The	
  Under	
  Used	
  Power	
  of	
  Social	
  Media	
  in	
  Televised	
  Events	
  
A	
  dissertation	
  submitted	
  by	
  	
  
Rebecca	
  Blackmore	
  
In	
  partial	
  completion	
  of	
  the	
  award	
  of	
  	
  
Event	
  Management	
  BA	
  (Hons)	
  
	
  
	
  
	
  
	
  
	
  
	
  
	
  
	
  
	
  
	
  
	
  
	
  
	
  
	
  
	
  
‘I	
  hereby	
  declare	
  that	
  the	
  dissertation	
  submitted	
  is	
  wholly	
  the	
  work	
  of	
  Rebecca	
  
Blackmore.	
  Any	
  other	
  contributors	
  of	
  sources	
  have	
  either	
  been	
  referenced	
  in	
  the	
  
prescribed	
  manner	
  or	
  are	
  listed	
  in	
  the	
  acknowledgements	
  together	
  with	
  the	
  nature	
  
and	
  scope	
  of	
  their	
  contribution.’	
  
	
  
	
  
	
  
	
  
	
  
	
  
	
  
	
  
	
  
	
  
	
  
	
  
	
  
	
  
	
  
	
  
School	
  of	
  Tourism	
  	
  
Bournemouth	
  University	
  
  I	
  
	
  
 
	
   II	
  
Abstract
This dissertation is an explanatory study into social media use within the context of
televised events, revealing the current under utilised marketing potential of social
media. It also investigates the current levels of engagement of social media platforms
and there development and intergration into televised events.
Primary qualitative research has been collected for this study in the form of an online
Facebook focus group and additionally, a case study has been examined, comparing and
contrasting three televised event examples, which have been analysed through online
analysis.
Results and conclusions were drawn from the research, highlighting the key findings
that demonstrate the current under utilisation of social media marketing within televised
events, is due to the content of the event.
This study highlights the power of social media platforms focusing on Twitter,
Facebook and YouTube. As a result of this study a secondary key finding highlighted
the huge marketing potential of the platform YouTube. The study has shown reasoning
behind the current lack of social media engagment through televised events and how
they can embrace social media marketing for the future growth and development.
As a result ,the author recommended further investigation into the leverage celebrity
presenters have, on extending the reach of televised events engagment.
Word Count: 9,982
	
  
	
  
	
  
	
  
	
  
	
  
	
  
	
  
	
  
	
  
	
  
	
  
	
  
	
  
	
  
  III	
  
Acknowledgement
I would like to thank my advisor Deborah Sadd, to whom I am sincerely grateful too for
all her time, patients, commitment and support through the journey of writing this
dissertation. Besides Deborah, I would like to thank my mother, father and brother for
their continued support, patients and believeing in me, I hope I make you proud. I
would like to thank my friends for being there for me throughout this journey. Lastly I’d
like to thank my horse Hoggie for his continued support, without these individuals in
my life this dissertation would not have been possible.
	
  
	
  
	
  
	
  
	
  
	
  
	
  
	
  
	
  
	
  
	
  
	
  
	
  
	
  
	
  
	
  
	
  
	
  
	
  
	
  
	
  
	
  
	
  
	
  
	
  
	
  
	
  
	
  
	
  
	
  
	
  
	
  
	
  
	
  
	
  
	
  
	
  
	
  
	
  
	
  
	
  
	
  
 
	
   IV	
  
Contents page
Dissertation Declaration…………………………………………………………..…I
Abstract…………………………………………………………………….……........II
Acknowlegdement…………………………………………………………………..III
List of Figures and Tables……………………………………………………..…VII
1.0 Introduction……………………………………………………………………….1
1.1 Introduction t Study…………………………………………………….…1
1.2 Aim………………………………………………………………………….1
1.2.1 Objectives……………………………………………………………2
1.3 Rationale………………………………………………………………..….2
1.4 Dissertation Structure …………………………………………………....3
2.0 Literature Review…………………………………………………………..…….4
2.1 Background into Events………………………………………………4 - 6
2.2 New Marketing and Web 2.0……………………………………………..6
2.3 What is Social Meida ……………………………………………………..7
2.4 The History of Social Media ……………………………………………..8
2.5 Social Media the Future of Word of Mouth Marketing…………………9
2.6 Social Media within the Events Industry………………………………10
2.7 The Wow Factor………………………………………………………….11
2.8 Events Advertising and the Economy………………………………….12
2.9 Critique of Social Media within Events………………………………...13
2.10 Research Gap…………………………………………………………..14
2.11 Summary ……………………………………………………………….14
3.0 Methodology…………………………………………………………………….16
3.1 Introduction ………………………………………………………………16
3.2 Research Aims and Objectives………………………………………...16
3.3 Research Approach and Strategy……………………………………...16
3.3.1 Explanatory Research………………………………………...16
3.3.2 Primary Research …………………………………………….17
3.3.3 Quatitative and Qualitative …………………………………..17
3.3.4 Triangulation…………………………………………………...18
3.4 The Case Study…………………………………………….……………19
3.4.1 The Sun Military Awards……………………………………...19
3.4.2 BBC Sports Personality of the Year…………………………20
  V	
  
3.4.3 The BAFTA’s………………………………………………..….20
3.5 Research Design ………………………………………………………..20
3.5.1 Internet Research………………………………………….…..20
3.5.2 Pilot…………………………………………………………...…21
3.5.3 Focus Groups………………………………………………….21
3.5.4 Focus Group Design …………………………….……………21
3.5.5 Coordination and Standardisation…………….……………..22
3.5.6 Online Focus Group…………………………………………...23
3.5.7 Open-ended Questions……………………………………….24
3.5.8 Facebook Focus Groups……………………………………...24
3.6 Rationale………………………………………………………………….25
3.7 Analysis…………………………………………………………………...25
3.8 Transcript and Coding…………………………………………………..25
3.9 Limitations ………………………………………………………………..26
3.10 Ethics………………………………………………………………...26-27
4.0 Results and Discussion…………………………………………………..…..28
4.1 Televised Events Online Analysis……………………………….……..28
4.1.1 Facebook Analysis…………………………………………….28
4.1.2 Twitter Analysis……………………………………………..…29
4.1.3 YouTube Analysis………………………………………….29-31
4.2 Televised Events and Social Media Engagement………………..31-33
4.3 Under Estimated Marketing Power of YouTube……………….……..33
4.4 Televised Event Presenters…………………………………….......34-36
4.5 Event Content…………………………………………………………….36
4.6 Limitations…………………………………………………………….37-38
5.0 Conclusion and Recommendations……………….………………..………39
5.1 Importance of the Study………………………………………...………39
5.2 Aims and Objectives…………………………………………………….39
5.2.1 To Investigate The Current Academic Literature In Relation
To Social Media Usage Within The Events Industry………40
5.2.2 To Compare And Contrast Social Media Intergration Into
Three Televised Events……………………………………...40
 
	
   VI	
  
5.2.3 To Explore Suitable Tools For Measuring Social Media
Engagement…………………………………………………...41
5.2.4 To Suggest Solutions For The Future Of Social Media
Engagement Within Televised Events…………………...…41
5.3 Limitations of The Study………………………………………………...42
5.4 Recommendations……………………………………………………….42
6.0 References……………………………………………………………..……43-54
7.0 Appendices……………………………………………………………...………55
Appendix A Pilot Online Analysis………………………………….……….55
Appendix B Online Facebook Focus Group Coded Transcript……..57- 68
Appendix C Ethics Check List ………………………………………….69-73
	
  
	
  
	
  
	
  
	
  
	
  
	
  
	
  
	
  
	
  
	
  
	
  
	
  
	
  
	
  
	
  
	
  
	
  
	
  
	
  
	
  
	
  
	
  
	
  
	
  
	
  
	
  
	
  
	
  
	
  
	
  
	
  
  VII	
  
List of Figures and Tables
Introduction
Figure 1.0 Dissertation Structure…………………………………………………….3
Literature Review
Figure 2.0 Typologies of Events…………………………………………………..…5
Figure 2.1 Events Management Knowledge Domain………………………...……6
Figure 2.2 Key Social Platforms ……………………………………………………..8
Figure 2.3 Negative Comments in Social Media……………………….…………13
Methodology
Table 3.0 Types of Research Method…………………………………………...…17
Table 3.1 Triangulation………………………………………………………………19
Table 3.2 Facebook Focus Group Coding Framework…………………………..26
Results and Discussion
Figure 4.0 Three Televised Events Facebook Likes……………………………..28
Figure 4.1 Facebook Focus Group………………………………………………...28
Figure 4.2 Three Televised Events Twitter Following……………………………29
Figure 4.3 YouTube Channel Subscribers……………………………….………..30
Figure 4.4 YouTube Channel Views…………………………………………….…30
Figure 4.5 Facebook Focus Group Coded Transcript Part A……………………31
Figure 4.6 Facebook Focus Group Coded Transcript Part B……………………31
Figure 4.7 Facebook Focus Group Coded Transcript Part C……………………32
Figure 4.8 Facebook Focus Group Coded Transcript Part D……………………32
Figure 4.9 Facebook Focus Group Coded Transcript Part E……………………33
Figure 4.10 The Independent Top 100 Most Influential Tweeters………………34
Figure 4.11 Event Celebrity Twitter Following Analysis………………………….35
Figure 4.12 Clare Baldings Twitter Page………………………………….……….36
Figure 4.13 Facebook Focus Group Coded Transcript Part F…….…………….37
  1	
  
1.0 Introduction
_______________________________________________________________
1.1 Introduction to study
This study explores and investigates the power of social media within televised events.
With the internet and other digital technology at the forefront of transforming
marketing, (Chaffey et al 2009) marketing is a key domain within every successful
event (Getz 2007). It is crucial that events recognise future developments not only
within the industry but futhermore the enviroment around them, in order to meet the
demands of the modern consumer.
It is becoming increasingly difficult to ignore the constant growth in popularity of the
internet and social media, particularly with the development of web 2.0 in 2005
(Constantinides and Fountain 2007). Currently 51% of internet users are accessing the
internet for three hours or more a day (Mintel 2009), with a further 57% of television
consumers accessing the internet whilst watching television (Van Grove 2009). Social
media has become the second most popular activity to do whilst online (Mintel 2012).
Social media is continuing to evolve, offering consumers of all types from around the
globe new ways of engaging, not only with people, but also brands and events
(Nielsen2012). Despite the popularity of social media from the perspective of the
consumer, businesses and events are still under utilising the huge marketing potential of
social media. Highlighting the need for research into why events and specifically
televised events, are currently failing to exploite this new form of word of mouth
marketing to leverage events. It is vital to gain understanding why televised events are
currently under utilising social media within televised events for the future growth and
development of the industry, as well as to protect the longevity of events.
1.2 Aim
The aim of this thesis is to demonstrate the under utilised marketing potential of social
media in mediated events.
 
	
   2	
  
1.2.1 Objectives
In order to achieve the aim the following objectives have been set:
• To Investigate the current academic literature in relation to social media usage
within the events industry.
• To Compare and contrast social media intergration into three televised events.
• To explore suitable tools for measuring social media engagement.
• To suggest solutions for the future of social media engagement within televised
events.
1.3 Rationale
An investigation of the current literature in relation to the use of social media within
televised events, identified that televised events are currently under utilising the
marketing potential of social media. Recognising this research gap highlighted to the
author, the need to explore and emphasise the importance of social media to the events
industry. This is essential in order to establish stable growth for events and ensure
events longevity, within the current techno dependant society.
Left Intentionally Blank
  3	
  
1.4 Dissertation Structure
The structure of the dissertation as state in Figure 1.0. identifies each chapter and the
processes used within each.
Figure 1.0 Dissertation Structure (Source: Author 2013)
	
  
	
  
	
  
	
  
	
  
	
  
	
  
	
  
	
  
	
  
	
  
	
  
	
  
	
  
	
  
	
  
	
  
	
  
	
  
Chapter One: Introduction
Introduction to the study, research aims and objectives, context and
rationale of study.
	
  
Chapter Two: Literature Review
A review of the current literature in relation to social media and the
events industry.
Chapter Three: Methodology
Research methods are defined with justification of the methods
descibed and how the research will be carried out.
Chapter Four: Results and Discussion
Brings all the research together and discusses the findings in relation
to the existing literature, and the aims and objectives of the study.
Chapter Five: Conclusion and Recommendations
This chapter concludes the study and suggests recommendations.
 
	
   4	
  
2.0 Literature Review
This chapter will give an overview and insight into the events industry and social media, in
relation to the adaptation of word of mouth marketing and its modernisation, enabling it to
capture the current techno dependent society. It draws upon current literature,
investigations and previous research in both sectors to aid fulfilment of the research aims
and objectives.
2.1 Background into events
The events industry is made up of many different types of events Matthews (2007) defines
an event as:
“ a gathering of human beings, generally lasting from a few hours to a few days,
designed to celebrate, honor, discuss, sell, teach about, encourage, observe, or influence
human endeavors.” (Matthews 2007).
This quote not only defines what an event is, but more broadly states how an event is hard
to define, as it is a very large subject area. An event can be defined further, as “A special
event is a unique moment in time celebrated with ceremony and ritual to satisfy specific
needs” (Matthews 2008, p.3) The quote narrows down events into channels and
demonstrates that every event is held in order to satisfy a specific need. These needs can be
categorised into different types of events, more commonly known within the events
industry as the Typologies of events (Getz 2007) see figure 2.0.
  5	
  
Figure 2.0 – Typologies of Events (Getz 2007, p.404)
The figure above shows and states how events are categorized within the industry into
different fields of typology. Once the event has been catergorized it is then easier to define
and build upon. A team of various experts within each field will be constructing the event
to meet a particular clients needs. The teams are made of various specialists within the
service industry who come together to build various events e.g. televised events. Televised
events a category also known within the events industry as media events, which are
defined as “an event that is staged for or exploited by the mass media, whose attention
lends it an apparent importance” (Collins 2013). Highlighting how this type of event is
very different from Matthews (2007) broader event definition stated earlier. Demonstrating
this point emphasises the various different needs each particular event type requires from
the different areas, which make up an event, also known as the event domains. The figure
below highlights the domains that the members of the event team specialise in e.g. event
marketing (see figure 2.1).
Left Intentionally Blank
 
	
   6	
  
Figure 2.1 - Event Management Knowledge Domains (Getz 2007, p.2)
The five domains above (see figure 2.1) establish the key elements of creating a successful
event. One key element of the five domains is marketing and communication. A
fundamental component of a successful event is promotion and marketing (Eden ca.2013).
Pointroll’s (2012) report highlights the most important marketing tools across the events
and marketing industries.
“social media (24%), search advertising (24%) and display advertising (22%)
will be the most popular industry tools this year.” (Pointroll 2012, p.4).
The report demonstrates the growth of online marketing and highlights the importance of
using social media as a tool to leverage and market events, through online engagement
with consumers. Mintel states that “two thirds (63%) of social network users visit
Facebook at least one a day” (Mintel 2012). Emphasising this figure is the minimum that
consumers access this particular social media platform in a day, strongly arguing and
stating the need for companies to be utilising social media platforms within their marketing
strategies.
2.2 New Marketing and Web 2.0
Online marketing has been revolutionised by the creation of web 2.0 in 2005
(Constantinides and Fountain 2007). Without the transformation of web 2.0, which Lincoin
(2009, p.8) defines as:
  7	
  
“Web 2.0 is a web in which people can interact and participate rather than just
read. A good way to picture web 2.0 is as the world’s biggest Café, whereas the earlier
web was the worlds biggest library.” (Lincoin 2009, p.8).
The quote demonstrates how web 2.0 has modernised the way in which consumers use the
internet even further than before. Giving consumers the power to interact freely with each
other, through collaboration and contributions to online communities across the world
(Anderson 2007). The revolution has changed the world and the way in which consumers
and businesses communicate, furthermore it has changed the way the world conducts
business, impacting every job at every kind of company (Mayfield 2008). This great shift
in communication and advancement in digital technology made the name web 2.0 seem
obscure, therefore web 2.0. rapidly adopted the name social media, because of the new
ability it created allowing users to interact with friends, family friends, friends of other
friends and complete strangers, however they all share a mutual interest (Fogel 2010).
2.3 What is Social Media?
Ellison and Boyd (2008, p.211) define social media as:
“web-based services that allow individuals to construct a public or semi-public
profile within a bounded system (2) articulate a list of other users with whom they share a
connection.” (Ellison and Boyd 2008, p.211).
This definition is one of many which is given in the industry, futhermore Solis (2011, p.21)
defines social media more simply as "Any tool or service given that uses the internet to
facilitate conversations." This definition maybe shorter than Ellison and Boyd (2008,
p.211) however it is still a correct definition, furthermore within the Ellison and Boyd’s
(2008, p.211) definition they identify a secondary definition. Highlighting how Social
media definitions are not clear cut, but are reliant upon the interactions of the user in order
to gain a true interpretation and clarification.
Intentional Gap
 
	
   8	
  
2.4 The History of social media
1997 launched the very first social media site called sixdegrees (Hershey 2010).
Sixdregrees operated and shared similar offerings to the contemporary sites e.g. Facebook
(Goble 2012).
The rapid growth of social media has lead to the launch of hundreds of social networking
sites (Ishak ca.2013). There are now many different types of social media platforms that
range in what they offer in terms of communication. The figure 2.2 below highlights the
key social media tools, which are used within industry today.
Figure 2.2 – Key Social Platforms (Rodrigo2012)
The figure demonstrates how verbal communication is only one form of online
communication, various social media platforms now exists extending upon how consumers
interact online, through videos sharing, blog posting, podcasts, photo sharing and more.
Currently companies are trying to use a variety of these platforms in their integrated
marketing communication strategies (IMC).
Intentional Gap
  9	
  
Marketers plan to increase their usage of the following social media platforms:
“YouTube (76%), Facebook (72%), Twitter (69%), blogs (68%), Google + (67%)
and Linkedin (66%)” (Stelzner 2012, p.5).
Highlighting the expansion of social media marketing within business. The Social Media
Examiner report additionally identifies:
“Top five social media networks/tools for marketers: Facebook, Twitter, LinkedIn,
blogs and YouTube were the top five social media tools used by marketers, in that order ”
(Stelzner 2012, p.5).
This quote demonstrates the current top five social media platforms, thus highlighting how
crucial social media platforms are for marketing events in the current techno dependant
society. Therefore companies must ensure they are integrating these methods to guarantee
their business is not left behind.
2.5 Social Media the Future of Word of Mouth Marketing
Social media stands out from traditional forms of mediated marketing as Lincoln (2009,
p.10) suggests “social media is more about the ideas that you share, collaborate on, create
and participate in rather than observe:” Thus, highlighting how social media inspires not
only marketers but their audience to be more creative through group participation,
interaction and engagement.
“Consumers are turning away from the traditional sources of advertising:
radio, television, magazines, and newspapers.” (Mangold and Faulds 2009, p.360).
Marketers need to move away from traditional forms of increasingly ineffective
advertising, which encourage marketers to just observe and monitor the audience’s
reactions, in order to be successful in the future (Mangold and Faulds 2009, p.360).
Social media is now branded and widely recognised as another form of Word of Mouth
(WOM) as Guildford (2012) states “social media marketing is an amped-up version of the
oldest and most powerful form of marketing: word-of-mouth.” Identifying how social
media is undoubtedly another form of Word of Mouth marketing (WOM). Keller (2007)
concurs with this statement and additionally identifies how WOM is the most important
 
	
   10	
  
and effective form of communication. Misner and Devine (1999) correspond with the
above statements agreeing that word of mouth is the most effective form of marketing,
however highlighting that this method of marketing is also the least understood marketing
strategy.
WOM is not only the hardest form of marketing to understand but due to the revolution of
web 2.0 and social media, it is now one of the fastest growing forms of marketing (Trusov
et al 2008). Identifing how important it is for marketeers to engage with social media
before it advances beyond their understanding and control.
Social media platforms provide several venues for consumers to share their preferences,
opinions and experiences with others, exposing them to organisations who take the
opportunity and use it to their advantage to use the comments and posts as their own WOM
(Trusov et al 2008). Highlighting the new ways, which consumers and business can engage
with each other. This level of engagement and exposure is critical to business and events if
not monitored efficiently as negative comments can spread online as quickly as positive
comments. For example the BRIT Awards 2013 Thomason (2013) identifies that
comedian, James Corden, and presenter of the BRIT Awards 2013 “failed to impress
online as less than a third of the comedian’s overall mentions were positive”. Highlighting
how negatively the host was perceived on Twitter, which would suggest possible
reputation damage not only for the individual but for the event (Seiple ca.2013).
2.6 Social Media within the Events Industry
Social media has had a huge impact on the events industry and how events are marketed,
73% of event organisers regard social media as an important marketing tool, with a further
78% of event organisers stating that they will be increasing their social media activity and
usage in the near future (Spiess et al 2012). Thus demonstrating the increased use of social
media within the events industry. Furthermore 57% of television consumers who have
access to the internet use both instruments at the same time (Van Grove 2009).
Highlighting the increased use of social media during televised events. However critically
Van Grove (2009) does not highlight what consumers are doing whilst accessing the
internet, demonstrating the need for event marketers to observe social media sites during
televised events, to monitor the level of engagement with the medium during the event, to
decipher the strength of the events content.
  11	
  
Social media allows event organisers to engage with the customers before, during and after
an event therefore enhancing the overall experience.
“A social networking site has several ways to attract new customers, including event
marketing (directly paid for by the company), media appearances (induced by PR) and
word-of- mouth (WOM) referrals.” (Trusov et al 2008, p.11).
The quote outlines how social media platforms are able to attract and engage with new and
old customers, through the use of events being pushed and publicised through social media
platforms. Critically 48% of official television shows Twitter accounts rarely engage with
fans or respond to mentions, demonstrating how social media is currently under used and
how companies need to engage with consumers (Windels 2013).
Celebrity endorsement for events enables further reach through celebrity status:
“celebrities have more cachet and influence than brands. On Twitter, for instance,
Justin Bieber has 34.5 millions followers” (Knowledge@Wharton 2013).
Demonstrating the power of having the right celebrity presenters and performers at events
and how that will effect consumer engagement though social media, by extending the
reach through the celebrities large following, the WOM is extended further, potentially
massively increasing the awareness of the event.
2.7 The Wow Factor
Events managers are always trying to create the next best thing, always striving for the
Wow factor.
“The Wow! Factor Event designers strive hard to impress the visitor.” “ the ‘wow
factor’ is a guiding principle for event designers. Visitors, he said, should be ‘dazzled’
when they arrive and leave.” (Getz 2007, p.177)
Getz (2007) quote indicates that event managers are constantly under pressure from
visitors, customers and clients to create buzzing, wow events in order to gain repeat
visitors, new clients and continue to expand the events legacy. Furthermore Masterman
and Wood (2007) claim that modern consumers are looking for events that are larger than
life yet also fit in with their hectic lifestyles.
 
	
   12	
  
Wow factor Pine and Gilmore (1999) propose “ Wow factor is more the outcome of the
experience than simply service” Indicating how wow factor is an outcome of the
experience obtained by the attendee at the event or as seen televised e.g. BBC Sports
Personality of the Year. Critically highlighting the need to utilise social media within
events to heighten the experience and aid the creation of wow factor.
In order for event managers to create the wow factor they need to be encouraged to create
extraordinary events, that will generate memorable experiences creating content which will
lead to the instigation of engagement through social media and online communities
(Ralston et al 2007).
2.8 Events Advertising and the Economy
Advertising for events has traditional been viewed as very expensive:
“Advertising has often been perceived as expensive and out of reach for many events
budgets.” “The traditional staple media of television, newspapers, radio, outdoor and
cinema.” (Masterman and Wood 2006, p.157).
Emphasising how traditional forms of media are rather expensive ways of advertising
events. In todays struggling economic climate, event budgets are being continuously
tightened and are set to continue to do so (Hurley 2011). Demonstrating the need and
importance of sourcing cheaper alternatives in all areas of events. Social media platforms
are free to use, making them an ideal alternative for event marketing advertising:
“they are correspondingly beginning to leverage alternative marketing practices that
are more cost-effective and more efficient at actively engaging with consumers, than
traditional advertising channels.” (Castronovo and Huang 2012)
This quote reinforces the quote Masterman and Woods (2009) opinion that the use of new
forms of social media marketing and events marketing are rapidly increasing, as they
provide greater consumer engagement whilst being more cost effective than traditional
methods.
  13	
  
2.9 Critique of Social Media within Events
Social media has demonstrated its advantages within the events industry, and proven itself
to be the future of WOM. All forms of WOM are hard to influence and control, social
media is not exempt from this:
“Social networks can be public relations tools and nightmares for both companies and
prospective employees.” (Hershey 2010).
Highlighting how although social media platforms have many advantages, they still hold
many disadvantages as stated below:
“Social sites open up the opportunity for competitors to promote a negative image of a
company. Under this circumstance the ability to down play a negative image can be
difficult and costly. Employers will also have the decision as to how they will monitor the
activities of their employees on social networking sites during working hours.”( Mellon-
Hogon’s 2009, p.4)
Hersey (2010) reinforces Mellon-Hogon’s (2009) statement that social media can be
difficult for companies to control. As anyone can contribute to social media platforms,
their contributions can be negative or positive, how the company deals with these
contributions is crucial to maintaining their reputation (See Figure 2.3).
Figure 2.3 - Negative Comments in Social Media (Papworth 2010)
 
	
   14	
  
Depending on how negative situations are handled, rival companies and events may be
able to use this to their advantage. Mellon-Hogon (2009) further disputes that companies
must monitor the activity of their employees on social media sites, to ensure they are not
infringing or embarrassing the company, or wasting working hours on personal social
media platforms.
“snap of a finger, ordinary citizens are transformed into citizen journalists – writers,
radio broadcasters and film makers. Ordinary people have power like they never have had
before.” (Hershey 2010, p.10).
Demonstrating how easy it is for anyone to set up a social media account, and claim to be	
  	
  
someone they are not, or an expert in a profession that they know nothing about.
2.10 Research Gap
The literature identifies that a research gap has become evident. There is a lack of
understanding of the extent of marketing potential of social media in televised events. It
has provided the author with the current industry knowledge of how social media works
within the events industry, giving the author the relevant information to move forward and
investigate this gap further, in order to fulfill the aims and objectives, which have been set
for this study.
2.11 Summary
The literature has provided theoretical underpinning and framework for the research in this
project. The literature has shown how social media and digital technologies are developing
and being adopted at an increasingly rapid rate, emphasizing the importance of ensuring
business involvement in the social revolution. The literature highlights how not being
involved with social media can hinder a business’s competitive advantage.
The literature has identified how social media and online media is increasingly becoming
the most popular and effective way of marketing. Furthermore, it shows how social media
and events in partnership can be used to market and leverage an event to increase its
success. Social media can also be used as a tool to create events or be used within them to
create attendee interaction and engagement.
  15	
  
Finally the literature has highlighted control issues and privacy issues with social media
platforms, stating how they need to be heavily monitored.
Left Intentionally Blank
 
	
   16	
  
3.0 Methodology
_________________________________________________________________________
3.1 Introduction
This chapter explains the research methods that have been used within this investigation,
how they were executed and the rational behind them. Clough and Nutbrown (2008, p.23)
state “Methods as being some of the ingredients of research, whilst methodology provides
the reasons for using a particular research recipe.” This quote outlines the reasoning
behind this chapter.
3.2 Research Aims and Objectives
The principle focus of this research was to demonstrate the under utilised marketing
potential of social media in televised events.
In order to meet this aim the following objectives were established for the research:
• Compare and contrast three televised events through the online monitoring
of their social media platforms Twitter, Facebook and YouTube.
• To explore different online channels of data collection to measure social
media engagement.
• To create an online Facebook focus group and canvas consumer views,
thoughts and opinions on the levels of engagement with social media in
televised events.
3.3 Research Approach and Strategy
The research has adopted an explanatory approach using primary online qualitative
research methods, which link together through triangulation.
3.3.1 Explanatory Research
This research has taken on an explanatory method as this method goes beyond descriptive
research and tries to explain why something happens. Explanatory research is defined as
  17	
  
the following “attempts to clarify why and how there is a relationship between two or more
variables” (Andrew et al 2011, p.8). This research method provides evidence to support or
contest an explanation. This method is most appropriate for this study as it allows the
researcher to explain and demonstrate the under utilised marketing potential of social
media in televised events.
3.3.2 Primary research
Primary research is defined as: “study of a subject through first hand observation and
investigation” (Clarke 2005). The advantages of using primary data is suggested to be
“major advantage of primary data is that the information is specific, relevant and up-to-
date.” (Onkvisit and Shaw 2004, p.216). Clarke’s (2005) definition demonstrates the
research for this study has been collected and observed first hand by the researcher.
Furthermore academics state that the advantage of this type of research over secondary
research is that it is current and relevant to the researcher’s study, which makes it more
reliable (Onkvisit and Shaw 2004).
3.3.3 Quantitative and Qualitative
Within quantitative research the data is expressed by numbers, it is information that is
translated by researchers into the form of numbers (Punch 2005).Qualitative research data
is not presented in the form of numbers but instead presented in words (Punch 2005).
Table 3.0 below highlights the different types of data collection that come under
quantitative and qualitative data.
Table 3.0 - Types of research method
Quantitative Qualitative
Surveys Observations
Secondary Data Interviews (in-depth, individual)
Focus Groups
(Source: Author 2013).
 
