Download free for 30 days
Sign in
Upload
Language (EN)
Support
Business
Mobile
Social Media
Marketing
Technology
Art & Photos
Career
Design
Education
Presentations & Public Speaking
Government & Nonprofit
Healthcare
Internet
Law
Leadership & Management
Automotive
Engineering
Software
Recruiting & HR
Retail
Sales
Services
Science
Small Business & Entrepreneurship
Food
Environment
Economy & Finance
Data & Analytics
Investor Relations
Sports
Spiritual
News & Politics
Travel
Self Improvement
Real Estate
Entertainment & Humor
Health & Medicine
Devices & Hardware
Lifestyle
Change Language
Language
English
Español
Português
Français
Deutsche
Cancel
Save
Submit search
EN
YY
Uploaded by
Yebon You
2,820 views
Heapify down
heapifyDown() method in Heap data structure
Engineering
◦
Related topics:
Data Structures
•
Read more
0
Save
Share
Embed
Embed presentation
Download
Download to read offline
1
/ 21
2
/ 21
3
/ 21
4
/ 21
5
/ 21
6
/ 21
7
/ 21
8
/ 21
9
/ 21
10
/ 21
11
/ 21
12
/ 21
13
/ 21
14
/ 21
15
/ 21
16
/ 21
17
/ 21
18
/ 21
19
/ 21
20
/ 21
21
/ 21
More Related Content
PPTX
OnePointLesson PriorityQueue 우선순위 큐
by
KWANGIL KIM
PDF
CS Study - Data Structure 자료 구조. Tree 발표자료
by
Jiwoo Choi
PDF
[Swift] Data Structure - Heap
by
Bill Kim
PDF
프로젝트#6 (오탈자 검사)보고서
by
mil23
PDF
자료구조 06 최종 보고서
by
pkok15
PDF
2021 여름방학 정기 세미나 3주차
by
Moonki Choi
PDF
자료구조06
by
JeongJunYong
PDF
자료구조06
by
herojoon1378
OnePointLesson PriorityQueue 우선순위 큐
by
KWANGIL KIM
CS Study - Data Structure 자료 구조. Tree 발표자료
by
Jiwoo Choi
[Swift] Data Structure - Heap
by
Bill Kim
프로젝트#6 (오탈자 검사)보고서
by
mil23
자료구조 06 최종 보고서
by
pkok15
2021 여름방학 정기 세미나 3주차
by
Moonki Choi
자료구조06
by
JeongJunYong
자료구조06
by
herojoon1378
Similar to Heapify down
PDF
[SOPT] 데이터 구조 및 알고리즘 스터디 - #04 : 트리 기초, 이진 트리, 우선순위 큐
by
S.O.P.T - Shout Our Passion Together
PPTX
02. data structure and stl
by
승혁 조
PDF
[SegmentTree] SegmentTree Datastructure description and implementation slides
by
Bomm (Rowen) Kim
PPTX
03. segment tree
by
승혁 조
PDF
자료구조04
by
herojoon1378
PDF
Prefix_sum.pdf
by
Ho Jeong Im
PDF
자료구조 트리 보고서
by
mil23
PDF
Bst delete
by
Yebon You
PPTX
Data Structures
by
skku_npc
PDF
Project#6 오탈자 검사 D0 Hwp
by
Kimjeongmoo
PDF
자료구조6보고서
by
KimChangHoen
PDF
자구4번
by
kangseungwoo
DOCX
자료구조 Project4
by
KoChungWook
PDF
Algorithms summary korean
by
Young-Min kang
PPTX
amugona study 3rd
by
who7117
PDF
Project#4상호참조 생성기 Hwp
by
Kimjeongmoo
PDF
자료구조4보고서
by
KimChangHoen
PPTX
Datastructure tree
by
송미 이
PDF
자료구조 04 최종 보고서
by
pkok15
PDF
2012 Ds 04
by
Jungyerin
[SOPT] 데이터 구조 및 알고리즘 스터디 - #04 : 트리 기초, 이진 트리, 우선순위 큐
by
S.O.P.T - Shout Our Passion Together
02. data structure and stl
by
승혁 조
[SegmentTree] SegmentTree Datastructure description and implementation slides
by
Bomm (Rowen) Kim
03. segment tree
by
승혁 조
자료구조04
by
herojoon1378
Prefix_sum.pdf
by
Ho Jeong Im
자료구조 트리 보고서
by
mil23
Bst delete
by
Yebon You
Data Structures
by
skku_npc
Project#6 오탈자 검사 D0 Hwp
by
Kimjeongmoo
자료구조6보고서
by
KimChangHoen
자구4번
by
kangseungwoo
자료구조 Project4
by
KoChungWook
Algorithms summary korean
by
Young-Min kang
amugona study 3rd
by
who7117
Project#4상호참조 생성기 Hwp
by
Kimjeongmoo
자료구조4보고서
by
KimChangHoen
Datastructure tree
by
송미 이
자료구조 04 최종 보고서
by
pkok15
2012 Ds 04
by
Jungyerin
More from Yebon You
PDF
Graph dfs-and-path
by
Yebon You
PDF
Heapify up
by
Yebon You
PDF
Merge
by
Yebon You
PDF
Mergesort divide
by
Yebon You
PDF
Countingsort
by
Yebon You
PDF
Quicksort partitioning
by
Yebon You
PDF
Graph bfs
by
Yebon You
PDF
Mergesort
by
Yebon You
PDF
(Leetcode) 328. Odd Even Linked List.pdf
by
Yebon You
Graph dfs-and-path
by
Yebon You
Heapify up
by
Yebon You
Merge
by
Yebon You
Mergesort divide
by
Yebon You
Countingsort
by
Yebon You
Quicksort partitioning
by
Yebon You
Graph bfs
by
Yebon You
Mergesort
by
Yebon You
(Leetcode) 328. Odd Even Linked List.pdf
by
Yebon You
Heapify down
1.
