ECNG 6509

Switchgear Technology




  Prof Chandrabhan Sharma   A
SWITCHGEAR TECHNOLOGY

SWITCHGEAR

Contacts → Theory of Conduction

                (i) Metallic → electrons
                (ii) Electrolytic → ions
                (iii) Gas Discharge → electrons and ions

Regions for electron flow are:

     - Areas in metallic contact
     - Areas Quasimetallic contact < 20 Å
     - Areas fritting of contact film → thin enough to allow
     dielectric breakdown.
POINTS OF CONTACT




Constriction Resistance ≙ resistance of a single contact spot.

* Contacts exposed to a constant current run hotter that similar
  contacts carrying similar current but subjected to occasional
  surges

                → Contact softening → reduce R
STATIC WELDING
                For Tmelt > To


                V = 3 x 10-4 Tmelt


  or    V ∝ Tmelt where V = welding voltage
∴ The welding voltage on s/c ∝ melting temperature of the material.


Also static welding is a fn (contact force)
                           ρ πH          Where:
                    Rc =                 H = hardness
                           2 F
                                         F = force


                                                     k        1
   For a particular metal contact resistance = R c =      α
                                                      F        F
∴ For a given current I
                 V = IRc ∝Tmelt
                                             1
                           or Tmelt ∝ F½ ∝
                                              F
Voltage across a contact for a given current is greater at lower   contact
forces.

                ∴Static welding occurs at lower currents.


Rule of Thumb:

Static welding could usually be overcome by increasing contact force.
DYNAMIC WELDING (during contact bounce)

Weld caused by coalescence of pools of molten metal at the base of shorts
arcs produced by contact separation during bounce.

Process of Contact Making:

        -       Initial Spark-over → dielectric breakdown

        -       First touch

        -       Growth of contact force

        -       Reduction of (3) static level
PHYSICS OF ARCS IN C.B.

C.B. has two (2) stable conditions

     (a)        Close ⇒ Ƶc ≈ 0

     (b)        Open ⇒ Ƶc ≈ ∞

                ∴ Ƶc goes from 0 → ∞ in cycles.

     Too long time ⇒ release of large energy

     Too short ⇒ switching overvoltages.

For AC interruption, switching is done at natural current zero.
Two (2) requirements for AC interruption:


     (a) Increase plasma resistance exponentially in region of
     current zero.
     (b) Ensure dielectric strength of arc path increases faster than
         electric stress. (Slepian’s Theory)

Initial emission of electrons may be due to:


                (a)     Thermionic → increase in electrode temperature


                (b)     Field → high voltage gradient at cathode
A.C. CIRCUIT BREAKERS

Two (2) types: (i)      High Pressure Arcs
               (ii)     Vacuum

High Pressure Arcs:
               * Unable to stop arc.

Three (3) distinct regions
     (i)         Cathode
     (ii)        Arc Column
     (iii)       Anode

                (i) & (iii) unimportant in arc extinction.
(1)         Thermal Ionization

            Degree of ionization, xi due to thermal ionization given by
            Saha’s equation:

                           x i2              W 
                                              - i 
                                     = AT 2 e  kT 
                                         1
                         P      2
                          1 - x i 
                                  

        P – Gas pressure                    Wi – ionization potential

        A – gas constant                    k – Boltzmann’s constant

        T – absolute temperature


      (2)      Ionization by collision due to high electric gradients
MAGNETIC PHENOMENA IN ARCS

Similarities of Arc and solid conductor …..

(a)         Circumferential fields




      (b)       Transverse Fields
                Lateral forces set up similar to that of a current in a solid
                conductor. Initially a straight arc will always bow under
                the influence of self magnetic field.
STATIC ARC CHARACTERISTICS
Model 1:          Assume:
                                 Current Density (J) constant
                                 heat loss/unit area (k) = constant

                                 ∴ Area = (2πr)(1)
                                 ∴ Heat loss = W = 2πrk
                                 Total current = πr2J = i
                                 ⇒ r = √i
             But energy liberated = vi = Jπr2(v) = E
                     For balance      W=E
                             ⇒ 2πrk = Jπr2v
                             or v ∝ 1/r ∝ 1/ √i

                   Holds true for ‘i’ small
Model 2:
               Current density = constant
               heat loss ∝ cross-sectional area

 i ∝ πr2
                                 E = vi = W
    W ∝ πr2 (heat loss)
                                    ∴ vi = i
    ⇒W∝i
                                 v= constant
Slepian’ Theory




Energy Balance:

       Cassie suggests that for interruption

               Energy loss from arc > Energy input to arc
VACUUM ARCS

Two (2) Forms

    (a) Diffuse Arc

    (b) Constricted Arc

Once arc falls into constricted mode, interruption fails.
DYNAMIC ARC COLUMN
The dynamic arc model is of this form
                  i   1
                    =   = f (W, N, t)
                  e   R
Where          i – instantaneous current

               e – instantaneous arc voltage gradient

               R - instantaneous arc resistance/length

               W – power input per unit length

               N – power loss per unit length

               f (t) – effects of thermal time lag of conductance
1
Also,      = f (Q) where Q - energy content/unit length
         R

From the 1st Law of Thermodynamics :
                         dQ
                 W=N+        + w ; where w - work done by arc
                          dt
neglecting w
               ⇒            Q = ∫ (W − N)dt


             1
 and           = f (Q) = f [ ∫(W − N)dt] ..............................(1)
             R


                  f ' (Q)  dQ f ' (Q)
    R d( 1 R ) =             =        (W − N) ................................(2)
                  f (Q)  dt    f (Q)
Cassie’s Model
Assumptions:

      (1)    Column cylindrical, p and q (energy/unit volume) constant.

      (2)    At constant arc temperature i ∝ A (cross-sectional area).

      (3)    Power loss/unit volume (λ) = constant or power loss ∝ A.

