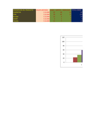
DESCRIPCION DEL PRODUCTO   VALOR UNITARIO LUNES MARTES MIERCOLES TOTAL L/MIER
CAMISETAS                           $ 22,000  22     38        22           82
JENS                                $ 22,000  70     42        12          124
BLUSAS                              $ 22,000  15      3         5           23
SHORT                               $ 22,000   5      1         3             9
FALDAS                              $ 22,000  11      7         6           24




                                                        120

                                                        100

                                                         80

                                                         60

                                                         40

                                                         20

                                                          0
                                                                             1
JUEVES VIERNES SABADO DOMINGO TOTAL VENDIDO TOTAL DIENERO
        123     203    345      69            822   $ 18,083,296
        186     307    522     104           1243   $ 27,345,472
         35      57     97      19            231    $ 5,072,144
         14      22     38       8             90    $ 1,984,752
         36      59    101      20            241    $ 5,292,672




                        DESCRIPCION DEL
                        PRODUCTO CAMISETAS
                        JENS BLUSAS SHORT
                        TOTAL L/MIER 82 124 23 9



                        JUEVES 123 186 35 14



                        VIERNES 203 307 57 22



                        SABADO 345 522 97 38
1

Excel pato

  • 1.
    DESCRIPCION DEL PRODUCTO VALOR UNITARIO LUNES MARTES MIERCOLES TOTAL L/MIER CAMISETAS $ 22,000 22 38 22 82 JENS $ 22,000 70 42 12 124 BLUSAS $ 22,000 15 3 5 23 SHORT $ 22,000 5 1 3 9 FALDAS $ 22,000 11 7 6 24 120 100 80 60 40 20 0 1
  • 2.
    JUEVES VIERNES SABADODOMINGO TOTAL VENDIDO TOTAL DIENERO 123 203 345 69 822 $ 18,083,296 186 307 522 104 1243 $ 27,345,472 35 57 97 19 231 $ 5,072,144 14 22 38 8 90 $ 1,984,752 36 59 101 20 241 $ 5,292,672 DESCRIPCION DEL PRODUCTO CAMISETAS JENS BLUSAS SHORT TOTAL L/MIER 82 124 23 9 JUEVES 123 186 35 14 VIERNES 203 307 57 22 SABADO 345 522 97 38 1