full_name factions
Гречкосі
йство
Кнопк
одавст
во ФАР
Коєфіцієнт
підтримки
політичних
реформ
Коєфіцієнт
підтримки
Антидемократ
ичності Old_member Прогульники
Підсумковий
рейтинг
Єфімов Максим ВікторовичБлок Петра Порошенка 1 1 1 0.3333333333 0.6666666667 ні 1 4.333333333
Третьяков Олександр ЮрійовичБлок Петра Порошенка 1 1 1 0.3333333333 0.6666666667 ні 1 4.333333333
Москаленко Ярослав МиколайовичВоля народу 1 1 1 0.6 0.75 так 1 4.15
Яценко Антон ВолодимировичВідродження 1 1 1 0.6 0.75 так 1 4.15
Довгий Олесь СтаніславовичВоля народу 1 1 1 0.3333333333 0.3333333333 ні 1 4
Недава Олег АнатолійовичБлок Петра Порошенка 1 1 1 0.6666666667 0.6666666667 ні 1 4
Гіршфельд Анатолій МусійовичВоля народу 1 1 1 0.6 0.5 так 1 3.9
Кіссе Антон ІвановичВідродження 1 1 1 0.2 1 так 0 3.8
Нечаєв Олександр ІгоревичОпозиційний блок 0 1 1 0 0.75 так 1 3.75
Зубик Володимир ВолодимировичВідродження 0 1 1 0 0.75 так 1 3.75
Іванчук Андрій ВолодимировичНародний фронт 1 1 1 0.8 0.5 так 1 3.7
Лубінець Дмитро ВалерійовичБлок Петра Порошенка 1 1 1 0.3333333333 1 ні 0 3.666666667
Пресман Олександр СеменовичВідродження 1 1 1 0.6 0.25 так 1 3.65
Святаш Дмитро ВолодимировичВідродження 0 1 1 0.4 1 так 1 3.6
Бобов Геннадій БорисовичВідродження 0 1 1 0 0.5 так 1 3.5
Шенцев Дмитро ОлексійовичОпозиційний блок 1 0 1 0 0.5 так 1 3.5
Кулініч Олег ІвановичВідродження 1 1 1 0.6 1 так 0 3.4
Бондар Віктор ВасильовичВідродження 0 1 1 0.6 1 так 1 3.4
Барвіненко Віталій ДмитровичВідродження 0 1 1 0.4 0.75 так 1 3.35
Павлов Костянтин ЮрійовичОпозиційний блок 1 1 0 0.4 0.75 так 1 3.35
Загорій Гліб ВолодимировичБлок Петра Порошенка 0 1 1 0.3333333333 0.6666666667 ні 1 3.333333333
Добкін Михайло МарковичОпозиційний блок 0 1 1 0 0.3333333333 ні 1 3.333333333
Лозовой Андрій СергійовичРадикальна партія Ляшка0 1 1 0 0.3333333333 ні 1 3.333333333
Мосійчук Ігор ВолодимировичРадикальна партія Ляшка0 1 1 0 0.3333333333 ні 1 3.333333333
Горбунов Олександр ВолодимировичНародний фронт 1 1 1 0.6666666667 1 ні 0 3.333333333
Рибалка Сергій ВікторовичРадикальна партія Ляшка1 1 1 0 0.3333333333 ні 0 3.333333333
full_name factions
Гречкосі
йство
Кнопк
одавст
во ФАР
Коєфіцієнт
підтримки
політичних
реформ
Коєфіцієнт
підтримки
Антидемократ
ичності Old_member Прогульники
Підсумковий
рейтинг
Королевська Наталія ЮріївнаОпозиційний блок 1 0 1 0 0.3333333333 ні 1 3.333333333
Матвієнков Сергій АнатолійовичОпозиційний блок 1 1 1 0.2 0.5 так 0 3.3
Ланьо Михайло ІвановичВідродження 0 1 1 0.6 0.75 так 1 3.15
Молоток Ігор ФедоровичВоля народу 1 1 1 0.6 0.75 так 0 3.15
Клімов Леонід МихайловичВідродження 0 1 1 0.6 0.75 так 1 3.15
Фаєрмарк Сергій ОлександровичНародний фронт 0 1 1 0.6 0.75 так 1 3.15
Хомутиннік Віталій ЮрійовичВідродження 0 1 1 0.6 0.75 так 1 3.15
Кришин Олег ЮрійовичНародний фронт 0 1 1 1 1 ні 1 3
Солод Юрій ВасильовичОпозиційний блок 1 0 1 0.3333333333 0.3333333333 ні 1 3
Горват Роберт ІвановичБлок Петра Порошенка 1 1 1 0.6666666667 0.6666666667 ні 0 3
Давиденко Валерій МиколайовичБлок Петра Порошенка 1 1 1 0.6666666667 0.6666666667 ні 0 3
Дехтярчук Олександр ВолодимировичБлок Петра Порошенка 1 1 1 0.6666666667 0.6666666667 ні 0 3
Кононенко Ігор ВіталійовичБлок Петра Порошенка 1 1 1 0.6666666667 0.6666666667 ні 0 3
Макар'ян Давид БорисовичБлок Петра Порошенка 0 1 1 0.6666666667 0.6666666667 ні 1 3
Микитась Максим ВікторовичВоля народу 1 0 1 0.3333333333 0.3333333333 ні 1 3
Присяжнюк Олександр АнатолійовичНародний фронт 0 1 1 1 1 ні 1 3
Скуратовський Сергій ІвановичРадикальна партія Ляшка0 1 1 0.3333333333 0.3333333333 ні 1 3
Урбанський Олександр ІгоровичБлок Петра Порошенка 0 1 1 0.6666666667 0.6666666667 ні 1 3
Шахов Сергій ВолодимировичВоля народу 0 1 1 0.3333333333 0.3333333333 ні 1 3
Березкін Станіслав СеменовичВідродження 0 1 1 0.6 0.5 так 1 2.9
Івахів Степан ПетровичВоля народу 0 1 1 0.6 0.5 так 1 2.9
Лабазюк Сергій ПетровичВоля народу 1 0 1 0.6 0.5 так 1 2.9
Остапчук Віктор МиколайовичВідродження 0 1 1 0.6 0.5 так 1 2.9
Бриченко Ігор ВіталійовичНародний фронт 1 1 1 1 0.75 так 0 2.75
Мельниченко Володимир ВолодимировичБлок Петра Порошенка 1 1 1 0.8 0.5 так 0 2.7
Пашинський Сергій ВолодимировичНародний фронт 0 1 1 0.8 0.5 так 1 2.7
full_name factions
Гречкосі
йство
Кнопк
одавст
во ФАР
Коєфіцієнт
підтримки
політичних
реформ
Коєфіцієнт
підтримки
Антидемократ
ичності Old_member Прогульники
Підсумковий
рейтинг
Сольвар Руслан МиколайовичБлок Петра Порошенка 1 0 1 0.8 0.5 так 1 2.7
Вілкул Олександр ЮрійовичОпозиційний блок 1 0 1 0.3333333333 0 ні 1 2.666666667
Поляков Максим АнатолійовичНародний фронт 1 0 1 0 0.6666666667 ні 0 2.666666667
Мельничук Сергій ПетровичПозафракційні 0 0 1 0 0.6666666667 ні 1 2.666666667
Кучер Микола ІвановичБлок Петра Порошенка 1 1 0 1 0.6666666667 ні 1 2.666666667
Ляшко Олег ВалерійовичРадикальна партія Ляшка1 1 1 0.6 0.25 так 0 2.65
Кацуба Володимир МихайловичВідродження 0 1 1 0.6 0.25 так 1 2.65
Балицький Євген ВіталійовичОпозиційний блок 0 1 1 0.2 0.75 так 0 2.55
Добкін Дмитро МарковичОпозиційний блок 0 1 0 0 0.5 так 1 2.5
Мирний Іван МиколайовичОпозиційний блок 0 1 0 0 0.5 так 1 2.5
Деркач Андрій ЛеонідовичПозафракційні 0 0 1 0 0.5 так 1 2.5
Шипко Андрій ФедоровичВідродження 0 1 1 0.6 1 так 0 2.4
Гєллєр Євгеній БорисовичВідродження 0 1 1 0.4 0.75 так 0 2.35
Герега Олександр ВолодимировичПозафракційні 0 1 1 0.4 0.75 так 0 2.35
Дейдей Євген СергійовичНародний фронт 0 0 1 0.3333333333 0.6666666667 ні 1 2.333333333
Денисенко Андрій СергійовичПозафракційні 0 0 1 0.3333333333 0.6666666667 ні 1 2.333333333
Тригубенко Сергій МиколайовичБлок Петра Порошенка 0 0 1 0.3333333333 0.6666666667 ні 1 2.333333333
Бабенко Валерій БорисовичНародний фронт 0 1 1 0.3333333333 0.6666666667 ні 0 2.333333333
Вітко Артем ЛеонідовичРадикальна партія Ляшка0 1 1 0.3333333333 0.6666666667 ні 0 2.333333333
Валентиров Сергій ВасильовичБлок Петра Порошенка 0 1 1 0.3333333333 0.6666666667 ні 0 2.333333333
Гальченко Андрій ВолодимировичОпозиційний блок 1 1 0 0.3333333333 0.6666666667 ні 0 2.333333333
Голубов Дмитро ІвановичБлок Петра Порошенка 1 0 1 0.3333333333 0.6666666667 ні 0 2.333333333
Дубневич Богдан ВасильовичБлок Петра Порошенка 0 1 1 0.3333333333 0.6666666667 ні 0 2.333333333
Колєсніков Дмитро ВалерійовичОпозиційний блок 0 1 1 0.3333333333 0.6666666667 ні 0 2.333333333
Кузьменко Анатолій ІвановичБлок Петра Порошенка 0 1 1 0.3333333333 0.6666666667 ні 0 2.333333333
Лесюк Ярослав ВасильовичБлок Петра Порошенка 0 1 1 0.3333333333 0.6666666667 ні 0 2.333333333
full_name factions
Гречкосі
йство
Кнопк
одавст
во ФАР
Коєфіцієнт
підтримки
політичних
реформ
Коєфіцієнт
підтримки
Антидемократ
ичності Old_member Прогульники
Підсумковий
рейтинг
Розенблат Борислав СоломоновичПозафракційні 1 0 1 0.3333333333 0.6666666667 ні 0 2.333333333
Хлань Сергій ВолодимировичБлок Петра Порошенка 0 1 1 0.3333333333 0.6666666667 ні 0 2.333333333
Юрчишин Петро ВасильовичБлок Петра Порошенка 0 1 1 0.3333333333 0.6666666667 ні 0 2.333333333
Яриніч Костянтин ВолодимировичБлок Петра Порошенка 0 1 1 0.3333333333 0.6666666667 ні 0 2.333333333
Вінник Іван ЮлійовичБлок Петра Порошенка 0 0 1 0.3333333333 0.6666666667 ні 1 2.333333333
Чорновол Тетяна МиколаївнаНародний фронт 0 1 0 0.3333333333 0.6666666667 ні 1 2.333333333
Кірш Олександр ВікторовичНародний фронт 0 1 1 0.6666666667 1 ні 0 2.333333333
Константіновський Вячеслав ЛеонідовичПозафракційні 0 0 1 0 0.3333333333 ні 1 2.333333333
Кривохатько Вадим ВікторовичПозафракційні 0 0 1 0 0.3333333333 ні 1 2.333333333
Нестеренко Вадим ГригоровичБлок Петра Порошенка 0 0 1 0 0.3333333333 ні 1 2.333333333
Дунаєв Сергій ВолодимировичПозафракційні 0 1 1 0.2 0.5 так 0 2.3
Білий Олексій ПетровичОпозиційний блок 0 1 1 0.2 0.5 так 0 2.3
Фурсін Іван ГеннадійовичВоля народу 0 0 1 0.2 0.5 так 1 2.3
Шпенов Дмитро ЮрійовичОпозиційний блок 0 0 1 0.2 0.5 так 1 2.3
Богуслаєв Вячеслав ОлександровичВоля народу 0 0 1 0 0.25 так 1 2.25
Льовочкіна Юлія ВолодимирівнаОпозиційний блок 0 0 1 0 0.25 так 1 2.25
Мураєв Євгеній ВолодимировичПозафракційні 0 0 1 0 0.25 так 1 2.25
Ничипоренко Валентин МиколайовичПозафракційні 0 1 1 1 0.25 так 1 2.25
Біловол Олександр МиколайовичВідродження 0 1 1 0.6 0.75 так 0 2.15
Мисик Володимир ЮрійовичВідродження 0 1 1 0.6 0.75 так 0 2.15
Шкіря Ігор МиколайовичВідродження 0 0 1 0.6 0.75 так 1 2.15
Шаповалов Юрій АнатолійовичВідродження 0 1 1 0.6 0.75 так 0 2.15
Воропаєв Юрій МиколайовичОпозиційний блок 0 1 1 0.4 0.5 так 0 2.1
Новинський Вадим ВладиславовичОпозиційний блок 0 0 1 0.4 0.5 так 1 2.1
Омельянович Денис СергійовичОпозиційний блок 0 0 1 0.4 0.5 так 1 2.1
Безбах Яків ЯковичПозафракційні 0 1 1 0.4 0.5 так 0 2.1
full_name factions
Гречкосі
йство
Кнопк
одавст
во ФАР
Коєфіцієнт
підтримки
політичних
реформ
Коєфіцієнт
підтримки
Антидемократ
ичності Old_member Прогульники
