VISTA       VISTA     VISTA                           HILO     HILO    LONGITUD             % DE LA
Δ    ʘ    ANGULO
                   ATRÁS    INTERMEDIA ADELANTE      ɦѪ      COTA
                                                                       SUPERIOR INFERIOR HORIZONTAL
                                                                                                    DISTANCIA
                                                                                                              PENDIENTE
E1          0
     BN   14,20     0,837                          1200,837 1200,000    0,878    0,798     8,000
      1   50,90                  0,596                      1200,241    0,673    0,519     15,400
      2   78,80                  0,654                      1200,183    0,760    0,549     21,100        8,750   -0,663
      3   107,40                 0,519                      1200,318    0,648    0,393     25,500       11,720    1,152
      4   147,80                 0,557                      1200,280    0,640    0,456     18,400       14,530   -0,262
E2        201,10                 1,224                      1199,613    1,302    1,143     15,900       11,590   -5,755
C1         0,00     1,211                  1,003   1201,045 1199,834                       0,000
     5    87,20                  0,851                      1200,194    0,923    0,774     14,900
     6    99,60                  1,097                      1199,948    1,204    0,990     21,400        2,560   -9,609
     7    123,80                 1,104                      1199,941    1,161    1,044     11,700        5,710   -0,123
     8    185,90                 1,405                      1199,640    1,468    1,342     12,600       12,440   -2,420
E3        239,30                 1,808                      1199,237    1,890    1,726     16,400       10,400   -3,875
C2         0,00     1,087                  1,495   1200,637 1199,550                       0,000
      9   99,40                  1,309                      1199,328    1,345    1,285     6,000
     10   166,00                 1,605                      1199,032    1,641    1,570     7,100         6,550    -4,519
     11   187,40                 2,215                      1198,422    2,281    2,149     13,200        2,290   -26,638
     12   168,00                 1,721                      1198,916    1,849    1,598     25,100       10,930     4,520
E4        179,30                 2,004                      1198,633    2,127    1,885     24,200        8,190    -3,455
C3         0,00     1,224                  1,708   1200,153 1198,929                       0,000
     13   140,90                 1,643                      1198,510    1,711    1,578     13,300
     14   176,50                 2,102                      1198,051    2,199    2,005     19,400       10,250   -4,478
     15   188.9                  2,180                      1197,973    2,298    2,061     23,700        3,990   -1,955
     16   203,40                 2,145                      1198,008    2,262    2,021     24,100        4,080    0,858
E5        195,40                 1,919                      1198,234    2,012    1,876     13,600       10,030    2,253
C4         0,00     1,839                  2,181   1199,811 1197,972                       0,000
     17   248,00                 1,793                      1198,018    1,863    1,722     14,100
     18   263,00                 1,825                      1197,986    1,963    1,670     29,300       15,850   -0,202
     19   282,30                 1,741                      1198,070    1,915    1,568     34,700       11,270    0,745
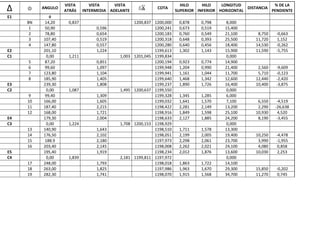
Cartera de campo

Cartera de campo

  • 1.
    VISTA VISTA VISTA HILO HILO LONGITUD % DE LA Δ ʘ ANGULO ATRÁS INTERMEDIA ADELANTE ɦѪ COTA SUPERIOR INFERIOR HORIZONTAL DISTANCIA PENDIENTE E1 0 BN 14,20 0,837 1200,837 1200,000 0,878 0,798 8,000 1 50,90 0,596 1200,241 0,673 0,519 15,400 2 78,80 0,654 1200,183 0,760 0,549 21,100 8,750 -0,663 3 107,40 0,519 1200,318 0,648 0,393 25,500 11,720 1,152 4 147,80 0,557 1200,280 0,640 0,456 18,400 14,530 -0,262 E2 201,10 1,224 1199,613 1,302 1,143 15,900 11,590 -5,755 C1 0,00 1,211 1,003 1201,045 1199,834 0,000 5 87,20 0,851 1200,194 0,923 0,774 14,900 6 99,60 1,097 1199,948 1,204 0,990 21,400 2,560 -9,609 7 123,80 1,104 1199,941 1,161 1,044 11,700 5,710 -0,123 8 185,90 1,405 1199,640 1,468 1,342 12,600 12,440 -2,420 E3 239,30 1,808 1199,237 1,890 1,726 16,400 10,400 -3,875 C2 0,00 1,087 1,495 1200,637 1199,550 0,000 9 99,40 1,309 1199,328 1,345 1,285 6,000 10 166,00 1,605 1199,032 1,641 1,570 7,100 6,550 -4,519 11 187,40 2,215 1198,422 2,281 2,149 13,200 2,290 -26,638 12 168,00 1,721 1198,916 1,849 1,598 25,100 10,930 4,520 E4 179,30 2,004 1198,633 2,127 1,885 24,200 8,190 -3,455 C3 0,00 1,224 1,708 1200,153 1198,929 0,000 13 140,90 1,643 1198,510 1,711 1,578 13,300 14 176,50 2,102 1198,051 2,199 2,005 19,400 10,250 -4,478 15 188.9 2,180 1197,973 2,298 2,061 23,700 3,990 -1,955 16 203,40 2,145 1198,008 2,262 2,021 24,100 4,080 0,858 E5 195,40 1,919 1198,234 2,012 1,876 13,600 10,030 2,253 C4 0,00 1,839 2,181 1199,811 1197,972 0,000 17 248,00 1,793 1198,018 1,863 1,722 14,100 18 263,00 1,825 1197,986 1,963 1,670 29,300 15,850 -0,202 19 282,30 1,741 1198,070 1,915 1,568 34,700 11,270 0,745