CORRELATION
Karl Pearson's co-efficient of correlation :
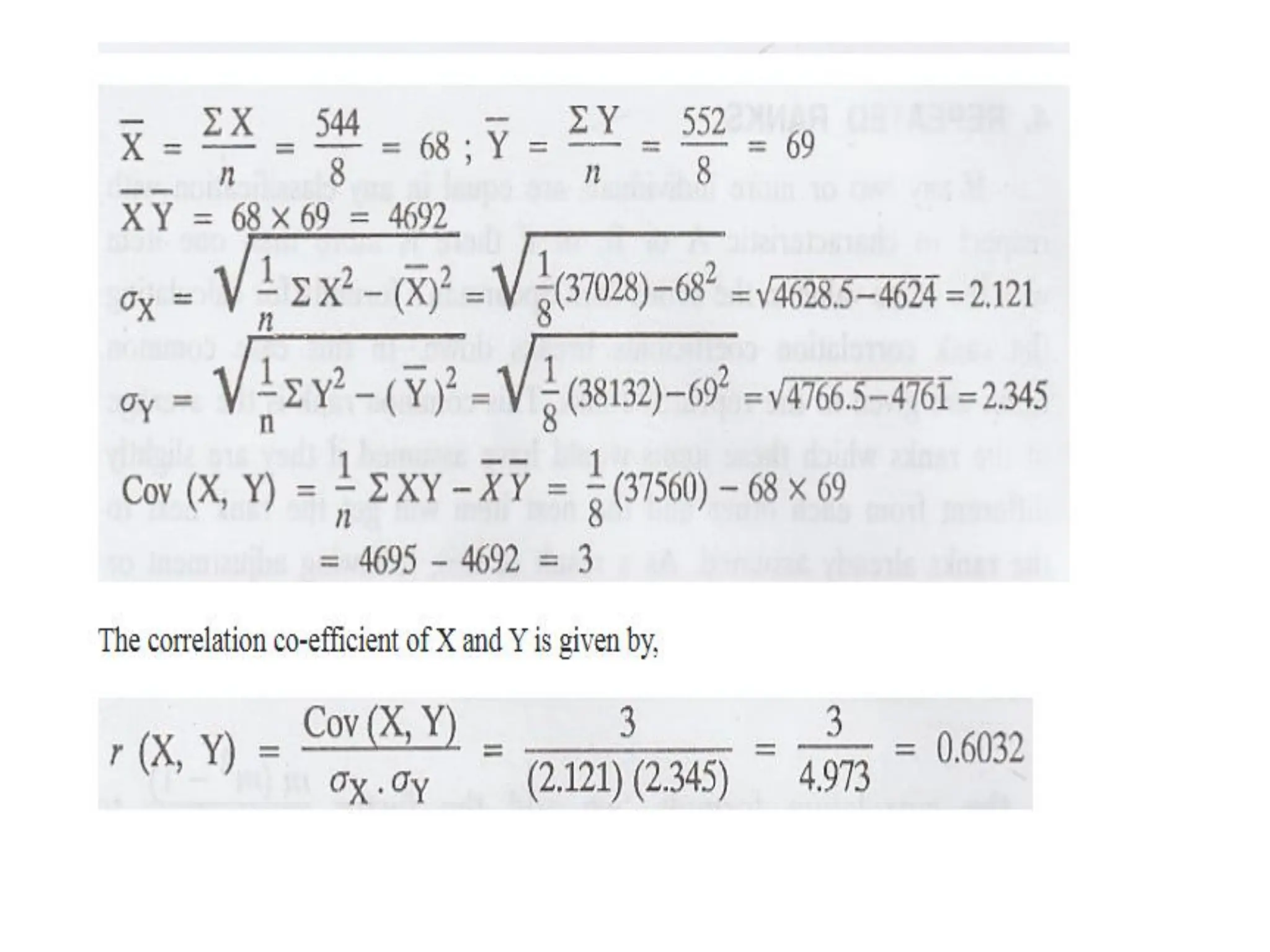
Let X and Y be given random variables. The Karl Pearson's co-efficient of correlation
is denoted by rXY or r(X, Y) and defined as
Calculate the correlation co-efficient for the following heights (in inches) of fathers X and
their sons Y.
RANK CORRELATION
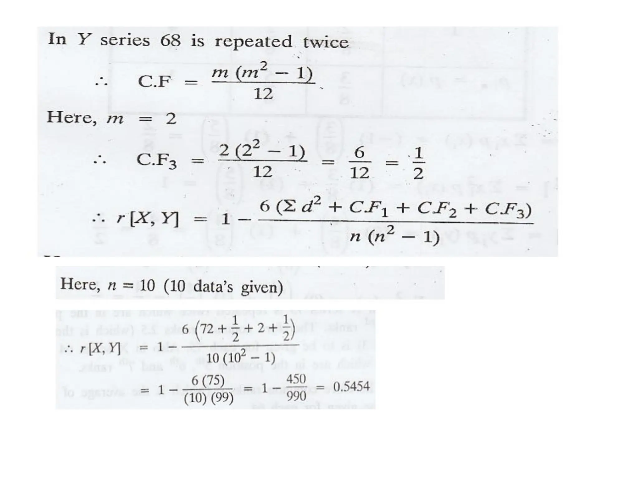
REPEATED RANKS
correction factor
Ten participants were ranked according to their performance in a mustical test by
the 3 Judges in the following data.
CORRELATION MATHEMATICS AND QUESTION ANSWERS
CORRELATION MATHEMATICS AND QUESTION ANSWERS
CORRELATION MATHEMATICS AND QUESTION ANSWERS
CORRELATION MATHEMATICS AND QUESTION ANSWERS
CORRELATION MATHEMATICS AND QUESTION ANSWERS

CORRELATION MATHEMATICS AND QUESTION ANSWERS