Підсумковий
рейтинг
Долженков Олександр ВалерійовичОпозиційний блок 0 1 1 0.4 0.5 так 0 2.1
Негой Федір ФедоровичБлок Петра Порошенка 0 0 1 0.4 0.5 так 1 2.1
Клюєв Сергій ПетровичПозафракційні 0 0 1 0.2 0.25 так 1 2.05
Іоффе Юлій ЯковичПозафракційні 0 1 1 0.2 0.25 так 0 2.05
Котвіцький Ігор ОлександровичНародний фронт 0 1 1 0.6666666667 0.6666666667 ні 0 2
Бакулін Євген МиколайовичПозафракційні 0 0 1 0 0 ні 1 2
Жеваго Костянтин ВалентиновичПозафракційні 0 0 1 0 0 так 1 2
Купрій Віталій МиколайовичПозафракційні 0 0 1 0 0 ні 1 2
Льовочкін Сергій ВолодимировичПозафракційні 0 0 1 0 0 ні 1 2
Онищенко Олександр РомановичПозафракційні 0 0 1 0 0 так 1 2
Усов Костянтин ГлібовичБлок Петра Порошенка 0 0 1 0.6666666667 0.6666666667 ні 1 2
Чепинога Віталій МихайловичБлок Петра Порошенка 0 0 1 0.3333333333 0.3333333333 ні 1 2
Гулак Олександр МиколайовичРадикальна партія Ляшка0 1 1 0 0 ні 0 2
Іщейкін Костянтин ЄвгеновичБлок Петра Порошенка 1 0 1 0.6666666667 0.6666666667 ні 0 2
Березенко Сергій ІвановичБлок Петра Порошенка 1 0 1 0.6666666667 0.6666666667 ні 0 2
Вадатурський Андрій ОлексійовичБлок Петра Порошенка 1 0 1 0.6666666667 0.6666666667 ні 0 2
Вовк Віктор ІвановичРадикальна партія Ляшка0 1 1 0.3333333333 0.3333333333 ні 0 2
Гудзенко Віталій ІвановичБлок Петра Порошенка 1 1 0 0.3333333333 0.3333333333 ні 0 2
Дмитренко Олег МиколайовичБлок Петра Порошенка 0 1 1 0.6666666667 0.6666666667 ні 0 2
Жолобецький Олександр ОлександровичБлок Петра Порошенка 0 1 1 0.6666666667 0.6666666667 ні 0 2
Заставний Роман ЙосиповичНародний фронт 0 1 1 1 1 ні 0 2
Кіт Андрій БогдановичБлок Петра Порошенка 1 1 0 0.6666666667 0.6666666667 ні 0 2
Кириченко Олексій МиколайовичРадикальна партія Ляшка0 1 1 0.3333333333 0.3333333333 ні 0 2
Лівік Олександр ПетровичБлок Петра Порошенка 0 1 1 0.6666666667 0.6666666667 ні 0 2
Лінько Дмитро ВолодимировичРадикальна партія Ляшка0 1 1 0.3333333333 0.3333333333 ні 0 2
Ленський Олексій ОлексійовичРадикальна партія Ляшка0 1 1 0.3333333333 0.3333333333 ні 0 2
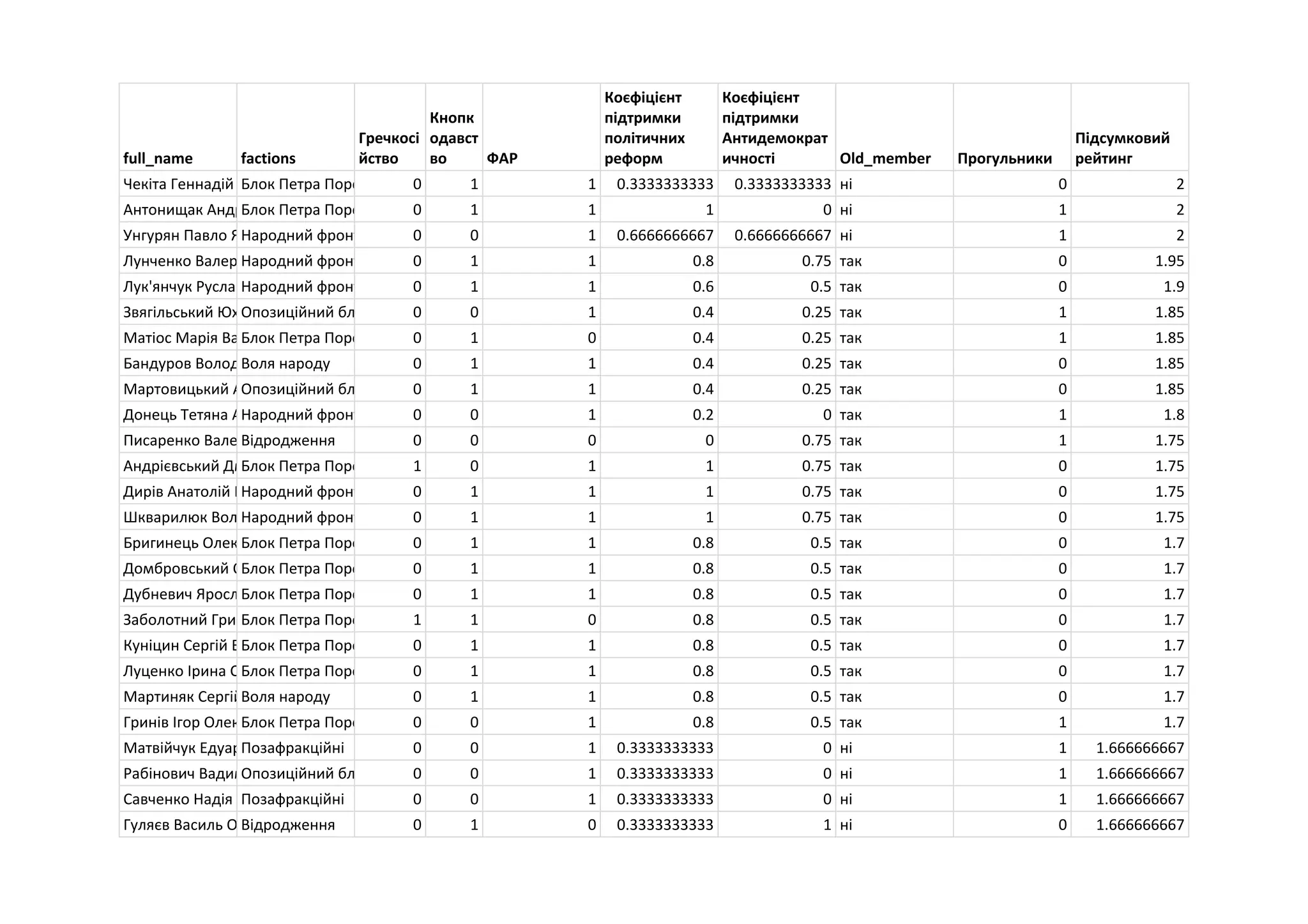
full_name factions
Гречкосі
йство
Кнопк
одавст
во ФАР
Коєфіцієнт
підтримки
політичних
реформ
Коєфіцієнт
підтримки
Антидемократ
ичності Old_member Прогульники
Підсумковий
рейтинг
Чекіта Геннадій ЛеонідовичБлок Петра Порошенка 0 1 1 0.3333333333 0.3333333333 ні 0 2
Антонищак Андрій ФедоровичБлок Петра Порошенка 0 1 1 1 0 ні 1 2
Унгурян Павло ЯкимовичНародний фронт 0 0 1 0.6666666667 0.6666666667 ні 1 2
Лунченко Валерій ВалерійовичНародний фронт 0 1 1 0.8 0.75 так 0 1.95
Лук'янчук Руслан ВалерійовичНародний фронт 0 1 1 0.6 0.5 так 0 1.9
Звягільський Юхим ЛеонідовичОпозиційний блок 0 0 1 0.4 0.25 так 1 1.85
Матіос Марія ВасилівнаБлок Петра Порошенка 0 1 0 0.4 0.25 так 1 1.85
Бандуров Володимир ВолодимировичВоля народу 0 1 1 0.4 0.25 так 0 1.85
Мартовицький Артур ВолодимировичОпозиційний блок 0 1 1 0.4 0.25 так 0 1.85
Донець Тетяна АнатоліївнаНародний фронт 0 0 1 0.2 0 так 1 1.8
Писаренко Валерій ВолодимировичВідродження 0 0 0 0 0.75 так 1 1.75
Андрієвський Дмитро ЙосиповичБлок Петра Порошенка 1 0 1 1 0.75 так 0 1.75
Дирів Анатолій БорисовичНародний фронт 0 1 1 1 0.75 так 0 1.75
Шкварилюк Володимир ВасильовичНародний фронт 0 1 1 1 0.75 так 0 1.75
Бригинець Олександр МихайловичБлок Петра Порошенка 0 1 1 0.8 0.5 так 0 1.7
Домбровський Олександр ГеоргійовичБлок Петра Порошенка 0 1 1 0.8 0.5 так 0 1.7
Дубневич Ярослав ВасильовичБлок Петра Порошенка 0 1 1 0.8 0.5 так 0 1.7
Заболотний Григорій МихайловичБлок Петра Порошенка 1 1 0 0.8 0.5 так 0 1.7
Куніцин Сергій ВолодимировичБлок Петра Порошенка 0 1 1 0.8 0.5 так 0 1.7
Луценко Ірина СтепанівнаБлок Петра Порошенка 0 1 1 0.8 0.5 так 0 1.7
Мартиняк Сергій ВасильовичВоля народу 0 1 1 0.8 0.5 так 0 1.7
Гринів Ігор ОлексійовичБлок Петра Порошенка 0 0 1 0.8 0.5 так 1 1.7
Матвійчук Едуард ЛеонідовичПозафракційні 0 0 1 0.3333333333 0 ні 1 1.666666667
Рабінович Вадим ЗіновійовичОпозиційний блок 0 0 1 0.3333333333 0 ні 1 1.666666667
Савченко Надія ВікторівнаПозафракційні 0 0 1 0.3333333333 0 ні 1 1.666666667
Гуляєв Василь ОлександровичВідродження 0 1 0 0.3333333333 1 ні 0 1.666666667
full_name factions
Гречкосі
йство
Кнопк
одавст
во ФАР
Коєфіцієнт
підтримки
політичних
реформ
Коєфіцієнт
підтримки
Антидемократ
ичності Old_member Прогульники
Підсумковий
рейтинг
Підберезняк Вадим ІвановичНародний фронт 0 1 0 0.3333333333 1 ні 0 1.666666667
Амельченко Василь ВасильовичРадикальна партія Ляшка0 1 0 0.3333333333 0 ні 1 1.666666667
Алєксєєв Сергій ОлеговичБлок Петра Порошенка 0 1 1 1 0.6666666667 ні 0 1.666666667
Бакуменко Олександр БорисовичБлок Петра Порошенка 0 1 1 1 0.6666666667 ні 0 1.666666667
Гончаренко Олексій ОлексійовичБлок Петра Порошенка 1 1 0 1 0.6666666667 ні 0 1.666666667
Денисенко Вадим ІгоровичБлок Петра Порошенка 0 1 1 1 0.6666666667 ні 0 1.666666667
Драюк Сергій ЄвсейовичНародний фронт 0 1 1 1 0.6666666667 ні 0 1.666666667
Король Віктор МиколайовичБлок Петра Порошенка 0 1 1 1 0.6666666667 ні 0 1.666666667
Курило Віталій СеменовичБлок Петра Порошенка 1 1 0 1 0.6666666667 ні 0 1.666666667
Німченко Василь ІвановичОпозиційний блок 0 1 0 0 0.6666666667 ні 0 1.666666667
Романовський Олександр ВолодимировичНародний фронт 0 1 1 1 0.6666666667 ні 0 1.666666667
Шверк Григорій АроновичБлок Петра Порошенка 0 1 1 1 0.6666666667 ні 0 1.666666667
Геращенко Антон ЮрійовичНародний фронт 0 0 1 1 0.6666666667 ні 1 1.666666667
Кобцев Михайло ВалентиновичБлок Петра Порошенка 0 1 0 1 0.6666666667 ні 1 1.666666667
Дубінін Олександр ІвановичПозафракційні 0 0 1 0.6666666667 0.3333333333 ні 1 1.666666667
Корнацький Аркадій ОлексійовичПозафракційні 0 0 1 0.6666666667 0.3333333333 ні 1 1.666666667
Тарута Сергій ОлексійовичПозафракційні 0 0 1 0.6666666667 0.3333333333 ні 1 1.666666667
Ксенжук Олександр СтепановичНародний фронт 0 1 1 0.6666666667 0.3333333333 ні 0 1.666666667
Лопушанський Андрій ЯрославовичБлок Петра Порошенка 0 0 1 0.6666666667 0.3333333333 ні 1 1.666666667
Денисенко Анатолій ПетровичПозафракційні 0 1 1 0.6 0.25 так 0 1.65
Шуфрич Нестор ІвановичОпозиційний блок 0 0 1 0.6 0.25 так 1 1.65
Пономарьов Олександр СергійовичВоля народу 0 1 1 0.6 0.25 так 0 1.65
Дзензерський Денис ВікторовичНародний фронт 0 0 1 0.4 0 так 1 1.6
Хміль Михайло МихайловичНародний фронт 0 1 1 1 0.5 так 0 1.5
Колганова Олена ВалеріївнаНародний фронт 0 1 0 1 0.5 так 1 1.5
Шевченко Олександр ЛеонідовичПозафракційні 1 0 1 0.8 0.25 так 0 1.45
full_name factions
Гречкосі
йство
Кнопк
одавст
во ФАР
Коєфіцієнт
підтримки
політичних
реформ
Коєфіцієнт
підтримки
Антидемократ
ичності Old_member Прогульники
Підсумковий
рейтинг
Ільюк Артем ОлександровичВідродження 0 1 0 0.6 1 так 0 1.4
Дубіль Валерій ОлександровичБатьківщина 0 0 1 0.6 0 так 1 1.4
Бахтеєва Тетяна ДмитрівнаОпозиційний блок 0 0 1 0.4 0.75 так 0 1.35
Логвинський Георгій ВолодимировичНародний фронт 0 0 1 0.3333333333 0.6666666667 ні 0 1.333333333
Білоцерковець Дмитро ОлександровичБлок Петра Порошенка 0 0 1 0.3333333333 0.6666666667 ні 0 1.333333333
Барна Олег СтепановичБлок Петра Порошенка 0 1 0 0.3333333333 0.6666666667 ні 0 1.333333333
Дзюблик Павло ВолодимировичНародний фронт 1 0 0 0.3333333333 0.6666666667 ні 0 1.333333333
Папієв Михайло МиколайовичОпозиційний блок 0 0 1 0.3333333333 0.6666666667 ні 0 1.333333333
Рибчинський Євген ЮрійовичВоля народу 0 0 1 0.3333333333 0.6666666667 ні 0 1.333333333
Рудик Сергій ЯрославовичБлок Петра Порошенка 1 0 0 0.3333333333 0.6666666667 ні 0 1.333333333
Сажко Сергій МиколайовичОпозиційний блок 1 0 0 0.3333333333 0.6666666667 ні 0 1.333333333
Сочка Олександр ОлександровичНародний фронт 0 1 0 0.3333333333 0.6666666667 ні 0 1.333333333
Єдаков Ярослав ЮрійовичНародний фронт 0 1 0 0.6666666667 1 ні 0 1.333333333
Бойко Олена ПетрівнаНародний фронт 0 1 0 0.6666666667 1 ні 0 1.333333333
Велікін Олег МарковичБлок Петра Порошенка 0 1 0 0.6666666667 1 ні 0 1.333333333
Козир Борис ЮрійовичБлок Петра Порошенка 0 1 0 0.6666666667 1 ні 0 1.333333333
Масоріна Олена СергіївнаНародний фронт 0 1 0 0.6666666667 1 ні 0 1.333333333
Шевченко Віктор ЛеонідовичПозафракційні 0 1 1 0.6666666667 0 ні 0 1.333333333
Шинькович Андрій ВасильовичБлок Петра Порошенка 0 1 0 0.6666666667 1 ні 0 1.333333333
Купрієнко Олег ВасильовичРадикальна партія Ляшка0 1 0 0 0.3333333333 ні 0 1.333333333
Чижмарь Юрій ВасильовичРадикальна партія Ляшка0 0 1 0 0.3333333333 ні 0 1.333333333
Козак Тарас РомановичОпозиційний блок 0 0 0 0 0.3333333333 ні 1 1.333333333
Поплавський Михайло МихайловичВоля народу 0 0 1 0.2 0.5 так 0 1.3
Немиря Григорій МихайловичБатьківщина 0 0 1 0.8 0 так 1 1.2
Фельдман Олександр БорисовичВоля народу 0 0 1 0.6 0.75 так 0 1.15
Ковальчук Наталія ВолодимирівнаБлок Петра Порошенка 0 0 0 0.4 0.5 так 1 1.1
full_name factions
Гречкосі
йство
Кнопк
одавст
