Marc Ramirez

Circuits monofàsics

7- Un circuit RL sèrie format per una resistència de 68 Ω i una inductancia de 100mH es
trova connectat a una tensió de 230V i 50Hz. Calcula'n:
a) La impedància total.
b) La intensitat de corrent.
c)La ciguda de tensió en cada component.
d)Realitza un diagrama vectorial i sinusoïdal de les tensions i del corrent.
8- Un circuit RC sèrie format per una R = 100 Ω i un C = 50 µF es connecta a una tensió
alterna de 24 V i 50 Hz. Determina'n:
a) El valor del corrent.
b) La tensió en R i C.
c) Realitza el diagrama sinusoïdal.
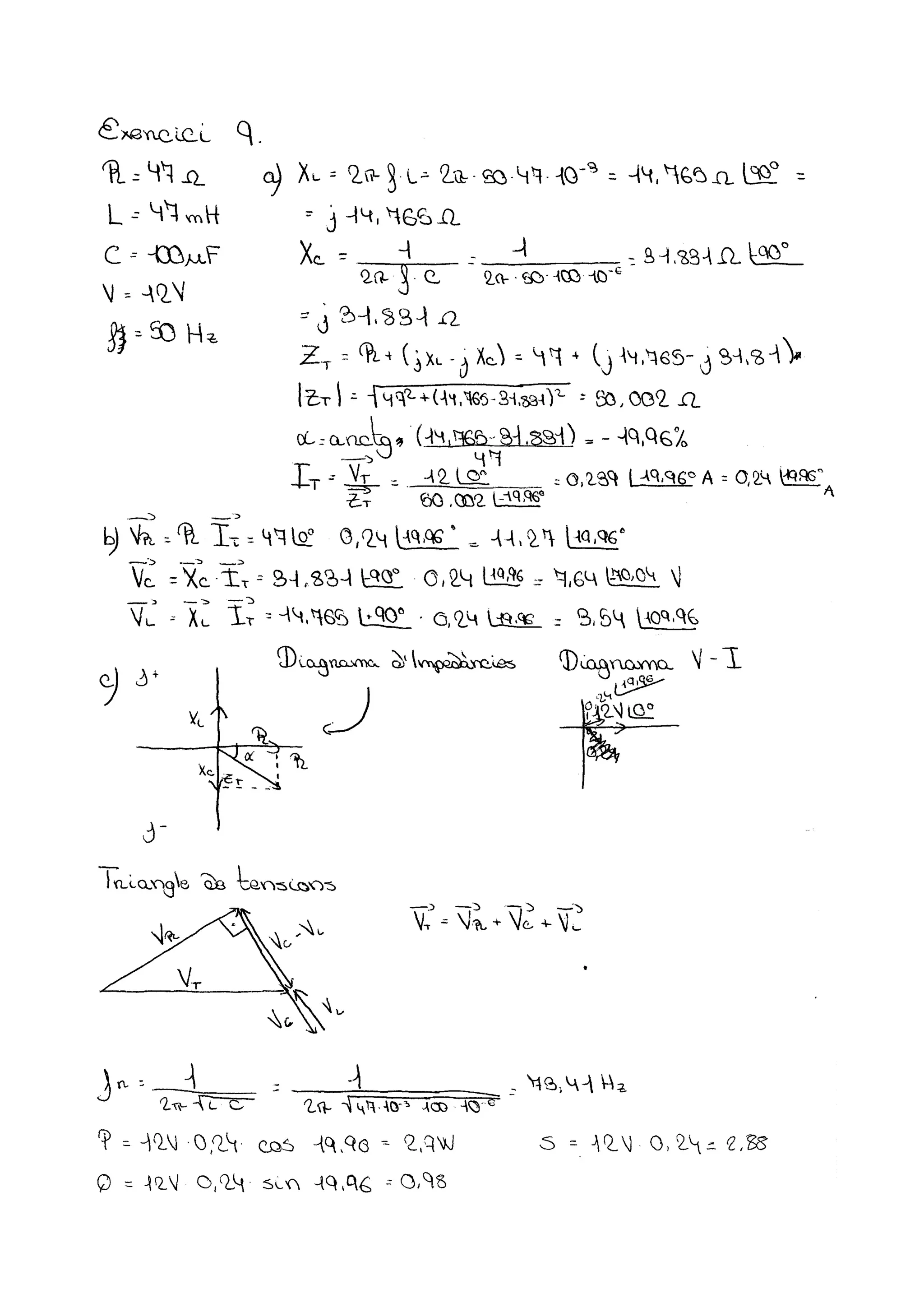
9- Un circuit RLC sèrie format per una R = 100 Ω, una L = 47mH i un C = 50 µF es
connecta a una tensió alterna de 12 V i 50 Hz. Determina'n:
a) El valor de la intensitat de corrent.
b) La tensió en R, L i C.
c) Realitza el diagrama sinusoïdal.
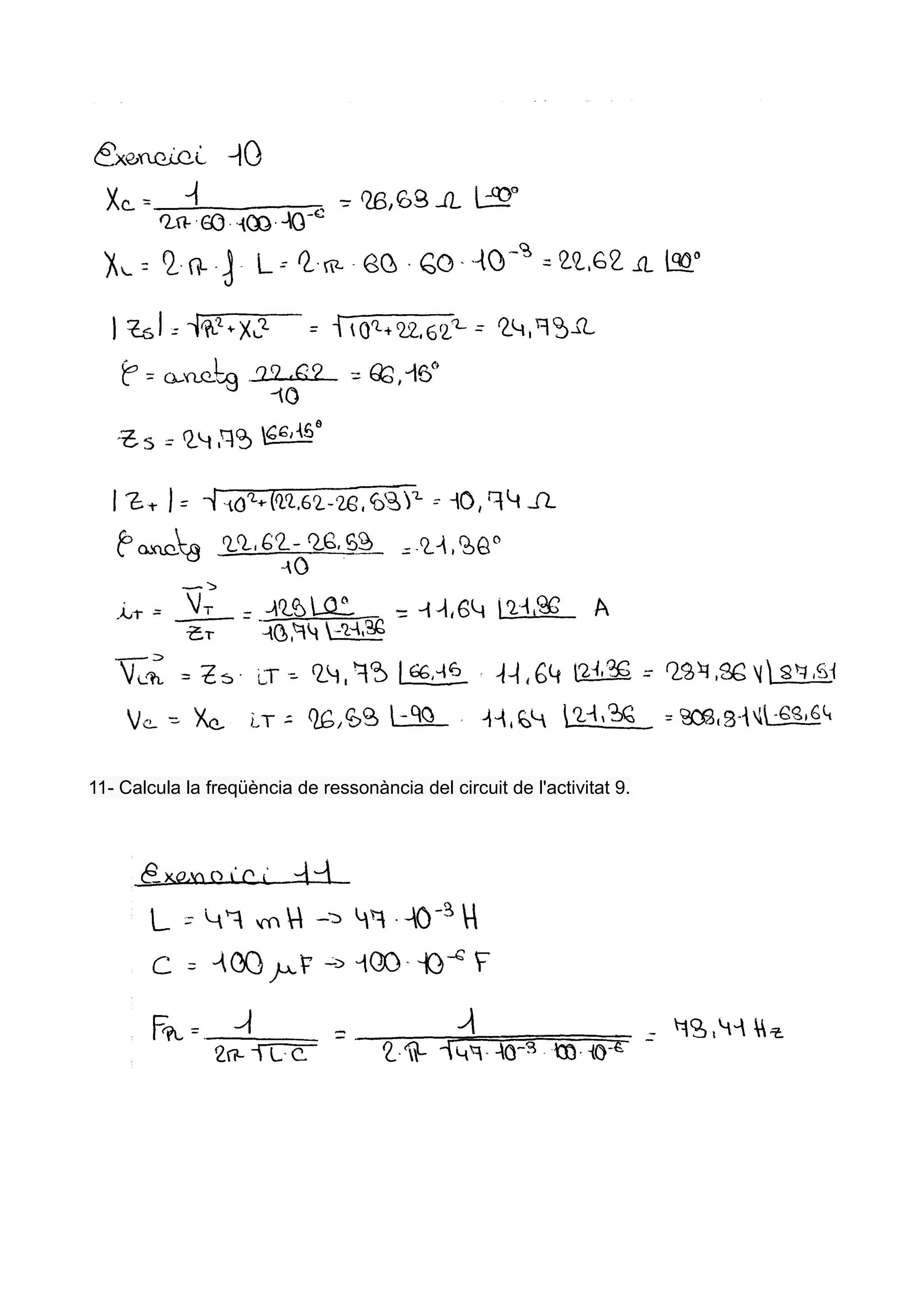
10- Una bobina presenta una inductància de 60 mH i una resistència òhmica de 10 Ω, i es
troba en sèrie amb un condensador de 100 µF. Determina la caiguda de tensió en cada
component si el conjunt es troba connectat a 125 V i 50 Hz.
11- Calcula la freqüència de ressonància del circuit de l'activitat 9.

