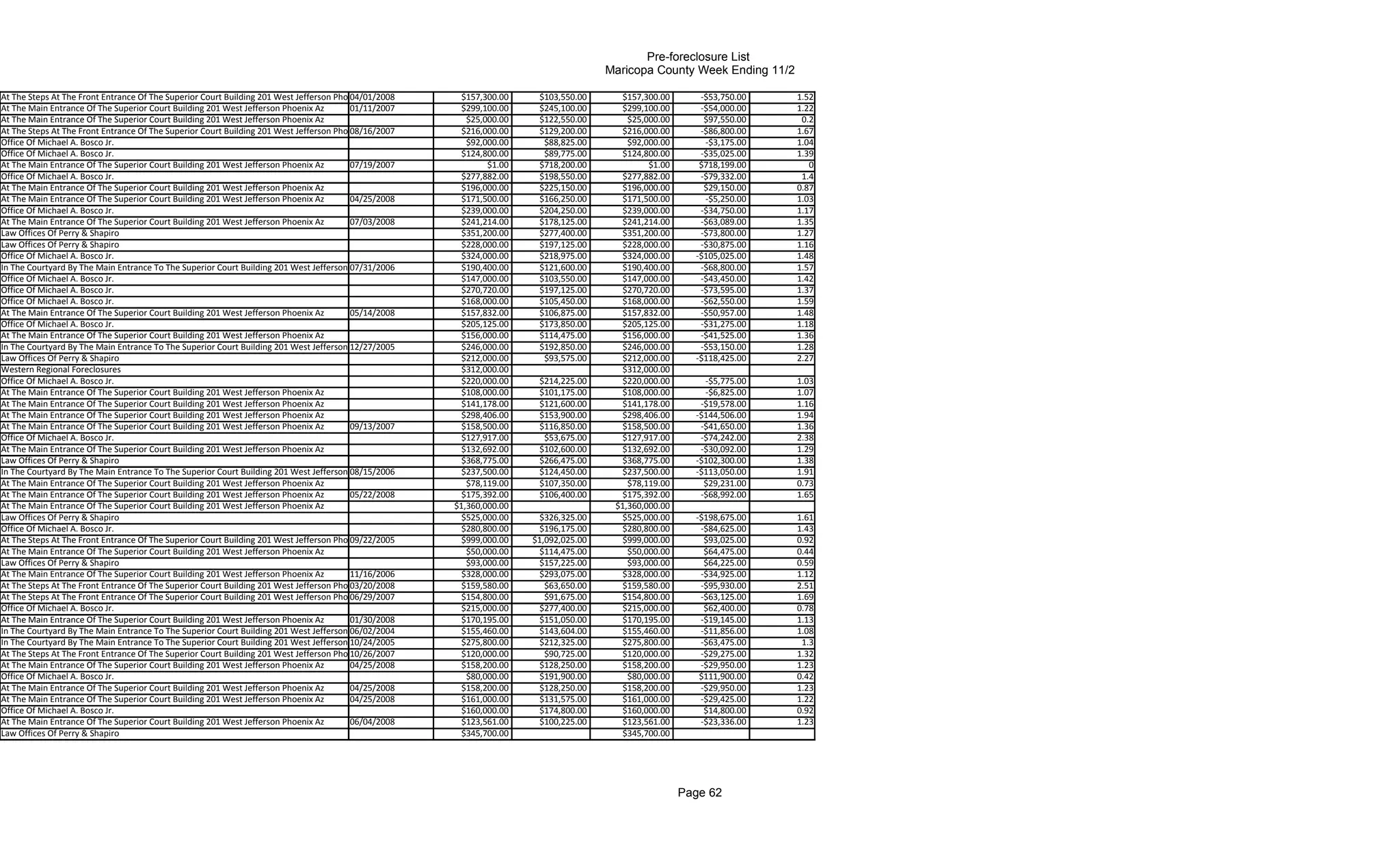
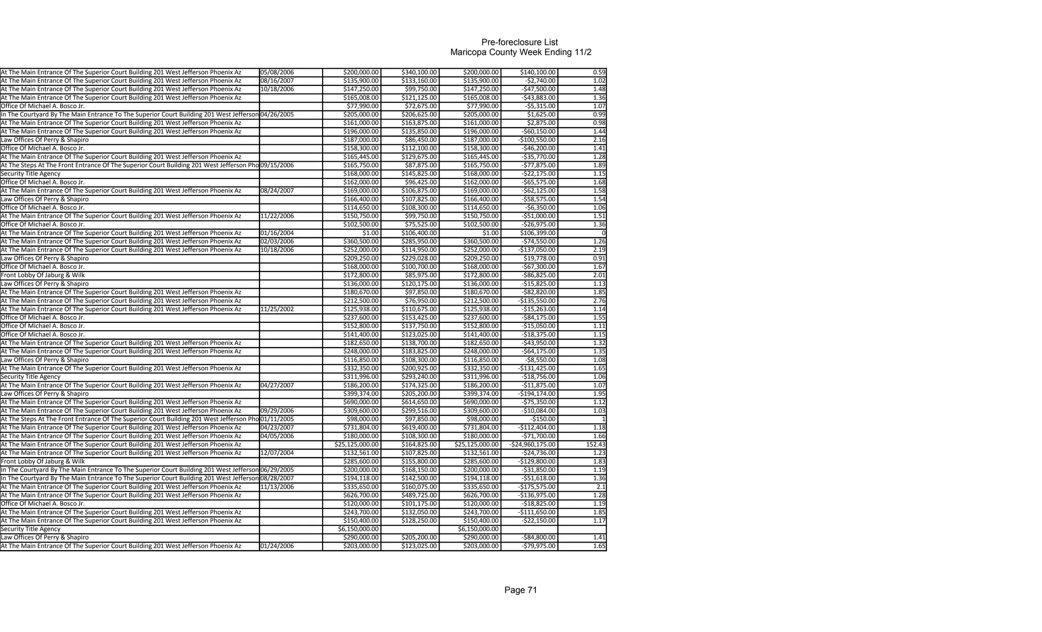
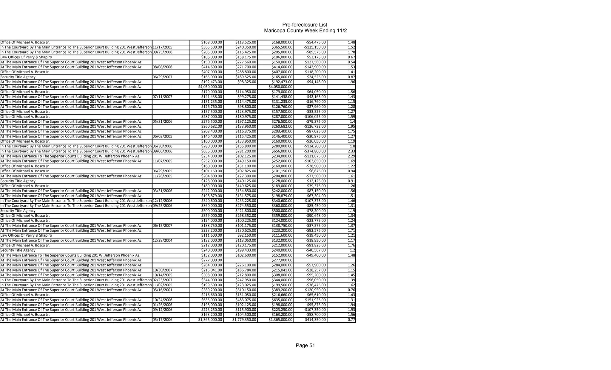
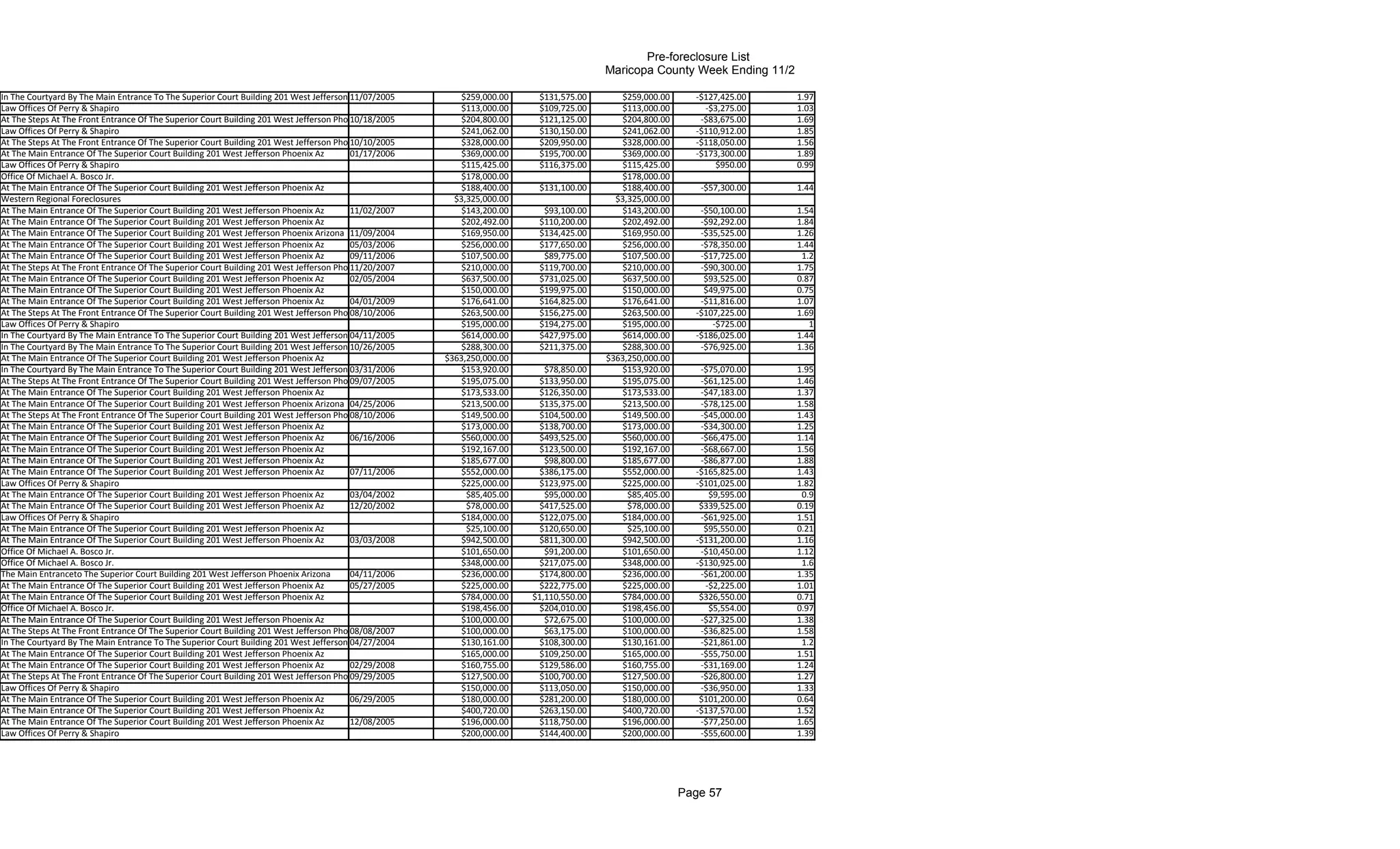
Pre-foreclosure List
                                                                                                                                         Maricopa County Week Ending 11/2

Visit http://www.InvestmentRealEstateCorner.com
Learn How to Profit from real estate properties not on the MLS
Property Address          Property City   Pstate   Pzip     Assessor Parcel #   County     Property Owner               Phone             Mailing Address           Mailing City       Mstate   Mzip    Bed       Bath        Sqft    Lot Size        Year Built   Report Date   Record Date   Property Type
9845 N 103rd Dr           Sun City        AZ          85351 142-84-229          Maricopa   Patrick Regan                                  9845 N 103rd Dr           Sun City           AZ         85351                2         1733            0.32 1967         11/02/2009    10/30/2009    Single Family Residence
9817 E Escondido Ave      Mesa            AZ          85208 220-72-354          Maricopa   Marisol Acosta               (480) 219-3153    9817 E Escondido Ave      Mesa               AZ         85208                6         1525            0.07 2005         11/02/2009    10/29/2009    Single Family Residence
9754 E Juanita Ave        Mesa            AZ          85209 220-80-785          Maricopa   Tsue Sachi                   (602) 370-1300    9754 E Juanita Ave        Mesa               AZ         85209             2.75         1945            0.15 1998         11/02/2009    10/30/2009    Single Family Residence
9517 W Hazelwood St       Phoenix         AZ          85037 102-18-711          Maricopa   Jeffrey Mckee                                  9517 W Hazelwood St       Phoenix            AZ         85037              3.5         2663            0.12 2001         11/02/2009    10/30/2009    Single Family Residence
9436 W Eaton Pl           Phoenix         AZ          85037 102-34-895          Maricopa   Reemakumar Walia                               9436 W Eaton Rd           Phoenix            AZ         85037                9         1935            0.08 2003         11/02/2009    10/30/2009    Single Family Residence
9392 W Cordes Rd          Tolleson        AZ          85353 101-27-552          Maricopa   Robert Mansfield                               9392 W Cordes Rd          Tolleson           AZ         85353               10         2166            0.09 2005         11/02/2009    10/30/2009    Single Family Residence
906 S Farmer Ave          Tempe           AZ          85281 124-69-086          Maricopa   Timothy R Wright                               906 S Farmer Ave          Tempe              AZ         85281                3         1632            0.14 1981         11/02/2009    10/30/2009    Single Family Residence
9039 N 3rd Ave            Phoenix         AZ          85021 159-48-124          Maricopa   Ccc Avenue Rd Llc                              9039 N 3rd Ave            Phoenix            AZ         85021                1         1037            0.14 1947         11/02/2009    10/30/2009    Single Family Residence
9035 W Magnolia St        Tolleson        AZ          85353 101-57-622          Maricopa   Jason E Kenyon                                 3881 Kendall St           San Diego          CA         92109                9         2025            0.12 2005         11/02/2009    10/30/2009    Single Family Residence
899 N 87th Pl             Scottsdale      AZ          85257 131-07-106          Maricopa   Sara Cryer                                     899 N 87th Pl             Scottsdale         AZ         85257                2         1408            0.11 1978         11/02/2009    10/30/2009    Single Family Residence
8826 W Lawrence Ln        Peoria          AZ          85345 142-35-204          Maricopa   Rodney Michelle A Krop       (623) 322-8678    8826 W Lawrence Ln        Peoria             AZ         85345                2         1171            0.16 1987         11/02/2009    10/30/2009    Single Family Residence
8545 E Remuda Tr          Scottsdale      AZ          85255 212-08-139          Maricopa   James Melanie Naslund                          8545 E Remuda Dr          Scottsdale         AZ         85255               19         4278             0.9 1995         11/02/2009    10/30/2009    Other
8447 W Tether Tr          Peoria          AZ          85383 201-06-795          Maricopa   Theodore Kellie Olsen                          8447 W Tether Trl         Peoria             AZ         85383               12         3187            0.16 2004         11/02/2009    10/30/2009    Single Family Residence
8161 E Osage Ave          Mesa            AZ          85212 304-04-497          Maricopa   Andrea Joyner                                  8161 E Osage Ave          Mesa               AZ         85212                2         1937            0.11 1998         11/02/2009    10/30/2009    Single Family Residence
8124 S 73rd Dr            Phoenix         AZ          85339 300-01-908          Maricopa   Patricia Clarke              (602) 651-1227    8124 S 73rd Dr            Laveen             AZ         85339                6         1340            0.11 2007         11/02/2009    10/30/2009    Other
8122 E Obispo Ave         Mesa            AZ          85212 304-04-454          Maricopa   William Veach                (480) 380-6165    8122 E Obispo Ave         Mesa               AZ         85212                2         1544            0.12 1998         11/02/2009    10/30/2009    Single Family Residence
8101 E 5th Ave            Mesa            AZ          85208 218-31-071          Maricopa   Charles Connie Grandstaff    (480) 529-1423    8101 E 5th Ave            Mesa               AZ         85208                                          0.18              11/02/2009    10/30/2009    Mobile Home
8002 W Mariposa Dr        Phoenix         AZ          85033 102-79-125          Maricopa   Robertaflores Bahena         (623) 934-9871    8002 W Mariposa Dr        Phoenix            AZ         85033                1        1078             0.12 1978         11/02/2009    10/30/2009    Single Family Residence
7944 W Greer Ave          Peoria          AZ          85345 142-10-016          Maricopa   Anna E Garcia                                  7944 W Greer Ave          Peoria             AZ         85345                2        1743             0.17 1985         11/02/2009    10/30/2009    Single Family Residence
7834 W Midway Ave         Glendale        AZ          85303 142-26-294          Maricopa   Roberta C Kelley             (623) 435-6415    7834 W Midway Ave         Glendale           AZ         85303             2.75        1490             0.13 1991         11/02/2009    10/30/2009    Single Family Residence
762 S 38th St             Mesa            AZ          85206 140-38-122          Maricopa   Freeman Jrsharon             (480) 983-4090    762 S 38th St             Mesa               AZ         85206                7        1351             0.18 1985         11/02/2009    10/30/2009    Single Family Residence
7553 E Monte Ave          Mesa            AZ          85209 309-07-609          Maricopa   David Golec                                    7553 E Monte Ave          Mesa               AZ         85209                3        1544             0.12 1995         11/02/2009    10/30/2009    Single Family Residence
7454 E Black Rock Rd      Scottsdale      AZ          85255 212-05-236          Maricopa   Peter Laura Keyser           (480) 794-1015    7454 E Black Rock Rd      Scottsdale         AZ         85255             3.75        3834             0.16 1994         11/02/2009    10/30/2009    Single Family Residence
7229 N 26th Ln            Phoenix         AZ          85051 157-31-034          Maricopa   Hector Silvia Vidrio                           7229 N 26th Ln            Phoenix            AZ         85051                1        1433             0.14 1948         11/02/2009    10/30/2009    Single Family Residence
715 E Lola Dr             Phoenix         AZ          85022 214-12-180          Maricopa   Zeljomir Andja Djurdjevic    (602) 996-4873    715 E Lola Dr             Phoenix            AZ         85022       2        2         892             0.03 1983         11/02/2009    10/30/2009    Single Family Residence
7118 W Maldonado Rd       Phoenix         AZ          85339 104-84-367          Maricopa   Cristina I Montoya                             3102 Demavend Rd Ne       Rio Rancho         NM         87144               12        2712             0.15 2007         11/02/2009    10/30/2009    Other
7002 W Indian School Rd   Phoenix         AZ          85033 144-40-003-f        Maricopa   Properties Mtan Llc                            7002 W Indian School Rd   Phoenix            AZ         85033                                          8.29              11/02/2009    10/30/2009    Other
6862 S Topaz Pl           Chandler        AZ          85249 313-09-509          Maricopa   Kenneth Gaylord                                3100 E Cedar Dr           Chandler           AZ         85249               10        2835             0.25 2004         11/02/2009    10/30/2009    Single Family Residence
6849 W Peak View Rd       Phoenix         AZ          85383 201-03-879          Maricopa   Khai Bui                                       6849 W Peak View Rd       Peoria             AZ         85383               15        4054             0.16 2006         11/02/2009    10/30/2009    Other
6834 W Palo Verde Dr      Glendale        AZ          85303 144-25-513          Maricopa   Yvonne Martinez                                6834 W Palo Verde Dr      Glendale           AZ         85303              2.5        1344             0.12 2001         11/02/2009    10/30/2009    Single Family Residence
6809 W Maldonado Rd       Phoenix         AZ          85339 104-83-225          Maricopa   James E Pletsch                                6809 W Maldonado Rd       Laveen             AZ         85339               11        2406             0.16 2006         11/02/2009    10/30/2009    Other
6631 W Christy Dr         Glendale        AZ          85304 143-03-058          Maricopa   Pablode Palacios             (623) 773-9524    6631 W Christy Dr         Glendale           AZ         85304                2        1438             0.13 1979         11/02/2009    10/30/2009    Single Family Residence
6628 W Adams St           Phoenix         AZ          85043 104-08-075          Maricopa   Daniel A Sutliff                               6628 W Adams St           Phoenix            AZ         85043       4        2        1623             0.05 2006         11/02/2009    10/30/2009    Single Family Residence
6378 N 78th Dr            Glendale        AZ          85303 102-06-781          Maricopa   Nelson Ocherry                                 6378 N 78th Dr            Glendale           AZ         85303       4        2        1519             0.14 2000         11/02/2009    10/30/2009    Single Family Residence
6224 S El Camino Dr       Guadalupe       AZ          85283 301-81-075          Maricopa   Kirk Callaghan                                 6224 S El Camino Dr       Guadalupe          AZ         85283                3        1638              0.2 1972         11/02/2009    10/30/2009    Single Family Residence
6184 N 87th Ln            Glendale        AZ          85305 102-04-413          Maricopa   Carlos Delgado                                 6184 N 87th Ln            Glendale           AZ         85305                6        1895             0.18 1991         11/02/2009    10/29/2009    Other
6132 W Virginia Ave       Phoenix         AZ          85035 103-14-152          Maricopa   Marquez Irene                                  6132 W Virginia Ave       Phoenix            AZ         85035                2        1344             0.12 1978         11/02/2009    10/30/2009    Single Family Residence
6102 E Friess Dr          Phoenix         AZ          85254 215-61-254          Maricopa   Robert Welsh                                   6102 E Friess Dr          Scottsdale         AZ         85254                8        2155             0.37 1979         11/02/2009    10/30/2009    Other
6036 W Wood St            Phoenix         AZ          85043 104-57-287          Maricopa   Rosemary Evans                                 6036 W Wood St            Phoenix            AZ         85043             2.75        1828             0.11 2002         11/02/2009    10/30/2009    Single Family Residence
6026 W Morrow Dr          Glendale        AZ          85308 200-28-194          Maricopa   David B Coble                (623) 910-1279    6026 W Morrow Dr          Glendale           AZ         85308       5        3        2603             0.15 1995         11/02/2009    10/30/2009    Other
5926 W Golden Ln          Glendale        AZ          85302 143-13-053          Maricopa   Ignacio Lopez                                  5926 W Golden Ln          Glendale           AZ         85302                3        1122             0.02 1972         11/02/2009    10/30/2009    Condominium
5703 N 73rd Ln            Glendale        AZ          85303 144-21-391          Maricopa   Adrian Morales                                 9713 La Jolla Dr Unit D   Rancho Cucamonga   CA         91701                2        1451             0.18 2000         11/02/2009    10/30/2009    Single Family Residence
5638 W Lydia Ln           Phoenix         AZ          85339 104-91-196          Maricopa   Miguel A Duran                                 5638 W Lydia Ln           Laveen             AZ         85339                8        1763             0.12 2004         11/02/2009    10/30/2009    Other
5546 W Wilshire Dr        Phoenix         AZ          85035 103-15-117          Maricopa   Martin Rosas                                   5546 W Wilshire Dr        Phoenix            AZ         85035                2        1387             0.14 1969         11/02/2009    10/30/2009    Single Family Residence
5464 W Osborn Rd          Phoenix         AZ          85031 103-38-133          Maricopa   Lopez Irma                                     5464 W Osborn Rd          Phoenix            AZ         85031                2        1601             0.17 1956         11/02/2009    10/30/2009    Single Family Residence
5437 S 44th Pl            Phoenix         AZ          85040 123-11-070          Maricopa   Sanjuanita Vera                                5437 S 44th Pl            Phoenix            AZ         85040                2        1288             0.13 1971         11/02/2009    10/30/2009    Single Family Residence
5426 S 35th Ave           Phoenix         AZ          85041 105-72-074          Maricopa   Bernarda Cristina Murillo                      5426 S 35th Ave           Phoenix            AZ         85041             1.75        1040             0.12 1960         11/02/2009    10/30/2009    Single Family Residence
5408 W Wolf St            Phoenix         AZ          85031 144-53-070          Maricopa   Deleon Zonia                                   5408 W Wolf St            Phoenix            AZ         85031                2        2243             0.17 1957         11/02/2009    10/30/2009    Single Family Residence
540 N Emery               Mesa            AZ          85207 220-11-524          Maricopa   Romero Alicia                (480) 275-8560    540 N Emery               Mesa               AZ         85207                6        1530             0.13 1998         11/02/2009    10/29/2009    Single Family Residence
5344 W Evans Dr           Glendale        AZ          85306 231-03-255          Maricopa   David Kearley                (623) 695-6332    5344 W Evans Dr           Glendale           AZ         85306                2        1839             0.14 1973         11/02/2009    10/30/2009    Single Family Residence
5321 W Campbell Ave       Phoenix         AZ          85031 144-44-047          Maricopa   Vista American Llc                             5321 W Campbell Ave       Phoenix            AZ         85031                         4322             0.25 1973         11/02/2009    10/30/2009    Multi-unit
5305 S 51st Dr            Phoenix         AZ          85339 104-74-603          Maricopa   Sianone Vilayphone Nanthavong                  5305 S 51st Dr            Laveen             AZ         85339                  12     3024             0.17 2005         11/02/2009    10/30/2009    Other




                                                                                                                                                         Page 1
Pre-foreclosure List
                                                                                                                            Maricopa County Week Ending 11/2

528 W 17th Pl            Tempe             AZ   85281 124-64-022     Maricopa   Timothy R Wright                             528 W 17th Pl             Tempe             AZ   85281          2   1656   0.15 1959   11/02/2009   10/30/2009   Single Family Residence
519 W Kelton Ln          Phoenix           AZ   85023 208-34-509     Maricopa   Larson David                                 519 W Kelton Ln           Phoenix           AZ   85023   3      2   1615   0.87 1994   11/02/2009   10/29/2009   Single Family Residence
5160 W Morten Ave        Glendale          AZ   85301 147-19-242     Maricopa   David Saballa Jr                             5160 W Morten Ave         Glendale          AZ   85301        3.5   1833   0.14 2000   11/02/2009   10/30/2009   Single Family Residence
515 E Sherri Dr          Gilbert           AZ   85296 309-14-395     Maricopa   Scott M Monroe                               515 E Sherri Dr           Gilbert           AZ   85296       2.75   1283   0.11 1997   11/02/2009   10/30/2009   Single Family Residence
5101 E Shasta St         Phoenix           AZ   85044 301-59-220     Maricopa   Michael R Stang            (480) 232-2751    42790 W Hillman Dr        Maricopa          AZ   85138          6   1948   0.14 1983   11/02/2009   10/30/2009   Single Family Residence
4866 W Rancho Dr         Glendale          AZ   85301 145-01-235     Maricopa   Llc Wemato                                   4866 W Rancho Dr          Glendale          AZ   85301       1.75    972     73 1979   11/02/2009   10/30/2009   Condominium
4852 W Cheryl Dr         Glendale          AZ   85302 148-05-056     Maricopa   Frederick Throne           (623) 937-1932    4852 W Cheryl Dr          Glendale          AZ   85302          2   1717   0.13 1973   11/02/2009   10/30/2009   Single Family Residence
4758 E Princess Dr       Mesa              AZ   85205 141-73-024     Maricopa   Daniel S Johnston                            4758 E Princess Dr        Mesa              AZ   85205          2   1568   0.33 1948   11/02/2009   10/30/2009   Single Family Residence
4741 W Beverly Ln        Glendale          AZ   85306 207-27-304     Maricopa   Fallon Roy                                   4741 W Beverly Ln         Glendale          AZ   85306          2   1157   0.18 1979   11/02/2009   10/30/2009   Single Family Residence
4730 W St Kateri Dr      Phoenix           AZ   85339 104-77-472     Maricopa   Kelvin Ong                                   4730 W St Kateri Dr       Phoenix           AZ   85339   3      2   2142   0.12 2006   11/02/2009   10/30/2009   Single Family Residence
4729 N 65th St           Phoenix           AZ   85251 173-82-030     Maricopa   Ziff Lease                                   4729 N 65th Dr            Phoenix           AZ   85033          2   1595   0.16 1974   11/02/2009   10/30/2009   Single Family Residence
4705 S 23rd Ln           Phoenix           AZ   85041 105-65-787     Maricopa   Larios Lucze                                 4705 S 23rd Ln            Phoenix           AZ   85041          6   1524   0.12 2007   11/02/2009   10/30/2009   Other
4649 W Virginia Ave      Phoenix           AZ   85035 103-22-200     Maricopa   Jesus Chavez               (602) 278-9530    4649 W Virginia Ave       Phoenix           AZ   85035          2   1093   0.19 1982   11/02/2009   10/30/2009   Single Family Residence
4545 N 67th Ave 1131     Phoenix           AZ   85033 144-87-004     Maricopa   Donald Mcdonald                              701 S Dobson Rd Lot 468   Mesa              AZ   85202        2.5   1339    0.1 1997   11/02/2009   10/30/2009   Single Family Residence
4541 S Ranger Tr         Gilbert           AZ   85297 313-02-928     Maricopa   Khanh Pho                  (480) 393-3217    4541 S Ranger Trl         Gilbert           AZ   85297         15   4211   0.21 2005   11/02/2009   10/30/2009   Single Family Residence
4514 E Melinda Ln        Phoenix           AZ   85050 212-34-609     Maricopa   Mitchell Maria Edelstein                     4514 E Melinda Ln         Phoenix           AZ   85050       2.75   1962   0.11 1997   11/02/2009   10/30/2009   Single Family Residence
4501 N 49th Dr           Phoenix           AZ   85031 145-20-049     Maricopa   Hector Garcia                                4501 N 49th Dr            Phoenix           AZ   85031          2   1557   0.17 1957   11/02/2009   10/30/2009   Single Family Residence
4442 E Wood St           Phoenix           AZ   85040 124-55-476     Maricopa   Arroyo Soto                                  4442 E Wood St            Phoenix           AZ   85040   3      1   1008   0.02 1973   11/02/2009   10/30/2009   Other
4415 N 23rd Ave          Phoenix           AZ   85015 154-16-005-b   Maricopa   Michael Milazzo                              4415 N 23rd Ave           Phoenix           AZ   85015              2522   0.22 1961   11/02/2009   10/30/2009   Multi-unit
4411 N 71st Dr           Phoenix           AZ   85033 144-39-372     Maricopa   Anaaldas Ortega                              4411 N 71st Dr            Phoenix           AZ   85033   3      2   1280   0.13 1970   11/02/2009   10/30/2009   Single Family Residence
434 W Beautiful Ln       Phoenix           AZ   85041 300-40-182     Maricopa   Kenneth Wharton                              434 W Beautiful Ln        Phoenix           AZ   85041          7   1458   0.13 2004   11/02/2009   10/30/2009   Single Family Residence
4333 W Park Pl           Glendale          AZ   85306 207-26-454     Maricopa   Mark Montoya                                 Po Box 484                Glendale          AZ   85311   4      2   1848   0.18 1980   11/02/2009   10/30/2009   Single Family Residence
4329 W Claremont St      Glendale          AZ   85301 146-31-067     Maricopa   Contreras Ricardonorma                       4329 W Claremont St       Glendale          AZ   85301          2   2280   0.14 1963   11/02/2009   10/30/2009   Single Family Residence
427 S Nevada Wy          Mesa              AZ   85204 139-22-007     Maricopa   Hernandez Jacqueline       (480) 649-3815    427 S Nevada Way          Mesa              AZ   85204          1   1180   0.15 1950   11/02/2009   10/30/2009   Single Family Residence
42406 N 46th Ln          Anthem            AZ   85086 203-04-038     Maricopa   Michael Morquecho          (623) 551-9265    42406 N 46th Ln           Anthem            AZ   85086          7   1757   0.11 2004   11/02/2009   10/30/2009   Single Family Residence
424 S Chatsworth         Mesa              AZ   85208 220-71-805     Maricopa   Donald Patricia E Barker   (480) 986-4225    424 S Chatsworth          Mesa              AZ   85208          3   2071   0.19 1999   11/02/2009   10/30/2009   Single Family Residence
3925 W Christy Dr        Phoenix           AZ   85029 149-34-330     Maricopa   John Mckee Jr                                3925 W Christy Dr         Phoenix           AZ   85029   3    2.5   1338   0.14 1978   11/02/2009   10/30/2009   Single Family Residence
3817 E Bridgeport Pkwy   Gilbert           AZ   85295 309-29-597     Maricopa   Nils Amundson                                3817 E Bridgeport Pkwy    Gilbert           AZ   85295        10    2412   0.11 2006   11/02/2009   10/30/2009   Single Family Residence
3775 S Laurel Wy         Chandler          AZ   85286 303-92-104     Maricopa   Laurie Estates Llc                           3775 S Laurel Way         Chandler          AZ   85286          8   1533   0.08 2004   11/02/2009   10/30/2009   Condominium
3758 E Phelps St         Gilbert           AZ   85295 313-10-638     Maricopa   Larhonda Magras                              3758 E Phelps St          Gilbert           AZ   85295        10    2412   0.12 2007   11/02/2009   10/30/2009   Single Family Residence
3746 W Griswold Rd       Phoenix           AZ   85051 150-17-188     Maricopa   Felipe Nadia Andrade                         3746 W Griswold Rd        Phoenix           AZ   85051          2   1784   0.16 1966   11/02/2009   10/30/2009   Single Family Residence
3709 W Pleasant Ln       Phoenix           AZ   85041 105-90-801     Maricopa   Melanie Miller                               3709 W Pleasant Ln        Phoenix           AZ   85041        10    2634   0.12 2005   11/02/2009   10/30/2009   Single Family Residence
3675 E Constitution Ct   Gilbert           AZ   85296 304-28-115--   Maricopa   Spencer Preston                              3675 E Constitution Dr    Gilbert           AZ   85296          8   2167   0.13 2003   11/02/2009   10/30/2009   Single Family Residence
3647 W Luke Ave          Phoenix           AZ   85019 145-11-121     Maricopa   Ruben Ramirez                                3647 W Luke Ave           Phoenix           AZ   85019          6   1617   0.13 1957   11/02/2009   10/30/2009   Single Family Residence
3638 E Leslie Dr         Gilbert           AZ   85296 313-14-446     Maricopa   Thomas Jarboe                                Po Box 602                Higley            AZ   85236        10    2187   0.04 2007   11/02/2009   10/30/2009   Single Family Residence
3636 W Beryl Ave         Phoenix           AZ   85051 149-36-029     Maricopa   Etter Renee                                  3636 W Beryl Ave          Phoenix           AZ   85051          2   1792   0.16 1968   11/02/2009   10/30/2009   Single Family Residence
3625 W St Moritz Ln      Phoenix           AZ   85053 207-10-355     Maricopa   Lourdes Bernal             (602) 314-5147    3625 W Saint Moritz Ln    Phoenix           AZ   85053        2.5   1980   0.14 1971   11/02/2009   10/30/2009   Single Family Residence
3562 E Harwell Rd        Gilbert           AZ   85234 313-11-247     Maricopa   Green Brian                                  3562 E Harwell Rd         Gilbert           AZ   85234   5    2.5   2623    0.1 2006   11/02/2009   10/30/2009   Single Family Residence
3529 E Mckinley St       Phoenix           AZ   85008 121-10-084     Maricopa   Jesus Rodriguez                              3529 E Mckinley St        Phoenix           AZ   85008          2   1930   0.16 1975   11/02/2009   10/30/2009   Single Family Residence
3523 N 35th Dr           Phoenix           AZ   85019 107-07-037     Maricopa   Marijo Johnson                               3523 N 35th Dr            Phoenix           AZ   85019          3   1042   0.16 1951   11/02/2009   10/30/2009   Single Family Residence
3413 N 70th Ave          Phoenix           AZ   85033 102-84-944     Maricopa   Guadalupe Borquez                            3413 N 70th Ave           Phoenix           AZ   85033        2.5   1822   0.19 1997   11/02/2009   10/30/2009   Single Family Residence
3391 E Boston Ct         Gilbert           AZ   85295 304-48-062     Maricopa   Chad E Brockman                              3391 E Boston Ct          Gilbert           AZ   85295          6   1450   0.13 2001   11/02/2009   10/30/2009   Single Family Residence
3345 E Geronimo Ct       Gilbert           AZ   85295 304-48-587     Maricopa   John Follett               (480) 664-7135    3345 E Geronimo Ct        Gilbert           AZ   85295        12    3298   0.15 2003   11/02/2009   10/30/2009   Single Family Residence
325 N 103rd Pl           Apache Junction   AZ   85220 220-45-049     Maricopa   Donald Karen Barr                            325 N 103rd Pl            Apache Junction   AZ   85120   3      3   2042   0.08 2004   11/02/2009   10/30/2009   Single Family Residence
32409 N 23rd Ave         Phoenix           AZ   85085 204-12-896     Maricopa   William Cave III                             32409 N 23rd Ave          Phoenix           AZ   85085          9   1882   0.07 2005   11/02/2009   10/30/2009   Single Family Residence
321 E Melody Dr          Gilbert           AZ   85234 304-10-403     Maricopa   Jeremy Mcconnell                             321 E Melody Dr           Gilbert           AZ   85234          2   1160   0.15 1983   11/02/2009   10/30/2009   Single Family Residence
320 W Wisteria Pl        Sun Lakes         AZ   85248 303-87-465     Maricopa   Timothy Billington                           320 W Wisteria Pl         Sun Lakes         AZ   85248          8   1800   0.09 2006   11/02/2009   10/30/2009   Single Family Residence
318 E Vine Cir           Mesa              AZ   85210 139-36-099     Maricopa   Vista American Llc                           318 E Vine Cir            Mesa              AZ   85210              2918   0.14 1985   11/02/2009   10/30/2009   Multi-unit
3136 W Quail Track Dr    Phoenix           AZ   85083 205-03-105     Maricopa   Mariusz Buchna             (623) 594-7092    3136 W Quail Track Dr     Phoenix           AZ   85083   5      3   3466    0.2 2002   11/02/2009   10/30/2009   Single Family Residence
3034 N 46th Dr           Phoenix           AZ   85031 107-42-033-b   Maricopa   Jude Dodson                                  3034 N 46th Dr            Phoenix           AZ   85031        2.5   3031   0.55 1961   11/02/2009   10/30/2009   Single Family Residence
29806 N 49th Pl          Phoenix           AZ   85331 211-41-545     Maricopa   Justin C Brown                               25637 N 114th Way         Scottsdale        AZ   85255        10    2581   0.15 1996   11/02/2009   10/30/2009   Other
28438 N 46th Pl          Phoenix           AZ   85331 211-40-305     Maricopa   Tomasz Magdalena Latusek                     28438 N 46th Pl           Cave Creek        AZ   85331          3   1748   0.08 1990   11/02/2009   10/30/2009   Single Family Residence
2837 E Palm Ln           Phoenix           AZ   85008 120-27-001-a   Maricopa   Oscar Anna Duarte          (520) 450-1787    2837 E Palm Ln            Phoenix           AZ   85008          1   1053   0.15 1930   11/02/2009   10/30/2009   Single Family Residence
2836 E Turquoise Dr      Phoenix           AZ   85028 165-28-029     Maricopa   Fink Antonio                                 2836 E Turquoise Dr       Phoenix           AZ   85028        2.5   1502   0.26 1962   11/02/2009   10/30/2009   Single Family Residence
2709 E Schiliro Cir      Phoenix           AZ   85032 214-04-088     Maricopa   Oliveth D Serafica                           2709 E Schiliro Cir       Phoenix           AZ   85032        11    1842   0.05 2003   11/02/2009   10/30/2009   Condominium
267 N Jefferson St       Wickenburg        AZ   85390 505-48-054-a   Maricopa   Lyle D Stotz               (928) 671-1667    443 W Wickenburg Way      Wickenburg        AZ   85390                     0.14        11/02/2009   10/30/2009   Other
26627 S Drifter Dr       Sun Lakes         AZ   85248 303-59-653     Maricopa   Charles Bruening Jr                          26627 S Drifter Dr        Sun Lakes         AZ   85248       2.75   1948   0.16 1986   11/02/2009   10/30/2009   Single Family Residence




                                                                                                                                            Page 2
Pre-foreclosure List
                                                                                                                          Maricopa County Week Ending 11/2

2605 E Edgemont Ave      Phoenix         AZ   85008 120-34-071     Maricopa   Lorraine Robinson                            2605 E Edgemont Ave         Phoenix            AZ   85008          2    1393   0.04 1977   11/02/2009   10/30/2009   Condominium
2604 W Summerside Rd Phoenix             AZ   85041 300-16-173     Maricopa   Karen S Lenhardt           (602) 276-9656    2604 W Summerside Rd        Phoenix            AZ   85041         11    2732   0.19 2003   11/02/2009   10/30/2009   Single Family Residence
25529 W Shooting Star Ln Buckeye         AZ   85326 504-40-174     Maricopa   John Atchley                                 706 S 119th Ave             Avondale           AZ   85323          9    1874   0.19 2004   11/02/2009   10/30/2009   Single Family Residence
2522 S Bonarden Ln       Tempe           AZ   85282 133-42-103     Maricopa   Kelly Sheehan              (480) 829-3768    2522 S Bonarden Ln          Tempe              AZ   85282          2    1287   0.12 1965   11/02/2009   10/30/2009   Single Family Residence
24794 S 195th St         Chandler HeightsAZ   85242 304-90-636     Maricopa   Kenneth Kreuter                              24794 S 195th St            Chandler Heights   AZ   85142                      0.78        11/02/2009   10/30/2009   Other
2435 W Cavedale Dr       Phoenix         AZ   85085 210-19-602     Maricopa   Erica Correa               (602) 595-4202    3720 E Bryce Ln             Phoenix            AZ   85050         14    3920    0.2 2006   11/02/2009   10/30/2009   Single Family Residence
2435 E Redwood Ct        Chandler        AZ   85286 303-92-225     Maricopa   Duy Ly                     (480) 857-8216    2435 E Redwood Ct           Chandler           AZ   85286         10    2860   0.21 2006   11/02/2009   10/30/2009   Single Family Residence
2415 N 37th Wy           Phoenix         AZ   85008 120-07-159     Maricopa   Joaquin Lilia M Medina     (602) 374-4850    2415 N 37th Way             Phoenix            AZ   85008          3    2308   0.12 1972   11/02/2009   10/30/2009   Single Family Residence
24138 W Tonto St         Buckeye         AZ   85326 504-58-735     Maricopa   Steven Robles                                24138 W Tonto St            Buckeye            AZ   85326          7    1657   0.13 2005   11/02/2009   10/30/2009   Single Family Residence
2408 W Myrtle Ave        Phoenix         AZ   85021 157-26-034-b   Maricopa   Zvis Canyontree Llc                          2408 W Myrtle Ave           Phoenix            AZ   85021                      3.66        11/02/2009   10/30/2009   Other
236 W Indigo St          Mesa            AZ   85201 136-18-054     Maricopa   Hugo Yamile Lozano         (480) 610-6716    236 W Indigo St             Mesa               AZ   85201          6    1584   0.14 1973   11/02/2009   10/30/2009   Single Family Residence
2316 W Whitton Ave       Phoenix         AZ   85015 110-19-057     Maricopa   Greg Schmunk                                 2316 W Whitton Ave          Phoenix            AZ   85015          1    1036   0.14 1953   11/02/2009   10/30/2009   Single Family Residence
2313 S 65th Dr           Phoenix         AZ   85043 104-37-536     Maricopa   Tesfaye Feben              (602) 885-3590    2313 S 65th Dr              Phoenix            AZ   85043          6    1460   0.12 2004   11/02/2009   10/30/2009   Single Family Residence
2308 N 72nd Dr           Phoenix         AZ   85035 102-39-188     Maricopa   Victor Ruiz                                  2308 N 72nd Dr              Phoenix            AZ   85035          2    1140   0.14 1972   11/02/2009   10/30/2009   Single Family Residence
2245 N 22nd St           Phoenix         AZ   85006 117-09-049     Maricopa   Betty J Lafrance           (602) 275-3554    2245 N 22nd St              Phoenix            AZ   85006   3      3    1410   0.13 1947   11/02/2009   10/30/2009   Single Family Residence
2245 E Downing St        Mesa            AZ   85213 140-09-281     Maricopa   David Yourkoski                              2245 E Downing St           Mesa               AZ   85213   4    2.5    2180   0.24 1973   11/02/2009   10/30/2009   Single Family Residence
2227 N 24th Pl           Phoenix         AZ   85008 120-37-017     Maricopa   Jose Huerta                                  2227 N 24th Pl              Phoenix            AZ   85008               2986   0.18 1933   11/02/2009   10/30/2009   Multi-unit
22179 W Twilight Tr      Buckeye         AZ   85326 504-25-360     Maricopa   Mark Teran                                   22179 W Twilight Trl        Buckeye            AZ   85326         12    2594   0.18 2008   11/02/2009   10/30/2009   Single Family Residence
21294 E Bonanza Wy       Chandler HeightsAZ   85242 304-66-333     Maricopa   Michael Bryant                               21294 E Bonanza Way         Chandler Heights   AZ   85142         2.5   1268   0.12 2003   11/02/2009   10/30/2009   Single Family Residence
2126 W Palmaire Ave      Phoenix         AZ   85021 157-24-098     Maricopa   Clarence Vonda Chavis                        2126 W Palmaire Ave         Phoenix            AZ   85021           2   1505   0.17 1956   11/02/2009   10/30/2009   Single Family Residence
2124 W Vista Ave         Phoenix         AZ   85021 157-22-042     Maricopa   Selvin R Gonzales                            2124 W Vista Ave            Phoenix            AZ   85021           1   2036   0.35 1948   11/02/2009   10/30/2009   Single Family Residence
21127 E Aspen Valley Dr Chandler HeightsAZ    85242 304-65-771     Maricopa   Richard Walerius                             21127 E Aspen Valley Dr     Chandler Heights   AZ   85142         10    2275   0.11 2003   11/02/2009   10/30/2009   Single Family Residence
20954 W Cora Vista       Buckeye         AZ   85396 502-79-683     Maricopa   Marc Andrea Robson                           40918 W Chambers Dr         Maricopa           AZ   85138         11    3054    0.3 2007   11/02/2009   10/30/2009   Single Family Residence
2088 S 160th Ln          Goodyear        AZ   85338 500-90-667     Maricopa   Makayla J Jackson                            2088 S 160th Ln             Goodyear           AZ   85338           6   1591   0.11 2006   11/02/2009   10/30/2009   Single Family Residence
2063 S Falcon Dr         Gilbert         AZ   85295 304-38-869     Maricopa   Adammitchell Burkhalter                      2063 S Falcon Dr            Gilbert            AZ   85295           8   1737   0.09 2004   11/02/2009   10/30/2009   Single Family Residence
2019 W Darrel Rd         Phoenix         AZ   85041 105-91-745     Maricopa   Isabel Dominguez           (602) 595-6882    2019 W Darrel Rd            Phoenix            AZ   85041           8   1930   0.15 2005   11/02/2009   10/30/2009   Single Family Residence
2002 W San Miguel Ave Phoenix            AZ   85015 153-09-136     Maricopa   Susanna C Yanez                              2002 W San Miguel Ave       Phoenix            AZ   85015           2   1344   0.15 1954   11/02/2009   10/30/2009   Single Family Residence
19402 N 9th Pl           Phoenix         AZ   85024 213-25-337     Maricopa   Willow Investments Llc                       19402 N 9th Pl              Phoenix            AZ   85024   3     1.5   1311   0.16 1983   11/02/2009   10/30/2009   Single Family Residence
1902 N Barkley St 10     Mesa            AZ   85203 136-32-120     Maricopa   Karleen Conover                              1902 N Barkley Unit 10      Mesa               AZ   85203           3   1346   0.08 1994   11/02/2009   10/30/2009   Single Family Residence
18648 W Sanna St         Waddell         AZ   85355 502-90-157     Maricopa   Leslie A Waterman                            18648 W Sanna St            Waddell            AZ   85355           6   1526   0.12 2006   11/02/2009   10/30/2009   Single Family Residence
18642 E Ryan Rd          Chandler HeightsAZ   85242 304-61-241     Maricopa   Larry Gruver                                 18642 E Ryan Rd             Chandler Heights   AZ   85142           7   1637   0.12 2003   11/02/2009   10/30/2009   Single Family Residence
18614 N 12th Ave         Phoenix         AZ   85027 209-21-018     Maricopa   Donna J Olsen              (813) 416-3836    18614 N 12th Ave            Phoenix            AZ   85027           2   1472   0.15 1977   11/02/2009   10/30/2009   Single Family Residence
18462 W Mauna Loa Ln     Sun City        AZ   85388 502-03-384     Maricopa   Catherine Price Jr         (623) 556-4832    18462 W Mauna Loa Ln        Surprise           AZ   85388         14    4000   0.23 2006   11/02/2009   10/30/2009   Single Family Residence
1706 E Camino Del Santo Phoenix          AZ   85022 166-43-013     Maricopa   Scott Duck                                   1706 E Camino Del Santo     Phoenix            AZ   85022           2   2384   0.24 1984   11/02/2009   10/30/2009   Single Family Residence
16844 S 14th Ln          Phoenix         AZ   85045 311-01-285     Maricopa   Anthonette C Kramer        (480) 283-0628    16844 S 14th Ln             Phoenix            AZ   85045       4.75    3452   0.26 1997   11/02/2009   10/30/2009   Single Family Residence
16833 N 60th Pl          Phoenix         AZ   85254 215-39-086     Maricopa   Cary Cohen                 (480) 368-9887    16833 N 60th Pl             Scottsdale         AZ   85254         14    3245   0.16 1994   11/02/2009   10/30/2009   Other
16453 N 62nd Ave         Glendale        AZ   85306 200-51-535     Maricopa   Marquita M Thompson        (602) 281-6747    16453 N 62nd Ave            Glendale           AZ   85306           2   1090   0.17 1982   11/02/2009   10/30/2009   Single Family Residence
16442 N 18th St          Phoenix         AZ   85022 214-20-255     Maricopa   Linda M Marion                               16442 N 18th St             Phoenix            AZ   85022           2    910   0.09 1986   11/02/2009   10/30/2009   Condominium
16219 W Winchcomb Dr Sun City            AZ   85379 509-11-585     Maricopa   Lincoln Jodi Smith                           16219 W Winchcomb Dr        Sun City           AZ   85379   4       2   2011   0.14 2004   11/02/2009   10/30/2009   Single Family Residence
1621 N 31st Pl           Phoenix         AZ   85008 120-20-059     Maricopa   Ordaz Rodriguez                              1621 N 31st Pl              Phoenix            AZ   85008           1    902   0.23 1930   11/02/2009   10/29/2009   Single Family Residence
15857 W Madison St       Goodyear        AZ   85338 500-88-377     Maricopa   Justin J Allen                               3301 E Hidden Springs Dr    Washington         UT   84780           2   1591   0.11 2000   11/02/2009   10/30/2009   Single Family Residence
15789 W Diamond St       Goodyear        AZ   85338 500-91-865     Maricopa   Guerrero Family            (623) 245-1597    15789 W Diamond St          Goodyear           AZ   85338         10    2038   0.11 2005   11/02/2009   10/30/2009   Single Family Residence
15741 N 91st Ave         Peoria          AZ   85382 231-21-068     Maricopa   Julio Cristina Fierro                        15741 N 91st Dr             Peoria             AZ   85382           9   2310   0.14 1997   11/02/2009   10/30/2009   Other
1541 E Mckinley St       Phoenix         AZ   85006 116-19-113     Maricopa   Raul O Adame                                 1541 E Mckinley St          Phoenix            AZ   85006           1   1051   0.14 1946   11/02/2009   10/30/2009   Single Family Residence
15390 W Pinchot Ct       Goodyear        AZ   85395 501-69-277     Maricopa   Kathleen M Carter          (623) 935-1168    15390 W Pinchot Ct          Goodyear           AZ   85395           7   2154   0.16 1993   11/02/2009   10/30/2009   Other
1538 E Windsong Dr       Phoenix         AZ   85048 301-78-573     Maricopa   Scott Leann Tantillo                         1538 E Windsong Dr          Phoenix            AZ   85048   3       2   1682   0.15 1992   11/02/2009   10/30/2009   Single Family Residence
15239 W Alexandria Wy Surprise           AZ   85379 509-18-447     Maricopa   Matthew Dawn Wagner        (309) 452-2959    3268 Marimarsh Ln           Normal             IL   61761         10    2334   0.08 2007   11/02/2009   10/30/2009   Other
1521 S Velero Pl         Chandler        AZ   85286 303-29-417     Maricopa   Todd Desilva                                 7544 N Via De La Siesta     Scottsdale         AZ   85258   4       2   2049   0.18 2001   11/02/2009   10/30/2009   Single Family Residence
1520 W Devon Dr          Gilbert         AZ   85233 302-37-936     Maricopa   Lonnie Ruscito             (480) 290-2192    1520 W Devon Dr             Gilbert            AZ   85233           3   2393    0.2 1993   11/02/2009   10/30/2009   Single Family Residence
15130 W Monroe St        Goodyear        AZ   85338 500-04-310     Maricopa   Lacampagne Kristna                           15130 W Monroe St           Goodyear           AZ   85338           8   2023   0.13 2004   11/02/2009   10/30/2009   Single Family Residence
14840 S 5th Ave          Phoenix         AZ   85048 311-02-545     Maricopa   Salum Gene                                   14840 S 5th Ave             Phoenix            AZ   85045   4       3   2912   0.19 1999   11/02/2009   10/30/2009   Single Family Residence
14515 W Mauna Loa Ln     Sun City        AZ   85379 509-03-857     Maricopa   Ricardo Nayeli Cosio                         14515 W Mauna Loa Ln        Sun City           AZ   85379   4    235    2524   0.11 2006   11/02/2009   10/30/2009   Other
14027 S 10th St          Phoenix         AZ   85048 300-97-045     Maricopa   Paul Grazyna Madejski      (480) 460-6083    14027 S 10th St             Phoenix            AZ   85048       4.75    3166   0.27 1996   11/02/2009   10/30/2009   Single Family Residence
13942 W Country Gables DrSun City        AZ   85379 509-17-248     Maricopa   Castonia S Harding                           13942 W Country Gables Dr   Sun City           AZ   85379           6   1353   0.11 2004   11/02/2009   10/30/2009   Single Family Residence
13820 W Palo Verde Dr    Litchfield Park AZ   85340 501-62-238     Maricopa   Adam Ewa Krywult                             13820 W Palo Verde Dr       Litchfield Park    AZ   85340   3       2   1503   0.13 2002   11/02/2009   10/30/2009   Other
13743 W Keim Dr          Litchfield Park AZ   85340 508-05-560     Maricopa   Jerlene Xavier Benavidez   (623) 337-5581    13743 W Keim Dr             Litchfield Park    AZ   85340           2   1247    0.1 2002   11/02/2009   10/30/2009   Single Family Residence
13631 S Canyon Dr        Phoenix         AZ   85048 301-76-863     Maricopa   Daniel J Belton            (480) 759-2791    13631 S Canyon Dr           Phoenix            AZ   85048   4       5   5500   2.04 1994   11/02/2009   10/30/2009   Single Family Residence




                                                                                                                                          Page 3
Pre-foreclosure List
                                                                                                                            Maricopa County Week Ending 11/2

1340 S Bridgegate Dr     Gilbert           AZ   85296 304-28-288     Maricopa   William Huff               (480) 699-4498    1340 S Bridgegate Dr         Gilbert           AZ   85296          9   1837   0.09 2003   11/02/2009   10/30/2009   Single Family Residence
1322 E Grove St          Phoenix           AZ   85040 113-60-077     Maricopa   Ramin Bral                                   1322 E Grove St              Phoenix           AZ   85040          3   1056   0.12 1959   11/02/2009   10/30/2009   Other
1320 S Ash Ave           Tempe             AZ   85281 133-18-028     Maricopa   Timothy R Wright                             1320 S Ash Ave               Tempe             AZ   85281          1   1607   0.24 1949   11/02/2009   10/30/2009   Single Family Residence
13122 W Jacobson Dr      Litchfield Park   AZ   85340 508-06-040     Maricopa   Everard C Oliver                             13122 W Jacobson Dr          Litchfield Park   AZ   85340          4   2614   0.15 2002   11/02/2009   10/30/2009   Single Family Residence
12924 E Sahuaro Dr       Scottsdale        AZ   85259 217-20-098     Maricopa   Mark Forman                (480) 614-1525    12924 E Sahuaro Dr           Scottsdale        AZ   85259   4      3   2525   0.15 1990   11/02/2009   10/30/2009   Other
12909 W Holly St         Avondale          AZ   85392 501-90-220     Maricopa   Kreed Ziegler                                12909 W Holly St             Avondale          AZ   85392       2.75   1611   0.09 1999   11/02/2009   10/30/2009   Single Family Residence
12634 W Estero Ln        Litchfield Park   AZ   85340 508-07-202     Maricopa   Azca Holdings Llc                            12634 W Estero Ln            Litchfield Park   AZ   85340       3.75   1914    0.1 2002   11/02/2009   10/30/2009   Single Family Residence
12613 W Soledad St       El Mirage         AZ   85335 509-08-015     Maricopa   Rey Sharon Banzon                            12613 W Soledad St           El Mirage         AZ   85335          2   1527   0.16 2002   11/02/2009   10/30/2009   Single Family Residence
12537 W Coldwater SpringsAvondale          AZ   85323 500-92-208     Maricopa   Hardy Mleka                                  12537 W Coldwater Springs Blvd
                                                                                                                                                          Avondale          AZ   85323          2   1678   0.12 2001   11/02/2009   10/29/2009   Single Family Residence
12522 W Honeysuckle St Litchfield Park     AZ   85340 508-07-904     Maricopa   Jennifer Land                                12522 W Honeysuckle St       Litchfield Park   AZ   85340          8   1524    0.1 2002   11/02/2009   10/30/2009   Other
12514 W Bird Ln          Litchfield Park   AZ   85340 508-07-151     Maricopa   Jacek Bednarz                                12514 W Bird Ln              Litchfield Park   AZ   85340       2.75   1678    0.1 2002   11/02/2009   10/30/2009   Single Family Residence
12513 W Pershing St      El Mirage         AZ   85335 509-08-182     Maricopa   Josh Kirby                 (602) 561-4194    12513 W Pershing St          El Mirage         AZ   85335       2.75   1776   0.13 2002   11/02/2009   10/30/2009   Single Family Residence
1217 E Graham Tr         Phoenix           AZ   85040 113-59-122     Maricopa   Keith F Brooks                               1217 E Graham Trl            Phoenix           AZ   85040          6   1799   0.09 2004   11/02/2009   10/30/2009   Single Family Residence
1215 S Farmer Ave        Tempe             AZ   85281 124-70-018     Maricopa   Timothy R Wright                             1215 S Farmer Ave            Tempe             AZ   85281                     0.07        11/02/2009   10/30/2009   Single Family Residence
121 N 224th Ave          Buckeye           AZ   85326 504-23-462     Maricopa   Christina Rodriguez                          121 N 224th Ave              Buckeye           AZ   85326          6   1831   0.11 2005   11/02/2009   10/30/2009   Single Family Residence
12032 N 60th Ave         Glendale          AZ   85304 143-01-138     Maricopa   Franklin Alexis            (623) 234-2879    12032 N 60th Ave             Glendale          AZ   85304        2.5   2219   0.31 1979   11/02/2009   10/30/2009   Single Family Residence
1201 W Angela Dr         Phoenix           AZ   85023 208-18-201     Maricopa   John Cindi Keen                              1201 W Angela Dr             Phoenix           AZ   85023          2   1238   0.13 1976   11/02/2009   10/30/2009   Single Family Residence
11926 N 145th Ln         Sun City          AZ   85379 509-15-237     Maricopa   Nick Zahreddine                              11926 N 145th Ln             Sun City          AZ   85379         11   3064   0.13 2004   11/02/2009   10/30/2009   Single Family Residence
11908 W Dos Rios Dr      Sun City          AZ   85373 503-58-451     Maricopa   Brian Climaco                                11908 W Dos Rios Dr          Sun City          AZ   85373         11   2228   0.24 2006   11/02/2009   10/30/2009   Single Family Residence
11707 W Jessie Ln        Sun City          AZ   85373 503-88-930     Maricopa   Lisa M Tran                                  11707 W Jessie Ln            Sun City          AZ   85373          9   2010   0.12 2007   11/02/2009   10/30/2009   Single Family Residence
11627 E Appaloosa Pl     Scottsdale        AZ   85259 217-56-120--   Maricopa   Rory Lubold                (480) 840-1267    11627 E Appaloosa Pl         Scottsdale        AZ   85259          9   2363   0.16 1994   11/02/2009   10/30/2009   Single Family Residence
11614 N 123rd Ln         El Mirage         AZ   85335 501-44-170     Maricopa   Ruben R Reyes                                11614 N 123rd Ln             El Mirage         AZ   85335        3.5   2645   0.26 2000   11/02/2009   10/30/2009   Single Family Residence
11446 E Roscoe Ave       Mesa              AZ   85212 304-33-759     Maricopa   Kevin Metoyer              (480) 313-9175    11446 E Roscoe Ave           Mesa              AZ   85212          3   2008   0.26 2002   11/02/2009   10/30/2009   Single Family Residence
11405 W Hadley St        Avondale          AZ   85323 101-01-078     Maricopa   David Sims                                   11405 W Hadley St            Avondale          AZ   85323          8   1864   0.14 2008   11/02/2009   10/30/2009   Single Family Residence
11346 E Dartmouth St     Mesa              AZ   85207 220-11-369     Maricopa   Egan Annesean                                11346 E Dartmouth St         Mesa              AZ   85207   3      2   1480   0.16 1998   11/02/2009   10/30/2009   Single Family Residence
11332 E Quintana Ave     Mesa              AZ   85212 304-33-395     Maricopa   Deidri Dennis Hoppe                          11332 E Quintana Ave         Mesa              AZ   85212          2   1665   0.13 2001   11/02/2009   10/30/2009   Single Family Residence
11132 E Poinsettia Dr    Scottsdale        AZ   85259 217-47-567     Maricopa   Gloria Johnsen             (480) 661-0250    11132 E Poinsettia Dr        Scottsdale        AZ   85259       2.75   2178   0.14 1994   11/02/2009   10/30/2009   Single Family Residence
11128 W Montecito Ave Phoenix              AZ   85037 102-90-182     Maricopa   Llc Mbulk                                    11128 W Montecito Ave        Phoenix           AZ   85037          2   1238   0.08 1998   11/02/2009   10/30/2009   Single Family Residence
11105 W Campbell Ave     Phoenix           AZ   85037 102-58-322     Maricopa   Ramirez Claudia                              11105 W Campbell Ave         Phoenix           AZ   85037        2.5   1436   0.16 1988   11/02/2009   10/30/2009   Single Family Residence
1073 W Bluebird Dr       Chandler          AZ   85286 303-35-548     Maricopa   Anthony Crisci                               1073 W Bluebird Dr           Chandler          AZ   85286          2   1538   0.11 1995   11/02/2009   10/30/2009   Single Family Residence
10645 W Coronado Rd      Avondale          AZ   85392 102-31-369     Maricopa   Tom Casault                                  10645 W Coronado Rd          Avondale          AZ   85392          3   1557   0.07 2000   11/02/2009   10/30/2009   Single Family Residence
10565 W Rosewood Dr      Avondale          AZ   85392 102-27-450     Maricopa   Janusz Izabela Zalech                        10565 W Rosewood Dr          Avondale          AZ   85392   3    2.5   1949   0.12 1999   11/02/2009   10/30/2009   Single Family Residence
10225 E Sweetwater Ave Scottsdale          AZ   85260 217-23-080-a   Maricopa   Patrick L Shudak                             12703 E Desert Cove Ave      Scottsdale        AZ   85259       4.75   4122   1.23 1993   11/02/2009   10/30/2009   Single Family Residence
10109 W Preston Ln       Tolleson          AZ   85353 101-14-366     Maricopa   Ramirez Mnorma             (623) 478-7891    10109 W Preston Ln           Tolleson          AZ   85353          7   1745    0.1 2007   11/02/2009   10/30/2009   Single Family Residence
10101 N Arabian Tr 1073 Scottsdale         AZ   85258 217-53-535     Maricopa   Debra Requa                                  10101 N Arabian Trl Unit 1073Scottsdale        AZ   85258          2   1076      0 1990   11/02/2009   10/30/2009   Condominium
9846 N 5th Ave           Phoenix           AZ   85020 159-53-008--   Maricopa   Sonja L Starkey            (602) 266-0442    9846 N 5th Ave               Phoenix           AZ   85021          2   2047   0.16 1953   10/30/2009   10/29/2009   Single Family Residence
9746 W Las Palmaritas Dr Peoria            AZ   85345 142-55-387     Maricopa   Isaac Roberts                                9746 W Las Palmaritas Dr     Peoria            AZ   85345          8   2496   0.19 2003   10/30/2009   10/28/2009   Single Family Residence
9509 W Tonopah Dr        Peoria            AZ   85382 200-15-423     Maricopa   Robb Brenda Hansen         (623) 376-6354    9509 W Tonopah Dr            Peoria            AZ   85382        3.5   2045   0.13 1999   10/30/2009   10/29/2009   Single Family Residence
950 E Lehi Rd            Mesa              AZ   85203 136-09-024-b   Maricopa   Jefferson H Miller         (480) 890-9015    950 E Lehi Rd                Mesa              AZ   85203          3   2942   0.88 1973   10/30/2009   10/29/2009   Single Family Residence
9316 E Balsam Ave 4c     Mesa              AZ   85208 220-33-021     Maricopa   Martin Diana                                 9316 E Balsam Ave Unit 4c    Mesa              AZ   85208          3    430   0.01 1957   10/30/2009   10/29/2009   Condominium
9159 W Lone Cactus Dr    Peoria            AZ   85382 231-24-514     Maricopa   Donald J Gilliand                            9159 W Lone Cactus Dr        Peoria            AZ   85382   4      2   2166   0.13 2000   10/30/2009   10/29/2009   Single Family Residence
9151 E Foothills Dr      Scottsdale        AZ   85255 217-07-334     Maricopa   David Debuse                                 9151 E Foothills Dr          Scottsdale        AZ   85255         17   4024   0.98 1994   10/30/2009   10/29/2009   Other
9045 W Granada Rd        Phoenix           AZ   85037 102-36-886     Maricopa   Benito Christina Carmona   (623) 297-4871    9045 W Granada Rd            Phoenix           AZ   85037          6   1438   0.17 1993   10/30/2009   10/29/2009   Single Family Residence
8953 W Royal Palm Rd     Peoria            AZ   85345 142-32-056     Maricopa   Darrell Luce Romero                          8953 W Royal Palm Rd         Peoria            AZ   85345   3      2   1270   0.16 1982   10/30/2009   10/29/2009   Single Family Residence
8927 E Butternut Ave     Mesa              AZ   85208 218-41-318     Maricopa   Chavez Jrrosalie           (480) 964-1528    8927 E Butternut Ave         Mesa              AZ   85208   3      2   1400   0.11 1998   10/30/2009   10/29/2009   Single Family Residence
8856 W Aster Dr          Peoria            AZ   85381 200-97-251     Maricopa   Eric Steffes                                 8856 W Aster Dr              Peoria            AZ   85381         10   1765   0.06 2006   10/30/2009   10/29/2009   Single Family Residence
8849 W Echo Ln           Peoria            AZ   85345 142-32-396--   Maricopa   Arcelia Neil Younan        (623) 203-6873    8849 W Echo Ln               Peoria            AZ   85345       2.75   2057   0.18 2000   10/30/2009   10/29/2009   Single Family Residence
8836 W Turney Ave        Phoenix           AZ   85037 102-19-491     Maricopa   Ruben F Ramirez                              8836 W Turney Ave            Phoenix           AZ   85037          2   1272   0.13 1972   10/30/2009   10/29/2009   Single Family Residence
8747 W Elm St            Phoenix           AZ   85037 102-81-205     Maricopa   Amador Liduvina                              8747 W Elm St                Phoenix           AZ   85037          2   1120   0.14 1980   10/30/2009   10/29/2009   Single Family Residence
8745 W Surrey Ave        Peoria            AZ   85381 200-87-646     Maricopa   Stratton Wjosephine        (623) 815-1827    8745 W Surrey Ave            Peoria            AZ   85381          8   1765   0.06 2006   10/30/2009   10/29/2009   Single Family Residence
8743 E Portobello Ave    Mesa              AZ   85212 304-03-240     Maricopa   Fox Rchristen              (480) 495-2477    8743 E Portobello Ave        Mesa              AZ   85212   3      2   1556   0.14 2001   10/30/2009   10/29/2009   Single Family Residence
8739 W Watkins St        Tolleson          AZ   85353 101-57-561     Maricopa   Franklin Lem                                 8739 W Watkins St            Tolleson          AZ   85353         10   2310   0.12 2005   10/30/2009   10/29/2009   Single Family Residence
8734 W Manzanita Dr      Peoria            AZ   85345 142-32-526     Maricopa   Joshua Corrington                            8734 W Manzanita Dr          Peoria            AZ   85345   3      2   1343   0.23 2000   10/30/2009   10/29/2009   Single Family Residence
8625 E Chaparral Rd      Scottsdale        AZ   85251 173-63-012     Maricopa   Richard L Rozinski         (480) 945-6966    8625 E Chaparral Rd          Scottsdale        AZ   85250          2   1416   0.15 1960   10/30/2009   10/29/2009   Single Family Residence
8409 W Crown King Rd     Tolleson          AZ   85353 101-30-391     Maricopa   Virgilio Leticia Yang      (623) 251-6273    8409 W Crown King Rd         Tolleson          AZ   85353          9   3244   0.13 2004   10/30/2009   10/29/2009   Single Family Residence
8404 E Montebello Ave    Scottsdale        AZ   85250 173-75-176     Maricopa   Jeanne Chase Falls         (480) 998-2367    8404 E Montebello Ave        Scottsdale        AZ   85250       2.75   1584   0.03 1964   10/30/2009   10/29/2009   Condominium
8317 S 45th Ln           Phoenix           AZ   85339 300-84-454     Maricopa   Rodriguez Ejosie                             8317 S 45th Ln               Laveen            AZ   85339         11   2974   0.12 2004   10/30/2009   10/29/2009   Other