во ФАР
Коєфіцієнт
підтримки
політичних
реформ
Коєфіцієнт
підтримки
Антидемократ
ичності Old_member Прогульники
Підсумковий
рейтинг
Богомолець Ольга ВадимівнаБлок Петра Порошенка 0 0 1 0.6666666667 0.6666666667 ні 0 1
Грановський Олександр МихайловичБлок Петра Порошенка 0 0 1 0.6666666667 0.6666666667 ні 0 1
Скорик Микола ЛеонідовичОпозиційний блок 0 0 1 0.3333333333 0.3333333333 ні 0 1
Супруненко Олександр ІвановичВоля народу 0 0 1 0.6666666667 0.6666666667 ні 0 1
Богдан Руслан ДмитровичБатьківщина 0 0 1 1 0 ні 1 1
Кацер-Бучковська Наталія ВолодимирівнаНародний фронт 0 0 0 0.6666666667 0.6666666667 ні 1 1
Левус Андрій Мар'яновичНародний фронт 0 0 0 0.6666666667 0.6666666667 ні 1 1
Сабашук Петро ПавловичБлок Петра Порошенка 0 0 0 0.6666666667 0.6666666667 ні 1 1
Сисоєнко Ірина ВолодимирівнаСамопоміч 0 0 1 1 0 ні 1 1
Ярош Дмитро АнатолійовичПозафракційні 0 0 0 0 0 ні 1 1
Савка Іван ІвановичНародний фронт 0 1 0 0 0 ні 0 1
Арешонков Володимир ЮрійовичБлок Петра Порошенка 1 0 0 0.6666666667 0.6666666667 ні 0 1
Бендюженко Федір ВолодимировичНародний фронт 0 1 0 0.6666666667 0.6666666667 ні 0 1
Буглак Юрій ОлександровичБлок Петра Порошенка 0 1 0 0.3333333333 0.3333333333 ні 0 1
Гаврилюк Михайло ВіталійовичНародний фронт 1 0 0 0.6666666667 0.6666666667 ні 0 1
Галасюк Віктор ВалерійовичРадикальна партія Ляшка0 0 1 0.3333333333 0.3333333333 ні 0 1
Герасимов Артур ВолодимировичБлок Петра Порошенка 0 0 1 0.6666666667 0.6666666667 ні 0 1
Дідич Валентин ВолодимировичПозафракційні 0 1 0 0.3333333333 0.3333333333 ні 0 1
Данілін Владислав ЮрійовичНародний фронт 0 1 0 0.6666666667 0.6666666667 ні 0 1
Демчак Руслан ЄвгенійовичБлок Петра Порошенка 0 0 1 0.6666666667 0.6666666667 ні 0 1
Довбенко Михайло ВолодимировичБлок Петра Порошенка 0 1 0 0.6666666667 0.6666666667 ні 0 1
Козаченко Леонід ПетровичБлок Петра Порошенка 0 1 0 0.6666666667 0.6666666667 ні 0 1
Кремінь Тарас ДмитровичНародний фронт 0 1 0 1 1 ні 0 1
Курячий Максим ПавловичБлок Петра Порошенка 0 1 0 0.6666666667 0.6666666667 ні 0 1
Ларін Сергій МиколайовичОпозиційний блок 0 0 1 0 0 ні 0 1
Люшняк Микола ВолодимировичБлок Петра Порошенка 0 0 1 0.6666666667 0.6666666667 ні 0 1
full_name factions
Гречкосі
йство
Кнопк
одавст
во ФАР
Коєфіцієнт
підтримки
політичних
реформ
Коєфіцієнт
підтримки
Антидемократ
ичності Old_member Прогульники
Підсумковий
рейтинг
Матвієнко Анатолій СергійовичБлок Петра Порошенка 0 0 1 0.6666666667 0.6666666667 ні 0 1
Матейченко Костянтин ВолодимировичНародний фронт 0 0 1 0.6666666667 0.6666666667 ні 0 1
Мепарішвілі Хвича НодаровичНародний фронт 0 1 0 0.6666666667 0.6666666667 ні 0 1
Мороко Юрій МиколайовичОпозиційний блок 0 1 0 0.3333333333 0.3333333333 ні 0 1
Мусій Олег СтепановичПозафракційні 0 1 1 1 0 ні 0 1
Немировський Андрій ВалентиновичБлок Петра Порошенка 0 1 0 0.6666666667 0.6666666667 ні 0 1
Ревега Олександр ВасильовичБлок Петра Порошенка 1 0 0 0.6666666667 0.6666666667 ні 0 1
Река Андрій ОлександровичНародний фронт 0 1 0 0.6666666667 0.6666666667 ні 0 1
Ричкова Тетяна БорисівнаБлок Петра Порошенка 0 1 0 0.3333333333 0.3333333333 ні 0 1
Саврасов Максим ВіталійовичБлок Петра Порошенка 0 1 0 0.6666666667 0.6666666667 ні 0 1
Сидорчук Вадим ВасильовичНародний фронт 0 0 1 0.6666666667 0.6666666667 ні 0 1
Силантьєв Денис ОлеговичРадикальна партія Ляшка0 1 0 0.3333333333 0.3333333333 ні 0 1
Стеценко Дмитро ОлександровичНародний фронт 0 1 0 1 1 ні 0 1
Сюмар Вікторія ПетрівнаНародний фронт 0 0 1 0.6666666667 0.6666666667 ні 0 1
Фролов Микола ОлександровичБлок Петра Порошенка 0 0 1 0.6666666667 0.6666666667 ні 0 1
Южаніна Ніна ПетрівнаБлок Петра Порошенка 0 0 1 0.6666666667 0.6666666667 ні 0 1
Кісельов Андрій МиколайовичОпозиційний блок 0 0 0 0.3333333333 0.3333333333 ні 1 1
Ткачук Геннадій ВіталійовичБлок Петра Порошенка 0 0 1 0.8 0.75 так 0 0.95
Петьовка Василь ВасильовичВоля народу 0 0 1 0.6 0.5 так 0 0.9
Джемілєв МустафаБлок Петра Порошенка 0 0 0 0.4 0.25 так 1 0.85
Мірошниченко Юрій РомановичОпозиційний блок 0 0 1 0.2 0 так 0 0.8
Іщенко Валерій ОлександровичБлок Петра Порошенка 0 0 1 1 0.75 так 0 0.75
Вознюк Юрій ВолодимировичНародний фронт 0 0 1 1 0.75 так 0 0.75
Палатний Артур ЛеонідовичБлок Петра Порошенка 0 0 1 1 0.75 так 0 0.75
Васюник Ігор ВасильовичНародний фронт 0 0 1 0.8 0.5 так 0 0.7
Ледовських Олена ВолодимирівнаНародний фронт 0 1 0 0.8 0.5 так 0 0.7
full_name factions
Гречкосі
йство
Кнопк
одавст
во ФАР
Коєфіцієнт
підтримки
політичних
реформ
Коєфіцієнт
підтримки
Антидемократ
ичності Old_member Прогульники
Підсумковий
рейтинг
Павелко Андрій ВасильовичБлок Петра Порошенка 0 0 1 0.8 0.5 так 0 0.7
Луценко Ігор ВікторовичБатьківщина 0 0 1 0.3333333333 0 ні 0 0.6666666667
Тимошенко Юлія ВолодимирівнаБатьківщина 0 0 1 0.3333333333 0 ні 0 0.6666666667
Зварич Роман МихайловичБлок Петра Порошенка 0 0 0 0.3333333333 0 ні 1 0.6666666667
Білецький Андрій ЄвгенійовичПозафракційні 0 0 0 0.3333333333 0 ні 1 0.6666666667
Журжій Андрій ВалерійовичСамопоміч 0 0 0 0.3333333333 0 ні 1 0.6666666667
Побочіх Михайло ОлександровичНародний фронт 0 1 0 0.3333333333 0 ні 0 0.6666666667
Бойко Юрій АнатолійовичПозафракційні 0 0 1 0.3333333333 0 ні 0 0.6666666667
Констанкевич Ірина МирославівнаПозафракційні 0 0 1 0.3333333333 0 ні 0 0.6666666667
Кошелєва Альона ВолодимирівнаРадикальна партія Ляшка0 1 0 0.3333333333 0 ні 0 0.6666666667
Пинзеник Павло ВасильовичНародний фронт 0 0 0 0.3333333333 1 ні 0 0.6666666667
Бабій Юрій ЮрійовичНародний фронт 0 1 0 1 0.6666666667 ні 0 0.6666666667
Береза Юрій МиколайовичНародний фронт 0 0 1 1 0.6666666667 ні 0 0.6666666667
Бурбак Максим ЮрійовичНародний фронт 0 0 1 1 0.6666666667 ні 0 0.6666666667
Кривенко Вадим ВалерійовичНародний фронт 0 1 0 1 0.6666666667 ні 0 0.6666666667
Кудлаєнко Сергій ВолодимировичБлок Петра Порошенка 0 1 0 1 0.6666666667 ні 0 0.6666666667
Куліченко Іван ІвановичБлок Петра Порошенка 0 0 1 1 0.6666666667 ні 0 0.6666666667
Лаврик Микола ІвановичБлок Петра Порошенка 0 0 1 1 0.6666666667 ні 0 0.6666666667
Матузко Олена ОлександрівнаБлок Петра Порошенка 0 1 0 1 0.6666666667 ні 0 0.6666666667
Мацола Роман МиколайовичБлок Петра Порошенка 1 0 0 1 0.6666666667 ні 0 0.6666666667
Мельник Сергій ІвановичБлок Петра Порошенка 0 1 0 1 0.6666666667 ні 0 0.6666666667
Мельничук Іван ІвановичБлок Петра Порошенка 0 1 0 1 0.6666666667 ні 0 0.6666666667
Онуфрик Богдан СеменовичБлок Петра Порошенка 0 0 1 1 0.6666666667 ні 0 0.6666666667
Рибак Іван ПетровичБлок Петра Порошенка 0 0 1 1 0.6666666667 ні 0 0.6666666667
Севрюков Владислав ВолодимировичБлок Петра Порошенка 0 0 1 1 0.6666666667 ні 0 0.6666666667
Співаковський Олександр ВолодимировичБлок Петра Порошенка 0 1 0 1 0.6666666667 ні 0 0.6666666667
full_name factions
Гречкосі
йство
Кнопк
одавст
во ФАР
Коєфіцієнт
підтримки
політичних
реформ
Коєфіцієнт
підтримки
Антидемократ
ичності Old_member Прогульники
Підсумковий
рейтинг
Спориш Іван ДмитровичБлок Петра Порошенка 0 1 0 1 0.6666666667 ні 0 0.6666666667
Суслова Ірина МиколаївнаБлок Петра Порошенка 0 0 1 1 0.6666666667 ні 0 0.6666666667
Юрик Тарас ЗіновійовичБлок Петра Порошенка 0 1 0 1 0.6666666667 ні 0 0.6666666667
Яніцький Василь ПетровичБлок Петра Порошенка 1 0 0 1 0.6666666667 ні 0 0.6666666667
Брензович Василь ІвановичБлок Петра Порошенка 0 0 0 0.6666666667 0.3333333333 ні 1 0.6666666666
Єленський Віктор ЄвгеновичНародний фронт 0 1 0 0.6666666667 0.3333333333 ні 0 0.6666666666
Батенко Тарас ІвановичПозафракційні 0 1 0 0.6666666667 0.3333333333 ні 0 0.6666666666
Ківалов Сергій ВасильовичОпозиційний блок 0 0 1 0.6 0.25 так 0 0.65
Литвин Володимир МихайловичПозафракційні 0 0 1 0.6 0.25 так 0 0.65
Власенко Сергій ВолодимировичБатьківщина 0 0 1 0.4 0 так 0 0.6
Паламарчук Микола ПетровичБлок Петра Порошенка 0 1 0 1 0.5 так 0 0.5
Побер Ігор МиколайовичБлок Петра Порошенка 0 1 0 1 0.5 так 0 0.5
Романюк Роман СергійовичБлок Петра Порошенка 0 1 0 1 0.5 так 0 0.5
Федорук Микола ТрохимовичНародний фронт 0 1 0 1 0.5 так 0 0.5
Бублик Юрій ВасильовичПозафракційні 0 0 1 0.8 0.25 так 0 0.45
Міщенко Сергій ГригоровичПозафракційні 0 0 1 0.8 0.25 так 0 0.45
Савчук Юрій ПетровичНародний фронт 0 0 0 0.8 0.25 так 1 0.45
Медуниця Олег ВячеславовичНародний фронт 0 1 0 0.8 0.25 так 0 0.45
Пинзеник Віктор МихайловичБлок Петра Порошенка 0 0 1 0.8 0.25 так 0 0.45
Балога Павло ІвановичПозафракційні 0 0 1 0.6 0 так 0 0.4
Балога Віктор ІвановичПозафракційні 0 0 1 0.6 0 так 0 0.4
Євлахов Анатолій СергійовичБлок Петра Порошенка 0 0 0 0.3333333333 0.6666666667 ні 0 0.3333333334
Шурма Ігор МихайловичОпозиційний блок 0 0 0 0.3333333333 0.6666666667 ні 0 0.3333333334
Парасюк Володимир ЗіновійовичПозафракційні 0 0 1 0.6666666667 0 ні 0 0.3333333333
Семенченко Семен ІгоровичСамопоміч 0 0 0 0.6666666667 0 ні 1 0.3333333333
Найєм Мустафа-МасіПозафракційні 0 0 0 0.6666666667 0 ні 1 0.3333333333
