I
(Jj, Ó?J/!3; 	
                                                               ~~u~ ...           "T '3"f0
                                                                                                         ,       .
            ~Mb:
                                                                                                              

                                     ~:i :     t~/~-1                                Era, : Ulfd6
                                     {>a. :    f/F.J/06                              G-~:    03/et   •
                           p.       ~~c:        taJ~



                                ,
                           ~l~)" a-t 5                         .q,=-J>

                            ~"l2t) = a,                        <l=l>

                            t'~):             O'               .q   =~


       "u.o.c;i..              ~,Q.!lNl<>:<J.

  _ ~1Yiç&                          - é ~cto.
         ~~,




         -&." 	   1)    i.,.. j~'(ut~. ~ o
                  1.)   (~~*'3) d.~ -t3t:-j) ~ ~o
                  3)     d:ti       _   dj ;       '?!.-':J.

                         d~             ~
                  4) 'j'll", O
                  5}     'f!.'t _   ?>tfj =i.                            "..~ é
                                ~

                  b)       <Qi-+ f:J-f                     :. '2t ~
                          ~b'j ~                                    .J



   - c.~,tQ(l<Po:
~--_   ..   __
            ...   ...........   _-~-   ----_._.~   ....... 

                                                          ~~
I
~             -
                                                                                                                      -   ,~
                                                                                                                               ~




                                                                                     a.Q....~o:,       (jMlJ 'f>ÍiD   ~~-



                                                          (f.
                                    j= ~(t+ C.~e
                                     j:::   t:.i   T C2, e?L.

                                    'jn:: Ca, e ~               ~ &l1bstJw..n4.0 ~ ~ dif( 





    'j .: Jh.
         CDOt:.
    ~~     ().    ~.6(('   .w- _c . . h<,n~)
                              ~l~

~        + C. h<tt.~ _ '; ~~ ~             t)

           ~;'?t..,




                c,~              c~~::             o
                 -
                 VU>o.a:,.        (h/j~
0..0     ~ cL.. ~IVJ}~~                              c)UL cta.>-Q.­
                                                             ~~ OO~~ ~x.i.aLJ.

                                                             "'­ 1í        .k{ o.M~
                                             /lOt...'1ÓÕ ~
                                                  Carmo        ~ ~ ~                  C!oMA~ vI'>        ÓJ."i.~)             u,w..G...."
                                                  M.     ~ c.u."N~ Q.a.y'Q;:~) ~0-:)~.3 ~ A,..?~,



                                                                                                 :)::: C. C(.
                                                                                                         l
                                                                                                  :;=j'~
                                                                                       ~ d.t{ O~,~O~,l:,r'~
~O"                                    ~ .L..{                     ~oa.:oda.      ã      ..oo"...:OO~.
                                                  óJ          j:: t.   J}WfY..

                                                   »         'j.: Ci ~+c~
                                                   c.)        ~::. Ci ((,2+ ~-+ C3



~)   f j=< e. I)QN, ~
     ~ ';Jl:: e. COb ~    -+   ~~      Q      ~~ow..-"-
     




         j
                 1       /~~Q
             = ~/ J)QM,y :  ~.      f)N.,   l.,
                                                        (
                                                                                  o~ '-Oo~âC. 

            ~~                                                                          ) ')~    C.IJ~ 


         ~. dJ.{. Q~. !.~ eMA. : '&-~              I       ~~.                          lj.:     C.WÓ;1:... 

                                                                                       .~
                                                                                           1. ' ~ ~I/."'S
                                                                                           'j'     .   (Pô $..


                                                                                          ') .:- j). ,       /J(JJ'JJ-. ;; 'j   ib ~ ,
                                                                                                             Wllt..
b)·   ;j.::- c1. ~+ c,<.

       j'::. e.1:   t~ .+ o
                                                  .'
            )1                       
       'j ~~               -P'   ai~ ~ e.orM~e




C)



       1
      '):: tCi

      b"~        ol
'J':'   2--.
                 -}

    ®   J;;ê+~-5




                o. S3j d, =f~ d/t.
                ~ ~ ~j               __ ~u~w,
,
)     =~j;
t~ _ ~(t//
i -   ~       /


      ct'f
        ti)
~t (t!l+-i)   d({+         l)~~j)           dj:::;o
                           ,       ~:2.-t 'j) dj :; - (-~~i) ck
                       Jj~) dj =S(-~~-1)d((
                           f+ f -~ -~                  -*,   +   c1 S,1U~M ~~
~      1 '1
      j= ~2

      di
      -~-
               'j




           lnjl::         Si~ d~
           l"lj I~ ~.i +c
                                   -~




                  I
                                   -)
              ~       ::
                           3ilt         ~

           d':l _              i
           d~-             Ô~+Q.
@ -( "" e1(.) J' jl ~ e~
                    l         ~
               j. 'j :: . e        .                         ,
                        (I~ ect>.)

              j.   <b. x   e-~ 

                   d~   t* €,?t..) 


      (!.-t~) . J' ti'j:; e~. dlf. .
              j~           S
                    lij = e,~. ~~




                                       'j):: J b~

                                       hx~k~
                                       d?L
                                       1 ~d~= d')
                                          di = ~l. doc
                                           ~

                                       j ~ =J&f?i.. d({:

                                          'j    coo~




1--'_

    ..
fI:    i           cfv1.       :t
 G)   j~            ~                   ~    QV(
                         <tj

          1          ri: - i 3
      ~       1e
                           3        :> --..-.. Ok
                         j--   ';2,3:



® 1):: ~
       j
                                        ..-...o~




                    ~~     ~~---
'j=~.~
             l"f:: '=* ~t)
~+(t,'= 	 ct.t~
         ~2 +   .lrlli
<f   ~ x.:.~ 2
               d<t- ~ -: 1:::'
           l ",,"..2 ). <t.-J"; - ,:3, d~
            Sl,-t _l3 ~5 4z
                   ~    2
                              )



               .) -:.2- á~ _ (~ái ~ (~
                      :t,2>                 ) 1;3               5 "It­

                    _~              )       ~á~ ~ j ~ 

                     +1.. _             ...Y  ~  -::;   ~'"'  ~  -T C.
                        ~t2




                                        )




        ~.)l   4­   ~ ~j      =-0



        ~"} 'j) -'- rf3-+j<: o




...
t + <td.*::     - Cf. ­
                                      ?é:.
                                          lt.,.

            : ~ ctd::. a. ~ - i            -t )
                               -          Cf..

                   ~d::.       ~l-i-t) - t
                                cf
                   <t di:= - i - 'J....i
                   <t ~X                  !.-    :L~
                       d~

                ~ - i - ~.l ) dI(. = ~ ci i
                                d~ -
                                -                .dJ
                                   Cf..          t-i-'J...l)
                            ol~              _ d~
                          {--i-l-l)                2C.

 l
u;:   -2,




                                      -1 .h  -         i -   2~)  ~ .-) 1!. <:'1 ,?:>o~q(io ~~.
                                                                 OLl _I/Q.
                                             '-h ~ -i-         ~i))         .:   l.V') 1[.<: 




                                                                                                          -   ­
~-


;    ................ 

I • r~          it.j. 'j' .. ,c'r~~=O            

                           ,           ~.2,

                           ~=     - a::-'j 

                                       ~'} 


                          {+~dl ~       _ ~'J._ ~~<
                                           «. ~·i)                                  -~~"('ot~~ ~.:"                                           ~so.,: f"
                          1-+ ~dt:: - eC - ~:t<                                        _ ,«,.J'f'>' c:..      JA (U)~~cl..a             -;, é ~ ~
                                                     't(.<t                             ~               &.    ~~~~€._              y(.;: a.~
                                                                                         ,~             fYV'...~ rw...U.:J       o   f'>(V.,   .'YV'.   C'~

                                            .. i-i-t2 )
                                                           }f.t
                                                                                            ,
                                                                                            ~~o::u.


                                              - i _ ,,-2
                                                       t
                                              - i _ 1;2 -              t
                                                     :t
                                                -i-l?- 1.2
                                                           t
                               7I.{t   =    ly0~Y                              (t   d.~ _ - i - :L1:2
                                                                                    ~-X                  -t

                               ~~ I~/~                                           ~. t~::;          l-1. - ·l.:~?) d.~
                                                                                      i: d*-       .:    ~((
                                                                                    l-i - 2..2)         -:;z
                                           u'" -i-~t2
                                           u.' -= - :t·;tt :; -.(1,­



                                                                            -l. .:n -1 _l.:~2  =             ..V' ?$.. ~ Co
                                                                              ~

                                                                           -1- .n - i _ ':Lt'2  ::;; .~  ((,C 
                                                                             4
I

      cf> ~.~t     _    'j: {"" .~~_   j~     ,

                 ~.j     ;. ~ OC~-j~~ 'j
                   'j'~ ~-+)
                                       <i..

