...     ,




         ,R:e. CMQ, E. '"   a~~,ífA'D       )E,         ,,~·..t~{).J'I~,~             'OlEH TIHs.,.




"   ..   ..   ,   "                ..:    !I"",   j~   •   ;',   ..',   . . ' . : " . "                   "   r:   "   ,   L   :,




    ,--W;C:$ . , PE.E.'ft~ ."                G..oM..PjT#ClO!Jf:.2I.,                      " '"
,




             I
,   ,   T   .
,~           ,
~~-------~
3,0
3, 4 b
~,o!




           1-'    -~ 

                  0 





                          ---~----------   .--   ~~~.-   -----   --~
. C<i~Q.u.)o     J~,"00·
                                       bl~             . ~i.~.             . (~~. de ,') ~~ )
                                        4? . e.'
                             'OC.=-            •    b    I   Q~      .




<&-;   .   ~ c#1 . )81                         .. . .~;,~::.:.:::
                                                  ,                           .~~: ~~ ~<I

              ",~~                                  a.:~~ ?" .                . :~   ~         0I.   ~J. d2 C!•.   J
              t                       ..ft~)             'J)€TS.~
              l..        ~


                                      ::~. 'J>~. c.~~~J.~~.' ... CN.b& .~•.. '" .~ <~",ç""
              o       'Xi,

              i          ~

              ~       ,~; ,           ,..('!(:;)       '3>G$e   ~I~~)= s,d.             .9- '0.       'J1.l   ~e,~1N.d.o ~
              .3         ~1           ~~)               j)Ase., ~)t:(3)~·'h ~3            7.,,3
                  .
                  .                                                                   ,   '.




            ·9                                                             . ~,~               ~, ",~rN.l'fW1     !n.
              'O
~~      1J ~ ;, 51~
 ~NQo (5) o.9,~lll"'iYK1!l
                       -1(.
                      e ::
~~          1J ~        é: 5,'5
 Qi..NQo   C5) ~I,}C'('('K)~
                          -1t..
                         e ::
'.                      .   .,   ,;   •   /I   ;,   a   li   "   '"   ';   ,'o   ,




                            'fWv'fII;Í').,iC-'Q..   ~,~~,                                                    , , Y.Qo"   .l~"

                            ...~.... A~~~ ... e.... ~~.




-   .....   _~_   ..   ~   "-"-­
-Se::


                                                                                                     /
                                                                                                     .

                                                                                                     I


                                                                                                                   b



3_Su~rrk te~' l'l~ ~,J:2NU.OD ~ (0., ,1 e o I)i~ f) é
CO~~ .eJv..A Cq, 'h 1, Il~ ê} f é WOV.OtvVA   (0.) 'oJ.                               QAN


                                      _ Se       -Rta.) -M'   t.»     <    o     -::.r>3   UfNO. ..tltniCQ       ~
                                      ~      'YQl)'t.l~<V~.
                                      _Se        -(Q);I( -Çt'o) ':>0             =]>0    ~ ~~~ ~~
                                      l~~'

       ~""'''''''' oó~..Joo 4~ oo~ ~ ~                                                      .!o,.,   ~G~
        D          3                                          0.Jo   ~-Q:::-"CO   Coi'M      ~ ~ bo(}O ~.QCo
 1)-   -t ít.) ~ «; - fWM. t.                                 1"                                           <-..l

                ~3 _   /:fJM)L   =o
. ,
~


    I'




                 .l-)
                  t k" )

             

             

         

                           --~~----~-_   ........-   ..   ~
?O/'}~~CQ.      C?o!W      fWJ·   ~:: ~
                                        ,   -.'




   ~'Je.        ~-

         ~                  

   S'1..,b~=.! G'~",1'·.   7?' Q
1':."1(51-            ~ ~"'-<b,
        ~,~9Õp, ~ "~'ô?e                         i             ~ .... ~ ~o~ ~                                                                   I



             ,~'(,&    (     &...., ~"'> L -lol~-t~ ( }-l+1 i,;", ~~                                                     )]
                                                                                                     ,. JÍJm~




                 ~~?4'.                                             .           .
                      .Q-i!-                i634~--.~. =,0                     '                    ~           ':=   ~
                                                                        ....... ,~~u .......                                             '. 

                                                                         ,~3çlt~ cJ..~~fQ ...
                       (~          ;1!'t.lC.J.o                 o. ~ . :;::, ii,,, = 1P.li::.. '3 t <l ~ 59 e .....
                                             ., . ~o~ '3 .Q ..          J
                                                                              . , , , .. , " ,                   "t:>&~          .   'f,     ~~ ),   .

                                                     ,2ft = '3 i,4!.5';3J" 

                                                          7$..iL:: ~1 ~ . ~. 

                                                          ~.3~                      ... , .. , . 

                                                     ·~1 = , . ,,,.,,.,.,, 

                                    1.1'" .                        . .. """"" ,....,,,,, 

                       @, '.       b         . "tfl,~..                     ,?,':'~'~" ~,~            ,
                           Q. :: , ~I,":ca     ~'é3,
                       3>~SE              e)
                            1..1
                           e- .'"


                                                     :.    "                                                                  :    ,


                      @~V ~l ~y=,", ,Ih~~ ~                                                                                                                

                      ~~. -, ,,'»Jl, ." ,~ ,l~                                                           ..             .'




                      @ ~~0Il 4 ' ~.~~-<                                                            • '.   'k.-- ~J ~.~ f .
                      @j3~ecç~Q/J                             .                           ~_ &2.                ~M:l.-~':;                        3
                                                                              :3:>l&8t          ~4,          .
--   ,,--'---~
@)~0~t t~~'A~é~' 

       ~'~)'               



  'r =: .
       -.3   . ~ ~9

              ':i
                 3
                       ]       ~~ ~~1~ =::. ,~E:- L-'l.,;-,t.J .
.. t    6,-~'1'                'R:t €,t-1.,o)

        ~..~~J             'RQG      l~·,~1
~ e.      [- ~', -1.) 

                               *o~-~ 

                               ~t:: ~ - .fl<fo~ ;::
                                           ~)(ct)
                                                           _   .çl'l~..)
                                                                     _
                               <f,i;: -~) b66 ~b6   ':f.
                                                               --
                                                               ~'t~)
                                                                     -      - i.So=t 8 G" H4

~kc     ~Er6(2;
                   ".

                   e     ~~Ci}...J o     ~'     do..         ~    e.. o   <:t ~"'ioJ   V'VQ...   -{Q,,~
dJ:> t> ~SE e.    ~              ":7 e
------"SI'.Q4~----------.-.-~----~~-~~.rz;c::J-"---.----.-------- -- --~---                          . ...      '
----------------------------- -------------------------------------------------
·_::.~~ ___ .í.~Óg-~-~--~a-.-A..-.--~~~.J---.-----.-- . -.---.--------------.------­

======-·------~==~~====~=:r=~~=~=fu~~~~=-=~=~~l

_~~}.",... ___~ ____Q.'!,. __ .I_C!l__ .!..I:_2J__ l.!A..._.LT:_.!_LI_'!.~--~y.o---~~.1.i.~_
-'ii::-~-------·------------·---------T------·-----·-·-----------.-.----------.-----.-
_______________________.____ ~-~-L-Q--~--.k--~~--~-~~-.4.. __

=~~==~=:==========~=::==~=~~=~~=:====~==~=~~=~=~= 

---------------_._---- ...~-----------------------------._------------------------_.-
                                                                   :.r, -4
                                                              ..:1.... __________________.__ _
----gltl.--{J.f-l...ft..--.rtJ-t-.2Jt~=_9~_:.ê__________________
____ .______.___________ ~------.~--------------.--.:r..              _a.... 0-----------------.-----..­
_________._~.:!-l:---:.-:?S..:~±- . ~,::±-~---~-.------------         _0_.... _~_
------.-------.-------ee..ll$~~~~~~:..~~----------·-
                                                     _._-_._--------­
--------- ..... ---------_._---"""""---_._------------------------ ----_ ....   _--~--_    ....
----:tYA.i~--~--~6!?:â--ÇQ~--~--'llC.l--- ... ---.----------------.­

===========~~=~==~~~================================================= 

----------- . . --------------------------------k-----'"'*-:t-·-----.....--....--------------.-.-.-.
                                        CL-l=       Q ~ 1- Q. 1t...   '1' ...

==~==·b'~==~==K==iZ~~~-=~~~:~~=~;~===~===~=p;:(~~=

-.fL~--~---~--I:Io.~----------------------------------------------
=================~===~l~==~-==~~~=;~~=;============~~=~~l~;i=~==========

. . ______________________.__.______t ____t ___ ±_..:t__._____...____     ~:.:j!...L_2.M
                                                                      __L:_-4E------.--.-­
-----------.__.. . _blM>A-___ ._1?QO~_._._5E: __ &.F1~~--A-.--QU2."I~~--~~. . -~z.es...-t.-.-----
---------------.;r---------.........-----.--------.. . ----------------------.. . ---------------­
-------~:---lf,.-.:::-~:-':----------~êL~-~-J..-~-I-j~"f'-W 

__________________________.________._~)q ... --EX1.~Ie:--Rh..(zes..----~_'el:..fJ!.M              ___________

------_._----~-~~-------~-_. ...           __ _--_._---------------_ ------_.--_.-----------­
                                                                          .....
______.ft:LJ..    _
         .:~ _:_~:t_ª1&=_'_________.______ .:;.!... _____ .____.__ .___...__ ._ .._______________._____ _
_______ ... _____ :I.._._3__.L ____________.___ ..____~~.ts. __~~_~.~_~4~lt~..;;r-...Â.-IL'?.-~-----
______________í ___ ~ __f2. ________.__._______ ._~~~,..:.~-5-.--_._____"'ll).. ·.otl-~~I"'" ~-""- s
                     )                                 .3  ~
                                                                            =J!.~ ~:..:,i~~â _________ _
                                                                                 __
-------------Jt.--dJ--_~    ____________.______________________________________._______ _


======~~~=~=~==~===~==~~===~~~=========== 

------.---------.----.. --__.__ ._Ç,9Ib___Qe__ .f"UJ1WQ.'!Q......____ -.---,{--------ai·-·--·---------­
-------.----------.-... -----~. _-----:---r--~rt--t~-e. +-; t~t-'r ------------­
------------------jJl..l----~·-~--t--1--~"- -J-~--o.~-~--i--<3.:h-·-t---------------
------------------------------_._---~--------~--------------------------------
--------~----~----k._i.;---~~-!--~=e----:t--.::.:--~~1(.-t~----.-----------
1f ~ +    a:? - t4 J..2 -+     2..4~   -   ~C).:'" 

         1unl-:       O:).   fIt ,')( t-/4) 

                            11.   ­
                    ,- t4         ~   O}(.2"':: o
                      2.4. ~ <        - i) . (- lO) -"     140                        -+ ~ ~od..L ~ ~~'f'('(I.IOl.
                                                                                         ~O~ Q ':á. &. 4­
                                                                                 Qh.- 1

          ~ .:1
          °o=fõ                                 àCI                       l    'tQ.'f

                                                     ~ O- ~ ~ ,l ~ l , ~ I ,~ I ~
                                                                                                          I~      li 3       1/
                                                                                                                              1

          ~= -~-4
          0...1: ~1
          00 :-10
                                               'LI "- :L  ti ~ I }I -Ti/~) IS~ [V3) ltl 11)
                                                                  mM.