full_name factions
Гречкосі
йство
Кнопк
одавст
во ФАР
Коєфіцієнт
підтримки
політичних
реформ
Коєфіцієнт
підтримки
Антидемократ
ичності Old_member Прогульники
Підсумковий
рейтинг
Гузь Ігор ВолодимировичНародний фронт 0 0 1 1 0.3333333333 ні 0 0.3333333333
Кодола Олександр МихайловичНародний фронт 1 0 0 1 0.3333333333 ні 0 0.3333333333
Бєлькова Ольга ВалентинівнаБлок Петра Порошенка 0 0 0 0.4 0.5 так 0 0.1
Абдуллін Олександр РафкатовичБатьківщина 0 0 1 1 0 так 0 0
Береза Борислав ЮхимовичПозафракційні 0 0 1 1 0 ні 0 0
Попов Ігор ВолодимировичРадикальна партія Ляшка0 0 0 0.3333333333 0.3333333333 ні 0 0
Кожем'якін Андрій АнатолійовичБатьківщина 0 0 0 1 0 так 1 0
Кондратюк Олена КостянтинівнаБатьківщина 0 0 0 1 0 так 1 0
Заружко Валерія ЛеонідівнаРадикальна партія Ляшка0 0 0 0 0 ні 0 0
Бабак Альона ВалеріївнаСамопоміч 0 0 1 1 0 ні 0 0
Березюк Олег РомановичСамопоміч 0 0 1 1 0 ні 0 0
Голуб Владислав ВолодимировичПозафракційні 1 0 0 1 0 ні 0 0
Гусак Володимир ГеоргійовичОпозиційний блок 0 0 0 0.3333333333 0.3333333333 ні 0 0
Діденко Ігор АнатолійовичСамопоміч 0 0 1 1 0 ні 0 0
Добродомов Дмитро ЄвгеновичПозафракційні 0 0 1 1 0 ні 0 0
Кириленко Іван ГригоровичБатьківщина 0 0 1 1 0 так 0 0
Корчик Віталій АндрійовичНародний фронт 0 0 0 1 1 ні 0 0
Кривенко Віктор МиколайовичПозафракційні 0 0 1 1 0 ні 0 0
Крулько Іван ІвановичБатьківщина 0 0 1 1 0 ні 0 0
Лапін Ігор ОлександровичНародний фронт 0 0 0 0.6666666667 0.6666666667 ні 0 0
Мірошніченко Іван ВолодимировичСамопоміч 0 0 1 1 0 ні 0 0
Мамчур Юлій ВалерійовичБлок Петра Порошенка 0 0 0 0.6666666667 0.6666666667 ні 0 0
Маркевич Ярослав ВолодимировичСамопоміч 0 0 1 1 0 ні 0 0
Матківський Богдан МироновичПозафракційні 0 1 0 1 0 ні 0 0
Мушак Олексій ПетровичБлок Петра Порошенка 0 0 0 0.6666666667 0.6666666667 ні 0 0
Соловей Юрій ІгоровичБлок Петра Порошенка 0 0 0 0.6666666667 0.6666666667 ні 0 0
full_name factions
Гречкосі
йство
Кнопк
одавст
во ФАР
Коєфіцієнт
підтримки
політичних
реформ
Коєфіцієнт
підтримки
Антидемократ
ичності Old_member Прогульники
Підсумковий
рейтинг
Сугоняко Олександр ЛеонідовичБлок Петра Порошенка 0 0 0 0.6666666667 0.6666666667 ні 0 0
Тетерук Андрій АнатолійовичНародний фронт 0 0 0 0.6666666667 0.6666666667 ні 0 0
Тимошенко Юрій ВолодимировичПозафракційні 0 0 0 0.6666666667 0.6666666667 ні 0 0
Княжицький Микола ЛеонідовичНародний фронт 0 0 0 0.8 0.75 так 0 -0.05
Каплін Сергій МиколайовичПозафракційні 0 0 0 0.6 0.5 так 0 -0.1
Карпунцов Валерій ВіталійовичБлок Петра Порошенка 0 0 0 0.6 0.5 так 0 -0.1
Развадовський Віктор ЙосиповичВідродження 0 0 0 0.6 0.5 так 0 -0.1
Князевич Руслан ПетровичБлок Петра Порошенка 0 0 0 0.8 0.5 так 0 -0.3
Одарченко Юрій ВіталійовичБатьківщина 0 0 1 1.333333333 0 ні 0 -0.333333333
Балога Іван ІвановичПозафракційні 0 0 0 0.3333333333 0 ні 0 -0.3333333333
Сотник Олена СергіївнаСамопоміч 0 0 0 0.3333333333 0 ні 0 -0.3333333333
Шухевич Юрій-Богдан РомановичРадикальна партія Ляшка0 0 0 0.3333333333 0 ні 0 -0.3333333333
Івченко Вадим ЄвгеновичБатьківщина 0 0 0 0.3333333333 0 ні 0 -0.3333333333
Павленко Юрій ОлексійовичОпозиційний блок 0 0 0 0.3333333333 0 ні 0 -0.3333333333
Висоцький Сергій ВіталійовичНародний фронт 0 0 0 1 0.6666666667 ні 0 -0.3333333333
Алексєєв Ігор СергійовичНародний фронт 0 0 0 1 0.6666666667 ні 0 -0.3333333333
Артюшенко Ігор АндрійовичБлок Петра Порошенка 0 0 0 1 0.6666666667 ні 0 -0.3333333333
Бондар Михайло ЛеонтійовичНародний фронт 0 0 0 1 0.6666666667 ні 0 -0.3333333333
Величкович Микола РомановичНародний фронт 0 0 0 1 0.6666666667 ні 0 -0.3333333333
Кадикало Микола ОлеговичНародний фронт 0 0 0 1 0.6666666667 ні 0 -0.3333333333
Кривошея Геннадій ГригоровичНародний фронт 0 0 0 1 0.6666666667 ні 0 -0.3333333333
Парубій Андрій ВолодимировичПозафракційні 0 0 0 1 0.6666666667 ні 0 -0.3333333333
Порошенко Олексій ПетровичБлок Петра Порошенка 0 0 0 1 0.6666666667 ні 0 -0.3333333333
Соляр Володимир МироновичНародний фронт 0 0 0 1 0.6666666667 ні 0 -0.3333333333
Сташук Віталій ФилимоновичНародний фронт 0 0 0 1 0.6666666667 ні 0 -0.3333333333
Тіміш Григорій ІвановичБлок Петра Порошенка 0 0 0 1 0.6666666667 ні 0 -0.3333333333
full_name factions
Гречкосі
йство
Кнопк
одавст
во ФАР
Коєфіцієнт
підтримки
політичних
реформ
Коєфіцієнт
підтримки
Антидемократ
ичності Old_member Прогульники
Підсумковий
рейтинг
Тимчук Дмитро БорисовичНародний фронт 0 0 0 1 0.6666666667 ні 0 -0.3333333333
Червакова Ольга ВалеріївнаБлок Петра Порошенка 0 0 0 1 0.6666666667 ні 0 -0.3333333333
Черненко Олександр МиколайовичБлок Петра Порошенка 0 0 0 1 0.6666666667 ні 0 -0.3333333333
Білозір Оксана ВолодимирівнаБлок Петра Порошенка 0 0 0 0.6666666667 0.3333333333 ні 0 -0.3333333334
Чубаров Рефат АбдурахмановичБлок Петра Порошенка 0 0 0 0.6666666667 0.3333333333 ні 0 -0.3333333334
Куренной Володимир КостянтиновичБлок Петра Порошенка 0 0 0 0.4 0 так 0 -0.4
Іонова Марія МиколаївнаБлок Петра Порошенка 0 0 0 1 0.5 так 0 -0.5
Геращенко Ірина ВолодимирівнаПозафракційні 0 0 0 1 0.5 так 0 -0.5
Різаненко Павло ОлександровичБлок Петра Порошенка 0 0 0 1 0.5 так 0 -0.5
Ар'єв Володимир ІгоровичБлок Петра Порошенка 0 0 0 0.8 0.25 так 0 -0.55
Продан Оксана ПетрівнаБлок Петра Порошенка 0 0 0 0.8 0.25 так 0 -0.55
Бухарєв Владислав ВікторовичБатьківщина 0 0 0 0.6666666667 0 ні 0 -0.6666666667
Кіраль Сергій ІвановичСамопоміч 0 0 0 0.6666666667 0 ні 0 -0.6666666667
Корчинська Оксана АнатоліївнаРадикальна партія Ляшка0 0 0 0.6666666667 0 ні 0 -0.6666666667
Левченко Юрій ВолодимировичПозафракційні 0 0 0 0.6666666667 0 ні 0 -0.6666666667
Євтушок Сергій МиколайовичБатьківщина 0 0 0 0.6666666667 0 ні 0 -0.6666666667
Войціцька Вікторія МихайлівнаСамопоміч 0 0 0 0.6666666667 0 ні 0 -0.6666666667
Гопко Ганна МиколаївнаПозафракційні 0 0 0 0.6666666667 0 ні 0 -0.6666666667
Костенко Павло ПетровичСамопоміч 0 0 0 0.6666666667 0 ні 0 -0.6666666667
Марченко Олександр ОлександровичПозафракційні 0 0 0 0.6666666667 0 ні 0 -0.6666666667
Пастух Тарас ТимофійовичСамопоміч 0 0 0 0.6666666667 0 ні 0 -0.6666666667
Петренко Олег МиколайовичПозафракційні 0 0 0 1 0.3333333333 ні 0 -0.6666666667
Войцеховська Світлана МихайлівнаНародний фронт 0 0 0 1 0.3333333333 ні 0 -0.6666666667
Дроздик Олександр ВалерійовичНародний фронт 0 0 0 1 0.3333333333 ні 0 -0.6666666667
Македон Юрій МиколайовичБлок Петра Порошенка 0 0 0 1 0.3333333333 ні 0 -0.6666666667
Помазанов Андрій ВіталійовичНародний фронт 0 0 0 1 0.3333333333 ні 0 -0.6666666667
full_name factions
Гречкосі
йство
Кнопк
одавст
во ФАР
Коєфіцієнт
підтримки
політичних
реформ
Коєфіцієнт
підтримки
Антидемократ
ичності Old_member Прогульники
Підсумковий
рейтинг
Романюк Віктор МиколайовичНародний фронт 0 0 0 1 0.3333333333 ні 0 -0.6666666667
Ємець Леонід ОлександровичНародний фронт 0 0 0 1 0.25 так 0 -0.75
Іллєнко Андрій ЮрійовичПозафракційні 0 0 0 0.8 0 так 0 -0.8
Головко Михайло ЙосифовичПозафракційні 0 0 0 0.8 0 так 0 -0.8
Дерев'янко Юрій БогдановичПозафракційні 0 0 0 0.8 0 так 0 -0.8
Кужель Олександра ВолодимирівнаБатьківщина 0 0 0 0.8 0 так 0 -0.8
Осуховський Олег ІвановичПозафракційні 0 0 0 0.8 0 так 0 -0.8
Тарасюк Борис ІвановичБатьківщина 0 0 0 0.8 0 так 0 -0.8
Соболєв Сергій ВладиславовичБатьківщина 0 0 0 1 0 так 0 -1
Шкрум Альона ІванівнаБатьківщина 0 0 0 1 0 ні 0 -1
Підлісецький Лев ТеофіловичСамопоміч 0 0 0 1 0 ні 0 -1
Єднак Остап ВолодимировичПозафракційні 0 0 0 1 0 ні 0 -1
Веселова Наталія ВасилівнаПозафракційні 0 0 0 1 0 ні 0 -1
Данченко Олександр ІвановичСамопоміч 0 0 0 1 0 ні 0 -1
Заліщук Світлана ПетрівнаПозафракційні 0 0 0 1 0 ні 0 -1
Зубач Любомир ЛьвовичСамопоміч 0 0 0 1 0 ні 0 -1
Кишкар Павло МиколайовичПозафракційні 0 0 0 1 0 ні 0 -1
Лаврик Олег ВасильовичСамопоміч 0 0 0 1 0 ні 0 -1
Лещенко Сергій АнатолійовичПозафракційні 0 0 0 1 0 ні 0 -1
Новак Наталія ВасилівнаБлок Петра Порошенка 0 0 0 1 0 так 0 -1
Опанасенко Олександр ВалерійовичСамопоміч 0 0 0 1 0 ні 0 -1
Острікова Тетяна ГеоргіївнаСамопоміч 0 0 0 1 0 ні 0 -1
Подоляк Ірина ІгорівнаСамопоміч 0 0 0 1 0 ні 0 -1
Пташник Вікторія ЮріївнаПозафракційні 0 0 0 1 0 ні 0 -1
Романова Анна АнатоліївнаСамопоміч 0 0 0 1 0 ні 0 -1
Рябчин Олексій МихайловичБатьківщина 0 0 0 1 0 ні 0 -1
full_name factions
Гречкосі
йство
Кнопк
одавст
во ФАР
Коєфіцієнт
підтримки
політичних
реформ
Коєфіцієнт
підтримки
Антидемократ
ичності Old_member Прогульники
Підсумковий
рейтинг
Семенуха Роман СергійовичСамопоміч 0 0 0 1 0 ні 0 -1
Сидорович Руслан МихайловичСамопоміч 0 0 0 1 0 ні 0 -1
Сироїд Оксана ІванівнаПозафракційні 0 0 0 1 0 ні 0 -1
Скрипник Олексій ОлексійовичСамопоміч 0 0 0 1 0 ні 0 -1
Соболєв Єгор ВікторовичСамопоміч 0 0 0 1 0 ні 0 -1
Чумак Віктор ВасильовичПозафракційні 0 0 0 1 0 так 0 -1
Юринець Оксана ВасилівнаБлок Петра Порошенка 0 0 0 1 0 ні 0 -1

Chesno ratings

  • 1.