Cricuits monofàsics

  • 1.
    Marc Ramirez Circuits monofàsics 7-Un circuit RL sèrie format per una resistència de 68 Ω i una inductancia de 100mH es trova connectat a una tensió de 230V i 50Hz. Calcula'n: a) La impedància total. b) La intensitat de corrent. c)La ciguda de tensió en cada component. d)Realitza un diagrama vectorial i sinusoïdal de les tensions i del corrent.
  • 3.
    8- Un circuitRC sèrie format per una R = 100 Ω i un C = 50 µF es connecta a una tensió alterna de 24 V i 50 Hz. Determina'n: a) El valor del corrent. b) La tensió en R i C. c) Realitza el diagrama sinusoïdal.
  • 5.
    9- Un circuitRLC sèrie format per una R = 100 Ω, una L = 47mH i un C = 50 µF es connecta a una tensió alterna de 12 V i 50 Hz. Determina'n: a) El valor de la intensitat de corrent. b) La tensió en R, L i C. c) Realitza el diagrama sinusoïdal.
  • 7.
    10- Una bobinapresenta una inductància de 60 mH i una resistència òhmica de 10 Ω, i es troba en sèrie amb un condensador de 100 µF. Determina la caiguda de tensió en cada component si el conjunt es troba connectat a 125 V i 50 Hz.
  • 8.
    11- Calcula lafreqüència de ressonància del circuit de l'activitat 9.