More Related Content
PDF
Syllabus for semester 3: complementary course in maths PDF
Pg s2 11.08.2021 d5 filters PDF
PDF
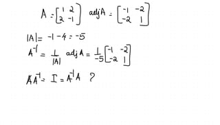
questions on matrices part1 PDF
PDF
Silver-Pohlig-Hellman Algorithm PDF
Closed sets in metric spaces PDF
Continuity- solved problems set 1 More from SreejaRamesh2
PDF
Roots of Unity & Quadratic residues PDF
finite fields of prime power order PDF
generator of a finite field exists PDF
probability of generators PDF
Topologies on the Set of Real Numbers PDF
PDF
python- Variables and data types PDF
python- print function and arithmetic expressions PDF
PDF
Elementary Transformations of Matrices PDF
Rank of a matrix:::Definition PDF
Lagrange's Equation:: Solved Problems Set1 PDF
Partial Differential Equations::formation- rule 2(Elimination of Arbitrary Fu... PDF
PDF
Idc physics nov11 live session on matrices PDF
Pfaffian differential equations - methods of solution part2 PDF
Pfaffian differential equations-methods of solution part1 PDF
Pfaffian differential equations-verify integrability problems PDF
Problems on factoring part1 PDF
Proposition 4.3 factorisation Recently uploaded
PPTX
How to Add an Icon in Systray in Odoo 18 PDF
Orlando by Virginia Woolf: The Granite and The Rainbow PPTX
Modeling Simple Equation using Bar Model.pptx PPTX
How to Manage Closest Location in Odoo 18 Inventory PPTX
How to Configure Dispatch Management System in Odoo 18 Inventory PPTX
Plant fibres used as surgical dressings & Sutures – Surgical Catgut and Ligat... PDF
Holm Community Heritage at St Nicholas Kirk - 2025 AGM Minutes (30.04.2025) PDF
PPT Daftar Bahan Kelas Bedah Kitab Matius Khotbah di Bukit PDF
How "Raiders of the Lost Ark" and "Ordinary People" Employ Non-Verbal Acting PDF
Artificial Intelligence in Research and Academic Writing, Workshop on Researc... PPTX
Chapter 1: Introduction to Economics - Macroeconomics and Microeconomics.pptx PPTX
GRADE 8_WEEK 2_QUARTER 4_ENGLISH_MATATAG.pptx PPTX
How to Manage Reservation Method in Odoo 18 Inventory PPTX
Q4_PPT MUSIC & ARTS 7 week 1-2, matatag curriculum PPTX
A brief introduction to Minor vegetable crops.pptx PDF
Nursing care plan for Vomiting /B.Sc nsg PDF
Chapter 05 Drugs Acting on the Central Nervous System: Anti-Depressant Drugs PPTX
EYE IRRIGATION AND INSTILLATION....pptx PDF
Unit Plan and Unit Test-pdf-Dr. Rajashekhar Shirvalkar, Principal, SMRS B.Ed ... PPTX
ENGLISH-7-Quarter-4-Week-3 Matatag .pptx