    full_name factions Гречкосі йство Кнопк одавст во ФАР Коєфіцієнт підтримки політичних реформ Коєфіцієнт підтримки Антидемократ ичностіOld_member Прогульники Підсумковий рейтинг Єфімов Максим ВікторовичБлок Петра Порошенка 1 1 1 0.3333333333 0.6666666667 ні 1 4.333333333 Третьяков Олександр ЮрійовичБлок Петра Порошенка 1 1 1 0.3333333333 0.6666666667 ні 1 4.333333333 Москаленко Ярослав МиколайовичВоля народу 1 1 1 0.6 0.75 так 1 4.15 Яценко Антон ВолодимировичВідродження 1 1 1 0.6 0.75 так 1 4.15 Довгий Олесь СтаніславовичВоля народу 1 1 1 0.3333333333 0.3333333333 ні 1 4 Недава Олег АнатолійовичБлок Петра Порошенка 1 1 1 0.6666666667 0.6666666667 ні 1 4 Гіршфельд Анатолій МусійовичВоля народу 1 1 1 0.6 0.5 так 1 3.9 Кіссе Антон ІвановичВідродження 1 1 1 0.2 1 так 0 3.8 Нечаєв Олександр ІгоревичОпозиційний блок 0 1 1 0 0.75 так 1 3.75 Зубик Володимир ВолодимировичВідродження 0 1 1 0 0.75 так 1 3.75 Іванчук Андрій ВолодимировичНародний фронт 1 1 1 0.8 0.5 так 1 3.7 Лубінець Дмитро ВалерійовичБлок Петра Порошенка 1 1 1 0.3333333333 1 ні 0 3.666666667 Пресман Олександр СеменовичВідродження 1 1 1 0.6 0.25 так 1 3.65 Святаш Дмитро ВолодимировичВідродження 0 1 1 0.4 1 так 1 3.6 Бобов Геннадій БорисовичВідродження 0 1 1 0 0.5 так 1 3.5 Шенцев Дмитро ОлексійовичОпозиційний блок 1 0 1 0 0.5 так 1 3.5 Кулініч Олег ІвановичВідродження 1 1 1 0.6 1 так 0 3.4 Бондар Віктор ВасильовичВідродження 0 1 1 0.6 1 так 1 3.4 Барвіненко Віталій ДмитровичВідродження 0 1 1 0.4 0.75 так 1 3.35 Павлов Костянтин ЮрійовичОпозиційний блок 1 1 0 0.4 0.75 так 1 3.35 Загорій Гліб ВолодимировичБлок Петра Порошенка 0 1 1 0.3333333333 0.6666666667 ні 1 3.333333333 Добкін Михайло МарковичОпозиційний блок 0 1 1 0 0.3333333333 ні 1 3.333333333 Лозовой Андрій СергійовичРадикальна партія Ляшка0 1 1 0 0.3333333333 ні 1 3.333333333 Мосійчук Ігор ВолодимировичРадикальна партія Ляшка0 1 1 0 0.3333333333 ні 1 3.333333333 Горбунов Олександр ВолодимировичНародний фронт 1 1 1 0.6666666667 1 ні 0 3.333333333 Рибалка Сергій ВікторовичРадикальна партія Ляшка1 1 1 0 0.3333333333 ні 0 3.333333333
  • 2.
    full_name factions Гречкосі йство Кнопк одавст во ФАР Коєфіцієнт підтримки політичних реформ Коєфіцієнт підтримки Антидемократ ичностіOld_member Прогульники Підсумковий рейтинг Королевська Наталія ЮріївнаОпозиційний блок 1 0 1 0 0.3333333333 ні 1 3.333333333 Матвієнков Сергій АнатолійовичОпозиційний блок 1 1 1 0.2 0.5 так 0 3.3 Ланьо Михайло ІвановичВідродження 0 1 1 0.6 0.75 так 1 3.15 Молоток Ігор ФедоровичВоля народу 1 1 1 0.6 0.75 так 0 3.15 Клімов Леонід МихайловичВідродження 0 1 1 0.6 0.75 так 1 3.15 Фаєрмарк Сергій ОлександровичНародний фронт 0 1 1 0.6 0.75 так 1 3.15 Хомутиннік Віталій ЮрійовичВідродження 0 1 1 0.6 0.75 так 1 3.15 Кришин Олег ЮрійовичНародний фронт 0 1 1 1 1 ні 1 3 Солод Юрій ВасильовичОпозиційний блок 1 0 1 0.3333333333 0.3333333333 ні 1 3 Горват Роберт ІвановичБлок Петра Порошенка 1 1 1 0.6666666667 0.6666666667 ні 0 3 Давиденко Валерій МиколайовичБлок Петра Порошенка 1 1 1 0.6666666667 0.6666666667 ні 0 3 Дехтярчук Олександр ВолодимировичБлок Петра Порошенка 1 1 1 0.6666666667 0.6666666667 ні 0 3 Кононенко Ігор ВіталійовичБлок Петра Порошенка 1 1 1 0.6666666667 0.6666666667 ні 0 3 Макар'ян Давид БорисовичБлок Петра Порошенка 0 1 1 0.6666666667 0.6666666667 ні 1 3 Микитась Максим ВікторовичВоля народу 1 0 1 0.3333333333 0.3333333333 ні 1 3 Присяжнюк Олександр АнатолійовичНародний фронт 0 1 1 1 1 ні 1 3 Скуратовський Сергій ІвановичРадикальна партія Ляшка0 1 1 0.3333333333 0.3333333333 ні 1 3 Урбанський Олександр ІгоровичБлок Петра Порошенка 0 1 1 0.6666666667 0.6666666667 ні 1 3 Шахов Сергій ВолодимировичВоля народу 0 1 1 0.3333333333 0.3333333333 ні 1 3 Березкін Станіслав СеменовичВідродження 0 1 1 0.6 0.5 так 1 2.9 Івахів Степан ПетровичВоля народу 0 1 1 0.6 0.5 так 1 2.9 Лабазюк Сергій ПетровичВоля народу 1 0 1 0.6 0.5 так 1 2.9 Остапчук Віктор МиколайовичВідродження 0 1 1 0.6 0.5 так 1 2.9 Бриченко Ігор ВіталійовичНародний фронт 1 1 1 1 0.75 так 0 2.75 Мельниченко Володимир ВолодимировичБлок Петра Порошенка 1 1 1 0.8 0.5 так 0 2.7 Пашинський Сергій ВолодимировичНародний фронт 0 1 1 0.8 0.5 так 1 2.7
  • 3.
    full_name factions Гречкосі йство Кнопк одавст во ФАР Коєфіцієнт підтримки політичних реформ Коєфіцієнт підтримки Антидемократ ичностіOld_member Прогульники Підсумковий рейтинг Сольвар Руслан МиколайовичБлок Петра Порошенка 1 0 1 0.8 0.5 так 1 2.7 Вілкул Олександр ЮрійовичОпозиційний блок 1 0 1 0.3333333333 0 ні 1 2.666666667 Поляков Максим АнатолійовичНародний фронт 1 0 1 0 0.6666666667 ні 0 2.666666667 Мельничук Сергій ПетровичПозафракційні 0 0 1 0 0.6666666667 ні 1 2.666666667 Кучер Микола ІвановичБлок Петра Порошенка 1 1 0 1 0.6666666667 ні 1 2.666666667 Ляшко Олег ВалерійовичРадикальна партія Ляшка1 1 1 0.6 0.25 так 0 2.65 Кацуба Володимир МихайловичВідродження 0 1 1 0.6 0.25 так 1 2.65 Балицький Євген ВіталійовичОпозиційний блок 0 1 1 0.2 0.75 так 0 2.55 Добкін Дмитро МарковичОпозиційний блок 0 1 0 0 0.5 так 1 2.5 Мирний Іван МиколайовичОпозиційний блок 0 1 0 0 0.5 так 1 2.5 Деркач Андрій ЛеонідовичПозафракційні 0 0 1 0 0.5 так 1 2.5 Шипко Андрій ФедоровичВідродження 0 1 1 0.6 1 так 0 2.4 Гєллєр Євгеній БорисовичВідродження 0 1 1 0.4 0.75 так 0 2.35 Герега Олександр ВолодимировичПозафракційні 0 1 1 0.4 0.75 так 0 2.35 Дейдей Євген СергійовичНародний фронт 0 0 1 0.3333333333 0.6666666667 ні 1 2.333333333 Денисенко Андрій СергійовичПозафракційні 0 0 1 0.3333333333 0.6666666667 ні 1 2.333333333 Тригубенко Сергій МиколайовичБлок Петра Порошенка 0 0 1 0.3333333333 0.6666666667 ні 1 2.333333333 Бабенко Валерій БорисовичНародний фронт 0 1 1 0.3333333333 0.6666666667 ні 0 2.333333333 Вітко Артем ЛеонідовичРадикальна партія Ляшка0 1 1 0.3333333333 0.6666666667 ні 0 2.333333333 Валентиров Сергій ВасильовичБлок Петра Порошенка 0 1 1 0.3333333333 0.6666666667 ні 0 2.333333333 Гальченко Андрій ВолодимировичОпозиційний блок 1 1 0 0.3333333333 0.6666666667 ні 0 2.333333333 Голубов Дмитро ІвановичБлок Петра Порошенка 1 0 1 0.3333333333 0.6666666667 ні 0 2.333333333 Дубневич Богдан ВасильовичБлок Петра Порошенка 0 1 1 0.3333333333 0.6666666667 ні 0 2.333333333 Колєсніков Дмитро ВалерійовичОпозиційний блок 0 1 1 0.3333333333 0.6666666667 ні 0 2.333333333 Кузьменко Анатолій ІвановичБлок Петра Порошенка 0 1 1 0.3333333333 0.6666666667 ні 0 2.333333333 Лесюк Ярослав ВасильовичБлок Петра Порошенка 0 1 1 0.3333333333 0.6666666667 ні 0 2.333333333
  • 4.
    full_name factions Гречкосі йство Кнопк одавст во ФАР Коєфіцієнт підтримки політичних реформ Коєфіцієнт підтримки Антидемократ ичностіOld_member Прогульники Підсумковий рейтинг Розенблат Борислав СоломоновичПозафракційні 1 0 1 0.3333333333 0.6666666667 ні 0 2.333333333 Хлань Сергій ВолодимировичБлок Петра Порошенка 0 1 1 0.3333333333 0.6666666667 ні 0 2.333333333 Юрчишин Петро ВасильовичБлок Петра Порошенка 0 1 1 0.3333333333 0.6666666667 ні 0 2.333333333 Яриніч Костянтин ВолодимировичБлок Петра Порошенка 0 1 1 0.3333333333 0.6666666667 ні 0 2.333333333 Вінник Іван ЮлійовичБлок Петра Порошенка 0 0 1 0.3333333333 0.6666666667 ні 1 2.333333333 Чорновол Тетяна МиколаївнаНародний фронт 0 1 0 0.3333333333 0.6666666667 ні 1 2.333333333 Кірш Олександр ВікторовичНародний фронт 0 1 1 0.6666666667 1 ні 0 2.333333333 Константіновський Вячеслав ЛеонідовичПозафракційні 0 0 1 0 0.3333333333 ні 1 2.333333333 Кривохатько Вадим ВікторовичПозафракційні 0 0 1 0 0.3333333333 ні 1 2.333333333 Нестеренко Вадим ГригоровичБлок Петра Порошенка 0 0 1 0 0.3333333333 ні 1 2.333333333 Дунаєв Сергій ВолодимировичПозафракційні 0 1 1 0.2 0.5 так 0 2.3 Білий Олексій ПетровичОпозиційний блок 0 1 1 0.2 0.5 так 0 2.3 Фурсін Іван ГеннадійовичВоля народу 0 0 1 0.2 0.5 так 1 2.3 Шпенов Дмитро ЮрійовичОпозиційний блок 0 0 1 0.2 0.5 так 1 2.3 Богуслаєв Вячеслав ОлександровичВоля народу 0 0 1 0 0.25 так 1 2.25 Льовочкіна Юлія ВолодимирівнаОпозиційний блок 0 0 1 0 0.25 так 1 2.25 Мураєв Євгеній ВолодимировичПозафракційні 0 0 1 0 0.25 так 1 2.25 Ничипоренко Валентин МиколайовичПозафракційні 0 1 1 1 0.25 так 1 2.25 Біловол Олександр МиколайовичВідродження 0 1 1 0.6 0.75 так 0 2.15 Мисик Володимир ЮрійовичВідродження 0 1 1 0.6 0.75 так 0 2.15 Шкіря Ігор МиколайовичВідродження 0 0 1 0.6 0.75 так 1 2.15 Шаповалов Юрій АнатолійовичВідродження 0 1 1 0.6 0.75 так 0 2.15 Воропаєв Юрій МиколайовичОпозиційний блок 0 1 1 0.4 0.5 так 0 2.1 Новинський Вадим ВладиславовичОпозиційний блок 0 0 1 0.4 0.5 так 1 2.1 Омельянович Денис СергійовичОпозиційний блок 0 0 1 0.4 0.5 так 1 2.1 Безбах Яків ЯковичПозафракційні 0 1 1 0.4 0.5 так 0 2.1
  • 5.