                       {;- 1td.l: ~ (t~~.t f + ~.~
                                                      a...


                       t. ~ ~ d..::      ~--a::) t -t<)' -'c ~­
                                                                 ?L

                       ~-t- ((dJ ~ Ji{ ~ - t )
                                                             ~
                       i:+ ~d.; ::           ~ -'r t
                            ?tü1:: fi-?                     '-tX-X
                             'etdt      ~ J(-~i)
                                 ~                T
                                ~ dJc· =          -.Jl, -1:i)1 ~?$..
                                   dt -rcl~
                            j
,

                                  V(:2)  -)-;:
I


I
I




i~X
I
                                     t)Je

                                  o.h e
                                              ~l
                                              'l~"',j~...
                                                             =    t"" ~  + c.
                                                                      .."  (!.   c, 1




    .... ,                                                                                   ...
                                                                                          """' .   ..... 



r
~;'- 03NAIw,                                                         




              2~      ~'.


                    j' ::      o.i ~ -t ti' 1 + ~
                               ~ ~ + . 'o~ . )       + Ce,



                                                                         •




     ~:




                     )        ~?t + 'oi"j          1-   Ci
                               (l;t?C.   + 'b~ J    -t   C2




           L~L~~tm Ql                     Q.       -tl~~.ha,
    _N~~~Jw:v..d~       'ro.       ,       d.P.




                                                ,
                                            ~ =

-------------~----------------_ .....                            _
                                                                 ...~
b.)    t Q.l~) _
          ~t~)
 6<.~


~WJD:




                                                                                             )       )
                                                                                 i. -t   :tj = t.-
                                                                                )
                                                                               j ::.     ~
                                                                                          ,- i
                                                                                             a
                        1.l _    ..j          '2:.:+ 1.
                          -  ~
                                       ='

                                               ;t;z. -+ '3
                           ,
                         '1.,-1;-              ~     l 'L+-! )
                                                       ~'L*3


                         c'        =        'J..:t+ 1 -+ {       '::   ~+~ 4- ~'t-t 3
                                            2't-t ?>                      ~X.+3


                         "L' =          41:. +- 5 

                                            ~'I.   -+ 3 

                        ~l      ..      4't+ 5 

                        <lsL                ~t::.. -+ 3 


                     t ~L;- i) <U. ;:. (-4 z.. +5) <!ex
                    ll:t-+ó) d't = d.~
                    C4t45 )
                    (   (~1:-}? d't::. (d~
                    J (41.+5)                          )
:: i. ~-+ -l ..,, 4't+J =~
                                                                        ~      8
                                                             ,   I




                                                                                   ::   ~+c




  fJf0.l.Â(~o.D :
        ,
ú)     1=            ~((. - 3~ -+ lJ
                     -4~       + bj

('?)   )=            .!*j- ~
                          '<f-4- 'j - '3

         ,                 ~~- 3j+i
G>      'j~
                           4~-bj -3




             I
         j       ~       a.- Ôj+~
                          -4~+ Gj

             ~::.  ~- 5j)+                             <4
                     -~~:z.t!.3~)



                      )


             -'t -+ ~ ::;             ?:,   lz-t    -4 )
                                             - ';2.1;
                     l
             -t ::. 3'i:. -+ <. -:l
                                  - 'J.'t
             _ ~l:               ~t: + 1~ --41:
                                           -~~
                           ,
                 -   ~       :: 1-':t - 2
                                   - :Ll
~
           _1 ( -li). d.l':.= de!
               1'l-t'~


          5         ~1- d.<. ::. 5d~   .
               tz-t 2.



                                             :::




                                             :::.




                                ~tiÕD~:
                                           ;('t ~»)-:. ~ i.,,, :1-(~-<li)~~ - a~ <'-I
                                           l~/      //               4'J-                        1




---   ------    -   --_._._-----_.. - - - - - - - - - _ _ __ _ - - - - - _ ___
                                                         ...   ...          ...   ...   ...   ......_~--
r~
.~
       j::; a- ôj+.1
I                                               <;t(t- 3:;=:   ~
                 4~   - b;J- 3                             ,
                                                  'a.-'3j:'L
                                                                   )




       j::       l~- ?>j}!
                 ~a-3j)-3




                 )


       -
       1- 1;.: C -t 1.
         3     Lt-3




     ~ -1:ó'l+3-iJ..
                             ~~-3


         rt· -1/= 1"'31:-+ '3 - 4l -t"G
         I        l' ~-3
                     -dt_ ~ -r+~
                      ~-~
                      Q~              ~-3


                     - d~ (~-3]       :;   ~~
                       (- Z. -t 53)




     - V j= -1
     -'j~--1
           .li
      j:1
         li
~e"':: ~+::J-l
   •                   ~+'j-    3
                  )
              ') .:: tlf.+'j) ... i                          ~-tj::      t.
                       (~i'j)   -3                                  1         }
                                                            :1..-t J :: 't.
          l                                                         i         1
       t-1~             1::-1­                                    J=t-1
                        l.- '3 


       r
                      -
                      z:.,!   +i



                                             t--i -+l- 3
                                                1.-3
       '.:r) _­
        L              :l:~-1
                       C-3
        clt: ~ ~'l- 4
        di - . ~-3
        dI            . (X-3) ::      d<r.
           (U-"O



    1,- 3
(-) l - ~
                                                       r+ba c1l
                                                       )
                                                                        -+- ( - i
                                                                              j ~t-~
                                                                                    dtp             ;;; 
                                                                                                       J
                                                                                                                 J~
 -  O -1
                                                       .!..! •
                                                       ~
                                                                    _lrdl
                                                                        ~ L~-4
                                                                                          :    Jd(l.
                                                    .i     t: _ 1 ln ,            ,t~ - -4    =:    ?S:.   -+   C
                                                       ~          ~
~~, (j·~~~~ru~ .
...
 ,




                                  2:   ~ (S:(t,J. .)   c;:


      f!   ~~, ~j<) ~~ ~ ~_~3) 4j:o
              M           N
PQC~:)~

(i) ((1Y.)~ + Jtot:.~ 
                    <k-. ... (~- ~~'i ) dj =0
~ (~i J~ - -ê- -:r) c1j, + l 4Cj3 - u'j) cb:. ~ O
                          ~.




                                                          I


                                        't;w   :o..   /   ~b ~ 1Ib   _.IY2JI 'j

                                         ~~.                         .
,
,
                                                                                              ~-~@




~ tJtd( = ~~~1+]~~)9-l( : ) ~j dt.+ jjto6a:Jl(dt~y- :I('~~
              t:   ~,.".lu.:.. te.


S <l~:: ~ :061 ~ 'j ~
 'Il

~ 5Jl~~:: ~ ( ~ ~j-+ JbtM:~);::                                      - (KJ)~l' j   T   ~~
   bj                                   bj

.J -   ~ ~ M d!: ;:                 /}QJVtr.. -   ~ 'Y<Mj   -t   a. J}QM i - ~ ~ 

          çj 


        ~ tI<k ~C
~      '.    .
     .
      , :....~ 

    'J,4~'~'(2)
           .
.'      ":f, 

                             ~o..         ,       tL~.           Ml!lj)     ckt +-   N (1. 1'1 ) d.'j    ,0


                                                            <:.o IYV'    '6 ~ b1J -.                   .c;:   ~   NA.o    t'K f. 1'1.
                                                                          ej bi




            L'   Sooo ~oJi,~ i~r --l,"""'lÕO do. ~                                                       "ne.:'
                                                                                                                                          J~'e) dI(
                                              Cóe.: Ú" _                CC)tJ
                                                                                                                          M.<.~; e.                     o-{~
                                                         5,::)          ~l':.        ~ ?l~)        j          QM,~                                i..
                                                                                                                                                  '!.lTE~~1E.
                                                                                         ~
                                                                                       ~~ i~ ~'1:'l-E ...... w... ~ ',.

                                                                                 otQInIM         ~ ~~




             ~~~OD:
                     ('                   ".-.~

                 @   ;~~ld~~~d.j=()
                                 ~/   i              J
                                                   t-I




                          Õt.A   i­       ~...,
                          6'1              b~




                                                                        ------------------~
j (~-             "'5 v..d.IC.)      li:) ; c
                                              ~1

                         S~ d~-t j llf d~-t j~<k                         

                              ~~      +       'j~      +     ~
                              ""4                ~            :3




                                                           <t)~


~;:   b tÂj.     LY'j   =-    ?,,lf-J    ~-t .,~ 'j'2&
'Gj     ')''j




                 ~-~
                  ~j          'tS'~

                              r




                                                     U~L-




                                                                             _   .... - . - _ . _......
•




         )    Wd~,            ) a -.v.j •            l '-"1
              S tJt~5                  -:.    ~ l"1L~. .'1 )::         d.-2.

             - ~j                            "'6:;                         :)

             IJ-    d
                    't;j
                           MJ... •             '4 . -;q;i' - 4.                   #   j




    ~           f4/
    J V dM : : -fH.
       u
                           Ú


       1-t! 

