journal         Y                    Inc.                                    United States         Psychology and mental health
Journal of Experimental Psychology: Learning, Memory and                                                                                                                                            American Psychological Association,
Cognition                                                   0278-7393     1/1989                                                                      Magazine/Journal         Y                    Inc.                                    United States         Psychology and mental health
Journal of Exposure Analysis and Environmental
Epidemiology                                                1053-4245     1/2000       11/2005     1/2000       11/2005       1/2000       11/2001    Magazine/Journal                              Nature Publishing Group                 United Kingdom        Health
Journal of Exposure Science and Environmental
Epidemiology                                                1559-0631     1/2006                   1/2006                     5/2007                  Magazine/Journal         Y            365     Nature Publishing Group             United Kingdom            Health
                                                                                                                                                                                                    Medknow Publications and Media Pvt.
Journal   of   Family   and Community Medicine              1319-1683     1/2010                   1/2010                                             Magazine/Journal         Y                    Ltd.                                India                     Health
Journal   of   Family   Issues                              0192-513X     3/1989                   1/1997       11/1998                               Magazine/Journal         Y                    Sage Publications, Inc.             United States             Family and marriage
Journal   of   Family   Practice                            0094-3509     5/1989                   5/1989                     3/1994                  Magazine/Journal         Y             7      Dowden Health Media, Inc.           United States             Health
Journal   of   Family   Studies                             1322-9400     5/2007                   5/2007                                             Magazine/Journal         Y                    eContent Management Pty Ltd.        Australia                 Family and marriage
Journal   of   Family   Violence                            0885-7482     3/1992                                                                      Magazine/Journal         Y                    Springer                            United States             Family and marriage
                                                                                                                                                                                                                                                                  Zoology and wildlife
Journal   of   Fish Diseases                                0140-7775     1/2006                                                                      Magazine/Journal         Y                    Blackwell Publishers Ltd.               United Kingdom        conservation
Journal   of   Foot and Ankle Research                      1757-1146     7/2008                   7/2008                                             Magazine/Journal         Y                    BioMed Central Ltd.                     United Kingdom        Health
Journal   of   Foot and Ankle Surgery                       1067-2516     1/1995                                                                      Magazine/Journal         Y                    Elsevier B.V.                           Netherlands           Health care industry
Journal   of   Forensic Biomechanics                        2090-2689     1/2010                   1/2010                     1/2010                  Magazine/Journal         Y                    Ashdin Publishing                       Belgium               Law
                                                                                                                                                                                                    Medknow Publications and Media Pvt.
Journal of Forensic Dental Sciences                         0974-2948     1/2009                   1/2009                                             Magazine/Journal         Y                    Ltd.                                    India                 Health
                                                                                                                                                                                                    International Association of Forensic
Journal   of   Forensic Nursing                             1556-3693      3/2005                                                                     Magazine/Journal                              Nurses                                  United   States       Health
Journal   of   Gastroenterology                             0944-1174      1/1994                                                                     Magazine/Journal         Y                    Springer                                United   States       Health
Journal   of   Gastroenterology and Hepatology              0815-9319      1/2006                                                                     Magazine/Journal         Y                    Blackwell Publishers Ltd.               United   Kingdom      Health
Journal   of   Gastrointestinal Cancer                      1941-6628     12/2006                                                                     Magazine/Journal         Y                    Springer                                United   States       Health
Journal   of   General Internal Medicine                    0884-8734     10/2004                                                                     Magazine/Journal         Y                    Springer                                United   States       Health
Journal   of   General Physiology                           0022-1295      1/1992                                                                     Magazine/Journal         Y                    Rockefeller University Press            United   States       Biological sciences

Journal of General Psychology                               0022-1309     1/1989       10/2009     1/1992        7/2009       4/1994        7/2009    Magazine/Journal         Y                    Taylor & Francis Ltd.                   United Kingdom        Psychology and mental health
                                                                                                                                                                                                                                                                  Pharmaceuticals and cosmetics
Journal of Generic Medicines                                1741-1343     7/2007                   7/2007                     7/2007                  Magazine/Journal         Y                    Sage Publications, Inc.                 United States         industries
Journal of Genetic Counseling                               1059-7700     2/2006                                                                      Magazine/Journal         Y                    Springer                                United States         Health

Journal of Genetic Psychology                               0022-1325     3/1989                   6/1993        6/2009       3/1994        6/2009    Magazine/Journal         Y                    Taylor & Francis Ltd.                   United Kingdom        Psychology and mental health
Journal of Genetics                                         0022-1333     4/2007                                                                      Magazine/Journal         Y                    Springer                                United States         Health

Journal of Geriatric Psychiatry & Neurology                 0891-9887     3/2005                   3/2005        9/2008       3/2005       12/2007    Magazine/Journal         Y                    Sage Publications, Inc.             United States             Psychology and mental health
Journal of Gerontological Nursing                           0098-9134     3/2001                                                                      Magazine/Journal         Y                    Slack, Inc.                         United States             Health
Journal of Gerontological Social Work                       0163-4372     3/1989                                                                      Magazine/Journal         Y                    Routledge                           United Kingdom            Sociology and social work
                                                                                                                                                                                                    Medknow Publications and Media Pvt.
Journal of Global Infectious Diseases                       0974-777X     1/2009                   1/2009                                             Magazine/Journal         Y                    Ltd.                                India                     Health
Journal of Group Psychotherapy Psychodrama and
Soiometry                                                   1545-3855     6/2002       9/2006      6/2002        9/2006       6/2002        9/2006    Magazine/Journal         Y                    Heldref Publications                    United States         Psychology and mental health
                                                                                                                                                                                                    Society of Gynecologic Nurse
Journal of Gynecologic Oncology Nursing                     1536-9935     9/2007                   9/2007                     9/2007                  Magazine/Journal                              Oncologists                             United States         Health
                                                                                                                                                                                                    Medknow Publications and Media Pvt.
Journal of Gynecological Endoscopy and Surgery              0974-1216     1/2009                   1/2009                                             Magazine/Journal         Y                    Ltd.                                    India                 Health
                                                                                                                                                                                                    Lippincott Williams & Wilkins, WK
Journal of Head Trauma Rehabilitation                       0885-9701     12/2001                                                                     Magazine/Journal         Y                    Health                                  United States         Health care industry
Journal of Headache and Pain                                1129-2369     7/2000                                                                      Magazine/Journal         Y                    Springer                                United States         Health




                                                                                                                                                                                                                                                                    HRC Academic
                                                                                                                                                                                                                                                                           35/62
Journal Name                                                  ISSN      Index Start   Index End   Full-text   Full-text End Image Start   Image End       Format         Refereed/Peer-   Embargo              Publisher Name                 Publisher Country   Publication Primary Subject
                                                                                                    Start                                                                  Reviewed        (Days)
                                                                                                                                                                                                    Southern Public Administration
Journal   of   Health   and Human Services Administration   1079-3739     12/2007                 12/2007                    12/2007                  Magazine/Journal         Y                    Education Foundation, Inc.              United   States       Government
Journal   of   Health   and Social Behavior                 0022-1465      3/1989                                                                     Magazine/Journal         Y                    American Sociological Association       United   States       Health
Journal   of   Health   Care Compliance                     1520-8303      3/2006                  3/2006                     3/2006                  Magazine/Journal                              Aspen Publishers, Inc.                  United   States       Health care industry
Journal   of   Health   Care Finance                        1078-6767     12/1994                 12/1994                    12/1994                  Magazine/Journal                              Aspen Publishers, Inc.                  United   States       Health care industry
Journal   of   Health   Care Marketing                      0737-3252      3/1991      12/1996                                                        Magazine/Journal         Y                    American Marketing Association          United   States       Health care industry
Journal   of   Health   Politics, Policy and Law            0361-6878      1/1980                                                                     Magazine/Journal         Y                    Duke University Press                   United   States       Law

                                                                                                                                                                                                    International Centre for Diarrhoeal
Journal of Health Population and Nutrition                  1606-0997     6/2000                   6/2000                     6/2000                  Magazine/Journal         Y                    Disease Research Bangladesh             Bangladesh            Health
                                                                                                                                                                                                    American College of Healthcare
Journal   of   Healthcare Management                        1096-9012     1/1998                   1/1998                     3/1999                  Magazine/Journal         Y                    Executives                              United States         Health care industry
Journal   of   Heart Centered Therapies                     1520-5495     3/1999                   3/1999                     3/1999                  Magazine/Journal         Y                    Wellness Institute                                            Health
Journal   of   Hematology & Oncology                        1756-8722     5/2008                   5/2008                                             Magazine/Journal         Y                    BioMed Central Ltd.                     United Kingdom        Health
Journal   of   HIV Therapy                                  1462-0308     6/2007                   6/2007                     6/2007                  Magazine/Journal         Y                    Mediscript Ltd.                         United Kingdom        Health
Journal   of   Hospital Infection                           0195-6701     7/2005                                                                      Magazine/Journal         Y                    Elsevier B.V.                           Netherlands           Health
Journal   of   Human Genetics                               1434-5161     2/1998                                                                      Magazine/Journal         Y                    Nature Publishing Group                 United Kingdom        Biological sciences
Journal   of   Human Hypertension                           0950-9240     6/2001                   6/2001                     8/2007                  Magazine/Journal         Y            365     Nature Publishing Group                 United Kingdom        Health
Journal   of   Human Lactation                              0890-3344     2/2005                   2/2005        8/2008       2/2005       11/2007    Magazine/Journal         Y                    Sage Publications, Inc.                 United States         Health
Journal   of   Human Nutrition and Dietetics                0952-3871     2/2006                                                                      Magazine/Journal         Y                    Blackwell Publishers Ltd.               United Kingdom        Health
                                                                                                                                                                                                    Medknow Publications and Media Pvt.
Journal of Human Reproductive Sciences                      0974-1208      1/2008                  1/2008                                             Magazine/Journal         Y                    Ltd.                                    India                 Health
Journal of Immigrant and Minority Health                    1557-1912     10/2006                                                                     Magazine/Journal         Y                    Springer                                United States         Health care industry
Journal of Immune Based Therapies and Vaccines              1476-8518     12/2006                 12/2006                                             Magazine/Journal         Y                    BioMed Central Ltd.                     United Kingdom        Health
                                                                                                                                                                                                    Lippincott Williams & Wilkins, WK
Journal of Immunology                                       0022-1767     8/1989       6/1991                                                         Magazine/Journal         Y                    Health                                  United States         Health
                                                                                                                                                                                                    Medknow Publications and Media Pvt.
Journal of Indian Association of Pediatric Surgeons         0971-9261     1/2005                   1/2005                                             Magazine/Journal                              Ltd.                                    India                 Health
Journal of Indian Prosthodontic                             0972-4052     1/2005       7/2009                                                         Magazine/Journal                              Springer                                United States         Health
Journal of Indian Society of Pedodontics and Preventive                                                                                                                                             Medknow Publications and Media Pvt.
Dentistry                                                   0970-4388     1/2005                   1/2005                                             Magazine/Journal                              Ltd.                                    India                 Health
                                                                                                                                                                                                    Medknow Publications and Media Pvt.
Journal   of   Indian Society of Periodontology             0972-124X      1/2008                  1/2008                                             Magazine/Journal         Y                    Ltd.                                    India                 Health
Journal   of   Industrial Microbiology and Biotechnology    1367-5435      8/2005                                                                     Magazine/Journal         Y                    Springer                                United   States       Biological sciences
Journal   of   Infectious Diseases                          0022-1899     12/1989                                                                     Magazine/Journal         Y                    University of Chicago Press             United   States       Health
Journal   of   Inflammation                                 1476-9255      1/2007                  1/2007                                             Magazine/Journal         Y                    BioMed Central Ltd.                     United   Kingdom      Health
Journal   of   Instructional Psychology                     0094-1956      3/1999                  3/1999                     6/2000                  Magazine/Journal         Y                    George Uhlig Publisher                  United   States       Education

Journal of Intellectual Disability Research                 0964-2633     1/2006                                                                      Magazine/Journal         Y                    Blackwell Publishers Ltd.               United Kingdom        Psychology and mental health
Journal of Intensive Care Medicine                          0885-0666     1/2005                   1/2005        9/2008       1/2005       9/2007     Magazine/Journal         Y                    Sage Publications, Inc.                 United States         Health
                                                                                                                                                                                                    Medknow Publications and Media Pvt.
Journal of Interdisciplinary Dentistry                                     1/2011                  1/2011                                             Magazine/Journal         Y                    Ltd.                                    India                 Health
Journal of Interferon & Cytokine Research                   1079-9907     11/2007      11/2011    11/2007       11/2011      11/2007       11/2011    Magazine/Journal         Y                    Mary Ann Liebert, Inc.                  United States         Health
Journal of Internal Medicine                                0954-6820      1/2006                                                                     Magazine/Journal         Y                    Blackwell Publishers Ltd.               United Kingdom        Health
Journal of International Society of Preventive and                                                                                                                                                  Medknow Publications and Media Pvt.
Community Dentistry                                                       1/2011                   1/2011                                             Magazine/Journal         Y                    Ltd.                                    India                 Health
Journal of Interpersonal Violence                           0886-2605     3/1992                   2/1997       12/1998                               Magazine/Journal         Y                    Sage Publications, Inc.                 United States         Law
Journal of Interventional Cardiology                        0896-4327     2/2006                                                                      Magazine/Journal         Y                    Blackwell Publishers Ltd.               United Kingdom        Health
Journal of Kartal Training and Research Hospital            1302-485X     1/2011                   1/2011                     1/2011                  Magazine/Journal         Y                    KARE Publishing                         Turkey                Health
                                                                                                                                                                                                    Medknow Publications and Media Pvt.
Journal of Laboratory Physicians                            0974-2727     1/2009                   1/2009                                             Magazine/Journal         Y                    Ltd.                                    India                 Health
                                                                                                                                                                                                    Headley Brothers Ltd. (Invicta Press)
Journal of Laryngology and Otology                          0022-2151     8/1989       3/1991                                                         Magazine/Journal         Y                    (UK)                                                          Health
                                                                                                                                                                                                    Medknow Publications and Media Pvt.
Journal of Laryngology and Voice                                          1/2011                   1/2011                                             Magazine/Journal         Y                    Ltd.                                    India                 Health
                                                                                                                                                                                                    University of Texas at Austin
Journal of Latin American Geography                         1545-2476     1/2003                   1/2003                     1/2003                  Magazine/Journal                      365     (University of Texas Press)             United States         Geography
Journal of Law and Health                                   1044-6419     1/1985                   3/1996                     3/1998                  Magazine/Journal         Y            14      Cleveland Marshall College of Law       United States         Law
                                                                                                                                                                                                    American Society of Law, Medicine &
Journal of Law, Medicine & Ethics                           1073-1105     3/1993                   3/1998                     9/1999                  Magazine/Journal         Y                    Ethics                                  United States         Law
Journal of Learning Disabilities                            0022-2194     1/1998                                                                      Magazine/Journal         Y                    Sage Publications, Inc.                 United States         Education
Journal of Legal Medicine                                   0194-7648     6/1981                                                                      Magazine/Journal         Y                    Taylor & Francis Ltd.                   United Kingdom        Law
                                                                                                                                                                                                                                                                  Metals, metalworking and
Journal of Machinery Manufacture and Reliability            1052-6188     1/2007                                                                      Magazine/Journal                              Springer                                United States         machinery industries

Journal of Manipulative and Physiological Therapeutics      0161-4754     1/1999                                                                      Magazine/Journal         Y                    Elsevier B.V.                           Netherlands           Health
Journal of Marital and Family Therapy                       0194-472X     1/1989                                                                      Magazine/Journal         Y                    lackwell Publishers Inc.                United States         Family and marriage




                                                                                                                                                                                                                                                                    HRC Academic
                                                                                                                                                                                                                                                                           36/62
Journal Name                                                 ISSN      Index Start   Index End   Full-text   Full-text End Image Start   Image End       Format         Refereed/Peer-   Embargo              Publisher Name                Publisher Country   Publication Primary Subject
                                                                                                   Start                                                                  Reviewed        (Days)
Journal   of   Medical   Case Reports                      1752-1947     4/2007                   4/2007                                             Magazine/Journal          Y                   BioMed Central Ltd.                    United   Kingdom      Health
Journal   of   Medical   Ethics                            0306-6800     3/1990                   4/1999        2/2004       8/2000        4/2003    Magazine/Journal          Y                   British Medical Association            United   States       Health
Journal   of   Medical   Genetics                          0022-2593     3/2001                   3/2001        3/2004       7/2001       10/2001    Magazine/Journal          Y                   British Medical Association            United   States       Health
Journal   of   Medical   Humanities                        1041-3545     3/2006                                                                      Magazine/Journal          Y                   Springer                               United   States       Philosophy and religion
Journal   of   Medical   Imaging and Radiation Oncology    1754-9477     8/2008                                                                      Magazine/Journal          Y                   Blackwell Publishers Ltd.              United   Kingdom      Health care industry
                                                                                                                                                                                                                                                                Pharmaceuticals and cosmetics
Journal of Medical Marketing                               1745-7904     6/2007                   6/2007                     6/2007                  Magazine/Journal         Y                    Sage Publications, Inc.             United States            industries
                                                                                                                                                                                                   Medknow Publications and Media Pvt.
Journal of Medical Physics                                 0971-6203     1/2006                   1/2006                                             Magazine/Journal                              Ltd.                                India                    Health
                                                                                                                                                                                                                                                                Zoology and wildlife
Journal   of   Medical Primatology                         0047-2565      2/2002                                                                     Magazine/Journal         Y                    Blackwell Publishers Ltd.              United Kingdom        conservation
Journal   of   Medical Psychology                                         1/2009                  1/2009                     1/2009                  Magazine/Journal         Y                    Renaissance Medical Publishing         Greece                Health
Journal   of   Medical Screening                           0969-1413      1/2001                  1/2001        3/2004       6/2001       6/2001     Magazine/Journal         Y                    British Medical Association            United States         Health
Journal   of   Medical Speech - Language Pathology         1065-1438      3/2002                  3/2002                     3/2003                  Magazine/Journal         Y                    Delmar Learning                        United States         Health
Journal   of   Medical Systems                             0148-5598      6/2006                                                                     Magazine/Journal         Y                    Springer                               United States         Health care industry
Journal   of   Medical Toxicology                          1556-9039      9/2006                                                                     Magazine/Journal         Y                    University of Pennsylvania Press       United States         Health
Journal   of   Medicinal Food                              1096-620X     12/2007                 12/2007       11/2011      12/2007       11/2011    Magazine/Journal         Y                    Mary Ann Liebert, Inc.                 United States         Health
Journal   of   Medicine and Philosophy                     0360-5310      2/1989                                                                     Magazine/Journal         Y                    Kluwer Academic Publishers Group       Netherlands           Health
Journal   of   Membrane Biology                            0022-2631      9/2002                                                                     Magazine/Journal         Y                    Springer                               United States         Biological sciences

Journal of Memory and Language                             0749-596X     2/1989                                                                      Magazine/Journal         Y                    Elsevier B.V.                          Netherlands           Psychology and mental health
Journal of Men's Health & Gender                           1571-8913     3/2005                   3/2005       12/2006       3/2005       12/2006    Magazine/Journal         Y                    Elsevier B.V.                          Netherlands           Health
                                                                                                                                                                                                   American Mental Health Counselors
Journal of Mental Health Counseling                        1040-2861     4/2000                   4/2000                     4/2000                  Magazine/Journal         Y                    Association                            United States         Psychology and mental health
Journal of Microbiology                                    1225-8873     2/2008                                                                      Magazine/Journal         Y                    Springer                               United States         Biological sciences
Journal of Microscopy                                      0022-2720     2/1999                                                                      Magazine/Journal         Y                    Blackwell Publishers Ltd.              United Kingdom        Biological sciences
                                                                                                                                                                                                   Medknow Publications and Media Pvt.
Journal of Mid-life Health                                 0976-7819     1/2010                   1/2010                                             Magazine/Journal         Y                    Ltd.                                   India                 Health
Journal of Midwifery and Women's Health                    1526-9523     1/2003                                                                      Magazine/Journal         Y                    Elsevier B.V.                          Netherlands           Health care industry
                                                                                                                                                                                                   Medknow Publications and Media Pvt.
Journal   of   Minimal Access Surgery                      0972-9941      1/2005                  1/2005                                             Magazine/Journal         Y                    Ltd.                                   India                 Health
Journal   of   Molecular and Genetic Medicine              1747-0862     12/2005                 12/2005                    12/2005                  Magazine/Journal         Y                    Library Publishing Media               United   Kingdom      Biological sciences
Journal   of   Molecular Evolution                         0022-2844     10/2000                                                                     Magazine/Journal         Y                    Springer                               United   States       Biological sciences
Journal   of   Molecular Medicine                          0946-2716      6/1996                                                                     Magazine/Journal         Y                    Springer                               United   States       Science and technology
Journal   of   Molecular Neuroscience                      0895-8696      6/1999                                                                     Magazine/Journal         Y                    Springer                               United   States       Health
Journal   of   Molecular Signaling                         1750-2187     12/2006                 12/2006                                             Magazine/Journal         Y                    BioMed Central Ltd.                    United   Kingdom      Science and technology

Journal of Multicultural Counseling and Development        0883-8534     7/2000                   7/2000                    10/2000                  Magazine/Journal         Y            540     American Counseling Association        United States         Psychology and mental health
Journal of Musculoskeletal Medicine                        0899-2517     4/1999                   4/1999                    10/1999       7/2005     Magazine/Journal         Y                    CMP Medica, LLC                        United States         Health
                                                                                                                                                                                                   Medknow Publications and Media Pvt.
Journal of Natural Pharmaceuticals                                       1/2010                   1/2010                                             Magazine/Journal         Y                    Ltd.                                   India                 Health
                                                                                                                                                                                                   Medknow Publications and Media Pvt.
Journal of Natural Science, Biology and Medicine                          1/2010                  1/2010                                             Magazine/Journal         Y                    Ltd.                                   India                 Health
Journal of Neonatal Nursing                                1355-1841     12/2005                                                                     Magazine/Journal         Y                    Elsevier B.V.                          Netherlands           Health care industry
                                                                                                                                                                                                   Lippincott Williams & Wilkins, WK
Journal of Nervous and Mental Disease                      0022-3018     5/1989       12/1991                                                        Magazine/Journal         Y                    Health                                 United States         Psychology and mental health

Journal of Neural Transmission                             0300-9564     3/1980                                                                      Magazine/Journal         Y                    Springer                               United States         Psychology and mental health
Journal of Neural Transmission - Parkinson's Disease and
Dementia Section                                           0936-3076     3/1989       6/1995                                                         Magazine/Journal         Y                    Springer                               United States         Health
Journal of Neurochemistry                                  0022-3042     5/2000                                                                      Magazine/Journal         Y                    Blackwell Publishers Ltd.              United Kingdom        Biological sciences

Journal   of   Neuroendocrinology                          0953-8194      1/2006                                                                     Magazine/Journal         Y                    Blackwell Publishers Ltd.              United Kingdom        Psychology and mental health
Journal   of   Neuroimaging                                1051-2284      1/2005                                                                     Magazine/Journal         Y                    Blackwell Publishers Ltd.              United Kingdom        Health
Journal   of   Neuroinflammation                           1742-2094      1/2007                  1/2007                                             Magazine/Journal         Y                    BioMed Central Ltd.                    United Kingdom        Health
Journal   of   Neurology                                   0340-5354     11/1996                                                                     Magazine/Journal         Y                    Springer                               United States         Health
Journal   of   Neurology, Neurosurgery and Psychiatry      0022-3050      1/2001                  1/2001        4/2004       1/2001       11/2001    Magazine/Journal         Y                    British Medical Association            United States         Health
Journal   of   Neuroparasitology                           2090-2344      1/2010                  1/2010                     1/2010                  Magazine/Journal         Y                    Ashdin Publishing                      Belgium               Health
                                                                                                                                                                                                   American Association of Neuroscience
Journal of Neuroscience Nursing                            0888-0395     4/1996                   4/1996                     4/1996                  Magazine/Journal         Y                    Nurses                                 United States         Health care industry
                                                                                                                                                                                                   Medknow Publications and Media Pvt.
Journal   of   Neurosciences in Rural Practice                            1/2010                  1/2010                                             Magazine/Journal         Y                    Ltd.                                   India                 Health
Journal   of   Neurotrauma                                 0897-7151     11/2007                 11/2007       11/2011      11/2007       11/2011    Magazine/Journal         Y                    Mary Ann Liebert, Inc.                 United States         Health
Journal   of   Nucleic Acids                               2090-021X      4/1991                  1/2010                     1/2010                  Magazine/Journal         Y                    Hindawi Publishing Corp.               Egypt                 Biological sciences
Journal   of   Nurse-Midwifery                             0091-2182     11/1995      5/1997                                                         Magazine/Journal         Y                    Elsevier B.V.                          Netherlands
                                                                                                                                                                                                   Lippincott Williams & Wilkins, WK
Journal of Nursing Care Quality                            1057-3631     1/1996                                                                      Magazine/Journal         Y                    Health                                 United States         Health




                                                                                                                                                                                                                                                                  HRC Academic
                                                                                                                                                                                                                                                                         37/62
Journal Name                                              ISSN      Index Start   Index End   Full-text   Full-text End Image Start   Image End       Format         Refereed/Peer-   Embargo             Publisher Name                   Publisher Country   Publication Primary Subject
                                                                                                Start                                                                  Reviewed        (Days)
Journal of Nursing Management                           0966-0429     11/1998                                                                     Magazine/Journal          Y                   Blackwell Publishers Ltd.                United Kingdom        Health care industry
Journal of Nursing Scholarship                          1527-6546      3/2000                  3/2000       12/2010       9/2000       12/2010    Magazine/Journal          Y                   Blackwell Publishers Ltd.                United Kingdom        Health
Journal of Nutrition                                    0022-3166      1/1992                                                                     Magazine/Journal          Y                   American Institute of Nutrition          United States         Food/cooking/nutrition
                                                                                                                                                                                                Lippincott Williams & Wilkins, WK
Journal of Nutrition Education                          0022-3182     2/1989       11/2001                                                        Magazine/Journal         Y                    Health                                   United States         Food/cooking/nutrition
Journal of Nutrition Education and Behavior             1499-4046     1/2002                                                                      Magazine/Journal         Y                    Elsevier B.V.                            Netherlands           Food/cooking/nutrition
                                                                                                                                                                                                Medknow Publications and Media Pvt.
Journal of Obstetric Anaesthesia and Critical Care      2249-4472     1/2011                   1/2011                                             Magazine/Journal         Y                    Ltd.                                     India                 Health

Journal of Obstetric, Gynecologic, & Neonatal Nursing   0884-2175     1/2006                                                                      Magazine/Journal         Y                    Blackwell Publishers Ltd.                United Kingdom        Health care industry
Journal of Obstetrics and Gynaecology Research          1341-8076     2/2006                                                                      Magazine/Journal         Y                    Blackwell Publishers Ltd.                United Kingdom        Health
                                                                                                                                                                                                Lippincott Williams & Wilkins, WK
Journal of Occupational and Environmental Medicine      1076-2752     1/1995                                                                      Magazine/Journal         Y                    Health                                   United States         Health
                                                                                                                                                                                                Lippincott Williams & Wilkins, WK
Journal of Occupational Medicine                        0096-1736     1/1981       12/1994                                                        Magazine/Journal         Y                    Health                                   United States         Health care industry
Journal of Occupational Rehabilitation                  1053-0487     9/2006                                                                      Magazine/Journal         Y                    Springer                                 United States         Health
                                                                                                                                                                                                Medknow Publications and Media Pvt.
Journal of Oral and Maxillofacial Pathology             0973-029X     1/2007                   1/2007                                             Magazine/Journal         Y                    Ltd.                                     India                 Health
Journal of Oral and Maxillofacial Surgery               0278-2391     1/2000                                                                      Magazine/Journal         Y                    Elsevier B.V.                            Netherlands           Health care industry
                                                                                                                                                                                                Consortium of Research Ardent
Journal of Oral Health Research                         2229-6018     1/2010                   1/2010                     1/2010                  Magazine/Journal         Y                    Dentists (CORAD)                         India                 Health
Journal of Oral Pathology and Medicine                  0904-2512     1/2002                                                                      Magazine/Journal         Y                    Blackwell Publishers Ltd.                United Kingdom        Health
Journal of Oral Rehabilitation                          0305-182X     1/2006                                                                      Magazine/Journal         Y                    Blackwell Publishers Ltd.                United Kingdom        Health
                                                                                                                                                                                                The Lancet Publishing Group, a
Journal   of   Orthopaedic Nursing                      1361-3111      2/2005      11/2006     2/2005       11/2006       2/2005       11/2006    Magazine/Journal         Y                    division of Elsevier Science Ltd.                              Health
Journal   of   Orthopaedic Surgery and Research         1749-799X     12/2006                 12/2006                                             Magazine/Journal         Y                    BioMed Central Ltd.                      United Kingdom        Health
Journal   of   Orthoptera Research                      1082-6467      1/2007                  1/2007                     1/2007                  Magazine/Journal         Y                    The Orthopterists' Society                                     Biological sciences
Journal   of   Osteoporosis                             2042-0064      1/2010                  1/2010                     1/2010                  Magazine/Journal         Y                    Hindawi Publishing Corp.                 Egypt                 Health
Journal   of   Ovarian Research                         1757-2215     10/2008                 10/2008                                             Magazine/Journal         Y                    BioMed Central Ltd.                      United Kingdom        Health
Journal   of   Paediatrics and Child Health             1034-4810      1/2006                                                                     Magazine/Journal         Y                    Blackwell Publishers Ltd.                United Kingdom        Health care industry
Journal   of   Pain                                     1526-5900      1/2005                                                                     Magazine/Journal         Y                    Elsevier B.V.                            Netherlands           Health care industry
Journal   of   Pain and Symptom Management              0885-3924      7/1995                                                                     Magazine/Journal         Y                    Elsevier B.V.                            Netherlands           Health care industry
Journal   of   Pakistan Association of Dermatologists   1560-9014      9/2010                  9/2010                                             Magazine/Journal         Y                    Asianet-Pakistan                         Pakistan              Health
                                                                                                                                                                                                Centre for Bioethics - Clinical
Journal of Palliative Care                              0825-8597     9/1988                                                                      Magazine/Journal         Y                    Research Institute of Montreal                                 Health
Journal of Pathology                                    0022-3417     2/1990       10/1991                                                        Magazine/Journal         Y                    John Wiley & Sons, Inc.                  United Kingdom        Health
                                                                                                                                                                                                Medknow Publications and Media Pvt.
Journal of Pathology Informatics                                      1/2010                   1/2010                                             Magazine/Journal         Y                    Ltd.                                     India                 Health
Journal of Pediatric Health Care                        0891-5245     1/1995                                                                      Magazine/Journal         Y                    Elsevier B.V.                            Netherlands           Health care industry
Journal of Pediatric Infection                          1307-1068     9/2008                   9/2008                     9/2008                  Magazine/Journal         Y                    Aves Yayincilik                          Turkey                Health
                                                                                                                                                                                                Medknow Publications and Media Pvt.
Journal   of   Pediatric Neurosciences                  1817-1745     1/2006                   1/2006                                             Magazine/Journal         Y                    Ltd.                                     India                 Health
Journal   of   Pediatric Nursing                        0882-5963     2/1995                                                                      Magazine/Journal         Y                    Elsevier B.V.                            Netherlands           Health care industry
Journal   of   Pediatric Oncology Nursing               1043-4542     1/2005                   1/2005        9/2008       1/2005       9/2007     Magazine/Journal         Y                    Sage Publications, Inc.                  United States         Health
Journal   of   Pediatrics                               0022-3476     5/1989                                                                      Magazine/Journal         Y                    Elsevier B.V.                            Netherlands           Health
Journal   of   PeriAnesthesia Nursing                   1089-9472     2/1996                                                                      Magazine/Journal         Y                    Elsevier B.V.                            Netherlands           Health care industry
                                                                                                                                                                                                Lippincott Williams & Wilkins, WK
Journal of Perinatal & Neonatal Nursing                 0893-2190     3/1996                                                                      Magazine/Journal         Y                    Health                                   United States         Health

Journal of Perinatal Medicine                           0300-5577     1/1986                   7/2010                     7/2010                  Magazine/Journal         Y                    Walter de Gruyter GmbH & Co. KG          Germany               Health
Journal of Perinatology                                 0743-8346     3/2001                   3/2001                     5/2007                  Magazine/Journal         Y            365     Nature Publishing Group                  United Kingdom        Health
Journal of Periodontal Research                         0022-3484     2/2006                                                                      Magazine/Journal         Y                    Blackwell Publishers Ltd.                United Kingdom        Health

Journal of Perioperative Practice                       1750-4589      1/2007                  1/2007                     1/2007                  Magazine/Journal         Y                    Association for Perioperative Practice   United Kingdom        Health care industry
Journal of Pharmaceutical Innovation                    1872-5120     10/2007                                                                     Magazine/Journal         Y                    Springer                                 United States         Biotechnology industry
                                                                                                                                                                                                Medknow Publications and Media Pvt.
Journal of Pharmaceutical Negative Results                            1/2010                   1/2010                                             Magazine/Journal         Y                    Ltd.                                     India                 Health
                                                                                                                                                                                                Medknow Publications and Media Pvt.
Journal of Pharmacology and Pharmacotherapeutics        0976-500X     1/2010                   1/2010                                             Magazine/Journal         Y                    Ltd.                                     India                 Health
                                                                                                                                                                                                Medknow Publications and Media Pvt.
Journal of Pharmacy and Bioallied Sciences              0975-7406     1/2009                   1/2009                                             Magazine/Journal         Y                    Ltd.                                     India                 Health
                                                                                                                                                                                                                                                               Pharmaceuticals and cosmetics
Journal of Pharmacy Practice                            0897-1900     2/2001                   2/2005        8/2008       2/2005        6/2007    Magazine/Journal                              Sage Publications, Inc.                  United States         industries

Journal of Phenomenological Psychology                  0047-2662     3/2000                   3/2000                     9/2000                  Magazine/Journal         Y                    Brill Academic Publishers, Inc.          United States         Psychology and mental health
Journal of Physiology                                   0022-3751     5/1997                                                                      Magazine/Journal         Y                    Blackwell Publishers Ltd.                United Kingdom        Health




                                                                                                                                                                                                                                                                 HRC Academic
                                                                                                                                                                                                                                                                        38/62
Journal Name                                             ISSN      Index Start   Index End   Full-text   Full-text End Image Start   Image End       Format         Refereed/Peer-   Embargo             Publisher Name                 Publisher Country   Publication Primary Subject
                                                                                               Start                                                                  Reviewed        (Days)

Journal of Physiotherapy                               1836-9553     3/2010                                                                      Magazine/Journal         Y                    Australian Physiotherapy Association   Australia             Health

Journal of Pineal Research                             0742-3098     1/2006                                                                      Magazine/Journal         Y                    Blackwell Publishers Ltd.           United Kingdom           Psychology and mental health
Journal of Plant Growth Regulation                     0721-7595     9/2002                                                                      Magazine/Journal         Y                    Springer                            United States            Biological sciences
Journal of Plant Research                              0918-9440     3/1999                                                                      Magazine/Journal         Y                    Springer                            United States            Science and technology
                                                                                                                                                                                               Medknow Publications and Media Pvt.                          Ethnic, cultural, racial
Journal of Postgraduate Medicine                       0022-3859     10/2002                 10/2002                    10/2002        7/2004    Magazine/Journal         Y                    Ltd.                                India                    issues/studies
                                                                                                                                                                                               Medknow Publications and Media Pvt.
Journal of Prenatal Diagnosis and Therapy                            1/2010                   1/2010                                             Magazine/Journal         Y                    Ltd.                                India                    Health
Journal of Professional Nursing                        8755-7223     9/1999                                                                      Magazine/Journal         Y                    Elsevier B.V.                       Netherlands              Health care industry
Journal of Prosthetic Dentistry                        0022-3913     1/1995                                                                      Magazine/Journal         Y                    Elsevier B.V.                       Netherlands              Health care industry

Journal of Psychiatric and Mental Health Nursing       1351-0126     2/2006                                                                      Magazine/Journal         Y                    Blackwell Publishers Ltd.              United Kingdom        Psychology and mental health
Journal of Psychiatric Nursing                         1309-3568     9/2010                   9/2010                     9/2010                  Magazine/Journal         Y                    KARE Publishing                        Turkey                Health

Journal of Psychiatry and Neuroscience                 1180-4882     9/2004                   9/2004                    11/2004                  Magazine/Journal         Y                    Canadian Medical Association           Canada                Psychology and mental health
Journal of Psychoactive Drugs                          0279-1072     9/2007                   9/2007                     9/2007                  Magazine/Journal         Y                    Taylor & Francis Ltd.                  United Kingdom        Health

Journal of Psychology                                  0022-3980     1/1987                   1/1993        7/2009       5/1994        7/2009    Magazine/Journal         Y                    Taylor & Francis Ltd.                  United Kingdom        Psychology and mental health

Journal of Psychopharmacology                          0269-8811     1/2005                   1/2005        9/2008       1/2006        7/2008    Magazine/Journal         Y                    Sage Publications, Inc.                United States         Psychology and mental health
Journal of Public Health                               0943-1853     2/2004                                                                      Magazine/Journal         Y                    Springer                               United States         Health
                                                                                                                                                                                               Lippincott Williams & Wilkins, WK
Journal of Public Health Management and Practice       1078-4659     1/2002                                                                      Magazine/Journal         Y                    Health                                 United States         Social sciences
                                                                                                                                                                                               Palgrave Macmillan, a Division of
Journal of Public Health Policy                        0197-5897     7/2007                   7/2007                     7/2007                  Magazine/Journal         Y            365     Macmillan Publishers Ltd.              United Kingdom        Health
Journal of Radiology Nursing                           1546-0843     6/2005                                                                      Magazine/Journal         Y                    Elsevier B.V.                          Netherlands           Health care industry

Journal   of   Rehabilitation                          0022-4154     1/1988                   1/1989                     1/1996                  Magazine/Journal         Y                    National Rehabilitation Association    United States         Health
Journal   of   Rehabilitation Research & Development   0748-7711     1/2006                   1/2006                     1/2006                  Magazine/Journal         Y                    Department of Veterans Affairs         United States         Health
Journal   of   Reproduction and Infertility            1726-7536     3/2010                   3/2010                     3/2010                  Magazine/Journal         Y                    Avicenna Research Institute            Iran                  Health
Journal   of   Respiratory Diseases                    0194-259X     8/1999       10/2008     8/1999       10/2008      10/1999       6/2005     Magazine/Journal         Y                    CMP Medica, LLC                        United States         Health
Journal   of   Robotic Surgery                         1863-2483     3/2007                                                                      Magazine/Journal                              Springer                               United States         Health
Journal   of   Rural Health                            0890-765X     1/2006                                                                      Magazine/Journal         Y                    Blackwell Publishers Ltd.              United Kingdom        Health

Journal of School Health                               0022-4391     1/1987                   1/1989        5/2009       1/1991        5/2009    Magazine/Journal         Y                    American School Health Association     United States         Education

Journal of Sex Research                                0022-4499     2/1989                   1/1997                    11/1999                  Magazine/Journal         Y                    Taylor & Francis Group, LLC            United States         Psychology and mental health
                                                                                                                                                                                               National Association of Teachers of
Journal of Singing                                     1086-7732     1/2007                   1/2007                     1/2007                  Magazine/Journal         Y                    Singing                                United States         Education
Journal of Sleep Research                              0962-1105     3/2006                                                                      Magazine/Journal         Y                    Blackwell Publishers Ltd.              United Kingdom        Health care industry
Journal of Small Animal Practice                       0022-4510     1/2006                                                                      Magazine/Journal         Y                    Blackwell Publishers Ltd.              United Kingdom        Health care industry

Journal of Social and Psychological Sciences           1756-7483     1/2008                   1/2008                     1/2008                  Magazine/Journal         Y                    Oxford Mosaic Publications Limited     United Kingdom        Sociology and social work
Journal of Social Distress and the Homeless            1053-0789     1/1992       10/2002                                                        Magazine/Journal         Y                    Springer                               United States         Sociology and social work

Journal of Social Psychology                           0022-4545     2/1989                   2/1993        6/2009       6/1994        6/2009    Magazine/Journal         Y                    Taylor & Francis Ltd.                  United Kingdom        Psychology and mental health
Journal of Solid Tumors                                1925-4067     8/2011                   8/2011                     8/2011                  Magazine/Journal         Y                    Sciedu Press                           Canada                Health
                                                                                                                                                                                               American Speech-Language-Hearing
Journal of Speech and Hearing Research                 0022-4685     2/1991       12/1996                                                        Magazine/Journal         Y                    Association                            United States         Health
                                                                                                                                                                                               American Speech-Language-Hearing
Journal of Speech, Language, and Hearing Research      1092-4388     2/1997                   4/2000                                             Magazine/Journal         Y                    Association                            United States         Health
Journal of Speech-Language Pathology and Applied
Behavior Analysis                                      1932-4731      1/2006                  1/2006                     1/2006                  Magazine/Journal                              Behavior Analyst Online                United States         Psychology and mental health
Journal of Sport Rehabilitation                        1056-6716     11/2001                                                                     Magazine/Journal         Y                    Human Kinetics Publishers, Inc.        United States         Health
Journal of Sports Sciences                             0264-0414      1/2000                  1/2000       12/2006       7/2000       12/2006    Magazine/Journal         Y                    Taylor & Francis Ltd.                  United Kingdom        Health
                                                                                                                                                                                               National Strength and Conditioning
Journal of Strength and Conditioning Research          1064-8011     2/2002                                                                      Magazine/Journal         Y                    Association                            United States         Health
Journal of Stroke and Cerebrovascular Diseases         1052-3057     9/1996                                                                      Magazine/Journal         Y                    Elsevier B.V.                          Netherlands           Health care industry

Journal of Studies on Alcohol                          0096-882X     11/1991      11/2006     7/1996       11/2006                               Magazine/Journal         Y                    Alcohol Research Documentation, Inc. United States           Health

Journal of Studies on Alcohol and Drugs                1937-1888     1/2007                   1/2007        7/2011       1/2007        7/2011    Magazine/Journal         Y                    Alcohol Research Documentation, Inc. United States           Health

Journal of Studies on Alcohol Supplement               0363-468X     3/2002                   3/2002        7/2005       3/2002        7/2005    Magazine/Journal         Y                    Alcohol Research Documentation, Inc. United States           Health
Journal of Surgical Case Reports                       2042-8812     3/2010                   3/2010                     8/2011                  Magazine/Journal         Y                    JSCR Publishing Limited              United Kingdom          Health




                                                                                                                                                                                                                                                              HRC Academic
                                                                                                                                                                                                                                                                     39/62
Journal Name                                                        ISSN      Index Start   Index End   Full-text   Full-text End Image Start   Image End       Format         Refereed/Peer-   Embargo             Publisher Name                  Publisher Country   Publication Primary Subject
                                                                                                          Start                                                                  Reviewed        (Days)
                                                                                                                                                                                                          Medknow Publications and Media Pvt.
Journal of Surgical Technique and Case Report                     2006-8808     1/2009                   1/2009                                             Magazine/Journal         Y                    Ltd.                                    India                 Health
Journal of Systems Chemistry                                      1759-2208     8/2010                   8/2010                                             Magazine/Journal         Y                    BioMed Central Ltd.                     United Kingdom        Chemistry
Journal of the American Academy of Audiology                      1050-0545     1/2004                   1/2004                     1/2004                  Magazine/Journal         Y                    American Academy of Audiology           United States         Health
Journal of the American Academy of Child and Adolescent                                                                                                                                                   Lippincott Williams & Wilkins, WK
Psychiatry                                                        0890-8567     1/1989                                                                      Magazine/Journal         Y                    Health                                  United States         Psychology and mental health
Journal of the American Academy of Dermatology                    0190-9622     6/1989                                                                      Magazine/Journal         Y                    Elsevier B.V.                           Netherlands           Health

Journal of the American Academy of Nurse Practitioners            1041-2972     12/2006                                                                     Magazine/Journal         Y                    Blackwell Publishers Ltd.               United Kingdom        Health care industry
                                                                                                                                                                                                          American Academy of Orthopaedic
Journal of the American Academy of Orthopaedic Surgeons           1067-151X     12/2010                 12/2010                    12/2010                  Magazine/Journal         Y                    Surgeons                                United States         Health
Journal of the American College of Cardiology                     0735-1097      1/1995                                                                     Magazine/Journal         Y                    Elsevier B.V.                           Netherlands           Health
Journal of the American College of Radiology                      1546-1440      1/2004                                                                     Magazine/Journal                              Elsevier B.V.                           Netherlands           Health
                                                                                                                                                                                                          American Dental Association
Journal of the American Dental Association                        0002-8177     6/1989                                                                      Magazine/Journal         Y                    Publishers Inc.                                               Health
Journal of the American Dietetic Association                      0002-8223     1/1988                   1/1989        8/2003       7/1994       8/2003     Magazine/Journal         Y                    Elsevier Science Publishers                                   Food/cooking/nutrition
Journal of the American Geriatrics Society                        0002-8614     1/1998                                                                      Magazine/Journal         Y                    Blackwell Publishers Ltd.               United Kingdom        Seniors

Journal of the American Medical Directors Association             1525-8610     1/2001                                                                      Magazine/Journal         Y                    Elsevier B.V.                           Netherlands           Health care industry

Journal of the American Medical Informatics Association           1067-5027     9/2004                                                                      Magazine/Journal         Y                    Elsevier B.V.                           Netherlands           Health care industry
Journal of the American Psychiatric Nurses Association
(JAPNA)                                                           1078-3903     2/2005                   2/2005        8/2008       2/2006       10/2007    Magazine/Journal         Y                    Sage Publications, Inc.                 United States         Health

Journal of the American Society for Information Science           0002-8231     1/1981       12/2000                                                        Magazine/Journal         Y                    John Wiley & Sons, Inc.                 United Kingdom        Library and information science
Journal of the American Society for Information Science
and Technology                                                    1532-2882     1/2001                                                                      Magazine/Journal         Y                    John Wiley & Sons, Inc.                 United Kingdom        Library and information science
Journal of the American Society of Echocardiography               0894-7317     1/1995                                                                      Magazine/Journal         Y                    Elsevier B.V.                           Netherlands           Health care industry

Journal of the Association for Laboratory Automation              1535-5535     12/2004                                                                     Magazine/Journal         Y                    Elsevier B.V.                           Netherlands           High technology industry
Journal of the Association of Nurses in AIDS Care                 1055-3290      1/1996                  1/1996       11/1998       1/1996       11/1997    Magazine/Journal         Y                    Elsevier Science Publishers                                   Health care industry
                                                                                                                                                                                                          Australian Traditional-Medicine
Journal of the       Australian Traditional-Medicine Society      1326-3390     9/2006                   9/2006                    12/2006                  Magazine/Journal         Y                    Society                                 Australia             Health
Journal of the       Canadian Chiropractic Association            0008-3194     1/2006                   1/2006                    1/2006                   Magazine/Journal         Y                    Canadian Chiropractic Association       Canada                Health
Journal of the       European Academy of Dermatology and
Venereology                                                       0926-9959     1/2006                                                                      Magazine/Journal         Y                    Blackwell Publishers Ltd.               United Kingdom        Health
Journal of the       International AIDS Society                   1758-2652     7/2004                   7/2004                                             Magazine/Journal         Y                    BioMed Central Ltd.                     United Kingdom        Health
Journal of the       International Association of Physicians in
AIDS Care                                                         1545-1097     3/2005                   3/2005        9/2008       3/2005        9/2007    Magazine/Journal                              Sage Publications, Inc.             United States             Health
Journal of the       International Clinical Dental Research                                                                                                                                               Medknow Publications and Media Pvt.
Organization                                                      2231-0754     1/2010                   1/2010                                             Magazine/Journal         Y                    Ltd.                                India                     Health

Journal of the International Society of Sports Nutrition          1550-2783     5/2004                   5/2004                                             Magazine/Journal         Y                    BioMed Central Ltd.                     United Kingdom        Health
Journal of the Louisiana State Medical Society                    0024-6921     1/2010                   1/2010                     1/2010                  Magazine/Journal         Y                    Louisiana State Medical Society         United States         Health

Journal of the Medical Library Association                        1536-5050     1/2008                   1/2008                     1/2008                  Magazine/Journal         Y                    Medical Library Association             United States         Library and information science
Journal of the National Cancer Institute                          0027-8874     1/1992                                                                      Magazine/Journal         Y                    U.S. National Cancer Institute          United States         Health

Journal of the National Society of Allied Health                  1945-3361     1/2009                   1/2009                     1/2009                  Magazine/Journal         Y                    The National Society of Allied Health   United States         Health

Journal   of   the   New York State Nurses Association            0028-7644     3/2006                   3/2006                     3/2006                  Magazine/Journal         Y                    New York State Nurses Association       United States         Health
Journal   of   the   Nigeria Society of Physiotherapy             0331-3735     1/2005                   1/2005                                             Magazine/Journal         Y                    Nigeria Society of Physiotherapy        Nigeria               Health
Journal   of   the   Peripheral Nervous System                    1085-9489     3/2006                                                                      Magazine/Journal         Y                    Blackwell Publishers Ltd.               United Kingdom        Health
Journal   of   the   Society of Pediatric Nurses                  1088-145X     4/1996       10/2001     4/1996       10/2001       4/1996       10/2001    Magazine/Journal         Y                    Blackwell Publishers Ltd.               United Kingdom        Health

Journal   of   the Turkish German Gynecological Association       1309-0399     12/2009                 12/2009                    12/2009                  Magazine/Journal         Y                    Aves Yayincilik                         Turkey                Health
Journal   of   Theory Construction and Testing                    1086-4431      3/2002      9/2003      3/2002        9/2003      12/2002       9/2003     Magazine/Journal         Y                    Tucker Publications, Inc.               United States         Health
Journal   of   Thoracic and Cardiovascular Surgery                0022-5223      1/1995                                                                     Magazine/Journal         Y                    Elsevier B.V.                           Netherlands           Health
Journal   of   Thrombosis and Haemostasis                         1538-7933      1/2006                                                                     Magazine/Journal         Y                    Blackwell Publishers Ltd.               United Kingdom        Health care industry
                                                                                                                                                                                                                                                                        Pharmaceuticals and cosmetics
Journal of Toxicology: Clinical Toxicology                        0731-3810      3/1992      12/2004     3/1992       12/2004       6/1999       12/2004    Magazine/Journal         Y                    Taylor & Francis Ltd.                   United Kingdom        industries
Journal of Translational Medicine                                 1479-5876      1/2007                  1/2007                                             Magazine/Journal         Y                    BioMed Central Ltd.                     United Kingdom        Science and technology
Journal of Trauma Management & Outcomes                           1752-2897     11/2007                 11/2007                                             Magazine/Journal         Y                    BioMed Central Ltd.                     United Kingdom        Health
                                                                                                                                                                                                          Lippincott Williams & Wilkins, WK
Journal of Trauma Nursing                                         1078-7496     1/1996                                                                      Magazine/Journal         Y                    Health                                  United States         Health care industry
Journal of Travel Medicine                                        1195-1982     1/2006                                                                      Magazine/Journal         Y                    Blackwell Publishers Ltd.               United Kingdom        Health




                                                                                                                                                                                                                                                                          HRC Academic
                                                                                                                                                                                                                                                                                 40/62
Journal Name                                                ISSN      Index Start   Index End   Full-text   Full-text End Image Start   Image End       Format         Refereed/Peer-   Embargo            Publisher Name                 Publisher Country   Publication Primary Subject
                                                                                                  Start                                                                  Reviewed        (Days)
                                                                                                                                                                                                                                                              Engineering and manufacturing
Journal of Validation Technology                          1079-6630      8/2005                  8/2005                    11/2005                  Magazine/Journal         Y                    Advanstar Communications, Inc.        United States         industries
Journal of Vascular Nursing                               1062-0303      3/1995                                                                     Magazine/Journal         Y                    Elsevier B.V.                         Netherlands           Health care industry
Journal of Vascular Surgery                               0741-5214     10/1989                                                                     Magazine/Journal         Y                    Elsevier B.V.                         Netherlands           Health

Journal   of   Vector Borne Diseases                      0972-9062     6/2007                   6/2007                     6/2007                  Magazine/Journal         Y                    Indian Council of Medical Research    India                 Health
Journal   of   Vegetation Science                         1100-9233     1/2007       12/2008     1/2007       12/2008       1/2007       12/2008    Magazine/Journal         Y                    Opulus Press AB                       Sweden                Biological sciences
Journal   of   Veterinary Medicine Series A               0931-184X     5/2000       12/2007                                                        Magazine/Journal         Y                    Blackwell Publishers Ltd.             United Kingdom        Health care industry
Journal   of   Veterinary Medicine Series B               0931-1793     2/2006       12/2006                                                        Magazine/Journal         Y                    Blackwell Publishers Ltd.             United Kingdom        Health care industry

Journal   of   Veterinary Pharmacology and Therapeutics   0140-7783      4/2007                                                                     Magazine/Journal         Y                    Blackwell Publishers Ltd.             United   Kingdom      Health
Journal   of   Viral Hepatitis                            1352-0504      2/2006                                                                     Magazine/Journal         Y                    Blackwell Publishers Ltd.             United   Kingdom      Health
Journal   of   Visual Impairment & Blindness              0145-482X     11/2006                 11/2006                    11/2006                  Magazine/Journal         Y                    American Foundation for the Blind     United   States       Health
Journal   of   Voice                                      0892-1997      6/2002                  6/2002        7/2007       9/2002       7/2007     Magazine/Journal         Y                    Elsevier, Inc.                        United   States       Health
Journal   of   Women & Aging                              0895-2841      1/1992                                                                     Magazine/Journal         Y                    Routledge                             United   Kingdom      Seniors
                                                                                                                                                                                                  Medknow Publications and Media Pvt.
Journal of Young Pharmacists                                             1/2009                  1/2009                                             Magazine/Journal         Y                    Ltd.                                  India                 Science and technology
Journal of Youth and Adolescence                          0047-2891      2/1989                                                                     Magazine/Journal         Y                    Springer                              United   States       Family and marriage
Journal Watch Cardiology                                                 1/1995                  1/1995                                             Magazine/Journal         Y                    Massachusetts Medical Society         United   States       Health
Journal Watch Dermatology                                                3/1993                  3/1993                                             Magazine/Journal         Y                    Massachusetts Medical Society         United   States       Health
Journal Watch Emergency Medicine                                         9/1997                  9/1997                                             Magazine/Journal         Y                    Massachusetts Medical Society         United   States       Health
Journal Watch Gastroenterology                                           2/2000                  2/2000                                             Magazine/Journal         Y                    Massachusetts Medical Society         United   States       Health
Journal Watch General Medicine                                           7/1987                  7/1987                                             Magazine/Journal         Y                    Massachusetts Medical Society         United   States       Health
Journal Watch HIV/AIDS Clinical Care                                     1/1995                  1/1995                                             Magazine/Journal         Y                    Massachusetts Medical Society         United   States       Health
Journal Watch Hospital Medicine                                         12/2007                 12/2007                                             Magazine/Journal         Y                    Massachusetts Medical Society         United   States       Health
Journal Watch Infectious Diseases                                        2/1998                  2/1998                                             Magazine/Journal         Y                    Massachusetts Medical Society         United   States       Health
Journal Watch Neurology                                                  5/1999                  5/1999                                             Magazine/Journal         Y                    Massachusetts Medical Society         United   States       Health
Journal Watch Oncology & Hematology                                     10/2006                 10/2006                                             Magazine/Journal         Y                    Massachusetts Medical Society         United   States       Health
Journal Watch Pediatrics & Adolescent Medicine                           2/2002                  2/2002                                             Magazine/Journal         Y                    Massachusetts Medical Society         United   States       Health
Journal Watch Psychiatry                                                 2/1995                  2/1995                                             Magazine/Journal         Y                    Massachusetts Medical Society         United   States       Health
Journal Watch Women's Health                                             4/1996                  4/1996                                             Magazine/Journal         Y                    Massachusetts Medical Society         United   States       Health
Journals of Gerontology                                   0022-1422      5/1989      11/1994                                                        Magazine/Journal         Y                    Gerontological Society of America     United   States       Health
Journals of Gerontology, Series A                         1079-5006      1/1995                                                                     Magazine/Journal         Y                    Gerontological Society of America     United   States       Seniors
Journals of Gerontology, Series B                         1079-5014      1/1995                                                                     Magazine/Journal         Y                    Gerontological Society of America     United   States       Seniors

Kai Tiaki: Nursing New Zealand                            1173-2032     2/2003                   2/2003                     2/2003                  Magazine/Journal         Y                    New Zealand Nurses' Organisation      New Zealand           Health care industry

Key Words                                                 1064-1211     10/2006                 10/2006       10/2008      10/2006       10/2008    Magazine/Journal                              American Society of Indexers          United States         Library and information science
Kinetoplastid Biology and Disease                         1475-9292     12/2006      8/2007     12/2006        8/2007                               Magazine/Journal         Y                    BioMed Central Ltd.                   United Kingdom        Biological sciences

Knowledge, Attitudes, and Behavior Related To HIV/AIDS
Among Transport SectorWorkers: A Case Study of Georgia                  6/2008                   6/2008                                                 Report                                    The World Bank                        United States         Health

Krames Consults: Arthritis Consult                                      2/2010                   2/2010                     2/2010                     Pamphlet                                   Harvard Health Publications Group     United States         Health

Krames Consults: Asthma Consult                                         2/2010                   2/2010                     2/2010                     Pamphlet                                   Harvard Health Publications Group     United States         Health

Krames Consults: Chronic Kidney Disease Consult                         2/2010                   2/2010                     2/2010                     Pamphlet                                   Harvard Health Publications Group     United States         Health
Krames Consults: Chronic Obstruction Pulmonary Disease
Consult                                                                 2/2010                   2/2010                     2/2010                     Pamphlet                                   Harvard Health Publications Group     United States         Health

Krames Consults: Coronary Artery Disease Consult                        2/2010                   2/2010                     2/2010                     Pamphlet                                   Harvard Health Publications Group     United States         Health

Krames Consults: Heart Failure Consult                                  2/2010                   2/2010                     2/2010                     Pamphlet                                   Harvard Health Publications Group     United States         Health

Krames Consults: Maternal Health Consult                                2/2010                   2/2010                     2/2010                     Pamphlet                                   Harvard Health Publications Group     United States         Health

Krames Consults: Stroke Consult                                         2/2010                   2/2010                     2/2010                     Pamphlet                                   Harvard Health Publications Group     United States         Health

Krames Consults: Type 1 Diabetes Consult                                2/2010                   2/2010                     2/2010                     Pamphlet                                   Harvard Health Publications Group     United States         Health

Krames Consults: Type 2 Diabetes Consult                                2/2010                   2/2010                     2/2010                     Pamphlet                                   Harvard Health Publications Group     United States         Health

Krames Signs and Symptoms FastGuides: Abdominal Pain                    12/2009                 12/2009                                                Pamphlet                                   Harvard Health Publications Group     United States         Health

Krames Signs and Symptoms FastGuides: Allergies                         12/2009                 12/2009                                                Pamphlet                                   Harvard Health Publications Group     United States         Health




                                                                                                                                                                                                                                                                HRC Academic
                                                                                                                                                                                                                                                                       41/62
Journal Name                                               ISSN      Index Start   Index End   Full-text   Full-text End Image Start   Image End       Format         Refereed/Peer-   Embargo            Publisher Name                 Publisher Country   Publication Primary Subject
                                                                                                 Start                                                                  Reviewed        (Days)

Krames Signs and Symptoms FastGuides: Asthma in Adults                 12/2009                 12/2009                                                Pamphlet                                   Harvard Health Publications Group     United States         Health
Krames Signs and Symptoms FastGuides: Asthma in
Children                                                               12/2009                 12/2009                                                Pamphlet                                   Harvard Health Publications Group     United States         Health

Krames Signs and Symptoms FastGuides: Back Pain                        12/2009                 12/2009                                                Pamphlet                                   Harvard Health Publications Group     United States         Health

Krames Signs and Symptoms FastGuides: Breast Changes                   12/2009                 12/2009                                                Pamphlet                                   Harvard Health Publications Group     United States         Health

Krames Signs and Symptoms FastGuides: Chest Pain                       12/2009                 12/2009                                                Pamphlet                                   Harvard Health Publications Group     United States         Health

Krames Signs and Symptoms FastGuides: Chronic Pain                     12/2009                 12/2009                                                Pamphlet                                   Harvard Health Publications Group     United States         Health

Krames Signs and Symptoms FastGuides: COPD                             12/2009                 12/2009                                                Pamphlet                                   Harvard Health Publications Group     United States         Health

Krames Signs and Symptoms FastGuides: Depression                       12/2009                 12/2009                                                Pamphlet                                   Harvard Health Publications Group     United States         Health

Krames Signs and Symptoms FastGuides: Diabetes                         12/2009                 12/2009                                                Pamphlet                                   Harvard Health Publications Group     United States         Health
Krames Signs and Symptoms FastGuides: Hand and Wrist
Pain                                                                   12/2009                 12/2009                                                Pamphlet                                   Harvard Health Publications Group     United States         Health

Krames Signs and Symptoms FastGuides: Head Injuries                    12/2009                 12/2009                                                Pamphlet                                   Harvard Health Publications Group     United States         Health

Krames Signs and Symptoms FastGuides: Headache                         12/2009                 12/2009                                                Pamphlet                                   Harvard Health Publications Group     United States         Health

Krames Signs and Symptoms FastGuides: Knee Injuries                    12/2009                 12/2009                                                Pamphlet                                   Harvard Health Publications Group     United States         Health

Krames Signs and Symptoms FastGuides: Knee Pain                        12/2009                 12/2009                                                Pamphlet                                   Harvard Health Publications Group     United States         Health

Krames Signs and Symptoms FastGuides: Neck Pain                        12/2009                 12/2009                                                Pamphlet                                   Harvard Health Publications Group     United States         Health

Krames Signs and Symptoms FastGuides: Skin Disorders                   12/2009                 12/2009                                                Pamphlet                                   Harvard Health Publications Group     United States         Health

Krames Signs and Symptoms FastGuides: Sleep Disorders                  12/2009                 12/2009                                                Pamphlet                                   Harvard Health Publications Group     United States         Health

Krames Signs and Symptoms FastGuides: Stroke                           12/2009                 12/2009                                                Pamphlet                                   Harvard Health Publications Group     United States         Health
KUST Medical Journal                                     2072-7763     12/2009                 12/2009                                             Magazine/Journal         Y                    Asianet-Pakistan                      Pakistan              Health
Lab Animal                                               0093-7355      1/2003                  1/2003                     5/2007                  Magazine/Journal         Y            365     Nature Publishing Group               United Kingdom        Health

LaboratoriumsMedizin / Journal of Laboratory Medicine    0342-3026     1/1984                   7/2010                     7/2010                  Magazine/Journal         Y                    Walter de Gruyter GmbH & Co. KG       Germany               Health

Ladies Home Journal                                      0023-7124     1/1980                                                                      Magazine/Journal                              Ladies Home Journal                   United States         Women's issues/gender studies

Lamp                                                     0047-3936     12/2006                 12/2006                    12/2006                  Magazine/Journal                              New South Wales Nurses Association    Australia             Health care industry
Lancet                                                   0140-6736      1/1988                                                                     Magazine/Journal         Y                    Elsevier B.V.                         Netherlands
Lancet Oncology                                          1470-2045      5/2000                                                                     Magazine/Journal         Y                    Elsevier B.V.                         Netherlands           Health care industry
Langenbeck's Archives of Surgery                         1435-2443      2/2006                                                                     Magazine/Journal         Y                    Springer                              United States         Health care industry
Language and Speech                                      0023-8309      9/2001                  9/2001                     9/2001                  Magazine/Journal         Y                    Sage Publications, Inc.               United States         Languages and linguistics
                                                                                                                                                                                                 American Speech-Language-Hearing
Language, Speech, & Hearing Services in Schools          0161-1461     1/2006                   1/2006                     1/2006                  Magazine/Journal         Y                    Association                           United States         Education
                                                                                                                                                                                                 Lippincott Williams & Wilkins, WK
Laryngoscope                                             0023-852X     3/1989       6/1989                                                         Magazine/Journal         Y                    Health                                United States         Health
                                                                                                                                                                                                                                                             Metals, metalworking and
Laserdisk Professional                                   0896-4149     1/1989       3/1990      1/1989        3/1990                               Magazine/Journal                              Information Today, Inc.               United States         machinery industries
Lasers in Medical Science                                0268-8921     1/1986                                                                      Magazine/Journal         Y                    Springer                              United States         Physics
                                                                                                                                                                                                 American Society of Law, Medicine &
Law, Medicine & Health Care                              0277-8459     2/1982       12/1992                                                        Magazine/Journal         Y                    Ethics                                United States         Law
                                                                                                                                                                                                 Royal College of Nursing Publishing
Learning Disability Practice                             1465-8712     4/2003                   4/2003                     5/2003                  Magazine/Journal         Y            90      Company (RCN)                         United Kingdom        Education
Learning in Health and Social Care                       1473-6853     3/2006                                                                      Magazine/Journal         Y                    Blackwell Publishers Ltd.             United Kingdom        Health care industry
                                                                                                                                                                                                 Legal Eagle Eye Newsletter for the
Legal Eagle Eye Newsletter for the Nursing Profession    1085-4924     2/2006       7/2009      2/2006        7/2009       2/2006        7/2009      Newsletter                                  Nursing Profession                    United States         Health
Legal Medical Quarterly                                  0703-1211     1/1980       1/1986                                                         Magazine/Journal                              Jonah Publications Ltd. (USA)                               Law
Legal Medicine                                           0197-9981     1/1985       1/1993                                                         Magazine/Journal                              Butterworths Legal Publishers                               Law
                                                                                                                                                                                                 Medical-Legal Consulting Institute,
Legal Nurse Consulting Ezine                             1533-9564     11/2006      12/2008    11/2006       12/2008                               Magazine/Journal                              Inc.                                  United States         Law
Legislative Network for Nurses                           8756-0054      1/2004       6/2006     1/2004        6/2006                               Magazine/Journal                              Eli Research, Inc.                    United States         Law




                                                                                                                                                                                                                                                               HRC Academic
                                                                                                                                                                                                                                                                      42/62
Journal Name                                                 ISSN      Index Start   Index End   Full-text   Full-text End Image Start   Image End       Format         Refereed/Peer-   Embargo             Publisher Name               Publisher Country   Publication Primary Subject
                                                                                                   Start                                                                  Reviewed        (Days)
Leprosy Review                                             0305-7518     9/2006                   9/2006                     9/2006                  Magazine/Journal          Y                   British Leprosy Relief Association   United   Kingdom      Health
Less Invasive AVM Treatment                                              7/2010                   7/2010                                                  Video                                    Detroit Medical Center               United   States       Health
Less Invasive Knee Replacement                                           7/2008                   7/2008                                                  Video                                    Detroit Medical Center               United   States       Health
Let's Live                                                 0024-1288     1/1988       1/2006                                                         Magazine/Journal                              Hilltopper Publications, Inc.        United   States       Health
Letters in Applied Microbiology                            0266-8254     1/2006                                                                      Magazine/Journal         Y                    Blackwell Publishers Ltd.            United   Kingdom      Biological sciences
Leukemia                                                   0887-6924     1/2000                   1/2000                     2/2002                  Magazine/Journal         Y            365     Nature Publishing Group              United   Kingdom      Health

Library Hi Tech                                            0737-8831     1/1983                                                                      Magazine/Journal         Y                    Pierian Press Inc.                                         Library and information science

Library Journal                                            0363-0277     1/1980                   1/1997                                             Magazine/Journal                              Library Journals, LLC                United States         Library and information science

Library Software Review                                    0742-5759      5/1988      12/1998     5/1988       12/1998                               Magazine/Journal                              Sage Publications, Inc.              United   States       Library and information science
Life Extension                                             1524-198X      2/2007                  2/2007                     2/2007                  Magazine/Journal                              LE Publications, Inc.                United   States       Health
Life Science Weekly                                        1552-2466      1/2003                  1/2003                                               Newsletter                                  NewsRX                               United   States       Biological sciences
Life Sciences and Medicine Research                        1948-7886      1/2010                  1/2010                     1/2010                  Magazine/Journal                              HATASO Enterprises, LLC              United   States
LILIPOH                                                                   6/2007                  6/2007                     6/2007                  Magazine/Journal                              Lilipoh Publishing, Inc.             United   States       Health
Link-Up                                                    0739-988X      5/1988      7/2002      5/1988        7/2002       1/2000       7/2002     Magazine/Journal                              Information Today, Inc.              United   States       Computers
Lipids                                                     0024-4201      1/1997                                                                     Magazine/Journal         Y                    Springer                             United   States       Biological sciences
Lipids in Health and Disease                               1476-511X     12/2006                 12/2006                                             Magazine/Journal         Y                    BioMed Central Ltd.                  United   Kingdom      Biological sciences
Liver International                                        1478-3223      2/2006                                                                     Magazine/Journal         Y                    Blackwell Publishers Ltd.            United   Kingdom      Health

LivingRight: Your Health and Wellness Awareness Bulletin                 5/2010                   5/2010                     5/2010                  Magazine/Journal                              J. J. Keller & Associates, Inc.      United States         Health
Locum Life                                                 1934-5429     9/2006       12/2010     9/2006       12/2010      10/2006       12/2010    Magazine/Journal                              Advanstar Communications, Inc.       United States         Health
Long-Term Care Interface                                   1535-203X     8/2006        1/2007     8/2006        1/2007       8/2006        1/2007    Magazine/Journal         Y                    Medicom International, Inc.          United States         Health care industry
Long-Term Living                                           1940-9958     3/2008                   3/2008                     3/2008                  Magazine/Journal                              Vendome Group LLC                    United States         Health care industry

Los Angeles Times                                          0458-3035     1/1982       4/2003                                                           Newspaper                                   Los Angeles Times                   United States          News, opinion and commentary
Lung                                                       0341-2040     1/1997                                                                      Magazine/Journal         Y                    Springer                            United States          Health
                                                                                                                                                                                                   Medknow Publications and Media Pvt.
Lung India                                                 0970-2113     1/2009                   1/2009                                             Magazine/Journal         Y                    Ltd.                                India                  Health
M.D. Computing                                             0724-6811     1/1984       1/2001                                                         Magazine/Journal         Y                    Springer-Verlag New York Inc.                              Health care industry
Macroeconomic Effects of AIDS                                            7/1993                   7/1993                                                 Report                                    The World Bank                      United States          Health
Madagascar - Multisectoral STI/HIV/AIDS Prevention
Project                                                                  11/2001                 11/2001                                                 Report                                    The World Bank                       United States         Health
                                                                                                                                                                                                                                                              Ethnic, cultural, racial
Mainstream                                                 0278-8225      1/1988      12/1994                                                          Newsletter                                  Exploding Myths, Inc.                United States         issues/studies
Malaria Journal                                            1475-2875     12/2006                 12/2006                                             Magazine/Journal         Y                    BioMed Central Ltd.                  United Kingdom        Health
Malaria Weekly (Atlanta, GA)                               1553-7145      1/2003                  1/2003                                               Newsletter                                  NewsRX                               United States         Health
Mammalian Genome                                           0938-8990      2/2006                                                                     Magazine/Journal         Y                    Springer                             United States         Biological sciences
Managed Care Emergency Department                          1092-0323      1/1997      12/1998     1/1997       12/1998                                 Newsletter                                  AHC Media LLC                        United States         Health care industry
Managed Care Interface                                     1096-5645     11/2006      11/2006    11/2006       11/2006      11/2006       11/2006    Magazine/Journal                              Medicom International, Inc.          United States         Health care industry
Managed Care Outlook                                       0896-6567      1/2006                  1/2006                     1/2006                  Magazine/Journal                              Aspen Publishers, Inc.               United States         Health care industry
Managed Care Quarterly                                     1064-5454      3/2006       6/2006     3/2006        6/2006       3/2006       6/2006     Magazine/Journal                              Aspen Publishers, Inc.               United States         Health care industry
Managed Care Strategies                                    1082-5312      1/1997      12/1998     1/1997       12/1998                                 Newsletter                                  AHC Media LLC                        United States         Health care industry
Managed Care Weekly                                        1543-6365      2/2003      12/2004     2/2003       12/2004                               Magazine/Journal                              NewsRX                               United States         Health care industry
Managed Healthcare                                         1060-1392      8/2000      12/2000     8/2000       12/2000                               Magazine/Journal                              Advanstar Communications, Inc.       United States         Health care industry
Managed Healthcare Executive                               1533-9300      1/2001                  1/2001                     2/2002       6/2004     Magazine/Journal                              Advanstar Communications, Inc.       United States         Health care industry
Managedhealthcare.Info                                     1538-9138      8/2002      1/2003      8/2002        1/2003                               Magazine/Journal                              NewsRX                               United States         Health care industry
Manual Therapy                                             1356-689X      6/1996                                                                     Magazine/Journal         Y                    Elsevier B.V.                        Netherlands           Health care industry
Marine Biotechnology                                       1436-2228      4/2005                                                                     Magazine/Journal         Y                    Springer                             United States         Biotechnology industry
                                                                                                                                                                                                                                                              Advertising, marketing and
Marketing Health Services                                  1094-1304      3/1997                                                                     Magazine/Journal                              American Marketing Association       United States         public relations
Maryland Nurse                                             0047-6080     11/2007                 11/2007                    11/2007                  Magazine/Journal                              Maryland Nurses Association          United States         Health
                                                                                                                                                                                                   American Massage Therapy
Massage Therapy Journal                                    0895-0814      6/2000                  1/2006                     1/2006                  Magazine/Journal         Y                    Association                          United   States       Health
Massage Today                                              1531-8079      9/2007                  9/2007        8/2010       9/2007       8/2010     Magazine/Journal                              MPA Media                            United   States       Health
Maternal and Child Health Journal                          1092-7875      3/1997                                                                     Magazine/Journal         Y                    Springer                             United   States       Health care industry
Mature Health                                              1045-022X     10/1989      4/1990     10/1989        4/1990                               Magazine/Journal                              Haymarket Group Ltd.                 United   States       Health
                                                                                                                                                                                                   Mayo Foundation for Medical
Mayo Clinic Health Letter                                  0741-6245     1/1988                                                                         Newsletter                                 Education and Research               United States         Health
                                                                                                                                                                                                   Mayo Foundation for Medical
Mayo Clinic Nutrition Letter                               1044-7881     4/1988       12/1990                                                          Newsletter                                  Education and Research               United States         Food/cooking/nutrition
Mayo Clinic Proceedings                                    0025-6196     3/2007                   3/2007                     3/2007                  Magazine/Journal         Y             7      Dowden Health Media, Inc.            United States         Health
                                                                                                                                                                                                                                                              Arts and entertainment
McCall's                                                   0024-8908     1/1980       3/2001                                                         Magazine/Journal                              Gruner & Jahr USA Publishing         United States         industries
McKnight's Long-Term Care News                             1048-3314     3/1999                   3/1999                    10/1999                  Magazine/Journal                              Haymarket Media, Inc.                United States         Health care industry




                                                                                                                                                                                                                                                                HRC Academic
                                                                                                                                                                                                                                                                       43/62
Journal Name                                             ISSN      Index Start   Index End   Full-text   Full-text End Image Start   Image End       Format         Refereed/Peer-   Embargo             Publisher Name                   Publisher Country   Publication Primary Subject
                                                                                               Start                                                                  Reviewed        (Days)

MDA Newsmagazine                                       8750-2321     3/1988       12/1991                                                        Magazine/Journal                              Muscular Dystrophy Association, Inc.     United States         Health

MDA Reports                                            1061-4370     3/1992       12/1992                                                        Magazine/Journal                              Muscular Dystrophy Association, Inc.     United States         Social sciences
Measurement and Evaluation in Counseling and
Development                                            0748-1756     4/2009                                                                      Magazine/Journal         Y                    Sage Publications, Inc.                  United States         Education

Measurement in Physical Education & Exercise Science   1091-367X      3/2007                  3/2007                     3/2007                  Magazine/Journal         Y                    Taylor & Francis Ltd.               United Kingdom             Education
Mediators of Inflammation                              0962-9351      1/2005                  1/2005                     1/2005                  Magazine/Journal         Y                    Hindawi Publishing Corp.            Egypt                      Biological sciences
Medical & Biological Engineering & Computing           0140-0118      1/1983                                                                     Magazine/Journal         Y                    Springer                            United States              Health
Medical Acupuncture                                    1933-6586      3/2007      9/2011      3/2007        9/2011       3/2007       9/2011     Magazine/Journal         Y                    Mary Ann Liebert, Inc.              United States              Health
Medical and Health Science Journal                     1804-1884      1/2010                  1/2010                     1/2010                  Magazine/Journal         Y                    Prague Development Center           Czech Republic             Health
Medical and Veterinary Entomology                      0269-283X      3/2006                                                                     Magazine/Journal         Y                    Blackwell Publishers Ltd.           United Kingdom             Biological sciences
Medical Anthropology Quarterly                         0745-5194      3/1999                                                                     Magazine/Journal         Y                    American Anthropological Assn.      United States              Health
Medical Benefits                                       0743-8079      2/2002                  2/2002                     3/2002                    Newsletter                                  Aspen Publishers, Inc.              United States              Insurance
Medical Bulletin of Haseki                             1302-0072      3/2010                  3/2010                     3/2010                  Magazine/Journal         Y                    Galenos Yayinevi Tic. Ltd.          Turkey                     Health
Medical Channel                                                       9/2010                  9/2010                                             Magazine/Journal                              Asianet-Pakistan                    Pakistan                   Health
Medical Decision Making                                0272-989X      1/2005                  1/2005        9/2008       1/2005       9/2007     Magazine/Journal         Y                    Sage Publications, Inc.             United States              Health
Medical Device & Diagnostic Industry                   0194-844X      7/2010                  7/2010                     7/2010                  Magazine/Journal                              Canon Communications LLC            United States              Health
Medical Device Daily                                                  1/1999                  1/1999                     1/2002       1/2002       Newsletter                                  AHC Media LLC                       United States              Health care industry
Medical Device Technology                              1048-6690      7/2000      11/2009                                                        Magazine/Journal                              Canon Communications LLC            United States              Health
Medical Device Week                                                  12/2004       9/2008    12/2004        9/2008                               Magazine/Journal                              AHC Media LLC                       United States              Health
Medical Devices & Surgical Technology Week             1537-1409      2/2001                  2/2001                                               Newsletter                                  NewsRX                              United States              Health
Medical Devices Market Research Report                                7/2009                  7/2009                     7/2009                      Report                                    MarketsandMarkets                   India                      Health
Medical Economics                                      0025-7206      1/1981                  1/1990                     1/2006                  Magazine/Journal                              Advanstar Communications, Inc.      United States              Health care industry
Medical Education                                      0308-0110      1/1999                                                                     Magazine/Journal         Y                    Blackwell Publishers Ltd.           United Kingdom             Education
Medical Electron Microscopy                            0918-4287      8/1993      12/2004                                                        Magazine/Journal         Y                    Springer                            United States              Biological sciences
Medical Ethics Advisor                                 0886-0653      1/1997                  1/1997                     1/2002       3/2005       Newsletter                                  AHC Media LLC                       United States              Philosophy and religion
Medical Gas Research                                   2045-9912      4/2011                  4/2011                                             Magazine/Journal         Y                    BioMed Central Ltd.                 United Kingdom             Health
Medical Humanities                                     1468-215X      1/1990                  6/2001       12/2003                               Magazine/Journal         Y                    British Medical Association         United States              Health
Medical Imaging                                        1073-1202      1/2006      11/2008     1/2006       11/2008       1/2006       11/2008    Magazine/Journal                              Allied Media LLC                    United States              Health
                                                                                                                                                                                               Australasian Medical Publishing
Medical Journal of Australia                           0025-729X     1/1997                                                                      Magazine/Journal         Y                    Company Limited                     Australia                  Health
Medical Laboratory Observer                            0580-7247     2/1981                   1/1983                     1/1991                  Magazine/Journal                              NP Communications, LLC              United States              Health care industry
                                                                                                                                                                                               Medknow Publications and Media Pvt.
Medical   Law Cases - for Doctors                      0974-1232      1/2009                  1/2009                                             Magazine/Journal         Y                    Ltd.                                India                      Law
Medical   Law's Regan Report                           1528-8471      1/2000                  1/2000                     1/2000                  Magazine/Journal                              Medical Law Publishing              United States              Law
Medical   Letter on the CDC & FDA                      1532-4648     11/1999                 11/1999                                               Newsletter                                  NewsRX                              United States              Health
Medical   Malpractice Law & Strategy                   0747-8925      8/2007      4/2011                                                           Newsletter                                  Incisive Media                      United States              Law
Medical   Marketing & Media                            0025-7354      8/1991                  8/1991                    12/1999                  Magazine/Journal                              Haymarket Media, Inc.               United States              Health care industry

                                                                                                                                                                                               Penton Media, Inc., Penton Business
Medical   Meetings                                     0093-1314     6/1999                   6/1999                    12/1999       12/2001    Magazine/Journal                              Media, Inc. and their subsidiaries       United   States       Health care industry
Medical   Microbiology and Immunology                  0300-8584     6/2000                                                                      Magazine/Journal         Y                    Springer                                 United   States       Health
Medical   Molecular Morphology                         1860-1480     3/2005                                                                      Magazine/Journal         Y                    Springer                                 United   States       Biological sciences
Medical   Oncology                                     1357-0560     4/1999                                                                      Magazine/Journal         Y                    Springer                                 United   States       Health
Medical   Problems of Performing Artists               0885-1158     3/2000                   3/2000        6/2009       3/2000       6/2009     Magazine/Journal         Y                    Science & Medicine                       United   States       Health
Medical   Product Manufacturing News                   0893-6250     1/2011                   1/2011                     1/2011                  Magazine/Journal                              Canon Communications LLC                 United   States       Health
Medical   SelfCare                                     0162-2285     1/1988       11/1989                                                        Magazine/Journal                              Island Publishing                        United   States       Health
                                                                                                                                                                                               U.S. Army Medical Department Center
Medical Soldiers Outlook                                              6/2005      6/2009      6/2005        6/2009       6/2005       6/2009     Magazine/Journal                              & School                                 United States         Health
Medical Technology and Devices Week                    1935-696X     12/2006      8/2008     12/2006        8/2008      12/2006       8/2008       Newsletter                                  AHC Media LLC                            United States         Health care industry
Medical Treatment of Glaucoma                                         1/2010                  1/2010                     1/2010                      Report               Y                    Kugler Publications                      Netherlands           Health
                                                                                                                                                                                               Benjamin Franklin Literary & Medical
Medical Update                                         0732-0183     1/1988        5/2005     1/1989        5/2005       8/1999        5/2005      Newsletter                                  Society, Inc.                            United States         Health
Medical World News                                     0025-763X     1/1988        2/1994     1/1988        2/1994                               Magazine/Journal                              Miller Freeman, Inc.                     United States         Health
Medicare & Reimbursement Advisor Weekly                1556-1100     2/2009       12/2009     2/2009       12/2009       2/2009       12/2009    Magazine/Journal                              HCPro, Inc.                              United States         Health
Medicina Sportiva                                      1429-0022     3/2011                   3/2011                     3/2011                  Magazine/Journal                              Medicina Sportiva                        Poland                Health
                                                                                                                                                                                               Lippincott Williams & Wilkins, WK
Medicine                                               0025-7974     7/1989                                                                      Magazine/Journal         Y                    Health                                   United States         Health
Medicine & Health                                      1047-8892     1/1991       7/2009     12/1997        7/2009       1/2000       7/2009     Magazine/Journal                              Eli Research, Inc.                       United States         Health
                                                                                                                                                                                               Lippincott Williams & Wilkins, WK
Medicine and Science in Sports and Exercise            0195-9131     1/1999                                                                      Magazine/Journal         Y                    Health                                   United States         Health
                                                                                                                                                                                               Society for the Study of Multicultural
Medicine of the Americas                               1531-3069     9/2000       3/2001      9/2000        3/2001       1/2001        3/2001    Magazine/Journal         Y                    Medicine                                 United States         Health
Medicine on the Net                                    1085-3502     1/2007                   1/2007                     2/2007                    Newsletter                                  HCPro, Inc.                              United States         Health care industry
Mediterranean Journal of Nutrition and Metabolism      1973-798X     5/2008                                                                      Magazine/Journal         Y                    Springer                                 United States         Health




                                                                                                                                                                                                                                                                HRC Academic
                                                                                                                                                                                                                                                                       44/62
Journal Name                                            ISSN      Index Start   Index End   Full-text   Full-text End Image Start   Image End       Format         Refereed/Peer-   Embargo             Publisher Name                Publisher Country   Publication Primary Subject
                                                                                              Start                                                                  Reviewed        (Days)
medizinische genetik                                  0936-5931      3/2007                                                                     Magazine/Journal          Y                   Springer                              United States         Health
MedSurg Nursing                                       1092-0811      2/1996                  2/1996                     2/1996                  Magazine/Journal          Y                   Jannetti Publications, Inc.           United States         Health
Melody Valve Heart Procedure                                        11/2011                 11/2011                                                  Video                                    Detroit Medical Center                United States         Health

Melpomene Journal                                     1043-8734     9/2001       9/2002      9/2001        9/2002       9/2001        9/2002      Newsletter                                  Melpomene Institute                   United States         Women's issues/gender studies
memo - Magazine of European Medical Oncology          1865-5041     3/2008                                                                      Magazine/Journal                              Springer                              United States         Health