               ρ
            R=                  ;            Q =qA
              A
                     1           A   Q
            ∴          = f (Q) =   =
                     R           ρ   qρ

                                            1
            and                f ' (Q) =
                                            qρ
From assumption (3) ⇒ N = λ.A
              It flows from equation (2) that
                       1
           d 1
       R      ( R ) = Q qρ (e.i − λA).............................(3)
           dt
                        qρ
                             2
                    1 e
                   = (  − λA)
                    Q R


                     λ e      
                           2
                    =         
                       λAR − 1
                     q        

                    λ e        
                           2
                   =       − 1
                    q  λρ      
                                
In static conditions the per unit volume power loss λ = per unit volume input
                ∴            e i = N = λA
                       e2
                 or       = λA
                       R
                 e = λAR = λp = const = e o

    ⇒        constant voltage characteristic at s.s.

                      d 1      λ  e2   
                    R ( R ) =  2 −1...........................(4)
                      dt       q  eo
                                 
                                        
                                        
                     1  dR  λ      e2 
        or                  = 1 − 2 
                     R  dt  q  e o 
                                        

                                    dR
        at steady state e = e o and    =0
                                    dt
Alternatively (3) can be written


             1 dR  1
                  = ( λA − e i )
             R dt  Q

                                dR ARλ ARλ     λ
if i suddenly goes to zero then    =   =    =R
                                dt   Q   qA    q


           dR    R     R
              =      =
           dt ( q λ ) θ
                  where θ = (q λ )


                    or     R = R oe( t θ )
           where θ = time constant for conductivity
CIRCUIT CONSTANTS
  Single Frequency:




At 1st current zero:      Applying Kirchhoff Law:
                                  di
                  Vm cos ωt = L      + VC ..........................(1)
                                  dt
                     1                                   dVC
       But       VC = ∫ i dt           ⇒            i =C
                     C                                    dt
       Sub. into (1)
                   d 2 VC
                 LC 2 + VC = Vm cos ωt...........................(2)
                    dt
d 2 VC VC Vm
         divide by LC ⇒            2
                                     +   =   cos ωt......................(3)
                               dt      LC LC

                  1           d 2 VC
         let ω =
              2
              0     ⇒                + ω0 VC = ω0 Vm cos ωt......................(4)
                                        2       2

                 LC            dt 2

   Taking Laplace Transform
                                                              s 
       ⇒ s 2 VC (s) + sVC (0) + VC (0) + ω 0 VC (s) = ω 0 Vm  2
                                 '         2            2
                                                                   2
                                                                     ..........(5)
                                                             s + ω 

   Solving for VC (s)
                          s                     s  VC (0)  '
⇒ VC (s) = ω0 Vm  2
            2
                                  2 
                                        + VC (0)  2    2
                                                           + 2     ..........(6)
                  (s + ω )(s + ω 0 )            s + ω0  s + ω0
                         2   2                                   2




                  At t = 0-          ⇒          i=0       (first current zero)

                                            1
                         ∴      dV(0) = 0 =   i (t)
                                            C
Also VC(0) = arc voltage ; which is negligible

                                     2
                                   s ω0        
  ⇒            VC (s) = Vm  2             2 
                                                .......................(7)
                            (s + ω )(s + ω0 ) 
                                   2    2



From partial fraction analysis:
              s             1         s        s      
                       = 2     2  2
                                            − 2    2 
      (s + ω )(s + ω0 ) (ω0 − ω )  (s + ω ) (s + ω0 ) 
        2   2   2   2                     2



Sub into (7)

                       ω02
                                      s          s      
         VC (s) = Vm 2                       − 2    2 
                    (ω0 − ω 2 )  (s 2 + ω 2 ) (s + ω0 ) 

Taking inverse:
                   2
                 ω0                                             1
      VC (t) = 2          Vm [ cos ωt - cos ω0 t ] ; where ω0 =
              (ω0 − ω 2 )                                       LC
For most circuits:         C << small       and ω0 >> ω
                  2
                ω0
            ∴ 2        →1
             (ω0 − ω )
                    2



            ∴ VC (t) = Vm [ cos ωt - cos ω0 t ]

Also for period of analysis, the power terms is constant w.r.t. ω0

            ∴ equation becomes VC (t) = Vm [1 - cos ω0 t ]

 (1) Max. restrike voltage = VC(max)(t) = 2 Vm

                                         π
                     which occurs at t =    or π LC
                                         ω0


                                          1
                            and f 0 =
                                        2π LC
Rate of Rise of Recovery Voltage [RRRV]

                            dVC
                 RRRV =                  (kV/µs)
                             dt   max



                          2Vm
                 ⇒ RRRV =     (kV/µs)
                           t

                                        π          2V ω
                           when t =        ⇒ RRRV = m 0
                                        ω0           π

                           dVC
    Aside :                    = Vm ω0 sin ω0 t
                            dt

      dVC                                                              π
  For                 ⇒ Vm ω0 sin ω0 t = 0 ⇒       sin ω0 t = 0 or t =
       dt   maximum                                                    ω0
CIRCUIT CONSTANTS

Double Frequency:




Before opening C.B.:

                             L2 
                       VC = 
                             L + L Vm
                                     
                             1    2 




 After opening the switch, two circuits are formed as seen on
 the next slide
1
          Natural frequency ω0 =
                                   L1C1




and


                                    1
          Natural frequency ω1 =
                                   L 2C2


                          L2 
      Where VC1 = VC2   =
                          L + L Vm
                                  
                          1    2 
Using Principle of Superposition :
                 E    Vp
             If = =                   (purely reactive i.e. R = 0)
                 Z ω(L1 + L 2 )


                         E    Vp
            ∴    If (t) = =             sin ωt
                         Z ω(L1 + L 2 )

                                   L2 
                    and VC 2 = Vp 
                                  L +L 
                                   1  2 
For circuit interruption at current zero:




                                  Vp
            ∴      i (s) =
                             (L1 + L 2 )s 2

  In ‘s’ domain:
But VC(s) = i(s) Ƶ(s)

                                   s/C1
            where        Z(s) = 2                           (operational impedance)
                               s + (1 / L1C1 )

                                       sL1/L1C1
                               =
                                   s 2 + (1 / L1C1 )

                  1                                                   2
                                                                 L1s ω1
        set ω1 =                                 ⇒        Z(s) = 2
                 L1C1                                           s + ω1 2




                   Vp         L1s ω1 
                                        2
                                                        L1           2
                                                                       ω1      
⇒     VC (s) = 
                (L + L )s 2   s 2 + ω 2 
                                             =      
                                                        L + L   s(s + ω 2 ) 
                                                                Vp  2        
                1     2              1              1    2         1 
2
                  ω1     1    s
       But              = − 2
              s(s + ω1 ) s s + ω1
                 2   2          2