     0..=


     ...'~   ~1 




                               @ )d.,,- + l,e - '),.1--'1)          4j.;;;0
                                        Ih d.1(.. ~       w d.1   :: o                                    ,            
                                                                                          u. 'j ::.~. ) + 'j ,I;li!t)
                                                                                                  :.   0+
                               ~~              ~j
                               '6';)

                           t""fI.;: <ilt. -           '1 

                                                       ~
                           -b~
"

    :sJ ~d~ ~
    Çi
                  <6 (
                 ç'
                         -;2<)=: _ ~
                           ?J-              ~
                  1
          lIJ-   .t;JOJd1lC.     :::: 1-         ~ T ~...,
                  Gj                              if...   ~


           5id1 ::- 1
       ~~iD ~~:
                                '1< -+ 'j ,. Co
                                 ?J...
e   0<6. i'      clf, dC ~'rW.Q
 ..                              f"­
                                 I
                        Â. (~) -; + (:,       t ";c.' 'j+    c..llf-):: o


                                              l ~7.   i:    '~1'/..~V.J'e..Y.~     =-__         fQde ~      1u..o..1:.AJlV" ~o'ÍtY.k)
                                               c.::::-.o   "t:><:A..... í"CO:   &.3 '   JJ..M-   J e. 1.   ~1'tV>O Y.de~eV.o~k)




~_JImn ~unGó.o <4.~OON'-CX~ t.tVQ..OJ d.e ~t"Y'I'Q,L'-O.. o,J~) ou. ê ~oJZG., .­
 "~. li 'e&te:....,l Q ~<:&.. Co,"",~" i."'~G~                  ~ c:b. """'-i~                  -rc;ÕI>
      ~o~<t~; 

              ( f>l~) j+ c.t~)) d~     ;.
­
               ~
                       M


                                                                                  ~~""'~ {V,l
                                                       ~,,-'c,JM,,) ~ ~ ae
                                                                                                                                  I       r
                                                                                                                                   :'-1   vV




Q)
 ,

 1
.

                                               ,..




                -U -
           ::
                -/t.

                  1.
                       D               0_
                           :. _ _ " --Qf. )
                                ~




lnuW:ft~ ~~      ~ ~{       r'     ~ ~;
     ~-:L-lj)d.~- ~dj:;O
     ~                      ~
           ~               ~
@

                   ~~ -t J -  lta:.)l;L~:;; o
                     d~

                   l '-}- ( , -tIL) e~ ) cliL + «. J:;J'::- O
                      ~                          ----v---"
                              VI                   t0


                   ÓVI _ 1                      .§Y:::j
                   6"~ -                         6~
                             L                     J
                                    €~



    JWl~,     ~dtk- ~"dt- )"-~ck
                                                J..l:: iX.       =-1>   ck '" J~
                                              j d.. ".:      ) e<. d.t.::   li'   J;.   e:~

     JMck ~ J - ~ l- .k -
             <k
              'j                            ~e~ +      J      e.-'(   d~

     S'A~=

                                                                                                   go,;.   S d"
                                                                                                             u.


                                                                                                ~.~-   S" du.
)           -~
   ;J       -'j-    e..   :;;;0



  ~ - '1- é~= O
   d?L 

   àj _ 'j- i,'lt                 d~ -=   O



            ~d~ +~o
                                           N




b!::::      O             «M:: - i        - o
f:1                       ~j
                   ~J    =f.     ~~
                   ~(L            ~::t



                                                -1 - o
                                                 -

                                                   i
. .'   -
       "          )                      M
                'j + p.., (~) j+ B(t.) ~ ::= o
                                                       EQUU(r ú .(;




•

                                                                                      Y
                                j     1
                                          4     Àt~) )+- Bll:(.) j                            ;:0


                  ~ ~qáo                                   fb      ~.
                                                                    J )             'JJWY.


                                                                                                                                                                Y,                                                     ~              A.
                                                                                                                         Q'-<.l. r(,,,   1_   Y'J~'Á        )            1   '. ",,",,..:;t../)   ' .....:;) 'Itf'_   y"      ";,I~.J.   f~ l~_
                                                                                                                                                                                                                                             "I




                                                            _V'

                      ~         (:L_h.)'j                          . dj       = d?,­
                                                           -I)
                                                                        1        ,
                                        i- n) . j                  . J       .:::     "l...


                                                                      );
                                                                                      Ã,l
                                                                                                    ~   '"
                                                                                     i-""




                                                                                                J
                                                                                                             -'~.
                                                                                                                     I                    D                          '
                                                                                                                    1."rO'1:";-~O.,{(Ür~(),                                       ,!-,-',
                        1:; 1 ,,'r)           - 'V        A Cl:f.)   '":1   -+       e. (''C'-)                    Qf.. ;,f~_ '"'                     J.e~ (
                       _.J              -)            -+              i;
                                                                                                    =: O      "';                             .d )  




                      i- '"
                                                                    ---­




           ~~------   ----------------------------- ----
>,



                                                       ",-,
                                                       '                                                                                      "
                                                   ,-v2- ,~"'f~'.Ã U>.~~



                                                                                            eLA. H{JT



                                      1; ~. 
 do. ~'rMA
                                                 ']=          1t:.3"   ~l'j'J

                                                                              ':> ~     à.~         ~~                clUWca.do.E. J

                                                                                  ~    ~"""yY'<).
                                                                                  _~    Q/AA'Ji:. J>.-   ~w.alA     ':1.: ~, . .} ..t~'J)


                                                                                                                                ...
                                                                                                              'j   ~}<i~'o-If"'"
                                                       ,~




                                                  ~j).T~l)')




                            ,
                           'J~p

                                  ~~p 

                                  q~

                             ~ ti i ,; i"" doe

                 J(.   ~~~Ui~          "VRJ'M:     y~~                 '( Jp  +   ~    +    ~tf» d.t>

                                                                       á:clp+ ~(f) ti f :;; o

                                                                       t~-t ilf} ) ~p:; o
                                                              @or=o
 ()   ~'rY1't'('() ~o:   d r: O 

                           5dp :; SO 

              '® 

 j)u'tB~U}.ndo ~ e.. ,p;!
                            1
_ .~,;~..~ ~u~~ <ro><>!
)
~-'" ~       ly)",   o

             r" ~(~)
,




                                         ~=~
               'j::    p~   -   '-.Y   f>  (!)


              dj. ~d.~+ ?dllt -            -W
               ~)~ r              ~ ~ ~
                                   d2t.
             ~= ~ dl'~ ~.lf - ~ 

                ~~-.!.)d.f>              =-0
                     p
h)                                                  ~)   ~-.1 =-      o
      d.~:o 
                                                 r
                                                         lI!.;:;J..
     Jdf>~    Jo 
                                                r
       ~=c
                                                          f:: ~
S<l ~~ ~ ' 'à~(	C:~/:;~W~€l
                            ~         el.o




       ~~~õO           ~OJ+'~    ;
         )    ~        ~
,
                     ~.::(>

                     ~::        ~ -t
                                       P
                          (f          e    ()


            d'j::'   ~d?-+ ~d~ + l d~
              ,
            t'j.::~
                     =r                ~   d,:<   ~dlt.
        ~ ttdf+ i>~ +                              ;   d~
         -2i. -+ (2;P) cl.~ ~ o
 clt,:; o                                              c...~   tp.OO
                                                                ~-+~~:::; o
Sclp~   JO                                                             e.,.f:; - ~
   p:; c.
                                                                 .;n/:- q.:n-~
                                                                             ?':. ...Y_1.if.         4:-   ~<i ~ú.Áé >~.r~~li...~'
                                                                              ?:::        ~Y. ~
                                                                                                       ).x(.. ~
                                                                 '3::. ct,       'n"~ -+ K

                                                                  'j::       <t:...   ....Y.ne. -   /lJ t+1t.)
                                                                 ~~. ~ '-~~ 'Ot. -t~'l ~
                                                                                      ~ ~:f.o                      $~v...~
,
    .~;::   'f>
   'j::      ~~4   e,'P   1()
d'j:::.~dp+ ~d~ +l J~




                                 1...':.   t,o.ll o
                                            ~*-e.~.::O 

                                                e...~ ': - 1t;. 

                                              ~nl::; Q1";n-~
                                                           t> ':.    ....~- ~     4-   iO:- ~Uk ~ ~.r,;~I. u'V
                                                            ?:::     ....'V. ~
                                                                                   yn.. ?C.
                                                '3':; &.     .n ~:lIt. ~ K

                                                 ~::; ~         .:n.nt     ~      8J t+ê(J
                                               ~1'         1t-..    t.'7-+:1C~>2L15a~
                                                                   ~ 1C..';'o                 ~~~
?.,2/rte /9;.;1
       J
;,,/
  r
 !                                               >'1R;]ci('ç:.~, ("'IS'.            ,'f,::íC(-,f-Jj!,i2,