Memory & Cognition                                    0090-502X     1/1989                                                                      Magazine/Journal         Y                    Springer                              United   States       Psychology and mental health
Menopause News                                        1061-4397     1/1994       5/1999      1/1994        5/1999                               Magazine/Journal                              Menopause News                        United   States       Health
Men's Fitness                                         0893-4460     1/1992                   7/1998                                             Magazine/Journal                              Weider Publications LLC               United   States       Health
Men's Health                                          1054-4836     3/1989                   1/1993                     9/1994       11/2003    Magazine/Journal                      30      Rodale, Inc.                          United   States       Health
Men's Health Advisor                                  1527-084X     1/2006                   1/2006                     1/2006                  Magazine/Journal                              Belvoir Media Group, LLC              United   States       Health

Mental Health Aspects of Developmental Disabilities   1557-5187     1/2007       10/2008     1/2007       10/2008       1/2007       10/2008    Magazine/Journal         Y                    Psych-Media of North Carolina, Inc.   United States         Psychology and mental health
Mental Health Law Report                              0741-5141     1/2004        6/2006     1/2004        6/2006                               Magazine/Journal                              Eli Research, Inc.                    United States         Law
                                                                                                                                                                                              Royal College of Nursing Publishing
Mental Health Practice                                1465-8720     4/2003                   4/2003                     4/2003                  Magazine/Journal         Y            90      Company (RCN)                         United Kingdom        Health

Mental Health Weekly                                  1058-1103     7/1999                   7/1999                     8/1999                     Newsletter                         180     Wiley Periodicals, Inc.               United States         Psychology and mental health

Mental Health Weekly Digest                           1543-6616     1/2003                   1/2003                                                Newsletter                                 NewsRX                                United States         Psychology and mental health

Merrill-Palmer Quarterly                              0272-930X      1/1998                  1/1998                     1/1999                  Magazine/Journal         Y                    Wayne State University Press          United States         Psychology and mental health
Metabolic Syndrome and Related Disorders              1540-4196     12/2007      10/2011    12/2007       10/2011      12/2007       10/2011    Magazine/Journal         Y                    Mary Ann Liebert, Inc.                United States         Health
                                                                                                                                                                                                                                                          Engineering and manufacturing
Metallurgical and Materials Transactions A            1073-5623      1/1997                                                                     Magazine/Journal         Y                    Springer                            United States           industries
Metaphysica                                           1437-2053      4/2007                                                                     Magazine/Journal                              Springer                            United States           Social sciences
Microbial Cell Factories                              1475-2859      1/2007                  1/2007                                             Magazine/Journal         Y                    BioMed Central Ltd.                 United Kingdom          Biological sciences
Microbial Drug Resistance                             1076-6294     12/2007      9/2011     12/2007        9/2011      12/2007       9/2011     Magazine/Journal         Y                    Mary Ann Liebert, Inc.              United States           Health
Microbial Ecology                                     0095-3628      9/2002                                                                     Magazine/Journal         Y                    Springer                            United States           Biological sciences
Microbial Informatics and Experimentation             2042-5783      6/2011                  6/2011                                             Magazine/Journal         Y                    BioMed Central Ltd.                 United Kingdom          Computers
                                                                                                                                                                                              Medknow Publications and Media Pvt.
Middle East African Journal of Ophthalmology          0974-9233      1/2009                  1/2009                                             Magazine/Journal         Y                    Ltd.                                India                   Health
Midwifery                                             0266-6138     12/1996                                                                     Magazine/Journal         Y                    Elsevier B.V.                       Netherlands             Health care industry
Midwifery Today                                       1522-2888      3/2000                  3/2000        3/2003       3/2000       3/2003     Magazine/Journal                              Midwifery Today, Inc.               United States           Health
Midwives Magazine                                     1479-2915      7/2007                  7/2007        4/2010       7/2007       4/2010     Magazine/Journal         Y                    Redactive Media Group               United Kingdom          Health
                                                                                                                                                                                              National Center for Farmworker
Migrant Health Newsline                                             9/2006                   9/2006                     9/2006                  Magazine/Journal                              Health, Inc.                        United States           Health
Milbank Quarterly                                     0887-378X     3/1988                                                                      Magazine/Journal         Y                    Blackwell Publishers Ltd.           United Kingdom          Health care industry

Mind, Mood & Memory                                   1555-7308     1/2006                   1/2006                     1/2006                  Magazine/Journal                              Belvoir Media Group, LLC              United States         Psychology and mental health

Mindfulness                                           1868-8527     3/2010                                                                      Magazine/Journal                              Springer                              United   States       Psychology and mental health
Minority Nurse Newsletter                             1071-9946     1/2002       9/2003      1/2002        9/2003       6/2002       9/2003       Newsletter                                  Tucker Publications, Inc.             United   States       Health
Missouri Nurse                                        0026-6655     4/2007                   4/2007                     4/2007                    Newsletter                                  Missouri Nurses Association           United   States       Health
MM&M Medical Marketing & Media                        0025-7354     1/1989       7/1991      1/1989        7/1991                               Magazine/Journal                              Haymarket Media, Inc.                 United   States       Health care industry
Mobile DNA                                            1759-8753     1/2010                   1/2010                                             Magazine/Journal         Y                    BioMed Central Ltd.                   United   Kingdom      Science and technology
                                                                                                                                                                                              Athena Healthcare Consulting Group,
Models of Care                                        1097-069X     1/1999       9/2000      1/1999        9/2000       1/1999        9/2000    Magazine/Journal                              Inc.                                  United States         Health care industry
Modern Healthcare                                     0160-7480     8/1981                   1/1996                                             Magazine/Journal                              Crain Communications, Inc.            United States         Health care industry
Modern Hygienist                                      1558-9242     2/2007       12/2009     2/2007       12/2009       2/2007       12/2009    Magazine/Journal                              Advanstar Communications, Inc.        United States         Health
                                                                                                                                                                                              American Association of Retired
Modern Maturity                                       0026-8046      2/1980      12/2001                                                        Magazine/Journal                              Persons                               United   States       General interest
Modern Physician                                      1098-1845      2/1999       4/2007     2/1999        4/2007                               Magazine/Journal                              Crain Communications, Inc.            United   States       Health
Modern Rheumatology                                   1439-7595      3/2000                                                                     Magazine/Journal         Y                    Springer                              United   States       Health
Molecular Autism                                      2040-2392      2/2010                  2/2010                                             Magazine/Journal         Y                    BioMed Central Ltd.                   United   Kingdom      Health
Molecular Biology                                     0026-8933     11/2000                                                                     Magazine/Journal         Y                    Springer                              United   States       Science and technology
Molecular Biotechnology                               1073-6085      5/1999                                                                     Magazine/Journal         Y                    Springer                              United   States       Biological sciences
Molecular Brain                                       1756-6606      6/2008                  6/2008                                             Magazine/Journal         Y                    BioMed Central Ltd.                   United   Kingdom      Health
Molecular Cancer                                      1476-4598      1/2007                  1/2007                                             Magazine/Journal         Y                    BioMed Central Ltd.                   United   Kingdom      Health
Molecular Diagnosis & Therapy                         1177-1062      1/2006                  1/2006        9/2011       1/2006       9/2011     Magazine/Journal         Y                    Wolters Kluwer Health                 United   Kingdom      Health
Molecular Ecology                                     0962-1083      1/2006                                                                     Magazine/Journal         Y                    Blackwell Publishers Ltd.             United   Kingdom      Biological sciences
Molecular Genetics, Microbiology and Virology         0891-4168      3/2007                                                                     Magazine/Journal         Y                    Springer                              United   States       Health
Molecular Microbiology                                0950-382X      5/1997                                                                     Magazine/Journal         Y                    Blackwell Publishers Ltd.             United   Kingdom      Biological sciences
Molecular Pain                                        1744-8069      1/2007                  1/2007                                             Magazine/Journal         Y                    BioMed Central Ltd.                   United   Kingdom      Health
Molecular Pathology                                   1366-8714      2/2001      12/2003     2/2001       12/2003       6/2001       10/2001    Magazine/Journal         Y                    British Medical Association           United   States       Health
Molecular Psychiatry                                  1359-4184      1/2000                  1/2000                     5/2007                  Magazine/Journal         Y            365     Nature Publishing Group               United   Kingdom      Health




                                                                                                                                                                                                                                                            HRC Academic
                                                                                                                                                                                                                                                                   45/62
Journal Name                                                   ISSN      Index Start   Index End   Full-text   Full-text End Image Start   Image End       Format         Refereed/Peer-   Embargo              Publisher Name               Publisher Country   Publication Primary Subject
                                                                                                     Start                                                                  Reviewed        (Days)
Momentum                                                     1940-3410     12/2007                  12/2007                   12/2007                  Magazine/Journal                              National Multiple Sclerosis Society   United States         Health
Monographs of the Society for Research in Child
Development                                                  0037-976X     2/2003                                                                      Magazine/Journal         Y                    Blackwell Publishers Ltd.             United Kingdom        Education
Morbidity and Mortality Weekly Report                        0149-2195     7/1989                   7/1989                     7/1994                    Newsletter                                  U.S. Government Printing Office       United States         Health
Moscow University Biological Sciences Bulletin               0096-3925     3/2007                                                                      Magazine/Journal         Y                    Springer                              United States         Biological sciences
Moscow University Computational Mathematics and
Cybernetics                                                  0278-6419      3/2007                                                                     Magazine/Journal         Y                    Springer                              United   States       Computers
Moscow University Soil Science Bulletin                      0147-6874      3/2007                                                                     Magazine/Journal         Y                    Springer                              United   States       Agricultural industry
Mothering                                                    0733-3013      1/1988      11/2010     3/1989        3/2008       9/2001       3/2008     Magazine/Journal                              Mothering Magazine                    United   States       Family and marriage
MPR (Hematology and Oncology Edition)                        1945-2225     12/2009                 12/2009                    12/2009                  Magazine/Journal                              Haymarket Media, Inc.                 United   States       Health
MPR (Obstetrician & Gynecologist Edition)                    1051-4171      3/2008                  3/2008                     3/2008                  Magazine/Journal         Y                    Haymarket Media, Inc.                 United   States       Health
MPR (Pediatricians' Edition)                                                9/2009                  9/2009                     9/2009                  Magazine/Journal                              Haymarket Media, Inc.                 United   States       Health
MPR (Pharmacists' Edition)                                   1938-9523     12/2009                 12/2009                    12/2009                  Magazine/Journal                              Haymarket Media, Inc.                 United   States       Health
MPR (UrologistsÆ Edition)                                    1938-9515      9/2009                  9/2009                     9/2009                  Magazine/Journal                              Haymarket Media, Inc.                 United   States       Health
MPR Monthly Prescribing Reference                            0883-0266     10/2005                 10/2005                    10/2005                     Handbook                                   Haymarket Media, Inc.                 United   States       Health
Muscle & Fitness/Hers                                        1526-9140      2/2002                  2/2002                                             Magazine/Journal                              Weider Publications LLC               United   States       Sports and fitness
Mycoses                                                      0933-7407      1/2006                                                                     Magazine/Journal         Y                    Blackwell Publishers Ltd.             United   Kingdom      Health
                                                                                                                                                                                                     Center for Nutrition Policy and
MyPyramid Podcasts                                                         1/2010                   1/2010                                                  Audio                                    Promotion                             United   States       Health
N & HC: Perspectives on Community                            1081-8731     1/1996       3/1997      1/1996        3/1997       1/1996       3/1997     Magazine/Journal         Y                    National League for Nursing, Inc.     United   States       Health
Nanomedicine                                                 1743-5889     6/2006                   6/2006                                             Magazine/Journal         Y            365     Future Medicine Ltd.                  United   Kingdom      Health
National Institutes of Health: News and Events                             3/2006                   3/2006                                             Magazine/Journal                              National Institutes of Health         United   States       Health
                                                                                                                                                                                                     Medknow Publications and Media Pvt.
National Journal of Maxillofacial Surgery                    0975-5950     1/2010                   1/2010                                             Magazine/Journal         Y                    Ltd.                                  India                 Health
National Women's Health Report                               0741-9147     4/2002       11/2009     4/2002       11/2009       6/2002       11/2009      Newsletter                                  HealthyWomen                          United States         Health
Nation's Health                                              0028-0496     7/1989                   8/2006                     8/2006                  Magazine/Journal                              The Nation's Health                   United States         Health
Natural Health                                               1067-9588     1/1993                   1/1993                                             Magazine/Journal                              Weider Publications LLC               United States         Health
                                                                                                                                                                                                                                                                 Zoology and wildlife
Nature                                                       0028-0836     12/1981                  1/2000                    11/2000                  Magazine/Journal         Y            365     Nature   Publishing   Group           United   Kingdom      conservation
Nature   Biotechnology                                       1087-0156      6/1998                  1/2000                     1/2008                  Magazine/Journal         Y            365     Nature   Publishing   Group           United   Kingdom      Biotechnology industry
Nature   Cell Biology                                        1465-7392      1/2000                  1/2000                     5/2007                  Magazine/Journal         Y            365     Nature   Publishing   Group           United   Kingdom      Biological sciences
Nature   Clinical Practice Cardiovascular Medicine           1743-4297     11/2004      3/2009     11/2004        3/2009       5/2007       3/2009     Magazine/Journal         Y                    Nature   Publishing   Group           United   Kingdom      Health
Nature   Clinical Practice Endocrinology & Metabolism        1745-8366     11/2005      3/2009     11/2005        3/2009       5/2007       3/2009     Magazine/Journal         Y                    Nature   Publishing   Group           United   Kingdom      Health

Nature   Clinical Practice Gastroenterology and Hepatology   1743-4378     11/2004      3/2009     11/2004        3/2009       5/2007       3/2009     Magazine/Journal         Y                    Nature   Publishing   Group           United   Kingdom      Health
Nature   Clinical Practice Nephrology                        1745-8323     11/2005      3/2009     11/2005        3/2009       5/2007       3/2009     Magazine/Journal         Y                    Nature   Publishing   Group           United   Kingdom      Health
Nature   Clinical Practice Neurology                         1745-834X     11/2005      3/2009     11/2005        3/2009       5/2007       3/2009     Magazine/Journal         Y                    Nature   Publishing   Group           United   Kingdom      Health
Nature   Clinical Practice Oncology                          1743-4254      9/2004      3/2009      9/2004        3/2009       9/2006       3/2009     Magazine/Journal         Y                    Nature   Publishing   Group           United   Kingdom      Health
Nature   Clinical Practice Rheumatology                      1745-8382     11/2005      3/2009     11/2005        3/2009       6/2006       3/2009     Magazine/Journal         Y                    Nature   Publishing   Group           United   Kingdom      Health
Nature   Clinical Practice Urology                           1743-4270     11/2004      3/2009     11/2004        3/2009       5/2007       3/2009     Magazine/Journal         Y                    Nature   Publishing   Group           United   Kingdom      Health
Nature   Genetics                                            1061-4036      1/2000                  1/2000                     5/2006                  Magazine/Journal         Y            365     Nature   Publishing   Group           United   Kingdom      Health
Nature   Immunology                                          1529-2908      7/2000                  7/2000                     1/2002                  Magazine/Journal         Y            365     Nature   Publishing   Group           United   Kingdom      Health
Nature   Medicine                                            1078-8956      1/1999                  1/2000                     2/2008                  Magazine/Journal         Y            365     Nature   Publishing   Group           United   Kingdom      Health
Nature   Methods                                             1548-7091     10/2004                 10/2004                     5/2007                  Magazine/Journal         Y            365     Nature   Publishing   Group           United   Kingdom      Health
Nature   Neuroscience                                        1097-6256      1/2000                  1/2000                     5/2007                  Magazine/Journal         Y            365     Nature   Publishing   Group           United   Kingdom      Health
Nature   Protocols                                           1754-2189      1/2006                  1/2006                     5/2007                  Magazine/Journal         Y            365     Nature   Publishing   Group           United   Kingdom      Science and technology
Nature   Reviews Cancer                                      1474-175X     10/2001                 10/2001                     5/2007                  Magazine/Journal         Y            365     Nature   Publishing   Group           United   Kingdom      Health
Nature   Reviews Cardiology                                  1743-5002      4/2009                  4/2009                     4/2009                  Magazine/Journal         Y            365     Nature   Publishing   Group           United   Kingdom      Health
Nature   Reviews Clinical Neurology                          1759-4758      4/2009                  4/2009                     4/2009                  Magazine/Journal         Y            365     Nature   Publishing   Group           United   Kingdom      Health
Nature   Reviews Clinical Oncology                           1759-4774      4/2009                  4/2009                     4/2009                  Magazine/Journal         Y            365     Nature   Publishing   Group           United   Kingdom      Health
Nature   Reviews Drug Discovery                              1474-1776      1/2002                  1/2002                     5/2007                  Magazine/Journal         Y            365     Nature   Publishing   Group           United   Kingdom      Health
Nature   Reviews Endocrinology                               1759-5029      4/2009                  4/2009                     4/2009                  Magazine/Journal         Y            365     Nature   Publishing   Group           United   Kingdom      Health
Nature   Reviews Gastroenterology & Hepatology               1759-5045      4/2009                  4/2009                     4/2009                  Magazine/Journal         Y            365     Nature   Publishing   Group           United   Kingdom      Health
Nature   Reviews Genetics                                    1471-0056     10/2000                 10/2000                     1/2007                  Magazine/Journal         Y            365     Nature   Publishing   Group           United   Kingdom      Health
Nature   Reviews Immunology                                  1474-1733     10/2001                 10/2001                    11/2006                  Magazine/Journal         Y            365     Nature   Publishing   Group           United   Kingdom      Health
Nature   Reviews Microbiology                                1740-1526     10/2003                 10/2003                     5/2007                  Magazine/Journal         Y            365     Nature   Publishing   Group           United   Kingdom      Health
Nature   Reviews Molecular Cell Biology                      1471-0072     10/2000                 10/2000                     5/2007                  Magazine/Journal         Y            365     Nature   Publishing   Group           United   Kingdom      Science and technology
Nature   Reviews Nephrology                                  1759-5061      4/2009                  4/2009                     4/2009                  Magazine/Journal         Y            365     Nature   Publishing   Group           United   Kingdom      Health
Nature   Reviews Neuroscience                                1471-003X     10/2000                 10/2000                    11/2007                  Magazine/Journal         Y            365     Nature   Publishing   Group           United   Kingdom      Health
Nature   Reviews Rheumatology                                1759-4790      4/2009                  4/2009                     4/2009                  Magazine/Journal         Y            365     Nature   Publishing   Group           United   Kingdom      Health
Nature   Reviews Urology                                     1759-4812      4/2009                  4/2009                     4/2009                  Magazine/Journal         Y            365     Nature   Publishing   Group           United   Kingdom      Health
Nature   Structural and Molecular Biology                    1545-9993      1/2004                  1/2004                     8/2007                  Magazine/Journal         Y            365     Nature   Publishing   Group           United   Kingdom      Science and technology
Nature   Structural Biology                                  1072-8368      1/2000      12/2003                                                        Magazine/Journal         Y                    Nature   Publishing   Group           United   Kingdom      Science and technology
                                                                                                                                                                                                                                                                 Pharmaceuticals and cosmetics
Naunyn-Schmiedeberg's Archives of Pharmacology               0028-1298     8/2005                                                                      Magazine/Journal         Y                    Springer                              United States         industries
NCAHF Newsletter                                             0890-3417     1/1988        5/1998     1/1989        5/1998                                 Newsletter                                  Stephen Barrett, M.D.                 United States         Health
NCI Cancer Weekly                                            0896-7385     1/1989       12/1990     1/1989       12/1990                                 Newsletter                                  NewsRX                                United States         Health care industry




                                                                                                                                                                                                                                                                   HRC Academic
                                                                                                                                                                                                                                                                          46/62
Journal Name                                                 ISSN      Index Start   Index End   Full-text   Full-text End Image Start   Image End       Format         Refereed/Peer-   Embargo             Publisher Name                 Publisher Country   Publication Primary Subject
                                                                                                   Start                                                                  Reviewed        (Days)
NCRHI Newsletter                                           1534-6900     5/1998       1/2003      5/1998        1/2003       7/1999       1/2003       Newsletter                                  Stephen Barrett, M.D.                  United   States       Health care industry
Nephrology                                                 1320-5358     2/2006                                                                      Magazine/Journal         Y                    Blackwell Publishers Ltd.              United   Kingdom      Health
Nephrology Nursing Journal                                 1526-744X     2/2000                   2/2000                     2/2000                  Magazine/Journal         Y                    Jannetti Publications, Inc.            United   States       Health
Network                                                    0270-3637     9/2002       6/2007      9/2002        6/2007       9/2002       6/2007     Magazine/Journal                              Family Health International            United   States       Health

Network (Winnipeg)                                         1480-0039     3/2006                   3/2006                     3/2006                  Magazine/Journal                              Canadian Women's Health Network        Canada                Health
Network News                                               8755-867X     1/1988       11/2003     1/1989       11/2003       7/1999       11/2003    Magazine/Journal                              National Women's Health Network        United States         Computers

Neural Development                                         1749-8104     12/2006                 12/2006                                             Magazine/Journal         Y                    BioMed Central Ltd.                    United Kingdom        Psychology and mental health

Neural Plasticity                                          0792-8483     1/2005                   1/2005                     1/2005                  Magazine/Journal         Y                    Hindawi Publishing Corp.               Egypt                 Psychology and mental health
Neural Systems & Circuits                                  2042-1001     1/2011                   1/2011                                             Magazine/Journal         Y                    BioMed Central Ltd.                    United   Kingdom      Biological sciences
Neurocritical Care                                         1541-6933     3/2004                                                                      Magazine/Journal                              Springer                               United   States       Health
Neuroethics                                                1874-5490     3/2008                                                                      Magazine/Journal                              Springer                               United   States       Social sciences
Neurogastroenterology and Motility                         1350-1925     1/2006                                                                      Magazine/Journal         Y                    Blackwell Publishers Ltd.              United   Kingdom      Health
neurogenetics                                              1364-6745     8/2003                                                                      Magazine/Journal         Y                    Springer                               United   States       Science and technology
Neuroinformatics                                           1539-2791     3/2003                                                                      Magazine/Journal         Y                    Springer                               United   States       Health
Neurological Sciences                                      1590-1874     4/2000                                                                      Magazine/Journal         Y                    Springer                               United   States       Science and technology
                                                                                                                                                                                                   Lippincott Williams & Wilkins, WK
Neurology                                                  0028-3878     10/1989      12/1991                                                        Magazine/Journal         Y                    Health                                 United States         Health
Neurology Alert                                            0741-4234      1/1997                  1/1997                    11/1999       3/2005       Newsletter                                  AHC Media LLC                          United States         Health
                                                                                                                                                                                                   Medknow Publications and Media Pvt.
Neurology India                                            0028-3886     1/2003                   1/2003                     1/2003        9/2004    Magazine/Journal         Y                    Ltd.                                   India                 Health

Neuropathology                                             0919-6544     2/2006                                                                      Magazine/Journal         Y                    Blackwell Publishers Ltd.              United Kingdom        Psychology and mental health

Neuropathology and Applied Neurobiology                    0305-1846     2/2006                                                                      Magazine/Journal         Y                    Blackwell Publishers Ltd.              United Kingdom        Psychology and mental health
Neuropsychology Review                                     1040-7308     6/2006                                                                      Magazine/Journal         Y                    Springer                               United States         Social sciences
Neuroradiology                                             0028-3940     1/2006                                                                      Magazine/Journal         Y                    Springer                               United States         Health

Neurorehabilitation and Neural Repair                      1545-9683     3/2005                   3/2005        9/2008       3/2005       12/2007    Magazine/Journal         Y                    Sage Publications, Inc.                United States         Psychology and mental health

Neuroscience & Medicine                                    2158-2912      3/2011                                                                     Magazine/Journal         Y                    Scientific Research Publishing, Inc.   United   States       Health
Neuroscience Bulletin                                      1673-7067      1/2007                                                                     Magazine/Journal         Y                    Springer                               United   States       Science and technology
Neurosurgical Review                                       0344-5607      4/2006                                                                     Magazine/Journal         Y                    Springer                               United   States       Health
Nevada RNformation                                         0273-4117     11/2006                 11/2006                    11/2006                    Newsletter                                  Nevada Nurses Association              United   States       Health
                                                                                                                                                                                                   Retirement Living Publishing
New Choices for Retirement Living                          1061-2157     2/1992       9/1995                                                         Magazine/Journal                              Company Inc.                                                 Seniors
                                                                                                                                                                                                   Retirement Living Publishing
New   Choices: Living Even Better After 50                               10/1995      12/2000                                                        Magazine/Journal                              Company Inc.                                                 Seniors
New   England Journal of Medicine                          0028-4793      1/1987                                                                     Magazine/Journal         Y                    Massachusetts Medical Society          United States         Health
New   Medical Therapies -- Parkinson's Disease                            1/2005      1/2005      1/2005        1/2005       1/2005       1/2005        Pamphlet                                   Thomson Healthcare, Inc.               United States         Health
New   Mexico Nurse                                         0028-6273      4/2007                  4/2007                     4/2007                  Magazine/Journal                              New Mexico Nurses Association          United States         Health care industry
New   Phytologist                                          0028-646X      4/2000                                                                     Magazine/Journal         Y                    Blackwell Publishers Ltd.              United Kingdom        Biological sciences
New   Zealand College of Midwives Journal                  0114-7870      4/2007                  4/2007                     4/2007                  Magazine/Journal                              New Zealand College of Midwives        New Zealand           Health
                                                                                                                                                                                                   New Zealand Institute of Medical
New Zealand Journal of Medical Laboratory Science          1171-0195     4/2007                   4/2007                     4/2007                  Magazine/Journal                              Laboratory Science                     New Zealand           Health
                                                                                                                                                                                                   New Zealand Association of
New Zealand Journal of Occupational Therapy                1171-0462     3/2006                   3/2006                     3/2006                  Magazine/Journal                              Occupational Therapists                New Zealand           Health
                                                                                                                                                                                                   New Zealand Society of
New Zealand Journal of Physiotherapy                       0303-7193     3/2003                   3/2003                     3/2003                  Magazine/Journal         Y                    Physiotherapists                       New Zealand           Health

New Zealand Journal of Psychology                          0112-109X     6/1997                   6/1998                     6/1999                  Magazine/Journal         Y                    New Zealand Psychological Society      New Zealand           Psychology and mental health
Newborn and Infant Nursing Reviews                         1527-3369     3/2001                                                                      Magazine/Journal         Y                    Elsevier B.V.                          Netherlands           Health care industry
Newsletter-People's Medical Society                        0736-4873     2/1988       6/2003      2/1988        6/2003       8/1999       6/2003       Newsletter                                  People's Medical Society, Inc.         United States         Health

Newsline                                                                 1/1992       6/1994      1/1992        3/1993                                  Newsletter                                 Leukemia Society of America            United States         News, opinion and commentary

Newsweek                                                   0028-9604     1/1980                  12/1994                                             Magazine/Journal                              Newsweek Daily Beast Company LLC       United States         News, opinion and commentary
NIDA Notes                                                 1535-7325     4/2007                   4/2007                     4/2007                    Newsletter                                  National Institute on Drug Abuse       United States         Social sciences
                                                                                                                                                                                                   National Institute of Dental and
NIDCR Press Releases                                                     2/2009                   2/2009                                                Newswire                                   Craniofacial Research                  United States         Health

Nigeria - HIV/AIDS Program Development Project: Ministry
of Health (MOH) -Procurement Plan For Katsina State                      2/2008                   2/2008                                                 Report                                    The World Bank                      United States            Health
                                                                                                                                                                                                   Medknow Publications and Media Pvt.
Nigerian Journal of Clinical Practice                      1119-3077     10/2010                 10/2010                                             Magazine/Journal         Y                    Ltd.                                India                    Health




                                                                                                                                                                                                                                                                  HRC Academic
                                                                                                                                                                                                                                                                         47/62
Journal Name                                           ISSN      Index Start   Index End   Full-text   Full-text End Image Start   Image End       Format         Refereed/Peer-   Embargo             Publisher Name                 Publisher Country   Publication Primary Subject
                                                                                             Start                                                                  Reviewed        (Days)
                                                                                                                                                                                             Medknow Publications and Media Pvt.
Nigerian Medical Journal                             0300-1652      1/2009                  1/2009                                             Magazine/Journal         Y                    Ltd.                                India                    Health
NLM Technical Bulletin                               0146-3055     10/2011                 10/2011                                             Magazine/Journal                              U.S. National Library of Medicine   United States            Health
NLN Member Update                                                   1/2007                  1/2007                    11/2011                    Newsletter                                  National League for Nursing, Inc.   United States            Health

                                                                                                                                                                                             Penton Media, Inc., Penton Business
NMA's HealthyLiving                                                3/2006       6/2008      3/2006        6/2008       3/2006        6/2008    Magazine/Journal                              Media, Inc. and their subsidiaries  United States            Health care industry
                                                                                                                                                                                             Medknow Publications and Media Pvt.
Noise and Health                                     1463-1741     1/1998                   4/1999                                             Magazine/Journal         Y                    Ltd.                                India                    Health
Nonlinear Biomedical Physics                         1753-4631     7/2007                   7/2007                                             Magazine/Journal         Y                    BioMed Central Ltd.                 United Kingdom           Biological sciences

Nordic Journal of Music Therapy                      0809-8131     7/2006                   7/2006        3/2010       7/2006        7/2008    Magazine/Journal         Y                    Taylor & Francis Ltd.                  United Kingdom        Psychology and mental health

North American Journal of Psychology                 1527-7143     3/2003                   3/2005                                             Magazine/Journal         Y                    North American Journal of Psychology   United States         Psychology and mental health
Nurse Education in Practice                          1471-5953     5/2005                                                                      Magazine/Journal         Y                    Elsevier B.V.                          Netherlands           Health care industry
Nurse Education Today                                0260-6917     1/2005                   1/2005        5/2006       1/2005       5/2006     Magazine/Journal         Y                    Elsevier B.V.                          Netherlands           Health care industry
Nurse Leader                                         1541-4612     3/2003                                                                      Magazine/Journal         Y                    Elsevier B.V.                          Netherlands           Health care industry
                                                                                                                                                                                             Lippincott Williams & Wilkins, WK
Nurse Practitioner                                   0361-1817     1/1996                                                                      Magazine/Journal         Y                    Health                                 United States         Health
Nurse Practitioners' Prescribing Reference           1074-3871     3/2006                   3/2006                     3/2006                     Handbook              Y                    Haymarket Media, Inc.                  United States         Health
                                                                                                                                                                                             Royal College of Nursing Publishing
Nurse Researcher                                     1351-5578     9/2002                   9/2002                     9/2002                  Magazine/Journal         Y                    Company (RCN)                          United Kingdom        Health
Nurses' Paycheck                                     1832-5025     6/2007                   6/2007                     6/2007                  Magazine/Journal         Y                    Australian Nursing Federation          Australia             Health
                                                                                                                                                                                             Lippincott Williams & Wilkins, WK
Nursing                                              0360-4039     2/1981                                                                      Magazine/Journal         Y                    Health                                 United States         Health
                                                                                                                                                                                             Lippincott Williams & Wilkins, WK
Nursing Administration Quarterly                     0363-9568     1/1996                                                                      Magazine/Journal         Y                    Health                                 United States         Health
Nursing and Health Care Perspectives                 1094-2831     5/1997       11/2001     5/1997       11/2001       5/1997       11/2001    Magazine/Journal         Y                    National League for Nursing, Inc.      United States         Health
Nursing and Health Sciences                          1441-0745     3/2006                                                                      Magazine/Journal         Y                    Blackwell Publishers Ltd.              United Kingdom        Health care industry
                                                                                                                                                                                             College of Registered Nurses of
Nursing BC                                           1185-3638     2/2007                   2/2007                     2/2007                  Magazine/Journal                              British Columbia                       Canada                Health care industry
                                                                                                                                                                                             Royal College of Nursing Publishing
Nursing   Children and Young People                  2046-2336      5/2011                  5/2011                     5/2011                  Magazine/Journal         Y            90      Company (RCN)                          United   Kingdom      Health
Nursing   Diagnosis                                  1046-7459      1/1996      4/2002      1/1996        4/2002       1/1996       4/2002     Magazine/Journal         Y                    Blackwell Publishers Ltd.              United   Kingdom      Health
Nursing   Economics                                  0746-1739      1/1996                  1/1996                     1/1996                  Magazine/Journal         Y                    Jannetti Publications, Inc.            United   States       Health
Nursing   Education Perspectives                     1536-5026      3/2002                  3/2002                     5/2002                  Magazine/Journal         Y                    National League for Nursing, Inc.      United   States       Education
Nursing   Education Policy Newsletter                               9/2007                  9/2007                     9/2007                    Newsletter                                  National League for Nursing, Inc.      United   States       Health
Nursing   for Women's Health                         1751-4851      8/2008                                                                     Magazine/Journal         Y                    Blackwell Publishers Ltd.              United   Kingdom      Health care   industry
Nursing   Forum                                      0029-6473      1/1996                  1/1996       10/2004       1/1996       10/2004    Magazine/Journal         Y                    Blackwell Publishers Ltd.              United   Kingdom      Health
Nursing   Homes                                      1061-4753      1/1992       2/2008     1/1992        2/2008       8/1992        2/2008    Magazine/Journal                              Vendome Group LLC                      United   States       Health care   industry
Nursing   Homes and Senior Citizen Care              0896-6915     10/1989       9/1991    10/1989        9/1991                               Magazine/Journal                              Vendome Group LLC                      United   States       Health care   industry
Nursing   Homes Long Term Care Management            0029-649X      1/1981      11/1988     9/1984       11/1988                               Magazine/Journal                              Vendome Group LLC                      United   States       Health care   industry
Nursing   in Critical Care                           1362-1017      1/2006                                                                     Magazine/Journal         Y                    Blackwell Publishers Ltd.              United   Kingdom      Health care   industry
Nursing   Inquiry                                    1320-7881      3/2006                                                                     Magazine/Journal         Y                    Blackwell Publishers Ltd.              United   Kingdom      Health care   industry
Nursing   Law's Regan Report                         1528-848X      5/2000                  5/2000                     6/2000                    Newsletter                                  Medical Law Publishing                 United   States       Law
                                                                                                                                                                                             Lippincott Williams & Wilkins, WK
Nursing Management                                   0744-6314     1/1996                                                                      Magazine/Journal         Y                    Health                                 United States         Health
                                                                                                                                                                                             Royal College of Nursing Publishing
Nursing Management (Harrow)                          1354-5760     10/2002                 10/2002                    10/2002                  Magazine/Journal         Y                    Company (RCN)                          United Kingdom        Health
                                                                                                                                                                                             Royal College of Nursing Publishing
Nursing   Older People                               1472-0795      4/2003                  4/2003                     4/2003                  Magazine/Journal         Y            90      Company (RCN)                          United Kingdom        Health
Nursing   Outlook                                    0029-6554      5/1996                                                                     Magazine/Journal         Y                    Elsevier B.V.                          Netherlands           Languages and linguistics
Nursing   Philosophy                                 1466-7681      1/2006                                                                     Magazine/Journal         Y                    Blackwell Publishers Ltd.              United Kingdom        Health care industry
Nursing   Praxis in New Zealand                      0112-7438     11/2005                 11/2005                    11/2005                  Magazine/Journal         Y                    Nursing Praxis in New Zealand          New Zealand           Health care industry
                                                                                                                                                                                             Lippincott Williams & Wilkins, WK
Nursing Research (New York)                          0029-6582     11/2002                                                                     Magazine/Journal         Y                    Health                                 United States         News, opinion and commentary
Nursing Science & Research in the Nordic Countries   0107-4083      9/2006                  9/2006                     9/2006                  Magazine/Journal         Y                    Northern Nurses' Federation            Norway                Health care industry
                                                                                                                                                                                             Royal College of Nursing Publishing
Nursing Standard                                     0029-6570     9/2002                   9/2002                    10/2002                  Magazine/Journal         Y                    Company (RCN)                          United Kingdom        Health
Nursing Times                                        0954-7762     1/1992                                                                      Magazine/Journal                              Macmillan Publishing Ltd.              United Kingdom        Health
Nutraceutical Business Report                                      6/1999       10/1999     6/1999       10/1999       6/1999       10/1999      Newsletter                                  AHC Media LLC                          United States         Health care industry

Nutraceuticals International                         1362-5411     1/1998                   1/1998                                             Magazine/Journal                              ESHO Pharma                            United Kingdom        Food and beverage industries

Nutraceuticals World                                 1531-0671     5/2002                   5/2002                     9/2002                  Magazine/Journal                              Rodman Publishing                      United States         Food and beverage industries
Nutrition                                            0899-9007     4/1997                                                                      Magazine/Journal         Y                    Elsevier B.V.                          Netherlands           Health




                                                                                                                                                                                                                                                            HRC Academic
                                                                                                                                                                                                                                                                   48/62
Journal Name                                                      ISSN      Index Start   Index End   Full-text   Full-text End Image Start   Image End       Format         Refereed/Peer-   Embargo             Publisher Name                  Publisher Country   Publication Primary Subject
                                                                                                        Start                                                                  Reviewed        (Days)
Nutrition & Dietetics: The Journal of the Dietitians
Association of Australia                                        1446-6368     3/2002                   3/2002        9/2007       3/2002        9/2007    Magazine/Journal         Y                    Dietitians Association of Australia     Australia             Health

Nutrition & Food Science                                        0034-6659     1/1992                                                                      Magazine/Journal                              Emerald Group Publishing, Ltd.          United Kingdom        Food and beverage industries
                                                                                                                                                                                                        Center for Science in the Public
Nutrition   Action Healthletter                                 0885-7792     1/1988                   1/1988                    12/1993                    Newsletter                                  Interest                                United   States       Food/cooking/nutrition
Nutrition   Bulletin                                            1471-9827     3/2006                                                                      Magazine/Journal         Y                    Blackwell Publishers Ltd.               United   Kingdom      Health
Nutrition   Forum (1997)                                        1093-4545     3/1997       7/2000      3/1997        7/2000       7/1999       7/2000       Newsletter                                  Prometheus Books, Inc.                  United   States       Food/cooking/nutrition
Nutrition   Health Review                                       0164-7202     3/1988                   1/1989                     1/1997                    Newsletter                                  Vegetus Publications                    United   States       Health
Nutrition   Journal                                             1475-2891     1/2007                   1/2007                                             Magazine/Journal         Y                    BioMed Central Ltd.                     United   Kingdom      Health
Nutrition   News                                                0369-6464     3/1988       12/1994                                                          Newsletter                                  National Dairy Council                  United   States       Food/cooking/nutrition
Nutrition   Research Newsletter                                 0736-0037     1/1989       12/2010     1/1989       12/2010       1/1999       12/2010      Newsletter                                  Frost & Sullivan                        United   States       Food/cooking/nutrition

Nutrition Reviews                                               0029-6643     1/1987                                                                      Magazine/Journal         Y                    International Life Sciences Institute   United States         Food/cooking/nutrition
                                                                                                                                                                                                        Lippincott Williams & Wilkins, WK
Nutrition Today                                                 0029-666X      2/1988                                                                     Magazine/Journal         Y                    Health                                  United   States       Food/cooking/nutrition
Nutrition Week                                                  0736-0096      1/2007                  1/2007                     1/2007                    Newsletter                                  HCPro, Inc.                             United   States       Health
NWHRC Health Center - Alzheimer's Disease                                     12/2001       6/2007    12/2001        6/2007                                  Pamphlet                                   HealthyWomen                            United   States       Health
NWHRC Health Center - Bipolar Disorder                                        10/2001      12/2006    10/2001       12/2006                                  Pamphlet                                   HealthyWomen                            United   States       Health

NWHRC   Health   Center   -   Breast Augmentation & Reduction                 12/2005      9/2007     12/2005        9/2007                               Magazine/Journal                              HealthyWomen                            United   States       Health
NWHRC   Health   Center   -   Breast Cancer                                    3/2005                  3/2005                                                Pamphlet                                   HealthyWomen                            United   States       Health
NWHRC   Health   Center   -   Breast Reconstruction                           12/2005      9/2007     12/2005        9/2007                               Magazine/Journal                              HealthyWomen                            United   States       Health
NWHRC   Health   Center   -   Dry Eye Syndrome                                 3/2005                  3/2005                                                 Report                                    HealthyWomen                            United   States       Health
NWHRC   Health   Center   -   Fitness                                         12/2001      10/2007    12/2001       10/2007                                  Pamphlet                                   HealthyWomen                            United   States       Health
NWHRC   Health   Center   -   Flu/Colds                                       12/2001                 12/2001                                                Pamphlet                                   HealthyWomen                            United   States       Health
NWHRC   Health   Center   -   Genital Herpes                                   3/2005                  3/2005                                                Pamphlet                                   HealthyWomen                            United   States       Health
NWHRC   Health   Center   -   Glaucoma                                        12/2001      12/2005    12/2001       12/2005                                  Pamphlet                                   HealthyWomen                            United   States       Health
NWHRC   Health   Center   -   Health Insurance                                 3/2005      12/2005     3/2005       12/2005                                  Pamphlet                                   HealthyWomen                            United   States       Health
NWHRC   Health   Center   -   Heart Disease                                    3/2005       2/2007     3/2005        2/2007                                  Pamphlet                                   HealthyWomen                            United   States       Health
NWHRC   Health   Center   -   High Blood Pressure                              3/2005       3/2007     3/2005        3/2007                                  Pamphlet                                   HealthyWomen                            United   States       Health
NWHRC   Health   Center   -   HIV/AIDS                                         3/2005       9/2006     3/2005        9/2006                                  Pamphlet                                   HealthyWomen                            United   States       Health
NWHRC   Health   Center   -   Homeopathy                                      12/2001                 12/2001                                                Pamphlet                                   HealthyWomen                            United   States       Health
NWHRC   Health   Center   -   Naturopathy                                      3/2005                  3/2005                                                Pamphlet                                   HealthyWomen                            United   States       Health
NWHRC   Health   Center   -   Nutrition                                        3/2005      12/2006     3/2005       12/2006                                  Pamphlet                                   HealthyWomen                            United   States       Health

NWHRC Health Center - Polycystic Ovarian Syndrome                              3/2006      3/2006      3/2006        3/2006                                  Pamphlet                                   HealthyWomen                            United States         Health
NWHRC Health Center - Schizophrenia                                            3/2005      3/2007      3/2005        3/2007                                  Pamphlet                                   HealthyWomen                            United States         Health
NWHRC Health Center - Skin Cancer                                              3/2005      8/2006      3/2005        8/2006                                  Pamphlet                                   HealthyWomen                            United States         Health
NWHRC Health Center - Sleep Disorders                                          3/2005                  3/2005                                                Pamphlet                                   HealthyWomen                            United States         Health
NWHRC Health Center - Stress                                                   3/2005      5/2005      3/2005        5/2005                                  Pamphlet                                   HealthyWomen                            United States         Health
NWHRC Health Center - Stroke                                                   6/2005      6/2007      6/2005        6/2007                                  Pamphlet                                   HealthyWomen                            United States         Health
NWHRC Health Center - Thyroid Disorders                                        3/2005                  3/2005                                                Pamphlet                                   HealthyWomen                            United States         Health
NWHRC Health Center - Urinary Tract Infection                                  3/2005      5/2005      3/2005        5/2005                                  Pamphlet                                   HealthyWomen                            United States         Health
NWHRC Health Center - Uterine Cancer                                           3/2005      6/2006      3/2005        6/2006                                  Pamphlet                                   HealthyWomen                            United States         Health
NWHRC Health Center - Varicose Veins                                           3/2005      5/2005      3/2005        5/2005                                  Pamphlet                                   HealthyWomen                            United States         Health
NWHRC Health Center - Weight Management                                        3/2005      9/2006      3/2005        9/2006                                  Pamphlet                                   HealthyWomen                            United States         Health
OATS Knee Surgery                                                              1/2010                  1/2010                                                  Video                                    Detroit Medical Center                  United States         Health
OB GYN News                                                     0029-7437     10/1999                 10/1999                                             Magazine/Journal                              International Medical News Group        United States         Health
OB/GYN Clinical Alert                                           0743-8354      1/1997                  1/1997                    11/1999       4/2005     Magazine/Journal                              AHC Media LLC                           United States         Health
Obesity & Diabetes Week                                         1543-6713      1/2003                  1/2003                                               Newsletter                                  NewsRX                                  United States         Health
Obesity Management                                              1545-1712     12/2007      6/2009     12/2007        6/2009      12/2007       6/2009     Magazine/Journal         Y                    Mary Ann Liebert, Inc.                  United States         Health
Obesity Reviews                                                 1467-7881      2/2006                                                                     Magazine/Journal         Y                    Blackwell Publishers Ltd.               United Kingdom        Health
Obesity Surgery                                                 0960-8923      3/1991                                                                     Magazine/Journal         Y                    Springer                                United States         Health
Obesity, Fitness & Wellness Week                                1531-6386     12/2000                 12/2000                    12/2000       7/2001       Newsletter                                  NewsRX                                  United States         Health
OBGYN & Reproduction Week                                       1543-6691      1/2003                  1/2003                                               Newsletter                                  NewsRX                                  United States         Health
Obstetrics and Gynecology                                       0029-7844      5/1989      5/1989                                                         Magazine/Journal         Y                    Elsevier B.V.                           Netherlands           Health
Occupational and Environmental Medicine                         1351-0711      1/2001                  1/2001        4/2004       8/2001       10/2003    Magazine/Journal         Y                    British Medical Association             United States         Health

                                                                                                                                                                                                        Penton Media, Inc., Penton Business
Occupational Hazards                                            0029-7909     1/1981       10/2008     1/1989       10/2008      12/1992       10/2008    Magazine/Journal                              Media, Inc. and their subsidiaries      United States         Health care industry
                                                                                                                                                                                                                                                                      Human resources and labor
Occupational Health                                             0029-7917     11/2003                 11/2003                                             Magazine/Journal         Y                    Reed Business Information Ltd.          United Kingdom        relations
                                                                                                                                                                                                                                                                      Human resources and labor
Occupational Health Management                                  1082-5339     1/1997                   1/1997                    12/2001        4/2005       Newsletter                                 AHC Media LLC                           United States         relations
                                                                                                                                                                                                        RoSPA Occuapational Safety Division
Occupational Safety & Health                                    0143-5353     1/1992       3/2001                                                         Magazine/Journal                              (UK)                                                          Health




                                                                                                                                                                                                                                                                        HRC Academic
                                                                                                                                                                                                                                                                               49/62
Journal Name                                                    ISSN      Index Start   Index End   Full-text   Full-text End Image Start   Image End       Format         Refereed/Peer-   Embargo             Publisher Name                  Publisher Country   Publication Primary Subject
                                                                                                      Start                                                                  Reviewed        (Days)
                                                                                                                                                                                                      Canadian Association of Occupational
Occupational Therapy Now                                      1481-5532      9/2010                  9/2010                     9/2010                  Magazine/Journal                              Therapists                              Canada                Health
Oecologia                                                     0029-8549      5/2005                                                                     Magazine/Journal         Y                    Springer                                United States         Biological sciences
Office Nurse                                                  0893-6595      9/1999      11/1999     9/1999       11/1999                               Magazine/Journal                              AHC Media LLC                           United States         Health
Oklahoma Nurse                                                0030-1787      9/2006                  9/2006                     9/2006                  Magazine/Journal                              Oklahoma Nurses Association             United States         Health
Older Americans Report                                        0146-3640      1/2004      6/2006      1/2004        6/2006                               Magazine/Journal                              Eli Research, Inc.                      United States         Government
Oligonucleotides                                              1545-4576     12/2007      5/2011     12/2007        5/2011      12/2007       5/2011     Magazine/Journal         Y                    Mary Ann Liebert, Inc.                  United States         Biological sciences
                                                                                                                                                                                                      Medknow Publications and Media Pvt.
Oman Journal of Ophthalmology                                 0974-620X      1/2008                  1/2008                                             Magazine/Journal         Y                    Ltd.                                    India                 Health
Oman Medical Journal                                          1999-768X     10/2010                 10/2010                    10/2010                  Magazine/Journal         Y                    Oman Medical Specialty Board            Oman                  Health
Omega                                                         0305-0483      9/1984                 12/2001        2/2009      12/2001       2/2009     Magazine/Journal         Y                    Elsevier Science Publishers                                   Business, general

Omega - The Journal Of Death And Dying (Farmindale)           0030-2228      1/1988                                                                     Magazine/Journal         Y                    Baywood Publishing Company, Inc.        United States         Psychology and mental health
OMICS: A Journal of Integrative Biology                       1536-2310     12/2007      10/2011    12/2007       10/2011      12/2007       10/2011    Magazine/Journal         Y                    Mary Ann Liebert, Inc.                  United States         Biological sciences
                                                                                                                                                                                                      International Association of Forensic
On The Edge                                                                  3/2006                  3/2006        9/2010       3/2006       12/2007    Magazine/Journal                              Nurses                                  United   States       Health
Oncogene                                                      0950-9232      1/2000                  1/2000                    11/2007                  Magazine/Journal         Y            365     Nature Publishing Group                 United   Kingdom      Health
Oncology                                                      0890-9091      7/2005                  7/2005                                             Magazine/Journal         Y                    CMP Medica, LLC                         United   States       Health
Oncology News International                                   1065-2957      7/2005                  7/2005                                             Magazine/Journal                              CMP Medica, LLC                         United   States       Health
Oncology Nurse Advisor                                        2154-350X      5/2010                  5/2010                     5/2010                  Magazine/Journal                              Haymarket Media, Inc.                   United   States       Health
Oncology Nursing Forum                                        0190-535X     11/2006                 11/2006                    11/2006                  Magazine/Journal         Y            365     Oncology Nursing Society                United   States       Health
Oncology Reviews                                              1970-5557      5/2007                                                                     Magazine/Journal                              Springer                                United   States       Health

Online                                                        0146-5422     1/1980                   1/1988                    11/1992                  Magazine/Journal                              Information Today, Inc.                 United States         Library and information science
Online Journal of Rural Nursing & Health Care                 1539-3399     9/2006                   9/2006                     3/2007                  Magazine/Journal         Y                    Rural Nurse Organization                United States         Health care industry
                                                                                                                                                                                                                                                                    Computers and office
Online Review                                                 0309-314X      1/1983      8/1985                                                         Magazine/Journal         Y                    INT Media Group, Inc.                   United States         automation industries
ONS Connect                                                   1935-1623      1/2007                  1/2007                     1/2007                  Magazine/Journal                      365     Oncology Nursing Society                United States         Health
ONS News                                                      0890-5215     12/2006      12/2006    12/2006       12/2006      12/2006       12/2006    Magazine/Journal                              Oncology Nursing Society                United States         Health
Operative Techniques in Orthopaedics                          1048-6666     10/1997                                                                     Magazine/Journal         Y                    Elsevier B.V.                           Netherlands           Health care industry
Operative Techniques in Otolaryngology - Head and Neck
Surgery                                                       1043-1810     3/1995                                                                      Magazine/Journal         Y                    Elsevier B.V.                           Netherlands           Health
Operative Techniques in Sports Medicine                       1060-1872     7/1997                                                                      Magazine/Journal         Y                    Elsevier B.V.                           Netherlands           Health care industry
Ophthalmic and Physiological Optics                           0275-5408     1/2001                                                                      Magazine/Journal         Y                    Blackwell Publishers Ltd.               United Kingdom        Health
Ophthalmology Times                                           0193-032X     3/1998                   3/1998                                             Magazine/Journal         Y                    Advanstar Communications, Inc.          United States         Health
Optical Memory and Neural Networks                            1060-992X     3/2007                                                                      Magazine/Journal         Y                    Springer                                United States         Computers
Optoelectronics Letters                                       1673-1905     1/2007                                                                      Magazine/Journal         Y                    Springer                                United States         Science and technology
Optometry Today                                               0268-5485     7/2007                   7/2007                     7/2007                  Magazine/Journal                              Ten Alps Publishing                     United Kingdom        Health
Oral and Maxillofacial Surgery                                1865-1550     5/2008                                                                      Magazine/Journal         Y                    Springer                                United States         Health
Oral Diseases                                                 1354-523X     1/2002                                                                      Magazine/Journal         Y                    Blackwell Publishers Ltd.               United Kingdom        Health
Oral Surgery, Oral Medicine, Oral Pathology, Oral Radiology
and Endodontology                                             1079-2104     1/1995                                                                      Magazine/Journal         Y                    Elsevier B.V.                           Netherlands           Health care industry
Original Internist                                            1529-4722     9/2000                   9/2000                    12/2000                  Magazine/Journal         Y                    Original Internist, Inc.                                      Health
Orphanet Journal of Rare Diseases                             1750-1172     1/2007                   1/2007                                             Magazine/Journal         Y                    BioMed Central Ltd.                     United Kingdom        Health
Orthodontic Products                                          1097-797X     2/2006                   2/2006                     2/2006                  Magazine/Journal                              Allied Media LLC                        United States         Health
                                                                                                                                                                                                      Lippincott Williams & Wilkins, WK
Orthopaedic Nursing                                           0744-6020      3/1996      3/2004                                                         Magazine/Journal         Y                    Health                                  United States         Health
Orthopedic Design & Technology                                               5/2007                  5/2007                     5/2007                  Magazine/Journal                              Rodman Publishing                       United States         Science and technology
OrthoTec                                                      2153-9782      3/2010                  3/2010                     3/2010                  Magazine/Journal                              Canon Communications LLC                United States         Health
OSHA Watch                                                    1944-6772     11/2008      1/2010     11/2008        1/2010      11/2008       1/2010       Newsletter                                  HCPro, Inc.                             United States         Business, general
Osteopathic Medicine and Primary Care                         1750-4732      3/2007      8/2010      3/2007        8/2010                               Magazine/Journal         Y                    BioMed Central Ltd.                     United Kingdom        Health
Osteoporosis International                                    0937-941X      5/1997                                                                     Magazine/Journal         Y                    Springer                                United States         Health
Ostomy Quarterly                                              0030-6517      1/1988      9/2005      3/1989        9/2005       9/1999       9/2005     Magazine/Journal         Y                    United Ostomy Association, Inc.         United States         Health
OTC Pain Meds: How they work, How to take them                               1/2009                  1/2009                     1/2009                     Pamphlet                                   National Consumers League               United States         Health
Otolaryngology - Head and Neck Surgery                        0194-5998      1/1995                                                                     Magazine/Journal         Y                    Elsevier B.V.                           Netherlands           Health

Outcomes & Accountability Alert                               1524-0908     2/1999        2/2000     2/1999        2/2000       2/2000        2/2000      Newsletter                                  Manisses Communications Group, Inc.     United   States       Health
Outpatient Reimbursement Management                           1087-0369     1/1997       12/1998     1/1997       12/1998                                 Newsletter                                  AHC Media LLC                           United   States       Health care industry
Pacing and Clinical Electrophysiology                         0147-8389     3/2003                                                                      Magazine/Journal         Y                    Blackwell Publishers Ltd.               United   Kingdom      Health
Paediatric and Perinatal Epidemiology                         0269-5022     1/2006                                                                      Magazine/Journal         Y                    Blackwell Publishers Ltd.               United   Kingdom      Health
                                                                                                                                                                                                      Royal College of Nursing Publishing
Paediatric Nursing                                            0962-9513      4/2003      3/2011      4/2003        3/2011       4/2003        3/2011    Magazine/Journal         Y                    Company (RCN)                           United Kingdom        Health
Pain                                                          0304-3959     12/1995                                                                     Magazine/Journal         Y                    Elsevier B.V.                           Netherlands           Health
Pain & Central Nervous System Week                            1531-6394     12/2000                 12/2000                    12/2000       7/2001       Newsletter                                  NewsRX                                  United States         Health
Pain Management Nursing                                       1524-9042      3/2005                                                                     Magazine/Journal         Y                    Elsevier B.V.                           Netherlands           Health care industry
Pain Medicine                                                 1526-2375      1/2006                                                                     Magazine/Journal         Y                    Blackwell Publishers Ltd.               United Kingdom        Health




                                                                                                                                                                                                                                                                      HRC Academic
                                                                                                                                                                                                                                                                             50/62
Journal Name                                           ISSN      Index Start   Index End   Full-text   Full-text End Image Start   Image End       Format         Refereed/Peer-   Embargo             Publisher Name                 Publisher Country   Publication Primary Subject
                                                                                             Start                                                                  Reviewed        (Days)

Pakistan Journal of Clinical Psychology              1019-438X      7/2009                  7/2009                                             Magazine/Journal         Y                    Asianet-Pakistan                       Pakistan              Psychology and mental health
Pakistan Journal of Medical Research                 0030-9842      3/2010                  3/2010                                             Magazine/Journal         Y                    Asianet-Pakistan                       Pakistan              Health
Pakistan Journal of Medical Sciences                 1682-024X     12/2010                 12/2010                                             Magazine/Journal                              Asianet-Pakistan                       Pakistan              Health
                                                                                                                                                                                             National Institute of Psychology,
Pakistan Journal of Psychological Research           1016-0604     6/1986                   6/1986                     6/1986                  Magazine/Journal                              Quaid-i-Azam University                Pakistan              Psychology and mental health

Pakistan Journal of Psychology                       0030-9869     6/2009                   6/2009                                             Magazine/Journal         Y                    Asianet-Pakistan                       Pakistan              Psychology and mental health

Pakistan Journal of Social and Clinical Psychology   1727-4931     12/2008                 12/2008                                             Magazine/Journal         Y                    Asianet-Pakistan                       Pakistan              Psychology and mental health
Pakistan Oral and Dental Journal                     1012-8700     6/2010                  6/2010                                              Magazine/Journal         Y                    Asianet-Pakistan                       Pakistan              Health
Palaestra                                            8756-5811     9/1987                  6/1990                      6/1999                  Magazine/Journal                              The McDonough Democrat                 United States         Education
Paraplegia News                                      0031-1766     1/1988                  2/1989                      9/1999                  Magazine/Journal                              Paralyzed Veterans of America          United States         Health
Parasite Immunology                                  0141-9838     6/1998                                                                      Magazine/Journal         Y                    Blackwell Publishers Ltd.              United Kingdom        Health
Parenting Your Aging Parents                                       9/2000       9/2003      9/2000        9/2003      12/2000       1/2001     Magazine/Journal                              Key Publications                       United States         Seniors
Parents Magazine                                     1083-6373     1/1980                                                                      Magazine/Journal                              Meredith Corporation                   United States         Family and marriage
Parents' Pediatric Report                                          1/1988       9/1990                                                           Newsletter                                  Parents' Pediatric Report                                    Health
                                                                                                                                                                                             International Parish Nurse Resource
Parish Nurse Perspectives                                           9/2006                  9/2006                     9/2006                  Magazine/Journal                              Center                                 United States         Health care industry
Parkinson's Disease                                  2042-0080      1/2010                  1/2010                     1/2010                  Magazine/Journal         Y                    Hindawi Publishing Corp.               Egypt                 Health
Patent Strategy & Management                         1532-0162      4/2007      12/2009                                                          Newsletter                                  Incisive Media                         United States         Law
PathoGenetics                                        1755-8417     11/2008       2/2010    11/2008        2/2010                               Magazine/Journal         Y                    BioMed Central Ltd.                    United Kingdom        Health
Pathology International                              1320-5463      1/2006                                                                     Magazine/Journal         Y                    Blackwell Publishers Ltd.              United Kingdom        Health
Pathology Research International                     2042-003X      1/2010                  1/2010                     1/2010                  Magazine/Journal         Y                    Hindawi Publishing Corp.               Egypt                 Health
Patient Care                                         0031-305X      1/1981      12/2007     1/1983        8/2006       1/2002       8/2006     Magazine/Journal         Y                    Advanstar Communications, Inc.         United States         Health
Patient Care for the Nurse Practitioner              1526-4769     11/2001       2/2007    11/2001        2/2007                               Magazine/Journal         Y                    Advanstar Communications, Inc.         United States         Health
Patient Care Management                              1532-8880      1/2002      11/2003     1/2002       11/2003       1/2002       11/2003      Newsletter                                  Aspen Publishers, Inc.                 United States         Health care industry
Patient Education and Counseling                     0738-3991      5/2005                                                                     Magazine/Journal         Y                    Elsevier B.V.                          Netherlands           Health
Patient Education Management                         1087-0296      1/1997                  1/1997                    12/2001       4/2005       Newsletter                                  AHC Media LLC                          United States         Health

Patient Management                                   1099-4777      2/2000      6/2000      2/2000        6/2000       4/2000        6/2000    Magazine/Journal                              Reed Business Information, Inc. (US)   United   States       Health   care industry
Patient Safety Alert                                                4/2000      4/2008      4/2000        4/2008                                 Newsletter                                  AHC Media LLC                          United   States       Health   care industry
Patient Safety in Surgery                            1754-9493     11/2007                 11/2007                                             Magazine/Journal         Y                    BioMed Central Ltd.                    United   Kingdom      Health
Patient Safety Monitor Journal                       2157-5630     11/2010                 11/2010                    11/2010                    Newsletter                                  HCPro, Inc.                            United   States       Health   care industry
Patient Satisfaction & Outcomes Management                          1/1997      12/1999     1/1997       12/1999                                 Newsletter                                  AHC Media LLC                          United   States       Health   care industry
Patient: Patient-Centered Outcomes Research          1178-1653      1/2008                  1/2008        7/2011       1/2008       7/2011     Magazine/Journal                              Wolters Kluwer Health                  United   Kingdom      Health
Patient-Focused Care & Satisfaction                  1097-9530      1/1997      4/2000      1/1997        4/2000                                 Newsletter                                  AHC Media LLC                          United   States       Health   care industry
Pediatric & Adolescent Medicine Reports                             1/1997      1/2000      1/1997        1/2000                                 Newsletter                                  AHC Media LLC                          United   States       Health   care industry
Pediatric Allergy and Immunology                     0905-6157      5/2000                                                                     Magazine/Journal         Y                    Blackwell Publishers Ltd.              United   Kingdom      Health
Pediatric Allergy, Immunology, and Pulmonology       2151-321X      9/2010       9/2011     9/2010        9/2011       9/2010       9/2011     Magazine/Journal         Y                    Mary Ann Liebert, Inc.                 United   States       Health
Pediatric and Developmental Pathology                1093-5266      1/1998      12/2005                                                        Magazine/Journal         Y                    Springer                               United   States       Health   care industry
Pediatric Anesthesia                                 1155-5645      1/2006                                                                     Magazine/Journal         Y                    Blackwell Publishers Ltd.              United   Kingdom      Health
Pediatric Asthma, Allergy & Immunology               0883-1874     11/2007      12/2009    11/2007       12/2009      11/2007       12/2009    Magazine/Journal         Y                    Mary Ann Liebert, Inc.                 United   States       Health
Pediatric Cardiology                                 0172-0643      1/1996                                                                     Magazine/Journal         Y                    Springer                               United   States       Health
Pediatric Dermatology                                0736-8046      7/1999                                                                     Magazine/Journal         Y                    Blackwell Publishers Ltd.              United   Kingdom      Health
Pediatric Diabetes                                   1399-543X      2/2006                                                                     Magazine/Journal         Y                    Blackwell Publishers Ltd.              United   Kingdom      Health
Pediatric Drugs                                      1174-5878      9/2003                  9/2003        9/2011       9/2003       9/2011     Magazine/Journal         Y                    Wolters Kluwer Health                  United   Kingdom      Health
Pediatric Emergency Medicine Reports                 1082-3344      1/1997                  1/1997                    12/2001       3/2005       Newsletter                                  AHC Media LLC                          United   States       Health
Pediatric Health                                     1745-5111     10/2007      12/2010    10/2007       12/2010       2/2010       2/2010     Magazine/Journal         Y                    Future Medicine Ltd.                   United   Kingdom      Health
Pediatric Nephrology                                 0931-041X      1/1998                                                                     Magazine/Journal         Y                    Springer                               United   States       Health
Pediatric News                                       0031-398X      7/2001                  7/2001                                             Magazine/Journal                              International Medical News Group       United   States       Health
Pediatric Nursing                                    0097-9805      1/1996                  1/1996                     5/1996                  Magazine/Journal         Y                    Jannetti Publications, Inc.            United   States       Health
Pediatric Report's Child Health Newsletter           1065-1284     10/1990      4/1994     10/1990        4/1994                                 Newsletter                                  Parents' Pediatric Report                                    Health
Pediatric Rheumatology                               1546-0096      4/2007                  4/2007                                             Magazine/Journal         Y                    BioMed Central Ltd.                    United   Kingdom      Health
Pediatric Surgery International                      0179-0358     12/1997                                                                     Magazine/Journal         Y                    Springer                               United   States       Health
Pediatric Transplantation                            1397-3142      2/2006                                                                     Magazine/Journal         Y                    Blackwell Publishers Ltd.              United   Kingdom      Health
Pediatrics                                           0031-4005      6/1989                  2/1995        6/2007      12/1998       6/2007     Magazine/Journal         Y                    American Academy of Pediatrics         United   States       Health
Pediatrics for Parents                               0730-6725      1/1988                  1/1988                     5/1997                    Newsletter                                  Pediatrics for Parents, Inc.           United   States       Health
Pediatrics International                             1328-8067      4/2002                                                                     Magazine/Journal         Y                    Blackwell Publishers Ltd.              United   Kingdom      Health
People's Doctor Newsletter                                          1/1988      6/1988                                                           Newsletter                                  People's Doctor, Inc.                  United   States       Health
People's Medical Journal                             0741-2886      1/1988      2/1988                                                         Magazine/Journal                              Time Inc., Health                      United   States       Law
                                                                                                                                                                                             Canadian Council on Social
Perception                                           0704-5263     6/1989       12/1991                                                        Magazine/Journal         Y                    Development                            Canada                Psychology and mental health

Perceptual and Motor Skills                          0031-5125      2/1989                                                                     Magazine/Journal         Y                    Ammons Scientific, Ltd.                United States         Psychology and mental health
Personalized Medicine                                1741-0541     12/2004                 12/2004                    12/2004                  Magazine/Journal         Y            365     Future Medicine Ltd.                   United Kingdom        Health




                                                                                                                                                                                                                                                            HRC Academic
                                                                                                                                                                                                                                                                   51/62
Journal Name                                                ISSN      Index Start   Index End   Full-text   Full-text End Image Start   Image End       Format         Refereed/Peer-   Embargo             Publisher Name                 Publisher Country   Publication Primary Subject
                                                                                                  Start                                                                  Reviewed        (Days)
                                                                                                                                                                                                  Escuela de Nutricion y Dietetica de la
Perspectivas en Nutricion Humana                          0124-4108     1/2008                   1/2008                     1/2008                  Magazine/Journal         Y                    Universidad de Antioquia               Colombia              Health

Perspectivas Internacionales en Planificaci ≤n Familiar                 1/2000       1/2002      1/2000        1/2002       1/2001       1/2002        Pamphlet                                   Guttmacher Institute                   United States         Family and marriage
Perspectives in Biology and Medicine                      0031-5982     1/1992                   1/1997        9/2009       3/2000       9/2009     Magazine/Journal         Y                    Johns Hopkins University Press         United States         Health
                                                                                                                                                                                                  Medknow Publications and Media Pvt.
Perspectives in Clinical Research                         2229-3485     1/2010                   1/2010                                             Magazine/Journal         Y                    Ltd.                                   India                 Health
Perspectives in Health                                    1020-5551     6/2004       3/2008      6/2004        3/2008       1/2007        1/2007    Magazine/Journal                              Pan American Health Organization       United   States       Health
Perspectives in Psychiatric Care                          0031-5990     1/1996                   1/1996       10/2004       1/1996       10/2004    Magazine/Journal         Y                    Blackwell Publishers Ltd.              United   Kingdom      Health
Perspectives on Sexual and Reproductive Health            1538-6341     3/2002                   3/2002                     3/2002                  Magazine/Journal         Y                    Blackwell Publishers Ltd.              United   Kingdom      Family and marriage
Pflⁿgers Archiv: European Journal of Physiology           0031-6768     2/2002                                                                      Magazine/Journal         Y                    Springer                               United   States       Biological sciences
Pharma                                                    1746-174X     1/2007                   1/2007                     1/2007                  Magazine/Journal                              Via Media Ltd.                         United   Kingdom      Chemistry
                                                                                                                                                                                                                                                               Pharmaceuticals and cosmetics
Pharma Business Week                                      1543-6675      1/2003                  1/2003                                               Newsletter                                  NewsRX                              United      States       industries
Pharmaceutical & Medical Packaging News                   1081-5481      1/2010                  1/2010                     1/2010                  Magazine/Journal                              Canon Communications LLC            United      States       Business, general
Pharmaceutical Discovery                                  1554-2068     10/2004      11/2005    10/2004       11/2005                               Magazine/Journal         Y                    Advanstar Communications, Inc.      United      States       Science and technology
Pharmaceutical Medicine                                   1364-9027      1/2008                  1/2008        9/2011       1/2008       9/2011     Magazine/Journal         Y                    Wolters Kluwer Health               United      Kingdom      Health
                                                                                                                                                                                                  Medknow Publications and Media Pvt.
Pharmaceutical Methods                                                  1/2010                   1/2010                                             Magazine/Journal         Y                    Ltd.                                India                    Health
                                                                                                                                                                                                                                                               Pharmaceuticals and    cosmetics
Pharmaceutical Representative                             0161-8415     1/2007       12/2011     1/2007       12/2011       1/2007       12/2011    Magazine/Journal                              Advanstar Communications, Inc.         United States         industries
                                                                                                                                                                                                                                                               Pharmaceuticals and    cosmetics
Pharmaceutical Technology                                 1543-2521     1/2000                   1/2000                     2/2002        6/2004    Magazine/Journal         Y                    Advanstar Communications, Inc.         United States         industries
                                                                                                                                                                                                                                                               Pharmaceuticals and    cosmetics
Pharmaceutical Technology Asia                            1753-9013     8/2000       8/2002      9/2000        8/2002       4/2002        8/2002    Magazine/Journal         Y                    Advanstar Communications, Inc.         United States         industries
                                                                                                                                                                                                                                                               Pharmaceuticals and    cosmetics
Pharmaceutical Technology Europe                          0164-6826     12/2000                 12/2000                     2/2002        2/2004    Magazine/Journal         Y                    Advanstar Communications, Inc.      United      States       industries
Pharmaceuticals Market Research Report                                   7/2009                  7/2009                     7/2009                      Report                                    MarketsandMarkets                   India                    Health
Pharmacist's Dietary Supplement Alert                     1527-7348      3/2000      7/2000      3/2000        7/2000                                 Newsletter                                  AHC Media LLC                       United      States       Health care industry
PharmacoEconomics                                         1170-7690      8/2003                  8/2003        9/2011       8/2003       9/2011     Magazine/Journal         Y                    Wolters Kluwer Health               United      Kingdom      Health
PharmacoEconomics and Outcomes News                       1173-5503     10/2008      4/2011     10/2008        4/2011      10/2008       4/2011     Magazine/Journal                              Wolters Kluwer Health               United      Kingdom      Health
Pharmacogenomics                                          1462-2416      2/2000                  2/2000                     2/2000                  Magazine/Journal         Y            365     Future Medicine Ltd.                United      Kingdom      Health
Pharmacogenomics Journal                                  1470-269X      2/2001                  2/2001                     2/2001                  Magazine/Journal         Y            365     Nature Publishing Group             United      Kingdom      Health
                                                                                                                                                                                                  Medknow Publications and Media Pvt.
Pharmacognosy Magazine                                    0973-1296     1/2010                   1/2010                                             Magazine/Journal         Y                    Ltd.                                India                    Health
                                                                                                                                                                                                  Medknow Publications and Media Pvt.
Pharmacognosy Research                                    0974-8490     1/2010                   1/2010                                             Magazine/Journal         Y                    Ltd.                                India                    Health
                                                                                                                                                                                                  Medknow Publications and Media Pvt.
Pharmacognosy Reviews                                     0973-7847     1/2010                   1/2010                                             Magazine/Journal         Y                    Ltd.                                India                    Health

Pharmacology & Pharmacy                                   2157-9423     1/2011                                                                      Magazine/Journal         Y                    Scientific Research Publishing, Inc.   United States         Chemistry
                                                                                                                                                                                                  Pharmacy & Healthcare                                        Pharmaceuticals and cosmetics
Pharmacy Times                                            0003-0627     2/2009                   2/2009                     2/2009                  Magazine/Journal                              Communications, LLC                    United States         industries
PharmaGenomics                                            1541-4035     9/2003       9/2004      9/2003        9/2004       9/2003       5/2004     Magazine/Journal         Y                    Advanstar Communications, Inc.         United States         Science and technology

Photodermatology, Photoimmunology and Photomedicine       0905-4383      4/2000                                                                     Magazine/Journal         Y                    Blackwell Publishers Ltd.              United Kingdom        Health
Photomedicine and Laser Surgery                           1549-5418     12/2007      11/2011    12/2007       11/2011      12/2007       11/2011    Magazine/Journal         Y                    Mary Ann Liebert, Inc.                 United States         Health
                                                                                                                                                                                                  American Physical Therapy
Physical Therapy                                          0031-9023      1/1988                  1/1989                     8/1999                  Magazine/Journal         Y                    Association, Inc.                      United States         Health
Physical Therapy in Sport                                 1466-853X      5/2005                                                                     Magazine/Journal         Y                    Elsevier B.V.                          Netherlands           Health care industry
Physical Therapy Products                                 1059-096X     10/2006                 10/2006                    10/2006                  Magazine/Journal                              Allied Media LLC                       United States         Health
Physician and Sportsmedicine                              0091-3847      1/1981      12/2005                                                        Magazine/Journal         Y                    JTE Multimedia                         United States         Health
                                                                                                                                                                                                  Lippincott Williams & Wilkins, WK
Physician Assistant                                       8750-7544      1/1996      9/2003                                                         Magazine/Journal         Y                    Health                                 United States         Health
Physician Assistants' Prescribing Reference               1074-388X     12/2005                 12/2005                    12/2005                     Handbook                                   Haymarket Media, Inc.                  United States         Health
                                                                                                                                                                                                  American College of Physician
Physician Executive                                       0898-2759      1/1989                  1/1989                     1/1998                  Magazine/Journal         Y                    Executives                             United   States       Health care industry
Physician Relations Update                                1079-0349      1/1997      12/1998     1/1997       12/1998                                 Newsletter                                  AHC Media LLC                          United   States       Health care industry
Physician's Compliance Hotline                                           1/1999       9/1999     1/1999        9/1999                                 Newsletter                                  AHC Media LLC                          United   States       Health care industry
Physician's Managed Care Report                           1087-027X      1/1997       6/2001     1/1997        6/2001                                 Newsletter                                  AHC Media LLC                          United   States       Health care industry
Physician's Payment Update                                1050-8791     11/2001      12/2001    11/2001       12/2001      12/2001       12/2001      Newsletter                                  AHC Media LLC                          United   States       Health care industry
                                                                                                                                                                                                                                                               Pharmaceuticals and cosmetics
Physician's Therapeutics & Drug Alert                     1089-6538     10/2001      1/2002     10/2001        1/2002      11/2001        1/2002      Newsletter                                  AHC Media LLC                          United States         industries
Physiologia Plantarum                                     0031-9317      6/1992                                                                     Magazine/Journal         Y                    Blackwell Publishers Ltd.              United Kingdom        Biological sciences
                                                                                                                                                                                                                                                               Zoology and wildlife
Physiological and Biochemical Zoology                     1522-2152     11/2000                                                                     Magazine/Journal         Y                    University of Chicago Press            United States         conservation
Physiological Reviews                                     0031-9333      1/1992                  1/1993        4/2007       7/1994       4/2007     Magazine/Journal         Y                    American Physiological Society         United States         Biological sciences




                                                                                                                                                                                                                                                                 HRC Academic
                                                                                                                                                                                                                                                                        52/62
Journal Name                                                  ISSN      Index Start   Index End   Full-text   Full-text End Image Start   Image End       Format         Refereed/Peer-   Embargo             Publisher Name                Publisher Country   Publication Primary Subject
                                                                                                    Start                                                                  Reviewed        (Days)
Physiotherapy                                               0031-9406     1/1995                                                                      Magazine/Journal          Y                   Elsevier B.V.                         Netherlands           Health care industry
Phytomedicine: International Journal of Phytotherapy &
Phytopharmacology                                           0944-7113      1/2002                  1/2002                     1/2002                  Magazine/Journal         Y                    Urban & Fischer Verlag                                      Science and technology
Pigment Cell & Melanoma Research                            1755-1471      4/2008                                                                     Magazine/Journal         Y                    Blackwell Publishers Ltd.             United   Kingdom      Biological sciences
Pigment Cell Research                                       0893-5785      4/2002       2/2008                                                        Magazine/Journal         Y                    Blackwell Publishers Ltd.             United   Kingdom      Biological sciences
Planned Giving Mentor                                       1546-2617     12/2007      11/2009    12/2007       11/2009      12/2007       11/2009      Newsletter                                  Mary Ann Liebert, Inc.                United   States       Sociology and social work
Planned Giving Today                                        1052-4770     12/2007      11/2011    12/2007       11/2011      12/2007       11/2011      Newsletter                                  Mary Ann Liebert, Inc.                United   States       Sociology and social work
Plant Journal                                               0960-7412      9/1991                                                                     Magazine/Journal         Y                    Blackwell Publishers Ltd.             United   Kingdom      Biological sciences
Plant, Cell and Environment                                 0140-7791      1/2006                                                                     Magazine/Journal         Y                    Blackwell Publishers Ltd.             United   Kingdom      Biological sciences
Planta                                                      0032-0935      8/1997                                                                     Magazine/Journal         Y                    Springer                              United   States       Biological sciences
Plastic Surgery Products                                    1084-1660      1/2006                  1/2006                     1/2006                  Magazine/Journal                              Allied Media LLC                      United   States       Health care industry
                                                                                                                                                                                                    Lippincott Williams & Wilkins, WK
Plastic Surgical Nursing                                    0741-5206     12/1995      1/2004                                                         Magazine/Journal         Y                    Health                                United   States       Health
PLoS Biology                                                1545-7885      5/2006                  5/2006                     6/2006                  Magazine/Journal         Y                    Public Library of Science             United   States       Biological sciences
PLoS Genetics                                               1553-7390      4/2006                  4/2006                     5/2006                  Magazine/Journal         Y                    Public Library of Science             United   States       Biological sciences
PLoS Medicine                                               1549-1277      4/2006                  4/2006                     5/2006                  Magazine/Journal         Y                    Public Library of Science             United   States       Biological sciences
PLoS Neglected Tropical Diseases                            1935-2727      4/2011                  4/2011                     4/2011                  Magazine/Journal         Y                    Public Library of Science             United   States       Health
PLoS Pathogens                                              1553-7366      4/2006                  4/2006                     5/2006                  Magazine/Journal         Y                    Public Library of Science             United   States       Biological sciences
PMC Biophysics                                              1757-5036     11/2008      6/2010     11/2008        6/2010                               Magazine/Journal         Y                    BioMed Central Ltd.                   United   Kingdom      Biological sciences
PMC Physics A                                               1754-0410     10/2007      2/2010     10/2007        2/2010                               Magazine/Journal         Y                    BioMed Central Ltd.                   United   Kingdom      Physics
Podiatry Management                                         0744-3528      2/2002                                                                     Magazine/Journal                              Kane Communications, Inc.             United   States       Health care industry

Podiatry Now                                                1460-731X     7/2007       8/2009      7/2007        8/2009                               Magazine/Journal         Y                    Society of Chiropodists and Podiatrists United Kingdom      Health
                                                                                                                                                                                                                                                                Fashion, accessories and textiles
Point of View                                               1198-5666      3/1996      9/2002                                                         Magazine/Journal                              Holt Renfrew & Company, Ltd.          Canada                industries
Population Briefs                                           1084-6786      9/2002                  9/2002                     9/2002                  Magazine/Journal                              The Population Council, Inc.          United States         Sociology and social work
Population Health Insider                                                  4/2009      9/2009      4/2009        9/2009       4/2009       9/2009     Magazine/Journal                              HCPro, Inc.                           United States         Health
Population Health Metrics                                   1478-7954     12/2006                 12/2006                                             Magazine/Journal         Y                    BioMed Central Ltd.                   United Kingdom        Health
                                                                                                                                                                                                    Palgrave Macmillan, a Division of
Population Trends                                           0307-4463     3/1992                   6/2008                                             Magazine/Journal                      365     Macmillan Publishers Ltd.             United   Kingdom      Sociology and social work
Postgraduate Medical Journal                                0032-5473     1/2001                   1/2001        3/2004       8/2001       11/2001    Magazine/Journal         Y                    British Medical Association           United   States       Health
Postgraduate Medicine                                       0032-5481     1/1991                                                                      Magazine/Journal         Y                    JTE Multimedia                        United   States       Health
PPAR Research                                               1687-4757     1/2006                   1/2006                     1/2006                  Magazine/Journal         Y                    Hindawi Publishing Corp.              Egypt                 Biological sciences
Practical Neurology                                         0022-3050     2/2009                                                                      Magazine/Journal                              British Medical Association           United   States       Health
Practical Summaries in Acute Care                           1930-1103     1/1997       11/2009     1/1997       11/2009                                 Newsletter             Y                    AHC Media LLC                         United   States       Health
Practice Marketing & Management                             1527-7844     1/1997       12/1999     1/1997       12/1999                                 Newsletter                                  AHC Media LLC                         United   States       Health care industry
Practice Nurse                                              0953-6612     7/2000                   7/2000       12/2008                               Magazine/Journal                              Elsevier Science Publishers                                 Health
Practitioner                                                0032-6518     1/2002                   1/2002                                             Magazine/Journal         Y                    Practitioner Medical Publishing       United Kingdom        Health
Pramana                                                     0304-4289     7/1999                                                                      Magazine/Journal         Y                    Springer                              United States         Physics

Prescribing Reference for Obstetricians and Gynecologists   1051-4171     3/2006       12/2007     3/2006       12/2007       3/2006       12/2007       Handbook              Y                    Haymarket Media, Inc.                 United States         Health
Prescribing Reference for Pediatricians                     1051-3280     9/2006                   9/2006                     9/2006                     Handbook              Y                    Haymarket Media, Inc.                 United States         Health
Prevention                                                  0032-8006     1/1980                   1/1993                     5/1994       12/2003    Magazine/Journal                      30      Rodale, Inc.                          United States         Health

Prevention Researcher                                       1086-4385     12/2006                 12/2006                    12/2006                  Magazine/Journal         Y                    Integrated Research Services, Inc.    United States         Psychology and mental health
Prevention Science                                          1389-4986      3/2000                                                                     Magazine/Journal         Y                    Springer                              United States         Health
Preventive Medicine                                         0091-7435      7/2005                                                                     Magazine/Journal         Y                    Elsevier B.V.                         Netherlands           Health care industry
Primary Cardiology                                          0363-5104      1/1992      12/1995                                                        Magazine/Journal         Y                    PW Communications International       United States         Health
Primary Care Reports                                        1040-2497      1/1997                  1/1997                    12/2001       3/2005       Newsletter                                  AHC Media LLC                         United States         Health
                                                                                                                                                                                                    Royal College of Nursing Publishing
Primary Health Care                                         0264-5033     4/2003                   4/2003                     5/2003                  Magazine/Journal                      90      Company (RCN)                         United Kingdom        Health care industry
                                                                                                                                                                                                                                                                Zoology and wildlife
Primates                                                    0032-8332     1/1980                                                                      Magazine/Journal         Y                    Springer                              United States         conservation
                                                                                                                                                                                                    American Council on Science and
Priorities for Health                                       1522-645X     3/1989       12/2001                                                        Magazine/Journal                              Health                                United States         Health
Private Duty Homecare                                       1091-1839     1/1997        4/2000     1/1997        4/2000                                 Newsletter                                  AHC Media LLC                         United States         Health care industry
Proceedings Mathematical Sciences                           0253-4142     2/2007                                                                      Magazine/Journal         Y                    Springer                              United States         Mathematics
                                                                                                                                                                                                                                                                Advertising, marketing and
Product Management Today                                    1078-6937     10/2006      12/2006    10/2006       12/2006      10/2006       12/2006    Magazine/Journal                              Medicom International, Inc.           United States         public relations
Progress in Cardiovascular Diseases                         0033-0620      5/1999                                                                     Magazine/Journal         Y                    Elsevier B.V.                         Netherlands           Health care industry
Progression of Glaucoma: The 8th Consensus report of the
World GlaucomaAssociation                                                 1/2011                   1/2011                     1/2011                      Report                                    Kugler Publications                   Netherlands           Health
Prostate Cancer and Prostatic Diseases                      1365-7852     3/2001                   3/2001                     3/2001                  Magazine/Journal         Y            365     Nature Publishing Group               United Kingdom        Health
Proteome Science                                            1477-5956     1/2007                   1/2007                                             Magazine/Journal         Y                    BioMed Central Ltd.                   United Kingdom        Biological sciences
Proteomics Weekly                                           1535-2722     8/2002                   8/2002                                               Newsletter                                  NewsRX                                United States         Biotechnology industry
                                                                                                                                                                                                    Colegio Oficial De Psicologos Del
Psicothema                                                  0214-9915     1/2008                   1/2008                     1/2008                  Magazine/Journal         Y                    Principado De Asturias                Spain                 Psychology and mental health




                                                                                                                                                                                                                                                                  HRC Academic
                                                                                                                                                                                                                                                                         53/62
Journal Name                                                   ISSN      Index Start   Index End   Full-text   Full-text End Image Start   Image End       Format         Refereed/Peer-   Embargo              Publisher Name                 Publisher Country   Publication Primary Subject
                                                                                                     Start                                                                  Reviewed        (Days)
Psyche (Cambridge, 1874)                                     1687-7438     1/2009                   1/2009                     1/2009                  Magazine/Journal          Y                   Hindawi Publishing Corp.                Egypt                 Biological sciences
Psychiatric Medicine in Primary Care                                       2/1999        2/2000     2/1999        2/2000                                 Newsletter                                  AHC Media LLC                           United States         Health care industry
Psychiatric Medicine Reports                                               7/2003       10/2003     7/2003       10/2003                                 Newsletter                                  AHC Media LLC                           United States         Health care industry

