Academia Navală Mircea cel Bătrân, Constanța
Facultatea de Marină Civilă
Specializare: Inginerie și Management Naval și Portuar

Disciplina : Complemente de matematici în transporturi

Metode matematice aplicate în practica navală
Studiu de caz privind vasele de croazieră

Autori:

Coordonatori:
Folosirea metodelor matematice în practica navală tehnică și economică,
de orice nivel, constituie o preocupare cu efecte benefice în rezolvarea
problemelor actuale specifice domeniului.
Utilizarea matematicii în problemele specifice domeniului naval, tehnic
sau economic presupune de fapt accesarea cât mai adecvată a
modelelor matematice.
Elaborarea unui model matematic trebuie să respecte etapele:
• Obţinerea modelului descriptiv
• Formularea și elaborarea matematică a modelului descriptiv
• Studierea (cercetarea) modelului, etapă care presupune rezolvarea
practică a problemei pe model utilizând în mod special calculatorul.
“Croaziere Costa” realizează o croazieră în Marea
Mediterană, între Europa și Africa cu plecarea din Seville , Spania și
sosirea în Alexandria , Egipt.
819

481

475
410

a

f

885

b

645
d

472

1108

1001

541

1045
c

384

e

Legenda:
a – Spania , Seville
b – Franța , Marseille
c – Algeria , Algiers
d – Italia , Napoli

g

579

e – Tunisia , Tunis
f – Grecia , Patras
g – Egipt , Alexandria
L

a

b

c

d

e

f

g

a

0

ab
b

ac
c

0

0

0

0

b

0

0

bc
c

0

be
e

0

0

c

0

0

0

cd
d

0

0

0

d

da
a

db
b

0

0

0

df
f

0

e

0

0

ec
c

0

0

0

eg
g

f

0

fb
b

0

0

0

0

0

g

0

0

0

gd
d

0

gf
f

0
L
a
b
c
d
e
f
g

a b c d e f g
0 ab ac 0 0 0 0
0 0 bc 0 be 0 0
0 0 0 cd 0 0 0
da db 0 0 0 df 0
0 0 ec 0 0 0 eg
0 fb 0 0 0 0 0
0 0 0 gd 0 gf 0

a
0
0
0
a
0
0
0

a
b
c
d
e
f
g

b
b
0
0
b
0
b
0

c
c
c
0
0
c
0
0

d
0
0
d
0
0
0
d

e
0
e
0
0
0
0
0

a

b

c

d

e

f

g

0

0

abc

acd

abe

0

0

a
b
c

0

0

bec

bcd

0

0

beg

cda

cdb

0

0

0

cdf

0

d

0

dab
dfb

dac
dbc

0

dbe

0

0

e

0

0

0

ecd
egd

0

egf

0

f

0

0

fbc

0

fbe

0

0

g

gda

gdb
gfb

0

0

0

gdf

0

f
0
0
0
f
0
0
f

g
0
0
0
0
g
0
0
a

b

c

d

e

f

g

acdbe acdfbe
gf
g
0
0
cdabe
0
gf
0
0

a

0

0

0

0

0

b

0

0

0

0

0

c

0

0

0

0

0

d

0
egfbcd
a

0

0

0

0

0

0

0

0

0

0

0

0

0

0

0

0

0

0

e
f

0

0

fbegd
ac

g

gfbecd
a

0

0
819

481

475
410

a

f

885

b

645
d

472

1108

1001
g

579

541

1045
c

384

e
Problema determinării fluxului optim într-o reţea de transport

Posibilităţile de onorare a acestei cereri sunt limitate de
disponibilitatea fiecărei persoane deținută de cele 3 agenții de
crewing așa cum reiese din tabelul următor:

15

8

10

15

15

6

12

10

14

7

16

8
15
15

14
19

8
21

6

18

7

20

12

22

20

10

16

21
10
8

15
C
Γ
φ

C
Γ
φ

21

20

22

15

8

10

15

15

6

12

8

7

7

2

2

2

2

2

1

2

10

14

7

16

8

19

18

20

21

2

2

2

1

2

6

5

5

6

Se observă că fluxul φ este incomplet deoarece drumurile de mai
jos sunt nesaturate :
C
Γ
φ