                                                                                                                                             Page 4
Pre-foreclosure List
                                                                                                                                    Maricopa County Week Ending 11/2

8316 S 48th Dr             Phoenix           AZ   85339 300-84-175     Maricopa   Michellebarker Nitschke          (602) 237-1411    8316 S 48th Dr               Laveen            AZ   85339          8   2270   0.12 2004   10/30/2009   10/29/2009   Other
828 W Roeser Rd            Phoenix           AZ   85041 105-80-018     Maricopa   Orlando Cazarez                                    828 W Roeser Rd              Phoenix           AZ   85041          9   1799    0.1 2004   10/30/2009   10/29/2009   Single Family Residence
815 S Solomon              Mesa              AZ   85204 139-18-105     Maricopa   Weiland Shaw                                       815 S Solomon                Mesa              AZ   85204   3      2   1272   0.15 1964   10/30/2009   10/29/2009   Single Family Residence
8146 E Fairfield St        Mesa              AZ   85207 218-08-785     Maricopa   Jennifer Joseph Highley          (480) 226-0615    8146 E Fairfield St          Mesa              AZ   85207   3      2   1700   0.18 1997   10/30/2009   10/29/2009   Single Family Residence
7949 W Montecito Ave       Phoenix           AZ   85033 102-77-091     Maricopa   Michael Grace West               (520) 432-4826    7949 W Montecito Ave         Phoenix           AZ   85033   4      2   1873   0.25 1975   10/30/2009   10/28/2009   Single Family Residence
794 S Bedford Dr           Chandler          AZ   85225 303-82-420     Maricopa   Gregory Rogers                                     394 W Weatherby Pl           Chandler          AZ   85286          3   1728   0.06 1999   10/30/2009   10/29/2009   Single Family Residence
7821 N 42nd Ave            Phoenix           AZ   85051 151-06-035     Maricopa   Winter Jo                        (623) 915-0341    7821 N 42nd Ave              Phoenix           AZ   85051       2.75   1939   0.19 1969   10/30/2009   10/29/2009   Single Family Residence
7814 N 42nd Ave            Phoenix           AZ   85051 151-06-053     Maricopa   Ira Pinkhasov                    (623) 243-6881    7814 N 42nd Ave              Phoenix           AZ   85051       2.75   2356   0.22 1969   10/30/2009   10/29/2009   Single Family Residence
7813 E Journey Ln          Scottsdale        AZ   85255 212-36-150     Maricopa   Ploeg Vander                                       7813 E Journey Ln            Scottsdale        AZ   85255          3   1882   0.17 1997   10/30/2009   10/29/2009   Single Family Residence
7810 W Bloomfield Rd       Peoria            AZ   85381 200-78-548     Maricopa   Donna E Dundas                                     7810 W Bloomfield Rd         Peoria            AZ   85381        2.5   1696   0.18 1985   10/30/2009   10/28/2009   Single Family Residence
781 E Capricorn Wy         Chandler          AZ   85249 303-53-458     Maricopa   Kevin Hardin                                       15 E Los Arboles Cir         Tempe             AZ   85284   4      4   3800   0.17 2001   10/30/2009   10/29/2009   Single Family Residence
7800 E Lincoln Dr 1087     Scottsdale        AZ   85250 174-21-873     Maricopa   Tilley Edward                                      7800 E Lincoln Dr Unit 1087 Scottsdale         AZ   85250          7   1171      0 1985   10/30/2009   10/28/2009   Condominium
7746 E Portland St         Scottsdale        AZ   85257 131-50-013     Maricopa   Behnam Miho Kanani                                 3845 E Greenway Rd Unit 219 Phoenix            AZ   85032          2   1428   0.13 1967   10/30/2009   10/29/2009   Single Family Residence
7729 W Caribbean Ln        Peoria            AZ   85381 200-62-818     Maricopa   Ligia Vicovan                                      7729 W Caribbean Ln          Peoria            AZ   85381          3   2620    0.2 1999   10/30/2009   10/28/2009   Single Family Residence
7702 N 16th Ln             Phoenix           AZ   85021 157-03-016     Maricopa   Rey Tessie Serdenia                                7702 N 16th Ln               Phoenix           AZ   85021          2   1776    0.3 1959   10/30/2009   10/29/2009   Single Family Residence
7469 W Quail Ave           Glendale          AZ   85308 200-21-737     Maricopa   Richard Kelly                    (623) 518-2686    7469 W Quail Ave             Glendale          AZ   85308   3    2.5   2439   0.16 1997   10/30/2009   10/29/2009   Single Family Residence
7436 W Glass Ln            Phoenix           AZ   85339 104-84-573     Maricopa   Aneatra Pervis                   (602) 628-0613    7436 W Glass Ln              Laveen            AZ   85339          6   1914   0.21 2008   10/30/2009   10/29/2009   Other
7401 W Vermont Ave         Glendale          AZ   85303 144-22-340--   Maricopa   Curtis Diane Wheeler                               7401 W Vermont Ave           Glendale          AZ   85303       1.75   1180   0.13 1984   10/30/2009   10/29/2009   Single Family Residence
7333 W Cypress St          Phoenix           AZ   85035 102-39-360     Maricopa   Jorge Astorga                    (623) 846-2795    7333 W Cypress St            Phoenix           AZ   85035          1    840   0.14 1975   10/30/2009   10/29/2009   Single Family Residence
7325 E Rose Ln             Scottsdale        AZ   85250 174-15-122     Maricopa   Blincoe Lease                                      7325 E Rose Ln               Scottsdale        AZ   85250          9   2441   0.12 1976   10/30/2009   10/29/2009   Other
7145 W Maryland Ave        Glendale          AZ   85303 144-03-237     Maricopa   Steven J Friedman                                  7145 W Maryland Ave          Glendale          AZ   85303       2.75   1906   0.13 2002   10/30/2009   10/29/2009   Single Family Residence
7131 N 28th Dr             Phoenix           AZ   85051 151-24-246     Maricopa   Randyerinmiller Guthmiller                         7131 N 28th Dr               Phoenix           AZ   85051        2.5   1518   0.08 1992   10/30/2009   10/29/2009   Single Family Residence
7100 E Montgomery Rd       Scottsdale        AZ   85266 216-67-081--   Maricopa   Ervin Bollinger                                    7100 E Montgomery Rd         Scottsdale        AZ   85266   4    2.5   3800   1.74 1987   10/30/2009   10/29/2009   Single Family Residence
6988 E Paradise Ranch Rd   Paradise Valley   AZ   85253 174-42-030     Maricopa   Timothy R Wright                                   6988 E Paradise Ranch Rd     Paradise Valley   AZ   85253       5.75   4172   0.85 1991   10/30/2009   10/29/2009   Single Family Residence
6911 W Stockman Rd         Glendale          AZ   85308 200-44-509     Maricopa   Andrew L Truitt                  (602) 218-6141    6911 W Stockman Rd           Glendale          AZ   85308         13   4502   0.47 2002   10/30/2009   10/29/2009   Single Family Residence
6900 E Princess Dr 2206    Phoenix           AZ   85054 215-09-284     Maricopa   Danielmortensen Olic                               6900 E Princess Dr Unit 2206 Phoenix           AZ   85054   2      2    927   0.02 2003   10/30/2009   10/29/2009   Condominium
6874 W Potter Dr           Glendale          AZ   85308 231-23-319     Maricopa   Corey Rhone                                        11680 E Sahuaro Dr Unit 1046Scottsdale         AZ   85259       3.75   2073   0.15 2000   10/30/2009   10/29/2009   Single Family Residence
6702 W Grovers Ave         Glendale          AZ   85308 200-44-460     Maricopa   Carletta Pfirrman                                  40812 N 3rd Ave              Phoenix           AZ   85086   3      2   2675   0.41 1981   10/30/2009   10/29/2009   Single Family Residence
6626 E Kelton Ln           Phoenix           AZ   85254 215-40-378     Maricopa   Lynne F Yearsley                                   3933 Pine Ridge Way          Lexington         KY   40514          8   1452   0.17 1982   10/30/2009   10/29/2009   Other
6621 W Watkins St          Phoenix           AZ   85043 104-37-499     Maricopa   Alexis G Hernandez                                 6621 W Watkins St            Phoenix           AZ   85043          6   1460   0.11 2005   10/30/2009   10/29/2009   Single Family Residence
6621 S 5th Wy              Phoenix           AZ   85042 114-08-036     Maricopa   Sherry L Thomas                                    6621 S 5th Way               Phoenix           AZ   85042   3      2   1718   0.11 2004   10/30/2009   10/29/2009   Single Family Residence
6612 S 16th Dr             Phoenix           AZ   85041 105-84-281--   Maricopa   Amy Gossage                                        6612 S 16th Dr               Phoenix           AZ   85041   3      2   1343   0.12 2004   10/30/2009   10/29/2009   Single Family Residence
6511 E Windstone Tr        Az 85331          AZ         216-67-065     Maricopa   Dale Lindstrom                   (480) 502-5449    6511 E Windstone Trl         Cave Creek        AZ   85331          2   1408   1.83 1984   10/30/2009   10/29/2009   Single Family Residence
6458 W Saddlehorn Rd       Phoenix           AZ   85083 201-10-140     Maricopa   Carol D Watkins                                    6458 W Saddlehorn Rd         Phoenix           AZ   85083       2.75   1656   0.15 1998   10/30/2009   10/28/2009   Single Family Residence
6424 W Wahalla Ln          Glendale          AZ   85308 200-28-350     Maricopa   Andrzej Rajman                   (623) 362-9826    6424 W Wahalla Ln            Glendale          AZ   85308        3.5   2045   0.13 1997   10/30/2009   10/29/2009   Single Family Residence
6420 E Waltann Ln          Phoenix           AZ   85254 215-41-106     Maricopa   Kenneth Richardson                                 6420 E Waltann Ln            Scottsdale        AZ   85254   4      3   2342   0.23 1995   10/30/2009   10/29/2009   Single Family Residence
6417 E Mclellan Rd         Mesa              AZ   85205 141-64-119     Maricopa   Jeff Grace Koehler                                 6417 E Mclellan Rd           Mesa              AZ   85205          2   1148   0.36 1970   10/30/2009   10/28/2009   Single Family Residence
6409 W Sandra Ter          Glendale          AZ   85306 200-51-789     Maricopa   Keith Mitchell                                     6409 W Sandra Ter            Glendale          AZ   85306        2.5   1265   0.14 1991   10/30/2009   10/29/2009   Single Family Residence
6402 W Mohave St           Phoenix           AZ   85043 104-28-318     Maricopa   Trevor Morgan                    (623) 266-3730    6402 W Mohave St             Phoenix           AZ   85043          2   1587   0.13 2002   10/30/2009   10/29/2009   Single Family Residence
6329 N 15th St             Phoenix           AZ   85014 161-09-028     Maricopa   James Vanne                                        6329 N 15th St               Phoenix           AZ   85014          2   1925    0.3 1950   10/30/2009   10/29/2009   Single Family Residence
6308 N 41st Dr             Phoenix           AZ   85019 152-30-096     Maricopa   Jake Lynn Winters                                  6308 N 41st Dr               Phoenix           AZ   85019          2   1290   0.13 1959   10/30/2009   10/29/2009   Single Family Residence
625 N Layton               Mesa              AZ   85207 218-07-240     Maricopa   James Woodley Jr                                   625 N Layton                 Mesa              AZ   85207          2   1508   0.12 1999   10/30/2009   10/29/2009   Single Family Residence
620 W 6th Dr               Mesa              AZ   85210 134-15-014     Maricopa   Francisco Claralynn Merino                         620 W 6th Dr                 Mesa              AZ   85210          6   1409   0.18 1958   10/30/2009   10/29/2009   Single Family Residence
6034 N 21st Ave            Phoenix           AZ   85015 156-12-136-j   Maricopa   Jeffrey V Hill                                     6034 N 21st Ave              Phoenix           AZ   85015              2790    0.2 1963   10/30/2009   10/29/2009   Duplex
6032 W Poinsetta Dr        Glendale          AZ   85304 143-01-185     Maricopa   Bernard Vanderlaan               (623) 337-5673    6032 W Poinsettia Dr         Glendale          AZ   85304          2   1819   0.21 1979   10/30/2009   10/28/2009   Single Family Residence
6031 N 31st Ave            Phoenix           AZ   85017 152-16-147     Maricopa   Rick Pineda                                        6031 N 31st Ave              Phoenix           AZ   85017       2.75   1298   0.06 1971   10/30/2009   10/29/2009   Condominium
602 S Ashbrook             Mesa              AZ   85204 140-42-224     Maricopa   Walter Johnson                   (480) 254-1659    602 S Ashbrook               Mesa              AZ   85204          2   1476   0.17 1982   10/30/2009   10/29/2009   Single Family Residence
585 S Monterey St          Gilbert           AZ   85233 302-32-766     Maricopa   Michael Jill C Vandengoorbergh   (480) 503-1216    Po Box 1083                  Ross              CA   94957          2   1642   0.13 1993   10/30/2009   10/29/2009   Single Family Residence
5634 S Dysart Rd           Avondale          AZ   85323 500-77-006-b   Maricopa   Kathleen M Miller                                  5634 S Dysart Rd             Avondale          AZ   85323              1440   1.83 1978   10/30/2009   10/29/2009   Mobile Home
5620 N 134th Dr            Litchfield Park   AZ   85340 508-08-206     Maricopa   Pete Diana Gomez                                   5620 N 134th Dr              Litchfield Park   AZ   85340        3.5   3001     10 2002   10/30/2009   10/29/2009   Single Family Residence
5541 W Mission Ln          Glendale          AZ   85302 148-22-053     Maricopa   Huerta Jevelia                   (623) 628-4881    5541 W Mission Ln            Glendale          AZ   85302          2   1819   0.15 1971   10/30/2009   10/29/2009   Single Family Residence
5530 E Shea Blvd           Phoenix           AZ   85254 167-77-002     Maricopa   March Eileen                                       5530 E Shea Blvd             Scottsdale        AZ   85254         10   2486   0.75 1980   10/30/2009   10/29/2009   Other
5447 W Vernon Ave          Phoenix           AZ   85035 103-17-265-a   Maricopa   David A Sundberg                 (623) 374-2577    5447 W Vernon Ave            Phoenix           AZ   85035   3      2   1634   0.15 1980   10/30/2009   10/29/2009   Single Family Residence
5424 W Earll Dr            Phoenix           AZ   85031 103-38-084     Maricopa   Fuentes Consuelo                 (480) 326-3130    5424 W Earll Dr              Phoenix           AZ   85031          6   1380   0.12 1959   10/30/2009   10/28/2009   Single Family Residence
5402 S 11th Ave            Phoenix           AZ   85041 105-79-149     Maricopa   Juan Beltran                     (602) 243-1260    5402 S 11th Ave              Phoenix           AZ   85041        1.5    997   0.16 1957   10/30/2009   10/29/2009   Single Family Residence
5401 E Van Buren St 1027   Phoenix           AZ   85034 124-18-059     Maricopa   Robert Traci Duda                                  5401 E Van Buren St Unit 1027Phoenix           AZ   85008          3    684   0.02 1999   10/30/2009   10/29/2009   Condominium
5302 N Granite Reef Rd     Scottsdale        AZ   85250 173-73-173     Maricopa   Lombardo Marie                                     5302 N Granite Reef Rd       Scottsdale        AZ   85250       2.75   2034   0.14 1966   10/30/2009   10/28/2009   Single Family Residence




                                                                                                                                                     Page 5
Pre-foreclosure List
                                                                                                                            Maricopa County Week Ending 11/2

5301 E Casper St         Mesa            AZ   85205 141-47-075     Maricopa   Hector Maldonado                               5301 E Casper St            Mesa            AZ   85205          6   1152   0.15 1968   10/30/2009   10/29/2009   Other
517 W Wilshire Dr        Phoenix         AZ   85003 118-49-028     Maricopa   Paula W Alexander                              517 W Wilshire Dr           Phoenix         AZ   85003        1.5   1458   0.15 1940   10/30/2009   10/29/2009   Single Family Residence
506 N Hunt Dr            Mesa            AZ   85203 137-39-008-a   Maricopa   Herrera Ramirez                                506 N Hunt Dr               Mesa            AZ   85203          6   1245   0.15 1963   10/30/2009   10/29/2009
4917 S Granite St        Gilbert         AZ   85298 304-72-458     Maricopa   Abisai Gutierrez                               4917 S Granite St           Gilbert         AZ   85298          9   2208   0.16 2004   10/30/2009   10/29/2009   Single Family Residence
4839 E Charleston Ave    Phoenix         AZ   85254 215-11-977     Maricopa   Stefan Singureanu                              4839 E Charleston Ave       Scottsdale      AZ   85254          9   2662   0.17 1998   10/30/2009   10/29/2009   Other
4808 N 24th St 703       Phoenix         AZ   85016 163-19-194     Maricopa   Lee Lisa Bjork                                 4808 N 24th St Unit 703     Phoenix         AZ   85016          7   1356   0.03 2006   10/30/2009   10/29/2009   Condominium
4800 N 68th St 211       Scottsdale      AZ   85251 173-35-191-a   Maricopa   Archbury Inc                                   4800 N 68th St Unit 211     Scottsdale      AZ   85251          1    624     62 1969   10/30/2009   10/29/2009   Condominium
4731 E Windstone Tr      Phoenix         AZ   85331 211-62-595     Maricopa   Marvin Paulette F Hill       (480) 563-1354    4731 E Windstone Trl        Cave Creek      AZ   85331         11   2818   0.19 1993   10/30/2009   10/29/2009   Other
4701 N 96th Ave          Phoenix         AZ   85037 102-18-666     Maricopa   Liviu Iiiescu                                  4701 N 96th Ave             Phoenix         AZ   85037   4      3   2700   0.13 2002   10/30/2009   10/29/2009   Single Family Residence
4545 N 67th Ave 1416     Phoenix         AZ   85033 144-43-684     Maricopa   Jewell Rdeann                                  4545 N 67th Ave Unit 1416 Phoenix           AZ   85033          2   1306   0.01 1986   10/30/2009   10/29/2009   Condominium
4537 W Marshall Ave      Glendale        AZ   85301 145-07-439     Maricopa   Rueben A Willis                                4537 W Marshall Ave         Glendale        AZ   85301          2   1812   0.15 1973   10/30/2009   10/29/2009   Single Family Residence
4525 E Gelding Dr        Phoenix         AZ   85032 215-69-215     Maricopa   James Denise Porterfield     (602) 404-6770    4525 E Gelding Dr           Phoenix         AZ   85032       3.75   2716   0.21 1982   10/30/2009   10/29/2009   Single Family Residence
45219 N 12th St          Phoenix         AZ   85087 202-20-037-a   Maricopa   Andrew Tina Incardona                          45219 N 12th St             Phoenix         AZ   85087              1680   1.09 1997   10/30/2009   10/29/2009   Mobile Home
428 E Del Rio Dr         Tempe           AZ   85282 133-28-319     Maricopa   Kelley Lee                                     428 E Del Rio Dr            Tempe           AZ   85282          7   1892   0.17 1967   10/30/2009   10/29/2009   Single Family Residence
4249 W Dailey St         Phoenix         AZ   85053 207-12-259     Maricopa   Erica Higgins                                  4249 W Dailey St            Phoenix         AZ   85053          2   1777   0.17 1973   10/30/2009   10/29/2009   Single Family Residence
4232 E Douglas Ave       Gilbert         AZ   85234 304-06-587     Maricopa   Joseph Guzdziol                                542 N Falcon Dr             Gilbert         AZ   85234   4      2   1938   0.14 1991   10/30/2009   10/29/2009   Single Family Residence
42318 N Caledonia Wy     Anthem          AZ   85086 203-01-324     Maricopa   James Ogburn                 (623) 363-7324    42318 N Caledonia Way       Anthem          AZ   85086   5    4.5   4116   0.36 2001   10/30/2009   10/29/2009   Single Family Residence
4212 W Harmont Dr        Phoenix         AZ   85051 150-13-468     Maricopa   Alejandro Carerrea-chaires                     4212 W Harmont Dr           Phoenix         AZ   85051          2   1528   0.16 1976   10/30/2009   10/29/2009   Single Family Residence
4208 E Roma Ave          Phoenix         AZ   85018 171-24-138     Maricopa   Harry Swarens                                  4208 E Roma Ave             Phoenix         AZ   85018        2.5   1207   0.12 1951   10/30/2009   10/29/2009   Single Family Residence
4203 E Jasper Dr         Gilbert         AZ   85296 304-29-778     Maricopa   Jones Daniel                                   4203 E Jasper Dr            Gilbert         AZ   85296   3      2   1463   0.02 2005   10/30/2009   10/29/2009   Other
41311 N Laurel Valley Ct Anthem          AZ   85086 203-08-013     Maricopa   Gary Wegener                                   16426 N 72nd Ln             Peoria          AZ   85382          8   1760   0.12 2003   10/30/2009   10/29/2009   Single Family Residence
412 S 228th Ln           Buckeye         AZ   85326 504-58-380     Maricopa   Burke Dawn                                     412 S 228th Ln              Buckeye         AZ   85326          6   1238   0.12 2005   10/30/2009   10/28/2009   Single Family Residence
40910 N River Bend Ct    Anthem          AZ   85086 211-86-008     Maricopa   John Patterson               (623) 551-0462    40910 N River Bend Ct       Anthem          AZ   85086   6    5.5   4557   0.37 2004   10/30/2009   10/28/2009   Single Family Residence
4025 W Camino Vivaz      Glendale        AZ   85310 205-14-042     Maricopa   Davidcardlin Paglia          (303) 834-8668    1364 Monarch Dr             Longmont        CO   80504          6   1248   0.09 1989   10/30/2009   10/29/2009   Other
3876 E Battala Ave       Gilbert         AZ   85297 304-59-376     Maricopa   John Shufelt                                   709 Pebble Creek Dr         Hewitt          TX   76643   4    2.5   2174   0.08 2007   10/30/2009   10/29/2009   Single Family Residence
3844 E Willow Ave        Phoenix         AZ   85032 166-01-428     Maricopa   Thomas Casandra C Murphy     (602) 576-8901    3844 E Willow Ave           Phoenix         AZ   85032          2   1384   0.13 1972   10/30/2009   10/28/2009   Single Family Residence
3844 E Morelos St        Gilbert         AZ   85295 313-10-086     Maricopa   Lance Stephanie Monahan      (480) 964-1327    3844 E Morelos St           Gilbert         AZ   85295         11   3080   0.09 2006   10/30/2009   10/29/2009   Single Family Residence
3833 N 30th St 218       Phoenix         AZ   85016 119-01-317     Maricopa   Kevanda F Alexander                            3833 N 30th St Unit 218     Phoenix         AZ   85016          3    780   0.02 2007   10/30/2009   10/29/2009   Condominium
3828 N 30th St           Phoenix         AZ   85016 119-02-191     Maricopa   Rosas Erendira                                 3828 N 30th St              Phoenix         AZ   85016       1.75   1408   0.04 1966   10/30/2009   10/29/2009   Condominium
38198 N 109th St         Scottsdale      AZ   85262 219-60-330     Maricopa   Daniel R Clock                                 38198 N 109th St            Scottsdale      AZ   85262                     0.72        10/30/2009   10/29/2009   Single Family Residence
3812 W Encanto Blvd      Phoenix         AZ   85009 108-13-005     Maricopa   Victoriano V Uriarte                           3812 W Encanto Blvd         Phoenix         AZ   85009          1    960   0.12 1955   10/30/2009   10/29/2009   Single Family Residence
3810 N Maryvale Pkwy 1033 hoenix
                         P               AZ   85031 103-08-039-a   Maricopa   Act Investments Llc                            3810 N Maryvale Pkwy Unit 1033
                                                                                                                                                         Phoenix         AZ   85031          2    936   0.02 1983   10/30/2009   10/29/2009   Condominium
3744 W Amber Nickole Ct Anthem           AZ   85086 203-11-206     Maricopa   Darice James Rinehart                          3744 W Amber Nickole Ct     Anthem          AZ   85086   5      3   2199   0.11 2007   10/30/2009   10/29/2009   Single Family Residence
3712 S 104th Ln          Tolleson        AZ   85353 101-28-140--   Maricopa   Brian Herrmann               (623) 907-0952    3712 S 104th Ln             Tolleson        AZ   85353        10    2966   0.13 2006   10/30/2009   10/28/2009   Single Family Residence
3701 E Taro Ln           Phoenix         AZ   85050 213-14-559     Maricopa   Jon Vandenheuvel                               3701 E Taro Ln              Phoenix         AZ   85050        2.5   1454   0.09 1991   10/30/2009   10/29/2009   Single Family Residence
3689 E Fruitvale Ave     Gilbert         AZ   85297 304-60-790     Maricopa   Pfaff Sidsharon                                3689 E Fruitvale Ave        Gilbert         AZ   85297   5    2.5   3221   0.17 2002   10/30/2009   10/29/2009   Other
36648 W Jones Ave        Tonopah         AZ   85354 506-41-162-f   Maricopa   Alejandro Martinez                             36648 W Jones Ave           Tonopah         AZ   85354                     4.36 1984   10/30/2009   10/29/2009   Mobile Home
3644 N 88th Ln           Phoenix         AZ   85037 102-24-198     Maricopa   Eva Raygoza                                    3644 N 88th Ln              Phoenix         AZ   85037          2   1394   0.17 1979   10/30/2009   10/28/2009   Single Family Residence
3628 W Wayne Ln          Anthem          AZ   85086 203-03-108     Maricopa   Justin J Dassele                               3628 W Wayne Ln             Anthem          AZ   85086        11    3190   0.12 2004   10/30/2009   10/29/2009   Single Family Residence
3625 W Vernon Ave        Phoenix         AZ   85009 108-13-020     Maricopa   Acosta Reyes                                   3625 W Vernon Ave           Phoenix         AZ   85009          3    960   0.17 1954   10/30/2009   10/29/2009   Single Family Residence
3624 W Palm Ln           Phoenix         AZ   85009 108-19-134     Maricopa   Diaz Luis                                      3624 W Palm Ln              Phoenix         AZ   85009          1    945   0.12 1958   10/30/2009   10/28/2009   Single Family Residence
3607 S 123rd Dr          Avondale        AZ   85323 500-64-033     Maricopa   Abel Ramos                                     3607 S 123rd Dr             Avondale        AZ   85323          2   1267    0.4 2005   10/30/2009   10/28/2009   Single Family Residence
3602 W Grovers Ave       Glendale        AZ   85308 207-20-166     Maricopa   Daniel Lespron                                 3602 W Grovers Ave          Glendale        AZ   85308          2   1190   0.15 1981   10/30/2009   10/29/2009   Single Family Residence
3600 N Hayden Rd 2401 Scottsdale         AZ   85251 130-28-486     Maricopa   Bb Investment Llc                              3600 N Hayden Rd Unit 2401 Scottsdale       AZ   85251          3    725   0.01 1979   10/30/2009   10/29/2009   Condominium
3565 W Summit Walk Dr Anthem             AZ   85086 203-03-692     Maricopa   Wheeler Claytonfelicia       (602) 721-2730    3565 W Summit Walk Dr       Anthem          AZ   85086        10    2663   0.18 2005   10/30/2009   10/29/2009   Single Family Residence
3544 W Mariposa St       Phoenix         AZ   85019 107-06-006     Maricopa   Anacieto Flores              (602) 332-9232    3544 W Mariposa St          Phoenix         AZ   85019          6   1393   0.15 1959   10/30/2009   10/29/2009   Single Family Residence
3524 E Mallory Cir       Mesa            AZ   85213 141-87-525     Maricopa   Karen Slaughter              (480) 924-8383    3524 E Mallory Cir          Mesa            AZ   85213   6    4.5   4736   0.82 2002   10/30/2009   10/29/2009   Other
3521 W Hazelwood St      Phoenix         AZ   85019 107-07-100     Maricopa   Cecilio Navarro              (602) 841-1473    3521 W Hazelwood St         Phoenix         AZ   85019          2   1126   0.13 1958   10/30/2009   10/29/2009   Single Family Residence
3442 W Paradise Dr       Phoenix         AZ   85029 149-50-065     Maricopa   Maxrhodes Palter                               3442 W Paradise Dr          Phoenix         AZ   85029          2   1462   0.14 1961   10/30/2009   10/28/2009   Single Family Residence
3426 W Altadena Ave      Phoenix         AZ   85029 149-51-027     Maricopa   Walberto Desirea Sandoval                      3426 W Altadena Ave         Phoenix         AZ   85029          2   1331   0.12 1961   10/30/2009   10/29/2009   Single Family Residence
3416 E Angela Dr         Phoenix         AZ   85032 214-01-495     Maricopa   Maya J Angeles                                 3416 E Angela Dr            Phoenix         AZ   85032          2   1297   0.21 1980   10/30/2009   10/29/2009   Single Family Residence
3343 E Thornton Ave      Gilbert         AZ   85297 304-60-346     Maricopa   Robert Cole                                    8889 Dewsbury Ave           San Diego       CA   92126   6    2.5   2918   0.17 2002   10/30/2009   10/29/2009   Single Family Residence
3333 W Hearn Rd          Phoenix         AZ   85053 207-08-315     Maricopa   Troy Blume                                     3333 W Hearn Rd             Phoenix         AZ   85053   3      2   1880    0.2 1969   10/30/2009   10/29/2009   Single Family Residence
3333 W Gary Rd           Phoenix         AZ   85029 149-18-354--   Maricopa   David Cohen                  (602) 548-0133    3333 W Gary Rd              Phoenix         AZ   85029          2   1750   0.15 1970   10/30/2009   10/29/2009   Single Family Residence
332 W Portland St        Phoenix         AZ   85003 111-32-056     Maricopa   Sherry L Rampy                                 332 W Portland St           Phoenix         AZ   85003          9   2906    0.2 1918   10/30/2009   10/29/2009   Other
32811 N 169th Ave        Sun City West   AZ   85387 503-50-014-a   Maricopa   Randall Janet Dirks                            32811 N 169th Ave           Sun City West   AZ   85387          1   2404   3.94 1995   10/30/2009   10/28/2009   Single Family Residence
3246 E Briarwood Ter     Phoenix         AZ   85048 301-79-834     Maricopa   Robert H Kim                                   3604 Mossdale Ave           Durham          NC   27707   4      3   2162   0.11 1987   10/30/2009   10/29/2009   Single Family Residence




                                                                                                                                            Page 6
Pre-foreclosure List
                                                                                                                          Maricopa County Week Ending 11/2

32011 N 23rd Ave          Phoenix         AZ   85085 204-12-734     Maricopa   Michele L Yeates          (623) 215-4067    32011 N 23rd Ave            Phoenix            AZ   85085         12   2854   0.14 2005   10/30/2009   10/29/2009   Single Family Residence
3135 E Bell Rd            Phoenix         AZ   85032 214-31-001-b   Maricopa   Shea Inc                                    3135 E Bell Rd              Phoenix            AZ   85032          2   1125   0.13 1954   10/30/2009   10/29/2009   Single Family Residence
3123 W Carson Rd          Phoenix         AZ   85041 105-91-354     Maricopa   Terence Paytee                              3123 W Carson Rd            Phoenix            AZ   85041          6   2040   0.13 2003   10/30/2009   10/27/2009   Single Family Residence
3101 N 79th Dr            Phoenix         AZ   85033 102-70-068     Maricopa   Lydia E Centeno                             3101 N 79th Dr              Phoenix            AZ   85033          2   1310   0.18 1963   10/30/2009   10/29/2009   Single Family Residence
3010 W Salter Dr          Phoenix         AZ   85027 206-41-040     Maricopa   Christina C Walsh                           38751 Via Las Flores        Murrieta           CA   92563          2   1324   0.09 1997   10/30/2009   10/29/2009   Single Family Residence
2940 N Oregon St 7        Chandler        AZ   85225 302-91-716     Maricopa   Forte Bmelissa                              2940 N Oregon St Unit 7     Chandler           AZ   85225       1.75   1019   0.02 1986   10/30/2009   10/28/2009   Condominium
2929 W Yorkshire Dr 2111 Phoenix          AZ   85027 206-09-235     Maricopa   Barry Harris                                2929 W Yorkshire Dr Unit 2111
                                                                                                                                                       Phoenix            AZ   85027          6   1019   0.02 1999   10/30/2009   10/29/2009   Condominium
2927 N 28th Pl            Phoenix         AZ   85016 119-11-124     Maricopa   John F Turtchin                             15457 N 38th Way            Phoenix            AZ   85032          8   1254   0.06 2004   10/30/2009   10/29/2009   Other
2851 E Anika Dr           Gilbert         AZ   85298 304-77-366     Maricopa   Jackie Hunter                               2851 E Anika Dr             Gilbert            AZ   85298   4      3   2172   0.13 2007   10/30/2009   10/29/2009   Single Family Residence
2838 S 89th Dr            Tolleson        AZ   85353 101-56-470     Maricopa   Marco Gonzalez                              2838 S 89th Dr              Tolleson           AZ   85353         10   2424   0.11 2006   10/30/2009   10/28/2009   Single Family Residence
2825 E Isabella Ave       Mesa            AZ   85204 140-64-283     Maricopa   Heather Frampton          (480) 628-9612    2825 E Isabella Ave         Mesa               AZ   85204   2      2    910   0.09 1984   10/30/2009   10/29/2009   Condominium
2754 E Holmes Ave         Mesa            AZ   85204 140-60-386     Maricopa   Trevor Johnson                              2754 E Holmes Ave           Mesa               AZ   85204          2   1038   0.15 1981   10/30/2009   10/28/2009   Single Family Residence
27405 N Covered Wagon Rd  Phoenix         AZ   85085 210-20-150     Maricopa   Mariposa Investments                        27405 N Covered Wagon Rd Phoenix               AZ   85085         14   4177   0.23 2006   10/30/2009   10/29/2009   Single Family Residence
2738 E Villa Maria Dr     Phoenix         AZ   85032 214-06-366     Maricopa   Alma Y Grady                                2738 E Villa Maria Dr       Phoenix            AZ   85032          2   1629   0.14 1983   10/30/2009   10/29/2009   Single Family Residence
2736 E Taurus Pl          Chandler        AZ   85249 303-55-087     Maricopa   Laurie Urlacher                             3430 S Camellia Pl          Chandler           AZ   85248        5.5   5259   0.77 2001   10/30/2009   10/29/2009   Single Family Residence
2721 E Willetta St        Phoenix         AZ   85008 121-77-044-a   Maricopa   Shirley Gelfand                             2721 E Willetta St          Phoenix            AZ   85008          1   1870   0.16 1925   10/30/2009   10/29/2009   Single Family Residence
26750 N 90th Dr           Peoria          AZ   85383 201-39-479     Maricopa   Eric Benefield            (623) 825-2582    8519 W Avenida Del Sol      Peoria             AZ   85383         17   4903    0.3 2005   10/30/2009   10/29/2009   Other
2623 S 79th Dr            Phoenix         AZ   85043 104-33-320     Maricopa   Silva Jane                                  2623 S 79th Dr              Phoenix            AZ   85043          4   2166   0.12 2000   10/30/2009   10/29/2009   Single Family Residence
26120 N 9th Ave           Phoenix         AZ   85085 210-12-008-c   Maricopa   Robert Brenda Christmas   (623) 492-9713    19451 N 21st Dr             Phoenix            AZ   85027         13   3369   1.11 2003   10/30/2009   10/29/2009   Single Family Residence
2603 N Pennington Dr      Chandler        AZ   85224 302-25-898     Maricopa   Warlock Management Llc                      2603 N Pennington Dr        Chandler           AZ   85224   3      2   1432   0.18 1983   10/30/2009   10/29/2009   Other
25634 W Burgess Ln        Buckeye         AZ   85326 504-57-461     Maricopa   Michael S Elson                             25634 W Burgess Ln          Buckeye            AZ   85326          7   1852   0.14 2006   10/30/2009   10/28/2009   Single Family Residence
2546 W Roeser Rd          Phoenix         AZ   85041 105-65-486     Maricopa   Robert Hill               (602) 305-8842    2546 W Roeser Rd            Phoenix            AZ   85041          6   1327    0.1 2004   10/30/2009   10/29/2009   Single Family Residence
2533 W Brilliant Sky Dr   Phoenix         AZ   85085 204-01-359     Maricopa   Todd Brussel              (623) 444-8999    2533 W Brilliant Sky Dr     Phoenix            AZ   85085   3      2   1518    0.1 2004   10/30/2009   10/29/2009   Single Family Residence
2532 E Tierra Buena Ln    Phoenix         AZ   85032 214-40-112     Maricopa   Staretta Pugh                               2532 E Tierra Buena Ln      Phoenix            AZ   85032                     0.16 1974   10/30/2009   10/29/2009   Mobile Home
2530 W Blue Sky Dr        Phoenix         AZ   85085 210-03-575     Maricopa   Karen Mcfarland           (623) 444-9803    2530 W Blue Sky Dr          Phoenix            AZ   85085         9    1982   0.15 2004   10/30/2009   10/28/2009   Single Family Residence
2517 N Mitchell St        Phoenix         AZ   85006 117-27-109-c   Maricopa   Sam Baar IV                                 2517 N Mitchell St          Phoenix            AZ   85006         2    1132   0.17 1900   10/30/2009   10/29/2009   Single Family Residence
2507 W Whitman Dr         Anthem          AZ   85086 203-40-160     Maricopa   Richard Lelah F Kaufman   (602) 358-7119    1043 E Lois Ln              Phoenix            AZ   85020         7    1432   0.17 2003   10/30/2009   10/29/2009   Single Family Residence
2436 W Caribbean Ln 5     Phoenix         AZ   85023 208-15-908     Maricopa   Larry Carol Mckenzie                        2436 W Caribbean Ln Unit 5 Phoenix             AZ   85023         6    1296   0.05 1979   10/30/2009   10/29/2009   Other
24119 N 116th Wy          Scottsdale      AZ   85255 217-55-284     Maricopa   Robert Suchowian          (480) 563-2305    24119 N 116th Way           Scottsdale         AZ   85255        11    3305   0.25 2001   10/30/2009   10/29/2009   Single Family Residence
2401 E Rio Salado Pkwy 1209
                          Tempe           AZ   85281 135-41-100     Maricopa   Charles Haas Jr                             2675 Windmill Pkwy Unit 211 Henderson          NV   89074         8    1100   0.01 2007   10/30/2009   10/29/2009   Condominium
2323 N 27th Ave           Phoenix         AZ   85009 110-48-004-d   Maricopa   Mahoney Llpetal                             2323 N 27th Ave             Phoenix            AZ   85009                     2.52        10/30/2009   10/29/2009   Other
2314 W Beverly Rd         Phoenix         AZ   85041 300-17-308     Maricopa   Johnkane Gamble                             2314 W Beverly Rd           Phoenix            AZ   85041         8    2032   0.14 2007   10/30/2009   10/29/2009   Single Family Residence
22639 S 212th St          Chandler HeightsAZ   85242 304-65-640     Maricopa   Michael Sloboda                             22639 S 212th St            Chandler Heights   AZ   85142   5     3    2883   0.11 2004   10/30/2009   10/29/2009   Single Family Residence
2244 W Cambridge Ave      Phoenix         AZ   85009 110-43-099     Maricopa   Patrick Deborah Fishell                     2244 W Cambridge Ave        Phoenix            AZ   85009         2    1118   0.16 1954   10/30/2009   10/29/2009   Single Family Residence
22376 N 77th Wy           Scottsdale      AZ   85255 212-02-644     Maricopa   Daniel Harlan             (480) 473-4742    22376 N 77th Way            Scottsdale         AZ   85255        13    3616   0.48 2003   10/30/2009   10/28/2009   Single Family Residence
2237 W Glenrosa Ave       Phoenix         AZ   85015 154-29-012-c   Maricopa   Tim Ho                                      2237 W Glenrosa Ave         Phoenix            AZ   85015              3286   0.28 1954   10/30/2009   10/28/2009   Multi-unit
22024 N 35th Dr           Glendale        AZ   85310 206-21-125     Maricopa   Marek Romana Kliczek      (623) 581-9287    22024 N 35th Dr             Glendale           AZ   85310          2   1480   0.11 1997   10/30/2009   10/29/2009   Single Family Residence
2150 E Bell Rd 1144       Phoenix         AZ   85022 214-08-457     Maricopa   Heather Wilt                                2150 E Bell Rd Unit 1144    Phoenix            AZ   85022          8   1468   0.03 2005   10/30/2009   10/29/2009   Condominium
2134 E Jerome Ave         Mesa            AZ   85204 140-62-228     Maricopa   Alberto L Lopez                             2134 E Jerome Ave           Mesa               AZ   85204          2   1188   0.15 1979   10/30/2009   10/29/2009   Single Family Residence
20224 N 27th Ave          Phoenix         AZ   85027 206-08-377--   Maricopa   Reynaldo Sara Ruiz        (602) 571-7713    20224 N 27th Ave            Phoenix            AZ   85027          1   1225   0.12 1959   10/30/2009   10/29/2009   Single Family Residence
202 N 65th St             Mesa            AZ   85205 141-60-072     Maricopa   Jose M Garcia                               202 N 65th St               Mesa               AZ   85205          3   1212   0.36 1952   10/30/2009   10/29/2009   Single Family Residence
2001 W Chipman Rd         Phoenix         AZ   85041 105-65-144     Maricopa   Trust Acw                                   2001 W Chipman Rd           Phoenix            AZ   85041          2   1365   0.13 1973   10/30/2009   10/29/2009   Single Family Residence
1939 E Jasper Dr          Chandler        AZ   85225 302-37-349     Maricopa   Richard Martinez          (480) 539-8759    1939 E Jasper Dr            Chandler           AZ   85225        3.5   2166   0.17 1988   10/30/2009   10/29/2009   Single Family Residence
19227 N 89th Dr           Peoria          AZ   85382 200-31-521     Maricopa   Austin Rosemary           (623) 825-6334    19227 N 89th Dr             Peoria             AZ   85382   3      2   1574   0.14 1991   10/30/2009   10/29/2009   Single Family Residence
18430 E Sparrow Dr        Chandler HeightsAZ   85242 304-61-357     Maricopa   Zennie Lynch              (678) 759-1167    429 Aviemore Loop           Mcdonough          GA   30253   6    3.5   4082    6.1 2004   10/30/2009   10/29/2009   Single Family Residence
18402 N 14th St           Phoenix         AZ   85022 214-11-825     Maricopa   Glen Forthun              (602) 418-6293    18402 N 14th St             Phoenix            AZ   85022          5   4368   0.17 2000   10/30/2009   10/29/2009   Single Family Residence
172 E Bonita Wy           Tempe           AZ   85281 133-16-063     Maricopa   Robert Buller                               172 E Bonita Way            Tempe              AZ   85281          2   1270   0.21 1957   10/30/2009   10/29/2009   Single Family Residence
16959 W Hammond St        Goodyear        AZ   85338 500-97-406     Maricopa   Judy Brillantes                             15878 W Melvin St           Goodyear           AZ   85338   4      3   2691   0.14 2007   10/30/2009   10/29/2009   Single Family Residence
16924 W Dale Ln           Surprise        AZ   85387 503-51-130-g   Maricopa   David W Smith                               16924 W Dale Ln             Surprise           AZ   85387          2   1690   4.36 1995   10/30/2009   10/29/2009   Single Family Residence
16668 W Moreland St       Goodyear        AZ   85338 500-89-318     Maricopa   Ruben Maria Nunez         (623) 925-8377    16668 W Moreland St         Goodyear           AZ   85338        3.5   2232    0.1 2001   10/30/2009   10/29/2009   Single Family Residence
16604 N 113th Dr          Sun City        AZ   85351 200-57-670     Maricopa   Fisher Michelle                             16604 N 113th Dr            Sun City           AZ   85374   4      2   1571   0.12 2001   10/30/2009   10/29/2009   Other
16536 E Jacklin Dr        Fountain Hills AZ    85268 176-07-078     Maricopa   Philip Wurth              (480) 686-9060    16536 E Jacklin Dr          Fountain Hills     AZ   85268   3      4   3757   1.03 1979   10/30/2009   10/29/2009   Single Family Residence
16431 N 35th Dr           Phoenix         AZ   85053 207-16-172     Maricopa   Robert Sandy A Opperman                     16431 N 35th Dr             Phoenix            AZ   85053          2   1886   0.23 1984   10/30/2009   10/29/2009   Single Family Residence
16388 W Roosevelt St      Goodyear        AZ   85338 500-91-383     Maricopa   Robert Jackson                              16388 W Roosevelt St        Goodyear           AZ   85338          9   2470   0.19 2004   10/30/2009   10/29/2009   Single Family Residence
1626 E Villa Theresa Dr   Phoenix         AZ   85022 214-10-342     Maricopa   Shirley W Prouty                            1626 E Villa Theresa Dr     Phoenix            AZ   85022          3   1846    0.1 1992   10/30/2009   10/29/2009   Single Family Residence
16118 N 168th Ln          Sun City        AZ   85388 501-12-578     Maricopa   Samica Bordas             (623) 374-2265    16118 N 168th Ln            Surprise           AZ   85388          7   1914   0.11 2005   10/30/2009   10/29/2009   Single Family Residence
16023 N 15th Pl           Phoenix         AZ   85022 214-18-069     Maricopa   Karen Gieber                                16023 N 15th Pl             Phoenix            AZ   85022   3      2   1312   0.16 1985   10/30/2009   10/29/2009   Single Family Residence




                                                                                                                                          Page 7
Pre-foreclosure List
                                                                                                                               Maricopa County Week Ending 11/2

15650 N 19th Ave N1a        Phoenix           AZ   85023 208-35-001-b   Maricopa   Victoria L Landis                            15650 N 19th Ave N1a         Phoenix           AZ   85023        3.5   1340   0.02 1986   10/30/2009   10/29/2009   Condominium
1547 E Glacier Pl           Chandler          AZ   85249 303-91-210     Maricopa   Dennis Kathleen J Marion   (480) 892-1785    1547 E Glacier Pl            Chandler          AZ   85249         14   4315   0.19 2004   10/30/2009   10/29/2009   Single Family Residence
15454 W Evans Dr            Sun City          AZ   85379 501-95-497     Maricopa   Juan C Fuentes                               15454 W Evans Dr             Sun City          AZ   85379       2.75   1747   0.25 2002   10/30/2009   10/29/2009   Single Family Residence
1530 W St Anne Ave          Phoenix           AZ   85041 105-84-213     Maricopa   Pedro Ximena B Delgado     (602) 276-8837    1530 W Saint Anne Ave        Phoenix           AZ   85041       2.75   2012   0.14 2002   10/30/2009   10/29/2009   Single Family Residence
15230 N 162nd Ln            Sun City          AZ   85379 501-97-099     Maricopa   Earl Bolton                                  15230 N 162nd Ln             Sun City          AZ   85379        2.5   1767   0.11 2002   10/30/2009   10/29/2009   Single Family Residence
1523 S Jacana Ln            Gilbert           AZ   85296 304-29-344     Maricopa   Tsi Opportunities Llc                        1523 S Jacana Ln             Gilbert           AZ   85296   3    2.5   1471   0.06 2003   10/30/2009   10/29/2009   Single Family Residence
1505 S 115th Dr             Avondale          AZ   85323 500-30-397     Maricopa   Derek Maria Turkmen        (623) 478-2803    1505 S 115th Dr              Avondale          AZ   85323   4      2   1701   0.15 2005   10/30/2009   10/29/2009   Single Family Residence
1502 N 66th Pl              Mesa              AZ   85205 141-64-107     Maricopa   Brianne Hurst              (480) 518-1309    1502 N 66th Pl               Mesa              AZ   85205          2   1588   0.35 1960   10/30/2009   10/29/2009   Single Family Residence
15016 N 40th Ln             Phoenix           AZ   85053 207-13-085     Maricopa   Deena Morton               (602) 938-1044    15016 N 40th Ln              Phoenix           AZ   85053          2   1852   0.77 1971   10/30/2009   10/28/2009   Single Family Residence
15000 N 88th Ave            Peoria            AZ   85381 200-61-608     Maricopa   Neal Goldblatt                               15000 N 88th Ave             Peoria            AZ   85381       2.75   1874   0.24 1998   10/30/2009   10/29/2009   Single Family Residence
1480 S Boulder St F         Gilbert           AZ   85296 309-17-598     Maricopa   Ashley Cracraft                              1480 S Boulder St Unit F     Gilbert           AZ   85296          9   1514   0.07 1998   10/30/2009   10/29/2009   Other
14766 W Charter Oak Rd      Sun City          AZ   85379 501-39-551     Maricopa   George Cortez              (623) 680-1338    9602 W Bajada Rd             Peoria            AZ   85383          7   1670   0.11 2003   10/30/2009   10/29/2009   Single Family Residence
14728 W Redfield Rd         Sun City          AZ   85379 509-02-503     Maricopa   Stephen Taylor             (623) 215-2103    1920 Sioux                   Glendale          AZ   85307        2.5   1603   0.11 2002   10/30/2009   10/29/2009   Single Family Residence
14675 N 90th Ln             Peoria            AZ   85381 200-61-731     Maricopa   Kenneth Fowler                               14675 N 90th Ln              Peoria            AZ   85381   3      2   1467   0.11 1992   10/30/2009   10/29/2009   Single Family Residence
14338 W Cholla St           Sun City          AZ   85379 509-15-490     Maricopa   Erika Mitchell                               14338 W Cholla St            Sun City          AZ   85379         12   4242   0.19 2006   10/30/2009   10/29/2009   Single Family Residence
1433 E Charleston Ave       Phoenix           AZ   85022 214-11-674     Maricopa   Jakov Angela Abramov       (602) 754-4514    1433 E Charleston Ave        Phoenix           AZ   85022         12   2076   0.14 1999   10/30/2009   10/29/2009   Single Family Residence
14215 N 30th St             Phoenix           AZ   85032 214-55-230     Maricopa   Mohammad Falsafi           (602) 765-1304    14215 N 30th St              Phoenix           AZ   85032   4    2.5   2330   0.25 1987   10/30/2009   10/29/2009   Single Family Residence
14208 W Poinsettia Dr       Sun City          AZ   85379 501-96-804     Maricopa   John M Bergher                               14208 W Poinsettia Dr        Sun City          AZ   85379   5    4.5   4119    0.2 2005   10/30/2009   10/29/2009   Single Family Residence
1416 W San Pedro St         Gilbert           AZ   85233 302-12-422     Maricopa   Llc S&l                                      1416 W San Pedro St          Gilbert           AZ   85233                     1.31        10/30/2009   10/29/2009   Other
141 S Mesquite St           Wickenburg        AZ   85390 505-51-058     Maricopa   Jamie C Richards                             141 S Mesquite St            Wickenburg        AZ   85390          6   2551   0.27 1955   10/30/2009   10/28/2009   Single Family Residence
14027 E Williams Field Rd   Gilbert           AZ   85295 304-44-008     Maricopa   Huynh Tram                                   14027 E Williams Field Rd    Gilbert           AZ   85295   6      4   4335   0.89 1984   10/30/2009   10/29/2009   Single Family Residence
14002 N 49th Ave 1133       Glendale          AZ   85306 207-33-562     Maricopa   Jill Graham                                  17407 W Banff Ln             Surprise          AZ   85388          2    864   0.02 1986   10/30/2009   10/29/2009   Condominium
13459 W Post Dr             Sun City          AZ   85374 501-91-145     Maricopa   Smith Allison                                13459 W Post Dr              Sun City          AZ   85374          2   1205   0.11 2000   10/30/2009   10/29/2009   Single Family Residence
13423 S Hermit Rd           Buckeye           AZ   85326 400-76-226-b   Maricopa   Katherine Bates            (623) 327-3809    13423 S Hermit Rd            Buckeye           AZ   85326          2   1184   0.81 1992   10/30/2009   10/29/2009   Single Family Residence
13212 N 7th Dr              Phoenix           AZ   85029 159-03-022     Maricopa   Alvaro Castillo                              13212 N 7th Dr               Phoenix           AZ   85029       2.75   2683   0.24 1974   10/30/2009   10/29/2009   Single Family Residence
13141 W Clarendon Ave       Litchfield Park   AZ   85340 508-02-138     Maricopa   George Ramos                                 13141 W Clarendon Ave        Litchfield Park   AZ   85340          6   1702   0.13 2004   10/30/2009   10/28/2009   Single Family Residence
1308 E Northshore Dr        Guadalupe         AZ   85283 301-02-268     Maricopa   Eric A Ganz                                  280 S Evergreen Rd Unit 1311 Tempe             AZ   85281        3.5   2895   0.15 1972   10/30/2009   10/28/2009   Single Family Residence
13053 W Scotts Dr           El Mirage         AZ   85335 509-09-163     Maricopa   Johnsmith Acedo                              13053 W Scotts Dr            El Mirage         AZ   85335          3   2255    0.2 2002   10/30/2009   10/29/2009   Single Family Residence
13031 N 36th Dr             Phoenix           AZ   85029 149-25-381     Maricopa   David W Shoop              (602) 595-6477    13031 N 36th Dr              Phoenix           AZ   85029          2   1550   0.21 1981   10/30/2009   10/28/2009   Single Family Residence
12922 W Georgia Ave         Litchfield Park   AZ   85340 501-63-187     Maricopa   Kenny Revocable            (623) 536-7887    12922 W Georgia Ave          Litchfield Park   AZ   85340         10   3060   0.56 2005   10/30/2009   10/29/2009   Single Family Residence
12915 W Limewood Dr         Sun City          AZ   85375 232-07-181     Maricopa   Vic C Seymour                                12915 W Limewood Dr          Sun City          AZ   85375          2   2094   0.19 1979   10/30/2009   10/29/2009   Single Family Residence
1285 N 166th Dr             Goodyear          AZ   85338 500-91-012     Maricopa   April G Leher                                1285 N 166th Dr              Goodyear          AZ   85338   4    2.5   2232    0.1 2003   10/30/2009   10/29/2009   Other
12845 W Illini St           Avondale          AZ   85323 500-63-010-k   Maricopa   Castro Luz                                   12845 W Illini St            Avondale          AZ   85323          1   1175   0.25 2006   10/30/2009   10/29/2009   Single Family Residence
12830 W Campbell Ave        Litchfield Park   AZ   85340 508-07-359     Maricopa   Zia Yjaneet                                  12830 W Campbell Ave         Litchfield Park   AZ   85340          3   2047   0.15 2002   10/30/2009   10/29/2009   Single Family Residence
12707 Ballad Dr             Sun City          AZ   85375 232-09-346-a   Maricopa   Joanne M Feiter                              12707 W Ballad Dr            Sun City          AZ   85375   2      1   1419   0.01 1983   10/30/2009   10/29/2009   Single Family Residence
12512 W Adams St            Avondale          AZ   85323 500-29-450     Maricopa   Jonathan M Olive                             12512 W Adams St             Avondale          AZ   85323       2.75   2112   0.11 2001   10/30/2009   10/29/2009   Single Family Residence
1250 S Rialto St 74         Mesa              AZ   85209 220-86-271     Maricopa   Eccles Kenneth                               1250 S Rialto Unit 74        Mesa              AZ   85209          7   1227   0.01 2005   10/30/2009   10/29/2009   Condominium
1232 N 85th Pl              Scottsdale        AZ   85257 131-06-675-a   Maricopa   Layla P Suleiman                             1232 N 85th Pl               Scottsdale        AZ   85257          1    936     89 1984   10/30/2009   10/29/2009   Condominium
12314 W Pershing St         El Mirage         AZ   85335 509-08-345     Maricopa   Stephanie Myers                              12314 W Pershing St          El Mirage         AZ   85335          2   1430   0.15 2002   10/30/2009   10/28/2009   Single Family Residence
11818 S 194th Dr            Buckeye           AZ   85326 400-52-074     Maricopa   Matthew Kirker             (623) 547-0428    11818 S 194th Dr             Buckeye           AZ   85326   4      2   1815   1.24 1971   10/30/2009   10/29/2009   Single Family Residence
11754 W Acapulco Ln         El Mirage         AZ   85335 501-25-453     Maricopa   Ralph D Cronin                               11754 W Acapulco Ln          El Mirage         AZ   85335          9   1978   0.12 2006   10/30/2009   10/28/2009   Single Family Residence
11617 N 40th Ave            Phoenix           AZ   85029 149-33-654     Maricopa   Johnrae Rakes                                11617 N 40th Ave             Phoenix           AZ   85029        2.5   1346   0.16 1978   10/30/2009   10/29/2009   Single Family Residence
1150 E Browning Pl          Chandler          AZ   85286 303-29-524     Maricopa   Jeremy Reeder                                1150 E Browning Pl           Chandler          AZ   85286          3   2428    0.2 2002   10/30/2009   10/29/2009   Single Family Residence
11450 N 66th Dr             Glendale          AZ   85304 143-04-188     Maricopa   Timothy Spalla             (623) 910-2014    11450 N 66th Dr              Glendale          AZ   85304        2.5   2034   0.17 1984   10/30/2009   10/28/2009   Single Family Residence
11218 E Stearn Ave          Mesa              AZ   85212 312-14-691     Maricopa   Todd Mindy Terry                             11218 E Stearn Ave           Mesa              AZ   85212         14   3937   0.19 2006   10/30/2009   10/29/2009   Single Family Residence
1113 E Apache St            Phoenix           AZ   85034 115-46-168-a   Maricopa   Ernesto Lourdes Alcaraz                      1113 E Apache St             Phoenix           AZ   85034              1248    0.2 1946   10/30/2009   10/29/2009   Duplex
11124 N 138th Wy            Scottsdale        AZ   85259 217-30-168     Maricopa   Karen Clague                                 10830 E San Salvador Dr      Scottsdale        AZ   85259   5      4   3705   0.17 1996   10/30/2009   10/29/2009   Other
11082 E Sahuaro Dr          Scottsdale        AZ   85259 217-27-637     Maricopa   Clarke Marygrace           (480) 860-8967    11082 E Sahuaro Dr           Scottsdale        AZ   85259          8   1699   0.14 1983   10/30/2009   10/29/2009   Single Family Residence
11004 E Karen Dr            Scottsdale        AZ   85255 217-61-802     Maricopa   Christ Agnos                                 11004 E Karen Dr             Scottsdale        AZ   85255       3.75   3194   0.23 1999   10/30/2009   10/29/2009   Single Family Residence
10975 E Santa Fe Tr         Scottsdale        AZ   85262 219-56-638     Maricopa   White Payne                                  10975 E Santa Fe Trl         Scottsdale        AZ   85262         11   3202    1.1 1998   10/30/2009   10/29/2009   Single Family Residence
10917 E Addy Wy             Scottsdale        AZ   85262 219-60-802     Maricopa   Bryan Suzanne Brescia                        10917 E Addy Way             Scottsdale        AZ   85262         17   5320   0.66 2006   10/30/2009   10/29/2009   Single Family Residence
10913 E Cholla Rd           Mesa              AZ   85207 220-09-026     Maricopa   Matthew J Storey                             10913 E Cholla Rd            Mesa              AZ   85207        2.5   1622   0.13 1999   10/30/2009   10/29/2009   Single Family Residence
10873 W Locust Ln           Avondale          AZ   85353 101-20-591     Maricopa   Katarzyna Kulikowski                         10873 W Locust Ln            Avondale          AZ   85323          8   1739   0.14 2003   10/30/2009   10/29/2009   Single Family Residence
10836 N 41st Ave            Phoenix           AZ   85029 149-34-472     Maricopa   Jedbrown Okason                              10836 N 41st Ave             Phoenix           AZ   85029          2   1570   0.13 1978   10/30/2009   10/29/2009   Single Family Residence
10820 N 64th Ln             Glendale          AZ   85304 143-03-439     Maricopa   Charles Christy Brady                        10820 N 64th Ln              Glendale          AZ   85304       2.75   1570    0.1 1985   10/30/2009   10/29/2009   Single Family Residence
10713 W Palmeras Dr         Sun City          AZ   85373 230-05-070     Maricopa   Louis G Scheffer                             10713 W Palmeras Dr          Sun City          AZ   85373          2   1661   0.19 1974   10/30/2009   10/29/2009   Single Family Residence
10583 N 115th Dr            Youngtown         AZ   85363 509-18-663     Maricopa   Ezekial Linn               (623) 444-7343    10583 N 115th Dr             Youngtown         AZ   85363   3      2   1424   0.11 2005   10/30/2009   10/29/2009   Single Family Residence