Psychiatric Quarterly                                        0033-2720     6/2006                                                                      Magazine/Journal         Y                    Springer                                United States         Psychology and mental health

Psychiatric Times                                            0893-2905     5/2002                   5/2002                                             Magazine/Journal         Y                    CMP Medica, LLC                         United States         Psychology and mental health

Psychiatry and Clinical Neurosciences                        1323-1316     6/2001                                                                      Magazine/Journal         Y                    Blackwell Publishers Ltd.               United Kingdom        Psychology and mental health

Psychiatry: Interpersonal and Biological Processes           0033-2747     2/1989                                                                      Magazine/Journal         Y                    Guilford Publications, Inc.             United States         Psychology and mental health

Psychological Record                                         0033-2933     1/1989                   3/1993                     6/1994                  Magazine/Journal         Y                    The Psychological Record                United States         Psychology and mental health

Psychological Reports                                        0033-2941     2/1989                                                                      Magazine/Journal         Y                    Ammons Scientific, Ltd.                 United States         Psychology and mental health

Psychological Research                                       0340-0727     11/2006                                                                     Magazine/Journal         Y                    Springer                                United States         Psychology and mental health
                                                                                                                                                                                                     American Psychological Association,
Psychological Review                                         0033-295X     1/1987                                                                      Magazine/Journal         Y                    Inc.                                    United States         Psychology and mental health

Psychology (Irvine)                                          2152-7180     4/2010                   4/2010                     4/2010                  Magazine/Journal         Y                    Scientific Research Publishing, Inc.    United States         Psychology and mental health

Psychology Today                                             0033-3107     1/1980                   1/1992                     1/1995                  Magazine/Journal                              Sussex Publishers, Inc.                 United States         Psychology and mental health

Psycho-Oncologie                                             1778-3798     3/2007                                                                      Magazine/Journal         Y                    Springer                                United States         Psychology and mental health
Psychopharmacology                                           0033-3158     7/2003                                                                      Magazine/Journal         Y                    Springer                                United States         Health

Psychopharmacology Educational Updates (PsychEd Up)          1553-8907     1/2005                   1/2005                     6/2006                  Magazine/Journal                              NEI Press, Inc.                         United States         Psychology and mental health

Psychophysiology                                             0048-5772     11/2006                                                                     Magazine/Journal         Y                    Blackwell Publishers Ltd.               United Kingdom        Psychology and mental health
                                                                                                                                                                                                     American Physical Therapy
PT in Motion                                                 1949-3711     10/2009                 10/2009                                             Magazine/Journal                              Association, Inc.                       United States         Health
                                                                                                                                                                                                     American Physical Therapy
PT: Magazine of Physical Therapy                             1065-5077     1/2000       9/2009      7/2008        9/2009                               Magazine/Journal                              Association, Inc.                       United States         Health
Public Health                                                0033-3506     3/1995                                                                      Magazine/Journal         Y                    Elsevier B.V.                           Netherlands           Health care industry
Public Health Nursing                                        0737-1209     3/2002                                                                      Magazine/Journal         Y                    Blackwell Publishers Ltd.               United Kingdom        Health
Public Health Reports                                        0033-3549     1/1988                   1/1989        9/2005       7/1994       9/2005     Magazine/Journal         Y                    U.S. Government Printing Office         United States         Health
                                                                                                                                                                                                     International Personnel Management
Public Personnel Management                                  0091-0260     6/1984                   3/1989                    12/1992                  Magazine/Journal         Y                    Association                             United States         Government
                                                                                                                                                                                                     Universidad de Puerto Rico, Recinto
Puerto Rico Health Sciences Journal                          0738-0658     3/2005                   3/2005                     3/2005                  Magazine/Journal         Y                    de Ciencias Medicas                     Puerto Rico           Health
                                                                                                                                                                                                     Medknow Publications and Media Pvt.
Pulmonary Circulation                                                      1/2011                   1/2011                                             Magazine/Journal         Y                    Ltd.                                    India                 Health
Pulse                                                        0048-6000     1/2002                   1/2002                     1/2005                    Newsletter                                  UBM Information Ltd.                    United Kingdom        Health
Pulse International                                          1682-0274     1/2011                   1/2011                                             Magazine/Journal         Y                    Asianet-Pakistan                        Pakistan              Health
                                                                                                                                                                                                     Medknow Publications and Media Pvt.
PVRI Review                                                  0974-6013      1/2009                  1/2009                                             Magazine/Journal         Y                    Ltd.                                    India                 Health
QI/TQM                                                       1075-0541     11/2001       6/2002    11/2001        6/2002      12/2001       6/2002       Newsletter                                  AHC Media LLC                           United States         Health care industry
Quality and Safety in Health Care                            1475-3898      3/2002      12/2010     3/2002        2/2004                               Magazine/Journal         Y                    British Medical Association             United States         Health
Quality in Health Care                                       0963-8172      3/2001      12/2001     3/2001       12/2001       9/2001        9/2001    Magazine/Journal         Y                    British Medical Association             United States         Health
                                                                                                                                                                                                     Lippincott Williams & Wilkins, WK
Quality Management in Health Care                            1063-8628     1/2002                                                                      Magazine/Journal         Y                    Health                                  United States         Health care industry
Quality of Life Research                                     0962-9343     8/2006                                                                      Magazine/Journal         Y                    Springer                                United States         Health care industry
Quality/Calidad/Qualit                                       1097-8194     1/2002                   1/2002                     1/2009                  Magazine/Journal                              The Population Council, Inc.            United States         Health

Quarterly Journal of Experimental Psychology                 1747-0218     1/2006                                                                      Magazine/Journal         Y                    Psychology Press Ltd.                                         Psychology and mental health
Quarterly Review of Biology                                  0033-5770     3/1989                                                                      Magazine/Journal         Y                    University of Chicago Press             United States         Biological sciences

Quest                                                        1087-1578     1/1995                                                                      Magazine/Journal                              Muscular Dystrophy Association, Inc.    United States         Health
Radiation Oncology                                           1748-717X     1/2007                   1/2007                                             Magazine/Journal         Y                    BioMed Central Ltd.                     United Kingdom        Health care industry
Radiation Therapist: The Journal of the Radiation Oncology                                                                                                                                           American Society of Radiologic
Sciences                                                     1084-1911      3/2007                  3/2007        9/2007                               Magazine/Journal         Y                    Technologists                           United States         Health
Radiography                                                  1078-8174     10/1995                                                                     Magazine/Journal         Y                    Elsevier B.V.                           Netherlands           Health care industry
                                                                                                                                                                                                     American Society of Radiologic
Radiologic Technology                                        0033-8397     1/1996                   1/1996        3/2008       1/1996        3/2008    Magazine/Journal         Y                    Technologists                           United States         Health
                                                                                                                                                                                                     Radiological Society of North America
Radiology                                                    0033-8419     6/1989       12/1991                                                        Magazine/Journal         Y                    Inc.                                                          Health




                                                                                                                                                                                                                                                                     HRC Academic
                                                                                                                                                                                                                                                                            54/62
Journal Name                                                    ISSN      Index Start   Index End   Full-text   Full-text End Image Start   Image End       Format         Refereed/Peer-   Embargo             Publisher Name                   Publisher Country   Publication Primary Subject
                                                                                                      Start                                                                  Reviewed        (Days)
Radiology Alert                                               1044-0577      1/2000      12/2000      1/2000      12/2000                                 Newsletter                                  AHC Media LLC                            United States         Health care industry
Rapid Health Assessment Protocols for Emergencies                            1/1999       1/1999      1/1999       1/1999       1/1999       1/1999       Monograph                                   World Health Organization                Switzerland           Health
Reactions Weekly                                              0114-9954     10/2008       4/2011     10/2008       4/2011      10/2008       4/2011     Magazine/Journal                              Wolters Kluwer Health                    United Kingdom        Health
Reader's Digest                                               0034-0375      1/1980                                                                     Magazine/Journal                              Reader's Digest Association, Inc.        United States         General interest
Readings on Emergency Contraception                                          1/1996                  1/1996                                                Collection                                 Guttmacher Institute                     United States         Health
Readings on Family Planning Needs and Services                               1/1999                  1/1999                                                Collection                                 Guttmacher Institute                     United States         Family and marriage
Readings on Induced Abortion, Volume 1: Politics and
Policies                                                                    1/2000                   1/2000                                                Collection                                 Guttmacher Institute                     United States         Health
Readings on Induced Abortion, Volume 2: A World Review
2000                                                                        1/2001                   1/2001                                                Collection                                 Guttmacher Institute                     United States         Family and marriage
Readings on Men                                                             1/1996                   1/1996                                                Collection                                 Guttmacher Institute                     United States         Health
Real Living with Diabetes                                     1074-7648     3/1994       3/1995      3/1994        3/1995                                  Newsletter                                 The Cobb Group                           United States         Health
                                                                                                                                                                                                      Lippincott Williams & Wilkins, WK
Real Living with Multiple Sclerosis                           1079-4220     11/1993                                                                       Newsletter                                  Health                                   United States         Health
Reason Papers                                                 0363-1893     3/2006                   3/2006                     3/2006                  Magazine/Journal         Y                    Reason Papers                            United States         Philosophy and religion

Reference Services Review                                     0090-7324     1/1980                                                                      Magazine/Journal         Y                    Pierian Press Inc.                                             Library and information science

Refrigerated & Frozen Foods Retailer                          1552-3330      1/2008                  1/2008                     1/2008                  Magazine/Journal                              BNP Media                                United States         Food and beverage industries
Regan Report on Hospital Law                                  0034-317X      1/1997      12/1999     1/1997       12/1999       8/1999       12/1999    Magazine/Journal                              Medical Law Publishing                   United States         Law
Regan Report on Medical Law                                   0034-3188      1/1997      12/1999     1/1997       12/1999       8/1999       12/1999    Magazine/Journal                              Medical Law Publishing                   United States         Law
Regan Report on Nursing Law                                   0034-3196      1/1996      12/1999     1/1996       12/1999       1/1996       12/1999      Newsletter                                  Medical Law Publishing                   United States         Law
Regenerative Medicine                                         1746-0751      1/2006                  1/2006                     9/2009                  Magazine/Journal                      365     Future Medicine Ltd.                     United Kingdom        Health
Regional Anesthesia and Pain Medicine                         1098-7339      1/1997                                                                     Magazine/Journal         Y                    Elsevier B.V.                            Netherlands           Health care industry
Rehab Continuum Report                                        1094-558X     11/2001      12/2004    11/2001       12/2004      12/2001       12/2004      Newsletter                                  AHC Media LLC                            United States         Health care industry
Rehab Management                                              0899-6237     10/2007                 10/2007                    10/2007                  Magazine/Journal                              Allied Media LLC                         United States         Health
Rehabilitation Counseling Bulletin                            0034-3552      6/2000                                                                     Magazine/Journal         Y                    Sage Publications, Inc.                  United States         Education
Rejuvenation Research                                         1549-1684     12/2007      10/2011    12/2007       10/2011      12/2007       10/2011    Magazine/Journal         Y                    Mary Ann Liebert, Inc.                   United States         Health
RelayClinical Education (en Espanol)                                         5/2011                  5/2011                     5/2011                     Collection                                 McKesson Health Solutions LLC            United States         Health
Renal & Urology News                                          1550-9478     11/2005                 11/2005                    11/2005                  Magazine/Journal                              Haymarket Media, Inc.                    United States         Health
Renal Society of Australasia Journal                          1832-3804      8/2005                  8/2005                    11/2006                  Magazine/Journal         Y                    Renal Society of Australasia             Australia             Health
Report on Disability Law                                      1554-3668      1/2005       8/2005     1/2005        8/2005                               Magazine/Journal                              Eli Research, Inc.                       United States         Government
Report on Disability Programs                                 1043-1209      1/2004      11/2004     1/2004       11/2004                               Magazine/Journal                              Eli Research, Inc.                       United States         Government

Report on Medicare Compliance                                 1094-3307     5/2002       12/2003     5/2002       12/2003                                  Newsletter                                 Atlantic Information Services, Inc.      United States         Law

Report on Patient Privacy                                                    5/2002      12/2003     5/2002       12/2003                                 Newsletter                                  Atlantic Information Services, Inc.      United   States       Health care industry
Reproduction in Domestic Animals                              0936-6768      2/2006                                                                     Magazine/Journal         Y                    Blackwell Publishers Ltd.                United   Kingdom      Science and technology
Reproductive Biology and Endocrinology                        1477-7827     12/2006                 12/2006                                             Magazine/Journal         Y                    BioMed Central Ltd.                      United   Kingdom      Biological sciences
Reproductive Health                                           1742-4755     12/2006                 12/2006                                             Magazine/Journal         Y                    BioMed Central Ltd.                      United   Kingdom      Health
Reproductive Health Matters                                   0968-8080      5/2002                  5/2002                    11/2002                  Magazine/Journal         Y                    Elsevier Science Publishers                                    Health

Research Bulletin                                             1496-3612     3/2006       9/2006      3/2006        9/2006       3/2006        9/2006    Magazine/Journal                              Canadian Women's Health Network          Canada                Health
                                                                                                                                                                                                      International Society for Research in
                                                                                                                                                                                                      Healthcare Financial Management
Research in Healthcare Financial Management                   1524-1521     1/1999       1/2009      1/1999        1/2009       1/2001        1/2009    Magazine/Journal         Y                    Ltd.                                     United States         Health care industry
                                                                                                                                                                                                      The Center for AIDS: Hope &
Research   Initiative/Treatment Action!                       1520-8745     3/2000                   3/2000                     3/2000                  Magazine/Journal         Y                    Remembrance Project                      United States         Health
Research   on Aging                                           0164-0275     3/1989                   3/1997       11/1998                               Magazine/Journal         Y                    Sage Publications, Inc.                  United States         Seniors
Research   on Social Work Practice                            1049-7315     1/1999                                                                      Magazine/Journal         Y                    Sage Publications, Inc.                  United States         Sociology and social work
Research   Practitioner                                       1528-0330     9/2001                   9/2001                    11/2001                    Newsletter                                  CenterWatch LLC                                                Health care industry
                                                                                                                                                                                                      American Alliance for Health, Physical
                                                                                                                                                                                                      Education, Recreation and Dance
Research Quarterly for Exercise and Sport                     0270-1367     3/1992                   3/1993                     6/1994                  Magazine/Journal         Y                    (AAHPERD)                                United States         Health
Residents' Prescribing Reference                              1061-6632     3/2006                   3/2006                     3/2006                     Handbook              Y                    Haymarket Media, Inc.                    United States         Health
Respiratory Care                                              0020-1324     1/2007                   1/2007                     2/2007                  Magazine/Journal                              Daedalus Enterprises, Inc.               United States         Health
Respiratory Medicine                                          0954-6111     6/2000                                                                      Magazine/Journal         Y                    Elsevier B.V.                            Netherlands           Health
Respiratory Research                                          1465-9921     1/2007                   1/2007                                             Magazine/Journal         Y                    BioMed Central Ltd.                      United Kingdom        Health
Respiratory Therapeutics Week                                 1543-6659     1/2003                   1/2003                                               Newsletter                                  NewsRX                                   United States         Health
Respirology                                                   1323-7799     1/2006                                                                      Magazine/Journal         Y                    Blackwell Publishers Ltd.                United Kingdom        Health
Retrovirology                                                 1742-4690     1/2007                   1/2007                                             Magazine/Journal         Y                    BioMed Central Ltd.                      United Kingdom        Health
Review of Optometry                                           1930-160X     4/1999                   4/1999                    10/1999                  Magazine/Journal         Y                    Jobson Medical Information LLC           United States         Health

Review of Philosophy and Psychology                           1878-5158     3/2010                                                                      Magazine/Journal         Y                    Springer                            United States              Psychology and mental health
Reviews in Infection                                          1837-6738     3/2010                   3/2010                     3/2010                  Magazine/Journal         Y                    Southern Cross Publisher            Australia                  Health
Revista Brasileira de Gestao de Negocios (Brazilian Journal                                                                                                                                           Fundacao Escola de Comercio Alvares
of BusinessManagement)                                        1806-4892     1/2007                   1/2007                     1/2007                  Magazine/Journal                              Penteado (FECAP)                    Brazil                     Business, general




                                                                                                                                                                                                                                                                       HRC Academic
                                                                                                                                                                                                                                                                              55/62
Journal Name                                                  ISSN      Index Start   Index End   Full-text   Full-text End Image Start   Image End       Format         Refereed/Peer-   Embargo             Publisher Name                 Publisher Country   Publication Primary Subject
                                                                                                    Start                                                                  Reviewed        (Days)
Revista CES Medicina                                        0120-8705     7/2009                   7/2009                     7/2009                  Magazine/Journal                              Universidad del CES                    Colombia              Health
Revista CES Medicina Veterinaria y Zootecnia                1900-9607     7/2009                   7/2009                     7/2009                  Magazine/Journal         Y                    Universidad del CES                    Colombia              Health
Revista CES Odontologia                                     0120-971X     7/2009                   7/2009                     7/2009                  Magazine/Journal         Y                    Universidad del CES                    Colombia              Health

Revista CES Psicologia                                      2011-3080     7/2009                   7/2009                     7/2009                  Magazine/Journal         Y                    Universidad del CES                    Colombia              Psychology and mental health

Revista de Administracao Mackenzie                          1518-6776     1/2008                   1/2008                     1/2008                  Magazine/Journal         Y                    Universidade Presbiteriana Mackenzie   Brazil                Business
Revista de Biologφa Tropical                                0034-7744     9/1999                   9/1999                     9/1999                  Magazine/Journal         Y                    Universidad de Costa Rica              Costa Rica            Biological sciences
                                                                                                                                                                                                    Universidade de Sao Paulo, Facultade
Revista de Psiquiatrφa Clφnica                              0101-6383      1/2008                  1/2008                     1/2008                  Magazine/Journal         Y                    de Medicina                            Brazil                Health
Revista Panamericana de Salud Publica                       1020-4989     11/2006                 11/2006                    12/2006                  Magazine/Journal         Y                    Pan American Health Organization       United States         Health
Rheumatology International                                  0172-8172      4/2001                                                                     Magazine/Journal         Y                    Springer                               United States         Health
Rights and Realities: Monitoring Reports on the Status of
Indonesian Women'sSexual and Reproductive Health and                                                                                                                                                Asian-Pacific Resource & Research
Rights                                                                     1/2008                  1/2008                     1/2008                    Monograph                                   Centre for Women                       Malaysia              Women's issues/gender studies
Risk Analysis                                               0272-4332     10/2002                                                                     Magazine/Journal         Y                    Blackwell Publishers Ltd.              United Kingdom        Mathematics
RN                                                          0033-7021      1/1981      9/2009      1/1983        8/2006       2/2002       8/2006     Magazine/Journal         Y                    Advanstar Communications, Inc.         United States         Health
RN Advanced Practice Alert                                  1520-8451      7/1998      8/1999      7/1998        8/1999                                 Newsletter                                  AHC Media LLC                          United States         Health care industry
                                                                                                                                                                                                    RoSPA Occuapational Safety Division
RoSPA Occupational Safety & Health Journal                  1474-7952      1/2002                                                                     Magazine/Journal                              (UK)                                                         Health
RT for Decision Makers in Respiratory Care                  1040-6050     10/2006                 10/2006                    10/2006                  Magazine/Journal                              Allied Media LLC                       United States         Health
Runner's World                                              0897-1706      1/1980                  1/1993                     7/1994       11/2003    Magazine/Journal                      30      Rodale, Inc.                           United States         Sports and fitness
                                                                                                                                                                                                    American Running & Fitness
Running & FitNews                                           0898-5162     1/1999                   1/2003                     1/2003                    Newsletter                                  Association                            United States         Sports and fitness
Rural Society                                               1037-1656     3/1999                   3/1999                     3/1999                  Magazine/Journal         Y                    eContent Management Pty Ltd.           Australia             Sociology and social work
Russian Journal of Biological Invasions                     2075-1117     1/2010                                                                      Magazine/Journal                              Springer                               United States         Biological sciences
Russian Journal of Physical Chemistry A                     0036-0244     6/2006                                                                      Magazine/Journal         Y                    Springer                               United States         Chemistry
Russian Meteorology and Hydrology                           1068-3739     1/2007                                                                      Magazine/Journal                              Springer                               United States         Earth sciences
Safety & Health                                             0891-1797     1/1987                                                                      Magazine/Journal                              National Safety Council                United States         Health
Same-Day Surgery                                            0190-5066     1/1996                   1/1996                    12/2001       3/2005       Newsletter                                  AHC Media LLC                          United States         Health care industry

Sante Mentale au Quebec                                     0383-6320     3/2006                   3/2006                     3/2006                  Magazine/Journal         Y                    Filigrane                           Canada                   Psychology and mental health
Sarcoma                                                     1357-714X     1/2005                   1/2005                     1/2005                  Magazine/Journal         Y                    Hindawi Publishing Corp.            Egypt                    Health
Saturday Evening Post                                       0048-9239     1/1980                   3/1983                                             Magazine/Journal                              Saturday Evening Post Society       United States            General interest
                                                                                                                                                                                                    Medknow Publications and Media Pvt.
Saudi Journal of Anaesthesia                                1658-354X     7/2009                   7/2009                                             Magazine/Journal                              Ltd.                                India                    Health
                                                                                                                                                                                                    Medknow Publications and Media Pvt.
Saudi Journal of Gastroenterology                           1319-3767     1/1995                   1/1999                                             Magazine/Journal         Y                    Ltd.                                India                    Health
                                                                                                                                                                                                    Medknow Publications and Media Pvt.
Saudi Journal of Kidney Diseases and Transplantation        1319-2442     1/2007                   1/2007                                             Magazine/Journal         Y                    Ltd.                                India                    Health
Scandinavian Journal of Caring Sciences                     0283-9318     3/2006                                                                      Magazine/Journal         Y                    Blackwell Publishers Ltd.           United Kingdom           Science and technology
Scandinavian Journal of Immunology                          0300-9475     2/1999                                                                      Magazine/Journal         Y                    Blackwell Publishers Ltd.           United Kingdom           Health

Scandinavian Journal of Medicine and Science in Sports      0905-7188     2/2006                                                                      Magazine/Journal         Y                    Blackwell Publishers Ltd.              United Kingdom        Health

Scandinavian Journal of Psychology                          0036-5564     2/2006                                                                      Magazine/Journal         Y                    Blackwell Publishers Ltd.              United Kingdom        Psychology and mental health
Scandinavian Journal of Trauma, Resuscitation and
Emergency Medicine                                          1757-7241     7/2008                   7/2008                                             Magazine/Journal         Y                    BioMed Central Ltd.                    United Kingdom        Health
Scholarly Research Exchange                                 1687-8299     1/2008                   1/2008                     1/2008                  Magazine/Journal         Y                    Hindawi Publishing Corp.               Egypt                 Science and technology
                                                                                                                                                                                                    Medknow Publications and Media Pvt.
Scholars' Research Journal                                  0976-8459     1/2011                   1/2011                                             Magazine/Journal         Y                    Ltd.                                   India                 Biological sciences
                                                                                                                                                                                                    American Association for the
Science                                                     0036-8075     1/1980                   1/1983       12/2005      10/1999       12/2005    Magazine/Journal         Y                    Advancement of Science                 United   States       Science and technology
Science & Medicine                                          1087-3309     2/2005                   2/2005        6/2005       2/2005        6/2005    Magazine/Journal                              Science & Medicine                     United   States       Health
SCIENCE CHINA Life Sciences                                 1674-7305     1/2010                                                                      Magazine/Journal         Y                    Springer                               United   States       Science and technology
Science in China Series C: Life Sciences                    1006-9305     1/2006       6/2008                                                         Magazine/Journal         Y                    Springer                               United   States       Science and technology
Science Letter                                              1538-9111     1/2003                   1/2003                                               Newsletter                                  NewsRX                                 United   States       Health
                                                                                                                                                                                                    American Institute for Cancer
ScienceNow                                                                 3/2008                  3/2008                     9/2008                  Magazine/Journal                              Research                               United   States       Health
Scientific American                                         0036-8733      1/1980                                                                     Magazine/Journal         Y                    Scientific American, Inc.              United   States       Science and technology
Scientific Review of Alternative Medicine                   1095-0656      3/2000      1/2007                                                         Magazine/Journal         Y                    Prometheus Books, Inc.                 United   States       Health
Scientometrics                                              0138-9130      1/2005                                                                     Magazine/Journal         Y                    Springer                               United   States       Science and technology
Scienza Riabilitativa                                       1828-3942      7/2009                  7/2009                     7/2009                  Magazine/Journal         Y                    Associazione Italiana Fisioterapisti   Italy                 Health
Scoliosis                                                   1748-7161     12/2006                 12/2006                                             Magazine/Journal         Y                    BioMed Central Ltd.                    United   Kingdom      Health
                                                                                                                                                                                                                                                                 Pharmaceuticals and cosmetics
SCRIP World Pharmaceutical News                             0143-7690     1/1991       11/2006                                                        Magazine/Journal                              PJB Publications                       United Kingdom        industries




                                                                                                                                                                                                                                                                   HRC Academic
                                                                                                                                                                                                                                                                          56/62
Journal Name                                                ISSN      Index Start   Index End   Full-text   Full-text End Image Start   Image End       Format         Refereed/Peer-   Embargo              Publisher Name               Publisher Country   Publication Primary Subject
                                                                                                  Start                                                                  Reviewed        (Days)

Searcher                                                  1070-4795     5/1993                   5/1993                     9/1995                  Magazine/Journal                              Information Today, Inc.               United States         Library and information science
Second Opinion                                            0890-1570     3/1989       7/1995      3/1989        7/1995                                 Newsletter                                  Park Ridge Center                     United States         Health

Seminars in Anesthesia, Perioperative Medicine and Pain   0277-0326      3/1995                                                                     Magazine/Journal         Y                    Elsevier B.V.                         Netherlands           Health
Seminars in Arthritis and Rheumatism                      0049-0172     6/1996                                                                      Magazine/Journal         Y                    Elsevier B.V.                         Netherlands           Health
Seminars in Immunopathology                               1863-2297     6/2007                                                                      Magazine/Journal         Y                    Springer                              United States         Health
Seminars in Oncology Nursing                              0749-2081      2/1995                                                                     Magazine/Journal         Y                    Elsevier B.V.                         Netherlands           Health care industry
Seminars in Pediatric Infectious Diseases                 1045-1870     1/1995                                                                      Magazine/Journal         Y                    Elsevier B.V.                         Netherlands
Seminars in Pediatric Neurology                           1071-9091      3/1995                                                                     Magazine/Journal         Y                    Elsevier B.V.                         Netherlands           Health care industry
Seminars in Pediatric Surgery                             1055-8586     2/2003                                                                      Magazine/Journal                              Elsevier B.V.                         Netherlands           Health
Seminars in Perinatology                                  0146-0005     2/1995                                                                      Magazine/Journal         Y                    Elsevier B.V.                         Netherlands           Health care industry
Seminars in Radiation Oncology                            1053-4296     1/1995                                                                      Magazine/Journal         Y                    Elsevier B.V.                         Netherlands           Health care industry
Seminars in Roentgenology                                 0037-198X     1/1995                                                                      Magazine/Journal         Y                    Elsevier B.V.                         Netherlands           Health care industry
Seminars in Ultrasound, CT, and MRI                       0887-2171     12/1995                                                                     Magazine/Journal         Y                    Elsevier B.V.                         Netherlands           Health care industry
Seminars in Vascular Surgery                              0895-7967     6/2002                                                                      Magazine/Journal                              Elsevier B.V.                         Netherlands           Health
SERIEs                                                    1869-4187     3/2010                                                                      Magazine/Journal                              Springer                              United States         Economics
Sexual Abuse: A Journal of Research and Treatment         1079-0632     1/2006                                                                      Magazine/Journal         Y                    Springer                              United States         Family and marriage
Sexual Health Exchange                                    1388-3046     1/2000       1/2005                                                           Newsletter                                  Royal Tropical Institute              Netherlands           Health
Sexuality and Culture                                     1095-5143     3/2000                                                                      Magazine/Journal                              Springer                              United States         Humanities
Sexuality and Disability                                  0146-1044     9/2006                                                                      Magazine/Journal         Y                    Springer                              United States         Health
                                                                                                                                                                                                  American Venereal Disease
Sexually Transmitted Diseases                             0148-5717      4/1989                                                                     Magazine/Journal         Y                    Association                                                 Health
Sexually Transmitted Infections                           1368-4973      2/2001                  2/2001        2/2004       8/2001       10/2001    Magazine/Journal         Y                    British Medical Association           United States         Health
Shape                                                     0744-5121      1/1988                 12/2001                                             Magazine/Journal                              Weider Publications LLC               United States         Health
Share Guide                                                             11/2000                                                                     Magazine/Journal                              Dennis & Janice Hughes                United States         Health
Sharing Responsibility: Women, Society and Abortion
Worldwide                                                               1/1999                   1/1999                                                 Report                                    Guttmacher Institute                  United   States       Women's issues/gender studies
She Knows Cooking Smart                                   1553-5614     3/2006        3/2006     3/2006        3/2006                               Magazine/Journal                              Coincide Publishing                   United   States       Food/cooking/nutrition
She Knows Diet & Fitness                                  1556-7656     2/2006        4/2006     2/2006        4/2006                               Magazine/Journal                              Coincide Publishing                   United   States       Food/cooking/nutrition
She Knows LowCarb Energy                                  1548-646X     3/2006        3/2006     3/2006        3/2006                               Magazine/Journal                              Coincide Publishing                   United   States       Food/cooking/nutrition
SHR-Social Issues & Healthcare Review                     0894-3648     3/1988        3/1988                                                        Magazine/Journal                              Quadrant Healthcom, Inc.              United   States       Social sciences
Sickbay Today                                                           5/2000       10/2000                                                        Magazine/Journal                              Sickbay.com                                                 Health
Sierra Leone - HIV/AIDS Response Project                                2/2002                   2/2002                                                 Report                                    The World Bank                        United   States       Health
Silence                                                   1758-907X     1/2010                   1/2010                                             Magazine/Journal         Y                    BioMed Central Ltd.                   United   Kingdom      Biological sciences
Skeletal Muscle                                           2044-5040     1/2011                   1/2011                                             Magazine/Journal         Y                    BioMed Central Ltd.                   United   Kingdom      Biological sciences
Skin & Allergy News                                       0037-6337     7/2001                   7/2001                                             Magazine/Journal                              International Medical News Group      United   States       Health
Skin Research and Technology                              0909-752X     2/2006                                                                      Magazine/Journal         Y                    Blackwell Publishers Ltd.             United   Kingdom      Health

Sleep Review                                              1531-3034     1/2006                   1/2006                     1/2006                  Magazine/Journal                              Allied Media LLC                      United States         Psychology and mental health

Small Computers in Libraries                              0275-6722     9/1985       1/1989      1/1988        1/1989                               Magazine/Journal                              INT Media Group, Inc.                 United States         Library and information science
                                                                                                                                                                                                  The Society for the Study of Social
Social Biology                                            0037-766X     3/1989       9/2005                                                         Magazine/Journal         Y                    Biology                               United States         Sociology and social work
Social Problems                                           0037-7791     2/1987                                                                      Magazine/Journal         Y                    University of California Press        United States         Sociology and social work

Social Psychiatry                                         0037-7813     3/1980       12/1987                                                        Magazine/Journal         Y                    Springer                              United States         Psychology and mental health

Social Psychiatry and Psychiatric Epidemiology            0933-7954     3/1988                                                                      Magazine/Journal         Y                    Springer                              United States         Psychology and mental health
Social Science & Medicine                                 0277-9536     1/1989                                                                      Magazine/Journal         Y                    Elsevier Science Publishers                                 Health
Social Security Bulletin                                  0037-7910     1/1980                   1/1983                     9/1992                  Magazine/Journal                              Social Security Administration                              Government

Social Work                                               0037-8046     1/1980                   1/1998                     1/1998                  Magazine/Journal         Y                    National Association of Social Workers United States        Sociology and social work

Social Work Research                                      1070-5309     12/1998                 12/1998                     9/1999                  Magazine/Journal         Y                    National Association of Social Workers United States        Sociology and social work
Social Work with Groups                                   0160-9513      1/1994                                                                     Magazine/Journal         Y                    Routledge                              United Kingdom       Sociology and social work
Society News                                                             3/1989      6/1991      3/1989        6/1991                               Magazine/Journal                              Leukemia Society of America            United States        Health

Sociology and Social Research: An International Journal   0038-0393     1/1987       7/1992                                                         Magazine/Journal         Y                    University of Southern California     United States         Sociology and social work
Sociology of Health & Illness                             0141-9889     1/1999                                                                      Magazine/Journal         Y                    Blackwell Publishers Ltd.             United Kingdom        Health
Solutions for Better Health                               1050-0219     5/1990       7/1990      5/1990        7/1990                                 Newsletter                                  Haymarket Group Ltd.                  United States         Health
South African Journal of Bioethics and Law                1999-7639     6/2008                   6/2008                     6/2008                  Magazine/Journal         Y                    South African Medical Association     South Africa          Law
South African Journal of Child Health                     1994-3032     3/2008                   3/2008                     3/2008                  Magazine/Journal         Y                    South African Medical Association     South Africa          Health
South African Journal of Clinical Nutrition               1607-0658     1/2007       1/2007      1/2007        1/2007       1/2007       1/2007     Magazine/Journal         Y                    South African Medical Association     South Africa          Health
South African Journal of Obstetrics and Gynaecology       0038-2329     3/2007                   3/2007                     3/2007                  Magazine/Journal         Y                    South African Medical Association     South Africa          Health
South African Journal of Psychiatry                       1608-9685     2/2007                   2/2007                     2/2007                  Magazine/Journal         Y                    South African Medical Association     South Africa          Health
South African Journal of Radiology                        1027-202X     3/2007                   3/2007                     3/2007                  Magazine/Journal                              South African Medical Association     South Africa          Health




                                                                                                                                                                                                                                                                HRC Academic
                                                                                                                                                                                                                                                                       57/62
Journal Name                                                   ISSN      Index Start   Index End   Full-text   Full-text End Image Start   Image End       Format         Refereed/Peer-   Embargo             Publisher Name                Publisher Country   Publication Primary Subject
                                                                                                     Start                                                                  Reviewed        (Days)
South African Journal of Sports Medicine                     1015-5163      4/2007                   4/2007                    4/2007                  Magazine/Journal          Y                   South African Medical Association     South Africa          Health
South African Journal of Surgery                             0038-2361      2/2007                   2/2007                    2/2007                  Magazine/Journal          Y                   South African Medical Association     South Africa          Health
South African Medical Journal                                0256-9574      1/2007                   1/2007                    1/2007                  Magazine/Journal          Y                   South African Medical Association     South Africa          Health
South Carolina Nurse                                         1046-7394     10/2006                  10/2006                   10/2006                  Magazine/Journal                              South Carolina Nurses Association     United States         Health
Southern African Journal of Critical Care                    0038-2469      8/2007                   8/2007                    8/2007                  Magazine/Journal         Y                    South African Medical Association     South Africa          Health
Southern African Journal of HIV Medicine                     1608-9693      3/2007                   3/2007                    3/2007                  Magazine/Journal         Y                    South African Medical Association     South Africa          Health
Southern Med Review                                          1174-2704     12/2008                  12/2008                   12/2008                  Magazine/Journal         Y                    Zaheer-Ud-Din Babar, PhD              Australia             Health
Southern Medical Journal                                     0038-4348      6/2001                   6/2001       7/2007       6/2001       6/2007     Magazine/Journal         Y                    Southern Medical Association          United States         Health
Soy Industry Connection                                                     2/2007      9/2009       2/2007       9/2009       2/2007       9/2009       Newsletter                                  United Soybean Board                  United States         Agricultural industry

Spanish Journal of Psychology                                1138-7416     5/2000                   5/2005                     5/2005                  Magazine/Journal         Y            182     Universidad Complutense de Madrid     Spain                 Psychology and mental health
                                                                                                                                                                                                     Association of Labor Assistants &
Special Delivery                                             1083-5008     3/1988       6/2007      3/1991        6/2007       9/1996        6/2007       Newsletter                                 Childbirth Educators                  United States         Health

Special Libraries                                            0038-6723      1/1980      6/1996      3/1989        6/1996       1/1992        6/1996    Magazine/Journal                              Special Libraries Association         United   States       Library and information science
Speech Technology Magazine                                   1088-5803      3/2007                  3/2007                     3/2007                  Magazine/Journal                              Information Today, Inc.               United   States       Languages and linguistics
Spirituality & Health Magazine                               1520-5444      9/1998                  9/1998                                             Magazine/Journal                              Spirituality & Health Magazine        United   States       Health
Sport Journal                                                1543-9518      1/2007                  1/2007                     1/2007                  Magazine/Journal         Y                    United States Sports Academy          United   States       Sports and fitness
Sports Medicine                                              0112-1642      6/2003                  6/2003        9/2011       6/2003       9/2011     Magazine/Journal         Y                    Wolters Kluwer Health                 United   Kingdom      Health
Sports Medicine Reports                                      1524-0991     11/2001      8/2003     11/2001        8/2003      12/2001       8/2003       Newsletter                                  AHC Media LLC                         United   States       Health
Sports Medicine, Arthroscopy, Rehabilitation, Therapy &
Technology                                                   1758-2555      1/2009                  1/2009                                             Magazine/Journal                              BioMed Central Ltd.                   United Kingdom        Health
Springer Seminars in Immunopathology                         0344-4325     11/2005      12/2006                                                        Magazine/Journal         Y                    Springer                              United States         Health
St. Lucia - HIV/AIDS Prevention and Control Project:
Procurement Plan                                                           11/2005                 11/2005                                                 Report                                    The World Bank                        United   States       Health
Stat Bulletin                                                0038-9986      5/2007                  5/2007                     5/2007                  Magazine/Journal                              Wisconsin Nurses Association          United   States       Health
State Health Watch                                           1074-4754      9/1996                  9/1996                    12/2001       4/2005       Newsletter                                  AHC Media LLC                         United   States       Health care industry
State Policies in Brief (Series)                                            4/2009                  4/2009                     4/2009                  Magazine/Journal                              Guttmacher Institute                  United   States       Health

Staying Healthy from the Faculty of Harvard Medical School                  7/2006      2/2007      7/2006        2/2007                                   Report                                    Harvard Health Publications Group     United   States       Health
Stem Cell Business News                                                    11/2010                 11/2010                    11/2010                    Newsletter                                  DataTrends Publications, Inc.         United   States       Biological sciences
Stem Cell Lab World                                                        11/2010                 11/2010                    11/2010                    Newsletter                                  DataTrends Publications, Inc.         United   States       Biological sciences
Stem Cell Research & Therapy                                 1757-6512      3/2010                  3/2010                                             Magazine/Journal         Y                    BioMed Central Ltd.                   United   Kingdom      Health
Stem Cell Research News                                      1538-327X     11/2010                 11/2010                    11/2010                    Newsletter                                  DataTrends Publications, Inc.         United   States       Biological sciences
Stem Cell Week                                               1537-1360     10/2001                 10/2001                                             Magazine/Journal                              NewsRX                                United   States       Health
Stem Cells and Development                                   1547-3287     10/2007                 10/2007       11/2011      10/2007       11/2011    Magazine/Journal         Y                    Mary Ann Liebert, Inc.                United   States       Health
Stem Cells International                                     1687-9678      1/2010                  1/2010                     1/2010                  Magazine/Journal         Y                    Hindawi Publishing Corp.              Egypt                 Health
Strategic Legal Technology by Prism Legal Consulting, Inc.
(Blogs on Demand)                                                          1/2007                   1/2007                                                   Blog                                    Newstex LLC                           United States         General interest
Streaming Media                                              1559-8039     4/2007                   4/2007                     4/2007                  Magazine/Journal                              Information Today, Inc.               United States         Computers
Strengthening the Education Sector: Response To
HIV/AIDS In the Caribbean                                                  1/2008                   1/2008                                                 Report                                    The World Bank                        United States         Health
Stroke Research and Treatment                                2042-0056     1/2010                   1/2010                     1/2010                  Magazine/Journal         Y                    Hindawi Publishing Corp.              Egypt                 Health

Structural Biology and Human Health: Medically Relevant
Proteins from the SGC(Structural Genomics Consortium)                      10/2009                 10/2009                    10/2009                     Newswire              Y                    Public Library of Science             United States         Science and technology
Student BMJ                                                  0966-6494      5/2001                  5/2001        4/2004       8/2001       10/2001    Magazine/Journal         Y                    British Medical Association           United States         Health
Studies in Family Planning                                   0039-3665      1/1992                  5/1994       12/2007       7/1994       12/2007    Magazine/Journal         Y                    The Population Council, Inc.          United States         Family and marriage
                                                                                                                                                                                                     Centraalbureau voor
Studies in Mycology                                          0166-0616     3/2011                   3/2011                     3/2011                  Magazine/Journal         Y                    Schimmelcultures                      Netherlands           Biological sciences
Subacute Care Management                                     1087-0377     1/1997       12/1998     1/1997       12/1998                                 Newsletter                                  AHC Media LLC                         United States         Health care industry

Suicide and Life-Threatening Behavior                        0363-0234     3/1989                                                                      Magazine/Journal         Y                    Guilford Publications, Inc.           United States         Psychology and mental health
Surfacing: Selected Papers on Religious Fundamentalisms
and Their Impact onWomen's Sexual and Reproductive                                                                                                                                                   Asian-Pacific Resource & Research
Health and Rights                                                          1/2008                   1/2008                     1/2008                    Monograph                                   Centre for Women                      Malaysia              Women's issues/gender studies

Surgeon General's Call To Action To Prevent Suicide                         1/1999                  1/1999                                                 Report                                    U.S. Office of the Surgeon General    United   States       Health
Surgical and Radiologic Anatomy                              0930-1038      6/1986                                                                     Magazine/Journal         Y                    Springer                              United   States       Health
Surgical Endoscopy                                           0930-2794      6/2004                                                                     Magazine/Journal         Y                    Springer                              United   States       Health
Surgical Infections                                          1096-2964     10/2007      10/2011    10/2007       10/2011      10/2007       10/2011    Magazine/Journal         Y                    Mary Ann Liebert, Inc.                United   States       Health
                                                                                                                                                                                                     Medknow Publications and Media Pvt.
Surgical Neurology International                                           1/2010                   1/2010                                             Magazine/Journal         Y                    Ltd.                                  India                 Health
Surgical Products                                            1062-4732     2/2000                   2/2000                     5/2000                    Newsletter                                  Advantage Business Media              United States         Health care industry

Swine (H1N1) Flu (Harvard Special Health Report)                           5/2009                   5/2009                     5/2009                      Report                                    Harvard Health Publications Group     United States         Health




                                                                                                                                                                                                                                                                   HRC Academic
                                                                                                                                                                                                                                                                          58/62
Journal Name                                                    ISSN      Index Start   Index End   Full-text   Full-text End Image Start   Image End       Format         Refereed/Peer-   Embargo             Publisher Name                Publisher Country   Publication Primary Subject
                                                                                                      Start                                                                  Reviewed        (Days)
                                                                                                                                                                                                      Medknow Publications and Media Pvt.
Systematic Reviews in Pharmacy                                               1/2010                  1/2010                                             Magazine/Journal         Y                    Ltd.                                  India                 Health
TAG Theoretical and Applied Genetics                          0040-5752      2/2003                                                                     Magazine/Journal         Y                    Springer                              United States         Biological sciences
Tanzania - AIDS Assessment and Planning Study                               12/1992                 12/1992                                                 Report                                    The World Bank                        United States         Health
TB & Outbreaks Week                                           1531-6432      6/2000                  6/2000                                               Newsletter                                  NewsRX                                United States         Health
TB Monitor                                                    1082-8664     11/2001      12/2002    11/2001       12/2002      12/2001       12/2002      Newsletter                                  AHC Media LLC                         United States         Health
Teaching and Learning in Nursing                              1557-3087      6/2006                                                                     Magazine/Journal         Y                    Elsevier B.V.                         Netherlands           Health care industry
Technical Report Series                                       0512-3054      4/2002                  4/2002                     5/2002                      Report               Y                    World Health Organization             Switzerland           Health
Techniques in Coloproctology                                  1123-6337      6/1999                                                                     Magazine/Journal         Y                    Springer                              United States         Health
Telemedicine and e-Health                                     1530-5627     10/2007                 10/2007       11/2011      10/2007       11/2011    Magazine/Journal         Y                    Mary Ann Liebert, Inc.                United States         Health
Tennessee Nurse                                               1055-3134      3/2006                  3/2006                     3/2006                  Magazine/Journal         Y                    Tennessee Nurses Association          United States         Health care industry
                                                                                                                                                                                                      Board of Nurse Examiners State of
Texas Board of Nursing Bulletin                                              1/2006                  1/2006                     1/2006                  Magazine/Journal         Y                    Texas                                 United   States       Health
Therapeutic Apheresis and Dialysis                            1744-9979      2/2006                                                                     Magazine/Journal         Y                    Blackwell Publishers Ltd.             United   Kingdom      Health
Therapy                                                       1475-0708      9/2004      11/2011     9/2004       11/2011       9/2004        1/2010    Magazine/Journal         Y                    Future Medicine Ltd.                  United   Kingdom      Health
Thorax                                                        0040-6376      4/2001                  4/2001        3/2004       8/2001       11/2001    Magazine/Journal         Y                    British Medical Association           United   States       Health
Thrombosis Journal                                            1477-9560      1/2007                  1/2007                                             Magazine/Journal         Y                    BioMed Central Ltd.                   United   Kingdom      Health
Thyroid                                                       1050-7256     11/2007      11/2011    11/2007       11/2011      11/2007       11/2011    Magazine/Journal         Y                    Mary Ann Liebert, Inc.                United   States       Health
Thyroid Research                                              1756-6614      9/2008                  9/2008                                             Magazine/Journal         Y                    BioMed Central Ltd.                   United   Kingdom      Health
                                                                                                                                                                                                      Medknow Publications and Media Pvt.
Thyroid Research and Practice                                 0973-0354     1/2012                   1/2012                                             Magazine/Journal         Y                    Ltd.                                  India                 Health

Time                                                          0040-781X     1/1980                                                                      Magazine/Journal                              Time, Inc.                            United States         News, opinion and commentary
Tissue Antigens                                               0001-2815     1/2005                                                                      Magazine/Journal         Y                    Blackwell Publishers Ltd.             United Kingdom        Biological sciences
Tissue Engineering, Part A: Tissue Engineering                1937-3341     1/2008       11/2011     1/2008       11/2011       1/2008       11/2011    Magazine/Journal         Y                    Mary Ann Liebert, Inc.                United States         Biological sciences
Tissue Engineering, Part B: Reviews                           1937-3368     3/2008       10/2011     3/2008       10/2011       3/2008       10/2011    Magazine/Journal         Y                    Mary Ann Liebert, Inc.                United States         Biological sciences
Tissue Engineering, Part C: Methods                           1937-3384     3/2008       11/2011     3/2008       11/2011       3/2008       11/2011    Magazine/Journal         Y                    Mary Ann Liebert, Inc.                United States         Biological sciences
To the Macula and Beyond                                                    1/2005                   1/2005                     1/2005                      Report               Y                    Kugler Publications                   Netherlands           Health
Tobacco Control                                               0964-4563     3/2001                   3/2001        3/2004       9/2001       9/2001     Magazine/Journal         Y                    British Medical Association           United States         Health
Tobacco Induced Diseases                                      1617-9625     1/2002                   1/2002                                             Magazine/Journal         Y                    BioMed Central Ltd.                   United Kingdom        Health
Today's Living                                                0743-7285     1/1988        4/1990                                                        Magazine/Journal                              Active Interest Media                 United States         Food/cooking/nutrition
Topics in Clinical Chiropractic                               1073-2837     6/2000       12/2002     3/2001       12/2002       3/2002       12/2002    Magazine/Journal         Y                    Aspen Publishers, Inc.                United States         Health
                                                                                                                                                                                                      Lippincott Williams & Wilkins, WK
Topics in Clinical Nutrition                                  0883-5691     12/2001                                                                     Magazine/Journal         Y                    Health                                United States         Health
                                                                                                                                                                                                      Lippincott Williams & Wilkins, WK
Topics in Emergency Medicine                                  0164-2340     12/2001      4/2006                                                         Magazine/Journal         Y                    Health                                United States         Health
                                                                                                                                                                                                      Lippincott Williams & Wilkins, WK
Topics in Geriatric Rehabilitation                            0882-7524     12/2001                                                                     Magazine/Journal         Y                    Health                                United States         Health
Topics in Health Care Financing                               0095-3814      9/1981      9/1994      3/1992        9/1994      12/1992       9/1994     Magazine/Journal                              Aspen Publishers, Inc.                United States         Health care industry

Topics in Health Information Management                       1065-0989     11/2001      1/2003     11/2001        1/2003      11/2001        1/2003    Magazine/Journal                              Aspen Publishers, Inc.                United States         Library and information science
                                                                                                                                                                                                      Lippincott Williams & Wilkins, WK
Topics in Language Disorders                                  0271-8294     1/2002                                                                      Magazine/Journal         Y                    Health                                United States         Education
Topics in Stroke Rehabilitation                               1074-9357     3/2002                   3/2002                     3/2002                  Magazine/Journal         Y                    Thomas Land Publishers, Inc.          United States         Health

Total Health                                                  0274-6743     2/1988       5/2009      2/1988        6/1996                               Magazine/Journal                              Total Health Communications, Inc.     United States         Health
Total Health Online                                                         1/2011                                                                      Magazine/Journal                              The Wellness Imperative People        United States         Health
Total Nutrition: The Only Guide You'll Ever Need                            1/1995                                                                         Collection                                 Lowenstein Associates, Inc.           United States         Food/cooking/nutrition

Towards STD/AIDS Awareness and Prevention In Plateau
State, Nigeria: FindingsFrom A Paricipatory Rural Appraisal                 4/1997                   4/1997                                                 Report                                    The World Bank                        United States         Health
Townsend Letter                                               1940-5464     1/2008                   1/2008                     1/2008                  Magazine/Journal         Y                    The Townsend Letter Group             United States         Health
Townsend Letter for Doctors and Patients                      1525-4283     1/2001       1/2006      1/2001        1/2006       4/2001       1/2006     Magazine/Journal         Y                    The Townsend Letter Group             United States         Health

Townsend Letter: The Examiner of Alternative Medicine                       2/2006       12/2007     2/2006       12/2007       2/2006       12/2007    Magazine/Journal         Y                    The Townsend Letter Group           United States           Health
                                                                                                                                                                                                      Medknow Publications and Media Pvt.
Toxicology International                                      0976-5131      1/2010                  1/2010                                             Magazine/Journal         Y                    Ltd.                                India                   Health
Traffic                                                       1398-9219     11/2000                                                                     Magazine/Journal         Y                    Blackwell Publishers Ltd.           United Kingdom          Biological sciences
Transactions of the Royal Society of Tropical Medicine and
Hygiene                                                       0035-9203     7/2005                                                                      Magazine/Journal         Y                    Elsevier B.V.                         Netherlands           Health care industry
Transboundary and Emerging Diseases                           1865-1674     3/2008                                                                      Magazine/Journal         Y                    Blackwell Publishers Ltd.             United Kingdom        Health care industry
Transfusion                                                   0041-1132     2/2002                                                                      Magazine/Journal         Y                    Blackwell Publishers Ltd.             United Kingdom        Science and technology
Transfusion Medicine                                          0958-7578     7/1998                                                                      Magazine/Journal         Y                    Blackwell Publishers Ltd.             United Kingdom        Health
Transfusion Medicine Reviews                                  0887-7963     1/1995                                                                      Magazine/Journal         Y                    Elsevier B.V.                         Netherlands           Health care industry
Translational Research                                        1931-5244     7/2006                                                                      Magazine/Journal         Y                    Elsevier B.V.                         Netherlands           Health care industry
Translational Stroke Research                                 1868-4483     3/2010                                                                      Magazine/Journal                              Springer                              United States         Health
Transplant & Tissue Weekly                                    1535-2684     4/2000       6/2000      4/2000        6/2000                                 Newsletter                                  NewsRX                                United States         Health




                                                                                                                                                                                                                                                                    HRC Academic
                                                                                                                                                                                                                                                                           59/62
Journal Name                                                ISSN      Index Start   Index End   Full-text   Full-text End Image Start   Image End       Format         Refereed/Peer-   Embargo             Publisher Name                    Publisher Country   Publication Primary Subject
                                                                                                  Start                                                                  Reviewed        (Days)
Transplant Immunology                                     0966-3274     3/2005                                                                      Magazine/Journal          Y                   Elsevier B.V.                             Netherlands           Health
Transplant Infectious Disease                             1398-2273     3/2006                                                                      Magazine/Journal          Y                   Blackwell Publishers Ltd.                 United Kingdom        Health
Transplant International                                  0934-0874     1/2006                                                                      Magazine/Journal          Y                   Blackwell Publishers Ltd.                 United Kingdom        Health
Transplant News                                           1090-4964     5/1998                   5/1998                                               Newsletter                                  Transplant Communications, Inc.           United States         Health care industry
Transplant Weekly                                                       6/1998       12/1999     6/1998       12/1999                                 Newsletter                                  NewsRX                                    United States         Health
Transplantation Reviews                                   0955-470X     1/1998                                                                      Magazine/Journal         Y                    Elsevier B.V.                             Netherlands           Health care industry
Trauma Reports                                            1531-1082     7/2000                   7/2000                     1/2002       1/2005     Magazine/Journal         Y                    AHC Media LLC                             United States         Health
Travel Medicine Advisor                                                 1/1997                   1/1997                     7/2001       3/2005       Newsletter                                  AHC Media LLC                             United States         Health
Trends in Amplification                                   1084-7138     1/2001                                                                      Magazine/Journal         Y                    Westminster Publications Inc.             United States         Health
                                                                                                                                                                                                  Society for Biomaterials and Artificial
Trends in Biomaterials and Artificial Organs              0971-1198     7/2001                   7/2001                     7/2001                  Magazine/Journal         Y                    Organs                                    India                 Health

Trends in Neurosciences                                   0166-2236     1/1992                                                                      Magazine/Journal         Y                    Elsevier Science Publishers                                     Psychology and mental health
Trends in Pharmacological Sciences                        0165-6147     1/1991                                                                      Magazine/Journal         Y                    Elsevier Science Publishers                                     Biological sciences
Trials                                                    1745-6215     1/2007                   1/2007                                             Magazine/Journal         Y                    BioMed Central Ltd.                       United Kingdom        Health
Tropical Medicine and International Health                1360-2276     1/2006                                                                      Magazine/Journal         Y                    Blackwell Publishers Ltd.                 United Kingdom        Health
                                                                                                                                                                                                  Medknow Publications and Media Pvt.
Tropical Parasitology                                                   1/2011                   1/2011                                             Magazine/Journal         Y                    Ltd.                                      India                 Health
Tuberculosis & Airborne Disease Weekly                                  5/1998       12/1999     5/1998       12/1999                                 Newsletter                                  NewsRX                                    United States         Health
Tuberculosis & Communicable Disease Weekly                              4/2000        5/2000     4/2000        5/2000                                 Newsletter                                  NewsRX                                    United States         Health
Tuberculosis Week                                         1543-6632     2/2003                   2/2003                                               Newsletter                                  NewsRX                                    United States         Health
                                                                                                                                                                                                  Tufts University Health & Nutrition
Tufts University Diet & Nutrition Letter                  0747-4105     1/1988       1/1997      1/1988        1/1997       7/1994        1/1997       Newsletter                                 Letter                                    United States         Food/cooking/nutrition
                                                                                                                                                                                                  Tufts University Health & Nutrition
Tufts University Health & Nutrition Letter                1526-0143      2/1997                  2/1997                     2/1997                    Newsletter                                  Letter                                    United States         Health
Turkish Journal of Dermatology                            1307-7635      9/2008                  9/2008                     9/2008                  Magazine/Journal         Y                    Aves Yayincilik                           Turkey                Health
Turkish Journal of Emergency Medicine                     1304-7361     10/2011                 10/2011                    10/2011                  Magazine/Journal         Y                    KARE Publishing                           Turkey                Health
Turkish Journal of Endocrinology and Metabolism           1301-2193      9/2008                  9/2008                     9/2008                  Magazine/Journal         Y                    Galenos Yayinevi Tic. Ltd.                Turkey                Health
Turkish Journal of Hematology                             1300-7777      9/2008                  9/2008                     9/2008                  Magazine/Journal         Y                    Aves Yayincilik                           Turkey                Health
Turkish Journal of Oncology                               1300-7467      7/2011                  7/2011                     7/2011                  Magazine/Journal         Y                    KARE Publishing                           Turkey                Health
Turkish Journal of Ophthalmology                          1300-0659      9/2010                  9/2010                     9/2010                  Magazine/Journal         Y                    Galenos Yayinevi Tic. Ltd.                Turkey                Health
Turkish Journal of Osteoporosis                           2146-3816      8/2011                  8/2011                     8/2011                  Magazine/Journal         Y                    Galenos Yayinevi Tic. Ltd.                Turkey                Health

Turkish Journal of Physical Medicine and Rehabilitation   1302-0234     9/2008                   9/2008                     9/2008                  Magazine/Journal         Y                    Galenos Yayinevi Tic. Ltd.                Turkey                Health

Turkish Journal of Rheumatology                           1309-0291     3/2009                   3/2009                     3/2009                  Magazine/Journal         Y                    Turkish League Against Rheumatism         Turkey                Health
Turkish Pediatrics Archive                                1306-0015     9/2008                   9/2008                     9/2008                  Magazine/Journal         Y                    Galenos Yayinevi Tic. Ltd.                Turkey                Health
Turkish Thoracic Journal                                  1302-7808     9/2008                   9/2008                     9/2008                  Magazine/Journal         Y                    Aves Yayincilik                           Turkey                Health
                                                                                                                                                                                                  U.S. Army Medical Department Center
U.S. Army Medical Department Journal                      1524-0436     1/2005                   1/2005                     1/2005                  Magazine/Journal         Y                    & School                                  United States         Health

U.S. News & World Report                                  0041-5537     1/1980       12/2010                                                        Magazine/Journal                              U.S. News and World Report, L.P.          United States         News, opinion and commentary

U.S. News & World Report Weekly                                         1/2011                                                                      Magazine/Journal                              U.S. News and World Report, L.P.          United States         News, opinion and commentary
Uganda - Sexually Transmitted Infections Project                        6/2003                   6/2003                                                 Report                                    The World Bank                            United States         Health
University of California, Berkeley Wellness Letter        0748-9234     1/1988                   1/1989        2/1995                                 Newsletter                                  MediZine LLC                              United States         Sports and fitness

Update                                                    0301-5718     11/2002                 11/2003                                             Magazine/Journal                              Elsevier Science Publishers                                     News, opinion and commentary
Urgent Care Alert                                         1935-3898      1/2007      6/2007      1/2007        6/2007                                 Newsletter                                  AHC Media LLC                       United States               Health care industry
Urologic Nursing                                          1053-816X      3/1999                  3/1999                     2/2001                  Magazine/Journal         Y                    Jannetti Publications, Inc.         United States               Health
Urological Research                                       0300-5623      2/2006                                                                     Magazine/Journal         Y                    Springer                            United States               Health
                                                                                                                                                                                                  Medknow Publications and Media Pvt.
Urology Annals                                            0974-7796      1/2009                  1/2009                                             Magazine/Journal         Y                    Ltd.                                India                       Health
Urology Times                                             0093-9722     10/1997                 10/1997                                             Magazine/Journal                              Advanstar Communications, Inc.      United States               Business
Vaccine Weekly                                            1074-2921      7/2008                  7/2008                                               Newsletter                                  NewsRX                              United States               Health
                                                                                                                                                                                                                                                                  Pharmaceuticals and cosmetics
Value in Health                                           1098-3015      1/2006                                                                     Magazine/Journal         Y                    Blackwell Publishers Ltd.                 United   Kingdom      industries
Vascular and Endovascular Surgery                         1538-5744      1/2002                                                                     Magazine/Journal         Y                    Westminster Publications Inc.             United   States       Health
Vascular Cell                                             2045-824X      1/2011                  1/2011                                             Magazine/Journal         Y                    BioMed Central Ltd.                       United   Kingdom      Health
Vascular Surgery                                          0042-2835      1/2001      11/2001                                                        Magazine/Journal         Y                    Westminster Publications Inc.             United   States       Health
Vector & Zoonosis Week                                                   8/2002       4/2003     8/2002        4/2003                                 Newsletter                                  NewsRX                                    United   States       Health care industry
Vector-Borne and Zoonotic Diseases                        1530-3667     12/2007      11/2011    12/2007       11/2011      12/2007       11/2011    Magazine/Journal         Y                    Mary Ann Liebert, Inc.                    United   States       Health
Vegetarian Journal                                        0885-7636      7/2000                  7/2000                     7/2000                  Magazine/Journal                              Vegetarian Resource Group                 United   States       Food/cooking/nutrition
Vegetarian Times                                          0164-8497      1/1988                  1/1996                    10/1999                  Magazine/Journal                              Active Interest Media                     United   States       Food/cooking/nutrition
                                                                                                                                                                                                  Vermont State Nurses Association,
Vermont Nurse Connection                                  1529-4609     2/2007                   2/2007                     5/2007                    Newsletter                                  Inc.                                      United States         Health care industry
Veterinary Anaesthesia and Analgesia                      1467-2987     1/2006                                                                      Magazine/Journal         Y                    Blackwell Publishers Ltd.                 United Kingdom        Health




                                                                                                                                                                                                                                                                    HRC Academic
                                                                                                                                                                                                                                                                           60/62
Journal Name                                           ISSN      Index Start   Index End   Full-text   Full-text End Image Start   Image End       Format         Refereed/Peer-   Embargo            Publisher Name              Publisher Country   Publication Primary Subject
                                                                                             Start                                                                  Reviewed        (Days)
Veterinary   Dermatology                             0959-4493      2/2006                                                                     Magazine/Journal          Y                   Blackwell Publishers Ltd.          United   Kingdom      Health
Veterinary   Medicine                                8750-7943     12/2005                 12/2005                    12/2005                  Magazine/Journal          Y                   Advanstar Communications, Inc.     United   States       Health
Veterinary   Ophthalmology                           1463-5216      1/2006                                                                     Magazine/Journal          Y                   Blackwell Publishers Ltd.          United   Kingdom      Health
Veterinary   Radiology & Ultrasound                  1058-8183      1/2006                                                                     Magazine/Journal          Y                   Blackwell Publishers Ltd.          United   Kingdom      Health
Veterinary   Surgery                                 0161-3499      5/1986                                                                     Magazine/Journal          Y                   Blackwell Publishers Ltd.          United   Kingdom      Health
                                                                                                                                                                                             Review and Herald Publishing
Vibrant Life                                         0749-3509     1/1988                   1/1989                     9/1999                  Magazine/Journal                              Association                        United States         Health

Violence Against Women                               1077-8012     10/1999                                                                     Magazine/Journal         Y                    Sage Publications, Inc.            United States         Women's issues/gender studies
Violence and Victims                                 0886-6708      3/1999                                                                     Magazine/Journal         Y                    Springer Publishing Co.            United States         Sociology and social work
Viral Immunology                                     0882-8245     12/2007      10/2011    12/2007       10/2011      12/2007       10/2011    Magazine/Journal         Y                    Mary Ann Liebert, Inc.             United States         Health
Virus Weekly                                         1531-6424      6/2000                  6/2000                     8/2000       10/2000      Newsletter                                  NewsRX                             United States         Health
Visions: The Journal of Rogerian Nursing Science     1072-4532      1/2002                  1/2002                     1/2002                  Magazine/Journal         Y                    Society of Rogerian Scholars       United States         Health
Vox Sanguinis                                        0042-9007      1/2001                                                                     Magazine/Journal         Y                    Blackwell Publishers Ltd.          United Kingdom        Health
Waste and Biomass Valorization                       1877-2641      3/2010                                                                     Magazine/Journal                              Springer                           United States         Environmental issues
Weekly Epidemiological Record                        0049-8114      1/2002                  1/2002                     1/2004                  Magazine/Journal                              World Health Organization          Switzerland           Health
                                                                                                                                                                                             Weight Watchers Twentyfirst
Weight Watchers Magazine                             0043-2180     1/1980                                                                      Magazine/Journal                              Corporation                                              Health
                                                                                                                                                                                             West Virginia State Medical
West Virginia Medical Journal                        0043-3284     1/2008                   1/2008                     1/2008                  Magazine/Journal         Y                    Association                        United States         Health
Western Journal of Medicine                          0093-0415     5/1989       5/2002      5/1989        5/2002       7/1999       6/2001     Magazine/Journal         Y                    British Medical Association        United States         Health
Western Journal of Nursing Research                  0193-9459     2/1996                   2/1996       12/1998                               Magazine/Journal         Y                    Sage Publications, Inc.            United States         Health
                                                                                                                                                                                             Whitireia Community Polytechnic,
Whitireia Nursing Journal                            1173-1966     1/2006                   1/2006                     1/2006                  Magazine/Journal                              Nursing Centre of Learning         New Zealand           Health care industry
WHO Drug Information                                 1010-9609     1/1999                   1/1999                     6/1999                  Magazine/Journal                              World Health Organization          Switzerland           Health
WHO Regional Publications, European Series           0378-2255     1/1999                   1/1999                     1/2007                      Report                                    World Health Organization          Switzerland           Government

Whole Life Monthly                                   0279-5604     1/1988       3/1988                                                         Magazine/Journal                              Whole World Communications, Inc.                         Health
Whole Life Times                                     0279-5590     4/1988       4/2009                                                         Magazine/Journal                              Whole Life Company, Inc.           United States         Health
Women & Health                                       0363-0242     3/1988                                                                      Magazine/Journal         Y                    Routledge                          United Kingdom        Health

Women & Therapy                                      0270-3149     1/1992                                                                      Magazine/Journal         Y                    Routledge                          United Kingdom        Women's issues/gender studies
Women and Birth                                      1871-5192     7/2006                                                                      Magazine/Journal         Y                    Elsevier B.V.                      Netherlands           Health care industry
Women's Health                                       1745-5057     7/2005                   7/2005                                             Magazine/Journal         Y            365     Future Medicine Ltd.               United Kingdom        Health

Women's Health Activist                              1547-8823     1/2004                   1/2004                     1/2004                  Magazine/Journal                              National Women's Health Network    United States         Women's issues/gender studies
Women's Health Advisor                               1524-881X     1/2006                   1/2006                     6/2006                  Magazine/Journal                              Belvoir Media Group, LLC           United States         Health
Women's Health Center Management                     1082-863X     1/1997       12/1998     1/1997       12/1998                                 Newsletter                                  AHC Media LLC                      United States         Health care industry
                                                                                                                                                                                             Latin American and Caribbean
Women's Health Collection                                          1/2001       1/2009      1/2001        1/2009       1/2001        1/2009       Collection                                 Women's Health Network             Chile                 Women's issues/gender studies
Women's Health Issues                                1049-3867     1/1997                                                                      Magazine/Journal         Y                    Elsevier B.V.                      Netherlands           Health
                                                                                                                                                                                             Latin American and Caribbean
Women's Health Journal                                              4/2002                  4/2002                     4/2002                  Magazine/Journal                              Women's Health Network             Chile                 Women's issues/gender studies
Women's Health Letter                                1062-4163      8/2000                  8/2000                     8/2000                    Newsletter                                  Soundview Publications             United States         Health
Women's Health Weekly                                1078-7240     11/2000                 11/2000                    11/2000       9/2001     Magazine/Journal                              NewsRX                             United States         Health
Women's Letter                                       1043-1519      5/1989      2/1991      1/1990        2/1991                                 Newsletter                                  Skol Corp.                                               Health
Women's Sports and Fitness                           1099-6079      1/1985      7/2000      1/1989        7/2000       9/1999       7/2000     Magazine/Journal                              Conde Nast Publications, Inc.      United States         Sports and fitness
WomenSports                                          0163-7428      1/1980      3/1985                                                         Magazine/Journal                              Conde Nast Publications, Inc.      United States         Sports and fitness
Work and Occupations                                 0730-8884      2/1992                  2/1997       11/1998                               Magazine/Journal         Y                    Sage Publications, Inc.            United States         Sociology and social work
                                                                                                                                                                                             President's Committee on
                                                                                                                                                                                             Employment of People with                                Human resources and labor
Worklife                                             1553-4626     1/1988       9/1990      3/1989        9/1990                               Magazine/Journal                              Disabilities                       United States         relations
World Bank's Commitment To HIV/AIDS In Africa: Our
Agenda For Action,2007-2011                                         1/2008                  1/2008                                                 Report                                    The World Bank                      United States        Health
World Disease Weekly                                 1553-6963     10/2004                 10/2004                                               Newsletter                                  NewsRX                              United States        Health
World Disease Weekly Plus                                           4/1998      10/1999     4/1998       10/1999                                 Newsletter                                  NewsRX                              United States        Health
World Health                                         0043-8502      1/1980      11/1998     1/1983       11/1998       7/1994       11/1998    Magazine/Journal                              World Health Organization           Switzerland          Health
World Health Report                                  1020-3311      1/2001                  1/2001                     1/2002                      Report                                    World Health Organization           Switzerland          Health
World Health Statistics 2005                                        1/2005      1/2005      1/2005        1/2005                                   Report                                    World Health Organization           Switzerland          Health
World Health Statistics 2006                                        1/2006      1/2006      1/2006        1/2006                                   Report                                    World Health Organization           Switzerland          Health
World Health Statistics 2007                                        1/2007      1/2007      1/2007        1/2007                                   Report                                    World Health Organization           Switzerland          Health
World Health Statistics 2008                                        1/2008      1/2008      1/2008        1/2008                                   Report                                    World Health Organization           Switzerland          Health
World Health Statistics 2009                                        1/2009      1/2009      1/2009        1/2009                                   Report                                    World Health Organization           Switzerland          Health
World Health Statistics 2010                         1999-5202      1/2010                  1/2010                     1/2010                      Report                                    World Health Organization           Switzerland          Health
World Journal of Emergency Surgery                   1749-7922     12/2006                 12/2006                                             Magazine/Journal         Y                    BioMed Central Ltd.                 United Kingdom       Health
                                                                                                                                                                                             Medknow Publications and Media Pvt.
World Journal of Nuclear Medicine                    1450-1147     1/2011                   1/2011                                             Magazine/Journal         Y                    Ltd.                                India                Health




                                                                                                                                                                                                                                                        HRC Academic
                                                                                                                                                                                                                                                               61/62
Journal Name                             ISSN      Index Start   Index End   Full-text   Full-text End Image Start   Image End       Format         Refereed/Peer-   Embargo            Publisher Name                 Publisher Country   Publication Primary Subject
                                                                               Start                                                                  Reviewed        (Days)
World Journal of Surgery               0364-2313     7/1997                                                                      Magazine/Journal          Y                   Springer                              United   States       Health
World Journal of Surgical Oncology     1477-7819     1/2007                   1/2007                                             Magazine/Journal          Y                   BioMed Central Ltd.                   United   Kingdom      Health
World Journal of Urology               0724-4983     9/2005                                                                      Magazine/Journal          Y                   Springer                              United   States       Health
Worldviews on Evidence-Based Nursing   1545-102X     3/2006                                                                      Magazine/Journal          Y                   Blackwell Publishers Ltd.             United   Kingdom      Health care industry
Wound Care                             1098-643X     1/1997       7/1999      1/1997        7/1999                                 Newsletter                                  AHC Media LLC                         United   States       Health care industry
Wound Repair and Regeneration          1067-1927     1/2004                                                                      Magazine/Journal         Y                    Blackwell Publishers Ltd.             United   Kingdom      Health
Xenotransplantation                    0908-665X     1/2006                                                                      Magazine/Journal         Y                    Blackwell Publishers Ltd.             United   Kingdom      Health
                                                                                                                                                                               Medknow Publications and Media Pvt.
Young Scientists Journal               0974-6102     1/2008                   1/2008                                             Magazine/Journal                              Ltd.                                  India                 Science and technology
                                                                                                                                                                               Australian Clearing House for Youth
Youth Studies Australia                1038-2569     9/2001                   9/2001                    12/2001                  Magazine/Journal         Y                    Studies                               Australia             Family and marriage
Zebrafish                              1545-8547     9/2007       9/2011      9/2007        9/2011       9/2007       9/2011     Magazine/Journal         Y                    Mary Ann Liebert, Inc.                United States         Science and technology
Zoonoses and Public Health             1863-1959     2/2008                                                                      Magazine/Journal         Y                    Blackwell Publishers Ltd.             United Kingdom        Health care industry




                                                                                                                                                                                                                                             HRC Academic
                                                                                                                                                                                                                                                    62/62

