Embed presentation
Download as PDF, PPTX
























































































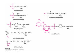
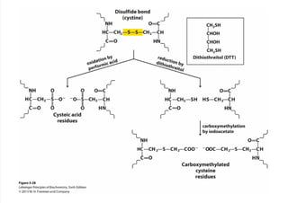
This chapter discusses amino acids, peptides, and proteins. Amino acids are the building blocks of proteins and contain an amino group, a carboxyl group, and a unique side chain. Peptides are short polymers of amino acids linked by peptide bonds. Proteins are linear polymers of amino acids that carry out most of the structural and catalytic functions in living organisms.






















































