	
   18	
  
For this study the researcher took on a qualitative driven approach, which offered huge
potential for enhancing the capacities of social explanation and generalisation (Mason
2006 cited by Krivokapic-Skoko and O’Nell 2012).
3.3.4 Triangulation
Social science defines triangulation as the mixing of data or methods so that different
viewpoints and perspectives can be taken in consideration (Olsen 2004) Triangulation
promotes the concept of viewing mixed qualitative and quantitative research as
complementary, rather than rival methods (Jick 1979). There are four different types of
triangulation: data, theory, investigator and finally methodological. Methodological
triangulation contains two subtypes firstly the ‘within methods’ approach and secondly the
‘between methods’ approach (Clarke 1999). This study took on a ‘between methods’
approach, as this method of triangulation indicates the actual mixing of methods within
single research design (Clarke 1999). This study on the ‘between methods’ triangulation
approach highlights the mixing of quantitative data in the form of online analytical results,
mixed with a qualitative online Facebook focus group and the literature review. The use of
‘between methods’ triangulation suggests conclusions which in other methods would
remain unsighted (Jick 1979). Within the various triangulation designs one simple notion is
submerged. The value of triangulation rests on the basis of the weaknesses in that each of
the single methods will be balanced by the counter balancing strengths of the other (Jick
1979). Focus groups can be used to complement other methods or as a means for
triangulation research (Clifford et al 2010).
The diagram below (see table 3.1) shows how triangulation has been used within this
study. The diagram demonstrates how the three different research methods conducted for
this study have been bought together to form one central point of mutual validation of
results, to formulate and confirm the emerging findings (Thomas 2010).
Left Intentionally Blank
  19	
  
Table 3.1 – Triangulation
(Source: Author 2013)
Youngs and Piggot-Irvine (2012) argue that gaining additional data through a larger
number of data collection methods does not automatically indicate validity and certainty of
conclusions will not be necessarily enhanced. Hussein (2009) critically proposes that
researchers need to come up with clearer reasoning on why triangulations should be used
within a specific study, as understanding the method is an important aspect in reaping the
benefits, and additionally neutralising the flaws of the methods to be triangulated towards
increasing the credibility of the research results and findings (Knafi, Breitmayer, Gallo and
Zoeller, 1996 cited by Hussein 2009).
3.4 The Case Study
The case study aims to compare and contrast three televised events and their current level
of integration and engagement within social media.
3.4.1 The Sun Military Awards
The Sun Military Awards is an annual award ceremony to honour Britain’s finest military
men and women. The ceremony is held at London’s Imperial War Museum, with 350
guests attending ranging from Military personal, A list celebrities and members of the
Royal family. The ceremony comprises of an initial drinks reception followed by the
 
	
   20	
  
awards ceremony and post ceremony dinner. The ceremony is broadcasted on ITV for two
hours in the second week of November.
3.4.2 BBC Sports Personality of the year
BBC Sports Personality of the Year is an annual award ceremony to honour Britain’s finest
sporting men and women over that year. The ceremony this year was held at London’s
Excel centre, primarily due to the number of London 2012 Olympic attendees. Which
dramatically increased the number of attendees to 15,000. The attendees comprised of
leading sports men and women, celebrities and the Royal family. The ceremony is
broadcasted on BBC One for two and a half hours in the second week of December.
3.4.3 The BAFTA’s
The British Academy of Film and Television Awards known as The BAFTA’s is an annual
award ceremony to honour, reward and celebrate the worlds leading actors, actresses and
directors from the film industry. The ceremony took place this year at London’s Royal
Opera House. Attendee’s comprised of 400 A list film stars and celebrities. The BAFTA’s
is broadcasted on BBC One for two hours in the second week of February.
3.5 Research Design
3.5.1 Internet Research
Due to the nature of this study, online data collection tools where deemed the most
appropriate form of data collection. The researcher used online data analysis sites to track
and monitor Twitter and Facebook feeds for all three events, and additionally identified
some statistical information from the individual events YouTube channels. The research
tracked the events hash tags and official event pages, using online analysis sites. In
addition to the analytical data collection the researcher conducted an online Facebook
focus group.
Left Intentionally Blank
  21	
  
3.5.2 Pilot
A pilot internet analysis was conducted before any data was collected for this study, Veal
(2011, p.313) states “Pilot surveys are small-scale ‘trial runs of a larger survey”.
Explaining why pilots are carried out, prior to the specific data being collected. Pilots are
used to test all phases or specific parts of the study before any exact data related to the
project is collected (Veal 2011). The pilot concluded that the researcher would use the
tools Tweet Reach and Social Mention to measure and produce online analysis for each of
the televised events (See appendix A).
3.5.3 Focus Groups
Morgan (1996, p.130) defines Focus groups as “a research technique that collects data
through group interaction on a topic determined by the researcher.” This quote
demonstrates how focus groups are simply a group of individual’s who interact and
communicate on a pre-determined topic defined by the researcher. A focus group prompts
participants to describe stories and themes that help researchers understand how
participants view the topic under discussion. The reliance on focus groups social
interaction aids researchers in identifying shared cultural knowledge, whilst at the same
time recognising the effect that a range of different individual experiences have on the
group (Hughes and DuMont 1993). The researcher is specifically interested in the groups
interaction and noting the different meanings, values and norms that surface in the
conversations (Purdam ca.2013). The groups discussion brings the researcher closer to
understanding the group and their cultural environment. Such understanding can help the
researcher to construct concise, clear and consistant questions, that will engage the group
more effectively to produce improved quality of results (Hughes and DuMont 1993).
3.5.4 Focus Group Design
The basic design of a focus group allows conversations that are informal in tone, they
allow for open response in the participants own words (Clifford et al 2010). Traditional
researchers recommend that focus groups are normally conducted in groups ranging from
six to ten participants (MacIntosh 1993). Other researchers contest these numbers and
argue that the size of focus groups vary depending on the topic of study (Burgess 1996
cited by Gibbs 1997). This explains why the focus group for this study wasn’t limited to
 
	
   22	
  
numbers, the researcher simply tried to engage as many students as possible, to gain a wide
variety of feedback.
Focus groups are made up of participants who share something in common (Clifford et al
2010). The focus group participants for this study are either studying for a degree, masters
or have completed their university studies. The justification behind the selection of
participants is due to the knowledge and understanding they already have with regards to
research projects. Furthermore they are the current generation who according to Mintel
(2012, p.2) “Younger internet users are more likely to be using social networks than older
consumers.” Highlighting the need to monitor social media engagement in younger
generations, which is what the Facebook focus group does for this research project. Mintel
(2011) states “in 2010 the average daily hours of viewing by adults in the UK reached 4.3,
up from 3.9 hours five years ago.” (Adults aged 15+). This quote demonstrates how TV is
still a popular past time for consumer’s aged 15 and above, and is continuing to rise. The
two Mintel (2011; 2012) quotes highlight why the Facebook focus group participants are
the right selection of people for this research project.
However due to the flexible environment of focus groups and open-ended nature of the
questioning, critics would argue that this method of data collection and research is to
broad, leading to difficulties when trying to interpret and summarise the results (Stewart
and Shamdasani 1990). Expanding upon this argument theorists debate that group
situations may also encourage participants to close and curb their attitudes and behaviours.
Individuals often do not want to tell certain things to a group of people, particularly if they
perceive these things to be embarrassing (Litosseliti 2003). This highlights the important
role of the moderator within focus groups to ensure quality control.
3.5.5 Coordination and standardisation
Focus groups are influenced and monitored by a moderator who is often the researcher
(Barbour and Kitzinger 1999). The moderator plays a key role in influencing quality, it is
essential that moderators know when to probe, follow up and extend upon comments made
within the group, to deepen the discussion and to gain in-depth research (Morgan 1993).
The moderator will coordinate, monitor and facilitate the group’s interactions, influencing
the conversation with predetermined open-ended questions. However theorists contest that
online focus groups, just like the conducted Facebook focus group for this study, permits
  23	
  
moderators watching the online focus groups to make minimal input and contributions
when facilitating the conversation, they simply interject to make sure all topics are covered
(Stewart and Williams 2005).
3.5.6 Online Focus Groups
Focus groups traditionally have been conducted in face to face conditions (Kamberelis and
Dimitriadis 2013). However with the development of web 2.0 and electronic
communication advancements, focus groups have been able to develop and adapt, to allow
researchers to expand and utilise new approaches to this form of research (Rezabek 2000).
New technologies of mediation offer opportunities for the development of traditional
methods of social exploration, reaching out to the current techno dependant society
(Steward and Williams 2005).
Electronic online focus groups are conducted in one of two ways either synchronously or
asynchronously. Asynchronous approach to online focus groups, enables the group to take
part using an online chat room for example a Facebook group. Asynchronous sessions
allow participants to read others comments and contribute or extend upon existing
comments or views at any time, not necessarily at the same time as others participating
(Murray 1997 cited by Rezabek 2000). On the other hand synchronous approach refers to
real time live sessions where all participants take part and engage within the group at the
same time as everyone else (Murray 1997 cited by Rezabek 2000).
The online Facebook focus group took on board both approaches, as asynchronous states
that participants are completing the focus group online at any time, where as synchronous
states that participants take part and engage at the same time as each other in real time. The
Facebook focus group combines both of these techniques, as participants are all given the
information at the same time in real time. However it is the participant’s choice to open the
question and respond immediately in real time, or later on in the day when they have time
to think it through thoroughly. To extend this point further, participants do not open the
Facebook Focus group link all at the same time, but when they do they are essentially
communicating in their own real time. Evaluatively emphasising that mediated
engagement doesn’t necessarily need to be instantaneous.
 
	
   24	
  
3.5.7 Open-ended Questions
Focus groups naturally take on short and open-ended questions, and fall under the
following categories: “opening questions, introductory questions, transition questions, key
questions and concluding questions” (Leung 2009). The categories make the researcher
keep to the point and not let the conversation grow too broad or let participants go off
topic. Open-ended questions are defined as
“Questions need to be worded so that respondents expand on the topic, not just
simple ‘yes’ or ‘no’. Many open-ended questions begin with ‘why’ or ‘how’, which gives
respondents freedom to answer the question using their own words” (Guion et al 2012).
Demonstrating how open-ended questions are the right method of questioning for the focus
group conducted in this study.
3.5.8 Facebook Focus Group
Successful focus groups rely heavily on the development of a broadminded and non-
threatening environment within the group, so that participants can feel comfortable and at
ease to share their comments and opinions, without any fear of judgment (Knodel 1995;
Puttong ca.2013). Highlighting why the choice of a Facebook focus group was an obvious
choice to conduct the focus group for this study. Online profiles allow participants to think
and feel they have freedom of speech and can say whatever they want without being
judged (Hawkins 2012). However theorists argue that the online environment is
increasingly seeing behaviour that wouldn’t be acceptable within the ‘real world’, with
individuals picking apart status updates, Tweets and other social networking posts
(Hawkins 212). Highlighting how consumers may use social media sites assuming freedom
of speech, however they forget that what they say isn’t private and that hundreds of
thousands of people around the world, will be able to access what they have said and be
able to comment, unless they take responsibility to strengthen the protection of their online
accounts (Jorgensen 2000). Consequently determining that the online community poses no
less a threat of judgement when voicing personal opinions than face to face
communication, if not more so.
  25	
  
3.6 Rationale
Rationale for the online Facebook focus group is supported by Morgan (1993) who
highlights the difficulties faced by researchers when trying to assemble face to face focus
groups and the mechanical difficulties behind conducting them e.g. transport and focus
group environment. McGivern (2009, p.190) would agree with Morgan and further states
how “Online research sidesteps the logistical issues that you might face in trying to get
people together in one place.” Highlighting a crucial benefit in supporting why online
Facebook focus groups have been used within this study.
3.7 Analysis
The online analysis has been exported into excel and converted into graphs to gain a
deeper understand and interpretation of the data collected. After the online Facebook focus
group was constructed, with the permission of all participants, the group was transcribed
and coded.
3.8 Transcribing and coding
The initial step for most approaches of analysis within a focus group, is to transcribe the
recoded focus group (Stewart and Shamdasani 1990). This research project is different as it
uses an online Facebook focus group therefore the research is already written up in full.
However due to participant data protection and ethics, the group has been be re-transcribed
and edited to change participants names for the purpose of the project analyse. e.g.
participant 1,2,3 etc.
Once a transcript has been produced the researcher then segments the piece and code it
(see appendix B). Coding is an essential tool for organising qualitative data and offers the
initial steps in conceptualisation. Labels and tags are used to assign units of value to the
data, which is then colour coded. A coding framework has been designed for this research
project (see table 3.2) the framework highlights key words into categories of code
preventing data overload (Walliman 2005). Recommended general categories for coding
were suggested by Miles and Huberman (1994, p.57 cited by Walliman 2005, p.311) “
descriptive, interpretive, explanatory and astringent.” These general codes have aided the
 
	
   26	
  
researcher with the development and designing of the specific coding framework for the
research.
Table 3.2 – Facebook Focus Group Transcript Coding Framework
(Source: Author 2013).
3.9 Limitations
The internet research could have had potential technology issues which would interfere
with the data collection. e.g computer crashing, web analysers crashing or freezing and
lastly the actual social media sites crashing with too much traffic. Within the data
collection these issues did not arise and the data was collected accordingly.
The online analysis did however have limitations as BBC Sports Personality of the Year
and The Millies did not have their own social media channels, unlike the BAFTA’s, which
has its own social media platforms. This meant the other two events had to be pushed
through the production companies social media accounts BBC Sport and ESC Events. This
made it difficult for the data to be collected by the analysis tools, as ideally the events
needed their own social media pages to gain a more indepth Analysis. In this case the
research had to use specific hash tags to gain more sources of data.
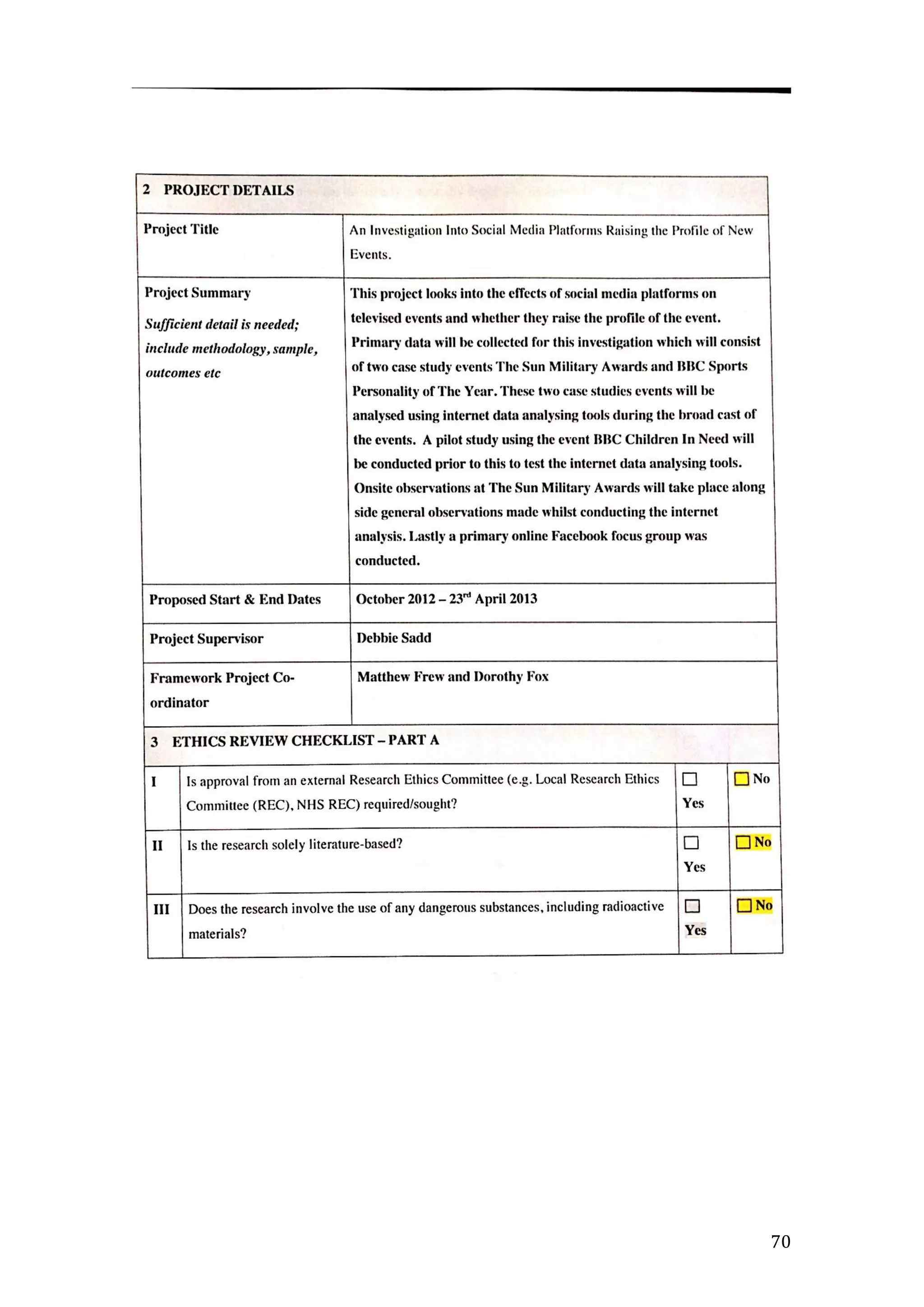
3.10 Ethics
Ethical issues have been acknowledged within this research process and have been taken
into careful consideration whilst conducting the research. The researcher must be aware of
all the questions that are asked in the focus group, thus not to offend any participants or
create conflict between participants (Purdam 2013). The use of online data collection
Coding List
Theme Colour
Television Colour
Case Televised Event – The Millies Colour
Case Televised Event – BBC Sports
Personality of the year.
Colour
Case Televised Event – The BAFTAS Colour
Social Media Colour
Emotions / action / opinion Colour
  27	
  
ethically requires online codes of conduct to be taken into consideration regarding
behaviour in computer-mediated communities (Stewart and Williams 2005). All the
research carried out was done so accordingly with Bournemouth University research ethics
guidelines.
Left Intentionally Blank
 
	
   28	
  
4.0 Results and Discussion
________________________________________________________________________________
This chapter will present the primary research results. Analysing, evaluating and discussing
the primary data collected for this study.
4.1 Televised Events Online Analysis
4.1.1 Facebook analysis
The pie chart figure 4.0 demonstrates the amount of Facebook likes for each of the separate
events pages. Highlighting that online the most popular event and one that gained the most
interest within the UK was the BAFTA’s closely followed by BBC Sports Personality.
Suggesting that the BAFTA’s and BBC Sports Personality are more commonly known within
the UK television audience, than The Millies which the focus group highlighted in figure 4.1
showing participants low level of knowledge regarding the existence of The Millies.
Figure 4.0 – Three Televised Events Facebook Likes
Figure 4.1 – Facebook Focus Group
  29	
  
4.1.2 Twitter analysis
The pie chart in figure 4.2 identifies the amount of people following each of the televised
events on Twitter. Stating that BBC Sports personality has the largest amount of followers on
Twitter. This huge shift of Facebook likes compared to Twitter followers, is believed to be
due to the interactive and conversational nature of Twitter, with the combined success of this
years London 2012 Olympics, causing lots of online engagement as to who the Olympic
winners would be. Further highlighting how Twitter is a more interactive and engaging
platform than Facebook which is illustrated by the focus group (See Figure 4.7). Critically
the pie chart highlights BBC Sports Personality as having the largest following, however this
could be due to the fact that they are not using an event specific Twitter account, they
promote the event through the BBC Sport page, which already maintains a large following
and is used to promote all BBC sporting events. Demonstrating the need for all events to
have their own individual platforms and social media marketing strategy, in order to gain a
true representation of the level of engagement with the consumer.
Figure 4.2 – Three Televised Events Twitter Following
4.1.3 YouTube Analysis
Figure 4.3 Highlights the amount of subscribers to each of the events YouTube channel,
where as figure 4.4 highlights the amount of views each of the events has had on this social
media platform. The event with the most views and subscribers in each of the graphs is
identified as BBC Sports Personality, again this finding could be a result of the huge success
of the London 2012 Olympics, as participants of the focus groups identified that was their
main reason for watching the event, and engaging with it through social media. (See figure
4.5) Critically the focus group participants highlight in figure 4.6 that they often use YouTube
 
	
   30	
  
to watch parts of the event which have appeared to cause conflict and conversation online,
either through social media or online newspaper sites. Providing justification for televised
events YouTube Channels having more viewers than actual subscribers.
Figure 4.3 – YouTube Channel Subscribers
Figure 4.4 – YouTube Channel Views
  31	
  
Figure 4.5 – Facebook Focus Group Coded Transcript Part A
The coded transcript in figure 4.5 highlights that the most viewed out of the three televised
events by the focus group was the BAFTA’s, validating the statements made earlier, that
highlight the BAFTA’s popularity discovered through the online analytical results.
4.2 Televised Events and Social Media Engagement
Figure 4.5 participants 1 and 37 identify that they looked at their social media platform
newsfeeds during the BAFTA’s, even though they either weren’t actually watching it or only
had it on in the background. The content of the Tweets made showed little importance to the
participants, as it did not encourage them to watch the televised event or participate in online
communication, as demonstrated by participant 14, who states that they get discouraged to
watch televised events if they see posts about the events on their newsfeed. Participant 31 in
the figure 4.6 below would argue that Tweets they see on Twitter make them want to watch
the programme, however they highlight that social media conversation regarding televised
events does spoil the programme, as they reveal what has happened before they have been
able to watch it or catch up, which could in fact deter them from watching the event
completely.
Figure 4.6 – Facebook Focus Group Coded Transcript Part B
 
	
   32	
  
Ultimately participants of the focus group stated that they do not partake in social media to
talk about televised events. (See figure 4.7 below) Participants stress that they do not engage
with social media, writing their views or opinions on a televised event, as they feel no-one
will want to know their opinion or that their views aren’t important enough to voice to the
general public. However figure 4.7 identifies that if participants are going to engage with a
social media platform they favour using Twitter, as participants feel it is more socially
acceptable to voice opinions and general chat as it is consistently being updated.
Figure 4.7 – Facebook Focus Group Coded Transcript Part C
Furthermore participants illustrate (see figure 4.8) that if they wish to voice an opinion about
the televised event they are watching, if in actual fact they are watching one, then they will
discuss this face to face with someone else.
Figure 4.8 – Facebook Focus Group Coded Transcript Part D
  33	
  
Establishing how face to face conversation and online conversation are infact very similar, as
within both situations participants fear of saying something stupid, so they will not comment
or talk about what they want to say, they safeguard information leading to no engagement.
Additionally literature reinforces the fear of social media engagment from businesses and
events, as social media content exposes the good, bad and ugly all at the same time.
Futhermore identifiying what scares marketers is sharing dismay or even worse situations of
negative conversation online (Evans and McKee 2010). Thus pinpointing the current
underutilsation of social media within business, events and televised events, which is
ulitmately due to the fear of the unknown and lack of control within the online enviroment.
Figure 4.9 – Facebook Focus Group Coded Transcript Part E
4.3 Under Estimated Marketing Power of YouTube
The figure above 4.9 intriguingly pinpoints that participants highly utilise the social media
platform YouTube, preferably to catch up on emotional parts of a programme they may have
missed, participants only found out they missed out on these moments through scrolling
through their social media platforms newsfeed, as highlighted in figure 4.5. Clarifying why
the graph in figure 4.4, which expresses YouTube viewings for the individual televised
events, has such high statistics compared to figure 4.3 which displays the subscribers to the
televised events individual channels. As participants identified they would catch up through
YouTube to find a highly discussed scene within a televised event. However this does not
mean they are a particular fan of this event, neither does it gain the event loyalty from the
participant for watching.
Furthermore the video clips of the event do not influence participants enough to become a
subscriber to the televised events YouTube channel. Additionally identifying the
fundamentally underestimated marketing potential of the social media platform YouTube
within televised events, to create the exceedingly desired pre, during and post event buzz and
 
	
   34	
  
excitement, as highlighted by Preston (2012, p.10) “Events are about excitement, creativity,
and enthusiasm, and the generation of experiences and memories.” Demonstrating how
utilising social media platforms to generate WOM (Keller 2007) and further emphasise, share
and leverage information about televised events, to gear them towards the current techno
dependant audience, ultimately extending the events longevity, through the creation of
engagement with online communities.
	