J.list searching manual

  • 1.
    สามารถกดเพื่อไปยังหน้ าต่ างดาวโหลด“Title Lists” ของฐานข้ อมูล สามารถกดเพื่อกลับไปสู่หน้ าต่ าง “รวมฐานข้ อมูลของ ชื่อสถาบัน Cengage” ที่ทางสถาบันบอกรับ 1 การเลือกค้ นหาแบบรายวิชา การเลือกค้ นหาแบบตามปี พิมพ์ การเลือกค้ นหาแบบพิเศษ การดูข้อมูลของคําหรือสิ่งที่เคยพิมพ์ ค้ นหาใน ผู้ใช้ สามารถพิมพ์ คาํ หรื อสิ่งที่ต้องการจะค้ นหาลงในช่ องว่ าง สามารถเลือกผลการค้ นหา สามารถเลือกผลการค้ นหาเป็ น เป็ น “ทังหมดที่ค้นพบ” ้ รายสาขาหรือประเภทวิชา สามารถเลือกผลการค้ นหาเป็ น “คํา” สามารถเลือกจํากัดผลการค้ นหาเป็ น สามารถเลือกจํากัดผลการค้ นหาเป็ น แบบ “Full-text” เท่ านัน ้ แบบ “ข้ อมูลและรู ปภาพ” เท่ านัน ้ 2 หลังจากที่ได้ กด ผลที่แสดงออกมานันจะแบ่งเป็ นประเภทต่างๆ ดังนี ้ ้ นิตยสาร วารสาร หนังสือ ข่ าว วิดีโอ ตัวอักษรสีแดงจะเป็ นการแสดง ผลของคําที่ได้ พมพ์ ค้นหา ิ สามารถเลือกดูเป็ นแบบ “PDF” อุปกรณ์ การพิมพ์ สามารถเลือกดูเป็ นแบบ “PDF” การส่ งข้ อมูลผ่ านไปยัง FaceBook, Google การอ้ างอิง และอื่นๆ สามารถส่ งข้ อมูลทาง “E-mail” พจนานุกรม การดาวโหลดเสียงอ่ าน อุปกรณ์ แปลภาษา New Knowledge Information Co.,Ltd. Contact: Mr. Krairerk S. Tel: 02-1293983 / 085-910 9105 E-mail: krairerk.s@newknowledgeinfo.com
  • 2.
    3 การค้ นหาข้ อมูลโดยต้ องการข้ อมูลเฉพาะเจาะจง New Knowledge Information Co.,Ltd. Contact: Mr. Krairerk S. Tel: 02-1293983 / 085-910 9105 E-mail: krairerk.s@newknowledgeinfo.com
  • 3.
    Health Reference CenterAcademic Available 24 hours a day via the Internet, Health Reference Center - Academic provides a one-stop, full service resource for health-related research. It provides an integrated collection of general interest health and fitness magazines, medical and professional periodicals, reference books and pamphlets. Records are available in a combination of indexing, abstracts or full text formats. Designed for nursing and allied health students, as well as consumer health researchers. Select titles may have different coverage based on the market your library serves. Updated March 1, 2012 Journal Name ISSN Index Start Index End Full-text Full-text End Image Start Image End Format Refereed/Peer- Embargo Publisher Name Publisher Country Publication Primary Subject Start Reviewed (Days) 10 Tips For Healthy Restaurant Dining 4/2007 4/2007 Video Health Guru Media, Inc. United States Health A Friend Indeed 0824-1961 9/2002 1/2006 9/2002 1/2006 9/2002 1/2006 Newsletter A Friend Indeed Publications, Inc. Canada Women's issues/gender studies A New Agenda for Women's Health and Nutrition 8/1994 8/1994 Report The World Bank United States Women's issues/gender studies American Speech-Language-Hearing A S H A Leader 1085-9586 1/1999 1/1999 9/1999 Magazine/Journal Association United States Health American Association of Critical-Care AACN Bold Voices 1948-7088 7/2009 Newsletter Nurses United States Psychology and mental health American Association of Critical-Care AACN News 1075-7732 12/2006 7/2008 12/2006 7/2008 Newsletter Nurses United States Psychology and mental health American Academy of Orthopaedic AAOS Now 1935-6765 12/2010 12/2010 12/2010 Magazine/Journal Y Surgeons United States Health American Association of Retired AARP: The Magazine 1541-9894 11/2004 Magazine/Journal Persons United States General interest Abdominal Imaging 0942-8925 1/2000 Magazine/Journal Y Springer United States Health ABNF Journal 1046-7041 1/2002 11/2004 1/2002 11/2004 5/2002 11/2004 Magazine/Journal Y Tucker Publications, Inc. United States Health Abstracts in Hematology & Oncology 5/2005 11/2007 5/2005 11/2007 Magazine/Journal CMP Medica, LLC United States Health Academy of Health Care Management Journal 1559-7628 1/2005 1/2005 1/2005 Magazine/Journal Y The DreamCatchers Group, LLC United States Health care industry Academy of Management Journal 0001-4273 3/1980 Magazine/Journal Y Academy of Management United States Business, general ACC Current Journal Review 1062-1458 7/1996 12/2005 Magazine/Journal Y Elsevier B.V. Netherlands Health Accent on Living 0001-4508 12/1987 6/2001 3/1989 6/2001 6/1994 6/2001 Magazine/Journal Cheever Publishing, Inc. United States Health American Dental Hygienists' Access 1050-0758 9/2007 9/2007 9/2007 Magazine/Journal Association Health Accident and Emergency Nursing 0965-2302 1/2005 1/2005 7/2006 1/2005 7/2006 Magazine/Journal Y Elsevier B.V. Netherlands Health care industry ACOG Clinical Review 1085-6862 3/1996 Magazine/Journal Y Elsevier B.V. Netherlands Science and technology American Council on Science and ACSH News & Views 0737-8637 1/1988 5/1988 Magazine/Journal Health United States Health Acta Anaesthesiologica Scandinavica 0001-5172 2/2000 Magazine/Journal Y Blackwell Publishers Ltd. United Kingdom Health Acta Biochimica et Biophysica Sinica 1672-9145 1/2006 Magazine/Journal Y Blackwell Publishers Ltd. United Kingdom Biological sciences Acta Clinica Belgica 0001-5512 5/2009 5/2009 5/2009 Magazine/Journal Y Acta Clinica Belgica Belgium Health Acta Crystallographica Section D 0907-4449 11/1998 Magazine/Journal Y Blackwell Publishers Ltd. United Kingdom Chemistry Acta Crystallographica Section F 1744-3091 1/2006 Magazine/Journal Y Blackwell Publishers Ltd. United Kingdom Chemistry Acta Diabetologica 0940-5429 6/1991 Magazine/Journal Y Springer United States Health Acta Neurochirurgica 0001-6268 3/1980 Magazine/Journal Y Springer United States Health Acta Neurologica Scandinavica 0001-6314 3/2002 Magazine/Journal Y Blackwell Publishers Ltd. United Kingdom Psychology and mental health Acta Neuropathologica 0001-6322 9/2003 Magazine/Journal Y Springer United States Science and technology Acta Ophthalmologica 1755-375X 8/2008 Magazine/Journal Y Blackwell Publishers Ltd. United Kingdom Health Acta Ophthalmologica Scandinavica 1395-3907 2/2006 6/2008 Magazine/Journal Y Blackwell Publishers Ltd. United Kingdom Health Scandinavian University Press Acta Oto-Laryngologica 0001-6489 9/1989 9/1989 Magazine/Journal Y (Norway) Health Pharmaceuticals and cosmetics Acta Pharmacologica Sinica 1671-4083 1/2006 Magazine/Journal Y Blackwell Publishers Ltd. United Kingdom industries Acta Physiologiae Plantarum 0137-5881 12/1997 Magazine/Journal Y Springer United States Biological sciences Acta Physiologica 1748-1708 1/2006 Magazine/Journal Y Blackwell Publishers Ltd. United Kingdom Biological sciences Acta Psychiatrica Scandinavica 0001-690X 5/2002 Magazine/Journal Y Blackwell Publishers Ltd. United Kingdom Psychology and mental health Acupuncture in Medicine 0964-5284 1/2006 7/2008 1/2006 7/2008 1/2006 7/2008 Magazine/Journal Y British Medical Acupuncture Society United Kingdom Health American Physical Therapy Acute Care Perspectives 1551-9147 3/2008 12/2009 3/2008 12/2009 3/2008 12/2009 Magazine/Journal Y Association, Acute Care Section United States Health Addiction 0965-2140 4/1983 Magazine/Journal Y Blackwell Publishers Ltd. United Kingdom Health Addiction & Recovery 1052-4614 6/1990 7/1993 6/1990 7/1993 Magazine/Journal Vendome Group LLC United States Health Addiction Biology 1355-6215 3/2006 Magazine/Journal Y Blackwell Publishers Ltd. United Kingdom Social sciences Addiction Letter 8756-405X 1/1989 6/1996 1/1989 6/1996 Newsletter Manisses Communications Group, Inc. United States Health care industry HRC Academic 1/62
  • 4.
    Journal Name ISSN Index Start Index End Full-text Full-text End Image Start Image End Format Refereed/Peer- Embargo Publisher Name Publisher Country Publication Primary Subject Start Reviewed (Days) Addiction Professional 1542-8435 5/2004 5/2004 5/2004 Magazine/Journal Vendome Group LLC United States Psychology and mental health Addictive Behaviors 0306-4603 1/1994 Magazine/Journal Y Elsevier B.V. Netherlands Health Administration in Social Work 0364-3107 1/1992 Magazine/Journal Y Routledge United Kingdom Sociology and social work Adolescence 0001-8449 3/1989 12/2009 3/1993 12/2009 6/1994 12/2009 Magazine/Journal Y Libra Publishers, Inc. United States Psychology and mental health British Association for Adoption & Adoption & Fostering 0308-5759 3/2006 3/2006 3/2006 Magazine/Journal Y Fostering United Kingdom Family and marriage Adultspan Journal 1524-6817 3/2000 3/2000 3/2000 Magazine/Journal Y American Counseling Association United States Psychology and mental health Lippincott Williams & Wilkins, WK Advanced Emergency Nursing Journal 1931-4485 7/2006 Magazine/Journal Y Health United States Health Advances in Breast Cancer 1742-0946 6/2007 6/2007 6/2007 Magazine/Journal Mediscript Ltd. United Kingdom Health Advances in Gastrointestinal Cancer 1479-9995 6/2007 10/2009 6/2007 10/2009 6/2007 10/2009 Magazine/Journal Mediscript Ltd. United Kingdom Health Advances in Health Sciences Education 1382-4996 8/2006 Magazine/Journal Y Springer United States Education Advances in Hematology 1687-9104 1/2009 1/2009 1/2009 Magazine/Journal Y Hindawi Publishing Corp. Egypt Health American-Eurasian Network for Advances in Medical and Dental Sciences 1995-0764 9/2007 9/2007 9/2007 Magazine/Journal Y Scientific Information Jordan Health Advances in Mental Health 1837-4905 8/2010 8/2010 8/2010 Magazine/Journal Y eContent Management Pty Ltd. Australia Psychology and mental health Lippincott Williams & Wilkins, WK Advances in Nursing Science 0161-9268 3/1996 Magazine/Journal Y Health United States Health Advances in Oncology 1750-5925 11/2008 11/2008 11/2008 Magazine/Journal Y Mediscript Ltd. United Kingdom Health Advances in Pharmacological Sciences 1687-6334 1/2008 1/2008 1/2008 Magazine/Journal Y Hindawi Publishing Corp. Egypt Health Advances in Physical Education 2164-0386 8/2011 Magazine/Journal Y Scientific Research Publishing, Inc. United States Education Lippincott Williams & Wilkins, WK Advances in Skin & Wound Care 1527-7941 1/2000 Magazine/Journal Y Health United States Health Advances in Therapy 0741-238X 1/2008 Magazine/Journal Y Springer United States Health Advances in Urology 1687-6369 1/2008 1/2008 1/2008 Magazine/Journal Y Hindawi Publishing Corp. Egypt Health Advances in Wound Care: The Journal for Prevention and Lippincott Williams & Wilkins, WK Healing 1076-2191 1/1996 11/1999 Magazine/Journal Y Health United States Health care industry Adverse Event Reporting News 1550-5332 1/2007 1/2007 1/2007 Magazine/Journal Washington Information Source, Inc. United States Government Asian-Pacific Resource & Research Advocating Accountability 1/2008 1/2008 1/2008 Monograph Centre for Women Malaysia Women's issues/gender studies Aesthetic Plastic Surgery 0364-216X 1/1997 Magazine/Journal Y Springer United States Health Aerobics and Fitness Association of AFAA's American Fitness 0749-8942 12/1987 11/1989 2/1988 11/1989 Magazine/Journal America United States Sports and fitness Affilia Journal of Women and Social Work 0886-1099 3/1992 9/1997 12/1998 Magazine/Journal Y Sage Publications, Inc. United States Sociology and social work Africa - Regional AIDS Strategy For the Sahel 1/1995 1/1995 Report The World Bank United States Health Medknow Publications and Media Pvt. African Journal of Paediatric Surgery 0189-6725 1/2008 1/2008 Magazine/Journal Y Ltd. India Health AGE 0161-9152 3/2005 Magazine/Journal Y Springer United States Social sciences Age and Ageing 0002-0729 1/1989 5/1992 11/1998 Magazine/Journal Y Oxford University Press United Kingdom Seniors Ageing International 0163-5158 9/1996 Magazine/Journal Springer United States Seniors Aggression and Violent Behavior 1359-1789 1/2006 Magazine/Journal Y Elsevier B.V. Netherlands Psychology and mental health Aging and Demographic Change In European Societies: Main Trends andAlternative Policy Options 3/2007 3/2007 Report The World Bank United States Sociology and social work Aging Cell 1474-9718 12/2003 Magazine/Journal Blackwell Publishers Ltd. United Kingdom Biological sciences Aging Health 1745-509X 8/2005 8/2005 5/2006 Magazine/Journal Y Future Medicine Ltd. United Kingdom Health Agri: The Journal of The Turkish Society of Algology 1300-0012 10/2011 10/2011 10/2011 Magazine/Journal Y KARE Publishing Turkey Health AIDS Alert 0887-0292 1/1988 1/1988 1/1999 3/2005 Newsletter Y AHC Media LLC United States Health AIDS and Behavior 1090-7165 3/1997 Magazine/Journal Y Springer United States Health AIDS Patient Care 0893-5068 2/1989 12/1995 Magazine/Journal Y Mary Ann Liebert, Inc. United States Health AIDS Patient Care and STDs 1087-2914 2/1996 1/2012 Magazine/Journal Y Mary Ann Liebert, Inc. United States Health AIDS Prevention and Mitigation In Sub-Saharan Africa: An Updated World BankStrategy 4/1996 4/1996 Report The World Bank United States Health AIDS Reader 1053-0894 3/2005 3/2005 Magazine/Journal Y CMP Medica, LLC United States Health AIDS Research and Human Retroviruses 0889-2229 12/2007 11/2011 12/2007 11/2011 12/2007 11/2011 Magazine/Journal Y Mary Ann Liebert, Inc. United States Health AIDS Research and Therapy 1742-6405 12/2006 12/2006 Magazine/Journal Y BioMed Central Ltd. United Kingdom Health AIDS Treatment News 1052-4207 9/2000 9/2000 10/2000 Newsletter John S. James United States Health AIDS Vaccine Week 1543-6918 1/2003 1/2003 Newsletter NewsRX United States Health AIDS Weekly 1069-1456 1/1991 2/2012 1/1991 2/2012 Newsletter NewsRX United States Health AIDS Weekly Plus 11/1995 10/1999 11/1995 10/1999 Newsletter NewsRX United States Health Air Medical Journal 1067-991X 5/2001 Magazine/Journal Y Elsevier B.V. Netherlands Health HRC Academic 2/62
  • 5.
    Journal Name ISSN Index Start Index End Full-text Full-text End Image Start Image End Format Refereed/Peer- Embargo Publisher Name Publisher Country Publication Primary Subject Start Reviewed (Days) AJIC: American Journal of Infection Control 0196-6553 2/1998 Magazine/Journal Y Elsevier B.V. Netherlands Health American Occupational Therapy AJOT: American Journal of Occupational Therapy 0272-9490 1/2004 1/2004 1/2004 Magazine/Journal Y Association United States Health Alcohol Health & Research World 0090-838X 12/1987 12/1998 1/1989 12/1998 6/1994 6/1997 Magazine/Journal Y U.S. Government Printing Office United States Psychology and mental health Alcohol Research & Health 1535-7414 1/1999 1/1999 9/1999 Magazine/Journal Y U.S. Government Printing Office United States Health Alcoholism & Addiction Magazine 0884-1403 2/1988 11/1989 2/1988 11/1989 Magazine/Journal Vendome Group LLC United States Health Alcoholism & Drug Abuse Week 1042-1394 1/1989 12/1996 1/1989 12/1996 Newsletter Wiley Periodicals, Inc. United States Health Alcoholism & Drug Abuse Weekly 1042-1394 1/1997 1/1997 3/1997 Newsletter 180 Wiley Periodicals, Inc. United States Psychology and mental health National Council on Alcoholism and Alcoholism Report 0276-3613 1/1989 12/1994 1/1989 12/1994 Newsletter Drug Dependence, Inc. United States Health Alcoholism: Clinical and Experimental Research 0145-6008 1/2006 Magazine/Journal Y Blackwell Publishers Ltd. United Kingdom Social sciences Pharmaceuticals and cosmetics Alimentary Pharmacology and Therapeutics 0269-2813 2/2000 Magazine/Journal Y Blackwell Publishers Ltd. United Kingdom industries Alimentos e Nutricao (Brazilian Journal of Food and Faculdade de Ciencias Farmaceuticas Nutrition) 0103-4235 1/2008 1/2008 1/2008 Magazine/Journal Y UNESP Brazil Food/cooking/nutrition Allergy 0105-4538 12/2001 Magazine/Journal Y Blackwell Publishers Ltd. United Kingdom Health Allergy, Asthma & Clinical Immunology 1710-1492 3/2005 3/2005 Magazine/Journal Y BioMed Central Ltd. United Kingdom Health Alternative Medicine Review 1089-5159 2/1999 8/2000 8/2000 Magazine/Journal Y Thorne Research Inc. United States Health Alternative Therapies in Health and Medicine 1078-6791 1/2000 Magazine/Journal Y InnoVision Communications Health Alternative Therapies in Women's Health 1522-3396 12/1998 6/2009 12/1998 6/2009 1/2002 3/2005 Newsletter AHC Media LLC United States Health Lippincott Williams & Wilkins, WK Alzheimer's Care Quarterly 1525-3279 9/2001 10/2006 Magazine/Journal Y Health United States Health care industry Alzheimer's Research & Therapy 1758-9193 10/2009 10/2009 Magazine/Journal Y BioMed Central Ltd. United Kingdom Health American Running & Fitness AMAA Journal 3/2002 1/2003 1/2003 Magazine/Journal Y Association United States Sports and fitness Ambulatory Pediatrics 1530-1567 1/2001 11/2008 Magazine/Journal Y Elsevier B.V. Netherlands Health American Baby 0044-7544 1/1980 Magazine/Journal Reed Business Information, Inc. (US) United States Family and marriage Pharmaceuticals and cosmetics American Druggist 0190-5279 1/1981 7/1999 12/1993 7/1999 1/1994 2/1997 Magazine/Journal American Druggist, Inc. United States industries American Academy of Family American Family Physician 0002-838X 1/1981 Magazine/Journal Y Physicians United States Health Aerobics and Fitness Association of American Fitness 0893-5238 1/1990 1/1990 1/2005 9/1999 11/2004 Magazine/Journal America United States Sports and fitness American Health 0730-7004 1/1988 10/1996 Magazine/Journal American Health United States Sports and fitness American Health (1999) 1523-3359 1/1999 10/1999 Magazine/Journal American Health United States Health American Health For Women 1092-1656 11/1996 11/1998 Magazine/Journal American Health United States Health care industry American Heart Journal 0002-8703 3/1989 Magazine/Journal Y Elsevier B.V. Netherlands Health American Imago 0065-860X 3/1980 12/1992 6/1995 6/1994 6/1995 Magazine/Journal Y Johns Hopkins University Press United States Psychology and mental health American Institute for Cancer American Institute for Cancer Research Newsletter 1044-4580 3/2008 3/2008 3/2008 Magazine/Journal Research United States Health American Speech-Language-Hearing American Journal of Audiology 1059-0889 6/2006 6/2006 6/2006 Magazine/Journal Association United States Health American Journal of Cardiology 0002-9149 6/1989 Magazine/Journal Y Elsevier B.V. Netherlands Health American Journal of Cardiovascular Drugs 1175-3277 3/2003 3/2003 9/2011 3/2003 9/2011 Magazine/Journal Wolters Kluwer Health United Kingdom Health Institute for Advanced Research in American Journal of Chinese Medicine 0192-415X 1/2000 Magazine/Journal Y Asian Science & Medicine United States Health American Journal of Clinical Dermatology 1175-0561 1/2004 1/2004 9/2011 1/2004 9/2011 Magazine/Journal Y Wolters Kluwer Health United Kingdom Health American Society for Clinical Nutrition, American Journal of Clinical Nutrition 0002-9165 6/1989 Magazine/Journal Y Inc. United States Food/cooking/nutrition American Journal of Community Psychology 0091-0562 2/1989 Magazine/Journal Y Springer United States Psychology and mental health American Association of Critical-Care American Journal of Critical Care 1062-3264 1/2002 1/2002 7/2008 5/2002 7/2008 Magazine/Journal Y Nurses United States Health American Journal of Diseases of Children 0002-922X 7/1989 12/1993 Magazine/Journal Y American Medical Association United States Health American Journal of Drug and Alcohol Abuse 0095-2990 6/1989 6/1989 11/2006 8/1999 11/2006 Magazine/Journal Y Taylor & Francis Ltd. United Kingdom Psychology and mental health American Journal of Emergency Medicine 0735-6757 1/2001 Magazine/Journal Y Elsevier B.V. Netherlands Health American Journal of Epidemiology 0002-9262 7/1998 Magazine/Journal Y Johns Hopkins University Press United States Health American Journal of Family Therapy 0192-6187 3/1989 Magazine/Journal Y Brunner-Mazel Inc. Psychology and mental health American Journal of Gastroenterology 0002-9270 1/2004 Magazine/Journal Y Blackwell Publishers Ltd. United Kingdom Health American Journal of Health Behavior 1087-3244 1/2008 9/2009 1/2008 9/2009 1/2008 9/2009 Magazine/Journal Y PNG Publications United States Health HRC Academic 3/62
  • 6.
    Journal Name ISSN Index Start Index End Full-text Full-text End Image Start Image End Format Refereed/Peer- Embargo Publisher Name Publisher Country Publication Primary Subject Start Reviewed (Days) American Alliance for Health, Physical Education, Recreation and Dance American Journal of Health Education 1932-5037 3/2007 3/2007 3/2007 Magazine/Journal Y (AAHPERD) United States Education American Journal of Health Studies 1090-0500 1/2000 1/2000 1/2000 Magazine/Journal Y American Journal of Health Studies United States Health American Society of Health-System American Journal of Health-System Pharmacy 1079-2082 9/2006 9/2006 9/2006 Magazine/Journal Y Pharmacists United States Health care industry American Journal of Hematology/Oncology 1939-6163 10/2008 3/2009 10/2008 3/2009 10/2008 3/2009 Magazine/Journal Y Sequence Medical United States Health American Journal of Human Genetics 0002-9297 1/1998 1/2012 Magazine/Journal Y University of Chicago Press United States Biological sciences American Journal of Immunology 1553-619X 1/2005 1/2005 4/2005 Magazine/Journal Y Science Publications United States Biological sciences American Journal of Infectious Diseases 1553-6203 1/2005 1/2005 4/2005 Magazine/Journal Y Science Publications United States Biological sciences American Society of Law, Medicine & American Journal of Law & Medicine 0098-8588 3/1980 9/1992 3/1994 Magazine/Journal Y Ethics United States Law American Journal of Managed Care 1096-1860 1/2006 9/2007 1/2006 9/2007 1/2006 9/2007 Magazine/Journal Y Ascend Media United States Health care industry American Journal of Medical Quality 1062-8606 1/2005 1/2005 9/2008 1/2005 9/2007 Magazine/Journal Y Sage Publications, Inc. United States Health American Journal of Medicine 0002-9343 3/1989 Magazine/Journal Y Elsevier B.V. Netherlands Health Lippincott Williams & Wilkins, WK American Journal of Nursing 0002-936X 1/1989 Magazine/Journal Y Health United States Health American Journal of Obstetrics and Gynecology 0002-9378 6/1989 Magazine/Journal Y Elsevier B.V. Netherlands Health American Journal of Ophthalmology 0002-9394 5/1989 Magazine/Journal Y Elsevier B.V. Netherlands Health American Journal of Orthodontics & Dentofacial Orthopedics 0889-5406 1/1995 Magazine/Journal Y Elsevier B.V. Netherlands Health American Psychological Association, American Journal of Orthopsychiatry 0002-9432 1/1987 Magazine/Journal Y Inc. United States Health American Journal of Otolaryngology--Head and Neck Medicine and Surgery 0196-0709 6/1998 Magazine/Journal Y Elsevier B.V. Netherlands Health American Society for Investigative American Journal of Pathology 0002-9440 5/1989 5/1989 Magazine/Journal Y Pathology United States Health American Association of Colleges of American Journal of Pharmaceutical Education 0002-9459 4/2008 4/2008 Magazine/Journal Y Pharmacy United States Education American Journal of Pharmacology and Toxicology 1557-4962 1/2006 1/2006 1/2006 Magazine/Journal Y Science Publications United States Health American Journal of Physiology 0002-9513 1/1993 Magazine/Journal Y American Physiological Society United States Biological sciences American Journal of Primatology 0275-2565 1/2002 Magazine/Journal Y John Wiley & Sons, Inc. United Kingdom Biological sciences American Journal of Psychiatry 0002-953X 4/1989 Magazine/Journal Y American Psychiatric Association United States Psychology and mental health Palgrave Macmillan, a Division of American Journal of Psychoanalysis 0002-9548 3/1989 6/2004 3/2011 6/2004 12/2007 Magazine/Journal Y Macmillan Publishers Ltd. United Kingdom Psychology and mental health American Journal of Psychology 0002-9556 3/1987 3/1993 3/2000 6/1994 3/2000 Magazine/Journal Y University of Illinois Press United States Psychology and mental health Association for the Advancement of American Journal of Psychotherapy 0002-9564 4/1989 Magazine/Journal Y Psychotherapy United States Psychology and mental health American Public Health Association, American Journal of Public Health 0090-0036 1/1988 Magazine/Journal Y Inc. United States Government American Speech-Language-Hearing American Journal of Speech-Language Pathology 1058-0360 2/2006 2/2006 2/2006 Magazine/Journal Association United States Health American Journal of Sports Medicine 0363-5465 1/1989 11/2005 9/2008 11/2005 10/2007 Magazine/Journal Y Sage Publications, Inc. United States Health American Journal of Surgery 0002-9610 3/1989 Magazine/Journal Y Elsevier B.V. Netherlands Health American Journal of Transplantation 1600-6135 4/2002 Magazine/Journal Y Blackwell Publishers Ltd. United Kingdom Health American Libraries 0002-9769 1/1980 1/1983 7/1994 Magazine/Journal 14 American Library Association United States Library and information science American Medical News 0001-1843 5/1981 1/1990 3/2009 Newspaper American Medical Association United States Health American Medical Writers Association Journal 1075-6361 9/2009 9/2009 9/2009 Magazine/Journal American Medical Writers Association United States Education U.S. Rehabilitation Services American Rehabilitation 0362-4048 1/1988 9/2004 3/1989 9/2004 3/1999 9/2004 Magazine/Journal Administration United States Education American Review of Respiratory Diseases 0003-0805 3/1990 12/1991 Magazine/Journal Y American Lung Association United States Health Americans with Disabilities Act: Putting it into Practice 8/2007 8/2007 Video Health Guru Media, Inc. United States Health AMT Events 0746-9217 6/2007 6/2007 6/2007 Magazine/Journal American Medical Technologists United States Education An Overview of Clandestine Abortion in Latin America 12/1996 12/1996 12/1996 Pamphlet Guttmacher Institute United States Health Anaesthesia 0003-2409 3/1983 Magazine/Journal Y Blackwell Publishers Ltd. United Kingdom Health Anaesthesia and Intensive Care 0310-057X 2/2006 2/2006 2/2006 Magazine/Journal Y 365 Australian Society of Anaesthetists Australia Health Analyses of Social Issues and Public Policy 1529-7489 12/2006 Magazine/Journal Y Blackwell Publishers Ltd. United Kingdom Social sciences Analysis of Gambling Behavior 1942-6453 6/2007 6/2007 6/2007 6/2007 6/2007 6/2007 Magazine/Journal Y Behavior Analyst Online United States Social sciences HRC Academic 4/62
  • 7.
    Journal Name ISSN Index Start Index End Full-text Full-text End Image Start Image End Format Refereed/Peer- Embargo Publisher Name Publisher Country Publication Primary Subject Start Reviewed (Days) Anatolian Journal of Cardiology (Anadolu Kardiyoloji Dergisi) 1302-8723 9/2006 9/2006 9/2006 Magazine/Journal Y Aves Yayincilik Turkey Health Anatomia, Histologia, Embryologia 0340-2096 2/2006 Magazine/Journal Y Blackwell Publishers Ltd. United Kingdom Health Anatomy and Embryology 0340-2061 8/2005 12/2006 Magazine/Journal Y Springer United States Biological sciences Andrologia 0303-4569 2/2006 Magazine/Journal Y Blackwell Publishers Ltd. United Kingdom Health Medknow Publications and Media Pvt. Anesthesia: Essays and Researches 0259-2611 1/2010 1/2010 Magazine/Journal Y Ltd. India Health Angiogenesis Weekly 1531-6416 1/2001 1/2001 1/2001 9/2001 Newsletter NewsRX United States Health Angiology 0003-3197 1/2001 Magazine/Journal Y Westminster Publications Inc. United States Health Angle Closure and Angle Closure Glaucoma 1/2006 1/2006 1/2006 Report Y Kugler Publications Netherlands Health Anil Aggrawal's Internet Journal of Forensic Medicine and Toxicology 0972-8074 1/2000 1/2000 7/2000 Magazine/Journal Anil Aggrawal India Health Animal Cognition 1435-9448 10/2005 Magazine/Journal Y Springer United States Psychology and mental health ANNA Journal 8750-0779 12/1995 12/1999 12/1995 12/1999 2/1996 12/1999 Magazine/Journal Y Jannetti Publications, Inc. United States Health care industry Medknow Publications and Media Pvt. Annals of African Medicine 1596-3519 1/2007 1/2007 Magazine/Journal Y Ltd. India Health Medknow Publications and Media Pvt. Annals of Cardiac Anaesthesia 0971-9784 1/2005 1/2005 Magazine/Journal Y Ltd. India Health Annals of Clinical Microbiology and Antimicrobials 1476-0711 12/2006 12/2006 Magazine/Journal Y BioMed Central Ltd. United Kingdom Health Annals of Emergency Medicine 0196-0644 7/2000 Magazine/Journal Y Elsevier B.V. Netherlands Health Annals of Epidemiology 1047-2797 10/1997 Magazine/Journal Y Elsevier B.V. Netherlands Health Annals of Family Medicine 1544-1709 1/2004 7/2008 Magazine/Journal Y Annals of Family Medicine United States Health Annals of General Psychiatry 1744-859X 12/2006 12/2006 Magazine/Journal Y BioMed Central Ltd. United Kingdom Psychology and mental health Annals of Hematology 0939-5555 12/2005 Magazine/Journal Y Springer United States Health Annals of Human Genetics 0003-4800 1/2006 Magazine/Journal Y Blackwell Publishers Ltd. United Kingdom Biological sciences Medknow Publications and Media Pvt. Annals of Indian Academy of Neurology 0972-2327 1/2006 1/2006 Magazine/Journal Y Ltd. India Health Annals of Internal Medicine 0003-4819 3/1989 Magazine/Journal Y American College of Physicians United States Health Medknow Publications and Media Pvt. Annals of Medical and Health Sciences Research 2141-9248 1/2011 1/2011 Magazine/Journal Y Ltd. India Health Annals of Neurology 0364-5134 11/1991 12/1991 Magazine/Journal Y Little Brown and Company Health Medknow Publications and Media Pvt. Annals of Nigerian Medicine 0331-3131 1/2010 1/2010 Magazine/Journal Y Ltd. India Health Annals of Noninvasive Electrocardiology 1082-720X 1/2006 Magazine/Journal Y Blackwell Publishers Ltd. United Kingdom Health Annals of Ophthalmology 1530-4086 3/2000 Magazine/Journal Y Springer United States Health Annals of Otology, Rhinology and Laryngology 0003-4894 7/1989 11/1991 Magazine/Journal Y Annals Publishing Co. Health Medknow Publications and Media Pvt. Annals of Pediatric Cardiology 0974-2069 1/2008 1/2008 Magazine/Journal Y Ltd. India Health Medknow Publications and Media Pvt. Annals of Saudi Medicine 0256-4947 1/2008 1/2008 Magazine/Journal Y Ltd. India Health Lippincott Williams & Wilkins, WK Annals of Surgery 0003-4932 4/1989 12/1991 Magazine/Journal Y Health United States Health Annals of Surgical Innovation and Research 1750-1164 5/2007 5/2007 Magazine/Journal Y BioMed Central Ltd. United Kingdom Health Annals of the American Psychotherapy Association 1535-4075 9/2001 9/2001 11/2001 Magazine/Journal Y American Psychotherapy Association United States Psychology and mental health Annals of the New York Academy of Sciences 0077-8923 12/1992 Magazine/Journal Y Blackwell Publishers Ltd. United Kingdom Science and technology Annals of the Rheumatic Diseases 0003-4967 5/1989 7/2000 4/2004 7/2000 6/2001 Magazine/Journal Y British Medical Association United States Health Medknow Publications and Media Pvt. Annals of Thoracic Medicine 1817-1737 1/2006 1/2006 Magazine/Journal Ltd. India Health Annals of Thoracic Surgery 0003-4975 10/1990 Magazine/Journal Y Elsevier B.V. Netherlands Health Medknow Publications and Media Pvt. Annals of Tropical Medicine and Public Health 1755-6783 1/2008 1/2008 Magazine/Journal Y Ltd. India Health Annals of Vascular Surgery 0890-5096 3/2006 Magazine/Journal Y Springer United States Health American Therapeutic Recreation Annual in Therapeutic Recreation 1/2010 1/2010 1/2010 Magazine/Journal Association United States Health Annual Review of Biochemistry 0066-4154 1/1999 Magazine/Journal Y Annual Reviews, Inc. United States Biological sciences Annual Review of Genetics 0066-4197 1/1993 1/1993 1/1995 1/2003 Magazine/Journal Y 365 Annual Reviews, Inc. United States Biological sciences Annual Review of Medicine 0066-4219 1/2002 Magazine/Journal Y Annual Reviews, Inc. United States Health Annual Review of Microbiology 0066-4227 1/1993 1/1993 1/1994 1/2003 Magazine/Journal Y 365 Annual Reviews, Inc. United States Biological sciences Annual Review of Physical Chemistry 0066-426X 1/1997 Magazine/Journal Y Annual Reviews, Inc. United States Chemistry Annual Review of Plant Biology 1543-5008 1/2002 Magazine/Journal Y Annual Reviews, Inc. United States Biological sciences Annual Review of Psychology 0066-4308 1/1990 1/1993 1/2004 1/1994 1/2004 Magazine/Journal Y Annual Reviews, Inc. United States Psychology and mental health Society for the Scientific Study of Annual Review of Sex Research 1053-2528 1/1997 1/2006 Magazine/Journal Y Sexuality, Inc. United States Psychology and mental health HRC Academic 5/62
  • 8.
    Journal Name ISSN Index Start Index End Full-text Full-text End Image Start Image End Format Refereed/Peer- Embargo Publisher Name Publisher Country Publication Primary Subject Start Reviewed (Days) Anterior Hip Replacement 5/2010 5/2010 Video Detroit Medical Center United States Health Anti-Infectives Week 1543-6896 1/2003 1/2003 Newsletter NewsRX United States Health Antioxidants & Redox Signaling 1523-0864 11/2007 11/2007 11/2011 11/2007 11/2011 Magazine/Journal Y Mary Ann Liebert, Inc. United States Biological sciences Antiviral Weekly 1086-0207 4/1999 5/2000 4/1999 5/2000 10/1999 12/1999 Newsletter NewsRX United States Health ANZ Journal of Surgery 1445-1433 6/2002 Magazine/Journal Y Blackwell Publishers Ltd. United Kingdom Health AORN Journal 0001-2092 1/1996 1/2012 1/1996 7/2008 1/1996 5/2008 Magazine/Journal Y Elsevier Science Publishers Health APMIS 0903-4641 7/2004 Magazine/Journal Y Blackwell Publishers Ltd. United Kingdom Biological sciences Apoptosis - An International Journal on Programmed Cell Death 1360-8185 8/1996 Magazine/Journal Y Springer United States Biological sciences Elsevier Advanced Technology Applied Behavioral Science Review 1068-8595 3/1999 9/1999 3/1999 9/1999 3/1999 3/1999 Magazine/Journal Y Publications United Kingdom Psychology and mental health Applied Biochemistry and Biotechnology 0273-2289 3/1996 Magazine/Journal Y Springer United States Biological sciences Applied Clinical Trials 1064-8542 8/2000 8/2000 2/2002 6/2004 Magazine/Journal Y Advanstar Communications, Inc. United States Health Applied Genetics News 0271-7107 6/1998 8/2002 6/1998 8/2002 Newsletter BCC Research United States Biotechnology industry Applied Health Economics and Health Policy 1175-5652 1/2004 1/2004 7/2011 1/2004 7/2011 Magazine/Journal Y Wolters Kluwer Health United Kingdom Health care industry Applied Microbiology and Biotechnology 0175-7598 4/2004 Magazine/Journal Y Springer United States Science and technology Applied Neurology 1931-4159 2/2005 12/2007 2/2005 12/2007 Magazine/Journal CMP Medica, LLC United States Health Applied Nursing Research 0897-1897 2/2000 Magazine/Journal Y Elsevier B.V. Netherlands Health Applied Physiology, Nutrition, and Metabolism 1715-5312 3/1993 2/1999 2/1999 Magazine/Journal Y 365 NRC Research Press Canada Health Applied Psychophysiology and Biofeedback 1090-0586 3/2006 Magazine/Journal Y Springer United States Psychology and mental health Applied Radiology 0160-9963 1/2005 1/2005 1/2005 Magazine/Journal Y Anderson Publishing Ltd. United States Health Applied Vegetation Science 1402-2001 4/2007 8/2008 4/2007 8/2008 4/2007 8/2008 Magazine/Journal Y Opulus Press AB Sweden Biological sciences Architecture and design Architectural Record 0003-858X 1/1980 Magazine/Journal The McGraw-Hill Companies, Inc. United States industries Archives of Dermatological Research 0340-3696 7/2005 Magazine/Journal Y Springer United States Health Archives of Dermatology 0003-987X 8/1999 Magazine/Journal Y American Medical Association United States Health Archives of Disease in Childhood 0003-9888 10/1989 1/2001 4/2004 4/2001 10/2001 Magazine/Journal Y British Medical Association United States Health Archives of Disease in Childhood. Fetal and Neonatal Edition 1359-2998 1/2001 1/2001 3/2004 9/2001 9/2001 Magazine/Journal Y British Medical Association United States Health Archives of Environmental and Occupational Health 1933-8244 1/2005 1/2005 6/2009 1/2005 6/2009 Magazine/Journal Y Taylor & Francis Ltd. United Kingdom Environmental issues Archives of Environmental Contamination and Toxicology 0090-4341 10/2006 Magazine/Journal Y Springer United States Science and technology Archives of Environmental Health 0003-9896 5/1989 12/2004 11/1989 12/2004 11/1999 12/2004 Magazine/Journal Y Taylor & Francis Ltd. United Kingdom Environmental issues Archives of Family Medicine 1063-3987 7/2000 11/2000 Magazine/Journal Y American Medical Association United States Health Archives of General Psychiatry 0003-990X 8/1999 Magazine/Journal Y American Medical Association United States Psychology and mental health Archives of Gerontology and Geriatrics 0167-4943 5/2005 Magazine/Journal Y Elsevier B.V. Netherlands Health Archives of Gynecology and Obstetrics 0932-0067 12/2005 Magazine/Journal Y Springer United States Health Archives of Internal Medicine 0003-9926 6/1989 Magazine/Journal Y American Medical Association United States Health Archives of Microbiology 0302-8933 9/2005 Magazine/Journal Y Springer United States Biological sciences Archives of Neurology 0003-9942 6/1989 12/1991 Magazine/Journal Y American Medical Association United States Health Archives of Neuropsychiatry 1300-0667 9/2008 9/2008 9/2008 Magazine/Journal Y Galenos Yayinevi Tic. Ltd. Turkey Health Archives of Ophthalmology 0003-9950 7/2000 Magazine/Journal Y American Medical Association United States Health Archives of Orthopaedic and Trauma Surgery 0936-8051 9/2005 3/2012 Magazine/Journal Y Springer United States Health Archives of Osteoporosis 1862-3522 12/2006 Magazine/Journal Springer United States Health Archives of Otolaryngology - Head & Neck Surgery 0886-4470 4/1999 Magazine/Journal Y American Medical Association United States Health Archives of Pathology & Laboratory Medicine 1543-2165 7/2000 7/2000 Magazine/Journal Y College of American Pathologists United States Health Archives of Pediatrics & Adolescent Medicine 1072-4710 1/1994 Magazine/Journal Y American Medical Association United States Health Archives of Pharmacy Practice 2045-080X 1/2010 1/2010 1/2010 Magazine/Journal Y Archives of Pharmacy Practice United Kingdom Health Archives of Physical Medicine and Rehabilitation 0003-9993 3/2000 Magazine/Journal Y Elsevier B.V. Netherlands Health Archives of Psychiatric Nursing 0883-9417 12/1995 Magazine/Journal Y Elsevier B.V. Netherlands Health care industry Archives of Public Health 0778-7367 10/2011 10/2011 Magazine/Journal BioMed Central Ltd. United Kingdom Archives of Surgery 0004-0010 5/1989 11/1991 Magazine/Journal Y American Medical Association United States Health Archives of the Turkish Dermatology and Venerology 1019-214X 9/2008 9/2008 9/2008 Magazine/Journal Y Galenos Yayinevi Tic. Ltd. Turkey Health Archives of Toxicology 0340-5761 7/1989 Magazine/Journal Y Springer United States Health Archives of Virology 0304-8608 3/1980 Magazine/Journal Y Springer United States Biological sciences Archives of Women's Mental Health 1434-1816 4/1998 Magazine/Journal Y Springer United States Women's issues/gender studies Archives: The International Journal of Medicine 1791-4000 1/2008 1/2009 1/2009 Magazine/Journal Y Renaissance Medical Publishing Greece Health Arizona Nurse 0004-1599 2/2009 2/2009 2/2009 Newsletter Arizona Nurses Association United States Health Aromatic News 6/2010 6/2010 6/2010 Newsletter Jeanne Rose - Herbal Rose Report United States Biological sciences Asian-Pacific Resource & Research Arrows For Change 1394-4444 12/2001 12/2001 12/2001 Magazine/Journal Centre for Women Malaysia Women's issues/gender studies Arthritis and Rheumatism 0004-3591 6/1989 11/1991 Magazine/Journal Y Lippincott-Raven Publishers United States Health Arthritis Today 0890-1120 1/1988 1/1988 1/1994 Magazine/Journal Arthritis Foundation, Inc. United States Health HRC Academic 6/62
  • 9.
    Journal Name ISSN Index Start Index End Full-text Full-text End Image Start Image End Format Refereed/Peer- Embargo Publisher Name Publisher Country Publication Primary Subject Start Reviewed (Days) Artificial Organs 0160-564X 8/1998 Magazine/Journal Y Blackwell Publishers Ltd. United Kingdom Health AScribe Health News Service 6/2003 6/2003 Newswire AScribe United States Health AScribe Medicine News Service 6/2003 6/2003 Newswire AScribe United States Health Asia Pacific Family Medicine 1444-1683 9/2008 9/2008 Magazine/Journal Y BioMed Central Ltd. United Kingdom Health Asian Journal of Andrology 1008-682X 1/2006 Magazine/Journal Blackwell Publishers Ltd. United Kingdom Health Medknow Publications and Media Pvt. Asian Journal of Neurosurgery 1793-5482 7/2011 7/2011 Magazine/Journal Y Ltd. India Health Medknow Publications and Media Pvt. Asian Journal of Pharmaceutics 0973-8398 7/2008 7/2008 Magazine/Journal Y Ltd. India Health Asian Journal of Social Psychology 1367-2223 4/2006 Magazine/Journal Y Blackwell Publishers Ltd. United Kingdom Psychology and mental health American Society of Radiologic ASRT Scanner 0161-3863 1/2007 1/2007 4/2008 1/2007 4/2008 Magazine/Journal Technologists United States Health ASSAY and Drug Development Technologies 1540-658X 12/2007 10/2011 12/2007 10/2011 12/2007 10/2011 Magazine/Journal Y Mary Ann Liebert, Inc. United States Health Assisted Living 12/2006 12/2006 12/2006 Magazine/Journal Haymarket Media, Inc. United States Health Assisted Living Business Report 1095-1776 4/2000 6/2000 4/2000 6/2000 Newsletter AHC Media LLC United States Health care industry Asthma Management 6/1998 11/1999 6/1998 11/1999 Newsletter AHC Media LLC United States Health Astrobiology 1531-1074 12/2007 11/2011 12/2007 11/2011 12/2007 11/2011 Magazine/Journal Y Mary Ann Liebert, Inc. United States Biological sciences At the Crossings: Pediatric Ophthalmology and Strabismus 1/2004 1/2004 1/2004 Report Y Kugler Publications Netherlands Health Audiology Today 1535-2609 1/2004 1/2004 1/2004 Magazine/Journal American Academy of Audiology United States Health Australasian Emergency Nursing Journal 1574-6267 9/2005 Magazine/Journal Y Elsevier B.V. Netherlands Health Australasian Journal of Dermatology 0004-8380 2/2006 Magazine/Journal Y Blackwell Publishers Ltd. United Kingdom Health Australasian Journal on Ageing 1440-6381 3/2006 Magazine/Journal Y Blackwell Publishers Ltd. United Kingdom Health care industry Australasian Radiology 0004-8461 2/2006 12/2007 Magazine/Journal Y Blackwell Publishers Ltd. United Kingdom Health care industry Australian and New Zealand Journal of Obstetrics and Gynaecology 0004-8666 2/2006 Magazine/Journal Y Blackwell Publishers Ltd. United Kingdom Health care industry Australian and New Zealand Journal of Psychiatry 0004-8674 1/2006 Magazine/Journal Y Blackwell Publishers Ltd. United Kingdom Psychology and mental health Australian and New Zealand Journal of Public Health 1326-0200 2/1997 Magazine/Journal Y Public Health Association of Australia Australia Health Reed Business Information Ltd. Australian Doctor 1039-7116 6/2003 3/2010 Magazine/Journal (Australia) United Kingdom Health care industry Australian Healthcare and Hospitals Australian Health Review 0156-5788 2/2006 2/2006 8/2008 2/2006 8/2008 Magazine/Journal Y Association Australia Health Australian Journal of Advanced Nursing 0813-0531 9/2005 9/2005 9/2005 Magazine/Journal Y Australian Nursing Federation Australia Health Australian Society of Clinical Australian Journal of Clinical Hypnotherapy and Hypnosis 0810-0713 3/2010 3/2010 3/2010 Magazine/Journal Y Hypnotherapists Australia Health National Herbalists Association of Australian Journal of Medical Herbalism 1033-8330 9/2006 9/2006 9/2006 Magazine/Journal Y Australia Australia Health Australian Journal of Nutrition and Dietetics 1032-1322 3/2001 12/2001 3/2001 12/2001 12/2001 12/2001 Magazine/Journal Y Dietitians Association of Australia Australia Health Australian Journal of Physiotherapy 0004-9514 3/2007 12/2009 3/2007 12/2009 3/2007 12/2009 Magazine/Journal Y Australian Physiotherapy Association Australia Health Australian Journal of Rural Health 1038-5282 2/2006 Magazine/Journal Y Blackwell Publishers Ltd. United Kingdom Health Australian Nursing Journal 1320-3185 11/2001 11/2001 11/2001 Magazine/Journal Australian Nursing Federation Australia Health care industry Australian Occupational Therapy Journal 0045-0766 6/2006 Magazine/Journal Y Blackwell Publishers Ltd. United Kingdom Health care industry Australian Veterinary Journal 0005-0423 4/1983 Magazine/Journal Y Blackwell Publishers Ltd. United Kingdom Health Autoimmune Diseases 2090-0430 1/2010 1/2010 1/2010 Magazine/Journal Y Hindawi Publishing Corp. Egypt Health Automated Experimentation 1759-4499 10/2009 10/2009 Magazine/Journal Y BioMed Central Ltd. United Kingdom Science and technology Autonomic and Autacoid Pharmacology 1474-8665 4/2006 Magazine/Journal Y Blackwell Publishers Ltd. United Kingdom Health Avicenna Journal of Medical Biotechnology (AJMB) 2008-2835 4/2009 4/2009 4/2009 Magazine/Journal Y Avicenna Research Institute Iran Health Medknow Publications and Media Pvt. Avicenna Journal of Medicine 2231-0770 1/2011 1/2011 Magazine/Journal Y Ltd. India Health AWHONN Lifelines 1091-5923 2/2006 10/2006 Magazine/Journal Y Blackwell Publishers Ltd. United Kingdom Health care industry AYU (An International Quarterly Journal of Research in Medknow Publications and Media Pvt. Ayurveda) 0974-8520 1/2010 1/2010 Magazine/Journal Y Ltd. India Health Lippincott Williams & Wilkins, WK Back Letter 0894-7376 1/1989 Newsletter Health United States Health The Lancet Publishing Group, a Bailliere's Best Practice in Clinical Anesthesiology 1521-6896 3/2005 9/2006 3/2005 9/2006 12/2005 9/2006 Magazine/Journal division of Elsevier Science Ltd. Health Bandolier 1353-9906 2/1994 7/2007 2/1994 7/2007 2/1994 7/2007 Magazine/Journal Oxford Medical Knowledge Ltd. United Kingdom Health care industry Bangladesh - HIV/AIDS Prevention Project 6/2008 6/2008 Report The World Bank United States Health Barbados - HIV/AIDS Prevention and Control Project 6/2008 6/2008 Report The World Bank United States Health Barbados - Second HIV/AIDS Project 7/2008 7/2008 Report The World Bank United States Health Bariatric Medicine Alert 1935-2808 1/2007 6/2007 1/2007 6/2007 Newsletter AHC Media LLC United States Health Bariatric Nursing and Surgical Patient Care 1557-1459 12/2007 9/2011 12/2007 9/2011 12/2007 9/2011 Magazine/Journal Mary Ann Liebert, Inc. United States Health Basic & Clinical Pharmacology & Toxicology 1742-7835 5/2006 Magazine/Journal Y Blackwell Publishers Ltd. United Kingdom Health HRC Academic 7/62
  • 10.
    Journal Name ISSN Index Start Index End Full-text Full-text End Image Start Image End Format Refereed/Peer- Embargo Publisher Name Publisher Country Publication Primary Subject Start Reviewed (Days) Basic Research in Cardiology 0300-8428 1/1980 Magazine/Journal Y Springer United States Health Baylor University Medical Center Proceedings 0899-8280 1/2000 1/2000 1/2000 Magazine/Journal Y The Baylor University Medical Center United States Health Behavior Analyst Today 1539-4352 1/2000 1/2000 1/2000 Magazine/Journal Y Behavior Analyst Online United States Psychology and mental health Behavior Genetics 0001-8244 1/2006 Magazine/Journal Y Springer United States Science and technology Behavioral and Brain Functions 1744-9081 1/2007 1/2007 Magazine/Journal Y BioMed Central Ltd. United Kingdom Psychology and mental health Behavioral Development Bulletin 1942-0722 3/2007 3/2008 3/2007 3/2008 3/2007 3/2008 Magazine/Journal Y Behavior Analyst Online United States Psychology and mental health Council for Children with Behavioral Behavioral Disorders 0198-7429 11/2010 11/2010 11/2010 Magazine/Journal Y Disorders United States Psychology and mental health Behavioral Health Management 1075-6701 1/1994 11/2005 1/1994 11/2005 11/1996 11/2005 Magazine/Journal Vendome Group LLC United States Health care industry Behavioral Health Treatment 1089-2559 7/1996 12/1997 7/1996 12/1997 Newsletter Manisses Communications Group, Inc. United States Health care industry Behavioral Healthcare 1931-7093 1/2006 1/2006 1/2006 Magazine/Journal Y Vendome Group LLC United States Psychology and mental health Behavioral Healthcare Tomorrow 1063-8490 6/2002 12/2005 6/2002 12/2005 6/2002 12/2005 Magazine/Journal Y Vendome Group LLC United States Psychology and mental health Behavioral Medicine 0896-4289 3/1997 3/1997 6/2009 9/1999 6/2009 Magazine/Journal Y Taylor & Francis Ltd. United Kingdom Psychology and mental health Fundacion VECA, Asociacion Psicologia Iberoamericana de Clinica Behavioral Psychology/Psicologia Conductual 1132-9483 1/2009 1/2009 1/2009 Magazine/Journal Y y Salud Spain Psychology and mental health Behavioral Sciences & the Law 0735-3936 1/1984 Magazine/Journal Y John Wiley & Sons, Inc. United Kingdom Law Best Life 1548-212X 3/2004 5/2009 3/2004 5/2009 Magazine/Journal Rodale, Inc. United States Fashion and beauty Best Practice 1329-1874 1/2009 1/2009 3/2009 Magazine/Journal Joanna Briggs Institute Australia Health care industry Best Practice & Research: Clinical Anaesthesiology 1753-3740 3/2007 Magazine/Journal Elsevier B.V. Netherlands Health care industry best practice onkologie 0946-4565 8/2006 Magazine/Journal Y Springer United States Health Bestways 0362-4250 1/1988 4/1990 1/1989 4/1990 Magazine/Journal Vegetarian Times, Inc. United States Food/cooking/nutrition Better Health 8750-1228 1/1988 1/1989 Magazine/Journal University of Alabama at Birmingham Health Better Homes and Gardens 0006-0151 1/1980 Magazine/Journal Meredith Corporation United States Home and garden Better Nutrition 0405-668X 1/1996 1/1996 8/1999 Magazine/Journal Active Interest Media United States Food/cooking/nutrition Better Nutrition for Today's Living 5/1990 12/1995 Magazine/Journal Active Interest Media United States Health Beyond the Bean 11/2007 11/2007 7/2010 Newsletter United Soybean Board United States Agricultural industry Biochemistry (Moscow) 0006-2979 12/2000 Magazine/Journal Y Springer United States Science and technology Biochemistry (Moscow) Supplement Series B: Biomedical Chemistry 1990-7508 3/2007 Magazine/Journal Springer United States Chemistry Biochemistry and Cell Biology 0829-8211 2/2006 2/2006 2/2006 Magazine/Journal Y 365 NRC Research Press Canada Biological sciences BioData Mining 1756-0381 7/2008 7/2008 Magazine/Journal Y BioMed Central Ltd. United Kingdom Biotechnology industry The Society for the Study of Social Biodemography and Social Biology 1948-5565 1/2008 Magazine/Journal Y Biology United States Sociology and social work BioDrugs 1173-8804 5/2003 5/2003 9/2011 5/2003 9/2011 Magazine/Journal Y Wolters Kluwer Health United Kingdom Health Petroleum, energy and mining BioEnergy Research 1939-1234 3/2008 Magazine/Journal Springer United States industries Bioethics 0269-9702 1/1998 Magazine/Journal Y Blackwell Publishers Ltd. United Kingdom Biological sciences Biogerontology 1389-5729 6/2006 Magazine/Journal Y Springer United States Science and technology Biomedical Informatics Publishing Bioinformation 0973-2063 1/2005 1/2005 1/2005 Magazine/Journal Y Group India Biological Bulletin 0006-3185 2/1989 8/1994 Magazine/Journal Y 365 Marine Biological Laboratory United States Biological sciences Biological Chemistry 1431-6730 1/1997 5/1997 5/1997 Magazine/Journal Y Walter de Gruyter GmbH & Co. KG Germany Biological sciences Biological Cybernetics 0340-1200 10/2005 Magazine/Journal Y Springer United States Science and technology Biological Procedures Online 1480-9222 3/2009 3/2009 Magazine/Journal Y BioMed Central Ltd. United Kingdom Biological sciences Biological Sciences Review 0953-5365 9/1999 9/1999 4/2011 Magazine/Journal Y Philip Allan Updates United Kingdom Biological sciences Biological Trace Element Research 0163-4984 1/2000 Magazine/Journal Y Springer United States Biological sciences Biology of Mood & Anxiety Disorders 2045-5380 9/2011 9/2011 Magazine/Journal Y BioMed Central Ltd. United Kingdom Psychology and mental health Biology of Sex Differences 2042-6410 11/2010 11/2010 Magazine/Journal Y BioMed Central Ltd. United Kingdom Biological sciences BioMagnetic Research and Technology 1477-044X 1/2007 10/2008 1/2007 10/2008 Magazine/Journal Y BioMed Central Ltd. United Kingdom Biological sciences Biomarkers in Medicine 1752-0363 6/2007 6/2007 Magazine/Journal Y 365 Future Medicine Ltd. United Kingdom Health Biomechanics 1075-9662 4/2002 6/2008 4/2002 6/2008 Magazine/Journal CMP Medica, LLC United States Health Biomedical Business & Technology 1930-2614 5/2000 5/2000 Magazine/Journal AHC Media LLC United States Health care industry Biomedical Market Newsletter 1064-4180 4/1998 4/1998 8/1999 Newsletter Y Biomedical Market Newsletter, Inc. United States Health care industry HRC Academic 8/62
  • 11.
    Journal Name ISSN Index Start Index End Full-text Full-text End Image Start Image End Format Refereed/Peer- Embargo Publisher Name Publisher Country Publication Primary Subject Start Reviewed (Days) Medknow Publications and Media Pvt. Biomedical Research 0970-938X 1/2009 9/2009 1/2009 9/2009 Magazine/Journal Y Ltd. India Science and technology Lippincott Williams & Wilkins, WK Biomedical Safety & Standards 1080-9775 1/2002 Newsletter Health United States Health care industry Biometrics 0006-341X 9/1999 Magazine/Journal Y Blackwell Publishers Ltd. United Kingdom Biological sciences Biopreservation and Biobanking 1947-5535 3/2009 10/2011 3/2009 10/2011 3/2009 10/2011 Magazine/Journal Mary Ann Liebert, Inc. United States Science and technology BioPsychoSocial Medicine 1751-0759 3/2007 3/2007 Magazine/Journal Y BioMed Central Ltd. United Kingdom Psychology and mental health BioScience 0006-3568 1/1980 1/1989 2/2011 7/1994 2/2011 Magazine/Journal Y University of California Press United States Biological sciences Biosecurity and Bioterrorism: Biodefense Strategy, Practice, and Science 1538-7135 12/2007 9/2011 12/2007 9/2011 12/2007 9/2011 Magazine/Journal Y Mary Ann Liebert, Inc. United States Biotechnology industry BioSpectrum Asia 11/2011 11/2011 Magazine/Journal HT Media Ltd. India Regional focus/area studies Biotech Business Week 1535-2757 2/2003 2/2003 Newsletter NewsRX United States Biotechnology industry Biotech Equipment Update 7/1998 7/1998 Newsletter Worldwide Videotex United States Biotechnology industry BIOTECH Patent News 0898-2813 8/1997 8/1997 Newsletter Biotech Patent News United States Biotechnology industry Biotech Week 1045-1404 1/2001 1/2001 2/2001 7/2001 Newsletter NewsRX United States Biotechnology industry Biotechnology for Biofuels 1754-6834 4/2008 4/2008 Magazine/Journal Y BioMed Central Ltd. United Kingdom Biotechnology industry Biotechnology Law Report 0730-031X 10/2007 10/2011 10/2007 10/2011 10/2007 10/2011 Magazine/Journal Y Mary Ann Liebert, Inc. United States Biotechnology industry Biotechnology Letters 0141-5492 1/1997 Magazine/Journal Y Springer United States Science and technology Bioterrorism Watch Newsletter 1543-0243 1/2002 4/2008 1/2002 4/2008 Newsletter AHC Media LLC United States Health care industry Bioterrorism Week 1537-7717 1/2003 1/2003 Newswire NewsRX United States Health Bio-Terrorism.Info 8/2002 1/2003 8/2002 1/2003 Newswire NewsRX United States Health BioWorld Insight 1/2002 1/2002 Magazine/Journal AHC Media LLC United States Science and technology BioWorld International 1541-0587 9/2001 9/2001 10/2001 Newsletter AHC Media LLC United States Biotechnology industry Bipolar Disorders 1398-5647 2/2006 Magazine/Journal Y Blackwell Publishers Ltd. United Kingdom Psychology and mental health Birmingham Hip Resurfacing 7/2008 7/2008 Video Detroit Medical Center United States Health Birth 0730-7659 3/2006 Magazine/Journal Y Blackwell Publishers Ltd. United Kingdom Health BJOG: An International Journal of Obstetrics and Gynaecology 1470-0328 1/2006 Magazine/Journal Y Blackwell Publishers Ltd. United Kingdom Health BJU International 1464-4096 3/2000 Magazine/Journal Y Blackwell Publishers Ltd. United Kingdom Health Blood Services In Central Asian Health Systems: A Clear and Present Danger ofSpreading HIV/AIDS and Other Infectious Diseases 5/2008 5/2008 Report The World Bank United States Health Blood Weekly 1065-6073 6/1998 6/1998 Newsletter NewsRX United States Health BMC Anesthesiology 1471-2253 12/2006 12/2006 Magazine/Journal Y BioMed Central Ltd. United Kingdom Health BMC Biochemistry 1471-2091 12/2006 12/2006 Magazine/Journal Y BioMed Central Ltd. United Kingdom Biological sciences BMC Biophysics 2046-1682 3/2011 3/2011 Magazine/Journal Y BioMed Central Ltd. United Kingdom Biological sciences BMC Blood Disorders 1471-2326 12/2006 12/2006 Magazine/Journal Y BioMed Central Ltd. United Kingdom Health BMC Cancer 1471-2407 1/2007 1/2007 Magazine/Journal Y BioMed Central Ltd. United Kingdom Health BMC Cardiovascular Disorders 1471-2261 1/2007 1/2007 Magazine/Journal Y BioMed Central Ltd. United Kingdom Health BMC Cell Biology 1471-2121 1/2007 1/2007 Magazine/Journal Y BioMed Central Ltd. United Kingdom Biological sciences BMC Chemical Biology 1472-6769 12/2006 12/2006 Magazine/Journal Y BioMed Central Ltd. United Kingdom Biological sciences BMC Clinical Pathology 1472-6890 12/2006 12/2006 Magazine/Journal Y BioMed Central Ltd. United Kingdom Health BMC Clinical Pharmacology 1472-6904 12/2006 12/2006 Magazine/Journal Y BioMed Central Ltd. United Kingdom Health BMC Complementary and Alternative Medicine 1472-6882 12/2006 12/2006 Magazine/Journal Y BioMed Central Ltd. United Kingdom Health BMC Dermatology 1471-5945 12/2006 12/2006 Magazine/Journal Y BioMed Central Ltd. United Kingdom Health BMC Emergency Medicine 1471-227X 12/2006 12/2006 Magazine/Journal Y BioMed Central Ltd. United Kingdom Health care industry BMC Endocrine Disorders 1472-6823 12/2006 12/2006 Magazine/Journal Y BioMed Central Ltd. United Kingdom Health BMC Evolutionary Biology 1471-2148 1/2007 1/2007 Magazine/Journal Y BioMed Central Ltd. United Kingdom Biological sciences BMC Family Practice 1471-2296 1/2007 1/2007 Magazine/Journal Y BioMed Central Ltd. United Kingdom Family and marriage BMC Gastroenterology 1471-230X 12/2006 12/2006 Magazine/Journal Y BioMed Central Ltd. United Kingdom Health BMC Genetics 1471-2156 12/2006 12/2006 Magazine/Journal Y BioMed Central Ltd. United Kingdom Biological sciences BMC Genomics 1471-2164 1/2007 1/2007 Magazine/Journal Y BioMed Central Ltd. United Kingdom Biological sciences BMC Geriatrics 1471-2318 12/2006 12/2006 Magazine/Journal Y BioMed Central Ltd. United Kingdom Health BMC Health Services Research 1472-6963 1/2007 1/2007 Magazine/Journal Y BioMed Central Ltd. United Kingdom Health BMC Immunology 1471-2172 1/2007 1/2007 Magazine/Journal Y BioMed Central Ltd. United Kingdom Health BMC Infectious Diseases 1471-2334 12/2006 12/2006 Magazine/Journal Y BioMed Central Ltd. United Kingdom Health BMC International Health and Human Rights 1472-698X 12/2006 12/2006 Magazine/Journal Y BioMed Central Ltd. United Kingdom Health BMC Medical Education 1472-6920 1/2007 1/2007 Magazine/Journal Y BioMed Central Ltd. United Kingdom Education BMC Medical Ethics 1472-6939 12/2006 12/2006 Magazine/Journal Y BioMed Central Ltd. United Kingdom Health care industry BMC Medical Genetics 1471-2350 1/2007 1/2007 Magazine/Journal Y BioMed Central Ltd. United Kingdom Health BMC Medical Imaging 1471-2342 12/2006 12/2006 Magazine/Journal Y BioMed Central Ltd. United Kingdom Health care industry BMC Medical Informatics and Decision Making 1472-6947 1/2007 1/2007 Magazine/Journal Y BioMed Central Ltd. United Kingdom Health care industry BMC Medical Research Methodology 1471-2288 1/2007 1/2007 Magazine/Journal Y BioMed Central Ltd. United Kingdom Health BMC Medicine 1741-7015 3/2007 3/2007 Magazine/Journal Y BioMed Central Ltd. United Kingdom Health BMC Molecular Biology 1471-2199 1/2007 1/2007 Magazine/Journal Y BioMed Central Ltd. United Kingdom Biological sciences HRC Academic 9/62
  • 12.
    Journal Name ISSN Index Start Index End Full-text Full-text End Image Start Image End Format Refereed/Peer- Embargo Publisher Name Publisher Country Publication Primary Subject Start Reviewed (Days) BMC Musculoskeletal Disorders 1471-2474 12/2006 12/2006 Magazine/Journal Y BioMed Central Ltd. United Kingdom Health BMC Neurology 1471-2377 1/2007 1/2007 Magazine/Journal Y BioMed Central Ltd. United Kingdom Health BMC Neuroscience 1471-2202 1/2007 1/2007 Magazine/Journal Y BioMed Central Ltd. United Kingdom Science and technology BMC Nursing 1472-6955 12/2006 12/2006 Magazine/Journal Y BioMed Central Ltd. United Kingdom Health BMC Ophthalmology 1471-2415 12/2006 12/2006 Magazine/Journal Y BioMed Central Ltd. United Kingdom Health BMC Palliative Care 1472-684X 12/2006 12/2006 Magazine/Journal Y BioMed Central Ltd. United Kingdom Health care industry BMC Pediatrics 1471-2431 1/2007 1/2007 Magazine/Journal Y BioMed Central Ltd. United Kingdom Health BMC Pharmacology 1471-2210 12/2006 12/2006 Magazine/Journal Y BioMed Central Ltd. United Kingdom Health BMC Physiology 1472-6793 12/2006 12/2006 Magazine/Journal Y BioMed Central Ltd. United Kingdom Biological sciences BMC Pregnancy and Childbirth 1471-2393 12/2006 12/2006 Magazine/Journal Y BioMed Central Ltd. United Kingdom Health BMC Psychiatry 1471-244X 1/2007 1/2007 Magazine/Journal Y BioMed Central Ltd. United Kingdom Psychology and mental health BMC Public Health 1471-2458 1/2007 1/2007 Magazine/Journal Y BioMed Central Ltd. United Kingdom Health BMC Pulmonary Medicine 1471-2466 12/2006 12/2006 Magazine/Journal Y BioMed Central Ltd. United Kingdom Health BMC Research Notes 1756-0500 5/2008 5/2008 Magazine/Journal Y BioMed Central Ltd. United Kingdom Biological sciences BMC Surgery 1471-2482 12/2006 12/2006 Magazine/Journal Y BioMed Central Ltd. United Kingdom Health BMC Systems Biology 1752-0509 1/2007 1/2007 Magazine/Journal Y BioMed Central Ltd. United Kingdom Biological sciences BMC Urology 1471-2490 12/2006 12/2006 Magazine/Journal Y BioMed Central Ltd. United Kingdom Health BMC Women's Health 1472-6874 12/2006 12/2006 Magazine/Journal Y BioMed Central Ltd. United Kingdom Health BMJ Quality & Safety 2044-5415 4/2011 Magazine/Journal Y British Medical Association United States Health Oakstone Publishing, LLC dba Personal Best: A Haights Cross Body Bulletin 0275-9101 4/1999 Newsletter Communications Co. United States Health Bone Marrow Transplantation 0268-3369 7/2001 7/2001 5/2007 Magazine/Journal Y 365 Nature Publishing Group United Kingdom Health Botswana - HIV/AIDS Project 5/2008 5/2008 Report The World Bank United States Health Botswana - National HIV/AIDS Prevention Support Project 1/2008 1/2008 Report The World Bank United States Health Brain 0006-8950 4/1989 6/1991 Magazine/Journal Y Oxford University Press United Kingdom Health Brain and Cognition 0278-2626 6/2001 Magazine/Journal Y Elsevier B.V. Netherlands Psychology and mental health Brain and Language 0093-934X 5/2005 Magazine/Journal Y Elsevier B.V. Netherlands Psychology and mental health Brain Imaging and Behavior 1931-7557 6/2007 Magazine/Journal Y Springer United States Health Brain Pathology 1015-6305 4/2004 Magazine/Journal Y Blackwell Publishers Ltd. United Kingdom Psychology and mental health Brazil - AIDS and STD Control Project 12/1998 12/1998 Report The World Bank United States Health Brazil - Third AIDS and STD Control Project 12/2008 12/2008 Report The World Bank United States Health Association of the Brazilian Journal of Brazilian Journal of Biology 1519-6984 2/2008 2/2008 2/2008 Magazine/Journal Y Biology Brazil Biological sciences Brazilian Journal of Infectious Diseases 1413-8670 2/2008 2/2008 2/2008 Magazine/Journal Y Contexto Brazil Health Sociedade Brasileira de Pesquisa Brazilian Oral Research 1806-8324 1/2009 1/2009 4/2009 Magazine/Journal Odontologica - SBPQO Brazil Health Breast Cancer 1340-6868 7/2006 Magazine/Journal Y Springer United States Health Breast Cancer Research (Online Edition) 1465-542X 3/2007 3/2007 Magazine/Journal Y BioMed Central Ltd. United Kingdom Health Breast Journal 1075-122X 1/2006 Magazine/Journal Y Blackwell Publishers Ltd. United Kingdom Health care industry Breastfeeding Medicine 1556-8253 12/2007 12/2007 10/2011 12/2007 10/2011 Magazine/Journal Y Mary Ann Liebert, Inc. United States Biological sciences Breastfeeding Review 0729-2759 11/2006 11/2006 11/2006 Magazine/Journal Y Australian Breastfeeding Association Australia Health Briefings on Patient Safety 1528-7637 1/2007 9/2010 1/2007 9/2010 3/2007 9/2010 Newsletter HCPro, Inc. United States Health care industry British Heart Journal 0007-0769 1/1990 10/1991 Magazine/Journal Y BMJ Publishing Group Health British Journal of Clinical Pharmacology 0306-5251 11/1996 Magazine/Journal Y Blackwell Publishers Ltd. United Kingdom Health British Journal of Dermatology 0007-0963 2/1999 Magazine/Journal Y Blackwell Publishers Ltd. United Kingdom Health British Journal of Haematology 0007-1048 3/1996 Magazine/Journal Y Blackwell Publishers Ltd. United Kingdom Health British Journal of Learning Disabilities 1354-4187 3/2002 Magazine/Journal Blackwell Publishers Ltd. United Kingdom Psychology and mental health British Journal of Medical Practitioners 1757-8515 9/2008 3/2011 3/2011 Magazine/Journal Y J M N Medical Education Ltd. United Kingdom Health British Journal of Obstetrics and Gynecology 0306-5456 6/1989 11/1991 Magazine/Journal Y Blackwell Publishers Ltd. United Kingdom Health College of Occupational Therapists British Journal of Occupational Therapy 0308-0226 3/2008 3/2008 3/2008 Magazine/Journal Y 365 Ltd. United Kingdom Health British Journal of Ophthalmology 0007-1161 1/1990 4/2001 4/2004 7/2001 11/2001 Magazine/Journal Y British Medical Association United States Health British Journal of Podiatry 1460-7328 2/2007 11/2007 2/2007 11/2007 2/2007 11/2007 Magazine/Journal Y Society of Chiropodists and Podiatrists United Kingdom Health British Journal of Psychiatry 0007-1250 11/1989 11/1991 Magazine/Journal Y Royal College of Psychiatrists (UK) Health British Journal of Psychology 0007-1269 2/1989 11/1992 5/2007 5/1994 5/2007 Magazine/Journal Y British Psychological Society United Kingdom Psychology and mental health British Journal of Social Work 0045-3102 2/1992 Magazine/Journal Y Oxford University Press United Kingdom Sociology and social work HRC Academic 10/62
  • 13.
    Journal Name ISSN Index Start Index End Full-text Full-text End Image Start Image End Format Refereed/Peer- Embargo Publisher Name Publisher Country Publication Primary Subject Start Reviewed (Days) British Journal of Sports Medicine 0306-3674 2/2001 2/2001 4/2004 8/2001 8/2001 Magazine/Journal Y British Medical Association United States Health British Journal of Surgery 0007-1323 1/1990 12/1991 Magazine/Journal Y Blackwell Publishers Ltd. United Kingdom Health British Medical Journal 1759-2151 7/1989 3/1991 4/2004 7/1999 5/2001 Magazine/Journal Y British Medical Association United States Health Construction and materials Brittonia 0007-196X 1/1997 Magazine/Journal Y Springer United States industries Brown University Child and Adolescent Behavior Letter 1058-1073 7/1991 7/1991 7/1999 Newsletter 180 Wiley Periodicals, Inc. United States Psychology and mental health Brown University Child and Adolescent Psychopharmacology Update 1527-8395 6/2002 6/2002 7/2002 Newsletter 180 Wiley Periodicals, Inc. United States Health Brown University Child Behavior and Development Letter 0885-7261 1/1989 6/1991 1/1989 6/1991 Newsletter Wiley Periodicals, Inc. United States Psychology and mental health Brown University Digest of Addiction Theory and Application 1040-6328 1/1989 1/1989 8/1999 Newsletter 180 Wiley Periodicals, Inc. United States Health Brown University Geriatric Psychopharmacology Update 1529-2584 5/2002 5/2002 5/2002 Newsletter 180 Wiley Periodicals, Inc. United States Psychology and mental health Brown University Long-term Care Letter 1042-1386 1/1989 4/1992 1/1989 4/1992 Newsletter Manisses Communications Group, Inc. United States Health Brown University Long-Term Care Quality Advisor 1095-1083 9/1996 2/2000 9/1996 2/2000 9/1999 2/2000 Newsletter Manisses Communications Group, Inc. United States Health Brown University Long-Term Care Quality Letter 1088-9248 5/1992 8/1996 5/1992 8/1996 Newsletter Manisses Communications Group, Inc. United States Health Brown University Psychopharmacology Update 1068-5308 4/1999 4/1999 10/1999 Magazine/Journal 180 Wiley Periodicals, Inc. United States Psychology and mental health Brown University STD Update 0898-8323 1/1989 1/1989 Magazine/Journal NewsRX United States Health Bulletin of Environmental Contamination and Toxicology 0007-4861 6/2006 Magazine/Journal Y Springer United States Environmental issues American Society for Information Bulletin of the American Society for Information Science 0095-4403 2/1980 10/2000 Magazine/Journal Science and Technology United States Library and information science Bulletin of the American Society for Information Science American Society for Information and Technology 0095-4403 12/2001 Magazine/Journal Science and Technology United States Library and information science Bulletin of the New Jersey Academy of Science 0028-5455 3/1999 3/1999 3/2001 Magazine/Journal Y New Jersey Academy of Science United States Science and technology Bulletin of the NYU Hospital for Joint Diseases 1936-9719 9/2001 9/2001 Magazine/Journal Y J. Michael Ryan Publishing Co. United States Health Bulletin of the World Health Organization 0042-9686 1/1989 7/1989 1/1998 Magazine/Journal Y World Health Organization Switzerland Health Burns 0305-4179 2/1998 Magazine/Journal Y Elsevier B.V. Netherlands Health Burundi - Second Multisectoral HIV/AIDS Project 2/2008 2/2008 Report The World Bank United States Health Business & Health 0739-9413 1/1989 2/2002 1/1989 2/2002 12/1999 1/2002 Magazine/Journal Thomson Healthcare, Inc. United States Insurance Business Coalitions Tackling AIDS: A Worldwide Review 1/2008 1/2008 Report The World Bank United States Health Ca 0007-9235 1/1988 Magazine/Journal Y American Cancer Society, Inc. United States Health Calcified Tissue International 0171-967X 9/2002 Magazine/Journal Y Springer United States Health California Association of School California School Psychologist 1087-3414 1/2008 1/2009 1/2008 1/2009 1/2008 1/2009 Magazine/Journal Y Psychologists United States Psychology and mental health Cameroon - Multi-Sectoral HIV/AIDS Project 11/2000 11/2000 Report The World Bank United States Health Canada Department of National Health and Welfare, Health Services & Canada's Mental Health 0008-2791 3/1988 9/1994 Magazine/Journal Promotion Branch Canada Health The Canadian Dental Hygienists Canadian Journal of Dental Hygiene 1712-171X 9/2006 9/2006 11/2006 Magazine/Journal 365 Association Canada Health Canadian Journal of Emergency Medicine 1488-1543 9/2004 9/2004 9/2004 Magazine/Journal Y Decker Publishing United States Health Canadian Journal of Experimental Psychology 1196-1961 3/1993 Magazine/Journal Y Canadian Psychological Assn. Canada Psychology and mental health SIECCAN, The Sex Information and Canadian Journal of Human Sexuality 1188-4517 1/1996 1/1996 6/1999 Magazine/Journal Y Education Council of Canada Canada Psychology and mental health Canadian Journal of Microbiology 0008-4166 1/2006 1/2006 7/2006 Magazine/Journal Y 365 NRC Research Press Canada Biological sciences Canadian Association of Occupational Canadian Journal of Occupational Therapy 0008-4174 2/1997 2/1997 2/1997 Magazine/Journal Y Therapists Canada Health Canadian Journal of Physiology and Pharmacology 0008-4212 12/2005 12/2005 12/2005 Magazine/Journal Y 365 NRC Research Press Canada Biological sciences Canadian Journal of Public Health 0008-4263 1/1988 3/2009 3/2009 Magazine/Journal Y Canadian Public Health Association Government Canadian Association for Research in Canadian Journal of Rehabilitation 0828-0827 6/1996 6/1999 Magazine/Journal Y Rehabilitation Canada Health Canadian Journal of Rural Medicine 1203-7796 6/2004 6/2004 6/2004 Magazine/Journal Y Canadian Medical Association Canada Health Canadian Journal of Speech-Language Pathology & Canadian Association of Speech- Audiology 0848-1970 12/2006 9/2007 9/2007 Magazine/Journal Y Language Pathologists & Audiologists Canada Education Canadian Journal of Surgery 0008-428X 8/2004 8/2004 8/2004 Magazine/Journal Y Canadian Medical Association Canada Health HRC Academic 11/62
  • 14.
    Journal Name ISSN Index Start Index End Full-text Full-text End Image Start Image End Format Refereed/Peer- Embargo Publisher Name Publisher Country Publication Primary Subject Start Reviewed (Days) Canadian Journal on Aging 0714-9808 3/1988 Magazine/Journal Y Canadian Association on Gerontology Canada Seniors Canadian Medical Association Journal 0008-4409 6/1989 12/1991 Magazine/Journal Y Canadian Medical Association Canada Health Canadian Nurse 0008-4581 1/1988 Magazine/Journal Canadian Nurses Association Canada Health Canadian Urological Association Journal (CUAJ) 1911-6470 2/2009 2/2009 Magazine/Journal Y Canadian Urological Association Canada Health Cancer 0008-543X 6/1989 Magazine/Journal Y J.B. Lippincott Company United States Health Cancer Biotechnology Weekly 12/1994 5/1996 12/1994 5/1996 Newsletter NewsRX United States Health care industry Cancer Biotherapy & Radiopharmaceuticals 1084-9785 12/2007 10/2011 12/2007 10/2011 12/2007 10/2011 Magazine/Journal Y Mary Ann Liebert, Inc. United States Health Cancer Causes & Control 0957-5243 1/1997 Magazine/Journal Y Springer United States Health Cancer Cell International 1475-2867 12/2006 12/2006 Magazine/Journal Y BioMed Central Ltd. United Kingdom Biological sciences Cancer Chemotherapy and Pharmacology 0344-5704 11/2005 Magazine/Journal Y Springer United States Health Cancer Cytopathology 1934-662X 2/1997 Magazine/Journal Y Wiley-Liss, Inc. Health Cancer Gene Therapy 0929-1903 4/2001 4/2001 5/2007 Magazine/Journal Y 365 Nature Publishing Group United Kingdom Health Cancer Gene Therapy Week 1543-6829 1/2003 1/2003 Newsletter NewsRX United States Health Cancer Immunology, Immunotherapy 0340-7004 1/2006 Magazine/Journal Y Springer United States Health Cancer Nanotechnology 1868-6958 12/2010 Magazine/Journal Springer United States Health Cancer News 0008-5464 6/1988 6/1994 Magazine/Journal American Cancer Society, Inc. United States Health Royal College of Nursing Publishing Cancer Nursing Practice 1475-4266 4/2003 4/2003 4/2003 Magazine/Journal Y 90 Company (RCN) United Kingdom Health Cancer Research Alert 1525-3333 7/1999 7/2000 7/1999 7/2000 Newsletter AHC Media LLC United States Health Cancer Researcher Weekly 1071-7226 5/1993 12/1994 5/1993 12/1994 Newsletter NewsRX United States Health care industry Cancer Science 1347-9032 1/2006 Magazine/Journal Y Blackwell Publishers Ltd. United Kingdom Health Cancer Vaccine Week 1543-6810 1/2003 1/2003 Newsletter NewsRX United States Health Cancer Weekly 1071-7218 1/1991 2/2012 1/1991 2/2012 1/2003 1/2003 Newsletter NewsRX United States Health Cancer Weekly Plus 6/1996 10/1999 6/1996 10/1999 Newsletter NewsRX United States Health Canadian Association of Nephrology CANNT Journal 1498-5136 7/2006 7/2006 7/2006 Magazine/Journal Y Nurses & Technologists Canada Health care industry Cardiac Resynchronization 7/2008 7/2008 Video Detroit Medical Center United States Health Cardiology Research and Practice 2090-0597 1/2009 1/2009 1/2009 Magazine/Journal Y Hindawi Publishing Corp. Egypt Health Cardiovascular & Pulmonary Section, Cardiopulmonary Physical Therapy Journal 1541-7891 12/2006 12/2006 12/2006 Magazine/Journal APTA United States Health CardioVascular and Interventional Radiology 0174-1551 7/1998 Magazine/Journal Y Springer United States Health Cardiovascular Device & Drugs 5/2000 9/2008 5/2000 9/2008 Newsletter AHC Media LLC United States Health care industry Cardiovascular Device Update 1084-3930 11/2001 12/2007 11/2001 12/2007 12/2001 3/2005 Newsletter AHC Media LLC United States Health care industry Cardiovascular Diabetology 1475-2840 12/2006 12/2006 Magazine/Journal Y BioMed Central Ltd. United Kingdom Health Cardiovascular Drug Reviews 0897-5957 3/2006 3/2008 Magazine/Journal Y Blackwell Publishers Ltd. United Kingdom Health Cardiovascular Engineering and Technology 1869-408X 3/2010 Magazine/Journal Y Springer United States Health Cardiovascular Therapeutics 1755-5914 9/2008 Magazine/Journal Y Blackwell Publishers Ltd. United Kingdom Health Cardiovascular Ultrasound 1476-7120 1/2007 1/2007 Magazine/Journal Y BioMed Central Ltd. United Kingdom Health Cardiovascular Week 1543-6853 1/2003 1/2003 Newsletter NewsRX United States Health Capital Area Roundtable on CARING Newsletter 1551-9104 3/2005 3/2005 3/2005 Newsletter Informatics in Nursing United States Health Case in Point 1542-6971 4/2007 4/2007 4/2007 Magazine/Journal Contexo Media LLC United States Health Case Management Advisor 1053-5500 1/1997 1/1997 1/2002 3/2005 Newsletter AHC Media LLC United States Health care industry Case Manager 1061-9259 1/1995 11/2006 Magazine/Journal Y Elsevier B.V. Netherlands Cases Journal 1757-1626 5/2008 4/2010 5/2008 4/2010 Magazine/Journal Y Cases Network Ltd. United Kingdom Health care industry CDC AIDS Weekly 0884-903X 1/1989 12/1990 1/1989 12/1990 Newsletter NewsRX United States Health care industry CDI Journal 4/2009 10/2009 4/2009 10/2009 4/2009 10/2009 Magazine/Journal HCPro, Inc. United States Health CD-ROM Librarian 0893-9934 6/1988 12/1992 6/1988 12/1992 Magazine/Journal INT Media Group, Inc. United States Library and information science Computers and office CD-ROM Professional 1049-0833 5/1990 12/1996 5/1990 12/1996 7/1994 12/1996 Magazine/Journal Information Today, Inc. United States automation industries Cell & Bioscience 2045-3701 1/2011 1/2011 Magazine/Journal Y BioMed Central Ltd. United Kingdom Biological sciences Cell and Tissue Biology 1990-519X 2/2007 Magazine/Journal Springer United States Biological sciences Cell and Tissue Research 0302-766X 11/2005 Magazine/Journal Y Springer United States Health Cell Communication and Signaling 1478-811X 12/2006 12/2006 Magazine/Journal Y BioMed Central Ltd. United Kingdom Biological sciences Cell Division 1747-1028 1/2007 1/2007 Magazine/Journal Y BioMed Central Ltd. United Kingdom Biological sciences Cell Preservation Technology 1538-344X 9/2007 12/2008 9/2007 12/2008 9/2007 12/2008 Magazine/Journal Mary Ann Liebert, Inc. United States Science and technology Cell Proliferation 0960-7722 2/2006 Magazine/Journal Y Blackwell Publishers Ltd. United Kingdom Biological sciences Cell Therapy News 9/2002 5/2003 9/2002 5/2003 Newsletter BCC Research United States Biotechnology industry Cellular and Molecular Life Sciences (CMLS) 1420-682X 1/1997 Magazine/Journal Y Springer United States Biological sciences Cellular Microbiology 1462-5814 11/2002 Magazine/Journal Y Blackwell Publishers Ltd. United Kingdom Biological sciences Cellular Reprogramming 2152-4971 10/2010 11/2011 10/2010 11/2011 10/2010 11/2011 Magazine/Journal Y Mary Ann Liebert, Inc. United States Biological sciences Cellulose 0969-0239 4/1997 Magazine/Journal Y Springer United States Science and technology Center for Medical Consumers 2155-1480 8/2009 8/2009 Newsletter Center for Medical Consumers, Inc. United States Health HRC Academic 12/62
  • 15.