                            L1   1         s 
      ∴           VC (s) = 
                            L + L   s s + ω2 
                                    Vp  − 2     
                            1    2           1 




                            L1 
          ⇒                 L + L Vp [1 - cos ω1t ]
                  VC (t) =         
                            1    2 



                                  L2 
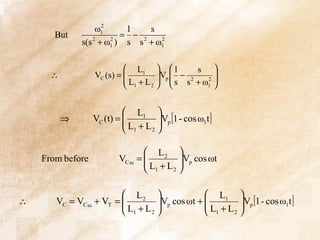
    From before          VC ss = 
                                  L + L Vp cos ωt
                                          
                                  1    2 



                          L2                L1 
∴      VC = VC ss + VT = 
                         L +L               L + L Vp [1 - cos ω1t ]
                                Vp cos ωt +         
                          1  2              1    2 
For the other half of the circuit:




                                                              Vp
                                            where I f =                  sin ωt
                                                          ω(L1 + L 2 )

                                          Vp                                 Vp
and ramp function for I f is i (t) =                 t   or   i (s) =
                                       (L1 + L 2 )                      (L1 + L 2 )s 2


Transformed circuit:
From circuit VC(s) = - i(s) Ƶ(s)

                       L 2 /C 2      L 2s ω 2                    1
    where    Z(s) =                = 2      2
                                                    and ω 2 =
                    L 2s + 1 / C 2s s + ω 2 2                   L 2C 2

                       L2   1         s 
∴           VC (s) = −
                       L + L   s s + ω2 
                               Vp  − 2     
                       1    2           2 


                      L2 
    ⇒                 L + L Vp [ cos ω 2 t - 1]
            VC (t) =         
                      1    2 



    ∴        VC 2 = VC ss + VT


                    L2          L2 
                    L + L Vp +  L + L Vp [ cos ω 2 t - 1]
                  =                    
                    1    2      1    2 
 L2 
         =
           L + L Vp cos ω 2 t
                   
           1    2 



  L2                L1                        L2 
=
 L +L Vp cos ωt + 
                     L +L Vp [1 - cos ω1t ] − 
                                                  L + L Vp cos ω 2 t
                                                          
  1  2              1  2                      1    2 
BEWLEY’S LATTICE DIAGRAMS
Kilometric Fault Analysis:




                                     L
Recall :   Surge Impedance = Z 0 =
                                     C
                                 1
Velocity of propagation = v =         ms-1
                                 LC
 If Ei = incident wave and Er = reflected wave then:

                             R - Z0
                        Er =        Ei
                             R + Z0
              Where R = terminating impedance
SWITCHGEAR MATERIALS

SELECTED MATERIAL SHOULD:

       -        Have the required technical properties
       -        Ease of working (forming, welding etc.)
       -        Low cost
       -        Stability and reliability

Enclosures:

       Steel is the most common choice
                -       Mechanical strength
                -       Economics

Sheet thickness related to risk of “burn through”
Disadvantages:

        -        Magnetic
        -        Corrosion

CONDUCTING MATERIAL
     -    Must have low specific resistance
     -    Resist corrosion

Silver exhibits the lowest resistance but cost is prohibitive.!!
        ∴Silver coated contacts used:
                 (0.02 ∼ 0.05mm)

N.B. silver oxide is a conductor
Cu and Al also used.
       Cu → Lower resistivity (than Al) and resists oxidation.

Chrome Cu → Alloy gives good compromise between strength
            and hardness with good conductivity.

Tungsten/Cu → Alloy used for contact tips (Resists Arc erosion)*

* Main contact is silver/Cu.

Beryllium Cu → used for low tension springs (Non-magnetic)
Al is very soft and oxidizes readily.

   Usually alloy with silicon used.

   Use in Switchgear restricted to conductors, and busbars and
   usually for low applications.

Caution:

        -       Cu/Al joints need special care.

        -       Electrochemical effect.
INSULATING MATERIALS

 * Can be solid, liquid or gaseous:

 Liquid & Gaseous:        Includes air, SF6, oil and vacuum

    Dielectric Strength:
           x3            x3             ∞
    Air     →      SF6 →        Oil     →       Vacuum

SOLID DIELECTRICS:

Natural in Origin -: Mica, asbestos and slate

Derived from natural materials: Porcelain, paper and shellac varnishes

Newer materials : petrochemical derived, polymers, resins, films, plastics
BULK MATERIALS:
         Glass (Pyrex), porcelain, epoxy and chalk, epoxy and
silica, dough moulding compound, polyurethane resin.


SHEET MATERIALS:
        SRBP*, SRBF*, glass filled epoxy, glass filled polyester


SRB → synthetic resin bonded (paper, fabric)


THERMOPLASTICS:
        Nylon, PVC, polyethylene, polytetra fluorethylene
Requirements for Solid Insulation:

        -       Long term stability of properties

        -       No measurable internal discharges at working voltage

        -       High tracking index

        -       Good mechanical strength

        -       Suitable for simple, low cost manufacturing.
AIR CIRCUIT BREAKERS

Arc Extinction: Natural deionization of gases by cooling action.

     Stretching Arc ⇒ R ↑

                 As R ↑ ⇒ If ↓ and ∠θ → 0


                         ⇒ i=0 when v=0

Rarc can be increased:
     (1)         Increasing arc length
     (2)         Cooling arc
     (3)         Splitting arc into several arcs
ARC CHUTES:

       Two (2) Types:
              -       Insulated plate
              -       Metal plate

     Controlling force that direct arc into chute given by natural
     electromagnetic and thermal forces of the arc.

* Strong magnetic field provided by:

     (i)       External iron cct around the arc energised by turns
               current fault current.

     (ii)      Internal iron cct in form of special shaped steel
               plates.
Arc Chutes:
       Perform three (3) functions
              -        Confinement of arc
              -        Magnetic control
              -        Rapid cooling of arc gases

Arc Splitter:
Three (3) stage contact arrangement:

                (1)     Main contact
                (2)     Intermediate contact
                (3)     Arcing contacts
SLOTTED MAGNETIC PLATE:

        A:      Lines of magnetic flux
        B:      Direction of current flow
        C:      Direction of force on arc column


N.B. Plates are installed in chute in alternate pattern
AIR BLAST C.B.