  
4.4 Televised Event Presenters
The below figure 4.10 is a newspaper clipping from the Independent newspaper, which
identifies Stephen Fry as being the 10th
most influential Tweeter in the top 100 most
influential Tweeters ranking.
Figure 4.10 – The Independent top 100 most influential Tweeters (Independent 2012)
This fact highlights an interesting finding, as Stephen Fry is also the presenter of the
BAFTA’s . Thus demonstrating the huge online marketing potential the BAFTA’s has with
obtaining Stephen Fry as the presenter.
  35	
  
Figure 4.11 – Event Celebrity Twitter Following analysis (Source: Author2013).
Figure 4.11 demonstrates the three televised event examples analysed online for this study,
and taken one of the main presenters and guests at each of the events, and looked at the
persons following in comparisom to the amount they Tweet. As identified in the literature:
“celebrities have more cachet and influence than brands. On Twitter, for
instance, Justin Bieber has 34.5 millions followers” (Knowledge@Wharton 2013).
Demonstrating the marketing poteitnal of Justin Bieber and emphasising how celebrities have
more influence, over consumers and followers than brands do. Which shows how important it
is to have the right celebrities at televised events. Celebrities can encourage interaction and
engagement pre, during and post event, increasing the reach and awareness of the televised
event. Figure 4.11 futher demonstartes the importance of having the right celebrities at
televised events, they are the ones who engage well with social media. e.g. Stephen Fry and
Amanda Holden. They both show a large following and high levels of Tweeting, indicating
they have a good social media presence and a worthy set of followers, whom they engage
with extending their reach. However Ben Affleck would not be suitable celebrity presenter, as
the figure 4.11 above shows very low Tweet activity in comparisiom to his following.
Highlighting that if he was to Tweet his following wouldn’t be used to seeing a Tweet from
him, or wouldn’t be looking out for one, therefore he would gain little engagement and low
reach. Futhermore Clare Balding shows in the figure 4.11 a vast following and large amount
 
	
   36	
  
of Tweeting. Thus potentially making her a very worthy presenter to increase online
engagment, however comparing Clare Balding with Stephen Fry this in fact is not the case but
rather the complete opposite. Stephen Tweets a lot to his followers and has a large following
but he shares content his followers deem worthy of further discussion. Where as Clare
critcally does not Tweet engaging content (See figure 4.12) she therefore gains minmal reach
and subsequently looses followers.
Figure 4.12 – Clare Baldings Twitter Page (Balding 2013)
4.5 Event Content
The results and discussion have additionally underlined that the participants of the focus
group did not watch the televised events, or did not watch them the whole way through (See
figure 4.5). Therefore demonstrating that the content of these televised events were not
exciting, moving or stimulating enough to capture the audience for the duration of the event.
Emphasising the lack of engagment and interaction through social media platforms.
Critcally the literature states that modern consumers are looking for events that are larger than
life yet also fit in with their hectic lifestyle (Masterman and Wood 2007). These desires are
clearly identified within the focus group, as participants lose interest in televised events
rapidly after the programme has begun. Showing the lack of innovation, excitement and
emotional attachment with the content of the event. Furthermore televised events need to
produce more exciting and extraordinary televised events, that generate memorable
experiences and gain audience engagement, within online communities and social media
platforms, or such events will cease to exist, within the modern techno dependant society
(Ralston et al 2007).
  37	
  
Literature states that 57% of television consumers who have access to the internet use both
instruments at the same time (Van Grove 2009). Figure 4.7 reiterates this point by
demonstrating that the participants in the focus group, are constantly using social media
platforms whilst watching television, however usage doesn’t mean the audience is necessarily
engaging with them. Reinforcing the argument that currently social media platforms are
heavily under utilised to market televised events.
Figure 4.13 – Facebook Focus Group Coded Transcript
4.6 Limitations
The results and discussion chapter has critically highlighted how not all of the analysed events
had their own social media platforms. The Millies and BBC Sports Personality were actually
leveraged through the production companies social media platforms, making them harder to
analyse online compared to the BAFTA’s. As the information leveraged for those two events
wasn’t consistent as other events where being promoted through those platforms at the same
time making the messages unclear at times, unlike the BAFTA’s who’s platform solely talked
about the event. The graphs displayed within the chapter do not take into account the current
recognition and reputation each event already maintains, within the public eye.
Additionally expert interviewing was discussed but was proven too difficult with time
restrictions and work commitments to gain the interviewees needed for this study. Therefore
the researcher decided not to go any further with obtaining this information.
 
	
   38	
  
Furthermore the focus group audience could have been more niche and taken a more
traditional approach by obtaining a selection of 6-12 participants and made sure each
participant engaged with each question (Stewart and Shamdasani 1990). To gain a deeper
discussion within the integration of social media marketing into the practical event domains, a
more events specific background audience needed to have been sourced. Due to time
restrictions caused by the delay from attempting to construct expert interviews, the research
gained a broader audience for the focus group.
Left Intentionally Blank
  39	
  
5.0 Conclusion and Recommendations
______________________________________________________________
This chapter concludes the study by drawing together all the research collected in relation to
the aims and objectives of the study. Further recommendations are also made by the author.
5.1 Importance of the study
The authors passionate interest in social media use in relation to the events industry,
highlighted to her the current lack of recognition of social media’s significance, in relation to
the future of televised events. Further research highlighted the continued growth in both social
media use and television watched. Which highlighted the crucial need to investigate further
the extent of the marketing potential, social media can provide for televised events.
5.2 Aims and Objectives
The overall aim of this thesis as described in the introduction was too:
Demonstrate the under utilised marketing potential of social media in mediated events.
To achieve the aim of this study four objectives were proposed:
• To investigate the current academic literature in relation to social media usage within
the event industry.
• To compare and contrast social media integration into three televised events.
• To explore suitable tools for measuring social media engagement.
• To suggest solutions for the future of social media engagement within televised
events.
These objectives will now be reviewed to identify if they have been met, thus achieving the
overall aim of the study.
 
	
   40	
  
5.2.1 To Investigate The Current Academic Literature In Relation To Social
Media Usage Within The Events Industry.
Firstly the author investigated the current academic literature surrounding social media and
the event industry. Interesting findings where made and highlighted in the literature review
stating that 57% of television consumers who have access to the internet, do so in parallel
(Van Grove 2009). However critically 48% of official television viewers show Twitter
accounts rarely engage with fans or respond to mentions (Windels 2013). Emphasising the
current lack of utilisation of social media within televised events. Critically audiences are
engaging with the internet and watching more television than televised events are engaging
with their platforms and audiences.
5.2.2. To Compare And Contrast Social Media Integration Into Three Televised
Events.
Secondly the author successfully compared and contrasted the level of social media
integration into three televised events. The three events were The Sun Military Awards, BBC
Sports Personality of the Year and the BAFTA’s. The three events where measured through
online analytical testing of the individual events social media platforms Twitter, Facebook
and YouTube. The results however critically highlight how each event needs it’s own social
media platforms and campaign. Crucially the only event out of the three researched by the
author who had their own platforms was the BAFTA’s, who’s online results were stronger
and easier to investigate in regards to effectiveness and engagement levels. The further two
televised event examples did not have their own social media platforms, they used the
production companies social media pages to leverage the events. Which is not a strong
method of social media marketing as it sends out mixed signals about the event to the
audience leading to lower levels of engagement. Furthermore it makes measuring social
media marketing with online analysis tools more complex.Additionally the research analysis
into the three televised events identified the finding that specifically YouTube is a highly
under utilised social media platform within televised events. The results supported the
opinions from the focus group participants who highlighted that they use YouTube to catch
up on particular parts of a televised event, which may have caused conflict on other social
media platforms e.g. Twitter. This finding highlights how televised events are dramatically
under utilising and under estimating the marketing potential of the social media platform
YouTube.
  41	
  
5.2.3 To Explore Suitable Tools For Measuring Social Media Engagement.
The second objective worked alongside this one to allow the author to explore the different
types of social media measuring tools used within the social media marketing industry.
Critically the author struggled to narrow down which tools to use as the industry has a large
range of options, which vary in their offerings and reliability. However through extensive
research and by conducting a pilot study using BBC Children In Need. (See appendix A). The
author was able to establish the most appropriate online social media analysis tools to
measure the three televised events. The final tools used where Tweet Reach and Social
Mention, as they provided the author with the most valid and appropriate results required for
the dissertation. This was a crucial objective to meet, as the selection of the appropriate online
lytic tool used would influence the effectiveness of meeting the aim of the dissertation.
5.2.4. To Suggest Solutions For The Future Of Social Media Engagement Within
Televised Events.
Finally the author has completed the concluding objective as illustrated in the results and
discussion. Solutions for the future of social media engagement within televised events are to
improve the content of events, that when mediated catches the consciousness of the consumer.
Highlighting strongly within the results and discussion chapter, supported by literature, focus
group participants and online analytical investigation that content is key. Televised events are
under utilising social media marketing, due to the lack of exciting and enticing televised
content. In order for televised events to maximise the potential of social media marketing they
need to gain audience engagement, which currently, as a result of the content they are unable
to do. As stated in the results and discussion consumers only engage and voice their opinions
if the show entices them to do so e.g. something is funny, thrilling or upsetting, tapping into
the audiences emotions. As stated within the literature the modern techno dependent
consumers desire ‘wow factor’ events (Getz 2007), which generate excitement and buzz
surrounding the event pre, during and post (Preston 2012). The buzz, excitement and ‘wow
factor’ come from the televised events content. Consumers have to become completely
immersed and captivated in the televised event, giving it their full attention in order to gain an
opinion or generate an emotion towards the event, leading the consumer to engage and voice
their opinion, within their online community and the events social media platforms.
 
	
   42	
  
5.3 Limitations of the study
The author recognised that there are evident limitations to the study and highlighted these
throughout the dissertation chapters.
5.4 Recommendation
The dissertation demonstrated the under utilised marketing potential of social media in
mediated events. If the study was to be carried out again, different mediated event examples
would be monitored, critically the event examples would have to have their own social media
platforms. This would make the online analysis clearer and easier to measure.
In the future it would be advisable, within the case of mediated events, to measure the
engagement levels of celebrity presenters before, during and post event. To gain deeper
understanding of their influence and engagement and whether celebrities can motivate,
heighten and leverage social media engagement for televised events.
  43	
  
6.0 References
Anderson,P., 2007.What is Web 2.0? Ideas, technologies and implications for education. JISC
Technology & Standards Watch. 2-64. Available from:
http://www.jisc.ac.uk/media/documents/techwatch/tsw0701b.pdf [Accessed 3 April 2013].
Andrew,D.P.S.,Pedersen,P.M. and McEvoy,C.D.,2011. Research Methods and Design in
Sport Management. US:Library of Congress Catalogining. Available from:
http://books.google.co.uk/books?id=j_hIcwsv288C&pg=PA8&lpg=PA8&dq=explanatory+re
search+attempts+to+clarify+why+and+how+there+is+a+relationship+between+two+or+more
+variables&source=bl&ots=VpWuTP94kD&sig=wyg8XpMLZxBgihQad6UNJ3iQQDY&hl=
en&sa=X&ei=LENuUcCpIIjA0QX8oID4CQ&ved=0CD0Q6AEwAQ#v=onepage&q=explan
atory%20research%20attempts%20to%20clarify%20why%20and%20how%20there%20is%2
0a%20relationship%20between%20two%20or%20more%20variables&f=false [Accessed 23
March 2013].
Armstrong, S., 2012. Pepper’s Ghost, Star Wars Twitter and Facebook. The RACOUNTEUR.
Wednesday 19 September 2012. Available from: http://theraconteur.co.uk/peppers-ghost-
star-wars-twitter-and-facebook/ [Accessed 8 December 2012].
Balding,.2013.We lost the pips at 8am. I am rather hoping they’ve come back and will behave
themselves at 9am on @bbcradio2. @clarebalding. Sunday 24 March 2013. Available from:
https://twitter.com/clarebalding [Accessed 25 March 2013].
Barbour, R.S. and Kitzinger,J., 1999. Developing Focus Group Research Politics, Theory and
Pratice. London: Sage Publications. Available from:
http://books.google.co.uk/books?hl=en&lr=&id=fyvOGT2Ao3MC&oi=fnd&pg=PR9&dq=Fo
cus+groups+are+influenced+and+monitored+by+a+moderator+who+is+often+the+researcher
.+&ots=5t9PjhDKUr&sig=RisS7cqj58d75_E98kQ7wLZKiKs#v=onepage&q&f=false
[Accessed 1 April 2013].
Castronovo,C. and Huang,L.,2012. Social Media in an Alternative Marketing Communication
Model. Journal of Marketing Development and Competitiveness. 6 (1), 117-131.
 
	
   44	
  
Chaffey,D.,Ellis-Chadwick,F.,Mayer,R. and Johnston,K.,2009. Internet Marketing Strategy,
Implementation and Practice. 4 ed. Essex: Peasons Education Limited. Available from:
http://books.google.co.uk/books?id=HcoRl2EZXiwC&pg=PR13&lpg=PR13&dq=%22The+I
nternet+and+other+digital+media+have+transformed+marketing%22&source=bl&ots=4Veqx
b6L2r&sig=C4PFgePc7EVjdUiv20qI6MSWoQI&hl=en&sa=X&ei=OUVkUb3VEfPP4QSX8
4CgBw&ved=0CEIQ6AEwAg#v=onepage&q&f=false [Accessed 9 April 2013].
Clarke,A.,1999. Evaluation Research An Introduction to Principles, Methods and Practice.
Oxford: Sage Publications.
Clarke,R.J.,2005.ResearchMethodologies. Available from:
http://www.uow.edu.au/content/groups/public/@web/@commerce/documents/doc/uow01204
2.pdf [Accessed 29 January 2013].
Clifford,N.J., French,S. and Valentine,G.,2010. Key Methods in Geography. 2nd
ed. London:
Sage Publications. Available from:
http://books.google.co.uk/books?hl=en&lr=&id=bAXmXbF1pkMC&oi=fnd&pg=PA103&dq
=Burgess+J+1996+focus+on+fear&ots=L_Xa5bFWUQ&sig=XWIRHEXhBNrvkkSJkNL_Iu
GXSc#v=onepage&q=Burgess%20J%201996%20focus%20on%20fear&f=false [Accessed
24 March 2013].
Clough,P. and Nutbrown,C.,2008. a students guide to Methodology. 2 ed. London: Sage.
Collins., 2013. English Dictionary. Available
from:http://www.collinsdictionary.com/dictionary/english/media-event [Accessed 3 April
2013].
Constantinides,E. and Fountain,S.J.,2007.Conceptual foundations and marketing issues.
Special Issue Papers Web 2.0. 9 (3), 231-244.
Denscombe,M.,2003. The Good Research Guide for small-scale social research projects.
2ed. Berkshire: Open University Press.
  45	
  
Eden,E.,2013. Secrets to Successful Events Marketing and Management. Available from:
http://www.cvent.com/en/pdf/white-papers/secrets-successful-events.pdf [Accessed 5 April
2013].
Ellison,N.B. and Boyd,M.D., 2008. Social Networking Sites: Definition, History and
Scholarship. Journal of Computer-Mediated Communication. 210 -230. Available from:
http://www.postgradolinguistica.ucv.cl/dev/documentos/90,889,Social_network_boyd_2007.p
df [Accessed 3 April 2013].
Evans,D. and McKee, J.,2010. Social Meida Marketing The Next Generation of Business
Engagement. Canada: Wiley Publishing . Available from:
http://books.google.co.uk/books?id=7l2OR6giC6AC&printsec=frontcover#v=onepage&q&f=
false [Accessed 8 April 2013].
Farnsworth,S.2013. Top 20 Free Social Media Monitoring Tools. The @Steveology Blog
Smart Social Media, Communications, and Content Marketing Insights for Lead Generation
And Customer Retention. Thursday 3 January 2013. Available from:
http://stevefarnsworth.wordpress.com/2013/01/03/top-20-free-social-media-monitoring-tools-
for-2013/ [Accessed 6 February 2013].
Fogel,S.2010. Issues in Measurement of Word of Mouth in Social Media Marketing.
International Journal of Integrated Marketing Communications. 54-60.
Getz,D.,2007. Event tourism: Definition, evolution, and research. Progress in Tourism
Management. 29, 403-428.
Getz,D.,2007. Event Studies Theory, Research and Policy for Planned Events. Butterworth-
Heinemann: Oxford. Available from: http://lib.myilibrary.com/Open.aspx?id=261771&src=0
[Accessed 2 October 2012].
Gibbs,A.,1997. Focus Groups. Social Research. 19. Guildford: University of Surrey.
Available from: http://sru.soc.surrey.ac.uk/SRU19.html [Accessed 22 March 2013].
 
	
   46	
  
Gillham,B.,2000. Real World Research Case Study Research Methods. London: Continuum.
Available from:
http://books.google.co.uk/books?hl=en&lr=&id=B0UdlaxwiX0C&oi=fnd&pg=PP6&dq=defi
ne+case+study+research&ots=CmmRmGyzfc&sig=vJMjhXEOhOq40IwfrZ3oSFKKbYE#v=
onepage&q=define%20case%20study%20research&f=false [Accessed 30 January 2013].
Goble,G.,2012. THE HISTORY OF SOCIAL NETWORKING. DIGITAL TRENDS.
Thursday 6 September 2012. Available from: http://www.digitaltrends.com/features/the-
history-of-social-networking/ [Accessed 4 March 2013].
Guildford,D.,2012. Social media marketing is new word-of-mouth. Automotive News. 86
(6526), 35. Available from: http://ehis.ebscohost.com/eds/detail?sid=85bb2b11-7a09-4896-
bd90-
f122d65f457c%40sessionmgr111&vid=3&hid=116&bdata=JnNpdGU9ZWRzLWxpdmUmc2
NvcGU9c2l0ZQ%3d%3d#db=bth&AN=78238887
[Accessed 2 November 2012].
Guion,L.A.,Diehl,D.C. and McDonald Debra.,2012. United States of America: University of
Florida IFAS Extension. Condusting an In-deth interview. Available from:
http://edis.ifas.ufl.edu/fy393 [Accessed 28 March 2013].
Hawkins,S.,2012. How Free Speech and Social Media Fit Together.Social Media Examiner.
Thursday 8 March 2012. Available from: http://www.socialmediaexaminer.com/how-free-
speech-and-social-media-fit-together/ [Accessed 28 March 2013].
Hershey,M.,2010. A Social Media Revolution. Running head. Available from:
http://www.personal.psu.edu/jmb851/blogs/la_200_--
_business_and_the_liberal_arts/Social%20Media%20Revolution.pdf [Accessed 2 November
2012].
Hughes,D. and DuMont,K.,1993.Using Focus Groups to Facilitate Culturally Anchored
Research. American Journal of Community Psychology. 21(6). 775 -776. Available from:
http://link.springer.com/article/10.1007%2FBF00942247?LI=true#page-1 [Accessed 23
March 2013].
  47	
  
Hurley,L.,2011. Tight Budgets Expected to Continue in 2012, Special Events Survey Says
Special event professionals have to learned to do more with less- it’s a lesson they plan to use
in 2012. Special Events. Friday 7 December 2011. Available from:
http://specialevents.com/economy/tight-bugets-expected-to-continue-in-2012-special-events-
survey-says/ [Accessed 8 December 2012].
Hussein,A.,2009. The use of Triangulation in Social Science Research: Can qualitative and
quantitative methods be combined?. Journal of Comparative Social Work. 1-12. Available
from: http://jcsw.no/local/media/jcsw/docs/jcsw_issue_2009_1_8_article.pdf [Accessed 26
March 2013].
Independent.,2012. The Twitter 10: No 1 to 10. The Independent. Thursday 1 March 2012.
Available from: http://www.independent.co.uk/news/people/news/the-twitter-100-no-1-to-10-
7466795.html [ Accessed 28 March 2013].
Ishak,M., 2013. The Impact of Social Networking.Malaysia: SKMMAvailable
from:http://myconvergence.com.my/main/images/stories/PDF_Folder/jan2010/MyCon06_50.
pdf [Accessed 4 April 2013].
Jick,T.D.,1979. Mixing Qualitative and Quantitative Methods. Triangulation in Action.24 (4),
602-611. Available from: http://www.jstor.org/stable/pdfplus/2392366.pdf?acceptTC=true
[Accessed 20 March 2013].
Jorgensen.R.F.,2000. Internet and Freedom of expression. Available from:
http://www.ifla.org/files/assets/faife/publications/ife03.pdf [Accessed 28 March 2013].
Kaplan,A.M. and Haenlein,M.,2010. Users of the world, unite! The challenges and
opportunities of Social Media. Business Horizons. 53, 59-68. Available from:
http://openmediart.com/log/pics/sdarticle.pdf [Accessed 5 November 2012].
Kamberelis,G. and Dimitriadis,G.,2013. Focus Groups: From structured interviews to
collective conversations. New York: Routledge. Available from:
http://books.google.co.uk/books?id=qMW-
DQzhyGkC&printsec=frontcover#v=onepage&q&f=false [Accessed 15 April 2013].
 
	
   48	
  
Keller,E.,2007. Unleashing the Power of Word of Mouth: Creating Brand Advocacy to Drive
Growth. JOURNAL OF ADVERTISING RESEARCH. 448-452. Available from:
http://ebiz.bm.nsysu.edu.tw/2013/yen/comments/1006wordOfMouth.pdf [Accessed 7
November 2012].
Knodel,J.,1995. FOCUS GROUPS AS A QUALITATITVE METHOD FOR CROSS-
CULTURAL RESEARCH IN SOCIAL GERONTOLOGY.Journal of Cross-Cultural
Gerontology. Netherlands: Kluwer Academic Publishers. 10. 7-25. Available from:
http://deepblue.lib.umich.edu/bitstream/handle/2027.42/42971/10823_2004_Article_BF0097
2029.pdf;jsessionid=247C1E8EAC87078B64CBA7F9E99639DD?sequence=1 [Accessed 24
March 2013].
Knowledge@Wharton.,2013. The Hazards of Celebrity Endorsements in the Age of Twitter.
Available from: http://knowledge.wharton.upenn.edu/article.cfm?articleid=3191 [Accessed 5
April 2013].
Krivokapic-Skoko,B. and O’Neill,G.,2012. When a Qualitative Oriented Researcher Moves
Into the Area of Mixed Research Methods. In: Proceedings of the European Conference on
Research Methodology for Business and Management Studies, IE Business School, 24-25
June 2010, Madrid:SpainAvailable from:
http://books.google.co.uk/books?id=8mTywIN8EXkC&pg=PA240&dq=table+outlining+wha
t+qualitative+and+quantitative+methods+of+research+are&hl=en&sa=X&ei=ERENUfLTH-
OY0QWJlYBw&ved=0CDQQ6AEwAA#v=onepage&q=table%20outlining%20what%20qua
litative%20and%20quantitative%20methods%20of%20research%20are&f=false [Accessed 2
February 2013].
Leung,F.H.,2009. Spotlight on focus groups. Official Publication of The College of Family
Physicians of Canada. 55 (2). 218-219. Available from:
http://www.ncbi.nlm.nih.gov/pmc/articles/PMC2642503/ [Accessed 28 March 2013].
Lincoln,S.R.,2009. Mastering Web 2.0 Transforming your business using key website and
social media tools. United Kingdom: Kogan Page Limited. Available
from:http://ehis.ebscohost.com/eds/ebookviewer/ebook/nlebk_280324_AN?sid=4c33a9ca-
bc36-4a1f-bf30-37f37dec5296@sessionmgr10&vid=5&format=EB [Accessed 1 November
2012].
  49	
  
Litosseliti,L.,2003. USING FOCUS GROUPS IN RESEARCH. London: Continuum.
Available from:
http://books.google.co.uk/books?id=GwLbQSlRtQAC&pg=PA23&lpg=PA23&dq=focus+gro
ups+can+cause+participants+to+hold+back+information&source=bl&ots=tQMNzzqq5k&sig
=MjHYK_QtfwkRU8TCtiMtJsFBbyg&hl=en&sa=X&ei=uRJTUeG7LsG2O77mgfgN&ved=
0CH4Q6AEwCQ#v=onepage&q=focus%20groups%20can%20cause%20participants%20to%
20hold%20back%20information&f=false [Accessed 27 March 2013].
McGivern,Y.,2009. The Practice of Market Research. 3 rd ed. Essex: Pearsons Education
Limited.
MacIntosh,J.A.,1993. Focus groups in distance nursing education. Journal of Advanced
Nursing. 18, 1981-1985. Available from: http://onlinelibrary.wiley.com/store/10.1046/j.1365-
2648.1993.18121981.x/asset/j.1365-
2648.1993.18121981.x.pdf?v=1&t=hfl1luer&s=b6e304c57a72e6445f48b870818e3e2b2b27f6
c4 [Accessed 24 March 2013].
Mangold,W.G. and Faulds,D.J. 2009. Social media: The new hybrid element of the promotion
mix. Business Horizons. 52, 357-365.
Masterman,G. and Wood,E.H.,2006. Innovative Marketing Communications strategies for the
events industry. United Kingdom: Oxford.
Matthews,D.,2007. Seeking A Definition of Special Events. The Special Events Guru.
Tuesday 20 November 2007. Available from:
http://specialeventguru.blogspot.co.uk/2007/11/seeking-definition-of-special-events.html
[Accessed 30 September 2012].
 
	
   50	
  
Matthews,D.,2008. Special Events Production The Process. Oxford: Elsevier. Available
from:http://books.google.co.uk/books?id=oaNXM7P3LnkC&pg=PA2&lpg=PA2&dq=“A+sp
ecial+event+is+a+unique+moment+in+time+celebrated+with+ceremony+and+ritual+to+
satisfy+specific+needs.”+Getz+(1997;+p.4)&source=bl&ots=SLpF3f8I8N&sig=KyZGlsku
KffuSbCmcd2zqWEWxc8&hl=en&sa=X&ei=AuXqUPjYB6TC0QXH14CQAw&ved=0CDwQ
6AEwAQ#v=onepage&q=“A%20special%20event%20is%20a%20unique%20moment%20in
%20time%20celebrated%20with%20ceremony%20and%20ritual%20to%20satisfy%20specifi
c%20needs.”%20Getz%20(1997%3B%20p.4)&f=false [Accessed 4 November 2012].
Mayfield,A.,2008. WHAT IS SOCIAL MEDIA?. England:Icrossing. Available from:
http://www.icrossing.co.uk/fileadmin/uploads/eBooks/What_is_Social_Media_iCrossing_ebo
ok.pdf [Accessed 4 March 2013].
Misner,I.R.,1999. WORLD’S BEST KNOWN MARKETING SECRET. 2 nd ed. Texas: Bard
Press.
Mintel Group,2009. In-home Media Consumption – UK – April 2009. London: Mintel Group.
Available from: http://academic.mintel.com/display/454809/?highlight=true#hit1 [Accessed 9
April 2013].
Mintel Group,2011. Television Viewing Habits – UK – October 2011. London: Mintel Group.
Available from: http://academic.mintel.com/display/598629/?highlight=true#hit1 [Accessed
24 March 2013].
Mintel Group,2012. Social Media and Networking Executive Summary – UK – May2012.
London: Mintel Group. Available from:
http://academic.mintel.com/display/590164/?highlight=true [Accessed 24 March 2013].
Mellon-Hogon, L.,2009. Social Networking and Business. Executive Briefing Topic 4 –
Societal Issues. Thursday 30 July 2009.
Morgan,D.L.,1993. SUCCESSFUL FOCUS GROUPS. London: Sage Publications.
  51	
  
Morgan,D.L.,1996. Annual Review of Sociology. FOCUS GROUPS. 22, 129-152. Available
from: http://www.jstor.org/stable/pdfplus/2083427.pdf?acceptTC=true [Accessed 22 March
2013].
Nielsen.,2012. STATE OF THE MEDIA. THE SOCIAL MEDIA REPORT 2012. Available
from: http://www.nielsen.com/us/en/reports/2012/state-of-the-media-the-social-media-report-
2012.html [Accessed 10 April 2013].
Olsen,W.,2004.Triangulation in Social Research. Qualitative and Quantitative Methods Can
Really Be Mixed. 1-20. Available from: http://research.apc.org/images/5/54/Triangulation.pdf
[Accessed 20 March 2013].
Onkvisit,S. and Shaw, J.,2004. International Marketing Analysis and Strategy. 4 ed. New
York: Routledge.
Pine,B.J. and Gilmore,J.H.,1999. The experience economy: work is theatre & every business
a stage. Harvard Business Review. 98- 105.
Pointroll.,2012. Marketing Tools Study 2012. Available from:
https://wiki.pointroll.com/download/attachments/177079373/PointRoll+Marketing+Tools+St
udy+2012.pdf [Accessed 25 January 2012].
Preston,C.,2012. Event Marketing How to Successfully Promote Events, Festivals,
Conventions, and Expositions. 2nd ed. New Jersey: John Wiley & Sons. Available from:
http://books.google.co.uk/books?hl=en&lr=&id=QSc0a3UJM6AC&oi=fnd&pg=PT5&dq=ev
ents+greatly+desire+pre,+during+and+post+event+buzz&ots=qbPlBH02Hv&sig=Fflxy8j-
gXm6Dah9D3fP1dUSNTQ#v=onepage&q&f=false [Accessed 8 April 2013].
Punch,K.,2005. Introduction to social research: quantitative and qualitative approaches.2 nd
ed. London:Sage.
Purdam,k.,2013. Changing Peoples Behaviour Group Centre for Census and Survey Research.
Conducting Focus Groups – A Brief Overview. Available from:
http://www.methods.manchester.ac.uk/events/discussions/focusgroups.pdf [Accessed 24
March 2013].
 