    Journal Name ISSN Index Start Index End Full-text Full-text End Image Start Image End Format Refereed/Peer- Embargo Publisher Name Publisher Country Publication Primary Subject Start Reviewed (Days) Cephalalgia 0333-1024 2/2002 Magazine/Journal Y Blackwell Publishers Ltd. United Kingdom Health Cerebrospinal Fluid Research 1743-8454 12/2006 11/2010 12/2006 11/2010 Magazine/Journal Y BioMed Central Ltd. United Kingdom Health Chad - Population and AIDS Control Project 3/2005 3/2005 Report The World Bank United States Health Chemical Biology & Drug Design 1747-0277 1/2006 Magazine/Journal Y Blackwell Publishers Ltd. United Kingdom Biological sciences Chest 0012-3692 5/1989 5/1989 7/2006 5/1991 6/2006 Magazine/Journal Y American College of Chest Physicians United States Health CHF Disease Management 10/1998 6/2000 10/1998 6/2000 Newsletter AHC Media LLC United States Health Child 0894-7988 6/2000 6/2007 Magazine/Journal Meredith Corporation United States Family and marriage Child & Family Behavior Therapy 0731-7107 1/2003 Magazine/Journal Y Haworth Press, Inc. Psychology and mental health Child & Family Social Work 1356-7500 2/2006 Magazine/Journal Y Blackwell Publishers Ltd. United Kingdom Sociology and social work Child Abuse and Neglect 0145-2134 1/1992 Magazine/Journal Y Elsevier Science Publishers Sociology and social work Child and Adolescent Mental Health 1475-357X 2/2006 Magazine/Journal Y Blackwell Publishers Ltd. United Kingdom Psychology and mental health Child and Adolescent Psychiatry and Mental Health 1753-2000 6/2007 6/2007 Magazine/Journal Y BioMed Central Ltd. United Kingdom Health Child Development 0009-3920 2/1987 Magazine/Journal Y Blackwell Publishers Ltd. United Kingdom Psychology and mental health Child Health Alert 1064-4849 1/1988 4/2010 1/1989 4/2010 9/1999 4/2010 Newsletter Child Health Alert, Inc. United States Health Child Psychiatry and Human Development 0009-398X 9/2006 Magazine/Journal Y Springer United States Health State University of New York at Child Study Journal 0009-4005 12/1998 3/2004 12/1998 3/2004 3/1999 3/2004 Magazine/Journal Y Buffalo United States Education Child Welfare 0009-4021 1/1987 1/2007 1/2007 Magazine/Journal Y Child Welfare League of America, Inc. United States Sociology and social work Child: Care, Health and Development 0305-1862 1/1999 Magazine/Journal Y Blackwell Publishers Ltd. United Kingdom Psychology and mental health Children & Schools 1532-8759 7/2003 Magazine/Journal Y National Association of Social Workers United States Education Children Today 0361-4336 1/1980 3/1997 3/1984 3/1997 6/1994 3/1997 Magazine/Journal U.S. Government Printing Office United States Family and marriage Children's Voice Magazine 1057-736X 1/2007 1/2007 1/2007 Magazine/Journal Child Welfare League of America, Inc. United States Sociology and social work Child's Nervous System 0256-7040 2/1997 Magazine/Journal Y Springer United States Health China Medical Device Manufacturer 1553-9083 9/2008 9/2008 9/2008 Magazine/Journal Canon Communications LLC United States Health Chinese Journal of Clinical Oncology 1672-7118 2/2006 Magazine/Journal Springer United States Health Chinese Journal of Digestive Diseases 1443-9611 1/2006 Magazine/Journal Y Blackwell Publishers Ltd. United Kingdom Health Chinese Medicine (Irvine) 2151-1918 6/2010 6/2010 6/2010 Magazine/Journal Y Scientific Research Publishing, Inc. United States Health Chiropractic & Manual Therapies 2045-709X 1/2011 1/2011 Magazine/Journal Y BioMed Central Ltd. United Kingdom Health Chiropractic and Osteopathy 1746-1340 1/2007 12/2010 1/2007 12/2010 Magazine/Journal Y BioMed Central Ltd. United Kingdom Health Chiropractic Products 1041-2360 4/2006 8/2008 4/2006 8/2008 4/2006 8/2008 Magazine/Journal Allied Media LLC United States Health Chromosoma 0009-5915 5/1999 Magazine/Journal Y Springer United States Biological sciences Centers for Disease Control and Chronic Disease Notes & Reports 2/2009 2/2009 2/2009 Newsletter Prevention United States Health Chronicle 1552-9983 1/1985 11/2005 Magazine/Journal DNA Publications, Inc. United States Literature/writing Medknow Publications and Media Pvt. Chronicles of Young Scientists 0975-9212 1/2010 1/2010 Magazine/Journal Y Ltd. India Health Circuits and Systems 2153-1285 7/2010 7/2010 7/2010 Magazine/Journal Y Scientific Research Publishing, Inc. United States Computers Lippincott Williams & Wilkins, WK Circulation 0009-7322 1/2007 Magazine/Journal Y Health United States Health Clin Alert 0069-4770 1/2005 9/2008 1/2005 9/2008 1/2005 10/2007 Magazine/Journal Sage Publications, Inc. United States Health Clinical & Experimental Allergy 0954-7894 12/1997 Magazine/Journal Y Blackwell Publishers Ltd. United Kingdom Health Clinical Advisor 1524-7317 12/2005 12/2005 12/2005 Magazine/Journal Haymarket Media, Inc. United States Health Clinical and Experimental Dermatology 0307-6938 1/1997 Magazine/Journal Y Blackwell Publishers Ltd. United Kingdom Health Clinical and Experimental Immunology 0009-9104 9/1993 Magazine/Journal Y Blackwell Publishers Ltd. United Kingdom Health Clinical and Experimental Medicine 1591-8890 6/2001 Magazine/Journal Y Springer United States Health Clinical and Experimental Nephrology 1342-1751 3/1999 Magazine/Journal Y Springer United States Health Clinical and Experimental Ophthalmology 1442-6404 2/2002 Magazine/Journal Y Blackwell Publishers Ltd. United Kingdom Health Clinical and Experimental Optometry 0816-4622 1/2006 Magazine/Journal Y Blackwell Publishers Ltd. United Kingdom Health Clinical and Experimental Pharmacology and Physiology 0305-1870 3/1998 Magazine/Journal Y Blackwell Publishers Ltd. United Kingdom Health Canadian Society for Clinical Clinical and Investigative Medicine 0147-958X 2/2004 12/2004 2/2004 12/2004 2/2004 12/2004 Magazine/Journal Y Investigation Canada Health Clinical and Laboratory Haematology 0141-9854 2/2006 2/2007 Magazine/Journal Y Blackwell Publishers Ltd. United Kingdom Health Clinical and Molecular Allergy 1476-7961 12/2006 12/2006 Magazine/Journal Y BioMed Central Ltd. United Kingdom Health Clinical and Translational Allergy 2045-7022 6/2011 6/2011 Magazine/Journal Y BioMed Central Ltd. United Kingdom Health Clinical Autonomic Research 0959-9851 12/1990 Magazine/Journal Y Springer United States Health Clinical Biomechanics 0268-0033 3/1998 Magazine/Journal Y Elsevier B.V. Netherlands Health care industry HRC Academic 13/62
  • 16.
    Journal Name ISSN Index Start Index End Full-text Full-text End Image Start Image End Format Refereed/Peer- Embargo Publisher Name Publisher Country Publication Primary Subject Start Reviewed (Days) Clinical Cardiology Alert 0741-4218 1/1997 1/1997 9/1999 3/2005 Magazine/Journal AHC Media LLC United States Health American Association for Clinical Clinical Chemistry 0009-9147 1/1997 1/1997 1/1997 Magazine/Journal Y 365 Chemistry, Inc. United States Chemistry Clinical Chemistry and Laboratory Medicine 1434-6621 1/1980 5/1983 5/1983 Magazine/Journal Y Walter de Gruyter GmbH & Co. KG Germany Science and technology Clinical Child and Family Psychology Review 1096-4037 3/2006 Magazine/Journal Y Springer United States Psychology and mental health Clinical Chiropractic 1479-2354 3/2005 Magazine/Journal Y Elsevier B.V. Netherlands Health care industry Clinical Cornerstone 1098-3597 8/1998 Magazine/Journal Y Elsevier B.V. Netherlands Clinical Dermatology 1750-306X 5/2007 5/2007 6/2008 Magazine/Journal Y Mediscript Ltd. United Kingdom Health Clinical Diabetes 0891-8929 9/1989 9/1989 1/2000 Magazine/Journal Y American Diabetes Association United States Health Clinical Drug Investigation 1173-2563 4/2003 4/2003 9/2011 4/2003 9/2011 Magazine/Journal Y Wolters Kluwer Health United Kingdom Health Clinical Effectiveness in Nursing 1361-9004 3/1997 Magazine/Journal Y Elsevier B.V. Netherlands Health care industry Clinical Epigenetics 1868-7075 9/2010 10/2011 Magazine/Journal Y BioMed Central Ltd. United Kingdom Biological sciences Clinical Genetics 0009-9163 3/1993 Magazine/Journal Y Blackwell Publishers Ltd. United Kingdom Biological sciences Clinical Infectious Diseases 1058-4838 1/2001 Magazine/Journal Y University of Chicago Press United States Health Clinical Journal of Oncology Nursing 1092-1095 12/2006 12/2006 12/2006 Magazine/Journal Y 365 Oncology Nursing Society United States Health Clinical Kinesiology: Journal of the American Kinesiotherapy Association 0896-9620 3/2003 3/2003 3/2003 Magazine/Journal Y American Kinesiotherapy Association United States Health American Society for Clinical Clinical Laboratory Science 0894-959X 3/2006 3/2006 3/2006 Magazine/Journal Y Laboratory Science United States Science and technology Clinical Lipidology 1758-4299 2/2009 2/2009 11/2009 Magazine/Journal Future Medicine Ltd. United Kingdom Health Clinical Microbiology and Infection 1198-743X 4/2000 Magazine/Journal Y Blackwell Publishers Ltd. United Kingdom Biological sciences Clinical Nursing Research 1054-7738 2/1996 2/1996 8/1998 Magazine/Journal Y Sage Publications, Inc. United States Health Clinical Nutrition 0261-5614 2/1995 Magazine/Journal Y Elsevier B.V. Netherlands Health Clinical Oncology Alert 0886-7186 1/1997 1/1997 9/1999 3/2005 Newsletter Y AHC Media LLC United States Health Clinical Oncology Week 1543-6799 1/2003 1/2003 Newsletter NewsRX United States Health Clinical Otolaryngology 0307-7772 2/2006 Magazine/Journal Y Blackwell Publishers Ltd. United Kingdom Health care industry Clinical Outcomes Measurement 7/1998 8/1998 7/1998 8/1998 Newsletter AHC Media LLC United States Health Clinical Pediatrics 0009-9228 6/1989 Magazine/Journal Y Westminster Publications Inc. United States Health Clinical Pharmacokinetics 0312-5963 6/2003 6/2003 9/2011 6/2003 9/2011 Magazine/Journal Y Wolters Kluwer Health United Kingdom Health Pharmaceuticals and cosmetics Clinical Pharmacology & Therapeutics 0009-9236 3/1996 Magazine/Journal Y Nature Publishing Group United Kingdom industries Clinical Physiology and Functional Imaging 1475-0961 1/2006 Magazine/Journal Y Blackwell Publishers Ltd. United Kingdom Biological sciences Clinical Practice and Epidemiology in Mental Health 1745-0179 12/2006 6/2009 12/2006 6/2009 Magazine/Journal Y BioMed Central Ltd. United Kingdom Psychology and mental health Clinical Proteomics 1542-6416 11/2010 11/2010 Magazine/Journal Y BioMed Central Ltd. United Kingdom Health Clinical Psychiatry News 0270-6644 6/2001 6/2001 Magazine/Journal International Medical News Group United States Psychology and mental health Clinical Rheumatology 0770-3198 3/1982 Magazine/Journal Y Springer United States Health Clinical Therapeutics 0149-2918 5/1999 Magazine/Journal Y Elsevier B.V. Netherlands Health care industry Pharmaceuticals and cosmetics Clinical Toxicology 1556-3650 1/2005 1/2005 10/2006 1/2005 10/2006 Magazine/Journal Y Taylor & Francis Ltd. United Kingdom industries Clinical Transplantation 0902-0063 1/2006 Magazine/Journal Y Blackwell Publishers Ltd. United Kingdom Health care industry Clinical Trials Administrator 1544-8460 7/2003 7/2003 Magazine/Journal Y AHC Media LLC United States Health care industry Clinical Trials Week 1543-6772 1/2003 1/2003 Newsletter NewsRX United States Health Clinician Reviews 1052-0627 8/1999 8/1999 9/1999 Magazine/Journal Y Quadrant Healthcom, Inc. United States Health Clinics in Mother and Child Health 1812-5840 1/2011 1/2011 1/2011 Magazine/Journal Y Ashdin Publishing Belgium Health Cloning and Stem Cells 1536-2302 12/2007 12/2009 12/2007 12/2009 12/2007 9/2009 Magazine/Journal Y Mary Ann Liebert, Inc. United States Biological sciences CMAJ: Canadian Medical Association Journal 0820-3946 8/2004 8/2004 8/2004 Magazine/Journal Y Canadian Medical Association Canada Health CME: Your SA Journal of CPD 1016-6742 1/2007 1/2007 1/2007 Magazine/Journal South African Medical Association South Africa Health CNS Drug Reviews 1080-563X 3/2006 3/2008 Magazine/Journal Y Blackwell Publishers Ltd. United Kingdom Health care industry CNS Drugs 1172-7047 8/2003 8/2003 9/2011 8/2003 9/2011 Magazine/Journal Y Wolters Kluwer Health United Kingdom Health CNS Neuroscience & Therapeutics 1755-5930 9/2009 Magazine/Journal Y Blackwell Publishers Ltd. United Kingdom Health care industry Cognitive Science 0364-0213 1/1992 1/1998 1/2002 4/1999 5/2001 Magazine/Journal Y Elsevier Science Publishers Psychology and mental health Medical Education & Research Colitis Club Quarterly 9/2000 9/2000 9/2000 9/2000 9/2000 9/2000 Newsletter Foundation United States Health Colorado Nurse 8750-846X 3/2007 3/2007 3/2007 Magazine/Journal Colorado Nurses Association United States Health care industry Colorectal Disease 1462-8910 7/2005 Magazine/Journal Y Blackwell Publishers Ltd. United Kingdom Health care industry Combatting AIDS and Other Sexually Transmitted Diseases In Africa: A Reviewof the World Bank's Agenda For Action 11/1992 11/1992 Report The World Bank United States Health Communication & Medicine 1612-1783 4/2004 10/2007 4/2004 10/2007 4/2004 10/2007 Magazine/Journal Y Walter de Gruyter GmbH & Co. KG Germany Social sciences Communication Disorders Quarterly 1525-7401 9/1999 9/1999 9/2007 1/2000 6/2007 Magazine/Journal Y Sage Publications, Inc. United States Education Community Care 0307-5508 3/1992 11/2011 3/2001 11/2011 Magazine/Journal Reed Business Information Ltd. United Kingdom Sociology and social work HRC Academic 14/62
  • 17.
    Journal Name ISSN Index Start Index End Full-text Full-text End Image Start Image End Format Refereed/Peer- Embargo Publisher Name Publisher Country Publication Primary Subject Start Reviewed (Days) Community Dentistry and Oral Epidemiology 0301-5661 2/1983 Magazine/Journal Y Blackwell Publishers Ltd. United Kingdom Health care industry Community Living 0951-9815 3/2008 3/2008 3/2008 Magazine/Journal Y CL Initiatives Ltd. United Kingdom Social sciences Community Mental Health Journal 0010-3853 3/1989 Magazine/Journal Y Springer United States Psychology and mental health Community Practitioner 1462-2815 4/2007 4/2007 4/2007 Magazine/Journal Y Ten Alps Publishing United Kingdom Health Comparative and Functional Genomics 1531-6912 1/2005 1/2005 1/2005 Magazine/Journal Y Hindawi Publishing Corp. Egypt Biological sciences Comparative Hepatology 1476-5926 12/2006 12/2006 Magazine/Journal Y BioMed Central Ltd. United Kingdom Health Complementary Health Practice Review 1533-2101 1/2001 10/2005 4/2008 10/2005 1/2008 Magazine/Journal Y Sage Publications, Inc. United States Health Complementary or Alternative Medicine 8/2008 8/2008 Newsletter Harvard Health Publications Group United States Health Complementary Therapies in Clinical Practice 1744-3881 2/2005 Magazine/Journal Y Elsevier B.V. Netherlands Health care industry Complementary Therapies in Medicine 0965-2299 3/2000 Magazine/Journal Elsevier B.V. Netherlands Health care industry Complementary Therapies in Nursing and Midwifery 1353-6117 2/1995 Magazine/Journal Y Elsevier B.V. Netherlands Compliance Hotline 1541-0609 10/2001 12/2002 10/2001 12/2002 11/2001 12/2002 Newsletter AHC Media LLC United States Health care industry Compliance Week 1549-957X 10/2008 10/2008 10/2008 Magazine/Journal Haymarket Media, Inc. United States Law Comprehensive Psychiatry 0010-440X 3/2000 Magazine/Journal Y Elsevier B.V. Netherlands Health care industry Penton Media, Inc., Penton Business Computers in Healthcare 0745-1075 3/1980 12/1993 1/1988 12/1993 Magazine/Journal Media, Inc. and their subsidiaries United States Health care industry Computers in Libraries 1041-7915 2/1989 2/1989 7/1994 Magazine/Journal Information Today, Inc. United States Computers University of Texas at Austin Conference of Latin Americanist Geographers Yearbook 1054-3074 1/1999 1/2000 1/1999 1/2000 1/1999 1/2000 Almanac/Yearbook (University of Texas Press) United States Geography Conflict and Health 1752-1505 3/2007 3/2007 Magazine/Journal Y BioMed Central Ltd. United Kingdom Health Confronting AIDS: Public Priorities In a Global Epidemic 10/1997 10/1997 Report The World Bank United States Health Congenital Anomalies 0914-3505 3/2003 Magazine/Journal Y Blackwell Publishers Ltd. United Kingdom Health care industry Connect: The World of Critical Care Nursing 1748-6254 1/2006 1/2006 1/2006 Magazine/Journal Connect Healthcare Publishing Ltd. Australia Health Medknow Publications and Media Pvt. Conservation and Society 0972-4923 1/2009 1/2009 Magazine/Journal Y Ltd. India Environmental issues Consultant 0010-7069 1/1981 1/1989 11/1992 7/2005 Magazine/Journal Y HMP Communications, LLC United States Health Consultant for Pediatricians 1545-8539 3/2005 3/2005 Magazine/Journal HMP Communications, LLC United States Health Consumer Health News (English) 2/2009 2/2009 Newswire HealthDay United States Health Consumers Union of the United Consumer Reports 0010-7174 1/1980 1/1999 6/2009 1/1999 6/2009 Magazine/Journal States, Inc. United States Consumer news and advice Consumers Union of the United Consumer Reports Health Letter 1044-3193 9/1989 7/1991 Newsletter States, Inc. United States Health Consumers Union of the United Consumer Reports on Health 1058-0832 8/1991 10/2006 6/2009 Newsletter States, Inc. United States Health Contact Dermatitis 0105-1873 1/2006 Magazine/Journal Y Blackwell Publishers Ltd. United Kingdom Health Medknow Publications and Media Pvt. Contemporary Clinical Dentistry 0976-237X 1/2010 1/2010 Magazine/Journal Y Ltd. India Health Contemporary Drug Problems 0091-4509 1/1980 9/1992 3/1994 Magazine/Journal Y Federal Legal Publications, Inc. United States Law Contemporary Islam 1872-0218 6/2007 Magazine/Journal Springer United States Regional focus/area studies Contemporary Long Term Care 8750-9652 4/1999 4/2007 4/1999 4/2007 6/1999 4/2007 Magazine/Journal HCPro, Inc. United States Health care industry Contemporary Nurse 1037-6178 4/2005 4/2005 4/2005 Magazine/Journal Y eContent Management Pty Ltd. Australia Health Contemporary OB/GYN 0090-3159 4/1999 4/1999 8/2006 2/2002 8/2006 Magazine/Journal Y Advanstar Communications, Inc. United States Health Contemporary Pediatrics 8750-0507 4/1999 4/1999 8/2006 2/2002 8/2006 Magazine/Journal Y Advanstar Communications, Inc. United States Health American Psychological Association, Contemporary Psychology 0010-7549 6/1989 2/1991 Magazine/Journal Y Inc. United States Psychology and mental health California Association of School Contemporary School Psychology 2159-2020 1/2011 1/2011 1/2011 Magazine/Journal Y Psychologists United States Psychology and mental health Contemporary Surgery 0045-8341 3/2007 12/2008 3/2007 12/2008 3/2007 12/2008 Magazine/Journal Y Dowden Health Media, Inc. United States Health Contemporary Urology 1042-2250 10/2000 1/2008 Magazine/Journal Y Advanstar Communications, Inc. United States Health Continental Journal of Biomedical Sciences 2141-419X 1/2007 1/2007 1/2007 Magazine/Journal Y Wilolud Journals Nigeria Science and technology Continental Journal of Medical Research 2141-4211 1/2007 1/2007 1/2007 Magazine/Journal Y Wilolud Journals Nigeria Science and technology Continental Journal of Microbiology 2141-4106 1/2007 1/2007 1/2007 Magazine/Journal Y Wilolud Journals Nigeria Science and technology Continental Journal of Pharmaceutical Sciences 2141-4149 1/2007 1/2007 1/2007 Magazine/Journal Y Wilolud Journals Nigeria Science and technology Continental Journal of Tropical Medicine 2141-4167 1/2007 1/2007 1/2007 Magazine/Journal Y Wilolud Journals Nigeria Health Contraception Counts: State-by-State Information Set 1/1999 1/1999 1/1999 Pamphlet Guttmacher Institute United States Family and marriage Contraceptive Services 1/1998 1/1998 1/1998 Pamphlet Guttmacher Institute United States Family and marriage Contraceptive Technology Update 0274-726X 1/1997 1/1997 11/1999 4/2005 Magazine/Journal AHC Media LLC United States Health COPE 0890-5053 1/1988 4/1989 Magazine/Journal Media America Inc. Health Core Evidence 1555-1741 1/2005 Magazine/Journal Y Dove Medical Press Limited United Kingdom Health Coronary Health Care 1362-3265 2/1997 5/1997 Magazine/Journal Y Elsevier B.V. Netherlands Cortlandt Forum 1048-5791 12/2005 1/2009 12/2005 1/2009 12/2005 1/2009 Magazine/Journal Haymarket Media, Inc. United States Health HRC Academic 15/62
  • 18.
    Journal Name ISSN Index Start Index End Full-text Full-text End Image Start Image End Format Refereed/Peer- Embargo Publisher Name Publisher Country Publication Primary Subject Start Reviewed (Days) Cosmetic Surgery Times 1094-6810 7/2000 7/2000 3/2002 6/2004 Newsletter Advanstar Communications, Inc. United States Health Cost Effectiveness and Resource Allocation 1478-7547 12/2006 12/2006 Magazine/Journal Y BioMed Central Ltd. United Kingdom Health care industry Cost Management in Cardiac Care 1087-0644 1/1997 9/1999 1/1997 9/1999 Newsletter AHC Media LLC United States Health Cote D'ivoire - Emergency Multi-Sector HIV/AIDS Project 5/2008 5/2008 Report The World Bank United States Health Cough 1745-9974 1/2007 1/2007 Magazine/Journal Y BioMed Central Ltd. United Kingdom Health Counseling and Values 0160-7960 4/2000 4/2000 4/2000 Magazine/Journal Y 540 American Counseling Association United States Philosophy and religion CQ Healthbeat 7/2009 7/2009 Transcript CQ-Roll Call, Inc. United States Health CRANIO: The Journal of Craniomandibular Practice 0886-9634 10/2006 10/2006 10/2006 Magazine/Journal Y Chroma, Inc. United States Science and technology Critical Care 1364-8535 1/2007 1/2007 Magazine/Journal Y BioMed Central Ltd. United Kingdom Health Critical Care Alert 1067-9502 1/1997 1/1997 11/1999 3/2005 Newsletter AHC Media LLC United States Health Critical Care Management 1070-4523 11/1997 3/2000 11/1997 3/2000 Newsletter AHC Media LLC United States Health American Association of Critical-Care Critical Care Nurse 0279-5442 4/2002 4/2002 4/2008 10/2002 2/2008 Magazine/Journal Y Nurses United States Health Lippincott Williams & Wilkins, WK Critical Care Nursing Quarterly 0887-9303 2/1996 Magazine/Journal Y Health United States Health care industry Croatian Medical Journal 0353-9504 12/2007 12/2007 12/2007 Magazine/Journal Y Sveuciliste U Zagrebu Croatia Health Centre for Addiction and Mental CrossCurrents - The Journal of Addiction and Mental Health 1706-9548 9/2002 9/2002 12/2002 Newsletter Health Canada Psychology and mental health Culture, Medicine and Psychiatry 0165-005X 12/2005 Magazine/Journal Y Springer United States Social sciences Current Allergy and Asthma Reports 1529-7322 3/2001 Magazine/Journal Springer United States Health Current Cardiology Reports 1523-3782 5/1999 Magazine/Journal Springer United States Health Current Cardiovascular Risk Reports 1932-9520 2/2007 Magazine/Journal Springer United States Health Current Colorectal Cancer Reports 1556-3790 3/2005 Magazine/Journal Springer United States Health Current Concepts in Aesthetic and Reconstructive Oculoplastic Surgery 1/2000 1/2000 1/2000 Report Y Kugler Publications Netherlands Health Current Diabetes Reports 1534-4827 2/2001 Magazine/Journal Springer United States Health Current Fungal Infection Reports 1936-3761 6/2007 Magazine/Journal Springer United States Health Current Gastroenterology Reports 1522-8037 4/1996 Magazine/Journal Springer United States Health Current Genetics: Lower Eukaryotes and Organelles 0172-8083 12/2003 Magazine/Journal Y Springer United States Biological sciences Current GERD Reports 1934-967X 3/2007 Magazine/Journal Springer United States Health Current Health 2, a Weekly Reader publication 0163-156X 9/1986 4/2010 2/1989 4/2010 9/1994 1/1997 Magazine/Journal Weekly Reader Corp. United States Health Current Health Teens, a Weekly Reader publication 2157-5703 9/2010 9/2010 Magazine/Journal Weekly Reader Corp. United States Health Current Heart Failure Reports 1546-9530 3/2004 Magazine/Journal Springer United States Health Current Hematologic Malignancy Reports 1558-8211 9/1996 Magazine/Journal Springer United States Health Current Hepatitis Reports 1540-3416 11/2002 Magazine/Journal Springer United States Health Current HIV/AIDS Reports 1548-3568 3/1996 Magazine/Journal Springer United States Health Current Hypertension Reports 1522-6417 8/1996 Magazine/Journal Springer United States Health Current Infectious Disease Reports 1523-3847 4/1996 Magazine/Journal Springer United States Health Current Microbiology 0343-8651 3/2001 Magazine/Journal Y Springer United States Biological sciences Current Neurology and Neuroscience Reports 1528-4042 2/1996 Magazine/Journal Springer United States Health Current Oncology Reports 1523-3790 2/1996 Magazine/Journal Springer United States Health Current Orthopaedics 0268-0890 2/2005 Magazine/Journal Y Elsevier B.V. Netherlands Health care industry Current Osteoporosis Reports 1544-1873 9/1996 Magazine/Journal Springer United States Health Current Paediatrics 0957-5839 3/1995 2/2005 2/2005 Magazine/Journal Elsevier B.V. Netherlands Health Current Pain and Headache Reports 1531-3433 2/2001 Magazine/Journal Springer United States Health Current Prostate Reports 1544-225X 3/1996 5/2008 Magazine/Journal Springer United States Health Current Psychiatry 1537-8276 3/2007 3/2007 3/2007 Magazine/Journal 7 Dowden Health Media, Inc. United States Psychology and mental health Current Psychiatry Reports 1523-3812 2/1996 Magazine/Journal Springer United States Health Current Psychology 1046-1310 12/1998 12/1998 3/2001 6/1999 3/2001 Magazine/Journal Y Transaction Publishers, Inc. United States Psychology and mental health Current Reviews in Musculoskeletal Medicine 1935-9748 3/2008 Magazine/Journal Y Springer United States Health Current Rheumatology Reports 1523-3774 2/1996 Magazine/Journal Springer United States Health Current Sexual Health Reports 1548-3584 6/1996 Magazine/Journal Springer United States Health Current Sports Medicine Reports 1537-890X 12/1996 Magazine/Journal Springer United States Health Current Therapeutic Research 0011-393X 2/1999 Magazine/Journal Y Elsevier B.V. Netherlands Health care industry Current Treatment Options in Cardiovascular Medicine 1092-8464 6/1996 Magazine/Journal Springer United States Health Current Treatment Options in Gastroenterology 1092-8472 12/1998 Magazine/Journal Springer United States Health Current Treatment Options in Neurology 1092-8480 12/1996 Magazine/Journal Springer United States Health Current Treatment Options in Oncology 1527-2729 2/2000 Magazine/Journal Springer United States Health Current Urology Reports 1527-2737 8/1996 Magazine/Journal Springer United States Health Medknow Publications and Media Pvt. CytoJournal 1742-6413 12/2006 12/2006 Magazine/Journal Y Ltd. India Biological sciences Cytology and Genetics 0095-4527 2/2007 Magazine/Journal Y Springer United States Health Cytopathology 0956-5507 2/2006 Magazine/Journal Y Blackwell Publishers Ltd. United Kingdom Biological sciences HRC Academic 16/62
  • 19.
    Journal Name ISSN Index Start Index End Full-text Full-text End Image Start Image End Format Refereed/Peer- Embargo Publisher Name Publisher Country Publication Primary Subject Start Reviewed (Days) Dairy Council Digest 0011-5568 1/1988 11/1994 Newsletter National Dairy Council United States Business Native American Women's Health Ethnic, cultural, racial Dakota Roundtable 2/1999 2/1999 2/1999 2/1999 Report Education Resource Center United States issues/studies Native American Women's Health Ethnic, cultural, racial Dakota Roundtable II 9/1994 9/1994 9/1994 9/1994 Report Education Resource Center United States issues/studies Native American Women's Health Ethnic, cultural, racial Dakota Roundtable III 4/1996 4/1996 4/1996 4/1996 Report Education Resource Center United States issues/studies Database (U.S.) 0162-4105 2/1983 6/1985 Magazine/Journal Information Today, Inc. United States Library and information science Computers and office Database Searcher 0891-6713 6/1988 1/1993 6/1988 1/1993 4/1991 4/1991 Magazine/Journal INT Media Group, Inc. United States automation industries Death Studies 0748-1187 1/1989 Magazine/Journal Y Taylor & Francis Ltd. United Kingdom Sociology and social work Debates in Neuroscience 1559-8314 3/2007 12/2007 Magazine/Journal Y Springer United States Science and technology Dementia 1471-3012 2/2005 2/2005 8/2008 2/2005 8/2007 Magazine/Journal Y Sage Publications, Inc. United States Psychology and mental health American Dental Assistants Dental Assistant 1088-3886 5/2002 5/2002 5/2002 Magazine/Journal Y Association United States Health Dental Hypotheses 2155-8213 1/2010 1/2010 1/2010 Magazine/Journal Y Dental Hypotheses Iran Health Dental Implantology Update 1062-0346 10/2001 10/2001 11/2001 Newsletter AHC Media LLC United States Health care industry Dental Lab Products 0146-9738 7/2002 7/2002 9/2002 Magazine/Journal Advanstar Communications, Inc. United States Health care industry Der Kardiologe 1864-9718 7/2007 Magazine/Journal Y Springer United States Health Dermatologic Surgery 1076-0512 1/2001 Magazine/Journal Y Blackwell Publishers Ltd. United Kingdom Health Dermatologic Therapy 1396-0296 3/2006 Magazine/Journal Y Blackwell Publishers Ltd. United Kingdom Health Dermatology Nursing 1060-3441 2/1996 11/2010 2/1996 11/2010 2/1996 11/2010 Magazine/Journal Y Jannetti Publications, Inc. United States Health Dermatology Research and Practice 1687-6105 1/2009 1/2009 1/2009 Magazine/Journal Y Hindawi Publishing Corp. Egypt Health Developing World Bioethics 1471-8731 5/2006 Magazine/Journal Y Blackwell Publishers Ltd. United Kingdom Biological sciences Development Genes and Evolution 0949-944X 5/1997 Magazine/Journal Y Springer United States Biological sciences Development, Growth and Differentiation 0012-1592 6/1999 Magazine/Journal Y Blackwell Publishers Ltd. United Kingdom Biological sciences Developmental Medicine and Child Neurology 0012-1622 10/1989 11/1991 Magazine/Journal Y Mac Keith Press (UK) Health American Psychological Association, Developmental Psychology 0012-1649 1/1989 Magazine/Journal Y Inc. United States Psychology and mental health Developmental Science 1363-755X 1/2006 Magazine/Journal Blackwell Publishers Ltd. United Kingdom Psychology and mental health Diabetes 0012-1797 6/1989 6/1989 4/1997 Magazine/Journal Y American Diabetes Association United States Health Diabetes and Primary Care 1466-8955 3/2002 3/2002 3/2011 3/2002 3/2011 Magazine/Journal Y S.B. Communications United Kingdom Health Diabetes Care 0149-5992 8/1999 8/1999 9/1999 Magazine/Journal Y American Diabetes Association United States Health Diabetes Educator 0145-7217 1/2005 1/2005 9/2008 1/2005 9/2007 Magazine/Journal Y Sage Publications, Inc. United States Education Diabetes Forecast 0095-8301 1/1988 1/1989 9/1999 Magazine/Journal American Diabetes Association United States Health Diabetes in the News 0893-5939 1/1988 5/1995 1/1988 5/1995 Magazine/Journal Bayer Healthcare LLC United States Health Diabetes Management 6/1998 6/2000 6/1998 6/2000 Newsletter AHC Media LLC United States Health Diabetes Research and Clinical Practice 0168-8227 10/1996 Magazine/Journal Y Elsevier B.V. Netherlands Health Diabetes Spectrum 1040-9165 1/1999 1/1999 12/1999 Magazine/Journal Y American Diabetes Association United States Health Diabetes Technology & Therapeutics 1520-9156 2/2008 2/2008 11/2011 2/2008 11/2011 Magazine/Journal Y Mary Ann Liebert, Inc. United States Health Diabetes Week 1537-1425 7/2001 7/2001 Newsletter NewsRX United States Health Diabetes, Obesity and Metabolism 1462-8902 1/2006 Magazine/Journal Blackwell Publishers Ltd. United Kingdom Health Diabetic Foot 1462-2041 3/2002 3/2002 12/2010 3/2002 12/2010 Magazine/Journal Y S.B. Communications United Kingdom Health Diabetic Medicine 0742-3071 3/2006 Magazine/Journal Y Blackwell Publishers Ltd. United Kingdom Health Diabetologia 0012-186X 8/1998 Magazine/Journal Y Springer United States Health Diabetology & Metabolic Syndrome 1758-5996 8/2009 8/2009 Magazine/Journal Y BioMed Central Ltd. United Kingdom Health Diagnostic Imaging 0194-2514 4/2002 4/2002 Magazine/Journal CMP Medica, LLC United States Health Diagnostic Pathology 1746-1596 1/2007 1/2007 Magazine/Journal Y BioMed Central Ltd. United Kingdom Health Diagnostic Update 12/2004 9/2008 12/2004 9/2008 Magazine/Journal AHC Media LLC United States Health Diagnostics & Imaging Update 11/2001 7/2002 11/2001 7/2002 12/2001 7/2002 Newsletter AHC Media LLC United States Biotechnology industry Diagnostics & Imaging Week 5/2000 9/2008 5/2000 9/2008 7/2002 8/2008 Newsletter AHC Media LLC United States Biotechnology industry Differentiation 0301-4681 2/2006 Magazine/Journal Y Blackwell Publishers Ltd. United Kingdom Biological sciences Digestive Diseases and Sciences 0163-2116 10/1989 Magazine/Journal Y Springer United States Health Dimensions in Health Service 0317-0407 2/1988 6/1991 Magazine/Journal Canadian Healthcare Association Health care industry Disability and Health Journal 1936-6574 1/2008 Magazine/Journal Elsevier B.V. Netherlands Health Disaster Management & Response 1540-2487 7/2004 Magazine/Journal Y Elsevier B.V. Netherlands Disasters 0361-3666 3/2007 Magazine/Journal Y Blackwell Publishers Ltd. United Kingdom Government Discharge Planning Advisor 1940-8706 1/2008 1/2008 Newsletter AHC Media LLC United States Health care industry Disease Management Advisor 1531-5681 1/2007 10/2008 1/2007 10/2008 2/2007 10/2008 Newsletter HCPro, Inc. United States Health care industry Disease State Management 1807-030X 1/1997 9/1999 1/1997 9/1999 Newsletter AHC Media LLC United States Health Diseases of the Colon & Rectum 0012-3706 12/2005 Magazine/Journal Y Springer United States Health Diseases of the Esophagus 1120-8694 2/2006 Magazine/Journal Y Blackwell Publishers Ltd. United Kingdom Health HRC Academic 17/62
  • 20.
    Journal Name ISSN Index Start Index End Full-text Full-text End Image Start Image End Format Refereed/Peer- Embargo Publisher Name Publisher Country Publication Primary Subject Start Reviewed (Days) Dissector: Journal of the Perioperative Nurses College of New Zealand Nurses' Organisation, the New ZealandNurses Organisation 1174-7579 3/2011 3/2011 3/2011 Magazine/Journal Y Perioperative Nurses College New Zealand Health Doctor 0046-0451 12/2003 7/2007 12/2003 7/2007 Magazine/Journal Reed Business Information Ltd. United Kingdom Health Doctor's People Newsletter 7/1988 3/1992 1/1989 3/1992 Newsletter People's Doctor, Inc. United States Health Doklady Biochemistry and Biophysics 1607-6729 2/2006 Magazine/Journal Y Springer United States Biological sciences Drug and Alcohol Dependence 0376-8716 3/2005 Magazine/Journal Y Elsevier B.V. Netherlands Health Drug Benefit Trends 1080-5826 3/2005 3/2005 Magazine/Journal CMP Medica, LLC United States Health Pharmaceuticals and cosmetics Drug Cost Management Report 1530-3438 5/2002 11/2003 5/2002 11/2003 Newsletter Atlantic Information Services, Inc. United States industries Drug Formulary Review 1548-2790 1/1997 11/2010 1/1997 11/2010 7/2004 3/2005 Newsletter AHC Media LLC United States Health care industry Drug Safety 0114-5916 8/2003 8/2003 9/2011 8/2003 9/2011 Magazine/Journal Y Wolters Kluwer Health United Kingdom Health Pharmaceuticals and cosmetics Drug Topics 0012-6616 1/1981 1/1983 Magazine/Journal Advanstar Communications, Inc. United States industries Drug Utilization Review 0884-8521 6/1999 12/2003 6/1999 12/2003 11/1999 12/2003 Newsletter AHC Media LLC United States Health care industry Pharmaceuticals and cosmetics Drug Week 1531-6440 12/2000 12/2000 1/2001 7/2001 Newsletter NewsRX United States industries DrugNotes 11/2010 11/2010 Collection Thomson Healthcare, Inc. United States Health DrugNotes (Spanish) 1/2012 1/2012 Collection Thomson Healthcare, Inc. United States Health Drugs 0012-6667 3/2003 3/2003 9/2011 3/2003 9/2011 Magazine/Journal Y Wolters Kluwer Health United Kingdom Health Drugs & Aging 1170-229X 8/2003 8/2003 9/2011 8/2003 9/2011 Magazine/Journal Y Wolters Kluwer Health United Kingdom Health Drugs & Society 8756-8233 1/1999 1/2000 Magazine/Journal Y Haworth Press, Inc. Sociology and social work Drugs & Therapy Perspectives 1172-0360 8/2004 8/2004 9/2011 8/2004 9/2011 Magazine/Journal Y Wolters Kluwer Health United Kingdom Health Drugs in R&D 1174-5886 5/2010 5/2010 9/2011 5/2010 9/2011 Magazine/Journal Wolters Kluwer Health United Kingdom Health Duke Medicine Health News 2153-8387 1/2009 1/2009 1/2009 Newsletter Belvoir Media Group, LLC United States Health Zoology and wildlife DVM Newsmagazine 0012-7337 7/2003 7/2003 Magazine/Journal Advanstar Communications, Inc. United States conservation Dynamic Chiropractic 1076-9684 10/2007 10/2007 8/2010 10/2007 8/2010 Magazine/Journal MPA Media United States Health Dynamic Medicine 1476-5918 12/2006 12/2009 12/2006 12/2009 Magazine/Journal Y BioMed Central Ltd. United Kingdom Science and technology Canadian Association of Critical Care Dynamics 1497-3715 12/2006 12/2006 12/2006 Magazine/Journal Nurses Canada Health care industry Dysphagia 0179-051X 1/1997 Magazine/Journal Y Springer United States Health E 1046-8021 1/1992 9/1993 8/1994 Magazine/Journal Earth Action Network, Inc. United States Environmental issues Ear, Nose and Throat Journal 0145-5613 8/1999 8/1999 10/1999 Magazine/Journal Y Vendome Group LLC United States Health Early Human Development 0378-3782 1/2005 1/2005 8/2006 1/2005 8/2006 Magazine/Journal Y Elsevier B.V. Netherlands Health care industry The Hong Kong College of East Asian Archives of Psychiatry 2078-9947 6/2010 6/2010 6/2010 Magazine/Journal Y Psychiatrists Ltd. Hong Kong Psychology and mental health East West 0888-1375 1/1988 11/1991 1/1989 11/1991 Magazine/Journal Weider Publications LLC United States Health East West Natural Health 1061-4664 1/1992 11/1992 1/1992 11/1992 Magazine/Journal Weider Publications LLC United States Health Eastern Mediterranean Health Journal 1020-3397 1/2006 1/2006 1/2006 Magazine/Journal Y World Health Organization Switzerland Health Echocardiography 0742-2822 1/2006 Magazine/Journal Y Blackwell Publishers Ltd. United Kingdom Health EContent 1525-2531 8/1999 8/1999 12/1999 Magazine/Journal Information Today, Inc. United States Library and information science ED Documentation & Coding Update 1542-9822 1/2003 3/2003 1/2003 3/2003 Newsletter AHC Media LLC United States Health ED Legal Letter 1087-7347 1/1997 1/1997 11/2001 3/2005 Newsletter AHC Media LLC United States Health care industry ED Management 1044-9167 1/1997 1/1997 12/2001 3/2005 Newsletter AHC Media LLC United States Health care industry ED Nursing 1096-4304 11/1997 11/1997 12/2001 3/2005 Magazine/Journal AHC Media LLC United States Health Edell Health Letter 0896-6613 5/1988 12/1993 Newsletter Time Inc., Health United States Health Educator Update 1/2008 1/2008 1/2011 Magazine/Journal National Association of EMS Educators United States Education Penton Media, Inc., Penton Business EHS Today 11/2008 11/2008 11/2008 Magazine/Journal Media, Inc. and their subsidiaries United States Health care industry EJC Supplements 1359-6349 12/2004 Magazine/Journal Y Elsevier B.V. Netherlands Health care industry Electrocatalysis 1868-2529 5/2010 Magazine/Journal Y Springer United States Chemistry Electronic Library 0264-0473 1/1984 1/1985 Magazine/Journal Y Sage Publications, Inc. United States Library and information science Computers and office EMedia 1525-4658 9/1999 5/2000 9/1999 5/2000 9/1999 5/2000 Magazine/Journal Information Today, Inc. United States automation industries Computers and office EMedia Magazine 1529-7306 6/2000 7/2002 6/2000 7/2002 7/2000 7/2002 Magazine/Journal Information Today, Inc. United States automation industries Computers and office EMedia Professional 1090-946X 1/1997 8/1999 1/1997 8/1999 1/1997 8/1999 Magazine/Journal Information Today, Inc. United States automation industries Computers and office EMedia, The Digital Studio Magazine 1525-4658 8/2002 10/2004 8/2002 10/2004 8/2002 10/2004 Magazine/Journal Information Today, Inc. United States automation industries Emergency Medicine Alert 1075-6914 11/2001 12/2005 11/2001 12/2005 12/2001 2/2005 Newsletter Y AHC Media LLC United States Health Emergency Medicine Australasia 1742-6731 6/1999 Magazine/Journal Y Blackwell Publishers Ltd. United Kingdom Health care industry HRC Academic 18/62
  • 21.
    Journal Name ISSN Index Start Index End Full-text Full-text End Image Start Image End Format Refereed/Peer- Embargo Publisher Name Publisher Country Publication Primary Subject Start Reviewed (Days) Emergency Medicine Journal 1472-0205 1/2001 1/2001 3/2004 1/2001 9/2001 Magazine/Journal Y British Medical Association United States Health Emergency Medicine Reports 0746-2506 1/1997 1/1997 11/2001 2/2005 Newsletter AHC Media LLC United States Health Royal College of Nursing Publishing Emergency Nurse 1354-5752 5/2003 5/2003 5/2003 Magazine/Journal Y 90 Company (RCN) United Kingdom Health U.S. National Center for Infectious Emerging Infectious Diseases 1080-6040 1/1999 1/1999 1/1999 Magazine/Journal Y Diseases United States Health Emerging Themes in Epidemiology 1742-7622 12/2006 12/2006 Magazine/Journal Y BioMed Central Ltd. United Kingdom Health Employee Health & Fitness 0199-6304 1/1997 12/2000 1/1997 12/2000 Newsletter AHC Media LLC United States Health EMS Magazine 0094-6575 6/2009 2/2011 6/2009 2/2011 Magazine/Journal Cygnus Business Media United States Government Endocrine 1355-008X 2/1997 Magazine/Journal Y Springer United States Biological sciences Petroleum, energy and mining Energy Systems 1868-3967 2/2010 Magazine/Journal Y Springer United States industries ENP Newswire 1/2010 1/2010 Newswire Normans Media Ltd. United Kingdom Environment 0013-9157 1/1980 12/1992 9/2009 7/1994 7/2009 Magazine/Journal Y Taylor & Francis Ltd. United Kingdom Environmental issues Environment and Behavior 0013-9165 1/1989 1/1997 11/1998 Magazine/Journal Y Sage Publications, Inc. United States Environmental issues Environmental Geochemistry and Health 0269-4042 2/2006 Magazine/Journal Y Springer United States Science and technology National Institute of Environmental Environmental Health Perspectives 0091-6765 1/1999 4/2000 Magazine/Journal Y Health Sciences United States Environmental issues Environmental Health: A Global Access Science Source 1476-069X 12/2006 12/2006 Magazine/Journal Y BioMed Central Ltd. United Kingdom Health Environmental Management 0364-152X 9/2006 Magazine/Journal Y Springer United States Science and technology Environmental Microbiology 1462-2912 10/2000 Magazine/Journal Y Blackwell Publishers Ltd. United Kingdom Biotechnology industry Environmental Monitoring and Assessment 0167-6369 4/2006 Magazine/Journal Y Springer United States Science and technology Environmental Nutrition 0893-4452 1/1988 1/1999 Magazine/Journal Belvoir Media Group, LLC United States Food/cooking/nutrition Enzyme Research 2090-0414 1/2010 1/2010 1/2010 Magazine/Journal Y Hindawi Publishing Corp. Egypt Biological sciences Epigenetics & Chromatin 1756-8935 10/2008 10/2008 Magazine/Journal Y BioMed Central Ltd. United Kingdom Health Epigenomics 1750-1911 10/2009 10/2009 Magazine/Journal Y 365 Future Medicine Ltd. United Kingdom Health Epilepsi: Journal of the Turkish Epilepsi Society 1300-7157 5/2011 5/2011 5/2011 Magazine/Journal Y KARE Publishing Turkey Health Epilepsia 0013-9580 1/2002 Magazine/Journal Y Blackwell Publishers Ltd. United Kingdom Psychology and mental health EPMA Journal 1878-5077 3/2010 Magazine/Journal Springer United States Health ERA Forum 1612-3093 9/2002 Magazine/Journal Springer United States Law Architecture and design Ergonomics 0014-0139 1/1992 Magazine/Journal Y Taylor & Francis Ltd. United Kingdom industries Ergotherapie & Rehabilitation 0942-8623 1/2007 3/2009 1/2007 1/2009 1/2007 1/2009 Magazine/Journal Schulz-Kirchner Verlag GmbH Germany Education European Archives of Oto-Rhino-Laryngology 0937-4477 8/2006 Magazine/Journal Y Springer United States Health European Academy of Paediatric European Archives of Paediatric Dentistry 1818-6300 1/2007 1/2007 1/2007 Magazine/Journal Y Dentistry Greece Health European Archives of Psychiatry and Clinical Neuroscience 0940-1334 9/1990 Magazine/Journal Y Springer United States Health European Biophysics Journal 0175-7571 3/1997 Magazine/Journal Y Springer United States Biological sciences European Child & Adolescent Psychiatry 1018-8827 1/1992 Magazine/Journal Y Springer United States Psychology and mental health European Journal of Applied Physiology 1439-6319 4/2003 Magazine/Journal Y Springer United States Health European Journal of Cancer 0959-8049 8/1995 Magazine/Journal Y Elsevier B.V. Netherlands Health European Journal of Cancer Care 0961-5423 3/2006 Magazine/Journal Y Blackwell Publishers Ltd. United Kingdom Health care industry European Journal of Cardiovascular Nursing 1474-5151 6/2005 Magazine/Journal Y Elsevier B.V. Netherlands Health care industry European Journal of Clinical Investigation 0014-2972 1/2006 Magazine/Journal Y Blackwell Publishers Ltd. United Kingdom Health European Journal of Clinical Microbiology & Infectious Diseases 0934-9723 9/2005 Magazine/Journal Y Springer United States Biological sciences European Journal of Clinical Nutrition 0954-3007 1/1992 1/2000 1/2000 Magazine/Journal Y 365 Nature Publishing Group United Kingdom Food/cooking/nutrition European Journal of Clinical Pharmacology 0031-6970 10/2005 Magazine/Journal Y Springer United States Health European Journal of Haematology 0902-4441 3/2001 Magazine/Journal Y Blackwell Publishers Ltd. United Kingdom Health European Journal of Health Economics 1618-7598 6/2006 Magazine/Journal Y Springer United States Health care industry European Journal of Medical Research 0949-2321 1/2010 1/2010 Magazine/Journal Y BioMed Central Ltd. United Kingdom Health European Journal of Neurology 1351-5101 3/2002 Magazine/Journal Y Blackwell Publishers Ltd. United Kingdom Health European Journal of Neuroscience 0953-816X 1/1992 Magazine/Journal Y Blackwell Publishers Ltd. United Kingdom Science and technology European Journal of Nuclear Medicine and Molecular Imaging 1619-7070 3/2006 Magazine/Journal Y Springer United States Health European Journal of Nutrition 1436-6207 2/1999 Magazine/Journal Y Springer United States Health European Journal of Oncology Nursing 1462-3889 3/1999 Magazine/Journal Y Elsevier B.V. Netherlands Health care industry European Journal of Oral Sciences 0909-8836 2/2006 Magazine/Journal Y Blackwell Publishers Ltd. United Kingdom Health European Journal of Pain 1090-3801 6/2005 Magazine/Journal Y Elsevier B.V. Netherlands Health care industry European Journal of Pediatrics 0340-6199 1/2006 Magazine/Journal Y Springer United States Health European Journal of Trauma 1439-0590 2/2000 12/2006 Magazine/Journal Y Springer United States Health European Journal of Trauma and Emergency Surgery 1863-9933 2/2007 Magazine/Journal Y Springer United States Health European Medical Device Technology 2152-3649 1/2010 1/2010 Magazine/Journal Canon Communications LLC United States Health HRC Academic 19/62
  • 22.
    Journal Name ISSN Index Start Index End Full-text Full-text End Image Start Image End Format Refereed/Peer- Embargo Publisher Name Publisher Country Publication Primary Subject Start Reviewed (Days) European Orthopaedics and Traumatology 1867-4569 5/2010 Magazine/Journal Y Springer United States Health European Radiology 0938-7994 9/2001 Magazine/Journal Y Springer United States Health European Spine Journal 0940-6719 7/2004 Magazine/Journal Y Springer United States Health Computers and office EventDV 1554-2009 1/2005 1/2005 1/2005 Magazine/Journal Information Today, Inc. United States automation industries Evidence-Based Mental Health 1362-0347 2/2001 2/2001 2/2004 8/2001 8/2001 Magazine/Journal Y British Medical Association United States Psychology and mental health Evidence-Based Midwifery (Royal College of Midwives) 1479-4489 6/2003 6/2003 6/2010 6/2003 6/2010 Magazine/Journal Y Redactive Media Group United Kingdom Health Evidence-Based Nursing 1367-6539 1/2001 1/2001 10/2003 Magazine/Journal Y British Medical Association United States Health EvoDevo 2041-9139 7/2010 7/2010 Magazine/Journal Y BioMed Central Ltd. United Kingdom Science and technology Evolution & Development 1520-541X 1/2006 Magazine/Journal Y Blackwell Publishers Ltd. United Kingdom Biological sciences Exceptional Children 0014-4029 1/1987 1/1988 9/1994 Magazine/Journal Y 30 Council for Exceptional Children United States Education Exceptional Parent 0046-9157 1/1988 1/1989 8/1999 Magazine/Journal EP Global Communications, Inc. United States Family and marriage Executive Health Report 0882-2131 1/1988 5/1991 1/1988 5/1991 Magazine/Journal IMI Publications United States Health Executive Health's Good Health Report 1071-8680 6/1991 10/1999 6/1991 10/1999 8/1999 9/1999 Newsletter IMI Publications United States Sports and fitness Existential Analysis 1752-5616 1/2008 1/2008 1/2008 Magazine/Journal Y Society for Existential Analysis United Kingdom Psychology and mental health Experimental Brain Research 0014-4819 9/2001 Magazine/Journal Y Springer United States Health care industry Experimental Dermatology 0906-6705 6/2002 Magazine/Journal Y Blackwell Publishers Ltd. United Kingdom Health Experimental Diabetes Research 1687-5214 1/2004 1/2004 1/2004 Magazine/Journal Y Hindawi Publishing Corp. Egypt Health Experimental Medicine 1791-9967 1/2009 1/2009 1/2009 Magazine/Journal Y Renaissance Medical Publishing Greece Health Experimental Physiology 0958-0670 1/2006 Magazine/Journal Y Blackwell Publishers Ltd. United Kingdom Biological sciences Expert Review of Anticancer Therapy 1473-7140 6/2001 6/2001 6/2001 Magazine/Journal Y 365 Expert Reviews Ltd. United Kingdom Health Expert Review of Anti-infective Therapy 1478-7210 1/2003 1/2003 1/2003 Magazine/Journal Y 365 Expert Reviews Ltd. United Kingdom Health Expert Review of Cardiovascular Therapy 1477-9072 5/2003 5/2003 5/2003 Magazine/Journal Y 365 Expert Reviews Ltd. United Kingdom Health Expert Review of Clinical Immunology 1744-666X 5/2005 5/2005 1/2010 Magazine/Journal Y Expert Reviews Ltd. United Kingdom Health Expert Review of Clinical Pharmacology 1751-2433 1/2008 1/2008 1/2010 Magazine/Journal Y Expert Reviews Ltd. United Kingdom Health Expert Review of Dermatology 1746-9872 2/2006 2/2006 3/2007 Magazine/Journal Y Expert Reviews Ltd. United Kingdom Health Expert Review of Endocrinology & Metabolism 1744-6651 1/2006 1/2006 1/2010 Magazine/Journal Y Expert Reviews Ltd. United Kingdom Health Expert Review of Gastroenterology & Hepatology 1747-4124 10/2007 10/2007 Magazine/Journal Y 365 Expert Reviews Ltd. United Kingdom Health Expert Review of Hematology 1747-4086 10/2008 10/2008 11/2009 Magazine/Journal Y Expert Reviews Ltd. United Kingdom Health Expert Review of Medical Devices 1743-4440 9/2004 9/2004 9/2004 Magazine/Journal Y 365 Expert Reviews Ltd. United Kingdom Health Expert Review of Molecular Diagnostics 1473-7159 5/2001 5/2001 5/2001 Magazine/Journal Y 365 Expert Reviews Ltd. United Kingdom Health Expert Review of Neurotherapeutics 1473-7175 9/2001 9/2001 9/2001 Magazine/Journal Y 365 Expert Reviews Ltd. United Kingdom Health Expert Review of Obstetrics & Gynecology 1747-4108 9/2006 9/2006 1/2010 Magazine/Journal Y Expert Reviews Ltd. United Kingdom Health Expert Review of Ophthalmology 1746-9899 10/2006 10/2006 Magazine/Journal Y 365 Expert Reviews Ltd. United Kingdom Health Expert Review of Pharmacoeconomics & Outcomes Research 1473-7167 10/2001 10/2001 10/2001 Magazine/Journal Y 365 Expert Reviews Ltd. United Kingdom Health Expert Review of Proteomics 1478-9450 6/2004 6/2004 6/2004 Magazine/Journal Y 365 Expert Reviews Ltd. United Kingdom Health Expert Review of Respiratory Medicine 1747-6348 8/2007 8/2007 11/2009 Magazine/Journal Y Expert Reviews Ltd. United Kingdom Health Expert Review of Vaccines 1476-0584 6/2002 6/2002 6/2002 Magazine/Journal Y 365 Expert Reviews Ltd. United Kingdom Health Extremophiles: Life Under Extreme Conditions 1431-0651 2/1997 Magazine/Journal Y Springer United States Biological sciences Eye on the Bayou 1/2006 1/2006 1/2006 Report Y Kugler Publications Netherlands Health Fact Sheets (Series) 12/1999 12/1999 2/2002 Report Guttmacher Institute United States Health American Psychological Association, Families, Systems & Health 1091-7527 9/1998 9/1998 9/1999 Magazine/Journal Y Inc. United States Health Lippincott Williams & Wilkins, WK Family and Community Health 0160-6379 1/1996 Magazine/Journal Y Health United States Health care industry Family Economics and Nutrition Review 1085-9985 6/1995 3/2004 3/1996 3/2004 1/1999 3/2004 Magazine/Journal Y Superintendent of Documents United States Family and marriage Family Health 0014-7249 1/1980 6/1981 Magazine/Journal Time Inc., Health United States Health Family Planning Perspectives 0014-7354 1/1992 1/2002 Magazine/Journal Y Blackwell Publishers Ltd. United Kingdom Family and marriage Family Practice Alert 1093-2534 1/1998 12/1999 1/1998 12/1999 Newsletter AHC Media LLC United States Health American Academy of Family Family Practice Management 1069-5648 4/2001 Magazine/Journal Y Physicians United States Health care industry Family Practice News 0300-7073 9/1998 9/1998 Magazine/Journal International Medical News Group United States Health Family Practice Recertification 0163-6642 6/2007 11/2007 6/2007 11/2007 6/2007 11/2007 Magazine/Journal Ascend Media United States Health care industry Family Process 0014-7370 9/1998 Magazine/Journal Y Blackwell Publishers Ltd. United Kingdom Psychology and mental health FDA Consumer 0362-1332 1/1980 3/2007 1/1984 3/2007 7/1994 3/2007 Magazine/Journal U.S. Government Printing Office United States Health FEBS Journal 1742-464X 1/2006 Magazine/Journal Y Blackwell Publishers Ltd. United Kingdom Biological sciences FEMS Immunology and Medical Microbiology 0928-8244 8/1999 Magazine/Journal Y Blackwell Publishers Ltd. United Kingdom Health care industry FEMS Microbiology Ecology 0168-6496 1/2006 Magazine/Journal Y Blackwell Publishers Ltd. United Kingdom Biological sciences FEMS Microbiology Letters 0378-1097 1/2006 Magazine/Journal Y Blackwell Publishers Ltd. United Kingdom Biological sciences FEMS Microbiology Reviews 0168-6445 1/2006 Magazine/Journal Y Blackwell Publishers Ltd. United Kingdom Biological sciences FEMS Yeast Research 1567-1356 4/2001 Magazine/Journal Blackwell Publishers Ltd. United Kingdom Biological sciences Fibrogenesis & Tissue Repair 1755-1536 10/2008 10/2008 Magazine/Journal Y BioMed Central Ltd. United Kingdom Health HRC Academic 20/62
  • 23.
    Journal Name ISSN Index Start Index End Full-text Full-text End Image Start Image End Format Refereed/Peer- Embargo Publisher Name Publisher Country Publication Primary Subject Start Reviewed (Days) Filaria Journal 1475-2883 12/2006 12/2007 12/2006 12/2007 Magazine/Journal Y BioMed Central Ltd. United Kingdom Health Fit Pregnancy 1079-3615 2/2002 Magazine/Journal Weider Publications LLC United States Sports and fitness Fitoterapia 0367-326X 3/2005 Magazine/Journal Y Elsevier B.V. Netherlands Earth sciences Flex 8750-8915 2/2002 2/2002 Magazine/Journal Weider Publications LLC United States Sports and fitness Fluids and Barriers of the CNS 2045-8118 1/2011 1/2011 Magazine/Journal Y BioMed Central Ltd. United Kingdom Health Pharmaceuticals and cosmetics Focus on Alternative and Complementary Therapies 1465-3573 3/2000 Magazine/Journal Y Pharmaceutical Press industries FOCUS: Journal for Respiratory Care & Sleep Medicine 3/2003 3/2003 3/2003 Magazine/Journal Focus Publications, Inc. United States Health care industry FOCUS: Journal for Respiratory Care Managers and Educators 1/2000 1/2003 1/2000 1/2003 1/2001 1/2003 Magazine/Journal Focus Publications, Inc. United States Health care industry Food & Fitness Advisor 1528-7475 1/2006 1/2006 1/2006 Magazine/Journal Belvoir Media Group, LLC United States Food/cooking/nutrition Food & Nutrition News 0015-6310 1/1989 11/1994 Magazine/Journal National Live Stock & Meat Board Food/cooking/nutrition Food and Nutrition 0046-4384 2/1980 8/1993 4/1984 8/1993 Magazine/Journal U.S. Government Printing Office United States Food and beverage industries Food and Nutrition Sciences 2157-944X 1/2011 Magazine/Journal Y Scientific Research Publishing, Inc. United States Food/cooking/nutrition Food Safety Issues 1530-0404 6/2000 1/2002 6/2000 1/2002 7/2000 12/2000 Newsletter The Food Institute United States Food and beverage industries Foodborne Pathogens and Disease 1535-3141 12/2007 12/2007 11/2011 12/2007 11/2011 Magazine/Journal Y Mary Ann Liebert, Inc. United States Health Foot 0958-2592 6/2005 Magazine/Journal Y Elsevier B.V. Netherlands Health care industry Pharmaceuticals and cosmetics Formulary 1082-801X 6/2000 6/2000 Magazine/Journal Y Advanstar Communications, Inc. United States industries Forum Logopadie 0932-0547 1/2007 3/2009 1/2007 3/2009 1/2007 3/2009 Magazine/Journal Schulz-Kirchner Verlag GmbH Germany Health Foundations and Trends in Econometrics 1551-3076 1/2005 4/2005 1/2005 4/2005 1/2005 4/2005 Magazine/Journal Now Publishers, Inc. United States Foundations and Trends in Information Retrieval 1554-0669 11/2006 12/2006 11/2006 12/2006 11/2006 12/2006 Magazine/Journal Y Now Publishers, Inc. United States Computers Foundations and Trends in Web Science 1555-077X 9/2006 9/2006 9/2006 9/2006 9/2006 9/2006 Magazine/Journal Now Publishers, Inc. United States Computers From the Osteoporosis World 1300-9141 8/2008 12/2010 8/2008 12/2010 8/2008 12/2010 Magazine/Journal Y Galenos Yayinevi Tic. Ltd. Turkey Health Functional & Integrative Genomics 1438-793X 1/2006 Magazine/Journal Y Springer United States Biological sciences Penton Media, Inc., Penton Business Functional Foods and Neutraceuticals 1470-0336 1/2006 7/2008 1/2006 7/2008 Magazine/Journal Media, Inc. and their subsidiaries United States Food/cooking/nutrition Penton Media, Inc., Penton Business Functional Ingredients 5/2009 5/2009 Magazine/Journal Media, Inc. and their subsidiaries United States Food/cooking/nutrition Fundamental & Clinical Pharmacology 0767-3981 2/2006 Magazine/Journal Y Blackwell Publishers Ltd. United Kingdom Health Future Cardiology 1479-6678 1/2005 1/2005 Magazine/Journal Y 365 Future Medicine Ltd. United Kingdom Health Future Lipidology 1746-0875 2/2006 12/2008 2/2006 12/2008 Magazine/Journal Future Medicine Ltd. United Kingdom Health Future Microbiology 1746-0913 6/2006 6/2006 Magazine/Journal 365 Future Medicine Ltd. United Kingdom Health Future Neurology 1479-6708 11/2006 11/2006 1/2010 Magazine/Journal Y Future Medicine Ltd. United Kingdom Health Princeton University-Woodrow Wilson School of Public and International Future of Children 1054-8289 9/2000 9/2000 9/2000 Magazine/Journal Y Affairs United States Family and marriage Future Oncology 1479-6694 2/2005 2/2005 Magazine/Journal Y 365 Future Medicine Ltd. United Kingdom Health Future Rheumatology 1746-0816 2/2006 12/2008 2/2006 12/2008 Magazine/Journal Y Future Medicine Ltd. United Kingdom Health Future Virology 1746-0794 1/2006 1/2006 1/2010 Magazine/Journal Future Medicine Ltd. United Kingdom Health Gaming Law Review 1092-1885 12/2007 10/2008 12/2007 10/2008 12/2007 10/2008 Magazine/Journal Mary Ann Liebert, Inc. United States Law Gaming Law Review and Economics 1097-5349 1/2010 10/2011 1/2010 10/2011 1/2010 10/2011 Magazine/Journal Mary Ann Liebert, Inc. United States Law Gastric Cancer 1436-3291 3/1998 Magazine/Journal Y Springer United States Health Gastroenterology Week 1543-6756 1/2003 1/2003 Newsletter NewsRX United States Health Gastrointestinal Endoscopy 0016-5107 1/1995 Magazine/Journal Y Elsevier B.V. Netherlands Health Gene Therapy 0969-7128 1/2003 1/2003 5/2007 Magazine/Journal Y 365 Nature Publishing Group United Kingdom Health Gene Therapy Weekly 1078-2842 7/2008 7/2008 Newsletter NewsRX United States Health General Hospital Psychiatry 0163-8343 1/2005 Magazine/Journal Y Elsevier B.V. Netherlands Health care industry Generations 5/1994 5/1994 5/1994 Newsletter Y National Ataxia Foundation United States Health Generations (San Francisco, California) 0738-7806 3/2001 Magazine/Journal Y American Society on Aging Seniors Genes and Immunity 1466-4879 5/2001 5/2001 4/2007 Magazine/Journal Y 365 Nature Publishing Group United Kingdom Health Genes to Cells 1356-9597 11/2004 Magazine/Journal Y Blackwell Publishers Ltd. United Kingdom Biological sciences Genes, Brain and Behavior 1601-1848 2/2006 Magazine/Journal Y Blackwell Publishers Ltd. United Kingdom Biological sciences Genetic Engineering and Biotechnology Journal 2150-3516 1/2010 1/2010 1/2010 Magazine/Journal Y HATASO Enterprises, LLC United States Biotechnology industry Genetic Testing 1090-6576 12/2007 12/2008 12/2007 12/2008 12/2007 12/2008 Magazine/Journal Y Mary Ann Liebert, Inc. United States Science and technology Genetic Testing and Molecular Biomarkers 1945-0265 2/2009 11/2011 2/2009 11/2011 2/2009 11/2011 Magazine/Journal Y Mary Ann Liebert, Inc. United States Science and technology Genetic Vaccines and Therapy 1479-0556 1/2007 1/2007 Magazine/Journal Y BioMed Central Ltd. United Kingdom Biological sciences Genetic, Social, and General Psychology Monographs 8756-7547 2/1997 11/2006 2/1997 11/2006 8/1999 11/2006 Magazine/Journal Y Heldref Publications United States Psychology and mental health Zoology and wildlife Genetics Selection Evolution 0999-193X 1/2009 1/2009 Magazine/Journal Y BioMed Central Ltd. United Kingdom conservation HRC Academic 21/62
  • 24.
    Journal Name ISSN Index Start Index End Full-text Full-text End Image Start Image End Format Refereed/Peer- Embargo Publisher Name Publisher Country Publication Primary Subject Start Reviewed (Days) Genome 0831-2796 1/2006 1/2006 1/2006 Magazine/Journal Y 365 NRC Research Press Canada Biological sciences Genome Integrity 2041-9414 5/2010 5/2010 Magazine/Journal Y BioMed Central Ltd. United Kingdom Health Genome Medicine 1756-994X 1/2009 1/2009 Magazine/Journal Y BioMed Central Ltd. United Kingdom Health Genomics & Genetics Weekly 1531-6467 1/2001 1/2001 1/2001 9/2001 Newsletter NewsRX United States Health Genomics and World Health 1/2002 1/2002 1/2002 1/2002 Report World Health Organization Switzerland Health Georgia Nursing 0016-8335 11/2005 11/2005 11/2005 Newsletter Georgia Nurses Association United States Health Geriatric Emergency Medicine Reports 1527-9146 1/2000 10/2002 1/2000 10/2002 4/2002 10/2002 Newsletter AHC Media LLC United States Health Geriatric Nursing 0197-4572 1/1995 Magazine/Journal Y Elsevier B.V. Netherlands Seniors Geriatric Times 1544-2233 5/2002 11/2004 5/2002 11/2004 Magazine/Journal CMP Medica, LLC United States Seniors Geriatrics 0016-867X 1/1992 10/2009 1/1993 6/2006 Magazine/Journal Y Advanstar Communications, Inc. United States Health Geriatrics and Gerontology International 1444-1586 3/2006 Magazine/Journal Y Blackwell Publishers Ltd. United Kingdom Health Gerontologist 0016-9013 2/1988 Magazine/Journal Y Gerontological Society of America United States Health Gerson Healing Newsletter 5/2006 5/2006 5/2006 Newsletter The Gerson Institute United States Health Getting Paid in Behavioral Healthcare 1541-7646 10/2002 6/2006 10/2002 6/2006 10/2002 6/2006 Newsletter Manisses Communications Group, Inc. United States Psychology and mental health Glaucoma Diagnosis: Structure and Function 1/2004 1/2004 1/2004 Report Y Kugler Publications Netherlands Health Glaucoma in the New Millennium 1/2003 1/2003 1/2003 Report Y Kugler Publications Netherlands Health Glaucoma Screening 1/2008 1/2008 1/2008 Report Y Kugler Publications Netherlands Health Canadian Center of Science and Global Journal of Health Science 1916-9736 4/2010 4/2010 4/2010 Magazine/Journal Y Education (CCSE) Canada Health Globalization and Health 1744-8603 12/2006 12/2006 Magazine/Journal Y BioMed Central Ltd. United Kingdom Health Hearst Magazines, a Division of the Good Housekeeping 0017-209X 1/1980 1/1996 1/1996 Magazine/Journal 45 Hearst Corporation United States Home and garden GP 0268-8417 11/2001 11/2001 Magazine/Journal 14 Haymarket Business Publications Ltd. United Kingdom News, opinion and commentary American Society for Gravitational Aerospace and defense Gravitational and Space Biology 1089-988X 5/1999 5/1999 5/1999 Magazine/Journal Y and Space Biology United States industries Gut 0017-5749 4/1989 1/2001 4/2004 1/2001 11/2001 Magazine/Journal Y British Medical Association United States Health Gut Pathogens 1757-4749 2/2009 2/2009 Magazine/Journal Y BioMed Central Ltd. United Kingdom Health Guttmacher Policy Review 1096-7699 1/2006 1/2006 1/2006 Magazine/Journal Guttmacher Institute United States Family and marriage Guttmacher Report on Public Policy 1096-7699 12/2001 11/2005 12/2001 11/2005 2/2002 11/2005 Magazine/Journal Guttmacher Institute United States Family and marriage Gyroscopy and Navigation 2075-1087 1/2010 Magazine/Journal Springer United States Physics H&HN Hospitals & Health Networks 1068-8838 1/1999 1/1999 5/1999 Magazine/Journal Health Forum United States Health care industry Haemophilia 1351-8216 11/2000 Magazine/Journal Y Blackwell Publishers Ltd. United Kingdom Health Harm Reduction Journal 1477-7517 1/2007 1/2007 Magazine/Journal Y BioMed Central Ltd. United Kingdom Health Harvard Children's Health 8/2006 8/2006 Report Harvard Health Publications Group United States Health Harvard Health Commentaries 8/2006 8/2006 Newsletter Harvard Health Publications Group United States Health Harvard Health Letter 1052-1577 10/1990 10/1990 Newsletter Y Harvard Health Publications Group United States Health Harvard Heart Letter 1051-5313 1/1995 1/1995 Newsletter Y Harvard Health Publications Group United States Health Harvard Medical School Health Letter 0161-7486 7/1981 9/1990 1/1989 9/1990 Newsletter Y Harvard Health Publications Group United States Health Harvard Men's Health Watch 1089-1102 8/2001 8/2001 Newsletter Harvard Health Publications Group United States Health Harvard Mental Health Letter 1057-5022 1/1995 1/1995 Newsletter Harvard Health Publications Group United States Psychology and mental health Harvard Reviews of Health News 7/2006 7/2006 Newswire Harvard Health Publications Group United States Health Harvard Women's Health Watch 1070-910X 5/1998 5/1998 Newsletter Y Harvard Health Publications Group United States Women's issues/gender studies Hastings Center Report 0093-0334 2/1988 9/2011 2/1988 9/2011 7/1999 9/2011 Magazine/Journal Y Hastings Center United States Health Head & Neck Oncology 1758-3284 1/2009 1/2009 Magazine/Journal Y BioMed Central Ltd. United Kingdom Health Head and Neck Pathology 1936-055X 9/2007 Magazine/Journal Springer United States Health Headache and Pain 1545-8261 6/2005 11/2005 6/2005 11/2005 Magazine/Journal Y CMP Medica, LLC United States Health Headache: The Journal of Head and Face Pain 0017-8748 11/1999 Magazine/Journal Y Blackwell Publishers Ltd. United Kingdom Health Health 1949-4998 6/2009 6/2009 6/2009 Magazine/Journal Y Scientific Research Publishing, Inc. United States Health Health & Medicine Week 1531-6459 1/2001 1/2001 3/2001 7/2001 Newsletter NewsRX United States Health Health & Nutrition 1/1988 1/1988 Magazine/Journal Lowenstein Associates, Inc. United States Health Health & Safety at Work 0141-8246 6/1992 Magazine/Journal Tolley Publishing Company Ltd. (UK) Health Health (San Francisco, CA) 1059-938X 2/1992 Magazine/Journal Time Inc., Health United States Health Health (Time Inc., Health) 0279-3547 7/1981 7/1991 Magazine/Journal Time Inc., Health United States Health Health and Place 1353-8292 3/2006 Magazine/Journal Y Elsevier B.V. Netherlands Geography HRC Academic 22/62
  • 25.
    Journal Name ISSN Index Start Index End Full-text Full-text End Image Start Image End Format Refereed/Peer- Embargo Publisher Name Publisher Country Publication Primary Subject Start Reviewed (Days) Health and Quality of Life Outcomes 1477-7525 1/2007 1/2007 Magazine/Journal Y BioMed Central Ltd. United Kingdom Health Health and Social Care in the Community 0966-0410 1/2006 Magazine/Journal Y Blackwell Publishers Ltd. United Kingdom Health care industry Health and Social Work 0360-7283 2/1989 2/1998 11/1999 Magazine/Journal Y National Association of Social Workers United States Sociology and social work Health A-to-Z 8/2006 8/2006 Newsletter Harvard Health Publications Group United States Health Health Care Biller 1063-5335 5/2006 1/2008 5/2006 1/2008 5/2006 1/2008 Magazine/Journal Aspen Publishers, Inc. United States Health care industry Health Care Collector 1060-0442 5/2008 5/2008 5/2008 Magazine/Journal Aspen Publishers, Inc. United States Health Lippincott Williams & Wilkins, WK Health Care Food & Nutrition Focus 1090-2260 2/2002 9/2006 Newsletter Health United States Health care industry Lippincott Williams & Wilkins, WK Health Care Management Review 0361-6274 3/1981 Magazine/Journal Y Health United States Health care industry Health Care Management Science 1386-9620 3/1998 Magazine/Journal Y Springer United States Health care industry Lippincott Williams & Wilkins, WK Health Care Manager 1525-5794 12/2001 Magazine/Journal Y Health United States Health care industry Health Data Management 1079-9869 3/1998 3/1998 12/1999 3/2000 Magazine/Journal SourceMedia, Inc. United States Health care industry Health Education 0965-4283 1/2005 Magazine/Journal Y Emerald Group Publishing, Ltd. United Kingdom Health Health Education Journal 0017-8969 3/1992 Magazine/Journal Y Health Education Authority Health Health Expectations 1369-6513 3/2006 Magazine/Journal Y Blackwell Publishers Ltd. United Kingdom Health care industry Health Informatics Journal 1460-4582 3/2004 3/2005 9/2008 3/2005 9/2007 Magazine/Journal Sage Publications, Inc. United States Health Health Information & Libraries Journal 1471-1834 6/2003 Magazine/Journal Y Blackwell Publishers Ltd. United Kingdom Social sciences Health Information Management Health Information Management Journal 1833-3583 2/2008 2/2008 2/2008 Magazine/Journal Y Association of Australia Ltd. Australia Health Health Law Journal 1192-8336 1/1993 1/2001 1/2001 Magazine/Journal Y Health Law Institute Canada Law Health Law Review 1188-8725 4/1992 3/2001 3/2001 Magazine/Journal Health Law Institute Canada Law Health Letter 1052-1577 1/1980 6/1981 Newsletter Y Harvard Health Publications Group United States Health Health Letter on the CDC 1078-2907 6/1998 12/1999 6/1998 12/1999 Newsletter NewsRX United States Health Health Management Technology 1074-4770 1/1994 1/1994 7/1994 Magazine/Journal NP Communications, LLC United States Health care industry Health Marketing Quarterly 0735-9683 6/1992 Magazine/Journal Y Routledge United Kingdom Health care industry Case Western Reserve University Health Matrix 0748-383X 3/1991 1/2008 1/2008 Magazine/Journal Y School of Law United States Law Health News & Review 1056-1900 1/1988 6/1995 Magazine/Journal McGraw-Hill Companies, Inc. Health Health News Magazine 1081-5880 1/2006 12/2008 1/2006 12/2008 1/2006 12/2008 Magazine/Journal Belvoir Media Group, LLC United States Health Health Niche Advisor 1521-7612 8/2002 12/2002 8/2002 12/2002 8/2002 12/2002 Newsletter Aspen Publishers, Inc. United States Health care industry Health policy 0168-8510 6/2005 Magazine/Journal Y Elsevier B.V. Netherlands Health American Psychological Association, Health Psychology 0278-6133 1/1999 Magazine/Journal Y Inc. United States Psychology and mental health Health Report 1/2001 1/2001 1/2001 Report Adva Center Israel Health Health Research Policy and Systems 1478-4505 12/2006 12/2006 Magazine/Journal Y BioMed Central Ltd. United Kingdom Health care industry Health SA Gesondheid 1025-9848 3/2001 3/2001 3/2001 Magazine/Journal University of Johannesburg South Africa Health Health Science 0883-8216 3/2001 3/2001 3/2001 Magazine/Journal American Natural Hygiene Society United States Health Health Research and Educational Health Services Research 0017-9124 9/1981 12/1991 8/1992 Magazine/Journal Y Trust United States Health care industry Health Sociology Review 1446-1242 1/1991 1/1991 1/1991 Magazine/Journal Y eContent Management Pty Ltd. Australia Sociology and social work Palgrave Macmillan, a Division of Health Statistics Quarterly 1465-1645 3/2007 3/2007 3/2007 Magazine/Journal 365 Macmillan Publishers Ltd. United Kingdom Social sciences Healthcare Advertising Review 8756-4513 1/2007 11/2008 1/2007 11/2008 3/2007 11/2008 Newsletter HCPro, Inc. United States Health care industry Healthcare Benchmarks 1091-6768 1/1997 6/2002 1/1997 6/2002 1/2002 6/2002 Newsletter AHC Media LLC United States Health care industry HealthCare Benchmarks and Quality Improvement 1541-1052 7/2002 7/2002 7/2002 Newsletter AHC Media LLC United States Health care industry Healthcare Financial Management Healthcare Financial Management 0735-0732 6/1982 1/1996 1/1996 Magazine/Journal Y Association United States Health care industry Healthcare Imaging Update 1940-8684 4/2008 9/2008 4/2008 9/2008 Newsletter AHC Media LLC United States Health Healthcare Info Tech Business Report 1/1999 6/1999 1/1999 6/1999 Newsletter AHC Media LLC United States Health Healthcare Informatics 1050-9135 6/2007 6/2007 6/2007 Magazine/Journal Vendome Group LLC United States Computers Healthcare Purchasing News 0279-4799 6/1999 6/1999 9/1999 Magazine/Journal Healthcare Purchasing News Health care industry Healthcare Registration 1060-0434 7/2006 7/2006 7/2006 Magazine/Journal Aspen Publishers, Inc. United States Health care industry Healthcare Review 1084-130X 9/2000 Magazine/Journal Y Healthcare Review United States Health care industry Healthcare Risk Management 1081-6534 1/1996 1/1996 12/2001 3/2005 Newsletter AHC Media LLC United States Health care industry Healthcare Strategic Management 0742-1478 6/1998 12/2007 6/1998 12/2007 2/2000 12/2007 Newsletter HCPro, Inc. United States Health care industry Healthcare Traveler 1077-5676 11/2005 11/2005 11/2005 Magazine/Journal Advanstar Communications, Inc. United States Health care industry HealthFacts 0738-811X 1/1988 7/2009 1/1988 7/2009 7/1994 1/2007 Newsletter Center for Medical Consumers, Inc. United States Health Healthline 0736-7929 1/1988 4/2000 Magazine/Journal Healthline Publishing Inc. Health HealthTips 12/1987 6/1994 Newsletter California Medical Association United States Health Healthy Years 1551-4617 1/2006 1/2006 1/2006 Magazine/Journal Belvoir Media Group, LLC United States Health HRC Academic 23/62
  • 26.
    Journal Name ISSN Index Start Index End Full-text Full-text End Image Start Image End Format Refereed/Peer- Embargo Publisher Name Publisher Country Publication Primary Subject Start Reviewed (Days) Lippincott Williams & Wilkins, WK Hearing Journal 0745-7472 4/1999 Magazine/Journal Health United States Health care industry Hearing Products Report 1530-6003 1/2006 11/2008 1/2006 11/2008 1/2006 11/2008 Magazine/Journal Allied Media LLC United States Health Hearing Review 1074-5734 1/2006 1/2006 1/2006 Magazine/Journal Allied Media LLC United States Health Hearing Review Products 2/2009 2/2009 2/2009 Magazine/Journal Allied Media LLC United States Health Heart 1355-6037 1/2001 1/2001 4/2004 8/2001 11/2001 Magazine/Journal Y British Medical Association United States Health Heart Advisor 1523-9004 1/2006 1/2006 1/2006 Magazine/Journal Belvoir Media Group, LLC United States Health Heart and Lung 0147-9563 9/1989 Magazine/Journal Y Elsevier B.V. Netherlands Health Heart and Vessels 0910-8327 2/1985 Magazine/Journal Y Springer United States Health Heart Disease Weekly 1531-6408 1/2001 1/2001 3/2001 7/2001 Newsletter NewsRX United States Health Heart Valve Replacement 7/2008 7/2008 Video Detroit Medical Center United States Health Medknow Publications and Media Pvt. Heart Views 1995-705X 1/2010 1/2010 Magazine/Journal Y Ltd. India Health HeartCare 6/1990 8/1990 6/1990 8/1990 Newsletter HeartCorps, Inc. United States Health HeartCorps 0899-1952 1/1989 3/1990 1/1989 3/1990 Newsletter HeartCorps, Inc. United States Health Helicobacter 1083-4389 7/1997 Magazine/Journal Y Blackwell Publishers Ltd. United Kingdom Health Hematology Week 1543-673X 1/2003 1/2003 Newsletter NewsRX United States Health Hepatitis Weekly 1086-0223 6/1998 6/1998 Newsletter NewsRX United States Health Hepatology International 1936-0533 3/2007 Magazine/Journal Y Springer United States Health Hereditary Cancer in Clinical Practice 1897-4287 1/2003 1/2003 Magazine/Journal Y BioMed Central Ltd. United Kingdom Health Hernia 1265-4906 5/1997 Magazine/Journal Y Springer United States Health Herpes Viruses Weekly 6/1998 3/1999 6/1998 3/1999 Magazine/Journal NewsRX United States Health Herpesviridae 2042-4280 12/2010 12/2010 Magazine/Journal Y BioMed Central Ltd. United Kingdom Health High Altitude Medicine & Biology 1527-0297 12/2007 10/2011 12/2007 10/2011 12/2007 10/2011 Magazine/Journal Y Mary Ann Liebert, Inc. United States Biological sciences High Blood Pressure & Cardiovascular Prevention 1120-9879 1/2003 1/2003 7/2011 1/2003 7/2011 Magazine/Journal Wolters Kluwer Health United Kingdom Health Hippocrates 0892-2977 1/1988 11/1989 Magazine/Journal Time Inc., Health United States Health Hispanic Journal of Behavioral Sciences 0739-9863 2/1992 2/1997 11/1998 Magazine/Journal Y Sage Publications, Inc. United States Psychology and mental health Histochemistry and Cell Biology 0948-6143 7/2005 Magazine/Journal Y Springer United States Biological sciences Histopathology 0309-0167 6/1999 Magazine/Journal Y Blackwell Publishers Ltd. United Kingdom Health History of Science 0073-2753 3/1996 Magazine/Journal Y Science History Publications, Ltd. History HIV Medicine 1464-2662 1/2006 Magazine/Journal Y Blackwell Publishers Ltd. United Kingdom Health HIV Nursing 1474-7359 6/2007 6/2007 6/2007 Magazine/Journal Mediscript Ltd. United Kingdom Health HIV Therapy 1758-4310 5/2007 12/2010 5/2007 12/2010 1/2010 1/2010 Magazine/Journal Future Medicine Ltd. United Kingdom Health The Center for AIDS: Hope & Computers and office HIV Treatment: ALERTS! 1535-2048 2/2001 2/2001 2/2001 Newsletter Remembrance Project United States automation industries HIV/AIDS In Ethiopia: An Epidemiological Synthesis 4/2008 4/2008 Report The World Bank United States Health Holistic Medicine 0884-3988 7/1989 9/1991 Newsletter Y Taylor & Francis Ltd. United Kingdom Health Lippincott Williams & Wilkins, WK Holistic Nursing Practice 0887-9311 1/1996 Magazine/Journal Y Health United States Health Holistic Nursing Update 1528-7114 1/2000 8/2000 1/2000 8/2000 Newsletter AHC Media LLC United States Health care industry Home Health Business Report 1073-9572 1/1999 6/2000 1/1999 6/2000 Newsletter AHC Media LLC United States Health care industry Home Infusion Therapy Management 1082-8648 1/1997 4/2000 1/1997 4/2000 Newsletter AHC Media LLC United States Health care industry Homecare Q&A 3/2009 3/2009 3/2009 Magazine/Journal HCPro, Inc. United States Health Homecare Quality Management 1087-0407 1/1997 9/2001 1/1997 9/2001 Newsletter AHC Media LLC United States Health care industry Homeopathy 1475-4916 1/1998 Magazine/Journal Y Elsevier B.V. Netherlands Health The Hong Kong College of Hong Kong Journal of Psychiatry 1026-2121 3/2000 12/2009 3/2000 12/2009 3/2000 12/2009 Magazine/Journal Y Psychiatrists Ltd. Hong Kong Psychology and mental health Hormones and Cancer 1868-8497 2/2010 Magazine/Journal Y Springer United States Health Hospice Management Advisor 1087-0288 1/1997 1/1997 12/2001 4/2005 Newsletter AHC Media LLC United States Health care industry American College of Healthcare Hospital & Health Services Administration 8750-3735 6/1981 12/1997 3/1989 9/1997 3/1991 9/1997 Magazine/Journal Y Executives United States Health care industry Hospital Access Management 1079-0365 1/1997 1/1997 12/2001 3/2005 Newsletter AHC Media LLC United States Health care industry Hospital Case Management 1087-0652 1/1996 1/1996 12/2001 3/2005 Newsletter AHC Media LLC United States Health care industry Hospital Doctor 0262-3145 12/2003 7/2007 12/2003 7/2007 Magazine/Journal Reed Business Information Ltd. United Kingdom Health care industry Hospital Employee Health 0744-6470 1/1996 1/1996 9/2002 4/2004 Newsletter AHC Media LLC United States Health care industry Hospital Home Health 0884-8998 1/1996 9/2010 1/1996 9/2010 12/2001 3/2005 Newsletter AHC Media LLC United States Health care industry Hospital Infection Control 0098-180X 1/1996 12/2008 1/1996 12/2008 12/2001 3/2005 Newsletter AHC Media LLC United States Health Hospital Infection Control & Prevention 1945-9653 1/2009 1/2009 Newsletter AHC Media LLC United States Health Hospital Law Newsletter 0738-0984 10/2005 12/2005 10/2005 12/2005 10/2005 12/2005 Magazine/Journal Aspen Publishers, Inc. United States Health care industry Hospital Law's Regan Report 1528-8463 1/2000 1/2000 1/2000 Newsletter Medical Law Publishing United States Law Hospital Material Management Quarterly 0192-2262 2/1992 2/2001 Magazine/Journal Aspen Publishers, Inc. United States Health care industry Hospital Materials Management 0888-3068 5/1998 8/2009 5/1998 8/2009 2/2000 8/2009 Newsletter HCPro, Inc. United States Health care industry Hospital Medicine Alert 1931-9037 3/2006 3/2006 Newsletter AHC Media LLC United States Health care industry Hospital Payment & Information Management 1074-8334 11/2001 6/2003 11/2001 6/2003 12/2001 6/2003 Newsletter AHC Media LLC United States Health care industry Hospital Peer Review 0149-2632 1/1996 1/1996 12/2001 3/2005 Newsletter AHC Media LLC United States Health care industry HRC Academic 24/62