                                                                                                                                                Page 8
Pre-foreclosure List
                                                                                                                              Maricopa County Week Ending 11/2

10509 E Abilene Ave        Mesa              AZ   85208 220-53-089     Maricopa   Gregory Theo Shearer                         10509 E Abilene Ave         Mesa              AZ   85208          2   1934    0.11 1999   10/30/2009   10/29/2009   Single Family Residence
10234 N 37th Ave           Phoenix           AZ   85051 149-36-091     Maricopa   Reyes Mendoza              (602) 862-0419    10234 N 37th Ave            Phoenix           AZ   85051          2   1332    0.16 1969   10/30/2009   10/28/2009   Single Family Residence
9713 W Florence Ave        Tolleson          AZ   85353 101-26-268     Maricopa   Ramirez Imelda                               9713 W Florence Ave         Tolleson          AZ   85353          6   1766    0.12 2003   10/29/2009   10/28/2009   Single Family Residence
9433 W Williams St         Tolleson          AZ   85353 101-27-670     Maricopa   George Herrera                               9433 W Williams St          Tolleson          AZ   85353         11   2166    0.09 2005   10/29/2009   10/28/2009   Single Family Residence
9432 W San Miguel Ave      Glendale          AZ   85305 102-13-063     Maricopa   Lisa C Brinson                               9432 W San Miguel Ave       Glendale          AZ   85305          2   1612    0.87 1977   10/29/2009   10/28/2009   Single Family Residence
9306 W Bonitos Rd          Phoenix           AZ   85037 102-34-180     Maricopa   Garcia Cecilia                               9306 W Bonitos Rd           Phoenix           AZ   85037         11   3050    0.16 2004   10/29/2009   10/28/2009   Single Family Residence
924 S Nevada Wy            Mesa              AZ   85204 139-17-102     Maricopa   Barbara A Wood                               924 S Nevada Way            Mesa              AZ   85204          2   1552    0.13 1978   10/29/2009   10/27/2009   Single Family Residence
9229 S 45th Pl             Phoenix           AZ   85044 307-01-352     Maricopa   Debra Gordon               (520) 808-7122    9229 S 45th Pl              Phoenix           AZ   85044   3    2.5   1728    0.09 1986   10/29/2009   10/28/2009   Single Family Residence
9122 W Virginia Ave        Phoenix           AZ   85037 102-34-551     Maricopa   Angela Robertson                             9122 W Virginia Ave         Phoenix           AZ   85037          6   1615    0.13 2004   10/29/2009   10/28/2009   Single Family Residence
8734 N Avenida Del Sol     Paradise Valley   AZ   85253 168-44-011     Maricopa   Land Maricopa Llc                            8734 N Avenida Del Sol      Paradise Valley   AZ   85253         11   3374    0.89 1975   10/29/2009   10/28/2009   Other
8668 W Earll Dr            Phoenix           AZ   85037 102-73-408     Maricopa   David Bishop                                 8668 W Earll Dr             Phoenix           AZ   85037          1    894    0.17 1974   10/29/2009   10/28/2009   Single Family Residence
8633 N 51st Dr             Glendale          AZ   85302 148-20-438     Maricopa   Terah L Kerns                                8633 N 51st Dr              Glendale          AZ   85302        2.5   1284    0.16 1986   10/29/2009   10/28/2009   Single Family Residence
8619 E Meseto Ave          Mesa              AZ   85209 312-03-509     Maricopa   Aris Ciriaco                                 8619 E Meseto Ave           Mesa              AZ   85209       2.75   1523    0.12 2001   10/29/2009   10/28/2009   Single Family Residence
8547 E Neville Ave         Mesa              AZ   85209 312-03-124     Maricopa   Joseph Mitzi Papa          (480) 214-3753    8547 E Neville Ave          Mesa              AZ   85209          3   2122    0.14 2000   10/29/2009   10/28/2009   Single Family Residence
8428 W Mackenzie Dr        Phoenix           AZ   85037 102-19-100     Maricopa   Paul B Dominguez           (623) 444-9991    8428 W Mackenzie Dr         Phoenix           AZ   85037          2   1148    0.12 1971   10/29/2009   10/28/2009   Single Family Residence
8380 N 90th Ln             Peoria            AZ   85345 142-32-270     Maricopa   Nicholas C Stolp                             8380 N 90th Ln              Peoria            AZ   85345          2   1382    0.23 1983   10/29/2009   10/28/2009   Single Family Residence
8344 E Sands Dr            Scottsdale        AZ   85255 212-01-426     Maricopa   Victoria Inc                                 8344 E Sands Dr             Scottsdale        AZ   85255   3    3.5   3570    0.35 1998   10/29/2009   10/28/2009   Single Family Residence
8343 E Earll Dr            Scottsdale        AZ   85251 130-35-012     Maricopa   Michael Michelle Quinlan   (480) 874-4234    8343 E Earll Dr             Scottsdale        AZ   85251          2   1480    0.14 1960   10/29/2009   10/28/2009   Single Family Residence
8334 W Rose Ln             Glendale          AZ   85305 102-04-503     Maricopa   Stephen Jennifer Azodeh                      8334 W Rose Ln              Glendale          AZ   85305   4      2   2190    0.17 1999   10/29/2009   10/28/2009   Single Family Residence
8324 W Griffin Ave         Glendale          AZ   85305 102-04-440     Maricopa   Aida A Trillas                               8324 W Griffin Ave          Glendale          AZ   85305          7   1700    0.16 2003   10/29/2009   10/28/2009   Single Family Residence
8319 E Mcdonald Dr         Scottsdale        AZ   85250 173-02-433     Maricopa   Rawls Ivcarrie                               8319 E Mcdonald Dr          Scottsdale        AZ   85250          2   1633    0.05 1979   10/29/2009   10/27/2009   Condominium
8307 W Cantera             Peoria            AZ   85383 200-08-463     Maricopa   Burns Rene                 (623) 326-0178    8307 W Cantera              Peoria            AZ   85383         14   4767     0.4 2004   10/29/2009   10/28/2009   Single Family Residence
8218 W Melinda Ln          Peoria            AZ   85382 200-18-598     Maricopa   Shawn D Powell                               12916 W La Vina Dr          Sun City West     AZ   85375       3.75   2465    0.13 1999   10/29/2009   10/28/2009   Single Family Residence
8120 N Hayden Rd           Scottsdale        AZ   85258 174-04-998-b   Maricopa   Mef Realty Llc                               8120 N Hayden Rd            Scottsdale        AZ   85258                     10.35        10/29/2009   10/28/2009   Other
8102 W Minnezona Ave       Phoenix           AZ   85033 102-79-771     Maricopa   Gerardo Sandoval                             8102 W Minnezona Ave        Phoenix           AZ   85033          1    840    0.12 1980   10/29/2009   10/28/2009   Single Family Residence
8012 N 88th Ln             Peoria            AZ   85345 142-32-581     Maricopa   Joseph Ancona                                8012 N 88th Ln              Peoria            AZ   85345          2   1508    0.24 2000   10/29/2009   10/28/2009   Single Family Residence
7927 E 3rd Ave             Mesa              AZ   85208 218-33-005-b   Maricopa   Margaret Sullins           (480) 415-1853    7927 E 3rd Ave              Mesa              AZ   85208   4   2.75   1998    0.18 1995   10/29/2009   10/28/2009   Mobile Home
7725 W Northview Ave       Glendale          AZ   85303 142-26-379     Maricopa   Sharin S Clairmont         (269) 792-9579    2968 8th St                 Shelbyville       MI   49344          7   1855    0.14 2003   10/29/2009   10/28/2009   Single Family Residence
7607 W Flower St           Phoenix           AZ   85033 102-22-096     Maricopa   Cirilo Maria Mendoza       (623) 330-8594    7607 W Flower St            Phoenix           AZ   85033          2   1824    0.14 1975   10/29/2009   10/28/2009   Single Family Residence
7545 W Pershing Ave        Peoria            AZ   85381 231-10-058     Maricopa   Ronald G Grenier                             7545 W Pershing Ave         Peoria            AZ   85381        2.5   1542    0.16 1985   10/29/2009   10/28/2009   Single Family Residence
7480 E Camino Santo        Scottsdale        AZ   85260 175-04-063     Maricopa   Maria Igna                 (480) 361-1771    7480 E Camino Santo         Scottsdale        AZ   85260        2.5   3125     0.7 1981   10/29/2009   10/28/2009   Single Family Residence
7384 S 253rd Ave           Buckeye           AZ   85326 504-41-186     Maricopa   Evelyn L Ayala                               25541 W Winslow Ave         Buckeye           AZ   85326          8   2079    0.16 2008   10/29/2009   10/28/2009   Single Family Residence
7351 W Coronado Rd         Phoenix           AZ   85035 102-39-523     Maricopa   Rene Santiago                                7351 W Coronado Rd          Phoenix           AZ   85035          6   1240    0.14 1974   10/29/2009   10/28/2009   Single Family Residence
7334 E Evening Glow Dr     Scottsdale        AZ   85266 216-48-703     Maricopa   Maria Igna                                   7334 E Evening Glow Dr      Scottsdale        AZ   85266       2.75   2060    0.12 1999   10/29/2009   10/28/2009   Single Family Residence
7156 W Marlette Ave        Glendale          AZ   85303 144-03-374     Maricopa   Manuel J Nunez                               7156 W Marlette Ave         Glendale          AZ   85303          7   1756    0.13 2003   10/29/2009   10/27/2009   Single Family Residence
7147 W Coronado Rd         Phoenix           AZ   85035 102-39-806     Maricopa   Tomas Magdalena Garcia                       7147 W Coronado Rd          Phoenix           AZ   85035          1   1200    0.14 1975   10/29/2009   10/28/2009   Single Family Residence
7072 E Thirsty Cactus Ln   Scottsdale        AZ   85266 216-50-443     Maricopa   Moore Ann                  (480) 200-0885    7072 E Thirsty Cactus Ln    Scottsdale        AZ   85266         10   2358    0.18 1995   10/29/2009   10/28/2009   Single Family Residence
7020 W Oregon Ave          Glendale          AZ   85303 144-24-375     Maricopa   Castillo Daniel                              7020 W Oregon Ave           Glendale          AZ   85303          2   1849    0.22 1978   10/29/2009   10/27/2009   Single Family Residence
6958 W Brown St            Peoria            AZ   85345 143-09-187     Maricopa   Charles Ludwig                               6958 W Brown St             Peoria            AZ   85345        2.5   1542    0.16 1986   10/29/2009   10/28/2009   Single Family Residence
6915 E Quail Run Rd        Paradise Valley   AZ   85253 174-63-009-a   Maricopa   Patricia Livi                                6915 E Quail Run Rd         Paradise Valley   AZ   85253          2   2820    1.33 1955   10/29/2009   10/28/2009   Single Family Residence
6914 W Linda Sue Ln        Peoria            AZ   85382 200-52-559     Maricopa   Richard Feight             (623) 486-8817    6914 W Linda Sue Ln         Peoria            AZ   85382              1456    0.17 2002   10/29/2009   10/28/2009   Mobile Home
6903 W El Cortez Pl        Peoria            AZ   85383 201-34-056     Maricopa   Baba Esho                                    6903 W El Cortez Pl         Peoria            AZ   85383          3   2339    0.16 1999   10/29/2009   10/28/2009   Single Family Residence
6862 E Laguna Azul Ave     Mesa              AZ   85209 309-07-967     Maricopa   Delbert Brummett                             6862 E Laguna Azul Ave      Mesa              AZ   85209       2.75   1816    0.13 1995   10/29/2009   10/28/2009   Single Family Residence
6851 S Birdie Wy           Gilbert           AZ   85298 313-04-496     Maricopa   Ervin Jrjennifer                             6851 S Birdie Way           Gilbert           AZ   85298   4      3   2608    0.14 2005   10/29/2009   10/28/2009   Single Family Residence
6815 E Wildcat Dr          Scottsdale        AZ   85266 216-67-090     Maricopa   Scott Francis                                29862 N Tatum Blvd Unit 2071Cave Creek        AZ   85331   6      4   5180    2.18 2003   10/29/2009   10/28/2009   Single Family Residence
6809 W St Catherine Ave    Phoenix           AZ   85339 104-83-159     Maricopa   Donald Diana M Oswald                        2512 S 114th Ave            Avondale          AZ   85323          9   2516    0.19 2005   10/29/2009   10/28/2009   Other
6725 N 44th Ave            Glendale          AZ   85301 146-26-042     Maricopa   Rachael R Hernandez                          300 W Iola St               Broken Arrow      OK   74012       1.75   1152    0.02 1964   10/29/2009   10/28/2009   Condominium
6711 W Osborn Rd 93        Phoenix           AZ   85033 102-85-093     Maricopa   Genaro Rivera                                6711 W Osborn Rd Unit 93 Phoenix              AZ   85033          1    840    0.03 1986   10/29/2009   10/28/2009   Condominium
6704 N 31st Ave            Phoenix           AZ   85017 152-09-103     Maricopa   Gutierrez Roxana           (602) 374-4183    6704 N 31st Ave             Phoenix           AZ   85017          2   1504    0.13 1976   10/29/2009   10/28/2009   Single Family Residence
654 E Garnet Ave           Mesa              AZ   85204 139-13-298     Maricopa   Eduardo Lucia Diosdado     (480) 969-2065    654 E Garnet Ave            Mesa              AZ   85204          2   1323    0.15 1975   10/29/2009   10/28/2009   Single Family Residence
6431 W Beverly Rd          Phoenix           AZ   85339 300-13-545     Maricopa   Amy Brian Kadlec                             6431 W Beverly Rd           Laveen            AZ   85339          9   1253    0.06 2007   10/29/2009   10/28/2009   Other
6417 W Cocopah St          Phoenix           AZ   85043 104-28-144     Maricopa   Sam Shack                                    6417 W Cocopah St           Phoenix           AZ   85043          2   1392    0.11 1999   10/29/2009   10/28/2009   Single Family Residence
6402 W Coolidge St         Phoenix           AZ   85033 144-43-253     Maricopa   Manuel Janice Ohton                          6402 W Coolidge St          Phoenix           AZ   85033          2   1671    0.15 1973   10/29/2009   10/27/2009   Single Family Residence
6330 S Blake Ct            Gilbert           AZ   85298 313-07-077     Maricopa   Scott Susan Bumm                             6330 S Blake St             Gilbert           AZ   85298          6   2540    0.22 2003   10/29/2009   10/28/2009   Single Family Residence
6329 W Buckskin Tr         Phoenix           AZ   85083 201-10-042     Maricopa   William G Gacusan                            6329 W Buckskin Trl         Phoenix           AZ   85083   5      3   3450    0.14 1999   10/29/2009   10/28/2009   Single Family Residence
6321 W Toronto Wy          Phoenix           AZ   85043 104-37-062     Maricopa   Paul Spector                                 6321 W Toronto Way          Phoenix           AZ   85043   3      2   1600    0.13 2002   10/29/2009   10/28/2009   Single Family Residence
6118 N 18th Ave            Phoenix           AZ   85015 156-19-046     Maricopa   Leo Gail Toloumu                             6118 N 18th Ave             Phoenix           AZ   85015          2   1532     0.2 1950   10/29/2009   10/27/2009   Single Family Residence




                                                                                                                                              Page 9
Pre-foreclosure List
                                                                                                                                 Maricopa County Week Ending 11/2

6012 S Danielson Wy        Chandler          AZ   85249 303-56-121     Maricopa   Maria J Rebozo                                  6012 S Danielson Way         Chandler          AZ   85249   4      3   2350   0.26 2001   10/29/2009   10/28/2009   Single Family Residence
5728 W Chicago St          Chandler          AZ   85226 301-88-084     Maricopa   Cody King                                       5728 W Chicago St            Chandler          AZ   85226   3      2   1215   0.18 1982   10/29/2009   10/28/2009   Single Family Residence
5718 S 237th Ln            Buckeye           AZ   85326 504-42-251     Maricopa   Christopherlopez Balderrama   (623) 915-7038    5718 S 237th Ln              Buckeye           AZ   85326          6   2251   0.11 2008   10/29/2009   10/28/2009   Single Family Residence
5615 N Castano Dr          Litchfield Park   AZ   85340 501-62-049     Maricopa   Vipawan Rodney K Miller       (623) 229-6719    5615 N Castano Dr            Litchfield Park   AZ   85340          9   2405   0.15 2002   10/29/2009   10/28/2009   Other
5602 W Bluefield Ave       Glendale          AZ   85308 200-49-410     Maricopa   Dawn M Risk                                     5602 W Bluefield Ave         Glendale          AZ   85308          2   1624   0.14 1984   10/29/2009   10/27/2009   Single Family Residence
5539 E Calle Iglesia       Guadalupe         AZ   85283 301-16-111-a   Maricopa   Veronica Perez                (480) 768-2007    5539 E Calle Iglesia         Guadalupe         AZ   85283          6   1350    0.1 1990   10/29/2009   10/28/2009   Other
5436 W Myrtle Ave          Glendale          AZ   85301 147-18-022     Maricopa   Real Tague                                      5436 W Myrtle Ave            Glendale          AZ   85301   3      2   1064   0.14 1945   10/29/2009   10/28/2009   Single Family Residence
5347 N 106th Ave           Glendale          AZ   85307 102-16-019     Maricopa   Rodriguez Estela              (623) 872-9631    5347 N 106th Ave             Glendale          AZ   85307         13   3567   0.88 1995   10/29/2009   10/28/2009   Single Family Residence
5317 N 33rd Dr             Phoenix           AZ   85017 153-17-094     Maricopa   Maria E Melgoza                                 5317 N 33rd Dr               Phoenix           AZ   85017          6   1080   0.02 1973   10/29/2009   10/27/2009   Other
5302 E Van Buren St 2012   Phoenix           AZ   85008 125-04-159     Maricopa   Alicia Ruiz                                     5302 E Van Buren St Unit 2012Phoenix           AZ   85008          3    847   0.02 2002   10/29/2009   10/27/2009   Condominium
527 E Beth Dr              Phoenix           AZ   85042 300-45-389     Maricopa   Ovie Emudianughe                                527 E Beth Dr                Phoenix           AZ   85042          9   3359   0.15 2004   10/29/2009   10/28/2009   Single Family Residence
5208 W Trotter Tr          Phoenix           AZ   85083 201-38-636     Maricopa   Venkata Paripoorna Naidu                        7932 N Macarthur Blvd Unit 4109
                                                                                                                                                               Irving            TX   75063         14   4070   0.17 2006   10/29/2009   10/28/2009   Single Family Residence
5136 E Evergreen St 1152   Mesa              AZ   85205 140-01-673     Maricopa   Monica L Price                                  5136 E Evergreen St Unit 1152Mesa              AZ   85205          2   1110   0.02 1985   10/29/2009   10/28/2009   Condominium
508 W Comstock Dr          Gilbert           AZ   85233 302-32-604     Maricopa   Ables Von Whillary                              508 W Comstock Dr            Gilbert           AZ   85233       2.75   1976   0.15 1988   10/29/2009   10/28/2009   Single Family Residence
5047 E Oakhurst Wy         Phoenix           AZ   85254 167-52-115     Maricopa   Beverly F Host                (602) 692-7056    5047 E Oakhurst Way          Scottsdale        AZ   85254          7   3382   0.36 1986   10/29/2009   10/28/2009   Other
5019 W Lynne Ln            Phoenix           AZ   85339 104-78-029     Maricopa   Wilder Floyd                                    5019 W Lynne Ln              Laveen            AZ   85339          8   1868   0.14 2005   10/29/2009   10/28/2009   Other
4915 E Bellerive Dr        Chandler          AZ   85249 304-84-669     Maricopa   Karrie Scott Mckinnon         (480) 633-5567    4915 E Bellerive Dr          Chandler          AZ   85249   4      2   2052   0.14 2002   10/29/2009   10/28/2009   Single Family Residence
4851 W Shangri La Rd       Glendale          AZ   85304 148-04-040     Maricopa   Alvie Janet Fincher           (602) 617-6561    6328 W Orange Dr             Glendale          AZ   85301          2   1616   0.15 1974   10/29/2009   10/28/2009   Single Family Residence
4851 S Soho Ln             Chandler          AZ   85249 303-45-876     Maricopa   Joshua Graves                                   6321 E Presidio St           Mesa              AZ   85215   3   2.75   2126   0.21 2001   10/29/2009   10/28/2009   Single Family Residence
4731 N 103rd Dr            Phoenix           AZ   85037 102-17-867     Maricopa   Joyce A Raymond               (602) 818-8176    4731 N 103rd Dr              Phoenix           AZ   85037          2   1611   0.14 1984   10/29/2009   10/28/2009   Single Family Residence
4637 W Vista Ave           Glendale          AZ   85301 147-05-109     Maricopa   Price Jesus                   (623) 210-8913    4637 W Vista Ave             Glendale          AZ   85301          2   1889    0.2 1971   10/29/2009   10/27/2009   Single Family Residence
4624 N 75th Dr             Phoenix           AZ   85033 102-20-576     Maricopa   Maria F Carlos                                  4624 N 75th Dr               Phoenix           AZ   85033          2   1077   0.13 1979   10/29/2009   10/28/2009   Single Family Residence
4601 N 102nd Ave 1101      Phoenix           AZ   85037 102-82-448-a   Maricopa   Tony L Martinez                                 20447 N 80th Dr              Peoria            AZ   85382   2    2.5   1088   0.01 1986   10/29/2009   10/28/2009   Condominium
4569 W Onyx Ave            Glendale          AZ   85302 148-06-332     Maricopa   Michelle R Little                               4569 W Onyx Ave              Glendale          AZ   85302          2   1486   0.16 1976   10/29/2009   10/28/2009   Single Family Residence
4539 W Mclellan Blvd       Glendale          AZ   85301 146-27-435     Maricopa   Ramon Olivas                                    4539 W Mclellan Rd           Glendale          AZ   85301          6   1061   0.04 1980   10/29/2009   10/28/2009   Other
4538 W Stoneman Dr         Anthem            AZ   85086 203-04-266     Maricopa   Larry Chambers Jr                               4538 W Stoneman Dr           Anthem            AZ   85086          7   1625   0.14 2005   10/29/2009   10/28/2009   Single Family Residence
4535 N 105th Ave           Phoenix           AZ   85037 102-17-593     Maricopa   Melinda Schulder                                4535 N 105th Ave             Phoenix           AZ   85037          2   1421   0.14 1977   10/29/2009   10/28/2009   Single Family Residence
4521 W Paseo Wy            Phoenix           AZ   85339 300-10-406     Maricopa   Violeta I Balan                                 4521 W Paseo Wy              Phoenix           AZ   85339         15   3706   0.19 2005   10/29/2009   10/28/2009   Other
44 W Monroe St 1007        Phoenix           AZ   85003 112-21-398     Maricopa   Jerry Olshan                                    44 W Monroe St Unit 1007 Phoenix               AZ   85003          8   1394   0.03 2008   10/29/2009   10/28/2009   Condominium
4344 E Hubbell St          Phoenix           AZ   85008 126-26-015     Maricopa   Vela Rosario                                    4344 E Hubbell St            Phoenix           AZ   85008          2   1378   0.18 1955   10/29/2009   10/28/2009   Single Family Residence
4232 E Bruce Ct            Gilbert           AZ   85234 313-12-632     Maricopa   Misty R Newman                                  4232 E Bruce Ct              Gilbert           AZ   85234          6   1225   0.12 2008   10/29/2009   10/28/2009   Single Family Residence
4202 E Zia St              Phoenix           AZ   85044 306-22-184     Maricopa   Moore Ernest                  (480) 785-0702    4202 E Zia St                Phoenix           AZ   85044          6   1948   0.15 1979   10/29/2009   10/28/2009   Single Family Residence
420 E Washington Ave 5a    Gilbert           AZ   85234 304-12-410     Maricopa   Brandy L Owen                                   420 E Washington Ave 5a      Gilbert           AZ   85234          2    813   0.02 1981   10/29/2009   10/28/2009   Condominium
4136 N 64th Dr             Phoenix           AZ   85033 144-85-059     Maricopa   Alvarez Paul Sr                                 4136 N 64th Dr               Phoenix           AZ   85033       1.75   1753   0.22 1961   10/29/2009   10/27/2009   Single Family Residence
41211 N Prestancia Dr      Anthem            AZ   85086 211-86-911     Maricopa   Eric Warren                                     41211 N Prestancia Dr        Anthem            AZ   85086          8   2082   0.13 2004   10/29/2009   10/28/2009   Single Family Residence
4109 W Seldon Ln           Phoenix           AZ   85051 150-14-033     Maricopa   Israel Pauline G Erivez       (623) 594-2929    4109 W Seldon Ln             Phoenix           AZ   85051          2   1330   0.15 1977   10/29/2009   10/28/2009   Single Family Residence
41014 N Lytham Wy          Anthem            AZ   85086 211-86-931     Maricopa   Morales Jc                    (623) 551-2846    41014 N Lytham Way           Anthem            AZ   85086   3    2.5   2544   0.18 2004   10/29/2009   10/27/2009   Single Family Residence
403 W Aire Libre Ave       Phoenix           AZ   85023 208-34-576     Maricopa   Ignacio Guizar                                  403 W Aire Libre Ave         Phoenix           AZ   85023          7   1615   0.12 1995   10/29/2009   10/28/2009   Single Family Residence
4029 W Hubbell St          Phoenix           AZ   85009 108-30-063     Maricopa   Benjamin G Valdez                               4029 W Hubbell St            Phoenix           AZ   85009          1   1553   0.12 1958   10/29/2009   10/28/2009   Single Family Residence
3963 W Ericson Dr          Phoenix           AZ   85087 202-22-624     Maricopa   Carey Rokovich                                  40267 N La Cantera Dr        Phoenix           AZ   85086   3      2   1432   0.11 2005   10/29/2009   10/28/2009   Single Family Residence
3944 E Nocona Ln           Phoenix           AZ   85050 212-38-290     Maricopa   Tytb Inc                                        3944 E Nocona Ln             Phoenix           AZ   85050         11   3402   0.22 2005   10/29/2009   10/28/2009   Single Family Residence
3939 E Pollack St          Phoenix           AZ   85042 122-98-104     Maricopa   Rosa I Salomon                                  3939 E Pollack St            Phoenix           AZ   85042         10   1636   0.09 2006   10/29/2009   10/28/2009   Other
3901 W Windsor Ave         Phoenix           AZ   85009 108-31-040     Maricopa   Rosario Lopez                                   1628 N 56th Ave              Phoenix           AZ   85035          2   1080   0.14 1960   10/29/2009   10/27/2009   Single Family Residence
3833 W Ashton Dr           Anthem            AZ   85086 203-03-749     Maricopa   Naghmeh Paimany                                 8832 E Lupine Ave            Scottsdale        AZ   85260   4      2   1827   0.11 2005   10/29/2009   10/28/2009   Single Family Residence
3830 E Devonshire Ave      Phoenix           AZ   85018 170-32-061     Maricopa   Alice M Brown                                   3830 E Devonshire Ave        Phoenix           AZ   85018          2   2079   0.18 1954   10/29/2009   10/28/2009   Single Family Residence
37406 N 17th St            Anthem            AZ   85086 211-69-001-r   Maricopa   Christopher Phoebe Lehman                       37406 N 17th St              Anthem            AZ   85086          7   1800   1.05 1998   10/29/2009   10/28/2009   Single Family Residence
3648 W Mcdowell Rd         Phoenix           AZ   85009 108-24-090     Maricopa   Hernandez Repair Llc                            3648 W Mcdowell Rd           Phoenix           AZ   85009                      0.2        10/29/2009   10/27/2009   Other
3637 W Woodridge Dr        Glendale          AZ   85308 207-19-403     Maricopa   Daniel Moore                  (602) 330-1858    3637 W Woodridge Dr          Glendale          AZ   85308          2   1505   0.23 1979   10/29/2009   10/28/2009   Single Family Residence
3611 W Alice Ave           Phoenix           AZ   85051 150-15-111-a   Maricopa   Jerry A Deletto               (602) 405-1225    3611 W Alice Ave             Phoenix           AZ   85051          1   1150   0.12 1960   10/29/2009   10/28/2009   Single Family Residence
3550 E Thunderbird Rd      Phoenix           AZ   85032 214-61-425     Maricopa   Michael E Lake                                  3550 E Thunderbird Rd        Phoenix           AZ   85032          2   1546   0.14 1969   10/29/2009   10/28/2009   Single Family Residence
3527 E Ahwatukee Ct        Phoenix           AZ   85044 301-56-380     Maricopa   Miller Diane                                    3527 E Ahwatukee Ct          Phoenix           AZ   85044       6.75   4595   0.47 1985   10/29/2009   10/28/2009   Single Family Residence
3516 S Newport Pl          Chandler          AZ   85286 303-42-198     Maricopa   Scot Evans                                      3945 Ceanothus Pl Unit H     Calabasas         CA   91302   5      3   2512   0.29 2003   10/29/2009   10/28/2009   Single Family Residence
3437 E Taylor St           Phoenix           AZ   85008 121-16-068     Maricopa   Hector Jayme-estrada                            3437 E Taylor St             Phoenix           AZ   85008          1    847   0.16 1948   10/29/2009   10/28/2009   Single Family Residence
3435 N Ladera Cir          Mesa              AZ   85207 219-20-259     Maricopa   Michael Antionette Boragina                     3435 N Ladera Cir            Mesa              AZ   85207   5      4   4302   0.59 2004   10/29/2009   10/28/2009   Other
3420 W Laurel Ln           Phoenix           AZ   85029 149-50-112     Maricopa   Rolando Rivas                                   3420 W Laurel Ln             Phoenix           AZ   85029          2   1532   0.13 1961   10/29/2009   10/28/2009   Single Family Residence
3414 W Sunland Ave         Phoenix           AZ   85041 105-68-414     Maricopa   Raintree Investments Llc                        3414 W Sunland Ave           Phoenix           AZ   85041          6   1601   0.11 2006   10/29/2009   10/28/2009   Single Family Residence
341 N Fresno St            Chandler          AZ   85225 302-63-079     Maricopa   Alexander Yazza                                 3820 S Acacia Ct             Chandler          AZ   85248          7   1233   0.13 2003   10/29/2009   10/28/2009   Single Family Residence




                                                                                                                                                 Page 10
Pre-foreclosure List
                                                                                                                          Maricopa County Week Ending 11/2

3381 E Flamingo Ct      Gilbert         AZ   85297 313-03-399     Maricopa   Walcott Jennifer                              3381 E Flamingo Ct          Gilbert            AZ   85297   3      2   1651   0.14 2001   10/29/2009   10/28/2009   Single Family Residence
3309 E Topeka Dr        Phoenix         AZ   85050 213-15-206     Maricopa   Rita Leto-davi              (602) 617-8201    3309 E Topeka Dr            Phoenix            AZ   85050        3.5   1633   0.07 1991   10/29/2009   10/28/2009   Single Family Residence
3285 N Ash Cir          Chandler        AZ   85224 302-78-718     Maricopa   Marsha G Lazcano                              1785 E Caborca Dr           Casa Grande        AZ   85122          2   1133   0.11 1984   10/29/2009   10/28/2009   Single Family Residence
3229 E Palm Ln          Phoenix         AZ   85008 120-16-190     Maricopa   Anselmo Montano                               3229 E Palm Ln              Phoenix            AZ   85008          2   1558   0.13 1970   10/29/2009   10/28/2009   Single Family Residence
3217 E Monte Vista Rd   Phoenix         AZ   85008 120-16-009     Maricopa   Carlos L Avila                                3217 E Monte Vista Rd       Phoenix            AZ   85008          2   1379   0.17 1950   10/29/2009   10/28/2009   Single Family Residence
3143 S Sabrina Cir      Mesa            AZ   85212 309-19-845     Maricopa   Glenn Kadow                                   3143 S Sabrina Cir          Mesa               AZ   85212   3      2   1882   0.19 2001   10/29/2009   10/28/2009   Single Family Residence
314 S 85th St           Mesa            AZ   85208 218-60-023     Maricopa   Dominick Sandra Schuster                      314 S 85th St               Mesa               AZ   85208              1440   0.18 1985   10/29/2009   10/28/2009   Mobile Home
3100 E Powell Pl        Chandler        AZ   85249 304-76-534     Maricopa   Jamie Handley               (480) 883-2051    3100 E Powell Pl            Chandler           AZ   85249         11   2964   0.22 2007   10/29/2009   10/28/2009   Single Family Residence
3079 E Weather Vane Rd Gilbert          AZ   85296 304-20-322     Maricopa   Eddie Czarina Tabarangao                      3079 E Weather Vane Rd      Gilbert            AZ   85296         12   2899    0.2 2005   10/29/2009   10/28/2009   Single Family Residence
3074 E Page Ave         Gilbert         AZ   85234 304-14-617     Maricopa   Family Burkinshaw                             3074 E Page Ave             Gilbert            AZ   85234        3.5   3240   0.38 2002   10/29/2009   10/28/2009   Single Family Residence
29715 N 156th Pl        Az 85262        AZ   85262 219-37-035-n   Maricopa   Amy Romanin                                   29715 N 156th Pl            Scottsdale         AZ   85262         14   3389      1 2003   10/29/2009   10/28/2009   Single Family Residence
2912 W Grenadine Rd     Phoenix         AZ   85041 105-46-078     Maricopa   Moises Raquel Moreno        (602) 710-1945    2912 W Grenadine Rd         Phoenix            AZ   85041          6   1652   0.12 2006   10/29/2009   10/28/2009   Single Family Residence
2853 E Indian Wells Pl  Chandler        AZ   85249 303-56-866     Maricopa   Christopher Cole                              13307 La Venta Dr           Poway              CA   92064       3.75   2566   0.14 2001   10/29/2009   10/28/2009   Single Family Residence
28405 N 256th Ln        Wittmann        AZ   85361 503-32-108-j   Maricopa   Bruce Shaibani                                28405 N 256th Ln            Wittmann           AZ   85361          8   2517   1.06 2006   10/29/2009   10/28/2009   Single Family Residence
2826 E Highland Ave     Phoenix         AZ   85016 163-09-035     Maricopa   Sean Nottingham             (602) 999-7724    2826 E Highland Ave         Phoenix            AZ   85016       2.75   2546    0.3 1950   10/29/2009   10/28/2009   Single Family Residence
2824 E Windrose Dr      Phoenix         AZ   85032 166-05-235     Maricopa   Sammy Mcguffin                                2824 E Windrose Dr          Phoenix            AZ   85032          2   1597    0.2 1972   10/29/2009   10/28/2009   Single Family Residence
2812 N 33rd St          Phoenix         AZ   85008 120-04-028     Maricopa   Martin I Rascon                               2812 N 33rd St              Phoenix            AZ   85008          1   1630   0.13 1953   10/29/2009   10/28/2009   Single Family Residence
2738 E Beverly Rd       Phoenix         AZ   85042 301-26-324     Maricopa   Thalya Nero                 (602) 323-2120    2738 E Beverly Rd           Phoenix            AZ   85042         13   2464   0.16 1999   10/29/2009   10/28/2009   Single Family Residence
2727 W Elm St           Phoenix         AZ   85017 154-05-017     Maricopa   Benavidez Borovina                            2727 W Elm St               Phoenix            AZ   85017          1    968   0.14 1954   10/29/2009   10/28/2009   Single Family Residence
2720 S Constellation Wy Gilbert         AZ   85295 304-47-112     Maricopa   Michael Janko               (480) 279-5000    2720 S Constellation Way    Gilbert            AZ   85295   4    3.5   4550   0.72 2002   10/29/2009   10/28/2009   Single Family Residence
2718 W Campbell Ave     Phoenix         AZ   85017 154-11-067     Maricopa   Guillermo Ascencio          (602) 795-3191    2718 W Campbell Ave         Phoenix            AZ   85017          1   1248   0.12 1953   10/29/2009   10/28/2009   Single Family Residence
26913 N 22nd Ave        Phoenix         AZ   85085 210-19-679     Maricopa   Tek Bou                                       26913 N 22nd Ave            Phoenix            AZ   85085         12   3128   0.14 2006   10/29/2009   10/28/2009   Single Family Residence
26658 N 90th Dr         Peoria          AZ   85383 201-39-474     Maricopa   Hawkins Lllp                                  26658 N 90th Dr             Peoria             AZ   85383                     1.33        10/29/2009   10/28/2009   Other
2638 W Florentine Rd    Anthem          AZ   85086 203-25-504     Maricopa   Eric Stevenson                                2638 W Florentine Rd        Anthem             AZ   85086   2      2   1400   0.11 2004   10/29/2009   10/28/2009   Single Family Residence
2603 E Acoma Dr         Phoenix         AZ   85032 214-54-066     Maricopa   Sulejmanahmetovic Behmen    (602) 595-2231    2603 E Acoma Dr             Phoenix            AZ   85032   5      3   2672   0.22 1999   10/29/2009   10/28/2009   Single Family Residence
25861 W Winslow Ave     Buckeye         AZ   85326 504-26-856     Maricopa   Cheryl A Wilson             (623) 934-9347    25861 W Winslow Ave         Buckeye            AZ   85326          6   1248    0.1 2005   10/29/2009   10/28/2009   Single Family Residence
2556 W Cheery Lynn Rd Phoenix           AZ   85017 110-38-056     Maricopa   Eric Bulman                                   2556 W Cheery Lynn Rd       Phoenix            AZ   85017          1    896   0.13 1951   10/29/2009   10/28/2009   Single Family Residence
2533 W Cordia Ln        Phoenix         AZ   85085 204-24-941     Maricopa   Brianna Brabander                             2533 W Cordia Ln            Phoenix            AZ   85085        10    2092   0.08 2006   10/29/2009   10/28/2009   Single Family Residence
2502 W Pecos Ave        Mesa            AZ   85202 302-05-596     Maricopa   Cederick Doty                                 2829 S El Marino            Mesa               AZ   85202   3      2   1703   0.17 1978   10/29/2009   10/28/2009   Single Family Residence
2428 S 71st Dr          Phoenix         AZ   85043 104-35-070     Maricopa   Eudelia Duran                                 2428 S 71st Dr              Phoenix            AZ   85043        3.5   1854   0.12 1999   10/29/2009   10/28/2009   Single Family Residence
2427 W Lucia Dr         Phoenix         AZ   85085 210-03-701     Maricopa   Mahesh Sunita Suthar                          2427 W Lucia Dr             Phoenix            AZ   85085          9   1982   0.09 2005   10/29/2009   10/28/2009   Other
2425 W Papago St        Phoenix         AZ   85009 105-07-090     Maricopa   Lorenzo R Martinez                            2425 W Papago St            Phoenix            AZ   85009          1   1369   0.13 1946   10/29/2009   10/28/2009   Single Family Residence
2330 E Spruce Dr        Chandler        AZ   85286 303-30-548     Maricopa   Madelon Lusk                (928) 300-6342    2330 E Spruce Dr            Chandler           AZ   85286          9   1820   0.07 2000   10/29/2009   10/28/2009   Other
2315 N 76th Pl          Mesa            AZ   85207 219-26-102-e   Maricopa   Richard Rothwell Jr         (480) 986-9760    2315 N 76th Pl              Mesa               AZ   85207          2   1700    0.5 1987   10/29/2009   10/28/2009   Single Family Residence
2304 W Ella St          Mesa            AZ   85201 135-45-046-b   Maricopa   Desmond D Nowak                               2304 W Ella St              Mesa               AZ   85201          1   1088   0.18 1945   10/29/2009   10/28/2009   Single Family Residence
2221 W Granada Rd       Phoenix         AZ   85009 110-51-002-d   Maricopa   Triple Recycling Llc                          2221 W Granada Rd           Phoenix            AZ   85009                     0.27        10/29/2009   10/28/2009   Other
22137 E Calle De Flores Chandler HeightsAZ   85242 314-03-672     Maricopa   Benjamin Bidlack                              22137 E Calle De Flores     Chandler Heights   AZ   85142        10    2288   0.16 2005   10/29/2009   10/27/2009   Single Family Residence
22028 W Cocopah St      Buckeye         AZ   85326 504-63-273     Maricopa   Stephen J Silverman                           22219 W Sonora St           Buckeye            AZ   85326         6    1312   0.13 2005   10/29/2009   10/28/2009   Single Family Residence
2190 E Kaibab Pl        Chandler        AZ   85249 303-44-807     Maricopa   Werner Von Borries                            2190 E Kaibab Pl            Chandler           AZ   85249                     0.34        10/29/2009   10/28/2009   Other
2160 N 77th Pl          Mesa            AZ   85207 219-26-128-a   Maricopa   Scott H Koslosky                              2160 N 77th Pl              Mesa               AZ   85207   3      2   1808   0.73 1987   10/29/2009   10/28/2009   Single Family Residence
2121 N Villas Ln        Chandler        AZ   85224 302-89-660     Maricopa   Rigoberto Arriola           (480) 899-4140    2121 N Villas Ln            Chandler           AZ   85224          2   1326   0.09 1981   10/29/2009   10/28/2009   Single Family Residence
2118 E Rockwood Dr      Phoenix         AZ   85024 213-20-237     Maricopa   Jane L Donsker              (602) 374-5511    2118 E Rockwood Dr          Phoenix            AZ   85024       2.75   1810    0.1 1997   10/29/2009   10/28/2009   Single Family Residence
2044 W Weatherby Wy     Chandler        AZ   85286 303-25-275     Maricopa   Ruley Patrick                                 2044 W Weatherby Way        Chandler           AZ   85286        3.5   2977   0.24 2002   10/29/2009   10/28/2009   Single Family Residence
20384 N 93rd Pl         Scottsdale      AZ   85255 217-62-596     Maricopa   Andrew Beams                                  20384 N 93rd Pl             Scottsdale         AZ   85255   4    3.5   4350   0.17 2000   10/29/2009   10/28/2009   Single Family Residence
2037 W Colter St        Phoenix         AZ   85015 153-24-058     Maricopa   Kirk Alana Pangus                             2037 W Colter St            Phoenix            AZ   85015       1.75    956   0.16 1947   10/29/2009   10/28/2009   Single Family Residence
19986 E Carriage Wy     Chandler HeightsAZ   85242 314-04-396     Maricopa   Charles Linda Cooke                           9464 Valley Ranch Pkwy E Unit 1043
                                                                                                                                                       Irving             TX   75063         11   2307   0.13 2006   10/29/2009   10/28/2009   Single Family Residence
19550 N Grayhawk Dr 2075Scottsdale      AZ   85255 212-43-169     Maricopa   Gregory J Yancey                              19550 N Grayhawk Dr Unit 2075
                                                                                                                                                       Scottsdale         AZ   85255        2.5   1347      0 2000   10/29/2009   10/28/2009   Condominium
1950 N 69th Ln          Phoenix         AZ   85035 102-76-219     Maricopa   Anita Ortiz                 (623) 455-8058    1950 N 69th Ln              Phoenix            AZ   85035          1   1173   0.15 1976   10/29/2009   10/28/2009   Single Family Residence
1930 N 104th Ln         Avondale        AZ   85392 102-31-156     Maricopa   Frank J Gulikers                              1930 N 104th Ln             Avondale           AZ   85392          6   1452   0.14 2001   10/29/2009   10/28/2009   Other
1925 E Pinto Dr         Gilbert         AZ   85296 304-21-279     Maricopa   Dewayne Holly Clark                           1925 E Pinto Dr             Gilbert            AZ   85296   4      3   2716   0.15 1995   10/29/2009   10/28/2009   Single Family Residence
1920 E Bell Rd 1043     Phoenix         AZ   85022 214-09-771     Maricopa   Pile Investments Llc                          1920 E Bell Rd Unit 1043    Phoenix            AZ   85022   3      2   1454   0.02 2007   10/29/2009   10/28/2009   Single Family Residence
19115 E Karsten Dr      Chandler HeightsAZ   85242 304-89-070-d   Maricopa   Christina M Gibson                            19115 E Karsten Dr          Chandler Heights   AZ   85142        3.5   2604   0.94 1999   10/29/2009   10/28/2009   Single Family Residence
1903 W Thompson Wy      Chandler        AZ   85286 303-76-073     Maricopa   Andrew Karen Kozik          (480) 474-4677    1903 W Thompson Way         Chandler           AZ   85286        2.5   1529   0.12 1998   10/29/2009   10/28/2009   Single Family Residence
1841 S Hudson Dr        Chandler        AZ   85286 303-29-734     Maricopa   Angelica Salvador Navarro   (480) 821-1689    1841 S Hudson Dr            Chandler           AZ   85286          6   1214   0.07 2005   10/29/2009   10/28/2009   Single Family Residence
1831 E Hubbell St       Phoenix         AZ   85006 117-14-075     Maricopa   Salazar Carlos              (602) 687-7883    1831 E Hubbell St           Phoenix            AZ   85006          1   1185   0.16 1952   10/29/2009   10/27/2009   Single Family Residence
18130 W Las Cruces Dr   Goodyear        AZ   85338 400-79-872     Maricopa   Tracy Kowasic               (623) 882-9163    18130 W Las Cruces Dr       Goodyear           AZ   85338   6      5   3795   0.18 2004   10/29/2009   10/28/2009   Single Family Residence
17826 W Alexandria Wy Surprise          AZ   85388 502-05-359     Maricopa   Frazier Jo                  (623) 977-9667    17826 W Alexandria Way      Surprise           AZ   85388          7   2231   0.17 2006   10/29/2009   10/28/2009   Single Family Residence




                                                                                                                                         Page 11
Pre-foreclosure List
                                                                                                                          Maricopa County Week Ending 11/2

1774 E Fremont Rd          Phoenix      AZ   85042 122-93-251     Maricopa   Barrera Clementina          (602) 510-7611    1774 E Fremont Rd            Phoenix      AZ   85042          2   1348   0.11 1993   10/29/2009   10/28/2009   Single Family Residence
17649 W Carmen Dr          Surprise     AZ   85388 502-84-343     Maricopa   Deanna Hagon                (623) 583-7809    17649 W Carmen Dr            Surprise     AZ   85388        12    3723   0.25 2005   10/29/2009   10/28/2009   Single Family Residence
17348 W Buchanan St        Goodyear     AZ   85338 502-39-452     Maricopa   Chiomangwu Chlme                              17348 W Buchanan St          Goodyear     AZ   85338        12    2902   0.12 2008   10/29/2009   10/28/2009   Single Family Residence
17253 N 46th St            Phoenix      AZ   85032 215-18-094     Maricopa   Olga Babayeva               (602) 795-5651    17253 N 46th St              Phoenix      AZ   85032        2.5   2342   0.14 1992   10/29/2009   10/28/2009   Single Family Residence
1717 E Union Hills Dr 1114 Phoenix      AZ   85022 214-10-718     Maricopa   Jeremy Hancock                                1717 E Union Hls Dr Unit 1114Phoenix      AZ   85024          2   1330   0.02 1987   10/29/2009   10/28/2009   Condominium
1717 E Juanita Ave         Mesa         AZ   85204 139-09-539     Maricopa   Jeff Morrison                                 6520 Se 5th St Unit 3        Des Moines   IA   50315          2   1040    0.1 1984   10/29/2009   10/28/2009   Single Family Residence
1702 E Bell Rd 109         Phoenix      AZ   85022 214-09-517     Maricopa   Lucy Pitts                                    1702 E Bell Rd Unit 109      Phoenix      AZ   85022          8   1539   0.03 2004   10/29/2009   10/28/2009   Condominium
16824 W Marshall Ln        Sun City     AZ   85388 501-12-554     Maricopa   Jerzy Jadwiga K Niemyjski                     16824 W Marshall Ln          Surprise     AZ   85388          7   1631    0.1 2004   10/29/2009   10/28/2009   Single Family Residence
16636 N 172nd Ave          Surprise     AZ   85388 502-01-726     Maricopa   Yolanda Easter              (703) 307-3203    9503 Unity Ln                Lorton       VA   22079   4      2   2190   0.11 2005   10/29/2009   10/28/2009   Other
16621 N 91st St 101        Scottsdale   AZ   85255 217-13-301     Maricopa   Bb Investments Llc                            16621 N 91st St Ste 101      Scottsdale   AZ   85260                      0.1        10/29/2009   10/28/2009   Other
1661 S Alma School Rd      Mesa         AZ   85210 134-26-316-b   Maricopa   Mef Realty Llc                                1661 S Alma School Rd        Mesa         AZ   85210                     8.39        10/29/2009   10/28/2009   Other
16601 N 68th Wy            Phoenix      AZ   85254 215-43-048     Maricopa   James Hanley                (480) 686-9824    16601 N 68th Way             Scottsdale   AZ   85254          4   1257   0.12 1983   10/29/2009   10/28/2009   Other
1649 W Kuralt Dr           Anthem       AZ   85086 211-93-202     Maricopa   Daimon Karla Songer                           1649 W Kuralt Dr             Anthem       AZ   85086          9   2168   0.11 2004   10/29/2009   10/28/2009   Single Family Residence
1631 W Cinnabar Ave        Phoenix      AZ   85021 158-25-045     Maricopa   Jamie Guillerma Valadez                       1631 W Cinnabar Ave          Phoenix      AZ   85021          1   1040   0.12 1958   10/29/2009   10/28/2009   Single Family Residence
16279 W Superior Ave       Goodyear     AZ   85338 500-06-789     Maricopa   Leandro Escobar                               16173 W Monroe St            Goodyear     AZ   85338          6   2226   0.15 2002   10/29/2009   10/28/2009   Single Family Residence
16048 W Vogel Ave          Goodyear     AZ   85338 500-94-151     Maricopa   Carol A Gomez               (623) 932-1398    16048 W Vogel Ave            Goodyear     AZ   85338          2   1305   0.11 2002   10/29/2009   10/28/2009   Single Family Residence
15718 W Cottonwood St Sun City          AZ   85374 501-77-265     Maricopa   Josie Mack                                    15718 W Cottonwood St        Sun City     AZ   85374          6   1220   0.11 1997   10/29/2009   10/28/2009   Single Family Residence
15539 W Shiloh Ave         Goodyear     AZ   85338 500-90-535     Maricopa   Barry Lenore L Sukoneck                       16630 N Reems Rd Unit 1022 Surprise       AZ   85374   3      2   1245   0.11 2005   10/29/2009   10/28/2009   Single Family Residence
1541 E Cheery Lynn Rd      Phoenix      AZ   85014 118-12-054     Maricopa   Theresa A Rathert           (602) 677-4507    1541 E Cheery Lynn Rd        Phoenix      AZ   85014   2      1   1700   0.12 1961   10/29/2009   10/28/2009   Single Family Residence
15398 W Eugene Ter         Sun City     AZ   85379 509-18-272     Maricopa   Keith R Knutson                               15398 W Eugene Terrace       Sun City     AZ   85379         11   2773   0.18 2005   10/29/2009   10/28/2009   Single Family Residence
15126 N 182nd Ln           Sun City     AZ   85388 502-03-581     Maricopa   Vasquez John                                  15126 N 182nd Ln             Surprise     AZ   85388   4      2   2167   0.19 2005   10/29/2009   10/28/2009   Single Family Residence
14975 N 174th Ave          Surprise     AZ   85388 502-88-761     Maricopa   Reyes Family                                  14975 N 174th Ave            Surprise     AZ   85388          8   1902   0.07 2006   10/29/2009   10/28/2009   Single Family Residence
14914 N 140th Ave          Sun City     AZ   85379 509-17-197     Maricopa   Casey Sanders                                 14914 N 140th Ave            Sun City     AZ   85379          7   1615   0.12 2005   10/29/2009   10/28/2009   Single Family Residence
14874 W Cameron Dr         Sun City     AZ   85379 509-14-342     Maricopa   Kelly Adam Malky                              807 N Vulcan Ave             Encinitas    CA   92024          8   2568   0.15 2004   10/29/2009   10/28/2009   Single Family Residence
14824 N El Frio St         El Mirage    AZ   85335 501-25-137     Maricopa   Jaime Koenig                                  29310 N 20th Ln              Phoenix      AZ   85085   4    2.5   1978   0.14 2006   10/29/2009   10/27/2009   Single Family Residence
14631 N 51st Ave           Glendale     AZ   85306 200-74-163     Maricopa   Mills Lisa                                    14631 N 51st Dr              Glendale     AZ   85306          6   1080   0.18 1972   10/29/2009   10/28/2009   Other
14320 N 148th Ln           Sun City     AZ   85379 509-02-406     Maricopa   Dina M Schlosser                              14320 N 148th Ln             Sun City     AZ   85379          6   1482   0.23 2003   10/29/2009   10/28/2009   Single Family Residence
14260 W Cora Ln            Goodyear     AZ   85395 508-02-025     Maricopa   Rosalinda Quezada                             14260 W Cora Ln              Goodyear     AZ   85395        2.5   1446   0.08 2001   10/29/2009   10/28/2009   Single Family Residence
14242 W Country Gables Dr  Sun City     AZ   85379 509-18-828     Maricopa   Rey Imelda Aranas                             14242 W Country Gables Dr Sun City        AZ   85379          9   1375   0.05 2006   10/29/2009   10/28/2009   Single Family Residence
1423 W Sack Dr             Phoenix      AZ   85027 209-13-208     Maricopa   Phoenix Greater Llc                           1423 W Sack Dr               Phoenix      AZ   85027          2   1548   0.16 1973   10/29/2009   10/28/2009   Single Family Residence
14137 W Rosewood Dr        Sun City     AZ   85379 509-14-804     Maricopa   Anthony Paraspolo                             14137 W Rosewood Dr          Sun City     AZ   85379   4      3   2328   0.13 2006   10/29/2009   10/28/2009   Single Family Residence
14002 N 49th Ave 1119      Glendale     AZ   85306 207-33-548     Maricopa   Rachel A Bryan                                13720 N 88th Ave Unit 1055 Peoria         AZ   85381          2   1160   0.02 1984   10/29/2009   10/28/2009   Condominium
137 W 8th Pl               Mesa         AZ   85201 137-22-067     Maricopa   Troy Mcdonald               (480) 733-5962    137 W 8th Pl                 Mesa         AZ   85201          2   1889   0.13 1955   10/29/2009   10/28/2009   Single Family Residence
13583 W Acapulco Ln        Sun City     AZ   85379 501-15-514     Maricopa   Eden Iuhasz                                   13583 W Acapulco Ln          Sun City     AZ   85379          8   2196   0.14 2004   10/29/2009   10/27/2009   Single Family Residence
13407 N Emberwood Dr Sun City           AZ   85351 200-82-260     Maricopa   Sandra P Barbieri                             Po Box 444                   Buckeye      AZ   85326   2   1.75   1318   0.01 1972   10/29/2009   10/28/2009   Single Family Residence
1330 E Apollo Rd           Phoenix      AZ   85042 114-22-449     Maricopa   Zavala Rocio                                  1330 E Apollo Rd             Phoenix      AZ   85042          6   1239   0.11 1999   10/29/2009   10/28/2009   Single Family Residence
1326 E San Angelo Ave      Gilbert      AZ   85234 304-96-768     Maricopa   Odell Janelle Hovey         (480) 632-2772    1326 E San Angelo Ave        Gilbert      AZ   85234        2.5   1410   0.13 1988   10/29/2009   10/27/2009   Single Family Residence
13028 N B St               El Mirage    AZ   85335 501-36-412     Maricopa   Tania Aguilar                                 13028 N B St                 El Mirage    AZ   85335   3      1   1068   0.11 2000   10/29/2009   10/28/2009   Single Family Residence
12943 N 88th Ave           Peoria       AZ   85381 200-97-323     Maricopa   Penny Clemens                                 559 W Yale Dr                Tempe        AZ   85283          8   1035   0.08 2006   10/29/2009   10/28/2009   Single Family Residence
12841 W Paradise Dr        El Mirage    AZ   85335 501-44-429     Maricopa   Ellis Jrashley              (623) 374-3646    12841 W Paradise Dr          El Mirage    AZ   85335   3      2   1238   0.11 2001   10/29/2009   10/28/2009   Single Family Residence
12726 W Merrell St         Avondale     AZ   85392 501-72-379     Maricopa   Gonzalez Lopez                                12726 W Merrell St           Avondale     AZ   85392   4      3   2552   0.14 2002   10/29/2009   10/28/2009   Single Family Residence
12536 W Roanoke Ave        Avondale     AZ   85392 501-88-570     Maricopa   Erick Begazo                (623) 249-7744    12536 W Roanoke Ave          Avondale     AZ   85392          8   1290    0.1 1996   10/29/2009   10/27/2009   Single Family Residence
12472 N 133rd Pl           Scottsdale   AZ   85259 217-19-246     Maricopa   Murray Jjennifer                              12472 N 133rd Pl             Scottsdale   AZ   85259   5      4   4487   0.45 2000   10/29/2009   10/28/2009   Other
124 E 9th Ave              Mesa         AZ   85210 139-33-072     Maricopa   Trejo Pena                  (480) 464-9286    124 E 9th Ave                Mesa         AZ   85210          2   1948   0.14 1973   10/29/2009   10/28/2009   Single Family Residence
1231 E Frances Ln          Gilbert      AZ   85295 304-46-115     Maricopa   Kathy Gunn                                    1231 E Frances Ln            Gilbert      AZ   85295         12   1960   0.12 2005   10/29/2009   10/28/2009   Single Family Residence
11770 W Aster Dr           El Mirage    AZ   85335 501-36-542     Maricopa   Meza Galicia                (623) 972-3879    11770 W Aster Dr             El Mirage    AZ   85335          2   1518    0.1 2000   10/29/2009   10/28/2009   Single Family Residence
11523 E Renata Ave         Mesa         AZ   85212 304-33-456     Maricopa   Mario Mateo                 (480) 699-5345    11523 E Renata Ave           Mesa         AZ   85212       3.75   3691   0.16 2001   10/29/2009   10/28/2009   Single Family Residence
11417 E Solina Ave         Mesa         AZ   85212 312-14-395     Maricopa   Oscar Patricia Guerrero                       11417 E Solina Ave           Mesa         AZ   85212         12   3346   0.22 2007   10/29/2009   10/28/2009   Single Family Residence
11332 W Alice Ave          Peoria       AZ   85345 142-88-780     Maricopa   Lopez Dina                                    11332 W Alice Ave            Peoria       AZ   85345        2.5   1208   0.11 1993   10/29/2009   10/28/2009   Single Family Residence
1124 E Marlette Ave        Phoenix      AZ   85014 161-13-051     Maricopa   Levi Babakhanov             (602) 266-1314    1124 E Marlette Ave          Phoenix      AZ   85014          2   1545   0.13 1957   10/29/2009   10/28/2009   Single Family Residence
11080 N 109th Wy           Scottsdale   AZ   85259 217-47-183     Maricopa   Barry N Hutt                                  11080 N 109th Way            Scottsdale   AZ   85259   2      2   1008   0.06 1986   10/29/2009   10/28/2009   Other
11015 N 66th Dr            Glendale     AZ   85304 143-03-506     Maricopa   Christopher Blackford                         6605 W Lawrence Ln           Glendale     AZ   85302   2      2   1018   0.14 1985   10/29/2009   10/28/2009   Single Family Residence
11001 W Canterbury Dr Sun City          AZ   85351 142-79-081     Maricopa   Christopher Brunson         (623) 388-4348    11001 W Canterbury Dr        Sun City     AZ   85351          6   1138   0.16 1961   10/29/2009   10/27/2009   Other
10880 E Sahuaro Dr         Scottsdale   AZ   85259 217-27-462     Maricopa   Timothy Lachat                                10880 E Sahuaro Dr           Scottsdale   AZ   85259          2   1556   0.14 1983   10/29/2009   10/28/2009   Single Family Residence
10864 E Florian Ave        Mesa         AZ   85208 220-72-144     Maricopa   Lawrence Pew                                  10864 E Florian Ave          Mesa         AZ   85208          7   1432   0.15 2001   10/29/2009   10/28/2009   Other
10739 W Quail Ave          Sun City     AZ   85373 200-12-820     Maricopa   Garry B Henderson                             10739 W Quail Ave            Sun City     AZ   85373   3      2   1711   0.19 1998   10/29/2009   10/28/2009   Single Family Residence
10725 W Cottonwood Ln Avondale          AZ   85392 102-86-811     Maricopa   W Lane                                        10725 W Cottonwood Ln        Avondale     AZ   85392          7   1798   0.17 1996   10/29/2009   10/28/2009   Other