  ~,~~                        doô      "'''CU,,~~,I)''UII) ~~                               ""' r.              ~ ~ <N.? ~,
  ~~~:T~"""'" 1<>'miQ.~                                             de          ~"~"'<VJ ~~                                               <!Im   j   ~-




                      ~QbO~~<1o QO~ ~~çéiD d..:1QNlMe(aJ ~b                                                                   d~rmlftDÀ o... -(~~o..
      ÓAb ~ytf~a.l)                  ()'>~~!NOiO      6Q       ~~Q de.                                   ~~ do..dvo.

     t.'iI.'   cB..;."",,,,,,,,,-    o..    ~       <1.0.0   ~~                            o,,~~ <k ~ao. ole. ,"""""",
     00 ~)JA~"                                                                                ,                 
                                                                   -t?   V ..U.f..   ,,':   ...  ;~: '    ,   "'~-;':'.".




                                        ~    1
                                      ~.    J+
                                             ,
                                            J :;
  ~--          ­   ------ -
·.71!'               .. 

                                            1/     :%        ~
         ~ ~. ~ ~do~QO                             Ol.   ~~~o:



                                              1"::; ~
                                                         ~j



                                            ~;Z~
                                            dét.         ~

                                            ?i d~= ~~            ai
                                          5~j dj=j1t d.tt
                                             ~f     -:-lt(
                                                   ~ ~




                                                                        ~):;
                                                                          :1
                               j~ c..~
                                                                        f/l~~:
                                                                         }

                               ~=-c.                                    'j=-~
                                                                               i
           J                   )
                                  t!t

' :; ;~.li:. ". t:
                           j     . !f. - ~~. ~ ::: o                    ~~:....!
 ,. 1 ': ,.,.. -- ".
 ~
                     '~,
                                  -   ::r                               d<J:. )
 ~                                   ~
      (j) Q.>l~~
j~C*-                                                                   d'1 = -7.t cht
j;; ')' X
      ,
                                                                         J'j li') =-S?Ld.lt.
     ':
     ~
               ~.
               i-.
                                                                           'f=- -~4~ ~

~/l
i~c.
.(t.:~'"




                                                            1                           i

                                          'J~                                       J
           l
                                                      .­J
                                                      :t3f.
                                                                      ,}                    ,':'?


           1:          ~i
                        (Lei                ,               I

?/         1..                            ''j cc J~Y'
             ,         -~~

                                                                .-.
                                                                ',' 


           "'):                 ::: 
                                           
                         ~b(i                                               
                                                                        .J



           'j- I
                   ~    -
                       -1!.
                        R'J
                                                 ;

                                                .1­
                                                     .~.




           1t?-~
                                                                                í
                                                                        l
                                                                        .)




                   -1t d~ ~ ~'j   di
               J~'J d'j = -~ ~~
                   ~·f:-~,(:
                        7­          a.
                        J<: - ~ ~
                                    2..
JOQu~          ~ ~ WV/Io. (!.() ..",l:,,~ 

    ~"'" rOJ>   '!OI'M   ~ e.oNlb~ Ct. c.... .... c.", . 


                           0>~õ."          ~~.
                                    RtZ(                    ~(
                         j ~ QL e          -+   ~ .t,   e        """ '"   +





.
j
-2       1.i1.1)~ v~       ~Y'Cw.                ®
                                                                      t                                       il


~~:
               ,

               ~-       'J.j -   3j::; o                ~.     k{~~0-(                                         ,
                <                                                                                             "
               R -       ~~ -     ~ ::: o
                                                        ~.     ~e~-atCA.
         ~?{
  'ji:;; e          1
                           j;L:: e
                                     R:t.~
                                             )
                                                          ~~
                                                 'j",,= e..                ~.;>'..u. ~~f.6   rr   V   ·Q4.
,           ~
!;
           R. - i. ::; ()
                                                                    ~~                            ~
            ~:t .:    i.                                     ~1"   e                          e
                ~:             Q :                                  ~~
                                                                            -=~     '.)i::;
                                                                                                          'õoL~~       r~f~'
                        "!.
                                                             1l~e..         .:=~    j;L;; -e..
                                                                                                -~
                                                                                                         J
                               ~fi
                               ~-!
                                a                                      ei e."~ -"   C
                                                                                           e
                                                                                              -1t..      Ao   So~~<í»    ~.
                                                               j=                     :t




