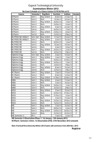
Course Semester Reg/Rem StartDate EndDate Session
B.Pharm Sem-1 Reg. & Rem 8/Jan/13 21/Jan/13 E
B.Pharm Sem-2 Rem. 10/Jan/13 24/Jan/13 M
B.Pharm Sem-3 Reg. & Rem 26/Dec/12 7/Jan/13 M
B.Pharm Sem-4 Rem. 24/Dec/12 5/Jan/13 E
B.Pharm Sem-5 Reg. & Rem 9/Jan/13 23/Jan/13 M
B.Pharm Sem-6 Rem. 26/Dec/12 7/Jan/13 E
B.Pharm Sem-7 Reg. & Rem 24/Dec/12 8/Jan/13 M
B.Pharm Sem-8 Rem. 23/Oct/12 2/Nov/12 E
BE/PDDC/BE-HM&CT Sem-1&2 Reg. & Rem 11/Jan/13 25/Jan/13 M
BE/PDDC/BE-HM&CT Sem-3 Reg. & Rem 3/Jan/13 10/Jan/13 M
BE/PDDC/BE Sem-4 Rem. 24/Dec/12 1/Jan/13 E
BE/PDDC/BE Sem-5 Reg. & Rem 10/Jan/13 19/Jan/13 M
BE/PDDC/BE Sem-6 Rem. 2/Jan/13 9/Jan/13 E
BE/PDDC/BE Sem-7 Reg. & Rem 24/Dec/12 2/Jan/13 M
BE/PDDC/BE Sem-8 Rem. 23/Oct/12 1/Nov/12 E
Diploma Engg. Sem-1&2 Reg. & Rem 2/Jan/13 19/Jan/13 M
Diploma Engg. Sem-3 Reg. & Rem 1/Jan/13 7/Jan/13 E
Diploma Engg. Sem-4 Rem. 24/Dec/12 31/Dec/12 E
Diploma Engg. Sem-5 Reg. & Rem 24/Dec/12 1/Jan/13 M
Diploma Engg. Sem-6 Rem. 23/Oct/12 1/Nov/12 E
Diploma Engg. Sem-7 Reg. & Rem 8/Jan/13 15/Jan/13 E
Diploma Engg. Sem-8 Rem. 23/Oct/12 1/Nov/12 E
M. Pharm. Sem-1 Reg. & Rem 7/Jan/13 11/Jan/13 M
M. Pharm. Sem-2 Rem. 8/Jan/13 12/Jan/13 M
M. Pharm. Sem-3 Reg. & Rem 21/Nov/12 23/Nov/12 M
MBA Sem-1 Reg. & Rem 3/Jan/13 11/Jan/13 E
MBA Sem-2 Rem. 3/Jan/13 10/Jan/13 M
MBA Sem-3 Reg. & Rem 24/Dec/12 1/Jan/13 M
MBA Sem-4 Rem. 25/Oct/12 3/Nov/12 E
MCA Sem-1 Reg. & Rem 3/Jan/13 10/Jan/13 E
MCA Sem-2 Rem. 24/Dec/12 31/Dec/12 E
MCA Sem-3 Reg. & Rem 31/Dec/12 5/Jan/13 M
MCA Sem-4 Rem. 7/Jan/13 11/Jan/13 E
MCA Sem-5 Reg. & Rem 24/Dec/12 29/Dec/12 M
MCA Sem-6 Rem. 16/Oct/12 16/Oct/12 M
ME Sem-1 Reg. & Rem 7/Jan/13 16/Jan/13 M
ME Sem-2 Rem. 28/Dec/12 5/Jan/13 M
ME Sem-3 Reg. & Rem 24/Dec/12 26/Dec/12 M
ME Sem-4 Rem. 25/Oct/12 25/Oct/12 E
ME Semester-3 DP-1 1/Jan/13 5/Jan/13
ME Semester-3 Dissertation Phase-1: 1st January - 5th January 2013
M.Pharm. Semester-3 Intro. To Dissertation (ITD): 27th November 2012 onwards
Registrar
Gujarat Technological University
Examinations Winter-2012
No.Exam Schedule at a Glance/winter12/9578/9th oct12
Note: Practical/Viva University Winter-2012 Exams will commence from 20th Nov. 2012
1/1

Gtu uni exam_theory_winter_2012_final

  • 1.