	
   52	
  
Puttong,L.,2013. Introduction and History.Focus Group Methodology. 2-14. Available from:
http://www.sagepub.com/upm-data/39360_978_1_84787_909_7.pdf [Accessed 24 March
2013].
Ralston,L.S.,Ellis,G.D.,Compton,D.M. and Lee,J., 2007. STAGING MEMORABLE
EVENTS AND FESTIVALS: AN INTERGRATED MODEL OF SERVICE AND
EXPERIENCE FACTORS. International Journal of Events Management. 3 (2), 24-38.
Rezabek,R.J.,2000. Online Focus Groups: Electronic Discussions for Research. Forum:
Qualitative Social Research. 1 (1). Available from: http://www.qualitative-
research.net/index.php/fqs/article/view/1128/2509 [Accessed 21 March 2013].
Sagepublication., 2012. Chapter 9 Media Technology. 285-321. Available
from:http://www.sagepub.com/upm-data/40857_9.pdf [Accessed 17 December 2012].
Seiple, P.,2013. How to Leverage Social Media for Public Relations Success. Using Social
Media to Generate Media Coverage and Improve Brand Sentiment. 1-28. Available from:
http://www.hubspot.com/Portals/53/docs/hubspot_social_media_pr_ebook.pdf [Accessed 4
April 2013].
Solis,B., 2011. ENGAGE! The complete Guide for Brands and Businesses to Bild, Clutivate,
and Measure success in the New Web. New Jersey: John Wiley & Sons.
Spiess,S.,Schrade,M., Heuss,F. and Rensch,T.,2012. How is the event industry using social
media networks?. SOCIAL MEDIA & EVENTS REPORT 2012.1-33.
Stelzner.M.A,.2012. How Marketers Are Using Social Media to Grow Their Business. 2012
SOCIAL MEDIA MARKETING INDUSTRY REPORT. (5) Available
from:http://www.socialmediaexaminer.com/SocialMediaMarketingIndustryReport2012.pdf
[Accessed 2 November 2012].
Stewart,D.W., and Shamdasani,P.N.,1990. Applied Social Research Methods. Focus Groups
Theory and Practice. 20. London: Sage Publications.
  53	
  
Stewart,K. and Williams,M.,2005. Researching online populations: The use of online focus
groups for social research. Qualitative Research. 5 (4), 395-416. Available from:
http://qrj.sagepub.com/content/5/4/395.full.pdf+html [Accessed 21 March 2013].
Thomas.P.Y.,2010. Chapter 4 Research Methodology and Design. Available from:
http://uir.unisa.ac.za/bitstream/handle/10500/4245/05Chap%204_Research%20methodology
%20and%20design.pdf [Accessed 26 March 2013].
Thompson,S.,2013. From the Brits to the Oscars Twitter reveals award season 2013’s hosts
with the most. The Wall Social, marketing, media: blogged. Tuesday 26 February 2013.
Available from: http://wallblog.co.uk/2013/02/26/from-the-brits-to-the-oscars-twitter-reveals-
award-season-2013s-hosts-with-the-most/ [Accessed 4 April 2013].
Trusov,M.,Bucklin,R.E. and Pauwels, K.H.,2008. Effects of Word-of-Mouth Versus
Traditional Marketing. Findings from an Internet Social Networking Site. 3-48.
Van Grove,J.,2004. Mashable. STUDY: 57% of TV Viewers Use the Web Simultaneously.
Available from: http://mashable.com/2009/09/14/web-tv-study/ [Accessed 4 April 2013].
Veal,A.J.,2011.RESEARCH METHODS FOR LEISURE & TOURISM: A PRACTICAL
GUIDE. 4 ed. Essex: Pearsons Education. Available from:
http://books.google.co.uk/books?id=cKXw5EPrf3kC&printsec=frontcover&source=gbs_ge_s
ummary_r&cad=0#v=onepage&q&f=false [Accessed 10 February 2013].
Walliman,N.,2005. Your Research Project. 2nd ed. London: Sage Publications.
Windels, J.,2013. Dual Screening Research: Is Twitter Transforming How we Watch
TV?.Brandwatch. Tuesday 29 January 2013. Available from:
http://www.brandwatch.com/2013/01/is-twitter-transforming-how-we-watch-tv/ [Accessd 29
January 2013].
 
	
   54	
  
Youngs,H., and Piggot-Irvine,E.,2012. The Application of a Multiphase Triangulation
Approach to Mixed Methods: The Research of an Aspiring School Principal Development
Program. Journal of Mixed Methods Research. 1-15. Available from:
http://mmr.sagepub.com/content/early/2011/09/08/1558689811420696.full.pdf [Accessed 26
March 2013].
Figure References
Figure 2.0
Getz,D.,2007. Progress in Tourism Management. Event tourism: Definition, evolution, and
research. 29 (403-428).
Figure 2.1
Getz,D.,2007. Event Studies Theory, Research and Policy for Planned Events. United
Kingdom:Oxford. Available from: http://lib.myilibrary.co/Open.aspx?id=261771&src=0
[Accessed 2 October 2012].
Figure 2.2
Rodrigo,.2012. The role of social media as marketing tool for tourism in Kenya. case study:
Kenya safari and tours. The Write Pass Journal. Available from:
http://writepass.co.uk/journal/2012/12/the-role-of-social-media-as-marketing-tool-for-
tourism-in-kenya-case-study-kenya-safari-and-tours/ [Accessed 25 January 2013].
Figure 2.3
Papworth,L.,2010. 8 responses to criticism in online communities. Negative Comments in
Social Media. Thursday 26 April 2011. Available from: http://laurelpapworth.com/8-ways-to-
deal-with-negative-comments-on-blogs-and-social-media/ [Accessed 13 December 2012].
	
  
  55	
  
7.0 Appendices
Appendix A – Pilot Online Analysis data collection – Children In Need
Televised Event
	
  
The pilot for this study was conducted using the event BBC Children in Need. This
event was televised and therefore allowed the researcher to conduct tests during the
event, to determine the best online data analysing tool for social media platforms.
Furthermore to find out which ones would give the most accurate and clearest
results, to use for the real data (see table 1.0)
Table 1.0 Online data collection tools to be tested
Tool Name Website URL Platforms AnalysedUsed in Live Study
Hootsuite https://hootsuite.com Facebook and TwitterYes
Social Mention http://socialmention.com Facebook and TwitterYes
Tweet Reach http://tweetreach.com Twitter Yes
Google Analytics http://www.google.co.uk/analytics/Facebook and TwitterNo
Simply Measured http://simplymeasured.com/free-
social-media-tools
Facebook and TwitterNo
The online data analysing tools seen within the table were identified as market
leaders within the field of social analysis through extensive prior research. (See
figure 1.0)
Figure 1.0. Top 20 Free Social Media Monitoring Tools (Farnsworth 2013).
The researcher chose to sample the analysis tools seen in table 1.0 chosen from
prior research seen in the figure 1.0 above. The tools in table 1.0 were chosen to
test, as they proved very compatible and easy to understand Twitter and Facebook
statics. Furthermore they were able to pick up specific wording and hash tags. Tweet
 
	
   56	
  
Reach and Social Mention as a result of this pilot, were the chosen analysis tools for
this study.
Twitter and Facebook were the only two social media platforms tested in the pilot and
for the main online data collection. Prior research exposed and the additional pilot
study highlighted that the event examples within the case study were not using any
other social media platforms to promote their event.
	
  
	
  
	
  
	
  
	
  
	
  
	
  
	
  
	
  
	
  
	
  
	
  
	
  
	
  
	
  
	
  
	
  
	
  
	
  
	
  
	
  
	
  
	
  
	
  
	
  
	
  
	
  
	
  
	
  
	
  
	
  
	
  
	
  
	
  
	
  
	
  
	
  
	
  
	
  
	
  
	
  
	
  
	
  
	
  
  57	
  
	
  
Appendix B Online Facebook Focus Group Coded Transcript
RESEARCHER: Hi Everyone,
I am writing my dissertation on the engagement of social media during mediated
events.
This group has been created to hopefully form an online focus group. I have invited
you all to help comment and share information about a few questions I will put up. If
you could discuss these amongst yourselves on this page that would be fantastic!
I know this is a pain but all my dissertation research has gone down the pan in the
last few weeks. So I am in desperate need of your help! If you could spare a few
minutes to voice you opinions I would be forever grateful!
Thank you so much in advanced for anyone who takes part in this for me its greatly
appreciated!!
___________________________________________________________________________
RESEARCHER: Lets start the ball rolling...What tv programmes do you watch on a
Friday or Saturday night in?
Participant 1: Csi, hollyoaks, or things that happen every year like X factor, Britain’s
go talent, dancing on ice etc!
Participant 2: Saturday night takeaway wheyyyy
Participant 3: Saturday night takeaway, X factor, Britain’s got talent, you’ve been
framed and all the soaps.
Participant 4: at home I’ll watch X-factor, Jonathon Ross or what ever is on tv but at
uni I normally just catch up on my programmes that I’ve missed on 4od/ itv player / I
player or watch a documentary about something or other (again usually on catch up
services).
Participant 5: Coronation Street and Eastenders, and also love chat shows like
Jonathan Ross! X .
Participant 6: Saturday night take away with ant and dec is always a favourite in this
house and Jonathan Ross.
Participant 7: Jonathan Ross, take me out , X factor…..personally I think Saturday
and Friday night tv is shockingly bad nowadays…..they need to bring back changing
rooms, ground force and blind date!!
 
	
   58	
  
Participant 8: love Saturday night takeaway and any kind of chat show – graham
norton and Jonathon ross, sometimes panel shows like 8 out of 10 cats.
Participant 9: Usually only things like 8 out of 10 cats, Friday Night Dinner, Come
Dine with Me or QI… not a fan of ‘talent’ shows like X Factors etc x
Participant 10: Saturday night takeaway, 8 out of 10 cats, generally anything funny!
And I catch up on stuff that I recorded in the week.
Participant 11:I agree with participant 7, I think Friday and Saturday night TV isn’t
what it used to be! I tend to catch up on programmes or watch Strictly Come Dancing
/ XFactor , or awards ceremonies / special events when they’re on like Children in
Need or Comic Relief.
Participant 12: Seeing as I am usually sat in with participant 3 the same as her!
Unless I persuade everyone to put a film on instead.
Participant 3: The good thing about catching up on the internet or recording the
programmes is less advert time…way too many adverts these days!
Participant 12: I agree! But there are still far too many adverts on catch up, especially
ITV and 4oD.
Participant 8:yeah I do tend to watch most things on catch up, but I love award
season for film and mustic etc. which I always watch live and I watched comic relief.
RESEARCHER: these comments are great guys thank you and keep it up. Drawing
on participant 8’s point about award ceremonies which particular ones do you like
watching? Or try to watch?
Participant 3: The Soap Awards is the only one I watch the whole way through. The
others such as The Brits and The Oscars I will flick through while watching other
programmes.
Participant 13: Saturday night takeaway, seasonal reality shows (X Factor, I’m a
celebrity etc) but still what I would watch in the week too like family guy, don’t tell the
bride.
Participant 14: match of the day, anything on catch up.
Participant 15: Agree with participant 13, I also really enjoy chat shows; ross, norton,
carr! Regarding award ceremonies, I always watch the Oscars & Sports personality
of the Year… I will catch up on the Brits/ Soap Awards but I don’t watch them all the
way through!
  59	
  
Participant 16: Generally watch recorded programs on sky plus because of shift work
there is nothing I regularly watch. I do like Jonathon ross show though. Oh yer and
love comic relief not so much into award ceremonies x
Participant 12: The problem I find with comic relief etc is it is so sad! ( I know that is
the point, lol) So I would usually choose to watch a film instead, or I would watch it
whilst doing something else so I don’t spend the whole time in tears. But I do love
chat shows and flick between them depending on timing and who the guests are.
Participant 3:lol! Participant 12 would prefer to watch films over TV most the time! My
level of interest in chat shows definitely depends on the guests in Alan Carr chatty
Man.
Participant 12: I agree, but then I also find Graham Norton usually has really good
guests, so I like watching him.
Participant 17: always watch chat show like Graham Norton and Jonathan Ross, 8
out of 10 cats, x factor.
Participant 18: Ant & Dec, Take Me Out (when it was on) and CSI x
Participant 19: alan carr, Jonathon ross, CSI, a film, eastenders.
Participant 20: Take me out, X factor, ant and dec when they’re on but usually will go
out and catch up on them. X
Participant 21: Tend to watch pre recorded programmes or possibly chat shows –
Jonathon Ross etc x
Participant 22: Match of the day
Participant 23: I watch Biggest Loser, Teen Mom and Game of Thrones recently.
Participant 24: Not much really but if I had time it would be Saturday Night
Takeaway, Big Bang Theory and whatever film might be on.
Participant 25: The Jonathan Ross Show without fail – I catch up even if I miss it but
that’s it really. And Take Me Out when its on.
Participant 26: I’m really not a fan of weekend tv except Jonathan Ross and QI, so
would rather catch up on whatever I missed during the week or put a film on.
Participant 27: Match of the day, Have I got news for you and QI.
 
	
   60	
  
Participant 28: Saturday Night Takeaway and Jonathon ross.
___________________________________________________________________
RESEARCHER: Some interesting feedback thank you everyone, moving forward
from this is the next question…..
Do you partake in social media during the programme or after?
If yes which social media platform do you use and why?
If no why do you choose not to?
Participant 13: Some programmes place hashtags onscreen during their shows, for
that I often go on twitter to participate however if I get really opinionated about a
programmes, no doubt I’ll write it on a facebook status either during or after.
Participant 19: I don’t have twitter so don’t partake in all the #’s but like participant 13
said, if something has really annoyed me (e.g. someone went out of xfactor that
shouldn’t have done) then I might put a status on facebook.
Participant 29: I always use social media during a programme – unless I am gripped
and will miss something if I’m looking at my phone. I like to see what other people are
writing about it, and if the programme causes me to feel some kind of emotion
(shocked, sad, funny) I will tweet about it. I don’t usually hashtag though. Xx
Participant 1: Usually write on social media after, not during.. have both twitter and
facebook so just depends which one im on at the time as to which one I use! Things
like x-factor I usually don’t write about thought as too many people fill up my news
feed with it and it just gets annoying sometimes! Xxx
Participant 21: Tend to be both during the programme or immediately after. This
tends to be FB or twitter. Enjoy seeing other people’s posts and commenting or
reposting.
Participant 7: I tend to partake in social media during the program if I feel it’s worthy
of mentioning because I’m actively engaged with it at the time. It is normally always
Twitter because it seems to be more socially acceptable to constantly update, talk
and give opinions about what you are doing/ watching. You are also exposed to what
celebrities and other people who are perhaps considered in a authoritative position
are thinking/ saying so it is interesting to look on Twitter because of that, I think it has
an influence on what you think as well.
I don’t use Facebook to talk about programmes because it has a certain stigma
attached to it that isn’t socially acceptable to constantly update your news feed with
pointless opinions about things that don’t matter e.g. Saturday night tv.
  61	
  
Participant 8: I don’t tend to post about it but if I did it would definitely be on twitter
because you can update more regularly but I would look on twitter and fb to see what
people are saying about the bigger shows/ live tv, would tend to look more on fb for
views because I’ve chosen who I’m friends with so I care what they think, where as
the hash tag link on twitter I don’t know those people so not bothered about their
view, that’s my opinion anyway.
Participant 22: No because I would rather have a conversation about it using proper
verbal communication. I don’t really care about what people, I don’t really know have
to say about silly things.
Participant 3: I don’t tend to talk about programmes on twitter or facebook but if I was
I would do it on Twitter as the programme may be trending and you can also tag
those who are in the programme. I choose not to partake in social media as people
probably don’t care what I have to say on the programme and I also prefer to talk to
the people I am watching it with.
Participant 15: Agree with the above statement – I never partake in social media
during a programme/ after the programme. If I did then it would be twitter and not
facebook – I feel twitter is more about what’s happening now / current news. I prefer
discussing it with the people I’m with, rather than going any further with it i.e. social
media.
Participant 23: I do not tweet or fb during or after the show. I choose not to because
I’m not motivated enough to voice my opinions on the crappy reality TV shows I
choose to watch. I feel like people who comment on reality stars lives really do not
have any say, they do not know the tv personality but they think they do. It’s sad to
see people criticise reality tv personalities over twitter or fb because in reality the
people criticising do not have any knowledge of that person what so ever. So
basically, I personally think it’s a waste of time and stupid to be “social mediating”
your opinion on a TV show.
Participant 9: Usually, if the programme has made me laugh or felt strong emotions
(like the last episode of Derek, wept like a baby) then I will tweet about it..I never use
Facebook for things like that. Twitter is more interactive and if other people are
watching what you are too, then usually you can get conversations going over tweets
which adds to the experience of watching it I guess as you know others are too!
Participant 24: I normally do use Twitter or Facebook during programmes if I know a
lot of other people are watching and something shocking has happened, like during
the Brit Awards or the Olympics. I sometimes tweet the actors or writers of a
programme too to comment on their work.
Participant 25: I never really use social media when I watch programmes. The only
thing I can think of is x-factor but even then I don’t really put up a status myself – just
look at other peoples. I guess I’m not bothered about expressing what I am watching
– why would people want to know that kind of thing.
 
	
   62	
  
Participant 30: Yes I would partake if I felt the need to express something. I don’t use
twitter so I’ll put a status up on Facebook. I only really hash tag on Instagram.
Participant 26: I don’t think I’ve ever really used social media during or after. The only
time I can think of was during the men’s final gymnastics because I was hooked! I
always read what others say about it thought. I’m just nosy like that.
Participant 31: I definitely do partake in social media during a programme. Mostly I
use twitter as it is short and sweet and the use of hashtags is really easy and means
other people looking for similar sort of tweets can see it too. I also think tumblr is
good for when watching an award ceremony (Oscars/ brits etc) as within seconds of
something happening on the TV there will be memes and GIFs all over the website
about the event.
Participant 27: I never write statuses anyway and if I’m watching a programme I’ll
probably just b›e interested in that and if I do not have an opinion I’ll tell the person
I’m watching it with or keep it to myself or if I have a question I’ll google it instead of
putting a status up asking people to answer it for me.
Participant 28: I sometimes tweet after watching a programme, if something was
funny or to express my frustration over something that happened on it. I like to see
what other people tweet about or wrote statuses on during programmes as well.
___________________________________________________________________
RESEARCHER: To those of you within the group who do use social media when
watching programmes and events, what content do you share?
Do you give opinions, advice, recommendations or post questions about what your
watching?
Is the content that you share generally positive or negative?
Participant 32: Generally I post opinions or ask questions if I am confused! And only
on twitter!
Participant 2: On twitter I mainly complain about people I’m watching (towie) x
Participant 3: Mostly my own opinion as that’s one of the better uses of Twitter that
people can reach a vast amount of more people than you would on Facebook
(considering they are your friends), as with a # if other people agree with you or look
up the same thing your watching, then anyone can get in contact/ reply to you. I do
mainly say positive things as I only really have time to watch the programmes I like!
Participant 13: I only really post opinions, but then I think this is often what they are
asking you to do aswell, with sometimes doing ‘shoutouts’ to share everyones
opinions on tv. I wouldn’t say I post one view more than another but often my posts
  63	
  
are fairly opinionated either way. I would only really post or share something if I really
have a strong opinion rather than simply a view.
Participant 14: participant 33 what are your views?
Participant 33: I like to use twitter to S*** off the towie lot. What’s are your views
participant 14 and 34?
Participant 34: I go a little crazy on twitter when my boi francis boulle and the MIC
crew are on the telly.
Participant 15: I tend to post more when watching events. I usually just ‘tweet’ about
the event itself and what my opinions are, dependent on whether they are posititve or
negative!
Participant 8: I’d say both positive and negative but it usually the more shocking stuff
that I would choose to comment on and would mainly do it on twitter.
Participant 12: I never really use social media while watching, maybe during the
breaks I will see what people are saying about things, but never usually comment –
not sure why!
Participant 7: It’s normally my opinion about something, both positive and negative
when watching something like a talent show for example where the programme
encourages you to interact.
Participant 35: I tend to watch twitter closely when I’m watching events like award
ceremonies just to see if there is any extra gossip. I don’t tweet or retweet much but I
will if someone I really like has got an award.
Participant 31: Personally I share opinions on what is happening, I like to be able to
interact with other people on my news feed who are also watching the programme. I
also think it’s a really clever idea for a programme (for example made in Chelsea)
when they have their own twitter account and they live tweet at the same time as the
TV show. It means you feel like you’re interacting with the tv show aswell, especially
if they retweet you or directly reply.
___________________________________________________________________________________________________	
  
RESEARCHER: Afternoon everyone….my next question to you all is did any of you
watch any of the following events:
The Sun Military Awards
BBC Sports Personality of The Year
The BAFTA’s
If yes which ones did you watch and did you look at or use social media whilst
watching them?
 
	
   64	
  
If you didn’t watch any of them why was this?
Participant 7: No I didn’t watch any of them, mainly because those kind of programs
don’t really interest me that much, they tend to go on for a long time and I get bored
easily.
Participant 26: I had Sports Personality on in the background, but wasn’t really
paying attention and can’t remember looking at any social media about it at the time.
I also watched the BAFTA’s. I didn’t post anything about it personally but can
remember reading a few things others said, although I can’t remember anything that
was said.
Participant 5: I watched sports personality of the year- probably because I enjoyed
the Olympics so much, and it involved many of the Olympic athletes. I don’t
remember using social media though.
Participant 36: BBC Sports personality of the year, especially due to the success
over the past year. Whilst watching them used Twitter both to express my opinions,
mainly congratulating and reminiscing on the success that we had over the year. Also
provides inspiration.
Participant 19: watched some of the military, sports personality (but only because
mum and brother were watching it, not out of choice) x
Participant 12: I didn’t watch any of these, partly because I was probably just busy
when they were going on, partly because there is too much waffle and adverts etc
inbetween, I want them to cut to the chase and only show the exciting bits!
Participant 3: I agree with participant 12 too much waffle, they go on too long and are
mainly boring. I watched The Military Awards the past two years but that’s only
because of the researchers is heavily involved with it. And although I didn’t
personally tweet about The Millies I did look at other peoples tweets.
Participant 12: I never look at tweets or social media during these types of
programmes, but I am more likely to look at the news the next day to see if anything
interesting happened, where as I wouldn’t do that for other programmes.
Participant 11: I watched the Military Awards, like participant 3 because the research
was heavily involved, and I did tweet about it because it was so emotional I felt
strongly about it. But for something like the BAFTAS where I don’t feel much emotion
towards it I wouldn’t tweet about it because it. For celebrity events like the BAFTAS I
might watch a bit but not all of it because I feel like it goes on for too long. But I do
look at Twitter the next day to get a round up of what happened.
Participant 1: Had the baftas & sports personality of the year in the background, only
watched bits that I was interested in, didn’t use social media, but I did look on twitter
to see updates on what people were wearing at the baftas! Xxx
Participant 37: Didn’t watch any of them but saw lots of tweets about BAFTAS, what
was going on, who won what and the like. X
  65	
  
Participant 13: I watched the BAFTA’s as this interests me more than the others. I
didn’t actually use social media during this though. I think I was too busy seeing
who’d won!
Participant 14: Only watched sports personality because of the success of the
Olympics, Murray. I didn’t participate with online media platforms as I knew that the
majority of my news feed would be filled with comments on the results of the awards
and just read through those rather than write my own comments.
Participant 23: Nope. I’m in a whole other country.
Participant 22: I watched all three. I didn’t use any social media for an›‹y of them, just
spoke to the television screen to voice my opinion. I looked at facebook during sports
personality just to see who people thought was going to win.
Participant 24: I watched the baftas in full and the end of sports personality. I didn’t
watch the Sun awards because I didn’t know it was on and I probably wouldn’t have
watched it anyway. I was watching twitter during the sports personality awards as I
didn’t have access to the channel and I was actively using facebook, twitter and
instragram during the BAFTAS.
Participant 6: I watched the BAFTA’s and the BBC sports personality of the year but
not the other one. I was also using twitter during the sports personality but I didn’t
follow any of the others through social media mainly because I didn’t really know
there was any social media stuff for them.
Participant 8: I watched the BAFTA’s and commented about it on twitter but didn’t
follow other people’s comments about it.
Participant 31: I watched a bit of the BAFTAS and a bit of BBC sports personality.
However, the reason I knew most about these televised events was because I was
on twitter / tumblr at the time and I saw a lot of my newsfeed about what was
occurring on the shows at the time.
___________________________________________________________________
RESEARCHER: Great response here everyone thank you for your comments.
Some of you have mentioned that you saw others talking on social media sites about
the televised events. Seeing these comments did they impact your decision to watch
the programme either real time or on catch up?
Participant 22: Only if something funny happened, then I’d youtube it.
Participant 1: Same as above I’d youtube it if I missed something! Xx
Participant 3: It would not impact me to watch the whole programme but it would
impact me to youtube the part that everyone was talking about.
Participant 13: I didn’t use social media to watch those particular programmes, but
often I see people talking on Facebook mainly about shows that I like. If it looks
 