                                                           ~~~
      ~ ~:Õo toJOe~'" otc~ ~~~ ~~eo                                                                  """"-'li   ~().      JQ.lI
     ~ >'(t'""- ~ ~~ -=..k~, CYf)J.~~CQ-1Oe.                                                                   o.    .oo~~Õ;;)
     -&.          ill   +      ~ j'-,- j' ~ <>
                 ":)3              ~
                     l.. 4-   l-R      4-   "R =~   


                  'R ( ~~ -+ ~'R -+ i.) :: o 

                                        ~" =0 

                                        R~T -i
                                        Q.~. - i
                                                         7/ 'NQÁy 4~dw:
r1/ r.o.­
     J
- '--' tr    I))      .)      I

        W     'j - aj        + Ô1-   j :; o




                                                            ~.~~                        

                                                                ":h.. ~ ~~ 

                                                                 ~l.3"   (/'A!"?J.. 


                                                                 i~~      (1.,2   e~ 



                                                          ~.~:
                                                               t-
                                                        j = C1.. -+   C:t tJ.. t    "" Ce, -ri O-?I..




                                              i~~tr ~~~
                                              _   ~O ~~ ~~ <>­ ~ c.cu.o.~(t_




                                                              -e
,
v        ",                                        ®
        ".
    •
    ~.




                1- "'1
                  l     }
                             -t"
                                   
                                       '?>1:; o
                 "R:t - ~ R -t         t 3 -:; O


              ~;; ~ ±. i lb- 5~'
                         ~
)

J~




'ji -= I~ _ 31'r- ~                            = D 7:.....:;-       ~-37
      -:6 (~~- 3 1 )                                      )                           )
                                                        ~::         ~    - 3i
                                                              3'1 } .:;:-,z,1T   2­
                                                                 ~ 1::      _ ~1 -'!-      <­
                                                                                      .3




          ,
      -~ +!l. ;;        3.z. -+           ~<.
                           ....... :l.~
              ,

      -- t: .: : 

                       - ~z.
      _~'_             ,?>~-f~.:t+ 4~
                             -l..~

      ..... ~':      ~2
                       -.:t~



       -~ ~4et-t<
        dx./ '. -2.

         - t l- ;n.) , d~           =- d.~
                     ::t"4+ I~
.

. '.




       iw%:;r.<>.-A """" ~...... 'i';':'   Jk   ~

        _l~::~~~) ~~_~~~ ~_o~
                      '-Â.        IV
                                                __.


       ~ +~                                ~NI_ t)~
       ç;'~      ~~                        01       .~
         :Li f   -1
~i'   'J)1'4' L~~


      A L~ , ~f ~ --e (~) -t C l }f) -= o
()~     ~ ~o-d-L ~ -~~~ •..o<.y....Ro.
        ~ ~ ~-4- oM. ~.....l ~ ',.,,,,,-:f>-& 
                                            <>..

        íifJ        (""..j~f'~) "'" ~q..-::;.t..   ,...


        <ôobÕ/.>       ~      U 7    Md-t,,<:
.
,.




                  :.t~     df::-o        <€)   ~- ~ ': - Q

              Sdi>" Ju                            ~: ~
       .        ~~e                        .           ~
     sJu)ôc eli                          $u~·J- ~ G)
                 ~ :J _o: C&. - ~~             'j ~ ?í. c~
                                                   .       2...
                                                                  )-l: ,(
                                                                        ~

                                                ~ -;- ~< _ ~                _ ~z
      s"L~ ~Il"L.J...                                             '"         '<
       l)    <: '::-O-j>   'i::: v
      :z.)   c= 2    -     J::: J-l-4
      ) )     ~:: - Z. ~ '} ~ -2.-~ -1
?1 J"j ~      ~ J~
;},5) cly
    '            ) ~ J,t

,~~           ~ ~ c
   li-         J.,

          ~     z
         'j -:- ~+(
              2..
V/(J   5/<3C:J

, -- ~un~<?1?ô 'h~                                   ~ 4:.~o
                                     '"                    "-1          ,,-~
'1:-   Q.~~c.eú" '-'<:.ct           j-+        Ol t   'J -"*      Q;L   '1      + . . , ;:; o




                              ) ii         )          )
                             'j - :l.'j _ 3j : O
                              R~ - 'J.."«~ - 3 R =O 

                              R l R;{.- ;.LR - '5) ~ o 

                                      2.         d           /


                              "--~




•
'.oi~                  1ê        e 1~ .~.
              i))            )         7
          j         + ~ "j        -t)       :::'Y


          R-'3~ :t~~* R.~o
          R( R~4 ~~+-l)=o




                                                                ..   .


R. .,   4. i ~ ~b.,s 2 "
                    2...




                                    --~,--              _.~--
--~                                     +


                                                                        uL'LJ-:::   (L



                                                                                     -J~)d1
                                                                     '-Al,);:. e
                                                                    ~. IA..t~ I             ~




                                                                   ,I    ~ i - -i.       "       M Fo

                                                             k~fo            )fl ett: .. ­

      (J41 rao..ul                   @ lÁ           t'  J
                                                   .t.AM-    '
      ------)-                                    C{W'~+- cf]J 

        'J -=   t,. 'j ) -+   e1                  ---#-     1/)0   ~    1;

                                 i    =- f
            'j '" ?L{'-t e l'           )6)
           t1~ .: ~ dp+ ?J.r.. + e.~ d t'
                                       /J2~ ~ = i>
                                             d'f -f>        .:::1»~~~~--~-"

          ~=~~~+~+J~-
                     ~dp+            i Jp~<l
                              (Í. -+ e~)    d.f -:;. o
~. - jl'       Co       'J..'j'l_            "3/= o   J      ~~~
                                                               ~l~t
~------------------------
                                                              ~r:- ~~~~~...,.

                                                           -4t'3 - 'G-e!<-~~ ~
                                                                 ~ <. ~~3)~




      lU             ~        ,
     J     -t   ~1 ~ i            "'::>