                                             lC.1      ~ ».l'NMC               O)         .J:í1I) ~,~- la 7 ~
                                            ~, s. ~~  o)                                 3 J T"t1       2/ae>   !,r+   J
                                               et:.    ~        :Q .. 3J :t4     .>      1,-48

                                                ~ ~ +-/~8
                                  -l-I 4'ô .:s:.        ~ ~     +J -' S                       .::: to­

~(?Í~:
      ~(lt) = ~-f - â~3-+                '3 J 3T ((.:t. _       i~68 L     + O. 3f 36
(3~: ~.~~~  ~!z + ~: ~i +                      ~J
                                                    /        3


                            ~                            ~
A
IV~:    ifJ   ,   la ~         -I-    -t I"i + l:tl]           o~ l,.~ !,10891!5~

   ~                   1/3

t~~3"1I~: ~+1~ l~ +l~~ c~ ~~~~~
(j3~~;            ~l'333"t'ô4~.:4a




                  3)   fl.44 8ge ~99

                  ~) Q..,e>5~     -fae




    ,
 ftn.:;       3) :a44 ti--J. ~:t8




                                                                                      PROCERGS
-




                                     )
                                    rt~) ::


      ~ ; --i
      ~J. .:: -O,':-5 

      t.~     "" - 0,1- 3 

      i.. ­


                              ~;3
                                o
                               ;ti;      ~llbe5
                               4-        2.,1-3Z'B
                               ~3 '" ~,1-3'2..'
                              ( if4 :;   2.   -=t3~   {J
--~~._---           ----      ----_.~._~---_               ....   _------   ---~
r.~~J,j~8L 

I   '1~,
                   <lu ~L   -+   0., i '!J + .,.          a.,VCf", =,J   .~



               ) ~~( ~l      t    o.~2. 2t1. Í'   •.•     o.'L~1..",::;   n-a
                  ~'t;f.~ ... Q~4,..            . ..   ~"         ;    lo"
_ Q.. o                 ~                   k     ~"        NCl..~l'   o.~"-nO.d-~
                                                    ào.. ~..                        3<>"   J:"Il;;-, d.o..   ",.'~ Q12""""'::;
                                                                      ,
                                                                      =l.     ~I
                                                                      3        ~
                                                                      .
                                                                               ~~


         ~!.~J.  -- 0.,
                        .,~
                              "1. -+ Q. 'tf!l : ; b.!
                                           l~


                     QU. t~           l' <lh. 4-   o..('?>1t 1   :.   b1
                       -




   :=.




   :::




,,€>X ~u1!>~~o..o ~;          I


                        ~,09~:; 6,lt5                      =""              'b-=    :l,99

                    -'Si + e;::f'8}= -              ~)6t .::;-~              j.:;   3 / 99

                      S~          -   5~:r ~                 ..::P          "(1:...;;r!. %~

          'i~ í !:~]
                 l2-,~9
                                         . ?o'~ão ~d.a "3~~.
J ~'- {) 1<1 ~                   00...                  "ÕO   LU <7 FO:

...,~                                                                                         ?>. i,'~9 -           b. ~;~'3-- -=I • ~19.9 .: ~.
                  Ô ~ - b 'I              -+     1-b"         3                 ="
                                                                                                                                                             c:3f)

             )                                                                                        i,~9                             ~
                                                        =<

                                                                                :,.           9.               -    s.   a.,9 g             1..id6              "
                   St. -           5~:;     :3


             l    5a. -       '6'j    +b ~:; - ~

                                                      dt. ~COf.d.o
                                                                                :;:;y
                                                                                              5. j,~S _ t3. '3)~<3


                                                                                        e.,o"N. o.    Q.oI'('I'.~cio;
                                                                                                                                   --     ~. ~)'3~ ::: - 3..~~




                             "2,Sf,                  ~~u.                ')o-    OIO~r/ 3
                              ~,9"                                       ...  O,O tf            ri      .3
                              _3) 9 ~                                     ... o, o'3            f/ - ~


            ~?t -         foi -- ':tâ- ~                   3

        ) ~             - 51>- = 3

        L    'õ"- - <Oi + b â ~ -1 


                 1<r -      4j -t'B b- = ~
                             n . I. '1~ _  4. 3," ~ .., '6.                                  L.'"    -:l ,  -     0, ·H.       ....- """"'.j""          .h   01).0.




                                               WoÓD                 Ói~o /                     ~ .l)l~llD.o                                   /'     {u...<>P
                             /                                                          - r                    eo...... t'''''~                -. -ow.
                               ~ !io~ '"l~~'('O.;IO (v- , Y.-t lJ-) }.",-1~ (i)
                                                         "o         "o 1  i                                 i                                     J'"
                                                                                                                                                            '
                                                                                                                                                            ~       .J
                                                      t,.b-;.o .. ""~ to.. ~,(,-S"       ,,~ d,,-                          b)J..                       '< -;;oe
                                                        ~ =,J., í;;:'"", <>.  ..... 5JJO.» ~
        ""EO~                 1.t'QI'JO:                             t>..LW~"ÍI'IO               'VI'        (:,-NJ5S -             ~E)EL
                                                         _          ~~F                  coe.t.A.':,          Ee,~A'Reo&-

        ~Q. o ~~~:
                           ~! ~l            +    (.~~~ 4- - . • o.!.~ 't = '0 1
                  )        Q 'l.. ~,       4:   Q~"t~ -+ . .. 0..,..'Y~'" = b -t
                  I ~~ ce
                      .      1        L
                                               +0,
                                                      '"
                                                             1t>. ~ .' -. Q. (f"
                                                             'l-           "'~
                                                                                                     ~ b~      .,


        S~",_J}e -.... ~,~~I>W-                  o                                     )0.    ~<l. rf~'
        Qht&.         NKÀ.        ~) '" I'NQ. :
)




                   e.   'otj      -=   Gij
                        i.   fj        a.~i.




-~----~---   -~-   -------
lli. íh.L,o Nl-. 1V'I'ilto ~ 

                ~eooLu.qõ.o de. S,::,'e'ffiOS             d€. ~UA~ L~(l,. 





G:~~çío   ~
                   _~Q
                  f.~~,QPt~ ,
                           o           /:}iJ~~             1 X- ) ~ ~"-"'1ti!'j'/.Q'lõ..o .'fi.~'
                   ~.
                    ~ ~~"",,<YOJ,. 'fi                         CO"", 	   <IC =~ +"1.1
                                                                          tl..~ ~ - ~i
"t:      a
                                           :    1 ('~_ ~~ ): A(f; - A.~:: 8- A~ ; ~a

                              "'í>- _
                              ~    -
                                               "i.:l.. + n '7 "
                                                            A...

3: ~~~". _ Ck~-~ o ~o ~ Je .J<""9!" a. W<.O..~&.õ.o
~. :h~-.,.e "<)'I.~m= do1> >;J.1I,O.NV'll.",~' 'l.-,e. o JJ"tvru,.. ~""
~ COI'(dl.Qi.O~. 0 ~ .Q~~ <k.e. ~ ~~ e-I ~>-&t~ cq,~
~~ªA(~




         61~Oj ~~I~i'
         OlOO'5~~ o,sHc'1)
               SMS6


       0,00'5"':;043   j::    O, Sti-09

                 j= 5C 1 cA9 ]                       i       ~ f-~5)
                 !=- -65) 5~41                 -">
                                                          1       90
:




                     p/39
                    0,0051-043


 01     oo.,~ '?> 'f = - o, 00065 t 4 ~ ::; o- j= - 0,       IA ~ ~

~'l1.   k   6, 9.!j1'"   0100   ~4 9.   ~"bt.""   o) l49 ~




                                                             W.. NOMll.
~ttt- ) -:d ~(~)
afh.O"(!.ÀJ'f{'vO.M~ de .Q1! )   rvv:.
2-     ~            1
                                             :i   tt:o   ?fo     ?f " .?Â
                                                                  o
                                                           ..,            (;

                                       (f=   i     ~!    ~~      t~
                                                                  i -.,   ê(i
                                                                               Y


                                                                      - - -




t~c ~ 

  al:l iÍ.j
Qo f('f(J   00   "lY,1-1- )   f r~
                                o
0~      k~NIONVÃ.<l         ~ ~
~lt~}


'L,~)   )   "o(Ll"              Co"'" 00             ~ ~""~~'~
            ,-)   ~~ [Jf,j G       'l?", 

            ~~ ) ).;, L:tt) :;. ~ l '(~ )

                  lL ~ti ~ o ~<)l-.(L               ~fj

~ +~              .Lc-t.)           ~ o..
                                       'lt;l'6L);:
                                                     fi    ~ ~'''''''''
                                                          :.:; o   !!=-- ~i ,~
                                /                         ) ;I ,   I!;. -   "'-j

                      ..~t.) = 1l'..-~) l~1C:..) 11.- ~"~-
                            /


                                                                                                .   L
                                        .~ _~'-) ll(. -1l-:>.ll )(" _it",) ... (j)t:c·C('" )
~~,_~ Q ~~'""~&o
           ",;~cI.J <1~ ~~.
                      ~                  rrr-oJ.,l':.         ~~N'6J dt
                                 ?J-        Z~,
                                                        -                              I'        .,j~;OOkà"4"""                 e,3     «l... ~ ~t2"
       ~':ô