  • 27.
    Journal Name ISSN Index Start Index End Full-text Full-text End Image Start Image End Format Refereed/Peer- Embargo Publisher Name Publisher Country Publication Primary Subject Start Reviewed (Days) Pharmaceuticals and cosmetics Hospital Pharmacist Report 1052-3146 11/2000 12/2001 11/2000 12/2001 12/2000 12/2001 Magazine/Journal Thomson Healthcare, Inc. United States industries Hospital Practice 8750-2836 1/1992 9/2001 Magazine/Journal Y JTE Multimedia United States Health Hospital Recruiting Update 1542-9814 4/2003 11/2003 4/2003 11/2003 Newsletter AHC Media LLC United States Health care industry Hospital Topics 0018-5868 1/1997 1/1997 6/2009 1/1999 6/2009 Magazine/Journal Y Taylor & Francis Ltd. United Kingdom Health care industry Hospitals 0018-5973 2/1986 5/1993 2/1986 5/1993 1/1993 5/1993 Magazine/Journal Health Forum United States Health care industry Hospitals & Health Networks 1068-8838 6/1993 12/1998 6/1993 12/1998 6/1993 7/1998 Magazine/Journal Health Forum United States Health care industry Human Biology 0018-7143 2/1989 4/1993 6/1994 Magazine/Journal Y Wayne State University Press United States Biological sciences Human Cell 0914-7470 2/2006 Magazine/Journal Springer United States Biological sciences Human Development 0018-716X 1/1992 Magazine/Journal Y S. Karger AG Switzerland Psychology and mental health Human Ecology 1530-7069 1/2000 1/2000 1/2000 Magazine/Journal Y Cornell University, Human Ecology United States Social sciences Human Ecology Forum 0018-7178 1/1989 9/1999 1/1994 9/1999 1/1995 9/1999 Magazine/Journal Cornell University, Human Ecology United States Social sciences Human Gene Therapy 1043-0342 12/2007 10/2011 12/2007 10/2011 12/2007 10/2011 Magazine/Journal Y Mary Ann Liebert, Inc. United States Biological sciences Human Genetics 0340-6717 7/2005 Magazine/Journal Y Springer United States Biological sciences Human Genomics and Proteomics 1757-4242 1/2009 1/2009 1/2009 Magazine/Journal Y Hindawi Publishing Corp. Egypt Biological sciences Human Relations 0018-7267 1/1982 1/1997 10/1999 1/1997 6/1998 Magazine/Journal Y Sage Publications, Inc. United States Social sciences Human resources and labor Human Resource Management 0090-4848 3/1980 Magazine/Journal Y John Wiley & Sons, Inc. United Kingdom relations Human Resources for Health 1478-4491 1/2007 1/2007 Magazine/Journal Y BioMed Central Ltd. United Kingdom Health care industry Humane Health Care International 1205-8890 1/1996 9/1997 1/1996 9/1997 Magazine/Journal Y Humane Health Care International Canada Health Humane Medicine 0828-7090 3/1990 10/1994 Magazine/Journal Y Multimed, Inc. Canada Health Hybridoma 1554-0014 12/2007 10/2011 12/2007 10/2011 12/2007 10/2011 Magazine/Journal Y Mary Ann Liebert, Inc. United States Science and technology Hyperbaric Oxygen Therapy 7/2008 7/2008 Video Detroit Medical Center United States Health ICMR Bulletin 0377-4910 7/2007 7/2007 7/2007 Magazine/Journal Indian Council of Medical Research India Health IDEA Fitness Journal 1548-419X 6/2004 6/2004 6/2008 6/2004 6/2008 Magazine/Journal Y IDEA Health & Fitness United States Health IDEA Health & Fitness Source 1096-8156 6/1999 5/2004 6/1999 5/2004 1/2000 5/2004 Magazine/Journal Y IDEA Health & Fitness United States Health Medknow Publications and Media Pvt. IETE Journal of Education 0974-7338 1/2008 1/2008 Magazine/Journal Y Ltd. India Education Medknow Publications and Media Pvt. Human resources and labor IETE Technical Review 0256-4602 9/2008 9/2008 Magazine/Journal Y Ltd. India relations Image: Journal of Nursing Scholarship 0743-5150 3/1996 12/1999 3/1996 12/1999 12/1996 12/1999 Magazine/Journal Y Blackwell Publishers Ltd. United Kingdom Health Imaging Economics 3/2006 3/2006 3/2006 Magazine/Journal Allied Media LLC United States Health Imaging in Medicine 1755-5191 10/2009 10/2009 12/2009 Magazine/Journal Future Medicine Ltd. United Kingdom Health Immunogenetics 0093-7711 5/1999 Magazine/Journal Y Springer United States Biological sciences Immunological Reviews 0105-2896 2/1999 Magazine/Journal Y Blackwell Publishers Ltd. United Kingdom Health Immunology 0019-2805 3/2002 Magazine/Journal Y Blackwell Publishers Ltd. United Kingdom Health Immunology and Cell Biology 0818-9641 2/2006 Magazine/Journal Y Blackwell Publishers Ltd. United Kingdom Health Immunotherapy 1750-743X 1/2009 1/2009 Magazine/Journal Y 365 Future Medicine Ltd. United Kingdom Health Immunotherapy Weekly 1090-8625 7/2008 7/2008 Newsletter NewsRX United States Health Native American Women's Health Impact of AIDS in the Native American Community 6/1996 6/1996 6/1996 6/1996 Report Education Resource Center United States Health Implementation Science 1748-5908 12/2006 12/2006 Magazine/Journal Y BioMed Central Ltd. United Kingdom Health Impotence & Male Health Weekly Plus 6/1998 7/1999 6/1998 7/1999 Newsletter NewsRX United States Health care industry Improving Women's Health in Pakistan 5/1998 5/1998 Report The World Bank United States Women's issues/gender studies Improving Women's Health Services in the Russian Federation 4/1998 4/1998 Report The World Bank United States Women's issues/gender studies In Brief (Series) 8/1996 8/1996 12/1996 Magazine/Journal Guttmacher Institute United States Health In Health 1047-0549 1/1990 12/1991 Newsletter Time Inc., Health United States Food/cooking/nutrition Independent Living 1048-3772 1/1989 11/1994 1/1989 11/1994 Magazine/Journal Quadrant Healthcom, Inc. United States Social sciences Independent Living & Health Care Today 1040-6417 6/1988 9/1988 Magazine/Journal Quadrant Healthcom, Inc. United States Social sciences India - Third National HIV/AIDS Control Project: Procurement Plan For Year2008-2009 6/2008 6/2008 Report The World Bank United States Health Medknow Publications and Media Pvt. Indian Dermatology Online Journal 1/2010 1/2010 Magazine/Journal Y Ltd. India Health Medknow Publications and Media Pvt. Indian Journal of Anaesthesia 0019-5049 1/2007 1/2007 Magazine/Journal Y Ltd. India Health Medknow Publications and Media Pvt. Indian Journal of Cancer 0019-509X 7/2002 7/2002 7/2002 7/2004 Magazine/Journal Y Ltd. India Health Medknow Publications and Media Pvt. Indian Journal of Community Medicine 0970-0218 4/2007 4/2007 Magazine/Journal Y Ltd. India Health HRC Academic 25/62
  • 28.
    Journal Name ISSN Index Start Index End Full-text Full-text End Image Start Image End Format Refereed/Peer- Embargo Publisher Name Publisher Country Publication Primary Subject Start Reviewed (Days) Medknow Publications and Media Pvt. Indian Journal of Critical Care Medicine 0972-5229 1/2003 1/2003 1/2003 12/2003 Magazine/Journal Y Ltd. India Health Medknow Publications and Media Pvt. Indian Journal of Dermatology 0019-5154 10/2005 10/2005 Magazine/Journal Y Ltd. India Health Medknow Publications and Media Pvt. Indian Journal of Dermatology, Venereology and Leprology 0378-6323 5/2003 5/2003 5/2003 7/2004 Magazine/Journal Y Ltd. India Health Indian Journal of Hematology and Blood Transfusion 0971-4502 12/2007 Magazine/Journal Y Springer United States Health Medknow Publications and Media Pvt. Indian Journal of Human Genetics 0971-6866 1/2003 1/2003 1/2003 1/2004 Magazine/Journal Y Ltd. India Health Medknow Publications and Media Pvt. Indian Journal of Medical and Paediatric Oncology 0971-5851 1/2009 1/2009 Magazine/Journal Y Ltd. India Health Medknow Publications and Media Pvt. Indian Journal of Medical Microbiology 0255-0857 1/2005 1/2005 Magazine/Journal Ltd. India Health Medknow Publications and Media Pvt. Indian Journal of Medical Research 0971-5916 4/2007 4/2007 4/2007 Magazine/Journal Y Ltd. India Health Medknow Publications and Media Pvt. Indian Journal of Medical Sciences 0019-5359 7/2003 7/2003 7/2003 8/2004 Magazine/Journal Y Ltd. India Health Indian Journal of Microbiology 0046-8991 3/2007 Magazine/Journal Y Springer United States Biological sciences Medknow Publications and Media Pvt. Indian Journal of Nephrology 0971-4065 1/2007 1/2007 Magazine/Journal Y Ltd. India Health Medknow Publications and Media Pvt. Indian Journal of Nuclear Medicine 0972-3919 1/2010 1/2010 Magazine/Journal Y Ltd. India Health Medknow Publications and Media Pvt. Indian Journal of Occupational and Environmental Medicine 0973-2284 1/2005 1/2005 Magazine/Journal Y Ltd. India Health Medknow Publications and Media Pvt. Indian Journal of Ophthalmology 0301-4738 1/1983 1/1999 Magazine/Journal Y Ltd. India Health Indian Journal of Otolaryngology and Head and Neck Medknow Publications and Media Pvt. Surgery 0019-5421 1/2005 1/2006 1/2005 1/2006 Magazine/Journal Y Ltd. India Health Medknow Publications and Media Pvt. Indian Journal of Otology 0971-7749 1/2011 1/2011 Magazine/Journal Y Ltd. India Health Medknow Publications and Media Pvt. Indian Journal of Palliative Care 0973-1075 7/2004 7/2004 Magazine/Journal Y Ltd. India Health Medknow Publications and Media Pvt. Indian Journal of Pathology and Microbiology 0377-4929 1/2008 1/2008 Magazine/Journal Y Ltd. India Health Indian Journal of Pediatrics 0019-5456 8/2001 Magazine/Journal Springer United States Health Medknow Publications and Media Pvt. Pharmaceuticals and cosmetics Indian Journal of Pharmaceutical Sciences 0250-474X 1/2006 1/2006 Magazine/Journal Y Ltd. India industries Medknow Publications and Media Pvt. Indian Journal of Pharmacology 0253-7613 10/2004 10/2004 Magazine/Journal Y Ltd. India Health Medknow Publications and Media Pvt. Indian Journal of Plastic Surgery 0970-0358 1/2003 1/2003 1/2003 1/2004 Magazine/Journal Y Ltd. India Health Medknow Publications and Media Pvt. Indian Journal of Psychiatry 0019-5545 1/2006 1/2006 Magazine/Journal Y Ltd. India Psychology and mental health Medknow Publications and Media Pvt. Indian Journal of Psychological Medicine 0253-7176 1/2008 1/2008 Magazine/Journal Ltd. India Psychology and mental health Medknow Publications and Media Pvt. Indian Journal of Public Health 0019-557X 1/2010 1/2010 Magazine/Journal Y Ltd. India Health Medknow Publications and Media Pvt. Indian Journal of Radiology and Imaging 0970-2016 1/2004 1/2004 Magazine/Journal Y Ltd. India Health Medknow Publications and Media Pvt. Indian Journal of Sexually Transmitted Diseases 0253-7184 1/2007 7/2007 1/2007 7/2007 Magazine/Journal Y Ltd. India Health Medknow Publications and Media Pvt. Indian Journal of Sexually Transmitted Diseases and AIDS 1998-3816 1/2008 1/2008 Magazine/Journal Y Ltd. India Health Medknow Publications and Media Pvt. Indian Journal of Surgery 0019-5650 1/2003 2/2012 1/2003 5/2007 1/2003 7/2004 Magazine/Journal Y Ltd. India Health Indian Journal of Thoracic and Cardiovascular Surgery 0970-9134 6/2000 Magazine/Journal Y Springer United States Health Medknow Publications and Media Pvt. Indian Journal of Urology 0970-1591 1/2005 1/2005 Magazine/Journal Y Ltd. India Health Indonesia - HIV/AIDS and Stds Prevention and Management Project 6/2005 6/2005 Report The World Bank United States Health Indoor Air 0905-6947 2/2006 Magazine/Journal Y Blackwell Publishers Ltd. United Kingdom Health Industrial Biotechnology 1550-9087 12/2007 10/2011 12/2007 10/2011 12/2007 10/2011 Magazine/Journal Y Mary Ann Liebert, Inc. United States Biotechnology industry Medknow Publications and Media Pvt. Industrial Psychiatry 0972-6748 1/2008 1/2008 Magazine/Journal Y Ltd. India Health Lippincott Williams & Wilkins, WK Infants & Young Children 0896-3746 1/2002 Magazine/Journal Y Health United States Health care industry HRC Academic 26/62
  • 29.
    Journal Name ISSN Index Start Index End Full-text Full-text End Image Start Image End Format Refereed/Peer- Embargo Publisher Name Publisher Country Publication Primary Subject Start Reviewed (Days) Infection 0300-8126 11/1998 Magazine/Journal Y Springer United States Health Infection Control for Physician Practices 1936-1874 7/2007 10/2007 7/2007 10/2007 Newsletter AHC Media LLC United States Health care industry Infections in Medicine 0749-6524 3/2005 3/2005 Magazine/Journal CMP Medica, LLC United States Health Infectious Agents and Cancer 1750-9378 1/2007 1/2007 Magazine/Journal Y BioMed Central Ltd. United Kingdom Health Infectious Disease Alert 0739-7348 1/1997 1/1997 10/1999 3/2005 Magazine/Journal AHC Media LLC United States Health Infectious Diseases in Obstetrics and Gynecology 1064-7449 1/2005 1/2005 1/2005 Magazine/Journal Y Hindawi Publishing Corp. Egypt Women's issues/gender studies Inflammation 0360-3997 2/1997 Magazine/Journal Y Springer United States Health Pharmaceuticals and cosmetics Inflammopharmacology 0925-4692 6/1997 Magazine/Journal Y Springer United States industries Info Nursing 0846-524X 3/2007 3/2007 3/2007 Magazine/Journal Nurses Association of New Brunswick Canada Health Information Highways 1195-3616 2/1996 1/2005 Magazine/Journal Information Highways Canada High technology industry Information Outlook 1091-0808 1/1997 1/1997 1/1997 Magazine/Journal Special Libraries Association United States Library and information science Information Technology and Libraries 0730-9295 3/1983 6/1985 Magazine/Journal Y 14 American Library Association United States Library and information science Information Today 8755-6286 6/1988 6/1988 11/1999 Magazine/Journal Information Today, Inc. United States Library and information science Information World Review 0950-9879 3/2005 11/2010 3/2005 11/2010 Magazine/Journal Incisive Financial Publishing Ltd. United Kingdom Telecommunications industry Injury Prevention 1353-8047 3/2001 3/2001 2/2004 Magazine/Journal Y British Medical Association United States Health Innovation: Management, Policy, & Practice 1447-9338 2/2005 2/2005 12/2006 Magazine/Journal Y eContent Management Pty Ltd. Australia Business Inorganic Materials: Applied Research 2075-1133 1/2010 Magazine/Journal Springer United States Chemistry Inquiry 0046-9580 12/1981 6/2009 Magazine/Journal Y Excellus Health Plan, Inc. United States Health care industry Inroads: A Journal of Opinion 1188-746X 1/1996 1/1996 1/2002 Magazine/Journal Inroads, Inc. Canada Social sciences Insect Molecular Biology 0962-1075 8/1992 Magazine/Journal Y Blackwell Publishers Ltd. United Kingdom Biological sciences Inside Case Management 1073-6514 5/2002 12/2003 5/2002 12/2003 5/2002 12/2003 Newsletter Aspen Publishers, Inc. United States Health care industry Inside MS 0739-9774 1/1988 8/2007 3/1988 8/2007 3/2000 6/2007 Magazine/Journal National Multiple Sclerosis Society United States Health Insight - the Journal of the American Society of Ophthalmic Registered Nurses 1060-135X 6/1995 Magazine/Journal Y Elsevier B.V. Netherlands Health care industry Integrative Cancer Therapies 1534-7354 3/2005 3/2005 9/2008 3/2005 9/2007 Magazine/Journal Sage Publications, Inc. United States Health Integrative Physiological and Behavioral Science 1053-881X 1/2000 10/2005 1/2000 10/2000 4/2000 10/2000 Magazine/Journal Y Transaction Publishers, Inc. United States Biological sciences Integrative Psychological and Behavioral Science 1932-4502 1/2000 Magazine/Journal Y Springer United States Psychology and mental health Intelligence 0160-2896 1/1992 5/1997 1/2002 12/1998 1/2002 Magazine/Journal Y Elsevier Science Publishers Psychology and mental health Intensive and Critical Care Nursing 0964-3397 2/2005 2/2005 4/2006 2/2005 4/2006 Magazine/Journal Elsevier B.V. Netherlands Health care industry Intensive Care Medicine 0342-4642 1/1997 Magazine/Journal Y Springer United States Health care industry American Assembly for Men in InterAction 1066-1441 7/2006 7/2006 7/2006 Newsletter Nursing United States Health Internal and Emergency Medicine 1828-0447 3/2007 Magazine/Journal Y Springer United States Health Internal Medicine 1056-9286 9/1999 5/2000 9/1999 5/2000 2/2000 5/2000 Magazine/Journal AHC Media LLC United States Health Internal Medicine Alert 0195-315X 1/1997 1/1997 4/1999 2/2005 Magazine/Journal AHC Media LLC United States Health Internal Medicine Journal 1444-0903 1/2006 Magazine/Journal Y Blackwell Publishers Ltd. United Kingdom Health Internal Medicine News 1097-8690 7/2001 7/2001 Magazine/Journal International Medical News Group United States Health care industry International Archives of Medicine 1755-7682 4/2008 4/2008 Magazine/Journal Y BioMed Central Ltd. United Kingdom Health care industry International Archives of Occupational and Environmental Health 0340-0131 9/2005 Magazine/Journal Y Springer United States Health International Breastfeeding Journal 1746-4358 1/2007 1/2007 Magazine/Journal Y BioMed Central Ltd. United Kingdom Health American Alliance for Health, Physical Education, Recreation and Dance International Electronic Journal of Health Education 1529-1944 1/2007 1/2007 1/2007 Magazine/Journal Y (AAHPERD) United States Education International Family Planning Perspectives 0190-3187 9/2001 12/2008 9/2001 12/2008 9/2001 12/2008 Magazine/Journal Y Guttmacher Institute United States Family and marriage International Journal for Equity in Health 1475-9276 12/2006 12/2006 Magazine/Journal Y BioMed Central Ltd. United Kingdom Health International Journal of Aging & Human Development 0091-4150 7/1989 Magazine/Journal Y Baywood Publishing Company, Inc. United States Health International Journal of Alzheimer's Disease 2090-0252 6/1981 1/2009 1/2009 Magazine/Journal Y Hindawi Publishing Corp. Egypt Health International Journal of Andrology 0105-6263 2/2006 Magazine/Journal Y Blackwell Publishers Ltd. United Kingdom Health International Journal of Aromatherapy 0962-4562 3/2004 8/2006 Magazine/Journal Y Elsevier Limited - Health Sciences United Kingdom Health Medknow Publications and Media Pvt. International Journal of Ayurveda Research 0974-7788 1/2010 1/2010 Magazine/Journal Y Ltd. India Health International Journal of Behavioral Consultation and Therapy 1555-7855 3/2005 3/2005 3/2005 Magazine/Journal Y Behavior Analyst Online United States Psychology and mental health World Academy of Science, International Journal of Biological and Medical Sciences 1307-7457 1/2008 1/2008 Magazine/Journal Y Engineering & Technology (WASET) United Arab Emirates Biological sciences HRC Academic 27/62
  • 30.
    Journal Name ISSN Index Start Index End Full-text Full-text End Image Start Image End Format Refereed/Peer- Embargo Publisher Name Publisher Country Publication Primary Subject Start Reviewed (Days) World Academy of Science, International Journal of Biomedical Sciences 1306-1216 1/2006 3/2008 1/2006 3/2008 6/2006 3/2008 Magazine/Journal Y Engineering & Technology (WASET) United Arab Emirates International Childbirth Education International Journal of Childbirth Education 0887-8625 3/2010 3/2010 3/2010 Magazine/Journal Y Association United States Family and marriage International Journal of Clinical Medicine 2158-284X 2/2011 Magazine/Journal Y Scientific Research Publishing, Inc. United States Health International Journal of Clinical Oncology 1341-9625 5/1996 Magazine/Journal Y Springer United States Health International Journal of Clinical Practice 1368-5031 1/2005 Magazine/Journal Y Blackwell Publishers Ltd. United Kingdom Health International Journal of Clinical Rheumatology 1758-4272 2/2009 2/2009 11/2009 Magazine/Journal Y Future Medicine Ltd. United Kingdom Health International Journal of Collaborative Research on Internal Medicine & PublicHealth (IJCRIMPH) 1840-4529 3/2009 3/2009 3/2009 Magazine/Journal Y DRUNPP Malaysia Health International Journal of Colorectal Disease 0179-1958 9/2006 Magazine/Journal Y Springer United States Health Medknow Publications and Media Pvt. International Journal of Critical Illness and Injury Science 1/2011 1/2011 Magazine/Journal Y Ltd. India Health International Journal of Dental Hygiene 1601-5029 2/2006 Magazine/Journal Y Blackwell Publishers Ltd. United Kingdom Health International Journal of Dermatology 0011-9059 8/1998 Magazine/Journal Y Blackwell Publishers Ltd. United Kingdom Health International Journal of Diabetes in Developing Countries 0973-3930 1/2006 10/2010 Magazine/Journal Springer United States Health International Journal of Drug Policy 0955-3959 6/2005 Magazine/Journal Y Elsevier B.V. Netherlands Health International Journal of Eating Disorders 0276-3478 1/1994 Magazine/Journal Y John Wiley & Sons, Inc. United Kingdom Psychology and mental health International Journal of Emergency Medicine 1865-1372 4/2008 Magazine/Journal Springer United States Health International Journal of Environment and Health 1743-4955 1/2007 Magazine/Journal Y Inderscience Publishers Ltd. Switzerland Environmental issues International Journal of Essential Oil Therapies 1961-4209 7/2009 Magazine/Journal Y Elsevier Limited - Health Sciences United Kingdom Health International Journal of Evidence-Based Healthcare 1744-1595 3/2006 Magazine/Journal Y Blackwell Publishers Ltd. United Kingdom Health care industry International Journal of Evolutionary Biology 2090-052X 1/2009 1/2009 1/2009 Magazine/Journal Y Hindawi Publishing Corp. Egypt Biological sciences International Journal of Experimental Pathology 0959-9673 2/2006 Magazine/Journal Y Blackwell Publishers Ltd. United Kingdom Health International Journal of Food Sciences and Nutrition 0963-7486 6/1992 9/1997 5/2000 9/1999 5/2000 Magazine/Journal Y Taylor & Francis Ltd. United Kingdom Food/cooking/nutrition International Journal of Gastrointestinal Cancer 1537-3649 10/2001 Magazine/Journal Y Springer United States Health Medknow Publications and Media Pvt. International Journal of Green Pharmacy 0973-8258 1/2008 1/2008 Magazine/Journal Y Ltd. India Health International Journal of Gynecological Cancer 1048-891X 1/2002 Magazine/Journal Y Blackwell Publishers Ltd. United Kingdom Health International Journal of Health Care Finance and Economics 1389-6563 3/2001 Magazine/Journal Springer United States Health care industry International Journal of Health Geographics 1476-072X 12/2006 12/2006 Magazine/Journal Y BioMed Central Ltd. United Kingdom Health Institute of Health Promotion and International Journal of Health Promotion and Education 1463-5240 10/2006 10/2006 10/2006 Magazine/Journal Y Education United Kingdom Education International Journal of Health Science 1791-4299 1/2008 1/2009 1/2009 Magazine/Journal Y Renaissance Medical Publishing Greece Health International Journal of Healthcare Information Systems and Informatics 1555-3396 1/2006 1/2006 1/2006 Magazine/Journal Y IGI Global United States Computers International Journal of Hypertension 2090-0392 1/2010 1/2010 1/2010 Magazine/Journal Y Hindawi Publishing Corp. Egypt Health International Journal of Immunogenetics 1744-3121 2/2006 Magazine/Journal Y Blackwell Publishers Ltd. United Kingdom Biological sciences International Journal of Impotence Research 0955-9930 2/2003 2/2003 3/2007 Magazine/Journal Y 365 Nature Publishing Group United Kingdom Health International Journal of Inflammation 2042-0099 1/2010 1/2010 1/2010 Magazine/Journal Y Hindawi Publishing Corp. Egypt Health International Journal of Laboratory Hematology 1751-5521 2/2008 Magazine/Journal Y Blackwell Publishers Ltd. United Kingdom Health International Journal of Lower Extremity Wounds 1534-7346 3/2005 3/2005 9/2008 3/2005 9/2007 Magazine/Journal Y Sage Publications, Inc. United States Health International Journal of Men's Health 1532-6306 1/2003 1/2003 1/2003 Magazine/Journal Y Men's Studies Press United States Health International Journal of Mental Health 0020-7411 3/1999 Magazine/Journal Y M.E. Sharpe, Inc. United States Psychology and mental health International Journal of Mental Health Nursing 1445-8330 3/2006 Magazine/Journal Y Blackwell Publishers Ltd. United Kingdom Health International Journal of Mental Health Systems 1752-4458 8/2007 8/2007 Magazine/Journal Y BioMed Central Ltd. United Kingdom Health Universidad de La Frontera, Facultad International Journal of Morphology 0717-9367 3/2003 3/2003 3/2003 Magazine/Journal Y de Medicina Chile Biological sciences International Journal of Multiple Research Approaches 1834-0806 10/2007 10/2007 10/2007 Magazine/Journal Y eContent Management Pty Ltd. Australia Business, international International Journal of Nursing Practice 1322-7114 2/2006 Magazine/Journal Y Blackwell Publishers Ltd. United Kingdom Health care industry International Journal of Nursing Studies 0020-7489 1/2005 1/2005 1/2007 1/2005 1/2007 Magazine/Journal Y Elsevier B.V. Netherlands Health care industry International Journal of Nursing Terminologies and Classifications 1541-5147 10/2002 10/2002 10/2004 10/2002 10/2004 Magazine/Journal Y Blackwell Publishers Ltd. United Kingdom Health International Journal of Obesity 0307-0565 1/2003 1/2003 5/2007 Magazine/Journal Y 365 Nature Publishing Group United Kingdom Health International Journal of Older People Nursing 1748-3735 3/2006 Magazine/Journal Blackwell Publishers Ltd. United Kingdom Health care industry International Journal of Osteopathic Medicine 1746-0689 3/2005 Magazine/Journal Y Elsevier B.V. Netherlands Health care industry International Journal of Paediatric Dentistry 0960-7439 9/2003 Magazine/Journal Y Blackwell Publishers Ltd. United Kingdom Health International Journal of Pediatric Endocrinology 1687-9848 1/2008 1/2008 Magazine/Journal Y BioMed Central Ltd. United Kingdom Health Medknow Publications and Media Pvt. International Journal of Pharmaceutical Investigation 2230-973X 1/2011 1/2011 Magazine/Journal Y Ltd. India Health HRC Academic 28/62
  • 31.
    Journal Name ISSN Index Start Index End Full-text Full-text End Image Start Image End Format Refereed/Peer- Embargo Publisher Name Publisher Country Publication Primary Subject Start Reviewed (Days) International Journal of Photoenergy 1110-662X 1/2005 1/2005 1/2005 Magazine/Journal Y Hindawi Publishing Corp. Egypt Chemistry International Journal of Public Health 1661-8556 2/2007 Magazine/Journal Y Springer United States Health International Journal of Social Psychiatry 0020-7640 3/1989 Magazine/Journal Y The Avenue Publishing Company United Kingdom Sociology and social work International Journal of Sport Nutrition 1050-1606 3/1998 9/2000 Magazine/Journal Y Human Kinetics Publishers, Inc. United States Food/cooking/nutrition International Journal of Sport Nutrition and Exercise Metabolism 1050-1606 12/2000 Magazine/Journal Y Human Kinetics Publishers, Inc. United States Food/cooking/nutrition International Journal of Surgical Pathology 1066-8969 1/2001 Magazine/Journal Y Westminster Publications Inc. United States Health International Journal of Trauma Nursing 1075-4210 4/1995 10/1996 Magazine/Journal Y Elsevier B.V. Netherlands Medknow Publications and Media Pvt. International Journal of Trichology 0974-7753 1/2009 1/2009 Magazine/Journal Y Ltd. India Health International Journal of Urology 0919-8172 1/1999 Magazine/Journal Y Blackwell Publishers Ltd. United Kingdom Health International Journal of Vascular Medicine 2090-2824 1/2010 1/2010 1/2010 Magazine/Journal Y Hindawi Publishing Corp. Egypt Health Medknow Publications and Media Pvt. International Journal of Yoga 0973-6131 1/2008 1/2008 Magazine/Journal Y Ltd. India Health International Confederation of International Midwifery 1560-3296 11/2002 6/2009 11/2002 6/2009 11/2002 6/2009 Magazine/Journal Midwives Netherlands News, opinion and commentary International Nursing Review 0020-8132 3/2006 Magazine/Journal Y Blackwell Publishers Ltd. United Kingdom Health care industry International Perspectives on Sexual and Reproductive Health 1944-0391 3/2009 3/2009 3/2009 Magazine/Journal Y Guttmacher Institute United States Family and marriage International Seminars in Surgical Oncology 1477-7800 1/2007 2/2010 1/2007 2/2010 Magazine/Journal Y BioMed Central Ltd. United Kingdom Health International Social Work 0020-8728 1/1994 Magazine/Journal Y Sage Publications, Inc. United States Sociology and social work International Wound Journal 1742-4801 12/2006 Magazine/Journal Y Blackwell Publishers Ltd. United Kingdom Health Internet Journal of Academic Physician Assistants 1092-4078 7/2005 7/2005 Magazine/Journal Y Internet Scientific Publications LLC United States Health Internet Journal of Advanced Nursing Practice 1523-6064 1/2005 1/2005 Magazine/Journal Y Internet Scientific Publications LLC United States Health Internet Journal of Alternative Medicine 1540-2584 1/2005 1/2005 Magazine/Journal Y Internet Scientific Publications LLC United States Health Internet Journal of Anesthesiology 1092-406X 4/2005 4/2005 Magazine/Journal Y Internet Scientific Publications LLC United States Health Internet Journal of Asthma, Allergy and Immunology 1532-0642 1/2005 1/2005 Magazine/Journal Y Internet Scientific Publications LLC United States Health Internet Journal of Bioengineering 1937-8246 1/2005 1/2005 Magazine/Journal Internet Scientific Publications LLC United States Health Internet Journal of Cardiology 1528-834X 7/2005 7/2005 Magazine/Journal Y Internet Scientific Publications LLC United States Health Internet Journal of Cardiovascular Research 1540-2592 7/2005 7/2005 Magazine/Journal Y Internet Scientific Publications LLC United States Health Internet Journal of Dental Science 1937-8238 7/2005 7/2005 Magazine/Journal Internet Scientific Publications LLC United States Health Internet Journal of Dermatology 1531-3018 1/2005 1/2005 Magazine/Journal Y Internet Scientific Publications LLC United States Health Internet Journal of Emergency and Intensive Care Medicine 1092-4051 7/2005 7/2005 Magazine/Journal Y Internet Scientific Publications LLC United States Health Internet Journal of Emergency Medicine 1935-9551 7/2005 7/2005 Magazine/Journal Y Internet Scientific Publications LLC United States Health Internet Journal of Endocrinology 1540-2606 7/2005 7/2005 Magazine/Journal Y Internet Scientific Publications LLC United States Health Internet Journal of Epidemiology 1540-2614 1/2005 1/2005 Magazine/Journal Y Internet Scientific Publications LLC United States Health Internet Journal of Family Practice 1528-8358 7/2005 7/2005 Magazine/Journal Y Internet Scientific Publications LLC United States Health Internet Journal of Forensic Science 1540-2622 1/2005 1/2005 Magazine/Journal Y Internet Scientific Publications LLC United States Health Internet Journal of Gastroenterology 1528-8323 1/2005 1/2005 Magazine/Journal Y Internet Scientific Publications LLC United States Health Internet Journal of Genomics and Proteomics 1540-2630 1/2005 1/2005 Magazine/Journal Y Internet Scientific Publications LLC United States Health Internet Journal of Geriatrics and Gerontology 1937-8211 1/2005 1/2005 Magazine/Journal Internet Scientific Publications LLC United States Health Internet Journal of Gynecology and Obstetrics 1528-8439 7/2005 7/2005 Magazine/Journal Y Internet Scientific Publications LLC United States Health Internet Journal of Health 1528-8315 7/2005 7/2005 Magazine/Journal Y Internet Scientific Publications LLC United States Health Internet Journal of Healthcare Administration 1531-2933 1/2005 1/2005 Magazine/Journal Y Internet Scientific Publications LLC United States Health HRC Academic 29/62
  • 32.
    Journal Name ISSN Index Start Index End Full-text Full-text End Image Start Image End Format Refereed/Peer- Embargo Publisher Name Publisher Country Publication Primary Subject Start Reviewed (Days) Internet Journal of Hematology 1540-2649 1/2005 1/2005 Magazine/Journal Y Internet Scientific Publications LLC United States Health Internet Journal of Infectious Diseases 1528-8366 1/2005 1/2005 Magazine/Journal Y Internet Scientific Publications LLC United States Health Internet Journal of Internal Medicine 1528-8382 1/2005 1/2005 Magazine/Journal Y Internet Scientific Publications LLC United States Health Internet Journal of Laboratory Medicine 1937-8181 1/2005 1/2005 Magazine/Journal Internet Scientific Publications LLC United States Health Internet Journal of Law, Healthcare and Ethics 1528-8250 1/2005 1/2005 Magazine/Journal Y Internet Scientific Publications LLC United States Health Internet Journal of Medical Informatics 1937-8300 7/2005 7/2005 Magazine/Journal Internet Scientific Publications LLC United States Health Internet Journal of Medical Simulation 1559-4734 1/2005 1/2005 Magazine/Journal Y Internet Scientific Publications LLC United States Health Internet Journal of Medical Simulation and Technology 1540-2657 1/2005 8/2006 1/2005 8/2006 Magazine/Journal Y Internet Scientific Publications LLC United States Health Internet Journal of Medical Technology 1559-4610 7/2005 7/2005 Magazine/Journal Y Internet Scientific Publications LLC United States Health Internet Journal of Medical Update 1694-0423 1/2006 1/2006 1/2006 Magazine/Journal Y Dr. Arun Kumar Agnihotri Mauritius Health Internet Journal of Mental Health 1531-2941 7/2005 7/2005 Magazine/Journal Y Internet Scientific Publications LLC United States Health Internet Journal of Microbiology 1937-8289 1/2005 1/2005 Magazine/Journal Y Internet Scientific Publications LLC United States Health Internet Journal of Nanotechnology 1937-8262 1/2005 1/2005 Magazine/Journal Y Internet Scientific Publications LLC United States Health Internet Journal of Nephrology 1540-2665 7/2005 7/2005 Magazine/Journal Y Internet Scientific Publications LLC United States Health Internet Journal of Neurology 1531-295X 1/2005 1/2005 Magazine/Journal Y Internet Scientific Publications LLC United States Health Internet Journal of Neuromonitoring 1531-300X 1/2005 1/2005 Magazine/Journal Y Internet Scientific Publications LLC United States Health Internet Journal of Neurosurgery 1528-8285 1/2006 1/2006 Magazine/Journal Y Internet Scientific Publications LLC United States Health Internet Journal of Nuclear Medicine 1539-4638 7/2005 7/2005 Magazine/Journal Y Internet Scientific Publications LLC United States Health Internet Journal of Nutrition and Wellness 1937-8297 7/2005 7/2005 Magazine/Journal Internet Scientific Publications LLC United States Health Internet Journal of Oncology 1528-8331 7/2005 7/2005 7/2006 Magazine/Journal Y Internet Scientific Publications LLC United States Health Internet Journal of Ophthalmology and Visual Science 1528-8269 7/2005 7/2005 Magazine/Journal Y Internet Scientific Publications LLC United States Health Internet Journal of Orthopedic Surgery 1531-2968 1/2005 1/2005 1/2006 Magazine/Journal Y Internet Scientific Publications LLC United States Health Internet Journal of Otorhinolaryngology 1528-8420 1/2005 1/2005 Magazine/Journal Y Internet Scientific Publications LLC United States Health Internet Journal of Pain, Symptom Control and Palliative Care 1528-8277 1/2005 1/2005 Magazine/Journal Internet Scientific Publications LLC United States Health Internet Journal of Parasitic Diseases 1559-4629 1/2005 1/2005 Magazine/Journal Y Internet Scientific Publications LLC United States Health Internet Journal of Pathology 1528-8307 1/2005 1/2005 Magazine/Journal Y Internet Scientific Publications LLC United States Health Internet Journal of Pediatrics and Neonatology 1528-8374 1/2005 1/2005 Magazine/Journal Y Internet Scientific Publications LLC United States Health Internet Journal of Perfusionists 1531-3026 1/2005 3/2007 1/2005 3/2007 Magazine/Journal Y Internet Scientific Publications LLC United States Health Internet Journal of Pharmacology 1531-2976 7/2005 7/2005 Magazine/Journal Y Internet Scientific Publications LLC United States Health Internet Journal of Plastic Surgery 1528-8293 1/2005 1/2005 Magazine/Journal Y Internet Scientific Publications LLC United States Health Internet Journal of Pulmonary Medicine 1531-2984 1/2005 1/2005 Magazine/Journal Y Internet Scientific Publications LLC United States Health Internet Journal of Radiology 1528-8404 7/2005 7/2005 Magazine/Journal Y Internet Scientific Publications LLC United States Health Internet Journal of Rescue and Disaster Medicine 1531-2992 1/2005 1/2005 Magazine/Journal Y Internet Scientific Publications LLC United States Health Internet Journal of Rheumatology 1528-8412 1/2005 1/2005 Magazine/Journal Y Internet Scientific Publications LLC United States Health HRC Academic 30/62
  • 33.
    Journal Name ISSN Index Start Index End Full-text Full-text End Image Start Image End Format Refereed/Peer- Embargo Publisher Name Publisher Country Publication Primary Subject Start Reviewed (Days) Internet Journal of Spine Surgery 1937-8270 7/2005 7/2005 Magazine/Journal Internet Scientific Publications LLC United States Health Internet Journal of Surgery 1528-8242 1/2005 1/2005 Magazine/Journal Y Internet Scientific Publications LLC United States Health Internet Journal of Third World Medicine 1539-4646 7/2005 7/2005 Magazine/Journal Y Internet Scientific Publications LLC United States Health Internet Journal of Thoracic and Cardiovascular Surgery 1524-0274 7/2005 7/2005 Magazine/Journal Y Internet Scientific Publications LLC United States Health Internet Journal of Toxicology 1559-3916 1/2005 1/2005 Magazine/Journal Y Internet Scientific Publications LLC United States Health Internet Journal of Tropical Medicine 1540-2681 1/2005 1/2005 Magazine/Journal Y Internet Scientific Publications LLC United States Health Internet Journal of Urology 1528-8390 1/2005 1/2005 Magazine/Journal Y Internet Scientific Publications LLC United States Health Internet Journal of Veterinary Medicine 1937-8165 8/2006 8/2006 Magazine/Journal Internet Scientific Publications LLC United States Health Internet Journal of World Health and Societal Politics 1540-269X 1/2005 1/2005 Magazine/Journal Y Internet Scientific Publications LLC United States Health Interventional Cardiology 1755-5302 10/2009 10/2009 2/2010 Magazine/Journal Future Medicine Ltd. United Kingdom Health Into a New World-Young Women's Sexual and Reproductive Lives 1/1998 1/1998 1/1998 1/1998 1/1998 1/1998 Newsletter Guttmacher Institute United States Family and marriage Universidad de Antioquia, Facultad de Investigaci≤n y Educaci≤n en Enfermeria 0120-5307 3/2005 3/2005 3/2005 Magazine/Journal Enfermeria Colombia Health Investigative Genetics 2041-2223 9/2010 9/2010 Magazine/Journal Y BioMed Central Ltd. United Kingdom Health Iowa Nurse Reporter 3/2007 3/2007 3/2007 Magazine/Journal Iowa Nurses Association United States Health care industry IRB Advisor 1535-2064 4/2001 4/2001 Magazine/Journal AHC Media LLC United States Health IRB: Ethics & Human Research 0193-7758 5/2007 9/2011 5/2007 9/2011 Magazine/Journal Y Hastings Center United States Health Irish Journal of Medical Sciences 0021-1265 3/2007 Magazine/Journal Y Springer United States Health ISNA Bulletin 11/2006 11/2006 Newsletter Indiana State Nurses Association United States Health care industry International Scholarly Research ISRN Dentistry 2090-4371 1/2011 Magazine/Journal Y Network Egypt Health International Scholarly Research ISRN Obstetrics and Gynecology 2090-4436 1/2011 Magazine/Journal Y Network Egypt Health National Legal Center for the Issues in Law & Medicine 8756-8160 7/1985 3/1989 9/1998 Magazine/Journal Y Medically Dependent & Disabled, Inc. Law Istanbul Medical Journal 1304-8503 10/2011 10/2011 10/2011 Magazine/Journal Y KARE Publishing Turkey Health Italian Journal of Neurological Sciences 0392-0461 2/1981 12/1999 Magazine/Journal Y Springer United States Science and technology Italian Journal of Pediatrics 1720-8482 11/2008 11/2008 Magazine/Journal Y BioMed Central Ltd. United Kingdom Health IVUS Vascular Imaging 7/2008 7/2008 Video Detroit Medical Center United States Health JAAPA-Journal of the American Academy of Physicians Assistants 1547-1896 10/1999 10/1999 11/1999 Magazine/Journal Y Haymarket Media, Inc. United States Health care industry JAMA, The Journal of the American Medical Association 0098-7484 1/1987 Magazine/Journal Y American Medical Association United States Health Jamaica - Second HIV/AIDS Project 4/2008 4/2008 Report The World Bank United States Health JAOA: Journal of the American Osteopathic Association 0098-6151 6/1989 11/1991 Magazine/Journal Y American Osteopathic Association Health Japan Journal of Nursing Science 1742-7932 6/2006 Magazine/Journal Blackwell Publishers Ltd. United Kingdom Health care industry Japanese Journal of Human Genetics 0021-5074 3/1980 12/1996 Magazine/Journal Y Springer United States Health JARO - Journal of the Association for Research in Otolaryngology 1525-3961 9/2005 Magazine/Journal Y Springer United States Health JBIC Journal of Biological Inorganic Chemistry 0949-8257 8/2005 Magazine/Journal Y Springer United States Biological sciences JDDG 1610-0379 1/2006 Magazine/Journal Y Blackwell Publishers Ltd. United Kingdom Health Pharmaceuticals and cosmetics JobWatch 1528-6002 9/2001 2/2008 9/2001 2/2008 10/2001 2/2008 Magazine/Journal Thomson Healthcare, Inc. United States industries Joe Weider's Muscle & Fitness 0744-5105 1/1988 11/2001 Magazine/Journal Weider Publications LLC United States Health JOM 1047-4838 1/1998 Magazine/Journal Y Springer United States Science and technology Journal Africain d'Hepato-Gastroenterologie 1954-3204 9/2010 Magazine/Journal Springer United States Health Journal for Nurse Practitioners 1555-4155 9/2005 Magazine/Journal Y Elsevier B.V. Netherlands Health care industry Journal for Specialists in Pediatric Nursing 1539-0136 4/2002 4/2002 10/2004 4/2002 10/2004 Magazine/Journal Y Blackwell Publishers Ltd. United Kingdom Health Journal of Abnormal Child Psychology 0091-0627 4/1989 Magazine/Journal Y Springer United States Psychology and mental health American Psychological Association, Journal of Abnormal Psychology 0021-843X 2/1987 Magazine/Journal Y Inc. United States Psychology and mental health Journal of Academic Emergency Medicine 1305-760X 9/2010 9/2010 9/2010 Magazine/Journal Y Aves Yayincilik Turkey Health Lippincott Williams & Wilkins, WK Journal of Acquired Immune Deficiency Syndromes 0894-9255 2/1989 12/1994 Magazine/Journal Y Health United States Health HRC Academic 31/62
  • 34.
    Journal Name ISSN Index Start Index End Full-text Full-text End Image Start Image End Format Refereed/Peer- Embargo Publisher Name Publisher Country Publication Primary Subject Start Reviewed (Days) Lippincott Williams & Wilkins, WK Journal of Acquired Immune Deficiency Syndromes (1999) 1525-4135 6/1999 8/2007 Magazine/Journal Y Health United States Health Journal of Acupuncture and Meridian Studies 2005-2901 9/2008 Magazine/Journal Elsevier B.V. Netherlands Health Centre for Addiction and Mental Journal of Addiction and Mental Health 1481-3122 1/2002 5/2002 1/2002 5/2002 Newsletter Health Canada Psychology and mental health Journal of Adolescence 0140-1971 3/1989 Magazine/Journal Y Elsevier B.V. Netherlands Psychology and mental health Journal of Adolescent Health 1054-139X 2/1996 Magazine/Journal Y Elsevier B.V. Netherlands Health care industry Journal of Advanced Nursing 0309-2402 1/2006 Magazine/Journal Y Blackwell Publishers Ltd. United Kingdom Health care industry Journal of Advanced Pharmaceutical Technology & Medknow Publications and Media Pvt. Research 1/2010 1/2010 Magazine/Journal Ltd. India Health Journal of Aerosol Medicine 0894-2684 12/2007 12/2007 12/2007 12/2007 12/2007 12/2007 Magazine/Journal Y Mary Ann Liebert, Inc. United States Health Journal of Aerosol Medicine and Pulmonary Drug Delivery 1941-2703 6/2008 11/2011 6/2008 11/2011 6/2008 11/2011 Magazine/Journal Y Mary Ann Liebert, Inc. United States Health Journal of Aging & Social Policy 0895-9420 1/1994 Magazine/Journal Y Routledge United Kingdom Seniors Elsevier Advanced Technology Journal of Aging Studies 0890-4065 3/1994 3/1998 12/2001 9/1999 12/2001 Magazine/Journal Y Publications United Kingdom Seniors American Alcohol & Drug Information Journal of Alcohol & Drug Education 0090-1482 9/2000 9/2000 9/2000 Magazine/Journal Y Foundation United States Health Journal of Ambient Intelligence and Humanized Computing 1868-5137 3/2010 Magazine/Journal Y Springer United States Computers Lippincott Williams & Wilkins, WK Journal of Ambulatory Care Management 0148-9917 1/2002 Magazine/Journal Y Health United States Health care industry Journal of American College Health 0744-8481 1/1997 1/1997 7/2009 9/1999 7/2009 Magazine/Journal Y Taylor & Francis Ltd. United Kingdom Health Association of American Physicians Journal of American Physicians and Surgeons 1543-4826 9/2006 9/2006 9/2006 Magazine/Journal Y and Surgeons, Inc. United States Health care industry Journal of Amino Acids 2090-0112 1/2010 1/2010 1/2010 Magazine/Journal Y Hindawi Publishing Corp. Egypt Biological sciences Medknow Publications and Media Pvt. Journal of Anaesthesiology Clinical Pharmacology 0970-9185 4/2011 4/2011 Magazine/Journal Y Ltd. India Health Journal of Analytical Chemistry 1061-9348 12/2000 Magazine/Journal Y Springer United States Chemistry Journal of Analytical Psychology 0021-8774 2/2006 Magazine/Journal Y Blackwell Publishers Ltd. United Kingdom Psychology and mental health Journal of Anatomy 0021-8782 1/2006 Magazine/Journal Y Blackwell Publishers Ltd. United Kingdom Health Journal of Anesthesia 0913-8668 8/2003 Magazine/Journal Y Springer United States Health Journal of Angiogenesis Research 2040-2384 9/2009 12/2010 9/2009 12/2010 Magazine/Journal Y BioMed Central Ltd. United Kingdom Health Zoology and wildlife Journal of Animal Physiology and Animal Nutrition 0931-2439 10/1999 Magazine/Journal Y Blackwell Publishers Ltd. United Kingdom conservation Journal of Anxiety Disorders 0887-6185 5/2008 Magazine/Journal Y Elsevier B.V. Netherlands Journal of Applied and Industrial Mathematics 1990-4789 3/2007 Magazine/Journal Y Springer United States Mathematics Journal of Applied Gerontology 0733-4648 3/1994 3/1997 12/1998 Magazine/Journal Y Sage Publications, Inc. United States Seniors Journal of Applied Microbiology 1364-5072 1/2006 Magazine/Journal Y Blackwell Publishers Ltd. United Kingdom Biological sciences American Psychological Association, Journal of Applied Psychology 0021-9010 2/1981 Magazine/Journal Y Inc. United States Psychology and mental health Journal of Applied Research 1537-064X 3/2006 3/2006 3/2006 Magazine/Journal Y Therapeutic Solutions LLC United States Health National Athletic Trainers' Association, Journal of Athletic Training 1062-6050 3/1992 4/2007 Magazine/Journal Y Inc. United States Sports and fitness Journal of Autism and Developmental Disorders 0162-3257 2/1997 Magazine/Journal Y Springer United States Health Journal of Avian Medicine and Surgery 1082-6742 3/2006 3/2006 3/2006 Magazine/Journal Y Association of Avian Veterinarians United States Health Medknow Publications and Media Pvt. Journal of Ayurveda and Integrative Medicine 0975-9476 1/2010 1/2010 Magazine/Journal Y Ltd. India Health Lippincott Williams & Wilkins, WK Journal of Behavioral Health Services & Research 1094-3412 2/2002 Magazine/Journal Y Health United States Health care industry Journal of Behavioral Medicine 0160-7715 2/1997 Magazine/Journal Y Springer United States Psychology and mental health Journal of Behavioural Sciences 1028-9097 12/2006 12/2006 Magazine/Journal Asianet-Pakistan Pakistan Psychology and mental health Journal of Biological Engineering 1754-1611 10/2007 10/2007 Magazine/Journal Y BioMed Central Ltd. United Kingdom Biotechnology industry Journal of Biological Rhythms 0748-7304 2/2005 2/2005 8/2008 2/2005 10/2007 Magazine/Journal Y Sage Publications, Inc. United States Biological sciences Journal of Biology and Life Science 2157-6076 8/2010 8/2010 8/2010 Magazine/Journal Y Macrothink Institute, Inc. British Virgin Islands Biological sciences Journal of Biomaterials and Nanobiotechnology 2158-7027 1/2011 Magazine/Journal Y Scientific Research Publishing, Inc. United States Biotechnology industry Journal of Biomedical Discovery and Collaboration 1747-5333 12/2006 1/2009 12/2006 1/2009 Magazine/Journal Y University of Illinois Library System United States Science and technology Journal of Biomedical Science 1021-7770 7/2005 Magazine/Journal Y BioMed Central Ltd. United Kingdom Biological sciences Journal of Biomedical Science and Engineering (JBiSE) 1937-6871 5/2008 5/2008 5/2008 Magazine/Journal Y Scientific Research Publishing, Inc. United States Science and technology Journal of Biomedical Semantics 2041-1480 3/2010 3/2010 Magazine/Journal Y BioMed Central Ltd. United Kingdom Health HRC Academic 32/62
  • 35.
    Journal Name ISSN Index Start Index End Full-text Full-text End Image Start Image End Format Refereed/Peer- Embargo Publisher Name Publisher Country Publication Primary Subject Start Reviewed (Days) Journal of Biomedicine and Biotechnology 1110-7243 1/2005 1/2005 1/2005 Magazine/Journal Y Hindawi Publishing Corp. Egypt Biotechnology industry Journal of Biomolecular NMR 0925-2738 1/1997 Magazine/Journal Y Springer United States Chemistry Journal of Biomolecular Screening 1087-0571 2/2005 2/2005 9/2008 2/2005 10/2007 Magazine/Journal Y Sage Publications, Inc. United States Biological sciences Journal of Biomusical Engineering 2090-2700 1/2011 1/2011 1/2011 Magazine/Journal Y Ashdin Publishing Belgium Science and technology Journal of Biophysical Chemistry 2153-036X 5/2010 5/2010 5/2010 Magazine/Journal Y Scientific Research Publishing, Inc. United States Biological sciences Journal of Biosciences 0250-5991 6/2002 Magazine/Journal Y Springer United States Biological sciences Journal of Black Psychology 0095-7984 2/1993 Magazine/Journal Y Sage Publications, Inc. United States Psychology and mental health Journal of Bodywork & Movement Therapies 1360-8592 10/1996 Magazine/Journal Y Elsevier B.V. Netherlands Health Journal of Bone and Joint Surgery Journal of Bone and Joint Surgery: American Volume 0021-9355 6/1989 12/1991 Magazine/Journal Y Inc. Health Journal of Brachial Plexus and Peripheral Nerve Injury 1749-7221 1/2007 1/2007 Magazine/Journal Y BioMed Central Ltd. United Kingdom Psychology and mental health Journal of Cancer Research and Clinical Oncology 0171-5216 3/1998 Magazine/Journal Y Springer United States Health Medknow Publications and Media Pvt. Journal of Cancer Research and Therapeutics 0973-1482 1/2005 1/2005 Magazine/Journal Y Ltd. India Health Journal of Cancer Survivorship 1932-2259 6/2007 Magazine/Journal Y Springer United States Health Journal of Cancer Therapy 2151-1934 3/2010 3/2010 3/2010 Magazine/Journal Y Scientific Research Publishing, Inc. United States Health Medknow Publications and Media Pvt. Journal of Carcinogenesis 0974-6773 12/2006 12/2006 Magazine/Journal Y Ltd. India Health Journal of Cardiac Failure 1071-9164 12/1995 Magazine/Journal Y Elsevier B.V. Netherlands Health care industry Journal of Cardiac Surgery 0886-0440 1/2006 Magazine/Journal Y Blackwell Publishers Ltd. United Kingdom Health Journal of Cardiothoracic Surgery 1749-8090 1/2007 1/2007 Magazine/Journal Y BioMed Central Ltd. United Kingdom Health Medknow Publications and Media Pvt. Journal of Cardiovascular Disease Research 0975-3583 1/2010 1/2010 Magazine/Journal Y Ltd. India Health Journal of Cardiovascular Electrophysiology 1045-3873 1/2006 Magazine/Journal Y Blackwell Publishers Ltd. United Kingdom Health Journal of Cardiovascular Magnetic Resonance 1532-429X 1/2008 1/2008 Magazine/Journal Y BioMed Central Ltd. United Kingdom Health Lippincott Williams & Wilkins, WK Journal of Cardiovascular Nursing 0889-4655 1/1996 Magazine/Journal Y Health United States Health care industry Journal of Cardiovascular Pharmacology and Therapeutics 1074-2484 10/2000 Magazine/Journal Y Westminster Publications Inc. United States Health Journal of Cardiovascular Translational Research 1937-5387 3/2008 Magazine/Journal Springer United States Health Journal of Cell Biology 0021-9525 1/1992 Magazine/Journal Y Rockefeller University Press United States Biological sciences Journal of Chemical Sciences 0974-3626 1/2007 Magazine/Journal Y Springer United States Chemistry Journal of Cheminformatics 1758-2946 3/2009 3/2009 Magazine/Journal Y BioMed Central Ltd. United Kingdom Chemistry Journal of Child and Adolescent Psychiatric Nursing 1073-6077 1/1996 1/1996 10/2004 1/1996 10/2004 Magazine/Journal Y Blackwell Publishers Ltd. United Kingdom Psychology and mental health Journal of Child and Adolescent Psychopharmacology 1044-5463 11/2007 11/2007 10/2011 11/2007 10/2011 Magazine/Journal Y Mary Ann Liebert, Inc. United States Health Journal of Child and Adolescent Substance Abuse 1067-828X 1/2001 Magazine/Journal Y Haworth Press, Inc. Social sciences Journal of Children's Orthopaedics 1863-2521 3/2007 Magazine/Journal Y Springer United States Health Journal of Chinese Medicine 0143-8042 6/2000 2/2002 2/2002 Magazine/Journal The Journal of Chinese Medicine United Kingdom Health Journal of Chinese Political Science 1080-6954 4/2007 Magazine/Journal Y Springer United States Political science Journal of Chiropractic 0744-9984 1/1990 12/1991 Magazine/Journal Y American Chiropractic Association Inc. Health Journal of Clinical Bioinformatics 2043-9113 1/2011 1/2011 Magazine/Journal Y BioMed Central Ltd. United Kingdom Health Journal of Clinical Child and Adolescent Psychology 1537-4416 3/2002 Magazine/Journal Y Routledge United Kingdom Psychology and mental health Journal of Clinical Child Psychology 0047-228X 3/1989 12/2001 Magazine/Journal Y Lawrence Erlbaum Associates, Inc. United States Psychology and mental health Lippincott Williams & Wilkins, WK Journal of Clinical Engineering 0363-8855 9/2001 Magazine/Journal Y Health United States Health care industry American Society for Clinical Journal of Clinical Investigation 0021-9738 4/2006 4/2006 5/2006 Magazine/Journal Y Investigation United States Health care industry Medknow Publications and Media Pvt. Journal of Clinical Neonatology 2249-4847 1/2012 1/2012 Magazine/Journal Y Ltd. India Health Journal of Clinical Nursing 0962-1067 1/2006 Magazine/Journal Y Blackwell Publishers Ltd. United Kingdom Health care industry Journal of Clinical Pathology 0021-9746 11/1989 1/2001 3/2004 1/2001 10/2001 Magazine/Journal Y British Medical Association United States Health Journal of Clinical Periodontology 0303-6979 1/1992 Magazine/Journal Y Blackwell Publishers Ltd. United Kingdom Health Journal of Clinical Pharmacology 0091-2700 1/2005 1/2005 9/2008 1/2005 11/2007 Magazine/Journal Y Sage Publications, Inc. United States Health Journal of Clinical Pharmacy and Therapeutics 0269-4727 2/2006 Magazine/Journal Y Blackwell Publishers Ltd. United Kingdom Health Journal of Clinical Psychology 0021-9762 1/1989 Magazine/Journal Y John Wiley & Sons, Inc. United Kingdom Psychology and mental health Journal of Cognitive Neuroscience 0898-929X 1/1992 9/1994 5/2001 Magazine/Journal Y MIT Press Journals United States Health HRC Academic 33/62
  • 36.
    Journal Name ISSN Index Start Index End Full-text Full-text End Image Start Image End Format Refereed/Peer- Embargo Publisher Name Publisher Country Publication Primary Subject Start Reviewed (Days) Journal of Communication Disorders 0021-9924 5/2005 Magazine/Journal Y Elsevier B.V. Netherlands Psychology and mental health Journal of Community Genetics 1868-310X 3/2010 Magazine/Journal Y Springer United States Biological sciences Journal of Community Health 0094-5145 3/1987 Magazine/Journal Y Springer United States Health Journal of Community Nursing 0140-0908 1/2008 1/2008 1/2008 Magazine/Journal PTM Publishers Ltd. United Kingdom Health Journal of Comparative Physiology A: Neuroethology, Sensory, Neural, andBehavioral Physiology 0340-7594 9/2005 Magazine/Journal Y Springer United States Health Journal of Comparative Physiology B: Biochemical, Systemic, and EnvironmentalPhysiology 0174-1578 8/2005 Magazine/Journal Y Springer United States Biological sciences Journal of Computational Biology 1066-5277 11/2007 11/2011 11/2007 11/2011 11/2007 11/2011 Magazine/Journal Y Mary Ann Liebert, Inc. United States Biological sciences Journal of Computer-Aided Molecular Design 0920-654X 7/2005 Magazine/Journal Y Springer United States Computers Medknow Publications and Media Pvt. Journal of Conservative Dentistry 0972-0707 4/2005 4/2005 Magazine/Journal Y Ltd. India Health American Psychological Association, Journal of Consulting and Clinical Psychology 0022-006X 2/1987 Magazine/Journal Y Inc. United States Psychology and mental health Journal of Contemporary Mathematical Analysis 1068-3623 2/2007 Magazine/Journal Y Springer United States Mathematics Journal of Continuing Education Topics & Issues 1522-8606 1/2007 1/2007 4/2007 Magazine/Journal Y American Medical Technologists United States Education Journal of Controversial Medical Claims 1530-1060 11/2001 2/2010 11/2001 2/2010 11/2001 2/2010 Magazine/Journal Y Aspen Publishers, Inc. United States Health care industry Medknow Publications and Media Pvt. Journal of Craniovertebral Junction and Spine 0974-8237 1/2010 1/2010 Magazine/Journal Y Ltd. India Health Journal of Critical Care 0883-9441 6/1998 Magazine/Journal Y Elsevier B.V. Netherlands Health care industry Journal of Critical Illness 1040-0257 4/1999 6/2003 4/1999 6/2003 8/1999 6/2003 Magazine/Journal Y CMP Medica, LLC United States Health Journal of Cross-Cultural Psychology 0022-0221 3/1992 1/1997 11/1998 Magazine/Journal Y Sage Publications, Inc. United States Psychology and mental health Journal of Cultural Diversity 1071-5568 3/2002 9/2004 3/2002 9/2004 9/2002 9/2004 Magazine/Journal Y Tucker Publications, Inc. United States Health Medknow Publications and Media Pvt. Journal of Cutaneous and Aesthetic Surgery 0974-2077 1/2008 1/2008 Magazine/Journal Y Ltd. India Health Journal of Cutaneous Medicine and Surgery 1203-4754 8/2005 Magazine/Journal Y Springer United States Health Journal of Cutaneous Pathology 0303-6987 11/2005 Magazine/Journal Y Blackwell Publishers Ltd. United Kingdom Health Journal of CyberTherapy and Rehabilitation 1784-9934 3/2008 3/2008 3/2008 Magazine/Journal Y Virtual Reality Medical Institute Belgium Health Medknow Publications and Media Pvt. Journal of Cytology 0970-9371 1/2008 1/2008 Magazine/Journal Y Ltd. India Biological sciences Journal of Dance Medicine & Science 1089-313X 1/2004 10/2010 1/2004 10/2010 Magazine/Journal Y J. Michael Ryan Publishing Co. United States Health Journal of Deaf Studies and Deaf Education 1081-4159 12/2003 Magazine/Journal Y Oxford University Press United Kingdom Education Journal of Dental Biomechanics 1758-7360 1/2010 1/2010 1/2010 Magazine/Journal Y Hindawi Publishing Corp. Egypt Health American Dental Hygienists' Journal of Dental Hygiene 1043-254X 3/1996 3/1996 3/1996 Magazine/Journal Y Association Health Medknow Publications and Media Pvt. Journal of Dental Implants 0974-6781 1/2011 1/2011 Magazine/Journal Y Ltd. India Health Journal of Dentistry 0300-5712 1/2005 1/2005 1/2007 1/2005 1/2007 Magazine/Journal Y Elsevier B.V. Netherlands Health Journal of Dermatology 0385-2407 1/2006 Magazine/Journal Y Blackwell Publishers Ltd. United Kingdom Health Lippincott Williams & Wilkins, WK Journal of Developmental & Behavioral Pediatrics 0196-206X 8/2000 Magazine/Journal Y Health United States Health Journal of Diabetes Nursing 1368-1109 1/2002 1/2002 4/2011 1/2002 4/2011 Magazine/Journal Y S.B. Communications United Kingdom Health Journal of Diagnostic Medical Sonography 8756-4793 1/2005 1/2005 9/2008 1/2005 9/2007 Magazine/Journal Y Sage Publications, Inc. United States Health Journal of Digital Imaging 0897-1889 6/2001 Magazine/Journal Y Springer United States Health Journal of Disability Policy Studies 1044-2073 3/2000 Magazine/Journal Y Sage Publications, Inc. United States Law Journal of Drug Issues 0022-0426 1/1989 Magazine/Journal Y Journal of Drug Issues, Inc. United States Psychology and mental health Journal of Drugs in Dermatology 1545-9616 12/2002 12/2002 12/2002 Magazine/Journal Y Journal of Drugs in Dermatology, Inc. United States Health Journal of Early and Intensive Behavioral Intervention 1554-4893 2/2004 9/2008 2/2004 9/2008 2/2004 9/2008 Magazine/Journal Y Behavior Analyst Online United States Psychology and mental health Journal of Education and Research in Nursing 1305-0397 1/2011 1/2011 1/2011 Magazine/Journal Y KARE Publishing Turkey Health Journal of Elder Abuse & Neglect 0894-6566 3/1994 Magazine/Journal Y Routledge United Kingdom Seniors Medknow Publications and Media Pvt. Journal of Emergencies, Trauma and Shock 0974-2700 7/2008 7/2008 Magazine/Journal Y Ltd. India Health Journal of Emergency Medicine 0736-4679 1/2005 Magazine/Journal Y Elsevier B.V. Netherlands Health care industry Journal of Emergency Nursing 0099-1767 2/1995 Magazine/Journal Y Elsevier B.V. Netherlands Health care industry Journal of Emotional and Behavioral Disorders 1063-4266 6/2000 Magazine/Journal Y Sage Publications, Inc. United States Psychology and mental health Journal of Endocrinology, Metabolism and Diabetes of South Africa 1608-9677 6/2007 6/2007 6/2007 6/2007 6/2007 6/2007 Magazine/Journal Y South African Medical Association South Africa Health Journal of Endourology 0892-7790 11/2007 11/2007 11/2011 11/2007 11/2011 Magazine/Journal Y Mary Ann Liebert, Inc. United States Health National Environmental Health Journal of Environmental Health 0022-0892 1/1989 3/1993 7/1994 Magazine/Journal Y Association United States Health HRC Academic 34/62
  • 37.
    Journal Name ISSN Index Start Index End Full-text Full-text End Image Start Image End Format Refereed/Peer- Embargo Publisher Name Publisher Country Publication Primary Subject Start Reviewed (Days) Journal of Epidemiology & Community Health 0143-005X 1/2001 1/2001 4/2004 8/2001 11/2001 Magazine/Journal Y British Medical Association United States Health Journal of Esthetic and Restorative Dentistry 1496-4155 4/2007 Magazine/Journal Y Blackwell Publishers Ltd. United Kingdom Health Journal of Ethnic & Cultural Diversity in Social Work 1531-3204 1/1992 Magazine/Journal Y Routledge United Kingdom Sociology and social work Journal of Ethnicity in Substance Abuse 1533-2640 1/2002 Magazine/Journal Y Routledge United Kingdom Sociology and social work Journal of Eukaryotic Microbiology 1066-5234 1/2006 Magazine/Journal Y Blackwell Publishers Ltd. United Kingdom Biological sciences Journal of Evaluation in Clinical Practice 1356-1294 4/2007 Magazine/Journal Y Blackwell Publishers Ltd. United Kingdom Health Journal of Evidence-Based Dental Practice 1532-3382 7/2001 Magazine/Journal Y Elsevier B.V. Netherlands Health care industry Journal of Evolutionary Biology 1010-061X 1/2006 Magazine/Journal Y Blackwell Publishers Ltd. United Kingdom Biological sciences Journal of Evolutionary Psychology 0737-4828 8/2001 10/2006 8/2001 10/2006 3/2002 10/2006 Magazine/Journal Y Institute for Evolutionary Psychology United States Psychology and mental health Journal of Experimental & Clinical Cancer Research 1756-9966 5/2008 5/2008 Magazine/Journal Y BioMed Central Ltd. United Kingdom Health Journal of Experimental Child Psychology 0022-0965 2/1989 Magazine/Journal Y Elsevier B.V. Netherlands Psychology and mental health American Psychological Association, Journal of Experimental Psychology: General 0096-3445 3/1989 Magazine/Journal Y Inc. United States Psychology and mental health Journal of Experimental Psychology: Human Perception and American Psychological Association, Performance 0096-1523 2/1989 Magazine/Journal Y Inc. United States Psychology and mental health Journal of Experimental Psychology: Learning, Memory and American Psychological Association, Cognition 0278-7393 1/1989 Magazine/Journal Y Inc. United States Psychology and mental health Journal of Exposure Analysis and Environmental Epidemiology 1053-4245 1/2000 11/2005 1/2000 11/2005 1/2000 11/2001 Magazine/Journal Nature Publishing Group United Kingdom Health Journal of Exposure Science and Environmental Epidemiology 1559-0631 1/2006 1/2006 5/2007 Magazine/Journal Y 365 Nature Publishing Group United Kingdom Health Medknow Publications and Media Pvt. Journal of Family and Community Medicine 1319-1683 1/2010 1/2010 Magazine/Journal Y Ltd. India Health Journal of Family Issues 0192-513X 3/1989 1/1997 11/1998 Magazine/Journal Y Sage Publications, Inc. United States Family and marriage Journal of Family Practice 0094-3509 5/1989 5/1989 3/1994 Magazine/Journal Y 7 Dowden Health Media, Inc. United States Health Journal of Family Studies 1322-9400 5/2007 5/2007 Magazine/Journal Y eContent Management Pty Ltd. Australia Family and marriage Journal of Family Violence 0885-7482 3/1992 Magazine/Journal Y Springer United States Family and marriage Zoology and wildlife Journal of Fish Diseases 0140-7775 1/2006 Magazine/Journal Y Blackwell Publishers Ltd. United Kingdom conservation Journal of Foot and Ankle Research 1757-1146 7/2008 7/2008 Magazine/Journal Y BioMed Central Ltd. United Kingdom Health Journal of Foot and Ankle Surgery 1067-2516 1/1995 Magazine/Journal Y Elsevier B.V. Netherlands Health care industry Journal of Forensic Biomechanics 2090-2689 1/2010 1/2010 1/2010 Magazine/Journal Y Ashdin Publishing Belgium Law Medknow Publications and Media Pvt. Journal of Forensic Dental Sciences 0974-2948 1/2009 1/2009 Magazine/Journal Y Ltd. India Health International Association of Forensic Journal of Forensic Nursing 1556-3693 3/2005 Magazine/Journal Nurses United States Health Journal of Gastroenterology 0944-1174 1/1994 Magazine/Journal Y Springer United States Health Journal of Gastroenterology and Hepatology 0815-9319 1/2006 Magazine/Journal Y Blackwell Publishers Ltd. United Kingdom Health Journal of Gastrointestinal Cancer 1941-6628 12/2006 Magazine/Journal Y Springer United States Health Journal of General Internal Medicine 0884-8734 10/2004 Magazine/Journal Y Springer United States Health Journal of General Physiology 0022-1295 1/1992 Magazine/Journal Y Rockefeller University Press United States Biological sciences Journal of General Psychology 0022-1309 1/1989 10/2009 1/1992 7/2009 4/1994 7/2009 Magazine/Journal Y Taylor & Francis Ltd. United Kingdom Psychology and mental health Pharmaceuticals and cosmetics Journal of Generic Medicines 1741-1343 7/2007 7/2007 7/2007 Magazine/Journal Y Sage Publications, Inc. United States industries Journal of Genetic Counseling 1059-7700 2/2006 Magazine/Journal Y Springer United States Health Journal of Genetic Psychology 0022-1325 3/1989 6/1993 6/2009 3/1994 6/2009 Magazine/Journal Y Taylor & Francis Ltd. United Kingdom Psychology and mental health Journal of Genetics 0022-1333 4/2007 Magazine/Journal Y Springer United States Health Journal of Geriatric Psychiatry & Neurology 0891-9887 3/2005 3/2005 9/2008 3/2005 12/2007 Magazine/Journal Y Sage Publications, Inc. United States Psychology and mental health Journal of Gerontological Nursing 0098-9134 3/2001 Magazine/Journal Y Slack, Inc. United States Health Journal of Gerontological Social Work 0163-4372 3/1989 Magazine/Journal Y Routledge United Kingdom Sociology and social work Medknow Publications and Media Pvt. Journal of Global Infectious Diseases 0974-777X 1/2009 1/2009 Magazine/Journal Y Ltd. India Health Journal of Group Psychotherapy Psychodrama and Soiometry 1545-3855 6/2002 9/2006 6/2002 9/2006 6/2002 9/2006 Magazine/Journal Y Heldref Publications United States Psychology and mental health Society of Gynecologic Nurse Journal of Gynecologic Oncology Nursing 1536-9935 9/2007 9/2007 9/2007 Magazine/Journal Oncologists United States Health Medknow Publications and Media Pvt. Journal of Gynecological Endoscopy and Surgery 0974-1216 1/2009 1/2009 Magazine/Journal Y Ltd. India Health Lippincott Williams & Wilkins, WK Journal of Head Trauma Rehabilitation 0885-9701 12/2001 Magazine/Journal Y Health United States Health care industry Journal of Headache and Pain 1129-2369 7/2000 Magazine/Journal Y Springer United States Health HRC Academic 35/62
  • 38.
    Journal Name ISSN Index Start Index End Full-text Full-text End Image Start Image End Format Refereed/Peer- Embargo Publisher Name Publisher Country Publication Primary Subject Start Reviewed (Days) Southern Public Administration Journal of Health and Human Services Administration 1079-3739 12/2007 12/2007 12/2007 Magazine/Journal Y Education Foundation, Inc. United States Government Journal of Health and Social Behavior 0022-1465 3/1989 Magazine/Journal Y American Sociological Association United States Health Journal of Health Care Compliance 1520-8303 3/2006 3/2006 3/2006 Magazine/Journal Aspen Publishers, Inc. United States Health care industry Journal of Health Care Finance 1078-6767 12/1994 12/1994 12/1994 Magazine/Journal Aspen Publishers, Inc. United States Health care industry Journal of Health Care Marketing 0737-3252 3/1991 12/1996 Magazine/Journal Y American Marketing Association United States Health care industry Journal of Health Politics, Policy and Law 0361-6878 1/1980 Magazine/Journal Y Duke University Press United States Law International Centre for Diarrhoeal Journal of Health Population and Nutrition 1606-0997 6/2000 6/2000 6/2000 Magazine/Journal Y Disease Research Bangladesh Bangladesh Health American College of Healthcare Journal of Healthcare Management 1096-9012 1/1998 1/1998 3/1999 Magazine/Journal Y Executives United States Health care industry Journal of Heart Centered Therapies 1520-5495 3/1999 3/1999 3/1999 Magazine/Journal Y Wellness Institute Health Journal of Hematology & Oncology 1756-8722 5/2008 5/2008 Magazine/Journal Y BioMed Central Ltd. United Kingdom Health Journal of HIV Therapy 1462-0308 6/2007 6/2007 6/2007 Magazine/Journal Y Mediscript Ltd. United Kingdom Health Journal of Hospital Infection 0195-6701 7/2005 Magazine/Journal Y Elsevier B.V. Netherlands Health Journal of Human Genetics 1434-5161 2/1998 Magazine/Journal Y Nature Publishing Group United Kingdom Biological sciences Journal of Human Hypertension 0950-9240 6/2001 6/2001 8/2007 Magazine/Journal Y 365 Nature Publishing Group United Kingdom Health Journal of Human Lactation 0890-3344 2/2005 2/2005 8/2008 2/2005 11/2007 Magazine/Journal Y Sage Publications, Inc. United States Health Journal of Human Nutrition and Dietetics 0952-3871 2/2006 Magazine/Journal Y Blackwell Publishers Ltd. United Kingdom Health Medknow Publications and Media Pvt. Journal of Human Reproductive Sciences 0974-1208 1/2008 1/2008 Magazine/Journal Y Ltd. India Health Journal of Immigrant and Minority Health 1557-1912 10/2006 Magazine/Journal Y Springer United States Health care industry Journal of Immune Based Therapies and Vaccines 1476-8518 12/2006 12/2006 Magazine/Journal Y BioMed Central Ltd. United Kingdom Health Lippincott Williams & Wilkins, WK Journal of Immunology 0022-1767 8/1989 6/1991 Magazine/Journal Y Health United States Health Medknow Publications and Media Pvt. Journal of Indian Association of Pediatric Surgeons 0971-9261 1/2005 1/2005 Magazine/Journal Ltd. India Health Journal of Indian Prosthodontic 0972-4052 1/2005 7/2009 Magazine/Journal Springer United States Health Journal of Indian Society of Pedodontics and Preventive Medknow Publications and Media Pvt. Dentistry 0970-4388 1/2005 1/2005 Magazine/Journal Ltd. India Health Medknow Publications and Media Pvt. Journal of Indian Society of Periodontology 0972-124X 1/2008 1/2008 Magazine/Journal Y Ltd. India Health Journal of Industrial Microbiology and Biotechnology 1367-5435 8/2005 Magazine/Journal Y Springer United States Biological sciences Journal of Infectious Diseases 0022-1899 12/1989 Magazine/Journal Y University of Chicago Press United States Health Journal of Inflammation 1476-9255 1/2007 1/2007 Magazine/Journal Y BioMed Central Ltd. United Kingdom Health Journal of Instructional Psychology 0094-1956 3/1999 3/1999 6/2000 Magazine/Journal Y George Uhlig Publisher United States Education Journal of Intellectual Disability Research 0964-2633 1/2006 Magazine/Journal Y Blackwell Publishers Ltd. United Kingdom Psychology and mental health Journal of Intensive Care Medicine 0885-0666 1/2005 1/2005 9/2008 1/2005 9/2007 Magazine/Journal Y Sage Publications, Inc. United States Health Medknow Publications and Media Pvt. Journal of Interdisciplinary Dentistry 1/2011 1/2011 Magazine/Journal Y Ltd. India Health Journal of Interferon & Cytokine Research 1079-9907 11/2007 11/2011 11/2007 11/2011 11/2007 11/2011 Magazine/Journal Y Mary Ann Liebert, Inc. United States Health Journal of Internal Medicine 0954-6820 1/2006 Magazine/Journal Y Blackwell Publishers Ltd. United Kingdom Health Journal of International Society of Preventive and Medknow Publications and Media Pvt. Community Dentistry 1/2011 1/2011 Magazine/Journal Y Ltd. India Health Journal of Interpersonal Violence 0886-2605 3/1992 2/1997 12/1998 Magazine/Journal Y Sage Publications, Inc. United States Law Journal of Interventional Cardiology 0896-4327 2/2006 Magazine/Journal Y Blackwell Publishers Ltd. United Kingdom Health Journal of Kartal Training and Research Hospital 1302-485X 1/2011 1/2011 1/2011 Magazine/Journal Y KARE Publishing Turkey Health Medknow Publications and Media Pvt. Journal of Laboratory Physicians 0974-2727 1/2009 1/2009 Magazine/Journal Y Ltd. India Health Headley Brothers Ltd. (Invicta Press) Journal of Laryngology and Otology 0022-2151 8/1989 3/1991 Magazine/Journal Y (UK) Health Medknow Publications and Media Pvt. Journal of Laryngology and Voice 1/2011 1/2011 Magazine/Journal Y Ltd. India Health University of Texas at Austin Journal of Latin American Geography 1545-2476 1/2003 1/2003 1/2003 Magazine/Journal 365 (University of Texas Press) United States Geography Journal of Law and Health 1044-6419 1/1985 3/1996 3/1998 Magazine/Journal Y 14 Cleveland Marshall College of Law United States Law American Society of Law, Medicine & Journal of Law, Medicine & Ethics 1073-1105 3/1993 3/1998 9/1999 Magazine/Journal Y Ethics United States Law Journal of Learning Disabilities 0022-2194 1/1998 Magazine/Journal Y Sage Publications, Inc. United States Education Journal of Legal Medicine 0194-7648 6/1981 Magazine/Journal Y Taylor & Francis Ltd. United Kingdom Law Metals, metalworking and Journal of Machinery Manufacture and Reliability 1052-6188 1/2007 Magazine/Journal Springer United States machinery industries Journal of Manipulative and Physiological Therapeutics 0161-4754 1/1999 Magazine/Journal Y Elsevier B.V. Netherlands Health Journal of Marital and Family Therapy 0194-472X 1/1989 Magazine/Journal Y lackwell Publishers Inc. United States Family and marriage HRC Academic 36/62
  • 39.
    Journal Name ISSN Index Start Index End Full-text Full-text End Image Start Image End Format Refereed/Peer- Embargo Publisher Name Publisher Country Publication Primary Subject Start Reviewed (Days) Journal of Medical Case Reports 1752-1947 4/2007 4/2007 Magazine/Journal Y BioMed Central Ltd. United Kingdom Health Journal of Medical Ethics 0306-6800 3/1990 4/1999 2/2004 8/2000 4/2003 Magazine/Journal Y British Medical Association United States Health Journal of Medical Genetics 0022-2593 3/2001 3/2001 3/2004 7/2001 10/2001 Magazine/Journal Y British Medical Association United States Health Journal of Medical Humanities 1041-3545 3/2006 Magazine/Journal Y Springer United States Philosophy and religion Journal of Medical Imaging and Radiation Oncology 1754-9477 8/2008 Magazine/Journal Y Blackwell Publishers Ltd. United Kingdom Health care industry Pharmaceuticals and cosmetics Journal of Medical Marketing 1745-7904 6/2007 6/2007 6/2007 Magazine/Journal Y Sage Publications, Inc. United States industries Medknow Publications and Media Pvt. Journal of Medical Physics 0971-6203 1/2006 1/2006 Magazine/Journal Ltd. India Health Zoology and wildlife Journal of Medical Primatology 0047-2565 2/2002 Magazine/Journal Y Blackwell Publishers Ltd. United Kingdom conservation Journal of Medical Psychology 1/2009 1/2009 1/2009 Magazine/Journal Y Renaissance Medical Publishing Greece Health Journal of Medical Screening 0969-1413 1/2001 1/2001 3/2004 6/2001 6/2001 Magazine/Journal Y British Medical Association United States Health Journal of Medical Speech - Language Pathology 1065-1438 3/2002 3/2002 3/2003 Magazine/Journal Y Delmar Learning United States Health Journal of Medical Systems 0148-5598 6/2006 Magazine/Journal Y Springer United States Health care industry Journal of Medical Toxicology 1556-9039 9/2006 Magazine/Journal Y University of Pennsylvania Press United States Health Journal of Medicinal Food 1096-620X 12/2007 12/2007 11/2011 12/2007 11/2011 Magazine/Journal Y Mary Ann Liebert, Inc. United States Health Journal of Medicine and Philosophy 0360-5310 2/1989 Magazine/Journal Y Kluwer Academic Publishers Group Netherlands Health Journal of Membrane Biology 0022-2631 9/2002 Magazine/Journal Y Springer United States Biological sciences Journal of Memory and Language 0749-596X 2/1989 Magazine/Journal Y Elsevier B.V. Netherlands Psychology and mental health Journal of Men's Health & Gender 1571-8913 3/2005 3/2005 12/2006 3/2005 12/2006 Magazine/Journal Y Elsevier B.V. Netherlands Health American Mental Health Counselors Journal of Mental Health Counseling 1040-2861 4/2000 4/2000 4/2000 Magazine/Journal Y Association United States Psychology and mental health Journal of Microbiology 1225-8873 2/2008 Magazine/Journal Y Springer United States Biological sciences Journal of Microscopy 0022-2720 2/1999 Magazine/Journal Y Blackwell Publishers Ltd. United Kingdom Biological sciences Medknow Publications and Media Pvt. Journal of Mid-life Health 0976-7819 1/2010 1/2010 Magazine/Journal Y Ltd. India Health Journal of Midwifery and Women's Health 1526-9523 1/2003 Magazine/Journal Y Elsevier B.V. Netherlands Health care industry Medknow Publications and Media Pvt. Journal of Minimal Access Surgery 0972-9941 1/2005 1/2005 Magazine/Journal Y Ltd. India Health Journal of Molecular and Genetic Medicine 1747-0862 12/2005 12/2005 12/2005 Magazine/Journal Y Library Publishing Media United Kingdom Biological sciences Journal of Molecular Evolution 0022-2844 10/2000 Magazine/Journal Y Springer United States Biological sciences Journal of Molecular Medicine 0946-2716 6/1996 Magazine/Journal Y Springer United States Science and technology Journal of Molecular Neuroscience 0895-8696 6/1999 Magazine/Journal Y Springer United States Health Journal of Molecular Signaling 1750-2187 12/2006 12/2006 Magazine/Journal Y BioMed Central Ltd. United Kingdom Science and technology Journal of Multicultural Counseling and Development 0883-8534 7/2000 7/2000 10/2000 Magazine/Journal Y 540 American Counseling Association United States Psychology and mental health Journal of Musculoskeletal Medicine 0899-2517 4/1999 4/1999 10/1999 7/2005 Magazine/Journal Y CMP Medica, LLC United States Health Medknow Publications and Media Pvt. Journal of Natural Pharmaceuticals 1/2010 1/2010 Magazine/Journal Y Ltd. India Health Medknow Publications and Media Pvt. Journal of Natural Science, Biology and Medicine 1/2010 1/2010 Magazine/Journal Y Ltd. India Health Journal of Neonatal Nursing 1355-1841 12/2005 Magazine/Journal Y Elsevier B.V. Netherlands Health care industry Lippincott Williams & Wilkins, WK Journal of Nervous and Mental Disease 0022-3018 5/1989 12/1991 Magazine/Journal Y Health United States Psychology and mental health Journal of Neural Transmission 0300-9564 3/1980 Magazine/Journal Y Springer United States Psychology and mental health Journal of Neural Transmission - Parkinson's Disease and Dementia Section 0936-3076 3/1989 6/1995 Magazine/Journal Y Springer United States Health Journal of Neurochemistry 0022-3042 5/2000 Magazine/Journal Y Blackwell Publishers Ltd. United Kingdom Biological sciences Journal of Neuroendocrinology 0953-8194 1/2006 Magazine/Journal Y Blackwell Publishers Ltd. United Kingdom Psychology and mental health Journal of Neuroimaging 1051-2284 1/2005 Magazine/Journal Y Blackwell Publishers Ltd. United Kingdom Health Journal of Neuroinflammation 1742-2094 1/2007 1/2007 Magazine/Journal Y BioMed Central Ltd. United Kingdom Health Journal of Neurology 0340-5354 11/1996 Magazine/Journal Y Springer United States Health Journal of Neurology, Neurosurgery and Psychiatry 0022-3050 1/2001 1/2001 4/2004 1/2001 11/2001 Magazine/Journal Y British Medical Association United States Health Journal of Neuroparasitology 2090-2344 1/2010 1/2010 1/2010 Magazine/Journal Y Ashdin Publishing Belgium Health American Association of Neuroscience Journal of Neuroscience Nursing 0888-0395 4/1996 4/1996 4/1996 Magazine/Journal Y Nurses United States Health care industry Medknow Publications and Media Pvt. Journal of Neurosciences in Rural Practice 1/2010 1/2010 Magazine/Journal Y Ltd. India Health Journal of Neurotrauma 0897-7151 11/2007 11/2007 11/2011 11/2007 11/2011 Magazine/Journal Y Mary Ann Liebert, Inc. United States Health Journal of Nucleic Acids 2090-021X 4/1991 1/2010 1/2010 Magazine/Journal Y Hindawi Publishing Corp. Egypt Biological sciences Journal of Nurse-Midwifery 0091-2182 11/1995 5/1997 Magazine/Journal Y Elsevier B.V. Netherlands Lippincott Williams & Wilkins, WK Journal of Nursing Care Quality 1057-3631 1/1996 Magazine/Journal Y Health United States Health HRC Academic 37/62