      R. ~ + ;J.-'fG' -4 R.;::-        .::7

           f2- (.p..2. -+ 2~.A· t ;::        'l


                         R~    -: o
                         ~1..,," - !..
                         R~::-    -L
., _ 1" ~         .2..-   ~
       ~


4.'1 _     ~i~---;1:- ri .:: 0­
o.CL       <S-­




                                                        --L _        o             .- 1
                                                                                                    = -?fÇ..
                                                                                                         t      ( ~t<.)

                                                      -     ?1-
                                                                                  ---
                                                                              =.?:t..­

                                                                                  f'L-    .1

                                                .. r.J  _
                                                  10
                                            _.~~~~~
                                                     ~ __ ---
                                                                    J 1-~
                                                                      dá<..
                                                                      -..l

                                                                            ­     - .;..,,".
                                                                                                    +
                                                                                                   - .::­
                                                                                                            

                                                  -       -       ~ ~




                                       M~ +~                  Nd., ~         O


                          _1:1         +­   ~-    j        áx.. + .:i d'1            ==       Q
                              l,':1.        ~           1                    õ­
4lrO­
    )

 J -t       j    t   C    =-t' 


                     Mdlt -I-     f'J Ov~   ~ 

           ~/-II ~"'ÔIV         =!>   ~d L 

           CSj      6j                ~h ~   	
                                            cf                 jh/tiL
                                              .a ti--'J': .e
                                                        __ jltlJ'j
        !g",,/                              J).{y).::   e
.á{.
         t'       ® ~~~:
                                               71   .
    ~         0.) -tlt1il r) : i.j3· f              -,
                                  )    9,./)

              b) U:
                      re llV'j       Q.




.   ..
~~.q

                             el ~ôO   'l::   -1
       ~)=~                                     z..
             -43:.1' ~i


       ~;;   l!la.- 3i)t'4   ~,)t
                              'L = ~ - ôj'
                                l
         -t-l~ -'3;
                                , 1                   l,fo
                                "t.,-a::.-?li              .
                                               '
                                          , -1.:+ <.
                                      ~j ..
                                          , ,
                                        "j = -L-~
                                                       ~




_t =   3L-t l ~ • 4Z.
             -ll
,
                 l   'õtt Q.)     j-j        =- {)

                                  3~<-=L,
                                                 ~tQ

                                  di,~i . 

                                  ~              ,~+Q,. 




                 ~&1;t:t) di ~ '1'                        cil.) .



                        5~=5~~
                                                                                  k"'il:: lY~ .. c. 
                                                                                                       i~H.
                                                                                   i"          <:.'            ]



                          ~'j' ~       c(.-t':::):;   o

                          (·i.,-d:--i
                                ~: C::-~:, j)              _   vw...v-.do   ~~      ~. J.. t      ~ .. ~. ~.
                                           d!.

                        -tt     ~JJ~ -~-~-!
                                                  ~


                        ~'" ~d:4:" ..        I (-J.'}
                                                 Cf .
                                       - i - ~ -:t 

                                lt di '"

                                ?clt::; - :i. 2- 

                                ~ dl,,< 7-1. -:L~ 

                              .    Ji~~




    U::;-!~l.l                                                                                                 -Ih
    J.J..I;l0                                                                                     "n   -~-tH '" bJ..  T"V.c..

                                                                                                                     2l(.·c
+        ..... ';.




.   .


                                                                                                        li




                     l ~tt)~   T              dj .: o
                                     (.j.2-t '))

                                   ) (':11) jyJ-l.( i'+! )4 e<:

                                   rt~+~< -r-o<                +C       J
          I    'I
         '1= ­ a...-<'




        j .   dI!"


                                                      Ji ~ d~          =-       Lv" ~ 
                                                          -I
                                                         ct,      =    l,"'lil
                                                        -1 





                                                               - -.   ~-    -    -~   - -- -   ---~--'--<--   -      ~

Equações diferenciais 1990

  • 1.
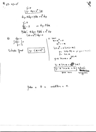
    I (Jj, Ó?J/!3; ~~u~ ... "T '3"f0 , . ~Mb: ~:i : t~/~-1 Era, : Ulfd6 {>a. : f/F.J/06 G-~: 03/et • p. ~~c: taJ~ , ~l~)" a-t 5 .q,=-J> ~"l2t) = a, <l=l> t'~): O' .q =~ "u.o.c;i.. ~,Q.!lNl<>:<J. _ ~1Yiç& - é ~cto. ~~, -&." 1) i.,.. j~'(ut~. ~ o 1.) (~~*'3) d.~ -t3t:-j) ~ ~o 3) d:ti _ dj ; '?!.-':J. d~ ~ 4) 'j'll", O 5} 'f!.'t _ ?>tfj =i. "..~ é ~ b) <Qi-+ f:J-f :. '2t ~ ~b'j ~ .J - c.~,tQ(l<Po:
  • 2.
    ~--_ .. __ ... ........... _-~- ----_._.~ ....... ~~
  • 3.
  • 4.
    ~ - - ,~ ~ a.Q....~o:, (jMlJ 'f>ÍiD ~~- (f. j= ~(t+ C.~e j::: t:.i T C2, e?L. 'jn:: Ca, e ~ ~ &l1bstJw..n4.0 ~ ~ dif( 'j .: Jh. CDOt:. ~~ (). ~.6((' .w- _c . . h<,n~) ~l~ ~ + C. h<tt.~ _ '; ~~ ~ t) ~;'?t.., c,~ c~~:: o - VU>o.a:,. (h/j~
  • 5.