	
   66	
  
exciting I’m more enticed to watch it asap!! But sometimes social media can be a
spoiler to programmes I haven’t yet had chance to watch – both from friends and
pages – towie for example put pictures up during the show seconds after its
happened so I avoid Facebook until I’ve watched it!
Participant 12: I am the same as participant 3, I would YouTube the specific bit. I
would only watch the whole thing if it was a short episode of something, for example
Made In Chelsea or TOWIE.
Participant 14: Would normally watch it on catch up or YouTube the particular part
that everyone is talking about, especially if it sounds funny.
Participant 26: Same as everyone else, I’d youtube it or try and find it on catch up,
but it wouldn’t make me want to watch the whole thing.
Participant 6: I agree with participant 14 if I haven’t seen a programme in real time
but everyone is talking about it either face to face or over social media I would use
catch up or youtube to see the bits everyone is talking about.
Participant 19: Maybe not those programmes specifically but comment on facebook
about a programme can make me think ooo I need to catch up on that!
Participant 8: Would encourage me to watch it on catch up if I was interested in what
people were saying about it.
Participant 31:If I see people talking about it on social media, if its something I watch
firstly I hope I don’t see any spoilers about the event! But ultimately yes it would
encourage me to watch. If they were saying something that sounded interesting
about something I might not normally watch I think this would also encourage me to
watch it too.
Participant 27: If something interesting or funny happened then I would watch it on
catch up or youtube.
Participant 11: Yeah I would youtube it too!
Participant 28: I’ve also looked on youtube for certain clips after hearing people talk
about it. Only if it was from programme that I usually watch and have missed for a
reason or another. I wouldn’t bother if not whether people spoke about it or not.
___________________________________________________________________
RESEARCHER: Furthering this if you see a hash tag at the bottom of the screen
during the programme or announced by the presenter, does this encourage those of
you who do use social media to tweet about the programme using the hash tag? Or
look up the hash tag online to see what people are saying about the programme?
Participant 7: It would probably subconsciously make me aware of their hashtag /
twitter however I wouldn’t look up the hash tag to see what others are saying about it,
I only care about people who I follow’s opinions.
Participant 36: Wouldn’t usually look up / use the hashtag. As above only really
consider the people I am followings opinions. Sometimes in controversial situations
  67	
  
or in sporting events I may look up hashtags but this would mainly focus on views
from industry professional and reporters as supposed to general public.
Participants 14: No I find it really annoying.
Participant 13: I agree with participant 14, at first it was unique and fun to do, now its
just repetitive and irritating! I rarely do it when I’m told to do them, I simply put the
name of the programme as a hashtag and talk about it after its finished.
Participant 8: Would maybe use it if I had something to say about the programme
and it may encourage me to do so but wouldn’t go out of my way to look it up.
Participant 21: No. If I was going to tweet about the programme I would then tweet
the hash tag. But I wouldn’t tweet a hash tag just for the sake of it x
Participant 11: I wouldn’t actively look up the hash tag unless, like participant 36 said,
something controversial was happening and I wanted to see what other people’s
views were on it. Otherwise I would only see what people on my own news feed
thought.
Participant 6: I would have to really like the programme in order to tweet about it I
wouldn’t do it for the sake of it either.
Participant 12: I am the same as participant 11, except I am guilty of looking up
#girlfriends to see what was going on!
Participant 31: If I see a hashtag at the bottom of a show it definitely does encourage
me to tweet about it. Also if I see a tweet about the show that I am confused about I
can use the hashtag to look at other peoples tweets to perhaps see if someone else’s
tweet could clear it up for me.
___________________________________________________________________
RESEARCHER: Afternoon everyone thank you all so much for all your participation
over the last week you’ve been fantastic. Lastly I’d like to know if any of you have any
closing comments or opinions on the integration of social media and events?
Also if you have any opinions on the future of social media within events?
Participant 12: I think social media within live events is a great thing – on my
placement year we used it extensively at Cannes Lions, and it really helped integrate
the experience. With televised events, however , I feel that they can be used in
powerful ways, and with xbox smart glass etc TV and social media will be 100%
integrated. However, I am not sure how much I would use social media during TV
shows whilst I am still living in a social environment – maybe that will change when I
have to live on my own and I want to join in..!
Participant 6: In the famous words of Solis engage or die. If events don’t keep up with
social media they will be left behind I think social media has to be at the forefront of
all marketing communications to keep the hype pre during and post event.
Participant 21: I think social media is quickly changing how things are perceived. Its
immediate feedback that creators can use and improve things. It can be used
 
	
   68	
  
negatively but overall the positives of it greatly outweigh that. Certainly a bright future
and will not be something that disappears. X
Participant 1: I agree, I think social media is a fantastic way to keep up to date with
events, however obviously can have a negatively effect if an event goes badly, so
you have to make sure the content is controlled xxxx.
Participant 11: I think social media is a great way to raise awareness of event and
actually gets more people involved who wouldn’t otherwise have known the event
was happening, so it works as a publicity tool as well as an engagement one.
Researcher: Thank you very much everyone for all your help with this dissertation
focus group. The group will now be made private so that no one else can look at the
discussion or join in. The information will now be transcribed and coded for the
purpose of the dissertation results and findings. All names will be changed to
participant 1,2,3,4, etc to protect all identities. Any questions do email me. Many
thanks again everyone for all your help and support.
	
  
	
  
	
  
	
  
	
  
	
  
	
  
	
  
	
  
	
  
	
  
	
  
	
  
	
  
	
  
	
  
	
  
	
  
	
  
	
  
	
  
	
  
	
  
	
  
	
  
	
  
	
  
  69	
  
Appendix C Ethics Check List
 
	
   70	
  
	
  
  71	
  
	
  
	
  
 
	
   72	
  
	
  
	
  
  73	
  
	
  