  • 40.
    Journal Name ISSN Index Start Index End Full-text Full-text End Image Start Image End Format Refereed/Peer- Embargo Publisher Name Publisher Country Publication Primary Subject Start Reviewed (Days) Journal of Nursing Management 0966-0429 11/1998 Magazine/Journal Y Blackwell Publishers Ltd. United Kingdom Health care industry Journal of Nursing Scholarship 1527-6546 3/2000 3/2000 12/2010 9/2000 12/2010 Magazine/Journal Y Blackwell Publishers Ltd. United Kingdom Health Journal of Nutrition 0022-3166 1/1992 Magazine/Journal Y American Institute of Nutrition United States Food/cooking/nutrition Lippincott Williams & Wilkins, WK Journal of Nutrition Education 0022-3182 2/1989 11/2001 Magazine/Journal Y Health United States Food/cooking/nutrition Journal of Nutrition Education and Behavior 1499-4046 1/2002 Magazine/Journal Y Elsevier B.V. Netherlands Food/cooking/nutrition Medknow Publications and Media Pvt. Journal of Obstetric Anaesthesia and Critical Care 2249-4472 1/2011 1/2011 Magazine/Journal Y Ltd. India Health Journal of Obstetric, Gynecologic, & Neonatal Nursing 0884-2175 1/2006 Magazine/Journal Y Blackwell Publishers Ltd. United Kingdom Health care industry Journal of Obstetrics and Gynaecology Research 1341-8076 2/2006 Magazine/Journal Y Blackwell Publishers Ltd. United Kingdom Health Lippincott Williams & Wilkins, WK Journal of Occupational and Environmental Medicine 1076-2752 1/1995 Magazine/Journal Y Health United States Health Lippincott Williams & Wilkins, WK Journal of Occupational Medicine 0096-1736 1/1981 12/1994 Magazine/Journal Y Health United States Health care industry Journal of Occupational Rehabilitation 1053-0487 9/2006 Magazine/Journal Y Springer United States Health Medknow Publications and Media Pvt. Journal of Oral and Maxillofacial Pathology 0973-029X 1/2007 1/2007 Magazine/Journal Y Ltd. India Health Journal of Oral and Maxillofacial Surgery 0278-2391 1/2000 Magazine/Journal Y Elsevier B.V. Netherlands Health care industry Consortium of Research Ardent Journal of Oral Health Research 2229-6018 1/2010 1/2010 1/2010 Magazine/Journal Y Dentists (CORAD) India Health Journal of Oral Pathology and Medicine 0904-2512 1/2002 Magazine/Journal Y Blackwell Publishers Ltd. United Kingdom Health Journal of Oral Rehabilitation 0305-182X 1/2006 Magazine/Journal Y Blackwell Publishers Ltd. United Kingdom Health The Lancet Publishing Group, a Journal of Orthopaedic Nursing 1361-3111 2/2005 11/2006 2/2005 11/2006 2/2005 11/2006 Magazine/Journal Y division of Elsevier Science Ltd. Health Journal of Orthopaedic Surgery and Research 1749-799X 12/2006 12/2006 Magazine/Journal Y BioMed Central Ltd. United Kingdom Health Journal of Orthoptera Research 1082-6467 1/2007 1/2007 1/2007 Magazine/Journal Y The Orthopterists' Society Biological sciences Journal of Osteoporosis 2042-0064 1/2010 1/2010 1/2010 Magazine/Journal Y Hindawi Publishing Corp. Egypt Health Journal of Ovarian Research 1757-2215 10/2008 10/2008 Magazine/Journal Y BioMed Central Ltd. United Kingdom Health Journal of Paediatrics and Child Health 1034-4810 1/2006 Magazine/Journal Y Blackwell Publishers Ltd. United Kingdom Health care industry Journal of Pain 1526-5900 1/2005 Magazine/Journal Y Elsevier B.V. Netherlands Health care industry Journal of Pain and Symptom Management 0885-3924 7/1995 Magazine/Journal Y Elsevier B.V. Netherlands Health care industry Journal of Pakistan Association of Dermatologists 1560-9014 9/2010 9/2010 Magazine/Journal Y Asianet-Pakistan Pakistan Health Centre for Bioethics - Clinical Journal of Palliative Care 0825-8597 9/1988 Magazine/Journal Y Research Institute of Montreal Health Journal of Pathology 0022-3417 2/1990 10/1991 Magazine/Journal Y John Wiley & Sons, Inc. United Kingdom Health Medknow Publications and Media Pvt. Journal of Pathology Informatics 1/2010 1/2010 Magazine/Journal Y Ltd. India Health Journal of Pediatric Health Care 0891-5245 1/1995 Magazine/Journal Y Elsevier B.V. Netherlands Health care industry Journal of Pediatric Infection 1307-1068 9/2008 9/2008 9/2008 Magazine/Journal Y Aves Yayincilik Turkey Health Medknow Publications and Media Pvt. Journal of Pediatric Neurosciences 1817-1745 1/2006 1/2006 Magazine/Journal Y Ltd. India Health Journal of Pediatric Nursing 0882-5963 2/1995 Magazine/Journal Y Elsevier B.V. Netherlands Health care industry Journal of Pediatric Oncology Nursing 1043-4542 1/2005 1/2005 9/2008 1/2005 9/2007 Magazine/Journal Y Sage Publications, Inc. United States Health Journal of Pediatrics 0022-3476 5/1989 Magazine/Journal Y Elsevier B.V. Netherlands Health Journal of PeriAnesthesia Nursing 1089-9472 2/1996 Magazine/Journal Y Elsevier B.V. Netherlands Health care industry Lippincott Williams & Wilkins, WK Journal of Perinatal & Neonatal Nursing 0893-2190 3/1996 Magazine/Journal Y Health United States Health Journal of Perinatal Medicine 0300-5577 1/1986 7/2010 7/2010 Magazine/Journal Y Walter de Gruyter GmbH & Co. KG Germany Health Journal of Perinatology 0743-8346 3/2001 3/2001 5/2007 Magazine/Journal Y 365 Nature Publishing Group United Kingdom Health Journal of Periodontal Research 0022-3484 2/2006 Magazine/Journal Y Blackwell Publishers Ltd. United Kingdom Health Journal of Perioperative Practice 1750-4589 1/2007 1/2007 1/2007 Magazine/Journal Y Association for Perioperative Practice United Kingdom Health care industry Journal of Pharmaceutical Innovation 1872-5120 10/2007 Magazine/Journal Y Springer United States Biotechnology industry Medknow Publications and Media Pvt. Journal of Pharmaceutical Negative Results 1/2010 1/2010 Magazine/Journal Y Ltd. India Health Medknow Publications and Media Pvt. Journal of Pharmacology and Pharmacotherapeutics 0976-500X 1/2010 1/2010 Magazine/Journal Y Ltd. India Health Medknow Publications and Media Pvt. Journal of Pharmacy and Bioallied Sciences 0975-7406 1/2009 1/2009 Magazine/Journal Y Ltd. India Health Pharmaceuticals and cosmetics Journal of Pharmacy Practice 0897-1900 2/2001 2/2005 8/2008 2/2005 6/2007 Magazine/Journal Sage Publications, Inc. United States industries Journal of Phenomenological Psychology 0047-2662 3/2000 3/2000 9/2000 Magazine/Journal Y Brill Academic Publishers, Inc. United States Psychology and mental health Journal of Physiology 0022-3751 5/1997 Magazine/Journal Y Blackwell Publishers Ltd. United Kingdom Health HRC Academic 38/62
  • 41.
    Journal Name ISSN Index Start Index End Full-text Full-text End Image Start Image End Format Refereed/Peer- Embargo Publisher Name Publisher Country Publication Primary Subject Start Reviewed (Days) Journal of Physiotherapy 1836-9553 3/2010 Magazine/Journal Y Australian Physiotherapy Association Australia Health Journal of Pineal Research 0742-3098 1/2006 Magazine/Journal Y Blackwell Publishers Ltd. United Kingdom Psychology and mental health Journal of Plant Growth Regulation 0721-7595 9/2002 Magazine/Journal Y Springer United States Biological sciences Journal of Plant Research 0918-9440 3/1999 Magazine/Journal Y Springer United States Science and technology Medknow Publications and Media Pvt. Ethnic, cultural, racial Journal of Postgraduate Medicine 0022-3859 10/2002 10/2002 10/2002 7/2004 Magazine/Journal Y Ltd. India issues/studies Medknow Publications and Media Pvt. Journal of Prenatal Diagnosis and Therapy 1/2010 1/2010 Magazine/Journal Y Ltd. India Health Journal of Professional Nursing 8755-7223 9/1999 Magazine/Journal Y Elsevier B.V. Netherlands Health care industry Journal of Prosthetic Dentistry 0022-3913 1/1995 Magazine/Journal Y Elsevier B.V. Netherlands Health care industry Journal of Psychiatric and Mental Health Nursing 1351-0126 2/2006 Magazine/Journal Y Blackwell Publishers Ltd. United Kingdom Psychology and mental health Journal of Psychiatric Nursing 1309-3568 9/2010 9/2010 9/2010 Magazine/Journal Y KARE Publishing Turkey Health Journal of Psychiatry and Neuroscience 1180-4882 9/2004 9/2004 11/2004 Magazine/Journal Y Canadian Medical Association Canada Psychology and mental health Journal of Psychoactive Drugs 0279-1072 9/2007 9/2007 9/2007 Magazine/Journal Y Taylor & Francis Ltd. United Kingdom Health Journal of Psychology 0022-3980 1/1987 1/1993 7/2009 5/1994 7/2009 Magazine/Journal Y Taylor & Francis Ltd. United Kingdom Psychology and mental health Journal of Psychopharmacology 0269-8811 1/2005 1/2005 9/2008 1/2006 7/2008 Magazine/Journal Y Sage Publications, Inc. United States Psychology and mental health Journal of Public Health 0943-1853 2/2004 Magazine/Journal Y Springer United States Health Lippincott Williams & Wilkins, WK Journal of Public Health Management and Practice 1078-4659 1/2002 Magazine/Journal Y Health United States Social sciences Palgrave Macmillan, a Division of Journal of Public Health Policy 0197-5897 7/2007 7/2007 7/2007 Magazine/Journal Y 365 Macmillan Publishers Ltd. United Kingdom Health Journal of Radiology Nursing 1546-0843 6/2005 Magazine/Journal Y Elsevier B.V. Netherlands Health care industry Journal of Rehabilitation 0022-4154 1/1988 1/1989 1/1996 Magazine/Journal Y National Rehabilitation Association United States Health Journal of Rehabilitation Research & Development 0748-7711 1/2006 1/2006 1/2006 Magazine/Journal Y Department of Veterans Affairs United States Health Journal of Reproduction and Infertility 1726-7536 3/2010 3/2010 3/2010 Magazine/Journal Y Avicenna Research Institute Iran Health Journal of Respiratory Diseases 0194-259X 8/1999 10/2008 8/1999 10/2008 10/1999 6/2005 Magazine/Journal Y CMP Medica, LLC United States Health Journal of Robotic Surgery 1863-2483 3/2007 Magazine/Journal Springer United States Health Journal of Rural Health 0890-765X 1/2006 Magazine/Journal Y Blackwell Publishers Ltd. United Kingdom Health Journal of School Health 0022-4391 1/1987 1/1989 5/2009 1/1991 5/2009 Magazine/Journal Y American School Health Association United States Education Journal of Sex Research 0022-4499 2/1989 1/1997 11/1999 Magazine/Journal Y Taylor & Francis Group, LLC United States Psychology and mental health National Association of Teachers of Journal of Singing 1086-7732 1/2007 1/2007 1/2007 Magazine/Journal Y Singing United States Education Journal of Sleep Research 0962-1105 3/2006 Magazine/Journal Y Blackwell Publishers Ltd. United Kingdom Health care industry Journal of Small Animal Practice 0022-4510 1/2006 Magazine/Journal Y Blackwell Publishers Ltd. United Kingdom Health care industry Journal of Social and Psychological Sciences 1756-7483 1/2008 1/2008 1/2008 Magazine/Journal Y Oxford Mosaic Publications Limited United Kingdom Sociology and social work Journal of Social Distress and the Homeless 1053-0789 1/1992 10/2002 Magazine/Journal Y Springer United States Sociology and social work Journal of Social Psychology 0022-4545 2/1989 2/1993 6/2009 6/1994 6/2009 Magazine/Journal Y Taylor & Francis Ltd. United Kingdom Psychology and mental health Journal of Solid Tumors 1925-4067 8/2011 8/2011 8/2011 Magazine/Journal Y Sciedu Press Canada Health American Speech-Language-Hearing Journal of Speech and Hearing Research 0022-4685 2/1991 12/1996 Magazine/Journal Y Association United States Health American Speech-Language-Hearing Journal of Speech, Language, and Hearing Research 1092-4388 2/1997 4/2000 Magazine/Journal Y Association United States Health Journal of Speech-Language Pathology and Applied Behavior Analysis 1932-4731 1/2006 1/2006 1/2006 Magazine/Journal Behavior Analyst Online United States Psychology and mental health Journal of Sport Rehabilitation 1056-6716 11/2001 Magazine/Journal Y Human Kinetics Publishers, Inc. United States Health Journal of Sports Sciences 0264-0414 1/2000 1/2000 12/2006 7/2000 12/2006 Magazine/Journal Y Taylor & Francis Ltd. United Kingdom Health National Strength and Conditioning Journal of Strength and Conditioning Research 1064-8011 2/2002 Magazine/Journal Y Association United States Health Journal of Stroke and Cerebrovascular Diseases 1052-3057 9/1996 Magazine/Journal Y Elsevier B.V. Netherlands Health care industry Journal of Studies on Alcohol 0096-882X 11/1991 11/2006 7/1996 11/2006 Magazine/Journal Y Alcohol Research Documentation, Inc. United States Health Journal of Studies on Alcohol and Drugs 1937-1888 1/2007 1/2007 7/2011 1/2007 7/2011 Magazine/Journal Y Alcohol Research Documentation, Inc. United States Health Journal of Studies on Alcohol Supplement 0363-468X 3/2002 3/2002 7/2005 3/2002 7/2005 Magazine/Journal Y Alcohol Research Documentation, Inc. United States Health Journal of Surgical Case Reports 2042-8812 3/2010 3/2010 8/2011 Magazine/Journal Y JSCR Publishing Limited United Kingdom Health HRC Academic 39/62
  • 42.
    Journal Name ISSN Index Start Index End Full-text Full-text End Image Start Image End Format Refereed/Peer- Embargo Publisher Name Publisher Country Publication Primary Subject Start Reviewed (Days) Medknow Publications and Media Pvt. Journal of Surgical Technique and Case Report 2006-8808 1/2009 1/2009 Magazine/Journal Y Ltd. India Health Journal of Systems Chemistry 1759-2208 8/2010 8/2010 Magazine/Journal Y BioMed Central Ltd. United Kingdom Chemistry Journal of the American Academy of Audiology 1050-0545 1/2004 1/2004 1/2004 Magazine/Journal Y American Academy of Audiology United States Health Journal of the American Academy of Child and Adolescent Lippincott Williams & Wilkins, WK Psychiatry 0890-8567 1/1989 Magazine/Journal Y Health United States Psychology and mental health Journal of the American Academy of Dermatology 0190-9622 6/1989 Magazine/Journal Y Elsevier B.V. Netherlands Health Journal of the American Academy of Nurse Practitioners 1041-2972 12/2006 Magazine/Journal Y Blackwell Publishers Ltd. United Kingdom Health care industry American Academy of Orthopaedic Journal of the American Academy of Orthopaedic Surgeons 1067-151X 12/2010 12/2010 12/2010 Magazine/Journal Y Surgeons United States Health Journal of the American College of Cardiology 0735-1097 1/1995 Magazine/Journal Y Elsevier B.V. Netherlands Health Journal of the American College of Radiology 1546-1440 1/2004 Magazine/Journal Elsevier B.V. Netherlands Health American Dental Association Journal of the American Dental Association 0002-8177 6/1989 Magazine/Journal Y Publishers Inc. Health Journal of the American Dietetic Association 0002-8223 1/1988 1/1989 8/2003 7/1994 8/2003 Magazine/Journal Y Elsevier Science Publishers Food/cooking/nutrition Journal of the American Geriatrics Society 0002-8614 1/1998 Magazine/Journal Y Blackwell Publishers Ltd. United Kingdom Seniors Journal of the American Medical Directors Association 1525-8610 1/2001 Magazine/Journal Y Elsevier B.V. Netherlands Health care industry Journal of the American Medical Informatics Association 1067-5027 9/2004 Magazine/Journal Y Elsevier B.V. Netherlands Health care industry Journal of the American Psychiatric Nurses Association (JAPNA) 1078-3903 2/2005 2/2005 8/2008 2/2006 10/2007 Magazine/Journal Y Sage Publications, Inc. United States Health Journal of the American Society for Information Science 0002-8231 1/1981 12/2000 Magazine/Journal Y John Wiley & Sons, Inc. United Kingdom Library and information science Journal of the American Society for Information Science and Technology 1532-2882 1/2001 Magazine/Journal Y John Wiley & Sons, Inc. United Kingdom Library and information science Journal of the American Society of Echocardiography 0894-7317 1/1995 Magazine/Journal Y Elsevier B.V. Netherlands Health care industry Journal of the Association for Laboratory Automation 1535-5535 12/2004 Magazine/Journal Y Elsevier B.V. Netherlands High technology industry Journal of the Association of Nurses in AIDS Care 1055-3290 1/1996 1/1996 11/1998 1/1996 11/1997 Magazine/Journal Y Elsevier Science Publishers Health care industry Australian Traditional-Medicine Journal of the Australian Traditional-Medicine Society 1326-3390 9/2006 9/2006 12/2006 Magazine/Journal Y Society Australia Health Journal of the Canadian Chiropractic Association 0008-3194 1/2006 1/2006 1/2006 Magazine/Journal Y Canadian Chiropractic Association Canada Health Journal of the European Academy of Dermatology and Venereology 0926-9959 1/2006 Magazine/Journal Y Blackwell Publishers Ltd. United Kingdom Health Journal of the International AIDS Society 1758-2652 7/2004 7/2004 Magazine/Journal Y BioMed Central Ltd. United Kingdom Health Journal of the International Association of Physicians in AIDS Care 1545-1097 3/2005 3/2005 9/2008 3/2005 9/2007 Magazine/Journal Sage Publications, Inc. United States Health Journal of the International Clinical Dental Research Medknow Publications and Media Pvt. Organization 2231-0754 1/2010 1/2010 Magazine/Journal Y Ltd. India Health Journal of the International Society of Sports Nutrition 1550-2783 5/2004 5/2004 Magazine/Journal Y BioMed Central Ltd. United Kingdom Health Journal of the Louisiana State Medical Society 0024-6921 1/2010 1/2010 1/2010 Magazine/Journal Y Louisiana State Medical Society United States Health Journal of the Medical Library Association 1536-5050 1/2008 1/2008 1/2008 Magazine/Journal Y Medical Library Association United States Library and information science Journal of the National Cancer Institute 0027-8874 1/1992 Magazine/Journal Y U.S. National Cancer Institute United States Health Journal of the National Society of Allied Health 1945-3361 1/2009 1/2009 1/2009 Magazine/Journal Y The National Society of Allied Health United States Health Journal of the New York State Nurses Association 0028-7644 3/2006 3/2006 3/2006 Magazine/Journal Y New York State Nurses Association United States Health Journal of the Nigeria Society of Physiotherapy 0331-3735 1/2005 1/2005 Magazine/Journal Y Nigeria Society of Physiotherapy Nigeria Health Journal of the Peripheral Nervous System 1085-9489 3/2006 Magazine/Journal Y Blackwell Publishers Ltd. United Kingdom Health Journal of the Society of Pediatric Nurses 1088-145X 4/1996 10/2001 4/1996 10/2001 4/1996 10/2001 Magazine/Journal Y Blackwell Publishers Ltd. United Kingdom Health Journal of the Turkish German Gynecological Association 1309-0399 12/2009 12/2009 12/2009 Magazine/Journal Y Aves Yayincilik Turkey Health Journal of Theory Construction and Testing 1086-4431 3/2002 9/2003 3/2002 9/2003 12/2002 9/2003 Magazine/Journal Y Tucker Publications, Inc. United States Health Journal of Thoracic and Cardiovascular Surgery 0022-5223 1/1995 Magazine/Journal Y Elsevier B.V. Netherlands Health Journal of Thrombosis and Haemostasis 1538-7933 1/2006 Magazine/Journal Y Blackwell Publishers Ltd. United Kingdom Health care industry Pharmaceuticals and cosmetics Journal of Toxicology: Clinical Toxicology 0731-3810 3/1992 12/2004 3/1992 12/2004 6/1999 12/2004 Magazine/Journal Y Taylor & Francis Ltd. United Kingdom industries Journal of Translational Medicine 1479-5876 1/2007 1/2007 Magazine/Journal Y BioMed Central Ltd. United Kingdom Science and technology Journal of Trauma Management & Outcomes 1752-2897 11/2007 11/2007 Magazine/Journal Y BioMed Central Ltd. United Kingdom Health Lippincott Williams & Wilkins, WK Journal of Trauma Nursing 1078-7496 1/1996 Magazine/Journal Y Health United States Health care industry Journal of Travel Medicine 1195-1982 1/2006 Magazine/Journal Y Blackwell Publishers Ltd. United Kingdom Health HRC Academic 40/62
  • 43.
    Journal Name ISSN Index Start Index End Full-text Full-text End Image Start Image End Format Refereed/Peer- Embargo Publisher Name Publisher Country Publication Primary Subject Start Reviewed (Days) Engineering and manufacturing Journal of Validation Technology 1079-6630 8/2005 8/2005 11/2005 Magazine/Journal Y Advanstar Communications, Inc. United States industries Journal of Vascular Nursing 1062-0303 3/1995 Magazine/Journal Y Elsevier B.V. Netherlands Health care industry Journal of Vascular Surgery 0741-5214 10/1989 Magazine/Journal Y Elsevier B.V. Netherlands Health Journal of Vector Borne Diseases 0972-9062 6/2007 6/2007 6/2007 Magazine/Journal Y Indian Council of Medical Research India Health Journal of Vegetation Science 1100-9233 1/2007 12/2008 1/2007 12/2008 1/2007 12/2008 Magazine/Journal Y Opulus Press AB Sweden Biological sciences Journal of Veterinary Medicine Series A 0931-184X 5/2000 12/2007 Magazine/Journal Y Blackwell Publishers Ltd. United Kingdom Health care industry Journal of Veterinary Medicine Series B 0931-1793 2/2006 12/2006 Magazine/Journal Y Blackwell Publishers Ltd. United Kingdom Health care industry Journal of Veterinary Pharmacology and Therapeutics 0140-7783 4/2007 Magazine/Journal Y Blackwell Publishers Ltd. United Kingdom Health Journal of Viral Hepatitis 1352-0504 2/2006 Magazine/Journal Y Blackwell Publishers Ltd. United Kingdom Health Journal of Visual Impairment & Blindness 0145-482X 11/2006 11/2006 11/2006 Magazine/Journal Y American Foundation for the Blind United States Health Journal of Voice 0892-1997 6/2002 6/2002 7/2007 9/2002 7/2007 Magazine/Journal Y Elsevier, Inc. United States Health Journal of Women & Aging 0895-2841 1/1992 Magazine/Journal Y Routledge United Kingdom Seniors Medknow Publications and Media Pvt. Journal of Young Pharmacists 1/2009 1/2009 Magazine/Journal Y Ltd. India Science and technology Journal of Youth and Adolescence 0047-2891 2/1989 Magazine/Journal Y Springer United States Family and marriage Journal Watch Cardiology 1/1995 1/1995 Magazine/Journal Y Massachusetts Medical Society United States Health Journal Watch Dermatology 3/1993 3/1993 Magazine/Journal Y Massachusetts Medical Society United States Health Journal Watch Emergency Medicine 9/1997 9/1997 Magazine/Journal Y Massachusetts Medical Society United States Health Journal Watch Gastroenterology 2/2000 2/2000 Magazine/Journal Y Massachusetts Medical Society United States Health Journal Watch General Medicine 7/1987 7/1987 Magazine/Journal Y Massachusetts Medical Society United States Health Journal Watch HIV/AIDS Clinical Care 1/1995 1/1995 Magazine/Journal Y Massachusetts Medical Society United States Health Journal Watch Hospital Medicine 12/2007 12/2007 Magazine/Journal Y Massachusetts Medical Society United States Health Journal Watch Infectious Diseases 2/1998 2/1998 Magazine/Journal Y Massachusetts Medical Society United States Health Journal Watch Neurology 5/1999 5/1999 Magazine/Journal Y Massachusetts Medical Society United States Health Journal Watch Oncology & Hematology 10/2006 10/2006 Magazine/Journal Y Massachusetts Medical Society United States Health Journal Watch Pediatrics & Adolescent Medicine 2/2002 2/2002 Magazine/Journal Y Massachusetts Medical Society United States Health Journal Watch Psychiatry 2/1995 2/1995 Magazine/Journal Y Massachusetts Medical Society United States Health Journal Watch Women's Health 4/1996 4/1996 Magazine/Journal Y Massachusetts Medical Society United States Health Journals of Gerontology 0022-1422 5/1989 11/1994 Magazine/Journal Y Gerontological Society of America United States Health Journals of Gerontology, Series A 1079-5006 1/1995 Magazine/Journal Y Gerontological Society of America United States Seniors Journals of Gerontology, Series B 1079-5014 1/1995 Magazine/Journal Y Gerontological Society of America United States Seniors Kai Tiaki: Nursing New Zealand 1173-2032 2/2003 2/2003 2/2003 Magazine/Journal Y New Zealand Nurses' Organisation New Zealand Health care industry Key Words 1064-1211 10/2006 10/2006 10/2008 10/2006 10/2008 Magazine/Journal American Society of Indexers United States Library and information science Kinetoplastid Biology and Disease 1475-9292 12/2006 8/2007 12/2006 8/2007 Magazine/Journal Y BioMed Central Ltd. United Kingdom Biological sciences Knowledge, Attitudes, and Behavior Related To HIV/AIDS Among Transport SectorWorkers: A Case Study of Georgia 6/2008 6/2008 Report The World Bank United States Health Krames Consults: Arthritis Consult 2/2010 2/2010 2/2010 Pamphlet Harvard Health Publications Group United States Health Krames Consults: Asthma Consult 2/2010 2/2010 2/2010 Pamphlet Harvard Health Publications Group United States Health Krames Consults: Chronic Kidney Disease Consult 2/2010 2/2010 2/2010 Pamphlet Harvard Health Publications Group United States Health Krames Consults: Chronic Obstruction Pulmonary Disease Consult 2/2010 2/2010 2/2010 Pamphlet Harvard Health Publications Group United States Health Krames Consults: Coronary Artery Disease Consult 2/2010 2/2010 2/2010 Pamphlet Harvard Health Publications Group United States Health Krames Consults: Heart Failure Consult 2/2010 2/2010 2/2010 Pamphlet Harvard Health Publications Group United States Health Krames Consults: Maternal Health Consult 2/2010 2/2010 2/2010 Pamphlet Harvard Health Publications Group United States Health Krames Consults: Stroke Consult 2/2010 2/2010 2/2010 Pamphlet Harvard Health Publications Group United States Health Krames Consults: Type 1 Diabetes Consult 2/2010 2/2010 2/2010 Pamphlet Harvard Health Publications Group United States Health Krames Consults: Type 2 Diabetes Consult 2/2010 2/2010 2/2010 Pamphlet Harvard Health Publications Group United States Health Krames Signs and Symptoms FastGuides: Abdominal Pain 12/2009 12/2009 Pamphlet Harvard Health Publications Group United States Health Krames Signs and Symptoms FastGuides: Allergies 12/2009 12/2009 Pamphlet Harvard Health Publications Group United States Health HRC Academic 41/62
  • 44.
    Journal Name ISSN Index Start Index End Full-text Full-text End Image Start Image End Format Refereed/Peer- Embargo Publisher Name Publisher Country Publication Primary Subject Start Reviewed (Days) Krames Signs and Symptoms FastGuides: Asthma in Adults 12/2009 12/2009 Pamphlet Harvard Health Publications Group United States Health Krames Signs and Symptoms FastGuides: Asthma in Children 12/2009 12/2009 Pamphlet Harvard Health Publications Group United States Health Krames Signs and Symptoms FastGuides: Back Pain 12/2009 12/2009 Pamphlet Harvard Health Publications Group United States Health Krames Signs and Symptoms FastGuides: Breast Changes 12/2009 12/2009 Pamphlet Harvard Health Publications Group United States Health Krames Signs and Symptoms FastGuides: Chest Pain 12/2009 12/2009 Pamphlet Harvard Health Publications Group United States Health Krames Signs and Symptoms FastGuides: Chronic Pain 12/2009 12/2009 Pamphlet Harvard Health Publications Group United States Health Krames Signs and Symptoms FastGuides: COPD 12/2009 12/2009 Pamphlet Harvard Health Publications Group United States Health Krames Signs and Symptoms FastGuides: Depression 12/2009 12/2009 Pamphlet Harvard Health Publications Group United States Health Krames Signs and Symptoms FastGuides: Diabetes 12/2009 12/2009 Pamphlet Harvard Health Publications Group United States Health Krames Signs and Symptoms FastGuides: Hand and Wrist Pain 12/2009 12/2009 Pamphlet Harvard Health Publications Group United States Health Krames Signs and Symptoms FastGuides: Head Injuries 12/2009 12/2009 Pamphlet Harvard Health Publications Group United States Health Krames Signs and Symptoms FastGuides: Headache 12/2009 12/2009 Pamphlet Harvard Health Publications Group United States Health Krames Signs and Symptoms FastGuides: Knee Injuries 12/2009 12/2009 Pamphlet Harvard Health Publications Group United States Health Krames Signs and Symptoms FastGuides: Knee Pain 12/2009 12/2009 Pamphlet Harvard Health Publications Group United States Health Krames Signs and Symptoms FastGuides: Neck Pain 12/2009 12/2009 Pamphlet Harvard Health Publications Group United States Health Krames Signs and Symptoms FastGuides: Skin Disorders 12/2009 12/2009 Pamphlet Harvard Health Publications Group United States Health Krames Signs and Symptoms FastGuides: Sleep Disorders 12/2009 12/2009 Pamphlet Harvard Health Publications Group United States Health Krames Signs and Symptoms FastGuides: Stroke 12/2009 12/2009 Pamphlet Harvard Health Publications Group United States Health KUST Medical Journal 2072-7763 12/2009 12/2009 Magazine/Journal Y Asianet-Pakistan Pakistan Health Lab Animal 0093-7355 1/2003 1/2003 5/2007 Magazine/Journal Y 365 Nature Publishing Group United Kingdom Health LaboratoriumsMedizin / Journal of Laboratory Medicine 0342-3026 1/1984 7/2010 7/2010 Magazine/Journal Y Walter de Gruyter GmbH & Co. KG Germany Health Ladies Home Journal 0023-7124 1/1980 Magazine/Journal Ladies Home Journal United States Women's issues/gender studies Lamp 0047-3936 12/2006 12/2006 12/2006 Magazine/Journal New South Wales Nurses Association Australia Health care industry Lancet 0140-6736 1/1988 Magazine/Journal Y Elsevier B.V. Netherlands Lancet Oncology 1470-2045 5/2000 Magazine/Journal Y Elsevier B.V. Netherlands Health care industry Langenbeck's Archives of Surgery 1435-2443 2/2006 Magazine/Journal Y Springer United States Health care industry Language and Speech 0023-8309 9/2001 9/2001 9/2001 Magazine/Journal Y Sage Publications, Inc. United States Languages and linguistics American Speech-Language-Hearing Language, Speech, & Hearing Services in Schools 0161-1461 1/2006 1/2006 1/2006 Magazine/Journal Y Association United States Education Lippincott Williams & Wilkins, WK Laryngoscope 0023-852X 3/1989 6/1989 Magazine/Journal Y Health United States Health Metals, metalworking and Laserdisk Professional 0896-4149 1/1989 3/1990 1/1989 3/1990 Magazine/Journal Information Today, Inc. United States machinery industries Lasers in Medical Science 0268-8921 1/1986 Magazine/Journal Y Springer United States Physics American Society of Law, Medicine & Law, Medicine & Health Care 0277-8459 2/1982 12/1992 Magazine/Journal Y Ethics United States Law Royal College of Nursing Publishing Learning Disability Practice 1465-8712 4/2003 4/2003 5/2003 Magazine/Journal Y 90 Company (RCN) United Kingdom Education Learning in Health and Social Care 1473-6853 3/2006 Magazine/Journal Y Blackwell Publishers Ltd. United Kingdom Health care industry Legal Eagle Eye Newsletter for the Legal Eagle Eye Newsletter for the Nursing Profession 1085-4924 2/2006 7/2009 2/2006 7/2009 2/2006 7/2009 Newsletter Nursing Profession United States Health Legal Medical Quarterly 0703-1211 1/1980 1/1986 Magazine/Journal Jonah Publications Ltd. (USA) Law Legal Medicine 0197-9981 1/1985 1/1993 Magazine/Journal Butterworths Legal Publishers Law Medical-Legal Consulting Institute, Legal Nurse Consulting Ezine 1533-9564 11/2006 12/2008 11/2006 12/2008 Magazine/Journal Inc. United States Law Legislative Network for Nurses 8756-0054 1/2004 6/2006 1/2004 6/2006 Magazine/Journal Eli Research, Inc. United States Law HRC Academic 42/62
  • 45.
    Journal Name ISSN Index Start Index End Full-text Full-text End Image Start Image End Format Refereed/Peer- Embargo Publisher Name Publisher Country Publication Primary Subject Start Reviewed (Days) Leprosy Review 0305-7518 9/2006 9/2006 9/2006 Magazine/Journal Y British Leprosy Relief Association United Kingdom Health Less Invasive AVM Treatment 7/2010 7/2010 Video Detroit Medical Center United States Health Less Invasive Knee Replacement 7/2008 7/2008 Video Detroit Medical Center United States Health Let's Live 0024-1288 1/1988 1/2006 Magazine/Journal Hilltopper Publications, Inc. United States Health Letters in Applied Microbiology 0266-8254 1/2006 Magazine/Journal Y Blackwell Publishers Ltd. United Kingdom Biological sciences Leukemia 0887-6924 1/2000 1/2000 2/2002 Magazine/Journal Y 365 Nature Publishing Group United Kingdom Health Library Hi Tech 0737-8831 1/1983 Magazine/Journal Y Pierian Press Inc. Library and information science Library Journal 0363-0277 1/1980 1/1997 Magazine/Journal Library Journals, LLC United States Library and information science Library Software Review 0742-5759 5/1988 12/1998 5/1988 12/1998 Magazine/Journal Sage Publications, Inc. United States Library and information science Life Extension 1524-198X 2/2007 2/2007 2/2007 Magazine/Journal LE Publications, Inc. United States Health Life Science Weekly 1552-2466 1/2003 1/2003 Newsletter NewsRX United States Biological sciences Life Sciences and Medicine Research 1948-7886 1/2010 1/2010 1/2010 Magazine/Journal HATASO Enterprises, LLC United States LILIPOH 6/2007 6/2007 6/2007 Magazine/Journal Lilipoh Publishing, Inc. United States Health Link-Up 0739-988X 5/1988 7/2002 5/1988 7/2002 1/2000 7/2002 Magazine/Journal Information Today, Inc. United States Computers Lipids 0024-4201 1/1997 Magazine/Journal Y Springer United States Biological sciences Lipids in Health and Disease 1476-511X 12/2006 12/2006 Magazine/Journal Y BioMed Central Ltd. United Kingdom Biological sciences Liver International 1478-3223 2/2006 Magazine/Journal Y Blackwell Publishers Ltd. United Kingdom Health LivingRight: Your Health and Wellness Awareness Bulletin 5/2010 5/2010 5/2010 Magazine/Journal J. J. Keller & Associates, Inc. United States Health Locum Life 1934-5429 9/2006 12/2010 9/2006 12/2010 10/2006 12/2010 Magazine/Journal Advanstar Communications, Inc. United States Health Long-Term Care Interface 1535-203X 8/2006 1/2007 8/2006 1/2007 8/2006 1/2007 Magazine/Journal Y Medicom International, Inc. United States Health care industry Long-Term Living 1940-9958 3/2008 3/2008 3/2008 Magazine/Journal Vendome Group LLC United States Health care industry Los Angeles Times 0458-3035 1/1982 4/2003 Newspaper Los Angeles Times United States News, opinion and commentary Lung 0341-2040 1/1997 Magazine/Journal Y Springer United States Health Medknow Publications and Media Pvt. Lung India 0970-2113 1/2009 1/2009 Magazine/Journal Y Ltd. India Health M.D. Computing 0724-6811 1/1984 1/2001 Magazine/Journal Y Springer-Verlag New York Inc. Health care industry Macroeconomic Effects of AIDS 7/1993 7/1993 Report The World Bank United States Health Madagascar - Multisectoral STI/HIV/AIDS Prevention Project 11/2001 11/2001 Report The World Bank United States Health Ethnic, cultural, racial Mainstream 0278-8225 1/1988 12/1994 Newsletter Exploding Myths, Inc. United States issues/studies Malaria Journal 1475-2875 12/2006 12/2006 Magazine/Journal Y BioMed Central Ltd. United Kingdom Health Malaria Weekly (Atlanta, GA) 1553-7145 1/2003 1/2003 Newsletter NewsRX United States Health Mammalian Genome 0938-8990 2/2006 Magazine/Journal Y Springer United States Biological sciences Managed Care Emergency Department 1092-0323 1/1997 12/1998 1/1997 12/1998 Newsletter AHC Media LLC United States Health care industry Managed Care Interface 1096-5645 11/2006 11/2006 11/2006 11/2006 11/2006 11/2006 Magazine/Journal Medicom International, Inc. United States Health care industry Managed Care Outlook 0896-6567 1/2006 1/2006 1/2006 Magazine/Journal Aspen Publishers, Inc. United States Health care industry Managed Care Quarterly 1064-5454 3/2006 6/2006 3/2006 6/2006 3/2006 6/2006 Magazine/Journal Aspen Publishers, Inc. United States Health care industry Managed Care Strategies 1082-5312 1/1997 12/1998 1/1997 12/1998 Newsletter AHC Media LLC United States Health care industry Managed Care Weekly 1543-6365 2/2003 12/2004 2/2003 12/2004 Magazine/Journal NewsRX United States Health care industry Managed Healthcare 1060-1392 8/2000 12/2000 8/2000 12/2000 Magazine/Journal Advanstar Communications, Inc. United States Health care industry Managed Healthcare Executive 1533-9300 1/2001 1/2001 2/2002 6/2004 Magazine/Journal Advanstar Communications, Inc. United States Health care industry Managedhealthcare.Info 1538-9138 8/2002 1/2003 8/2002 1/2003 Magazine/Journal NewsRX United States Health care industry Manual Therapy 1356-689X 6/1996 Magazine/Journal Y Elsevier B.V. Netherlands Health care industry Marine Biotechnology 1436-2228 4/2005 Magazine/Journal Y Springer United States Biotechnology industry Advertising, marketing and Marketing Health Services 1094-1304 3/1997 Magazine/Journal American Marketing Association United States public relations Maryland Nurse 0047-6080 11/2007 11/2007 11/2007 Magazine/Journal Maryland Nurses Association United States Health American Massage Therapy Massage Therapy Journal 0895-0814 6/2000 1/2006 1/2006 Magazine/Journal Y Association United States Health Massage Today 1531-8079 9/2007 9/2007 8/2010 9/2007 8/2010 Magazine/Journal MPA Media United States Health Maternal and Child Health Journal 1092-7875 3/1997 Magazine/Journal Y Springer United States Health care industry Mature Health 1045-022X 10/1989 4/1990 10/1989 4/1990 Magazine/Journal Haymarket Group Ltd. United States Health Mayo Foundation for Medical Mayo Clinic Health Letter 0741-6245 1/1988 Newsletter Education and Research United States Health Mayo Foundation for Medical Mayo Clinic Nutrition Letter 1044-7881 4/1988 12/1990 Newsletter Education and Research United States Food/cooking/nutrition Mayo Clinic Proceedings 0025-6196 3/2007 3/2007 3/2007 Magazine/Journal Y 7 Dowden Health Media, Inc. United States Health Arts and entertainment McCall's 0024-8908 1/1980 3/2001 Magazine/Journal Gruner & Jahr USA Publishing United States industries McKnight's Long-Term Care News 1048-3314 3/1999 3/1999 10/1999 Magazine/Journal Haymarket Media, Inc. United States Health care industry HRC Academic 43/62
  • 46.
    Journal Name ISSN Index Start Index End Full-text Full-text End Image Start Image End Format Refereed/Peer- Embargo Publisher Name Publisher Country Publication Primary Subject Start Reviewed (Days) MDA Newsmagazine 8750-2321 3/1988 12/1991 Magazine/Journal Muscular Dystrophy Association, Inc. United States Health MDA Reports 1061-4370 3/1992 12/1992 Magazine/Journal Muscular Dystrophy Association, Inc. United States Social sciences Measurement and Evaluation in Counseling and Development 0748-1756 4/2009 Magazine/Journal Y Sage Publications, Inc. United States Education Measurement in Physical Education & Exercise Science 1091-367X 3/2007 3/2007 3/2007 Magazine/Journal Y Taylor & Francis Ltd. United Kingdom Education Mediators of Inflammation 0962-9351 1/2005 1/2005 1/2005 Magazine/Journal Y Hindawi Publishing Corp. Egypt Biological sciences Medical & Biological Engineering & Computing 0140-0118 1/1983 Magazine/Journal Y Springer United States Health Medical Acupuncture 1933-6586 3/2007 9/2011 3/2007 9/2011 3/2007 9/2011 Magazine/Journal Y Mary Ann Liebert, Inc. United States Health Medical and Health Science Journal 1804-1884 1/2010 1/2010 1/2010 Magazine/Journal Y Prague Development Center Czech Republic Health Medical and Veterinary Entomology 0269-283X 3/2006 Magazine/Journal Y Blackwell Publishers Ltd. United Kingdom Biological sciences Medical Anthropology Quarterly 0745-5194 3/1999 Magazine/Journal Y American Anthropological Assn. United States Health Medical Benefits 0743-8079 2/2002 2/2002 3/2002 Newsletter Aspen Publishers, Inc. United States Insurance Medical Bulletin of Haseki 1302-0072 3/2010 3/2010 3/2010 Magazine/Journal Y Galenos Yayinevi Tic. Ltd. Turkey Health Medical Channel 9/2010 9/2010 Magazine/Journal Asianet-Pakistan Pakistan Health Medical Decision Making 0272-989X 1/2005 1/2005 9/2008 1/2005 9/2007 Magazine/Journal Y Sage Publications, Inc. United States Health Medical Device & Diagnostic Industry 0194-844X 7/2010 7/2010 7/2010 Magazine/Journal Canon Communications LLC United States Health Medical Device Daily 1/1999 1/1999 1/2002 1/2002 Newsletter AHC Media LLC United States Health care industry Medical Device Technology 1048-6690 7/2000 11/2009 Magazine/Journal Canon Communications LLC United States Health Medical Device Week 12/2004 9/2008 12/2004 9/2008 Magazine/Journal AHC Media LLC United States Health Medical Devices & Surgical Technology Week 1537-1409 2/2001 2/2001 Newsletter NewsRX United States Health Medical Devices Market Research Report 7/2009 7/2009 7/2009 Report MarketsandMarkets India Health Medical Economics 0025-7206 1/1981 1/1990 1/2006 Magazine/Journal Advanstar Communications, Inc. United States Health care industry Medical Education 0308-0110 1/1999 Magazine/Journal Y Blackwell Publishers Ltd. United Kingdom Education Medical Electron Microscopy 0918-4287 8/1993 12/2004 Magazine/Journal Y Springer United States Biological sciences Medical Ethics Advisor 0886-0653 1/1997 1/1997 1/2002 3/2005 Newsletter AHC Media LLC United States Philosophy and religion Medical Gas Research 2045-9912 4/2011 4/2011 Magazine/Journal Y BioMed Central Ltd. United Kingdom Health Medical Humanities 1468-215X 1/1990 6/2001 12/2003 Magazine/Journal Y British Medical Association United States Health Medical Imaging 1073-1202 1/2006 11/2008 1/2006 11/2008 1/2006 11/2008 Magazine/Journal Allied Media LLC United States Health Australasian Medical Publishing Medical Journal of Australia 0025-729X 1/1997 Magazine/Journal Y Company Limited Australia Health Medical Laboratory Observer 0580-7247 2/1981 1/1983 1/1991 Magazine/Journal NP Communications, LLC United States Health care industry Medknow Publications and Media Pvt. Medical Law Cases - for Doctors 0974-1232 1/2009 1/2009 Magazine/Journal Y Ltd. India Law Medical Law's Regan Report 1528-8471 1/2000 1/2000 1/2000 Magazine/Journal Medical Law Publishing United States Law Medical Letter on the CDC & FDA 1532-4648 11/1999 11/1999 Newsletter NewsRX United States Health Medical Malpractice Law & Strategy 0747-8925 8/2007 4/2011 Newsletter Incisive Media United States Law Medical Marketing & Media 0025-7354 8/1991 8/1991 12/1999 Magazine/Journal Haymarket Media, Inc. United States Health care industry Penton Media, Inc., Penton Business Medical Meetings 0093-1314 6/1999 6/1999 12/1999 12/2001 Magazine/Journal Media, Inc. and their subsidiaries United States Health care industry Medical Microbiology and Immunology 0300-8584 6/2000 Magazine/Journal Y Springer United States Health Medical Molecular Morphology 1860-1480 3/2005 Magazine/Journal Y Springer United States Biological sciences Medical Oncology 1357-0560 4/1999 Magazine/Journal Y Springer United States Health Medical Problems of Performing Artists 0885-1158 3/2000 3/2000 6/2009 3/2000 6/2009 Magazine/Journal Y Science & Medicine United States Health Medical Product Manufacturing News 0893-6250 1/2011 1/2011 1/2011 Magazine/Journal Canon Communications LLC United States Health Medical SelfCare 0162-2285 1/1988 11/1989 Magazine/Journal Island Publishing United States Health U.S. Army Medical Department Center Medical Soldiers Outlook 6/2005 6/2009 6/2005 6/2009 6/2005 6/2009 Magazine/Journal & School United States Health Medical Technology and Devices Week 1935-696X 12/2006 8/2008 12/2006 8/2008 12/2006 8/2008 Newsletter AHC Media LLC United States Health care industry Medical Treatment of Glaucoma 1/2010 1/2010 1/2010 Report Y Kugler Publications Netherlands Health Benjamin Franklin Literary & Medical Medical Update 0732-0183 1/1988 5/2005 1/1989 5/2005 8/1999 5/2005 Newsletter Society, Inc. United States Health Medical World News 0025-763X 1/1988 2/1994 1/1988 2/1994 Magazine/Journal Miller Freeman, Inc. United States Health Medicare & Reimbursement Advisor Weekly 1556-1100 2/2009 12/2009 2/2009 12/2009 2/2009 12/2009 Magazine/Journal HCPro, Inc. United States Health Medicina Sportiva 1429-0022 3/2011 3/2011 3/2011 Magazine/Journal Medicina Sportiva Poland Health Lippincott Williams & Wilkins, WK Medicine 0025-7974 7/1989 Magazine/Journal Y Health United States Health Medicine & Health 1047-8892 1/1991 7/2009 12/1997 7/2009 1/2000 7/2009 Magazine/Journal Eli Research, Inc. United States Health Lippincott Williams & Wilkins, WK Medicine and Science in Sports and Exercise 0195-9131 1/1999 Magazine/Journal Y Health United States Health Society for the Study of Multicultural Medicine of the Americas 1531-3069 9/2000 3/2001 9/2000 3/2001 1/2001 3/2001 Magazine/Journal Y Medicine United States Health Medicine on the Net 1085-3502 1/2007 1/2007 2/2007 Newsletter HCPro, Inc. United States Health care industry Mediterranean Journal of Nutrition and Metabolism 1973-798X 5/2008 Magazine/Journal Y Springer United States Health HRC Academic 44/62
  • 47.
    Journal Name ISSN Index Start Index End Full-text Full-text End Image Start Image End Format Refereed/Peer- Embargo Publisher Name Publisher Country Publication Primary Subject Start Reviewed (Days) medizinische genetik 0936-5931 3/2007 Magazine/Journal Y Springer United States Health MedSurg Nursing 1092-0811 2/1996 2/1996 2/1996 Magazine/Journal Y Jannetti Publications, Inc. United States Health Melody Valve Heart Procedure 11/2011 11/2011 Video Detroit Medical Center United States Health Melpomene Journal 1043-8734 9/2001 9/2002 9/2001 9/2002 9/2001 9/2002 Newsletter Melpomene Institute United States Women's issues/gender studies memo - Magazine of European Medical Oncology 1865-5041 3/2008 Magazine/Journal Springer United States Health Memory & Cognition 0090-502X 1/1989 Magazine/Journal Y Springer United States Psychology and mental health Menopause News 1061-4397 1/1994 5/1999 1/1994 5/1999 Magazine/Journal Menopause News United States Health Men's Fitness 0893-4460 1/1992 7/1998 Magazine/Journal Weider Publications LLC United States Health Men's Health 1054-4836 3/1989 1/1993 9/1994 11/2003 Magazine/Journal 30 Rodale, Inc. United States Health Men's Health Advisor 1527-084X 1/2006 1/2006 1/2006 Magazine/Journal Belvoir Media Group, LLC United States Health Mental Health Aspects of Developmental Disabilities 1557-5187 1/2007 10/2008 1/2007 10/2008 1/2007 10/2008 Magazine/Journal Y Psych-Media of North Carolina, Inc. United States Psychology and mental health Mental Health Law Report 0741-5141 1/2004 6/2006 1/2004 6/2006 Magazine/Journal Eli Research, Inc. United States Law Royal College of Nursing Publishing Mental Health Practice 1465-8720 4/2003 4/2003 4/2003 Magazine/Journal Y 90 Company (RCN) United Kingdom Health Mental Health Weekly 1058-1103 7/1999 7/1999 8/1999 Newsletter 180 Wiley Periodicals, Inc. United States Psychology and mental health Mental Health Weekly Digest 1543-6616 1/2003 1/2003 Newsletter NewsRX United States Psychology and mental health Merrill-Palmer Quarterly 0272-930X 1/1998 1/1998 1/1999 Magazine/Journal Y Wayne State University Press United States Psychology and mental health Metabolic Syndrome and Related Disorders 1540-4196 12/2007 10/2011 12/2007 10/2011 12/2007 10/2011 Magazine/Journal Y Mary Ann Liebert, Inc. United States Health Engineering and manufacturing Metallurgical and Materials Transactions A 1073-5623 1/1997 Magazine/Journal Y Springer United States industries Metaphysica 1437-2053 4/2007 Magazine/Journal Springer United States Social sciences Microbial Cell Factories 1475-2859 1/2007 1/2007 Magazine/Journal Y BioMed Central Ltd. United Kingdom Biological sciences Microbial Drug Resistance 1076-6294 12/2007 9/2011 12/2007 9/2011 12/2007 9/2011 Magazine/Journal Y Mary Ann Liebert, Inc. United States Health Microbial Ecology 0095-3628 9/2002 Magazine/Journal Y Springer United States Biological sciences Microbial Informatics and Experimentation 2042-5783 6/2011 6/2011 Magazine/Journal Y BioMed Central Ltd. United Kingdom Computers Medknow Publications and Media Pvt. Middle East African Journal of Ophthalmology 0974-9233 1/2009 1/2009 Magazine/Journal Y Ltd. India Health Midwifery 0266-6138 12/1996 Magazine/Journal Y Elsevier B.V. Netherlands Health care industry Midwifery Today 1522-2888 3/2000 3/2000 3/2003 3/2000 3/2003 Magazine/Journal Midwifery Today, Inc. United States Health Midwives Magazine 1479-2915 7/2007 7/2007 4/2010 7/2007 4/2010 Magazine/Journal Y Redactive Media Group United Kingdom Health National Center for Farmworker Migrant Health Newsline 9/2006 9/2006 9/2006 Magazine/Journal Health, Inc. United States Health Milbank Quarterly 0887-378X 3/1988 Magazine/Journal Y Blackwell Publishers Ltd. United Kingdom Health care industry Mind, Mood & Memory 1555-7308 1/2006 1/2006 1/2006 Magazine/Journal Belvoir Media Group, LLC United States Psychology and mental health Mindfulness 1868-8527 3/2010 Magazine/Journal Springer United States Psychology and mental health Minority Nurse Newsletter 1071-9946 1/2002 9/2003 1/2002 9/2003 6/2002 9/2003 Newsletter Tucker Publications, Inc. United States Health Missouri Nurse 0026-6655 4/2007 4/2007 4/2007 Newsletter Missouri Nurses Association United States Health MM&M Medical Marketing & Media 0025-7354 1/1989 7/1991 1/1989 7/1991 Magazine/Journal Haymarket Media, Inc. United States Health care industry Mobile DNA 1759-8753 1/2010 1/2010 Magazine/Journal Y BioMed Central Ltd. United Kingdom Science and technology Athena Healthcare Consulting Group, Models of Care 1097-069X 1/1999 9/2000 1/1999 9/2000 1/1999 9/2000 Magazine/Journal Inc. United States Health care industry Modern Healthcare 0160-7480 8/1981 1/1996 Magazine/Journal Crain Communications, Inc. United States Health care industry Modern Hygienist 1558-9242 2/2007 12/2009 2/2007 12/2009 2/2007 12/2009 Magazine/Journal Advanstar Communications, Inc. United States Health American Association of Retired Modern Maturity 0026-8046 2/1980 12/2001 Magazine/Journal Persons United States General interest Modern Physician 1098-1845 2/1999 4/2007 2/1999 4/2007 Magazine/Journal Crain Communications, Inc. United States Health Modern Rheumatology 1439-7595 3/2000 Magazine/Journal Y Springer United States Health Molecular Autism 2040-2392 2/2010 2/2010 Magazine/Journal Y BioMed Central Ltd. United Kingdom Health Molecular Biology 0026-8933 11/2000 Magazine/Journal Y Springer United States Science and technology Molecular Biotechnology 1073-6085 5/1999 Magazine/Journal Y Springer United States Biological sciences Molecular Brain 1756-6606 6/2008 6/2008 Magazine/Journal Y BioMed Central Ltd. United Kingdom Health Molecular Cancer 1476-4598 1/2007 1/2007 Magazine/Journal Y BioMed Central Ltd. United Kingdom Health Molecular Diagnosis & Therapy 1177-1062 1/2006 1/2006 9/2011 1/2006 9/2011 Magazine/Journal Y Wolters Kluwer Health United Kingdom Health Molecular Ecology 0962-1083 1/2006 Magazine/Journal Y Blackwell Publishers Ltd. United Kingdom Biological sciences Molecular Genetics, Microbiology and Virology 0891-4168 3/2007 Magazine/Journal Y Springer United States Health Molecular Microbiology 0950-382X 5/1997 Magazine/Journal Y Blackwell Publishers Ltd. United Kingdom Biological sciences Molecular Pain 1744-8069 1/2007 1/2007 Magazine/Journal Y BioMed Central Ltd. United Kingdom Health Molecular Pathology 1366-8714 2/2001 12/2003 2/2001 12/2003 6/2001 10/2001 Magazine/Journal Y British Medical Association United States Health Molecular Psychiatry 1359-4184 1/2000 1/2000 5/2007 Magazine/Journal Y 365 Nature Publishing Group United Kingdom Health HRC Academic 45/62
  • 48.
    Journal Name ISSN Index Start Index End Full-text Full-text End Image Start Image End Format Refereed/Peer- Embargo Publisher Name Publisher Country Publication Primary Subject Start Reviewed (Days) Momentum 1940-3410 12/2007 12/2007 12/2007 Magazine/Journal National Multiple Sclerosis Society United States Health Monographs of the Society for Research in Child Development 0037-976X 2/2003 Magazine/Journal Y Blackwell Publishers Ltd. United Kingdom Education Morbidity and Mortality Weekly Report 0149-2195 7/1989 7/1989 7/1994 Newsletter U.S. Government Printing Office United States Health Moscow University Biological Sciences Bulletin 0096-3925 3/2007 Magazine/Journal Y Springer United States Biological sciences Moscow University Computational Mathematics and Cybernetics 0278-6419 3/2007 Magazine/Journal Y Springer United States Computers Moscow University Soil Science Bulletin 0147-6874 3/2007 Magazine/Journal Y Springer United States Agricultural industry Mothering 0733-3013 1/1988 11/2010 3/1989 3/2008 9/2001 3/2008 Magazine/Journal Mothering Magazine United States Family and marriage MPR (Hematology and Oncology Edition) 1945-2225 12/2009 12/2009 12/2009 Magazine/Journal Haymarket Media, Inc. United States Health MPR (Obstetrician & Gynecologist Edition) 1051-4171 3/2008 3/2008 3/2008 Magazine/Journal Y Haymarket Media, Inc. United States Health MPR (Pediatricians' Edition) 9/2009 9/2009 9/2009 Magazine/Journal Haymarket Media, Inc. United States Health MPR (Pharmacists' Edition) 1938-9523 12/2009 12/2009 12/2009 Magazine/Journal Haymarket Media, Inc. United States Health MPR (UrologistsÆ Edition) 1938-9515 9/2009 9/2009 9/2009 Magazine/Journal Haymarket Media, Inc. United States Health MPR Monthly Prescribing Reference 0883-0266 10/2005 10/2005 10/2005 Handbook Haymarket Media, Inc. United States Health Muscle & Fitness/Hers 1526-9140 2/2002 2/2002 Magazine/Journal Weider Publications LLC United States Sports and fitness Mycoses 0933-7407 1/2006 Magazine/Journal Y Blackwell Publishers Ltd. United Kingdom Health Center for Nutrition Policy and MyPyramid Podcasts 1/2010 1/2010 Audio Promotion United States Health N & HC: Perspectives on Community 1081-8731 1/1996 3/1997 1/1996 3/1997 1/1996 3/1997 Magazine/Journal Y National League for Nursing, Inc. United States Health Nanomedicine 1743-5889 6/2006 6/2006 Magazine/Journal Y 365 Future Medicine Ltd. United Kingdom Health National Institutes of Health: News and Events 3/2006 3/2006 Magazine/Journal National Institutes of Health United States Health Medknow Publications and Media Pvt. National Journal of Maxillofacial Surgery 0975-5950 1/2010 1/2010 Magazine/Journal Y Ltd. India Health National Women's Health Report 0741-9147 4/2002 11/2009 4/2002 11/2009 6/2002 11/2009 Newsletter HealthyWomen United States Health Nation's Health 0028-0496 7/1989 8/2006 8/2006 Magazine/Journal The Nation's Health United States Health Natural Health 1067-9588 1/1993 1/1993 Magazine/Journal Weider Publications LLC United States Health Zoology and wildlife Nature 0028-0836 12/1981 1/2000 11/2000 Magazine/Journal Y 365 Nature Publishing Group United Kingdom conservation Nature Biotechnology 1087-0156 6/1998 1/2000 1/2008 Magazine/Journal Y 365 Nature Publishing Group United Kingdom Biotechnology industry Nature Cell Biology 1465-7392 1/2000 1/2000 5/2007 Magazine/Journal Y 365 Nature Publishing Group United Kingdom Biological sciences Nature Clinical Practice Cardiovascular Medicine 1743-4297 11/2004 3/2009 11/2004 3/2009 5/2007 3/2009 Magazine/Journal Y Nature Publishing Group United Kingdom Health Nature Clinical Practice Endocrinology & Metabolism 1745-8366 11/2005 3/2009 11/2005 3/2009 5/2007 3/2009 Magazine/Journal Y Nature Publishing Group United Kingdom Health Nature Clinical Practice Gastroenterology and Hepatology 1743-4378 11/2004 3/2009 11/2004 3/2009 5/2007 3/2009 Magazine/Journal Y Nature Publishing Group United Kingdom Health Nature Clinical Practice Nephrology 1745-8323 11/2005 3/2009 11/2005 3/2009 5/2007 3/2009 Magazine/Journal Y Nature Publishing Group United Kingdom Health Nature Clinical Practice Neurology 1745-834X 11/2005 3/2009 11/2005 3/2009 5/2007 3/2009 Magazine/Journal Y Nature Publishing Group United Kingdom Health Nature Clinical Practice Oncology 1743-4254 9/2004 3/2009 9/2004 3/2009 9/2006 3/2009 Magazine/Journal Y Nature Publishing Group United Kingdom Health Nature Clinical Practice Rheumatology 1745-8382 11/2005 3/2009 11/2005 3/2009 6/2006 3/2009 Magazine/Journal Y Nature Publishing Group United Kingdom Health Nature Clinical Practice Urology 1743-4270 11/2004 3/2009 11/2004 3/2009 5/2007 3/2009 Magazine/Journal Y Nature Publishing Group United Kingdom Health Nature Genetics 1061-4036 1/2000 1/2000 5/2006 Magazine/Journal Y 365 Nature Publishing Group United Kingdom Health Nature Immunology 1529-2908 7/2000 7/2000 1/2002 Magazine/Journal Y 365 Nature Publishing Group United Kingdom Health Nature Medicine 1078-8956 1/1999 1/2000 2/2008 Magazine/Journal Y 365 Nature Publishing Group United Kingdom Health Nature Methods 1548-7091 10/2004 10/2004 5/2007 Magazine/Journal Y 365 Nature Publishing Group United Kingdom Health Nature Neuroscience 1097-6256 1/2000 1/2000 5/2007 Magazine/Journal Y 365 Nature Publishing Group United Kingdom Health Nature Protocols 1754-2189 1/2006 1/2006 5/2007 Magazine/Journal Y 365 Nature Publishing Group United Kingdom Science and technology Nature Reviews Cancer 1474-175X 10/2001 10/2001 5/2007 Magazine/Journal Y 365 Nature Publishing Group United Kingdom Health Nature Reviews Cardiology 1743-5002 4/2009 4/2009 4/2009 Magazine/Journal Y 365 Nature Publishing Group United Kingdom Health Nature Reviews Clinical Neurology 1759-4758 4/2009 4/2009 4/2009 Magazine/Journal Y 365 Nature Publishing Group United Kingdom Health Nature Reviews Clinical Oncology 1759-4774 4/2009 4/2009 4/2009 Magazine/Journal Y 365 Nature Publishing Group United Kingdom Health Nature Reviews Drug Discovery 1474-1776 1/2002 1/2002 5/2007 Magazine/Journal Y 365 Nature Publishing Group United Kingdom Health Nature Reviews Endocrinology 1759-5029 4/2009 4/2009 4/2009 Magazine/Journal Y 365 Nature Publishing Group United Kingdom Health Nature Reviews Gastroenterology & Hepatology 1759-5045 4/2009 4/2009 4/2009 Magazine/Journal Y 365 Nature Publishing Group United Kingdom Health Nature Reviews Genetics 1471-0056 10/2000 10/2000 1/2007 Magazine/Journal Y 365 Nature Publishing Group United Kingdom Health Nature Reviews Immunology 1474-1733 10/2001 10/2001 11/2006 Magazine/Journal Y 365 Nature Publishing Group United Kingdom Health Nature Reviews Microbiology 1740-1526 10/2003 10/2003 5/2007 Magazine/Journal Y 365 Nature Publishing Group United Kingdom Health Nature Reviews Molecular Cell Biology 1471-0072 10/2000 10/2000 5/2007 Magazine/Journal Y 365 Nature Publishing Group United Kingdom Science and technology Nature Reviews Nephrology 1759-5061 4/2009 4/2009 4/2009 Magazine/Journal Y 365 Nature Publishing Group United Kingdom Health Nature Reviews Neuroscience 1471-003X 10/2000 10/2000 11/2007 Magazine/Journal Y 365 Nature Publishing Group United Kingdom Health Nature Reviews Rheumatology 1759-4790 4/2009 4/2009 4/2009 Magazine/Journal Y 365 Nature Publishing Group United Kingdom Health Nature Reviews Urology 1759-4812 4/2009 4/2009 4/2009 Magazine/Journal Y 365 Nature Publishing Group United Kingdom Health Nature Structural and Molecular Biology 1545-9993 1/2004 1/2004 8/2007 Magazine/Journal Y 365 Nature Publishing Group United Kingdom Science and technology Nature Structural Biology 1072-8368 1/2000 12/2003 Magazine/Journal Y Nature Publishing Group United Kingdom Science and technology Pharmaceuticals and cosmetics Naunyn-Schmiedeberg's Archives of Pharmacology 0028-1298 8/2005 Magazine/Journal Y Springer United States industries NCAHF Newsletter 0890-3417 1/1988 5/1998 1/1989 5/1998 Newsletter Stephen Barrett, M.D. United States Health NCI Cancer Weekly 0896-7385 1/1989 12/1990 1/1989 12/1990 Newsletter NewsRX United States Health care industry HRC Academic 46/62
  • 49.
    Journal Name ISSN Index Start Index End Full-text Full-text End Image Start Image End Format Refereed/Peer- Embargo Publisher Name Publisher Country Publication Primary Subject Start Reviewed (Days) NCRHI Newsletter 1534-6900 5/1998 1/2003 5/1998 1/2003 7/1999 1/2003 Newsletter Stephen Barrett, M.D. United States Health care industry Nephrology 1320-5358 2/2006 Magazine/Journal Y Blackwell Publishers Ltd. United Kingdom Health Nephrology Nursing Journal 1526-744X 2/2000 2/2000 2/2000 Magazine/Journal Y Jannetti Publications, Inc. United States Health Network 0270-3637 9/2002 6/2007 9/2002 6/2007 9/2002 6/2007 Magazine/Journal Family Health International United States Health Network (Winnipeg) 1480-0039 3/2006 3/2006 3/2006 Magazine/Journal Canadian Women's Health Network Canada Health Network News 8755-867X 1/1988 11/2003 1/1989 11/2003 7/1999 11/2003 Magazine/Journal National Women's Health Network United States Computers Neural Development 1749-8104 12/2006 12/2006 Magazine/Journal Y BioMed Central Ltd. United Kingdom Psychology and mental health Neural Plasticity 0792-8483 1/2005 1/2005 1/2005 Magazine/Journal Y Hindawi Publishing Corp. Egypt Psychology and mental health Neural Systems & Circuits 2042-1001 1/2011 1/2011 Magazine/Journal Y BioMed Central Ltd. United Kingdom Biological sciences Neurocritical Care 1541-6933 3/2004 Magazine/Journal Springer United States Health Neuroethics 1874-5490 3/2008 Magazine/Journal Springer United States Social sciences Neurogastroenterology and Motility 1350-1925 1/2006 Magazine/Journal Y Blackwell Publishers Ltd. United Kingdom Health neurogenetics 1364-6745 8/2003 Magazine/Journal Y Springer United States Science and technology Neuroinformatics 1539-2791 3/2003 Magazine/Journal Y Springer United States Health Neurological Sciences 1590-1874 4/2000 Magazine/Journal Y Springer United States Science and technology Lippincott Williams & Wilkins, WK Neurology 0028-3878 10/1989 12/1991 Magazine/Journal Y Health United States Health Neurology Alert 0741-4234 1/1997 1/1997 11/1999 3/2005 Newsletter AHC Media LLC United States Health Medknow Publications and Media Pvt. Neurology India 0028-3886 1/2003 1/2003 1/2003 9/2004 Magazine/Journal Y Ltd. India Health Neuropathology 0919-6544 2/2006 Magazine/Journal Y Blackwell Publishers Ltd. United Kingdom Psychology and mental health Neuropathology and Applied Neurobiology 0305-1846 2/2006 Magazine/Journal Y Blackwell Publishers Ltd. United Kingdom Psychology and mental health Neuropsychology Review 1040-7308 6/2006 Magazine/Journal Y Springer United States Social sciences Neuroradiology 0028-3940 1/2006 Magazine/Journal Y Springer United States Health Neurorehabilitation and Neural Repair 1545-9683 3/2005 3/2005 9/2008 3/2005 12/2007 Magazine/Journal Y Sage Publications, Inc. United States Psychology and mental health Neuroscience & Medicine 2158-2912 3/2011 Magazine/Journal Y Scientific Research Publishing, Inc. United States Health Neuroscience Bulletin 1673-7067 1/2007 Magazine/Journal Y Springer United States Science and technology Neurosurgical Review 0344-5607 4/2006 Magazine/Journal Y Springer United States Health Nevada RNformation 0273-4117 11/2006 11/2006 11/2006 Newsletter Nevada Nurses Association United States Health Retirement Living Publishing New Choices for Retirement Living 1061-2157 2/1992 9/1995 Magazine/Journal Company Inc. Seniors Retirement Living Publishing New Choices: Living Even Better After 50 10/1995 12/2000 Magazine/Journal Company Inc. Seniors New England Journal of Medicine 0028-4793 1/1987 Magazine/Journal Y Massachusetts Medical Society United States Health New Medical Therapies -- Parkinson's Disease 1/2005 1/2005 1/2005 1/2005 1/2005 1/2005 Pamphlet Thomson Healthcare, Inc. United States Health New Mexico Nurse 0028-6273 4/2007 4/2007 4/2007 Magazine/Journal New Mexico Nurses Association United States Health care industry New Phytologist 0028-646X 4/2000 Magazine/Journal Y Blackwell Publishers Ltd. United Kingdom Biological sciences New Zealand College of Midwives Journal 0114-7870 4/2007 4/2007 4/2007 Magazine/Journal New Zealand College of Midwives New Zealand Health New Zealand Institute of Medical New Zealand Journal of Medical Laboratory Science 1171-0195 4/2007 4/2007 4/2007 Magazine/Journal Laboratory Science New Zealand Health New Zealand Association of New Zealand Journal of Occupational Therapy 1171-0462 3/2006 3/2006 3/2006 Magazine/Journal Occupational Therapists New Zealand Health New Zealand Society of New Zealand Journal of Physiotherapy 0303-7193 3/2003 3/2003 3/2003 Magazine/Journal Y Physiotherapists New Zealand Health New Zealand Journal of Psychology 0112-109X 6/1997 6/1998 6/1999 Magazine/Journal Y New Zealand Psychological Society New Zealand Psychology and mental health Newborn and Infant Nursing Reviews 1527-3369 3/2001 Magazine/Journal Y Elsevier B.V. Netherlands Health care industry Newsletter-People's Medical Society 0736-4873 2/1988 6/2003 2/1988 6/2003 8/1999 6/2003 Newsletter People's Medical Society, Inc. United States Health Newsline 1/1992 6/1994 1/1992 3/1993 Newsletter Leukemia Society of America United States News, opinion and commentary Newsweek 0028-9604 1/1980 12/1994 Magazine/Journal Newsweek Daily Beast Company LLC United States News, opinion and commentary NIDA Notes 1535-7325 4/2007 4/2007 4/2007 Newsletter National Institute on Drug Abuse United States Social sciences National Institute of Dental and NIDCR Press Releases 2/2009 2/2009 Newswire Craniofacial Research United States Health Nigeria - HIV/AIDS Program Development Project: Ministry of Health (MOH) -Procurement Plan For Katsina State 2/2008 2/2008 Report The World Bank United States Health Medknow Publications and Media Pvt. Nigerian Journal of Clinical Practice 1119-3077 10/2010 10/2010 Magazine/Journal Y Ltd. India Health HRC Academic 47/62
  • 50.
    Journal Name ISSN Index Start Index End Full-text Full-text End Image Start Image End Format Refereed/Peer- Embargo Publisher Name Publisher Country Publication Primary Subject Start Reviewed (Days) Medknow Publications and Media Pvt. Nigerian Medical Journal 0300-1652 1/2009 1/2009 Magazine/Journal Y Ltd. India Health NLM Technical Bulletin 0146-3055 10/2011 10/2011 Magazine/Journal U.S. National Library of Medicine United States Health NLN Member Update 1/2007 1/2007 11/2011 Newsletter National League for Nursing, Inc. United States Health Penton Media, Inc., Penton Business NMA's HealthyLiving 3/2006 6/2008 3/2006 6/2008 3/2006 6/2008 Magazine/Journal Media, Inc. and their subsidiaries United States Health care industry Medknow Publications and Media Pvt. Noise and Health 1463-1741 1/1998 4/1999 Magazine/Journal Y Ltd. India Health Nonlinear Biomedical Physics 1753-4631 7/2007 7/2007 Magazine/Journal Y BioMed Central Ltd. United Kingdom Biological sciences Nordic Journal of Music Therapy 0809-8131 7/2006 7/2006 3/2010 7/2006 7/2008 Magazine/Journal Y Taylor & Francis Ltd. United Kingdom Psychology and mental health North American Journal of Psychology 1527-7143 3/2003 3/2005 Magazine/Journal Y North American Journal of Psychology United States Psychology and mental health Nurse Education in Practice 1471-5953 5/2005 Magazine/Journal Y Elsevier B.V. Netherlands Health care industry Nurse Education Today 0260-6917 1/2005 1/2005 5/2006 1/2005 5/2006 Magazine/Journal Y Elsevier B.V. Netherlands Health care industry Nurse Leader 1541-4612 3/2003 Magazine/Journal Y Elsevier B.V. Netherlands Health care industry Lippincott Williams & Wilkins, WK Nurse Practitioner 0361-1817 1/1996 Magazine/Journal Y Health United States Health Nurse Practitioners' Prescribing Reference 1074-3871 3/2006 3/2006 3/2006 Handbook Y Haymarket Media, Inc. United States Health Royal College of Nursing Publishing Nurse Researcher 1351-5578 9/2002 9/2002 9/2002 Magazine/Journal Y Company (RCN) United Kingdom Health Nurses' Paycheck 1832-5025 6/2007 6/2007 6/2007 Magazine/Journal Y Australian Nursing Federation Australia Health Lippincott Williams & Wilkins, WK Nursing 0360-4039 2/1981 Magazine/Journal Y Health United States Health Lippincott Williams & Wilkins, WK Nursing Administration Quarterly 0363-9568 1/1996 Magazine/Journal Y Health United States Health Nursing and Health Care Perspectives 1094-2831 5/1997 11/2001 5/1997 11/2001 5/1997 11/2001 Magazine/Journal Y National League for Nursing, Inc. United States Health Nursing and Health Sciences 1441-0745 3/2006 Magazine/Journal Y Blackwell Publishers Ltd. United Kingdom Health care industry College of Registered Nurses of Nursing BC 1185-3638 2/2007 2/2007 2/2007 Magazine/Journal British Columbia Canada Health care industry Royal College of Nursing Publishing Nursing Children and Young People 2046-2336 5/2011 5/2011 5/2011 Magazine/Journal Y 90 Company (RCN) United Kingdom Health Nursing Diagnosis 1046-7459 1/1996 4/2002 1/1996 4/2002 1/1996 4/2002 Magazine/Journal Y Blackwell Publishers Ltd. United Kingdom Health Nursing Economics 0746-1739 1/1996 1/1996 1/1996 Magazine/Journal Y Jannetti Publications, Inc. United States Health Nursing Education Perspectives 1536-5026 3/2002 3/2002 5/2002 Magazine/Journal Y National League for Nursing, Inc. United States Education Nursing Education Policy Newsletter 9/2007 9/2007 9/2007 Newsletter National League for Nursing, Inc. United States Health Nursing for Women's Health 1751-4851 8/2008 Magazine/Journal Y Blackwell Publishers Ltd. United Kingdom Health care industry Nursing Forum 0029-6473 1/1996 1/1996 10/2004 1/1996 10/2004 Magazine/Journal Y Blackwell Publishers Ltd. United Kingdom Health Nursing Homes 1061-4753 1/1992 2/2008 1/1992 2/2008 8/1992 2/2008 Magazine/Journal Vendome Group LLC United States Health care industry Nursing Homes and Senior Citizen Care 0896-6915 10/1989 9/1991 10/1989 9/1991 Magazine/Journal Vendome Group LLC United States Health care industry Nursing Homes Long Term Care Management 0029-649X 1/1981 11/1988 9/1984 11/1988 Magazine/Journal Vendome Group LLC United States Health care industry Nursing in Critical Care 1362-1017 1/2006 Magazine/Journal Y Blackwell Publishers Ltd. United Kingdom Health care industry Nursing Inquiry 1320-7881 3/2006 Magazine/Journal Y Blackwell Publishers Ltd. United Kingdom Health care industry Nursing Law's Regan Report 1528-848X 5/2000 5/2000 6/2000 Newsletter Medical Law Publishing United States Law Lippincott Williams & Wilkins, WK Nursing Management 0744-6314 1/1996 Magazine/Journal Y Health United States Health Royal College of Nursing Publishing Nursing Management (Harrow) 1354-5760 10/2002 10/2002 10/2002 Magazine/Journal Y Company (RCN) United Kingdom Health Royal College of Nursing Publishing Nursing Older People 1472-0795 4/2003 4/2003 4/2003 Magazine/Journal Y 90 Company (RCN) United Kingdom Health Nursing Outlook 0029-6554 5/1996 Magazine/Journal Y Elsevier B.V. Netherlands Languages and linguistics Nursing Philosophy 1466-7681 1/2006 Magazine/Journal Y Blackwell Publishers Ltd. United Kingdom Health care industry Nursing Praxis in New Zealand 0112-7438 11/2005 11/2005 11/2005 Magazine/Journal Y Nursing Praxis in New Zealand New Zealand Health care industry Lippincott Williams & Wilkins, WK Nursing Research (New York) 0029-6582 11/2002 Magazine/Journal Y Health United States News, opinion and commentary Nursing Science & Research in the Nordic Countries 0107-4083 9/2006 9/2006 9/2006 Magazine/Journal Y Northern Nurses' Federation Norway Health care industry Royal College of Nursing Publishing Nursing Standard 0029-6570 9/2002 9/2002 10/2002 Magazine/Journal Y Company (RCN) United Kingdom Health Nursing Times 0954-7762 1/1992 Magazine/Journal Macmillan Publishing Ltd. United Kingdom Health Nutraceutical Business Report 6/1999 10/1999 6/1999 10/1999 6/1999 10/1999 Newsletter AHC Media LLC United States Health care industry Nutraceuticals International 1362-5411 1/1998 1/1998 Magazine/Journal ESHO Pharma United Kingdom Food and beverage industries Nutraceuticals World 1531-0671 5/2002 5/2002 9/2002 Magazine/Journal Rodman Publishing United States Food and beverage industries Nutrition 0899-9007 4/1997 Magazine/Journal Y Elsevier B.V. Netherlands Health HRC Academic 48/62
  • 51.
    Journal Name ISSN Index Start Index End Full-text Full-text End Image Start Image End Format Refereed/Peer- Embargo Publisher Name Publisher Country Publication Primary Subject Start Reviewed (Days) Nutrition & Dietetics: The Journal of the Dietitians Association of Australia 1446-6368 3/2002 3/2002 9/2007 3/2002 9/2007 Magazine/Journal Y Dietitians Association of Australia Australia Health Nutrition & Food Science 0034-6659 1/1992 Magazine/Journal Emerald Group Publishing, Ltd. United Kingdom Food and beverage industries Center for Science in the Public Nutrition Action Healthletter 0885-7792 1/1988 1/1988 12/1993 Newsletter Interest United States Food/cooking/nutrition Nutrition Bulletin 1471-9827 3/2006 Magazine/Journal Y Blackwell Publishers Ltd. United Kingdom Health Nutrition Forum (1997) 1093-4545 3/1997 7/2000 3/1997 7/2000 7/1999 7/2000 Newsletter Prometheus Books, Inc. United States Food/cooking/nutrition Nutrition Health Review 0164-7202 3/1988 1/1989 1/1997 Newsletter Vegetus Publications United States Health Nutrition Journal 1475-2891 1/2007 1/2007 Magazine/Journal Y BioMed Central Ltd. United Kingdom Health Nutrition News 0369-6464 3/1988 12/1994 Newsletter National Dairy Council United States Food/cooking/nutrition Nutrition Research Newsletter 0736-0037 1/1989 12/2010 1/1989 12/2010 1/1999 12/2010 Newsletter Frost & Sullivan United States Food/cooking/nutrition Nutrition Reviews 0029-6643 1/1987 Magazine/Journal Y International Life Sciences Institute United States Food/cooking/nutrition Lippincott Williams & Wilkins, WK Nutrition Today 0029-666X 2/1988 Magazine/Journal Y Health United States Food/cooking/nutrition Nutrition Week 0736-0096 1/2007 1/2007 1/2007 Newsletter HCPro, Inc. United States Health NWHRC Health Center - Alzheimer's Disease 12/2001 6/2007 12/2001 6/2007 Pamphlet HealthyWomen United States Health NWHRC Health Center - Bipolar Disorder 10/2001 12/2006 10/2001 12/2006 Pamphlet HealthyWomen United States Health NWHRC Health Center - Breast Augmentation & Reduction 12/2005 9/2007 12/2005 9/2007 Magazine/Journal HealthyWomen United States Health NWHRC Health Center - Breast Cancer 3/2005 3/2005 Pamphlet HealthyWomen United States Health NWHRC Health Center - Breast Reconstruction 12/2005 9/2007 12/2005 9/2007 Magazine/Journal HealthyWomen United States Health NWHRC Health Center - Dry Eye Syndrome 3/2005 3/2005 Report HealthyWomen United States Health NWHRC Health Center - Fitness 12/2001 10/2007 12/2001 10/2007 Pamphlet HealthyWomen United States Health NWHRC Health Center - Flu/Colds 12/2001 12/2001 Pamphlet HealthyWomen United States Health NWHRC Health Center - Genital Herpes 3/2005 3/2005 Pamphlet HealthyWomen United States Health NWHRC Health Center - Glaucoma 12/2001 12/2005 12/2001 12/2005 Pamphlet HealthyWomen United States Health NWHRC Health Center - Health Insurance 3/2005 12/2005 3/2005 12/2005 Pamphlet HealthyWomen United States Health NWHRC Health Center - Heart Disease 3/2005 2/2007 3/2005 2/2007 Pamphlet HealthyWomen United States Health NWHRC Health Center - High Blood Pressure 3/2005 3/2007 3/2005 3/2007 Pamphlet HealthyWomen United States Health NWHRC Health Center - HIV/AIDS 3/2005 9/2006 3/2005 9/2006 Pamphlet HealthyWomen United States Health NWHRC Health Center - Homeopathy 12/2001 12/2001 Pamphlet HealthyWomen United States Health NWHRC Health Center - Naturopathy 3/2005 3/2005 Pamphlet HealthyWomen United States Health NWHRC Health Center - Nutrition 3/2005 12/2006 3/2005 12/2006 Pamphlet HealthyWomen United States Health NWHRC Health Center - Polycystic Ovarian Syndrome 3/2006 3/2006 3/2006 3/2006 Pamphlet HealthyWomen United States Health NWHRC Health Center - Schizophrenia 3/2005 3/2007 3/2005 3/2007 Pamphlet HealthyWomen United States Health NWHRC Health Center - Skin Cancer 3/2005 8/2006 3/2005 8/2006 Pamphlet HealthyWomen United States Health NWHRC Health Center - Sleep Disorders 3/2005 3/2005 Pamphlet HealthyWomen United States Health NWHRC Health Center - Stress 3/2005 5/2005 3/2005 5/2005 Pamphlet HealthyWomen United States Health NWHRC Health Center - Stroke 6/2005 6/2007 6/2005 6/2007 Pamphlet HealthyWomen United States Health NWHRC Health Center - Thyroid Disorders 3/2005 3/2005 Pamphlet HealthyWomen United States Health NWHRC Health Center - Urinary Tract Infection 3/2005 5/2005 3/2005 5/2005 Pamphlet HealthyWomen United States Health NWHRC Health Center - Uterine Cancer 3/2005 6/2006 3/2005 6/2006 Pamphlet HealthyWomen United States Health NWHRC Health Center - Varicose Veins 3/2005 5/2005 3/2005 5/2005 Pamphlet HealthyWomen United States Health NWHRC Health Center - Weight Management 3/2005 9/2006 3/2005 9/2006 Pamphlet HealthyWomen United States Health OATS Knee Surgery 1/2010 1/2010 Video Detroit Medical Center United States Health OB GYN News 0029-7437 10/1999 10/1999 Magazine/Journal International Medical News Group United States Health OB/GYN Clinical Alert 0743-8354 1/1997 1/1997 11/1999 4/2005 Magazine/Journal AHC Media LLC United States Health Obesity & Diabetes Week 1543-6713 1/2003 1/2003 Newsletter NewsRX United States Health Obesity Management 1545-1712 12/2007 6/2009 12/2007 6/2009 12/2007 6/2009 Magazine/Journal Y Mary Ann Liebert, Inc. United States Health Obesity Reviews 1467-7881 2/2006 Magazine/Journal Y Blackwell Publishers Ltd. United Kingdom Health Obesity Surgery 0960-8923 3/1991 Magazine/Journal Y Springer United States Health Obesity, Fitness & Wellness Week 1531-6386 12/2000 12/2000 12/2000 7/2001 Newsletter NewsRX United States Health OBGYN & Reproduction Week 1543-6691 1/2003 1/2003 Newsletter NewsRX United States Health Obstetrics and Gynecology 0029-7844 5/1989 5/1989 Magazine/Journal Y Elsevier B.V. Netherlands Health Occupational and Environmental Medicine 1351-0711 1/2001 1/2001 4/2004 8/2001 10/2003 Magazine/Journal Y British Medical Association United States Health Penton Media, Inc., Penton Business Occupational Hazards 0029-7909 1/1981 10/2008 1/1989 10/2008 12/1992 10/2008 Magazine/Journal Media, Inc. and their subsidiaries United States Health care industry Human resources and labor Occupational Health 0029-7917 11/2003 11/2003 Magazine/Journal Y Reed Business Information Ltd. United Kingdom relations Human resources and labor Occupational Health Management 1082-5339 1/1997 1/1997 12/2001 4/2005 Newsletter AHC Media LLC United States relations RoSPA Occuapational Safety Division Occupational Safety & Health 0143-5353 1/1992 3/2001 Magazine/Journal (UK) Health HRC Academic 49/62
  • 52.