    full_name factions Гречкосі йство Кнопк одавст во ФАР Коєфіцієнт підтримки політичних реформ Коєфіцієнт підтримки Антидемократ ичностіOld_member Прогульники Підсумковий рейтинг Долженков Олександр ВалерійовичОпозиційний блок 0 1 1 0.4 0.5 так 0 2.1 Негой Федір ФедоровичБлок Петра Порошенка 0 0 1 0.4 0.5 так 1 2.1 Клюєв Сергій ПетровичПозафракційні 0 0 1 0.2 0.25 так 1 2.05 Іоффе Юлій ЯковичПозафракційні 0 1 1 0.2 0.25 так 0 2.05 Котвіцький Ігор ОлександровичНародний фронт 0 1 1 0.6666666667 0.6666666667 ні 0 2 Бакулін Євген МиколайовичПозафракційні 0 0 1 0 0 ні 1 2 Жеваго Костянтин ВалентиновичПозафракційні 0 0 1 0 0 так 1 2 Купрій Віталій МиколайовичПозафракційні 0 0 1 0 0 ні 1 2 Льовочкін Сергій ВолодимировичПозафракційні 0 0 1 0 0 ні 1 2 Онищенко Олександр РомановичПозафракційні 0 0 1 0 0 так 1 2 Усов Костянтин ГлібовичБлок Петра Порошенка 0 0 1 0.6666666667 0.6666666667 ні 1 2 Чепинога Віталій МихайловичБлок Петра Порошенка 0 0 1 0.3333333333 0.3333333333 ні 1 2 Гулак Олександр МиколайовичРадикальна партія Ляшка0 1 1 0 0 ні 0 2 Іщейкін Костянтин ЄвгеновичБлок Петра Порошенка 1 0 1 0.6666666667 0.6666666667 ні 0 2 Березенко Сергій ІвановичБлок Петра Порошенка 1 0 1 0.6666666667 0.6666666667 ні 0 2 Вадатурський Андрій ОлексійовичБлок Петра Порошенка 1 0 1 0.6666666667 0.6666666667 ні 0 2 Вовк Віктор ІвановичРадикальна партія Ляшка0 1 1 0.3333333333 0.3333333333 ні 0 2 Гудзенко Віталій ІвановичБлок Петра Порошенка 1 1 0 0.3333333333 0.3333333333 ні 0 2 Дмитренко Олег МиколайовичБлок Петра Порошенка 0 1 1 0.6666666667 0.6666666667 ні 0 2 Жолобецький Олександр ОлександровичБлок Петра Порошенка 0 1 1 0.6666666667 0.6666666667 ні 0 2 Заставний Роман ЙосиповичНародний фронт 0 1 1 1 1 ні 0 2 Кіт Андрій БогдановичБлок Петра Порошенка 1 1 0 0.6666666667 0.6666666667 ні 0 2 Кириченко Олексій МиколайовичРадикальна партія Ляшка0 1 1 0.3333333333 0.3333333333 ні 0 2 Лівік Олександр ПетровичБлок Петра Порошенка 0 1 1 0.6666666667 0.6666666667 ні 0 2 Лінько Дмитро ВолодимировичРадикальна партія Ляшка0 1 1 0.3333333333 0.3333333333 ні 0 2 Ленський Олексій ОлексійовичРадикальна партія Ляшка0 1 1 0.3333333333 0.3333333333 ні 0 2
  • 6.
    full_name factions Гречкосі йство Кнопк одавст во ФАР Коєфіцієнт підтримки політичних реформ Коєфіцієнт підтримки Антидемократ ичностіOld_member Прогульники Підсумковий рейтинг Чекіта Геннадій ЛеонідовичБлок Петра Порошенка 0 1 1 0.3333333333 0.3333333333 ні 0 2 Антонищак Андрій ФедоровичБлок Петра Порошенка 0 1 1 1 0 ні 1 2 Унгурян Павло ЯкимовичНародний фронт 0 0 1 0.6666666667 0.6666666667 ні 1 2 Лунченко Валерій ВалерійовичНародний фронт 0 1 1 0.8 0.75 так 0 1.95 Лук'янчук Руслан ВалерійовичНародний фронт 0 1 1 0.6 0.5 так 0 1.9 Звягільський Юхим ЛеонідовичОпозиційний блок 0 0 1 0.4 0.25 так 1 1.85 Матіос Марія ВасилівнаБлок Петра Порошенка 0 1 0 0.4 0.25 так 1 1.85 Бандуров Володимир ВолодимировичВоля народу 0 1 1 0.4 0.25 так 0 1.85 Мартовицький Артур ВолодимировичОпозиційний блок 0 1 1 0.4 0.25 так 0 1.85 Донець Тетяна АнатоліївнаНародний фронт 0 0 1 0.2 0 так 1 1.8 Писаренко Валерій ВолодимировичВідродження 0 0 0 0 0.75 так 1 1.75 Андрієвський Дмитро ЙосиповичБлок Петра Порошенка 1 0 1 1 0.75 так 0 1.75 Дирів Анатолій БорисовичНародний фронт 0 1 1 1 0.75 так 0 1.75 Шкварилюк Володимир ВасильовичНародний фронт 0 1 1 1 0.75 так 0 1.75 Бригинець Олександр МихайловичБлок Петра Порошенка 0 1 1 0.8 0.5 так 0 1.7 Домбровський Олександр ГеоргійовичБлок Петра Порошенка 0 1 1 0.8 0.5 так 0 1.7 Дубневич Ярослав ВасильовичБлок Петра Порошенка 0 1 1 0.8 0.5 так 0 1.7 Заболотний Григорій МихайловичБлок Петра Порошенка 1 1 0 0.8 0.5 так 0 1.7 Куніцин Сергій ВолодимировичБлок Петра Порошенка 0 1 1 0.8 0.5 так 0 1.7 Луценко Ірина СтепанівнаБлок Петра Порошенка 0 1 1 0.8 0.5 так 0 1.7 Мартиняк Сергій ВасильовичВоля народу 0 1 1 0.8 0.5 так 0 1.7 Гринів Ігор ОлексійовичБлок Петра Порошенка 0 0 1 0.8 0.5 так 1 1.7 Матвійчук Едуард ЛеонідовичПозафракційні 0 0 1 0.3333333333 0 ні 1 1.666666667 Рабінович Вадим ЗіновійовичОпозиційний блок 0 0 1 0.3333333333 0 ні 1 1.666666667 Савченко Надія ВікторівнаПозафракційні 0 0 1 0.3333333333 0 ні 1 1.666666667 Гуляєв Василь ОлександровичВідродження 0 1 0 0.3333333333 1 ні 0 1.666666667
  • 7.
    full_name factions Гречкосі йство Кнопк одавст во ФАР Коєфіцієнт підтримки політичних реформ Коєфіцієнт підтримки Антидемократ ичностіOld_member Прогульники Підсумковий рейтинг Підберезняк Вадим ІвановичНародний фронт 0 1 0 0.3333333333 1 ні 0 1.666666667 Амельченко Василь ВасильовичРадикальна партія Ляшка0 1 0 0.3333333333 0 ні 1 1.666666667 Алєксєєв Сергій ОлеговичБлок Петра Порошенка 0 1 1 1 0.6666666667 ні 0 1.666666667 Бакуменко Олександр БорисовичБлок Петра Порошенка 0 1 1 1 0.6666666667 ні 0 1.666666667 Гончаренко Олексій ОлексійовичБлок Петра Порошенка 1 1 0 1 0.6666666667 ні 0 1.666666667 Денисенко Вадим ІгоровичБлок Петра Порошенка 0 1 1 1 0.6666666667 ні 0 1.666666667 Драюк Сергій ЄвсейовичНародний фронт 0 1 1 1 0.6666666667 ні 0 1.666666667 Король Віктор МиколайовичБлок Петра Порошенка 0 1 1 1 0.6666666667 ні 0 1.666666667 Курило Віталій СеменовичБлок Петра Порошенка 1 1 0 1 0.6666666667 ні 0 1.666666667 Німченко Василь ІвановичОпозиційний блок 0 1 0 0 0.6666666667 ні 0 1.666666667 Романовський Олександр ВолодимировичНародний фронт 0 1 1 1 0.6666666667 ні 0 1.666666667 Шверк Григорій АроновичБлок Петра Порошенка 0 1 1 1 0.6666666667 ні 0 1.666666667 Геращенко Антон ЮрійовичНародний фронт 0 0 1 1 0.6666666667 ні 1 1.666666667 Кобцев Михайло ВалентиновичБлок Петра Порошенка 0 1 0 1 0.6666666667 ні 1 1.666666667 Дубінін Олександр ІвановичПозафракційні 0 0 1 0.6666666667 0.3333333333 ні 1 1.666666667 Корнацький Аркадій ОлексійовичПозафракційні 0 0 1 0.6666666667 0.3333333333 ні 1 1.666666667 Тарута Сергій ОлексійовичПозафракційні 0 0 1 0.6666666667 0.3333333333 ні 1 1.666666667 Ксенжук Олександр СтепановичНародний фронт 0 1 1 0.6666666667 0.3333333333 ні 0 1.666666667 Лопушанський Андрій ЯрославовичБлок Петра Порошенка 0 0 1 0.6666666667 0.3333333333 ні 1 1.666666667 Денисенко Анатолій ПетровичПозафракційні 0 1 1 0.6 0.25 так 0 1.65 Шуфрич Нестор ІвановичОпозиційний блок 0 0 1 0.6 0.25 так 1 1.65 Пономарьов Олександр СергійовичВоля народу 0 1 1 0.6 0.25 так 0 1.65 Дзензерський Денис ВікторовичНародний фронт 0 0 1 0.4 0 так 1 1.6 Хміль Михайло МихайловичНародний фронт 0 1 1 1 0.5 так 0 1.5 Колганова Олена ВалеріївнаНародний фронт 0 1 0 1 0.5 так 1 1.5 Шевченко Олександр ЛеонідовичПозафракційні 1 0 1 0.8 0.25 так 0 1.45
  • 8.
    full_name factions Гречкосі йство Кнопк одавст во ФАР Коєфіцієнт підтримки політичних реформ Коєфіцієнт підтримки Антидемократ ичностіOld_member Прогульники Підсумковий рейтинг Ільюк Артем ОлександровичВідродження 0 1 0 0.6 1 так 0 1.4 Дубіль Валерій ОлександровичБатьківщина 0 0 1 0.6 0 так 1 1.4 Бахтеєва Тетяна ДмитрівнаОпозиційний блок 0 0 1 0.4 0.75 так 0 1.35 Логвинський Георгій ВолодимировичНародний фронт 0 0 1 0.3333333333 0.6666666667 ні 0 1.333333333 Білоцерковець Дмитро ОлександровичБлок Петра Порошенка 0 0 1 0.3333333333 0.6666666667 ні 0 1.333333333 Барна Олег СтепановичБлок Петра Порошенка 0 1 0 0.3333333333 0.6666666667 ні 0 1.333333333 Дзюблик Павло ВолодимировичНародний фронт 1 0 0 0.3333333333 0.6666666667 ні 0 1.333333333 Папієв Михайло МиколайовичОпозиційний блок 0 0 1 0.3333333333 0.6666666667 ні 0 1.333333333 Рибчинський Євген ЮрійовичВоля народу 0 0 1 0.3333333333 0.6666666667 ні 0 1.333333333 Рудик Сергій ЯрославовичБлок Петра Порошенка 1 0 0 0.3333333333 0.6666666667 ні 0 1.333333333 Сажко Сергій МиколайовичОпозиційний блок 1 0 0 0.3333333333 0.6666666667 ні 0 1.333333333 Сочка Олександр ОлександровичНародний фронт 0 1 0 0.3333333333 0.6666666667 ні 0 1.333333333 Єдаков Ярослав ЮрійовичНародний фронт 0 1 0 0.6666666667 1 ні 0 1.333333333 Бойко Олена ПетрівнаНародний фронт 0 1 0 0.6666666667 1 ні 0 1.333333333 Велікін Олег МарковичБлок Петра Порошенка 0 1 0 0.6666666667 1 ні 0 1.333333333 Козир Борис ЮрійовичБлок Петра Порошенка 0 1 0 0.6666666667 1 ні 0 1.333333333 Масоріна Олена СергіївнаНародний фронт 0 1 0 0.6666666667 1 ні 0 1.333333333 Шевченко Віктор ЛеонідовичПозафракційні 0 1 1 0.6666666667 0 ні 0 1.333333333 Шинькович Андрій ВасильовичБлок Петра Порошенка 0 1 0 0.6666666667 1 ні 0 1.333333333 Купрієнко Олег ВасильовичРадикальна партія Ляшка0 1 0 0 0.3333333333 ні 0 1.333333333 Чижмарь Юрій ВасильовичРадикальна партія Ляшка0 0 1 0 0.3333333333 ні 0 1.333333333 Козак Тарас РомановичОпозиційний блок 0 0 0 0 0.3333333333 ні 1 1.333333333 Поплавський Михайло МихайловичВоля народу 0 0 1 0.2 0.5 так 0 1.3 Немиря Григорій МихайловичБатьківщина 0 0 1 0.8 0 так 1 1.2 Фельдман Олександр БорисовичВоля народу 0 0 1 0.6 0.75 так 0 1.15 Ковальчук Наталія ВолодимирівнаБлок Петра Порошенка 0 0 0 0.4 0.5 так 1 1.1
  • 9.