                                                                                                                                         Page 12
Pre-foreclosure List
                                                                                                                             Maricopa County Week Ending 11/2

1072 W Morelos St          Chandler          AZ   85224 303-75-059     Maricopa   David Lynda Bjorklund     (480) 272-9035    1072 W Morelos St           Chandler          AZ   85224        2.5   1765    0.1 1996   10/29/2009   10/28/2009   Single Family Residence
10715 E Whitethorn Dr 19   Scottsdale        AZ   85262 216-82-047     Maricopa   Lllp Silvermist                             10715 E Whitethorn Dr Unit 19
                                                                                                                                                          Scottsdale        AZ   85262         18   6014   0.56 2009   10/29/2009   10/28/2009   Single Family Residence
10643 E Ananea Ave         Mesa              AZ   85208 220-53-432     Maricopa   Raymond Obolewicz                           10643 E Ananea Ave          Mesa              AZ   85208          3   2885   0.17 1999   10/29/2009   10/28/2009   Single Family Residence
10592 E Firewheel Dr       Scottsdale        AZ   85255 217-17-677     Maricopa   Eric Katherine Schwarz                      10592 E Firewheel Dr        Scottsdale        AZ   85255       3.75   2613   0.13 1996   10/29/2009   10/28/2009   Single Family Residence
10444 E Albany St          Apache Junction   AZ   85220 220-47-042     Maricopa   Antonia Delia Arrieta     (602) 326-4378    10444 E Albany St           Apache Junction   AZ   85120          1   1040   0.16 1972   10/29/2009   10/27/2009   Single Family Residence
10425 W Magnolia St        Tolleson          AZ   85353 101-20-863     Maricopa   Francisco Celia Costal    (623) 322-4686    10425 W Magnolia St         Tolleson          AZ   85353         10   2670   0.11 2007   10/29/2009   10/28/2009   Single Family Residence
10408 W Wood St            Tolleson          AZ   85353 101-28-357     Maricopa   Sara De La Torre                            10408 W Wood St             Tolleson          AZ   85353          9   2783   0.17 2006   10/29/2009   10/28/2009   Single Family Residence
10376 W Atlantis Way       Tolleson          AZ   85353 101-28-436     Maricopa   Vianey Gallardo                             10376 W Atlantis Way        Tolleson          AZ   85353   4      3   2783   0.12 2006   10/29/2009   10/28/2009   Other
1036 E Lodgepole Dr        Gilbert           AZ   85298 304-72-549     Maricopa   Vester Neasman                              1036 E Lodgepole Dr         Gilbert           AZ   85298         14   4933   0.22 2007   10/29/2009   10/28/2009   Single Family Residence
1022 N 11th St             Phoenix           AZ   85006 116-28-035     Maricopa   Toby M Girard                               1022 N 11th St              Phoenix           AZ   85006          1   1069   0.09 1923   10/29/2009   10/28/2009   Single Family Residence
10112 E Pantera Ave        Mesa              AZ   85212 309-19-360     Maricopa   Ashby Noel                                  10112 E Pantera Ave         Mesa              AZ   85212   4      3   2552   0.16 2001   10/29/2009   10/28/2009   Single Family Residence
1003 W Scorpio Dr          Guadalupe         AZ   85283 301-06-254-l   Maricopa   George Kasnoff                              1003 W Scorpio Dr           Guadalupe         AZ   85283          3   1461   0.06 1995   10/29/2009   10/28/2009   Single Family Residence
1 W Vista Ave              Phoenix           AZ   85021 160-40-085     Maricopa   Timothy Cook              (760) 525-4804    509 W Moon Valley Dr        Phoenix           AZ   85023         15   4013   0.33 1996   10/29/2009   10/28/2009   Other
9786 S La Rosa Dr          Tempe             AZ   85284 308-07-642     Maricopa   Robert P Espiritu                           Po Box 284                  Florham Park      NJ    7932   4    3.5   3238   0.15 1997   10/28/2009   10/26/2009   Other
9633 E Olla Ave            Mesa              AZ   85212 304-02-034     Maricopa   Heidicruise Huenerbein                      9633 E Olla Ave             Mesa              AZ   85212   3      2   1877   0.14 1999   10/28/2009   10/27/2009   Single Family Residence
9483 E Whitewing Dr        Scottsdale        AZ   85262 216-35-002     Maricopa   Ray Wilson                                  9483 E Whitewing Dr         Scottsdale        AZ   85262   3      3   2167   0.13 1999   10/28/2009   10/27/2009   Single Family Residence
9450 E Becker Ln B2039     Scottsdale        AZ   85260 217-26-833     Maricopa   Michael Burggraf                            9450 E Becker Ln Unit B2039 Scottsdale        AZ   85260          3    663   0.02 1991   10/28/2009   10/27/2009   Condominium
9432 W Melinda Ln          Peoria            AZ   85382 231-24-554     Maricopa   David Lippert             (623) 215-3494    9432 W Melinda Ln           Peoria            AZ   85382       3.75   2968   0.17 2001   10/28/2009   10/27/2009   Single Family Residence
9241 N 84th Ave            Peoria            AZ   85345 142-89-440     Maricopa   Alfredo Altamirano Jr     (623) 773-1503    9241 N 84th Ave             Peoria            AZ   85345        2.5   1615    0.2 1987   10/28/2009   10/27/2009   Single Family Residence
921 W Lincoln St           Phoenix           AZ   85007 112-12-077     Maricopa   Ary R Camara                                921 W Lincoln St            Phoenix           AZ   85007          1   1136   0.15 1936   10/28/2009   10/27/2009   Single Family Residence
915 E Fremont Rd           Phoenix           AZ   85042 114-20-004-d   Maricopa   Badilla Family                              915 E Fremont Rd            Phoenix           AZ   85042          1   1040   1.07 1960   10/28/2009   10/27/2009   Single Family Residence
914 E Hearne Wy            Gilbert           AZ   85234 304-13-398     Maricopa   Peter F Ledesma           (480) 539-4388    914 E Hearne Way            Gilbert           AZ   85234   3      2   1355   0.08 1989   10/28/2009   10/27/2009   Other
9106 N 68th Ln             Peoria            AZ   85345 143-11-354     Maricopa   Carlos Marin                                9106 N 68th Ln              Peoria            AZ   85345   2      2   1056   0.07 1985   10/28/2009   10/27/2009   Condominium
8634 W Payson Rd           Tolleson          AZ   85353 101-30-026     Maricopa   Fernando Lebron           (623) 215-8536    8634 W Payson Rd            Tolleson          AZ   85353          8   2145    0.1 2006   10/28/2009   10/27/2009   Other
8510 E Edgewood Ave        Mesa              AZ   85208 218-51-011     Maricopa   Glen Penny Millett        (480) 984-6542    8510 E Edgewood Ave         Mesa              AZ   85208          2   1204   0.17 1984   10/28/2009   10/27/2009   Single Family Residence
8458 W Monona Ln           Peoria            AZ   85382 200-16-933     Maricopa   Wallybarr Bahoura                           8458 W Monona Ln            Peoria            AZ   85382        2.5   1685   0.12 2002   10/28/2009   10/27/2009   Single Family Residence
8450 W Charter Oak Rd      Peoria            AZ   85381 200-79-641     Maricopa   Seng Lov                                    8450 W Charter Oak Rd       Peoria            AZ   85381       2.75   1522    0.1 1993   10/28/2009   10/27/2009   Single Family Residence
8324 W Elm St              Phoenix           AZ   85037 102-74-744     Maricopa   Marioara Ioschici         (623) 845-9322    8506 W Mariposa Dr          Phoenix           AZ   85037          2    870   0.08 1996   10/28/2009   10/27/2009   Single Family Residence
8232 W Whitton Ave         Phoenix           AZ   85033 102-68-050     Maricopa   Demetri S Lagarde                           8232 W Whitton Ave          Phoenix           AZ   85033          6   1780   0.12 1961   10/28/2009   10/27/2009   Single Family Residence
81 N Del Pueblo Pl         Chandler          AZ   85226 308-09-581     Maricopa   Abby Abramowitz                             81 N Del Pueblo Pl          Chandler          AZ   85226        2.5   1478   0.11 1994   10/28/2009   10/27/2009   Single Family Residence
8035 W Melinda Ln          Peoria            AZ   85382 200-18-433     Maricopa   Osceola Emerita C Adams                     8035 W Melinda Ln           Peoria            AZ   85382        2.5   1685   0.13 1998   10/28/2009   10/27/2009   Single Family Residence
7942 W Shaw Butte Dr       Peoria            AZ   85345 142-02-169     Maricopa   Charlene Holsinger        (623) 979-5680    7942 W Shaw Butte Dr        Peoria            AZ   85345       2.75   1294   0.09 1992   10/28/2009   10/27/2009   Single Family Residence
7938 W Larkspur Dr         Peoria            AZ   85381 231-10-545     Maricopa   James Heck                (623) 463-3332    7938 W Larkspur Dr          Peoria            AZ   85381          2   1506   0.16 1985   10/28/2009   10/27/2009   Single Family Residence
7920 W Desert Cove Ave     Peoria            AZ   85345 142-10-128     Maricopa   John Gaumnitz                               7920 W Desert Cove Ave      Peoria            AZ   85345        2.5   1636   0.17 1987   10/28/2009   10/27/2009   Single Family Residence
7918 E Loma Land Dr        Scottsdale        AZ   85257 131-11-035     Maricopa   Gabriel Isabel Mateos     (480) 874-0432    7918 E Loma Land Dr         Scottsdale        AZ   85257          2   1362   0.13 1959   10/28/2009   10/27/2009   Single Family Residence
7771 W Crocus Dr           Peoria            AZ   85381 200-62-162     Maricopa   Jonathan P Jones          (623) 776-3114    7771 W Crocus Dr            Peoria            AZ   85381          3   1812    0.2 1991   10/28/2009   10/27/2009   Single Family Residence
7745 W Pasadena Ave        Glendale          AZ   85303 102-08-078     Maricopa   Edgar A Gonzalez                            7745 W Pasadena Ave         Glendale          AZ   85303          1   1144   0.13 1972   10/28/2009   10/27/2009   Single Family Residence
771 N Lisbon Dr            Chandler          AZ   85226 308-08-509     Maricopa   James Small                                 961 N Forest Ct             Chandler          AZ   85226   4      3   2419   0.16 1994   10/28/2009   10/27/2009   Single Family Residence
7457 W Aurora Dr           Glendale          AZ   85308 200-21-818     Maricopa   David May                                   13495 S 176th Dr            Goodyear          AZ   85338          9   2296   0.15 1998   10/28/2009   10/27/2009   Single Family Residence
742 S Parsell Cir          Mesa              AZ   85204 139-20-116     Maricopa   Duran Liia                                  742 S Parsell Cir           Mesa              AZ   85204          6   1410   0.18 1970   10/28/2009   10/27/2009   Other
7376 S 253rd Ave           Buckeye           AZ   85326 504-41-187     Maricopa   Mendoza James             (623) 327-3828    7376 S 253rd Ave            Buckeye           AZ   85326          8   2079   0.14 2008   10/28/2009   10/26/2009   Single Family Residence
7309 S 56th Ln             Phoenix           AZ   85339 104-87-144     Maricopa   Atin Kapadia                                2019 W Lemon Tree Pl Unit 1164
                                                                                                                                                          Chandler          AZ   85224          8   1753   0.11 2004   10/28/2009   10/27/2009   Other
720 N Date                 Mesa              AZ   85201 135-23-025     Maricopa   Kenneth Morris                              3509 E Harwell Rd           Gilbert           AZ   85234          2   2574    0.2 1985   10/28/2009   10/27/2009   Single Family Residence
7002 W Beatrice St         Phoenix           AZ   85043 102-41-155     Maricopa   Jacinto Ramirez                             7002 W Beatrice St          Phoenix           AZ   85043          2   1246   0.12 1983   10/28/2009   10/26/2009   Single Family Residence
69 W 11th Ave              Mesa              AZ   85210 139-45-124     Maricopa   Steven Gonzalez                             69 W 11th Ave               Mesa              AZ   85210          1    948   0.14 1968   10/28/2009   10/27/2009   Single Family Residence
675 S Lanus Dr             Gilbert           AZ   85296 309-12-372     Maricopa   Kurt Angelina Springer                      675 S Lanus Dr              Gilbert           AZ   85296       2.75   1702   0.15 1997   10/28/2009   10/27/2009   Single Family Residence
6628 S 44th Ave            Phoenix           AZ   85339 104-77-681     Maricopa   Julio E Moran                               6628 S 44th St              Phoenix           AZ   85042          2   1608   0.14 1973   10/28/2009   10/27/2009   Single Family Residence
6508 S 74th Ln             Phoenix           AZ   85339 104-84-636     Maricopa   Don Miller                (602) 682-7671    6508 S 74th Ln              Laveen            AZ   85339          6   1413   0.11 2007   10/28/2009   10/27/2009   Other
648 W Pierson St           Phoenix           AZ   85013 155-35-106     Maricopa   Madrid Rand               (602) 740-6185    648 W Pierson St            Phoenix           AZ   85013              1475   0.17 1939   10/28/2009   10/27/2009   Single Family Residence
6431 W Campbell Ave        Phoenix           AZ   85033 144-84-021     Maricopa   Pedro Valdovinos                            6431 W Campbell Ave         Phoenix           AZ   85033       2.75   2077   0.19 1962   10/28/2009   10/27/2009   Single Family Residence
6412 W Sophie Ln           Phoenix           AZ   85339 300-13-370     Maricopa   Chrissydaugherty Neese    (623) 696-0722    6412 W Sophie Ln            Laveen            AZ   85339          6   1358   0.07 2006   10/28/2009   10/27/2009   Other
6362 E Princess Dr         Mesa              AZ   85205 141-84-561     Maricopa   John Doumakes             (480) 325-7428    6362 E Princess Dr          Mesa              AZ   85205          3   2505   0.18 1988   10/28/2009   10/26/2009   Single Family Residence
6320 W Toronto Wy          Phoenix           AZ   85043 104-37-057--   Maricopa   Chad Guilds               (623) 451-0180    6320 W Toronto Way          Phoenix           AZ   85043          2   1590   0.12 2001   10/28/2009   10/27/2009   Single Family Residence
6137 N 17th Ave            Phoenix           AZ   85015 156-20-031     Maricopa   Zina Rubinova             (602) 466-2721    6137 N 17th Ave             Phoenix           AZ   85015          2   1793   0.19 1951   10/28/2009   10/27/2009   Single Family Residence
6133 E Sage Dr             Phoenix           AZ   85253 172-10-023     Maricopa   Jeffrey P Rice            (480) 621-7732    6133 E Sage Dr              Paradise Valley   AZ   85253         21   7671   1.48 1969   10/28/2009   10/27/2009   Other
5901 W Mitchell Dr         Phoenix           AZ   85033 103-04-017     Maricopa   Guzman Alejandro Jr                         5901 W Mitchell Dr          Phoenix           AZ   85033   3      2   1233   0.15 1971   10/28/2009   10/27/2009   Single Family Residence
5824 S Dysart Rd           Avondale          AZ   85323 500-77-006-v   Maricopa   Broc W York                                 5824 S Dysart Rd            Avondale          AZ   85323       2.75   2016   4.86 1985   10/28/2009   10/27/2009   Single Family Residence




                                                                                                                                            Page 13
Pre-foreclosure List
                                                                                                                             Maricopa County Week Ending 11/2

5601 N 31st Ln           Phoenix         AZ   85017 153-15-069     Maricopa   Susan Salvador                                  5601 N 31st Ln             Phoenix            AZ   85017          2   1420   0.13 1954   10/28/2009   10/27/2009   Single Family Residence
5510 W Tether Tr         Phoenix         AZ   85083 201-38-155     Maricopa   Todd M Kelley                 (623) 234-3616    5510 W Tether Trl          Phoenix            AZ   85083         12   2745   0.14 2006   10/28/2009   10/27/2009   Single Family Residence
5410 W Vernon Ave        Phoenix         AZ   85035 103-17-258-a   Maricopa   Williams Lrita                (602) 272-0723    5410 W Vernon Ave          Phoenix            AZ   85035          2   2042   0.26 1965   10/28/2009   10/27/2009   Single Family Residence
5251 N 80th Dr           Glendale        AZ   85303 102-09-158     Maricopa   Dahl Shelley Willis                             5251 N 80th Dr             Glendale           AZ   85303   4      2   1986   0.13 1992   10/28/2009   10/27/2009   Single Family Residence
5030 S 22nd Pl           Phoenix         AZ   85040 122-07-097     Maricopa   Dwayne E Evans                                  5030 S 22nd Pl             Phoenix            AZ   85040          2   1154   0.16 1970   10/28/2009   10/27/2009   Single Family Residence
4836 S 10th St           Phoenix         AZ   85040 113-50-013     Maricopa   Jim Cadriel                                     4339 W Cheery Lynn Rd      Phoenix            AZ   85031          1   1431   0.19 1940   10/28/2009   10/27/2009   Single Family Residence
4727 S Goldstrike        Gilbert         AZ   85297 304-59-523     Maricopa   Trust Terrlance                                 4727 S Goldstrike          Gilbert            AZ   85297   4    3.5   5097   1.58 2006   10/28/2009   10/27/2009   Single Family Residence
457 S Marin Dr           Gilbert         AZ   85296 304-21-836     Maricopa   Michael Anderson                                457 S Marin Dr             Gilbert            AZ   85296       2.75   1816   0.26 1996   10/28/2009   10/27/2009   Single Family Residence
4543 W Greenway Rd       Glendale        AZ   85306 207-30-029     Maricopa   Toni R Morgan                                   4543 W Greenway Rd         Glendale           AZ   85306          2   1839   0.73 1969   10/28/2009   10/27/2009   Single Family Residence
4460 E Harrison St       Gilbert         AZ   85295 304-38-740     Maricopa   South Lake Llc                                  4460 E Harrison St         Gilbert            AZ   85295          8   2159    0.1 2004   10/28/2009   10/27/2009   Single Family Residence
4425 N 20th St 18        Phoenix         AZ   85016 163-31-218     Maricopa   Robert Macintosh Jr                             4425 N 20th St 18          Phoenix            AZ   85016        3.5   1534   0.01 2000   10/28/2009   10/27/2009   Condominium
4413 W Villa Linda Dr    Glendale        AZ   85310 205-12-629     Maricopa   Anthony Hickman                                 4413 W Villa Linda Dr      Glendale           AZ   85310   4      2   2041   0.18 1990   10/28/2009   10/27/2009   Single Family Residence
43827 N 16th St          Phoenix         AZ   85087 202-20-075-h   Maricopa   William Arbuckle                                43827 N 16th St            Phoenix            AZ   85087          9   2406   0.96 2004   10/28/2009   10/26/2009   Single Family Residence
4362 E Sack Dr           Phoenix         AZ   85050 215-04-239     Maricopa   Anthony F Pawlak                                4362 E Sack Dr             Phoenix            AZ   85050         10   1646   0.06 2007   10/28/2009   10/26/2009   Single Family Residence
4350 E Gatewood Dr       Phoenix         AZ   85050 212-34-563     Maricopa   John Sisk                     (480) 699-7758    4350 E Gatewood Rd         Phoenix            AZ   85050       2.75   1661    0.1 1997   10/28/2009   10/27/2009   Single Family Residence
432 E Harrison St        Chandler        AZ   85225 302-67-046     Maricopa   Tracy Elena Goodenough                          432 E Harrison St          Chandler           AZ   85225          2   1120   0.13 1996   10/28/2009   10/27/2009   Single Family Residence
416 E Turquoise Ave      Phoenix         AZ   85020 159-42-015     Maricopa   Doris A Gonzalez              (602) 953-3122    416 E Turquoise Ave        Phoenix            AZ   85020       1.75   1084   0.04 1983   10/28/2009   10/27/2009   Condominium
41508 N River Bend Ct    Anthem          AZ   85086 211-22-082     Maricopa   Tony Tamburo                                    41508 N River Bend Ct      Anthem             AZ   85086          8   1846   0.12 2005   10/28/2009   10/27/2009   Single Family Residence
4131 W Marlette Ave      Phoenix         AZ   85019 152-30-071     Maricopa   Rodriguez Martina             (602) 995-0761    4131 W Marlette Ave        Phoenix            AZ   85019          2   1576   0.14 1959   10/28/2009   10/27/2009   Single Family Residence
4116 N 30th Dr           Phoenix         AZ   85017 154-25-022     Maricopa   Vitelio Lozano                                  4116 N 30th Dr             Phoenix            AZ   85017       1.75   1656   0.23 1951   10/28/2009   10/27/2009   Single Family Residence
4106 E Silverwood Dr     Phoenix         AZ   85048 307-03-147     Maricopa   Andy Wilt                                       4106 E Silverwood Dr       Phoenix            AZ   85048   3      2   1443    0.1 1992   10/28/2009   10/27/2009   Single Family Residence
4021 E Pecan Rd          Phoenix         AZ   85040 123-16-039     Maricopa   Jeffery Mcaffee                                 4021 E Pecan Rd            Phoenix            AZ   85040          2   1432   0.17 1979   10/28/2009   10/27/2009   Single Family Residence
3932 S Eucalyptus Pl     Chandler        AZ   85286 303-43-591     Maricopa   Dennis Turner                                   3932 S Eucalyptus Pl       Chandler           AZ   85286   4      2   1871   0.14 2004   10/28/2009   10/27/2009   Single Family Residence
3926 W Irwin Ave         Phoenix         AZ   85041 105-89-352     Maricopa   Javier Penaloza                                 3926 W Irwin Ave           Phoenix            AZ   85041          6   1830   0.07 2002   10/28/2009   10/26/2009   Single Family Residence
3926 E Winslow Ave       Phoenix         AZ   85040 122-01-012     Maricopa   Larsen Richard                                  3926 E Winslow Ave         Phoenix            AZ   85040                     0.18        10/28/2009   10/27/2009   Other
39029 N 11th Ave         Anthem          AZ   85086 211-50-050     Maricopa   Douglas Newtown                                 39029 N 11th Ave           Anthem             AZ   85086   4      2   2280   1.02 1989   10/28/2009   10/27/2009   Single Family Residence
3902 W Lane Ave          Phoenix         AZ   85051 151-06-009     Maricopa   Mayeda Rubygary               (623) 934-4170    3902 W Lane Ave            Phoenix            AZ   85051          6   1772   0.17 1970   10/28/2009   10/27/2009   Single Family Residence
3839 W Lupine Ave        Phoenix         AZ   85029 149-33-164     Maricopa   Rolando Paredes                                 3839 W Lupine Ave          Phoenix            AZ   85029          2   1670   0.12 1971   10/28/2009   10/27/2009   Single Family Residence
3735 W Memorial Dr       Anthem          AZ   85086 203-10-735     Maricopa   David Meszaros                                  18148 W Golden Ln          Waddell            AZ   85355          9   2168   0.11 2005   10/28/2009   10/27/2009   Single Family Residence
3732 W Fleetwood Ln      Phoenix         AZ   85019 152-03-087     Maricopa   Martha S Larson                                 4115 W Encanto Blvd        Phoenix            AZ   85009          2   1875   0.15 1957   10/28/2009   10/27/2009   Single Family Residence
3539 W Campbell Ave      Phoenix         AZ   85019 107-10-024     Maricopa   Torres Eduardo                                  3539 W Campbell Ave        Phoenix            AZ   85019          6   1344   0.15 1960   10/28/2009   10/27/2009   Single Family Residence
3324 N 79th Ave          Phoenix         AZ   85033 102-22-219     Maricopa   Juan Mireles                  (623) 505-3845    3324 N 79th Ave            Phoenix            AZ   85033          2   1348    0.2 1978   10/28/2009   10/27/2009   Single Family Residence
3239 E Vaughn Ave        Gilbert         AZ   85234 309-23-051     Maricopa   Padilla Lama                                    3239 E Vaughn Ave          Gilbert            AZ   85234          4   2537   0.27 2001   10/28/2009   10/26/2009   Single Family Residence
3232 W Alta Vista Rd     Phoenix         AZ   85041 105-88-768     Maricopa   El-rashied Alimam                               4610 S Rural Rd Unit 306   Tempe              AZ   85282   3      2   1759   0.12 2005   10/28/2009   10/27/2009   Other
3208 N 49th Ave          Phoenix         AZ   85031 107-46-077     Maricopa   Nestorvillalta Duran          (602) 278-5106    3208 N 49th Ave            Phoenix            AZ   85031          2   1688   0.28 1958   10/28/2009   10/27/2009   Single Family Residence
32 S Matlock St          Mesa            AZ   85204 138-16-034-a   Maricopa   Rodrigo Valenzuela                              32 S Matlock St            Mesa               AZ   85204          2   1242   0.18 1986   10/28/2009   10/27/2009   Single Family Residence
31307 N 57th Pl          Az 85331        AZ   85331 211-45-003-u   Maricopa   Avey Investments Llc                            31307 N 57th Pl            Cave Creek         AZ   85331         19   4900   0.87 2006   10/28/2009   10/27/2009   Other
3114 E Canyon Creek Dr   Gilbert         AZ   85295 304-47-267     Maricopa   Jacqualine Delamater Jr                         3114 E Canyon Creek Dr     Gilbert            AZ   85295         14   4106    0.2 2003   10/28/2009   10/26/2009   Single Family Residence
311 N Brookside St       Chandler        AZ   85225 302-84-430     Maricopa   Ronaldcynthia Sparenga                          311 N Brookside St         Chandler           AZ   85225         10   2147    0.1 1994   10/28/2009   10/27/2009   Single Family Residence
30600 N Pima Rd 21       Scottsdale      AZ   85266 216-65-032     Maricopa   Adams Rmitra                                    30600 N Pima Rd Unit 21    Scottsdale         AZ   85266       5.75   4438   1.18 2002   10/28/2009   10/27/2009   Single Family Residence
3036 W Monte Vista Rd    Phoenix         AZ   85009 108-16-127-a   Maricopa   Esperanza Deciga              (480) 430-1044    3036 W Monte Vista Rd      Phoenix            AZ   85009          3    800   0.13 1951   10/28/2009   10/27/2009   Single Family Residence
3015 E Whitton Ave       Phoenix         AZ   85016 119-08-018     Maricopa   Jdg Management Llc                              3015 E Whitton Ave         Phoenix            AZ   85016          2   1433   0.14 1955   10/28/2009   10/26/2009   Single Family Residence
2952 E Escuda Rd         Phoenix         AZ   85050 213-17-055     Maricopa   Donald Atchinson              (602) 524-3469    2952 E Escuda Rd           Phoenix            AZ   85050         14   3574   0.19 2001   10/28/2009   10/27/2009   Single Family Residence
2835 W Rovey Ave         Phoenix         AZ   85017 152-15-112     Maricopa   Otero Dominguez               (602) 358-7736    2835 W Rovey Ave           Phoenix            AZ   85017          3   1148   0.15 1951   10/28/2009   10/27/2009   Single Family Residence
2810 W Keim Dr           Phoenix         AZ   85017 152-15-030     Maricopa   Richard Patricia A Freeman                      2810 W Keim Dr             Phoenix            AZ   85017          1   1111   0.12 1952   10/28/2009   10/27/2009   Single Family Residence
2715 W Montgomery Dr     Chandler        AZ   85224 302-93-261     Maricopa   Anthony Patricia Betancourt                     2715 W Montgomery Dr       Chandler           AZ   85224          4   2587   0.16 1985   10/28/2009   10/27/2009   Single Family Residence
27002 N 178th Ave        Sun City West AZ     85387 503-51-658     Maricopa   Kyle Danielle Buteau                            27002 N 178th Ave          Sun City West      AZ   85387          7   1734   0.13 2007   10/28/2009   10/27/2009   Single Family Residence
26809 N 231st Ave        Wittmann        AZ   85361 503-33-007-b   Maricopa   James Morehouse               (623) 848-9833    26809 N 231st Ave          Wittmann           AZ   85361                     1.13        10/28/2009   10/27/2009   Other
26230 S Flame Tree Dr    Sun Lakes       AZ   85248 303-70-333     Maricopa   Bessie Greenhouse                               26235 S Saddletree Dr      Chandler           AZ   85248   2      2   1772   0.14 1996   10/28/2009   10/27/2009   Single Family Residence
2531 N 37th Ave          Phoenix         AZ   85009 108-13-114     Maricopa   Mariano R Ramirez                               2531 N 37th Ave            Phoenix            AZ   85009          1    960   0.12 1954   10/28/2009   10/27/2009   Single Family Residence
2529 W Darrel Rd         Phoenix         AZ   85041 105-85-208     Maricopa   North Properties Llc                            2529 W Darrel Rd           Phoenix            AZ   85041          8   2108   0.15 2004   10/28/2009   10/27/2009   Single Family Residence
2525 S 228th Dr          Buckeye         AZ   85326 504-22-221     Maricopa   Francis Christensen           (602) 617-7230    2525 S 228th Dr            Buckeye            AZ   85326        2.5   2495   0.91 1979   10/28/2009   10/27/2009   Single Family Residence
2517 W Darrel Rd         Phoenix         AZ   85041 105-85-205     Maricopa   North Properties Llc                            2517 W Darrel Rd           Phoenix            AZ   85041          8   2108   0.15 2004   10/28/2009   10/27/2009   Single Family Residence
2516 W Darrel Rd         Phoenix         AZ   85041 105-85-197     Maricopa   North Properties Llc                            2516 W Darrel Rd           Phoenix            AZ   85041        10    2312   0.14 2004   10/28/2009   10/27/2009   Single Family Residence
2354 N 123rd Ln          Avondale        AZ   85392 501-88-155     Maricopa   Gilbert Moreno                                  2354 N 123rd Ln            Avondale           AZ   85392   4      2   2335   0.18 1995   10/28/2009   10/27/2009   Single Family Residence
22542 W Cocopah St       Buckeye         AZ   85326 504-21-455     Maricopa   Samuel Angelica Lopez                           22542 W Cocopah St         Buckeye            AZ   85326          6   1428    0.1 2004   10/28/2009   10/27/2009   Single Family Residence
22451 S 202nd Ct         Chandler HeightsAZ   85242 304-67-366     Maricopa   Ismail Azizshaker                               22451 S 202nd Ct           Chandler Heights   AZ   85142                     0.05        10/28/2009   10/26/2009   Other




                                                                                                                                             Page 14
Pre-foreclosure List
                                                                                                                                  Maricopa County Week Ending 11/2

22332 E Via Del Palo      Chandler HeightsAZ   85242 314-03-754     Maricopa   Kathryn William G Solomon                           22332 E Via Del Palo        Chandler Heights   AZ   85142          6   1611   0.12 2005   10/28/2009   10/27/2009   Single Family Residence
2232 S 258th Ave          Buckeye         AZ   85326 504-60-573     Maricopa   Elia Francisco Elia Rivadeneyra   (623) 242-9237    2232 S 258th Ave            Buckeye            AZ   85326          6   1868   0.12 2006   10/28/2009   10/27/2009   Single Family Residence
22018 N 59th Ln           Glendale        AZ   85310 200-05-259     Maricopa   Chiu Lin                                            22018 N 59th Ln             Glendale           AZ   85310       4.75   3169   0.19 1994   10/28/2009   10/27/2009   Single Family Residence
2117 E Broadmor Dr        Tempe           AZ   85282 133-34-540     Maricopa   Andrew Wilt                                         2117 E Broadmor Dr          Tempe              AZ   85282       2.75   1724   0.18 1969   10/28/2009   10/27/2009   Single Family Residence
20408 N 30th Wy           Phoenix         AZ   85050 213-12-173     Maricopa   Salem Smajdouline                 (602) 493-3745    20408 N 30th Way            Phoenix            AZ   85050          3   2177   0.08 1999   10/28/2009   10/27/2009   Single Family Residence
2025 E Campbell Ave 305   Phoenix         AZ   85016 163-31-387     Maricopa   Holdings Jpk Llc                                    2025 E Campbell Ave Unit 305Phoenix            AZ   85016          3    951   0.02 1989   10/28/2009   10/27/2009   Condominium
2025 E Campbell Ave 243   Phoenix         AZ   85016 163-31-357     Maricopa   Bruno Bardet                                        2025 E Campbell Ave Unit 243Phoenix            AZ   85016          6   1006   0.02 1989   10/28/2009   10/27/2009   Condominium
2024 E Edgewood Ave       Mesa            AZ   85204 140-43-029     Maricopa   Sanchez Beatriz                                     2024 E Edgewood Ave         Mesa               AZ   85204          7   1740   0.15 1980   10/28/2009   10/27/2009   Single Family Residence
202 E Park Ave            Gilbert         AZ   85234 304-11-302     Maricopa   Merino Scott                                        202 E Park Ave              Gilbert            AZ   85234   1      1    756   0.16 1973   10/28/2009   10/27/2009   Condominium
20141 E Palm Beach Dr     Chandler HeightsAZ   85242 304-91-039-g   Maricopa   Jaime Rosalva Olave                                 20141 E Palm Beach Dr       Chandler Heights   AZ   85142          2   1928   0.88 2000   10/28/2009   10/27/2009   Single Family Residence
19352 E Thornton Rd       Chandler HeightsAZ   85242 314-02-272     Maricopa   Juan Cruz                                           19352 E Thornton Rd         Chandler Heights   AZ   85142   4    2.5   2757   0.19 2003   10/28/2009   10/27/2009   Single Family Residence
1915 S 364th Ave          Tonopah         AZ   85354 506-41-401     Maricopa   Lone Investment Llc                                 1915 S 364th Ave            Tonopah            AZ   85354          3   1000   1.09 2005   10/28/2009   10/27/2009   Single Family Residence
1914 E Colter St          Phoenix         AZ   85016 164-54-003     Maricopa   David Cindy Levin                                   1914 E Colter St            Phoenix            AZ   85016              1635   0.16 1959   10/28/2009   10/27/2009   Duplex
18991 N 74th Dr           Glendale        AZ   85308 200-29-067     Maricopa   John Nickeson                                       18991 N 74th Dr             Glendale           AZ   85308   4   3.75   3055   0.19 1991   10/28/2009   10/27/2009   Single Family Residence
1830 W Oraibi Dr          Phoenix         AZ   85027 209-19-057     Maricopa   William Simon                                       1830 W Oraibi Dr            Phoenix            AZ   85027          2   1388   0.17 1980   10/28/2009   10/27/2009   Single Family Residence
18221 W Mission Ln        Waddell         AZ   85355 502-91-053     Maricopa   James L Brown                                       Po Box 330032               Fort Worth         TX   76163          8   1595   0.11 2005   10/28/2009   10/27/2009   Single Family Residence
1809 W Hadley St          Phoenix         AZ   85007 112-13-093     Maricopa   Joseph Fleming                                      1809 W Hadley St            Phoenix            AZ   85007          1    676   0.13 1936   10/28/2009   10/27/2009   Single Family Residence
18040 W Mission Ln        Waddell         AZ   85355 502-91-330     Maricopa   Roxana G Frakes                                     3911 1/2 W Morrison Ave     Tampa              FL   33629         10   2263   0.11 2006   10/28/2009   10/27/2009   Single Family Residence
17824 N Stone Haven Dr    Sun City        AZ   85374 232-40-119     Maricopa   Floyd Templeton                   (707) 539-1104    12 El Prado Ct              Santa Rosa         CA   95405        2.5   2016   0.17 2000   10/28/2009   10/27/2009   Single Family Residence
1701 E Colter St 107      Phoenix         AZ   85016 164-57-101     Maricopa   Martina Square Llc                                  1701 E Colter St Unit 107   Phoenix            AZ   85016          6    790   0.01 2003   10/28/2009   10/27/2009   Condominium
16820 W Carmen Dr         Sun City        AZ   85388 501-12-809     Maricopa   David Anne-marie Lahn                               8659 W Adam Ave             Peoria             AZ   85382   4    2.5   2567   0.12 2004   10/28/2009   10/27/2009   Single Family Residence
1634 W Northern Ave       Phoenix         AZ   85021 158-07-003-a   Maricopa   Patrick Tawna Nicoll                                1634 W Northern Ave         Phoenix            AZ   85021          2   1820   0.27 1966   10/28/2009   10/27/2009   Single Family Residence
1615 N 49th Ave           Phoenix         AZ   85035 103-20-678     Maricopa   Marta Fierros                                       2201 S 82nd Ln              Phoenix            AZ   85043          2   1346   0.11 1971   10/28/2009   10/27/2009   Single Family Residence
16122 W Desert Bloom St   Goodyear        AZ   85338 500-05-101     Maricopa   Ramona Boston Jr                  (623) 932-5044    16122 W Desert Bloom St     Goodyear           AZ   85338          8   1347   0.13 1996   10/28/2009   10/27/2009   Single Family Residence
16040 N 71st Dr           Peoria          AZ   85382 200-52-669     Maricopa   Humes Francis                                       16040 N 71st Dr             Peoria             AZ   85382               120   0.14 2005   10/28/2009   10/27/2009   Mobile Home
15877 W Montecito Ave     Goodyear        AZ   85395 501-61-344     Maricopa   Lleraldin Perez                                     15877 W Montecito Ave       Goodyear           AZ   85395        12    2899   0.29 2006   10/28/2009   10/27/2009   Single Family Residence
15810 N 172nd Ln          Surprise        AZ   85388 502-01-159     Maricopa   Ernestine Milton                                    15810 N 172nd Ln            Surprise           AZ   85388   3    2.5   1533   0.09 2004   10/28/2009   10/27/2009   Single Family Residence
15640 W Minnezona Ave     Goodyear        AZ   85395 501-61-456     Maricopa   Jeffrey Souza                                       15640 W Minnezona Ave       Goodyear           AZ   85395          9   2257   0.19 2007   10/28/2009   10/27/2009   Single Family Residence
1543 W Charleston Ave     Phoenix         AZ   85023 208-04-234     Maricopa   Petru Pop                                           1543 W Charleston Ave       Phoenix            AZ   85023   3      2   1348   0.17 1973   10/28/2009   10/27/2009   Single Family Residence
1538 S Horne St           Mesa            AZ   85204 136-26-600     Maricopa   Anthony Olivas                    (480) 668-8437    1538 S Horne St             Mesa               AZ   85204                                 10/28/2009   10/27/2009   Other
15031 N 27th Dr           Phoenix         AZ   85053 207-06-011     Maricopa   Gonzalez Jose                                       15031 N 27th Dr             Phoenix            AZ   85053          6   1296   0.32 1971   10/28/2009   10/27/2009   Other
14824 N 130th Ln          El Mirage       AZ   85335 509-13-571     Maricopa   Shirley Colmer                                      14824 N 130th Ln            El Mirage          AZ   85335          6   1308    0.1 2004   10/28/2009   10/27/2009   Single Family Residence
14603 N 132nd Ave         Sun City        AZ   85379 501-94-196     Maricopa   Christopher J Goodman                               14603 N 132nd Ave           Sun City           AZ   85379   4      2   1527   0.11 2002   10/28/2009   10/27/2009   Single Family Residence
14246 W Boca Raton Rd     Sun City        AZ   85379 509-17-390     Maricopa   Christine N Paredes                                 14246 W Boca Raton Rd       Sun City           AZ   85379        2.5   2269   0.12 2005   10/28/2009   10/27/2009   Single Family Residence
14227 E Quail Track Rd    Az 85262        AZ   85262 219-39-202-l   Maricopa   Avey Investments Llc                                14227 E Quail Track Rd      Scottsdale         AZ   85262   5      3   3598   0.87 2006   10/28/2009   10/27/2009   Other
1333 E Morten Ave 136     Phoenix         AZ   85020 160-22-156     Maricopa   Terry Claire Hillman                                1333 E Morten Ave Unit 136 Phoenix             AZ   85020        2.5   1068   0.02 1985   10/28/2009   10/27/2009   Condominium
1313 E Peoria Ave         Phoenix         AZ   85020 159-28-005-a   Maricopa   Kris Ross                                           1313 E Peoria Ave           Phoenix            AZ   85020                     0.84        10/28/2009   10/27/2009   Other
1301 E Sand Dollar Cir    Gilbert         AZ   85234 304-96-623     Maricopa   Frederick Lueck                   (480) 926-9118    1301 E Sand Dollar Ct       Gilbert            AZ   85234          9   1871   0.23 1987   10/28/2009   10/27/2009   Other
12718 W St Moritz Ln      El Mirage       AZ   85335 509-13-782     Maricopa   Roberto Kristina L Gallarzo       (623) 243-6935    12718 W Saint Moritz Ln     El Mirage          AZ   85335   4      2   1722   0.87 2004   10/28/2009   10/27/2009   Single Family Residence
12511 W Mauna Loa Ln      El Mirage       AZ   85335 509-13-407     Maricopa   Francisco Becerra                                   12511 W Mauna Loa Ln        El Mirage          AZ   85335          9   2178   0.11 2003   10/28/2009   10/27/2009   Single Family Residence
12509 W Mandalay Ln       El Mirage       AZ   85335 509-13-516     Maricopa   Jerry Beck                                          12509 W Mandalay Ln         El Mirage          AZ   85335          6   1308   0.11 2003   10/28/2009   10/27/2009   Single Family Residence
12229 W Madison St        Avondale        AZ   85323 500-29-253     Maricopa   Barton Eline                      (623) 975-4592    12229 W Madison St          Avondale           AZ   85323       2.75   2136   0.16 2001   10/28/2009   10/27/2009   Single Family Residence
11705 W Sunnyside Dr      El Mirage       AZ   85335 501-45-211     Maricopa   Juan C Rodriguez                                    11705 W Sunnyside Dr        El Mirage          AZ   85335          2   1832   0.17 2002   10/28/2009   10/27/2009   Single Family Residence
11235 E Escondido Ave     Mesa            AZ   85208 220-79-154     Maricopa   Shawn Soumilas                                      11235 E Escondido Ave       Mesa               AZ   85208        2.5   1627   0.13 2000   10/28/2009   10/27/2009   Single Family Residence
1113 S 115th Dr           Avondale        AZ   85323 500-95-027     Maricopa   Joseph Parsons Jr                                   1113 S 115th Dr             Avondale           AZ   85323          7   1495   0.12 2004   10/28/2009   10/27/2009   Single Family Residence
1112 N Mckemy Ave         Chandler        AZ   85226 301-60-761     Maricopa   Jeremy Flores                     (917) 476-1165    1112 N Mckemy Ave           Chandler           AZ   85226   5      3   3704   0.25 1995   10/28/2009   10/27/2009   Single Family Residence
11051 E Wildcat Hill Rd   Scottsdale      AZ   85262 219-60-381     Maricopa   Sanjeev Chopra                                      11051 E Wildcat Hill Rd     Scottsdale         AZ   85262                     0.78        10/28/2009   10/27/2009   Other
11025 E Butherus Dr       Scottsdale      AZ   85255 217-61-538     Maricopa   John Dean                         (480) 361-3887    11025 E Butherus Dr         Scottsdale         AZ   85255   5      3   3924   0.21 1999   10/28/2009   10/27/2009   Single Family Residence
11016 W Crimson Ln        Avondale        AZ   85392 102-28-463     Maricopa   Eric Joy Davidson                                   3700 S Hiwassee Rd          Choctaw            OK   73020        3.5   2064   0.15 1987   10/28/2009   10/27/2009   Single Family Residence
10562 E Cosmos Cir        Scottsdale      AZ   85255 217-17-476     Maricopa   William Cunningham                (480) 419-3988    10562 E Cosmos Cir          Scottsdale         AZ   85255   4    2.5   2678   0.19 1996   10/28/2009   10/27/2009   Single Family Residence
1050 S Stapley Dr 3       Mesa            AZ   85204 139-15-064     Maricopa   Justin Rachel Gurr                                  1050 S Stapley Dr Unit 3    Mesa               AZ   85204          6   1163   0.02 1979   10/28/2009   10/27/2009   Condominium
10267 E Carribbean Ln     Scottsdale      AZ   85255 217-65-168     Maricopa   E Lane                                              10267 E Caribbean Ln        Scottsdale         AZ   85255   3      2   1351    0.1 1998   10/28/2009   10/27/2009   Single Family Residence
9904 E Billings St        Mesa            AZ   85207 220-30-036-h   Maricopa   Terry L Womack                                      9904 E Billings St          Mesa               AZ   85207          6   1377   0.22 1988   10/27/2009   10/26/2009   Single Family Residence
9653 W Brown St A         Peoria          AZ   85345 142-54-457     Maricopa   Raymond Kohlhaus                  (623) 476-7174    9653 W Brown St Unit A      Peoria             AZ   85345          2   1144      0 1978   10/27/2009   10/26/2009   Condominium
958 W Redondo Dr          Gilbert         AZ   85233 302-37-292     Maricopa   Luis Karla Marron                                   958 W Redondo Dr            Gilbert            AZ   85233          6   1236   0.09 1991   10/27/2009   10/26/2009   Single Family Residence
957 E Scorpio Pl          Chandler        AZ   85249 303-53-673     Maricopa   Steve Tracie Baker                (480) 963-3903    957 E Scorpio Pl            Chandler           AZ   85249          3   2049   0.14 2002   10/27/2009   10/26/2009   Single Family Residence
9438 W Albert Ln          Peoria          AZ   85382 200-15-900     Maricopa   Harry Granger                     (623) 825-0317    9438 W Albert Ln            Peoria             AZ   85382   4      2   1792   0.13 2001   10/27/2009   10/26/2009   Single Family Residence




                                                                                                                                                 Page 15
Pre-foreclosure List
                                                                                                                        Maricopa County Week Ending 11/2

9332 W Crown King Rd     Tolleson     AZ   85353 101-27-079     Maricopa   Scott T Erfort                                9332 W Crown King Rd         Tolleson     AZ   85353        12    2138   0.14 2006   10/27/2009   10/26/2009   Single Family Residence
9206 W Lone Cactus Dr    Peoria       AZ   85382 231-26-166     Maricopa   Peter Frick                 (623) 376-6823    9206 W Lone Cactus Dr        Peoria       AZ   85382          2   1845   0.13 2000   10/27/2009   10/26/2009   Single Family Residence
912 S Wanda Dr           Gilbert      AZ   85296 304-26-365     Maricopa   Eralio Villareal                              912 S Wanda Dr               Gilbert      AZ   85296          2   1219   0.13 1996   10/27/2009   10/26/2009   Single Family Residence
907 E Gary Ln            Phoenix      AZ   85042 300-20-112     Maricopa   Gary Rosser                 (602) 323-5260    907 E Gary Ln                Phoenix      AZ   85042        3.5   2433   0.15 2000   10/27/2009   10/26/2009   Single Family Residence
9029 W Virginia Ave      Phoenix      AZ   85037 102-36-305     Maricopa   Danny Gomez                 (623) 341-7046    9029 W Virginia Ave          Phoenix      AZ   85037        2.5   1183   0.12 1997   10/27/2009   10/26/2009   Single Family Residence
8923 S 7th Dr            Phoenix      AZ   85041 300-51-021     Maricopa   Philip Buggs                (602) 304-0258    8923 S 7th Dr                Phoenix      AZ   85041   4      2   1979   0.13 2003   10/27/2009   10/26/2009   Other
8854 S Grandview Dr      Tempe        AZ   85284 301-61-657     Maricopa   Edwards Rebecca                               8854 S Grandview Dr          Tempe        AZ   85284   4      3   2149   0.14 1989   10/27/2009   10/26/2009   Single Family Residence
8702 E Boise St          Mesa         AZ   85207 218-37-032     Maricopa   Daniel B Staehling                            8702 E Boise St              Mesa         AZ   85207   3      2   1288   0.22 1984   10/27/2009   10/26/2009   Other
8701 E Minnezona Ave     Scottsdale   AZ   85251 173-67-048     Maricopa   Michael Ralston                               8701 E Minnezona Ave         Scottsdale   AZ   85251          2   1858   0.19 1962   10/27/2009   10/26/2009   Single Family Residence
868 S Macdonald          Mesa         AZ   85210 139-42-129     Maricopa   Baltazar Arguello                             868 S Macdonald              Mesa         AZ   85210          3   1220   0.21 1958   10/27/2009   10/26/2009   Single Family Residence
8604 S 45th Dr           Phoenix      AZ   85339 300-84-799     Maricopa   Hwan H Kang                                   8604 S 45th Dr               Laveen       AZ   85339        11    2982   0.21 2004   10/27/2009   10/26/2009   Other
8473 W Berridge Ln       Glendale     AZ   85305 102-04-654     Maricopa   Palma Angelica                                8473 W Berridge Ln           Glendale     AZ   85305          3   3086   0.17 2002   10/27/2009   10/26/2009   Single Family Residence
8451 W Flower St         Phoenix      AZ   85037 102-23-902     Maricopa   Anderson Canna              (623) 845-0240    8451 W Flower St             Phoenix      AZ   85037   3      2   1360   0.12 1999   10/27/2009   10/26/2009   Other
8333 W Sheridan St       Phoenix      AZ   85037 102-37-064     Maricopa   Allisonpaterno Woodhouse                      8333 W Sheridan St           Phoenix      AZ   85037          9   1652   0.04 2007   10/27/2009   10/26/2009   Other
8325 N 85th St           Scottsdale   AZ   85258 174-04-093     Maricopa   Webster Travis                                8325 N 85th St               Scottsdale   AZ   85258        2.5   1712   0.14 1979   10/27/2009   10/26/2009   Single Family Residence
829 E Laredo St          Chandler     AZ   85225 302-69-608     Maricopa   Jennifer Mobley             (480) 857-3112    829 E Laredo St              Chandler     AZ   85225        2.5   1684   0.11 1997   10/27/2009   10/26/2009   Single Family Residence
8142 E 3rd Ave           Mesa         AZ   85208 218-32-127     Maricopa   Robert A Peel               (480) 354-1383    8142 E 3rd Ave               Mesa         AZ   85208          3   1130   0.18 1940   10/27/2009   10/26/2009   Single Family Residence
8122 N 28th Dr           Phoenix      AZ   85051 150-06-034     Maricopa   Luna Liliana                                  8122 N 28th Dr               Phoenix      AZ   85051          1   1102   0.12 1952   10/27/2009   10/26/2009   Single Family Residence
809 N 67th Ln            Phoenix      AZ   85043 102-41-061     Maricopa   Robert C Diaz               (623) 936-9580    809 N 67th Ln                Phoenix      AZ   85043          6   1170   0.22 1981   10/27/2009   10/26/2009   Other
8055 E Thomas Rd A204 Scottsdale      AZ   85257 131-03-106     Maricopa   Patrick Johnston                              8055 E Thomas Rd Unit A204 Scottsdale     AZ   85251          2    864   0.02 1972   10/27/2009   10/26/2009   Condominium
8050 E Casper St         Mesa         AZ   85207 218-08-063     Maricopa   Mahatma Vega                                  8050 E Casper St             Mesa         AZ   85207        2.5   1794   0.27 1989   10/27/2009   10/26/2009   Single Family Residence
805 N Oleander St        Wickenburg   AZ   85390 505-08-012     Maricopa   Howard Dixon                (928) 684-2933    805 Oleander St              Wickenburg   AZ   85390          2    899   0.45 1955   10/27/2009   10/26/2009   Single Family Residence
805 E Roma Ave           Phoenix      AZ   85014 155-19-067     Maricopa   Roma Holdings Llc                             805 E Roma Ave               Phoenix      AZ   85014                     0.47        10/27/2009   10/26/2009   Other
7850 N 47th Ave          Glendale     AZ   85301 147-03-218     Maricopa   Senji Dallas                                  7850 N 47th Ave              Glendale     AZ   85301         2    1320   0.06 1971   10/27/2009   10/26/2009   Condominium
7553 Whisper Rock Tr     Scottsdale   AZ   85266 216-51-025     Maricopa   Family Difilippo                              7553 E Whisper Rock Trl      Scottsdale   AZ   85266                     1.32        10/27/2009   10/26/2009   Other
746 E Rosemonte Dr       Phoenix      AZ   85024 213-29-046     Maricopa   Jeannie A Adams                               746 E Rosemonte Dr           Phoenix      AZ   85024   3    2.5   1436   0.07 1992   10/27/2009   10/26/2009   Single Family Residence
7446 S 40th Ln           Phoenix      AZ   85041 105-89-540     Maricopa   Gloria Mejia                                  7446 S 40th Ln               Phoenix      AZ   85041       3.75   3159   0.31 2001   10/27/2009   10/26/2009   Single Family Residence
742 S Balboa Cir         Mesa         AZ   85206 140-35-395     Maricopa   Arthur Munns                                  742 S Balboa Cir             Mesa         AZ   85206   3      2   1837   0.17 1995   10/27/2009   10/26/2009   Single Family Residence
7328 W Florence Ave      Phoenix      AZ   85043 104-52-227     Maricopa   Maxie Rlisa                                   7328 W Florence Ave          Phoenix      AZ   85043         10   2675   0.12 2003   10/27/2009   10/26/2009   Single Family Residence
7142 W Devonshire Ave Phoenix         AZ   85033 144-39-469     Maricopa   Luis Ernelda Quintero       (623) 505-7482    7142 W Devonshire Ave        Phoenix      AZ   85033          2   1344   0.13 1972   10/27/2009   10/26/2009   Single Family Residence
6906 S 14th Dr           Phoenix      AZ   85041 105-98-041     Maricopa   Patrick J Pianalto                            6906 S 14th Dr               Phoenix      AZ   85041          6   1317   0.13 2003   10/27/2009   10/26/2009   Single Family Residence
6905 S Rainbow Rd        Buckeye      AZ   85326 504-44-016-p   Maricopa   Krystal L Rawleigh                            6905 S Rainbow Rd            Buckeye      AZ   85326         10   2557   0.87 2005   10/27/2009   10/26/2009   Single Family Residence
6901 W Denton Ln         Glendale     AZ   85303 144-24-315     Maricopa   Albert Jackson Jr                             6901 W Denton Ln             Glendale     AZ   85303          2   2175   0.14 2006   10/27/2009   10/26/2009   Single Family Residence
6828 S 68th Dr           Phoenix      AZ   85339 104-83-251     Maricopa   Jasonbrendastrohmeyer Browne                  6828 S 68th Dr               Laveen       AZ   85339         11   3143   0.14 2005   10/27/2009   10/26/2009   Other
6810 W St Anne Ave       Phoenix      AZ   85339 104-83-170     Maricopa   Victor Montano              (602) 374-2470    6810 W St Anne Ave           Laveen       AZ   85339         12   3553   0.23 2006   10/27/2009   10/26/2009   Other
6622 W Mckinley St       Phoenix      AZ   85043 103-24-069     Maricopa   Jose Vazquez                                  6622 W Mckinley St           Phoenix      AZ   85043          1   1040   0.28 1975   10/27/2009   10/26/2009   Single Family Residence
6516 W Devonshire Ave Phoenix         AZ   85033 144-86-026--   Maricopa   Cortez Antonio                                6516 W Devonshire Ave        Phoenix      AZ   85033          2   2079   0.17 1961   10/27/2009   10/26/2009   Single Family Residence
648 E Springfield Pl     Chandler     AZ   85286 303-28-301     Maricopa   Robert French                                 648 E Springfield Pl         Chandler     AZ   85286          3   2195   0.08 2002   10/27/2009   10/26/2009   Single Family Residence
643 S Buena Vista Ave    Gilbert      AZ   85296 313-10-400     Maricopa   Michael Graham                                7301 E 3rd Ave Unit 110      Scottsdale   AZ   85251   3     10   1684   0.06 2006   10/27/2009   10/26/2009   Other
6407 N 82nd Wy           Scottsdale   AZ   85250 174-12-077     Maricopa   Hoyt Jon                                      6407 N 82nd Way              Scottsdale   AZ   85250       2.75   2376   0.26 1967   10/27/2009   10/26/2009   Single Family Residence
612 E Dee St             Avondale     AZ   85323 500-53-072     Maricopa   Pedro R Esqueda             (623) 882-8833    612 E Dee St                 Avondale     AZ   85323          1   2033   0.18 2007   10/27/2009   10/26/2009   Single Family Residence
6047 W Maui Ln           Glendale     AZ   85306 231-07-733     Maricopa   Wayne Debra Johnson         (602) 938-7800    6047 W Maui Ln               Glendale     AZ   85306   4   2.75      1   0.17 1986   10/27/2009   10/26/2009   Single Family Residence
6031 W Warner St         Phoenix      AZ   85043 104-57-439     Maricopa   Matthew J Alvey                               6031 W Warner St             Phoenix      AZ   85043          3   1767    0.1 2002   10/27/2009   10/26/2009   Single Family Residence
5911 W Questa Dr         Glendale     AZ   85310 201-12-735     Maricopa   Sozan Esho Kais                               5911 W Questa Dr             Glendale     AZ   85310          9   2230   0.15 2004   10/27/2009   10/26/2009   Single Family Residence
5841 W Cheery Lynn Rd Phoenix         AZ   85031 103-42-072     Maricopa   Rafael Mercado              (480) 560-2436    5841 W Cheery Lynn Rd        Phoenix      AZ   85031          5   1332   0.13 1960   10/27/2009   10/26/2009   Single Family Residence
5819 N 38th Dr           Phoenix      AZ   85019 145-09-120     Maricopa   Dean Shannon Walker         (602) 242-2363    5819 N 38th Dr               Phoenix      AZ   85019          6   1844   0.14 1958   10/27/2009   10/26/2009   Single Family Residence
573 N Tatum Ln           Gilbert      AZ   85234 304-15-177     Maricopa   Wesley Still                (480) 354-7914    573 N Tatum Ln               Gilbert      AZ   85234       4.75   3038   0.41 1997   10/27/2009   10/26/2009   Single Family Residence
5701 S Rural Rd          Guadalupe    AZ   85283 301-02-022     Maricopa   Granada Lakes Llc                             5701 S Rural Rd              Guadalupe    AZ   85283                     2.98        10/27/2009   10/26/2009   Other
5649 N 6th St            Phoenix      AZ   85012 162-35-015     Maricopa   Allan D Doyle                                 5649 N 6th St                Phoenix      AZ   85012          4   3723   0.19 1979   10/27/2009   10/26/2009   Single Family Residence
5401 E Van Buren St 3027 Phoenix      AZ   85034 124-18-299     Maricopa   Katherine A Nowak                             5401 E Van Buren St Unit 3027Phoenix      AZ   85008          3    684   0.02 1999   10/27/2009   10/26/2009   Condominium
5301 N 83rd Pl           Scottsdale   AZ   85250 173-73-180     Maricopa   Erin Reimer                 (831) 644-9372    25401 Boots Rd               Monterey     CA   93940          2   1930   0.27 1966   10/27/2009   10/26/2009   Single Family Residence
5222 N 41st Ave          Phoenix      AZ   85019 145-27-280     Maricopa   Erica Yadira Villegas                         5222 N 41st Ave              Phoenix      AZ   85019          2   1332   0.09 1971   10/27/2009   10/26/2009   Single Family Residence
5123 E Delta Ave         Mesa         AZ   85206 140-35-385     Maricopa   Milenko Sava Djukic                           5123 E Delta Ave             Mesa         AZ   85206        2.5   1552   0.14 1994   10/27/2009   10/26/2009   Single Family Residence
5062 W Kesler Ln         Chandler     AZ   85226 308-09-214     Maricopa   Susan G Hawrylkiw                             5062 W Kesler Ln             Chandler     AZ   85226       2.75   1604   0.11 1993   10/27/2009   10/26/2009   Single Family Residence
4948 W Tonto Rd          Glendale     AZ   85308 206-30-515     Maricopa   Kenneth Nichols             (623) 810-3209    4948 W Tonto Rd              Glendale     AZ   85308          3   1853   0.09 1995   10/27/2009   10/26/2009   Single Family Residence
4829 N 57th Ave          Phoenix      AZ   85031 144-51-004     Maricopa   Pedro Castillo              (623) 266-7565    4829 N 57th Ave              Phoenix      AZ   85031          2   1746   0.19 1957   10/27/2009   10/26/2009   Single Family Residence
4828 W Orangewood Ave 214Glendale     AZ   85301 147-03-616     Maricopa   George Spencer                                4828 W Orangewood Ave UnitGlendale
                                                                                                                                                       214         AZ   85301   3      2    872      0 1984   10/27/2009   10/26/2009   Condominium




                                                                                                                                       Page 16
Pre-foreclosure List
                                                                                                                         Maricopa County Week Ending 11/2