    Course Semester Reg/RemStartDate EndDate Session B.Pharm Sem-1 Reg. & Rem 8/Jan/13 21/Jan/13 E B.Pharm Sem-2 Rem. 10/Jan/13 24/Jan/13 M B.Pharm Sem-3 Reg. & Rem 26/Dec/12 7/Jan/13 M B.Pharm Sem-4 Rem. 24/Dec/12 5/Jan/13 E B.Pharm Sem-5 Reg. & Rem 9/Jan/13 23/Jan/13 M B.Pharm Sem-6 Rem. 26/Dec/12 7/Jan/13 E B.Pharm Sem-7 Reg. & Rem 24/Dec/12 8/Jan/13 M B.Pharm Sem-8 Rem. 23/Oct/12 2/Nov/12 E BE/PDDC/BE-HM&CT Sem-1&2 Reg. & Rem 11/Jan/13 25/Jan/13 M BE/PDDC/BE-HM&CT Sem-3 Reg. & Rem 3/Jan/13 10/Jan/13 M BE/PDDC/BE Sem-4 Rem. 24/Dec/12 1/Jan/13 E BE/PDDC/BE Sem-5 Reg. & Rem 10/Jan/13 19/Jan/13 M BE/PDDC/BE Sem-6 Rem. 2/Jan/13 9/Jan/13 E BE/PDDC/BE Sem-7 Reg. & Rem 24/Dec/12 2/Jan/13 M BE/PDDC/BE Sem-8 Rem. 23/Oct/12 1/Nov/12 E Diploma Engg. Sem-1&2 Reg. & Rem 2/Jan/13 19/Jan/13 M Diploma Engg. Sem-3 Reg. & Rem 1/Jan/13 7/Jan/13 E Diploma Engg. Sem-4 Rem. 24/Dec/12 31/Dec/12 E Diploma Engg. Sem-5 Reg. & Rem 24/Dec/12 1/Jan/13 M Diploma Engg. Sem-6 Rem. 23/Oct/12 1/Nov/12 E Diploma Engg. Sem-7 Reg. & Rem 8/Jan/13 15/Jan/13 E Diploma Engg. Sem-8 Rem. 23/Oct/12 1/Nov/12 E M. Pharm. Sem-1 Reg. & Rem 7/Jan/13 11/Jan/13 M M. Pharm. Sem-2 Rem. 8/Jan/13 12/Jan/13 M M. Pharm. Sem-3 Reg. & Rem 21/Nov/12 23/Nov/12 M MBA Sem-1 Reg. & Rem 3/Jan/13 11/Jan/13 E MBA Sem-2 Rem. 3/Jan/13 10/Jan/13 M MBA Sem-3 Reg. & Rem 24/Dec/12 1/Jan/13 M MBA Sem-4 Rem. 25/Oct/12 3/Nov/12 E MCA Sem-1 Reg. & Rem 3/Jan/13 10/Jan/13 E MCA Sem-2 Rem. 24/Dec/12 31/Dec/12 E MCA Sem-3 Reg. & Rem 31/Dec/12 5/Jan/13 M MCA Sem-4 Rem. 7/Jan/13 11/Jan/13 E MCA Sem-5 Reg. & Rem 24/Dec/12 29/Dec/12 M MCA Sem-6 Rem. 16/Oct/12 16/Oct/12 M ME Sem-1 Reg. & Rem 7/Jan/13 16/Jan/13 M ME Sem-2 Rem. 28/Dec/12 5/Jan/13 M ME Sem-3 Reg. & Rem 24/Dec/12 26/Dec/12 M ME Sem-4 Rem. 25/Oct/12 25/Oct/12 E ME Semester-3 DP-1 1/Jan/13 5/Jan/13 ME Semester-3 Dissertation Phase-1: 1st January - 5th January 2013 M.Pharm. Semester-3 Intro. To Dissertation (ITD): 27th November 2012 onwards Registrar Gujarat Technological University Examinations Winter-2012 No.Exam Schedule at a Glance/winter12/9578/9th oct12 Note: Practical/Viva University Winter-2012 Exams will commence from 20th Nov. 2012 1/1