       '(:(1-
                 o
                 1
                                 2.,0
                                ,~I<
                                           C1 3t4~5
                                           olor.o'56
                                                                                       ~~                 fc&L       ~ ~~~~~.
       ~l        2-              ~lb      -o) ()gb~Q,
       ~
                -.3
                " ....
                                ~18
                          n+~ f()"~
                                          _ 0,1 9!5()S
                                                                                     ~lltJ.
                                                                                       .3            . l:o
                                                                                                           1l; . .o         tI.) t   L1 l:<-)+ l ~("-)~ l,l"-J+ l

                                                                                                ~.ht.);; lv(~h I..:Ül-)~ L2.l!t.)-I:- L-:)t'!.) +1--4 üc.)
                                                                                                :3
                                                                                                'P.(.il..3)",~l"l)':;)+ -.:t~';lI;),.'L<..(lt3)~ .. ·T t..,le,:
                                                                                                .3

                                                                                                 7I!.._   ~i.          ~- ~z.           CL- "::(3

                                                                         ..o b,,~)=        (, it3-       ~.J ... ) <'2.,3- ;{í")    l..</':J-     ;(,~) ·~(2-,O)~
                                                                                            ~ :t,O _ ~.J..q)  '-,O - :tI &) L '2...;0-             "ZJ'6 )




                                                                     L2.(;l.,3)=~
                                                                     L~L.l,3): ~

                                                                           f,b():;: Lol~)+ l.d~)+ l2.l:l.)+ l3t~J-=                                 O}088oto

                          ~ "" ~~ o.~ ,,~~ o ,?aQ;. ...},,,.,..o ,~~c~                      I                                                                      dI
                          ~~ ~ ~~~ ~h ~ ~o~
                            ~          t{~)
                                        ... _ " " " " " " ­

                                        -1.1           ~~
~b              IQ
                      
                        -a                             ~)((!.. 
ai..            :i        --{           5
~?              '2          i           o,::t 5         {("~~ )
                                                                   '0 lI'-    ~
                                                                                • <t- lU) l 01.-- ;t.., )                  ~ l "o) : Clt. -l~ iJt" -1.1        .(! l-2
                                                                                  ~-~i) l ~=' !t~) ·~t~·        .     •

                                                                                                                                       l-ê-(:..jJ1t~2-1.1


                                                                   :::
                                                                            L~-t-l ) l~-d. )                         (-tL)
lt> tlt..)...        . l:...- ~.!J l       ~z.) .. ' ( t$..- ~'V
                                          Y...-                                 )


                        c'C.-o- (f.d(         ~ ·-l/..4 ) . ' . (~O" ?f~)




    li.~)         :.    (!...:J.   + 4~+d.
     L2.L't-)::        .(




              :: l1t.Q.+,c. ) ..d 4-1.-' + ~

~l~»- l-ê... 40IJ




'I                        1
        ~ '-~)"              _" ,0 4       J~     ?J:...a _   Q) .(..S«..   + 'S)'3~&4
)~~)
~~                        )




                  .,          ~
                  o           to
                  1       ~i
                  2. 	        'i<.
                  3       tt3
                  4       "'t4:
                  S           'f.5




                                                                    do ~            r(   o          ~", QN-..~
                                     ~"IlA         O~.~
 eJbSe 	                Oó
                                                                                                    Q/)CfJ.M.~
                                           C1...   tõ.-~ ~         de ~~.          ~~~~
     /"':ie 	   dN'b          ;~
                                                                                                     ~'       ~
     Se         Of:)            ~    - -       ­   ~~,       rvo....<io.. .   to     ~       ....          I




      St                ~             ~·l ~~~                &u<Jllr'-.~
~~/9!                                             CJõl~o            JAJ..~~<U). 

                         ~,~~ n~k 
                                                                                   1
                                        (J.                              j                                           A'ji       Kji
                                                                                                                    -.(/~h~
                   ,f.. i),S    L ~55                                                                                2)~~
                                                                                                                               "'f,ebOS­
~~              < ri.   0, f   t ..1,60
                                                                                     o,IU!3

   ~-ik                            l1b5
                                                                                   _oIS"'H~         i,bo02
~() f AQJ.                                                                         _ ,,02811
                                    ~It-O
  t~f<IIW" 

                                                                   .0)133+
                                    ~,'t5 

                                    l,€O              ,<40'6 '3




                   ~~cJ"Q;.ckÀ. «J", ~ ~',                                                     "O(..l..             .....   ~        'l.'''",   o,J.M    B'>rQ.~
                    ~,,-, ~ ~ ~~ ~~
                                                                               ( ~~,l~




                                                                                                                                                          lt4'f ,6.:.~) ··-Ii )
                                                                                                          [lt-W)ã:t"t.i, Xi]
                   i~~ .                                                     '( "'i-+i       ~1
                                                Cf.      .{~ )                          I
                                                                                                                                                               ~-j)A-6-Dlc
                                                                              l13-o) Jtl-o):4              (,,~ -4) I('?J-o . : f)
                                                                   'jo                                                               ( l.q-~O) ,{ .b- '2.}:
            ~4~t                      O                                                                    l.c,- J~) Its- 2)':~
                                  ~i~Z                                       l ~':t-'Ô) Il'3-Z)=   rg
                                            2                       ~I                                     ('t_4~)/ {b-3):H           ­
                               ftl~ 1   t                                    l 2S - 2.":f) le 5-~:: 49
                                                                   'lz
                                            3                                (1'" _~ e~),f,,- s) :;,
                                                             iL9    ~}
                                            5
                                            b               :0& jlt
ió,,~ ~ r~~"""o<>                                              i~~Ü..... clt JzwJ.,~ c/ J~~~                                             'Y"
    Q.IN.~     )J..6~.

                     Vt"J. )'+ ~o) Ajo" (l( -.;'.,)(1{- '(J) A) f' -+ ... -lo (lt.-lld( /t- 'I..J                                   JQ
                                                                                                                                   b.
                                                ç"                    :d R<                                          'h! ~~
I

                                           i.        :3
       t4.;    ~     j~       b 'I,    !ryl 1>. 'li
       ~o      O . 10';       S        O        -~~
        tll.   to     151     5 -u               -
        1tz.   W     :lo 1~ .... ~     -         -
        ~,
               3J    ~ ~1     - - -




                     - to,           5~
                                                          a(   1..-   ~o) ( ~ .... <.:0)

                                      to                              6>1. .@OO;


                                                                                  ct l~- ·w)(~- 'lo) = 

                                                                             l (J....
                                                                                    2 ._   ~o il:-)( IX: - <o) ~   r _().L~_(2.0~ - z.CKJx) 





                    ~l~) :- jo-t l&A.ol [~!) lÍol + (t--~)(lI--~) t",.t) I! t, a:" J+ '. T
                      l>t-1lo)C lí.-,yJ" l <1.- ~-,i. L 1e...... , )('-2;'4 ,to J
                                                                              )




N
@
,~~~:
               ri..         Rt...)        (ll~J.   I   l(t   J   [~+1.1l{~ 'f'f)'l,J   [ 'i. i i- 3,   ~ lii!   I
                                                                                                                Cli +:1. •   1(1'J
        ~""   ~,~     "" 	 J.,30           0)(,                  ~<                    o, U'1
        '14   1,0     'I'    tI 4.9 	      0,1-                   o, :)33 

        l{1
              l/O     1,     "<-I b.2 
    0,8


        J.)   ~d.     'h      2..1-0
~~&&~~ .. ~~:-~~:;
                                                                                                                    J..o     f ',00      'Y'N5->$Á. ~   -e

                   ~h         dLo~                ~IQ.O
        o                                          ,..                            ;..~   ,                .~ ~)
                                                                                                       ... 1   .:




                                                  5 01l.~                 '5     2.5                  '1
                   7t   l~)


",,#'
   .~
             -     ') l~)                                ()               Is      Ul                    -~




                                                                       ~
                                                         J>Q )l       A~~
                   ~    'j~           ~Ji
                                                          o           -~
              O           lO           G                 _,:2
 ~
        1° (
                         15            ~
             lO
        " ( ~O          'LO          -:,.
            Iv (   30     ~
                                                                                    l ~_o)( "'$--lO)                       )(0
                                                                                                                                 + (~_-o)(~ - fJ) ( <l. -zJ ,(-tê?)
                                                                                                                                     ():
                                                                ('te- O),5 +                                                            3~ lÓ
                                                                                                                                                 s
        ~~Jo;                        y~)     ..      Ot-                                ----T
                                                                                                 2.!       'O
                                                                 lo



                                                                                600 0




                                 
                               f lt1--) ::




                                                                ~)~                              OJ
                                                                   ~l' l-O,gO JZ5)"7 o
                                                                 YYJÕ,.~'l'fM  '20 '8       I

                                                                                                 Lv      ~'l. ~ e.


                                                                                                        Yt'!J:.              - --­
                                                                                                       Pl2..o/~):                 '2-0, o~~   M'IJ
,
~      de        "l",~ro..:2> à"                 Jvv--o.   "VQ.,<.á/BI.


~€()'N~"t ~~: l'o~:lt.) <k
~
        to..                    "'..   ó..'-<bC)..
                                       o.<>      ww
                                                     •   .10 2!. """,,{co wrM...J.o.l óõ
                                                                 .
                  o...




        ~J~~r J~
             %,/, 7,f$;
,
                                                                                         ,"


      J~Q bÓh,Qü doo o.~t-o do. "uh~.."
                  ~.. Jf[í-1L~  ~ ·
                        o
                                        4'   J{
                                             o
                                                 1-';;  J.




                                                      c       !