4812 E Barwick Dr        Phoenix      AZ   85331 211-42-335     Maricopa   Matthew Winter                                 4812 E Barwick Dr            Cave Creek   AZ   85331                                 10/27/2009   10/26/2009   Other
4625 W Thomas Rd 58      Phoenix      AZ   85035 103-53-140-b   Maricopa   Domingo Gomez                                  4625 W Thomas Rd Unit 58 Phoenix          AZ   85031          1    891   0.03 1971   10/27/2009   10/26/2009   Condominium
4613 W Kimberly Wy       Glendale     AZ   85308 206-32-384     Maricopa   Palmer Siciliano             (623) 374-6624    4613 W Kimberly Way          Glendale     AZ   85308       2.75   1358    0.2 1983   10/27/2009   10/26/2009   Single Family Residence
4565 N 29th Ave          Phoenix      AZ   85017 154-10-004     Maricopa   Carlos Nimatuj                                 4565 N 29th Ave              Phoenix      AZ   85017          1   1417   0.17 1952   10/27/2009   10/26/2009   Single Family Residence
4558 E Halifax St        Mesa         AZ   85205 141-72-025     Maricopa   Ortiz Martina                                  4558 E Halifax St            Mesa         AZ   85205          3   1200   0.28 1972   10/27/2009   10/26/2009   Single Family Residence
4531 W Wethersfield Rd Glendale       AZ   85304 207-41-287     Maricopa   Jedbrown Oakason             (602) 595-9671    4531 W Wethersfield Rd       Glendale     AZ   85304          2   1809   0.18 1978   10/27/2009   10/26/2009   Single Family Residence
4449 W Turquoise Ave     Glendale     AZ   85302 148-06-448     Maricopa   Patrick M Griffith                             4449 W Turquoise Ave         Glendale     AZ   85302          1   1488   0.15 1975   10/27/2009   10/26/2009   Single Family Residence
4438 W St Kateri Dr      Phoenix      AZ   85339 104-77-737     Maricopa   Sundharavadivel Kasinathan                     4438 W St Kateri Dr          Phoenix      AZ   85339          8   2114   0.14 2005   10/27/2009   10/26/2009   Other
4426 W Park St           Phoenix      AZ   85339 104-90-088     Maricopa   Hernandez Miriam                               4426 W Park St               Laveen       AZ   85339          6   1518   0.12 2004   10/27/2009   10/26/2009   Other
4419 S 2nd St            Phoenix      AZ   85040 113-33-022-b   Maricopa   Luis A Valenzuela                              4419 S 2nd St                Phoenix      AZ   85040          2   1288   0.13 1945   10/27/2009   10/26/2009   Single Family Residence
41808 N Spy Glass Dr     Anthem       AZ   85086 211-22-048     Maricopa   Mark Bootman                                   41808 N Spy Glass Dr         Anthem       AZ   85086         17   4319   0.28 2005   10/27/2009   10/26/2009   Single Family Residence
4148 N 81st Ave          Phoenix      AZ   85033 102-77-155     Maricopa   Jose Ramirez                                   4148 N 81st Ave              Phoenix      AZ   85033          2   1445   0.17 1979   10/27/2009   10/26/2009   Single Family Residence
4138 E Lexington Ave     Gilbert      AZ   85234 313-12-418     Maricopa   Allen Albert                                   4138 E Lexington Ave         Gilbert      AZ   85234         12   3098   0.13 2006   10/27/2009   10/26/2009   Other
4137 W Calle Lejos       Glendale     AZ   85310 205-11-634     Maricopa   Carrie L Curtis                                4137 W Calle Lejos           Glendale     AZ   85310   4      3   2049   0.13 1991   10/27/2009   10/26/2009   Single Family Residence
41204 N Congressional Dr Anthem       AZ   85086 203-08-313     Maricopa   Paul A Baca                                    1750 W Union Hills Dr Unit 37Phoenix      AZ   85027   4    3.5   2981   0.28 2003   10/27/2009   10/26/2009   Single Family Residence
4120 N 78th St 221       Scottsdale   AZ   85251 173-54-515     Maricopa   Craig Atheresa                                 4120 N 78th St Unit 221      Scottsdale   AZ   85251          6   1010   0.02 1981   10/27/2009   10/26/2009   Other
4112 W Pinchot Ave       Phoenix      AZ   85019 107-38-029     Maricopa   Gabriel Arreola                                4112 W Pinchot Ave           Phoenix      AZ   85019          2   1665   0.15 1958   10/27/2009   10/26/2009   Single Family Residence
4036 W Lane Ave          Phoenix      AZ   85051 151-06-021     Maricopa   Varela Villegas              (623) 236-3982    4036 W Lane Ave              Phoenix      AZ   85051        2.5   2243    0.2 1970   10/27/2009   10/26/2009   Single Family Residence
3947 W Wonderview Rd Phoenix          AZ   85019 145-27-559     Maricopa   Leonora G Calvin                               3947 W Wonderview Rd         Phoenix      AZ   85019          1   1005    0.1 1972   10/27/2009   10/26/2009   Condominium
3928 E Sahuaro Dr        Phoenix      AZ   85028 166-45-068     Maricopa   Jair Leon                                      3928 E Sahuaro Dr            Phoenix      AZ   85028          2   1192   0.15 1961   10/27/2009   10/26/2009   Single Family Residence
3830 E Lakewood Pkwy 2141Phoenix      AZ   85048 306-04-457     Maricopa   Jonathan Mamat                                 3830 E Lakewood Pkwy 2141 Phoenix         AZ   85048          6    997   0.02 1995   10/27/2009   10/26/2009   Other
383 N Newport St         Chandler     AZ   85225 310-07-209     Maricopa   Williams Lester                                383 N Newport St             Chandler     AZ   85225        3.5   1876   0.13 1997   10/27/2009   10/26/2009   Single Family Residence
3819 W Columbine Dr      Phoenix      AZ   85029 149-31-129     Maricopa   Amy Larimore                                   3819 W Columbine Dr          Phoenix      AZ   85029          2   1376   0.15 1971   10/27/2009   10/26/2009   Single Family Residence
3802 E Dahlia Dr         Phoenix      AZ   85032 166-56-388     Maricopa   Heather Warner                                 7046 E Paradise Dr           Scottsdale   AZ   85254          2   1533   0.13 1978   10/27/2009   10/26/2009   Single Family Residence
3743 N 103rd Dr          Avondale     AZ   85392 102-27-629     Maricopa   Garry Wedlow                                   3743 N 103rd Dr              Avondale     AZ   85392       2.75   3046   0.18 1999   10/27/2009   10/26/2009   Single Family Residence
3736 S 72nd Ln           Phoenix      AZ   85043 104-55-333     Maricopa   Katherine Joshua Slavik      (623) 242-9224    3736 S 72nd Ln               Phoenix      AZ   85043              1551   0.22 2006   10/27/2009   10/26/2009   Single Family Residence
3620 N 60th Ave          Phoenix      AZ   85033 103-04-215     Maricopa   Wenceslaoruiz Romero                           3620 N 60th Ave              Phoenix      AZ   85033          2   1930   0.14 1972   10/27/2009   10/26/2009   Single Family Residence
3605 W Bethany Home Rd 27Phoenix      AZ   85019 145-10-148     Maricopa   Humberto Olivia Valdez                         3605 W Bethany Home Rd Unit 27
                                                                                                                                                       Phoenix      AZ   85019       1.75   1200   0.01 1974   10/27/2009   10/26/2009   Condominium
3605 W Bethany Home Rd 23Phoenix      AZ   85019 145-10-144     Maricopa   Humberto Olivia Valdez                         3605 W Bethany Home Rd Unit 23
                                                                                                                                                       Phoenix      AZ   85019       1.75   1200   0.01 1974   10/27/2009   10/26/2009   Condominium
3600 N Hayden Rd 2602 Scottsdale      AZ   85251 130-28-513     Maricopa   James Hopewell                                 3600 N Hayden Rd Unit 2602 Scottsdale     AZ   85251          3    934   0.02 1979   10/27/2009   10/26/2009   Condominium
35915 N 34th Ln          Anthem       AZ   85086 203-27-208--   Maricopa   Ford Marie                                     35915 N 34th Ln              Anthem       AZ   85086         14   3376   0.13 2004   10/27/2009   10/26/2009   Single Family Residence
3537 W Hadley St         Phoenix      AZ   85009 106-25-023     Maricopa   Eduardo Galaz                (602) 455-8663    3537 W Hadley St             Phoenix      AZ   85009          6   1500   0.12 1954   10/27/2009   10/26/2009   Single Family Residence
3424 W Hidalgo Ave       Phoenix      AZ   85041 105-68-060     Maricopa   Kenneth Buettgen                               3424 W Hidalgo Ave           Phoenix      AZ   85041   3      2   1601   0.11 2005   10/27/2009   10/26/2009   Single Family Residence
3423 N 34th Pl           Phoenix      AZ   85018 127-28-032     Maricopa   Benson Henry                 (602) 956-1371    3423 N 34th Pl               Phoenix      AZ   85018          2   1899   0.25 1950   10/27/2009   10/26/2009   Single Family Residence
3422 N 12th Pl           Phoenix      AZ   85014 118-08-137     Maricopa   Guido Rodriguez                                3422 N 12th Pl               Phoenix      AZ   85014   2      2    970   0.15 1983   10/27/2009   10/26/2009   Multi-unit
3307 N 62nd Dr           Phoenix      AZ   85033 103-47-105     Maricopa   Branden Castaneda            (602) 909-6506    3307 N 62nd Dr               Phoenix      AZ   85033   3   1.75   1329   0.16 1961   10/27/2009   10/26/2009   Single Family Residence
3221 W Jefferson St      Phoenix      AZ   85009 109-40-059     Maricopa   Jose Jammie Ibarra                             3221 W Jefferson St          Phoenix      AZ   85009              2199   0.16 1933   10/27/2009   10/26/2009   Duplex
307 E Milada Dr          Phoenix      AZ   85042 300-45-368     Maricopa   Lorenzo Natividad Tovar                        307 E Milada Dr              Phoenix      AZ   85042        2.5   1756   0.12 2002   10/27/2009   10/26/2009   Single Family Residence
3047 N 89th Ave          Phoenix      AZ   85037 102-73-167     Maricopa   Esmeralda Miguel Hernandez   (623) 877-0062    3047 N 89th Ave              Phoenix      AZ   85037          3   1062   0.13 1975   10/27/2009   10/26/2009   Single Family Residence
3021 W Greenway Rd       Phoenix      AZ   85053 207-34-144     Maricopa   Farzad Parvaneh Janfaza                        3021 W Greenway Rd           Phoenix      AZ   85053          2   1024   0.15 1970   10/27/2009   10/26/2009   Single Family Residence
3017 W Irma Ln           Phoenix      AZ   85027 206-08-112     Maricopa   Pace Tucker                  (623) 879-9125    3017 W Irma Ln               Phoenix      AZ   85027          2   1056   0.08 1982   10/27/2009   10/26/2009   Single Family Residence
3017 S 81st Ave          Phoenix      AZ   85043 104-53-252     Maricopa   Miguel Vasquez                                 3017 S 81st Ave              Phoenix      AZ   85043   3      2   1100      1 1961   10/27/2009   10/26/2009   Single Family Residence
3011 W Roma Ave          Phoenix      AZ   85017 154-20-136     Maricopa   Gutierrez Alonso             (602) 973-8671    3011 W Roma Ave              Phoenix      AZ   85017          1   1141   0.13 1954   10/27/2009   10/26/2009   Single Family Residence
3001 W Muriel Dr         Phoenix      AZ   85053 207-04-137     Maricopa   Rodriguez Rrosa                                3001 W Muriel Dr             Phoenix      AZ   85053          6   1209   0.17 1976   10/27/2009   10/26/2009   Single Family Residence
2992 E Union Hills Dr    Phoenix      AZ   85050 213-16-037-a   Maricopa   Craig Bowman                                   2992 E Union Hills Dr        Phoenix      AZ   85050       1.75   1183   0.18 1964   10/27/2009   10/26/2009   Single Family Residence
2954 N 143rd Ln          Goodyear     AZ   85395 501-76-629     Maricopa   Nathan Lucca                 (623) 547-1979    2954 N 143rd Ln              Goodyear     AZ   85395   4      2   2403   0.22 2004   10/27/2009   10/26/2009   Single Family Residence
2947 W St Moritz Ln      Phoenix      AZ   85053 207-35-035     Maricopa   Jesus Espinoza               (602) 298-0107    2947 W Saint Moritz Ln       Phoenix      AZ   85053          2   1269   0.15 1960   10/27/2009   10/26/2009   Single Family Residence
2925 E Brill St          Phoenix      AZ   85008 121-74-020     Maricopa   Hernandez Daniel                               2925 E Brill St              Phoenix      AZ   85008          1   1268   0.16 1950   10/27/2009   10/26/2009   Single Family Residence
2916 N 111th Ln          Avondale     AZ   85392 102-86-673     Maricopa   Michael Strawn               (623) 877-9586    2916 N 111th Ln              Avondale     AZ   85392          3   2300   0.18 1997   10/27/2009   10/26/2009   Single Family Residence
2861 E Ranch Ct          Gilbert      AZ   85296 309-15-251     Maricopa   Steven J Wheeler                               2861 E Ranch Ct              Gilbert      AZ   85296          3   2361   0.19 1999   10/27/2009   10/26/2009   Single Family Residence
27421 N Covered Wagon Rd Phoenix      AZ   85085 210-20-146     Maricopa   Denise David L Nickerson     (417) 714-4601    847 E Grafton Dr             Nixa         MO   65714         14   4464   0.23 2006   10/27/2009   10/26/2009   Single Family Residence
2711 E Schiliro Cir      Phoenix      AZ   85032 214-04-087     Maricopa   Lisa A Noble                 (602) 867-0388    2711 E Schiliro Cir          Phoenix      AZ   85032          9   1618   0.05 2003   10/27/2009   10/26/2009   Condominium
271 E Ashurst Dr         Phoenix      AZ   85048 300-95-584     Maricopa   Annette Oleary                                 9450 W Cabela Dr Unit 1118 Glendale       AZ   85305          4   2694   0.11 1994   10/27/2009   10/26/2009   Single Family Residence
2654 E Beryl Ave         Phoenix      AZ   85028 165-05-146     Maricopa   Jana Jones                                     2654 E Beryl Ave             Phoenix      AZ   85028        2.5   1949   0.25 1970   10/27/2009   10/26/2009   Single Family Residence
2651 S Santa Anna St     Chandler     AZ   85286 303-36-094     Maricopa   Michael Rorman                                 2651 S Santa Anna St         Chandler     AZ   85286          7   1385   0.11 1996   10/27/2009   10/26/2009   Single Family Residence
264 N Starboard Dr       Gilbert      AZ   85234 309-01-450     Maricopa   Stern Kathy                                    264 N Starboard Dr           Gilbert      AZ   85234          9   1975   0.29 1993   10/27/2009   10/26/2009   Single Family Residence
2504 E Monterosa St      Phoenix      AZ   85016 163-06-054     Maricopa   Dennis Bloomquist                              2504 E Monterosa St          Phoenix      AZ   85016          2   2244   0.18 1950   10/27/2009   10/26/2009   Single Family Residence




                                                                                                                                         Page 17
Pre-foreclosure List
                                                                                                                               Maricopa County Week Ending 11/2

25024 W Illini St          Buckeye         AZ   85326 504-24-031     Maricopa   Richard Medina                                  25024 W Illini St             Buckeye            AZ   85326         8    2198   0.12 2005   10/27/2009   10/26/2009   Single Family Residence
2502 E Greenway Rd         Phoenix         AZ   85032 214-40-009-c   Maricopa   David L Winston                                 2502 E Greenway Rd            Phoenix            AZ   85032                     0.82        10/27/2009   10/26/2009   Other
2460 W Pecos Ave           Mesa            AZ   85202 302-05-597     Maricopa   Frank Carolyn J Schoenhardt   (480) 250-5983    2460 W Pecos Ave              Mesa               AZ   85202   4      2   2016   0.16 1978   10/27/2009   10/26/2009   Single Family Residence
2320 W Orange Dr           Phoenix         AZ   85015 153-26-014     Maricopa   Jose Liset M Gomez            (623) 203-3807    2320 W Orange Dr              Phoenix            AZ   85015          1   1192   0.19 1948   10/27/2009   10/26/2009   Single Family Residence
2311 W Night Owl Ln        Phoenix         AZ   85085 204-01-074     Maricopa   William Wilder                (623) 581-1934    2311 W Night Owl Ln           Phoenix            AZ   85085         14   4464   0.21 2003   10/27/2009   10/26/2009   Single Family Residence
22936 W Gardenia Dr        Buckeye         AZ   85326 504-21-821     Maricopa   Emily Eversole                                  22936 W Gardenia Dr           Buckeye            AZ   85326          6   1635   0.16 2005   10/27/2009   10/26/2009   Single Family Residence
2278 E Alpine Ave          Mesa            AZ   85204 140-25-095     Maricopa   Jonathan Martinez                               2278 E Alpine Ave             Mesa               AZ   85204          1    816   0.12 1962   10/27/2009   10/26/2009   Single Family Residence
22509 S 173rd Wy           Gilbert         AZ   85298 304-69-073-k   Maricopa   Curtis Keesler                                  22509 S 173rd Way             Gilbert            AZ   85298         15   4449   0.91 2002   10/27/2009   10/26/2009   Single Family Residence
2250 E Deer Valley Rd 64   Phoenix         AZ   85024 213-32-333     Maricopa   Nicolas Z Kadzielawski                          2250 E Deer Valley Rd Unit 64 Phoenix            AZ   85024          8   1467   0.03 2005   10/27/2009   10/26/2009   Condominium
2230 W Charter Oak Rd      Phoenix         AZ   85029 149-04-136     Maricopa   Scott K Moulton               (602) 371-8567    2230 W Charter Oak Rd         Phoenix            AZ   85029          2   1293   0.13 1971   10/27/2009   10/26/2009   Single Family Residence
2227 S Saratoga            Mesa            AZ   85202 305-04-137     Maricopa   Leah Holt                     (480) 726-7249    2227 S Saratoga               Mesa               AZ   85202       2.75   2240   0.19 1976   10/27/2009   10/26/2009   Single Family Residence
2212 W White Spar Rd       Phoenix         AZ   85087 202-06-116     Maricopa   David Lindemeyer                                2212 W White Spar Rd          Phoenix            AZ   85087   4      4   3165   4.36 1997   10/27/2009   10/26/2009   Single Family Residence
21592 E Bonanza Ct         Chandler HeightsAZ   85242 304-66-488     Maricopa   Michelle Rangel                                 21592 E Bonanza Ct            Chandler Heights   AZ   85142         10   2194    0.2 2008   10/27/2009   10/26/2009   Other
2139 S Canfield 41         Mesa            AZ   85209 312-11-469     Maricopa   Mark Cohen                    (301) 802-3436    2139 S Canfield Unit 41       Mesa               AZ   85209         14   3699    0.2 2004   10/27/2009   10/26/2009   Other
213 E Milada Dr            Phoenix         AZ   85042 300-45-363     Maricopa   Andrew M Mudryk                                 213 E Milada Dr               Phoenix            AZ   85042   2      2   1386   0.14 2003   10/27/2009   10/26/2009   Single Family Residence
2111 W Maple Dr            Phoenix         AZ   85027 209-14-467     Maricopa   Almeron Rappold                                 2111 W Maple Dr               Phoenix            AZ   85027          2   1539   0.18 1977   10/27/2009   10/26/2009   Single Family Residence
202 S Hill                 Mesa            AZ   85204 138-01-073     Maricopa   Jerry Christina Mccomb                          202 S Hill                    Mesa               AZ   85204          6   1600    0.2 1965   10/27/2009   10/26/2009   Other
19825 N 14th St            Phoenix         AZ   85024 213-23-521     Maricopa   Rafael Toni Miranda           (623) 243-9602    19825 N 14th St               Phoenix            AZ   85024   5      3   2646   0.16 2001   10/27/2009   10/26/2009   Single Family Residence
19814 E Thornton Rd        Chandler HeightsAZ   85242 314-04-340     Maricopa   Ivett Bonillas                                  19814 E Thornton Rd           Chandler Heights   AZ   85142         11   2307   0.11 2007   10/27/2009   10/26/2009   Single Family Residence
19789 S 190th Dr           Chandler HeightsAZ   85242 314-05-250     Maricopa   Andrew Goldberg                                 19789 S 190th Dr              Chandler Heights   AZ   85142   7    4.5   4313   0.23 2005   10/27/2009   10/26/2009   Single Family Residence
18898 E Kingbird Dr        Chandler HeightsAZ   85242 314-05-440     Maricopa   Anand Chavan                                    18898 E Kingbird Dr           Chandler Heights   AZ   85142   5      3   2545   0.18 2005   10/27/2009   10/26/2009   Single Family Residence
18661 N 70th Dr            Glendale        AZ   85308 200-29-919     Maricopa   Kori L Mcintyre                                 18661 N 70th Dr               Glendale           AZ   85308       2.75   2269   0.12 1986   10/27/2009   10/26/2009   Single Family Residence
1825 E Brill St            Phoenix         AZ   85006 116-13-019     Maricopa   Armando Bustos                                  1825 E Brill St               Phoenix            AZ   85006          1    819   0.14 1944   10/27/2009   10/26/2009   Single Family Residence
17625 N 7th St 2028        Phoenix         AZ   85022 214-13-364     Maricopa   Amy Timmons                                     17625 N 7th St Unit 2028      Phoenix            AZ   85022          3    656   0.01 2007   10/27/2009   10/26/2009   Condominium
1756 E Hope St             Mesa            AZ   85203 136-27-645     Maricopa   Todd Stevens                                    1756 E Hope St                Mesa               AZ   85203       1.75   2251     10 1976   10/27/2009   10/26/2009   Single Family Residence
1750 E Carson Rd           Phoenix         AZ   85042 122-93-161     Maricopa   Rodalfoespinoza Cervantes                       2302 E Alta Vista Rd          Phoenix            AZ   85042        2.5   1375    0.1 1988   10/27/2009   10/26/2009   Single Family Residence
17463 W Ventura St         Surprise        AZ   85388 502-87-462     Maricopa   Adam Natalia Villalobos                         17463 W Ventura St            Surprise           AZ   85388          6   1265   0.12 2004   10/27/2009   10/26/2009   Single Family Residence
1743 E Jacinto Ave         Mesa            AZ   85204 139-09-464     Maricopa   John Griffin Jr               (480) 688-4665    1743 E Jacinto Cir            Mesa               AZ   85204          6   1026    0.1 1985   10/27/2009   10/26/2009   Other
1664 W Crescent Ave        Mesa            AZ   85202 134-29-151     Maricopa   Aldo Castro                   (480) 464-4328    1664 W Crescent Ave           Mesa               AZ   85202          2   1760   0.14 1968   10/27/2009   10/26/2009   Single Family Residence
1649 W Grovers Ave         Phoenix         AZ   85023 208-08-218-a   Maricopa   Martinez Sixta                                  1649 W Grovers Ave            Phoenix            AZ   85023          1   1217   0.16 1981   10/27/2009   10/26/2009   Single Family Residence
16338 W Hilton Ave         Goodyear        AZ   85338 500-06-183     Maricopa   Mark Hoole                                      16338 W Hilton Ave            Goodyear           AZ   85338   6    4.5   5192   0.89 2005   10/27/2009   10/26/2009   Single Family Residence
15866 W Tara Ln            Sun City        AZ   85374 501-93-665     Maricopa   Robert Gladis                                   30361 W Verde Ln              Buckeye            AZ   85396          2   1668   0.11 2001   10/27/2009   10/26/2009   Single Family Residence
15806 W Madison St         Goodyear        AZ   85338 500-88-369     Maricopa   Kec Development Llc                             15806 W Madison St            Goodyear           AZ   85338          2   1591   0.12 2000   10/27/2009   10/26/2009   Single Family Residence
1563 S Danielson Wy        Chandler        AZ   85286 303-30-607     Maricopa   Efrainalvarez Medina                            1563 S Danielson Way          Chandler           AZ   85286          2   1373   0.08 2000   10/27/2009   10/26/2009   Single Family Residence
15437 W Shangrila Rd       Sun City        AZ   85379 501-96-691     Maricopa   Alfred A Munoz                                  15437 W Shangri La Rd         Sun City           AZ   85379          8   1688   0.11 2004   10/27/2009   10/26/2009   Single Family Residence
15368 W Yucatan St         Sun City        AZ   85379 501-96-757     Maricopa   Aykush Movsisyan                                15368 W Yucatan Dr            Sun City           AZ   85379          8   2536   0.21 2005   10/27/2009   10/26/2009   Single Family Residence
15354 W Windsor Ave        Goodyear        AZ   85395 508-14-320     Maricopa   Karol Foltynski                                 1181 Bay Ridge Ave            Brooklyn           NY   11219   3      2   1870   0.13 2006   10/27/2009   10/26/2009   Single Family Residence
15007 S 8th St             Phoenix         AZ   85048 300-94-377     Maricopa   Robert J Crean                (480) 460-4972    15007 S 8th St                Phoenix            AZ   85048          4   2627   0.15 1994   10/27/2009   10/26/2009   Single Family Residence
14926 N 132nd Ln           Sun City        AZ   85379 501-94-299     Maricopa   Cortez Luisdiana                                14926 N 132nd Ln              Sun City           AZ   85379        2.5   1600   0.11 2001   10/27/2009   10/26/2009   Single Family Residence
14817 W Redfield Rd        Sun City        AZ   85379 509-02-525     Maricopa   Carmen G Moreno                                 14817 W Redfield Rd           Sun City           AZ   85379          2   1062   0.12 2002   10/27/2009   10/26/2009   Single Family Residence
14800 N 129th Ave          El Mirage       AZ   85335 509-13-618     Maricopa   William Rineer                (623) 933-1738    14800 N 129th Ave             El Mirage          AZ   85335   4      3   3086   0.16 2004   10/27/2009   10/26/2009   Single Family Residence
14409 N 50th Ave           Glendale        AZ   85306 207-33-293     Maricopa   Johnlubash Whitley            (602) 214-7862    14409 N 50th Ave              Glendale           AZ   85306   2      2   1073    0.1 1984   10/27/2009   10/26/2009   Single Family Residence
14212 N 144th Ln           Sun City        AZ   85379 509-03-450     Maricopa   Joshua Koerner                                  14212 N 144th Ln              Sun City           AZ   85379         10   3300   0.15 2004   10/27/2009   10/26/2009   Single Family Residence
14208 W Larkspur Dr        Sun City        AZ   85379 509-14-850     Maricopa   Ryan Cheeseman                                  2841 Louisa Washington Rd Columbus Junction      IA   52738          8   1885   0.12 2006   10/27/2009   10/26/2009   Single Family Residence
14154 W Shaw Butte Dr      Sun City        AZ   85379 501-96-915     Maricopa   Anthony Porumb                                  14154 W Shaw Butte Dr         Sun City           AZ   85379         10   2524   0.19 2005   10/27/2009   10/26/2009   Single Family Residence
1409 W Villa Rita Dr       Phoenix         AZ   85023 208-03-428     Maricopa   Raphael J Avakian                               1409 W Villa Rita Dr          Phoenix            AZ   85023       2.75   1539   0.12 1994   10/27/2009   10/26/2009   Single Family Residence
13979 N 136th Dr           Sun City        AZ   85379 509-16-063     Maricopa   Yvonne T Tran                                   13979 N 136th Dr              Sun City           AZ   85379         11   3414   0.16 2004   10/27/2009   10/26/2009   Single Family Residence
13541 W Holly St           Goodyear        AZ   85395 501-98-258     Maricopa   Mary Duteau                   (623) 935-7977    13541 W Holly St              Goodyear           AZ   85395       2.75   2113   0.15 2000   10/27/2009   10/26/2009   Single Family Residence
1351 W Plata Ave           Mesa            AZ   85202 302-06-076     Maricopa   Enrique Stiles                                  1351 W Plata Ave              Mesa               AZ   85202          2   1430   0.14 1978   10/27/2009   10/26/2009   Single Family Residence
1331 E Betsy Ln            Gilbert         AZ   85296 309-17-017     Maricopa   Sylvia T Fitu                                   1331 E Betsy Ln               Gilbert            AZ   85296        3.5   2182   0.13 1998   10/27/2009   10/26/2009   Single Family Residence
1330 E Coronado Rd         Phoenix         AZ   85006 117-24-010     Maricopa   Maat Spencer                  (602) 254-3038    1330 E Coronado Rd            Phoenix            AZ   85006          1    984   0.12 1939   10/27/2009   10/26/2009   Single Family Residence
1321 W Canary Wy           Chandler        AZ   85286 303-35-202     Maricopa   John Turner                   (480) 899-4188    1321 W Canary Way             Chandler           AZ   85286       2.75   1539   0.14 1995   10/27/2009   10/26/2009   Single Family Residence
13026 N 55th Dr            Glendale        AZ   85304 200-39-108     Maricopa   Jason Langley                 (623) 594-9907    5010 W Lariat Ln              Phoenix            AZ   85083          2   1169   0.15 1983   10/27/2009   10/26/2009   Single Family Residence
13024 N 154th Ln           Sun City        AZ   85379 509-14-672     Maricopa   David Havel                                     13024 N 154th Ln              Sun City           AZ   85379         11   3318   0.18 2006   10/27/2009   10/26/2009   Single Family Residence
13020 N 55th Dr            Glendale        AZ   85304 200-39-109     Maricopa   Price Spencer                 (602) 896-8866    13020 N 55th Dr               Glendale           AZ   85304          2   1428   0.18 1983   10/27/2009   10/26/2009   Single Family Residence
12708 W Lewis Ave          Avondale        AZ   85392 501-88-642     Maricopa   Thomas Eleonora Pollio                          2424 W Wildhorse Dr           Chandler           AZ   85286   3      2   2277   0.16 1997   10/27/2009   10/26/2009   Single Family Residence
12610 W Cherry Hills Dr    El Mirage       AZ   85335 501-44-650     Maricopa   Sergio Javier Arroyo                            12610 W Cherry Hills Dr       El Mirage          AZ   85335       2.75   1385    0.1 2001   10/27/2009   10/26/2009   Single Family Residence




                                                                                                                                              Page 18
Pre-foreclosure List
                                                                                                                       Maricopa County Week Ending 11/2

1220 E San Angelo Ave     Gilbert      AZ   85234 304-96-814     Maricopa   Pedro Rivera              (480) 306-5313    2556 E Lowell Ct          Gilbert      AZ   85295        2.5   1784   0.13 1988   10/27/2009   10/26/2009   Single Family Residence
11979 E Christopher Ln    Scottsdale   AZ   85255 217-55-481     Maricopa   Carl A Blunt              (480) 502-3669    11979 E Christopher Ln    Scottsdale   AZ   85255       4.75   3421   0.45 1996   10/27/2009   10/26/2009   Single Family Residence
1192 N Bogle Ave          Chandler     AZ   85225 310-06-094     Maricopa   Kristie J Wenz                              1192 N Bogle Ave          Chandler     AZ   85225   3   2.75   1528   0.11 1995   10/27/2009   10/26/2009   Single Family Residence
1187 S Emmett Dr          Chandler     AZ   85286 303-30-924     Maricopa   Michelle Hayes                              1973 E Palomino Dr        Tempe        AZ   85284          9   1757   0.07 2005   10/27/2009   10/26/2009   Single Family Residence
11818 W Foothill Dr       Sun City     AZ   85373 503-88-123     Maricopa   Christopher Donevski                        11818 W Foothill Dr       Sun City     AZ   85373          8   2466   0.11 2006   10/27/2009   10/26/2009   Single Family Residence
11331 W Diana Ave         Peoria       AZ   85345 142-73-737     Maricopa   Miller Jtina              (623) 875-8234    11331 W Diana Ave         Peoria       AZ   85345          2   1644    0.1 1997   10/27/2009   10/26/2009   Single Family Residence
1123 E Thunderhill Pl     Phoenix      AZ   85048 300-97-221     Maricopa   Martin A Gordon           (480) 283-1177    1123 E Thunderhill Pl     Phoenix      AZ   85048   4    3.5   3569   0.27 1997   10/27/2009   10/26/2009   Single Family Residence
11202 W Cambridge Ave     Avondale     AZ   85392 102-29-851     Maricopa   Bradley Dupen             (623) 478-9289    11202 W Cambridge Ave     Avondale     AZ   85392       2.75   2313   0.21 2001   10/27/2009   10/26/2009   Single Family Residence
11008 W Hayward Ave       Glendale     AZ   85307 142-75-419     Maricopa   Melody A Bowdell                            11008 W Hayward Ave       Glendale     AZ   85307   3      2   1322   0.12 1999   10/27/2009   10/26/2009   Single Family Residence
10812 W Monte Vista Rd    Avondale     AZ   85392 102-30-078     Maricopa   Denise A Pritt                              10812 W Monte Vista Rd    Avondale     AZ   85392        3.5   1674    0.1 1999   10/27/2009   10/26/2009   Single Family Residence
10657 W Adela Dr          Peoria       AZ   85383 200-10-553     Maricopa   Shayne Catrone                              10657 W Adela Dr          Peoria       AZ   85383       2.75   2615   0.18 2001   10/27/2009   10/26/2009   Single Family Residence
10655 E Forge Ave         Mesa         AZ   85208 220-71-246     Maricopa   Monica Mariani                              10655 E Forge Ave         Mesa         AZ   85208        2.5   1627   0.14 1999   10/27/2009   10/26/2009   Single Family Residence
10644 N 15th Ave          Phoenix      AZ   85029 159-14-026     Maricopa   Curtis W Froelich                           10644 N 15th Ave          Phoenix      AZ   85029          3   1240   0.48 1945   10/27/2009   10/26/2009   Single Family Residence
10616 E Balmoral Ave      Mesa         AZ   85208 220-53-290     Maricopa   Sullivan Dmyra                              10616 E Balmoral Ave      Mesa         AZ   85208          9   3161   0.13 1998   10/27/2009   10/26/2009   Other
10530 W San Miguel Ave    Glendale     AZ   85307 102-16-317     Maricopa   Ramon Araceli Ramirez                       18372 W Capistrano Ave    Goodyear     AZ   85338        2.5   1472   0.56 1993   10/27/2009   10/26/2009   Single Family Residence
10520 E Firewheel Dr      Scottsdale   AZ   85255 217-17-539     Maricopa   Russell S Fisher                            18815 N 91st Pl           Scottsdale   AZ   85255       2.75   1972   0.12 1997   10/27/2009   10/26/2009   Single Family Residence
10489 E Palo Brea Dr      Scottsdale   AZ   85262 219-56-332     Maricopa   Julio L Ordonez                             10489 E Palo Brea Dr      Scottsdale   AZ   85262         18   3905   0.72 2000   10/27/2009   10/26/2009   Single Family Residence
10426 W Orchid Ln         Peoria       AZ   85345 142-61-392     Maricopa   Christopher Morris        (623) 972-5312    10426 W Orchid Ln         Peoria       AZ   85345          7   1707   0.15 1978   10/27/2009   10/26/2009   Other
10337 W Campbell Ave      Phoenix      AZ   85037 102-17-454     Maricopa   Daryl Mccauley            (602) 625-2700    10337 W Campbell Ave      Phoenix      AZ   85037   3      2   1425   0.12 1977   10/27/2009   10/26/2009   Single Family Residence
10286 E Bella Vista       Scottsdale   AZ   85258 217-35-640     Maricopa   Gary W Nicholas                             10286 E Bella Vista Dr    Scottsdale   AZ   85258       3.75   2174    0.2 1984   10/27/2009   10/26/2009   Single Family Residence
1015 E Redfield Rd        Guadalupe    AZ   85283 301-48-574-a   Maricopa   Arconia II Llc                              1015 E Redfield Rd        Guadalupe    AZ   85283   3      2   1035   0.02 1974   10/27/2009   10/26/2009   Condominium
10034 E Lomita Ave        Mesa         AZ   85209 312-11-925     Maricopa   Mary Revocable                              10034 E Lomita Ave        Mesa         AZ   85209          9   2350   0.15 2004   10/27/2009   10/26/2009   Single Family Residence
10028 E Mirabel Club Dr   Scottsdale   AZ   85262 219-62-442     Maricopa   Ranjana Patel                               10028 E Mirabel Club Dr   Scottsdale   AZ   85262         18   5383   0.94 2009   10/27/2009   10/26/2009   Single Family Residence
10025 W Winslow Ave       Tolleson     AZ   85353 101-25-613     Maricopa   Lopez Stephanie                             10025 W Winslow Ave       Tolleson     AZ   85353         11   1631   0.08 2006   10/27/2009   10/26/2009   Single Family Residence
10013 W Albeniz Pl        Tolleson     AZ   85353 101-28-590     Maricopa   Wilfredo Ayala            (623) 256-6172    10013 W Albeniz Pl        Tolleson     AZ   85353          7   1953   0.14 2008   10/27/2009   10/26/2009   Single Family Residence
6846 W Coolidge St        Phoenix      AZ   85033 144-79-013     Maricopa   Zenaida Felix                               6846 W Coolidge St        Phoenix      AZ   85033       1.75   1154   0.12 1960   10/26/2009   10/23/2009   Single Family Residence
8520 W Palm Ln 1055       Phoenix      AZ   85037 102-36-793     Maricopa   Zanndra D Castillo                          8334 W Monte Vista Rd     Phoenix      AZ   85037        2.5   1320   0.05 1987   10/26/2009   10/23/2009   Single Family Residence
3745 E Diamond Ave        Mesa         AZ   85206 140-38-127     Maricopa   Zacharaih L Gross         (480) 363-7155    3745 E Diamond Ave        Mesa         AZ   85206        2.5   1455   0.26 1984   10/26/2009   10/23/2009   Single Family Residence
6220 E Phelps Rd          Phoenix      AZ   85254 215-79-125     Maricopa   Yvette N Banker                             6220 E Phelps Rd          Scottsdale   AZ   85254          9   2059   0.16 1968   10/26/2009   10/23/2009   Mobile Home
16474 W Sandra Ln         Sun City     AZ   85388 509-04-588     Maricopa   Yost Iiirichard Jr                          16474 W Sandra Ln         Surprise     AZ   85388          8   1728   0.14 2003   10/26/2009   10/23/2009   Single Family Residence
1121 S Bedford Pl         Chandler     AZ   85286 303-29-079     Maricopa   Yeung Kmay                (480) 917-0918    1121 S Bedford Pl         Chandler     AZ   85286        3.5   2886   0.18 2002   10/26/2009   10/23/2009   Single Family Residence
2103 E Fremont Dr         Tempe        AZ   85282 133-35-254     Maricopa   Yanna Nou                                   2103 E Fremont Dr         Tempe        AZ   85282          2   1599   0.18 1972   10/26/2009   10/23/2009   Single Family Residence
1233 E Angela Dr          Phoenix      AZ   85022 214-14-460     Maricopa   Yakub Aminov                                1233 E Angela Dr          Phoenix      AZ   85022          3   1593   0.08 1994   10/26/2009   10/23/2009   Single Family Residence
3157 E Verbena Dr         Phoenix      AZ   85048 306-05-140     Maricopa   World Empire Llc                            3157 E Verbena Dr         Phoenix      AZ   85048       2.75   2203   0.23 1993   10/26/2009   10/23/2009   Single Family Residence
1173 S Penrose Dr         Gilbert      AZ   85296 304-27-627     Maricopa   Woodrow Shirley Owens     (480) 545-0857    1173 S Penrose Dr         Gilbert      AZ   85296              2410   0.17 1997   10/26/2009   10/23/2009   Single Family Residence
8615 W Columbine Dr       Peoria       AZ   85381 200-79-144     Maricopa   Woodford Scott                              8615 W Columbine Dr       Peoria       AZ   85381          6   1637   0.17 1984   10/26/2009   10/23/2009   Single Family Residence
15007 N 28th Ave          Phoenix      AZ   85053 207-06-066     Maricopa   Willow Investments Llc                      15007 N 28th Ave          Phoenix      AZ   85053   3    1.5   1624   0.12 1971   10/26/2009   10/23/2009   Single Family Residence
3716 S Country Club Wy    Tempe        AZ   85282 133-36-261     Maricopa   William W Kile            (480) 994-9670    3716 S Country Club Way   Tempe        AZ   85282          2   1466   0.17 1969   10/26/2009   10/23/2009   Single Family Residence
3445 N 301st Dr           Buckeye      AZ   85396 504-74-507     Maricopa   Wilder Edward                               3445 N 301st Dr           Buckeye      AZ   85396        10    3120   0.15 2006   10/26/2009   10/23/2009   Single Family Residence
12737 W Rosewood Dr       El Mirage    AZ   85335 509-09-283     Maricopa   Wang Jung                                   12737 W Rosewood Dr       El Mirage    AZ   85335          4   2232   0.14 2002   10/26/2009   10/23/2009   Single Family Residence
2017 W Carol Ann Wy       Phoenix      AZ   85023 208-35-367     Maricopa   W Family                                    2017 W Carol Ann Way      Phoenix      AZ   85023   4      2   2037    0.1 1998   10/26/2009   10/23/2009   Single Family Residence
15461 N 30th Ave          Phoenix      AZ   85053 207-39-266     Maricopa   Virgil Reeves             (602) 296-5827    15461 N 30th Ave          Phoenix      AZ   85053          2   2356   0.17 1979   10/26/2009   10/23/2009   Single Family Residence
15217 N 15th Dr           Phoenix      AZ   85023 208-16-235     Maricopa   Vincent Burr                                15217 N 15th Dr           Phoenix      AZ   85023          4   9094   0.45 2007   10/26/2009   10/23/2009   Single Family Residence
195 N 237th Ave           Buckeye      AZ   85396 504-23-207     Maricopa   Verne Bauman                                20425 W Terrace Ln        Buckeye      AZ   85396          9   2498   0.16 2006   10/26/2009   10/23/2009   Single Family Residence
8337 E Turney Ave         Scottsdale   AZ   85251 173-58-104     Maricopa   Vanda D Hale                                8337 E Turney Ave         Scottsdale   AZ   85251          2   1416   0.15 1959   10/26/2009   10/23/2009   Single Family Residence
8733 W Cordes Rd          Tolleson     AZ   85353 101-56-578     Maricopa   Valenzuela Teresapaloma                     8733 W Cordes Rd          Tolleson     AZ   85353        10    1822    0.1 2006   10/26/2009   10/23/2009   Single Family Residence
3421 S Camellia Pl        Sun Lakes    AZ   85248 303-40-291     Maricopa   Trust I Ddb                                 3421 S Camellia Pl        Sun Lakes    AZ   85248        15    5270   0.26 2002   10/26/2009   10/23/2009   Single Family Residence
11762 W Mauna Loa Ln      El Mirage    AZ   85335 501-25-228     Maricopa   Torres Amoises Jr                           11762 W Mauna Loa Ln      El Mirage    AZ   85335          6   1642   0.11 2005   10/26/2009   10/23/2009   Single Family Residence
2041 E Finley St          Gilbert      AZ   85296 304-21-574     Maricopa   Timothy Nguyen                              5205 Creekside Rd         Camarillo    CA   93012        13    3306   0.28 1998   10/26/2009   10/23/2009   Single Family Residence
6850 S 27th Pl            Phoenix      AZ   85042 122-96-302     Maricopa   Timothy Lynn Morris       (602) 243-6115    6850 S 27th Pl            Phoenix      AZ   85042   3      2   1869   0.15 2001   10/26/2009   10/23/2009   Single Family Residence
8908 W Hatcher Rd         Peoria       AZ   85345 142 89-269     Maricopa   Timothy Fridelle          (623) 236-9588    8908 W Hatcher Rd         Peoria       AZ   85345          2   1456   0.16 1985   10/26/2009   10/23/2009   Single Family Residence
1292 S 222nd Ln           Buckeye      AZ   85326 504-60-811     Maricopa   Tiffany Manfredi          (623) 332-7406    1292 S 222nd Ln           Buckeye      AZ   85326          7   2002   0.11 2005   10/26/2009   10/22/2009   Single Family Residence
20961 N 96th Dr           Peoria       AZ   85382 200-15-661     Maricopa   Thomas Hulstrom                             20961 N 96th Dr           Peoria       AZ   85382          3   2157   0.17 1998   10/26/2009   10/23/2009   Single Family Residence
3513 S Siesta Ln          Tempe        AZ   85282 133-36-911     Maricopa   Tho Nguyen                (480) 363-6658    3513 S Siesta Ln          Tempe        AZ   85282        2.5   2096   0.16 1979   10/26/2009   10/23/2009   Single Family Residence
12434 W Scotts Dr         El Mirage    AZ   85335 509-07-166     Maricopa   Teodoro Vargas                              12434 W Scotts Dr         El Mirage    AZ   85335          2   1229    0.1 2001   10/26/2009   10/23/2009   Single Family Residence
8591 W Oregon Ave         Glendale     AZ   85305 102-11-176     Maricopa   Sutton Marie              (623) 877-5579    8591 W Oregon Ave         Glendale     AZ   85305        2.5   1557   0.14 1993   10/26/2009   10/23/2009   Single Family Residence
7235 E Knoll St           Mesa         AZ   85207 219-25-180     Maricopa   Sunthree Liampetch                          7235 E Knoll St           Mesa         AZ   85207   3    2.5   1559   0.07 1999   10/26/2009   10/23/2009   Single Family Residence




                                                                                                                                      Page 19
Pre-foreclosure List
                                                                                                                            Maricopa County Week Ending 11/2

8511 E Cambridge Ave      Scottsdale      AZ   85257 131-34-141     Maricopa   Steven Lisa A Vinson        (480) 949-6553    8511 E Cambridge Ave        Scottsdale         AZ   85257          6   1676   0.15 1961   10/26/2009   10/23/2009   Other
14628 W Harvard St        Goodyear        AZ   85395 501-76-390     Maricopa   Steven J Kalomas                              209 Woodcrest Ct            Franklin           TN   37067         14   3105   0.26 2003   10/26/2009   10/23/2009   Single Family Residence
2326 N 13th St            Phoenix         AZ   85006 117-22-038     Maricopa   Steven Carole Mellman                         2326 N 13th St              Phoenix            AZ   85006   2      1    676   0.13 1926   10/26/2009   10/23/2009   Single Family Residence
429 W La Jolla Dr         Tempe           AZ   85282 123-45-201     Maricopa   Stephen V Mooney                              429 W La Jolla Dr           Tempe              AZ   85282          1   1002   0.06 1972   10/26/2009   10/23/2009   Single Family Residence
3419 W Claremont St       Phoenix         AZ   85017 152-05-019     Maricopa   Stephen Saunders                              3419 W Claremont St         Phoenix            AZ   85017          2   1480   0.17 1961   10/26/2009   10/23/2009   Single Family Residence
2158 W Tonto Ln           Phoenix         AZ   85027 209-17-144     Maricopa   Stephen Mara                (623) 582-9582    2158 W Tonto Ln             Phoenix            AZ   85027          2   1318   0.16 1980   10/26/2009   10/23/2009   Single Family Residence
1701 E Colter St 103      Phoenix         AZ   85016 164-57-097     Maricopa   Stephen Clark                                 1701 E Colter St Unit 103   Phoenix            AZ   85016          6    790   0.01 2003   10/26/2009   10/22/2009   Condominium
775 E Bellerive Pl        Chandler        AZ   85249 303-58-325     Maricopa   Stephan Smith               (480) 773-6857    775 E Bellerive Pl          Chandler           AZ   85249         12   2780   0.19 2004   10/26/2009   10/23/2009   Single Family Residence
528 W Villa Maria Dr      Phoenix         AZ   85023 208-02-386     Maricopa   Simon Bangiyev                                9919 66th Rd Unit 2b        Rego Park          NY   11374       2.75   1523   0.11 1996   10/26/2009   10/23/2009   Single Family Residence
14569 W Windsor Ave       Goodyear        AZ   85395 501-76-436     Maricopa   Shannon M Wellman           (623) 478-8944    2762 N 133rd Dr             Goodyear           AZ   85395         12   2680   0.21 2003   10/26/2009   10/23/2009   Single Family Residence
10029 W Marguerite Ave Tolleson           AZ   85353 101-39-063     Maricopa   Serna Pino                                    10029 W Marguerite Ave      Tolleson           AZ   85353         14   2802   0.11 2007   10/26/2009   10/23/2009   Single Family Residence
6136 W Hollyhock Dr       Phoenix         AZ   85033 103-47-145     Maricopa   Sergio Velasquez                              6136 W Hollyhock Dr         Phoenix            AZ   85033       1.75   1020   0.12 1961   10/26/2009   10/23/2009   Single Family Residence
8226 W Miami St           Phoenix         AZ   85043 104-53-688     Maricopa   Sergio Pasilla                                8226 W Miami St             Phoenix            AZ   85043         10   2609   0.14 2005   10/26/2009   10/23/2009   Single Family Residence
10007 N 87th Ln           Peoria          AZ   85345 142-37-210     Maricopa   Sergio Najera               (623) 547-5673    10007 N 87th Ln             Peoria             AZ   85345          3    982   0.16 1981   10/26/2009   10/23/2009   Single Family Residence
9570 W Williams St        Tolleson        AZ   85353 101-26-322     Maricopa   Scott M Walters             (623) 764-3511    9570 W Williams St          Tolleson           AZ   85353          7   1884   0.11 2005   10/26/2009   10/23/2009   Single Family Residence
432 N Ash                 Mesa            AZ   85201 135-35-088     Maricopa   Saul Pedraza                                  432 N Ash                   Mesa               AZ   85201          2   1189   0.18 1959   10/26/2009   10/23/2009   Single Family Residence
3327 W Burgess Ln         Phoenix         AZ   85041 105-85-470     Maricopa   Sarah Symolon                                 3327 W Burgess Ln           Phoenix            AZ   85041          6   1759   0.11 2005   10/26/2009   10/23/2009   Single Family Residence
3773 E Aquarius Pl        Chandler        AZ   85249 304-82-381     Maricopa   Sandra Stewart                                3773 E Aquarius Pl          Chandler           AZ   85249   5    2.5   3000   0.21 2005   10/26/2009   10/23/2009   Single Family Residence
7216 W Monte Cristo Ave Peoria            AZ   85382 231-25-085     Maricopa   Sanders Ralison             (623) 271-6080    7216 W Monte Cristo Ave     Peoria             AZ   85382          8   2162   0.13 2003   10/26/2009   10/23/2009   Single Family Residence
504 N Beverly Wy          Tolleson        AZ   85353 102-48-118     Maricopa   Salvador Macias                               504 N Beverly Way           Tolleson           AZ   85353          3   1736   0.41 1990   10/26/2009   10/23/2009   Single Family Residence
3845 W St Moritz Ln       Phoenix         AZ   85053 207-10-008     Maricopa   Ryan Mcroberts              (602) 548-0816    3845 W Saint Moritz Ln      Phoenix            AZ   85053       3.75   2360   0.16 1970   10/26/2009   10/22/2009   Single Family Residence
12848 N 40th Ave          Phoenix         AZ   85029 149-27-156-b   Maricopa   Russellbishoff Pennington   (602) 435-7622    12848 N 40th Ave            Phoenix            AZ   85029          2   1400   0.15 1978   10/26/2009   10/23/2009   Single Family Residence
15329 W Madison St        Goodyear        AZ   85338 500-04-639     Maricopa   Ruben Luevano                                 15329 W Madison St          Goodyear           AZ   85338         11   2911   0.14 2005   10/26/2009   10/23/2009   Single Family Residence
1746 S Chatsworth         Mesa            AZ   85209 220-81-663     Maricopa   Rowena T Valdez                               1746 S Chatsworth           Mesa               AZ   85209   4      3   2015   0.05 2007   10/26/2009   10/23/2009   Single Family Residence
556 W Kiva Ave            Mesa            AZ   85210 302-04-215     Maricopa   Ronnie Gurule                                 556 W Kiva Ave              Mesa               AZ   85210        3.5   1861   0.17 1977   10/26/2009   10/23/2009   Single Family Residence
7137 E Rancho Vista Dr 5001cottsdale
                          S               AZ   85251 173-33-478     Maricopa   Ronald G Norris                               7451 E Rose Cir             Prescott Valley    AZ   86314          7   1397   0.03 2007   10/26/2009   10/23/2009   Condominium
3215 S 91st Dr            Tolleson        AZ   85353 101-27-263     Maricopa   Roithavy Long                                 3215 S 91st Dr              Tolleson           AZ   85353         10   2053    0.1 2006   10/26/2009   10/23/2009   Single Family Residence
7218 N 73rd Dr            Glendale        AZ   85303 143-26-141     Maricopa   Rodrigo Nora Ramirez        (623) 847-2332    7218 N 73rd Dr              Glendale           AZ   85303         10   2002   0.08 2007   10/26/2009   10/23/2009   Single Family Residence
1561 W Megan St           Chandler        AZ   85224 302-48-930     Maricopa   Roberta Richard M Anson     (480) 857-2492    1561 W Megan St             Chandler           AZ   85224       2.75   1821    0.1 1992   10/26/2009   10/23/2009   Single Family Residence
6425 N 77th Dr            Glendale        AZ   85303 102-06-811     Maricopa   Robert V Alvarez            (623) 670-8762    6425 N 77th Dr              Glendale           AZ   85303        3.5   2287   0.14 2000   10/26/2009   10/23/2009   Single Family Residence
2235 N 92nd Dale          Phoenix         AZ   85037 102-34-664     Maricopa   Robert Ruffinelli           (623) 322-5591    2235 N 92nd Dl              Phoenix            AZ   85037          6   1919   0.13 2004   10/26/2009   10/23/2009   Single Family Residence
2862 W Muriel Dr          Phoenix         AZ   85053 207-04-277     Maricopa   Robert Knieriem                               2862 W Muriel Dr            Phoenix            AZ   85053          2   1091   0.09 1994   10/26/2009   10/23/2009   Single Family Residence
9428 E Flanders Rd        Mesa            AZ   85207 220-19-184     Maricopa   Robert Bonnie G Milius                        246 W Brangus Way           San Tan Valley     AZ   85143   3      2   1300   0.16 1994   10/26/2009   10/23/2009   Single Family Residence
25846 W Hilton Ave        Buckeye         AZ   85326 504-60-640     Maricopa   Richard Rachel Kruser       (602) 851-2487    25846 W Hilton Ave          Buckeye            AZ   85326   3    2.5   1984   0.12 2006   10/26/2009   10/23/2009   Single Family Residence
2705 E Lynwood St         Mesa            AZ   85213 141-08-354     Maricopa   Richard Adlhoch             (480) 838-8627    629 W Navarro Ave           Mesa               AZ   85210   4    3.5   2708   0.18 2003   10/26/2009   10/23/2009   Single Family Residence
28026 N 42nd St           Az 85331        AZ   85331 212-18-001-e   Maricopa   Rex J Wager                                   28026 N 42nd St             Cave Creek         AZ   85331          2   1574   1.98 1990   10/26/2009   10/22/2009   Single Family Residence
19805 N 63rd Dr           Glendale        AZ   85308 231-22-121     Maricopa   Rene L Cone                 (623) 215-2004    19805 N 63rd Dr             Glendale           AZ   85308       2.75   2313   0.15 1999   10/26/2009   10/23/2009   Single Family Residence
18010 N 42nd Dr           Glendale        AZ   85308 207-21-370     Maricopa   Raymond Yonan               (602) 404-1237    18010 N 42nd Dr             Glendale           AZ   85308          2   1873   0.17 1983   10/26/2009   10/23/2009   Single Family Residence
14722 W Laurel Ln         Sun City        AZ   85379 509-14-932     Maricopa   Ray Kessler Jr              (623) 328-8451    6210 W Gambit Trl           Phoenix            AZ   85083         10   1747   0.08 2006   10/26/2009   10/23/2009   Single Family Residence
1244 E Kristal Wy         Phoenix         AZ   85024 213-23-297     Maricopa   Raul Molina                 (480) 580-1510    1244 E Kristal Way          Phoenix            AZ   85024          2   1311    0.2 1985   10/26/2009   10/23/2009   Single Family Residence
11615 E Chestnut Ct       Chandler        AZ   85249 303-58-838     Maricopa   Randy S Large                                 277 W Rock Creek Pl         Casa Grande        AZ   85122         11   3551   0.43 2006   10/26/2009   10/23/2009   Single Family Residence
4120 W Eva St             Phoenix         AZ   85051 149-38-086     Maricopa   Randy Kerbaugh                                4120 W Eva St               Phoenix            AZ   85051          2   1545   0.17 1968   10/26/2009   10/23/2009   Single Family Residence
19926 E Mayberry Rd       Chandler HeightsAZ   85242 314-04-365     Maricopa   Randall L Angle                               19926 E Mayberry Rd         Chandler Heights   AZ   85142          8   1987   0.14 2007   10/26/2009   10/23/2009   Single Family Residence
6127 W Frier Dr           Glendale        AZ   85301 143-39-026-a   Maricopa   Rafael Ibarra                                 6127 W Frier Dr             Glendale           AZ   85301          2   2224   0.25 1955   10/26/2009   10/22/2009   Single Family Residence
3751 E Willow Ave         Phoenix         AZ   85032 166-01-575     Maricopa   Pham Tchung                 (602) 765-1071    3751 E Willow Ave           Phoenix            AZ   85032          2   1475   0.14 1972   10/26/2009   10/23/2009   Single Family Residence
4005 S 44th St            Phoenix         AZ   85040 124-55-544     Maricopa   Peter Tsikata                                 4005 S 44th St              Phoenix            AZ   85040       1.75   1041   0.02 1980   10/26/2009   10/23/2009   Condominium
14208 W St Moritz Ln      Sun City        AZ   85379 509-17-631     Maricopa   Peter Srey P Seth                             14208 W St Moritz Ln        Sun City           AZ   85379         12   4068   0.16 2004   10/26/2009   10/23/2009   Single Family Residence
2652 N 43rd Ave 11c       Phoenix         AZ   85035 103-22-086     Maricopa   Peter S Liang                                 2652 N 43rd Ave Unit 11c    Phoenix            AZ   85009          1   1036   0.01 1973   10/26/2009   10/23/2009   Condominium
2652 N 43rd Ave 11a       Phoenix         AZ   85035 103-22-084     Maricopa   Peter S Liang                                 2652 N 43rd Ave Unit 11a    Phoenix            AZ   85009          1    957   0.05 1973   10/26/2009   10/23/2009   Condominium
20100 N 78th Pl 3074      Scottsdale      AZ   85255 212-47-400     Maricopa   Perlita Aguinaldo                             20100 N 78th Pl Unit 3074   Scottsdale         AZ   85255          6   1116   0.02 2001   10/26/2009   10/23/2009   Condominium
8035 W Gibson Ln          Phoenix         AZ   85043 104-33-470     Maricopa   Pedro Norma Sandoval                          8035 W Gibson Ln            Phoenix            AZ   85043         10   2552   0.17 2000   10/26/2009   10/23/2009   Single Family Residence
33218 N 12th St           Phoenix         AZ   85085 211-74-035-d   Maricopa   Paul Vivelo                 (623) 879-9897    33218 N 12th St             Phoenix            AZ   85085   3      2   1673   0.91 1999   10/26/2009   10/23/2009   Single Family Residence
12817 W Bloomfield Rd El Mirage           AZ   85335 509-09-244     Maricopa   Paul R Jajou                (623) 748-3191    12817 W Bloomfield Rd       El Mirage          AZ   85335          3   1901   0.13 2002   10/26/2009   10/22/2009   Single Family Residence
1937 E Sunburst Ln        Tempe           AZ   85284 301-50-282     Maricopa   Paul Ilze Stolz                               Po Box 831                  Castle Rock        CO   80104          3   1997   0.27 1982   10/26/2009   10/23/2009   Single Family Residence
15817 S 31st Wy           Phoenix         AZ   85048 301-70-955     Maricopa   Patrick Runninger                             15817 S 31st Way            Phoenix            AZ   85048          3   2493   0.16 1995   10/26/2009   10/23/2009   Single Family Residence
15986 W Desert Mirage Dr Sun City         AZ   85379 501-40-260     Maricopa   Patrick Doyle                                 15986 W Desert Mirage Dr    Sun City           AZ   85379         12   3451   0.13 2006   10/26/2009   10/23/2009   Single Family Residence
6822 N 12th Ave           Phoenix         AZ   85013 156-22-075     Maricopa   Patricia Clark              (602) 544-0250    6822 N 12th Ave             Phoenix            AZ   85013          2   1321   0.24 1953   10/26/2009   10/23/2009   Single Family Residence




                                                                                                                                           Page 20
Pre-foreclosure List
                                                                                                                               Maricopa County Week Ending 11/2