Types:
                 (1)     Axial Blast
                                          High voltages
                 (2)     Radial Blast
                 (3)     Cross Blast

Operation:
                 Interruption f (turbulence for cooling)

Dry compressed is an excellent dielectric.

Extinction occurs at 1st current zero.
Factors influencing performance:

   (a) Air Pressure:
       Dielectric strength increases with increasing pressure,
               i.e      breaking capacity ∝ pressure at nozzle.

   (b) Cct Severity
(c) Distance Between Contacts




(d) Contact material → improvement (high B.P. material)

(e) Area of exit hole ↑

(f) Resistance switching (shunt)
        -       Reduce RRRV and restriking voltage (Vc)
        -       Reduce transient voltage
        -       Improve uniformity of voltage sharing → multibreak CB
PROS:
PROS
        -   No fire hazard
        -   Fast operation
        -   Suitable for rapid reclosing
        -   High rupturing capacity
        -   Low contact damage
        -   Easy access to contacts

CONS:
CONS

        -   Complete air system
        -   Complicated construction
        -   Specialized maintenance required
        -   Sensitive to RRRV
        -   Noisy
Shunt Resistors:

        They are used for:

                   -    Voltage grabbing

                   -    Overvoltage suppression

                   -    Reducing cct. severity

                   -    Closing resistors for energizing long tx lines
OIL CIRCUIT BREAKER

Heat of arc immediately dissociates the surrounding oil into C and H2.

H2 has high heat conductivity hence cooling of arc and contacts cooling
so fast that re-ignition voltage is 5 – 10 times as for A.C.B.

Evolved gas:

                H2 – 66%                CH4 – 9%
                C2H2 – 17%              other – 8%


                HIGHLY FLAMMABLE!!!!!!!

        Volume Generated fn arc energy (≡Isc)
PROS:
PROS
        -      Oil is a spontaneous producer of H2
        -      Very good dielectric
        -      Very good thermal conductivity

CONS:
CONS
        -      Flammable
        -      H2 and oil can form an explosive mixture with air
        -      Carbon pollution of oil

See handout!
EVOLUTION OF OCB

(1)   Plain Break




      -      No special Arc Extinction system

      -      Extinction due to turbulence and pressure
Pressure depended on:

             -       Length of break ….. Large tank
             -       Speed of contact movement
             -       Head of oil
             -       Clearance between contacts tank and earth
(2)       Arc Control OCB




  Confinement of produced gas in rigid insulating chamber called
  arc control pots or explosion pots
(3)     Minimum oil volume (Ref to Fig 9)
        -     Uses solid materials for insulating purposes and just
              enough oil for arc quenching

        -          Oil tank is at system voltage hence ‘Live tank OCB’
                   nomenclature.

Three (3) types:
                   (i)     Self blast type

                   (ii)    External blast

                   (iii)   Combination (i) and (ii)
BULK OIL

PROS:
        -   Simplicity of Construction
        -   High rupturing capacity
        -   Possibility of locating C.T. in bushing

CONS:
CONS

        -   Fire/explosion hazard
        -   Large volume of oil
        -   Contamination of oil → C
        -   Not suitable for indoor application
        -   Auto-reclosing inability
        -   Costly
MINIMUM OIL C.B.

PROS:
        -   Small quantity of oil
        -   Physically smaller
        -   Lower costs
        -   Easier access to contacts

CONS:
        -   Fire/explosion hazard
        -   Not good for repeated cycle of operation
        -   Frequent inspection of oil quality
        -   Greater contact damage
        -   Difficulty in locating C.T.s
        -   Lower rupturing capacity
SF6 BREAKERS
Properties:
        -       Colourless
        -       Odourless
        -       Non –toxic
        -       Non-flammable
        -       5 times denser than air
        -       B.P. - 60 °C
        -       Thermal transfer coefficient = 1.6 x air
        -       Vapour pressure at 20 °C = 24 atm.
        -       Inert up to 150 °C
        -       Decomposes to: SF4, SF2, S, F2 (corrosive to
                glass and metals in presence of moisture)

   Interaction gives whitish powder of high insulating properties
                 → contacts should be self wiping.
-         Absence of C
        -         All decomposed gasses recombine within 10-6 – 10-7 s
                  after arc extinction
        -         Traces eliminated by activated Alumina
        -         At atmospheric pressure, dielectric strength ≈ 2.5 x air

SF6 strongly electronegative


        SF6 + e           →       SF-6
        SF6 + e           →       SF5 + F-




        See figs 13 & 14 for Operation of SF6 breakers
VACUUM C.B.

       -       Vacuum arc persists because of metal atoms ejected
               from cathode spot.

       -       Intensity of vapour jets ∝ intensity of current flow
                       ⇒ plasma falls as current falls to zero.

       -       At current zero metal atoms and ions migrate and
               condense on electrodes, shields and walls rapidly
               deionising gap.

* Total absence of charge carriers ⇒ vacuum breaker has near ideal
  withstand characteristics.
Fig. 1 Diagrammatic representation of vacuum arc
Applicable Properties of Vacuum

     (i)       Highest insulating strength known.

     (ii)      Interruption occurs at first current zero & dielectric
               strength building up at rate 1000 x that of conventional
               breakers.

     (iii)     At current zero, cathode spot extinguishes within 10-8 s
-   The Diffuse arc has very high interrupting ability

-   The Constricted arc has no interrupting ability

    In order to ensure arc does not remain constricted, special
    contacts have been designed.

              (i)      Spiral petal contact
              (ii)     Contrate contact

    Depend for action on interaction of magnetic field of arc so
    as to keep the arc in constant motion.
Contact materials:
        materials

        -       Must not weld under fault conditions

        -       Must not chop on magnetizing current switching

        -       Must permit high dielectric recovery after interruption

        -       High conductivity

        -       Ease of manufacture

Used→ * Copper – Bismuth alloy
      * Copper – chromium alloy
BUSHINGS

Capacitor (condenser) Type:

          -    Divide the dielectric insulation around the central
                       conductor into a large number of concentric
capacitors

          -    Results in a set of concentric capacitors which are
                        electrically in series → hence division of system
voltage        in discrete steps

          -    Highest stress occurs at ends of conducting layers
Mechanical considerations:
           considerations

  -    C.B. forces on a bushing far exceed the ‘G’ range of
  recorded earthquakes!