                                                  ~)~~~            ~~w.
                                                          ~~

                  C...fffiFCJ~ 1>f5 "lN~GRMS                   (rm 1~)
                               }~ l)tt:a~<b 

                                             2) t'(YO.~ - ~Ik.k,

                  'tóMIo._h~
                               ~
                              I~)~' ~l ~+~(l;.1-t+. ...~-.)+ f" J
                                             "mi.odc .<i~        1lQW~,) _ eo.es )



                                                                              - "2..




r--          ..
      ~~_ ~ ~.~              . ..
                              ~~~   -~-_._-         -_...
~~ .~OjJro.
                                       ~~«. C'J~ J3<.,,-).t                                    Q.oIYY'I Q.;::Q2

                                                                                                        ~:- O)!
       <rt       l                                                         .1'9
                                                                                                       ~~JJ
    t ~}3        3,4ll-l- 3 ~
l>Ii
                 3) 1-6~                                                                               ~
.,J.{ 2,0
       2,1 
 4,      1443l
       2.,íZ!    ') 56i9~

       :11   ~    õ)03"4a~

                                             ;:;   O,~ ~ ~41H ~~.3+ 2«              4,)4    '~ ~ ~1Y3~'22): ~

                                          @~ ilb"""':?'S~ 


                                           ~) ~              ~::O,.::I.
                                                   T,-=      O.l.!    (t,t~(e..~<+.('J+.f;)
                                                                 2­

                                                   't- ~ 0IOS t3i~';:ut '2.l3)::J~21't"1JK"3*~,$1-
                                                    '- $') ()',31-ZZ :.   t) 6':J.o ~ '9

                                                   ~4cC 

                                ~T ~ o) 5'1.'3-=J· ô<
I, __ . 	
                                                   •
     <}P:        eo.oo         O   '~' NO-.la~)
            e      ~ ~'OJ.Q..             ?!.t ~~(,{)
            o: ~~~                   jt.

                  -EJ..l.o 	 ele.   ~IV~                          

                                                  "í ""         ~ (~- 1(.,).                              t'N><   .e.~l /"L~ [ lo, It.J 

                                                                    ~




                                       ~I'{YJ..~ d~ Ç)vvv~~OIY
                                         ~  ~-t 4 (~i.Tf3 t.t?s ~"-.i.).. (~+~                        -t •. -        :l.            -t --- ..   -l.)+ fl"      J
                                           1;'1.) -k                    1	   _	                   -f   o.+~óJ, ~                      W>    liAt~~ ~~
                                            ~9

                           )o1'N     ~:;'Od.,     lA.b(),M,<1                    o..     ~ó~~ ck ~VM.~~u-n.

                                                 1.5'           o,~          [         f"t 4 (~!.... fJI- h.~ ~~            J

                                               ;:: 1.,b666 

                            Gl~ ~ I :l}- "Cf) ; Qlco $'tt ~ 1
                                f0C   	                     4od·
                                                                                  vl     1- (.

                                                                                          o



          ~~, ~~ Jt~kt) ~ ~ ié"rI<U~.k ~+ ~ ~
                               ~, ~ -1.J,.L~~ J.~ ÓJY.~"o.~OO. ~Jo.
                                            -
                                                                                                                                                    "-=   Y!   Jt.

                                 ~i210tl· 	                                                                                            ­
          '.~--+-'.J-.(-='1l.._~_~ 	
                     ~
                                                       't'-;   a       ='"              ~: ~-f;;. 0,5
                                                                                              a
                                                                                                                      -?         T~:: ~.e.t4~+~ 1
                                                                                                                                      ~ C
                                                                                                                                             V


                       t	                                                                                            Ts     =-   ~ r0+     l.,432=t906+   ~J3~4'"
     (,     i,5
                                                                                                                                 ~   L                            ~
                                                                                                                     T.s :       o,b36 51 .U l­
<
                      1.~
                                     ~.
               g,
't.o   "O
1..1   1, U5   ~
~      ,5      ~
 '-1   ~1,5    ..Ç)
 ~     '4,0     ~1
                                                               ':(
                                                                      .e-
                                                                            4.   ~.~       jley
                                          t~
                                          Yfúl.~
                                                   ~
                                                        clt   ~l


                                 Q~
                                          ~~-~ ).
                                                    ~  tl~) I
               E,.-     <
                       ......
                                 ta:>
                                                              '(L    lS   t~     1 (()




                           .    ,­
Qci9eu.Qo JU%~" 
                                                                (
                                         ~.         " GlÇ,.): .   t;, ~~. "l çl."                  . . f',,_< )..'",1   

                                                                   1.

                                              _to   l" ~ ~ ) .;    1 '"~-' '""      .s:... ~ ~. ..
                                "'-=i                        ;t     a.                  'Z    ;'.;::1
                                                                        . . __ . . ,.._ .. _P' - - - --#" ....




                               ------­               .
                 _ ~,-5 __OI'p°!Ll96 - -
                    1. a~        °ll~.~ ~'2.9
                       tlTS     <), ~T9 3t3
      _---""                  ~              .kt
         ~lL), ~            t   o'" I, '?l6(;      '>.'3·1




     Q/ 	 i, tlS         O, ,~'2.50'
(.                       ÚI   .o(3~~
         l  3'tS
                         o,   ~9SQ
       (V~~S
                            !.r=JfI 61-.1
      e. 	  I '6~ 5
i,~
                  't.;
                               olbbll:    4-'4
                                                                                                                    J
                                                                                                                    .' " '4


     1, 8-:ts       ­         OI CQj)4

                               O,   ~5(; ~t
                                           0"2..1
                                              3
     i,:H.l..1                             6f+
                               'O,SQ)
     i J «3"iS                      O)6~ 32.3
     1., ~í)5
                                    01~     S81
     1.,&815
                                     t, o"',) ~06
     1..1~l'Z-S
                                     ~ ~8-1 45.'}
     i,~.5


                                                                       4'f(,~,)_1f '~o)-:. 4flv,s)- 1"(f)
                                                                                           .-          _    .::.. o,63!S/f
                                                                                                 3




                                          í '( {" = 7' (o, ns) :::




                                                                             [1
                                                        3
                                     l~             --r
     J                                                                       LI
                                                      /'r
~P     -tF                           H                                       f!I

      O,~SP4                         rt
                               _ -o, 6::6 2-95
                                                      "
                                                      /I                     fF
      O, 6::6 3Q.9       --­
                                                     0,636 ~~
                                                                            JJ
                                    O,6~ Dt~
     O}6?h~5                                                                o/~bQ.J5
                                                     O)     636 29.5
     O, b3h Mj5                     O, roJ6 2'5
.,.   ~) {at~             o

        ~~         ~~.cl.o




                              o           -., 1   f""'" 3".!(1'   c., ""'­




           ~.
                   .u~ ,
                                              ~Io..~    fI        J~
         1....'~    '3, 4 t~"':-3
          1"O       3 1 :).6      :2.~O

          l,i       ~) t4 «31

          :L:(.    4, 5fo:J. ~I

          ~,7>       5,   O3 ': 'l:z.
"li                ~i i                       b.~i i                                                                 1
..
     'o)
             1.~
                    ~l
                         3)4IT~3        °1~4~                     o,03T 6Cf
                                                                                                                                            ~   ,
           ~IO                         0,36:2 11                 o) 04 14 '
                                       O) "':1,360               O,04$tf
           ~d
                                       0)'4 6831
                                                                  li
           :1..;1           )S6~1
                                             fi                   11.
                           S,O~=t'21
           ~I~
                                                                                                                    _Z
                                                                                                          'S.23~.   '0
                                                            ~r2                   )     q04S'~l:-    o)

                                                  t       <: _ (        ~3- .)~.         .
                                                      T   -
                                                            Z




                                                                                          ~~~                            Q,Of~~"

                                                                        ~
                                                                                                           CONY.

                                                                                        ~.          ~'WNV:>



                                                                                                                         ~O»
                                                                                                                         h:O, "l.S
                                                                                                                         "-= <J, rZ   CO;



                                                                          i
                                                                                  1 25

                                                                                      t,~S


                                                                                      li 3-=t-5


                                                                              O        ,5
                                                                                      t, b:L~
t'Q..NO.. ~;; ~) n:;;
                  11- ~lL Ali.
                     ~

                                      ~~ c.;',,~    ck.
                                                           S.l'fV'.ro,"t

                                                           'b..)JO   J..e.    c.o..J.Q.
                                                                                                        1-) h-:; 8

                                                                                                  -u.~~ ~_.
                   a~       -l-I)'..i~qru.., ~~~    o



                                                                                          co·.......




1~5       Q   4
              1t
                  ...,l.,   dt
_   0.

~ ~~          J
              o     ~
                         <i"-    J~
. "-­
  0                             -1
              ÇiT       ~      l)
                                                        ,I
                                                                                        -cf
                                                   .çL~)
               ~It       h-o). ~"                                   I <-               to
               -'
               z..                                          ~               -.1....2
                                                             ~Y...~:;   i
@            A       ~'J~~~ j~ ~~.




(Ç)           ~        .~  i·.14            E;T
                                                                 €o: VV'f $""                ti,.
                         ~.~~.
             0.1.       :A, ~"&           O,Oql.i          -21~"'3                        0)0'8<2
                                                                 2., j:;~3                   c.1J)O.2
      Ol1@
                                                                 ~ '3'1~'                       )oooJ.
             ()ts       '2., 38<31:>




                                                  E,              <' tó 5




                             r í!(")    T   b..J 1~...)
       '2. O, ~2               -#       7il            #­
       { ú/6b3t;              o,b~"     íF             ..
                              (),b~"t;5 0"2.1-4        pc.
      OI S     Ú/tJI,,,
  «), iIS      í!J/tJ a3{.    o,ií1"9 O/b.2'l:  O~ t"t3
                                                 :
. ~/iV9.i.            •



S,u.<1õ..o        Nu.mé,",CQ.·          à~ ~u.()lGOO ~~~"'s'Q.':)•
                                          •
        ?t,.,                        ~
íOt:   e j -+          -=t1f.~ =    ~4--!               ......   ~   . .ti    "'~ o~
        ,
       'j   ~ ~-ti                                      ......   ~l '*f. ~~ o~diJW.
       d..~'::l   -T     3d"        -    l1J   =;   o   -+       Q.l l . f.    2.:' Q~~
       ~                     d?t.




                             ..





            •




                                                         de      ~ ~<k~~ t~~. 

                                                         ... .~                       LMt~Q..U).
•




t

                                               •
                                             (-1..:-	 ~.{: ( ~,'j V )       . ~: .

                                             {~ = 	~ ~ (it..'-t~ ) , jn+V~ .,.
                                               ti




                                                        ~:

    "o
    o
      1l.   ~
            a
     Ol~ 1,66
                ...
                ('1­


                  ;..
                             (, 	
                            <c:.d>
                                     jl ;   jo ~ (-1.-t~
                                                    a
                                                                 '(1::0tO,2)!