    full_name factions Гречкосі йство Кнопк одавст во ФАР Коєфіцієнт підтримки політичних реформ Коєфіцієнт підтримки Антидемократ ичностіOld_member Прогульники Підсумковий рейтинг Богомолець Ольга ВадимівнаБлок Петра Порошенка 0 0 1 0.6666666667 0.6666666667 ні 0 1 Грановський Олександр МихайловичБлок Петра Порошенка 0 0 1 0.6666666667 0.6666666667 ні 0 1 Скорик Микола ЛеонідовичОпозиційний блок 0 0 1 0.3333333333 0.3333333333 ні 0 1 Супруненко Олександр ІвановичВоля народу 0 0 1 0.6666666667 0.6666666667 ні 0 1 Богдан Руслан ДмитровичБатьківщина 0 0 1 1 0 ні 1 1 Кацер-Бучковська Наталія ВолодимирівнаНародний фронт 0 0 0 0.6666666667 0.6666666667 ні 1 1 Левус Андрій Мар'яновичНародний фронт 0 0 0 0.6666666667 0.6666666667 ні 1 1 Сабашук Петро ПавловичБлок Петра Порошенка 0 0 0 0.6666666667 0.6666666667 ні 1 1 Сисоєнко Ірина ВолодимирівнаСамопоміч 0 0 1 1 0 ні 1 1 Ярош Дмитро АнатолійовичПозафракційні 0 0 0 0 0 ні 1 1 Савка Іван ІвановичНародний фронт 0 1 0 0 0 ні 0 1 Арешонков Володимир ЮрійовичБлок Петра Порошенка 1 0 0 0.6666666667 0.6666666667 ні 0 1 Бендюженко Федір ВолодимировичНародний фронт 0 1 0 0.6666666667 0.6666666667 ні 0 1 Буглак Юрій ОлександровичБлок Петра Порошенка 0 1 0 0.3333333333 0.3333333333 ні 0 1 Гаврилюк Михайло ВіталійовичНародний фронт 1 0 0 0.6666666667 0.6666666667 ні 0 1 Галасюк Віктор ВалерійовичРадикальна партія Ляшка0 0 1 0.3333333333 0.3333333333 ні 0 1 Герасимов Артур ВолодимировичБлок Петра Порошенка 0 0 1 0.6666666667 0.6666666667 ні 0 1 Дідич Валентин ВолодимировичПозафракційні 0 1 0 0.3333333333 0.3333333333 ні 0 1 Данілін Владислав ЮрійовичНародний фронт 0 1 0 0.6666666667 0.6666666667 ні 0 1 Демчак Руслан ЄвгенійовичБлок Петра Порошенка 0 0 1 0.6666666667 0.6666666667 ні 0 1 Довбенко Михайло ВолодимировичБлок Петра Порошенка 0 1 0 0.6666666667 0.6666666667 ні 0 1 Козаченко Леонід ПетровичБлок Петра Порошенка 0 1 0 0.6666666667 0.6666666667 ні 0 1 Кремінь Тарас ДмитровичНародний фронт 0 1 0 1 1 ні 0 1 Курячий Максим ПавловичБлок Петра Порошенка 0 1 0 0.6666666667 0.6666666667 ні 0 1 Ларін Сергій МиколайовичОпозиційний блок 0 0 1 0 0 ні 0 1 Люшняк Микола ВолодимировичБлок Петра Порошенка 0 0 1 0.6666666667 0.6666666667 ні 0 1
  • 10.
    full_name factions Гречкосі йство Кнопк одавст во ФАР Коєфіцієнт підтримки політичних реформ Коєфіцієнт підтримки Антидемократ ичностіOld_member Прогульники Підсумковий рейтинг Матвієнко Анатолій СергійовичБлок Петра Порошенка 0 0 1 0.6666666667 0.6666666667 ні 0 1 Матейченко Костянтин ВолодимировичНародний фронт 0 0 1 0.6666666667 0.6666666667 ні 0 1 Мепарішвілі Хвича НодаровичНародний фронт 0 1 0 0.6666666667 0.6666666667 ні 0 1 Мороко Юрій МиколайовичОпозиційний блок 0 1 0 0.3333333333 0.3333333333 ні 0 1 Мусій Олег СтепановичПозафракційні 0 1 1 1 0 ні 0 1 Немировський Андрій ВалентиновичБлок Петра Порошенка 0 1 0 0.6666666667 0.6666666667 ні 0 1 Ревега Олександр ВасильовичБлок Петра Порошенка 1 0 0 0.6666666667 0.6666666667 ні 0 1 Река Андрій ОлександровичНародний фронт 0 1 0 0.6666666667 0.6666666667 ні 0 1 Ричкова Тетяна БорисівнаБлок Петра Порошенка 0 1 0 0.3333333333 0.3333333333 ні 0 1 Саврасов Максим ВіталійовичБлок Петра Порошенка 0 1 0 0.6666666667 0.6666666667 ні 0 1 Сидорчук Вадим ВасильовичНародний фронт 0 0 1 0.6666666667 0.6666666667 ні 0 1 Силантьєв Денис ОлеговичРадикальна партія Ляшка0 1 0 0.3333333333 0.3333333333 ні 0 1 Стеценко Дмитро ОлександровичНародний фронт 0 1 0 1 1 ні 0 1 Сюмар Вікторія ПетрівнаНародний фронт 0 0 1 0.6666666667 0.6666666667 ні 0 1 Фролов Микола ОлександровичБлок Петра Порошенка 0 0 1 0.6666666667 0.6666666667 ні 0 1 Южаніна Ніна ПетрівнаБлок Петра Порошенка 0 0 1 0.6666666667 0.6666666667 ні 0 1 Кісельов Андрій МиколайовичОпозиційний блок 0 0 0 0.3333333333 0.3333333333 ні 1 1 Ткачук Геннадій ВіталійовичБлок Петра Порошенка 0 0 1 0.8 0.75 так 0 0.95 Петьовка Василь ВасильовичВоля народу 0 0 1 0.6 0.5 так 0 0.9 Джемілєв МустафаБлок Петра Порошенка 0 0 0 0.4 0.25 так 1 0.85 Мірошниченко Юрій РомановичОпозиційний блок 0 0 1 0.2 0 так 0 0.8 Іщенко Валерій ОлександровичБлок Петра Порошенка 0 0 1 1 0.75 так 0 0.75 Вознюк Юрій ВолодимировичНародний фронт 0 0 1 1 0.75 так 0 0.75 Палатний Артур ЛеонідовичБлок Петра Порошенка 0 0 1 1 0.75 так 0 0.75 Васюник Ігор ВасильовичНародний фронт 0 0 1 0.8 0.5 так 0 0.7 Ледовських Олена ВолодимирівнаНародний фронт 0 1 0 0.8 0.5 так 0 0.7
  • 11.
    full_name factions Гречкосі йство Кнопк одавст во ФАР Коєфіцієнт підтримки політичних реформ Коєфіцієнт підтримки Антидемократ ичностіOld_member Прогульники Підсумковий рейтинг Павелко Андрій ВасильовичБлок Петра Порошенка 0 0 1 0.8 0.5 так 0 0.7 Луценко Ігор ВікторовичБатьківщина 0 0 1 0.3333333333 0 ні 0 0.6666666667 Тимошенко Юлія ВолодимирівнаБатьківщина 0 0 1 0.3333333333 0 ні 0 0.6666666667 Зварич Роман МихайловичБлок Петра Порошенка 0 0 0 0.3333333333 0 ні 1 0.6666666667 Білецький Андрій ЄвгенійовичПозафракційні 0 0 0 0.3333333333 0 ні 1 0.6666666667 Журжій Андрій ВалерійовичСамопоміч 0 0 0 0.3333333333 0 ні 1 0.6666666667 Побочіх Михайло ОлександровичНародний фронт 0 1 0 0.3333333333 0 ні 0 0.6666666667 Бойко Юрій АнатолійовичПозафракційні 0 0 1 0.3333333333 0 ні 0 0.6666666667 Констанкевич Ірина МирославівнаПозафракційні 0 0 1 0.3333333333 0 ні 0 0.6666666667 Кошелєва Альона ВолодимирівнаРадикальна партія Ляшка0 1 0 0.3333333333 0 ні 0 0.6666666667 Пинзеник Павло ВасильовичНародний фронт 0 0 0 0.3333333333 1 ні 0 0.6666666667 Бабій Юрій ЮрійовичНародний фронт 0 1 0 1 0.6666666667 ні 0 0.6666666667 Береза Юрій МиколайовичНародний фронт 0 0 1 1 0.6666666667 ні 0 0.6666666667 Бурбак Максим ЮрійовичНародний фронт 0 0 1 1 0.6666666667 ні 0 0.6666666667 Кривенко Вадим ВалерійовичНародний фронт 0 1 0 1 0.6666666667 ні 0 0.6666666667 Кудлаєнко Сергій ВолодимировичБлок Петра Порошенка 0 1 0 1 0.6666666667 ні 0 0.6666666667 Куліченко Іван ІвановичБлок Петра Порошенка 0 0 1 1 0.6666666667 ні 0 0.6666666667 Лаврик Микола ІвановичБлок Петра Порошенка 0 0 1 1 0.6666666667 ні 0 0.6666666667 Матузко Олена ОлександрівнаБлок Петра Порошенка 0 1 0 1 0.6666666667 ні 0 0.6666666667 Мацола Роман МиколайовичБлок Петра Порошенка 1 0 0 1 0.6666666667 ні 0 0.6666666667 Мельник Сергій ІвановичБлок Петра Порошенка 0 1 0 1 0.6666666667 ні 0 0.6666666667 Мельничук Іван ІвановичБлок Петра Порошенка 0 1 0 1 0.6666666667 ні 0 0.6666666667 Онуфрик Богдан СеменовичБлок Петра Порошенка 0 0 1 1 0.6666666667 ні 0 0.6666666667 Рибак Іван ПетровичБлок Петра Порошенка 0 0 1 1 0.6666666667 ні 0 0.6666666667 Севрюков Владислав ВолодимировичБлок Петра Порошенка 0 0 1 1 0.6666666667 ні 0 0.6666666667 Співаковський Олександр ВолодимировичБлок Петра Порошенка 0 1 0 1 0.6666666667 ні 0 0.6666666667
  • 12.
    full_name factions Гречкосі йство Кнопк одавст во ФАР Коєфіцієнт підтримки політичних реформ Коєфіцієнт підтримки Антидемократ ичностіOld_member Прогульники Підсумковий рейтинг Спориш Іван ДмитровичБлок Петра Порошенка 0 1 0 1 0.6666666667 ні 0 0.6666666667 Суслова Ірина МиколаївнаБлок Петра Порошенка 0 0 1 1 0.6666666667 ні 0 0.6666666667 Юрик Тарас ЗіновійовичБлок Петра Порошенка 0 1 0 1 0.6666666667 ні 0 0.6666666667 Яніцький Василь ПетровичБлок Петра Порошенка 1 0 0 1 0.6666666667 ні 0 0.6666666667 Брензович Василь ІвановичБлок Петра Порошенка 0 0 0 0.6666666667 0.3333333333 ні 1 0.6666666666 Єленський Віктор ЄвгеновичНародний фронт 0 1 0 0.6666666667 0.3333333333 ні 0 0.6666666666 Батенко Тарас ІвановичПозафракційні 0 1 0 0.6666666667 0.3333333333 ні 0 0.6666666666 Ківалов Сергій ВасильовичОпозиційний блок 0 0 1 0.6 0.25 так 0 0.65 Литвин Володимир МихайловичПозафракційні 0 0 1 0.6 0.25 так 0 0.65 Власенко Сергій ВолодимировичБатьківщина 0 0 1 0.4 0 так 0 0.6 Паламарчук Микола ПетровичБлок Петра Порошенка 0 1 0 1 0.5 так 0 0.5 Побер Ігор МиколайовичБлок Петра Порошенка 0 1 0 1 0.5 так 0 0.5 Романюк Роман СергійовичБлок Петра Порошенка 0 1 0 1 0.5 так 0 0.5 Федорук Микола ТрохимовичНародний фронт 0 1 0 1 0.5 так 0 0.5 Бублик Юрій ВасильовичПозафракційні 0 0 1 0.8 0.25 так 0 0.45 Міщенко Сергій ГригоровичПозафракційні 0 0 1 0.8 0.25 так 0 0.45 Савчук Юрій ПетровичНародний фронт 0 0 0 0.8 0.25 так 1 0.45 Медуниця Олег ВячеславовичНародний фронт 0 1 0 0.8 0.25 так 0 0.45 Пинзеник Віктор МихайловичБлок Петра Порошенка 0 0 1 0.8 0.25 так 0 0.45 Балога Павло ІвановичПозафракційні 0 0 1 0.6 0 так 0 0.4 Балога Віктор ІвановичПозафракційні 0 0 1 0.6 0 так 0 0.4 Євлахов Анатолій СергійовичБлок Петра Порошенка 0 0 0 0.3333333333 0.6666666667 ні 0 0.3333333334 Шурма Ігор МихайловичОпозиційний блок 0 0 0 0.3333333333 0.6666666667 ні 0 0.3333333334 Парасюк Володимир ЗіновійовичПозафракційні 0 0 1 0.6666666667 0 ні 0 0.3333333333 Семенченко Семен ІгоровичСамопоміч 0 0 0 0.6666666667 0 ні 1 0.3333333333 Найєм Мустафа-МасіПозафракційні 0 0 0 0.6666666667 0 ні 1 0.3333333333
  • 13.