  -    Transformers bushings do not experience this in normal
  operation.

  -    Check on mechanical strength before installing spare
  transformer bushing on C. B.
Bushing maintenance:
        maintenance

      -      Visual inspection:
                     oil level; sight glass, broken housing etc.

      -      Field testing
                      -       Power factor
                                              Trending
                      -       Capacitance

      -   Factory Repairs : water ingress

      -   Field Repairs: Very difficult and not normally done

      -   Change-out may be more economical
C. B. ratings:
      ratings

        -        Rated V and I

        -        Rated frequency

        -        Breaking Capacity-: symmetrical and asymmetrical

        -        Making capacity

        -        Short-time current duration

        -        Operating duty.
TYPE TESTS

Applied to one of the batch at manufacture.

    1.    Mechanical
   2.    Temperature Rise at rated current
   3.    Impulse Voltage (1.2/50 µs wave)
   4.    Short circuit (opening & closing)
   5.    Short-time current → 2.5 x RMS rated s/c for 1 second
   6.    Transient Restrike Voltage → form (1- cos)
   7.    Contact Condition
   8.    Critical current (OCB)
   9.    1φ opening of 3φ s/c
   10.   Kilometric fault
   11.   Load switching → R,L,C
   12.   Transformer magnetizing Current
ROUTINE TESTS (All C.B.)