                                                                 ~       (1   ~
                                                                                   :: 0/';0,4 



                                                                                   O, ~
                                                                                           .,...-
                                                                                          ~ (o, t)
                                                                                                     I
                                                                                                      0ldt' l 0,1.',0,


                                                                                                    ~ =-   l(-i
                                                                                                                          i!




                                                                         <:l = O, a "l-z) :: -0,4
     Ó/~                                                                                             l-OA')
                                                             ~          ~~ ~ o.-a ~ ( o--o,c.· J a."1J9!I
                                                                         	
     D/h
                                                                         (l::     o. g. .~t.(), a. ) ~ 
     0,8                                                                 K'l.= O,~ • ~-t)<) :; -o~·{:e ,?, 2.       "l

     3.,0               .             ji = ~- ~O,4) ~           (-0,'28) :::- 1..66
                                                            a.




                                                                               •
                                                                                                       .t 	
                                                                                                                               •
.. .. 

                 Um                      cert,o 

.;;("n.<..r .ü{                   t~OOO m.i;~J )l:H~r-a Sf.l~ rf3;.:h:~ dP.i c.inco ~n~r:.lE':r.'l,"l'n~c.a·do:s e.'Sp,"l.b.....d::i. 

l~':!.L3I        cidi;ar:f'"                   d,.~'             ·,;:'<l.);,:-t~) Al~Ç.I1~~~..                 <k.l   ,~do   !f~is   eçt'Ji'JiJ'.úllicü   possJ>vel.   Of,;! 





lr~;r::f!'Ssi. da.de

di   ~".~' 1 étmi')n"t,a?                             do           qt~           ()"J't·,rc        i



                 (H'd!;' CC;''1!:;;n;.d.Y                                        o         depv6s1t.o cantl'al?




  !.~AT;~~ X:,~                                "
                                                                   ~;/)        ./j{l'{}     ~JOú, (~i
                                  .,,?J .,
            .,
  ;':T ;         .~"    L,                                         ':':'~t     {~Ú!(~       i(}tj:(1'~      (/'ú
            ",                          "      .,' :r'f!~
  :~~'r          'li..             "J";.••
                                  ,:'_ ...                       w:t ~;~     '}t'JI.~.    f)i(H;I"        {}{~
                                  ; ,~~)!             ,.J               é,     D{):t~       'i),t~{~~ :   (ti)
  .. "                 ~.,   ·t   í.~~:t;;    ':..    :t"'~i;     .'   i':!   ~::C·t}      fli!)({ ;..i~)
~~ f)     I   Qo   e. G..í   I   o   f("('QJN;)




                                  o~      =0

                                  ~~

      COf
      ---=          ~
                           i      (00+Q1 ~L- 'j~)
      ~
      c,.e          ~ ~           lQ,,+   ctL~'- j' ).     2(,
       )ClJ -             L::O



    .Q1~           o J)l,o~ .
e
                                                                         eu    J ;;Ej i = Z",," +Q.i :
       j     :l.    l~ ( ~+ Q.L<l, - jd= o
             ~          ~o (l:odt L IC,- ::/,). ~          =o
               ~ (.: jc = i:Q"~i
       )     (n.H)c' +             Qi    2'   Ui:       Z:Ji 

       l     0. 0       ~ 'lí l   +    Q.i   ~:      <   ;t!li:1'
    .~-~-
2.j~ ~   (YL+.{.),-t QL     ~[+ Q, ZlliJ
z ~,}~     Qo Z1Í.(+       Qi'i~?.+Qe z.~'3