    0..0 ~ cL.. ~IVJ}~~ c)UL cta.>-Q.­ ~~ OO~~ ~x.i.aLJ. "'­ 1í .k{ o.M~ /lOt...'1ÓÕ ~ Carmo ~ ~ ~ C!oMA~ vI'> ÓJ."i.~) u,w..G...." M. ~ c.u."N~ Q.a.y'Q;:~) ~0-:)~.3 ~ A,..?~, :)::: C. C(. l :;=j'~ ~ d.t{ O~,~O~,l:,r'~ ~O" ~ .L..{ ~oa.:oda. ã ..oo"...:OO~. óJ j:: t. J}WfY.. » 'j.: Ci ~+c~ c.) ~::. Ci ((,2+ ~-+ C3 ~) f j=< e. I)QN, ~ ~ ';Jl:: e. COb ~ -+ ~~ Q ~~ow..-"- j 1 /~~Q = ~/ J)QM,y : ~. f)N., l., ( o~ '-Oo~âC. ~~ ) ')~ C.IJ~ ~. dJ.{. Q~. !.~ eMA. : '&-~ I ~~. lj.: C.WÓ;1:... .~ 1. ' ~ ~I/."'S 'j' . (Pô $.. ') .:- j). , /J(JJ'JJ-. ;; 'j ib ~ , Wllt..
  • 6.
    b)· ;j.::- c1. ~+ c,<. j'::. e.1: t~ .+ o .' )1 'j ~~ -P' ai~ ~ e.orM~e C) 1 '):: tCi b"~ ol
  • 7.
    'J':' 2--. -} ® J;;ê+~-5 o. S3j d, =f~ d/t. ~ ~ ~j __ ~u~w, ,
  • 8.
    ) =~j; t~ _ ~(t// i - ~ / ct'f ti)
  • 9.
    ~t (t!l+-i) d({+ l)~~j) dj:::;o , ~:2.-t 'j) dj :; - (-~~i) ck Jj~) dj =S(-~~-1)d(( f+ f -~ -~ -*, + c1 S,1U~M ~~ ~ 1 '1 j= ~2 di -~- 'j lnjl:: Si~ d~ l"lj I~ ~.i +c -~ I -) ~ :: 3ilt ~ d':l _ i d~- Ô~+Q.
  • 10.
    @ -( ""e1(.) J' jl ~ e~ l ~ j. 'j :: . e . , (I~ ect>.) j. <b. x e-~ d~ t* €,?t..) (!.-t~) . J' ti'j:; e~. dlf. . j~ S lij = e,~. ~~ 'j):: J b~ hx~k~ d?L 1 ~d~= d') di = ~l. doc ~ j ~ =J&f?i.. d({: 'j coo~ 1--'_ ..
  • 11.
    fI: i cfv1. :t G) j~ ~ ~ QV( <tj 1 ri: - i 3 ~ 1e 3 :> --..-.. Ok j-- ';2,3: ® 1):: ~ j ..-...o~ ~~ ~~---
  • 12.
    'j=~.~ l"f:: '=* ~t) ~+(t,'= ct.t~ ~2 + .lrlli
  • 13.
    <f ~ x.:.~ 2 d<t- ~ -: 1:::' l ",,"..2 ). <t.-J"; - ,:3, d~ Sl,-t _l3 ~5 4z ~ 2 ) .) -:.2- á~ _ (~ái ~ (~ :t,2> ) 1;3 5 "It­ _~ ) ~á~ ~ j ~ +1.. _ ...Y ~ -::; ~'"' ~ -T C. ~t2 ) ~.)l 4­ ~ ~j =-0 ~"} 'j) -'- rf3-+j<: o ...
  • 14.
    t + <td.*:: - Cf. ­ ?é:. lt.,. : ~ ctd::. a. ~ - i -t ) - Cf.. ~d::. ~l-i-t) - t cf <t di:= - i - 'J....i <t ~X !.- :L~ d~ ~ - i - ~.l ) dI(. = ~ ci i d~ - - .dJ Cf.. t-i-'J...l) ol~ _ d~ {--i-l-l) 2C. l u;: -2, -1 .h - i - 2~) ~ .-) 1!. <:'1 ,?:>o~q(io ~~. OLl _I/Q. '-h ~ -i- ~i)) .: l.V') 1[.<: - ­
  • 15.
    ~- ; ................ I • r~ it.j. 'j' .. ,c'r~~=O , ~.2, ~= - a::-'j ~'} {+~dl ~ _ ~'J._ ~~< «. ~·i) -~~"('ot~~ ~.:" ~so.,: f" 1-+ ~dt:: - eC - ~:t< _ ,«,.J'f'>' c:.. JA (U)~~cl..a -;, é ~ ~ 't(.<t ~ &. ~~~~€._ y(.;: a.~ ,~ fYV'...~ rw...U.:J o f'>(V., .'YV'. C'~ .. i-i-t2 ) }f.t , ~~o::u. - i _ ,,-2 t - i _ 1;2 - t :t -i-l?- 1.2 t 7I.{t = ly0~Y (t d.~ _ - i - :L1:2 ~-X -t ~~ I~/~ ~. t~::; l-1. - ·l.:~?) d.~ i: d*- .: ~(( l-i - 2..2) -:;z u'" -i-~t2 u.' -= - :t·;tt :; -.(1,­ -l. .:n -1 _l.:~2 = ..V' ?$.. ~ Co ~ -1- .n - i _ ':Lt'2 ::;; .~ ((,C 4
  • 16.
    I cf> ~.~t _ 'j: {"" .~~_ j~ , ~.j ;. ~ OC~-j~~ 'j 'j'~ ~-+) <i.. {;- 1td.l: ~ (t~~.t f + ~.~ a... t. ~ ~ d..:: ~--a::) t -t<)' -'c ~­ ?L ~-t- ((dJ ~ Ji{ ~ - t ) ~ i:+ ~d.; :: ~ -'r t ?tü1:: fi-? '-tX-X 'etdt ~ J(-~i) ~ T ~ dJc· = -.Jl, -1:i)1 ~?$.. dt -rcl~ j , V(:2) -)-;: I I I i~X I t)Je o.h e ~l 'l~"',j~... = t"" ~ + c. .." (!. c, 1 .... , ... """' . ..... r
  • 17.
    ~;'- 03NAIw, 2~ ~'. j' :: o.i ~ -t ti' 1 + ~ ~ ~ + . 'o~ . ) + Ce, • ~: ) ~?t + 'oi"j 1- Ci (l;t?C. + 'b~ J -t C2 L~L~~tm Ql Q. -tl~~.ha, _N~~~Jw:v..d~ 'ro. , d.P. , ~ = -------------~----------------_ ..... _ ...~
  • 18.
    b.) t Q.l~) _ ~t~) 6<.~ ~WJD: ) ) i. -t :tj = t.- ) j ::. ~ ,- i a 1.l _ ..j '2:.:+ 1. - ~ =' ;t;z. -+ '3 , '1.,-1;- ~ l 'L+-! ) ~'L*3 c' = 'J..:t+ 1 -+ { ':: ~+~ 4- ~'t-t 3 2't-t ?> ~X.+3 "L' = 41:. +- 5 ~'I. -+ 3 ~l .. 4't+ 5 <lsL ~t::.. -+ 3 t ~L;- i) <U. ;:. (-4 z.. +5) <!ex ll:t-+ó) d't = d.~ C4t45 ) ( (~1:-}? d't::. (d~ J (41.+5) )
  • 19.
    :: i. ~-+-l ..,, 4't+J =~ ~ 8 , I :: ~+c fJf0.l.Â(~o.D : , ú) 1= ~((. - 3~ -+ lJ -4~ + bj ('?) )= .!*j- ~ '<f-4- 'j - '3 , ~~- 3j+i G> 'j~ 4~-bj -3 I j ~ a.- Ôj+~ -4~+ Gj ~::. ~- 5j)+ <4 -~~:z.t!.3~) ) -'t -+ ~ ::; ?:, lz-t -4 ) - ';2.1; l -t ::. 3'i:. -+ <. -:l - 'J.'t _ ~l: ~t: + 1~ --41: -~~ , - ~ :: 1-':t - 2 - :Ll
  • 20.
    ~ _1 ( -li). d.l':.= de! 1'l-t'~ 5 ~1- d.<. ::. 5d~ . tz-t 2. ::: :::. ~tiÕD~: ;('t ~»)-:. ~ i.,,, :1-(~-<li)~~ - a~ <'-I l~/ // 4'J- 1 --- ------ - --_._._-----_.. - - - - - - - - - _ _ __ _ - - - - - _ ___ ... ... ... ... ... ......_~--
  • 21.
    r~ .~ j::; a- ôj+.1 I <;t(t- 3:;=: ~ 4~ - b;J- 3 , 'a.-'3j:'L ) j:: l~- ?>j}! ~a-3j)-3 ) - 1- 1;.: C -t 1. 3 Lt-3 ~ -1:ó'l+3-iJ.. ~~-3 rt· -1/= 1"'31:-+ '3 - 4l -t"G I l' ~-3 -dt_ ~ -r+~ ~-~ Q~ ~-3 - d~ (~-3] :; ~~ (- Z. -t 53) - V j= -1 -'j~--1 .li j:1 li
  • 22.
    ~e"':: ~+::J-l • ~+'j- 3 ) ') .:: tlf.+'j) ... i ~-tj:: t. (~i'j) -3 1 } :1..-t J :: 't. l i 1 t-1~ 1::-1­ J=t-1 l.- '3 r - z:.,! +i t--i -+l- 3 1.-3 '.:r) _­ L :l:~-1 C-3 clt: ~ ~'l- 4 di - . ~-3 dI . (X-3) :: d<r. (U-"O 1,- 3 (-) l - ~ r+ba c1l ) -+- ( - i j ~t-~ dtp ;;; J J~ - O -1 .!..! • ~ _lrdl ~ L~-4 : Jd(l. .i t: _ 1 ln , ,t~ - -4 =: ?S:. -+ C ~ ~
  • 23.
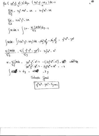
    ~~, (j·~~~~ru~ . ... , 2: ~ (S:(t,J. .) c;: f! ~~, ~j<) ~~ ~ ~_~3) 4j:o M N
  • 24.
    PQC~:)~ (i) ((1Y.)~ +Jtot:.~ <k-. ... (~- ~~'i ) dj =0 ~ (~i J~ - -ê- -:r) c1j, + l 4Cj3 - u'j) cb:. ~ O ~. I 't;w :o.. / ~b ~ 1Ib _.IY2JI 'j ~~. .
  • 25.
  • 26.
    , ~-~@ ~ tJtd( = ~~~1+]~~)9-l( : ) ~j dt.+ jjto6a:Jl(dt~y- :I('~~ t: ~,.".lu.:.. te. S <l~:: ~ :061 ~ 'j ~ 'Il ~ 5Jl~~:: ~ ( ~ ~j-+ JbtM:~);:: - (KJ)~l' j T ~~ bj bj .J - ~ ~ M d!: ;: /}QJVtr.. - ~ 'Y<Mj -t a. J}QM i - ~ ~ çj ~ tI<k ~C
  • 28.
    ~ '. . . , :....~ 'J,4~'~'(2) . .' ":f, ~o.. , tL~. Ml!lj) ckt +- N (1. 1'1 ) d.'j ,0 <:.o IYV' '6 ~ b1J -. .c;: ~ NA.o t'K f. 1'1. ej bi L' Sooo ~oJi,~ i~r --l,"""'lÕO do. ~ "ne.:' J~'e) dI( Cóe.: Ú" _ CC)tJ M.<.~; e. o-{~ 5,::) ~l':. ~ ?l~) j QM,~ i.. '!.lTE~~1E. ~ ~~ i~ ~'1:'l-E ...... w... ~ ',. otQInIM ~ ~~ ~~~OD: (' ".-.~ @ ;~~ld~~~d.j=() ~/ i J t-I Õt.A i­ ~..., 6'1 b~ ------------------~
  • 29.
    j (~- "'5 v..d.IC.) li:) ; c ~1 S~ d~-t j llf d~-t j~<k ~~ + 'j~ + ~ ""4 ~ :3 <t)~ ~;: b tÂj. LY'j =- ?,,lf-J ~-t .,~ 'j'2& 'Gj ')''j ~-~ ~j 'tS'~ r U~L- _ .... - . - _ . _......
  • 30.
    ) Wd~, ) a -.v.j • l '-"1 S tJt~5 -:. ~ l"1L~. .'1 ):: d.-2. - ~j "'6:; :) IJ- d 't;j MJ... • '4 . -;q;i' - 4. # j ~ f4/ J V dM : : -fH. u Ú 1-t! 0..= ...'~ ~1 @ )d.,,- + l,e - '),.1--'1) 4j.;;;0 Ih d.1(.. ~ w d.1 :: o , u. 'j ::.~. ) + 'j ,I;li!t) :. 0+ ~~ ~j '6';) t""fI.;: <ilt. - '1 ~ -b~
  • 31.
    " :sJ ~d~ ~ Çi <6 ( ç' -;2<)=: _ ~ ?J- ~ 1 lIJ- .t;JOJd1lC. :::: 1- ~ T ~..., Gj if... ~ 5id1 ::- 1 ~~iD ~~: '1< -+ 'j ,. Co ?J...
  • 32.
    e 0<6. i' clf, dC ~'rW.Q .. f"­ I Â. (~) -; + (:, t ";c.' 'j+ c..llf-):: o l ~7. i: '~1'/..~V.J'e..Y.~ =-__ fQde ~ 1u..o..1:.AJlV" ~o'ÍtY.k) c.::::-.o "t:><:A..... í"CO: &.3 ' JJ..M- J e. 1. ~1'tV>O Y.de~eV.o~k) ~_JImn ~unGó.o <4.~OON'-CX~ t.tVQ..OJ d.e ~t"Y'I'Q,L'-O.. o,J~) ou. ê ~oJZG., .­ "~. li 'e&te:....,l Q ~<:&.. Co,"",~" i."'~G~ ~ c:b. """'-i~ -rc;ÕI> ~o~<t~; ( f>l~) j+ c.t~)) d~ ;. ­ ~ M ~~""'~ {V,l ~,,-'c,JM,,) ~ ~ ae I r :'-1 vV Q) , 1
  • 33.
    . ,.. -U - :: -/t. 1. D 0_ :. _ _ " --Qf. ) ~ lnuW:ft~ ~~ ~ ~{ r' ~ ~; ~-:L-lj)d.~- ~dj:;O ~ ~ ~ ~
  • 34.
    @ ~~ -t J - lta:.)l;L~:;; o d~ l '-}- ( , -tIL) e~ ) cliL + «. J:;J'::- O ~ ----v---" VI t0 ÓVI _ 1 .§Y:::j 6"~ - 6~ L J €~ JWl~, ~dtk- ~"dt- )"-~ck J..l:: iX. =-1> ck '" J~ j d.. ".: ) e<. d.t.:: li' J;. e:~ JMck ~ J - ~ l- .k - <k 'j ~e~ + J e.-'( d~ S'A~= go,;. S d" u. ~.~- S" du.
  • 35.
    ) -~ ;J -'j- e.. :;;;0 ~ - '1- é~= O d?L àj _ 'j- i,'lt d~ -= O ~d~ +~o N b!:::: O «M:: - i - o f:1 ~j ~J =f. ~~ ~(L ~::t -1 - o - i