1. High Voltage

2. Mechanical

3. Resistance tests (ohm meter)

4. For O.C.B. → oil testing

ECNG 6509 Switchgear Technology

  • 1.
    ECNG 6509 Switchgear Technology Prof Chandrabhan Sharma A
  • 2.
    SWITCHGEAR TECHNOLOGY SWITCHGEAR Contacts →Theory of Conduction (i) Metallic → electrons (ii) Electrolytic → ions (iii) Gas Discharge → electrons and ions Regions for electron flow are: - Areas in metallic contact - Areas Quasimetallic contact < 20 Å - Areas fritting of contact film → thin enough to allow dielectric breakdown.
  • 3.
    POINTS OF CONTACT ConstrictionResistance ≙ resistance of a single contact spot. * Contacts exposed to a constant current run hotter that similar contacts carrying similar current but subjected to occasional surges → Contact softening → reduce R
  • 4.
    STATIC WELDING For Tmelt > To V = 3 x 10-4 Tmelt or V ∝ Tmelt where V = welding voltage ∴ The welding voltage on s/c ∝ melting temperature of the material. Also static welding is a fn (contact force) ρ πH Where: Rc = H = hardness 2 F F = force k 1 For a particular metal contact resistance = R c = α F F
  • 5.
    ∴ For agiven current I V = IRc ∝Tmelt 1 or Tmelt ∝ F½ ∝ F Voltage across a contact for a given current is greater at lower contact forces. ∴Static welding occurs at lower currents. Rule of Thumb: Static welding could usually be overcome by increasing contact force.
  • 6.
    DYNAMIC WELDING (duringcontact bounce) Weld caused by coalescence of pools of molten metal at the base of shorts arcs produced by contact separation during bounce. Process of Contact Making: - Initial Spark-over → dielectric breakdown - First touch - Growth of contact force - Reduction of (3) static level
  • 7.
    PHYSICS OF ARCSIN C.B. C.B. has two (2) stable conditions (a) Close ⇒ Ƶc ≈ 0 (b) Open ⇒ Ƶc ≈ ∞ ∴ Ƶc goes from 0 → ∞ in cycles. Too long time ⇒ release of large energy Too short ⇒ switching overvoltages. For AC interruption, switching is done at natural current zero.
  • 8.
    Two (2) requirementsfor AC interruption: (a) Increase plasma resistance exponentially in region of current zero. (b) Ensure dielectric strength of arc path increases faster than electric stress. (Slepian’s Theory) Initial emission of electrons may be due to: (a) Thermionic → increase in electrode temperature (b) Field → high voltage gradient at cathode
  • 9.
    A.C. CIRCUIT BREAKERS Two(2) types: (i) High Pressure Arcs (ii) Vacuum High Pressure Arcs: * Unable to stop arc. Three (3) distinct regions (i) Cathode (ii) Arc Column (iii) Anode (i) & (iii) unimportant in arc extinction.
  • 10.
    (1) Thermal Ionization Degree of ionization, xi due to thermal ionization given by Saha’s equation:  x i2  W  - i  = AT 2 e  kT  1 P 2 1 - x i    P – Gas pressure Wi – ionization potential A – gas constant k – Boltzmann’s constant T – absolute temperature (2) Ionization by collision due to high electric gradients
  • 11.
    MAGNETIC PHENOMENA INARCS Similarities of Arc and solid conductor ….. (a) Circumferential fields (b) Transverse Fields Lateral forces set up similar to that of a current in a solid conductor. Initially a straight arc will always bow under the influence of self magnetic field.
  • 12.
    STATIC ARC CHARACTERISTICS Model1: Assume: Current Density (J) constant heat loss/unit area (k) = constant ∴ Area = (2πr)(1) ∴ Heat loss = W = 2πrk Total current = πr2J = i ⇒ r = √i But energy liberated = vi = Jπr2(v) = E For balance W=E ⇒ 2πrk = Jπr2v or v ∝ 1/r ∝ 1/ √i Holds true for ‘i’ small
  • 13.
    Model 2: Current density = constant heat loss ∝ cross-sectional area i ∝ πr2 E = vi = W W ∝ πr2 (heat loss) ∴ vi = i ⇒W∝i v= constant
  • 14.
    Slepian’ Theory Energy Balance: Cassie suggests that for interruption Energy loss from arc > Energy input to arc
  • 15.
    VACUUM ARCS Two (2)Forms (a) Diffuse Arc (b) Constricted Arc Once arc falls into constricted mode, interruption fails.
  • 16.
    DYNAMIC ARC COLUMN Thedynamic arc model is of this form i 1 = = f (W, N, t) e R Where i – instantaneous current e – instantaneous arc voltage gradient R - instantaneous arc resistance/length W – power input per unit length N – power loss per unit length f (t) – effects of thermal time lag of conductance
  • 17.
    1 Also, = f (Q) where Q - energy content/unit length R From the 1st Law of Thermodynamics : dQ W=N+ + w ; where w - work done by arc dt neglecting w ⇒ Q = ∫ (W − N)dt 1 and = f (Q) = f [ ∫(W − N)dt] ..............................(1) R  f ' (Q)  dQ f ' (Q) R d( 1 R ) =   = (W − N) ................................(2)  f (Q)  dt f (Q)
  • 18.
    Cassie’s Model Assumptions: (1) Column cylindrical, p and q (energy/unit volume) constant. (2) At constant arc temperature i ∝ A (cross-sectional area). (3) Power loss/unit volume (λ) = constant or power loss ∝ A. ρ R= ; Q =qA A 1 A Q ∴ = f (Q) = = R ρ qρ 1 and f ' (Q) = qρ
  • 19.
    From assumption (3)⇒ N = λ.A It flows from equation (2) that 1 d 1 R ( R ) = Q qρ (e.i − λA).............................(3) dt qρ 2 1 e = ( − λA) Q R λ e  2 =    λAR − 1 q  λ e  2 =  − 1 q  λρ  
  • 20.
    In static conditionsthe per unit volume power loss λ = per unit volume input ∴ e i = N = λA e2 or = λA R e = λAR = λp = const = e o ⇒ constant voltage characteristic at s.s. d 1 λ  e2  R ( R ) =  2 −1...........................(4) dt q  eo    1  dR  λ  e2  or   = 1 − 2  R  dt  q  e o    dR at steady state e = e o and =0 dt
  • 21.
    Alternatively (3) canbe written 1 dR 1 = ( λA − e i ) R dt Q dR ARλ ARλ λ if i suddenly goes to zero then = = =R dt Q qA q dR R R = = dt ( q λ ) θ where θ = (q λ ) or R = R oe( t θ ) where θ = time constant for conductivity
  • 22.
    CIRCUIT CONSTANTS Single Frequency: At 1st current zero: Applying Kirchhoff Law: di Vm cos ωt = L + VC ..........................(1) dt 1 dVC But VC = ∫ i dt ⇒ i =C C dt Sub. into (1) d 2 VC LC 2 + VC = Vm cos ωt...........................(2) dt
  • 23.
    d 2 VCVC Vm divide by LC ⇒ 2 + = cos ωt......................(3) dt LC LC 1 d 2 VC let ω = 2 0 ⇒ + ω0 VC = ω0 Vm cos ωt......................(4) 2 2 LC dt 2 Taking Laplace Transform  s  ⇒ s 2 VC (s) + sVC (0) + VC (0) + ω 0 VC (s) = ω 0 Vm  2 ' 2 2 2 ..........(5) s + ω  Solving for VC (s)  s   s  VC (0) ' ⇒ VC (s) = ω0 Vm  2 2 2  + VC (0)  2 2 + 2 ..........(6)  (s + ω )(s + ω 0 )   s + ω0  s + ω0 2 2 2 At t = 0- ⇒ i=0 (first current zero) 1 ∴ dV(0) = 0 =   i (t) C
  • 24.