-Z   ~~jt.; <lo '2.~+       0I.   ~c((')+ Q~~~1

Calculo numerico 1991

  • 1.
    ... , ,R:e. CMQ, E. '" a~~,ífA'D )E, ,,~·..t~{).J'I~,~ 'OlEH TIHs.,. " .. .. , " ..: !I"", j~ • ;', ..', . . ' . : " . " " r: " , L :, ,--W;C:$ . , PE.E.'ft~ ." G..oM..PjT#ClO!Jf:.2I., " '"
  • 2.
    , I , , T . ,~ ,
  • 3.
  • 4.
    3,0 3, 4 b ~,o! 1-' -~ 0 ---~---------- .-- ~~~.- ----- --~
  • 5.
    . C<i~Q.u.)o J~,"00· bl~ . ~i.~. . (~~. de ,') ~~ ) 4? . e.' 'OC.=- • b I Q~ . <&-; . ~ c#1 . )81 .. . .~;,~::.:.::: , .~~: ~~ ~<I ",~~ a.:~~ ?" . . :~ ~ 0I. ~J. d2 C!•. J t ..ft~) 'J)€TS.~ l.. ~ ::~. 'J>~. c.~~~J.~~.' ... CN.b& .~•.. '" .~ <~",ç"" o 'Xi, i ~ ~ ,~; , ,..('!(:;) '3>G$e ~I~~)= s,d. .9- '0. 'J1.l ~e,~1N.d.o ~ .3 ~1 ~~) j)Ase., ~)t:(3)~·'h ~3 7.,,3 . . , '. ·9 . ~,~ ~, ",~rN.l'fW1 !n. 'O
  • 6.
    ~~ 1J ~ ;, 51~ ~NQo (5) o.9,~lll"'iYK1!l -1(. e ::
  • 7.
    ~~ 1J ~ é: 5,'5 Qi..NQo C5) ~I,}C'('('K)~ -1t.. e ::
  • 8.
    '. . ., ,; • /I ;, a li " '" '; ,'o , 'fWv'fII;Í').,iC-'Q.. ~,~~, , , Y.Qo" .l~" ...~.... A~~~ ... e.... ~~. - ..... _~_ .. ~ "-"-­
  • 9.
    -Se:: / . I b 3_Su~rrk te~' l'l~ ~,J:2NU.OD ~ (0., ,1 e o I)i~ f) é CO~~ .eJv..A Cq, 'h 1, Il~ ê} f é WOV.OtvVA (0.) 'oJ. QAN _ Se -Rta.) -M' t.» < o -::.r>3 UfNO. ..tltniCQ ~ ~ 'YQl)'t.l~<V~. _Se -(Q);I( -Çt'o) ':>0 =]>0 ~ ~~~ ~~ l~~' ~""'''''''' oó~..Joo 4~ oo~ ~ ~ .!o,., ~G~ D 3 0.Jo ~-Q:::-"CO Coi'M ~ ~ bo(}O ~.QCo 1)- -t ít.) ~ «; - fWM. t. 1" <-..l ~3 _ /:fJM)L =o
  • 10.
    . , ~ I' .l-) t k" ) --~~----~-_ ........- .. ~
  • 11.
    ?O/'}~~CQ. C?o!W fWJ· ~:: ~ , -.' ~'Je. ~- ~ S'1..,b~=.! G'~",1'·. 7?' Q
  • 12.
    1':."1(51- ~ ~"'-<b, ~,~9Õp, ~ "~'ô?e i ~ .... ~ ~o~ ~ I ,~'(,& ( &...., ~"'> L -lol~-t~ ( }-l+1 i,;", ~~ )] ,. JÍJm~ ~~?4'. . . .Q-i!- i634~--.~. =,0 ' ~ ':= ~ ....... ,~~u ....... '. ,~3çlt~ cJ..~~fQ ... (~ ;1!'t.lC.J.o o. ~ . :;::, ii,,, = 1P.li::.. '3 t <l ~ 59 e ..... ., . ~o~ '3 .Q .. J . , , , .. , " , "t:>&~ . 'f, ~~ ), . ,2ft = '3 i,4!.5';3J" 7$..iL:: ~1 ~ . ~. ~.3~ ... , .. , . ·~1 = , . ,,,.,,.,.,, 1.1'" . . .. """"" ,....,,,,, @, '. b . "tfl,~.. ,?,':'~'~" ~,~ , Q. :: , ~I,":ca ~'é3, 3>~SE e) 1..1 e- .'" :. " : , @~V ~l ~y=,", ,Ih~~ ~ ~~. -, ,,'»Jl, ." ,~ ,l~ .. .' @ ~~0Il 4 ' ~.~~-< • '. 'k.-- ~J ~.~ f . @j3~ecç~Q/J . ~_ &2. ~M:l.-~':; 3 :3:>l&8t ~4, .
  • 13.
    -- ,,--'---~
  • 14.
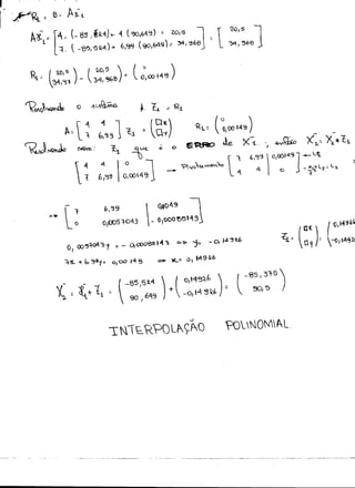
    @)~0~t t~~'A~é~' ~'~)' 'r =: . -.3 . ~ ~9 ':i 3 ] ~~ ~~1~ =::. ,~E:- L-'l.,;-,t.J . .. t 6,-~'1' 'R:t €,t-1.,o) ~..~~J 'RQG l~·,~1
  • 15.
    ~ e. [- ~', -1.) *o~-~ ~t:: ~ - .fl<fo~ ;:: ~)(ct) _ .çl'l~..) _ <f,i;: -~) b66 ~b6 ':f. -- ~'t~) - - i.So=t 8 G" H4 ~kc ~Er6(2; ". e ~~Ci}...J o ~' do.. ~ e.. o <:t ~"'ioJ V'VQ... -{Q,,~ dJ:> t> ~SE e. ~ ":7 e
  • 16.
    ------"SI'.Q4~----------.-.-~----~~-~~.rz;c::J-"---.----.-------- -- --~--- . ... ' ----------------------------- ------------------------------------------------- ·_::.~~ ___ .í.~Óg-~-~--~a-.-A..-.--~~~.J---.-----.-- . -.---.--------------.------­ ======-·------~==~~====~=:r=~~=~=fu~~~~=-=~=~~l _~~}.",... ___~ ____Q.'!,. __ .I_C!l__ .!..I:_2J__ l.!A..._.LT:_.!_LI_'!.~--~y.o---~~.1.i.~_ -'ii::-~-------·------------·---------T------·-----·-·-----------.-.----------.-----.- _______________________.____ ~-~-L-Q--~--.k--~~--~-~~-.4.. __ =~~==~=:==========~=::==~=~~=~~=:====~==~=~~=~=~= ---------------_._---- ...~-----------------------------._------------------------_.- :.r, -4 ..:1.... __________________.__ _ ----gltl.--{J.f-l...ft..--.rtJ-t-.2Jt~=_9~_:.ê__________________ ____ .______.___________ ~------.~--------------.--.:r.. _a.... 0-----------------.-----..­ _________._~.:!-l:---:.-:?S..:~±- . ~,::±-~---~-.------------ _0_.... _~_ ------.-------.-------ee..ll$~~~~~~:..~~----------·- _._-_._--------­ --------- ..... ---------_._---"""""---_._------------------------ ----_ .... _--~--_ .... ----:tYA.i~--~--~6!?:â--ÇQ~--~--'llC.l--- ... ---.----------------.­ ===========~~=~==~~~================================================= ----------- . . --------------------------------k-----'"'*-:t-·-----.....--....--------------.-.-.-. CL-l= Q ~ 1- Q. 1t... '1' ... ==~==·b'~==~==K==iZ~~~-=~~~:~~=~;~===~===~=p;:(~~= -.fL~--~---~--I:Io.~---------------------------------------------- =================~===~l~==~-==~~~=;~~=;============~~=~~l~;i=~========== . . ______________________.__.______t ____t ___ ±_..:t__._____...____ ~:.:j!...L_2.M __L:_-4E------.--.-­ -----------.__.. . _blM>A-___ ._1?QO~_._._5E: __ &.F1~~--A-.--QU2."I~~--~~. . -~z.es...-t.-.----- ---------------.;r---------.........-----.--------.. . ----------------------.. . ---------------­ -------~:---lf,.-.:::-~:-':----------~êL~-~-J..-~-I-j~"f'-W __________________________.________._~)q ... --EX1.~Ie:--Rh..(zes..----~_'el:..fJ!.M ___________ ------_._----~-~~-------~-_. ... __ _--_._---------------_ ------_.--_.-----------­ ..... ______.ft:LJ.. _ .:~ _:_~:t_ª1&=_'_________.______ .:;.!... _____ .____.__ .___...__ ._ .._______________._____ _ _______ ... _____ :I.._._3__.L ____________.___ ..____~~.ts. __~~_~.~_~4~lt~..;;r-...Â.-IL'?.-~----- ______________í ___ ~ __f2. ________.__._______ ._~~~,..:.~-5-.--_._____"'ll).. ·.otl-~~I"'" ~-""- s ) .3 ~ =J!.~ ~:..:,i~~â _________ _ __ -------------Jt.--dJ--_~ ____________.______________________________________._______ _ ======~~~=~=~==~===~==~~===~~~=========== ------.---------.----.. --__.__ ._Ç,9Ib___Qe__ .f"UJ1WQ.'!Q......____ -.---,{--------ai·-·--·---------­ -------.----------.-... -----~. _-----:---r--~rt--t~-e. +-; t~t-'r ------------­ ------------------jJl..l----~·-~--t--1--~"- -J-~--o.~-~--i--<3.:h-·-t--------------- ------------------------------_._---~--------~-------------------------------- --------~----~----k._i.;---~~-!--~=e----:t--.::.:--~~1(.-t~----.-----------
  • 17.
    1f ~ + a:? - t4 J..2 -+ 2..4~ - ~C).:'" 1unl-: O:). fIt ,')( t-/4) 11. ­ ,- t4 ~ O}(.2"':: o 2.4. ~ < - i) . (- lO) -" 140 -+ ~ ~od..L ~ ~~'f'('(I.IOl. ~O~ Q ':á. &. 4­ Qh.- 1 ~ .:1 °o=fõ àCI l 'tQ.'f ~ O- ~ ~ ,l ~ l , ~ I ,~ I ~ I~ li 3 1/ 1 ~= -~-4 0...1: ~1 00 :-10 'LI "- :L ti ~ I }I -Ti/~) IS~ [V3) ltl 11) mM. lC.1 ~ ».l'NMC O) .J:í1I) ~,~- la 7 ~ ~, s. ~~ o) 3 J T"t1 2/ae> !,r+ J et:. ~ :Q .. 3J :t4 .> 1,-48 ~ ~ +-/~8 -l-I 4'ô .:s:. ~ ~ +J -' S .::: to­ ~(?Í~: ~(lt) = ~-f - â~3-+ '3 J 3T ((.:t. _ i~68 L + O. 3f 36