C
Γ
φ

21

20

22

15

8

10

15

15

6

12

8

7

7

2

2

2

2

2

1

2

10

14

7

16

8

19

18

20

21

2

2

2

1

2

6

5

5

6

Pe fiecare din aceste drumuri fluxul poate fi majorat corespunzător
cu:
k1=min(21-8, 15-2, 196)=13
k2=min(21-8, 8-2, 18-5)=6
k3=min(21-8, 10-2, 20-5)=8
k4=min(21-8, 15-2, 216)=13
k5=min(20-7, 15-2, 196)=13
k6=min(20-7, 6-1, 18-5)=5
k7=min(20-7, 12-2, 205)=10
k8=min(20-7, 10-2, 21-6)=8
C
Γ
φ

C
Γ
φ

21

20

22

15

8

10

15

15

6

12

21
8

7

7

15
2

2

2

2

2

1

2

10

14

7

16

8

19

18

20

21

2

2

2

1

2

19
6

5

5

6

Pe fiecare din aceste drumuri fluxul poate fi majorat corespunzător
cu:
C
Γ
φ

C
Γ
φ

21

20

22

15

8

10

15

15

6

12

21

12
7

7

15

2

2

2

2

1
6

2

10

14

7

16

8

19

18

20

21

2

2

2

1

2

19

10
5

5

6

Pe fiecare din aceste drumuri fluxul poate fi majorat corespunzător
cu:
C
Γ
φ

C
Γ
φ

21

20

22

15

8

10

15

15

6

12

21

20
12

7

15

2

2

2

2

6

2

10

14

7

16

8

19

18

20

21

10
2

2

2

1

2

19

10

5

14
6

Pe fiecare din aceste drumuri fluxul poate fi majorat corespunzător
cu:
C
Γ
φ

C
Γ
φ

21

20

22

15

8

10

15

15

6

12

21

20

22
7

15

2

2

2

2

6

2

10

14

7

16

8

19

18

20

21

10

2

2

16
1

2

19

10

20
5

14

Pe fiecare din aceste drumuri fluxul poate fi majorat corespunzător
cu:
C
Γ
φ

21

20

22

15

8

10

15

15

6

12

21

20

22

15

2

2

2

2

6

2

C
Γ
φ

10

14

7

16

8

19

18

20

21

10

2

2

16

2

19

10

20

14

Numărul de
persoane disponibile
15

2

2

2

21

Numărul de
persoane
angajate
21

2

6

2

10

20

20

2

2

16

2

22

22

19

18

20

21

19

10

20

14

Cj
Dj

Cererile
angajatorului
Cererile
satisfăcute
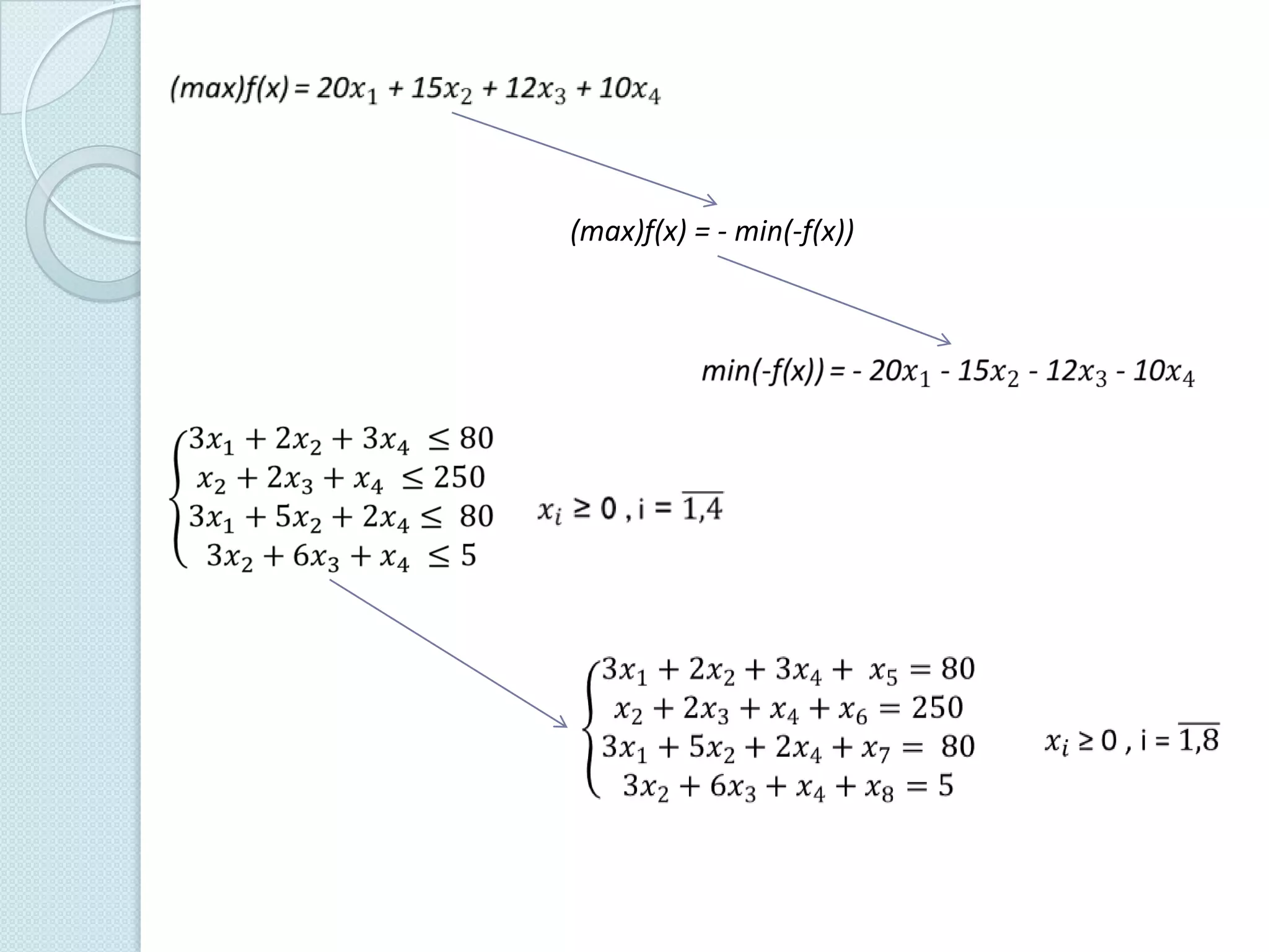
Problema amestecului optim sau a nutriției(dietei)
Se caută ca această dietă să conțină substanțe nutritive –
proteine, glucide, lipide și vitamine (calciu), în cantitățile minimale 80g,
250g, 80g și respectiv 5g regăsite în alimentele: carne, peste, lactate,
fructe și/sau legume, cu prețul corespunzător pe unitate 20, 15, 12
respectiv 10.