    Also VC(0) =arc voltage ; which is negligible  2 s ω0  ⇒ VC (s) = Vm  2 2  .......................(7)  (s + ω )(s + ω0 )  2 2 From partial fraction analysis: s 1  s s  = 2 2  2 − 2 2  (s + ω )(s + ω0 ) (ω0 − ω )  (s + ω ) (s + ω0 )  2 2 2 2 2 Sub into (7) ω02  s s  VC (s) = Vm 2  − 2 2  (ω0 − ω 2 )  (s 2 + ω 2 ) (s + ω0 )  Taking inverse: 2 ω0 1 VC (t) = 2 Vm [ cos ωt - cos ω0 t ] ; where ω0 = (ω0 − ω 2 ) LC
  • 25.
    For most circuits: C << small and ω0 >> ω 2 ω0 ∴ 2 →1 (ω0 − ω ) 2 ∴ VC (t) = Vm [ cos ωt - cos ω0 t ] Also for period of analysis, the power terms is constant w.r.t. ω0 ∴ equation becomes VC (t) = Vm [1 - cos ω0 t ] (1) Max. restrike voltage = VC(max)(t) = 2 Vm π which occurs at t = or π LC ω0 1 and f 0 = 2π LC
  • 26.
    Rate of Riseof Recovery Voltage [RRRV] dVC RRRV = (kV/µs) dt max 2Vm ⇒ RRRV = (kV/µs) t π 2V ω when t = ⇒ RRRV = m 0 ω0 π dVC Aside : = Vm ω0 sin ω0 t dt dVC π For ⇒ Vm ω0 sin ω0 t = 0 ⇒ sin ω0 t = 0 or t = dt maximum ω0
  • 27.
    CIRCUIT CONSTANTS Double Frequency: Beforeopening C.B.:  L2  VC =   L + L Vm   1 2  After opening the switch, two circuits are formed as seen on the next slide
  • 28.
    1 Natural frequency ω0 = L1C1 and 1 Natural frequency ω1 = L 2C2  L2  Where VC1 = VC2 =  L + L Vm   1 2 
  • 30.
    Using Principle ofSuperposition : E Vp If = = (purely reactive i.e. R = 0) Z ω(L1 + L 2 ) E Vp ∴ If (t) = = sin ωt Z ω(L1 + L 2 )  L2  and VC 2 = Vp  L +L   1 2 
  • 31.
    For circuit interruptionat current zero: Vp ∴ i (s) = (L1 + L 2 )s 2 In ‘s’ domain:
  • 32.
    But VC(s) =i(s) Ƶ(s) s/C1 where Z(s) = 2 (operational impedance) s + (1 / L1C1 ) sL1/L1C1 = s 2 + (1 / L1C1 ) 1 2 L1s ω1 set ω1 = ⇒ Z(s) = 2 L1C1 s + ω1 2  Vp   L1s ω1  2  L1   2 ω1  ⇒ VC (s) =   (L + L )s 2   s 2 + ω 2    =   L + L   s(s + ω 2 )  Vp  2   1 2  1   1 2   1 
  • 33.
    2 ω1 1 s But = − 2 s(s + ω1 ) s s + ω1 2 2 2  L1   1 s  ∴ VC (s) =   L + L   s s + ω2  Vp  − 2   1 2   1   L1  ⇒  L + L Vp [1 - cos ω1t ] VC (t) =    1 2   L2  From before VC ss =   L + L Vp cos ωt   1 2   L2   L1  ∴ VC = VC ss + VT =  L +L   L + L Vp [1 - cos ω1t ] Vp cos ωt +    1 2   1 2 
  • 34.
    For the otherhalf of the circuit: Vp where I f = sin ωt ω(L1 + L 2 ) Vp Vp and ramp function for I f is i (t) = t or i (s) = (L1 + L 2 ) (L1 + L 2 )s 2 Transformed circuit:
  • 35.
    From circuit VC(s)= - i(s) Ƶ(s) L 2 /C 2 L 2s ω 2 1 where Z(s) = = 2 2 and ω 2 = L 2s + 1 / C 2s s + ω 2 2 L 2C 2  L2   1 s  ∴ VC (s) = −  L + L   s s + ω2  Vp  − 2   1 2   2   L2  ⇒  L + L Vp [ cos ω 2 t - 1] VC (t) =    1 2  ∴ VC 2 = VC ss + VT  L2   L2   L + L Vp +  L + L Vp [ cos ω 2 t - 1] =     1 2   1 2 
  • 36.
     L2  =  L + L Vp cos ω 2 t   1 2   L2   L1   L2  = L +L Vp cos ωt +  L +L Vp [1 - cos ω1t ] −   L + L Vp cos ω 2 t   1 2   1 2   1 2 
  • 37.
    BEWLEY’S LATTICE DIAGRAMS KilometricFault Analysis: L Recall : Surge Impedance = Z 0 = C 1 Velocity of propagation = v = ms-1 LC If Ei = incident wave and Er = reflected wave then: R - Z0 Er = Ei R + Z0 Where R = terminating impedance
  • 39.
    SWITCHGEAR MATERIALS SELECTED MATERIALSHOULD: - Have the required technical properties - Ease of working (forming, welding etc.) - Low cost - Stability and reliability Enclosures: Steel is the most common choice - Mechanical strength - Economics Sheet thickness related to risk of “burn through”
  • 40.
    Disadvantages: - Magnetic - Corrosion CONDUCTING MATERIAL - Must have low specific resistance - Resist corrosion Silver exhibits the lowest resistance but cost is prohibitive.!! ∴Silver coated contacts used: (0.02 ∼ 0.05mm) N.B. silver oxide is a conductor
  • 41.
    Cu and Alalso used. Cu → Lower resistivity (than Al) and resists oxidation. Chrome Cu → Alloy gives good compromise between strength and hardness with good conductivity. Tungsten/Cu → Alloy used for contact tips (Resists Arc erosion)* * Main contact is silver/Cu. Beryllium Cu → used for low tension springs (Non-magnetic)
  • 42.
    Al is verysoft and oxidizes readily. Usually alloy with silicon used. Use in Switchgear restricted to conductors, and busbars and usually for low applications. Caution: - Cu/Al joints need special care. - Electrochemical effect.
  • 43.
    INSULATING MATERIALS *Can be solid, liquid or gaseous: Liquid & Gaseous: Includes air, SF6, oil and vacuum Dielectric Strength: x3 x3 ∞ Air → SF6 → Oil → Vacuum SOLID DIELECTRICS: Natural in Origin -: Mica, asbestos and slate Derived from natural materials: Porcelain, paper and shellac varnishes Newer materials : petrochemical derived, polymers, resins, films, plastics
  • 44.
    BULK MATERIALS: Glass (Pyrex), porcelain, epoxy and chalk, epoxy and silica, dough moulding compound, polyurethane resin. SHEET MATERIALS: SRBP*, SRBF*, glass filled epoxy, glass filled polyester SRB → synthetic resin bonded (paper, fabric) THERMOPLASTICS: Nylon, PVC, polyethylene, polytetra fluorethylene
  • 45.
    Requirements for SolidInsulation: - Long term stability of properties - No measurable internal discharges at working voltage - High tracking index - Good mechanical strength - Suitable for simple, low cost manufacturing.
  • 46.
    AIR CIRCUIT BREAKERS ArcExtinction: Natural deionization of gases by cooling action. Stretching Arc ⇒ R ↑ As R ↑ ⇒ If ↓ and ∠θ → 0 ⇒ i=0 when v=0 Rarc can be increased: (1) Increasing arc length (2) Cooling arc (3) Splitting arc into several arcs
  • 47.
    ARC CHUTES: Two (2) Types: - Insulated plate - Metal plate Controlling force that direct arc into chute given by natural electromagnetic and thermal forces of the arc. * Strong magnetic field provided by: (i) External iron cct around the arc energised by turns current fault current. (ii) Internal iron cct in form of special shaped steel plates.
  • 49.
    Arc Chutes: Perform three (3) functions - Confinement of arc - Magnetic control - Rapid cooling of arc gases Arc Splitter:
  • 51.
    Three (3) stagecontact arrangement: (1) Main contact (2) Intermediate contact (3) Arcing contacts
  • 52.
    SLOTTED MAGNETIC PLATE: A: Lines of magnetic flux B: Direction of current flow C: Direction of force on arc column N.B. Plates are installed in chute in alternate pattern
  • 53.
    AIR BLAST C.B. Types: (1) Axial Blast High voltages (2) Radial Blast (3) Cross Blast Operation: Interruption f (turbulence for cooling) Dry compressed is an excellent dielectric. Extinction occurs at 1st current zero.
  • 54.
    Factors influencing performance: (a) Air Pressure: Dielectric strength increases with increasing pressure, i.e breaking capacity ∝ pressure at nozzle. (b) Cct Severity