    full_name factions Гречкосі йство Кнопк одавст во ФАР Коєфіцієнт підтримки політичних реформ Коєфіцієнт підтримки Антидемократ ичностіOld_member Прогульники Підсумковий рейтинг Гузь Ігор ВолодимировичНародний фронт 0 0 1 1 0.3333333333 ні 0 0.3333333333 Кодола Олександр МихайловичНародний фронт 1 0 0 1 0.3333333333 ні 0 0.3333333333 Бєлькова Ольга ВалентинівнаБлок Петра Порошенка 0 0 0 0.4 0.5 так 0 0.1 Абдуллін Олександр РафкатовичБатьківщина 0 0 1 1 0 так 0 0 Береза Борислав ЮхимовичПозафракційні 0 0 1 1 0 ні 0 0 Попов Ігор ВолодимировичРадикальна партія Ляшка0 0 0 0.3333333333 0.3333333333 ні 0 0 Кожем'якін Андрій АнатолійовичБатьківщина 0 0 0 1 0 так 1 0 Кондратюк Олена КостянтинівнаБатьківщина 0 0 0 1 0 так 1 0 Заружко Валерія ЛеонідівнаРадикальна партія Ляшка0 0 0 0 0 ні 0 0 Бабак Альона ВалеріївнаСамопоміч 0 0 1 1 0 ні 0 0 Березюк Олег РомановичСамопоміч 0 0 1 1 0 ні 0 0 Голуб Владислав ВолодимировичПозафракційні 1 0 0 1 0 ні 0 0 Гусак Володимир ГеоргійовичОпозиційний блок 0 0 0 0.3333333333 0.3333333333 ні 0 0 Діденко Ігор АнатолійовичСамопоміч 0 0 1 1 0 ні 0 0 Добродомов Дмитро ЄвгеновичПозафракційні 0 0 1 1 0 ні 0 0 Кириленко Іван ГригоровичБатьківщина 0 0 1 1 0 так 0 0 Корчик Віталій АндрійовичНародний фронт 0 0 0 1 1 ні 0 0 Кривенко Віктор МиколайовичПозафракційні 0 0 1 1 0 ні 0 0 Крулько Іван ІвановичБатьківщина 0 0 1 1 0 ні 0 0 Лапін Ігор ОлександровичНародний фронт 0 0 0 0.6666666667 0.6666666667 ні 0 0 Мірошніченко Іван ВолодимировичСамопоміч 0 0 1 1 0 ні 0 0 Мамчур Юлій ВалерійовичБлок Петра Порошенка 0 0 0 0.6666666667 0.6666666667 ні 0 0 Маркевич Ярослав ВолодимировичСамопоміч 0 0 1 1 0 ні 0 0 Матківський Богдан МироновичПозафракційні 0 1 0 1 0 ні 0 0 Мушак Олексій ПетровичБлок Петра Порошенка 0 0 0 0.6666666667 0.6666666667 ні 0 0 Соловей Юрій ІгоровичБлок Петра Порошенка 0 0 0 0.6666666667 0.6666666667 ні 0 0
  • 14.
    full_name factions Гречкосі йство Кнопк одавст во ФАР Коєфіцієнт підтримки політичних реформ Коєфіцієнт підтримки Антидемократ ичностіOld_member Прогульники Підсумковий рейтинг Сугоняко Олександр ЛеонідовичБлок Петра Порошенка 0 0 0 0.6666666667 0.6666666667 ні 0 0 Тетерук Андрій АнатолійовичНародний фронт 0 0 0 0.6666666667 0.6666666667 ні 0 0 Тимошенко Юрій ВолодимировичПозафракційні 0 0 0 0.6666666667 0.6666666667 ні 0 0 Княжицький Микола ЛеонідовичНародний фронт 0 0 0 0.8 0.75 так 0 -0.05 Каплін Сергій МиколайовичПозафракційні 0 0 0 0.6 0.5 так 0 -0.1 Карпунцов Валерій ВіталійовичБлок Петра Порошенка 0 0 0 0.6 0.5 так 0 -0.1 Развадовський Віктор ЙосиповичВідродження 0 0 0 0.6 0.5 так 0 -0.1 Князевич Руслан ПетровичБлок Петра Порошенка 0 0 0 0.8 0.5 так 0 -0.3 Одарченко Юрій ВіталійовичБатьківщина 0 0 1 1.333333333 0 ні 0 -0.333333333 Балога Іван ІвановичПозафракційні 0 0 0 0.3333333333 0 ні 0 -0.3333333333 Сотник Олена СергіївнаСамопоміч 0 0 0 0.3333333333 0 ні 0 -0.3333333333 Шухевич Юрій-Богдан РомановичРадикальна партія Ляшка0 0 0 0.3333333333 0 ні 0 -0.3333333333 Івченко Вадим ЄвгеновичБатьківщина 0 0 0 0.3333333333 0 ні 0 -0.3333333333 Павленко Юрій ОлексійовичОпозиційний блок 0 0 0 0.3333333333 0 ні 0 -0.3333333333 Висоцький Сергій ВіталійовичНародний фронт 0 0 0 1 0.6666666667 ні 0 -0.3333333333 Алексєєв Ігор СергійовичНародний фронт 0 0 0 1 0.6666666667 ні 0 -0.3333333333 Артюшенко Ігор АндрійовичБлок Петра Порошенка 0 0 0 1 0.6666666667 ні 0 -0.3333333333 Бондар Михайло ЛеонтійовичНародний фронт 0 0 0 1 0.6666666667 ні 0 -0.3333333333 Величкович Микола РомановичНародний фронт 0 0 0 1 0.6666666667 ні 0 -0.3333333333 Кадикало Микола ОлеговичНародний фронт 0 0 0 1 0.6666666667 ні 0 -0.3333333333 Кривошея Геннадій ГригоровичНародний фронт 0 0 0 1 0.6666666667 ні 0 -0.3333333333 Парубій Андрій ВолодимировичПозафракційні 0 0 0 1 0.6666666667 ні 0 -0.3333333333 Порошенко Олексій ПетровичБлок Петра Порошенка 0 0 0 1 0.6666666667 ні 0 -0.3333333333 Соляр Володимир МироновичНародний фронт 0 0 0 1 0.6666666667 ні 0 -0.3333333333 Сташук Віталій ФилимоновичНародний фронт 0 0 0 1 0.6666666667 ні 0 -0.3333333333 Тіміш Григорій ІвановичБлок Петра Порошенка 0 0 0 1 0.6666666667 ні 0 -0.3333333333
  • 15.
    full_name factions Гречкосі йство Кнопк одавст во ФАР Коєфіцієнт підтримки політичних реформ Коєфіцієнт підтримки Антидемократ ичностіOld_member Прогульники Підсумковий рейтинг Тимчук Дмитро БорисовичНародний фронт 0 0 0 1 0.6666666667 ні 0 -0.3333333333 Червакова Ольга ВалеріївнаБлок Петра Порошенка 0 0 0 1 0.6666666667 ні 0 -0.3333333333 Черненко Олександр МиколайовичБлок Петра Порошенка 0 0 0 1 0.6666666667 ні 0 -0.3333333333 Білозір Оксана ВолодимирівнаБлок Петра Порошенка 0 0 0 0.6666666667 0.3333333333 ні 0 -0.3333333334 Чубаров Рефат АбдурахмановичБлок Петра Порошенка 0 0 0 0.6666666667 0.3333333333 ні 0 -0.3333333334 Куренной Володимир КостянтиновичБлок Петра Порошенка 0 0 0 0.4 0 так 0 -0.4 Іонова Марія МиколаївнаБлок Петра Порошенка 0 0 0 1 0.5 так 0 -0.5 Геращенко Ірина ВолодимирівнаПозафракційні 0 0 0 1 0.5 так 0 -0.5 Різаненко Павло ОлександровичБлок Петра Порошенка 0 0 0 1 0.5 так 0 -0.5 Ар'єв Володимир ІгоровичБлок Петра Порошенка 0 0 0 0.8 0.25 так 0 -0.55 Продан Оксана ПетрівнаБлок Петра Порошенка 0 0 0 0.8 0.25 так 0 -0.55 Бухарєв Владислав ВікторовичБатьківщина 0 0 0 0.6666666667 0 ні 0 -0.6666666667 Кіраль Сергій ІвановичСамопоміч 0 0 0 0.6666666667 0 ні 0 -0.6666666667 Корчинська Оксана АнатоліївнаРадикальна партія Ляшка0 0 0 0.6666666667 0 ні 0 -0.6666666667 Левченко Юрій ВолодимировичПозафракційні 0 0 0 0.6666666667 0 ні 0 -0.6666666667 Євтушок Сергій МиколайовичБатьківщина 0 0 0 0.6666666667 0 ні 0 -0.6666666667 Войціцька Вікторія МихайлівнаСамопоміч 0 0 0 0.6666666667 0 ні 0 -0.6666666667 Гопко Ганна МиколаївнаПозафракційні 0 0 0 0.6666666667 0 ні 0 -0.6666666667 Костенко Павло ПетровичСамопоміч 0 0 0 0.6666666667 0 ні 0 -0.6666666667 Марченко Олександр ОлександровичПозафракційні 0 0 0 0.6666666667 0 ні 0 -0.6666666667 Пастух Тарас ТимофійовичСамопоміч 0 0 0 0.6666666667 0 ні 0 -0.6666666667 Петренко Олег МиколайовичПозафракційні 0 0 0 1 0.3333333333 ні 0 -0.6666666667 Войцеховська Світлана МихайлівнаНародний фронт 0 0 0 1 0.3333333333 ні 0 -0.6666666667 Дроздик Олександр ВалерійовичНародний фронт 0 0 0 1 0.3333333333 ні 0 -0.6666666667 Македон Юрій МиколайовичБлок Петра Порошенка 0 0 0 1 0.3333333333 ні 0 -0.6666666667 Помазанов Андрій ВіталійовичНародний фронт 0 0 0 1 0.3333333333 ні 0 -0.6666666667
  • 16.
    full_name factions Гречкосі йство Кнопк одавст во ФАР Коєфіцієнт підтримки політичних реформ Коєфіцієнт підтримки Антидемократ ичностіOld_member Прогульники Підсумковий рейтинг Романюк Віктор МиколайовичНародний фронт 0 0 0 1 0.3333333333 ні 0 -0.6666666667 Ємець Леонід ОлександровичНародний фронт 0 0 0 1 0.25 так 0 -0.75 Іллєнко Андрій ЮрійовичПозафракційні 0 0 0 0.8 0 так 0 -0.8 Головко Михайло ЙосифовичПозафракційні 0 0 0 0.8 0 так 0 -0.8 Дерев'янко Юрій БогдановичПозафракційні 0 0 0 0.8 0 так 0 -0.8 Кужель Олександра ВолодимирівнаБатьківщина 0 0 0 0.8 0 так 0 -0.8 Осуховський Олег ІвановичПозафракційні 0 0 0 0.8 0 так 0 -0.8 Тарасюк Борис ІвановичБатьківщина 0 0 0 0.8 0 так 0 -0.8 Соболєв Сергій ВладиславовичБатьківщина 0 0 0 1 0 так 0 -1 Шкрум Альона ІванівнаБатьківщина 0 0 0 1 0 ні 0 -1 Підлісецький Лев ТеофіловичСамопоміч 0 0 0 1 0 ні 0 -1 Єднак Остап ВолодимировичПозафракційні 0 0 0 1 0 ні 0 -1 Веселова Наталія ВасилівнаПозафракційні 0 0 0 1 0 ні 0 -1 Данченко Олександр ІвановичСамопоміч 0 0 0 1 0 ні 0 -1 Заліщук Світлана ПетрівнаПозафракційні 0 0 0 1 0 ні 0 -1 Зубач Любомир ЛьвовичСамопоміч 0 0 0 1 0 ні 0 -1 Кишкар Павло МиколайовичПозафракційні 0 0 0 1 0 ні 0 -1 Лаврик Олег ВасильовичСамопоміч 0 0 0 1 0 ні 0 -1 Лещенко Сергій АнатолійовичПозафракційні 0 0 0 1 0 ні 0 -1 Новак Наталія ВасилівнаБлок Петра Порошенка 0 0 0 1 0 так 0 -1 Опанасенко Олександр ВалерійовичСамопоміч 0 0 0 1 0 ні 0 -1 Острікова Тетяна ГеоргіївнаСамопоміч 0 0 0 1 0 ні 0 -1 Подоляк Ірина ІгорівнаСамопоміч 0 0 0 1 0 ні 0 -1 Пташник Вікторія ЮріївнаПозафракційні 0 0 0 1 0 ні 0 -1 Романова Анна АнатоліївнаСамопоміч 0 0 0 1 0 ні 0 -1 Рябчин Олексій МихайловичБатьківщина 0 0 0 1 0 ні 0 -1
  • 17.
    full_name factions Гречкосі йство Кнопк одавст во ФАР Коєфіцієнт підтримки політичних реформ Коєфіцієнт підтримки Антидемократ ичностіOld_member Прогульники Підсумковий рейтинг Семенуха Роман СергійовичСамопоміч 0 0 0 1 0 ні 0 -1 Сидорович Руслан МихайловичСамопоміч 0 0 0 1 0 ні 0 -1 Сироїд Оксана ІванівнаПозафракційні 0 0 0 1 0 ні 0 -1 Скрипник Олексій ОлексійовичСамопоміч 0 0 0 1 0 ні 0 -1 Соболєв Єгор ВікторовичСамопоміч 0 0 0 1 0 ні 0 -1 Чумак Віктор ВасильовичПозафракційні 0 0 0 1 0 так 0 -1 Юринець Оксана ВасилівнаБлок Петра Порошенка 0 0 0 1 0 ні 0 -1