completed dissertation

  • 1.
      The  Under  Used  Power  of  Social  Media  in  Televised  Events   A  dissertation  submitted  by     Rebecca  Blackmore   In  partial  completion  of  the  award  of     Event  Management  BA  (Hons)                                 ‘I  hereby  declare  that  the  dissertation  submitted  is  wholly  the  work  of  Rebecca   Blackmore.  Any  other  contributors  of  sources  have  either  been  referenced  in  the   prescribed  manner  or  are  listed  in  the  acknowledgements  together  with  the  nature   and  scope  of  their  contribution.’                                   School  of  Tourism     Bournemouth  University  
  • 2.
  • 3.
        II   Abstract This dissertation is an explanatory study into social media use within the context of televised events, revealing the current under utilised marketing potential of social media. It also investigates the current levels of engagement of social media platforms and there development and intergration into televised events. Primary qualitative research has been collected for this study in the form of an online Facebook focus group and additionally, a case study has been examined, comparing and contrasting three televised event examples, which have been analysed through online analysis. Results and conclusions were drawn from the research, highlighting the key findings that demonstrate the current under utilisation of social media marketing within televised events, is due to the content of the event. This study highlights the power of social media platforms focusing on Twitter, Facebook and YouTube. As a result of this study a secondary key finding highlighted the huge marketing potential of the platform YouTube. The study has shown reasoning behind the current lack of social media engagment through televised events and how they can embrace social media marketing for the future growth and development. As a result ,the author recommended further investigation into the leverage celebrity presenters have, on extending the reach of televised events engagment. Word Count: 9,982                              
  • 4.
      III   Acknowledgement Iwould like to thank my advisor Deborah Sadd, to whom I am sincerely grateful too for all her time, patients, commitment and support through the journey of writing this dissertation. Besides Deborah, I would like to thank my mother, father and brother for their continued support, patients and believeing in me, I hope I make you proud. I would like to thank my friends for being there for me throughout this journey. Lastly I’d like to thank my horse Hoggie for his continued support, without these individuals in my life this dissertation would not have been possible.                                                                                    
  • 5.
        IV   Contents page Dissertation Declaration…………………………………………………………..…I Abstract…………………………………………………………………….……........II Acknowlegdement…………………………………………………………………..III List of Figures and Tables……………………………………………………..…VII 1.0 Introduction……………………………………………………………………….1 1.1 Introduction t Study…………………………………………………….…1 1.2 Aim………………………………………………………………………….1 1.2.1 Objectives……………………………………………………………2 1.3 Rationale………………………………………………………………..….2 1.4 Dissertation Structure …………………………………………………....3 2.0 Literature Review…………………………………………………………..…….4 2.1 Background into Events………………………………………………4 - 6 2.2 New Marketing and Web 2.0……………………………………………..6 2.3 What is Social Meida ……………………………………………………..7 2.4 The History of Social Media ……………………………………………..8 2.5 Social Media the Future of Word of Mouth Marketing…………………9 2.6 Social Media within the Events Industry………………………………10 2.7 The Wow Factor………………………………………………………….11 2.8 Events Advertising and the Economy………………………………….12 2.9 Critique of Social Media within Events………………………………...13 2.10 Research Gap…………………………………………………………..14 2.11 Summary ……………………………………………………………….14 3.0 Methodology…………………………………………………………………….16 3.1 Introduction ………………………………………………………………16 3.2 Research Aims and Objectives………………………………………...16 3.3 Research Approach and Strategy……………………………………...16 3.3.1 Explanatory Research………………………………………...16 3.3.2 Primary Research …………………………………………….17 3.3.3 Quatitative and Qualitative …………………………………..17 3.3.4 Triangulation…………………………………………………...18 3.4 The Case Study…………………………………………….……………19 3.4.1 The Sun Military Awards……………………………………...19 3.4.2 BBC Sports Personality of the Year…………………………20
  • 6.
      V   3.4.3The BAFTA’s………………………………………………..….20 3.5 Research Design ………………………………………………………..20 3.5.1 Internet Research………………………………………….…..20 3.5.2 Pilot…………………………………………………………...…21 3.5.3 Focus Groups………………………………………………….21 3.5.4 Focus Group Design …………………………….……………21 3.5.5 Coordination and Standardisation…………….……………..22 3.5.6 Online Focus Group…………………………………………...23 3.5.7 Open-ended Questions……………………………………….24 3.5.8 Facebook Focus Groups……………………………………...24 3.6 Rationale………………………………………………………………….25 3.7 Analysis…………………………………………………………………...25 3.8 Transcript and Coding…………………………………………………..25 3.9 Limitations ………………………………………………………………..26 3.10 Ethics………………………………………………………………...26-27 4.0 Results and Discussion…………………………………………………..…..28 4.1 Televised Events Online Analysis……………………………….……..28 4.1.1 Facebook Analysis…………………………………………….28 4.1.2 Twitter Analysis……………………………………………..…29 4.1.3 YouTube Analysis………………………………………….29-31 4.2 Televised Events and Social Media Engagement………………..31-33 4.3 Under Estimated Marketing Power of YouTube……………….……..33 4.4 Televised Event Presenters…………………………………….......34-36 4.5 Event Content…………………………………………………………….36 4.6 Limitations…………………………………………………………….37-38 5.0 Conclusion and Recommendations……………….………………..………39 5.1 Importance of the Study………………………………………...………39 5.2 Aims and Objectives…………………………………………………….39 5.2.1 To Investigate The Current Academic Literature In Relation To Social Media Usage Within The Events Industry………40 5.2.2 To Compare And Contrast Social Media Intergration Into Three Televised Events……………………………………...40
  • 7.
        VI   5.2.3 To Explore Suitable Tools For Measuring Social Media Engagement…………………………………………………...41 5.2.4 To Suggest Solutions For The Future Of Social Media Engagement Within Televised Events…………………...…41 5.3 Limitations of The Study………………………………………………...42 5.4 Recommendations……………………………………………………….42 6.0 References……………………………………………………………..……43-54 7.0 Appendices……………………………………………………………...………55 Appendix A Pilot Online Analysis………………………………….……….55 Appendix B Online Facebook Focus Group Coded Transcript……..57- 68 Appendix C Ethics Check List ………………………………………….69-73                                                                
  • 8.
      VII   Listof Figures and Tables Introduction Figure 1.0 Dissertation Structure…………………………………………………….3 Literature Review Figure 2.0 Typologies of Events…………………………………………………..…5 Figure 2.1 Events Management Knowledge Domain………………………...……6 Figure 2.2 Key Social Platforms ……………………………………………………..8 Figure 2.3 Negative Comments in Social Media……………………….…………13 Methodology Table 3.0 Types of Research Method…………………………………………...…17 Table 3.1 Triangulation………………………………………………………………19 Table 3.2 Facebook Focus Group Coding Framework…………………………..26 Results and Discussion Figure 4.0 Three Televised Events Facebook Likes……………………………..28 Figure 4.1 Facebook Focus Group………………………………………………...28 Figure 4.2 Three Televised Events Twitter Following……………………………29 Figure 4.3 YouTube Channel Subscribers……………………………….………..30 Figure 4.4 YouTube Channel Views…………………………………………….…30 Figure 4.5 Facebook Focus Group Coded Transcript Part A……………………31 Figure 4.6 Facebook Focus Group Coded Transcript Part B……………………31 Figure 4.7 Facebook Focus Group Coded Transcript Part C……………………32 Figure 4.8 Facebook Focus Group Coded Transcript Part D……………………32 Figure 4.9 Facebook Focus Group Coded Transcript Part E……………………33 Figure 4.10 The Independent Top 100 Most Influential Tweeters………………34 Figure 4.11 Event Celebrity Twitter Following Analysis………………………….35 Figure 4.12 Clare Baldings Twitter Page………………………………….……….36 Figure 4.13 Facebook Focus Group Coded Transcript Part F…….…………….37
  • 10.
      1   1.0Introduction _______________________________________________________________ 1.1 Introduction to study This study explores and investigates the power of social media within televised events. With the internet and other digital technology at the forefront of transforming marketing, (Chaffey et al 2009) marketing is a key domain within every successful event (Getz 2007). It is crucial that events recognise future developments not only within the industry but futhermore the enviroment around them, in order to meet the demands of the modern consumer. It is becoming increasingly difficult to ignore the constant growth in popularity of the internet and social media, particularly with the development of web 2.0 in 2005 (Constantinides and Fountain 2007). Currently 51% of internet users are accessing the internet for three hours or more a day (Mintel 2009), with a further 57% of television consumers accessing the internet whilst watching television (Van Grove 2009). Social media has become the second most popular activity to do whilst online (Mintel 2012). Social media is continuing to evolve, offering consumers of all types from around the globe new ways of engaging, not only with people, but also brands and events (Nielsen2012). Despite the popularity of social media from the perspective of the consumer, businesses and events are still under utilising the huge marketing potential of social media. Highlighting the need for research into why events and specifically televised events, are currently failing to exploite this new form of word of mouth marketing to leverage events. It is vital to gain understanding why televised events are currently under utilising social media within televised events for the future growth and development of the industry, as well as to protect the longevity of events. 1.2 Aim The aim of this thesis is to demonstrate the under utilised marketing potential of social media in mediated events.
  • 11.
        2   1.2.1 Objectives In order to achieve the aim the following objectives have been set: • To Investigate the current academic literature in relation to social media usage within the events industry. • To Compare and contrast social media intergration into three televised events. • To explore suitable tools for measuring social media engagement. • To suggest solutions for the future of social media engagement within televised events. 1.3 Rationale An investigation of the current literature in relation to the use of social media within televised events, identified that televised events are currently under utilising the marketing potential of social media. Recognising this research gap highlighted to the author, the need to explore and emphasise the importance of social media to the events industry. This is essential in order to establish stable growth for events and ensure events longevity, within the current techno dependant society. Left Intentionally Blank
  • 12.
      3   1.4Dissertation Structure The structure of the dissertation as state in Figure 1.0. identifies each chapter and the processes used within each. Figure 1.0 Dissertation Structure (Source: Author 2013)                                       Chapter One: Introduction Introduction to the study, research aims and objectives, context and rationale of study.   Chapter Two: Literature Review A review of the current literature in relation to social media and the events industry. Chapter Three: Methodology Research methods are defined with justification of the methods descibed and how the research will be carried out. Chapter Four: Results and Discussion Brings all the research together and discusses the findings in relation to the existing literature, and the aims and objectives of the study. Chapter Five: Conclusion and Recommendations This chapter concludes the study and suggests recommendations.
  • 13.
        4   2.0 Literature Review This chapter will give an overview and insight into the events industry and social media, in relation to the adaptation of word of mouth marketing and its modernisation, enabling it to capture the current techno dependent society. It draws upon current literature, investigations and previous research in both sectors to aid fulfilment of the research aims and objectives. 2.1 Background into events The events industry is made up of many different types of events Matthews (2007) defines an event as: “ a gathering of human beings, generally lasting from a few hours to a few days, designed to celebrate, honor, discuss, sell, teach about, encourage, observe, or influence human endeavors.” (Matthews 2007). This quote not only defines what an event is, but more broadly states how an event is hard to define, as it is a very large subject area. An event can be defined further, as “A special event is a unique moment in time celebrated with ceremony and ritual to satisfy specific needs” (Matthews 2008, p.3) The quote narrows down events into channels and demonstrates that every event is held in order to satisfy a specific need. These needs can be categorised into different types of events, more commonly known within the events industry as the Typologies of events (Getz 2007) see figure 2.0.
  • 14.
      5   Figure2.0 – Typologies of Events (Getz 2007, p.404) The figure above shows and states how events are categorized within the industry into different fields of typology. Once the event has been catergorized it is then easier to define and build upon. A team of various experts within each field will be constructing the event to meet a particular clients needs. The teams are made of various specialists within the service industry who come together to build various events e.g. televised events. Televised events a category also known within the events industry as media events, which are defined as “an event that is staged for or exploited by the mass media, whose attention lends it an apparent importance” (Collins 2013). Highlighting how this type of event is very different from Matthews (2007) broader event definition stated earlier. Demonstrating this point emphasises the various different needs each particular event type requires from the different areas, which make up an event, also known as the event domains. The figure below highlights the domains that the members of the event team specialise in e.g. event marketing (see figure 2.1). Left Intentionally Blank
  • 15.
        6   Figure 2.1 - Event Management Knowledge Domains (Getz 2007, p.2) The five domains above (see figure 2.1) establish the key elements of creating a successful event. One key element of the five domains is marketing and communication. A fundamental component of a successful event is promotion and marketing (Eden ca.2013). Pointroll’s (2012) report highlights the most important marketing tools across the events and marketing industries. “social media (24%), search advertising (24%) and display advertising (22%) will be the most popular industry tools this year.” (Pointroll 2012, p.4). The report demonstrates the growth of online marketing and highlights the importance of using social media as a tool to leverage and market events, through online engagement with consumers. Mintel states that “two thirds (63%) of social network users visit Facebook at least one a day” (Mintel 2012). Emphasising this figure is the minimum that consumers access this particular social media platform in a day, strongly arguing and stating the need for companies to be utilising social media platforms within their marketing strategies. 2.2 New Marketing and Web 2.0 Online marketing has been revolutionised by the creation of web 2.0 in 2005 (Constantinides and Fountain 2007). Without the transformation of web 2.0, which Lincoin (2009, p.8) defines as:
  • 16.
      7   “Web2.0 is a web in which people can interact and participate rather than just read. A good way to picture web 2.0 is as the world’s biggest Café, whereas the earlier web was the worlds biggest library.” (Lincoin 2009, p.8). The quote demonstrates how web 2.0 has modernised the way in which consumers use the internet even further than before. Giving consumers the power to interact freely with each other, through collaboration and contributions to online communities across the world (Anderson 2007). The revolution has changed the world and the way in which consumers and businesses communicate, furthermore it has changed the way the world conducts business, impacting every job at every kind of company (Mayfield 2008). This great shift in communication and advancement in digital technology made the name web 2.0 seem obscure, therefore web 2.0. rapidly adopted the name social media, because of the new ability it created allowing users to interact with friends, family friends, friends of other friends and complete strangers, however they all share a mutual interest (Fogel 2010). 2.3 What is Social Media? Ellison and Boyd (2008, p.211) define social media as: “web-based services that allow individuals to construct a public or semi-public profile within a bounded system (2) articulate a list of other users with whom they share a connection.” (Ellison and Boyd 2008, p.211). This definition is one of many which is given in the industry, futhermore Solis (2011, p.21) defines social media more simply as "Any tool or service given that uses the internet to facilitate conversations." This definition maybe shorter than Ellison and Boyd (2008, p.211) however it is still a correct definition, furthermore within the Ellison and Boyd’s (2008, p.211) definition they identify a secondary definition. Highlighting how Social media definitions are not clear cut, but are reliant upon the interactions of the user in order to gain a true interpretation and clarification. Intentional Gap
  • 17.
        8   2.4 The History of social media 1997 launched the very first social media site called sixdegrees (Hershey 2010). Sixdregrees operated and shared similar offerings to the contemporary sites e.g. Facebook (Goble 2012). The rapid growth of social media has lead to the launch of hundreds of social networking sites (Ishak ca.2013). There are now many different types of social media platforms that range in what they offer in terms of communication. The figure 2.2 below highlights the key social media tools, which are used within industry today. Figure 2.2 – Key Social Platforms (Rodrigo2012) The figure demonstrates how verbal communication is only one form of online communication, various social media platforms now exists extending upon how consumers interact online, through videos sharing, blog posting, podcasts, photo sharing and more. Currently companies are trying to use a variety of these platforms in their integrated marketing communication strategies (IMC). Intentional Gap
  • 18.
      9   Marketersplan to increase their usage of the following social media platforms: “YouTube (76%), Facebook (72%), Twitter (69%), blogs (68%), Google + (67%) and Linkedin (66%)” (Stelzner 2012, p.5). Highlighting the expansion of social media marketing within business. The Social Media Examiner report additionally identifies: “Top five social media networks/tools for marketers: Facebook, Twitter, LinkedIn, blogs and YouTube were the top five social media tools used by marketers, in that order ” (Stelzner 2012, p.5). This quote demonstrates the current top five social media platforms, thus highlighting how crucial social media platforms are for marketing events in the current techno dependant society. Therefore companies must ensure they are integrating these methods to guarantee their business is not left behind. 2.5 Social Media the Future of Word of Mouth Marketing Social media stands out from traditional forms of mediated marketing as Lincoln (2009, p.10) suggests “social media is more about the ideas that you share, collaborate on, create and participate in rather than observe:” Thus, highlighting how social media inspires not only marketers but their audience to be more creative through group participation, interaction and engagement. “Consumers are turning away from the traditional sources of advertising: radio, television, magazines, and newspapers.” (Mangold and Faulds 2009, p.360). Marketers need to move away from traditional forms of increasingly ineffective advertising, which encourage marketers to just observe and monitor the audience’s reactions, in order to be successful in the future (Mangold and Faulds 2009, p.360). Social media is now branded and widely recognised as another form of Word of Mouth (WOM) as Guildford (2012) states “social media marketing is an amped-up version of the oldest and most powerful form of marketing: word-of-mouth.” Identifying how social media is undoubtedly another form of Word of Mouth marketing (WOM). Keller (2007) concurs with this statement and additionally identifies how WOM is the most important
  • 19.
        10   and effective form of communication. Misner and Devine (1999) correspond with the above statements agreeing that word of mouth is the most effective form of marketing, however highlighting that this method of marketing is also the least understood marketing strategy. WOM is not only the hardest form of marketing to understand but due to the revolution of web 2.0 and social media, it is now one of the fastest growing forms of marketing (Trusov et al 2008). Identifing how important it is for marketeers to engage with social media before it advances beyond their understanding and control. Social media platforms provide several venues for consumers to share their preferences, opinions and experiences with others, exposing them to organisations who take the opportunity and use it to their advantage to use the comments and posts as their own WOM (Trusov et al 2008). Highlighting the new ways, which consumers and business can engage with each other. This level of engagement and exposure is critical to business and events if not monitored efficiently as negative comments can spread online as quickly as positive comments. For example the BRIT Awards 2013 Thomason (2013) identifies that comedian, James Corden, and presenter of the BRIT Awards 2013 “failed to impress online as less than a third of the comedian’s overall mentions were positive”. Highlighting how negatively the host was perceived on Twitter, which would suggest possible reputation damage not only for the individual but for the event (Seiple ca.2013). 2.6 Social Media within the Events Industry Social media has had a huge impact on the events industry and how events are marketed, 73% of event organisers regard social media as an important marketing tool, with a further 78% of event organisers stating that they will be increasing their social media activity and usage in the near future (Spiess et al 2012). Thus demonstrating the increased use of social media within the events industry. Furthermore 57% of television consumers who have access to the internet use both instruments at the same time (Van Grove 2009). Highlighting the increased use of social media during televised events. However critically Van Grove (2009) does not highlight what consumers are doing whilst accessing the internet, demonstrating the need for event marketers to observe social media sites during televised events, to monitor the level of engagement with the medium during the event, to decipher the strength of the events content.
  • 20.
      11   Socialmedia allows event organisers to engage with the customers before, during and after an event therefore enhancing the overall experience. “A social networking site has several ways to attract new customers, including event marketing (directly paid for by the company), media appearances (induced by PR) and word-of- mouth (WOM) referrals.” (Trusov et al 2008, p.11). The quote outlines how social media platforms are able to attract and engage with new and old customers, through the use of events being pushed and publicised through social media platforms. Critically 48% of official television shows Twitter accounts rarely engage with fans or respond to mentions, demonstrating how social media is currently under used and how companies need to engage with consumers (Windels 2013). Celebrity endorsement for events enables further reach through celebrity status: “celebrities have more cachet and influence than brands. On Twitter, for instance, Justin Bieber has 34.5 millions followers” (Knowledge@Wharton 2013). Demonstrating the power of having the right celebrity presenters and performers at events and how that will effect consumer engagement though social media, by extending the reach through the celebrities large following, the WOM is extended further, potentially massively increasing the awareness of the event. 2.7 The Wow Factor Events managers are always trying to create the next best thing, always striving for the Wow factor. “The Wow! Factor Event designers strive hard to impress the visitor.” “ the ‘wow factor’ is a guiding principle for event designers. Visitors, he said, should be ‘dazzled’ when they arrive and leave.” (Getz 2007, p.177) Getz (2007) quote indicates that event managers are constantly under pressure from visitors, customers and clients to create buzzing, wow events in order to gain repeat visitors, new clients and continue to expand the events legacy. Furthermore Masterman and Wood (2007) claim that modern consumers are looking for events that are larger than life yet also fit in with their hectic lifestyles.
  • 21.
        12   Wow factor Pine and Gilmore (1999) propose “ Wow factor is more the outcome of the experience than simply service” Indicating how wow factor is an outcome of the experience obtained by the attendee at the event or as seen televised e.g. BBC Sports Personality of the Year. Critically highlighting the need to utilise social media within events to heighten the experience and aid the creation of wow factor. In order for event managers to create the wow factor they need to be encouraged to create extraordinary events, that will generate memorable experiences creating content which will lead to the instigation of engagement through social media and online communities (Ralston et al 2007). 2.8 Events Advertising and the Economy Advertising for events has traditional been viewed as very expensive: “Advertising has often been perceived as expensive and out of reach for many events budgets.” “The traditional staple media of television, newspapers, radio, outdoor and cinema.” (Masterman and Wood 2006, p.157). Emphasising how traditional forms of media are rather expensive ways of advertising events. In todays struggling economic climate, event budgets are being continuously tightened and are set to continue to do so (Hurley 2011). Demonstrating the need and importance of sourcing cheaper alternatives in all areas of events. Social media platforms are free to use, making them an ideal alternative for event marketing advertising: “they are correspondingly beginning to leverage alternative marketing practices that are more cost-effective and more efficient at actively engaging with consumers, than traditional advertising channels.” (Castronovo and Huang 2012) This quote reinforces the quote Masterman and Woods (2009) opinion that the use of new forms of social media marketing and events marketing are rapidly increasing, as they provide greater consumer engagement whilst being more cost effective than traditional methods.
  • 22.
      13   2.9Critique of Social Media within Events Social media has demonstrated its advantages within the events industry, and proven itself to be the future of WOM. All forms of WOM are hard to influence and control, social media is not exempt from this: “Social networks can be public relations tools and nightmares for both companies and prospective employees.” (Hershey 2010). Highlighting how although social media platforms have many advantages, they still hold many disadvantages as stated below: “Social sites open up the opportunity for competitors to promote a negative image of a company. Under this circumstance the ability to down play a negative image can be difficult and costly. Employers will also have the decision as to how they will monitor the activities of their employees on social networking sites during working hours.”( Mellon- Hogon’s 2009, p.4) Hersey (2010) reinforces Mellon-Hogon’s (2009) statement that social media can be difficult for companies to control. As anyone can contribute to social media platforms, their contributions can be negative or positive, how the company deals with these contributions is crucial to maintaining their reputation (See Figure 2.3). Figure 2.3 - Negative Comments in Social Media (Papworth 2010)
  • 23.
        14   Depending on how negative situations are handled, rival companies and events may be able to use this to their advantage. Mellon-Hogon (2009) further disputes that companies must monitor the activity of their employees on social media sites, to ensure they are not infringing or embarrassing the company, or wasting working hours on personal social media platforms. “snap of a finger, ordinary citizens are transformed into citizen journalists – writers, radio broadcasters and film makers. Ordinary people have power like they never have had before.” (Hershey 2010, p.10). Demonstrating how easy it is for anyone to set up a social media account, and claim to be     someone they are not, or an expert in a profession that they know nothing about. 2.10 Research Gap The literature identifies that a research gap has become evident. There is a lack of understanding of the extent of marketing potential of social media in televised events. It has provided the author with the current industry knowledge of how social media works within the events industry, giving the author the relevant information to move forward and investigate this gap further, in order to fulfill the aims and objectives, which have been set for this study. 2.11 Summary The literature has provided theoretical underpinning and framework for the research in this project. The literature has shown how social media and digital technologies are developing and being adopted at an increasingly rapid rate, emphasizing the importance of ensuring business involvement in the social revolution. The literature highlights how not being involved with social media can hinder a business’s competitive advantage. The literature has identified how social media and online media is increasingly becoming the most popular and effective way of marketing. Furthermore, it shows how social media and events in partnership can be used to market and leverage an event to increase its success. Social media can also be used as a tool to create events or be used within them to create attendee interaction and engagement.
  • 24.
      15   Finallythe literature has highlighted control issues and privacy issues with social media platforms, stating how they need to be heavily monitored. Left Intentionally Blank
  • 25.
        16   3.0 Methodology _________________________________________________________________________ 3.1 Introduction This chapter explains the research methods that have been used within this investigation, how they were executed and the rational behind them. Clough and Nutbrown (2008, p.23) state “Methods as being some of the ingredients of research, whilst methodology provides the reasons for using a particular research recipe.” This quote outlines the reasoning behind this chapter. 3.2 Research Aims and Objectives The principle focus of this research was to demonstrate the under utilised marketing potential of social media in televised events. In order to meet this aim the following objectives were established for the research: • Compare and contrast three televised events through the online monitoring of their social media platforms Twitter, Facebook and YouTube. • To explore different online channels of data collection to measure social media engagement. • To create an online Facebook focus group and canvas consumer views, thoughts and opinions on the levels of engagement with social media in televised events. 3.3 Research Approach and Strategy The research has adopted an explanatory approach using primary online qualitative research methods, which link together through triangulation. 3.3.1 Explanatory Research This research has taken on an explanatory method as this method goes beyond descriptive research and tries to explain why something happens. Explanatory research is defined as
  • 26.
      17   thefollowing “attempts to clarify why and how there is a relationship between two or more variables” (Andrew et al 2011, p.8). This research method provides evidence to support or contest an explanation. This method is most appropriate for this study as it allows the researcher to explain and demonstrate the under utilised marketing potential of social media in televised events. 3.3.2 Primary research Primary research is defined as: “study of a subject through first hand observation and investigation” (Clarke 2005). The advantages of using primary data is suggested to be “major advantage of primary data is that the information is specific, relevant and up-to- date.” (Onkvisit and Shaw 2004, p.216). Clarke’s (2005) definition demonstrates the research for this study has been collected and observed first hand by the researcher. Furthermore academics state that the advantage of this type of research over secondary research is that it is current and relevant to the researcher’s study, which makes it more reliable (Onkvisit and Shaw 2004). 3.3.3 Quantitative and Qualitative Within quantitative research the data is expressed by numbers, it is information that is translated by researchers into the form of numbers (Punch 2005).Qualitative research data is not presented in the form of numbers but instead presented in words (Punch 2005). Table 3.0 below highlights the different types of data collection that come under quantitative and qualitative data. Table 3.0 - Types of research method Quantitative Qualitative Surveys Observations Secondary Data Interviews (in-depth, individual) Focus Groups (Source: Author 2013).
  • 27.
        18   For this study the researcher took on a qualitative driven approach, which offered huge potential for enhancing the capacities of social explanation and generalisation (Mason 2006 cited by Krivokapic-Skoko and O’Nell 2012). 3.3.4 Triangulation Social science defines triangulation as the mixing of data or methods so that different viewpoints and perspectives can be taken in consideration (Olsen 2004) Triangulation promotes the concept of viewing mixed qualitative and quantitative research as complementary, rather than rival methods (Jick 1979). There are four different types of triangulation: data, theory, investigator and finally methodological. Methodological triangulation contains two subtypes firstly the ‘within methods’ approach and secondly the ‘between methods’ approach (Clarke 1999). This study took on a ‘between methods’ approach, as this method of triangulation indicates the actual mixing of methods within single research design (Clarke 1999). This study on the ‘between methods’ triangulation approach highlights the mixing of quantitative data in the form of online analytical results, mixed with a qualitative online Facebook focus group and the literature review. The use of ‘between methods’ triangulation suggests conclusions which in other methods would remain unsighted (Jick 1979). Within the various triangulation designs one simple notion is submerged. The value of triangulation rests on the basis of the weaknesses in that each of the single methods will be balanced by the counter balancing strengths of the other (Jick 1979). Focus groups can be used to complement other methods or as a means for triangulation research (Clifford et al 2010). The diagram below (see table 3.1) shows how triangulation has been used within this study. The diagram demonstrates how the three different research methods conducted for this study have been bought together to form one central point of mutual validation of results, to formulate and confirm the emerging findings (Thomas 2010). Left Intentionally Blank
  • 28.
      19   Table3.1 – Triangulation (Source: Author 2013) Youngs and Piggot-Irvine (2012) argue that gaining additional data through a larger number of data collection methods does not automatically indicate validity and certainty of conclusions will not be necessarily enhanced. Hussein (2009) critically proposes that researchers need to come up with clearer reasoning on why triangulations should be used within a specific study, as understanding the method is an important aspect in reaping the benefits, and additionally neutralising the flaws of the methods to be triangulated towards increasing the credibility of the research results and findings (Knafi, Breitmayer, Gallo and Zoeller, 1996 cited by Hussein 2009). 3.4 The Case Study The case study aims to compare and contrast three televised events and their current level of integration and engagement within social media. 3.4.1 The Sun Military Awards The Sun Military Awards is an annual award ceremony to honour Britain’s finest military men and women. The ceremony is held at London’s Imperial War Museum, with 350 guests attending ranging from Military personal, A list celebrities and members of the Royal family. The ceremony comprises of an initial drinks reception followed by the
  • 29.
        20   awards ceremony and post ceremony dinner. The ceremony is broadcasted on ITV for two hours in the second week of November. 3.4.2 BBC Sports Personality of the year BBC Sports Personality of the Year is an annual award ceremony to honour Britain’s finest sporting men and women over that year. The ceremony this year was held at London’s Excel centre, primarily due to the number of London 2012 Olympic attendees. Which dramatically increased the number of attendees to 15,000. The attendees comprised of leading sports men and women, celebrities and the Royal family. The ceremony is broadcasted on BBC One for two and a half hours in the second week of December. 3.4.3 The BAFTA’s The British Academy of Film and Television Awards known as The BAFTA’s is an annual award ceremony to honour, reward and celebrate the worlds leading actors, actresses and directors from the film industry. The ceremony took place this year at London’s Royal Opera House. Attendee’s comprised of 400 A list film stars and celebrities. The BAFTA’s is broadcasted on BBC One for two hours in the second week of February. 3.5 Research Design 3.5.1 Internet Research Due to the nature of this study, online data collection tools where deemed the most appropriate form of data collection. The researcher used online data analysis sites to track and monitor Twitter and Facebook feeds for all three events, and additionally identified some statistical information from the individual events YouTube channels. The research tracked the events hash tags and official event pages, using online analysis sites. In addition to the analytical data collection the researcher conducted an online Facebook focus group. Left Intentionally Blank
  • 30.
      21   3.5.2Pilot A pilot internet analysis was conducted before any data was collected for this study, Veal (2011, p.313) states “Pilot surveys are small-scale ‘trial runs of a larger survey”. Explaining why pilots are carried out, prior to the specific data being collected. Pilots are used to test all phases or specific parts of the study before any exact data related to the project is collected (Veal 2011). The pilot concluded that the researcher would use the tools Tweet Reach and Social Mention to measure and produce online analysis for each of the televised events (See appendix A). 3.5.3 Focus Groups Morgan (1996, p.130) defines Focus groups as “a research technique that collects data through group interaction on a topic determined by the researcher.” This quote demonstrates how focus groups are simply a group of individual’s who interact and communicate on a pre-determined topic defined by the researcher. A focus group prompts participants to describe stories and themes that help researchers understand how participants view the topic under discussion. The reliance on focus groups social interaction aids researchers in identifying shared cultural knowledge, whilst at the same time recognising the effect that a range of different individual experiences have on the group (Hughes and DuMont 1993). The researcher is specifically interested in the groups interaction and noting the different meanings, values and norms that surface in the conversations (Purdam ca.2013). The groups discussion brings the researcher closer to understanding the group and their cultural environment. Such understanding can help the researcher to construct concise, clear and consistant questions, that will engage the group more effectively to produce improved quality of results (Hughes and DuMont 1993). 3.5.4 Focus Group Design The basic design of a focus group allows conversations that are informal in tone, they allow for open response in the participants own words (Clifford et al 2010). Traditional researchers recommend that focus groups are normally conducted in groups ranging from six to ten participants (MacIntosh 1993). Other researchers contest these numbers and argue that the size of focus groups vary depending on the topic of study (Burgess 1996 cited by Gibbs 1997). This explains why the focus group for this study wasn’t limited to
  • 31.