  • 18.
    (3~: ~.~~~ ~!z + ~: ~i + ~J / 3 ~ ~ A IV~: ifJ , la ~ -I- -t I"i + l:tl] o~ l,.~ !,10891!5~ ~ 1/3 t~~3"1I~: ~+1~ l~ +l~~ c~ ~~~~~ (j3~~; ~l'333"t'ô4~.:4a 3) fl.44 8ge ~99 ~) Q..,e>5~ -fae , ftn.:; 3) :a44 ti--J. ~:t8 PROCERGS
  • 19.
    - ) rt~) :: ~ ; --i ~J. .:: -O,':-5 t.~ "" - 0,1- 3 i.. ­ ~;3 o ;ti; ~llbe5 4- 2.,1-3Z'B ~3 '" ~,1-3'2..' ( if4 :; 2. -=t3~ {J --~~._--- ---- ----_.~._~---_ .... _------ ---~
  • 20.
    r.~~J,j~8L I '1~, <lu ~L -+ 0., i '!J + .,. a.,VCf", =,J .~ ) ~~( ~l t o.~2. 2t1. Í' •.• o.'L~1..",::; n-a ~'t;f.~ ... Q~4,.. . .. ~" ; lo"
  • 21.
    _ Q.. o ~ k ~" NCl..~l' o.~"-nO.d-~ ào.. ~.. 3<>" J:"Il;;-, d.o.. ",.'~ Q12""""'::; , =l. ~I 3 ~ . ~~ ~!.~J. -- 0., .,~ "1. -+ Q. 'tf!l : ; b.! l~ QU. t~ l' <lh. 4- o..('?>1t 1 :. b1 - :=. ::: ,,€>X ~u1!>~~o..o ~; I ~,09~:; 6,lt5 ="" 'b-= :l,99 -'Si + e;::f'8}= - ~)6t .::;-~ j.:; 3 / 99 S~ - 5~:r ~ ..::P "(1:...;;r!. %~ 'i~ í !:~] l2-,~9 . ?o'~ão ~d.a "3~~.
  • 22.
    J ~'- {)1<1 ~ 00... "ÕO LU <7 FO: ...,~ ?>. i,'~9 - b. ~;~'3-- -=I • ~19.9 .: ~. Ô ~ - b 'I -+ 1-b" 3 =" c:3f) ) i,~9 ~ =< :,. 9. - s. a.,9 g 1..id6 " St. - 5~:; :3 l 5a. - '6'j +b ~:; - ~ dt. ~COf.d.o :;:;y 5. j,~S _ t3. '3)~<3 e.,o"N. o. Q.oI'('I'.~cio; -- ~. ~)'3~ ::: - 3..~~ "2,Sf, ~~u. ')o- OIO~r/ 3 ~,9" ... O,O tf ri .3 _3) 9 ~ ... o, o'3 f/ - ~ ~?t - foi -- ':tâ- ~ 3 ) ~ - 51>- = 3 L 'õ"- - <Oi + b â ~ -1 1<r - 4j -t'B b- = ~ n . I. '1~ _ 4. 3," ~ .., '6. L.'" -:l , - 0, ·H. ....- """"'.j"" .h 01).0. WoÓD Ói~o / ~ .l)l~llD.o /' {u...<>P / - r eo...... t'''''~ -. -ow. ~ !io~ '"l~~'('O.;IO (v- , Y.-t lJ-) }.",-1~ (i) "o "o 1 i i J'" ' ~ .J t,.b-;.o .. ""~ to.. ~,(,-S" ,,~ d,,- b)J.. '< -;;oe ~ =,J., í;;:'"", <>. ..... 5JJO.» ~ ""EO~ 1.t'QI'JO: t>..LW~"ÍI'IO 'VI' (:,-NJ5S - ~E)EL _ ~~F coe.t.A.':, Ee,~A'Reo&- ~Q. o ~~~: ~! ~l + (.~~~ 4- - . • o.!.~ 't = '0 1 ) Q 'l.. ~, 4: Q~"t~ -+ . .. 0..,..'Y~'" = b -t I ~~ ce . 1 L +0, '" 1t>. ~ .' -. Q. (f" 'l- "'~ ~ b~ ., S~",_J}e -.... ~,~~I>W- o )0. ~<l. rf~' Qht&. NKÀ. ~) '" I'NQ. :
  • 23.
    ) e. 'otj -= Gij i. fj a.~i. -~----~--- -~- -------
  • 24.
    lli. íh.L,o Nl-.1V'I'ilto ~ ~eooLu.qõ.o de. S,::,'e'ffiOS d€. ~UA~ L~(l,. G:~~çío ~ _~Q f.~~,QPt~ , o /:}iJ~~ 1 X- ) ~ ~"-"'1ti!'j'/.Q'lõ..o .'fi.~' ~. ~ ~~"",,<YOJ,. 'fi CO"", <IC =~ +"1.1 tl..~ ~ - ~i
  • 25.
    "t: a : 1 ('~_ ~~ ): A(f; - A.~:: 8- A~ ; ~a "'í>- _ ~ - "i.:l.. + n '7 " A... 3: ~~~". _ Ck~-~ o ~o ~ Je .J<""9!" a. W<.O..~&.õ.o ~. :h~-.,.e "<)'I.~m= do1> >;J.1I,O.NV'll.",~' 'l.-,e. o JJ"tvru,.. ~"" ~ COI'(dl.Qi.O~. 0 ~ .Q~~ <k.e. ~ ~~ e-I ~>-&t~ cq,~ ~~ªA(~ 61~Oj ~~I~i' OlOO'5~~ o,sHc'1) SMS6 0,00'5"':;043 j:: O, Sti-09 j= 5C 1 cA9 ] i ~ f-~5) !=- -65) 5~41 -"> 1 90
  • 26.
    : p/39 0,0051-043 01 oo.,~ '?> 'f = - o, 00065 t 4 ~ ::; o- j= - 0, IA ~ ~ ~'l1. k 6, 9.!j1'" 0100 ~4 9. ~"bt."" o) l49 ~ W.. NOMll.
  • 27.
    ~ttt- ) -:d~(~) afh.O"(!.ÀJ'f{'vO.M~ de .Q1! ) rvv:.
  • 28.
    2- ~ 1 :i tt:o ?fo ?f " .? o .., (; (f= i ~! ~~ t~ i -., ê(i Y - - - t~c ~ al:l iÍ.j Qo f('f(J 00 "lY,1-1- ) f r~ o 0~ k~NIONVÃ.<l ~ ~
  • 29.
    ~lt~} 'L,~) ) "o(Ll" Co"'" 00 ~ ~""~~'~ ,-) ~~ [Jf,j G 'l?", ~~ ) ).;, L:tt) :;. ~ l '(~ ) lL ~ti ~ o ~<)l-.(L ~fj ~ +~ .Lc-t.) ~ o.. 'lt;l'6L);: fi ~ ~''''''''' :.:; o !!=-- ~i ,~ / ) ;I , I!;. - "'-j ..~t.) = 1l'..-~) l~1C:..) 11.- ~"~- / . L .~ _~'-) ll(. -1l-:>.ll )(" _it",) ... (j)t:c·C('" )
  • 30.
    ~~,_~ Q ~~'""~&o ",;~cI.J <1~ ~~. ~ rrr-oJ.,l':. ~~N'6J dt ?J- Z~, - I' .,j~;OOkà"4""" e,3 «l... ~ ~t2" ~':ô '(:(1- o 1 2.,0 ,~I< C1 3t4~5 olor.o'56 ~~ fc&L ~ ~~~~~. ~l 2- ~lb -o) ()gb~Q, ~ -.3 " .... ~18 n+~ f()"~ _ 0,1 9!5()S ~lltJ. .3 . l:o 1l; . .o tI.) t L1 l:<-)+ l ~("-)~ l,l"-J+ l ~.ht.);; lv(~h I..:Ül-)~ L2.l!t.)-I:- L-:)t'!.) +1--4 üc.) :3 'P.(.il..3)",~l"l)':;)+ -.:t~';lI;),.'L<..(lt3)~ .. ·T t..,le,: .3 7I!.._ ~i. ~- ~z. CL- "::(3 ..o b,,~)= (, it3- ~.J ... ) <'2.,3- ;{í") l..</':J- ;(,~) ·~(2-,O)~ ~ :t,O _ ~.J..q) '-,O - :tI &) L '2...;0- "ZJ'6 ) L2.(;l.,3)=~ L~L.l,3): ~ f,b():;: Lol~)+ l.d~)+ l2.l:l.)+ l3t~J-= O}088oto ~ "" ~~ o.~ ,,~~ o ,?aQ;. ...},,,.,..o ,~~c~ I dI ~~ ~ ~~~ ~h ~ ~o~ ~ t{~) ... _ " " " " " " ­ -1.1 ~~ ~b IQ -a ~)((!.. ai.. :i --{ 5 ~? '2 i o,::t 5 {("~~ ) '0 lI'- ~ • <t- lU) l 01.-- ;t.., ) ~ l "o) : Clt. -l~ iJt" -1.1 .(! l-2 ~-~i) l ~=' !t~) ·~t~· . • l-ê-(:..jJ1t~2-1.1 ::: L~-t-l ) l~-d. ) (-tL)
  • 31.
    lt> tlt..)... . l:...- ~.!J l ~z.) .. ' ( t$..- ~'V Y...- ) c'C.-o- (f.d( ~ ·-l/..4 ) . ' . (~O" ?f~) li.~) :. (!...:J. + 4~+d. L2.L't-):: .( :: l1t.Q.+,c. ) ..d 4-1.-' + ~ ~l~»- l-ê... 40IJ 'I 1 ~ '-~)" _" ,0 4 J~ ?J:...a _ Q) .(..S«.. + 'S)'3~&4
  • 32.
    )~~) ~~ ) ., ~ o to 1 ~i 2. 'i<. 3 tt3 4 "'t4: S 'f.5 do ~ r( o ~", QN-..~ ~"IlA O~.~ eJbSe Oó Q/)CfJ.M.~ C1... tõ.-~ ~ de ~~. ~~~~ /"':ie dN'b ;~ ~' ~ Se Of:) ~ - - ­ ~~, rvo....<io.. . to ~ .... I St ~ ~·l ~~~ &u<Jllr'-.~
  • 33.
    ~~/9! CJõl~o JAJ..~~<U). ~,~~ n~k 1 (J. j A'ji Kji -.(/~h~ ,f.. i),S L ~55 2)~~ "'f,ebOS­ ~~ < ri. 0, f t ..1,60 o,IU!3 ~-ik l1b5 _oIS"'H~ i,bo02 ~() f AQJ. _ ,,02811 ~It-O t~f<IIW" .0)133+ ~,'t5 l,€O ,<40'6 '3 ~~cJ"Q;.ckÀ. «J", ~ ~', "O(..l.. ..... ~ 'l.'''", o,J.M B'>rQ.~ ~,,-, ~ ~ ~~ ~~ ( ~~,l~ lt4'f ,6.:.~) ··-Ii ) [lt-W)ã:t"t.i, Xi] i~~ . '( "'i-+i ~1 Cf. .{~ ) I ~-j)A-6-Dlc l13-o) Jtl-o):4 (,,~ -4) I('?J-o . : f) 'jo ( l.q-~O) ,{ .b- '2.}: ~4~t O l.c,- J~) Its- 2)':~ ~i~Z l ~':t-'Ô) Il'3-Z)= rg 2 ~I ('t_4~)/ {b-3):H ­ ftl~ 1 t l 2S - 2.":f) le 5-~:: 49 'lz 3 (1'" _~ e~),f,,- s) :;, iL9 ~} 5 b :0& jlt
  • 34.
    ió,,~ ~ r~~"""o<> i~~Ü..... clt JzwJ.,~ c/ J~~~ 'Y" Q.IN.~ )J..6~. Vt"J. )'+ ~o) Ajo" (l( -.;'.,)(1{- '(J) A) f' -+ ... -lo (lt.-lld( /t- 'I..J JQ b. ç" :d R< 'h! ~~ I i. :3 t4.; ~ j~ b 'I, !ryl 1>. 'li ~o O . 10'; S O -~~ tll. to 151 5 -u - 1tz. W :lo 1~ .... ~ - - ~, 3J ~ ~1 - - - - to, 5~ a( 1..- ~o) ( ~ .... <.:0) to 6>1. .@OO; ct l~- ·w)(~- 'lo) = l (J.... 2 ._ ~o il:-)( IX: - <o) ~ r _().L~_(2.0~ - z.CKJx) ~l~) :- jo-t l&A.ol [~!) lÍol + (t--~)(lI--~) t",.t) I! t, a:" J+ '. T l>t-1lo)C lí.-,yJ" l <1.- ~-,i. L 1e...... , )('-2;'4 ,to J ) N
  • 35.