Alimentul
Substanța

Preț alimente
Unități de consum

Minim necesar
din substanța
nutritiva
(max)f(x) = - min(-f(x))
c

-20

-15

-12

-10

0

0

0

0

80

3

2

0

3

1

0

0

0

250

0

1

2

1

0

1

0

0

80

3

5

0

2

0

0

1

0

5

0

3

6

1

0

0

0

1

0

0

0

0

0

0

0

0

0

/

-20

-15

-12

-10

0

0

0

0

0

0
80

0
3

3
2

0

1
3

1

0

-1
0

0

0

250

0

1

2

1

0

1

0

0

-20

80/3

1

5/3

0

2/3

0

0

1/3

0

0

5

0

3

6

1

0

0

0

1

-1600/3

-20

-100/3

0

-40/3

0

0

-20/3

0

0

/
0

0
0

55/3
3

-12
0

10/3
1

0
1

0
0

120/3
-1

0
0

0

25

0

0

0

2/3

0

1

0

-1/3

-20

80/3

1

5/3

0

2/3

0

0

1/3

0

-12

5/3

0

1/2

1

1/6

0

0

0

1/6

-1660/3

-20

-118/3

-12

-46/3

0

0

-20/3

-2

/

0

73/3

0

16/3

0

0

20/3

2

(max)f(x) = - min(-f(x))
Problema de transport privind minimizarea costurilor

LEGENDĂ
P1=1100t PĂCURĂ

F1=ALGERIA

B1=500t

P2=300t MOTORINĂ F2=ITALIA

B2=210t

P3=10t ULEI

F3=TUNISIA

B3=400t

F4=EGIPT

B4=300t

Prețurile celor trei produse diferă de la țară la țară și se prezintă astfel:

PRODUS
FURNIZOR
F1-ALGERIA
F2-ITALIA
F3-TUNISIA
F4-EGIPT

PACURĂ
($/tona)

DIESEL
($/tona)

ULEI
($/tona)

650
640
660
645

355
345
350
455

300
310
290
295
Așadar, problema tratată este o problemă de transport cu capacități
limitate, iar forma tabelară arată astfel:

PRODUS
PACURĂ

DIESEL

ULEI

DISPONIBIL

FURNIZOR
F1 – Port 3
F2 – Port 4
F3 – Port 5
F4 – Port 6

NECESAR

650

355

300

640

345

310

660

350

290

645

455

295

500

500

210
400
300

300

1100

300

10

1410
PRODUS
PACURĂ

DIESEL

ULEI

DISPONIBIL

FURNIZOR
F1 – Port 3
F2 – Port 4
F3 – Port 5
F4 – Port 6

NECESAR

650
500

355
500

640

0
345

0

660

310

350

645

1100;800;300;0

0

290
90

455
300

0

210

300
300

300

10
295

0

300;90;0

0

10;0

500;0
210;0
400;390;90;0
300;0

1410
Având mai puține căsuțe ocupate decât m+n-1 rezultă că variabilele
duale (marginale) nu pot fi determinate.
Pentru înlăturarea acestui inconvenient se foloseşte metoda zerourilor
esențiale. Acesta constă în transformarea unor căsuțe libere în căsuțe ocupate cu
un 0*, numit zero esențial.
PRODUS
PACURĂ

DIESEL

ULEI

DISPONIBIL

FURNIZOR
F1 – Port 3
F2 – Port 4
F3 – Port 5
F4 – Port 6

NECESAR

650
500

355
500

640

0
345

0

660

310

350

645

1100;800;300;0

0

290
90

455
300

0

210

300
300

300

10
295

0*

300;90;0

0*

10;0

500;0
210;0
400;390;90;0
300;0

1410
PRODUS
FURNIZOR

PACURĂ
V1=650

F1 – Port 3
U1=0

650

650

500

500

F2 – Port 4
U2=5

640

655

F3 – Port 5
U3=10

660

F4 – Port 6
U4=-5

645

645

300

300

DIESEL
V2=340

NECESAR

355
345

280

345

0
310

285

210
350

300

1100;800;300;0

300

0

0
660

340

ULEI
V3=280

350

0
290

290

90
455

335

10
295

275

0*
300;90;0

0*
10;0

DISPONIBIL

500;0
210;0
400;390;90;0
300;0

1410
PRODUS
FURNIZOR

PACURĂ
V1=650

F1 – Port 3
U1=0

650

650

500

500

F2 – Port 4
U2=5

640

655

F3 – Port 5
U3=10

660

F4 – Port 6
U4=-5

645

645

300

300

DIESEL
V2=340

NECESAR

355
345

280

345

0
310

285

210
350

300

1100;800;300;0

300

0

0
660

340

ULEI
V3=280

350

0
290

290

90
455

335

10
295

275

0*
300;90;0

0*
10;0

DISPONIBIL

500;0
210;0
400;390;90;0
300;0

1410
Într-un ciclu marcăm alternativ cu + și – căsuțele, începând cu căsuța
liberă. Semnele se trec în colțul din stânga jos al căsuței.

PRODUS
FURNIZOR

PACURĂ
V1=650

DIESEL
V2=340

F1 – Port 3
U1=0

650

650

500

500

F2 – Port 4
U2=5

640

655

345

345

+

0

-

210

F3 – Port 5
U3=10

660

660

350

350

-

300

+

90

F4 – Port 6
U4=-5

645

645

455

335

300

300

ULEI
V3=280

NECESAR

1100;800;300;0

355

340

300

280

0

0
310

285

0
290

290
10

295

275

0*
300;90;0

0*
10;0

DISPONIBIL

500;0
210;0
400;390;90;0
300;0

1410
PRODUS
FURNIZOR

PACURĂ
V1=650

DIESEL
V2=340

F1 – Port 3
U1=0

650

650

500

500

F2 – Port 4
U2=-10

640

640

345

330

+

210

-

0

F3 – Port 5
U3=10

660

660

350

350

-

90

+

300

F4 – Port 6
U4=-5

645

645

455

335

300

300

ULEI
V3=280

NECESAR

1100;800;300;0

355

340

300

280

0

0
310

270
0

290

290
10

295

275

0*

300;90;0

0*

10;0

DISPONIBIL

500;0
210;0

400;390;90;0
300;0

1410

min(f) = 650 * 500 + 640 * 210 + 660 * 90 + 645 * 300 + 350 * 300 + 290 * 10 =
852.700$
Concluzii
În lucrarea de față au fost tratate probleme
specifice unui vas de croazieră, dar metodele
matematice pot fi cu ușurință folosite și în
rezolvarea unor probleme de optimizare a activităţii
unor instituții, întreprinderi, a unor societăţi de
comerţ sau cu preocupări agricole.
 Cu ajutorul elementelor de teorie, reduse la strictul
necesar și al exemplelor adecvate, bogat ilustrate,
prezenta lucrare are menirea să evidențieze o
parte din problemele reale cu care se confruntă
armatorii în planificarea unui voiaj și să aducă
soluții matematice, ușor aplicabile.

VĂ MULȚUMIM!

Calculul drumului scurt