poll() 4 15 6 5 8 19 2 20 By
yaboong https://yaboong.github.io minHeap.poll() 메소드 호출
2.
2 By yaboong https://yaboong.github.io minHeap.poll() 메소드
호출 -> root 노드 return 후 삭제 poll() 4 15 8 19 20 6 5
3.
By yaboong https://yaboong.github.io minHeap.poll() 메소드
호출 -> root 노드 return 후 삭제 poll() 4 15 8 19 20 6 5
4.
By yaboong https://yaboong.github.io 마지막 node
를 root 로 옮김 poll() 4 15 8 19 20 6 5
5.
8 By yaboong https://yaboong.github.io 마지막 node
를 root 로 옮김 poll() 4 1519 20 6 5
6.
By yaboong https://yaboong.github.io 8이 가야할
곳을 찾아줌 -> heapifyDown() heapifyDown() 8 4 1519 20 6 5
7.
By yaboong https://yaboong.github.io Left child,
right child 중 더 작은 값 을 가지는 녀석의 Index 를 찾는다. heapifyDown() 8 4 1519 20 6 5
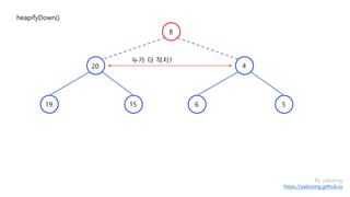
8.
By yaboong https://yaboong.github.io heapifyDown() 누가 더
작지? 8 4 1519 20 6 5
9.
By yaboong https://yaboong.github.io heapifyDown() 누가 더
작지? -> right child! 8 4 1519 20 6 5
10.
By yaboong https://yaboong.github.io heapifyDown() Child 중
작은 놈이랑 parent 랑 비 교한다 누가 더 작지? 8 4 1519 20 6 5
11.
By yaboong https://yaboong.github.io heapifyDown() Child 중
작은 놈이랑 parent 랑 비 교한다 누가 더 작지? -> 4 8 4 1519 20 6 5
12.
By yaboong https://yaboong.github.io heapifyDown() Parent 가
더 작으면 break, 그렇지 않으면 swap 지금은 child 가 더 작으니까 swap 누가 더 작지? -> 4 8 4 1519 20 6 5
13.
By yaboong https://yaboong.github.io heapifyDown() SWAP 8 4 1519 20 6 5
14.
By yaboong https://yaboong.github.io heapifyDown() 1519 20 8 4 Left
child, right child 중 더 작은 값 을 가지는 녀석의 Index 를 찾는다. 6 5
15.
By yaboong https://yaboong.github.io heapifyDown() 1519 20 8 4 누가
더 작지? Left child, right child 중 더 작은 값 을 가지는 녀석의 Index 를 찾는다. 6 5
16.
By yaboong https://yaboong.github.io heapifyDown() 1519 20 8 4 누가
더 작지? -> right child! Left child, right child 중 더 작은 값 을 가지는 녀석의 Index 를 찾는다. 6 5
17.
By yaboong https://yaboong.github.io heapifyDown() 1519 20 8 4 누가
더 작지? Child 중 작은 놈이랑 parent 랑 비 교한다 6 5
18.
By yaboong https://yaboong.github.io heapifyDown() 1519 20 8 4 누가
더 작지? -> 5 Child 중 작은 놈이랑 parent 랑 비 교한다 6 5
19.
By yaboong https://yaboong.github.io heapifyDown() 1519 20 8 4 Parent
가 더 작으면 break, 그렇지 않으면 swap 이번에도 child 가 더 작으니까 swap SWAP 6 5
20.
By yaboong https://yaboong.github.io heapifyDown() 1519 20 4 더이상 left
child 가 없다. 5 6 8
21.
By yaboong https://yaboong.github.io heapifyDown() 15 619 20 4 더이상
left child 가 없다. -> left child 가 없으면 right child 도 없으므로 종료 8 5
Download