8543 E Portland St         Scottsdale        AZ   85257 131-06-335-a   Maricopa   Paskel Estates Llc                            8543 E Portland St           Scottsdale        AZ   85257          2   1107   0.02 1972   10/26/2009   10/23/2009   Condominium
11230 W Holly St           Avondale          AZ   85392 102-30-753     Maricopa   Panuncio Rodriguez                            11230 W Holly St             Avondale          AZ   85392       3.75   1790   0.23 1998   10/26/2009   10/23/2009   Single Family Residence
725 N Grand                Mesa              AZ   85201 137-24-044-j   Maricopa   Pantaleon Martinez                            725 N Grand                  Mesa              AZ   85201          6   1652   0.29 1975   10/26/2009   10/22/2009   Other
3781 N Springfield St      Buckeye           AZ   85396 502-78-802     Maricopa   Pan J Choi                                    3781 N Springfield St        Buckeye           AZ   85396   4    3.5   2739   0.19 2005   10/26/2009   10/23/2009   Single Family Residence
8315 N 61st Ave            Glendale          AZ   85302 143-14-026     Maricopa   Oscar Eva Ardon                               8315 N 61st Ave              Glendale          AZ   85302              3255   0.21 1973   10/26/2009   10/23/2009   Multi-unit
653 N 96th Pl              Mesa              AZ   85207 220-22-045     Maricopa   Omarbecerra Rodriguez                         653 N 96th Pl                Mesa              AZ   85207          1   1080   0.16 1979   10/26/2009   10/23/2009   Single Family Residence
4417 E Windsong Dr         Phoenix           AZ   85048 307-03-694     Maricopa   Olson Mark                                    4417 E Windsong Dr           Phoenix           AZ   85048       2.75   1601   0.09 2000   10/26/2009   10/23/2009   Single Family Residence
1513 W Hazelwood St        Phoenix           AZ   85015 155-45-219     Maricopa   Nystrom Ann                 (602) 595-9991    1513 W Hazelwood St          Phoenix           AZ   85015       1.75   1440   0.04 1965   10/26/2009   10/22/2009   Condominium
3516 W Buckhorn Tr         Phoenix           AZ   85083 205-06-008     Maricopa   Nguyen Truc                                   3516 W Buckhorn Trl          Phoenix           AZ   85083         12   2670   0.18 2003   10/26/2009   10/23/2009   Single Family Residence
12095 N 66th Ave           Glendale          AZ   85304 143-04-479     Maricopa   Nguyen Hoa                  (602) 748-7320    12095 N 66th Ave             Glendale          AZ   85304          9   2046   0.08 2005   10/26/2009   10/23/2009   Single Family Residence
5422 W St Kateri Dr        Phoenix           AZ   85339 104-88-377     Maricopa   Nguyen Demi                                   5422 W St Kateri Dr          Laveen            AZ   85339          9   3050   0.13 2006   10/26/2009   10/23/2009   Other
2407 E Catalina Ave        Mesa              AZ   85204 140-41-481     Maricopa   Neil Conway                                   2407 E Catalina Ave          Mesa              AZ   85204        2.5   1620   0.17 1984   10/26/2009   10/23/2009   Single Family Residence
15438 W Shangrila Rd       Sun City          AZ   85379 501-96-713     Maricopa   Nathaniel Hailey                              11586 W Duran Ave            Youngtown         AZ   85363         10   2072   0.11 2004   10/26/2009   10/22/2009   Single Family Residence
631 W Verano Pl            Gilbert           AZ   85233 302-32-825     Maricopa   Nancy Gardner               (480) 497-9168    631 W Verano Pl              Gilbert           AZ   85233       2.75   1391   0.15 1992   10/26/2009   10/23/2009   Single Family Residence
4641 N 86th Ave            Phoenix           AZ   85037 102-81-551     Maricopa   Nancy Cardona                                 4641 N 86th Ave              Phoenix           AZ   85037          2   1462    0.1 1995   10/26/2009   10/23/2009   Single Family Residence
3911 E Northridge Cir      Mesa              AZ   85215 141-27-056     Maricopa   Morgen Thruston             (480) 844-1886    3911 E Northridge Cir        Mesa              AZ   85215         19   7341    0.7 2007   10/26/2009   10/23/2009   Single Family Residence
6352 W Hackamore Dr        Phoenix           AZ   85083 201-10-074     Maricopa   Moore Stavro                (602) 763-6828    6352 W Hackamore Dr          Phoenix           AZ   85083       2.75   2152   0.21 1998   10/26/2009   10/23/2009   Single Family Residence
6507 W Turquoise Ave       Glendale          AZ   85302 143-49-327     Maricopa   Montoya Peter Jr            (623) 215-2615    6507 W Turquoise Ave         Glendale          AZ   85302        2.5   1275   0.14 1985   10/26/2009   10/23/2009   Single Family Residence
7026 N Alsup Ave           Litchfield Park   AZ   85340 501-49-127     Maricopa   Montoya Egloria                               7026 N Alsup Rd              Litchfield Park   AZ   85340         12   3812   0.98 2005   10/26/2009   10/23/2009   Other
2601 W Wethersfield Rd     Phoenix           AZ   85029 149-49-107     Maricopa   Montez Love                                   2601 W Wethersfield Rd       Phoenix           AZ   85029          2   1620   0.12 1962   10/26/2009   10/22/2009   Single Family Residence
25695 W Victory St         Buckeye           AZ   85326 504-26-255     Maricopa   Milan Mara Cvijanovic       (623) 386-1193    25695 W Victory St           Buckeye           AZ   85326         11   2596   0.12 2005   10/26/2009   10/23/2009   Single Family Residence
1628 S 234th Ln            Buckeye           AZ   85326 504-60-064     Maricopa   Miguel Rogel                (623) 327-9448    1628 S 234th Ln              Buckeye           AZ   85326          3   2469   0.23 2004   10/26/2009   10/23/2009   Single Family Residence
8512 S 307th Ave           Buckeye           AZ   85326 401-27-028-f   Maricopa   Miguel A Alvarado                             8512 S 307th Ave             Buckeye           AZ   85326              1664   1.09 2003   10/26/2009   10/23/2009   Mobile Home
4164 S 250th Ln            Buckeye           AZ   85326 504-24-013     Maricopa   Michelle Kemp-zempoalteca   (760) 480-4699    756 Suzanne Ln               Escondido         CA   92026          6   1489   0.13 2006   10/26/2009   10/23/2009   Single Family Residence
23121 W Yavapai St         Buckeye           AZ   85326 504-22-625     Maricopa   Michelle Jose A Delgado     (623) 547-5426    23121 W Yavapai St           Buckeye           AZ   85326          9   2154   0.13 2003   10/26/2009   10/23/2009   Single Family Residence
18362 W Paseo Wy 45        Goodyear          AZ   85338 400-79-465     Maricopa   Michelle Buryanek                             18362 W Paseo Way Unit 45 Goodyear             AZ   85338          8   1578   0.12 2003   10/26/2009   10/23/2009   Single Family Residence
9024 W Salter Dr           Peoria            AZ   85382 200-16-261     Maricopa   Michael S Flanigan          (623) 466-0196    9024 W Salter Dr             Peoria            AZ   85382   5      3   1942   0.14 1999   10/26/2009   10/22/2009   Single Family Residence
12235 N Desert Sage Dr B   Fountain Hills    AZ   85268 176-24-888     Maricopa   Michael R Hitt              (480) 837-4364    12235 N Desert Sage Dr Unit BFountain Hills    AZ   85268         10   2195      0 2001   10/26/2009   10/23/2009   Condominium
39733 N Lost Legend Dr     Anthem            AZ   85086 203-40-833     Maricopa   Michael Mathiesen           (623) 551-6909    39733 N Lost Legend Dr       Anthem            AZ   85086         10   2968   0.14 2003   10/26/2009   10/23/2009   Single Family Residence
8110 W Mescal St           Peoria            AZ   85345 142-07-103     Maricopa   Michael Karen Scheerer      (623) 486-4044    8110 W Mescal St             Peoria            AZ   85345          2   1209    0.1 1987   10/26/2009   10/22/2009   Single Family Residence
6426 W Osborn Rd           Phoenix           AZ   85033 103-03-149     Maricopa   Michael Douthwaite                            6426 W Osborn Rd             Phoenix           AZ   85033          1    910   0.14 1960   10/26/2009   10/23/2009   Single Family Residence
1542 W Impala Ave          Mesa              AZ   85202 305-02-493     Maricopa   Michael Donna Kundrat                         8850 W Hayward Ave           Glendale          AZ   85305   4      3   2038   0.15 1978   10/26/2009   10/23/2009   Other
3267 E Tyson St            Gilbert           AZ   85295 313-11-539     Maricopa   Michael D Davidson                            1942 N 1225 W                Clearfield        UT   84015          8   1781   0.09 2007   10/26/2009   10/23/2009   Single Family Residence
5840 W Desperado Wy        Phoenix           AZ   85083 201-40-647     Maricopa   Mia Mcdermott                                 5840 W Desperado Way         Phoenix           AZ   85083         16   3798   0.25 2007   10/26/2009   10/23/2009   Single Family Residence
6920 W Gardenia Ave        Glendale          AZ   85303 143-27-254     Maricopa   Mendez Fyvonne                                6920 W Gardenia Ave          Glendale          AZ   85303          6   1190   0.13 1999   10/26/2009   10/22/2009   Single Family Residence
3872 W Royal Palm Rd       Phoenix           AZ   85051 150-17-246     Maricopa   Melissa Shelley             (602) 995-9211    3872 W Royal Palm Rd         Phoenix           AZ   85051          6   1780   0.16 1968   10/26/2009   10/23/2009   Single Family Residence
11746 W Acapulco Ln        El Mirage         AZ   85335 501-25-451     Maricopa   Melissa Crawford                              11746 W Acapulco Ln          El Mirage         AZ   85335   3      2   1132    0.1 2006   10/26/2009   10/23/2009   Single Family Residence
1125 W Manor St            Chandler          AZ   85224 302-81-767     Maricopa   Mclean Rtiffany                               1125 W Manor St              Chandler          AZ   85224          9   1673   0.09 1985   10/26/2009   10/23/2009   Single Family Residence
2416 W Tumbleweed Dr       Phoenix           AZ   85085 204-01-145     Maricopa   Matthew Thill                                 2416 W Tumbleweed Dr         Phoenix           AZ   85085         12   3305   0.18 2004   10/26/2009   10/23/2009   Single Family Residence
1227 E Marcella Ln         Gilbert           AZ   85295 304-46-064     Maricopa   Matthew Hultstrand                            1227 E Marcella Ln           Gilbert           AZ   85295         11   2092   0.09 2006   10/26/2009   10/22/2009   Single Family Residence
429 S Temple St            Mesa              AZ   85204 139-22-086     Maricopa   Martingraff Dessens         (480) 898-7329    429 S Temple St              Mesa              AZ   85204          1   1080   0.16 1950   10/26/2009   10/23/2009   Single Family Residence
16078 W Miami St           Goodyear          AZ   85338 500-07-288     Maricopa   Martinez Vera                                 16078 W Miami St             Goodyear          AZ   85338          6   1845   0.12 2006   10/26/2009   10/23/2009   Other
6334 E Avalon St           Mesa              AZ   85205 141-60-025     Maricopa   Martin Eddington                              6334 E Avalon St             Mesa              AZ   85205          6   1796   0.36 1958   10/26/2009   10/23/2009   Other
768 E Irma Ln              Phoenix           AZ   85024 213-05-715     Maricopa   Mark Kushmakov                                768 E Irma Ln                Phoenix           AZ   85024          4   2579   0.14 1999   10/26/2009   10/23/2009   Single Family Residence
5509 N 64th Ave            Glendale          AZ   85301 144-58-001-a   Maricopa   Mark A Mcgovern             (623) 847-4155    5509 N 64th Ave              Glendale          AZ   85301       1.75   1020   0.13 1959   10/26/2009   10/23/2009   Single Family Residence
8601 W Cordes Rd           Tolleson          AZ   85353 101-30-081--   Maricopa   Mario Corina Salgado        (623) 234-8039    8601 W Cordes Rd             Tolleson          AZ   85353          8   2228   0.18 2006   10/26/2009   10/23/2009   Single Family Residence
7721 N 48th Dr             Glendale          AZ   85301 147-03-042     Maricopa   Mario Castro                                  17245 Se Wax Rd              Kent              WA   98042          2   1888   0.16 1970   10/26/2009   10/23/2009   Single Family Residence
13430 S 47th St            Phoenix           AZ   85044 306-03-349     Maricopa   Maria A Martin                                13430 S 47th St              Phoenix           AZ   85044   3    2.5   1518   0.13 1995   10/26/2009   10/23/2009   Single Family Residence
2323 N 92nd Ln             Phoenix           AZ   85037 102-34-571     Maricopa   Margarita Ocampo            (623) 322-2696    2323 N 92nd Ln               Phoenix           AZ   85037          6   1919   0.13 2003   10/26/2009   10/23/2009   Single Family Residence
14225 N 20th Pl            Phoenix           AZ   85022 214-51-330     Maricopa   Margaret S Biegel           (602) 466-2896    14225 N 20th Pl              Phoenix           AZ   85022   3      2   1432   0.15 1985   10/26/2009   10/23/2009   Single Family Residence
6531 W Turquoise Ave       Glendale          AZ   85302 143-49-323     Maricopa   Marcus E Martin                               6531 W Turquoise Ave         Glendale          AZ   85302        2.5   1716   0.14 1985   10/26/2009   10/23/2009   Single Family Residence
4753 E Moreland St         Phoenix           AZ   85008 125-14-041     Maricopa   Marcos Galvan                                 4753 E Moreland St           Phoenix           AZ   85008          3    968   0.01 1972   10/26/2009   10/23/2009   Condominium
2339 N 31st St             Phoenix           AZ   85008 120-22-052     Maricopa   Marcial Aalicia             (602) 955-4894    2339 N 31st St               Phoenix           AZ   85008          5   1122   0.14 1951   10/26/2009   10/23/2009   Single Family Residence
5209 W Novak Wy            Phoenix           AZ   85339 104-79-224     Maricopa   Mao Lu                                        5209 W Novak Way             Laveen            AZ   85339         11   1316   0.25 2004   10/26/2009   10/23/2009   Single Family Residence
2214 N 106th Ln            Avondale          AZ   85392 102-31-511     Maricopa   Manuel Laurie Penunuri                        2114 S 114th Ave             Avondale          AZ   85323          3   2173    0.1 2001   10/26/2009   10/23/2009   Single Family Residence
2714 E Lynwood St          Mesa              AZ   85213 141-08-351     Maricopa   Makamoeafi Etuina Taufa                       2714 E Lynwood St            Mesa              AZ   85213       3.75   2653   0.18 1997   10/26/2009   10/23/2009   Single Family Residence
5015 W Wikieup Ln          Glendale          AZ   85308 206-30-665     Maricopa   Majdolin Fouad Jado                           5015 W Wikieup Ln            Glendale          AZ   85308          3   1593   0.11 1995   10/26/2009   10/23/2009   Single Family Residence




                                                                                                                                               Page 21
Pre-foreclosure List
                                                                                                                            Maricopa County Week Ending 11/2

1063 W Hackamore St      Mesa         AZ   85201 135-14-046     Maricopa   Lylemedrano Lamb                (480) 844-4910    1063 W Hackamore St          Mesa         AZ   85201          2   1200   0.14 1982   10/26/2009   10/23/2009   Single Family Residence
4117 W Park St           Phoenix      AZ   85041 105-89-858     Maricopa   Lucila Ballesteros              (602) 237-9366    4117 W Park St               Phoenix      AZ   85041          8   1616   0.08 2003   10/26/2009   10/23/2009   Single Family Residence
16130 N 158th Ave        Sun City     AZ   85374 501-77-711     Maricopa   Lori Britton                                      16130 N 158th Ave            Sun City     AZ   85374          8   2426    0.2 1999   10/26/2009   10/23/2009   Single Family Residence
7133 E Juanita Ave       Mesa         AZ   85209 218-56-658     Maricopa   Lloyd Soterin                   (480) 332-5297    7133 E Juanita Ave           Mesa         AZ   85209       2.75   1632   0.11 1995   10/26/2009   10/23/2009   Single Family Residence
1613 W Mcnair St         Chandler     AZ   85224 302-78-577     Maricopa   Lin Feng                        (520) 227-7370    1613 W Mcnair St             Chandler     AZ   85224          2   1188   0.14 1982   10/26/2009   10/23/2009   Single Family Residence
2319 E Florian Cir       Mesa         AZ   85204 140-43-321     Maricopa   Lenona C Packer                                   2319 E Florian Cir           Mesa         AZ   85204          2   1225   0.18 1983   10/26/2009   10/23/2009   Single Family Residence
14830 W Lamoille Dr      Sun City     AZ   85374 232-29-435     Maricopa   Laura K Hlushko                                   14830 W Lamoille Dr          Sun City     AZ   85374          2   1201   0.12 1998   10/26/2009   10/23/2009   Single Family Residence
18020 N 31st Ave         Phoenix      AZ   85053 207-02-363     Maricopa   Lanny T Myers                   (602) 467-9711    18020 N 31st Ave             Phoenix      AZ   85053          1    936   0.13 1978   10/26/2009   10/23/2009   Single Family Residence
750 E Myrtle Ave         Phoenix      AZ   85020 160-29-021     Maricopa   Lance Scott                     (602) 803-7738    750 E Myrtle Ave             Phoenix      AZ   85020          1   1232   0.21 1947   10/26/2009   10/22/2009   Single Family Residence
3010 S 81st Ln           Phoenix      AZ   85043 104-53-724     Maricopa   Lake Gyolanda                                     3010 S 81st Ln               Phoenix      AZ   85043         10   2609   0.14 2005   10/26/2009   10/23/2009   Single Family Residence
4909 S 15th Pl           Phoenix      AZ   85040 113-54-152     Maricopa   Kristina Mckenzie                                 4909 S 15th Pl               Phoenix      AZ   85040          9   1534   0.06 2002   10/26/2009   10/23/2009   Single Family Residence
9424 N 6th Ave           Phoenix      AZ   85021 159-52-145     Maricopa   Kingthong Sounpasath Bilazanh                     9424 N 6th Ave               Phoenix      AZ   85021       1.75    985   0.13 1950   10/26/2009   10/23/2009   Single Family Residence
23454 W Pima St          Buckeye      AZ   85326 504-60-114     Maricopa   Kevin S Rausch                                    23454 W Pima St              Buckeye      AZ   85326          6   1535    0.1 2004   10/26/2009   10/23/2009   Single Family Residence
4119 S Emery             Mesa         AZ   85212 304-33-810     Maricopa   Kevin Keil                                        4119 S Emery                 Mesa         AZ   85212         11   3365   0.17 2003   10/26/2009   10/22/2009   Single Family Residence
5325 E Catalina Ave      Mesa         AZ   85206 141-52-948     Maricopa   Keven D Connolly                                  5325 E Catalina Ave          Mesa         AZ   85206   4      2   1809   0.18 1987   10/26/2009   10/23/2009   Single Family Residence
2955 N Oregon St 4       Chandler     AZ   85225 302-91-671     Maricopa   Kenneth Saelens                                   2955 N Oregon St Unit 4      Chandler     AZ   85225       1.75   1213   0.02 1989   10/26/2009   10/23/2009   Condominium
4107 E La Salle St       Phoenix      AZ   85040 123-09-191     Maricopa   Ken H Nguyen                                      4107 E La Salle St           Phoenix      AZ   85040          8   1881   0.07 2004   10/26/2009   10/23/2009   Single Family Residence
17515 W Pershing St      Surprise     AZ   85388 502-05-095     Maricopa   Keith Valarie Christoffel                         17515 W Pershing St          Surprise     AZ   85388         10   3551   0.18 2006   10/26/2009   10/22/2009   Single Family Residence
12639 N 47th Dr          Glendale     AZ   85304 207-40-292     Maricopa   Judith Hedges                                     12639 N 47th Dr              Glendale     AZ   85304        2.5   1690   0.16 1978   10/26/2009   10/23/2009   Single Family Residence
6519 W Range Mule Dr     Phoenix      AZ   85083 201-10-344     Maricopa   Juan M Munoz                    (623) 340-4898    6519 W Range Mule Dr         Phoenix      AZ   85083       2.75   1792   0.14 1999   10/26/2009   10/23/2009   Single Family Residence
4000 W Hubbell St        Phoenix      AZ   85009 108-30-058     Maricopa   Juan Flores                                       4000 W Hubbell St            Phoenix      AZ   85009          3    867   0.12 1958   10/26/2009   10/23/2009   Single Family Residence
2983 E Franklin Ave      Gilbert      AZ   85295 313-13-688     Maricopa   Juan Delatorre                                    320 W Nopal Pl               Chandler     AZ   85225   3    2.5   1928    0.1 2006   10/26/2009   10/23/2009   Single Family Residence
2807 E Larkspur Dr       Phoenix      AZ   85032 166-05-170     Maricopa   Juan Chavero                                      2807 E Larkspur Dr           Phoenix      AZ   85032          2   1305   0.16 1972   10/26/2009   10/23/2009   Single Family Residence
4249 E Oakland St        Gilbert      AZ   85295 304-43-885     Maricopa   Josue Guajardo                  (480) 279-0305    4249 E Oakland St            Gilbert      AZ   85295          9   1601   0.07 2008   10/26/2009   10/23/2009   Single Family Residence
1114 W Grandview St      Mesa         AZ   85201 135-14-059     Maricopa   Joshua Warden                                     1114 W Grandview St          Mesa         AZ   85201   3      2   1360   0.13 1979   10/26/2009   10/22/2009   Other
22600 W Solano Dr        Buckeye      AZ   85326 504-23-290     Maricopa   Joseph O Comprone                                 22600 W Solano Dr            Buckeye      AZ   85326          9   2267   0.12 2006   10/26/2009   10/22/2009   Single Family Residence
2122 W Erie St           Chandler     AZ   85224 302-47-123     Maricopa   Jose Villegas                   (480) 620-8630    2122 W Erie St               Chandler     AZ   85224          2   1667   0.15 1981   10/26/2009   10/23/2009   Single Family Residence
2051 W Lawrence Rd       Phoenix      AZ   85015 156-16-093     Maricopa   Jose Mendez                                       2051 W Lawrence Rd           Phoenix      AZ   85015          2   1186   0.19 1998   10/26/2009   10/22/2009   Single Family Residence
2206 E Camino Cir        Mesa         AZ   85213 140-09-048     Maricopa   Jose I Becerra                                    2206 E Camino Cir            Mesa         AZ   85213          2   1515   0.18 1971   10/26/2009   10/23/2009   Single Family Residence
4001 W Tonto St          Phoenix      AZ   85009 106-19-093     Maricopa   Jose Estorga                    (602) 442-7696    4001 W Tonto St              Phoenix      AZ   85009          1    780   0.14 1936   10/26/2009   10/23/2009   Single Family Residence
9963 N 94th Ln           Peoria       AZ   85345 142-90-340     Maricopa   Jose Christina Olibarria                          9963 N 94th Ln               Peoria       AZ   85345          2   1306   0.11 1997   10/26/2009   10/23/2009   Single Family Residence
481 S 166th Dr           Goodyear     AZ   85338 500-96-323     Maricopa   Jordan Hill                     (623) 476-2859    481 S 166th Dr               Goodyear     AZ   85338          8   2491   0.15 2008   10/26/2009   10/23/2009   Single Family Residence
9808 E Topaz Dr          Scottsdale   AZ   85258 217-35-235     Maricopa   John Vella                                        9808 E Topaz Dr              Scottsdale   AZ   85258       3.75   2495   0.31 1982   10/26/2009   10/22/2009   Single Family Residence
3837 W Folley St         Chandler     AZ   85226 301-65-588     Maricopa   John Soderberg                  (480) 782-9273    3837 W Folley St             Chandler     AZ   85226          2   1210    0.1 1986   10/26/2009   10/23/2009   Single Family Residence
5104 N 32nd St 253       Phoenix      AZ   85016 164-71-119     Maricopa   John Chilcott                                     5104 N 32nd St Unit 253      Phoenix      AZ   85018          2   1277      0 1990   10/26/2009   10/23/2009   Condominium
5104 N 32nd St 151       Phoenix      AZ   85016 164-71-062     Maricopa   John Chilcott                                     5104 N 32nd St Unit 151      Phoenix      AZ   85018          2   1277   0.03 1990   10/26/2009   10/23/2009   Condominium
3325 E Ford Ave          Gilbert      AZ   85234 304-07-910     Maricopa   John Billington                                   3325 E Ford Ave              Gilbert      AZ   85234        2.5   1785   0.15 2001   10/26/2009   10/22/2009   Single Family Residence
2101 W Poinsettia Dr     Phoenix      AZ   85029 149-53-038     Maricopa   Joel Maria Moreno               (602) 354-2609    2101 W Poinsettia Dr         Phoenix      AZ   85029          2   1293   0.13 1962   10/26/2009   10/23/2009   Single Family Residence
7930 E Camelback Rd B612 Scottsdale   AZ   85251 173-76-610     Maricopa   Joan Trumbower                                    7930 E Camelback Rd Unit B612Scottsdale   AZ   85251          6   1369   0.02 1974   10/26/2009   10/23/2009   Condominium
5136 E Evergreen St 1029 Mesa         AZ   85205 140-01-550     Maricopa   Jesus Martinez                                    5136 E Evergreen St Unit 1029Mesa         AZ   85205          2   1110      0 1987   10/26/2009   10/21/2009   Condominium
7315 S 54th Dr           Phoenix      AZ   85339 104-88-445     Maricopa   Jeremy Alllyson Greek           (602) 314-4563    7315 S 54th Dr               Laveen       AZ   85339          8   2209    0.1 2006   10/26/2009   10/23/2009   Other
1110 N 94th St           Mesa         AZ   85207 220-19-119     Maricopa   Jeffrey J Thomas                (480) 358-9622    1110 N 94th St               Mesa         AZ   85207          2   1290   0.14 1994   10/26/2009   10/23/2009   Single Family Residence
15221 N Clubgate Dr 2040 Phoenix      AZ   85254 215-59-711     Maricopa   Jeffrey A Graham                                  15221 N Clubgate Dr Unit 2040Scottsdale   AZ   85254          8   1849   0.07 2000   10/26/2009   10/23/2009   Other
3810 N Maryvale Pkwy 2084 hoenix
                         P            AZ   85031 103-08-190-a   Maricopa   Jeff Wadlow                                       3810 N Maryvale Pkwy Unit 2084
                                                                                                                                                          Phoenix      AZ   85031          1    672   0.01 1983   10/26/2009   10/23/2009   Condominium
4322 N 49th Ave          Phoenix      AZ   85031 145-21-003     Maricopa   Javier Teresa Rodriguez                           4322 N 49th Ave              Phoenix      AZ   85031          6   1116   0.13 1955   10/26/2009   10/23/2009   Single Family Residence
11304 W Golden Ln        Peoria       AZ   85345 142-88-812     Maricopa   Jan Woodard                                       11304 W Golden Ln            Peoria       AZ   85345        2.5   1480    0.1 1995   10/26/2009   10/23/2009   Single Family Residence
2939 W Mcrae Wy          Phoenix      AZ   85027 206-10-008     Maricopa   James Strmic                                      3107 E Altadena Ave          Phoenix      AZ   85028       2.75   2494   0.36 1978   10/26/2009   10/23/2009   Single Family Residence
20801 N 90th Pl 106      Scottsdale   AZ   85255 217-68-187     Maricopa   James Mcgarity                                    20801 N 90th Pl Unit 106     Scottsdale   AZ   85255          6   1298   0.02 2000   10/26/2009   10/23/2009   Condominium
649 W Oxford Ln          Gilbert      AZ   85233 302-83-738     Maricopa   James Mccormick                 (480) 703-9555    649 W Oxford Ln              Gilbert      AZ   85233          4   2562   0.14 1998   10/26/2009   10/23/2009   Single Family Residence
8350 W Molly Ln          Peoria       AZ   85383 201-06-633     Maricopa   James Martin                                      8350 W Molly Ln              Peoria       AZ   85383   5      3   3097   0.18 2003   10/26/2009   10/23/2009   Single Family Residence
8815 N 29th Ave          Phoenix      AZ   85051 150-01-032     Maricopa   James M Baker                   (602) 332-6231    8815 N 29th Ave              Phoenix      AZ   85051          6   1453   0.12 1954   10/26/2009   10/23/2009   Single Family Residence
907 W Diamond Dr         Guadalupe    AZ   85283 301-44-181     Maricopa   James Kurth                                       907 W Diamond Dr             Guadalupe    AZ   85283          6   1915   0.16 1986   10/26/2009   10/23/2009   Single Family Residence
23626 N 38th Dr          Glendale     AZ   85310 205-11-340     Maricopa   James Hanson                    (623) 251-2975    6025 W Cielo Grande          Glendale     AZ   85310   3      2   1257    0.1 1989   10/26/2009   10/23/2009   Single Family Residence
17604 W Boca Raton Rd Surprise        AZ   85388 502-87-523     Maricopa   James D Smith                                     17604 W Boca Raton Rd        Surprise     AZ   85388   3    2.5   1714   0.12 2003   10/26/2009   10/23/2009   Single Family Residence
1350 E Frances Ln        Gilbert      AZ   85295 304-46-142     Maricopa   James D Parson                                    1350 E Frances Ln            Gilbert      AZ   85295         10   1615   0.09 2005   10/26/2009   10/23/2009   Single Family Residence
10053 E Capri Ave        Mesa         AZ   85208 220-71-765     Maricopa   James Conner                                      10053 E Capri Ave            Mesa         AZ   85208        2.5   1310   0.09 2000   10/26/2009   10/21/2009   Single Family Residence
7323 S 56th Dr           Phoenix      AZ   85339 104-87-141     Maricopa   James Cockerhern                                  7323 S 56th Dr               Laveen       AZ   85339          8   1753    0.1 2005   10/26/2009   10/23/2009   Other




                                                                                                                                            Page 22
Pre-foreclosure List
                                                                                                                                 Maricopa County Week Ending 11/2

23960 N 73rd Pl            Scottsdale      AZ   85255 212-05-141     Maricopa   Jagannath Penelope K Jayaswal   (480) 634-5680    23960 N 73rd Pl               Scottsdale         AZ   85255       3.75   2346    0.1 1991   10/26/2009   10/23/2009   Single Family Residence
16013 S Desert Foothills Pkwy 2146
                           Phoenix         AZ   85048 300-97-767     Maricopa   Ignacio Morales                                   16013 S Desert Foothills Pkwy Phoenix
                                                                                                                                                                Unit 2146          AZ   85048          3    698   0.01 1997   10/26/2009   10/23/2009   Other
3730 W San Juan Ave        Phoenix         AZ   85019 145-12-028     Maricopa   Huerta Juzuna                   (602) 973-7721    3730 W San Juan Ave           Phoenix            AZ   85019          2   1343   0.14 1956   10/26/2009   10/23/2009   Single Family Residence
224 N 152nd Dr             Goodyear        AZ   85338 500-04-435     Maricopa   Holly Herrington                (623) 444-6743    224 N 152nd Dr                Goodyear           AZ   85338         10   2068   0.12 2004   10/26/2009   10/23/2009   Single Family Residence
21622 N 23rd Ave 203b      Phoenix         AZ   85027 209-07-079     Maricopa   Hermida Hernandez                                 21622 N 23rd Ave Unit 203b Phoenix               AZ   85027          1    768     68 1984   10/26/2009   10/23/2009   Condominium
8025 N 11th Pl             Phoenix         AZ   85020 160-09-016     Maricopa   Heidemarie Dempsey                                8025 N 11th Pl                Phoenix            AZ   85020       1.75   2363   0.27 1957   10/26/2009   10/23/2009   Single Family Residence
4928 W Wikieup Ln          Glendale        AZ   85308 206-30-631     Maricopa   Hector Yolanda Betancourt                         4928 W Wikieup Ln             Glendale           AZ   85308          3   1853   0.09 1995   10/26/2009   10/23/2009   Single Family Residence
8923 W Anthony Joseph LnPeoria             AZ   85345 142-45-219     Maricopa   Heath David                     (623) 234-2342    8923 W Anthony Joseph Ln Peoria                  AZ   85345   4    3.5   1663   0.13 1994   10/26/2009   10/23/2009   Single Family Residence
3737 W Griswold Rd         Phoenix         AZ   85051 150-17-205     Maricopa   Hathaway Linda                  (602) 841-2739    3737 W Griswold Rd            Phoenix            AZ   85051          5   1500   0.15 1966   10/26/2009   10/22/2009   Single Family Residence
11633 W Monroe St          Avondale        AZ   85323 500-95-924     Maricopa   Hamze Nina                                        11633 W Monroe St             Avondale           AZ   85323   4    2.5      1   0.17 2005   10/26/2009   10/23/2009   Single Family Residence
10609 W Pomo St            Tolleson        AZ   85353 101-15-141     Maricopa   Gutierrez Srsylvia                                10609 W Pomo St               Tolleson           AZ   85353          9   2228   0.12 2003   10/26/2009   10/23/2009   Single Family Residence
9807 E Quarterline Rd      Mesa            AZ   85207 220-24-035     Maricopa   Guerra Cmarisa                  (480) 264-6450    9807 E Quarterline Rd         Mesa               AZ   85207       1.75    960   0.26 1971   10/26/2009   10/23/2009   Single Family Residence
10220 N 12th Pl 2          Phoenix         AZ   85020 159-28-477-a   Maricopa   Griselda L Espinoza                               10220 N 12th Pl Unit 2        Phoenix            AZ   85020   2    2.5   1436   0.02 1997   10/26/2009   10/23/2009   Condominium
17430 N 21st Ave           Phoenix         AZ   85023 208-26-071     Maricopa   Gregory Weitman                                   17430 N 21st Ave              Phoenix            AZ   85023          6   1292   0.18 1961   10/26/2009   10/22/2009   Single Family Residence
15030 W Eureka Tr          Sun City        AZ   85374 232-29-793     Maricopa   Gonzales Jones                                    15030 W Eureka Trl            Sun City           AZ   85374          2   1145   0.11 1997   10/26/2009   10/23/2009   Single Family Residence
2453 N 125th Ln            Avondale        AZ   85392 501-89-148     Maricopa   Geoffrey Wendy Ronning                            2453 N 125th Ln               Avondale           AZ   85392       2.75   1290   0.17 1996   10/26/2009   10/22/2009   Single Family Residence
12020 W Windrose Dr        El Mirage       AZ   85335 509-06-255     Maricopa   Gary L Jordan                                     12020 W Windrose Dr           El Mirage          AZ   85335          2   1832   0.12 2000   10/26/2009   10/23/2009   Single Family Residence
6617 W Yuma St             Phoenix         AZ   85043 104-28-094     Maricopa   Garcia Lorena                                     6617 W Yuma St                Phoenix            AZ   85043          2   1157   0.11 1989   10/26/2009   10/23/2009   Single Family Residence
13806 N Alto St            El Mirage       AZ   85335 501-27-036     Maricopa   Garcia Angelica                                   13806 N Alto St               El Mirage          AZ   85335          1   1270   0.17 1982   10/26/2009   10/22/2009   Single Family Residence
10865 W Devonshire Ave Phoenix             AZ   85037 102-58-626     Maricopa   Fredrick Andrea                                   10865 W Devonshire Ave        Phoenix            AZ   85037          2   1482   0.11 1996   10/26/2009   10/23/2009   Single Family Residence
419 E Country Gables Dr Phoenix            AZ   85022 208 17 371-a   Maricopa   Frazier Douglas Jr                                419 E Country Gables Dr       Phoenix            AZ   85022   4      2   2400   0.21 1973   10/26/2009   10/22/2009   Single Family Residence
4731 N 94th Ave            Phoenix         AZ   85037 102-18-103     Maricopa   Frank J Flores                                    4731 N 94th Ave               Phoenix            AZ   85037         11   1907   0.15 1999   10/26/2009   10/23/2009   Single Family Residence
7225 W St Catherine Ave Phoenix            AZ   85339 104-83-630     Maricopa   Francisco U Amaya               (602) 237-3520    7225 W St Catherine Ave       Laveen             AZ   85339         10   2827   0.13 2005   10/26/2009   10/23/2009   Other
5417 W Cypress St          Phoenix         AZ   85035 103-18-072     Maricopa   Francisco Rodriquez                               5417 W Cypress St             Phoenix            AZ   85035          2   1308   0.13 1973   10/26/2009   10/23/2009   Single Family Residence
2258 W Bowker St           Phoenix         AZ   85041 105-65-310     Maricopa   Francisco Robledo               (602) 795-0592    2258 W Bowker St              Phoenix            AZ   85041          6   1408   0.11 2001   10/26/2009   10/23/2009   Single Family Residence
13224 W Mclellan Rd        Glendale        AZ   85307 501-57-157     Maricopa   Francisco Bernal                                  13224 W Mclellan Rd           Glendale           AZ   85307   4      2   1640   0.15 1999   10/26/2009   10/22/2009   Single Family Residence
7017 S 18th St             Phoenix         AZ   85042 122-93-347     Maricopa   Fortino Gracida                                   7017 S 18th St                Phoenix            AZ   85042        2.5   1199   0.09 1989   10/26/2009   10/23/2009   Single Family Residence
5918 W Highland Ave        Phoenix         AZ   85033 144-72-194-a   Maricopa   Fidelia Luna                                      5918 W Highland Ave           Phoenix            AZ   85033          6   2209   0.21 1965   10/26/2009   10/23/2009   Single Family Residence
4034 W Carter Rd           Phoenix         AZ   85041 105-89-457     Maricopa   Fernando Frausto                (602) 326-3642    4034 W Carter Rd              Phoenix            AZ   85041       2.75   1616   0.06 2002   10/26/2009   10/23/2009   Single Family Residence
826 E 4th Pl               Mesa            AZ   85203 137-06-074     Maricopa   Felix Uriarte                                     826 E 4th Pl                  Mesa               AZ   85203              1919   0.18 1965   10/26/2009   10/23/2009   Multi-unit
8710 E Lindner Cir         Mesa            AZ   85209 312-03-569     Maricopa   Evans Group Llc                                   8710 E Lindner Cir            Mesa               AZ   85209        3.5   2090   0.08 2001   10/26/2009   10/23/2009   Single Family Residence
352 S 220th Ln             Buckeye         AZ   85326 504-20-558     Maricopa   Eric De Rose                                      352 S 220th Ln                Buckeye            AZ   85326   3    2.5   1726   0.19 2004   10/26/2009   10/23/2009   Other
12213 W Ironwood St        El Mirage       AZ   85335 509-17-894     Maricopa   Enrique Barragan                (623) 876-0524    12213 W Ironwood St           El Mirage          AZ   85335         10   1907   0.11 2005   10/26/2009   10/23/2009   Single Family Residence
11843 W Via Montoya Ct Sun City            AZ   85373 503-88-109     Maricopa   Emily O Miles                                     11843 W Via Montoya Ct        Sun City           AZ   85373   4    2.5   3207    0.1 2006   10/26/2009   10/23/2009   Single Family Residence
8446 W Elm St              Phoenix         AZ   85037 102-74-838     Maricopa   Emilio Maria L Molina                             8446 W Elm St                 Phoenix            AZ   85037          2   1065   0.14 1996   10/26/2009   10/23/2009   Single Family Residence
8155 W Joedad Ter          Peoria          AZ   85382 200-18-518     Maricopa   Emanouel Younan                                   8155 W Joedad Ter             Peoria             AZ   85382          3   2011   0.14 1998   10/26/2009   10/23/2009   Single Family Residence
4469 E Maplewood St        Chandler HeightsAZ   85297 313-16-152     Maricopa   Elizabeth F Aroca                                 4469 E Maplewood St           Gilbert            AZ   85297         11   2630   0.14 2006   10/26/2009   10/23/2009   Other
1432 W Wood Dr             Phoenix         AZ   85029 159-03-593     Maricopa   Eduardo Cortes                                    1432 W Wood Dr                Phoenix            AZ   85029          2   1565   0.17 1972   10/26/2009   10/23/2009   Single Family Residence
3641 E Bruce Ave           Gilbert         AZ   85234 309-23-351     Maricopa   E Ave Llc                                         3641 E Bruce Ave              Gilbert            AZ   85234         11   2127   0.12 2001   10/26/2009   10/22/2009   Single Family Residence
34567 N 99th St            Scottsdale      AZ   85262 216-45-037     Maricopa   Douglas K Oshana                                  34567 N 99th St               Scottsdale         AZ   85262   3      3   2846   0.22 1999   10/26/2009   10/23/2009   Other
3847 S Seton Ave           Gilbert         AZ   85297 309-24-105     Maricopa   Dotson Ann                      (480) 988-0779    3847 S Seton Ave              Gilbert            AZ   85297          9   2136   0.15 2001   10/26/2009   10/23/2009   Other
855 E 6th Ave              Mesa            AZ   85204 139-19-002     Maricopa   Dorothy Wright                                    855 E 6th Ave                 Mesa               AZ   85204          2   1183   0.15 1959   10/26/2009   10/23/2009   Single Family Residence
7141 E Rancho Vista Dr 6006cottsdale
                           S               AZ   85251 173-33-555     Maricopa   Doc Properties Llc                                7141 E Rancho Vista Dr Unit 6006
                                                                                                                                                                Scottsdale         AZ   85251          8   1759   0.04 2007   10/26/2009   10/23/2009   Condominium
3122 E Campo Bello Dr      Phoenix         AZ   85032 214-03-073-a   Maricopa   Dianna Jaime Blasingim          (602) 330-3059    3122 E Campo Bello Dr         Phoenix            AZ   85032          1   1004   0.43 1955   10/26/2009   10/22/2009   Single Family Residence
8327 W Forest Grove Ave Tolleson           AZ   85353 101-30-318     Maricopa   Demetria Brown                                    8327 W Forest Grove Ave       Tolleson           AZ   85353         11   3434   0.13 2005   10/26/2009   10/23/2009   Single Family Residence
5129 S 15th Pl             Phoenix         AZ   85040 113-54-180     Maricopa   Deena Hailoo                                      5129 S 15th Pl                Phoenix            AZ   85040   3    2.5   1352   0.08 2004   10/26/2009   10/23/2009   Single Family Residence
21175 E Camina Plata       Chandler HeightsAZ   85242 304-65-395     Maricopa   Dayna L Thompson                                  21175 E Camina Plata          Chandler Heights   AZ   85142        2.5   2264   0.13 2003   10/26/2009   10/23/2009   Single Family Residence
23809 N 39th Ln            Glendale        AZ   85310 205-11-023     Maricopa   Dawn Kelley                                       23809 N 39th Ln               Glendale           AZ   85310       2.75   1827   0.14 1994   10/26/2009   10/23/2009   Single Family Residence
30008 W Roosevelt St       Buckeye         AZ   85396 504-15-429     Maricopa   David Phasley                                     30008 W Roosevelt St          Buckeye            AZ   85396              2144   0.95 1998   10/26/2009   10/23/2009   Mobile Home
510 S 220th Ln             Buckeye         AZ   85326 504-25-446     Maricopa   David Marie                                       510 S 220th Ln                Buckeye            AZ   85326        14    3176   0.25 2006   10/26/2009   10/23/2009   Single Family Residence
11518 E Chestnut Ct        Chandler        AZ   85249 303-58-847     Maricopa   David Karen Morris                                11518 E Chestnut Ct           Chandler           AZ   85249   5    4.5   4635   0.44 2006   10/26/2009   10/23/2009   Single Family Residence
11418 N 57th Dr            Glendale        AZ   85304 148-28-138     Maricopa   David Calvario                                    11418 N 57th Dr               Glendale           AZ   85304   3      2   1300   0.15 1978   10/26/2009   10/23/2009   Single Family Residence
2547 E Isabella Ave        Mesa            AZ   85204 140-63-170     Maricopa   David Buruato                   (480) 926-6111    2547 E Isabella Ave           Mesa               AZ   85204   4      2   1640   0.16 1979   10/26/2009   10/23/2009   Single Family Residence
2423 E Aster Dr            Phoenix         AZ   85032 166-54-593     Maricopa   Daryl Jessen                                      2423 E Aster Dr               Phoenix            AZ   85032          2   1440   0.15 1971   10/26/2009   10/23/2009   Single Family Residence
840 N Dysart Rd            Avondale        AZ   85323 500-03-269-l   Maricopa   Daniel L Powell                                   840 N Dysart Rd               Goodyear           AZ   85338                     1.97        10/26/2009   10/23/2009   Hotel
18512 E Lawndale Pl        Chandler HeightsAZ   85242 304-89-005-a   Maricopa   Daniel Kelly                                      18512 E Lawndale Pl           Chandler Heights   AZ   85142         2    1818   0.98 1997   10/26/2009   10/23/2009   Single Family Residence
1655 S 172nd Dr            Goodyear        AZ   85338 502-43-245     Maricopa   Daniel Green                                      1655 S 172nd Dr               Goodyear           AZ   85338         9    1918   0.13 2003   10/26/2009   10/23/2009   Single Family Residence




                                                                                                                                                 Page 23
Pre-foreclosure List
                                                                                                                               Maricopa County Week Ending 11/2

15811 N 6th Dr           Phoenix           AZ   85023 208-34-379     Maricopa   Daniel Claudia Peel                             15811 N 6th Dr               Phoenix           AZ   85023       2.75   1471   0.08 1986   10/26/2009   10/23/2009   Single Family Residence
2935 S Valle Verde       Mesa              AZ   85212 309-19-584     Maricopa   Damon Rebecca Krause          (480) 292-8467    2935 S Valle Verde           Mesa              AZ   85212   3    2.5   2250   0.14 2000   10/26/2009   10/22/2009   Single Family Residence
2133 W Eugie Ave         Phoenix           AZ   85029 149-61-227     Maricopa   Cruz Yesenia                  (602) 548-3442    2133 W Eugie Ave             Phoenix           AZ   85029          2   1646   0.14 1972   10/26/2009   10/23/2009   Single Family Residence
880 W Cherrywood Dr      Sun Lakes         AZ   85248 303-74-419     Maricopa   Crespo Scott                                    880 W Cherrywood Dr          Sun Lakes         AZ   85248          3   2666   0.15 1997   10/26/2009   10/23/2009   Single Family Residence
24442 N 41st Ave         Glendale          AZ   85310 205-11-847     Maricopa   Crescencia Sandoval                             24442 N 41st Ave             Glendale          AZ   85310       2.75   2557    0.2 1988   10/26/2009   10/23/2009   Single Family Residence
962 E Isabella Ave       Mesa              AZ   85204 139-11-005     Maricopa   Contreras Inc                                   962 E Isabella Ave           Mesa              AZ   85204                     0.93        10/26/2009   10/22/2009   Other
3823 W Villa Linda Dr    Glendale          AZ   85310 205-14-796     Maricopa   Cohen Stephanie                                 3823 W Villa Linda Dr        Glendale          AZ   85310         3    2285    0.1 1998   10/26/2009   10/23/2009   Single Family Residence
15652 N 55th St          Phoenix           AZ   85254 215-34-120     Maricopa   Cleland Jay                                     15652 N 55th St              Scottsdale        AZ   85254         7    2288   0.21 1983   10/26/2009   10/22/2009   Other
9603 N 55th Ave          Glendale          AZ   85302 148-21-419     Maricopa   Claytonteri Pullen            (623) 463-3678    9603 N 55th Ave              Glendale          AZ   85302         2    1513   0.15 1978   10/26/2009   10/23/2009   Single Family Residence
1351 N Pleasant Dr 2176 Chandler           AZ   85225 302-43-891     Maricopa   Christopherwilliams Ansburg                     1351 N Pleasant Dr Unit 2176 Chandler          AZ   85225   1     1     725   0.01 1984   10/26/2009   10/23/2009   Condominium
6658 W Nancy Rd          Glendale          AZ   85306 200-51-074     Maricopa   Christopher Moore             (623) 979-8588    6658 W Nancy Rd              Glendale          AZ   85306               840   0.29 1988   10/26/2009   10/23/2009   Mobile Home
1015 E Blackhawk Dr      Phoenix           AZ   85024 213-31-345     Maricopa   Christine Nguyen                                1015 E Blackhawk Dr          Phoenix           AZ   85024          7   1883   0.13 1999   10/26/2009   10/23/2009   Single Family Residence
9459 W Virginia Ave      Phoenix           AZ   85037 102-33-301     Maricopa   Chris T Oba                                     9459 W Virginia Ave          Phoenix           AZ   85037          9   1935   0.07 2004   10/26/2009   10/23/2009   Single Family Residence
4031 W Granada Rd        Phoenix           AZ   85009 108-22-050     Maricopa   Castro Cynthia                                  4031 W Granada Rd            Phoenix           AZ   85009          1    929   0.16 1948   10/26/2009   10/23/2009   Single Family Residence
12856 W Quail Track Dr Peoria              AZ   85383 510-03-021     Maricopa   Casey Mary                    (623) 242-8969    12856 W Quail Track Dr       Peoria            AZ   85383          7   1384   0.12 2006   10/26/2009   10/23/2009   Single Family Residence
4795 E Valley Vista Ln   Paradise Valley   AZ   85253 169-23-027-b   Maricopa   Carol Holliday                (602) 368-7069    4795 E Valley Vista Ln       Paradise Valley   AZ   85253   5      6   6000   1.28 1977   10/26/2009   10/23/2009   Single Family Residence
3225 W State Ave         Phoenix           AZ   85051 151-15-016     Maricopa   Carlos Velazquez                                3225 W State Ave             Phoenix           AZ   85051          3   3008   0.43 1960   10/26/2009   10/23/2009   Single Family Residence
17224 W Country Gables DrSurprise          AZ   85388 502-87-870     Maricopa   Carl Staci Fischer            (623) 584-9177    17224 W Country Gables Dr Surprise             AZ   85388         10   1999   0.11 2003   10/26/2009   10/23/2009   Single Family Residence
444 E Melody Ln          Gilbert           AZ   85234 304-95-413     Maricopa   Campbell Scott                                  444 E Melody Ln              Gilbert           AZ   85234       2.75   1708   0.14 1989   10/26/2009   10/23/2009   Single Family Residence
2008 N 51st Wy           Phoenix           AZ   85008 126-21-110     Maricopa   Burke Brie                                      2008 N 51st Way              Phoenix           AZ   85008          2   1244   0.04 1980   10/26/2009   10/23/2009   Condominium
14527 W Laurel Ln        Sun City          AZ   85379 509-15-248     Maricopa   Bryon Catherine Zimpfer                         14527 W Laurel Ln            Sun City          AZ   85379          8   1909   0.13 2005   10/26/2009   10/23/2009   Single Family Residence
4701 W Westcott Dr       Glendale          AZ   85308 206-32-549     Maricopa   Bruce D Deheer                (623) 826-3977    4701 W Westcott Dr           Glendale          AZ   85308          2   1068   0.16 1984   10/26/2009   10/23/2009   Single Family Residence
10956 E Paradise Dr      Scottsdale        AZ   85259 217-47-693     Maricopa   Brooks Gail Barthel                             10956 E Paradise Dr          Scottsdale        AZ   85259         13   3363   0.38 2003   10/26/2009   10/23/2009   Single Family Residence
33110 N 24th Ln          Phoenix           AZ   85085 204-01-728     Maricopa   Brian R Castillo                                33110 N 24th Ln              Phoenix           AZ   85085              1907   0.13 2004   10/26/2009   10/23/2009   Single Family Residence
13600 W Ventura St       Sun City          AZ   85379 509-16-112     Maricopa   Brian Katherine Trojahn                         13600 W Ventura St           Sun City          AZ   85379          9   2904   0.16 2005   10/26/2009   10/23/2009   Single Family Residence
2840 N Granite Reef Rd   Scottsdale        AZ   85257 131-31-126     Maricopa   Brent Tartsah                                   2840 N Granite Reef Rd       Scottsdale        AZ   85257   2    1.5   1044   0.03 1973   10/26/2009   10/23/2009   Single Family Residence
2440 E Capri Ave         Mesa              AZ   85204 140-41-608     Maricopa   Brent Smith                                     2440 E Capri Ave             Mesa              AZ   85204        2.5   1428   0.17 1985   10/26/2009   10/23/2009   Single Family Residence
1750 W Union Hills Dr 82 Phoenix           AZ   85027 209-21-532     Maricopa   Brenda Mitchelitis                              1750 W Union Hills Dr Unit 82Phoenix           AZ   85027          3   1568   0.06 2001   10/26/2009   10/23/2009   Single Family Residence
1517 S 228th Ln          Buckeye           AZ   85326 504-22-474     Maricopa   Brandon Jensen                                  16114 W Jackson St           Goodyear          AZ   85338          6   1245   0.12 2003   10/26/2009   10/23/2009   Single Family Residence
11012 E Elton Ave        Mesa              AZ   85208 220-73-011     Maricopa   Brandon Blackgoat                               11012 E Elton Ave            Mesa              AZ   85208          2   1378   0.22 1980   10/26/2009   10/23/2009   Single Family Residence
6086 S Bridal Vail Dr    Gilbert           AZ   85298 313-07-537     Maricopa   Boyd Dvalerie                                   6086 S Bridal Vail Dr        Gilbert           AZ   85298   3      2   1749   0.15 2007   10/26/2009   10/23/2009   Single Family Residence
4839 E White Gates Dr    Phoenix           AZ   85018 172-49-012     Maricopa   Bihag Kakad                   (480) 516-4040    4839 E White Gates Dr        Phoenix           AZ   85018          4   6094   0.84 1990   10/26/2009   10/23/2009   Single Family Residence
5404 N 68th Ave          Glendale          AZ   85303 144-24-170     Maricopa   Bertha Galaviz                                  5404 N 68th Ave              Glendale          AZ   85303          2   2017   0.15 1973   10/26/2009   10/23/2009   Single Family Residence
3048 W Almeria Rd        Phoenix           AZ   85009 108-27-168-a   Maricopa   Bertha A Rodriguez            (602) 595-9584    3048 W Almeria Rd            Phoenix           AZ   85009   3      1    780   0.13 1958   10/26/2009   10/23/2009   Single Family Residence
2110 N Tamarisk St       Chandler          AZ   85224 302-79-365     Maricopa   Becky Stevens                                   2110 N Tamarisk St           Chandler          AZ   85224          6   1172   0.19 1983   10/26/2009   10/23/2009   Single Family Residence
3201 W Eugie Ave         Phoenix           AZ   85029 149-46-123     Maricopa   Bary Walter                                     8164 W Mclellan Rd           Glendale          AZ   85303          2   1400   0.15 1961   10/26/2009   10/23/2009   Single Family Residence
12362 W Glenrosa Ave     Litchfield Park   AZ   85392 501-63-586     Maricopa   Balkar Singh                                    12362 W Glenrosa Ave         Avondale          AZ   85392          7   2470   0.15 2005   10/26/2009   10/23/2009   Other
1426 N 53rd Ave          Phoenix           AZ   85043 103-30-127     Maricopa   Arturogarcia Garduno          (602) 314-4716    1426 N 53rd Ave              Phoenix           AZ   85043       1.75    930   0.02 1983   10/26/2009   10/23/2009   Condominium
5268 N 42nd Ln           Phoenix           AZ   85019 145-08-923     Maricopa   Arturo Gallegos                                 5268 N 42nd Ln               Phoenix           AZ   85019       2.75   1872   0.26 2001   10/26/2009   10/23/2009   Single Family Residence
1847 N 85th Dr           Phoenix           AZ   85037 102-87-902     Maricopa   Armando Claudia Soto                            1847 N 85th Dr               Phoenix           AZ   85037        2.5   1679   0.21 1998   10/26/2009   10/22/2009   Single Family Residence
2042 W Periwinkle Wy     Sun Lakes         AZ   85248 303-48-719     Maricopa   Arizona Realty Llc                              2042 W Periwinkle Way        Sun Lakes         AZ   85248        2.5   1311   0.08 2001   10/26/2009   10/23/2009   Single Family Residence
13627 W Calavar Rd       Sun City          AZ   85379 509-16-059     Maricopa   April Cobb IV                                   13627 W Calavar Rd           Sun City          AZ   85379         12   3062   0.16 2004   10/26/2009   10/23/2009   Single Family Residence
7307 S 55th Ln           Phoenix           AZ   85339 104-87-164     Maricopa   Apache Circle Llc                               7307 S 55th Ln               Laveen            AZ   85339          6   1528   0.11 2004   10/26/2009   10/23/2009   Other
10949 W Griswold Rd      Peoria            AZ   85345 142-74-164     Maricopa   Anna M Colella                                  10949 W Griswold Rd          Peoria            AZ   85345          8   1317   0.11 2002   10/26/2009   10/23/2009   Other
2008 E Encanto St        Mesa              AZ   85213 140-08-072     Maricopa   Andy Wendy Chaidez            (480) 664-4144    2008 E Encanto St            Mesa              AZ   85213          2   2219    0.2 1971   10/26/2009   10/22/2009   Single Family Residence
8831 E Avalon St         Mesa              AZ   85207 218-40-244     Maricopa   Andrew G Gomez                                  8831 E Avalon St             Mesa              AZ   85207              1440   0.14 1980   10/26/2009   10/23/2009   Mobile Home
13448 N 37th Ave         Phoenix           AZ   85029 149-25-135     Maricopa   Amber Decker                  (602) 795-6159    13448 N 37th Ave             Phoenix           AZ   85029         2    1513   0.16 1971   10/26/2009   10/23/2009   Single Family Residence
3326 N Brighton 18       Mesa              AZ   85207 219-19-677     Maricopa   Alicia Bautista-orozco                          3326 N Brighton Unit 18      Mesa              AZ   85207         8    1571   0.12 2002   10/26/2009   10/23/2009   Other
3446 N 130th Dr          Avondale          AZ   85392 508-03-310     Maricopa   Alex Samaniego                                  3446 N 130th Dr              Avondale          AZ   85392   3     2    1511   0.11 2001   10/26/2009   10/23/2009   Single Family Residence
11114 W College Dr       Phoenix           AZ   85037 102-90-624     Maricopa   Alejandro Robles                                11114 W College Dr           Phoenix           AZ   85037         6    2221   0.13 2007   10/26/2009   10/23/2009   Single Family Residence
5611 W State Ave         Glendale          AZ   85301 147-24-044     Maricopa   Alberto Bahena                                  5611 W State Ave             Glendale          AZ   85301         1     528   0.14 1944   10/26/2009   10/22/2009   Single Family Residence
115 S 93rd Ave           Tolleson          AZ   85353 101-07-019     Maricopa   Albert R Camacho              (623) 936-4561    115 S 93rd Ave               Tolleson          AZ   85353         2    1464   0.17 1960   10/26/2009   10/23/2009   Single Family Residence
3408 W Denton Ln D       Phoenix           AZ   85017 153-17-159     Maricopa   Albert O Schacke                                3408 W Denton Ln Unit D      Phoenix           AZ   85017         5     960   0.01 1973   10/26/2009   10/23/2009   Other
4578 S Cobblestone St    Gilbert           AZ   85297 304-57-302     Maricopa   Abraham Flores                (480) 782-7880    4578 S Cobblestone St        Gilbert           AZ   85297        12    3396   0.21 2004   10/26/2009   10/23/2009   Single Family Residence
11407 E Quicksilver Ave Mesa               AZ   85212 304-33-022     Maricopa   Abdelmalik Chaara                               11407 E Quicksilver Ave      Mesa              AZ   85212         7    2175   0.18 2003   10/26/2009   10/23/2009   Single Family Residence




                                                                                                                                               Page 24
Pre-foreclosure List
                                                                                                                                        Maricopa County Week Ending 11/2