    @ ,~~~: ri.. Rt...) (ll~J. I l(t J [~+1.1l{~ 'f'f)'l,J [ 'i. i i- 3, ~ lii! I Cli +:1. • 1(1'J ~"" ~,~ "" J.,30 0)(, ~< o, U'1 '14 1,0 'I' tI 4.9 0,1- o, :)33 l{1 l/O 1, "<-I b.2 0,8 J.) ~d. 'h 2..1-0
  • 36.
    ~~&&~~ .. ~~:-~~:; J..o f ',00 'Y'N5->$Á. ~ -e ~h dLo~ ~IQ.O o ,.. ;..~ , .~ ~) ... 1 .: 5 01l.~ '5 2.5 '1 7t l~) ",,#' .~ - ') l~) () Is Ul -~ ~ J>Q )l A~~ ~ 'j~ ~Ji o -~ O lO G _,:2 ~ 1° ( 15 ~ lO " ( ~O 'LO -:,. Iv ( 30 ~ l ~_o)( "'$--lO) )(0 + (~_-o)(~ - fJ) ( <l. -zJ ,(-tê?) (): ('te- O),5 + 3~ lÓ s ~~Jo; y~) .. Ot- ----T 2.! 'O lo 600 0 f lt1--) :: ~)~ OJ ~l' l-O,gO JZ5)"7 o YYJÕ,.~'l'fM '20 '8 I Lv ~'l. ~ e. Yt'!J:. - --­ Pl2..o/~): '2-0, o~~ M'IJ
  • 37.
  • 38.
    ~ de "l",~ro..:2> à" Jvv--o. "VQ.,<.á/BI. ~€()'N~"t ~~: l'o~:lt.) <k ~ to.. "'.. ó..'-<bC).. o.<> ww • .10 2!. """,,{co wrM...J.o.l óõ . o... ~J~~r J~ %,/, 7,f$;
  • 39.
    , ," J~Q bÓh,Qü doo o.~t-o do. "uh~.." ~.. Jf[í-1L~ ~ · o 4' J{ o 1-';; J. c ! ~)~~~ ~~w. ~~ C...fffiFCJ~ 1>f5 "lN~GRMS (rm 1~) }~ l)tt:a~<b 2) t'(YO.~ - ~Ik.k, 'tóMIo._h~ ~ I~)~' ~l ~+~(l;.1-t+. ...~-.)+ f" J "mi.odc .<i~ 1lQW~,) _ eo.es ) - "2.. r-- .. ~~_ ~ ~.~ . .. ~~~ -~-_._- -_...
  • 40.
    ~~ .~OjJro. ~~«. C'J~ J3<.,,-).t Q.oIYY'I Q.;::Q2 ~:- O)! <rt l .1'9 ~~JJ t ~}3 3,4ll-l- 3 ~ l>Ii 3) 1-6~ ~ .,J.{ 2,0 2,1 4, 1443l 2.,íZ! ') 56i9~ :11 ~ õ)03"4a~ ;:; O,~ ~ ~41H ~~.3+ 2« 4,)4 '~ ~ ~1Y3~'22): ~ @~ ilb"""':?'S~ ~) ~ ~::O,.::I. T,-= O.l.! (t,t~(e..~<+.('J+.f;) 2­ 't- ~ 0IOS t3i~';:ut '2.l3)::J~21't"1JK"3*~,$1- '- $') ()',31-ZZ :. t) 6':J.o ~ '9 ~4cC ~T ~ o) 5'1.'3-=J· ô<
  • 41.
    I, __ . • <}P: eo.oo O '~' NO-.la~) e ~ ~'OJ.Q.. ?!.t ~~(,{) o: ~~~ jt. -EJ..l.o ele. ~IV~ "í "" ~ (~- 1(.,). t'N>< .e.~l /"L~ [ lo, It.J ~ ~I'{YJ..~ d~ Ç)vvv~~OIY ~ ~-t 4 (~i.Tf3 t.t?s ~"-.i.).. (~+~ -t •. - :l. -t --- .. -l.)+ fl" J 1;'1.) -k 1 _ -f o.+~óJ, ~ W> liAt~~ ~~ ~9 )o1'N ~:;'Od., lA.b(),M,<1 o.. ~ó~~ ck ~VM.~~u-n. 1.5' o,~ [ f"t 4 (~!.... fJI- h.~ ~~ J ;:: 1.,b666 Gl~ ~ I :l}- "Cf) ; Qlco $'tt ~ 1 f0C 4od· vl 1- (. o ~~, ~~ Jt~kt) ~ ~ ié"rI<U~.k ~+ ~ ~ ~, ~ -1.J,.L~~ J.~ ÓJY.~"o.~OO. ~Jo. - "-= Y! Jt. ~i210tl· ­ '.~--+-'.J-.(-='1l.._~_~ ~ 't'-; a ='" ~: ~-f;;. 0,5 a -? T~:: ~.e.t4~+~ 1 ~ C V t Ts =- ~ r0+ l.,432=t906+ ~J3~4'" (, i,5 ~ L ~ T.s : o,b36 51 .U l­
  • 42.
    < 1.~ ~. g, 't.o "O 1..1 1, U5 ~ ~ ,5 ~ '-1 ~1,5 ..Ç) ~ '4,0 ~1 ':( .e- 4. ~.~ jley t~ Yfúl.~ ~ clt ~l Q~ ~~-~ ). ~ tl~) I E,.- < ...... ta:> '(L lS t~ 1 (() . ,­
  • 43.
    Qci9eu.Qo JU%~" ( ~. " GlÇ,.): . t;, ~~. "l çl." . . f',,_< )..'",1 1. _to l" ~ ~ ) .; 1 '"~-' '"" .s:... ~ ~. .. "'-=i ;t a. 'Z ;'.;::1 . . __ . . ,.._ .. _P' - - - --#" .... ------­ . _ ~,-5 __OI'p°!Ll96 - - 1. a~ °ll~.~ ~'2.9 tlTS <), ~T9 3t3 _---"" ~ .kt ~lL), ~ t o'" I, '?l6(; '>.'3·1 Q/ i, tlS O, ,~'2.50' (. ÚI .o(3~~ l 3'tS o, ~9SQ (V~~S !.r=JfI 61-.1 e. I '6~ 5
  • 44.
    i,~ 't.; olbbll: 4-'4 J .' " '4 1, 8-:ts ­ OI CQj)4 O, ~5(; ~t 0"2..1 3 i,:H.l..1 6f+ 'O,SQ) i J «3"iS O)6~ 32.3 1., ~í)5 01~ S81 1.,&815 t, o"',) ~06 1..1~l'Z-S ~ ~8-1 45.'} i,~.5 4'f(,~,)_1f '~o)-:. 4flv,s)- 1"(f) .- _ .::.. o,63!S/f 3 í '( {" = 7' (o, ns) ::: [1 3 l~ --r J LI /'r ~P -tF H f!I O,~SP4 rt _ -o, 6::6 2-95 " /I fF O, 6::6 3Q.9 --­ 0,636 ~~ JJ O,6~ Dt~ O}6?h~5 o/~bQ.J5 O) 636 29.5 O, b3h Mj5 O, roJ6 2'5
  • 45.
    .,. ~) {at~ o ~~ ~~.cl.o o -., 1 f""'" 3".!(1' c., ""'­ ~. .u~ , ~Io..~ fI J~ 1....'~ '3, 4 t~"':-3 1"O 3 1 :).6 :2.~O l,i ~) t4 «31 :L:(. 4, 5fo:J. ~I ~,7> 5, O3 ': 'l:z.
  • 46.
    "li ~i i b.~i i 1 .. 'o) 1.~ ~l 3)4IT~3 °1~4~ o,03T 6Cf ~ , ~IO 0,36:2 11 o) 04 14 ' O) "':1,360 O,04$tf ~d 0)'4 6831 li :1..;1 )S6~1 fi 11. S,O~=t'21 ~I~ _Z 'S.23~. '0 ~r2 ) q04S'~l:- o) t <: _ ( ~3- .)~. . T - Z ~~~ Q,Of~~" ~ CONY. ~. ~'WNV:> ~O» h:O, "l.S "-= <J, rZ CO; i 1 25 t,~S li 3-=t-5 O ,5 t, b:L~
  • 47.
    t'Q..NO.. ~;; ~)n:;; 11- ~lL Ali. ~ ~~ c.;',,~ ck. S.l'fV'.ro,"t 'b..)JO J..e. c.o..J.Q. 1-) h-:; 8 -u.~~ ~_. a~ -l-I)'..i~qru.., ~~~ o co·....... 1~5 Q 4 1t ...,l., dt _ 0. ~ ~~ J o ~ <i"- J~
  • 48.
    . "-­ 0 -1 ÇiT ~ l) ,I -cf .çL~) ~It h-o). ~" I <- to -' z.. ~ -.1....2 ~Y...~:; i @ A ~'J~~~ j~ ~~. (Ç) ~ .~ i·.14 E;T €o: VV'f $"" ti,. ~.~~. 0.1. :A, ~"& O,Oql.i -21~"'3 0)0'8<2 2., j:;~3 c.1J)O.2 Ol1@ ~ '3'1~' )oooJ. ()ts '2., 38<31:> E, <' tó 5 r í!(") T b..J 1~...) '2. O, ~2 -# 7il #­ { ú/6b3t; o,b~" íF .. (),b~"t;5 0"2.1-4 pc. OI S Ú/tJI,,, «), iIS í!J/tJ a3{. o,ií1"9 O/b.2'l: O~ t"t3 :
  • 49.
    . ~/iV9.i. • S,u.<1õ..o Nu.mé,",CQ.· à~ ~u.()lGOO ~~~"'s'Q.':)• • ?t,., ~ íOt: e j -+ -=t1f.~ = ~4--! ...... ~ . .ti "'~ o~ , 'j ~ ~-ti ...... ~l '*f. ~~ o~diJW. d..~'::l -T 3d" - l1J =; o -+ Q.l l . f. 2.:' Q~~ ~ d?t. .. • de ~ ~<k~~ t~~. ... .~ LMt~Q..U).
  • 50.
    • t • (-1..:- ~.{: ( ~,'j V ) . ~: . {~ = ~ ~ (it..'-t~ ) , jn+V~ .,. ti ~: "o o 1l. ~ a Ol~ 1,66 ... ('1­ ;.. (, <c:.d> jl ; jo ~ (-1.-t~ a '(1::0tO,2)! ~ (1 ~ :: 0/';0,4 O, ~ .,...- ~ (o, t) I 0ldt' l 0,1.',0, ~ =- l(-i i! <:l = O, a "l-z) :: -0,4 Ó/~ l-OA') ~ ~~ ~ o.-a ~ ( o--o,c.· J a."1J9!I D/h (l:: o. g. .~t.(), a. ) ~ 0,8 K'l.= O,~ • ~-t)<) :; -o~·{:e ,?, 2. "l 3.,0 . ji = ~- ~O,4) ~ (-0,'28) :::- 1..66 a. • .t •
  • 51.
    .. .. Um cert,o .;;("n.<..r .ü{ t~OOO m.i;~J )l:H~r-a Sf.l~ rf3;.:h:~ dP.i c.inco ~n~r:.lE':r.'l,"l'n~c.a·do:s e.'Sp,"l.b.....d::i. l~':!.L3I cidi;ar:f'" d,.~' ·,;:'<l.);,:-t~) Al~Ç.I1~~~.. <k.l ,~do !f~is eçt'Ji'JiJ'.úllicü possJ>vel. Of,;! lr~;r::f!'Ssi. da.de di ~".~' 1 étmi')n"t,a? do qt~ ()"J't·,rc i (H'd!;' CC;''1!:;;n;.d.Y o depv6s1t.o cantl'al? !.~AT;~~ X:,~ " ~;/) ./j{l'{} ~JOú, (~i .,,?J ., ., ;':T ; .~" L, ':':'~t {~Ú!(~ i(}tj:(1'~ (/'ú ", " .,' :r'f!~ :~~'r 'li.. "J";.•• ,:'_ ... w:t ~;~ '}t'JI.~. f)i(H;I" {}{~ ; ,~~)! ,.J é, D{):t~ 'i),t~{~~ : (ti) .. " ~., ·t í.~~:t;; ':.. :t"'~i; .' i':! ~::C·t} fli!)({ ;..i~)
  • 52.
    ~~ f) I Qo e. G..í I o f("('QJN;) o~ =0 ~~ COf ---= ~ i (00+Q1 ~L- 'j~) ~ c,.e ~ ~ lQ,,+ ctL~'- j' ). 2(, )ClJ - L::O .Q1~ o J)l,o~ . e eu J ;;Ej i = Z",," +Q.i : j :l. l~ ( ~+ Q.L<l, - jd= o ~ ~o (l:odt L IC,- ::/,). ~ =o ~ (.: jc = i:Q"~i ) (n.H)c' + Qi 2' Ui: Z:Ji l 0. 0 ~ 'lí l + Q.i ~: < ;t!li:1' .~-~-
  • 53.
    2.j~ ~ (YL+.{.),-t QL ~[+ Q, ZlliJ z ~,}~ Qo Z1Í.(+ Qi'i~?.+Qe z.~'3 -Z ~~jt.; <lo '2.~+ 0I. ~c((')+ Q~~~1