  • 55.
    (c) Distance BetweenContacts (d) Contact material → improvement (high B.P. material) (e) Area of exit hole ↑ (f) Resistance switching (shunt) - Reduce RRRV and restriking voltage (Vc) - Reduce transient voltage - Improve uniformity of voltage sharing → multibreak CB
  • 56.
    PROS: PROS - No fire hazard - Fast operation - Suitable for rapid reclosing - High rupturing capacity - Low contact damage - Easy access to contacts CONS: CONS - Complete air system - Complicated construction - Specialized maintenance required - Sensitive to RRRV - Noisy
  • 57.
    Shunt Resistors: They are used for: - Voltage grabbing - Overvoltage suppression - Reducing cct. severity - Closing resistors for energizing long tx lines
  • 58.
    OIL CIRCUIT BREAKER Heatof arc immediately dissociates the surrounding oil into C and H2. H2 has high heat conductivity hence cooling of arc and contacts cooling so fast that re-ignition voltage is 5 – 10 times as for A.C.B. Evolved gas: H2 – 66% CH4 – 9% C2H2 – 17% other – 8% HIGHLY FLAMMABLE!!!!!!! Volume Generated fn arc energy (≡Isc)
  • 59.
    PROS: PROS - Oil is a spontaneous producer of H2 - Very good dielectric - Very good thermal conductivity CONS: CONS - Flammable - H2 and oil can form an explosive mixture with air - Carbon pollution of oil See handout!
  • 60.
    EVOLUTION OF OCB (1) Plain Break - No special Arc Extinction system - Extinction due to turbulence and pressure
  • 61.
    Pressure depended on: - Length of break ….. Large tank - Speed of contact movement - Head of oil - Clearance between contacts tank and earth (2) Arc Control OCB Confinement of produced gas in rigid insulating chamber called arc control pots or explosion pots
  • 62.
    (3) Minimum oil volume (Ref to Fig 9) - Uses solid materials for insulating purposes and just enough oil for arc quenching - Oil tank is at system voltage hence ‘Live tank OCB’ nomenclature. Three (3) types: (i) Self blast type (ii) External blast (iii) Combination (i) and (ii)
  • 67.
    BULK OIL PROS: - Simplicity of Construction - High rupturing capacity - Possibility of locating C.T. in bushing CONS: CONS - Fire/explosion hazard - Large volume of oil - Contamination of oil → C - Not suitable for indoor application - Auto-reclosing inability - Costly
  • 68.
    MINIMUM OIL C.B. PROS: - Small quantity of oil - Physically smaller - Lower costs - Easier access to contacts CONS: - Fire/explosion hazard - Not good for repeated cycle of operation - Frequent inspection of oil quality - Greater contact damage - Difficulty in locating C.T.s - Lower rupturing capacity
  • 69.
    SF6 BREAKERS Properties: - Colourless - Odourless - Non –toxic - Non-flammable - 5 times denser than air - B.P. - 60 °C - Thermal transfer coefficient = 1.6 x air - Vapour pressure at 20 °C = 24 atm. - Inert up to 150 °C - Decomposes to: SF4, SF2, S, F2 (corrosive to glass and metals in presence of moisture) Interaction gives whitish powder of high insulating properties → contacts should be self wiping.
  • 70.
    - Absence of C - All decomposed gasses recombine within 10-6 – 10-7 s after arc extinction - Traces eliminated by activated Alumina - At atmospheric pressure, dielectric strength ≈ 2.5 x air SF6 strongly electronegative SF6 + e → SF-6 SF6 + e → SF5 + F- See figs 13 & 14 for Operation of SF6 breakers
  • 73.
    VACUUM C.B. - Vacuum arc persists because of metal atoms ejected from cathode spot. - Intensity of vapour jets ∝ intensity of current flow ⇒ plasma falls as current falls to zero. - At current zero metal atoms and ions migrate and condense on electrodes, shields and walls rapidly deionising gap. * Total absence of charge carriers ⇒ vacuum breaker has near ideal withstand characteristics.
  • 74.
    Fig. 1 Diagrammaticrepresentation of vacuum arc
  • 76.
    Applicable Properties ofVacuum (i) Highest insulating strength known. (ii) Interruption occurs at first current zero & dielectric strength building up at rate 1000 x that of conventional breakers. (iii) At current zero, cathode spot extinguishes within 10-8 s
  • 77.
    - The Diffuse arc has very high interrupting ability - The Constricted arc has no interrupting ability In order to ensure arc does not remain constricted, special contacts have been designed. (i) Spiral petal contact (ii) Contrate contact Depend for action on interaction of magnetic field of arc so as to keep the arc in constant motion.
  • 79.
    Contact materials: materials - Must not weld under fault conditions - Must not chop on magnetizing current switching - Must permit high dielectric recovery after interruption - High conductivity - Ease of manufacture Used→ * Copper – Bismuth alloy * Copper – chromium alloy
  • 80.
    BUSHINGS Capacitor (condenser) Type: - Divide the dielectric insulation around the central conductor into a large number of concentric capacitors - Results in a set of concentric capacitors which are electrically in series → hence division of system voltage in discrete steps - Highest stress occurs at ends of conducting layers
  • 83.
    Mechanical considerations: considerations - C.B. forces on a bushing far exceed the ‘G’ range of recorded earthquakes! - Transformers bushings do not experience this in normal operation. - Check on mechanical strength before installing spare transformer bushing on C. B.
  • 84.
    Bushing maintenance: maintenance - Visual inspection: oil level; sight glass, broken housing etc. - Field testing - Power factor Trending - Capacitance - Factory Repairs : water ingress - Field Repairs: Very difficult and not normally done - Change-out may be more economical
  • 85.
    C. B. ratings: ratings - Rated V and I - Rated frequency - Breaking Capacity-: symmetrical and asymmetrical - Making capacity - Short-time current duration - Operating duty.
  • 86.
    TYPE TESTS Applied toone of the batch at manufacture. 1. Mechanical  2. Temperature Rise at rated current  3. Impulse Voltage (1.2/50 µs wave)  4. Short circuit (opening & closing)  5. Short-time current → 2.5 x RMS rated s/c for 1 second  6. Transient Restrike Voltage → form (1- cos)  7. Contact Condition  8. Critical current (OCB)  9. 1φ opening of 3φ s/c  10. Kilometric fault  11. Load switching → R,L,C  12. Transformer magnetizing Current
  • 87.
    ROUTINE TESTS (AllC.B.) 1. High Voltage 2. Mechanical 3. Resistance tests (ohm meter) 4. For O.C.B. → oil testing

Editor's Notes

  • #3 1 angstrom ( Å) = 1.0 × 10 -10  meters