Prevsaleprice     Prevsaledate    Foreclosure Type         Lender                        Lphone           Loan Number      Loan Date    Loan AMT           Assessed Value     Document #       Attorney/Trustee                       Trustee Number    Trustee Phone    Sale Date
       $115,000.0006/19/2002      Notice of Trustee Sale   Option One Mortgage           (800) 704-0800                                       $129,600.00         $153,300.00      20091005080 Fidelity National Title                09-03819-3        (714) 573-1965   01/30/2010 12:00 pm
       $199,206.0011/30/2005      Notice of Trustee Sale   Hsbc Bank                     (800) 975-4722                                       $159,364.00         $138,200.00      20091002202 Aztec Foreclosure                      09-018527         (602) 222-5711   01/28/2010 11:00 am
       $131,600.0009/15/1998      Notice of Trustee Sale   Downey Savings And Loan                                                            $213,450.00         $210,200.00      20091008391 Michael A Bosco Jr                     09-26641          (602) 255-6000   01/29/2010 10:00 am
       $177,030.0001/31/2002      Notice of Trustee Sale   Wells Fargo Home Mortgage     (866) 234-8271                                       $243,000.00         $232,100.00      20091006510 Michael A Bosco Jr                     09-49119          (602) 255-6000   01/29/2010 10:00 am
       $195,000.0003/19/2007      Notice of Trustee Sale                                                                   03/09/2007         $178,308.00         $206,200.00      20091005853 Quality Loan Service                   Az-09-321435-bm   (714) 573-1965   01/29/2010 12:00 pm
       $262,223.0005/16/2006      Notice of Trustee Sale   Emc Mortgage Corporation      (800) 723-3004                                       $209,778.00         $185,600.00      20091008104 Michael A Bosco Jr                     09-27035          (602) 255-6000   01/29/2010 10:00 am
       $150,000.0001/25/1999      Notice of Trustee Sale                                                                 09/19/2006           $245,000.00         $328,200.00      20091007921 Quality Loan Service                   Az-09-322689-bm   (714) 573-1965   01/29/2010 12:00 pm
       $150,000.0007/05/2006      Notice of Trustee Sale   U.s. Bancorp                  (800) 365-7772      20060900847 07/05/2006           $135,000.00         $124,100.00      20091007137 Recontrust                                               (800) 281-8219   02/03/2010 12:00 pm
       $240,671.0001/17/2006      Notice of Trustee Sale   U.s. Bancorp                  (800) 365-7772      20060064910 01/17/2006           $192,500.00         $192,500.00      20091006987 Recontrust                                               (800) 281-8219   02/03/2010 12:00 pm
       $210,000.0001/28/2005      Notice of Trustee Sale   Everhome Mortgage Company     (800) 669-9721                                       $222,500.00         $225,600.00      20091008109 Michael A Bosco Jr                     09-26418          (602) 255-6000   01/29/2010 10:00 am
       $107,000.0011/29/2000      Notice of Trustee Sale                                                                                      $141,300.00         $150,300.00      20091006398 Empire West Title Agency                                 (602) 749-7000   01/29/2010 10:00 am
       $720,000.0012/16/2003      Notice of Trustee Sale   Provident Funding             (800) 696-8199                                       $625,000.00          $72,380.00      20091006055 Jason Cotton Pa                        7092521                            01/29/2010 12:00 pm
       $322,768.0007/06/2004      Notice of Trustee Sale   Mers                          (800) 646-6377             2005 06/09/2005           $340,000.00         $275,800.00      20091005984 Security Title Agency                                    (602) 266-0275   02/08/2010 12:00 pm
       $135,500.0009/28/2001      Notice of Trustee Sale   Downey Savings And Loan                                                            $137,800.00         $208,500.00      20091008769 Michael A Bosco Jr                     09-26607          (602) 255-6000   01/29/2010 10:00 am
       $201,313.0008/15/2007      Notice of Trustee Sale   Hsbc Bank                     (800) 975-4722                                       $201,300.00          $10,380.00      20091008100 Michael A Bosco Jr                     09-26501          (602) 255-6000   01/29/2010 10:00 am
       $110,060.0002/19/1998      Notice of Trustee Sale   Biltmore Bank Of Arizona      (480) 922-7620             2007                      $216,000.00         $166,700.00      20091007871 Empire West Title Agency               2009-35770        (602) 749-7000   01/30/2010 02:00 pm
                  02/19/2004      Notice of Trustee Sale                                                     20040167139                        $26,372.00         $65,628.00      20091006931 Statewide Foreclosure                                    (602) 414-9928   01/30/2010 02:00 pm
      $144,900.00 02/11/2008      Notice of Trustee Sale   U.s. Bancorp                  (800) 365-7772                    04/22/2008         $140,750.00         $119,500.00      20091008286 Michael A Bosco Jr                     09-26408          (602) 255-6000   01/29/2010 10:00 am
      $258,900.00 10/18/2006      Notice of Trustee Sale   Hsbc Bank                     (800) 975-4722                                       $207,120.00         $166,100.00      20091008064 Michael A Bosco Jr                     09-26026          (602) 255-6000   01/29/2010 10:00 am
                                  Notice of Trustee Sale   Chase Home Finance Llc        (888) 332-3251                                       $198,900.00         $153,000.00      20091006862 First American Title                   20099019204363    (702) 304-7514   01/30/2010 02:00 pm
      $159,900.00    07/21/2003   Notice of Trustee Sale   Citimortgage, Inc             (800) 695-0935                                       $194,944.00         $129,500.00      20091008160 Michael A Bosco Jr                     09-27001          (602) 255-6000   01/29/2010 10:00 am
      $139,000.00    09/15/2008   Notice of Trustee Sale   Bank Of America               (800) 285-6000      20080421084 05/13/2008           $170,590.00         $168,000.00      20091007064 Recontrust                             09-0157962        (800) 281-8219   02/03/2010 12:00 pm
      $530,000.00    12/30/2004   Notice of Trustee Sale   Citimortgage, Inc             (800) 695-0935                  12/29/2004           $424,000.00         $540,000.00      20091007879 Cr Title Service                       To9-55832-az      (714) 573-1965   01/30/2010 02:00 pm
      $107,000.00    03/05/2004   Notice of Trustee Sale   Deutsche Bank                 (212) 250-2500             2006 09/26/2006           $184,500.00         $128,800.00      20091007144 Recontrust                                               (800) 281-8219   02/03/2010 12:00 pm
      $160,000.00    01/26/2006   Notice of Trustee Sale   Wells Fargo Home Mortgage     (866) 234-8271                                       $157,528.00         $125,500.00      20091006889 First American Title                   20099070821690    (702) 304-7514   01/30/2010 02:00 pm
      $274,150.00    08/07/2007   Notice of Trustee Sale   Bank Of America               (800) 285-6000      20070890503 08/07/2007           $267,097.00          $13,660.00      20091007102 Recontrust                                               (800) 281-8219   02/03/2010 12:00 pm
                     06/30/2003   Notice of Trustee Sale   Wells Fargo Home Mortgage     (866) 234-8271      20050723344                    $15,200,000.00        $979,680.00      20091007451 Security Title Agency                  14-89227          (602) 266-0275   01/30/2010 10:30 am
      $298,070.00    04/01/2005   Notice of Trustee Sale                                                                 02/23/2007           $400,000.00         $319,500.00      20091005849 Quality Loan Service                   Az-09-320931-bm   (714) 573-1965   01/29/2010 12:00 pm
      $496,557.00    04/30/2007   Notice of Trustee Sale   Provident Funding             (800) 696-8199                                       $398,000.00          $27,300.00      20091006114 Jason Cotton Pa                        7092513                            01/29/2010 12:00 pm
      $119,000.00    07/27/2001   Notice of Trustee Sale   Chase Home Finance Llc        (888) 332-3251             2003                      $122,300.00         $148,200.00      20091008145 Quality Loan Service                   Martinez,         (714) 573-1965   01/30/2010 02:00 pm
      $309,461.00    03/07/2006   Notice of Trustee Sale   Chase Home Finance Llc        (888) 332-3251                                       $247,568.00          $14,480.00      20091006518 Michael A Bosco Jr                     09-26882          (602) 255-6000   01/29/2010 10:00 am
      $130,000.00    03/31/2005   Notice of Trustee Sale   Chase Home Finance Llc        (888) 332-3251                                       $190,400.00         $162,600.00      20091006881 First American Title                   20099073502623    (702) 304-7514   01/30/2010 02:00 pm
      $217,825.00    06/16/2006   Notice of Trustee Sale                                                                   06/15/2006         $174,250.00          $89,100.00      20091008490 Quality Loan Service                   Az-09-321901-tc   (714) 573-1965   01/29/2010 12:00 pm
      $127,000.00    12/12/2001   Notice of Trustee Sale   Deutsche Bank                 (212) 250-2500                                       $233,000.00         $109,500.00      20091004626 Fidelity National Title                09-03798-3        (714) 573-1965   01/30/2010 12:00 pm
       $85,000.00    03/30/1995   Notice of Trustee Sale   Chase Home Finance Llc        (888) 332-3251                                         $82,201.00        $210,300.00      20091006856 First American Title                   20099073502616    (702) 304-7514   01/30/2010 02:00 pm
                     12/19/2001   Notice of Trustee Sale                                                                                      $224,000.00          $12,600.00      20091002192 Aztec Foreclosure                      09-018059         (602) 222-5711   01/28/2010 11:00 am
      $104,000.00    04/03/2003   Notice of Trustee Sale   Wells Fargo Home Mortgage     (866) 234-8271                                       $104,000.00         $143,800.00      20091006512 Michael A Bosco Jr                     09-49118          (602) 255-6000   01/29/2010 10:00 am
      $499,000.00    12/13/2004   Notice of Trustee Sale   Wells Fargo Home Mortgage     (866) 234-8271                                       $399,200.00          $31,050.00      20091006822 First American Title                   20099070821616    (702) 304-7514   01/30/2010 02:00 pm
      $139,600.00    12/20/2002   Notice of Trustee Sale   Midfirst Bank                 (800) 877-1674                    01/26/2004         $142,145.00         $174,000.00      20091006479 Quality Loan Service                   Az-09-323222-bm   (714) 573-1965   02/01/2010 12:00 pm
      $172,507.00    03/14/1996   Notice of Trustee Sale   Citimortgage, Inc             (800) 695-0935                                       $328,000.00         $283,700.00      20091008155 Michael A Bosco Jr                     09-26494          (602) 255-6000   01/29/2010 10:00 am
      $129,000.00    05/09/2007   Notice of Trustee Sale   Deutsche Bank                 (212) 250-2500                                       $109,650.00          $59,000.00      20091007586 Old Republic Nat'l Title Insurance C                     (714) 573-1965   01/30/2010 02:00 pm
      $126,500.00    09/19/2008   Notice of Trustee Sale   Bank Of America               (800) 285-6000      20080813359 09/19/2008           $124,545.00         $166,800.00      20091007058 Recontrust                                               (800) 281-8219   01/30/2010 02:00 pm
      $286,500.00    07/22/2005   Notice of Trustee Sale   Bank Of America               (800) 285-6000                  07/22/2005           $214,875.00          $13,450.00      20091009007 California Reconveyance                137861az          (714) 573-1965   01/30/2010 02:00 pm
      $118,000.00    05/11/2004   Notice of Trustee Sale   U.s. Bancorp                  (800) 365-7772                  07/19/2006           $153,000.00         $140,700.00      20091007689 Mtc Financial                          Azo869876                          01/29/2010 12:00 pm
      $115,000.00    01/03/2002   Notice of Trustee Sale   U.s. Bancorp                  (800) 365-7772                                       $113,981.00         $150,300.00      20091008281 Michael A Bosco Jr                     09-26594          (602) 255-6000   01/29/2010 10:00 am
       $57,000.00    04/10/1995   Notice of Trustee Sale   Litton Loan Servicing Lp      (800) 247-9727                                       $172,000.00         $133,600.00      20091008076 Michael A Bosco Jr                     09-26425          (602) 255-6000   01/29/2010 10:00 am
       $89,900.00    10/23/2001   Notice of Trustee Sale   Citimortgage, Inc             (800) 695-0935                  10/18/2001             $89,103.00        $113,700.00      20091007886 Cr Title Service                       To9-55845-az      (714) 573-1965   01/30/2010 02:00 pm
       $71,532.00    04/26/1996   Notice of Trustee Sale   Mers                          (800) 646-6377             2006 01/20/2006           $185,000.00         $157,800.00      20091005962 Security Title Agency                                    (602) 266-0275   02/08/2010 12:00 pm
      $139,900.00    05/04/2004   Notice of Trustee Sale   Beneficial Mortgage Co        (888) 223-0555                                       $210,405.00         $122,000.00      20091002200 Aztec Foreclosure                      09-018893         (602) 222-5711   01/28/2010 11:00 am
      $217,000.00    05/20/2005   Notice of Trustee Sale   Hsbc Bank                     (800) 975-4722                                       $216,000.00         $172,200.00      20091004237 Fidelity National Title                09-03817-3        (714) 573-1965   01/30/2010 12:00 pm
      $305,000.00    02/16/2005   Notice of Trustee Sale   The Bank Of New York Mellon   (212) 495-1784      20061163529 08/31/2006           $292,400.00         $199,100.00      20091007195 Recontrust                                               (800) 281-8219   01/30/2010 02:00 pm
      $245,877.00    04/29/2005   Notice of Trustee Sale   The Bank Of New York Mellon   (212) 495-1784             2006 03/03/2006           $292,000.00          $16,560.00      20091007146 Recontrust                                               (800) 281-8219   02/03/2010 12:00 pm




                                                                                                                                                        Page 25
Pre-foreclosure List
                                                                                                                                 Maricopa County Week Ending 11/2

 $61,000.00   06/19/1995   Notice of Trustee Sale                                                                   09/12/2006        $234,500.00     $220,300.00   20091007944 Quality Loan Service                   Az-09-322690-bm   (714) 573-1965   01/29/2010 12:00 pm
$185,000.00   04/27/2004   Notice of Trustee Sale   Phh Mortgage                     (800) 210-8849                                   $185,000.00     $217,500.00   20091002204 Aztec Foreclosure                      09-018886         (602) 222-5711   01/28/2010 11:00 am
$160,000.00   04/28/2003   Notice of Trustee Sale                                                                                   $21,600,000.00    $201,000.00   20091007588 Old Republic Nat'l Title Insurance C   09-35506          (714) 573-1965   01/30/2010 02:00 pm
$260,000.00   07/11/2006   Notice of Trustee Sale   Washington Mutual                                               09/05/2007        $192,000.00     $161,200.00   20091006024 California Reconveyance                137849az          (714) 573-1965   01/30/2010 02:00 pm
$125,500.00   10/21/1998   Notice of Trustee Sale   Citimortgage, Inc                (800) 695-0935                                   $218,500.00     $198,800.00   20091008148 Michael A Bosco Jr                     09-25844          (602) 255-6000   01/29/2010 10:00 am
 $85,900.00   04/19/2006   Notice of Trustee Sale                                                                   04/17/2006          $68,700.00     $65,500.00   20091008512 Quality Loan Service                   Az-09-322230-tc   (714) 573-1965   01/29/2010 12:00 pm
 $79,900.00   03/11/1992   Notice of Trustee Sale   Citimortgage, Inc                (800) 695-0935                                     $92,000.00    $160,500.00   20091008163 Michael A Bosco Jr                     09-26684          (602) 255-6000   01/29/2010 10:00 am
$128,500.00   03/20/2002   Notice of Trustee Sale   Chase Home Finance Llc           (888) 332-3251                                   $126,367.00     $140,100.00   20091008200 First American Title                   20099073502615    (702) 304-7514   01/30/2010 02:00 pm
$108,000.00   10/03/2000   Notice of Trustee Sale                                                                   08/31/2006        $180,000.00     $138,800.00   20091007916 Quality Loan Service                   Az-09-322585-bm   (714) 573-1965   01/29/2010 12:00 pm
$169,900.00   10/29/2008   Notice of Trustee Sale   Wells Fargo Home Mortgage        (866) 234-8271                                   $187,267.00     $205,800.00   20091006916 First American Title                   20099070821683    (702) 304-7514   01/30/2010 02:00 pm
 $31,500.00   07/08/1974   Notice of Trustee Sale   The Bank Of New York Mellon      (212) 495-1784          2005 11/16/2005          $456,000.00     $151,700.00   20091006995 Recontrust                             09-0161620        (800) 281-8219   02/03/2010 12:00 pm
              05/05/2008   Notice of Trustee Sale   Wells Fargo Home Mortgage        (866) 234-8271                                   $177,434.00      $11,010.00   20091006906 First American Title                   20099070821661    (702) 304-7514   01/30/2010 02:00 pm
 $50,500.00   01/26/1990   Notice of Trustee Sale                                                        87157786 03/17/1987            $51,500.00    $134,000.00   20091007172 Recontrust                                               (800) 281-8219   01/30/2010 02:00 pm
 $83,640.00   02/24/1998   Notice of Trustee Sale   Deutsche Bank                    (212) 250-2500                                   $129,200.00     $147,700.00   20091008865 Quality Loan Service                   7104              (714) 573-1965   01/30/2010 02:00 pm
$514,207.00   11/17/2005   Notice of Trustee Sale   Aurora Loan Services             (720) 945-3000                                   $411,365.00     $441,500.00   20091008435 Cal Western Reconveyance               1246747-14        (800) 546-1531   01/30/2010 02:00 pm
$410,000.00   08/03/2005   Notice of Trustee Sale   Select Portfolio Servicing Inc   (904) 722-7000                 08/02/2005        $369,000.00     $312,300.00   20091008517 Quality Loan Service                   Az-09-323081-rt   (714) 573-1965   01/29/2010 12:00 pm
$185,000.00   02/22/2006   Notice of Trustee Sale   Bank Of America                  (800) 285-6000                                   $148,000.00     $149,700.00   20091008110 Michael A Bosco Jr                     09-27212          (602) 255-6000   01/29/2010 10:00 am
 $98,000.00   05/16/2007   Notice of Trustee Sale   The Bank Of New York Mellon      (212) 495-1784   20070573114 05/16/2007            $78,100.00     $80,000.00   20091006974 Recontrust                             09-0159669        (800) 281-8219   01/30/2010 02:00 pm
$285,000.00   03/10/2005   Notice of Trustee Sale                                                     20050297285 03/10/2005          $228,000.00     $240,500.00   20091007236 Recontrust                                               (800) 281-8219   02/03/2010 12:00 pm
$205,000.00   10/31/2006   Notice of Trustee Sale   Hsbc Bank                        (800) 975-4722                                   $164,000.00     $130,600.00   20091008062 Michael A Bosco Jr                     09-26022          (602) 255-6000   01/29/2010 10:00 am
$241,000.00   05/26/2006   Notice of Trustee Sale   Bank Of America                  (800) 285-6000          2006 05/26/2006          $192,800.00     $164,700.00   20091007157 Recontrust                                               (800) 281-8219   02/03/2010 12:00 pm
$115,000.00   08/30/2000   Notice of Trustee Sale   The Bank Of New York Mellon      (212) 495-1784   20061611890 12/11/2006          $257,400.00     $189,500.00   20091007084 Recontrust                                               (800) 281-8219   01/30/2010 02:00 pm
$145,900.00   02/15/2005   Notice of Trustee Sale   Nationstar Mortgage              (800) 306-9027               02/07/2005          $145,900.00     $183,300.00   20091008598 Quality Loan Service                   Az-09-323247-ab   (714) 573-1965   01/29/2010 12:00 pm
$100,000.00   08/16/2001   Notice of Trustee Sale   U.s. Bancorp                     (800) 365-7772                                   $109,294.00     $112,800.00   20091008347 Michael A Bosco Jr                     09-26634          (602) 255-6000   01/29/2010 10:00 am
$227,769.00   04/20/2005   Notice of Trustee Sale   Chase Home Finance Llc           (888) 332-3251                                   $238,000.00     $137,200.00   20091009517 Michael A Bosco Jr                     09-26563          (602) 255-6000   01/29/2010 10:00 am
$285,000.00   07/11/2005   Notice of Trustee Sale   Wells Fargo Home Mortgage        (866) 234-8271                                   $294,405.00     $220,000.00   20091006843 First American Title                   20099070821633    (702) 304-7514   01/30/2010 02:00 pm
$133,000.00   11/12/2004   Notice of Trustee Sale   Chase Home Finance Llc           (888) 332-3251                                   $168,000.00     $150,500.00   20091006508 Michael A Bosco Jr                     09-26830          (602) 255-6000   01/29/2010 10:00 am
$376,266.00   07/03/2006   Notice of Trustee Sale   Chase Home Finance Llc           (888) 332-3251                                   $357,452.00     $247,500.00   20091009511 Michael A Bosco Jr                     09-26527          (602) 255-6000   01/29/2010 10:00 am
$146,442.00   12/05/2006   Notice of Trustee Sale   Wells Fargo Home Mortgage        (866) 234-8271                                   $220,000.00     $194,500.00   20091009554 Michael A Bosco Jr                     08-49907          (602) 255-6000   01/29/2010 10:00 am
$327,163.00   05/30/2007   Notice of Trustee Sale   Chase Home Finance Llc           (888) 332-3251                                   $245,372.00     $240,100.00   20091009541 Michael A Bosco Jr                     09-26995          (602) 255-6000   01/29/2010 10:00 am
 $95,000.00   01/11/1999   Notice of Trustee Sale   Bank Of America                  (800) 285-6000          2005 08/12/2005          $169,600.00     $162,600.00   20091007075 Recontrust                                               (800) 281-8219   01/30/2010 02:00 pm
$258,954.00   03/23/2006   Notice of Trustee Sale   Amtrust Bank                     (888) 696-4444                                   $181,268.00     $202,000.00   20091008431 Cal Western Reconveyance               1204471-14        (800) 546-1531   01/30/2010 02:00 pm
$192,170.00   09/29/2003   Notice of Trustee Sale   Chase Home Finance Llc           (888) 332-3251                                   $255,983.00     $241,800.00   20091006869 First American Title                   20099073502622    (702) 304-7514   01/30/2010 02:00 pm
$143,000.00   04/30/2008   Notice of Trustee Sale   Mers                             (800) 646-6377          2008 04/25/2008          $140,790.00      $66,100.00   20091005981 Security Title Agency                                    (602) 266-0275   02/08/2010 12:00 pm
$228,950.00   06/06/2007   Notice of Trustee Sale   Wells Fargo Home Mortgage        (866) 234-8271                                   $233,872.00     $179,800.00   20091006839 First American Title                   20099070821619    (702) 304-7514   01/30/2010 02:00 pm
$189,000.00   03/25/2005   Notice of Trustee Sale   Citimortgage, Inc                (800) 695-0935                 04/09/2007        $184,000.00     $166,500.00   20091007914 Cr Title Service                       To9-55856-az      (714) 573-1965   01/30/2010 02:00 pm
$249,900.00   09/27/2007   Notice of Trustee Sale   Hsbc Bank                        (800) 975-4722                                   $249,900.00     $174,800.00   20091008096 Michael A Bosco Jr                     09-26502          (602) 255-6000   01/29/2010 10:00 am
$421,336.00   03/14/2007   Notice of Trustee Sale   Bank Of America                  (800) 285-6000   20070304114 03/14/2007          $399,999.00     $239,800.00   20091007097 Recontrust                                               (800) 281-8219   01/30/2010 02:00 pm
 $41,000.00   05/09/1990   Notice of Trustee Sale   Chase Home Finance Llc           (888) 332-3251                                   $202,500.00     $174,600.00   20091006866 First American Title                   20099019204364    (702) 304-7514   01/30/2010 02:00 pm
$179,000.00   06/30/2006   Notice of Trustee Sale   Deutsche Bank                    (212) 250-2500   20060887214 06/30/2006          $125,300.00      $49,600.00   20091007185 Recontrust                                               (800) 281-8219   02/03/2010 12:00 pm
$145,000.00   08/05/2004   Notice of Trustee Sale   Deutsche Bank                    (212) 250-2500                                   $113,600.00     $172,700.00   20091004230 Fidelity National Title                09-03802-3        (714) 573-1965   01/30/2010 12:00 pm
$143,700.00   10/19/2001   Notice of Trustee Sale   U.s. Bancorp                     (800) 365-7772                 10/14/2004        $131,200.00     $144,800.00   20091007695 Mtc Financial                          Azo859874                          02/01/2010 12:00 pm
$238,340.00   11/24/2003   Notice of Trustee Sale   Provident Funding                (800) 696-8199                                     $29,000.00    $307,700.00   20091006111 Jason Cotton Pa                        7092516                            01/29/2010 12:00 pm
$215,000.00   12/15/2006   Notice of Trustee Sale   Wells Fargo Home Mortgage        (866) 234-8271          2007                     $207,000.00     $113,200.00   20091007472 Quality Loan Service                   49148             (714) 573-1965   01/30/2010 02:00 pm
$248,411.00   03/31/2006   Notice of Trustee Sale   Deutsche Bank                    (212) 250-2500                                   $198,728.00     $203,300.00   20091007585 Old Republic Nat'l Title Insurance C                     (714) 573-1965   01/30/2010 02:00 pm
$115,500.00   04/21/2003   Notice of Trustee Sale   Chase Home Finance Llc           (888) 332-3251                                   $169,000.00     $144,200.00   20091006504 Michael A Bosco Jr                     09-26826          (602) 255-6000   01/29/2010 10:00 am
$429,955.00   12/05/2006   Notice of Trustee Sale   Chase Home Finance Llc           (888) 332-3251                                   $332,100.00     $242,200.00   20091009536 Michael A Bosco Jr                     09-26993          (602) 255-6000   01/29/2010 10:00 am
$305,000.00   12/30/2004   Notice of Trustee Sale   The Bank Of New York Mellon      (212) 495-1784   20061163347 08/31/2006          $276,000.00     $161,300.00   20091007105 Recontrust                                               (800) 281-8219   01/30/2010 02:00 pm
$257,950.00   07/01/2002   Notice of Trustee Sale   The Bank Of New York Mellon      (212) 495-1784   20060822623 06/19/2006          $449,000.00     $317,700.00   20091007256 Recontrust                                               (800) 281-8219   02/03/2010 12:00 pm
$304,980.00   08/28/2006   Notice of Trustee Sale   Deutsche Bank                    (212) 250-2500   20061142719 08/28/2006          $237,621.00     $219,300.00   20091007061 Recontrust                             09-0151622        (800) 281-8219   02/03/2010 12:00 pm
$535,000.00   02/13/2007   Notice of Trustee Sale   Hsbc Bank                        (800) 975-4722                                   $500,000.00      $27,970.00   20091008051 Michael A Bosco Jr                     09-26014          (602) 255-6000   01/29/2010 10:00 am
 $90,000.00   02/28/1990   Notice of Trustee Sale   Bank Of America                  (800) 285-6000   20051655700 11/01/2005          $240,000.00     $230,200.00   20091007208 Recontrust                                               (800) 281-8219   01/30/2010 02:00 pm
 $85,000.00   01/04/2002   Notice of Trustee Sale   Argent Securities Inc            (404) 965-5353                                   $124,000.00     $114,700.00   20091007438 Mtc Financial                          Az0859903                          02/01/2010 12:00 pm
$242,100.00   12/20/2007   Notice of Trustee Sale                                                                   12/17/2007        $242,100.00     $254,000.00   20091008510 Quality Loan Service                   Az-09-322228-tc   (714) 573-1965   01/29/2010 12:00 pm
$269,000.00   08/30/2006   Notice of Trustee Sale   Provident Funding                (800) 696-8199                                   $215,200.00     $203,500.00   20091006129 Jason Cotton Pa                        7092515                            01/29/2010 12:00 pm
              06/14/2005   Notice of Trustee Sale   Litton Loan Servicing Lp         (800) 247-9727                 07/18/2006        $216,750.00      $12,519.00   20091008523 Quality Loan Service                   Az-09-322750-bl   (714) 573-1965   01/29/2010 12:00 pm
 $25,000.00   06/18/1986   Notice of Trustee Sale   Wells Fargo Home Mortgage        (866) 234-8271                                   $340,000.00     $223,000.00   20091004212 Fidelity National Title                09-03793-3        (714) 573-1965   01/30/2010 12:00 pm




                                                                                                                                                Page 26
Pre-foreclosure List
                                                                                                                               Maricopa County Week Ending 11/2

$123,900.00   12/03/2003   Notice of Trustee Sale   Wells Fargo Home Mortgage        (866) 234-8271                                 $168,000.00      $160,500.00   20091009531 Michael A Bosco Jr         09-49171          (602) 255-6000   01/29/2010 10:00 am
$258,050.00   08/20/2003   Notice of Trustee Sale   The Bank Of New York Mellon      (212) 495-1784   20051744679 11/17/2005        $365,500.00      $302,600.00   20091007199 Recontrust                                   (800) 281-8219   01/30/2010 02:00 pm
$136,568.00   10/22/2004   Notice of Trustee Sale   The Bank Of New York Mellon      (212) 495-1784   20061261234 09/25/2006        $205,000.00      $149,600.00   20091007109 Recontrust                                   (800) 281-8219   01/30/2010 02:00 pm
 $69,500.00   07/30/1986   Notice of Trustee Sale                                                                                   $106,000.00      $165,700.00   20091008271 Aztec Foreclosure          09-017821         (602) 222-5711   01/29/2010 11:00 am
              10/28/2005   Notice of Trustee Sale   First Credit Union               (800) 998-3328          2005                   $150,000.00       $24,880.00   20091008059 Fidelity National Title    09-0243-f         (714) 573-1965   01/30/2010 02:00 pm
$518,265.00   08/08/2006   Notice of Trustee Sale   Bank Of America                  (800) 285-6000   20061056394 08/08/2006        $414,600.00      $343,800.00   20091005546 Recontrust                 09-0154186        (800) 281-8219   02/02/2010 12:00 pm
$468,205.00   09/01/2006   Notice of Trustee Sale   Citimortgage, Inc                (800) 695-0935                                 $407,000.00      $318,100.00   20091008151 Michael A Bosco Jr         09-26694          (602) 255-6000   01/29/2010 10:00 am
 $79,000.00   05/23/1997   Notice of Trustee Sale   Washington Mutual                                             06/29/2007        $165,000.00      $245,700.00   20091007698 Security Title Agency      Az-09-323373-pj   (602) 266-0275   01/29/2010 12:00 pm
$188,952.00   01/05/2006   Notice of Trustee Sale   Wells Fargo Home Mortgage        (866) 234-8271                                 $192,473.00      $137,000.00   20091006849 First American Title       20099070821636    (702) 304-7514   01/30/2010 02:00 pm
              04/02/2007   Notice of Trustee Sale                                                                                  $4,050,000.00     $358,170.00   20091008399 Quality Loan Service                         (714) 573-1965   01/30/2010 10:00 am
$117,000.00   04/30/2001   Notice of Trustee Sale   Wachovia Corporation             (800) 922-4684                                 $179,000.00      $115,200.00   20091008085 Michael A Bosco Jr         09-26679          (602) 255-6000   01/29/2010 10:00 am
$166,000.00   10/13/2005   Notice of Trustee Sale   U.s. Bancorp                     (800) 365-7772   20070790443 07/11/2007        $141,438.00      $138,200.00   20091007132 Recontrust                 09-0161642        (800) 281-8219   02/03/2010 12:00 pm
$133,090.00   08/19/2004   Notice of Trustee Sale   Wells Fargo Home Mortgage        (866) 234-8271                                 $131,235.00      $161,200.00   20091006860 First American Title       20099070821638    (702) 304-7514   01/30/2010 02:00 pm
$128,850.00   05/06/2005   Notice of Trustee Sale   Wells Fargo Home Mortgage        (866) 234-8271                                 $126,760.00      $128,200.00   20091006908 First American Title       20099070821680    (702) 304-7514   01/30/2010 02:00 pm
              06/07/2007   Notice of Trustee Sale   Wells Fargo Home Mortgage        (866) 234-8271                                 $157,500.00       $74,000.00   20091006514 Michael A Bosco Jr         09-49142          (602) 255-6000   01/29/2010 10:00 am
$287,000.00   05/18/2007   Notice of Trustee Sale   Everhome Mortgage Company        (800) 669-9721                                 $287,000.00      $209,300.00   20091008091 Michael A Bosco Jr         09-26449          (602) 255-6000   01/29/2010 10:00 am
$395,000.00   05/31/2006   Notice of Trustee Sale   U.s. Bancorp                     (800) 365-7772   20060732477 05/31/2006        $276,500.00      $278,969.00   20091007579 Recontrust                                   (800) 281-8219   02/03/2010 12:00 pm
$255,196.00   10/09/2007   Notice of Trustee Sale   Wells Fargo Home Mortgage        (866) 234-8271                                 $260,682.00       $34,500.00   20091006837 First American Title       20099070821617    (702) 304-7514   01/30/2010 02:00 pm
$139,100.00   10/21/2003   Notice of Trustee Sale   Washington Mutual                                                               $203,400.00      $136,300.00   20091008552 California Reconveyance    137197az          (714) 573-1965   01/30/2010 02:00 pm
$183,000.00   06/03/2005   Notice of Trustee Sale   Wachovia Corporation             (800) 922-4684          2005 06/03/2005        $146,400.00      $163,300.00   20091006978 Recontrust                                   (800) 281-8219   02/03/2010 12:00 pm
$210,000.00   01/13/2006   Notice of Trustee Sale   Chase Home Finance Llc           (888) 332-3251                                 $160,000.00      $190,000.00   20091006522 Michael A Bosco Jr         09-26885          (602) 255-6000   01/29/2010 10:00 am
$350,000.00   06/30/2006   Notice of Trustee Sale   Bank Of America                  (800) 285-6000   20060890254 06/30/2006        $280,000.00      $204,500.00   20091007078 Recontrust                 09-0159661        (800) 281-8219   01/30/2010 02:00 pm
$820,000.00   09/06/2006   Notice of Trustee Sale   The Bank Of New York Mellon      (212) 495-1784          2006 09/06/2006        $656,000.00      $382,200.00   20091007219 Recontrust                                   (800) 281-8219   01/30/2010 02:00 pm
$229,421.00   03/30/2006   Notice of Trustee Sale   Citimortgage, Inc                (800) 695-0935                                 $234,000.00      $142,600.00   20091004233 Fidelity National Title    09-03816-3        (714) 573-1965   01/30/2010 12:00 pm
$315,000.00   11/07/2005   Notice of Trustee Sale   Bank Of America                  (800) 285-6000   20051685368 11/07/2005        $252,000.00      $170,300.00   20091007152 Recontrust                                   (800) 281-8219   02/03/2010 12:00 pm
$231,176.00   12/20/2005   Notice of Trustee Sale   Chase Home Finance Llc           (888) 332-3251                                 $160,000.00      $186,100.00   20091006540 Michael A Bosco Jr         09-26990          (602) 255-6000   01/29/2010 10:00 am
 $96,000.00   05/15/2002   Notice of Trustee Sale   Everhome Mortgage Company        (800) 669-9721               06/29/2005        $101,150.00      $150,600.00   20091008089 Michael A Bosco Jr         09-26467          (602) 255-6000   01/29/2010 10:00 am
$122,000.00   12/29/2000   Notice of Trustee Sale   Bank Of America                  (800) 285-6000   20051794153 11/28/2005        $204,800.00      $173,000.00   20091007233 Recontrust                                   (800) 281-8219   02/03/2010 12:00 pm
$146,500.00   04/29/2003   Notice of Trustee Sale   Provident Funding                (800) 696-8199                                 $128,000.00      $176,700.00   20091006030 Jason Cotton Pa            7092517                            01/29/2010 12:00 pm
$210,000.00   12/11/2006   Notice of Trustee Sale   Chase Home Finance Llc           (888) 332-3251                                 $189,000.00      $148,700.00   20091009528 Michael A Bosco Jr         09-26985          (602) 255-6000   01/29/2010 10:00 am
$302,500.00   03/31/2006   Notice of Trustee Sale   Chase Home Finance Llc           (888) 332-3251               03/31/2006        $242,000.00      $175,600.00   20091008992 California Reconveyance    137865az          (714) 573-1965   01/30/2010 02:00 pm
$202,000.00   04/21/2008   Notice of Trustee Sale   Chase Home Finance Llc           (888) 332-3251                                 $198,879.00       $91,000.00   20091008858 Quality Loan Service       7037              (714) 573-1965   01/30/2010 02:00 pm
$425,794.00   12/12/2006   Notice of Trustee Sale   The Bank Of New York Mellon      (212) 495-1784   20061619351 12/12/2006        $340,600.00      $293,200.00   20091007113 Recontrust                                   (800) 281-8219   01/30/2010 02:00 pm
$106,000.00   09/27/1996   Notice of Trustee Sale   The Bank Of New York Mellon      (212) 495-1784   20061264944 09/25/2006        $360,000.00      $296,600.00   20091007087 Recontrust                                   (800) 281-8219   01/30/2010 02:00 pm
$255,780.00   02/02/1998   Notice of Trustee Sale   Provident Funding                (800) 696-8199                                 $500,000.00      $475,000.00   20091006033 Jason Cotton Pa            7092520                            01/29/2010 12:00 pm
$284,000.00   01/14/1998   Notice of Trustee Sale   Flagstar Bank                    (800) 968-7700                                 $359,000.00       $40,220.00   20091008349 Michael A Bosco Jr         09-26896          (602) 255-6000   01/29/2010 10:00 am
$130,000.00   02/11/2004   Notice of Trustee Sale   Citimortgage, Inc                (800) 695-0935                                 $124,000.00      $139,500.00   20091008157 Michael A Bosco Jr         09-26919          (602) 255-6000   01/29/2010 10:00 am
$108,150.00   05/29/2003   Notice of Trustee Sale                                                                 06/15/2007        $138,750.00      $141,500.00   20091008519 Quality Loan Service       Az-09-322444-tc   (714) 573-1965   01/29/2010 12:00 pm
$279,000.00   01/26/2006   Notice of Trustee Sale   Wells Fargo Home Mortgage        (866) 234-8271                                 $223,200.00      $182,100.00   20091006900 First American Title       20099070821660    (702) 304-7514   01/30/2010 02:00 pm
 $35,000.00   09/22/1997   Notice of Trustee Sale   Hsbc Bank                        (800) 975-4722                                 $111,600.00      $127,600.00   20091002190 Aztec Foreclosure          09-018567         (602) 222-5711   01/28/2010 11:00 am
$165,000.00   12/28/2004   Notice of Trustee Sale   Bank Of America                  (800) 285-6000   20041528267 12/28/2004        $132,000.00      $160,200.00   20091007161 Recontrust                                   (800) 281-8219   02/03/2010 12:00 pm
$180,260.00   03/31/2005   Notice of Trustee Sale   Select Portfolio Servicing Inc   (904) 722-7000                                 $212,000.00      $111,600.00   20091008107 Michael A Bosco Jr         09-27214          (602) 255-6000   01/29/2010 10:00 am
$229,900.00   08/06/2004   Notice of Trustee Sale   Provident Funding                (800) 696-8199                                 $240,000.00       $18,120.00   20091006036 Jason Cotton Pa            7092522                            01/29/2010 12:00 pm
$135,000.00   04/27/2005   Notice of Trustee Sale   Deutsche Bank                    (212) 250-2500                                 $152,000.00       $90,000.00   20091004618 Fidelity National Title    09-03799-3        (714) 573-1965   01/30/2010 12:00 pm
              11/23/2005   Notice of Trustee Sale   Aurora Loan Services             (720) 945-3000                                 $277,000.00       $24,850.00   20091008433 Cal Western Reconveyance   1246743-14        (800) 546-1531   01/30/2010 02:00 pm
$355,000.00   07/19/2005   Notice of Trustee Sale   Aurora Loan Services             (720) 945-3000                                 $284,000.00      $236,200.00   20091008425 Cal Western Reconveyance   1246741-14        (800) 546-1531   01/30/2010 02:00 pm
$226,359.00   10/31/2007   Notice of Trustee Sale                                                                 10/30/2007        $215,041.00       $16,120.00   20091007928 Quality Loan Service       Az-09-322967-bm   (714) 573-1965   01/29/2010 12:00 pm
$385,000.00   10/14/2005   Notice of Trustee Sale   Bank Of America                  (800) 285-6000   20051531785 10/14/2005        $308,000.00      $266,800.00   20091006998 Recontrust                                   (800) 281-8219   02/03/2010 12:00 pm
$220,000.00   02/20/2002   Notice of Trustee Sale   Bank Of America                  (800) 285-6000   20070221844 02/23/2007        $344,000.00      $290,700.00   20091007229 Recontrust                                   (800) 281-8219   01/30/2010 02:00 pm
$291,000.00   11/02/2005   Notice of Trustee Sale   The Bank Of New York Mellon      (212) 495-1784   20051659272 11/02/2005        $199,500.00      $170,100.00   20091007205 Recontrust                 09-0159650        (800) 281-8219   01/30/2010 02:00 pm
$486,500.00   05/18/2001   Notice of Trustee Sale   Emc Mortgage Corporation         (800) 723-3004               05/16/2001        $389,200.00      $542,500.00   20091005857 Quality Loan Service       Az-09-322850-rm   (714) 573-1965   01/29/2010 12:00 pm
$270,825.00   12/21/2006   Notice of Trustee Sale   Emc Mortgage Corporation         (800) 723-3004                                 $216,660.00      $189,200.00   20091008094 Michael A Bosco Jr         09-26460          (602) 255-6000   01/29/2010 10:00 am
$410,000.00   10/29/1999   Notice of Trustee Sale   Deutsche Bank                    (212) 250-2500               10/24/2006        $635,000.00      $576,800.00   20091008501 Quality Loan Service       Az-09-322098-tc   (714) 573-1965   01/29/2010 12:00 pm
$161,072.00   03/04/2005   Notice of Trustee Sale   Nationstar Mortgage              (800) 306-9027               01/26/2006        $198,000.00      $143,200.00   20091008595 First American Title       Az-09-323246-ab   (702) 304-7514   01/29/2010 12:00 pm
$235,000.00   09/12/2006   Notice of Trustee Sale   Deutsche Bank                    (212) 250-2500   20061210556 09/12/2006        $223,250.00      $162,800.00   20091006991 Recontrust                 09-0161637        (800) 281-8219   02/03/2010 12:00 pm
$200,000.00   02/28/2007   Notice of Trustee Sale                                                                                   $163,200.00      $142,100.00   20091008070 Michael A Bosco Jr         09-26676          (602) 255-6000   01/29/2010 10:00 am
$213,750.00   03/06/1992   Notice of Trustee Sale                                                                 05/17/2006       $1,365,000.00   $1,519,100.00   20091005855 Quality Loan Service       Az-09-321436-bm   (714) 573-1965   01/29/2010 12:00 pm




                                                                                                                                              Page 27
Pre-foreclosure List
                                                                                                                             Maricopa County Week Ending 11/2

$160,730.00   08/22/2003   Notice of Trustee Sale   Phh Mortgage                   (800) 210-8849                                 $235,000.00      $184,600.00   20091008068 Michael A Bosco Jr        09-26231          (602) 255-6000   01/29/2010 10:00 am
$119,500.00   07/29/2005   Notice of Trustee Sale   Bank Of America                (800) 285-6000               07/29/2005          $95,600.00       $6,320.00   20091009000 California Reconveyance   137862az          (714) 573-1965   01/30/2010 02:00 pm
$460,000.00   11/15/2006   Notice of Trustee Sale                                                               11/14/2006        $315,000.00      $264,600.00   20091007925 Quality Loan Service      Az-09-322692-bm   (714) 573-1965   01/29/2010 12:00 pm
$190,000.00   09/15/2008   Notice of Trustee Sale   Wells Fargo Home Mortgage      (866) 234-8271                                 $194,050.00      $245,600.00   20091006854 First American Title      20099070821631    (702) 304-7514   01/30/2010 02:00 pm
$337,000.00   09/17/2003   Notice of Trustee Sale   Suntrust Mortgage Inc          (800) 786-8787                                 $417,000.00      $418,500.00   20091007700 Aztec Foreclosure         09-018924         (602) 222-5711   01/29/2010 11:00 am
$165,620.00   03/18/2008   Notice of Trustee Sale   U.s. Bancorp                   (800) 365-7772                                 $163,060.00      $153,200.00   20091008275 Michael A Bosco Jr        09-26340          (602) 255-6000   01/29/2010 10:00 am
$139,500.00   02/06/2004   Notice of Trustee Sale   Wachovia Corporation           (800) 922-4684               08/25/2005        $169,000.00      $178,500.00   20091007437 Mtc Financial             Azo859900                          02/01/2010 12:00 pm
$119,510.00   05/29/2002   Notice of Trustee Sale                                                   20061621344 12/12/2006        $211,500.00      $143,800.00   20091007251 Recontrust                                  (800) 281-8219   02/03/2010 12:00 pm
$154,900.00   09/29/2003   Notice of Trustee Sale   Hsbc Bank                      (800) 975-4722                                 $190,000.00      $156,700.00   20091002198 Aztec Foreclosure         09-018543         (602) 222-5711   01/28/2010 11:00 am
$160,000.00   04/24/2008   Notice of Trustee Sale                                                                                 $128,000.00       $10,350.00   20091008165 Aztec Foreclosure         09-017724         (602) 222-5711   01/29/2010 11:00 am
$260,000.00   12/01/2005   Notice of Trustee Sale   Bank Of America                (800) 285-6000   20051822242 12/01/2005        $182,000.00      $162,700.00   20091007001 Recontrust                                  (800) 281-8219   02/03/2010 12:00 pm
$111,190.00   02/21/2002   Notice of Trustee Sale   American Home Mortgage         (877) 304-3100                                 $110,400.00      $150,800.00   20091005290 Fidelity National Title   09-03812-3        (714) 573-1965   01/30/2010 12:00 pm
$144,944.00   06/24/2004   Notice of Trustee Sale   Citimortgage, Inc              (800) 695-0935               06/23/2004        $142,925.00      $171,000.00   20091007972 Cr Title Service          To9-55854-az      (714) 573-1965   01/30/2010 02:00 pm
              09/03/2004   Notice of Trustee Sale                                                               09/14/2006        $262,500.00       $13,994.00   20091007919 Quality Loan Service      Az-09-322688-bm   (714) 573-1965   01/29/2010 12:00 pm
$196,444.00   02/21/2006   Notice of Trustee Sale   Deutsche Bank                  (212) 250-2500               02/15/2006        $157,100.00      $139,300.00   20091008503 Quality Loan Service      Az-09-322100-tc   (714) 573-1965   01/29/2010 12:00 pm
$202,000.00   08/29/2008   Notice of Trustee Sale   Wells Fargo Home Mortgage      (866) 234-8271                                 $204,880.00      $212,100.00   20091006818 First American Title      20099070821615    (702) 304-7514   01/30/2010 02:00 pm
$113,000.00   05/07/2003   Notice of Trustee Sale   Citimortgage, Inc              (800) 695-0935               07/26/2004        $115,494.00      $147,700.00   20091008056 Cr Title Service          To9-55860-az      (714) 573-1965   01/30/2010 02:00 pm
$259,825.00   06/10/2005   Notice of Trustee Sale   Everhome Mortgage Company      (800) 669-9721                                 $207,850.00      $238,500.00   20091008113 Michael A Bosco Jr        09-27045          (602) 255-6000   01/29/2010 10:00 am
$266,990.00   02/28/2007   Notice of Trustee Sale   Mers                           (800) 646-6377          2007 02/23/2007        $213,592.00      $204,200.00   20091005964 Security Title Agency                       (602) 266-0275   02/08/2010 12:00 pm
$246,320.00   08/23/2007   Notice of Trustee Sale   Suntrust Mortgage Inc          (800) 786-8787                                 $197,056.00      $188,700.00   20091008230 Aztec Foreclosure         09-018897         (602) 222-5711   01/29/2010 11:00 am
$443,000.00   08/17/2004   Notice of Trustee Sale   Deutsche Bank                  (212) 250-2500               06/12/2006        $580,800.00      $401,200.00   20091008505 Quality Loan Service      Az-09-321957-tc   (714) 573-1965   01/29/2010 12:00 pm
$184,850.00   11/08/2000   Notice of Trustee Sale   Provident Funding              (800) 696-8199                                 $246,000.00      $225,600.00   20091006117 Jason Cotton Pa           7092519                            01/29/2010 12:00 pm
$178,780.00   10/11/2002   Notice of Trustee Sale   Bank Of America                (800) 285-6000          2008 07/31/2008        $252,227.00      $210,700.00   20091007202 Recontrust                                  (800) 281-8219   02/03/2010 12:00 pm
$183,174.00   10/01/2008   Notice of Trustee Sale   Wells Fargo Home Mortgage      (866) 234-8271                                 $181,231.00       $65,000.00   20091006845 First American Title      20099070821635    (702) 304-7514   01/30/2010 02:00 pm
$147,500.00   09/12/2008   Notice of Trustee Sale                                                               11/05/2008        $145,803.00      $175,100.00   20091008043 Michael A Bosco Jr        09-24246          (602) 255-6000   01/29/2010 10:00 am
$259,900.00   11/14/2005   Notice of Trustee Sale   Bank Of America                (800) 285-6000               11/14/2005        $181,930.00      $161,700.00   20091008996 California Reconveyance   137864az          (714) 573-1965   01/30/2010 02:00 pm
$154,176.00   10/21/1993   Notice of Trustee Sale   The Bank Of New York Mellon    (212) 495-1784   20060267935 02/28/2006        $250,000.00      $361,000.00   20091007006 Recontrust                                  (800) 281-8219   02/03/2010 12:00 pm
$185,100.00   05/27/2005   Notice of Trustee Sale   Suntrust Mortgage Inc          (800) 786-8787                                 $148,080.00      $147,600.00   20091008202 Aztec Foreclosure         09-018900         (602) 222-5711   01/29/2010 11:00 am
$215,000.00   07/12/2005   Notice of Trustee Sale   Hsbc Bank                      (800) 975-4722   20061431848 10/30/2006        $176,000.00      $158,300.00   20091007126 Recontrust                                  (800) 281-8219   02/03/2010 12:00 pm
$185,000.00   04/29/2005   Notice of Trustee Sale   Saxon Mortgage Services        (800) 594-8422                                 $285,000.00      $195,700.00   20091008098 Michael A Bosco Jr        09-26937          (602) 255-6000   01/29/2010 10:00 am
$122,610.00   06/20/2001   Notice of Trustee Sale   Chase Home Finance Llc         (888) 332-3251                                 $196,000.00      $163,200.00   20091006537 Michael A Bosco Jr        09-26989          (602) 255-6000   01/29/2010 10:00 am
$145,000.00   01/16/2004   Notice of Trustee Sale   U.s. Bancorp                   (800) 365-7772               03/12/2008        $175,920.00      $170,000.00   20091007694 Mtc Financial             Azo859875                          01/29/2010 12:00 pm
$600,000.00   09/14/2004   Notice of Trustee Sale   The Bank Of New York Mellon    (212) 495-1784   20060110341 01/25/2006       $1,500,000.00   $1,501,000.00   20091007188 Recontrust                                  (800) 281-8219   01/30/2010 02:00 pm
$217,275.00   06/01/2007   Notice of Trustee Sale   Homeamerican Mortgage Corporation                                             $217,275.00      $163,700.00   20091007456 Quality Loan Service      B502939           (714) 573-1965   01/30/2010 12:00 pm
$255,000.00   03/15/2005   Notice of Trustee Sale   Chase Home Finance Llc         (888) 332-3251                                 $225,000.00      $208,000.00   20091004222 Fidelity National Title   09-03796-3        (714) 573-1965   01/30/2010 12:00 pm
$165,000.00   01/27/2005   Notice of Trustee Sale   Metlife Home Loans                                          01/23/2007        $220,000.00      $171,600.00   20091000826 Quality Loan Service      Az-09-318911-rm   (714) 573-1965   01/29/2010 02:00 pm
$368,000.00   02/16/2006   Notice of Trustee Sale   Downey Savings And Loan                                                       $294,363.00      $274,700.00   20090997948 Michael A Bosco Jr        09-26750          (602) 255-6000   01/27/2010 10:00 am
$355,000.00   06/06/2006   Notice of Trustee Sale   Wells Fargo Home Mortgage      (866) 234-8271                                 $284,000.00      $229,300.00   20091001571 Michael A Bosco Jr        09-49094          (602) 255-6000   01/28/2010 10:00 am
              07/21/2006   Notice of Trustee Sale   Bank Of America                (800) 285-6000          2006 05/12/2006        $390,000.00      $389,200.00   20091002500 Recontrust                09-0156258        (800) 281-8219   02/02/2010 12:00 pm
 $47,900.00   10/31/2006   Notice of Trustee Sale   Wells Fargo Home Mortgage      (866) 234-8271                                   $43,110.00      $36,500.00   20091002068 First American Title      20099070821568    (702) 304-7514   01/29/2010 02:00 pm
$250,300.00   03/26/2008   Notice of Trustee Sale   Bank Of America                (800) 285-6000   20080266750 03/26/2008        $246,813.00      $231,300.00   20091002705 Recontrust                                  (800) 281-8219   02/02/2010 12:00 pm
$920,000.00   04/21/2003   Notice of Trustee Sale   Bank Of America                (800) 285-6000          2005 06/27/2005        $650,000.00       $80,460.00   20091002822 Recontrust                                  (800) 281-8219   02/02/2010 12:00 pm
$242,000.00   12/15/2006   Notice of Trustee Sale   Bank Of America                (800) 285-6000   20061640459 12/15/2006        $217,800.00       $88,500.00   20091002740 Recontrust                                  (800) 281-8219   02/01/2010 12:00 pm
$143,500.00   12/07/2004   Notice of Trustee Sale   Chase Home Finance Llc         (888) 332-3251                                 $176,000.00       $98,300.00   20091002312 First American Title      20099019204355    (702) 304-7514   01/29/2010 02:00 pm
$150,000.00   04/03/2008   Notice of Trustee Sale   Bank Of America                (800) 285-6000          2008 04/03/2008        $147,910.00      $153,700.00   20091002666 Recontrust                09-0158810        (800) 281-8219   02/01/2010 12:00 pm
$259,354.00   06/02/2006   Notice of Trustee Sale   Aurora Loan Services           (720) 945-3000               05/30/2006        $207,483.00      $180,500.00   20091002848 First American Title      z-09-322878-pj    (702) 304-7514   01/28/2010 12:00 pm
$141,888.00   10/04/2006   Notice of Trustee Sale   Americas Servicing Company                                                    $244,000.00      $209,600.00   20091002036 First American Title      20099134001970    (702) 304-7514   01/29/2010 02:00 pm
$190,000.00   03/10/2006   Notice of Trustee Sale   Phh Mortgage                   (800) 210-8849                                 $145,000.00      $129,000.00   20091003272 Michael A Bosco Jr        09-26020          (602) 255-6000   01/28/2010 10:00 am
$172,500.00   12/28/2007   Notice of Trustee Sale   Wells Fargo Home Mortgage      (866) 234-8271                                 $169,834.00      $127,200.00   20091003376 First American Title      20099070821525    (702) 304-7514   01/29/2010 02:00 pm
$262,160.00   02/01/2007   Notice of Trustee Sale   Aurora Loan Services           (720) 945-3000               01/18/2007        $209,728.00      $176,200.00   20091002450 Quality Loan Service      Az-09-322933-cl   (714) 573-1965   01/23/2010 12:00 pm
$152,560.00   12/28/2000   Notice of Trustee Sale   Wells Fargo Home Mortgage      (866) 234-8271                                 $180,000.00      $188,300.00   20091001533 Michael A Bosco Jr        09-49076          (602) 255-6000   01/28/2010 10:00 am
$197,535.00   03/02/2005   Notice of Trustee Sale   Aurora Loan Services           (720) 945-3000               08/12/2005        $196,000.00      $203,000.00   20090999656 Quality Loan Service      Az-09-323007-cl   (714) 573-1965   01/28/2010 12:00 pm
$254,000.00   12/19/2006   Notice of Trustee Sale   Wells Fargo Home Mortgage      (866) 234-8271                                 $250,462.00      $176,300.00   20091002057 First American Title      20099070821539    (702) 304-7514   01/29/2010 02:00 pm
$164,900.00   10/16/2002   Notice of Trustee Sale   Chase Home Finance Llc         (888) 332-3251                                 $240,000.00      $217,000.00   20091001518 Michael A Bosco Jr        09-26754          (602) 255-6000   01/28/2010 10:00 am
$486,900.00   04/05/2006   Notice of Trustee Sale   Wells Fargo Home Mortgage      (866) 234-8271                                 $389,520.00      $232,100.00   20091001622 Michael A Bosco Jr        09-49116          (602) 255-6000   01/28/2010 10:00 am
$243,000.00   07/03/2006   Notice of Trustee Sale   Select Portfolio Servicing Inc (904) 722-7000                                 $188,800.00      $182,000.00   20091002798 Michael A Bosco Jr        09-27040          (602) 255-6000   01/28/2010 10:00 am
$217,282.00   08/19/2004   Notice of Trustee Sale   Wells Fargo Home Mortgage      (866) 234-8271                                 $305,000.00       $17,160.00   20091001556 Michael A Bosco Jr        09-49085          (602) 255-6000   01/28/2010 10:00 am




                                                                                                                                            Page 28
Pre-foreclosure List
                                                                                                                                   Maricopa County Week Ending 11/2

 $255,496.00    03/15/2005   Notice of Trustee Sale   Wells Fargo Home Mortgage          (866) 234-8271                                 $257,600.00       $13,530.00   20091001608 Michael A Bosco Jr          09-49106          (602) 255-6000   01/28/2010 10:00 am
 $127,430.00    12/01/2003   Notice of Trustee Sale   Citimortgage, Inc                  (800) 695-0935               03/17/2008        $162,000.00      $156,000.00   20091001398 Cr Title Service            To9-55645-az      (714) 573-1965   01/29/2010 02:00 pm
 $172,000.00    05/20/2005   Notice of Trustee Sale                                                                                     $154,800.00      $150,000.00   20091001181 Quality Loan Service                          (714) 573-1965   01/29/2010 02:00 pm
 $222,000.00    12/15/2005   Notice of Trustee Sale   The Bank Of New York Mellon        (212) 495-1784   20060725513 05/30/2006        $244,000.00      $171,700.00   20091002635 Recontrust                                    (800) 281-8219   02/02/2010 12:00 pm
  $67,500.00    11/04/1994   Notice of Trustee Sale   New Century Mortgage               (866) 774-5172                                 $144,000.00      $152,100.00   20090996861 Aztec Foreclosure           09-018582         (602) 222-5711   01/27/2010 11:00 am
 $134,670.00    01/27/2000   Notice of Trustee Sale   Bank Of America                    (800) 285-6000               09/20/2005        $241,400.00      $188,800.00   20091002562 Quality Loan Service        Az-09-322666-rm   (714) 573-1965   01/28/2010 12:00 pm
 $138,000.00    04/26/2001   Notice of Trustee Sale   Wells Fargo Home Mortgage          (866) 234-8271                                 $204,800.00      $176,700.00   20091001615 Michael A Bosco Jr          09-49111          (602) 255-6000   01/28/2010 10:00 am
 $219,000.00    03/25/2005   Notice of Trustee Sale   U.s. Bancorp                       (800) 365-7772   20060337307 03/13/2006        $219,000.00      $197,100.00   20091002745 Recontrust                                    (800) 281-8219   02/01/2010 12:00 pm
 $355,000.00    03/04/2004   Notice of Trustee Sale                                                       20040226301 03/04/2004        $240,000.00      $413,000.00   20091002956 Recontrust                  09-0159680        (800) 281-8219   02/01/2010 12:00 pm
 $240,000.00    06/28/2005   Notice of Trustee Sale   Aurora Loan Services               (720) 945-3000               06/23/2005        $192,000.00      $180,100.00   20090998080 Quality Loan Service        Az-09-322888-cl   (714) 573-1965   01/27/2010 12:00 pm
 $368,900.00    03/25/2002   Notice of Trustee Sale   Deutsche Bank                      (212) 250-2500               03/08/2006        $560,000.00      $431,700.00   20091003491 Mtc Financial               Az0859859                          01/28/2010 12:00 pm
 $145,000.00    07/25/2000   Notice of Trustee Sale   Downey Savings And Loan                                                           $260,000.00      $196,000.00   20090997923 Michael A Bosco Jr          09-26561          (602) 255-6000   01/27/2010 10:00 am
 $180,500.00    01/27/2005   Notice of Trustee Sale   Residential Funding Company, Llc   (952) 832-7000          2005 07/25/2005        $232,000.00      $190,300.00   20090999733 Security Title Agency                         (602) 266-0275   02/05/2010 12:00 pm
 $500,000.00    03/30/2007   Notice of Trustee Sale   Deutsche Bank                      (212) 250-2500                                 $400,000.00      $296,500.00   20090996865 Aztec Foreclosure           09-018429         (602) 222-5711   01/27/2010 11:00 am
 $500,000.00    05/18/2005   Notice of Trustee Sale   Metlife Home Loans                                              05/16/2005        $400,000.00      $315,200.00   20091000878 Quality Loan Service        Az-09-313976-rm   (714) 573-1965   01/29/2010 02:00 pm
 $202,500.00    03/02/2001   Notice of Trustee Sale   Citimortgage, Inc                  (800) 695-0935               07/11/2005        $303,000.00      $288,300.00   20091001139 Cr Title Service            To9-55831-az      (714) 573-1965   01/29/2010 02:00 pm
                09/03/2008   Notice of Trustee Sale   Bank Of America                    (800) 285-6000   20080765101 09/03/2008        $201,448.00       $11,760.00   20091002939 Recontrust                                    (800) 281-8219   01/29/2010 02:00 pm
  $106,000.00   07/25/2003   Notice of Trustee Sale   Metlife Home Loans                                              01/18/2006        $128,000.00      $130,300.00   20091000804 Quality Loan Service        Az-09-319207-rm   (714) 573-1965   01/29/2010 02:00 pm
   $86,000.00   11/27/2002   Notice of Trustee Sale   Bank Of America                    (800) 285-6000   20061550303 11/28/2006        $115,000.00      $110,200.00   20091002786 Recontrust                                    (800) 281-8219   02/02/2010 12:00 pm
  $344,000.00   04/11/2005   Notice of Trustee Sale   Wells Fargo Home Mortgage          (866) 234-8271                                 $270,000.00       $27,300.00   20091001624 Michael A Bosco Jr          09-49112          (602) 255-6000   01/28/2010 10:00 am
  $265,000.00   06/09/2005   Notice of Trustee Sale   Bank Of America                    (800) 285-6000   20050779305 06/09/2005        $212,000.00      $182,500.00   20091002713 Recontrust                                    (800) 281-8219   02/01/2010 12:00 pm
  $187,000.00   01/07/2008   Notice of Trustee Sale   Bb&t Mortgage                      (800) 295-5744                                 $149,600.00      $162,600.00   20091002754 Michael A Bosco Jr          09-25414          (602) 255-6000   01/28/2010 10:00 am
  $435,000.00   06/17/2003   Notice of Trustee Sale   Wells Fargo Home Mortgage          (866) 234-8271                                 $482,000.00      $635,800.00   20091002810 First American Title        20099070814394    (702) 304-7514   01/29/2010 02:00 pm
$1,175,000.00   03/22/2002   Notice of Trustee Sale   Midfirst Bank                      (800) 877-1674                                $1,575,000.00   $1,764,800.00   20091001101 Quality Loan Service                          (714) 573-1965   01/29/2010 10:00 am
   $73,000.00   01/13/2000   Notice of Trustee Sale   Deutsche Bank                      (212) 250-2500                                 $455,000.00      $537,000.00   20091002767 Michael A Bosco Jr          09-26378          (602) 255-6000   01/28/2010 10:00 am
  $264,100.00   02/07/2006   Notice of Trustee Sale   Wells Fargo Home Mortgage          (866) 234-8271                                 $211,280.00      $188,000.00   20091002079 First American Title        20099070821586    (702) 304-7514   01/29/2010 02:00 pm
  $275,000.00   09/28/2004   Notice of Trustee Sale   The Bank Of New York Mellon        (212) 495-1784   20041134258 09/28/2004        $261,250.00      $251,600.00   20091002621 Recontrust                                    (800) 281-8219   02/01/2010 12:00 pm
  $263,000.00   09/08/2004   Notice of Trustee Sale   Metlife Home Loans                                              06/08/2006        $275,000.00      $338,700.00   20091000824 Quality Loan Service        Az-09-318921-rm   (714) 573-1965   01/29/2010 02:00 pm
  $123,500.00   03/29/1996   Notice of Trustee Sale   Bank Of America                    (800) 285-6000   20060489001 04/12/2006        $190,000.00       $22,170.00   20091002928 Recontrust                                    (800) 281-8219   01/29/2010 02:00 pm
  $220,000.00   09/12/2006   Notice of Trustee Sale   Chase Home Finance Llc             (888) 332-3251                                 $228,637.00      $158,100.00   20091003242 Aztec Foreclosure           09-018832         (602) 222-5711   01/28/2010 11:00 am
  $168,735.00   07/05/2005   Notice of Trustee Sale   Carrington Mortgage Services       (714) 969-7600               04/12/2007        $233,400.00      $104,800.00   20090999646 Quality Loan Service        Az-09-322255-rm   (714) 573-1965   01/29/2010 02:00 pm
  $128,454.00   03/26/2004   Notice of Trustee Sale   Metlife Home Loans                                              10/03/2006        $127,500.00      $144,000.00   20091000876 Quality Loan Service        Az-09-319201-rm   (714) 573-1965   01/29/2010 02:00 pm
  $290,000.00   03/05/2003   Notice of Trustee Sale   The Bank Of New York Mellon        (212) 495-1784               05/15/2007        $560,000.00      $445,000.00   20091000806 Quality Loan Service        Az-09-318929-rm   (714) 573-1965   01/29/2010 02:00 pm
  $295,000.00   07/15/2005   Notice of Trustee Sale   Bank Of America                    (800) 285-6000                                 $236,000.00      $212,100.00   20090998191 Northwest Trustee Service   7662              (714) 277-4888   01/29/2010 02:00 pm
  $143,393.00   12/26/1997   Notice of Trustee Sale   The Bank Of New York Mellon        (212) 495-1784               06/13/2006        $265,000.00      $239,200.00   20091000798 Quality Loan Service        Az-09-318919-rm   (714) 573-1965   01/29/2010 02:00 pm
  $300,000.00   01/16/2009   Notice of Trustee Sale   Bank Of America                    (800) 285-6000   20071203039 11/08/2007        $476,000.00      $391,100.00   20091002519 Recontrust                                    (800) 281-8219   02/01/2010 12:00 pm
  $200,000.00   02/16/2005   Notice of Trustee Sale   Aurora Loan Services               (720) 945-3000               02/15/2005        $160,000.00      $151,000.00   20090998364 Quality Loan Service        Az-09-322947-cl   (714) 573-1965   01/27/2010 12:00 pm
  $216,000.00   08/22/2005   Notice of Trustee Sale   Wells Fargo Home Mortgage          (866) 234-8271                                 $172,800.00      $157,700.00   20091002294 First American Title        20099070820957    (702) 304-7514   01/29/2010 02:00 pm
  $125,282.00   10/24/2002   Notice of Trustee Sale   Citimortgage, Inc                  (800) 695-0935                                 $184,000.00      $142,300.00   20091003248 Michael A Bosco Jr          09-26868          (602) 255-6000   01/28/2010 10:00 am
  $400,000.00   11/21/2007   Notice of Trustee Sale   Wells Fargo Home Mortgage          (866) 234-8271                                 $345,100.00      $306,700.00   20091002308 First American Title        20099070821522    (702) 304-7514   01/29/2010 02:00 pm
  $138,000.00   08/29/2005   Notice of Trustee Sale   Wells Fargo Home Mortgage          (866) 234-8271                                 $204,513.00      $138,200.00   20091002075 First American Title        20099070821585    (702) 304-7514   01/29/2010 02:00 pm
  $235,000.00   07/07/2006   Notice of Trustee Sale   Americas Servicing Company                                                        $188,000.00      $176,500.00   20091001530 Michael A Bosco Jr          09-49060          (602) 255-6000   01/28/2010 10:00 am
  $255,000.00   05/01/2007   Notice of Trustee Sale   Wells Fargo Home Mortgage          (866) 234-8271                                 $204,000.00      $101,000.00   20091002300 First American Title        20099070821491    (702) 304-7514   01/29/2010 02:00 pm
  $370,000.00   05/08/2006   Notice of Trustee Sale   Wells Fargo Home Mortgage          (866) 234-8271                                 $296,000.00      $216,100.00   20091002066 First American Title        20099070821581    (702) 304-7514   01/29/2010 02:00 pm
  $255,500.00   11/22/2005   Notice of Trustee Sale                                                                                     $178,850.00      $193,500.00   20090996871 Aztec Foreclosure           09-018532         (602) 222-5711   01/27/2010 11:00 am
   $91,497.00   09/30/2005   Notice of Trustee Sale   Hsbc Bank                          (800) 975-4722   20061457757 11/03/2006        $105,000.00      $117,000.00   20091002523 Recontrust                                    (800) 281-8219   01/29/2010 02:00 pm
   $89,000.00   08/19/1998   Notice of Trustee Sale   Bank Of America                    (800) 285-6000          2005 12/05/2005        $177,600.00      $160,000.00   20091002624 Recontrust                  09-0148223        (800) 281-8219   01/29/2010 02:00 pm
  $160,000.00   08/23/2001   Notice of Trustee Sale   Chase Home Finance Llc             (888) 332-3251                                 $237,000.00      $194,700.00   20091001516 Michael A Bosco Jr          09-26720          (602) 255-6000   01/28/2010 10:00 am
  $125,000.00   06/18/2004   Notice of Trustee Sale                                                                                     $100,000.00      $144,097.00   20090998941 Empire West Title Agency    20997-068         (602) 749-7000   01/29/2010 10:00 am
  $369,000.00   02/23/2009   Notice of Trustee Sale   Wells Fargo Home Mortgage          (866) 234-8271                                 $341,000.00      $318,700.00   20091001594 Michael A Bosco Jr          09-49103          (602) 255-6000   01/28/2010 10:00 am
   $92,500.00   03/28/1997   Notice of Trustee Sale   Midfirst Bank                      (800) 877-1674   20080982946 03/27/1997          $91,769.00     $157,300.00   20091001395 Quality Loan Service        Az-09-322731-ab   (714) 573-1965   01/29/2010 12:00 pm
  $350,000.00   08/16/2005   Notice of Trustee Sale   Flagstar Bank                      (800) 968-7700                                 $637,500.00       $48,500.00   20091003465 Michael A Bosco Jr          09-25669          (602) 255-6000   01/28/2010 10:00 am
   $63,900.00   09/11/1995   Notice of Trustee Sale   Flagstar Bank                      (800) 968-7700                                 $155,000.00      $151,100.00   20091002609 Michael A Bosco Jr          09-26160          (602) 255-6000   01/28/2010 10:00 am
  $185,000.00   06/16/2006   Notice of Trustee Sale   Hsbc Bank                          (800) 975-4722                                 $157,250.00       $52,200.00   20090996863 Aztec Foreclosure           09-016222         (602) 222-5711   01/27/2010 11:00 am
   $65,000.00   05/22/1998   Notice of Trustee Sale   Deutsche Bank                      (212) 250-2500                                 $100,000.00      $107,500.00   20091002772 Michael A Bosco Jr          09-26876          (602) 255-6000   01/28/2010 10:00 am
  $164,990.00   08/28/2006   Notice of Trustee Sale   Chase Home Finance Llc             (888) 332-3251                                 $131,992.00      $126,000.00   20091001630 Michael A Bosco Jr          09-26860          (602) 255-6000   01/28/2010 10:00 am
  $164,000.00   11/19/2004   Notice of Trustee Sale   Downey Savings And Loan                                                           $266,000.00      $285,300.00   20090997941 Michael A Bosco Jr          09-26724          (602) 255-6000   01/27/2010 10:00 am