  • 36.
    . .' - " ) M 'j + p.., (~) j+ B(t.) ~ ::= o EQUU(r ú .(; • Y j 1 4 Àt~) )+- Bll:(.) j ;:0 ~ ~qáo fb ~. J ) 'JJWY. Y, ~ A. Q'-<.l. r(,,, 1_ Y'J~'Á ) 1 '. ",,",,..:;t../) ' .....:;) 'Itf'_ y" ";,I~.J. f~ l~_ "I _V' ~ (:L_h.)'j . dj = d?,­ -I) 1 , i- n) . j . J .::: "l... ); Ã,l ~ '" i-"" J -'~. I D ' 1."rO'1:";-~O.,{(Ür~(), ,!-,-', 1:; 1 ,,'r) - 'V A Cl:f.) '":1 -+ e. (''C'-) Qf.. ;,f~_ '"' J.e~ ( _.J -) -+ i; =: O "'; .d ) i- '" ---­ ~~------ ----------------------------- ----
  • 37.
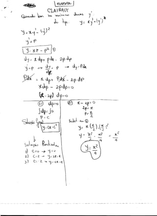
    >, ",-, ' " ,-v2- ,~"'f~'.Ã U>.~~ eLA. H{JT 1; ~. do. ~'rMA ']= 1t:.3" ~l'j'J ':> ~ à.~ ~~ clUWca.do.E. J ~ ~"""yY'<). _~ Q/AA'Ji:. J>.- ~w.alA ':1.: ~, . .} ..t~'J) ... 'j ~}<i~'o-If"'" ,~ ~j).T~l)') , 'J~p ~~p q~ ~ ti i ,; i"" doe J(. ~~~Ui~ "VRJ'M: y~~ '( Jp + ~ + ~tf» d.t> á:clp+ ~(f) ti f :;; o t~-t ilf} ) ~p:; o @or=o () ~'rY1't'('() ~o: d r: O 5dp :; SO '® j)u'tB~U}.ndo ~ e.. ,p;! 1 _ .~,;~..~ ~u~~ <ro><>!
  • 38.
    ) ~-'" ~ ly)", o r" ~(~)
  • 39.
    , ~=~ 'j:: p~ - '-.Y f> (!) dj. ~d.~+ ?dllt - -W ~)~ r ~ ~ ~ d2t. ~= ~ dl'~ ~.lf - ~ ~~-.!.)d.f> =-0 p h) ~) ~-.1 =- o d.~:o r lI!.;:;J.. Jdf>~ Jo r ~=c f:: ~ S<l ~~ ~ ' 'à~( C:~/:;~W~€l ~ el.o ~~~õO ~OJ+'~ ; ) ~ ~
  • 40.
    , ~.::(> ~:: ~ -t P (f e () d'j::' ~d?-+ ~d~ + l d~ , t'j.::~ =r ~ d,:< ~dlt. ~ ttdf+ i>~ + ; d~ -2i. -+ (2;P) cl.~ ~ o clt,:; o c...~ tp.OO ~-+~~:::; o Sclp~ JO e.,.f:; - ~ p:; c. .;n/:- q.:n-~ ?':. ...Y_1.if. 4:- ~<i ~ú.Áé >~.r~~li...~' ?::: ~Y. ~ ).x(.. ~ '3::. ct, 'n"~ -+ K 'j:: <t:... ....Y.ne. - /lJ t+1t.) ~~. ~ '-~~ 'Ot. -t~'l ~ ~ ~:f.o $~v...~
  • 41.
    , .~;:: 'f> 'j:: ~~4 e,'P 1() d'j:::.~dp+ ~d~ +l J~ 1...':. t,o.ll o ~*-e.~.::O e...~ ': - 1t;. ~nl::; Q1";n-~ t> ':. ....~- ~ 4- iO:- ~Uk ~ ~.r,;~I. u'V ?::: ....'V. ~ yn.. ?C. '3':; &. .n ~:lIt. ~ K ~::; ~ .:n.nt ~ 8J t+ê(J ~1' 1t-.. t.'7-+:1C~>2L15a~ ~ 1C..';'o ~~~
  • 42.
    ?.,2/rte /9;.;1 J ;,,/ r ! >'1R;]ci('ç:.~, ("'IS'. ,'f,::íC(-,f-Jj!,i2, ~,~~ doô "'''CU,,~~,I)''UII) ~~ ""' r. ~ ~ <N.? ~, ~~~:T~"""'" 1<>'miQ.~ de ~"~"'<VJ ~~ <!Im j ~- ~QbO~~<1o QO~ ~~çéiD d..:1QNlMe(aJ ~b d~rmlftDÀ o... -(~~o.. ÓAb ~ytf~a.l) ()'>~~!NOiO 6Q ~~Q de. ~~ do..dvo. t.'iI.' cB..;."",,,,,,,,,- o.. ~ <1.0.0 ~~ o,,~~ <k ~ao. ole. ,"""""", 00 ~)JA~" , -t? V ..U.f.. ,,': ... ;~: ' , "'~-;':'.". ~ 1 ~. J+ , J :; ~-- ­ ------ -
  • 43.
    ·.71!' .. 1/ :% ~ ~ ~. ~ ~do~QO Ol. ~~~o: 1"::; ~ ~j ~;Z~ dét. ~ ?i d~= ~~ ai 5~j dj=j1t d.tt ~f -:-lt( ~ ~ ~):; :1 j~ c..~ f/l~~: } ~=-c. 'j=-~ i J ) t!t ' :; ;~.li:. ". t: j . !f. - ~~. ~ ::: o ~~:....! ,. 1 ': ,.,.. -- ". ~ '~, - ::r d<J:. ) ~ ~ (j) Q.>l~~ j~C*- d'1 = -7.t cht j;; ')' X , J'j li') =-S?Ld.lt. ': ~ ~. i-. 'f=- -~4~ ~ ~/l
  • 44.
    i~c. .(t.:~'" 1 i 'J~ J l .­J :t3f. ,} ,':'? 1: ~i (Lei , I ?/ 1.. ''j cc J~Y' , -~~ .-. ',' "'): ::: ~b(i .J 'j- I ~ - -1!. R'J ; .1­ .~. 1t?-~ í l .) -1t d~ ~ ~'j di J~'J d'j = -~ ~~ ~·f:-~,(: 7­ a. J<: - ~ ~ 2..
  • 45.
    JOQu~ ~ ~ WV/Io. (!.() ..",l:,,~ ~"'" rOJ> '!OI'M ~ e.oNlb~ Ct. c.... .... c.", . 0>~õ." ~~. RtZ( ~( j ~ QL e -+ ~ .t, e """ '" + . j
  • 46.
    -2 1.i1.1)~ v~ ~Y'Cw. ® t il ~~: , ~- 'J.j - 3j::; o ~. k{~~0-( , < " R - ~~ - ~ ::: o ~. ~e~-atCA. ~?{ 'ji:;; e 1 j;L:: e R:t.~ ) ~~ 'j",,= e.. ~.;>'..u. ~~f.6 rr V ·Q4.
  • 47.
    , ~ !; R. - i. ::; () ~~ ~ ~:t .: i. ~1" e e ~: Q : ~~ -=~ '.)i::; 'õoL~~ r~f~' "!. 1l~e.. .:=~ j;L;; -e.. -~ J ~fi ~-! a ei e."~ -" C e -1t.. Ao So~~<í» ~. j= :t ~~~ ~ ~:Õo toJOe~'" otc~ ~~~ ~~eo """"-'li ~(). JQ.lI ~ >'(t'""- ~ ~~ -=..k~, CYf)J.~~CQ-1Oe. o. .oo~~Õ;;) -&. ill + ~ j'-,- j' ~ <> ":)3 ~ l.. 4- l-R 4- "R =~ 'R ( ~~ -+ ~'R -+ i.) :: o ~" =0 R~T -i Q.~. - i 7/ 'NQÁy 4~dw:
  • 48.
    r1/ r.o.­ J - '--' tr I)) .) I W 'j - aj + Ô1- j :; o ~.~~ ":h.. ~ ~~ ~l.3" (/'A!"?J.. i~~ (1.,2 e~ ~.~: t- j = C1.. -+ C:t tJ.. t "" Ce, -ri O-?I.. i~~tr ~~~ _ ~O ~~ ~~ <>­ ~ c.cu.o.~(t_ -e
  • 49.
    , v ", ® ". • ~. 1- "'1 l } -t" '?>1:; o "R:t - ~ R -t t 3 -:; O ~;; ~ ±. i lb- 5~' ~
  • 51.
    ) J~ 'ji -= I~_ 31'r- ~ = D 7:.....:;- ~-37 -:6 (~~- 3 1 ) ) ) ~:: ~ - 3i 3'1 } .:;:-,z,1T 2­ ~ 1:: _ ~1 -'!- <­ .3 , -~ +!l. ;; 3.z. -+ ~<. ....... :l.~ , -- t: .: : - ~z. _~'_ ,?>~-f~.:t+ 4~ -l..~ ..... ~': ~2 -.:t~ -~ ~4et-t< dx./ '. -2. - t l- ;n.) , d~ =- d.~ ::t"4+ I~
  • 52.
    . . '. iw%:;r.<>.-A """" ~...... 'i';':' Jk ~ _l~::~~~) ~~_~~~ ~_o~ '-Â. IV __. ~ +~ ~NI_ t)~ ç;'~ ~~ 01 .~ :Li f -1
  • 53.
    ~i' 'J)1'4' L~~ A L~ , ~f ~ --e (~) -t C l }f) -= o ()~ ~ ~o-d-L ~ -~~~ •..o<.y....Ro. ~ ~ ~-4- oM. ~.....l ~ ',.,,,,,-:f>-& <>.. íifJ (""..j~f'~) "'" ~q..-::;.t.. ,... <ôobÕ/.> ~ U 7 Md-t,,<:
  • 54.
    . ,. :.t~ df::-o <€) ~- ~ ': - Q Sdi>" Ju ~: ~ . ~~e . ~ sJu)ôc eli $u~·J- ~ G) ~ :J _o: C&. - ~~ 'j ~ ?í. c~ . 2... )-l: ,( ~ ~ -;- ~< _ ~ _ ~z s"L~ ~Il"L.J... '" '< l) <: '::-O-j> 'i::: v :z.) c= 2 - J::: J-l-4 ) ) ~:: - Z. ~ '} ~ -2.-~ -1
  • 56.
    ?1 J"j ~ ~ J~ ;},5) cly ' ) ~ J,t ,~~ ~ ~ c li- J., ~ z 'j -:- ~+( 2..
  • 57.
    V/(J 5/<3C:J , -- ~un~<?1?ô 'h~ ~ 4:.~o '" "-1 ,,-~ '1:- Q.~~c.eú" '-'<:.ct j-+ Ol t 'J -"* Q;L '1 + . . , ;:; o ) ii ) ) 'j - :l.'j _ 3j : O R~ - 'J.."«~ - 3 R =O R l R;{.- ;.LR - '5) ~ o 2. d / "--~ •
  • 58.
    '.oi~ 1ê e 1~ .~. i)) ) 7 j + ~ "j -t) :::'Y R-'3~ :t~~* R.~o R( R~4 ~~+-l)=o .. . R. ., 4. i ~ ~b.,s 2 " 2... --~,-- _.~--
  • 59.
    --~ + uL'LJ-::: (L -J~)d1 '-Al,);:. e ~. IA..t~ I ~ ,I ~ i - -i. " M Fo k~fo )fl ett: .. ­ (J41 rao..ul @ lÁ t' J .t.AM- ' ------)- C{W'~+- cf]J 'J -= t,. 'j ) -+ e1 ---#- 1/)0 ~ 1; i =- f 'j '" ?L{'-t e l' )6) t1~ .: ~ dp+ ?J.r.. + e.~ d t' /J2~ ~ = i> d'f -f> .:::1»~~~~--~-" ~=~~~+~+J~- ~dp+ i Jp~<l (Í. -+ e~) d.f -:;. o
  • 60.
    ~. - jl' Co 'J..'j'l_ "3/= o J ~~~ ~l~t ~------------------------ ~r:- ~~~~~...,. -4t'3 - 'G-e!<-~~ ~ ~ <. ~~3)~ lU ~ , J -t ~1 ~ i "'::> R. ~ + ;J.-'fG' -4 R.;::- .::7 f2- (.p..2. -+ 2~.A· t ;:: 'l R~ -: o ~1..,," - !.. R~::- -L
  • 61.
    ., _ 1"~ .2..- ~ ~ 4.'1 _ ~i~---;1:- ri .:: 0­ o.CL <S-­ --L _ o .- 1 = -?fÇ.. t ( ~t<.) - ?1- --- =.?:t..­ f'L- .1 .. r.J _ 10 _.~~~~~ ~ __ --- J 1-~ dá<.. -..l ­ - .;..,,". + - .::­ - - ~ ~ M~ +~ Nd., ~ O _1:1 +­ ~- j áx.. + .:i d'1 == Q l,':1. ~ 1 õ­
  • 62.
    4lrO­ ) J -t j t C =-t' Mdlt -I- f'J Ov~ ~ ~/-II ~"'ÔIV =!> ~d L CSj 6j ~h ~ cf jh/tiL .a ti--'J': .e __ jltlJ'j !g",,/ J).{y).:: e
  • 63.
    .á{. t' ® ~~~: 71 . ~ 0.) -tlt1il r) : i.j3· f -, ) 9,./) b) U: re llV'j Q. . ..
  • 64.
    ~~.q el ~ôO 'l:: -1 ~)=~ z.. -43:.1' ~i ~;; l!la.- 3i)t'4 ~,)t 'L = ~ - ôj' l -t-l~ -'3; , 1 l,fo "t.,-a::.-?li . ' , -1.:+ <. ~j .. , , "j = -L-~ ~ _t = 3L-t l ~ • 4Z. -ll
  • 65.
    , l 'õtt Q.) j-j =- {) 3~<-=L, ~tQ di,~i . ~ ,~+Q,. ~&1;t:t) di ~ '1' cil.) . 5~=5~~ k"'il:: lY~ .. c. i~H. i" <:.' ] ~'j' ~ c(.-t':::):; o (·i.,-d:--i ~: C::-~:, j) _ vw...v-.do ~~ ~. J.. t ~ .. ~. ~. d!. -tt ~JJ~ -~-~-! ~ ~'" ~d:4:" .. I (-J.'} Cf . - i - ~ -:t lt di '" ?clt::; - :i. 2- ~ dl,,< 7-1. -:L~ . Ji~~ U::;-!~l.l -Ih J.J..I;l0 "n -~-tH '" bJ.. T"V.c.. 2l(.·c
  • 66.
    + ..... ';. . . li l ~tt)~ T dj .: o (.j.2-t ')) ) (':11) jyJ-l.( i'+! )4 e<: rt~+~< -r-o< +C J I 'I '1= ­ a...-<' j . dI!" Ji ~ d~ =- Lv" ~ -I ct, = l,"'lil -1 - -. ~- - -~ - -- - ---~--'--<-- - ~