        22   numbers, the researcher simply tried to engage as many students as possible, to gain a wide variety of feedback. Focus groups are made up of participants who share something in common (Clifford et al 2010). The focus group participants for this study are either studying for a degree, masters or have completed their university studies. The justification behind the selection of participants is due to the knowledge and understanding they already have with regards to research projects. Furthermore they are the current generation who according to Mintel (2012, p.2) “Younger internet users are more likely to be using social networks than older consumers.” Highlighting the need to monitor social media engagement in younger generations, which is what the Facebook focus group does for this research project. Mintel (2011) states “in 2010 the average daily hours of viewing by adults in the UK reached 4.3, up from 3.9 hours five years ago.” (Adults aged 15+). This quote demonstrates how TV is still a popular past time for consumer’s aged 15 and above, and is continuing to rise. The two Mintel (2011; 2012) quotes highlight why the Facebook focus group participants are the right selection of people for this research project. However due to the flexible environment of focus groups and open-ended nature of the questioning, critics would argue that this method of data collection and research is to broad, leading to difficulties when trying to interpret and summarise the results (Stewart and Shamdasani 1990). Expanding upon this argument theorists debate that group situations may also encourage participants to close and curb their attitudes and behaviours. Individuals often do not want to tell certain things to a group of people, particularly if they perceive these things to be embarrassing (Litosseliti 2003). This highlights the important role of the moderator within focus groups to ensure quality control. 3.5.5 Coordination and standardisation Focus groups are influenced and monitored by a moderator who is often the researcher (Barbour and Kitzinger 1999). The moderator plays a key role in influencing quality, it is essential that moderators know when to probe, follow up and extend upon comments made within the group, to deepen the discussion and to gain in-depth research (Morgan 1993). The moderator will coordinate, monitor and facilitate the group’s interactions, influencing the conversation with predetermined open-ended questions. However theorists contest that online focus groups, just like the conducted Facebook focus group for this study, permits
  • 32.
      23   moderatorswatching the online focus groups to make minimal input and contributions when facilitating the conversation, they simply interject to make sure all topics are covered (Stewart and Williams 2005). 3.5.6 Online Focus Groups Focus groups traditionally have been conducted in face to face conditions (Kamberelis and Dimitriadis 2013). However with the development of web 2.0 and electronic communication advancements, focus groups have been able to develop and adapt, to allow researchers to expand and utilise new approaches to this form of research (Rezabek 2000). New technologies of mediation offer opportunities for the development of traditional methods of social exploration, reaching out to the current techno dependant society (Steward and Williams 2005). Electronic online focus groups are conducted in one of two ways either synchronously or asynchronously. Asynchronous approach to online focus groups, enables the group to take part using an online chat room for example a Facebook group. Asynchronous sessions allow participants to read others comments and contribute or extend upon existing comments or views at any time, not necessarily at the same time as others participating (Murray 1997 cited by Rezabek 2000). On the other hand synchronous approach refers to real time live sessions where all participants take part and engage within the group at the same time as everyone else (Murray 1997 cited by Rezabek 2000). The online Facebook focus group took on board both approaches, as asynchronous states that participants are completing the focus group online at any time, where as synchronous states that participants take part and engage at the same time as each other in real time. The Facebook focus group combines both of these techniques, as participants are all given the information at the same time in real time. However it is the participant’s choice to open the question and respond immediately in real time, or later on in the day when they have time to think it through thoroughly. To extend this point further, participants do not open the Facebook Focus group link all at the same time, but when they do they are essentially communicating in their own real time. Evaluatively emphasising that mediated engagement doesn’t necessarily need to be instantaneous.
  • 33.
        24   3.5.7 Open-ended Questions Focus groups naturally take on short and open-ended questions, and fall under the following categories: “opening questions, introductory questions, transition questions, key questions and concluding questions” (Leung 2009). The categories make the researcher keep to the point and not let the conversation grow too broad or let participants go off topic. Open-ended questions are defined as “Questions need to be worded so that respondents expand on the topic, not just simple ‘yes’ or ‘no’. Many open-ended questions begin with ‘why’ or ‘how’, which gives respondents freedom to answer the question using their own words” (Guion et al 2012). Demonstrating how open-ended questions are the right method of questioning for the focus group conducted in this study. 3.5.8 Facebook Focus Group Successful focus groups rely heavily on the development of a broadminded and non- threatening environment within the group, so that participants can feel comfortable and at ease to share their comments and opinions, without any fear of judgment (Knodel 1995; Puttong ca.2013). Highlighting why the choice of a Facebook focus group was an obvious choice to conduct the focus group for this study. Online profiles allow participants to think and feel they have freedom of speech and can say whatever they want without being judged (Hawkins 2012). However theorists argue that the online environment is increasingly seeing behaviour that wouldn’t be acceptable within the ‘real world’, with individuals picking apart status updates, Tweets and other social networking posts (Hawkins 212). Highlighting how consumers may use social media sites assuming freedom of speech, however they forget that what they say isn’t private and that hundreds of thousands of people around the world, will be able to access what they have said and be able to comment, unless they take responsibility to strengthen the protection of their online accounts (Jorgensen 2000). Consequently determining that the online community poses no less a threat of judgement when voicing personal opinions than face to face communication, if not more so.
  • 34.
      25   3.6Rationale Rationale for the online Facebook focus group is supported by Morgan (1993) who highlights the difficulties faced by researchers when trying to assemble face to face focus groups and the mechanical difficulties behind conducting them e.g. transport and focus group environment. McGivern (2009, p.190) would agree with Morgan and further states how “Online research sidesteps the logistical issues that you might face in trying to get people together in one place.” Highlighting a crucial benefit in supporting why online Facebook focus groups have been used within this study. 3.7 Analysis The online analysis has been exported into excel and converted into graphs to gain a deeper understand and interpretation of the data collected. After the online Facebook focus group was constructed, with the permission of all participants, the group was transcribed and coded. 3.8 Transcribing and coding The initial step for most approaches of analysis within a focus group, is to transcribe the recoded focus group (Stewart and Shamdasani 1990). This research project is different as it uses an online Facebook focus group therefore the research is already written up in full. However due to participant data protection and ethics, the group has been be re-transcribed and edited to change participants names for the purpose of the project analyse. e.g. participant 1,2,3 etc. Once a transcript has been produced the researcher then segments the piece and code it (see appendix B). Coding is an essential tool for organising qualitative data and offers the initial steps in conceptualisation. Labels and tags are used to assign units of value to the data, which is then colour coded. A coding framework has been designed for this research project (see table 3.2) the framework highlights key words into categories of code preventing data overload (Walliman 2005). Recommended general categories for coding were suggested by Miles and Huberman (1994, p.57 cited by Walliman 2005, p.311) “ descriptive, interpretive, explanatory and astringent.” These general codes have aided the
  • 35.
        26   researcher with the development and designing of the specific coding framework for the research. Table 3.2 – Facebook Focus Group Transcript Coding Framework (Source: Author 2013). 3.9 Limitations The internet research could have had potential technology issues which would interfere with the data collection. e.g computer crashing, web analysers crashing or freezing and lastly the actual social media sites crashing with too much traffic. Within the data collection these issues did not arise and the data was collected accordingly. The online analysis did however have limitations as BBC Sports Personality of the Year and The Millies did not have their own social media channels, unlike the BAFTA’s, which has its own social media platforms. This meant the other two events had to be pushed through the production companies social media accounts BBC Sport and ESC Events. This made it difficult for the data to be collected by the analysis tools, as ideally the events needed their own social media pages to gain a more indepth Analysis. In this case the research had to use specific hash tags to gain more sources of data. 3.10 Ethics Ethical issues have been acknowledged within this research process and have been taken into careful consideration whilst conducting the research. The researcher must be aware of all the questions that are asked in the focus group, thus not to offend any participants or create conflict between participants (Purdam 2013). The use of online data collection Coding List Theme Colour Television Colour Case Televised Event – The Millies Colour Case Televised Event – BBC Sports Personality of the year. Colour Case Televised Event – The BAFTAS Colour Social Media Colour Emotions / action / opinion Colour
  • 36.
      27   ethicallyrequires online codes of conduct to be taken into consideration regarding behaviour in computer-mediated communities (Stewart and Williams 2005). All the research carried out was done so accordingly with Bournemouth University research ethics guidelines. Left Intentionally Blank
  • 37.
        28   4.0 Results and Discussion ________________________________________________________________________________ This chapter will present the primary research results. Analysing, evaluating and discussing the primary data collected for this study. 4.1 Televised Events Online Analysis 4.1.1 Facebook analysis The pie chart figure 4.0 demonstrates the amount of Facebook likes for each of the separate events pages. Highlighting that online the most popular event and one that gained the most interest within the UK was the BAFTA’s closely followed by BBC Sports Personality. Suggesting that the BAFTA’s and BBC Sports Personality are more commonly known within the UK television audience, than The Millies which the focus group highlighted in figure 4.1 showing participants low level of knowledge regarding the existence of The Millies. Figure 4.0 – Three Televised Events Facebook Likes Figure 4.1 – Facebook Focus Group
  • 38.
      29   4.1.2Twitter analysis The pie chart in figure 4.2 identifies the amount of people following each of the televised events on Twitter. Stating that BBC Sports personality has the largest amount of followers on Twitter. This huge shift of Facebook likes compared to Twitter followers, is believed to be due to the interactive and conversational nature of Twitter, with the combined success of this years London 2012 Olympics, causing lots of online engagement as to who the Olympic winners would be. Further highlighting how Twitter is a more interactive and engaging platform than Facebook which is illustrated by the focus group (See Figure 4.7). Critically the pie chart highlights BBC Sports Personality as having the largest following, however this could be due to the fact that they are not using an event specific Twitter account, they promote the event through the BBC Sport page, which already maintains a large following and is used to promote all BBC sporting events. Demonstrating the need for all events to have their own individual platforms and social media marketing strategy, in order to gain a true representation of the level of engagement with the consumer. Figure 4.2 – Three Televised Events Twitter Following 4.1.3 YouTube Analysis Figure 4.3 Highlights the amount of subscribers to each of the events YouTube channel, where as figure 4.4 highlights the amount of views each of the events has had on this social media platform. The event with the most views and subscribers in each of the graphs is identified as BBC Sports Personality, again this finding could be a result of the huge success of the London 2012 Olympics, as participants of the focus groups identified that was their main reason for watching the event, and engaging with it through social media. (See figure 4.5) Critically the focus group participants highlight in figure 4.6 that they often use YouTube
  • 39.
        30   to watch parts of the event which have appeared to cause conflict and conversation online, either through social media or online newspaper sites. Providing justification for televised events YouTube Channels having more viewers than actual subscribers. Figure 4.3 – YouTube Channel Subscribers Figure 4.4 – YouTube Channel Views
  • 40.
      31   Figure4.5 – Facebook Focus Group Coded Transcript Part A The coded transcript in figure 4.5 highlights that the most viewed out of the three televised events by the focus group was the BAFTA’s, validating the statements made earlier, that highlight the BAFTA’s popularity discovered through the online analytical results. 4.2 Televised Events and Social Media Engagement Figure 4.5 participants 1 and 37 identify that they looked at their social media platform newsfeeds during the BAFTA’s, even though they either weren’t actually watching it or only had it on in the background. The content of the Tweets made showed little importance to the participants, as it did not encourage them to watch the televised event or participate in online communication, as demonstrated by participant 14, who states that they get discouraged to watch televised events if they see posts about the events on their newsfeed. Participant 31 in the figure 4.6 below would argue that Tweets they see on Twitter make them want to watch the programme, however they highlight that social media conversation regarding televised events does spoil the programme, as they reveal what has happened before they have been able to watch it or catch up, which could in fact deter them from watching the event completely. Figure 4.6 – Facebook Focus Group Coded Transcript Part B
  • 41.
        32   Ultimately participants of the focus group stated that they do not partake in social media to talk about televised events. (See figure 4.7 below) Participants stress that they do not engage with social media, writing their views or opinions on a televised event, as they feel no-one will want to know their opinion or that their views aren’t important enough to voice to the general public. However figure 4.7 identifies that if participants are going to engage with a social media platform they favour using Twitter, as participants feel it is more socially acceptable to voice opinions and general chat as it is consistently being updated. Figure 4.7 – Facebook Focus Group Coded Transcript Part C Furthermore participants illustrate (see figure 4.8) that if they wish to voice an opinion about the televised event they are watching, if in actual fact they are watching one, then they will discuss this face to face with someone else. Figure 4.8 – Facebook Focus Group Coded Transcript Part D
  • 42.
      33   Establishinghow face to face conversation and online conversation are infact very similar, as within both situations participants fear of saying something stupid, so they will not comment or talk about what they want to say, they safeguard information leading to no engagement. Additionally literature reinforces the fear of social media engagment from businesses and events, as social media content exposes the good, bad and ugly all at the same time. Futhermore identifiying what scares marketers is sharing dismay or even worse situations of negative conversation online (Evans and McKee 2010). Thus pinpointing the current underutilsation of social media within business, events and televised events, which is ulitmately due to the fear of the unknown and lack of control within the online enviroment. Figure 4.9 – Facebook Focus Group Coded Transcript Part E 4.3 Under Estimated Marketing Power of YouTube The figure above 4.9 intriguingly pinpoints that participants highly utilise the social media platform YouTube, preferably to catch up on emotional parts of a programme they may have missed, participants only found out they missed out on these moments through scrolling through their social media platforms newsfeed, as highlighted in figure 4.5. Clarifying why the graph in figure 4.4, which expresses YouTube viewings for the individual televised events, has such high statistics compared to figure 4.3 which displays the subscribers to the televised events individual channels. As participants identified they would catch up through YouTube to find a highly discussed scene within a televised event. However this does not mean they are a particular fan of this event, neither does it gain the event loyalty from the participant for watching. Furthermore the video clips of the event do not influence participants enough to become a subscriber to the televised events YouTube channel. Additionally identifying the fundamentally underestimated marketing potential of the social media platform YouTube within televised events, to create the exceedingly desired pre, during and post event buzz and
  • 43.
        34   excitement, as highlighted by Preston (2012, p.10) “Events are about excitement, creativity, and enthusiasm, and the generation of experiences and memories.” Demonstrating how utilising social media platforms to generate WOM (Keller 2007) and further emphasise, share and leverage information about televised events, to gear them towards the current techno dependant audience, ultimately extending the events longevity, through the creation of engagement with online communities.   4.4 Televised Event Presenters The below figure 4.10 is a newspaper clipping from the Independent newspaper, which identifies Stephen Fry as being the 10th most influential Tweeter in the top 100 most influential Tweeters ranking. Figure 4.10 – The Independent top 100 most influential Tweeters (Independent 2012) This fact highlights an interesting finding, as Stephen Fry is also the presenter of the BAFTA’s . Thus demonstrating the huge online marketing potential the BAFTA’s has with obtaining Stephen Fry as the presenter.
  • 44.
      35   Figure4.11 – Event Celebrity Twitter Following analysis (Source: Author2013). Figure 4.11 demonstrates the three televised event examples analysed online for this study, and taken one of the main presenters and guests at each of the events, and looked at the persons following in comparisom to the amount they Tweet. As identified in the literature: “celebrities have more cachet and influence than brands. On Twitter, for instance, Justin Bieber has 34.5 millions followers” (Knowledge@Wharton 2013). Demonstrating the marketing poteitnal of Justin Bieber and emphasising how celebrities have more influence, over consumers and followers than brands do. Which shows how important it is to have the right celebrities at televised events. Celebrities can encourage interaction and engagement pre, during and post event, increasing the reach and awareness of the televised event. Figure 4.11 futher demonstartes the importance of having the right celebrities at televised events, they are the ones who engage well with social media. e.g. Stephen Fry and Amanda Holden. They both show a large following and high levels of Tweeting, indicating they have a good social media presence and a worthy set of followers, whom they engage with extending their reach. However Ben Affleck would not be suitable celebrity presenter, as the figure 4.11 above shows very low Tweet activity in comparisiom to his following. Highlighting that if he was to Tweet his following wouldn’t be used to seeing a Tweet from him, or wouldn’t be looking out for one, therefore he would gain little engagement and low reach. Futhermore Clare Balding shows in the figure 4.11 a vast following and large amount
  • 45.
        36   of Tweeting. Thus potentially making her a very worthy presenter to increase online engagment, however comparing Clare Balding with Stephen Fry this in fact is not the case but rather the complete opposite. Stephen Tweets a lot to his followers and has a large following but he shares content his followers deem worthy of further discussion. Where as Clare critcally does not Tweet engaging content (See figure 4.12) she therefore gains minmal reach and subsequently looses followers. Figure 4.12 – Clare Baldings Twitter Page (Balding 2013) 4.5 Event Content The results and discussion have additionally underlined that the participants of the focus group did not watch the televised events, or did not watch them the whole way through (See figure 4.5). Therefore demonstrating that the content of these televised events were not exciting, moving or stimulating enough to capture the audience for the duration of the event. Emphasising the lack of engagment and interaction through social media platforms. Critcally the literature states that modern consumers are looking for events that are larger than life yet also fit in with their hectic lifestyle (Masterman and Wood 2007). These desires are clearly identified within the focus group, as participants lose interest in televised events rapidly after the programme has begun. Showing the lack of innovation, excitement and emotional attachment with the content of the event. Furthermore televised events need to produce more exciting and extraordinary televised events, that generate memorable experiences and gain audience engagement, within online communities and social media platforms, or such events will cease to exist, within the modern techno dependant society (Ralston et al 2007).
  • 46.
      37   Literaturestates that 57% of television consumers who have access to the internet use both instruments at the same time (Van Grove 2009). Figure 4.7 reiterates this point by demonstrating that the participants in the focus group, are constantly using social media platforms whilst watching television, however usage doesn’t mean the audience is necessarily engaging with them. Reinforcing the argument that currently social media platforms are heavily under utilised to market televised events. Figure 4.13 – Facebook Focus Group Coded Transcript 4.6 Limitations The results and discussion chapter has critically highlighted how not all of the analysed events had their own social media platforms. The Millies and BBC Sports Personality were actually leveraged through the production companies social media platforms, making them harder to analyse online compared to the BAFTA’s. As the information leveraged for those two events wasn’t consistent as other events where being promoted through those platforms at the same time making the messages unclear at times, unlike the BAFTA’s who’s platform solely talked about the event. The graphs displayed within the chapter do not take into account the current recognition and reputation each event already maintains, within the public eye. Additionally expert interviewing was discussed but was proven too difficult with time restrictions and work commitments to gain the interviewees needed for this study. Therefore the researcher decided not to go any further with obtaining this information.
  • 47.
        38   Furthermore the focus group audience could have been more niche and taken a more traditional approach by obtaining a selection of 6-12 participants and made sure each participant engaged with each question (Stewart and Shamdasani 1990). To gain a deeper discussion within the integration of social media marketing into the practical event domains, a more events specific background audience needed to have been sourced. Due to time restrictions caused by the delay from attempting to construct expert interviews, the research gained a broader audience for the focus group. Left Intentionally Blank
  • 48.
      39   5.0Conclusion and Recommendations ______________________________________________________________ This chapter concludes the study by drawing together all the research collected in relation to the aims and objectives of the study. Further recommendations are also made by the author. 5.1 Importance of the study The authors passionate interest in social media use in relation to the events industry, highlighted to her the current lack of recognition of social media’s significance, in relation to the future of televised events. Further research highlighted the continued growth in both social media use and television watched. Which highlighted the crucial need to investigate further the extent of the marketing potential, social media can provide for televised events. 5.2 Aims and Objectives The overall aim of this thesis as described in the introduction was too: Demonstrate the under utilised marketing potential of social media in mediated events. To achieve the aim of this study four objectives were proposed: • To investigate the current academic literature in relation to social media usage within the event industry. • To compare and contrast social media integration into three televised events. • To explore suitable tools for measuring social media engagement. • To suggest solutions for the future of social media engagement within televised events. These objectives will now be reviewed to identify if they have been met, thus achieving the overall aim of the study.
  • 49.
        40   5.2.1 To Investigate The Current Academic Literature In Relation To Social Media Usage Within The Events Industry. Firstly the author investigated the current academic literature surrounding social media and the event industry. Interesting findings where made and highlighted in the literature review stating that 57% of television consumers who have access to the internet, do so in parallel (Van Grove 2009). However critically 48% of official television viewers show Twitter accounts rarely engage with fans or respond to mentions (Windels 2013). Emphasising the current lack of utilisation of social media within televised events. Critically audiences are engaging with the internet and watching more television than televised events are engaging with their platforms and audiences. 5.2.2. To Compare And Contrast Social Media Integration Into Three Televised Events. Secondly the author successfully compared and contrasted the level of social media integration into three televised events. The three events were The Sun Military Awards, BBC Sports Personality of the Year and the BAFTA’s. The three events where measured through online analytical testing of the individual events social media platforms Twitter, Facebook and YouTube. The results however critically highlight how each event needs it’s own social media platforms and campaign. Crucially the only event out of the three researched by the author who had their own platforms was the BAFTA’s, who’s online results were stronger and easier to investigate in regards to effectiveness and engagement levels. The further two televised event examples did not have their own social media platforms, they used the production companies social media pages to leverage the events. Which is not a strong method of social media marketing as it sends out mixed signals about the event to the audience leading to lower levels of engagement. Furthermore it makes measuring social media marketing with online analysis tools more complex.Additionally the research analysis into the three televised events identified the finding that specifically YouTube is a highly under utilised social media platform within televised events. The results supported the opinions from the focus group participants who highlighted that they use YouTube to catch up on particular parts of a televised event, which may have caused conflict on other social media platforms e.g. Twitter. This finding highlights how televised events are dramatically under utilising and under estimating the marketing potential of the social media platform YouTube.
  • 50.
      41   5.2.3To Explore Suitable Tools For Measuring Social Media Engagement. The second objective worked alongside this one to allow the author to explore the different types of social media measuring tools used within the social media marketing industry. Critically the author struggled to narrow down which tools to use as the industry has a large range of options, which vary in their offerings and reliability. However through extensive research and by conducting a pilot study using BBC Children In Need. (See appendix A). The author was able to establish the most appropriate online social media analysis tools to measure the three televised events. The final tools used where Tweet Reach and Social Mention, as they provided the author with the most valid and appropriate results required for the dissertation. This was a crucial objective to meet, as the selection of the appropriate online lytic tool used would influence the effectiveness of meeting the aim of the dissertation. 5.2.4. To Suggest Solutions For The Future Of Social Media Engagement Within Televised Events. Finally the author has completed the concluding objective as illustrated in the results and discussion. Solutions for the future of social media engagement within televised events are to improve the content of events, that when mediated catches the consciousness of the consumer. Highlighting strongly within the results and discussion chapter, supported by literature, focus group participants and online analytical investigation that content is key. Televised events are under utilising social media marketing, due to the lack of exciting and enticing televised content. In order for televised events to maximise the potential of social media marketing they need to gain audience engagement, which currently, as a result of the content they are unable to do. As stated in the results and discussion consumers only engage and voice their opinions if the show entices them to do so e.g. something is funny, thrilling or upsetting, tapping into the audiences emotions. As stated within the literature the modern techno dependent consumers desire ‘wow factor’ events (Getz 2007), which generate excitement and buzz surrounding the event pre, during and post (Preston 2012). The buzz, excitement and ‘wow factor’ come from the televised events content. Consumers have to become completely immersed and captivated in the televised event, giving it their full attention in order to gain an opinion or generate an emotion towards the event, leading the consumer to engage and voice their opinion, within their online community and the events social media platforms.
  • 51.
        42   5.3 Limitations of the study The author recognised that there are evident limitations to the study and highlighted these throughout the dissertation chapters. 5.4 Recommendation The dissertation demonstrated the under utilised marketing potential of social media in mediated events. If the study was to be carried out again, different mediated event examples would be monitored, critically the event examples would have to have their own social media platforms. This would make the online analysis clearer and easier to measure. In the future it would be advisable, within the case of mediated events, to measure the engagement levels of celebrity presenters before, during and post event. To gain deeper understanding of their influence and engagement and whether celebrities can motivate, heighten and leverage social media engagement for televised events.
  • 52.
      43   6.0References Anderson,P., 2007.What is Web 2.0? Ideas, technologies and implications for education. JISC Technology & Standards Watch. 2-64. Available from: http://www.jisc.ac.uk/media/documents/techwatch/tsw0701b.pdf [Accessed 3 April 2013]. Andrew,D.P.S.,Pedersen,P.M. and McEvoy,C.D.,2011. Research Methods and Design in Sport Management. US:Library of Congress Catalogining. Available from: http://books.google.co.uk/books?id=j_hIcwsv288C&pg=PA8&lpg=PA8&dq=explanatory+re search+attempts+to+clarify+why+and+how+there+is+a+relationship+between+two+or+more +variables&source=bl&ots=VpWuTP94kD&sig=wyg8XpMLZxBgihQad6UNJ3iQQDY&hl= en&sa=X&ei=LENuUcCpIIjA0QX8oID4CQ&ved=0CD0Q6AEwAQ#v=onepage&q=explan atory%20research%20attempts%20to%20clarify%20why%20and%20how%20there%20is%2 0a%20relationship%20between%20two%20or%20more%20variables&f=false [Accessed 23 March 2013]. Armstrong, S., 2012. Pepper’s Ghost, Star Wars Twitter and Facebook. The RACOUNTEUR. Wednesday 19 September 2012. Available from: http://theraconteur.co.uk/peppers-ghost- star-wars-twitter-and-facebook/ [Accessed 8 December 2012]. Balding,.2013.We lost the pips at 8am. I am rather hoping they’ve come back and will behave themselves at 9am on @bbcradio2. @clarebalding. Sunday 24 March 2013. Available from: https://twitter.com/clarebalding [Accessed 25 March 2013]. Barbour, R.S. and Kitzinger,J., 1999. Developing Focus Group Research Politics, Theory and Pratice. London: Sage Publications. Available from: http://books.google.co.uk/books?hl=en&lr=&id=fyvOGT2Ao3MC&oi=fnd&pg=PR9&dq=Fo cus+groups+are+influenced+and+monitored+by+a+moderator+who+is+often+the+researcher .+&ots=5t9PjhDKUr&sig=RisS7cqj58d75_E98kQ7wLZKiKs#v=onepage&q&f=false [Accessed 1 April 2013]. Castronovo,C. and Huang,L.,2012. Social Media in an Alternative Marketing Communication Model. Journal of Marketing Development and Competitiveness. 6 (1), 117-131.
  • 53.
        44   Chaffey,D.,Ellis-Chadwick,F.,Mayer,R. and Johnston,K.,2009. Internet Marketing Strategy, Implementation and Practice. 4 ed. Essex: Peasons Education Limited. Available from: http://books.google.co.uk/books?id=HcoRl2EZXiwC&pg=PR13&lpg=PR13&dq=%22The+I nternet+and+other+digital+media+have+transformed+marketing%22&source=bl&ots=4Veqx b6L2r&sig=C4PFgePc7EVjdUiv20qI6MSWoQI&hl=en&sa=X&ei=OUVkUb3VEfPP4QSX8 4CgBw&ved=0CEIQ6AEwAg#v=onepage&q&f=false [Accessed 9 April 2013]. Clarke,A.,1999. Evaluation Research An Introduction to Principles, Methods and Practice. Oxford: Sage Publications. Clarke,R.J.,2005.ResearchMethodologies. Available from: http://www.uow.edu.au/content/groups/public/@web/@commerce/documents/doc/uow01204 2.pdf [Accessed 29 January 2013]. Clifford,N.J., French,S. and Valentine,G.,2010. Key Methods in Geography. 2nd ed. London: Sage Publications. Available from: http://books.google.co.uk/books?hl=en&lr=&id=bAXmXbF1pkMC&oi=fnd&pg=PA103&dq =Burgess+J+1996+focus+on+fear&ots=L_Xa5bFWUQ&sig=XWIRHEXhBNrvkkSJkNL_Iu GXSc#v=onepage&q=Burgess%20J%201996%20focus%20on%20fear&f=false [Accessed 24 March 2013]. Clough,P. and Nutbrown,C.,2008. a students guide to Methodology. 2 ed. London: Sage. Collins., 2013. English Dictionary. Available from:http://www.collinsdictionary.com/dictionary/english/media-event [Accessed 3 April 2013]. Constantinides,E. and Fountain,S.J.,2007.Conceptual foundations and marketing issues. Special Issue Papers Web 2.0. 9 (3), 231-244. Denscombe,M.,2003. The Good Research Guide for small-scale social research projects. 2ed. Berkshire: Open University Press.
  • 54.
      45   Eden,E.,2013.Secrets to Successful Events Marketing and Management. Available from: http://www.cvent.com/en/pdf/white-papers/secrets-successful-events.pdf [Accessed 5 April 2013]. Ellison,N.B. and Boyd,M.D., 2008. Social Networking Sites: Definition, History and Scholarship. Journal of Computer-Mediated Communication. 210 -230. Available from: http://www.postgradolinguistica.ucv.cl/dev/documentos/90,889,Social_network_boyd_2007.p df [Accessed 3 April 2013]. Evans,D. and McKee, J.,2010. Social Meida Marketing The Next Generation of Business Engagement. Canada: Wiley Publishing . Available from: http://books.google.co.uk/books?id=7l2OR6giC6AC&printsec=frontcover#v=onepage&q&f= false [Accessed 8 April 2013]. Farnsworth,S.2013. Top 20 Free Social Media Monitoring Tools. The @Steveology Blog Smart Social Media, Communications, and Content Marketing Insights for Lead Generation And Customer Retention. Thursday 3 January 2013. Available from: http://stevefarnsworth.wordpress.com/2013/01/03/top-20-free-social-media-monitoring-tools- for-2013/ [Accessed 6 February 2013]. Fogel,S.2010. Issues in Measurement of Word of Mouth in Social Media Marketing. International Journal of Integrated Marketing Communications. 54-60. Getz,D.,2007. Event tourism: Definition, evolution, and research. Progress in Tourism Management. 29, 403-428. Getz,D.,2007. Event Studies Theory, Research and Policy for Planned Events. Butterworth- Heinemann: Oxford. Available from: http://lib.myilibrary.com/Open.aspx?id=261771&src=0 [Accessed 2 October 2012]. Gibbs,A.,1997. Focus Groups. Social Research. 19. Guildford: University of Surrey. Available from: http://sru.soc.surrey.ac.uk/SRU19.html [Accessed 22 March 2013].
  • 55.
        46   Gillham,B.,2000. Real World Research Case Study Research Methods. London: Continuum. Available from: http://books.google.co.uk/books?hl=en&lr=&id=B0UdlaxwiX0C&oi=fnd&pg=PP6&dq=defi ne+case+study+research&ots=CmmRmGyzfc&sig=vJMjhXEOhOq40IwfrZ3oSFKKbYE#v= onepage&q=define%20case%20study%20research&f=false [Accessed 30 January 2013]. Goble,G.,2012. THE HISTORY OF SOCIAL NETWORKING. DIGITAL TRENDS. Thursday 6 September 2012. Available from: http://www.digitaltrends.com/features/the- history-of-social-networking/ [Accessed 4 March 2013]. Guildford,D.,2012. Social media marketing is new word-of-mouth. Automotive News. 86 (6526), 35. Available from: http://ehis.ebscohost.com/eds/detail?sid=85bb2b11-7a09-4896- bd90- f122d65f457c%40sessionmgr111&vid=3&hid=116&bdata=JnNpdGU9ZWRzLWxpdmUmc2 NvcGU9c2l0ZQ%3d%3d#db=bth&AN=78238887 [Accessed 2 November 2012]. Guion,L.A.,Diehl,D.C. and McDonald Debra.,2012. United States of America: University of Florida IFAS Extension. Condusting an In-deth interview. Available from: http://edis.ifas.ufl.edu/fy393 [Accessed 28 March 2013]. Hawkins,S.,2012. How Free Speech and Social Media Fit Together.Social Media Examiner. Thursday 8 March 2012. Available from: http://www.socialmediaexaminer.com/how-free- speech-and-social-media-fit-together/ [Accessed 28 March 2013]. Hershey,M.,2010. A Social Media Revolution. Running head. Available from: http://www.personal.psu.edu/jmb851/blogs/la_200_-- _business_and_the_liberal_arts/Social%20Media%20Revolution.pdf [Accessed 2 November 2012]. Hughes,D. and DuMont,K.,1993.Using Focus Groups to Facilitate Culturally Anchored Research. American Journal of Community Psychology. 21(6). 775 -776. Available from: http://link.springer.com/article/10.1007%2FBF00942247?LI=true#page-1 [Accessed 23 March 2013].
  • 56.
      47   Hurley,L.,2011.Tight Budgets Expected to Continue in 2012, Special Events Survey Says Special event professionals have to learned to do more with less- it’s a lesson they plan to use in 2012. Special Events. Friday 7 December 2011. Available from: http://specialevents.com/economy/tight-bugets-expected-to-continue-in-2012-special-events- survey-says/ [Accessed 8 December 2012]. Hussein,A.,2009. The use of Triangulation in Social Science Research: Can qualitative and quantitative methods be combined?. Journal of Comparative Social Work. 1-12. Available from: http://jcsw.no/local/media/jcsw/docs/jcsw_issue_2009_1_8_article.pdf [Accessed 26 March 2013]. Independent.,2012. The Twitter 10: No 1 to 10. The Independent. Thursday 1 March 2012. Available from: http://www.independent.co.uk/news/people/news/the-twitter-100-no-1-to-10- 7466795.html [ Accessed 28 March 2013]. Ishak,M., 2013. The Impact of Social Networking.Malaysia: SKMMAvailable from:http://myconvergence.com.my/main/images/stories/PDF_Folder/jan2010/MyCon06_50. pdf [Accessed 4 April 2013]. Jick,T.D.,1979. Mixing Qualitative and Quantitative Methods. Triangulation in Action.24 (4), 602-611. Available from: http://www.jstor.org/stable/pdfplus/2392366.pdf?acceptTC=true [Accessed 20 March 2013]. Jorgensen.R.F.,2000. Internet and Freedom of expression. Available from: http://www.ifla.org/files/assets/faife/publications/ife03.pdf [Accessed 28 March 2013]. Kaplan,A.M. and Haenlein,M.,2010. Users of the world, unite! The challenges and opportunities of Social Media. Business Horizons. 53, 59-68. Available from: http://openmediart.com/log/pics/sdarticle.pdf [Accessed 5 November 2012]. Kamberelis,G. and Dimitriadis,G.,2013. Focus Groups: From structured interviews to collective conversations. New York: Routledge. Available from: http://books.google.co.uk/books?id=qMW- DQzhyGkC&printsec=frontcover#v=onepage&q&f=false [Accessed 15 April 2013].
  • 57.