    Journal Name ISSN Index Start Index End Full-text Full-text End Image Start Image End Format Refereed/Peer- Embargo Publisher Name Publisher Country Publication Primary Subject Start Reviewed (Days) Canadian Association of Occupational Occupational Therapy Now 1481-5532 9/2010 9/2010 9/2010 Magazine/Journal Therapists Canada Health Oecologia 0029-8549 5/2005 Magazine/Journal Y Springer United States Biological sciences Office Nurse 0893-6595 9/1999 11/1999 9/1999 11/1999 Magazine/Journal AHC Media LLC United States Health Oklahoma Nurse 0030-1787 9/2006 9/2006 9/2006 Magazine/Journal Oklahoma Nurses Association United States Health Older Americans Report 0146-3640 1/2004 6/2006 1/2004 6/2006 Magazine/Journal Eli Research, Inc. United States Government Oligonucleotides 1545-4576 12/2007 5/2011 12/2007 5/2011 12/2007 5/2011 Magazine/Journal Y Mary Ann Liebert, Inc. United States Biological sciences Medknow Publications and Media Pvt. Oman Journal of Ophthalmology 0974-620X 1/2008 1/2008 Magazine/Journal Y Ltd. India Health Oman Medical Journal 1999-768X 10/2010 10/2010 10/2010 Magazine/Journal Y Oman Medical Specialty Board Oman Health Omega 0305-0483 9/1984 12/2001 2/2009 12/2001 2/2009 Magazine/Journal Y Elsevier Science Publishers Business, general Omega - The Journal Of Death And Dying (Farmindale) 0030-2228 1/1988 Magazine/Journal Y Baywood Publishing Company, Inc. United States Psychology and mental health OMICS: A Journal of Integrative Biology 1536-2310 12/2007 10/2011 12/2007 10/2011 12/2007 10/2011 Magazine/Journal Y Mary Ann Liebert, Inc. United States Biological sciences International Association of Forensic On The Edge 3/2006 3/2006 9/2010 3/2006 12/2007 Magazine/Journal Nurses United States Health Oncogene 0950-9232 1/2000 1/2000 11/2007 Magazine/Journal Y 365 Nature Publishing Group United Kingdom Health Oncology 0890-9091 7/2005 7/2005 Magazine/Journal Y CMP Medica, LLC United States Health Oncology News International 1065-2957 7/2005 7/2005 Magazine/Journal CMP Medica, LLC United States Health Oncology Nurse Advisor 2154-350X 5/2010 5/2010 5/2010 Magazine/Journal Haymarket Media, Inc. United States Health Oncology Nursing Forum 0190-535X 11/2006 11/2006 11/2006 Magazine/Journal Y 365 Oncology Nursing Society United States Health Oncology Reviews 1970-5557 5/2007 Magazine/Journal Springer United States Health Online 0146-5422 1/1980 1/1988 11/1992 Magazine/Journal Information Today, Inc. United States Library and information science Online Journal of Rural Nursing & Health Care 1539-3399 9/2006 9/2006 3/2007 Magazine/Journal Y Rural Nurse Organization United States Health care industry Computers and office Online Review 0309-314X 1/1983 8/1985 Magazine/Journal Y INT Media Group, Inc. United States automation industries ONS Connect 1935-1623 1/2007 1/2007 1/2007 Magazine/Journal 365 Oncology Nursing Society United States Health ONS News 0890-5215 12/2006 12/2006 12/2006 12/2006 12/2006 12/2006 Magazine/Journal Oncology Nursing Society United States Health Operative Techniques in Orthopaedics 1048-6666 10/1997 Magazine/Journal Y Elsevier B.V. Netherlands Health care industry Operative Techniques in Otolaryngology - Head and Neck Surgery 1043-1810 3/1995 Magazine/Journal Y Elsevier B.V. Netherlands Health Operative Techniques in Sports Medicine 1060-1872 7/1997 Magazine/Journal Y Elsevier B.V. Netherlands Health care industry Ophthalmic and Physiological Optics 0275-5408 1/2001 Magazine/Journal Y Blackwell Publishers Ltd. United Kingdom Health Ophthalmology Times 0193-032X 3/1998 3/1998 Magazine/Journal Y Advanstar Communications, Inc. United States Health Optical Memory and Neural Networks 1060-992X 3/2007 Magazine/Journal Y Springer United States Computers Optoelectronics Letters 1673-1905 1/2007 Magazine/Journal Y Springer United States Science and technology Optometry Today 0268-5485 7/2007 7/2007 7/2007 Magazine/Journal Ten Alps Publishing United Kingdom Health Oral and Maxillofacial Surgery 1865-1550 5/2008 Magazine/Journal Y Springer United States Health Oral Diseases 1354-523X 1/2002 Magazine/Journal Y Blackwell Publishers Ltd. United Kingdom Health Oral Surgery, Oral Medicine, Oral Pathology, Oral Radiology and Endodontology 1079-2104 1/1995 Magazine/Journal Y Elsevier B.V. Netherlands Health care industry Original Internist 1529-4722 9/2000 9/2000 12/2000 Magazine/Journal Y Original Internist, Inc. Health Orphanet Journal of Rare Diseases 1750-1172 1/2007 1/2007 Magazine/Journal Y BioMed Central Ltd. United Kingdom Health Orthodontic Products 1097-797X 2/2006 2/2006 2/2006 Magazine/Journal Allied Media LLC United States Health Lippincott Williams & Wilkins, WK Orthopaedic Nursing 0744-6020 3/1996 3/2004 Magazine/Journal Y Health United States Health Orthopedic Design & Technology 5/2007 5/2007 5/2007 Magazine/Journal Rodman Publishing United States Science and technology OrthoTec 2153-9782 3/2010 3/2010 3/2010 Magazine/Journal Canon Communications LLC United States Health OSHA Watch 1944-6772 11/2008 1/2010 11/2008 1/2010 11/2008 1/2010 Newsletter HCPro, Inc. United States Business, general Osteopathic Medicine and Primary Care 1750-4732 3/2007 8/2010 3/2007 8/2010 Magazine/Journal Y BioMed Central Ltd. United Kingdom Health Osteoporosis International 0937-941X 5/1997 Magazine/Journal Y Springer United States Health Ostomy Quarterly 0030-6517 1/1988 9/2005 3/1989 9/2005 9/1999 9/2005 Magazine/Journal Y United Ostomy Association, Inc. United States Health OTC Pain Meds: How they work, How to take them 1/2009 1/2009 1/2009 Pamphlet National Consumers League United States Health Otolaryngology - Head and Neck Surgery 0194-5998 1/1995 Magazine/Journal Y Elsevier B.V. Netherlands Health Outcomes & Accountability Alert 1524-0908 2/1999 2/2000 2/1999 2/2000 2/2000 2/2000 Newsletter Manisses Communications Group, Inc. United States Health Outpatient Reimbursement Management 1087-0369 1/1997 12/1998 1/1997 12/1998 Newsletter AHC Media LLC United States Health care industry Pacing and Clinical Electrophysiology 0147-8389 3/2003 Magazine/Journal Y Blackwell Publishers Ltd. United Kingdom Health Paediatric and Perinatal Epidemiology 0269-5022 1/2006 Magazine/Journal Y Blackwell Publishers Ltd. United Kingdom Health Royal College of Nursing Publishing Paediatric Nursing 0962-9513 4/2003 3/2011 4/2003 3/2011 4/2003 3/2011 Magazine/Journal Y Company (RCN) United Kingdom Health Pain 0304-3959 12/1995 Magazine/Journal Y Elsevier B.V. Netherlands Health Pain & Central Nervous System Week 1531-6394 12/2000 12/2000 12/2000 7/2001 Newsletter NewsRX United States Health Pain Management Nursing 1524-9042 3/2005 Magazine/Journal Y Elsevier B.V. Netherlands Health care industry Pain Medicine 1526-2375 1/2006 Magazine/Journal Y Blackwell Publishers Ltd. United Kingdom Health HRC Academic 50/62
  • 53.
    Journal Name ISSN Index Start Index End Full-text Full-text End Image Start Image End Format Refereed/Peer- Embargo Publisher Name Publisher Country Publication Primary Subject Start Reviewed (Days) Pakistan Journal of Clinical Psychology 1019-438X 7/2009 7/2009 Magazine/Journal Y Asianet-Pakistan Pakistan Psychology and mental health Pakistan Journal of Medical Research 0030-9842 3/2010 3/2010 Magazine/Journal Y Asianet-Pakistan Pakistan Health Pakistan Journal of Medical Sciences 1682-024X 12/2010 12/2010 Magazine/Journal Asianet-Pakistan Pakistan Health National Institute of Psychology, Pakistan Journal of Psychological Research 1016-0604 6/1986 6/1986 6/1986 Magazine/Journal Quaid-i-Azam University Pakistan Psychology and mental health Pakistan Journal of Psychology 0030-9869 6/2009 6/2009 Magazine/Journal Y Asianet-Pakistan Pakistan Psychology and mental health Pakistan Journal of Social and Clinical Psychology 1727-4931 12/2008 12/2008 Magazine/Journal Y Asianet-Pakistan Pakistan Psychology and mental health Pakistan Oral and Dental Journal 1012-8700 6/2010 6/2010 Magazine/Journal Y Asianet-Pakistan Pakistan Health Palaestra 8756-5811 9/1987 6/1990 6/1999 Magazine/Journal The McDonough Democrat United States Education Paraplegia News 0031-1766 1/1988 2/1989 9/1999 Magazine/Journal Paralyzed Veterans of America United States Health Parasite Immunology 0141-9838 6/1998 Magazine/Journal Y Blackwell Publishers Ltd. United Kingdom Health Parenting Your Aging Parents 9/2000 9/2003 9/2000 9/2003 12/2000 1/2001 Magazine/Journal Key Publications United States Seniors Parents Magazine 1083-6373 1/1980 Magazine/Journal Meredith Corporation United States Family and marriage Parents' Pediatric Report 1/1988 9/1990 Newsletter Parents' Pediatric Report Health International Parish Nurse Resource Parish Nurse Perspectives 9/2006 9/2006 9/2006 Magazine/Journal Center United States Health care industry Parkinson's Disease 2042-0080 1/2010 1/2010 1/2010 Magazine/Journal Y Hindawi Publishing Corp. Egypt Health Patent Strategy & Management 1532-0162 4/2007 12/2009 Newsletter Incisive Media United States Law PathoGenetics 1755-8417 11/2008 2/2010 11/2008 2/2010 Magazine/Journal Y BioMed Central Ltd. United Kingdom Health Pathology International 1320-5463 1/2006 Magazine/Journal Y Blackwell Publishers Ltd. United Kingdom Health Pathology Research International 2042-003X 1/2010 1/2010 1/2010 Magazine/Journal Y Hindawi Publishing Corp. Egypt Health Patient Care 0031-305X 1/1981 12/2007 1/1983 8/2006 1/2002 8/2006 Magazine/Journal Y Advanstar Communications, Inc. United States Health Patient Care for the Nurse Practitioner 1526-4769 11/2001 2/2007 11/2001 2/2007 Magazine/Journal Y Advanstar Communications, Inc. United States Health Patient Care Management 1532-8880 1/2002 11/2003 1/2002 11/2003 1/2002 11/2003 Newsletter Aspen Publishers, Inc. United States Health care industry Patient Education and Counseling 0738-3991 5/2005 Magazine/Journal Y Elsevier B.V. Netherlands Health Patient Education Management 1087-0296 1/1997 1/1997 12/2001 4/2005 Newsletter AHC Media LLC United States Health Patient Management 1099-4777 2/2000 6/2000 2/2000 6/2000 4/2000 6/2000 Magazine/Journal Reed Business Information, Inc. (US) United States Health care industry Patient Safety Alert 4/2000 4/2008 4/2000 4/2008 Newsletter AHC Media LLC United States Health care industry Patient Safety in Surgery 1754-9493 11/2007 11/2007 Magazine/Journal Y BioMed Central Ltd. United Kingdom Health Patient Safety Monitor Journal 2157-5630 11/2010 11/2010 11/2010 Newsletter HCPro, Inc. United States Health care industry Patient Satisfaction & Outcomes Management 1/1997 12/1999 1/1997 12/1999 Newsletter AHC Media LLC United States Health care industry Patient: Patient-Centered Outcomes Research 1178-1653 1/2008 1/2008 7/2011 1/2008 7/2011 Magazine/Journal Wolters Kluwer Health United Kingdom Health Patient-Focused Care & Satisfaction 1097-9530 1/1997 4/2000 1/1997 4/2000 Newsletter AHC Media LLC United States Health care industry Pediatric & Adolescent Medicine Reports 1/1997 1/2000 1/1997 1/2000 Newsletter AHC Media LLC United States Health care industry Pediatric Allergy and Immunology 0905-6157 5/2000 Magazine/Journal Y Blackwell Publishers Ltd. United Kingdom Health Pediatric Allergy, Immunology, and Pulmonology 2151-321X 9/2010 9/2011 9/2010 9/2011 9/2010 9/2011 Magazine/Journal Y Mary Ann Liebert, Inc. United States Health Pediatric and Developmental Pathology 1093-5266 1/1998 12/2005 Magazine/Journal Y Springer United States Health care industry Pediatric Anesthesia 1155-5645 1/2006 Magazine/Journal Y Blackwell Publishers Ltd. United Kingdom Health Pediatric Asthma, Allergy & Immunology 0883-1874 11/2007 12/2009 11/2007 12/2009 11/2007 12/2009 Magazine/Journal Y Mary Ann Liebert, Inc. United States Health Pediatric Cardiology 0172-0643 1/1996 Magazine/Journal Y Springer United States Health Pediatric Dermatology 0736-8046 7/1999 Magazine/Journal Y Blackwell Publishers Ltd. United Kingdom Health Pediatric Diabetes 1399-543X 2/2006 Magazine/Journal Y Blackwell Publishers Ltd. United Kingdom Health Pediatric Drugs 1174-5878 9/2003 9/2003 9/2011 9/2003 9/2011 Magazine/Journal Y Wolters Kluwer Health United Kingdom Health Pediatric Emergency Medicine Reports 1082-3344 1/1997 1/1997 12/2001 3/2005 Newsletter AHC Media LLC United States Health Pediatric Health 1745-5111 10/2007 12/2010 10/2007 12/2010 2/2010 2/2010 Magazine/Journal Y Future Medicine Ltd. United Kingdom Health Pediatric Nephrology 0931-041X 1/1998 Magazine/Journal Y Springer United States Health Pediatric News 0031-398X 7/2001 7/2001 Magazine/Journal International Medical News Group United States Health Pediatric Nursing 0097-9805 1/1996 1/1996 5/1996 Magazine/Journal Y Jannetti Publications, Inc. United States Health Pediatric Report's Child Health Newsletter 1065-1284 10/1990 4/1994 10/1990 4/1994 Newsletter Parents' Pediatric Report Health Pediatric Rheumatology 1546-0096 4/2007 4/2007 Magazine/Journal Y BioMed Central Ltd. United Kingdom Health Pediatric Surgery International 0179-0358 12/1997 Magazine/Journal Y Springer United States Health Pediatric Transplantation 1397-3142 2/2006 Magazine/Journal Y Blackwell Publishers Ltd. United Kingdom Health Pediatrics 0031-4005 6/1989 2/1995 6/2007 12/1998 6/2007 Magazine/Journal Y American Academy of Pediatrics United States Health Pediatrics for Parents 0730-6725 1/1988 1/1988 5/1997 Newsletter Pediatrics for Parents, Inc. United States Health Pediatrics International 1328-8067 4/2002 Magazine/Journal Y Blackwell Publishers Ltd. United Kingdom Health People's Doctor Newsletter 1/1988 6/1988 Newsletter People's Doctor, Inc. United States Health People's Medical Journal 0741-2886 1/1988 2/1988 Magazine/Journal Time Inc., Health United States Law Canadian Council on Social Perception 0704-5263 6/1989 12/1991 Magazine/Journal Y Development Canada Psychology and mental health Perceptual and Motor Skills 0031-5125 2/1989 Magazine/Journal Y Ammons Scientific, Ltd. United States Psychology and mental health Personalized Medicine 1741-0541 12/2004 12/2004 12/2004 Magazine/Journal Y 365 Future Medicine Ltd. United Kingdom Health HRC Academic 51/62
  • 54.
    Journal Name ISSN Index Start Index End Full-text Full-text End Image Start Image End Format Refereed/Peer- Embargo Publisher Name Publisher Country Publication Primary Subject Start Reviewed (Days) Escuela de Nutricion y Dietetica de la Perspectivas en Nutricion Humana 0124-4108 1/2008 1/2008 1/2008 Magazine/Journal Y Universidad de Antioquia Colombia Health Perspectivas Internacionales en Planificaci ≤n Familiar 1/2000 1/2002 1/2000 1/2002 1/2001 1/2002 Pamphlet Guttmacher Institute United States Family and marriage Perspectives in Biology and Medicine 0031-5982 1/1992 1/1997 9/2009 3/2000 9/2009 Magazine/Journal Y Johns Hopkins University Press United States Health Medknow Publications and Media Pvt. Perspectives in Clinical Research 2229-3485 1/2010 1/2010 Magazine/Journal Y Ltd. India Health Perspectives in Health 1020-5551 6/2004 3/2008 6/2004 3/2008 1/2007 1/2007 Magazine/Journal Pan American Health Organization United States Health Perspectives in Psychiatric Care 0031-5990 1/1996 1/1996 10/2004 1/1996 10/2004 Magazine/Journal Y Blackwell Publishers Ltd. United Kingdom Health Perspectives on Sexual and Reproductive Health 1538-6341 3/2002 3/2002 3/2002 Magazine/Journal Y Blackwell Publishers Ltd. United Kingdom Family and marriage Pflⁿgers Archiv: European Journal of Physiology 0031-6768 2/2002 Magazine/Journal Y Springer United States Biological sciences Pharma 1746-174X 1/2007 1/2007 1/2007 Magazine/Journal Via Media Ltd. United Kingdom Chemistry Pharmaceuticals and cosmetics Pharma Business Week 1543-6675 1/2003 1/2003 Newsletter NewsRX United States industries Pharmaceutical & Medical Packaging News 1081-5481 1/2010 1/2010 1/2010 Magazine/Journal Canon Communications LLC United States Business, general Pharmaceutical Discovery 1554-2068 10/2004 11/2005 10/2004 11/2005 Magazine/Journal Y Advanstar Communications, Inc. United States Science and technology Pharmaceutical Medicine 1364-9027 1/2008 1/2008 9/2011 1/2008 9/2011 Magazine/Journal Y Wolters Kluwer Health United Kingdom Health Medknow Publications and Media Pvt. Pharmaceutical Methods 1/2010 1/2010 Magazine/Journal Y Ltd. India Health Pharmaceuticals and cosmetics Pharmaceutical Representative 0161-8415 1/2007 12/2011 1/2007 12/2011 1/2007 12/2011 Magazine/Journal Advanstar Communications, Inc. United States industries Pharmaceuticals and cosmetics Pharmaceutical Technology 1543-2521 1/2000 1/2000 2/2002 6/2004 Magazine/Journal Y Advanstar Communications, Inc. United States industries Pharmaceuticals and cosmetics Pharmaceutical Technology Asia 1753-9013 8/2000 8/2002 9/2000 8/2002 4/2002 8/2002 Magazine/Journal Y Advanstar Communications, Inc. United States industries Pharmaceuticals and cosmetics Pharmaceutical Technology Europe 0164-6826 12/2000 12/2000 2/2002 2/2004 Magazine/Journal Y Advanstar Communications, Inc. United States industries Pharmaceuticals Market Research Report 7/2009 7/2009 7/2009 Report MarketsandMarkets India Health Pharmacist's Dietary Supplement Alert 1527-7348 3/2000 7/2000 3/2000 7/2000 Newsletter AHC Media LLC United States Health care industry PharmacoEconomics 1170-7690 8/2003 8/2003 9/2011 8/2003 9/2011 Magazine/Journal Y Wolters Kluwer Health United Kingdom Health PharmacoEconomics and Outcomes News 1173-5503 10/2008 4/2011 10/2008 4/2011 10/2008 4/2011 Magazine/Journal Wolters Kluwer Health United Kingdom Health Pharmacogenomics 1462-2416 2/2000 2/2000 2/2000 Magazine/Journal Y 365 Future Medicine Ltd. United Kingdom Health Pharmacogenomics Journal 1470-269X 2/2001 2/2001 2/2001 Magazine/Journal Y 365 Nature Publishing Group United Kingdom Health Medknow Publications and Media Pvt. Pharmacognosy Magazine 0973-1296 1/2010 1/2010 Magazine/Journal Y Ltd. India Health Medknow Publications and Media Pvt. Pharmacognosy Research 0974-8490 1/2010 1/2010 Magazine/Journal Y Ltd. India Health Medknow Publications and Media Pvt. Pharmacognosy Reviews 0973-7847 1/2010 1/2010 Magazine/Journal Y Ltd. India Health Pharmacology & Pharmacy 2157-9423 1/2011 Magazine/Journal Y Scientific Research Publishing, Inc. United States Chemistry Pharmacy & Healthcare Pharmaceuticals and cosmetics Pharmacy Times 0003-0627 2/2009 2/2009 2/2009 Magazine/Journal Communications, LLC United States industries PharmaGenomics 1541-4035 9/2003 9/2004 9/2003 9/2004 9/2003 5/2004 Magazine/Journal Y Advanstar Communications, Inc. United States Science and technology Photodermatology, Photoimmunology and Photomedicine 0905-4383 4/2000 Magazine/Journal Y Blackwell Publishers Ltd. United Kingdom Health Photomedicine and Laser Surgery 1549-5418 12/2007 11/2011 12/2007 11/2011 12/2007 11/2011 Magazine/Journal Y Mary Ann Liebert, Inc. United States Health American Physical Therapy Physical Therapy 0031-9023 1/1988 1/1989 8/1999 Magazine/Journal Y Association, Inc. United States Health Physical Therapy in Sport 1466-853X 5/2005 Magazine/Journal Y Elsevier B.V. Netherlands Health care industry Physical Therapy Products 1059-096X 10/2006 10/2006 10/2006 Magazine/Journal Allied Media LLC United States Health Physician and Sportsmedicine 0091-3847 1/1981 12/2005 Magazine/Journal Y JTE Multimedia United States Health Lippincott Williams & Wilkins, WK Physician Assistant 8750-7544 1/1996 9/2003 Magazine/Journal Y Health United States Health Physician Assistants' Prescribing Reference 1074-388X 12/2005 12/2005 12/2005 Handbook Haymarket Media, Inc. United States Health American College of Physician Physician Executive 0898-2759 1/1989 1/1989 1/1998 Magazine/Journal Y Executives United States Health care industry Physician Relations Update 1079-0349 1/1997 12/1998 1/1997 12/1998 Newsletter AHC Media LLC United States Health care industry Physician's Compliance Hotline 1/1999 9/1999 1/1999 9/1999 Newsletter AHC Media LLC United States Health care industry Physician's Managed Care Report 1087-027X 1/1997 6/2001 1/1997 6/2001 Newsletter AHC Media LLC United States Health care industry Physician's Payment Update 1050-8791 11/2001 12/2001 11/2001 12/2001 12/2001 12/2001 Newsletter AHC Media LLC United States Health care industry Pharmaceuticals and cosmetics Physician's Therapeutics & Drug Alert 1089-6538 10/2001 1/2002 10/2001 1/2002 11/2001 1/2002 Newsletter AHC Media LLC United States industries Physiologia Plantarum 0031-9317 6/1992 Magazine/Journal Y Blackwell Publishers Ltd. United Kingdom Biological sciences Zoology and wildlife Physiological and Biochemical Zoology 1522-2152 11/2000 Magazine/Journal Y University of Chicago Press United States conservation Physiological Reviews 0031-9333 1/1992 1/1993 4/2007 7/1994 4/2007 Magazine/Journal Y American Physiological Society United States Biological sciences HRC Academic 52/62
  • 55.
    Journal Name ISSN Index Start Index End Full-text Full-text End Image Start Image End Format Refereed/Peer- Embargo Publisher Name Publisher Country Publication Primary Subject Start Reviewed (Days) Physiotherapy 0031-9406 1/1995 Magazine/Journal Y Elsevier B.V. Netherlands Health care industry Phytomedicine: International Journal of Phytotherapy & Phytopharmacology 0944-7113 1/2002 1/2002 1/2002 Magazine/Journal Y Urban & Fischer Verlag Science and technology Pigment Cell & Melanoma Research 1755-1471 4/2008 Magazine/Journal Y Blackwell Publishers Ltd. United Kingdom Biological sciences Pigment Cell Research 0893-5785 4/2002 2/2008 Magazine/Journal Y Blackwell Publishers Ltd. United Kingdom Biological sciences Planned Giving Mentor 1546-2617 12/2007 11/2009 12/2007 11/2009 12/2007 11/2009 Newsletter Mary Ann Liebert, Inc. United States Sociology and social work Planned Giving Today 1052-4770 12/2007 11/2011 12/2007 11/2011 12/2007 11/2011 Newsletter Mary Ann Liebert, Inc. United States Sociology and social work Plant Journal 0960-7412 9/1991 Magazine/Journal Y Blackwell Publishers Ltd. United Kingdom Biological sciences Plant, Cell and Environment 0140-7791 1/2006 Magazine/Journal Y Blackwell Publishers Ltd. United Kingdom Biological sciences Planta 0032-0935 8/1997 Magazine/Journal Y Springer United States Biological sciences Plastic Surgery Products 1084-1660 1/2006 1/2006 1/2006 Magazine/Journal Allied Media LLC United States Health care industry Lippincott Williams & Wilkins, WK Plastic Surgical Nursing 0741-5206 12/1995 1/2004 Magazine/Journal Y Health United States Health PLoS Biology 1545-7885 5/2006 5/2006 6/2006 Magazine/Journal Y Public Library of Science United States Biological sciences PLoS Genetics 1553-7390 4/2006 4/2006 5/2006 Magazine/Journal Y Public Library of Science United States Biological sciences PLoS Medicine 1549-1277 4/2006 4/2006 5/2006 Magazine/Journal Y Public Library of Science United States Biological sciences PLoS Neglected Tropical Diseases 1935-2727 4/2011 4/2011 4/2011 Magazine/Journal Y Public Library of Science United States Health PLoS Pathogens 1553-7366 4/2006 4/2006 5/2006 Magazine/Journal Y Public Library of Science United States Biological sciences PMC Biophysics 1757-5036 11/2008 6/2010 11/2008 6/2010 Magazine/Journal Y BioMed Central Ltd. United Kingdom Biological sciences PMC Physics A 1754-0410 10/2007 2/2010 10/2007 2/2010 Magazine/Journal Y BioMed Central Ltd. United Kingdom Physics Podiatry Management 0744-3528 2/2002 Magazine/Journal Kane Communications, Inc. United States Health care industry Podiatry Now 1460-731X 7/2007 8/2009 7/2007 8/2009 Magazine/Journal Y Society of Chiropodists and Podiatrists United Kingdom Health Fashion, accessories and textiles Point of View 1198-5666 3/1996 9/2002 Magazine/Journal Holt Renfrew & Company, Ltd. Canada industries Population Briefs 1084-6786 9/2002 9/2002 9/2002 Magazine/Journal The Population Council, Inc. United States Sociology and social work Population Health Insider 4/2009 9/2009 4/2009 9/2009 4/2009 9/2009 Magazine/Journal HCPro, Inc. United States Health Population Health Metrics 1478-7954 12/2006 12/2006 Magazine/Journal Y BioMed Central Ltd. United Kingdom Health Palgrave Macmillan, a Division of Population Trends 0307-4463 3/1992 6/2008 Magazine/Journal 365 Macmillan Publishers Ltd. United Kingdom Sociology and social work Postgraduate Medical Journal 0032-5473 1/2001 1/2001 3/2004 8/2001 11/2001 Magazine/Journal Y British Medical Association United States Health Postgraduate Medicine 0032-5481 1/1991 Magazine/Journal Y JTE Multimedia United States Health PPAR Research 1687-4757 1/2006 1/2006 1/2006 Magazine/Journal Y Hindawi Publishing Corp. Egypt Biological sciences Practical Neurology 0022-3050 2/2009 Magazine/Journal British Medical Association United States Health Practical Summaries in Acute Care 1930-1103 1/1997 11/2009 1/1997 11/2009 Newsletter Y AHC Media LLC United States Health Practice Marketing & Management 1527-7844 1/1997 12/1999 1/1997 12/1999 Newsletter AHC Media LLC United States Health care industry Practice Nurse 0953-6612 7/2000 7/2000 12/2008 Magazine/Journal Elsevier Science Publishers Health Practitioner 0032-6518 1/2002 1/2002 Magazine/Journal Y Practitioner Medical Publishing United Kingdom Health Pramana 0304-4289 7/1999 Magazine/Journal Y Springer United States Physics Prescribing Reference for Obstetricians and Gynecologists 1051-4171 3/2006 12/2007 3/2006 12/2007 3/2006 12/2007 Handbook Y Haymarket Media, Inc. United States Health Prescribing Reference for Pediatricians 1051-3280 9/2006 9/2006 9/2006 Handbook Y Haymarket Media, Inc. United States Health Prevention 0032-8006 1/1980 1/1993 5/1994 12/2003 Magazine/Journal 30 Rodale, Inc. United States Health Prevention Researcher 1086-4385 12/2006 12/2006 12/2006 Magazine/Journal Y Integrated Research Services, Inc. United States Psychology and mental health Prevention Science 1389-4986 3/2000 Magazine/Journal Y Springer United States Health Preventive Medicine 0091-7435 7/2005 Magazine/Journal Y Elsevier B.V. Netherlands Health care industry Primary Cardiology 0363-5104 1/1992 12/1995 Magazine/Journal Y PW Communications International United States Health Primary Care Reports 1040-2497 1/1997 1/1997 12/2001 3/2005 Newsletter AHC Media LLC United States Health Royal College of Nursing Publishing Primary Health Care 0264-5033 4/2003 4/2003 5/2003 Magazine/Journal 90 Company (RCN) United Kingdom Health care industry Zoology and wildlife Primates 0032-8332 1/1980 Magazine/Journal Y Springer United States conservation American Council on Science and Priorities for Health 1522-645X 3/1989 12/2001 Magazine/Journal Health United States Health Private Duty Homecare 1091-1839 1/1997 4/2000 1/1997 4/2000 Newsletter AHC Media LLC United States Health care industry Proceedings Mathematical Sciences 0253-4142 2/2007 Magazine/Journal Y Springer United States Mathematics Advertising, marketing and Product Management Today 1078-6937 10/2006 12/2006 10/2006 12/2006 10/2006 12/2006 Magazine/Journal Medicom International, Inc. United States public relations Progress in Cardiovascular Diseases 0033-0620 5/1999 Magazine/Journal Y Elsevier B.V. Netherlands Health care industry Progression of Glaucoma: The 8th Consensus report of the World GlaucomaAssociation 1/2011 1/2011 1/2011 Report Kugler Publications Netherlands Health Prostate Cancer and Prostatic Diseases 1365-7852 3/2001 3/2001 3/2001 Magazine/Journal Y 365 Nature Publishing Group United Kingdom Health Proteome Science 1477-5956 1/2007 1/2007 Magazine/Journal Y BioMed Central Ltd. United Kingdom Biological sciences Proteomics Weekly 1535-2722 8/2002 8/2002 Newsletter NewsRX United States Biotechnology industry Colegio Oficial De Psicologos Del Psicothema 0214-9915 1/2008 1/2008 1/2008 Magazine/Journal Y Principado De Asturias Spain Psychology and mental health HRC Academic 53/62
  • 56.
    Journal Name ISSN Index Start Index End Full-text Full-text End Image Start Image End Format Refereed/Peer- Embargo Publisher Name Publisher Country Publication Primary Subject Start Reviewed (Days) Psyche (Cambridge, 1874) 1687-7438 1/2009 1/2009 1/2009 Magazine/Journal Y Hindawi Publishing Corp. Egypt Biological sciences Psychiatric Medicine in Primary Care 2/1999 2/2000 2/1999 2/2000 Newsletter AHC Media LLC United States Health care industry Psychiatric Medicine Reports 7/2003 10/2003 7/2003 10/2003 Newsletter AHC Media LLC United States Health care industry Psychiatric Quarterly 0033-2720 6/2006 Magazine/Journal Y Springer United States Psychology and mental health Psychiatric Times 0893-2905 5/2002 5/2002 Magazine/Journal Y CMP Medica, LLC United States Psychology and mental health Psychiatry and Clinical Neurosciences 1323-1316 6/2001 Magazine/Journal Y Blackwell Publishers Ltd. United Kingdom Psychology and mental health Psychiatry: Interpersonal and Biological Processes 0033-2747 2/1989 Magazine/Journal Y Guilford Publications, Inc. United States Psychology and mental health Psychological Record 0033-2933 1/1989 3/1993 6/1994 Magazine/Journal Y The Psychological Record United States Psychology and mental health Psychological Reports 0033-2941 2/1989 Magazine/Journal Y Ammons Scientific, Ltd. United States Psychology and mental health Psychological Research 0340-0727 11/2006 Magazine/Journal Y Springer United States Psychology and mental health American Psychological Association, Psychological Review 0033-295X 1/1987 Magazine/Journal Y Inc. United States Psychology and mental health Psychology (Irvine) 2152-7180 4/2010 4/2010 4/2010 Magazine/Journal Y Scientific Research Publishing, Inc. United States Psychology and mental health Psychology Today 0033-3107 1/1980 1/1992 1/1995 Magazine/Journal Sussex Publishers, Inc. United States Psychology and mental health Psycho-Oncologie 1778-3798 3/2007 Magazine/Journal Y Springer United States Psychology and mental health Psychopharmacology 0033-3158 7/2003 Magazine/Journal Y Springer United States Health Psychopharmacology Educational Updates (PsychEd Up) 1553-8907 1/2005 1/2005 6/2006 Magazine/Journal NEI Press, Inc. United States Psychology and mental health Psychophysiology 0048-5772 11/2006 Magazine/Journal Y Blackwell Publishers Ltd. United Kingdom Psychology and mental health American Physical Therapy PT in Motion 1949-3711 10/2009 10/2009 Magazine/Journal Association, Inc. United States Health American Physical Therapy PT: Magazine of Physical Therapy 1065-5077 1/2000 9/2009 7/2008 9/2009 Magazine/Journal Association, Inc. United States Health Public Health 0033-3506 3/1995 Magazine/Journal Y Elsevier B.V. Netherlands Health care industry Public Health Nursing 0737-1209 3/2002 Magazine/Journal Y Blackwell Publishers Ltd. United Kingdom Health Public Health Reports 0033-3549 1/1988 1/1989 9/2005 7/1994 9/2005 Magazine/Journal Y U.S. Government Printing Office United States Health International Personnel Management Public Personnel Management 0091-0260 6/1984 3/1989 12/1992 Magazine/Journal Y Association United States Government Universidad de Puerto Rico, Recinto Puerto Rico Health Sciences Journal 0738-0658 3/2005 3/2005 3/2005 Magazine/Journal Y de Ciencias Medicas Puerto Rico Health Medknow Publications and Media Pvt. Pulmonary Circulation 1/2011 1/2011 Magazine/Journal Y Ltd. India Health Pulse 0048-6000 1/2002 1/2002 1/2005 Newsletter UBM Information Ltd. United Kingdom Health Pulse International 1682-0274 1/2011 1/2011 Magazine/Journal Y Asianet-Pakistan Pakistan Health Medknow Publications and Media Pvt. PVRI Review 0974-6013 1/2009 1/2009 Magazine/Journal Y Ltd. India Health QI/TQM 1075-0541 11/2001 6/2002 11/2001 6/2002 12/2001 6/2002 Newsletter AHC Media LLC United States Health care industry Quality and Safety in Health Care 1475-3898 3/2002 12/2010 3/2002 2/2004 Magazine/Journal Y British Medical Association United States Health Quality in Health Care 0963-8172 3/2001 12/2001 3/2001 12/2001 9/2001 9/2001 Magazine/Journal Y British Medical Association United States Health Lippincott Williams & Wilkins, WK Quality Management in Health Care 1063-8628 1/2002 Magazine/Journal Y Health United States Health care industry Quality of Life Research 0962-9343 8/2006 Magazine/Journal Y Springer United States Health care industry Quality/Calidad/Qualit 1097-8194 1/2002 1/2002 1/2009 Magazine/Journal The Population Council, Inc. United States Health Quarterly Journal of Experimental Psychology 1747-0218 1/2006 Magazine/Journal Y Psychology Press Ltd. Psychology and mental health Quarterly Review of Biology 0033-5770 3/1989 Magazine/Journal Y University of Chicago Press United States Biological sciences Quest 1087-1578 1/1995 Magazine/Journal Muscular Dystrophy Association, Inc. United States Health Radiation Oncology 1748-717X 1/2007 1/2007 Magazine/Journal Y BioMed Central Ltd. United Kingdom Health care industry Radiation Therapist: The Journal of the Radiation Oncology American Society of Radiologic Sciences 1084-1911 3/2007 3/2007 9/2007 Magazine/Journal Y Technologists United States Health Radiography 1078-8174 10/1995 Magazine/Journal Y Elsevier B.V. Netherlands Health care industry American Society of Radiologic Radiologic Technology 0033-8397 1/1996 1/1996 3/2008 1/1996 3/2008 Magazine/Journal Y Technologists United States Health Radiological Society of North America Radiology 0033-8419 6/1989 12/1991 Magazine/Journal Y Inc. Health HRC Academic 54/62
  • 57.
    Journal Name ISSN Index Start Index End Full-text Full-text End Image Start Image End Format Refereed/Peer- Embargo Publisher Name Publisher Country Publication Primary Subject Start Reviewed (Days) Radiology Alert 1044-0577 1/2000 12/2000 1/2000 12/2000 Newsletter AHC Media LLC United States Health care industry Rapid Health Assessment Protocols for Emergencies 1/1999 1/1999 1/1999 1/1999 1/1999 1/1999 Monograph World Health Organization Switzerland Health Reactions Weekly 0114-9954 10/2008 4/2011 10/2008 4/2011 10/2008 4/2011 Magazine/Journal Wolters Kluwer Health United Kingdom Health Reader's Digest 0034-0375 1/1980 Magazine/Journal Reader's Digest Association, Inc. United States General interest Readings on Emergency Contraception 1/1996 1/1996 Collection Guttmacher Institute United States Health Readings on Family Planning Needs and Services 1/1999 1/1999 Collection Guttmacher Institute United States Family and marriage Readings on Induced Abortion, Volume 1: Politics and Policies 1/2000 1/2000 Collection Guttmacher Institute United States Health Readings on Induced Abortion, Volume 2: A World Review 2000 1/2001 1/2001 Collection Guttmacher Institute United States Family and marriage Readings on Men 1/1996 1/1996 Collection Guttmacher Institute United States Health Real Living with Diabetes 1074-7648 3/1994 3/1995 3/1994 3/1995 Newsletter The Cobb Group United States Health Lippincott Williams & Wilkins, WK Real Living with Multiple Sclerosis 1079-4220 11/1993 Newsletter Health United States Health Reason Papers 0363-1893 3/2006 3/2006 3/2006 Magazine/Journal Y Reason Papers United States Philosophy and religion Reference Services Review 0090-7324 1/1980 Magazine/Journal Y Pierian Press Inc. Library and information science Refrigerated & Frozen Foods Retailer 1552-3330 1/2008 1/2008 1/2008 Magazine/Journal BNP Media United States Food and beverage industries Regan Report on Hospital Law 0034-317X 1/1997 12/1999 1/1997 12/1999 8/1999 12/1999 Magazine/Journal Medical Law Publishing United States Law Regan Report on Medical Law 0034-3188 1/1997 12/1999 1/1997 12/1999 8/1999 12/1999 Magazine/Journal Medical Law Publishing United States Law Regan Report on Nursing Law 0034-3196 1/1996 12/1999 1/1996 12/1999 1/1996 12/1999 Newsletter Medical Law Publishing United States Law Regenerative Medicine 1746-0751 1/2006 1/2006 9/2009 Magazine/Journal 365 Future Medicine Ltd. United Kingdom Health Regional Anesthesia and Pain Medicine 1098-7339 1/1997 Magazine/Journal Y Elsevier B.V. Netherlands Health care industry Rehab Continuum Report 1094-558X 11/2001 12/2004 11/2001 12/2004 12/2001 12/2004 Newsletter AHC Media LLC United States Health care industry Rehab Management 0899-6237 10/2007 10/2007 10/2007 Magazine/Journal Allied Media LLC United States Health Rehabilitation Counseling Bulletin 0034-3552 6/2000 Magazine/Journal Y Sage Publications, Inc. United States Education Rejuvenation Research 1549-1684 12/2007 10/2011 12/2007 10/2011 12/2007 10/2011 Magazine/Journal Y Mary Ann Liebert, Inc. United States Health RelayClinical Education (en Espanol) 5/2011 5/2011 5/2011 Collection McKesson Health Solutions LLC United States Health Renal & Urology News 1550-9478 11/2005 11/2005 11/2005 Magazine/Journal Haymarket Media, Inc. United States Health Renal Society of Australasia Journal 1832-3804 8/2005 8/2005 11/2006 Magazine/Journal Y Renal Society of Australasia Australia Health Report on Disability Law 1554-3668 1/2005 8/2005 1/2005 8/2005 Magazine/Journal Eli Research, Inc. United States Government Report on Disability Programs 1043-1209 1/2004 11/2004 1/2004 11/2004 Magazine/Journal Eli Research, Inc. United States Government Report on Medicare Compliance 1094-3307 5/2002 12/2003 5/2002 12/2003 Newsletter Atlantic Information Services, Inc. United States Law Report on Patient Privacy 5/2002 12/2003 5/2002 12/2003 Newsletter Atlantic Information Services, Inc. United States Health care industry Reproduction in Domestic Animals 0936-6768 2/2006 Magazine/Journal Y Blackwell Publishers Ltd. United Kingdom Science and technology Reproductive Biology and Endocrinology 1477-7827 12/2006 12/2006 Magazine/Journal Y BioMed Central Ltd. United Kingdom Biological sciences Reproductive Health 1742-4755 12/2006 12/2006 Magazine/Journal Y BioMed Central Ltd. United Kingdom Health Reproductive Health Matters 0968-8080 5/2002 5/2002 11/2002 Magazine/Journal Y Elsevier Science Publishers Health Research Bulletin 1496-3612 3/2006 9/2006 3/2006 9/2006 3/2006 9/2006 Magazine/Journal Canadian Women's Health Network Canada Health International Society for Research in Healthcare Financial Management Research in Healthcare Financial Management 1524-1521 1/1999 1/2009 1/1999 1/2009 1/2001 1/2009 Magazine/Journal Y Ltd. United States Health care industry The Center for AIDS: Hope & Research Initiative/Treatment Action! 1520-8745 3/2000 3/2000 3/2000 Magazine/Journal Y Remembrance Project United States Health Research on Aging 0164-0275 3/1989 3/1997 11/1998 Magazine/Journal Y Sage Publications, Inc. United States Seniors Research on Social Work Practice 1049-7315 1/1999 Magazine/Journal Y Sage Publications, Inc. United States Sociology and social work Research Practitioner 1528-0330 9/2001 9/2001 11/2001 Newsletter CenterWatch LLC Health care industry American Alliance for Health, Physical Education, Recreation and Dance Research Quarterly for Exercise and Sport 0270-1367 3/1992 3/1993 6/1994 Magazine/Journal Y (AAHPERD) United States Health Residents' Prescribing Reference 1061-6632 3/2006 3/2006 3/2006 Handbook Y Haymarket Media, Inc. United States Health Respiratory Care 0020-1324 1/2007 1/2007 2/2007 Magazine/Journal Daedalus Enterprises, Inc. United States Health Respiratory Medicine 0954-6111 6/2000 Magazine/Journal Y Elsevier B.V. Netherlands Health Respiratory Research 1465-9921 1/2007 1/2007 Magazine/Journal Y BioMed Central Ltd. United Kingdom Health Respiratory Therapeutics Week 1543-6659 1/2003 1/2003 Newsletter NewsRX United States Health Respirology 1323-7799 1/2006 Magazine/Journal Y Blackwell Publishers Ltd. United Kingdom Health Retrovirology 1742-4690 1/2007 1/2007 Magazine/Journal Y BioMed Central Ltd. United Kingdom Health Review of Optometry 1930-160X 4/1999 4/1999 10/1999 Magazine/Journal Y Jobson Medical Information LLC United States Health Review of Philosophy and Psychology 1878-5158 3/2010 Magazine/Journal Y Springer United States Psychology and mental health Reviews in Infection 1837-6738 3/2010 3/2010 3/2010 Magazine/Journal Y Southern Cross Publisher Australia Health Revista Brasileira de Gestao de Negocios (Brazilian Journal Fundacao Escola de Comercio Alvares of BusinessManagement) 1806-4892 1/2007 1/2007 1/2007 Magazine/Journal Penteado (FECAP) Brazil Business, general HRC Academic 55/62
  • 58.
    Journal Name ISSN Index Start Index End Full-text Full-text End Image Start Image End Format Refereed/Peer- Embargo Publisher Name Publisher Country Publication Primary Subject Start Reviewed (Days) Revista CES Medicina 0120-8705 7/2009 7/2009 7/2009 Magazine/Journal Universidad del CES Colombia Health Revista CES Medicina Veterinaria y Zootecnia 1900-9607 7/2009 7/2009 7/2009 Magazine/Journal Y Universidad del CES Colombia Health Revista CES Odontologia 0120-971X 7/2009 7/2009 7/2009 Magazine/Journal Y Universidad del CES Colombia Health Revista CES Psicologia 2011-3080 7/2009 7/2009 7/2009 Magazine/Journal Y Universidad del CES Colombia Psychology and mental health Revista de Administracao Mackenzie 1518-6776 1/2008 1/2008 1/2008 Magazine/Journal Y Universidade Presbiteriana Mackenzie Brazil Business Revista de Biologφa Tropical 0034-7744 9/1999 9/1999 9/1999 Magazine/Journal Y Universidad de Costa Rica Costa Rica Biological sciences Universidade de Sao Paulo, Facultade Revista de Psiquiatrφa Clφnica 0101-6383 1/2008 1/2008 1/2008 Magazine/Journal Y de Medicina Brazil Health Revista Panamericana de Salud Publica 1020-4989 11/2006 11/2006 12/2006 Magazine/Journal Y Pan American Health Organization United States Health Rheumatology International 0172-8172 4/2001 Magazine/Journal Y Springer United States Health Rights and Realities: Monitoring Reports on the Status of Indonesian Women'sSexual and Reproductive Health and Asian-Pacific Resource & Research Rights 1/2008 1/2008 1/2008 Monograph Centre for Women Malaysia Women's issues/gender studies Risk Analysis 0272-4332 10/2002 Magazine/Journal Y Blackwell Publishers Ltd. United Kingdom Mathematics RN 0033-7021 1/1981 9/2009 1/1983 8/2006 2/2002 8/2006 Magazine/Journal Y Advanstar Communications, Inc. United States Health RN Advanced Practice Alert 1520-8451 7/1998 8/1999 7/1998 8/1999 Newsletter AHC Media LLC United States Health care industry RoSPA Occuapational Safety Division RoSPA Occupational Safety & Health Journal 1474-7952 1/2002 Magazine/Journal (UK) Health RT for Decision Makers in Respiratory Care 1040-6050 10/2006 10/2006 10/2006 Magazine/Journal Allied Media LLC United States Health Runner's World 0897-1706 1/1980 1/1993 7/1994 11/2003 Magazine/Journal 30 Rodale, Inc. United States Sports and fitness American Running & Fitness Running & FitNews 0898-5162 1/1999 1/2003 1/2003 Newsletter Association United States Sports and fitness Rural Society 1037-1656 3/1999 3/1999 3/1999 Magazine/Journal Y eContent Management Pty Ltd. Australia Sociology and social work Russian Journal of Biological Invasions 2075-1117 1/2010 Magazine/Journal Springer United States Biological sciences Russian Journal of Physical Chemistry A 0036-0244 6/2006 Magazine/Journal Y Springer United States Chemistry Russian Meteorology and Hydrology 1068-3739 1/2007 Magazine/Journal Springer United States Earth sciences Safety & Health 0891-1797 1/1987 Magazine/Journal National Safety Council United States Health Same-Day Surgery 0190-5066 1/1996 1/1996 12/2001 3/2005 Newsletter AHC Media LLC United States Health care industry Sante Mentale au Quebec 0383-6320 3/2006 3/2006 3/2006 Magazine/Journal Y Filigrane Canada Psychology and mental health Sarcoma 1357-714X 1/2005 1/2005 1/2005 Magazine/Journal Y Hindawi Publishing Corp. Egypt Health Saturday Evening Post 0048-9239 1/1980 3/1983 Magazine/Journal Saturday Evening Post Society United States General interest Medknow Publications and Media Pvt. Saudi Journal of Anaesthesia 1658-354X 7/2009 7/2009 Magazine/Journal Ltd. India Health Medknow Publications and Media Pvt. Saudi Journal of Gastroenterology 1319-3767 1/1995 1/1999 Magazine/Journal Y Ltd. India Health Medknow Publications and Media Pvt. Saudi Journal of Kidney Diseases and Transplantation 1319-2442 1/2007 1/2007 Magazine/Journal Y Ltd. India Health Scandinavian Journal of Caring Sciences 0283-9318 3/2006 Magazine/Journal Y Blackwell Publishers Ltd. United Kingdom Science and technology Scandinavian Journal of Immunology 0300-9475 2/1999 Magazine/Journal Y Blackwell Publishers Ltd. United Kingdom Health Scandinavian Journal of Medicine and Science in Sports 0905-7188 2/2006 Magazine/Journal Y Blackwell Publishers Ltd. United Kingdom Health Scandinavian Journal of Psychology 0036-5564 2/2006 Magazine/Journal Y Blackwell Publishers Ltd. United Kingdom Psychology and mental health Scandinavian Journal of Trauma, Resuscitation and Emergency Medicine 1757-7241 7/2008 7/2008 Magazine/Journal Y BioMed Central Ltd. United Kingdom Health Scholarly Research Exchange 1687-8299 1/2008 1/2008 1/2008 Magazine/Journal Y Hindawi Publishing Corp. Egypt Science and technology Medknow Publications and Media Pvt. Scholars' Research Journal 0976-8459 1/2011 1/2011 Magazine/Journal Y Ltd. India Biological sciences American Association for the Science 0036-8075 1/1980 1/1983 12/2005 10/1999 12/2005 Magazine/Journal Y Advancement of Science United States Science and technology Science & Medicine 1087-3309 2/2005 2/2005 6/2005 2/2005 6/2005 Magazine/Journal Science & Medicine United States Health SCIENCE CHINA Life Sciences 1674-7305 1/2010 Magazine/Journal Y Springer United States Science and technology Science in China Series C: Life Sciences 1006-9305 1/2006 6/2008 Magazine/Journal Y Springer United States Science and technology Science Letter 1538-9111 1/2003 1/2003 Newsletter NewsRX United States Health American Institute for Cancer ScienceNow 3/2008 3/2008 9/2008 Magazine/Journal Research United States Health Scientific American 0036-8733 1/1980 Magazine/Journal Y Scientific American, Inc. United States Science and technology Scientific Review of Alternative Medicine 1095-0656 3/2000 1/2007 Magazine/Journal Y Prometheus Books, Inc. United States Health Scientometrics 0138-9130 1/2005 Magazine/Journal Y Springer United States Science and technology Scienza Riabilitativa 1828-3942 7/2009 7/2009 7/2009 Magazine/Journal Y Associazione Italiana Fisioterapisti Italy Health Scoliosis 1748-7161 12/2006 12/2006 Magazine/Journal Y BioMed Central Ltd. United Kingdom Health Pharmaceuticals and cosmetics SCRIP World Pharmaceutical News 0143-7690 1/1991 11/2006 Magazine/Journal PJB Publications United Kingdom industries HRC Academic 56/62
  • 59.
    Journal Name ISSN Index Start Index End Full-text Full-text End Image Start Image End Format Refereed/Peer- Embargo Publisher Name Publisher Country Publication Primary Subject Start Reviewed (Days) Searcher 1070-4795 5/1993 5/1993 9/1995 Magazine/Journal Information Today, Inc. United States Library and information science Second Opinion 0890-1570 3/1989 7/1995 3/1989 7/1995 Newsletter Park Ridge Center United States Health Seminars in Anesthesia, Perioperative Medicine and Pain 0277-0326 3/1995 Magazine/Journal Y Elsevier B.V. Netherlands Health Seminars in Arthritis and Rheumatism 0049-0172 6/1996 Magazine/Journal Y Elsevier B.V. Netherlands Health Seminars in Immunopathology 1863-2297 6/2007 Magazine/Journal Y Springer United States Health Seminars in Oncology Nursing 0749-2081 2/1995 Magazine/Journal Y Elsevier B.V. Netherlands Health care industry Seminars in Pediatric Infectious Diseases 1045-1870 1/1995 Magazine/Journal Y Elsevier B.V. Netherlands Seminars in Pediatric Neurology 1071-9091 3/1995 Magazine/Journal Y Elsevier B.V. Netherlands Health care industry Seminars in Pediatric Surgery 1055-8586 2/2003 Magazine/Journal Elsevier B.V. Netherlands Health Seminars in Perinatology 0146-0005 2/1995 Magazine/Journal Y Elsevier B.V. Netherlands Health care industry Seminars in Radiation Oncology 1053-4296 1/1995 Magazine/Journal Y Elsevier B.V. Netherlands Health care industry Seminars in Roentgenology 0037-198X 1/1995 Magazine/Journal Y Elsevier B.V. Netherlands Health care industry Seminars in Ultrasound, CT, and MRI 0887-2171 12/1995 Magazine/Journal Y Elsevier B.V. Netherlands Health care industry Seminars in Vascular Surgery 0895-7967 6/2002 Magazine/Journal Elsevier B.V. Netherlands Health SERIEs 1869-4187 3/2010 Magazine/Journal Springer United States Economics Sexual Abuse: A Journal of Research and Treatment 1079-0632 1/2006 Magazine/Journal Y Springer United States Family and marriage Sexual Health Exchange 1388-3046 1/2000 1/2005 Newsletter Royal Tropical Institute Netherlands Health Sexuality and Culture 1095-5143 3/2000 Magazine/Journal Springer United States Humanities Sexuality and Disability 0146-1044 9/2006 Magazine/Journal Y Springer United States Health American Venereal Disease Sexually Transmitted Diseases 0148-5717 4/1989 Magazine/Journal Y Association Health Sexually Transmitted Infections 1368-4973 2/2001 2/2001 2/2004 8/2001 10/2001 Magazine/Journal Y British Medical Association United States Health Shape 0744-5121 1/1988 12/2001 Magazine/Journal Weider Publications LLC United States Health Share Guide 11/2000 Magazine/Journal Dennis & Janice Hughes United States Health Sharing Responsibility: Women, Society and Abortion Worldwide 1/1999 1/1999 Report Guttmacher Institute United States Women's issues/gender studies She Knows Cooking Smart 1553-5614 3/2006 3/2006 3/2006 3/2006 Magazine/Journal Coincide Publishing United States Food/cooking/nutrition She Knows Diet & Fitness 1556-7656 2/2006 4/2006 2/2006 4/2006 Magazine/Journal Coincide Publishing United States Food/cooking/nutrition She Knows LowCarb Energy 1548-646X 3/2006 3/2006 3/2006 3/2006 Magazine/Journal Coincide Publishing United States Food/cooking/nutrition SHR-Social Issues & Healthcare Review 0894-3648 3/1988 3/1988 Magazine/Journal Quadrant Healthcom, Inc. United States Social sciences Sickbay Today 5/2000 10/2000 Magazine/Journal Sickbay.com Health Sierra Leone - HIV/AIDS Response Project 2/2002 2/2002 Report The World Bank United States Health Silence 1758-907X 1/2010 1/2010 Magazine/Journal Y BioMed Central Ltd. United Kingdom Biological sciences Skeletal Muscle 2044-5040 1/2011 1/2011 Magazine/Journal Y BioMed Central Ltd. United Kingdom Biological sciences Skin & Allergy News 0037-6337 7/2001 7/2001 Magazine/Journal International Medical News Group United States Health Skin Research and Technology 0909-752X 2/2006 Magazine/Journal Y Blackwell Publishers Ltd. United Kingdom Health Sleep Review 1531-3034 1/2006 1/2006 1/2006 Magazine/Journal Allied Media LLC United States Psychology and mental health Small Computers in Libraries 0275-6722 9/1985 1/1989 1/1988 1/1989 Magazine/Journal INT Media Group, Inc. United States Library and information science The Society for the Study of Social Social Biology 0037-766X 3/1989 9/2005 Magazine/Journal Y Biology United States Sociology and social work Social Problems 0037-7791 2/1987 Magazine/Journal Y University of California Press United States Sociology and social work Social Psychiatry 0037-7813 3/1980 12/1987 Magazine/Journal Y Springer United States Psychology and mental health Social Psychiatry and Psychiatric Epidemiology 0933-7954 3/1988 Magazine/Journal Y Springer United States Psychology and mental health Social Science & Medicine 0277-9536 1/1989 Magazine/Journal Y Elsevier Science Publishers Health Social Security Bulletin 0037-7910 1/1980 1/1983 9/1992 Magazine/Journal Social Security Administration Government Social Work 0037-8046 1/1980 1/1998 1/1998 Magazine/Journal Y National Association of Social Workers United States Sociology and social work Social Work Research 1070-5309 12/1998 12/1998 9/1999 Magazine/Journal Y National Association of Social Workers United States Sociology and social work Social Work with Groups 0160-9513 1/1994 Magazine/Journal Y Routledge United Kingdom Sociology and social work Society News 3/1989 6/1991 3/1989 6/1991 Magazine/Journal Leukemia Society of America United States Health Sociology and Social Research: An International Journal 0038-0393 1/1987 7/1992 Magazine/Journal Y University of Southern California United States Sociology and social work Sociology of Health & Illness 0141-9889 1/1999 Magazine/Journal Y Blackwell Publishers Ltd. United Kingdom Health Solutions for Better Health 1050-0219 5/1990 7/1990 5/1990 7/1990 Newsletter Haymarket Group Ltd. United States Health South African Journal of Bioethics and Law 1999-7639 6/2008 6/2008 6/2008 Magazine/Journal Y South African Medical Association South Africa Law South African Journal of Child Health 1994-3032 3/2008 3/2008 3/2008 Magazine/Journal Y South African Medical Association South Africa Health South African Journal of Clinical Nutrition 1607-0658 1/2007 1/2007 1/2007 1/2007 1/2007 1/2007 Magazine/Journal Y South African Medical Association South Africa Health South African Journal of Obstetrics and Gynaecology 0038-2329 3/2007 3/2007 3/2007 Magazine/Journal Y South African Medical Association South Africa Health South African Journal of Psychiatry 1608-9685 2/2007 2/2007 2/2007 Magazine/Journal Y South African Medical Association South Africa Health South African Journal of Radiology 1027-202X 3/2007 3/2007 3/2007 Magazine/Journal South African Medical Association South Africa Health HRC Academic 57/62
  • 60.
    Journal Name ISSN Index Start Index End Full-text Full-text End Image Start Image End Format Refereed/Peer- Embargo Publisher Name Publisher Country Publication Primary Subject Start Reviewed (Days) South African Journal of Sports Medicine 1015-5163 4/2007 4/2007 4/2007 Magazine/Journal Y South African Medical Association South Africa Health South African Journal of Surgery 0038-2361 2/2007 2/2007 2/2007 Magazine/Journal Y South African Medical Association South Africa Health South African Medical Journal 0256-9574 1/2007 1/2007 1/2007 Magazine/Journal Y South African Medical Association South Africa Health South Carolina Nurse 1046-7394 10/2006 10/2006 10/2006 Magazine/Journal South Carolina Nurses Association United States Health Southern African Journal of Critical Care 0038-2469 8/2007 8/2007 8/2007 Magazine/Journal Y South African Medical Association South Africa Health Southern African Journal of HIV Medicine 1608-9693 3/2007 3/2007 3/2007 Magazine/Journal Y South African Medical Association South Africa Health Southern Med Review 1174-2704 12/2008 12/2008 12/2008 Magazine/Journal Y Zaheer-Ud-Din Babar, PhD Australia Health Southern Medical Journal 0038-4348 6/2001 6/2001 7/2007 6/2001 6/2007 Magazine/Journal Y Southern Medical Association United States Health Soy Industry Connection 2/2007 9/2009 2/2007 9/2009 2/2007 9/2009 Newsletter United Soybean Board United States Agricultural industry Spanish Journal of Psychology 1138-7416 5/2000 5/2005 5/2005 Magazine/Journal Y 182 Universidad Complutense de Madrid Spain Psychology and mental health Association of Labor Assistants & Special Delivery 1083-5008 3/1988 6/2007 3/1991 6/2007 9/1996 6/2007 Newsletter Childbirth Educators United States Health Special Libraries 0038-6723 1/1980 6/1996 3/1989 6/1996 1/1992 6/1996 Magazine/Journal Special Libraries Association United States Library and information science Speech Technology Magazine 1088-5803 3/2007 3/2007 3/2007 Magazine/Journal Information Today, Inc. United States Languages and linguistics Spirituality & Health Magazine 1520-5444 9/1998 9/1998 Magazine/Journal Spirituality & Health Magazine United States Health Sport Journal 1543-9518 1/2007 1/2007 1/2007 Magazine/Journal Y United States Sports Academy United States Sports and fitness Sports Medicine 0112-1642 6/2003 6/2003 9/2011 6/2003 9/2011 Magazine/Journal Y Wolters Kluwer Health United Kingdom Health Sports Medicine Reports 1524-0991 11/2001 8/2003 11/2001 8/2003 12/2001 8/2003 Newsletter AHC Media LLC United States Health Sports Medicine, Arthroscopy, Rehabilitation, Therapy & Technology 1758-2555 1/2009 1/2009 Magazine/Journal BioMed Central Ltd. United Kingdom Health Springer Seminars in Immunopathology 0344-4325 11/2005 12/2006 Magazine/Journal Y Springer United States Health St. Lucia - HIV/AIDS Prevention and Control Project: Procurement Plan 11/2005 11/2005 Report The World Bank United States Health Stat Bulletin 0038-9986 5/2007 5/2007 5/2007 Magazine/Journal Wisconsin Nurses Association United States Health State Health Watch 1074-4754 9/1996 9/1996 12/2001 4/2005 Newsletter AHC Media LLC United States Health care industry State Policies in Brief (Series) 4/2009 4/2009 4/2009 Magazine/Journal Guttmacher Institute United States Health Staying Healthy from the Faculty of Harvard Medical School 7/2006 2/2007 7/2006 2/2007 Report Harvard Health Publications Group United States Health Stem Cell Business News 11/2010 11/2010 11/2010 Newsletter DataTrends Publications, Inc. United States Biological sciences Stem Cell Lab World 11/2010 11/2010 11/2010 Newsletter DataTrends Publications, Inc. United States Biological sciences Stem Cell Research & Therapy 1757-6512 3/2010 3/2010 Magazine/Journal Y BioMed Central Ltd. United Kingdom Health Stem Cell Research News 1538-327X 11/2010 11/2010 11/2010 Newsletter DataTrends Publications, Inc. United States Biological sciences Stem Cell Week 1537-1360 10/2001 10/2001 Magazine/Journal NewsRX United States Health Stem Cells and Development 1547-3287 10/2007 10/2007 11/2011 10/2007 11/2011 Magazine/Journal Y Mary Ann Liebert, Inc. United States Health Stem Cells International 1687-9678 1/2010 1/2010 1/2010 Magazine/Journal Y Hindawi Publishing Corp. Egypt Health Strategic Legal Technology by Prism Legal Consulting, Inc. (Blogs on Demand) 1/2007 1/2007 Blog Newstex LLC United States General interest Streaming Media 1559-8039 4/2007 4/2007 4/2007 Magazine/Journal Information Today, Inc. United States Computers Strengthening the Education Sector: Response To HIV/AIDS In the Caribbean 1/2008 1/2008 Report The World Bank United States Health Stroke Research and Treatment 2042-0056 1/2010 1/2010 1/2010 Magazine/Journal Y Hindawi Publishing Corp. Egypt Health Structural Biology and Human Health: Medically Relevant Proteins from the SGC(Structural Genomics Consortium) 10/2009 10/2009 10/2009 Newswire Y Public Library of Science United States Science and technology Student BMJ 0966-6494 5/2001 5/2001 4/2004 8/2001 10/2001 Magazine/Journal Y British Medical Association United States Health Studies in Family Planning 0039-3665 1/1992 5/1994 12/2007 7/1994 12/2007 Magazine/Journal Y The Population Council, Inc. United States Family and marriage Centraalbureau voor Studies in Mycology 0166-0616 3/2011 3/2011 3/2011 Magazine/Journal Y Schimmelcultures Netherlands Biological sciences Subacute Care Management 1087-0377 1/1997 12/1998 1/1997 12/1998 Newsletter AHC Media LLC United States Health care industry Suicide and Life-Threatening Behavior 0363-0234 3/1989 Magazine/Journal Y Guilford Publications, Inc. United States Psychology and mental health Surfacing: Selected Papers on Religious Fundamentalisms and Their Impact onWomen's Sexual and Reproductive Asian-Pacific Resource & Research Health and Rights 1/2008 1/2008 1/2008 Monograph Centre for Women Malaysia Women's issues/gender studies Surgeon General's Call To Action To Prevent Suicide 1/1999 1/1999 Report U.S. Office of the Surgeon General United States Health Surgical and Radiologic Anatomy 0930-1038 6/1986 Magazine/Journal Y Springer United States Health Surgical Endoscopy 0930-2794 6/2004 Magazine/Journal Y Springer United States Health Surgical Infections 1096-2964 10/2007 10/2011 10/2007 10/2011 10/2007 10/2011 Magazine/Journal Y Mary Ann Liebert, Inc. United States Health Medknow Publications and Media Pvt. Surgical Neurology International 1/2010 1/2010 Magazine/Journal Y Ltd. India Health Surgical Products 1062-4732 2/2000 2/2000 5/2000 Newsletter Advantage Business Media United States Health care industry Swine (H1N1) Flu (Harvard Special Health Report) 5/2009 5/2009 5/2009 Report Harvard Health Publications Group United States Health HRC Academic 58/62
  • 61.
    Journal Name ISSN Index Start Index End Full-text Full-text End Image Start Image End Format Refereed/Peer- Embargo Publisher Name Publisher Country Publication Primary Subject Start Reviewed (Days) Medknow Publications and Media Pvt. Systematic Reviews in Pharmacy 1/2010 1/2010 Magazine/Journal Y Ltd. India Health TAG Theoretical and Applied Genetics 0040-5752 2/2003 Magazine/Journal Y Springer United States Biological sciences Tanzania - AIDS Assessment and Planning Study 12/1992 12/1992 Report The World Bank United States Health TB & Outbreaks Week 1531-6432 6/2000 6/2000 Newsletter NewsRX United States Health TB Monitor 1082-8664 11/2001 12/2002 11/2001 12/2002 12/2001 12/2002 Newsletter AHC Media LLC United States Health Teaching and Learning in Nursing 1557-3087 6/2006 Magazine/Journal Y Elsevier B.V. Netherlands Health care industry Technical Report Series 0512-3054 4/2002 4/2002 5/2002 Report Y World Health Organization Switzerland Health Techniques in Coloproctology 1123-6337 6/1999 Magazine/Journal Y Springer United States Health Telemedicine and e-Health 1530-5627 10/2007 10/2007 11/2011 10/2007 11/2011 Magazine/Journal Y Mary Ann Liebert, Inc. United States Health Tennessee Nurse 1055-3134 3/2006 3/2006 3/2006 Magazine/Journal Y Tennessee Nurses Association United States Health care industry Board of Nurse Examiners State of Texas Board of Nursing Bulletin 1/2006 1/2006 1/2006 Magazine/Journal Y Texas United States Health Therapeutic Apheresis and Dialysis 1744-9979 2/2006 Magazine/Journal Y Blackwell Publishers Ltd. United Kingdom Health Therapy 1475-0708 9/2004 11/2011 9/2004 11/2011 9/2004 1/2010 Magazine/Journal Y Future Medicine Ltd. United Kingdom Health Thorax 0040-6376 4/2001 4/2001 3/2004 8/2001 11/2001 Magazine/Journal Y British Medical Association United States Health Thrombosis Journal 1477-9560 1/2007 1/2007 Magazine/Journal Y BioMed Central Ltd. United Kingdom Health Thyroid 1050-7256 11/2007 11/2011 11/2007 11/2011 11/2007 11/2011 Magazine/Journal Y Mary Ann Liebert, Inc. United States Health Thyroid Research 1756-6614 9/2008 9/2008 Magazine/Journal Y BioMed Central Ltd. United Kingdom Health Medknow Publications and Media Pvt. Thyroid Research and Practice 0973-0354 1/2012 1/2012 Magazine/Journal Y Ltd. India Health Time 0040-781X 1/1980 Magazine/Journal Time, Inc. United States News, opinion and commentary Tissue Antigens 0001-2815 1/2005 Magazine/Journal Y Blackwell Publishers Ltd. United Kingdom Biological sciences Tissue Engineering, Part A: Tissue Engineering 1937-3341 1/2008 11/2011 1/2008 11/2011 1/2008 11/2011 Magazine/Journal Y Mary Ann Liebert, Inc. United States Biological sciences Tissue Engineering, Part B: Reviews 1937-3368 3/2008 10/2011 3/2008 10/2011 3/2008 10/2011 Magazine/Journal Y Mary Ann Liebert, Inc. United States Biological sciences Tissue Engineering, Part C: Methods 1937-3384 3/2008 11/2011 3/2008 11/2011 3/2008 11/2011 Magazine/Journal Y Mary Ann Liebert, Inc. United States Biological sciences To the Macula and Beyond 1/2005 1/2005 1/2005 Report Y Kugler Publications Netherlands Health Tobacco Control 0964-4563 3/2001 3/2001 3/2004 9/2001 9/2001 Magazine/Journal Y British Medical Association United States Health Tobacco Induced Diseases 1617-9625 1/2002 1/2002 Magazine/Journal Y BioMed Central Ltd. United Kingdom Health Today's Living 0743-7285 1/1988 4/1990 Magazine/Journal Active Interest Media United States Food/cooking/nutrition Topics in Clinical Chiropractic 1073-2837 6/2000 12/2002 3/2001 12/2002 3/2002 12/2002 Magazine/Journal Y Aspen Publishers, Inc. United States Health Lippincott Williams & Wilkins, WK Topics in Clinical Nutrition 0883-5691 12/2001 Magazine/Journal Y Health United States Health Lippincott Williams & Wilkins, WK Topics in Emergency Medicine 0164-2340 12/2001 4/2006 Magazine/Journal Y Health United States Health Lippincott Williams & Wilkins, WK Topics in Geriatric Rehabilitation 0882-7524 12/2001 Magazine/Journal Y Health United States Health Topics in Health Care Financing 0095-3814 9/1981 9/1994 3/1992 9/1994 12/1992 9/1994 Magazine/Journal Aspen Publishers, Inc. United States Health care industry Topics in Health Information Management 1065-0989 11/2001 1/2003 11/2001 1/2003 11/2001 1/2003 Magazine/Journal Aspen Publishers, Inc. United States Library and information science Lippincott Williams & Wilkins, WK Topics in Language Disorders 0271-8294 1/2002 Magazine/Journal Y Health United States Education Topics in Stroke Rehabilitation 1074-9357 3/2002 3/2002 3/2002 Magazine/Journal Y Thomas Land Publishers, Inc. United States Health Total Health 0274-6743 2/1988 5/2009 2/1988 6/1996 Magazine/Journal Total Health Communications, Inc. United States Health Total Health Online 1/2011 Magazine/Journal The Wellness Imperative People United States Health Total Nutrition: The Only Guide You'll Ever Need 1/1995 Collection Lowenstein Associates, Inc. United States Food/cooking/nutrition Towards STD/AIDS Awareness and Prevention In Plateau State, Nigeria: FindingsFrom A Paricipatory Rural Appraisal 4/1997 4/1997 Report The World Bank United States Health Townsend Letter 1940-5464 1/2008 1/2008 1/2008 Magazine/Journal Y The Townsend Letter Group United States Health Townsend Letter for Doctors and Patients 1525-4283 1/2001 1/2006 1/2001 1/2006 4/2001 1/2006 Magazine/Journal Y The Townsend Letter Group United States Health Townsend Letter: The Examiner of Alternative Medicine 2/2006 12/2007 2/2006 12/2007 2/2006 12/2007 Magazine/Journal Y The Townsend Letter Group United States Health Medknow Publications and Media Pvt. Toxicology International 0976-5131 1/2010 1/2010 Magazine/Journal Y Ltd. India Health Traffic 1398-9219 11/2000 Magazine/Journal Y Blackwell Publishers Ltd. United Kingdom Biological sciences Transactions of the Royal Society of Tropical Medicine and Hygiene 0035-9203 7/2005 Magazine/Journal Y Elsevier B.V. Netherlands Health care industry Transboundary and Emerging Diseases 1865-1674 3/2008 Magazine/Journal Y Blackwell Publishers Ltd. United Kingdom Health care industry Transfusion 0041-1132 2/2002 Magazine/Journal Y Blackwell Publishers Ltd. United Kingdom Science and technology Transfusion Medicine 0958-7578 7/1998 Magazine/Journal Y Blackwell Publishers Ltd. United Kingdom Health Transfusion Medicine Reviews 0887-7963 1/1995 Magazine/Journal Y Elsevier B.V. Netherlands Health care industry Translational Research 1931-5244 7/2006 Magazine/Journal Y Elsevier B.V. Netherlands Health care industry Translational Stroke Research 1868-4483 3/2010 Magazine/Journal Springer United States Health Transplant & Tissue Weekly 1535-2684 4/2000 6/2000 4/2000 6/2000 Newsletter NewsRX United States Health HRC Academic 59/62
  • 62.
    Journal Name ISSN Index Start Index End Full-text Full-text End Image Start Image End Format Refereed/Peer- Embargo Publisher Name Publisher Country Publication Primary Subject Start Reviewed (Days) Transplant Immunology 0966-3274 3/2005 Magazine/Journal Y Elsevier B.V. Netherlands Health Transplant Infectious Disease 1398-2273 3/2006 Magazine/Journal Y Blackwell Publishers Ltd. United Kingdom Health Transplant International 0934-0874 1/2006 Magazine/Journal Y Blackwell Publishers Ltd. United Kingdom Health Transplant News 1090-4964 5/1998 5/1998 Newsletter Transplant Communications, Inc. United States Health care industry Transplant Weekly 6/1998 12/1999 6/1998 12/1999 Newsletter NewsRX United States Health Transplantation Reviews 0955-470X 1/1998 Magazine/Journal Y Elsevier B.V. Netherlands Health care industry Trauma Reports 1531-1082 7/2000 7/2000 1/2002 1/2005 Magazine/Journal Y AHC Media LLC United States Health Travel Medicine Advisor 1/1997 1/1997 7/2001 3/2005 Newsletter AHC Media LLC United States Health Trends in Amplification 1084-7138 1/2001 Magazine/Journal Y Westminster Publications Inc. United States Health Society for Biomaterials and Artificial Trends in Biomaterials and Artificial Organs 0971-1198 7/2001 7/2001 7/2001 Magazine/Journal Y Organs India Health Trends in Neurosciences 0166-2236 1/1992 Magazine/Journal Y Elsevier Science Publishers Psychology and mental health Trends in Pharmacological Sciences 0165-6147 1/1991 Magazine/Journal Y Elsevier Science Publishers Biological sciences Trials 1745-6215 1/2007 1/2007 Magazine/Journal Y BioMed Central Ltd. United Kingdom Health Tropical Medicine and International Health 1360-2276 1/2006 Magazine/Journal Y Blackwell Publishers Ltd. United Kingdom Health Medknow Publications and Media Pvt. Tropical Parasitology 1/2011 1/2011 Magazine/Journal Y Ltd. India Health Tuberculosis & Airborne Disease Weekly 5/1998 12/1999 5/1998 12/1999 Newsletter NewsRX United States Health Tuberculosis & Communicable Disease Weekly 4/2000 5/2000 4/2000 5/2000 Newsletter NewsRX United States Health Tuberculosis Week 1543-6632 2/2003 2/2003 Newsletter NewsRX United States Health Tufts University Health & Nutrition Tufts University Diet & Nutrition Letter 0747-4105 1/1988 1/1997 1/1988 1/1997 7/1994 1/1997 Newsletter Letter United States Food/cooking/nutrition Tufts University Health & Nutrition Tufts University Health & Nutrition Letter 1526-0143 2/1997 2/1997 2/1997 Newsletter Letter United States Health Turkish Journal of Dermatology 1307-7635 9/2008 9/2008 9/2008 Magazine/Journal Y Aves Yayincilik Turkey Health Turkish Journal of Emergency Medicine 1304-7361 10/2011 10/2011 10/2011 Magazine/Journal Y KARE Publishing Turkey Health Turkish Journal of Endocrinology and Metabolism 1301-2193 9/2008 9/2008 9/2008 Magazine/Journal Y Galenos Yayinevi Tic. Ltd. Turkey Health Turkish Journal of Hematology 1300-7777 9/2008 9/2008 9/2008 Magazine/Journal Y Aves Yayincilik Turkey Health Turkish Journal of Oncology 1300-7467 7/2011 7/2011 7/2011 Magazine/Journal Y KARE Publishing Turkey Health Turkish Journal of Ophthalmology 1300-0659 9/2010 9/2010 9/2010 Magazine/Journal Y Galenos Yayinevi Tic. Ltd. Turkey Health Turkish Journal of Osteoporosis 2146-3816 8/2011 8/2011 8/2011 Magazine/Journal Y Galenos Yayinevi Tic. Ltd. Turkey Health Turkish Journal of Physical Medicine and Rehabilitation 1302-0234 9/2008 9/2008 9/2008 Magazine/Journal Y Galenos Yayinevi Tic. Ltd. Turkey Health Turkish Journal of Rheumatology 1309-0291 3/2009 3/2009 3/2009 Magazine/Journal Y Turkish League Against Rheumatism Turkey Health Turkish Pediatrics Archive 1306-0015 9/2008 9/2008 9/2008 Magazine/Journal Y Galenos Yayinevi Tic. Ltd. Turkey Health Turkish Thoracic Journal 1302-7808 9/2008 9/2008 9/2008 Magazine/Journal Y Aves Yayincilik Turkey Health U.S. Army Medical Department Center U.S. Army Medical Department Journal 1524-0436 1/2005 1/2005 1/2005 Magazine/Journal Y & School United States Health U.S. News & World Report 0041-5537 1/1980 12/2010 Magazine/Journal U.S. News and World Report, L.P. United States News, opinion and commentary U.S. News & World Report Weekly 1/2011 Magazine/Journal U.S. News and World Report, L.P. United States News, opinion and commentary Uganda - Sexually Transmitted Infections Project 6/2003 6/2003 Report The World Bank United States Health University of California, Berkeley Wellness Letter 0748-9234 1/1988 1/1989 2/1995 Newsletter MediZine LLC United States Sports and fitness Update 0301-5718 11/2002 11/2003 Magazine/Journal Elsevier Science Publishers News, opinion and commentary Urgent Care Alert 1935-3898 1/2007 6/2007 1/2007 6/2007 Newsletter AHC Media LLC United States Health care industry Urologic Nursing 1053-816X 3/1999 3/1999 2/2001 Magazine/Journal Y Jannetti Publications, Inc. United States Health Urological Research 0300-5623 2/2006 Magazine/Journal Y Springer United States Health Medknow Publications and Media Pvt. Urology Annals 0974-7796 1/2009 1/2009 Magazine/Journal Y Ltd. India Health Urology Times 0093-9722 10/1997 10/1997 Magazine/Journal Advanstar Communications, Inc. United States Business Vaccine Weekly 1074-2921 7/2008 7/2008 Newsletter NewsRX United States Health Pharmaceuticals and cosmetics Value in Health 1098-3015 1/2006 Magazine/Journal Y Blackwell Publishers Ltd. United Kingdom industries Vascular and Endovascular Surgery 1538-5744 1/2002 Magazine/Journal Y Westminster Publications Inc. United States Health Vascular Cell 2045-824X 1/2011 1/2011 Magazine/Journal Y BioMed Central Ltd. United Kingdom Health Vascular Surgery 0042-2835 1/2001 11/2001 Magazine/Journal Y Westminster Publications Inc. United States Health Vector & Zoonosis Week 8/2002 4/2003 8/2002 4/2003 Newsletter NewsRX United States Health care industry Vector-Borne and Zoonotic Diseases 1530-3667 12/2007 11/2011 12/2007 11/2011 12/2007 11/2011 Magazine/Journal Y Mary Ann Liebert, Inc. United States Health Vegetarian Journal 0885-7636 7/2000 7/2000 7/2000 Magazine/Journal Vegetarian Resource Group United States Food/cooking/nutrition Vegetarian Times 0164-8497 1/1988 1/1996 10/1999 Magazine/Journal Active Interest Media United States Food/cooking/nutrition Vermont State Nurses Association, Vermont Nurse Connection 1529-4609 2/2007 2/2007 5/2007 Newsletter Inc. United States Health care industry Veterinary Anaesthesia and Analgesia 1467-2987 1/2006 Magazine/Journal Y Blackwell Publishers Ltd. United Kingdom Health HRC Academic 60/62
  • 63.
    Journal Name ISSN Index Start Index End Full-text Full-text End Image Start Image End Format Refereed/Peer- Embargo Publisher Name Publisher Country Publication Primary Subject Start Reviewed (Days) Veterinary Dermatology 0959-4493 2/2006 Magazine/Journal Y Blackwell Publishers Ltd. United Kingdom Health Veterinary Medicine 8750-7943 12/2005 12/2005 12/2005 Magazine/Journal Y Advanstar Communications, Inc. United States Health Veterinary Ophthalmology 1463-5216 1/2006 Magazine/Journal Y Blackwell Publishers Ltd. United Kingdom Health Veterinary Radiology & Ultrasound 1058-8183 1/2006 Magazine/Journal Y Blackwell Publishers Ltd. United Kingdom Health Veterinary Surgery 0161-3499 5/1986 Magazine/Journal Y Blackwell Publishers Ltd. United Kingdom Health Review and Herald Publishing Vibrant Life 0749-3509 1/1988 1/1989 9/1999 Magazine/Journal Association United States Health Violence Against Women 1077-8012 10/1999 Magazine/Journal Y Sage Publications, Inc. United States Women's issues/gender studies Violence and Victims 0886-6708 3/1999 Magazine/Journal Y Springer Publishing Co. United States Sociology and social work Viral Immunology 0882-8245 12/2007 10/2011 12/2007 10/2011 12/2007 10/2011 Magazine/Journal Y Mary Ann Liebert, Inc. United States Health Virus Weekly 1531-6424 6/2000 6/2000 8/2000 10/2000 Newsletter NewsRX United States Health Visions: The Journal of Rogerian Nursing Science 1072-4532 1/2002 1/2002 1/2002 Magazine/Journal Y Society of Rogerian Scholars United States Health Vox Sanguinis 0042-9007 1/2001 Magazine/Journal Y Blackwell Publishers Ltd. United Kingdom Health Waste and Biomass Valorization 1877-2641 3/2010 Magazine/Journal Springer United States Environmental issues Weekly Epidemiological Record 0049-8114 1/2002 1/2002 1/2004 Magazine/Journal World Health Organization Switzerland Health Weight Watchers Twentyfirst Weight Watchers Magazine 0043-2180 1/1980 Magazine/Journal Corporation Health West Virginia State Medical West Virginia Medical Journal 0043-3284 1/2008 1/2008 1/2008 Magazine/Journal Y Association United States Health Western Journal of Medicine 0093-0415 5/1989 5/2002 5/1989 5/2002 7/1999 6/2001 Magazine/Journal Y British Medical Association United States Health Western Journal of Nursing Research 0193-9459 2/1996 2/1996 12/1998 Magazine/Journal Y Sage Publications, Inc. United States Health Whitireia Community Polytechnic, Whitireia Nursing Journal 1173-1966 1/2006 1/2006 1/2006 Magazine/Journal Nursing Centre of Learning New Zealand Health care industry WHO Drug Information 1010-9609 1/1999 1/1999 6/1999 Magazine/Journal World Health Organization Switzerland Health WHO Regional Publications, European Series 0378-2255 1/1999 1/1999 1/2007 Report World Health Organization Switzerland Government Whole Life Monthly 0279-5604 1/1988 3/1988 Magazine/Journal Whole World Communications, Inc. Health Whole Life Times 0279-5590 4/1988 4/2009 Magazine/Journal Whole Life Company, Inc. United States Health Women & Health 0363-0242 3/1988 Magazine/Journal Y Routledge United Kingdom Health Women & Therapy 0270-3149 1/1992 Magazine/Journal Y Routledge United Kingdom Women's issues/gender studies Women and Birth 1871-5192 7/2006 Magazine/Journal Y Elsevier B.V. Netherlands Health care industry Women's Health 1745-5057 7/2005 7/2005 Magazine/Journal Y 365 Future Medicine Ltd. United Kingdom Health Women's Health Activist 1547-8823 1/2004 1/2004 1/2004 Magazine/Journal National Women's Health Network United States Women's issues/gender studies Women's Health Advisor 1524-881X 1/2006 1/2006 6/2006 Magazine/Journal Belvoir Media Group, LLC United States Health Women's Health Center Management 1082-863X 1/1997 12/1998 1/1997 12/1998 Newsletter AHC Media LLC United States Health care industry Latin American and Caribbean Women's Health Collection 1/2001 1/2009 1/2001 1/2009 1/2001 1/2009 Collection Women's Health Network Chile Women's issues/gender studies Women's Health Issues 1049-3867 1/1997 Magazine/Journal Y Elsevier B.V. Netherlands Health Latin American and Caribbean Women's Health Journal 4/2002 4/2002 4/2002 Magazine/Journal Women's Health Network Chile Women's issues/gender studies Women's Health Letter 1062-4163 8/2000 8/2000 8/2000 Newsletter Soundview Publications United States Health Women's Health Weekly 1078-7240 11/2000 11/2000 11/2000 9/2001 Magazine/Journal NewsRX United States Health Women's Letter 1043-1519 5/1989 2/1991 1/1990 2/1991 Newsletter Skol Corp. Health Women's Sports and Fitness 1099-6079 1/1985 7/2000 1/1989 7/2000 9/1999 7/2000 Magazine/Journal Conde Nast Publications, Inc. United States Sports and fitness WomenSports 0163-7428 1/1980 3/1985 Magazine/Journal Conde Nast Publications, Inc. United States Sports and fitness Work and Occupations 0730-8884 2/1992 2/1997 11/1998 Magazine/Journal Y Sage Publications, Inc. United States Sociology and social work President's Committee on Employment of People with Human resources and labor Worklife 1553-4626 1/1988 9/1990 3/1989 9/1990 Magazine/Journal Disabilities United States relations World Bank's Commitment To HIV/AIDS In Africa: Our Agenda For Action,2007-2011 1/2008 1/2008 Report The World Bank United States Health World Disease Weekly 1553-6963 10/2004 10/2004 Newsletter NewsRX United States Health World Disease Weekly Plus 4/1998 10/1999 4/1998 10/1999 Newsletter NewsRX United States Health World Health 0043-8502 1/1980 11/1998 1/1983 11/1998 7/1994 11/1998 Magazine/Journal World Health Organization Switzerland Health World Health Report 1020-3311 1/2001 1/2001 1/2002 Report World Health Organization Switzerland Health World Health Statistics 2005 1/2005 1/2005 1/2005 1/2005 Report World Health Organization Switzerland Health World Health Statistics 2006 1/2006 1/2006 1/2006 1/2006 Report World Health Organization Switzerland Health World Health Statistics 2007 1/2007 1/2007 1/2007 1/2007 Report World Health Organization Switzerland Health World Health Statistics 2008 1/2008 1/2008 1/2008 1/2008 Report World Health Organization Switzerland Health World Health Statistics 2009 1/2009 1/2009 1/2009 1/2009 Report World Health Organization Switzerland Health World Health Statistics 2010 1999-5202 1/2010 1/2010 1/2010 Report World Health Organization Switzerland Health World Journal of Emergency Surgery 1749-7922 12/2006 12/2006 Magazine/Journal Y BioMed Central Ltd. United Kingdom Health Medknow Publications and Media Pvt. World Journal of Nuclear Medicine 1450-1147 1/2011 1/2011 Magazine/Journal Y Ltd. India Health HRC Academic 61/62
  • 64.
    Journal Name ISSN Index Start Index End Full-text Full-text End Image Start Image End Format Refereed/Peer- Embargo Publisher Name Publisher Country Publication Primary Subject Start Reviewed (Days) World Journal of Surgery 0364-2313 7/1997 Magazine/Journal Y Springer United States Health World Journal of Surgical Oncology 1477-7819 1/2007 1/2007 Magazine/Journal Y BioMed Central Ltd. United Kingdom Health World Journal of Urology 0724-4983 9/2005 Magazine/Journal Y Springer United States Health Worldviews on Evidence-Based Nursing 1545-102X 3/2006 Magazine/Journal Y Blackwell Publishers Ltd. United Kingdom Health care industry Wound Care 1098-643X 1/1997 7/1999 1/1997 7/1999 Newsletter AHC Media LLC United States Health care industry Wound Repair and Regeneration 1067-1927 1/2004 Magazine/Journal Y Blackwell Publishers Ltd. United Kingdom Health Xenotransplantation 0908-665X 1/2006 Magazine/Journal Y Blackwell Publishers Ltd. United Kingdom Health Medknow Publications and Media Pvt. Young Scientists Journal 0974-6102 1/2008 1/2008 Magazine/Journal Ltd. India Science and technology Australian Clearing House for Youth Youth Studies Australia 1038-2569 9/2001 9/2001 12/2001 Magazine/Journal Y Studies Australia Family and marriage Zebrafish 1545-8547 9/2007 9/2011 9/2007 9/2011 9/2007 9/2011 Magazine/Journal Y Mary Ann Liebert, Inc. United States Science and technology Zoonoses and Public Health 1863-1959 2/2008 Magazine/Journal Y Blackwell Publishers Ltd. United Kingdom Health care industry HRC Academic 62/62