Valores 
nombre 
tipo de documento 
tipo numero 
Suma de documento 
adrian 
cedula 
1102155745 
Total adrian 
1102155745 
andres 
R/civil 
14567 
Total andres 
14567 
antonio 
cedula 
1067788345 
Total antonio 
1067788345 
camilo 
cedula 
25717347 
Total camilo 
25717347 
carlos 
cedula 
277897684 
Total carlos 
277897684 
claudia 
cedula 
25718456 
Total claudia 
25718456 
david 
R/civil 
141623 
Total david 
141623 
diana 
R/civil 
40244 
Total diana 
40244 
eduardo 
cedula 
1060433674 
Total eduardo 
1060433674 
eliecer 
cedula 
1066784123 
Total eliecer 
1066784123 
elkin 
T/Identidad 
1066743562 
Total elkin 
1066743562 
freddy 
cedula 
1056687355 
Total freddy 
1056687355 
indyra 
cedula 
27745623 
Total indyra 
27745623 
jesus 
T/Identidad 
153415 
Total jesus 
153415 
jose 
cedula 
1064488161 
Total jose 
1064488161 
juan brayan 
cedula 
1065577823 
Total juan brayan 
1065577823 
karent 
cedula 
256683259 
Total karent 
256683259 
lili 
R/civil 
13267 
Total lili 
13267 
maira 
cedula 
25774456498 
Total maira 
25774456498 
mario 
cedula 
10044467436 
Total mario 
10044467436 
mercedes 
cedula 
1061444947 
Total mercedes 
1061444947 
michael 
R/civil 
1072398
Total michael 
1072398 
miguel 
cedula 
1064489505 
Total miguel 
1064489505 
monica 
T/Identidad 
11345678329 
Total monica 
11345678329 
vanessa 
T/Identidad 
15687 
Total vanessa 
15687 
victor 
cedula 
1064488328 
Total victor 
1064488328 
wbeymar 
cedula 
1064487523 
Total wbeymar 
1064487523 
yadira 
R/civil 
25717451 
Total yadira 
25717451 
zully 
cedula 
1150667847 
Total zully 
1150667847 
Total general 
61761770222
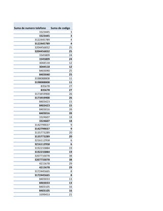
Suma de numero telefono 
Suma de codigo 
3323445 
3 
3323445 
3 
3122445789 
4 
3122445789 
4 
3204456832 
25 
3204456832 
25 
3345809 
24 
3345809 
24 
3044518 
12 
3044518 
12 
8403040 
25 
8403040 
25 
3198088808 
11 
3198088808 
11 
835678 
27 
835678 
27 
3173459900 
26 
3173459900 
26 
8403423 
15 
8403423 
15 
8403016 
39 
8403016 
39 
3324607 
18 
3324607 
18 
3142799037 
9 
3142799037 
9 
3135773289 
20 
3135773289 
20 
3216112958 
6 
3216112958 
6 
3192233884 
19 
3192233884 
19 
3207733078 
38 
3207733078 
38 
4215678 
29 
4215678 
29 
3172445665 
8 
3172445665 
8 
8403033 
13 
8403033 
13 
8403105 
16 
8403105 
16 
3399453 
21
3399453 
21 
3157059643 
9 
3157059643 
9 
3203456732 
17 
3203456732 
17 
3440087 
33 
3440087 
33 
3167330868 
7 
3167330868 
7 
3174000900 
32 
3174000900 
32 
3205446314 
1 
3205446314 
1 
3019994501 
10 
3019994501 
10 
50759783090 
517

Elxel avanzado 4

  • 1.
    Valores nombre tipode documento tipo numero Suma de documento adrian cedula 1102155745 Total adrian 1102155745 andres R/civil 14567 Total andres 14567 antonio cedula 1067788345 Total antonio 1067788345 camilo cedula 25717347 Total camilo 25717347 carlos cedula 277897684 Total carlos 277897684 claudia cedula 25718456 Total claudia 25718456 david R/civil 141623 Total david 141623 diana R/civil 40244 Total diana 40244 eduardo cedula 1060433674 Total eduardo 1060433674 eliecer cedula 1066784123 Total eliecer 1066784123 elkin T/Identidad 1066743562 Total elkin 1066743562 freddy cedula 1056687355 Total freddy 1056687355 indyra cedula 27745623 Total indyra 27745623 jesus T/Identidad 153415 Total jesus 153415 jose cedula 1064488161 Total jose 1064488161 juan brayan cedula 1065577823 Total juan brayan 1065577823 karent cedula 256683259 Total karent 256683259 lili R/civil 13267 Total lili 13267 maira cedula 25774456498 Total maira 25774456498 mario cedula 10044467436 Total mario 10044467436 mercedes cedula 1061444947 Total mercedes 1061444947 michael R/civil 1072398
  • 2.
    Total michael 1072398 miguel cedula 1064489505 Total miguel 1064489505 monica T/Identidad 11345678329 Total monica 11345678329 vanessa T/Identidad 15687 Total vanessa 15687 victor cedula 1064488328 Total victor 1064488328 wbeymar cedula 1064487523 Total wbeymar 1064487523 yadira R/civil 25717451 Total yadira 25717451 zully cedula 1150667847 Total zully 1150667847 Total general 61761770222
  • 3.
    Suma de numerotelefono Suma de codigo 3323445 3 3323445 3 3122445789 4 3122445789 4 3204456832 25 3204456832 25 3345809 24 3345809 24 3044518 12 3044518 12 8403040 25 8403040 25 3198088808 11 3198088808 11 835678 27 835678 27 3173459900 26 3173459900 26 8403423 15 8403423 15 8403016 39 8403016 39 3324607 18 3324607 18 3142799037 9 3142799037 9 3135773289 20 3135773289 20 3216112958 6 3216112958 6 3192233884 19 3192233884 19 3207733078 38 3207733078 38 4215678 29 4215678 29 3172445665 8 3172445665 8 8403033 13 8403033 13 8403105 16 8403105 16 3399453 21
  • 4.
    3399453 21 3157059643 9 3157059643 9 3203456732 17 3203456732 17 3440087 33 3440087 33 3167330868 7 3167330868 7 3174000900 32 3174000900 32 3205446314 1 3205446314 1 3019994501 10 3019994501 10 50759783090 517