        48   Keller,E.,2007. Unleashing the Power of Word of Mouth: Creating Brand Advocacy to Drive Growth. JOURNAL OF ADVERTISING RESEARCH. 448-452. Available from: http://ebiz.bm.nsysu.edu.tw/2013/yen/comments/1006wordOfMouth.pdf [Accessed 7 November 2012]. Knodel,J.,1995. FOCUS GROUPS AS A QUALITATITVE METHOD FOR CROSS- CULTURAL RESEARCH IN SOCIAL GERONTOLOGY.Journal of Cross-Cultural Gerontology. Netherlands: Kluwer Academic Publishers. 10. 7-25. Available from: http://deepblue.lib.umich.edu/bitstream/handle/2027.42/42971/10823_2004_Article_BF0097 2029.pdf;jsessionid=247C1E8EAC87078B64CBA7F9E99639DD?sequence=1 [Accessed 24 March 2013]. Knowledge@Wharton.,2013. The Hazards of Celebrity Endorsements in the Age of Twitter. Available from: http://knowledge.wharton.upenn.edu/article.cfm?articleid=3191 [Accessed 5 April 2013]. Krivokapic-Skoko,B. and O’Neill,G.,2012. When a Qualitative Oriented Researcher Moves Into the Area of Mixed Research Methods. In: Proceedings of the European Conference on Research Methodology for Business and Management Studies, IE Business School, 24-25 June 2010, Madrid:SpainAvailable from: http://books.google.co.uk/books?id=8mTywIN8EXkC&pg=PA240&dq=table+outlining+wha t+qualitative+and+quantitative+methods+of+research+are&hl=en&sa=X&ei=ERENUfLTH- OY0QWJlYBw&ved=0CDQQ6AEwAA#v=onepage&q=table%20outlining%20what%20qua litative%20and%20quantitative%20methods%20of%20research%20are&f=false [Accessed 2 February 2013]. Leung,F.H.,2009. Spotlight on focus groups. Official Publication of The College of Family Physicians of Canada. 55 (2). 218-219. Available from: http://www.ncbi.nlm.nih.gov/pmc/articles/PMC2642503/ [Accessed 28 March 2013]. Lincoln,S.R.,2009. Mastering Web 2.0 Transforming your business using key website and social media tools. United Kingdom: Kogan Page Limited. Available from:http://ehis.ebscohost.com/eds/ebookviewer/ebook/nlebk_280324_AN?sid=4c33a9ca- bc36-4a1f-bf30-37f37dec5296@sessionmgr10&vid=5&format=EB [Accessed 1 November 2012].
  • 58.
      49   Litosseliti,L.,2003.USING FOCUS GROUPS IN RESEARCH. London: Continuum. Available from: http://books.google.co.uk/books?id=GwLbQSlRtQAC&pg=PA23&lpg=PA23&dq=focus+gro ups+can+cause+participants+to+hold+back+information&source=bl&ots=tQMNzzqq5k&sig =MjHYK_QtfwkRU8TCtiMtJsFBbyg&hl=en&sa=X&ei=uRJTUeG7LsG2O77mgfgN&ved= 0CH4Q6AEwCQ#v=onepage&q=focus%20groups%20can%20cause%20participants%20to% 20hold%20back%20information&f=false [Accessed 27 March 2013]. McGivern,Y.,2009. The Practice of Market Research. 3 rd ed. Essex: Pearsons Education Limited. MacIntosh,J.A.,1993. Focus groups in distance nursing education. Journal of Advanced Nursing. 18, 1981-1985. Available from: http://onlinelibrary.wiley.com/store/10.1046/j.1365- 2648.1993.18121981.x/asset/j.1365- 2648.1993.18121981.x.pdf?v=1&t=hfl1luer&s=b6e304c57a72e6445f48b870818e3e2b2b27f6 c4 [Accessed 24 March 2013]. Mangold,W.G. and Faulds,D.J. 2009. Social media: The new hybrid element of the promotion mix. Business Horizons. 52, 357-365. Masterman,G. and Wood,E.H.,2006. Innovative Marketing Communications strategies for the events industry. United Kingdom: Oxford. Matthews,D.,2007. Seeking A Definition of Special Events. The Special Events Guru. Tuesday 20 November 2007. Available from: http://specialeventguru.blogspot.co.uk/2007/11/seeking-definition-of-special-events.html [Accessed 30 September 2012].
  • 59.
        50   Matthews,D.,2008. Special Events Production The Process. Oxford: Elsevier. Available from:http://books.google.co.uk/books?id=oaNXM7P3LnkC&pg=PA2&lpg=PA2&dq=“A+sp ecial+event+is+a+unique+moment+in+time+celebrated+with+ceremony+and+ritual+to+ satisfy+specific+needs.”+Getz+(1997;+p.4)&source=bl&ots=SLpF3f8I8N&sig=KyZGlsku KffuSbCmcd2zqWEWxc8&hl=en&sa=X&ei=AuXqUPjYB6TC0QXH14CQAw&ved=0CDwQ 6AEwAQ#v=onepage&q=“A%20special%20event%20is%20a%20unique%20moment%20in %20time%20celebrated%20with%20ceremony%20and%20ritual%20to%20satisfy%20specifi c%20needs.”%20Getz%20(1997%3B%20p.4)&f=false [Accessed 4 November 2012]. Mayfield,A.,2008. WHAT IS SOCIAL MEDIA?. England:Icrossing. Available from: http://www.icrossing.co.uk/fileadmin/uploads/eBooks/What_is_Social_Media_iCrossing_ebo ok.pdf [Accessed 4 March 2013]. Misner,I.R.,1999. WORLD’S BEST KNOWN MARKETING SECRET. 2 nd ed. Texas: Bard Press. Mintel Group,2009. In-home Media Consumption – UK – April 2009. London: Mintel Group. Available from: http://academic.mintel.com/display/454809/?highlight=true#hit1 [Accessed 9 April 2013]. Mintel Group,2011. Television Viewing Habits – UK – October 2011. London: Mintel Group. Available from: http://academic.mintel.com/display/598629/?highlight=true#hit1 [Accessed 24 March 2013]. Mintel Group,2012. Social Media and Networking Executive Summary – UK – May2012. London: Mintel Group. Available from: http://academic.mintel.com/display/590164/?highlight=true [Accessed 24 March 2013]. Mellon-Hogon, L.,2009. Social Networking and Business. Executive Briefing Topic 4 – Societal Issues. Thursday 30 July 2009. Morgan,D.L.,1993. SUCCESSFUL FOCUS GROUPS. London: Sage Publications.
  • 60.
      51   Morgan,D.L.,1996.Annual Review of Sociology. FOCUS GROUPS. 22, 129-152. Available from: http://www.jstor.org/stable/pdfplus/2083427.pdf?acceptTC=true [Accessed 22 March 2013]. Nielsen.,2012. STATE OF THE MEDIA. THE SOCIAL MEDIA REPORT 2012. Available from: http://www.nielsen.com/us/en/reports/2012/state-of-the-media-the-social-media-report- 2012.html [Accessed 10 April 2013]. Olsen,W.,2004.Triangulation in Social Research. Qualitative and Quantitative Methods Can Really Be Mixed. 1-20. Available from: http://research.apc.org/images/5/54/Triangulation.pdf [Accessed 20 March 2013]. Onkvisit,S. and Shaw, J.,2004. International Marketing Analysis and Strategy. 4 ed. New York: Routledge. Pine,B.J. and Gilmore,J.H.,1999. The experience economy: work is theatre & every business a stage. Harvard Business Review. 98- 105. Pointroll.,2012. Marketing Tools Study 2012. Available from: https://wiki.pointroll.com/download/attachments/177079373/PointRoll+Marketing+Tools+St udy+2012.pdf [Accessed 25 January 2012]. Preston,C.,2012. Event Marketing How to Successfully Promote Events, Festivals, Conventions, and Expositions. 2nd ed. New Jersey: John Wiley & Sons. Available from: http://books.google.co.uk/books?hl=en&lr=&id=QSc0a3UJM6AC&oi=fnd&pg=PT5&dq=ev ents+greatly+desire+pre,+during+and+post+event+buzz&ots=qbPlBH02Hv&sig=Fflxy8j- gXm6Dah9D3fP1dUSNTQ#v=onepage&q&f=false [Accessed 8 April 2013]. Punch,K.,2005. Introduction to social research: quantitative and qualitative approaches.2 nd ed. London:Sage. Purdam,k.,2013. Changing Peoples Behaviour Group Centre for Census and Survey Research. Conducting Focus Groups – A Brief Overview. Available from: http://www.methods.manchester.ac.uk/events/discussions/focusgroups.pdf [Accessed 24 March 2013].
  • 61.
        52   Puttong,L.,2013. Introduction and History.Focus Group Methodology. 2-14. Available from: http://www.sagepub.com/upm-data/39360_978_1_84787_909_7.pdf [Accessed 24 March 2013]. Ralston,L.S.,Ellis,G.D.,Compton,D.M. and Lee,J., 2007. STAGING MEMORABLE EVENTS AND FESTIVALS: AN INTERGRATED MODEL OF SERVICE AND EXPERIENCE FACTORS. International Journal of Events Management. 3 (2), 24-38. Rezabek,R.J.,2000. Online Focus Groups: Electronic Discussions for Research. Forum: Qualitative Social Research. 1 (1). Available from: http://www.qualitative- research.net/index.php/fqs/article/view/1128/2509 [Accessed 21 March 2013]. Sagepublication., 2012. Chapter 9 Media Technology. 285-321. Available from:http://www.sagepub.com/upm-data/40857_9.pdf [Accessed 17 December 2012]. Seiple, P.,2013. How to Leverage Social Media for Public Relations Success. Using Social Media to Generate Media Coverage and Improve Brand Sentiment. 1-28. Available from: http://www.hubspot.com/Portals/53/docs/hubspot_social_media_pr_ebook.pdf [Accessed 4 April 2013]. Solis,B., 2011. ENGAGE! The complete Guide for Brands and Businesses to Bild, Clutivate, and Measure success in the New Web. New Jersey: John Wiley & Sons. Spiess,S.,Schrade,M., Heuss,F. and Rensch,T.,2012. How is the event industry using social media networks?. SOCIAL MEDIA & EVENTS REPORT 2012.1-33. Stelzner.M.A,.2012. How Marketers Are Using Social Media to Grow Their Business. 2012 SOCIAL MEDIA MARKETING INDUSTRY REPORT. (5) Available from:http://www.socialmediaexaminer.com/SocialMediaMarketingIndustryReport2012.pdf [Accessed 2 November 2012]. Stewart,D.W., and Shamdasani,P.N.,1990. Applied Social Research Methods. Focus Groups Theory and Practice. 20. London: Sage Publications.
  • 62.
      53   Stewart,K.and Williams,M.,2005. Researching online populations: The use of online focus groups for social research. Qualitative Research. 5 (4), 395-416. Available from: http://qrj.sagepub.com/content/5/4/395.full.pdf+html [Accessed 21 March 2013]. Thomas.P.Y.,2010. Chapter 4 Research Methodology and Design. Available from: http://uir.unisa.ac.za/bitstream/handle/10500/4245/05Chap%204_Research%20methodology %20and%20design.pdf [Accessed 26 March 2013]. Thompson,S.,2013. From the Brits to the Oscars Twitter reveals award season 2013’s hosts with the most. The Wall Social, marketing, media: blogged. Tuesday 26 February 2013. Available from: http://wallblog.co.uk/2013/02/26/from-the-brits-to-the-oscars-twitter-reveals- award-season-2013s-hosts-with-the-most/ [Accessed 4 April 2013]. Trusov,M.,Bucklin,R.E. and Pauwels, K.H.,2008. Effects of Word-of-Mouth Versus Traditional Marketing. Findings from an Internet Social Networking Site. 3-48. Van Grove,J.,2004. Mashable. STUDY: 57% of TV Viewers Use the Web Simultaneously. Available from: http://mashable.com/2009/09/14/web-tv-study/ [Accessed 4 April 2013]. Veal,A.J.,2011.RESEARCH METHODS FOR LEISURE & TOURISM: A PRACTICAL GUIDE. 4 ed. Essex: Pearsons Education. Available from: http://books.google.co.uk/books?id=cKXw5EPrf3kC&printsec=frontcover&source=gbs_ge_s ummary_r&cad=0#v=onepage&q&f=false [Accessed 10 February 2013]. Walliman,N.,2005. Your Research Project. 2nd ed. London: Sage Publications. Windels, J.,2013. Dual Screening Research: Is Twitter Transforming How we Watch TV?.Brandwatch. Tuesday 29 January 2013. Available from: http://www.brandwatch.com/2013/01/is-twitter-transforming-how-we-watch-tv/ [Accessd 29 January 2013].
  • 63.
        54   Youngs,H., and Piggot-Irvine,E.,2012. The Application of a Multiphase Triangulation Approach to Mixed Methods: The Research of an Aspiring School Principal Development Program. Journal of Mixed Methods Research. 1-15. Available from: http://mmr.sagepub.com/content/early/2011/09/08/1558689811420696.full.pdf [Accessed 26 March 2013]. Figure References Figure 2.0 Getz,D.,2007. Progress in Tourism Management. Event tourism: Definition, evolution, and research. 29 (403-428). Figure 2.1 Getz,D.,2007. Event Studies Theory, Research and Policy for Planned Events. United Kingdom:Oxford. Available from: http://lib.myilibrary.co/Open.aspx?id=261771&src=0 [Accessed 2 October 2012]. Figure 2.2 Rodrigo,.2012. The role of social media as marketing tool for tourism in Kenya. case study: Kenya safari and tours. The Write Pass Journal. Available from: http://writepass.co.uk/journal/2012/12/the-role-of-social-media-as-marketing-tool-for- tourism-in-kenya-case-study-kenya-safari-and-tours/ [Accessed 25 January 2013]. Figure 2.3 Papworth,L.,2010. 8 responses to criticism in online communities. Negative Comments in Social Media. Thursday 26 April 2011. Available from: http://laurelpapworth.com/8-ways-to- deal-with-negative-comments-on-blogs-and-social-media/ [Accessed 13 December 2012].  
  • 64.
      55   7.0Appendices Appendix A – Pilot Online Analysis data collection – Children In Need Televised Event   The pilot for this study was conducted using the event BBC Children in Need. This event was televised and therefore allowed the researcher to conduct tests during the event, to determine the best online data analysing tool for social media platforms. Furthermore to find out which ones would give the most accurate and clearest results, to use for the real data (see table 1.0) Table 1.0 Online data collection tools to be tested Tool Name Website URL Platforms AnalysedUsed in Live Study Hootsuite https://hootsuite.com Facebook and TwitterYes Social Mention http://socialmention.com Facebook and TwitterYes Tweet Reach http://tweetreach.com Twitter Yes Google Analytics http://www.google.co.uk/analytics/Facebook and TwitterNo Simply Measured http://simplymeasured.com/free- social-media-tools Facebook and TwitterNo The online data analysing tools seen within the table were identified as market leaders within the field of social analysis through extensive prior research. (See figure 1.0) Figure 1.0. Top 20 Free Social Media Monitoring Tools (Farnsworth 2013). The researcher chose to sample the analysis tools seen in table 1.0 chosen from prior research seen in the figure 1.0 above. The tools in table 1.0 were chosen to test, as they proved very compatible and easy to understand Twitter and Facebook statics. Furthermore they were able to pick up specific wording and hash tags. Tweet
  • 65.
        56   Reach and Social Mention as a result of this pilot, were the chosen analysis tools for this study. Twitter and Facebook were the only two social media platforms tested in the pilot and for the main online data collection. Prior research exposed and the additional pilot study highlighted that the event examples within the case study were not using any other social media platforms to promote their event.                                                                                        
  • 66.
      57     Appendix B Online Facebook Focus Group Coded Transcript RESEARCHER: Hi Everyone, I am writing my dissertation on the engagement of social media during mediated events. This group has been created to hopefully form an online focus group. I have invited you all to help comment and share information about a few questions I will put up. If you could discuss these amongst yourselves on this page that would be fantastic! I know this is a pain but all my dissertation research has gone down the pan in the last few weeks. So I am in desperate need of your help! If you could spare a few minutes to voice you opinions I would be forever grateful! Thank you so much in advanced for anyone who takes part in this for me its greatly appreciated!! ___________________________________________________________________________ RESEARCHER: Lets start the ball rolling...What tv programmes do you watch on a Friday or Saturday night in? Participant 1: Csi, hollyoaks, or things that happen every year like X factor, Britain’s go talent, dancing on ice etc! Participant 2: Saturday night takeaway wheyyyy Participant 3: Saturday night takeaway, X factor, Britain’s got talent, you’ve been framed and all the soaps. Participant 4: at home I’ll watch X-factor, Jonathon Ross or what ever is on tv but at uni I normally just catch up on my programmes that I’ve missed on 4od/ itv player / I player or watch a documentary about something or other (again usually on catch up services). Participant 5: Coronation Street and Eastenders, and also love chat shows like Jonathan Ross! X . Participant 6: Saturday night take away with ant and dec is always a favourite in this house and Jonathan Ross. Participant 7: Jonathan Ross, take me out , X factor…..personally I think Saturday and Friday night tv is shockingly bad nowadays…..they need to bring back changing rooms, ground force and blind date!!
  • 67.
        58   Participant 8: love Saturday night takeaway and any kind of chat show – graham norton and Jonathon ross, sometimes panel shows like 8 out of 10 cats. Participant 9: Usually only things like 8 out of 10 cats, Friday Night Dinner, Come Dine with Me or QI… not a fan of ‘talent’ shows like X Factors etc x Participant 10: Saturday night takeaway, 8 out of 10 cats, generally anything funny! And I catch up on stuff that I recorded in the week. Participant 11:I agree with participant 7, I think Friday and Saturday night TV isn’t what it used to be! I tend to catch up on programmes or watch Strictly Come Dancing / XFactor , or awards ceremonies / special events when they’re on like Children in Need or Comic Relief. Participant 12: Seeing as I am usually sat in with participant 3 the same as her! Unless I persuade everyone to put a film on instead. Participant 3: The good thing about catching up on the internet or recording the programmes is less advert time…way too many adverts these days! Participant 12: I agree! But there are still far too many adverts on catch up, especially ITV and 4oD. Participant 8:yeah I do tend to watch most things on catch up, but I love award season for film and mustic etc. which I always watch live and I watched comic relief. RESEARCHER: these comments are great guys thank you and keep it up. Drawing on participant 8’s point about award ceremonies which particular ones do you like watching? Or try to watch? Participant 3: The Soap Awards is the only one I watch the whole way through. The others such as The Brits and The Oscars I will flick through while watching other programmes. Participant 13: Saturday night takeaway, seasonal reality shows (X Factor, I’m a celebrity etc) but still what I would watch in the week too like family guy, don’t tell the bride. Participant 14: match of the day, anything on catch up. Participant 15: Agree with participant 13, I also really enjoy chat shows; ross, norton, carr! Regarding award ceremonies, I always watch the Oscars & Sports personality of the Year… I will catch up on the Brits/ Soap Awards but I don’t watch them all the way through!
  • 68.
      59   Participant16: Generally watch recorded programs on sky plus because of shift work there is nothing I regularly watch. I do like Jonathon ross show though. Oh yer and love comic relief not so much into award ceremonies x Participant 12: The problem I find with comic relief etc is it is so sad! ( I know that is the point, lol) So I would usually choose to watch a film instead, or I would watch it whilst doing something else so I don’t spend the whole time in tears. But I do love chat shows and flick between them depending on timing and who the guests are. Participant 3:lol! Participant 12 would prefer to watch films over TV most the time! My level of interest in chat shows definitely depends on the guests in Alan Carr chatty Man. Participant 12: I agree, but then I also find Graham Norton usually has really good guests, so I like watching him. Participant 17: always watch chat show like Graham Norton and Jonathan Ross, 8 out of 10 cats, x factor. Participant 18: Ant & Dec, Take Me Out (when it was on) and CSI x Participant 19: alan carr, Jonathon ross, CSI, a film, eastenders. Participant 20: Take me out, X factor, ant and dec when they’re on but usually will go out and catch up on them. X Participant 21: Tend to watch pre recorded programmes or possibly chat shows – Jonathon Ross etc x Participant 22: Match of the day Participant 23: I watch Biggest Loser, Teen Mom and Game of Thrones recently. Participant 24: Not much really but if I had time it would be Saturday Night Takeaway, Big Bang Theory and whatever film might be on. Participant 25: The Jonathan Ross Show without fail – I catch up even if I miss it but that’s it really. And Take Me Out when its on. Participant 26: I’m really not a fan of weekend tv except Jonathan Ross and QI, so would rather catch up on whatever I missed during the week or put a film on. Participant 27: Match of the day, Have I got news for you and QI.
  • 69.
        60   Participant 28: Saturday Night Takeaway and Jonathon ross. ___________________________________________________________________ RESEARCHER: Some interesting feedback thank you everyone, moving forward from this is the next question….. Do you partake in social media during the programme or after? If yes which social media platform do you use and why? If no why do you choose not to? Participant 13: Some programmes place hashtags onscreen during their shows, for that I often go on twitter to participate however if I get really opinionated about a programmes, no doubt I’ll write it on a facebook status either during or after. Participant 19: I don’t have twitter so don’t partake in all the #’s but like participant 13 said, if something has really annoyed me (e.g. someone went out of xfactor that shouldn’t have done) then I might put a status on facebook. Participant 29: I always use social media during a programme – unless I am gripped and will miss something if I’m looking at my phone. I like to see what other people are writing about it, and if the programme causes me to feel some kind of emotion (shocked, sad, funny) I will tweet about it. I don’t usually hashtag though. Xx Participant 1: Usually write on social media after, not during.. have both twitter and facebook so just depends which one im on at the time as to which one I use! Things like x-factor I usually don’t write about thought as too many people fill up my news feed with it and it just gets annoying sometimes! Xxx Participant 21: Tend to be both during the programme or immediately after. This tends to be FB or twitter. Enjoy seeing other people’s posts and commenting or reposting. Participant 7: I tend to partake in social media during the program if I feel it’s worthy of mentioning because I’m actively engaged with it at the time. It is normally always Twitter because it seems to be more socially acceptable to constantly update, talk and give opinions about what you are doing/ watching. You are also exposed to what celebrities and other people who are perhaps considered in a authoritative position are thinking/ saying so it is interesting to look on Twitter because of that, I think it has an influence on what you think as well. I don’t use Facebook to talk about programmes because it has a certain stigma attached to it that isn’t socially acceptable to constantly update your news feed with pointless opinions about things that don’t matter e.g. Saturday night tv.
  • 70.
      61   Participant8: I don’t tend to post about it but if I did it would definitely be on twitter because you can update more regularly but I would look on twitter and fb to see what people are saying about the bigger shows/ live tv, would tend to look more on fb for views because I’ve chosen who I’m friends with so I care what they think, where as the hash tag link on twitter I don’t know those people so not bothered about their view, that’s my opinion anyway. Participant 22: No because I would rather have a conversation about it using proper verbal communication. I don’t really care about what people, I don’t really know have to say about silly things. Participant 3: I don’t tend to talk about programmes on twitter or facebook but if I was I would do it on Twitter as the programme may be trending and you can also tag those who are in the programme. I choose not to partake in social media as people probably don’t care what I have to say on the programme and I also prefer to talk to the people I am watching it with. Participant 15: Agree with the above statement – I never partake in social media during a programme/ after the programme. If I did then it would be twitter and not facebook – I feel twitter is more about what’s happening now / current news. I prefer discussing it with the people I’m with, rather than going any further with it i.e. social media. Participant 23: I do not tweet or fb during or after the show. I choose not to because I’m not motivated enough to voice my opinions on the crappy reality TV shows I choose to watch. I feel like people who comment on reality stars lives really do not have any say, they do not know the tv personality but they think they do. It’s sad to see people criticise reality tv personalities over twitter or fb because in reality the people criticising do not have any knowledge of that person what so ever. So basically, I personally think it’s a waste of time and stupid to be “social mediating” your opinion on a TV show. Participant 9: Usually, if the programme has made me laugh or felt strong emotions (like the last episode of Derek, wept like a baby) then I will tweet about it..I never use Facebook for things like that. Twitter is more interactive and if other people are watching what you are too, then usually you can get conversations going over tweets which adds to the experience of watching it I guess as you know others are too! Participant 24: I normally do use Twitter or Facebook during programmes if I know a lot of other people are watching and something shocking has happened, like during the Brit Awards or the Olympics. I sometimes tweet the actors or writers of a programme too to comment on their work. Participant 25: I never really use social media when I watch programmes. The only thing I can think of is x-factor but even then I don’t really put up a status myself – just look at other peoples. I guess I’m not bothered about expressing what I am watching – why would people want to know that kind of thing.
  • 71.
        62   Participant 30: Yes I would partake if I felt the need to express something. I don’t use twitter so I’ll put a status up on Facebook. I only really hash tag on Instagram. Participant 26: I don’t think I’ve ever really used social media during or after. The only time I can think of was during the men’s final gymnastics because I was hooked! I always read what others say about it thought. I’m just nosy like that. Participant 31: I definitely do partake in social media during a programme. Mostly I use twitter as it is short and sweet and the use of hashtags is really easy and means other people looking for similar sort of tweets can see it too. I also think tumblr is good for when watching an award ceremony (Oscars/ brits etc) as within seconds of something happening on the TV there will be memes and GIFs all over the website about the event. Participant 27: I never write statuses anyway and if I’m watching a programme I’ll probably just b›e interested in that and if I do not have an opinion I’ll tell the person I’m watching it with or keep it to myself or if I have a question I’ll google it instead of putting a status up asking people to answer it for me. Participant 28: I sometimes tweet after watching a programme, if something was funny or to express my frustration over something that happened on it. I like to see what other people tweet about or wrote statuses on during programmes as well. ___________________________________________________________________ RESEARCHER: To those of you within the group who do use social media when watching programmes and events, what content do you share? Do you give opinions, advice, recommendations or post questions about what your watching? Is the content that you share generally positive or negative? Participant 32: Generally I post opinions or ask questions if I am confused! And only on twitter! Participant 2: On twitter I mainly complain about people I’m watching (towie) x Participant 3: Mostly my own opinion as that’s one of the better uses of Twitter that people can reach a vast amount of more people than you would on Facebook (considering they are your friends), as with a # if other people agree with you or look up the same thing your watching, then anyone can get in contact/ reply to you. I do mainly say positive things as I only really have time to watch the programmes I like! Participant 13: I only really post opinions, but then I think this is often what they are asking you to do aswell, with sometimes doing ‘shoutouts’ to share everyones opinions on tv. I wouldn’t say I post one view more than another but often my posts
  • 72.
      63   arefairly opinionated either way. I would only really post or share something if I really have a strong opinion rather than simply a view. Participant 14: participant 33 what are your views? Participant 33: I like to use twitter to S*** off the towie lot. What’s are your views participant 14 and 34? Participant 34: I go a little crazy on twitter when my boi francis boulle and the MIC crew are on the telly. Participant 15: I tend to post more when watching events. I usually just ‘tweet’ about the event itself and what my opinions are, dependent on whether they are posititve or negative! Participant 8: I’d say both positive and negative but it usually the more shocking stuff that I would choose to comment on and would mainly do it on twitter. Participant 12: I never really use social media while watching, maybe during the breaks I will see what people are saying about things, but never usually comment – not sure why! Participant 7: It’s normally my opinion about something, both positive and negative when watching something like a talent show for example where the programme encourages you to interact. Participant 35: I tend to watch twitter closely when I’m watching events like award ceremonies just to see if there is any extra gossip. I don’t tweet or retweet much but I will if someone I really like has got an award. Participant 31: Personally I share opinions on what is happening, I like to be able to interact with other people on my news feed who are also watching the programme. I also think it’s a really clever idea for a programme (for example made in Chelsea) when they have their own twitter account and they live tweet at the same time as the TV show. It means you feel like you’re interacting with the tv show aswell, especially if they retweet you or directly reply. ___________________________________________________________________________________________________   RESEARCHER: Afternoon everyone….my next question to you all is did any of you watch any of the following events: The Sun Military Awards BBC Sports Personality of The Year The BAFTA’s If yes which ones did you watch and did you look at or use social media whilst watching them?
  • 73.
        64   If you didn’t watch any of them why was this? Participant 7: No I didn’t watch any of them, mainly because those kind of programs don’t really interest me that much, they tend to go on for a long time and I get bored easily. Participant 26: I had Sports Personality on in the background, but wasn’t really paying attention and can’t remember looking at any social media about it at the time. I also watched the BAFTA’s. I didn’t post anything about it personally but can remember reading a few things others said, although I can’t remember anything that was said. Participant 5: I watched sports personality of the year- probably because I enjoyed the Olympics so much, and it involved many of the Olympic athletes. I don’t remember using social media though. Participant 36: BBC Sports personality of the year, especially due to the success over the past year. Whilst watching them used Twitter both to express my opinions, mainly congratulating and reminiscing on the success that we had over the year. Also provides inspiration. Participant 19: watched some of the military, sports personality (but only because mum and brother were watching it, not out of choice) x Participant 12: I didn’t watch any of these, partly because I was probably just busy when they were going on, partly because there is too much waffle and adverts etc inbetween, I want them to cut to the chase and only show the exciting bits! Participant 3: I agree with participant 12 too much waffle, they go on too long and are mainly boring. I watched The Military Awards the past two years but that’s only because of the researchers is heavily involved with it. And although I didn’t personally tweet about The Millies I did look at other peoples tweets. Participant 12: I never look at tweets or social media during these types of programmes, but I am more likely to look at the news the next day to see if anything interesting happened, where as I wouldn’t do that for other programmes. Participant 11: I watched the Military Awards, like participant 3 because the research was heavily involved, and I did tweet about it because it was so emotional I felt strongly about it. But for something like the BAFTAS where I don’t feel much emotion towards it I wouldn’t tweet about it because it. For celebrity events like the BAFTAS I might watch a bit but not all of it because I feel like it goes on for too long. But I do look at Twitter the next day to get a round up of what happened. Participant 1: Had the baftas & sports personality of the year in the background, only watched bits that I was interested in, didn’t use social media, but I did look on twitter to see updates on what people were wearing at the baftas! Xxx Participant 37: Didn’t watch any of them but saw lots of tweets about BAFTAS, what was going on, who won what and the like. X
  • 74.
      65   Participant13: I watched the BAFTA’s as this interests me more than the others. I didn’t actually use social media during this though. I think I was too busy seeing who’d won! Participant 14: Only watched sports personality because of the success of the Olympics, Murray. I didn’t participate with online media platforms as I knew that the majority of my news feed would be filled with comments on the results of the awards and just read through those rather than write my own comments. Participant 23: Nope. I’m in a whole other country. Participant 22: I watched all three. I didn’t use any social media for an›‹y of them, just spoke to the television screen to voice my opinion. I looked at facebook during sports personality just to see who people thought was going to win. Participant 24: I watched the baftas in full and the end of sports personality. I didn’t watch the Sun awards because I didn’t know it was on and I probably wouldn’t have watched it anyway. I was watching twitter during the sports personality awards as I didn’t have access to the channel and I was actively using facebook, twitter and instragram during the BAFTAS. Participant 6: I watched the BAFTA’s and the BBC sports personality of the year but not the other one. I was also using twitter during the sports personality but I didn’t follow any of the others through social media mainly because I didn’t really know there was any social media stuff for them. Participant 8: I watched the BAFTA’s and commented about it on twitter but didn’t follow other people’s comments about it. Participant 31: I watched a bit of the BAFTAS and a bit of BBC sports personality. However, the reason I knew most about these televised events was because I was on twitter / tumblr at the time and I saw a lot of my newsfeed about what was occurring on the shows at the time. ___________________________________________________________________ RESEARCHER: Great response here everyone thank you for your comments. Some of you have mentioned that you saw others talking on social media sites about the televised events. Seeing these comments did they impact your decision to watch the programme either real time or on catch up? Participant 22: Only if something funny happened, then I’d youtube it. Participant 1: Same as above I’d youtube it if I missed something! Xx Participant 3: It would not impact me to watch the whole programme but it would impact me to youtube the part that everyone was talking about. Participant 13: I didn’t use social media to watch those particular programmes, but often I see people talking on Facebook mainly about shows that I like. If it looks
  • 75.
        66   exciting I’m more enticed to watch it asap!! But sometimes social media can be a spoiler to programmes I haven’t yet had chance to watch – both from friends and pages – towie for example put pictures up during the show seconds after its happened so I avoid Facebook until I’ve watched it! Participant 12: I am the same as participant 3, I would YouTube the specific bit. I would only watch the whole thing if it was a short episode of something, for example Made In Chelsea or TOWIE. Participant 14: Would normally watch it on catch up or YouTube the particular part that everyone is talking about, especially if it sounds funny. Participant 26: Same as everyone else, I’d youtube it or try and find it on catch up, but it wouldn’t make me want to watch the whole thing. Participant 6: I agree with participant 14 if I haven’t seen a programme in real time but everyone is talking about it either face to face or over social media I would use catch up or youtube to see the bits everyone is talking about. Participant 19: Maybe not those programmes specifically but comment on facebook about a programme can make me think ooo I need to catch up on that! Participant 8: Would encourage me to watch it on catch up if I was interested in what people were saying about it. Participant 31:If I see people talking about it on social media, if its something I watch firstly I hope I don’t see any spoilers about the event! But ultimately yes it would encourage me to watch. If they were saying something that sounded interesting about something I might not normally watch I think this would also encourage me to watch it too. Participant 27: If something interesting or funny happened then I would watch it on catch up or youtube. Participant 11: Yeah I would youtube it too! Participant 28: I’ve also looked on youtube for certain clips after hearing people talk about it. Only if it was from programme that I usually watch and have missed for a reason or another. I wouldn’t bother if not whether people spoke about it or not. ___________________________________________________________________ RESEARCHER: Furthering this if you see a hash tag at the bottom of the screen during the programme or announced by the presenter, does this encourage those of you who do use social media to tweet about the programme using the hash tag? Or look up the hash tag online to see what people are saying about the programme? Participant 7: It would probably subconsciously make me aware of their hashtag / twitter however I wouldn’t look up the hash tag to see what others are saying about it, I only care about people who I follow’s opinions. Participant 36: Wouldn’t usually look up / use the hashtag. As above only really consider the people I am followings opinions. Sometimes in controversial situations
  • 76.
      67   orin sporting events I may look up hashtags but this would mainly focus on views from industry professional and reporters as supposed to general public. Participants 14: No I find it really annoying. Participant 13: I agree with participant 14, at first it was unique and fun to do, now its just repetitive and irritating! I rarely do it when I’m told to do them, I simply put the name of the programme as a hashtag and talk about it after its finished. Participant 8: Would maybe use it if I had something to say about the programme and it may encourage me to do so but wouldn’t go out of my way to look it up. Participant 21: No. If I was going to tweet about the programme I would then tweet the hash tag. But I wouldn’t tweet a hash tag just for the sake of it x Participant 11: I wouldn’t actively look up the hash tag unless, like participant 36 said, something controversial was happening and I wanted to see what other people’s views were on it. Otherwise I would only see what people on my own news feed thought. Participant 6: I would have to really like the programme in order to tweet about it I wouldn’t do it for the sake of it either. Participant 12: I am the same as participant 11, except I am guilty of looking up #girlfriends to see what was going on! Participant 31: If I see a hashtag at the bottom of a show it definitely does encourage me to tweet about it. Also if I see a tweet about the show that I am confused about I can use the hashtag to look at other peoples tweets to perhaps see if someone else’s tweet could clear it up for me. ___________________________________________________________________ RESEARCHER: Afternoon everyone thank you all so much for all your participation over the last week you’ve been fantastic. Lastly I’d like to know if any of you have any closing comments or opinions on the integration of social media and events? Also if you have any opinions on the future of social media within events? Participant 12: I think social media within live events is a great thing – on my placement year we used it extensively at Cannes Lions, and it really helped integrate the experience. With televised events, however , I feel that they can be used in powerful ways, and with xbox smart glass etc TV and social media will be 100% integrated. However, I am not sure how much I would use social media during TV shows whilst I am still living in a social environment – maybe that will change when I have to live on my own and I want to join in..! Participant 6: In the famous words of Solis engage or die. If events don’t keep up with social media they will be left behind I think social media has to be at the forefront of all marketing communications to keep the hype pre during and post event. Participant 21: I think social media is quickly changing how things are perceived. Its immediate feedback that creators can use and improve things. It can be used
  • 77.
        68   negatively but overall the positives of it greatly outweigh that. Certainly a bright future and will not be something that disappears. X Participant 1: I agree, I think social media is a fantastic way to keep up to date with events, however obviously can have a negatively effect if an event goes badly, so you have to make sure the content is controlled xxxx. Participant 11: I think social media is a great way to raise awareness of event and actually gets more people involved who wouldn’t otherwise have known the event was happening, so it works as a publicity tool as well as an engagement one. Researcher: Thank you very much everyone for all your help with this dissertation focus group. The group will now be made private so that no one else can look at the discussion or join in. The information will now be transcribed and coded for the purpose of the dissertation results and findings. All names will be changed to participant 1,2,3,4, etc to protect all identities. Any questions do email me. Many thanks again everyone for all your help and support.                                                      
  • 78.
      69   AppendixC Ethics Check List
  • 79.
        70    
  • 80.
      71      
  • 81.
        72      
  • 82.