                                                                                                                                                  Page 29
Pre-foreclosure List
                                                                                                                               Maricopa County Week Ending 11/2

$169,900.00 11/14/2005   Notice of Trustee Sale   Citimortgage, Inc                (800) 695-0935                 11/08/2005        $135,920.00      $9,130.00    20091001100 Cr Title Service           To9-55828-az       (714) 573-1965   01/29/2010 02:00 pm
$128,000.00 01/07/1997   Notice of Trustee Sale   Select Portfolio Servicing Inc   (904) 722-7000                 03/27/2006        $205,000.00    $300,300.00    20091002402 Quality Loan Service       Az-09-322766-rt    (714) 573-1965   01/28/2010 12:00 pm
            10/14/2004   Notice of Trustee Sale   Wells Fargo Home Mortgage        (866) 234-8271                                   $154,660.00                   20091002071 First American Title       20099070821584     (702) 304-7514   01/29/2010 02:00 pm
$264,459.00 07/25/2005   Notice of Trustee Sale   Metlife Home Loans                                            07/10/2005          $209,950.00    $270,500.00    20091000828 Quality Loan Service       Az-09-318915-rm    (714) 573-1965   01/29/2010 02:00 pm
$670,000.00 02/02/2006   Notice of Trustee Sale                                                     20060154734 02/02/2006          $536,000.00     $34,230.00    20091002962 Recontrust                 09-0160480         (800) 281-8219   02/02/2010 12:00 pm
$643,028.00 04/12/2006   Notice of Trustee Sale   Wells Fargo Home Mortgage        (866) 234-8271                                   $514,422.00    $456,000.00    20091002052 First American Title       20099070821536     (702) 304-7514   01/29/2010 02:00 pm
 $75,000.00 05/02/2008   Notice of Trustee Sale                                                                                      $70,000.00     $70,000.00    20091003402 Quality Loan Service                          (714) 573-1965   01/29/2010 10:00 am
$243,000.00 10/22/2002   Notice of Trustee Sale   First Horizon Home Loans         (800) 707-0139   20021033688 09/26/2002          $246,400.00     $33,720.00    20091002111 Lawyers Title Insurance    057-009994         (714) 573-1965   01/29/2010 02:00 pm
$245,000.00 11/29/2004   Notice of Trustee Sale   Wells Fargo Home Mortgage        (866) 234-8271                                   $260,000.00    $240,200.00    20091001604 Michael A Bosco Jr         09-49104           (602) 255-6000   01/28/2010 10:00 am
$100,000.00 11/16/2005   Notice of Trustee Sale   Aurora Loan Services             (720) 945-3000                 11/10/2005         $60,000.00    $110,500.00    20091002258 Quality Loan Service       A2'-09-323008-cl   (714) 573-1965   01/29/2010 12:00 pm
$122,500.00 10/17/2003   Notice of Trustee Sale   Bank Of America                  (800) 285-6000                                   $172,500.00    $159,700.00    20091001527 Michael A Bosco Jr         09-49058           (602) 255-6000   01/28/2010 10:00 am
$356,500.00 09/25/2008   Notice of Trustee Sale   Bank Of America                  (800) 285-6000   20080829260 09/25/2008          $352,721.00    $383,000.00    20091002702 Recontrust                                    (800) 281-8219   02/02/2010 12:00 pm
 $25,500.00 12/13/1996   Notice of Trustee Sale   Flagstar Bank                    (800) 968-7700                                   $215,180.00    $203,066.00    20091002607 Michael A Bosco Jr         09-26052           (602) 255-6000   01/28/2010 10:00 am
$235,000.00 08/01/2006   Notice of Trustee Sale                                                                 11/07/2007          $268,000.00    $216,500.00    20091003489 Mtc Financial              Azob59750                           01/29/2010 12:00 pm
$119,500.00 11/21/2000   Notice of Trustee Sale   The Bank Of New York Mellon      (212) 495-1784   20060542484 04/24/2006          $218,400.00    $174,800.00    20091002894 Recontrust                                    (800) 281-8219   01/29/2010 02:00 pm
$166,000.00 05/28/2004   Notice of Trustee Sale   Bank Of America                  (800) 285-6000   20051413107 09/23/2005          $200,000.00    $193,000.00    20091002884 Recontrust                                    (800) 281-8219   01/29/2010 02:00 pm
$385,330.00 06/13/2001   Notice of Trustee Sale   U.s. Bancorp                     (800) 365-7772   20061364090 10/16/2006          $678,000.00    $522,000.00    20091002529 Recontrust                                    (800) 281-8219   02/02/2010 12:00 pm
$237,000.00 04/20/2007   Notice of Trustee Sale   Chase Home Finance Llc           (888) 332-3251                                   $237,000.00    $164,100.00    20091001646 Michael A Bosco Jr         09-26887           (602) 255-6000   01/28/2010 10:00 am
 $85,000.00 09/05/1991   Notice of Trustee Sale   Citimortgage, Inc                (800) 695-0935                 03/20/2006        $170,000.00    $254,000.00    20091001208 Cr Title Service           To9-55791-az       (714) 573-1965   01/29/2010 02:00 pm
$297,033.00 03/17/2006   Notice of Trustee Sale   Citimortgage, Inc                (800) 695-0935                                   $267,500.00     $13,000.00    20091003246 Michael A Bosco Jr         09-26886           (602) 255-6000   01/28/2010 10:00 am
$395,000.00 09/25/2007   Notice of Trustee Sale   Citimortgage, Inc                (800) 695-0935                 09/21/2007        $395,000.00    $297,600.00    20091001108 Cr Title Service           To9-55830-az       (714) 573-1965   01/29/2010 02:00 pm
$142,203.00 06/28/2005   Notice of Trustee Sale   Downey Savings And Loan                                                           $149,500.00    $120,100.00    20090997937 Michael A Bosco Jr         09-26723           (602) 255-6000   01/27/2010 10:00 am
$856,823.00 08/04/2004   Notice of Trustee Sale   Deutsche Bank                    (212) 250-2500                                   $675,000.00    $567,500.00    20090996858 Aztec Foreclosure          09-018558          (602) 222-5711   01/27/2010 11:00 am
$199,000.00 08/29/2005   Notice of Trustee Sale   Bank Of America                  (800) 285-6000   20071071784 09/28/2007          $207,200.00     $11,810.00    20091002660 Recontrust                                    (800) 281-8219   01/29/2010 02:00 pm
$255,931.00 03/13/2007   Notice of Trustee Sale   Bank Of America                  (800) 285-6000   20070296944 03/13/2007          $255,931.00    $192,000.00    20091002669 Recontrust                                    (800) 281-8219   01/29/2010 02:00 pm
 $85,000.00 11/04/1997   Notice of Trustee Sale   Mers                             (800) 646-6377          2006 03/08/2006          $173,000.00    $169,300.00    20090997141 Security Title Agency                         (602) 266-0275   02/03/2010 12:00 pm
$317,025.00 09/05/2006   Notice of Trustee Sale   Washington Mutual                                             11/29/2006                         $255,300.00    20091002843 First American Title       Az-09-323144-pj    (702) 304-7514   01/28/2010 12:00 pm
$139,900.00 08/19/2008   Notice of Trustee Sale                                                                                     $139,900.00    $100,000.00    20091001016 Quality Loan Service                          (714) 573-1965   01/29/2010 12:00 pm
 $96,500.00 06/03/2003   Notice of Trustee Sale   Bank Of America                  (800) 285-6000   20030707892 06/03/2003           $95,009.00    $127,000.00    20091002684 Recontrust                                    (800) 281-8219   01/29/2010 02:00 pm
            04/20/2007   Notice of Trustee Sale   Johnson Bank                     (262) 619-2272                                   $418,500.00     $61,280.00    20090998896 Quality Loan Service                          (714) 573-1965   01/29/2010 02:00 pm
 $88,500.00 10/24/2002   Notice of Trustee Sale   Americas Servicing Company                                                        $144,000.00    $123,300.00    20091001496 Michael A Bosco Jr         07-43635           (602) 255-6000   01/28/2010 10:00 am
$114,000.00 11/21/2007   Notice of Trustee Sale   Metlife Home Loans                                20071243514 11/16/2007           $91,200.00     $73,500.00    20091002109 Lawyers Title Insurance    057-009981         (714) 573-1965   01/29/2010 02:00 pm
$280,804.00 04/24/2007   Notice of Trustee Sale   Chase Home Finance Llc           (888) 332-3251                                   $280,804.00    $201,300.00    20091001554 Michael A Bosco Jr         09-26825           (602) 255-6000   01/28/2010 10:00 am
$338,054.00 01/29/2007   Notice of Trustee Sale   Americas Servicing Company                                                        $270,443.00    $132,500.00    20090996251 First American Title       20099134001814     (702) 304-7514   01/28/2010 02:00 pm
 $94,000.00 03/11/2003   Notice of Trustee Sale                                                                   08/06/2004        $148,000.00    $208,700.00    20091002835 Quality Loan Service       Az-09-321692-pj    (714) 573-1965   01/28/2010 12:00 pm
$263,190.00 10/03/2002   Notice of Trustee Sale   Citimortgage, Inc                (800) 695-0935                 06/27/2005        $285,000.00    $327,200.00    20091001113 Cr Title Service           To9-55829-az       (714) 573-1965   01/29/2010 02:00 pm
 $20,000.00 05/24/2004   Notice of Trustee Sale                                                     20070419389                     $143,000.00    $143,848.00    20091000943 Statewide Foreclosure                         (602) 414-9928   01/29/2010 02:00 pm
$158,000.00 06/07/2005   Notice of Trustee Sale   Aurora Loan Services             (720) 945-3000               01/11/2007          $184,000.00    $139,000.00    20090998390 Quality Loan Service       Az-09-322942-cl    (714) 573-1965   01/27/2010 12:00 pm
$314,088.00 03/31/2005   Notice of Trustee Sale   Bank Of America                  (800) 285-6000   20060139537 01/31/2006          $340,000.00    $223,200.00    20091002794 Recontrust                                    (800) 281-8219   02/02/2010 12:00 pm
 $44,300.00 12/18/2006   Notice of Trustee Sale   Bank Of America                  (800) 285-6000   20061648482 12/18/2006          $153,000.00     $50,800.00    20091002758 Recontrust                                    (800) 281-8219   02/02/2010 12:00 pm
 $85,000.00 05/09/2001   Notice of Trustee Sale   Downey Savings And Loan                                                           $135,000.00    $116,700.00    20090997984 Michael A Bosco Jr         09-26814           (602) 255-6000   01/27/2010 10:00 am
$170,000.00 08/03/2005   Notice of Trustee Sale   Aurora Loan Services             (720) 945-3000               07/27/2005          $130,000.00    $138,700.00    20090998286 Quality Loan Service       Az-09-322894-cl    (714) 573-1965   01/27/2010 12:00 pm
$208,500.00 11/21/2005   Notice of Trustee Sale   Bank Of America                  (800) 285-6000   20090072836 01/28/2009          $208,623.00    $143,000.00    20091002716 Recontrust                                    (800) 281-8219   02/02/2010 12:00 pm
$185,500.00 04/06/2007   Notice of Trustee Sale   Aurora Loan Services             (720) 945-3000               03/30/2007          $166,950.00    $140,500.00    20090999648 Quality Loan Service       Az-09-322935-cl    (714) 573-1965   01/28/2010 12:00 pm
$419,890.00 08/31/2006   Notice of Trustee Sale   Wells Fargo Home Mortgage        (866) 234-8271                                   $417,000.00    $299,700.00    20091002314 First American Title       20099070821512     (702) 304-7514   01/29/2010 02:00 pm
 $86,360.00 02/25/2003   Notice of Trustee Sale   Wells Fargo Home Mortgage        (866) 234-8271   20061074844 08/11/2006          $184,000.00     $59,200.00    20091002880 Recontrust                                    (800) 281-8219   01/29/2010 02:00 pm
$693,030.00 05/09/2003   Notice of Trustee Sale   Bank Of America                  (800) 285-6000   20071190767 11/05/2007          $960,000.00    $864,000.00    20091002808 Recontrust                                    (800) 281-8219   02/02/2010 12:00 pm
$150,000.00 10/25/2005   Notice of Trustee Sale   Hsbc Bank                        (800) 975-4722               12/27/2007          $175,000.00    $132,300.00    20091001306 Quality Loan Service       Az-09-321267-tc    (714) 573-1965   01/28/2010 12:00 pm
$112,000.00 12/17/2003   Notice of Trustee Sale   U.s. Bancorp                     (800) 365-7772                                   $111,923.00    $142,700.00    20090997945 Michael A Bosco Jr         09-26635           (602) 255-6000   01/27/2010 10:00 am
$114,000.00 04/22/2003   Notice of Trustee Sale   The Bank Of New York Mellon      (212) 495-1784          2006 01/17/2006          $158,400.00    $135,200.00    20091002829 Recontrust                                    (800) 281-8219   02/02/2010 12:00 pm
$225,000.00 06/28/2005   Notice of Trustee Sale   Aurora Loan Services             (720) 945-3000                                   $200,000.00    $175,100.00    20091002434 Cal Western Reconveyance   1246589-14         (800) 546-1531   01/29/2010 02:00 pm
$211,240.00 05/29/2002   Notice of Trustee Sale                                                            2005 03/21/2005          $289,600.00    $285,100.00    20091002555 Recontrust                                    (800) 281-8219   02/02/2010 12:00 pm
$285,000.00 08/07/2006   Notice of Trustee Sale   Aurora Loan Services             (720) 945-3000               08/03/2006          $228,000.00    $182,100.00    20091001314 Quality Loan Service       Az~09-323031-cl    (714) 573-1965   01/28/2010 12:00 pm
$210,000.00 08/11/2005   Notice of Trustee Sale                                                                                     $194,500.00    $161,200.00    20091002429 Cal Western Reconveyance   1246736-08         (800) 546-1531   01/29/2010 12:00 pm
$172,000.00 08/31/2007   Notice of Trustee Sale   Metlife Home Loans                                              08/27/2007        $600,000.00     $15,190.00    20091000796 Quality Loan Service       Az-09-319463-rm    (714) 573-1965   01/29/2010 02:00 pm
$362,000.00 01/14/2005   Notice of Trustee Sale   Downey Savings And Loan                                                           $420,000.00    $377,000.00    20090997992 Michael A Bosco Jr         09-26809           (602) 255-6000   01/27/2010 10:00 am
$365,000.00 04/07/2006   Notice of Trustee Sale   Wells Fargo Home Mortgage        (866) 234-8271                                   $292,000.00    $248,200.00    20091001563 Michael A Bosco Jr         09-49090           (602) 255-6000   01/28/2010 10:00 am




                                                                                                                                             Page 30
Pre-foreclosure List
                                                                                                                                   Maricopa County Week Ending 11/2

  $347,200.00   10/26/2005   Notice of Trustee Sale   Bank Of America                  (800) 285-6000   20070921111 08/15/2007          $500,000.00     $328,000.00   20091002959 Recontrust                 09-0159721        (800) 281-8219   02/01/2010 12:00 pm
  $154,000.00   12/28/2005   Notice of Trustee Sale                                                            2008                     $100,000.00     $127,600.00   20091002341 Security Title Agency      14-89588          (602) 266-0275   01/28/2010 10:30 am
  $150,588.00   11/19/2003   Notice of Trustee Sale   Deutsche Bank                    (212) 250-2500                                   $216,000.00     $180,800.00   20090992956 Aztec Foreclosure          09-016272         (602) 222-5711   01/26/2010 11:00 am
   $77,900.00   06/24/1997   Notice of Trustee Sale   Wells Fargo Home Mortgage        (866) 234-8271                                   $150,000.00     $140,300.00   20091001559 Michael A Bosco Jr         09-49088          (602) 255-6000   01/28/2010 10:00 am
  $200,500.00   03/24/2005   Notice of Trustee Sale   Metlife Home Loans                                              11/11/2005        $190,500.00     $165,000.00   20091000880 Quality Loan Service       Az-09-319175-rm   (714) 573-1965   01/29/2010 02:00 pm
  $138,500.00   07/14/2005   Notice of Trustee Sale   Aurora Loan Services             (720) 945-3000                 02/16/2007        $136,000.00     $125,000.00   20090998041 Quality Loan Service       Az-09-322937-cl   (714) 573-1965   01/27/2010 12:00 pm
  $185,100.00   03/30/2006   Notice of Trustee Sale   Wells Fargo Home Mortgage        (866) 234-8271                                   $175,750.00     $141,000.00   20091001580 Michael A Bosco Jr         09-49096          (602) 255-6000   01/28/2010 10:00 am
  $191,779.00   11/04/2004   Notice of Trustee Sale   Bayview Loan Servicing, Llc      (800) 457-5105                                   $191,750.00      $14,800.00   20091002456 Aztec Foreclosure          09-018604         (602) 222-5711   01/28/2010 11:00 am
  $297,872.00   09/07/2007   Notice of Trustee Sale   Nationstar Mortgage              (800) 306-9027                                   $347,000.00     $227,000.00   20091002448 Cal Western Reconveyance   1247711-08        (800) 546-1531   01/29/2010 02:00 pm
  $279,636.00   01/22/2007   Notice of Trustee Sale   Aurora Loan Services             (720) 945-3000                 01/12/2007        $251,650.00     $195,700.00   20090998388 Quality Loan Service       Az-09-322931-cl   (714) 573-1965   01/27/2010 12:00 pm
   $98,500.00   03/31/2003   Notice of Trustee Sale   Citimortgage, Inc                (800) 695-0935                                   $137,500.00     $128,000.00   20091003223 Michael A Bosco Jr         09-24025          (602) 255-6000   01/28/2010 10:00 am
  $207,000.00   12/22/2006   Notice of Trustee Sale   Aurora Loan Services             (720) 945-3000               12/21/2006          $207,000.00     $141,200.00   20090998269 Quality Loan Service       Az-09-322908-cl   (714) 573-1965   01/27/2010 12:00 pm
  $553,006.00   12/18/2006   Notice of Trustee Sale                                                     20061643165 12/18/2006          $454,018.00     $382,600.00   20091002540 Recontrust                 09-0160490        (800) 281-8219   02/02/2010 12:00 pm
  $142,000.00   09/29/2003   Notice of Trustee Sale                                                     20060196849 02/13/2006          $226,300.00     $200,200.00   20091002687 Recontrust                                   (800) 281-8219   01/29/2010 02:00 pm
$1,365,000.00   05/31/2007   Notice of Trustee Sale   Quantum Servicing Corp                                        05/25/2007       $109,200,000.00    $886,500.00   20091002567 Quality Loan Service       Az-09-322672-bm   (714) 573-1965   01/28/2010 12:00 pm
  $144,000.00   06/28/2002   Notice of Trustee Sale   Hsbc Bank                        (800) 975-4722                                   $115,200.00     $155,700.00   20091002783 Michael A Bosco Jr         09-26486          (602) 255-6000   01/28/2010 10:00 am
  $679,114.00   09/27/2006   Notice of Trustee Sale   Deutsche Bank                    (212) 250-2500   20061276723 09/27/2006          $543,291.00      $36,510.00   20091002678 Recontrust                                   (800) 281-8219   01/29/2010 02:00 pm
  $130,800.00   05/24/2000   Notice of Trustee Sale   The Bank Of New York Mellon      (212) 495-1784          2007                     $184,800.00     $189,300.00   20091001507 Security Title Agency      14-89427          (602) 266-0275   01/28/2010 10:30 am
   $90,000.00   01/29/2003   Notice of Trustee Sale   Metlife Home Loans                                            08/25/2006          $540,000.00     $448,100.00   20091000800 Quality Loan Service       Az-09-319196-rm   (714) 573-1965   01/29/2010 02:00 pm
  $123,000.00   04/17/2000   Notice of Trustee Sale   Americas Servicing Company                                                        $196,000.00     $182,800.00   20091001551 Michael A Bosco Jr         09-49084          (602) 255-6000   01/28/2010 10:00 am
  $197,800.00   08/29/2006   Notice of Trustee Sale   Aurora Loan Services             (720) 945-3000                 08/28/2006        $158,240.00     $147,800.00   20090997747 Quality Loan Service       Az-09-322930-cl   (714) 573-1965   01/27/2010 12:00 pm
  $124,568.00   05/28/2004   Notice of Trustee Sale   Litton Loan Servicing Lp         (800) 247-9727                 12/11/2006        $188,000.00     $155,700.00   20091002400 Quality Loan Service       Az-09-322392-bl   (714) 573-1965   01/28/2010 12:00 pm
  $295,800.00   10/14/2005   Notice of Trustee Sale   Wells Fargo Home Mortgage        (866) 234-8271                                   $236,640.00     $187,600.00   20091002062 First American Title       20099070821549    (702) 304-7514   01/29/2010 02:00 pm
   $61,000.00   05/08/2003   Notice of Trustee Sale                                                            2003                       $54,900.00     $83,701.00   20091000944 Statewide Foreclosure                        (602) 414-9928   01/29/2010 02:00 pm
  $361,000.00   11/07/2005   Notice of Trustee Sale   Downey Savings And Loan                                                           $288,800.00     $223,000.00   20090997939 Michael A Bosco Jr         09-26640          (602) 255-6000   01/27/2010 10:00 am
   $25,000.00   03/26/1993   Notice of Trustee Sale   Bank Of America                  (800) 285-6000   20051484700 10/05/2005          $153,000.00     $173,500.00   20091002965 Recontrust                                   (800) 281-8219   02/02/2010 12:00 pm
  $156,360.00   07/23/2003   Notice of Trustee Sale   Chase Home Finance Llc           (888) 332-3251                                   $122,500.00     $190,500.00   20091001540 Michael A Bosco Jr         09-26797          (602) 255-6000   01/28/2010 10:00 am
  $115,000.00   07/19/2005   Notice of Trustee Sale   Citimortgage, Inc                (800) 695-0935               08/01/2008          $131,200.00      $10,200.00   20091001234 Cr Title Service           To9-55788-az      (714) 573-1965   01/29/2010 02:00 pm
  $524,000.00   10/30/2001   Notice of Trustee Sale   Metlife Home Loans                                            04/22/2004          $276,000.00     $547,200.00   20091000884 Quality Loan Service       Az-09-319197-rm   (714) 573-1965   01/29/2010 02:00 pm
  $249,500.00   07/30/2008   Notice of Trustee Sale   Bank Of America                  (800) 285-6000   20080663714 07/30/2008          $245,645.00     $189,000.00   20091002469 Recontrust                                   (800) 281-8219   01/29/2010 02:00 pm
                04/27/2006   Notice of Trustee Sale   Wells Fargo Home Mortgage        (866) 234-8271                                  $2,700,000.00    $677,343.00   20091002156 Quality Loan Service                         (714) 573-1965   01/28/2010 10:00 am
 $304,031.00    10/15/2007   Notice of Trustee Sale   Wells Fargo Home Mortgage        (866) 234-8271                                   $316,776.00     $187,100.00   20091001583 Michael A Bosco Jr         09-49099          (602) 255-6000   01/28/2010 10:00 am
 $210,000.00    06/10/2008   Notice of Trustee Sale   Bank Of America                  (800) 285-6000   20080512492 06/10/2008          $206,755.00     $232,200.00   20091002936 Recontrust                                   (800) 281-8219   01/29/2010 02:00 pm
  $96,000.00    11/19/2004   Notice of Trustee Sale   Deutsche Bank                    (212) 250-2500                                   $100,000.00     $147,000.00   20091003490 Mtc Financial              Azo859858                          01/28/2010 12:00 pm
 $469,900.00    12/03/2002   Notice of Trustee Sale   Bank Of America                  (800) 285-6000          2004 04/08/2004          $456,000.00     $792,200.00   20090996941 Recontrust                                   (800) 281-8219   02/01/2010 12:00 pm
 $305,000.00    04/19/2006   Notice of Trustee Sale   Aurora Loan Services             (720) 945-3000               04/14/2006          $213,500.00     $266,300.00   20090998371 Quality Loan Service       Az-09-322884-cl   (714) 573-1965   01/27/2010 12:00 pm
 $106,481.00    06/19/1997   Notice of Trustee Sale   Wells Fargo Home Mortgage        (866) 234-8271                                   $235,000.00     $187,600.00   20091001574 Michael A Bosco Jr         09-49095          (602) 255-6000   01/28/2010 10:00 am
 $204,283.00    07/12/2005   Notice of Trustee Sale   Hsbc Bank                        (800) 975-4722   20061535750 11/22/2006          $217,600.00     $174,000.00   20091002947 Recontrust                                   (800) 281-8219   02/01/2010 12:00 pm
 $153,000.00    03/15/2005   Notice of Trustee Sale   Deutsche Bank                    (212) 250-2500          2005 03/15/2005          $137,700.00     $137,300.00   20091002560 Recontrust                                   (800) 281-8219   02/02/2010 12:00 pm
  $94,000.00    07/31/2001   Notice of Trustee Sale   Desert Hills Bank                (480) 212-5363          2004                     $750,000.00     $118,000.00   20090999782 Quality Loan Service                         (714) 573-1965   01/29/2010 02:00 pm
  $94,940.00    12/18/2000   Notice of Trustee Sale                                                                                     $172,500.00      $95,000.00   20091002742 Michael A Bosco Jr         231444            (602) 255-6000   01/28/2010 10:00 am
 $155,000.00    03/21/2007   Notice of Trustee Sale   U.s. Bancorp                     (800) 365-7772   20070747169 06/28/2007          $116,250.00     $111,200.00   20091002781 Recontrust                                   (800) 281-8219   02/02/2010 12:00 pm
 $238,000.00    04/26/2005   Notice of Trustee Sale   Metlife Home Loans                                20070522224 10/25/2006          $257,000.00     $221,100.00   20091000834 Quality Loan Service       Az-09-318913-rm   (714) 573-1965   01/29/2010 02:00 pm
 $146,000.00    04/27/1995   Notice of Trustee Sale   Wells Fargo Home Mortgage        (866) 234-8271                                   $381,900.00     $188,000.00   20091001638 Michael A Bosco Jr         09-49140          (602) 255-6000   01/28/2010 10:00 am
 $288,355.00    11/03/2004   Notice of Trustee Sale   Bank Of America                  (800) 285-6000   20060626298 05/09/2006          $487,500.00     $348,200.00   20091002650 Recontrust                                   (800) 281-8219   02/02/2010 12:00 pm
  $66,600.00    08/06/1996   Notice of Trustee Sale   Wachovia Corporation             (800) 922-4684               08/12/2005          $680,000.00     $555,100.00   20091003488 Mtc Financial              Az0859851                          01/29/2010 12:00 pm
 $399,000.00    07/25/2005   Notice of Trustee Sale   Americas Servicing Company                                    10/13/2009          $319,200.00     $271,700.00   20091001499 Michael A Bosco Jr         09-45489          (602) 255-6000   01/28/2010 10:00 am
 $250,771.00    12/27/2007   Notice of Trustee Sale   Aurora Loan Services             (720) 945-3000               12/17/2007          $250,771.00      $52,000.00   20091001316 Quality Loan Service       Az-09-323072-cl   (714) 573-1965   01/28/2010 12:00 pm
 $305,000.00    12/27/2005   Notice of Trustee Sale   Select Portfolio Servicing Inc   (904) 722-7000               12/22/2005          $244,000.00     $173,000.00   20090999644 Quality Loan Service       Az-09-321415-rt   (714) 573-1965   01/27/2010 12:00 pm
 $154,386.00    04/24/2003   Notice of Trustee Sale   Wells Fargo Home Mortgage        (866) 234-8271                                   $180,000.00     $171,300.00   20091001568 Michael A Bosco Jr         09-49092          (602) 255-6000   01/28/2010 10:00 am
 $225,000.00    09/13/2006   Notice of Trustee Sale   Deutsche Bank                    (212) 250-2500   20061217565 09/13/2006          $180,000.00     $159,200.00   20091002737 Recontrust                                   (800) 281-8219   02/01/2010 12:00 pm
 $775,000.00    01/12/2007   Notice of Trustee Sale   Chase Home Finance Llc           (888) 332-3251                                   $620,000.00     $806,800.00   20091002856 First American Title       20099073502501    (702) 304-7514   01/29/2010 02:00 pm
 $260,000.00    08/23/2007   Notice of Trustee Sale   Bank Of America                  (800) 285-6000   20080381216 04/30/2008          $260,223.00     $180,200.00   20091002925 Recontrust                                   (800) 281-8219   01/29/2010 02:00 pm
 $234,716.00    05/13/2004   Notice of Trustee Sale   U.s. Bancorp                     (800) 365-7772   20060836385 06/21/2006          $300,000.00     $215,500.00   20091002770 Recontrust                                   (800) 281-8219   02/02/2010 12:00 pm
 $286,000.00    11/17/2006   Notice of Trustee Sale   Phh Mortgage                     (800) 210-8849                                   $133,934.00     $208,600.00   20091002760 Michael A Bosco Jr         09-25595          (602) 255-6000   01/28/2010 10:00 am
 $252,000.00    11/15/2006   Notice of Trustee Sale   Bank Of America                  (800) 285-6000   20061501112 11/15/2006          $201,600.00     $170,200.00   20091002876 Recontrust                 09-0158795        (800) 281-8219   01/29/2010 02:00 pm
 $248,500.00    08/31/2007   Notice of Trustee Sale   Wells Fargo Home Mortgage        (866) 234-8271                                   $198,500.00     $191,000.00   20091001561 Michael A Bosco Jr         09-49089          (602) 255-6000   01/28/2010 10:00 am




                                                                                                                                                  Page 31
Pre-foreclosure List
                                                                                                                                   Maricopa County Week Ending 11/2

 $148,000.00    06/17/2005   Notice of Trustee Sale   Chase Home Finance Llc           (888) 332-3251                                   $149,150.00     $143,000.00   20091001512 Michael A Bosco Jr          09-26708          (602) 255-6000   01/28/2010 10:00 am
 $345,803.00    09/07/2004   Notice of Trustee Sale   Wells Fargo Home Mortgage        (866) 234-8271   20070185859 02/14/2007          $456,300.00     $393,500.00   20091002543 Recontrust                                    (800) 281-8219   02/02/2010 12:00 pm
 $286,500.00    05/31/2006   Notice of Trustee Sale   Bank Of America                  (800) 285-6000   20060731956 05/31/2006          $257,850.00     $187,500.00   20091002516 Recontrust                  09-0154188        (800) 281-8219   02/02/2010 12:00 pm
 $145,720.00    10/16/2002   Notice of Trustee Sale   Bank Of America                  (800) 285-6000   20070494016 04/27/2007          $208,000.00     $174,300.00   20091002672 Recontrust                                    (800) 281-8219   01/29/2010 02:00 pm
 $133,070.00    08/02/2002   Notice of Trustee Sale                                                                                     $171,900.00     $160,700.00   20091002778 Michael A Bosco Jr          09-26482          (602) 255-6000   01/28/2010 10:00 am
 $210,000.00    07/25/2007   Notice of Trustee Sale   Bank Of America                  (800) 285-6000   20070843458 07/25/2007          $168,000.00     $165,200.00   20091002552 Recontrust                                    (800) 281-8219   02/02/2010 12:00 pm
 $130,000.00    10/08/2008   Notice of Trustee Sale   Bank Of America                  (800) 285-6000          2009 03/31/2009          $129,910.00     $164,000.00   20091002731 Recontrust                                    (800) 281-8219   02/02/2010 12:00 pm
 $210,000.00    02/06/2006   Notice of Trustee Sale   Aurora Loan Services             (720) 945-3000               02/01/2006          $168,000.00     $179,800.00   20091001312 Quality Loan Service        Az-09-323022-cl   (714) 573-1965   01/28/2010 12:00 pm
 $625,000.00    11/08/2005   Notice of Trustee Sale   Downey Savings And Loan                                                           $562,500.00     $362,300.00   20090997956 Michael A Bosco Jr          09-26805          (602) 255-6000   01/27/2010 10:00 am
 $364,000.00    11/17/2004   Notice of Trustee Sale   Americas Servicing Company                                                        $291,200.00     $355,200.00   20091001635 Michael A Bosco Jr          09-49143          (602) 255-6000   01/28/2010 10:00 am
 $210,000.00    10/26/2007   Notice of Trustee Sale   Bank Of America                  (800) 285-6000   20071163424 10/26/2007          $210,000.00      $12,930.00   20091002698 Recontrust                                    (800) 281-8219   01/29/2010 02:00 pm
 $141,596.00    01/22/2004   Notice of Trustee Sale   Aurora Loan Services             (720) 945-3000                                   $150,000.00     $158,300.00   20091002444 Cal Western Reconveyance    1246733-14        (800) 546-1531   01/29/2010 02:00 pm
 $136,560.00    08/21/2003   Notice of Trustee Sale   National City Mortgage           (800) 822-5626                                   $208,000.00     $153,800.00   20091003213 Michael A Bosco Jr          09-21845          (602) 255-6000   01/28/2010 10:00 am
 $148,000.00    03/23/2004   Notice of Trustee Sale                                                     20050891254 06/29/2005          $148,799.00     $170,600.00   20091003522 Recontrust                                    (800) 281-8219   01/29/2010 02:00 pm
 $473,019.00    09/12/2006   Notice of Trustee Sale   Metlife Home Loans                                            09/07/2006          $406,700.00     $287,500.00   20091000832 Quality Loan Service        Az-09-318571-rm   (714) 573-1965   01/29/2010 02:00 pm
 $156,000.00    04/16/1999   Notice of Trustee Sale   Select Portfolio Servicing Inc   (904) 722-7000               06/06/2006          $226,000.00     $192,800.00   20091002391 Quality Loan Service        Az-09-321919-rt   (714) 573-1965   01/28/2010 12:00 pm
 $195,000.00    02/27/1998   Notice of Trustee Sale   Chase Home Finance Llc           (888) 332-3251                                   $432,000.00     $339,000.00   20091002141 First American Title        20099073502605    (702) 304-7514   01/29/2010 02:00 pm
 $443,053.00    08/17/2005   Notice of Trustee Sale   Hsbc Bank                        (800) 975-4722                                   $315,000.00     $296,700.00   20091002749 Michael A Bosco Jr          230348            (602) 255-6000   01/28/2010 10:00 am
                04/23/2002   Notice of Trustee Sale                                                     20020412241                     $834,000.00     $398,410.00   20091001164 Empire West Title Agency    11516             (602) 749-7000   01/29/2010 02:00 pm
 $240,000.00    04/04/2006   Notice of Trustee Sale   Chase Home Finance Llc           (888) 332-3251                 04/04/2006        $192,000.00     $220,100.00   20090996608 Mtc Financial               Azo859756                          01/27/2010 12:00 pm
 $525,000.00    01/29/2008   Notice of Trustee Sale   Bank Of America                  (800) 285-6000                                   $417,000.00     $679,300.00   20091001996 Aztec Foreclosure           09-018606         (602) 222-5711   01/23/2010 11:00 am
 $142,000.00    12/20/2005   Notice of Trustee Sale   Metlife Home Loans                                              12/14/2005        $113,600.00     $109,000.00   20091000882 Quality Loan Service        Az-09-319194-rm   (714) 573-1965   01/29/2010 02:00 pm
 $200,000.00    09/14/2006   Notice of Trustee Sale   Metlife Home Loans                                              09/06/2006        $160,000.00     $134,100.00   20091000830 Quality Loan Service        Az-09-318920-rm   (714) 573-1965   01/29/2010 02:00 pm
                09/13/1993   Notice of Trustee Sale   Everhome Mortgage Company        (800) 669-9721                                   $139,950.00     $143,700.00   20091002788 Michael A Bosco Jr          09-26466          (602) 255-6000   01/28/2010 10:00 am
  $600,000.00   01/22/2008   Notice of Trustee Sale   Bb&t Mortgage                    (800) 295-5744                                   $417,000.00     $326,200.00   20091002752 Michael A Bosco Jr          09-25413          (602) 255-6000   01/28/2010 10:00 am
  $173,818.00   03/23/2005   Notice of Trustee Sale   Bank United                                                                       $216,000.00     $149,500.00   20090997921 Michael A Bosco Jr          09-26424          (602) 255-6000   01/27/2010 10:00 am
  $320,000.00   03/28/2005   Notice of Trustee Sale   Aurora Loan Services             (720) 945-3000                 03/24/2005        $256,000.00     $323,800.00   20090998380 Quality Loan Service        Az-09-264093-cl   (714) 573-1965   01/27/2010 12:00 pm
  $190,000.00   09/13/2007   Notice of Trustee Sale   Wells Fargo Home Mortgage        (866) 234-8271                                   $190,000.00     $190,700.00   20091001611 Michael A Bosco Jr          09-49108          (602) 255-6000   01/28/2010 10:00 am
  $290,000.00   05/12/2006   Notice of Trustee Sale   Aurora Loan Services             (720) 945-3000                 05/09/2006        $232,000.00     $179,200.00   20090998095 Quality Loan Service        Az-09-322877-cl   (714) 573-1965   01/27/2010 12:00 pm
  $721,000.00   11/02/2006   Notice of Trustee Sale   Hsbc Bank                        (800) 975-4722                                   $576,000.00     $382,600.00   20091002776 Michael A Bosco Jr          09-26015          (602) 255-6000   01/28/2010 10:00 am
  $139,500.00   11/29/2000   Notice of Trustee Sale   Hsbc Bank                        (800) 975-4722   20070669634 06/11/2007          $240,000.00     $170,600.00   20091002537 Recontrust                                    (800) 281-8219   02/02/2010 12:00 pm
  $145,415.00   05/15/2003   Notice of Trustee Sale   The Bank Of New York Mellon      (212) 495-1784    2005149848 10/06/2005          $217,500.00     $174,300.00   20091002802 Recontrust                  09-0160477        (800) 281-8219   02/02/2010 12:00 pm
    $7,996.00   08/04/1989   Notice of Trustee Sale   Bank Of America                  (800) 285-6000   20060412010 03/28/2006          $120,000.00     $129,600.00   20091002826 Recontrust                                    (800) 281-8219   01/29/2010 02:00 pm
  $249,900.00   04/15/2005   Notice of Trustee Sale   Metlife Home Loans                                            04/07/2005          $162,435.00     $193,000.00   20091000802 Quality Loan Service        Az-09-319464-rm   (714) 573-1965   01/29/2010 02:00 pm
  $182,000.00   11/16/2005   Notice of Trustee Sale   The Bank Of New York Mellon      (212) 495-1784   20051737319 11/16/2005          $145,600.00      $11,600.00   20091002695 Recontrust                  09-0159150        (800) 281-8219   01/29/2010 02:00 pm
  $170,000.00   09/23/2008   Notice of Trustee Sale   Bank Of America                  (800) 285-6000    2008082007 09/23/2008          $168,458.00     $172,800.00   20091002603 Recontrust                  09-0064757        (800) 281-8219   02/01/2010 12:00 pm
  $205,316.00   04/28/2006   Notice of Trustee Sale   Wells Fargo Home Mortgage        (866) 234-8271                                   $164,252.00     $123,000.00   20091002292 First American Title        20099070820980    (702) 304-7514   01/29/2010 02:00 pm
  $176,800.00   10/05/2005   Notice of Trustee Sale   Wells Fargo Home Mortgage        (866) 234-8271                                   $159,100.00     $141,500.00   20091002039 First American Title        20099070821348    (702) 304-7514   01/29/2010 02:00 pm
  $112,051.00   07/25/2005   Notice of Trustee Sale   Citimortgage, Inc                (800) 695-0935                                   $200,000.00     $148,000.00   20090997914 Michael A Bosco Jr          09-26696          (602) 255-6000   01/27/2010 10:00 am
  $235,000.00   03/03/2005   Notice of Trustee Sale   Chase Home Finance Llc           (888) 332-3251                                   $188,000.00     $185,500.00   20091001514 Michael A Bosco Jr          09-26709          (602) 255-6000   01/28/2010 10:00 am
  $231,703.00   02/22/2007   Notice of Trustee Sale   Hsbc Bank                        (800) 975-4722                                   $231,700.00     $166,700.00   20090997256 Michael A Bosco Jr          09-26674          (602) 255-6000   01/27/2010 10:00 am
  $112,000.00   12/12/2001   Notice of Trustee Sale   Bank Of America                  (800) 285-6000   20031031399 08/01/2003          $109,074.00     $152,600.00   20091002864 Recontrust                                    (800) 281-8219   01/29/2010 02:00 pm
  $436,000.00   02/07/2007   Notice of Trustee Sale   Washington Mutual                                             02/02/2007          $305,200.00     $297,200.00   20091002841 First American Title        Az-09-323111-pj   (702) 304-7514   01/28/2010 12:00 pm
  $167,000.00   06/09/2004   Notice of Trustee Sale   Bank Of America                  (800) 285-6000                                     $40,000.00    $196,100.00   20090998200 Northwest Trustee Service   7530              (714) 277-4888   01/29/2010 02:00 pm
  $409,914.00   12/22/2006   Notice of Trustee Sale   Citimortgage, Inc                (800) 695-0935                                   $406,000.00     $299,100.00   20091003262 Michael A Bosco Jr          09-26716          (602) 255-6000   01/28/2010 10:00 am
   $70,000.00   09/25/2003   Notice of Trustee Sale                                                     20080530843                       $83,250.00     $82,700.00   20091001133 Statewide Foreclosure                         (602) 414-9928   01/29/2010 02:00 pm
  $815,000.00   12/22/2006   Notice of Trustee Sale   Bank Of America                  (800) 285-6000   20070993461 09/06/2007          $924,000.00     $597,200.00   20091002734 Recontrust                                    (800) 281-8219   02/01/2010 12:00 pm
  $225,000.00   12/04/2002   Notice of Trustee Sale                                                                                     $340,800.00     $212,100.00   20091002774 Michael A Bosco Jr          09-26610          (602) 255-6000   01/28/2010 10:00 am
  $486,830.00   02/15/2000   Notice of Trustee Sale   Bank Of America                  (800) 285-6000   20051856100 12/07/2005          $880,000.00     $772,000.00   20091002765 Recontrust                  09-0160479        (800) 281-8219   02/02/2010 12:00 pm
  $869,900.00   06/01/2005   Notice of Trustee Sale                                                                                     $826,500.00     $639,600.00   20091002613 Michael A Bosco Jr          926234            (602) 255-6000   01/28/2010 10:00 am
$1,200,000.00   07/31/2007   Notice of Trustee Sale   Bank Of America                  (800) 285-6000   20070862544 07/31/2007          $892,570.00     $945,300.00   20091002728 Recontrust                                    (800) 281-8219   02/01/2010 12:00 pm
  $179,900.00   02/02/2005   Notice of Trustee Sale   Chase Home Finance Llc           (888) 332-3251                                   $170,900.00     $174,000.00   20091003017 First American Title        20099073502504    (702) 304-7514   01/29/2010 02:00 pm
  $231,500.00   09/21/2007   Notice of Trustee Sale   Wells Fargo Home Mortgage        (866) 234-8271                                   $215,295.00     $173,300.00   20091001565 Michael A Bosco Jr          09-49091          (602) 255-6000   01/28/2010 10:00 am
  $235,000.00   09/29/2006   Notice of Trustee Sale   Metlife Home Loans                                              09/26/2006        $188,000.00     $167,000.00   20091000874 Quality Loan Service        Az-09-319200-rm   (714) 573-1965   01/29/2010 02:00 pm
  $254,000.00   06/22/2006   Notice of Trustee Sale   Wells Fargo Home Mortgage        (866) 234-8271                                   $262,382.00     $165,200.00   20091002306 First American Title        20099070821520    (702) 304-7514   01/29/2010 02:00 pm
  $209,900.00   03/31/2006   Notice of Trustee Sale   Aurora Loan Services             (720) 945-3000                 03/29/2006      $16,792,000.00    $150,000.00   20091002384 Quality Loan Service        Az-09-323025-cl   (714) 573-1965   01/28/2010 12:00 pm
  $188,212.00   10/19/2005   Notice of Trustee Sale   Wells Fargo Home Mortgage        (866) 234-8271                                   $199,000.00     $145,100.00   20091002290 First American Title        20099070820956    (702) 304-7514   01/29/2010 02:00 pm




                                                                                                                                                  Page 32
Pre-foreclosure List
                                                                                                                            Maricopa County Week Ending 11/2

$259,000.00   11/07/2005   Notice of Trustee Sale   Bank Of America               (800) 285-6000   20051685121 11/07/2005        $259,000.00      $180,700.00   20091002838 Recontrust                                               (800) 281-8219   01/29/2010 02:00 pm
$109,900.00   03/02/2001   Notice of Trustee Sale   Bank Of America               (800) 285-6000                                 $113,000.00      $153,700.00   20090996867 Aztec Foreclosure                      09-018419         (602) 222-5711   01/27/2010 11:00 am
$256,000.00   10/20/2005   Notice of Trustee Sale   Mers                          (800) 646-6377          2005 10/18/2005        $204,800.00      $173,800.00   20090997099 Executive Trustee Service                                (714) 730-2727   02/05/2010 12:00 pm
$182,836.00   09/30/2005   Notice of Trustee Sale   Suntrust Mortgage Inc         (800) 786-8787                                 $241,062.00      $187,200.00   20090997863 Aztec Foreclosure                      09-018688         (602) 222-5711   01/27/2010 11:00 am
$410,000.00   10/11/2005   Notice of Trustee Sale   Mers                          (800) 646-6377          2005 10/10/2005        $328,000.00      $307,000.00   20090996745 Security Title Agency                                    (602) 266-0275   02/05/2010 12:00 pm
$410,000.00   01/17/2006   Notice of Trustee Sale   Deutsche Bank                 (212) 250-2500               01/17/2006        $369,000.00      $285,100.00   20090996607 Mtc Financial                          Azo859753                          01/28/2010 12:00 pm
$121,500.00   05/15/2003   Notice of Trustee Sale   Phh Mortgage                  (800) 210-8849                                 $115,425.00      $161,200.00   20090992933 Aztec Foreclosure                      09-018531         (602) 222-5711   01/26/2010 11:00 am
              07/05/2007   Notice of Trustee Sale   Downey Savings And Loan                                                      $178,000.00       $18,420.00   20090997943 Michael A Bosco Jr                     09-26601          (602) 255-6000   01/27/2010 10:00 am
$235,500.00   05/22/2007   Notice of Trustee Sale   Bank Of America               (800) 285-6000                                 $188,400.00      $181,700.00   20090996231 Northwest Trustee Service              7662              (714) 277-4888   01/28/2010 02:00 pm
$705,000.00   11/03/2006   Notice of Trustee Sale   M&i Marshall                                   20061458847                  $3,325,000.00     $240,026.00   20090997604 Quality Loan Service                   09-1293           (714) 573-1965   01/28/2010 02:00 pm
$185,000.00   07/31/2007   Notice of Trustee Sale   Bank Of America               (800) 285-6000   20071187214 11/02/2007        $143,200.00      $115,700.00   20090997059 Recontrust                                               (800) 281-8219   02/01/2010 12:00 pm
$117,750.00   01/08/2003   Notice of Trustee Sale   Chase Home Finance Llc        (888) 332-3251                                 $202,492.00      $154,700.00   20090996256 First American Title                   20099073502429    (702) 304-7514   01/28/2010 02:00 pm
$188,888.00   11/17/2004   Notice of Trustee Sale   Citimortgage, Inc             (800) 695-0935               11/09/2004        $169,950.00      $170,500.00   20090995785 Cr Title Service                       To9-55740-az      (714) 573-1965   01/28/2010 02:00 pm
$320,000.00   06/05/2006   Notice of Trustee Sale                                                              05/03/2006        $256,000.00      $219,500.00   20090997827 Quality Loan Service                   Az-09-280886-tc   (714) 573-1965   01/27/2010 12:00 pm
 $59,900.00   02/28/1997   Notice of Trustee Sale   Bank Of America               (800) 285-6000   20061204004 09/11/2006        $107,500.00      $124,600.00   20090996654 Recontrust                                               (800) 281-8219   02/01/2010 12:00 pm
$210,000.00   11/20/2007   Notice of Trustee Sale   Mers                          (800) 646-6377          2007 11/20/2007        $210,000.00      $150,500.00   20090996822 Security Title Agency                                    (602) 266-0275   02/08/2010 12:00 pm
$850,000.00   02/05/2004   Notice of Trustee Sale   Washington Mutual                                          02/05/2004        $637,500.00      $745,100.00   20090997226 California Reconveyance                137827az          (714) 573-1965   01/28/2010 02:00 pm
 $91,000.00   08/30/1996   Notice of Trustee Sale   Bank Of America               (800) 285-6000                                 $150,000.00      $228,200.00   20090996250 Christopher Charles Rebhuhn            03-sf-86030                        01/28/2010 02:00 pm
$179,900.00   04/01/2009   Notice of Trustee Sale   Bank Of America               (800) 285-6000   20090288538 04/01/2009        $176,641.00      $253,000.00   20090996672 Recontrust                                               (800) 281-8219   02/01/2010 12:00 pm
$164,512.00   07/07/2004   Notice of Trustee Sale   Mers                          (800) 646-6377          2006 08/10/2006        $263,500.00      $226,600.00   20090997035 Security Title Agency                                    (602) 266-0275   02/04/2010 12:00 pm
$135,000.00   11/28/2003   Notice of Trustee Sale                                                                                $195,000.00      $197,500.00   20090992941 Aztec Foreclosure                      09-018808         (602) 222-5711   01/26/2010 11:00 am
$139,900.00   02/06/2002   Notice of Trustee Sale   Wells Fargo Home Mortgage     (866) 234-8271          2005 04/11/2005        $614,000.00      $533,100.00   20090996708 Recontrust                                               (800) 281-8219   01/28/2010 02:00 pm
$161,470.00   08/16/1999   Notice of Trustee Sale   The Bank Of New York Mellon   (212) 495-1784   20051614073 10/26/2005        $288,300.00      $246,000.00   20090996705 Recontrust                                               (800) 281-8219   01/28/2010 02:00 pm
              08/16/2007   Notice of Trustee Sale   Wells Fargo Home Mortgage     (866) 234-8271                              $363,250,000.00   $5,466,612.00   20090994815 Quality Loan Service                   2310-40(e)        (714) 573-1965   01/27/2010 12:00 pm
$192,400.00   03/31/2006   Notice of Trustee Sale   The Bank Of New York Mellon   (212) 495-1784          2006 03/31/2006        $153,920.00      $107,300.00   20090996829 Recontrust                                               (800) 281-8219   01/28/2010 02:00 pm
$126,810.00   08/18/2000   Notice of Trustee Sale   Mers                          (800) 646-6377          2005 09/07/2005        $195,075.00      $191,000.00   20090997084 Security Title Agency                                    (602) 266-0275   02/04/2010 12:00 pm
$178,900.00   02/27/2007   Notice of Trustee Sale   Bank Of America               (800) 285-6000                                 $173,533.00      $100,991.00   20090996242 Northwest Trustee Service              7662              (714) 277-4888   01/28/2010 02:00 pm
$159,970.00   11/12/2003   Notice of Trustee Sale   Citimortgage, Inc             (800) 695-0935               04/25/2006        $213,500.00      $191,800.00   20090995406 Cr Title Service                       To9-55768-az      (714) 573-1965   01/28/2010 02:00 pm
 $85,000.00   05/05/1999   Notice of Trustee Sale   Mers                          (800) 646-6377          2006 08/10/2006        $149,500.00      $146,200.00   20090997054 Security Title Agency                                    (602) 266-0275   02/04/2010 12:00 pm
$131,000.00   04/02/2001   Notice of Trustee Sale   Chase Home Finance Llc        (888) 332-3251                                 $173,000.00      $168,700.00   20090996465 Michael A Bosco Jr                     09-26722          (602) 255-6000   01/27/2010 10:00 am
$700,000.00   06/16/2006   Notice of Trustee Sale                                                  20060814258 06/16/2006        $560,000.00      $528,200.00   20090997879 Recontrust                                               (800) 281-8219   02/01/2010 12:00 pm
$202,282.00   06/29/2007   Notice of Trustee Sale   Aurora Loan Services          (720) 945-3000                                 $192,167.00       $30,500.00   20090997112 Cal Western Reconveyance               1246477-14        (800) 546-1531   01/28/2010 02:00 pm
$208,000.00   12/12/2006   Notice of Trustee Sale   The Bank Of New York Mellon   (212) 495-1784                                 $185,677.00       $64,300.00   20090996351 Old Republic Nat'l Title Insurance C   09-35450          (714) 573-1965   01/28/2010 02:00 pm
$508,000.00   05/16/2005   Notice of Trustee Sale   Wells Fargo Home Mortgage     (866) 234-8271   20060924372 07/11/2006        $552,000.00      $353,100.00   20090996641 Recontrust                             09-0159710        (800) 281-8219   02/01/2010 12:00 pm
$225,000.00   12/06/2007   Notice of Trustee Sale   Bb&t Mortgage                 (800) 295-5744                                 $225,000.00      $174,200.00   20090992950 Aztec Foreclosure                      09-018816         (602) 222-5711   01/26/2010 11:00 am
 $89,900.00   03/06/2002   Notice of Trustee Sale   Aurora Loan Services          (720) 945-3000               03/04/2002          $85,405.00     $119,200.00   20090997173 Quality Loan Service                   Az-09-322876-cl   (714) 573-1965   01/27/2010 12:00 pm
$270,489.00   06/23/1995   Notice of Trustee Sale   Wachovia Corporation          (800) 922-4684               12/20/2002          $78,000.00     $419,800.00   20090996609 Mtc Financial                          Azo859756                          01/28/2010 12:00 pm
$230,000.00   02/02/2007   Notice of Trustee Sale   Hsbc Bank                     (800) 975-4722                                 $184,000.00      $169,300.00   20090992948 Aztec Foreclosure                      09-016673         (602) 222-5711   01/26/2010 11:00 am
$169,585.00   12/19/2005   Notice of Trustee Sale   Wachovia Corporation          (800) 922-4684                                   $25,100.00     $165,000.00   20090994250 Cal Western Reconveyance               1247467-02        (800) 546-1531   01/28/2010 02:00 pm
$850,000.00   03/17/2004   Notice of Trustee Sale                                                  20080188078 03/03/2008        $942,500.00      $892,100.00   20090996932 Recontrust                                               (800) 281-8219   02/01/2010 12:00 pm
 $48,950.00   02/18/1994   Notice of Trustee Sale   Citimortgage, Inc             (800) 695-0935                                 $101,650.00      $123,258.00   20090997910 Michael A Bosco Jr                     09-26699          (602) 255-6000   01/27/2010 10:00 am
$283,000.00   06/15/2004   Notice of Trustee Sale   Bank United                                                                  $348,000.00      $288,700.00   20090997875 Michael A Bosco Jr                     09-23282          (602) 255-6000   01/27/2010 10:00 am
$295,000.00   05/05/2006   Notice of Trustee Sale   Bayview Loan Servicing, Llc   (800) 457-5105               04/11/2006        $236,000.00      $190,700.00   20090995326 Cr Title Service                       To9-55806-az      (714) 573-1965   02/03/2010 12:00 pm
$280,217.00   05/27/2005   Notice of Trustee Sale   Bank Of America               (800) 285-6000   20050712129 05/27/2005        $225,000.00      $266,500.00   20090996975 Recontrust                                               (800) 281-8219   02/01/2010 12:00 pm
$139,500.00   03/27/2002   Notice of Trustee Sale   Chase Home Finance Llc        (888) 332-3251                                 $784,000.00    $1,154,000.00   20090995019 First American Title                   20099073502586    (702) 304-7514   01/28/2010 02:00 pm
$248,070.00   06/23/2005   Notice of Trustee Sale   Chase Home Finance Llc        (888) 332-3251                                 $198,456.00       $15,770.00   20090996361 Michael A Bosco Jr                     09-26550          (602) 255-6000   01/27/2010 10:00 am
 $60,000.00   07/17/2001   Notice of Trustee Sale   Accredited Home Lenders       (866) 521-4815                                 $100,000.00       $97,500.00   20090995357 Quality Loan Service                   Az-sls-090122     (714) 573-1965   01/28/2010 12:00 pm
$100,000.00   08/10/2007   Notice of Trustee Sale   Mers                          (800) 646-6377          2007 08/08/2007        $100,000.00       $82,000.00   20090996915 Security Title Agency                                    (602) 266-0275   02/04/2010 12:00 pm
$132,000.00   04/27/2004   Notice of Trustee Sale   Bank Of America               (800) 285-6000   20040451403 04/27/2004        $130,161.00      $151,600.00   20090996815 Recontrust                                               (800) 281-8219   01/28/2010 02:00 pm
$178,000.00   11/14/2005   Notice of Trustee Sale   Bank Of America               (800) 285-6000                                 $165,000.00      $151,100.00   20090998172 Northwest Trustee Service              7530              (714) 277-4888   01/29/2010 02:00 pm
$163,279.00   02/29/2008   Notice of Trustee Sale   Bank Of America               (800) 285-6000   20080184447 02/29/2008        $160,755.00        $9,200.00   20090996837 Recontrust                             09-0158356        (800) 281-8219   02/01/2010 12:00 pm
 $91,200.00   10/26/1999   Notice of Trustee Sale   Mers                          (800) 646-6377          2005 09/29/2005        $127,500.00      $138,300.00   20090996844 Security Title Agency                                    (602) 266-0275   02/08/2010 12:00 pm
 $75,000.00   12/19/2003   Notice of Trustee Sale                                                                                $150,000.00      $159,100.00   20090992954 Aztec Foreclosure                      09-018694         (602) 222-5711   01/26/2010 11:00 am
$270,090.00   04/22/2004   Notice of Trustee Sale   Deutsche Bank                 (212) 250-2500   20090946799 06/29/2005        $180,000.00      $342,800.00   20090994658 Quality Loan Service                   Az-09-316337-tc   (714) 573-1965   01/26/2010 12:00 pm
$500,900.00   07/12/2006   Notice of Trustee Sale   Chase Home Finance Llc        (888) 332-3251                                 $400,720.00      $314,100.00   20090996387 Michael A Bosco Jr                     09-26597          (602) 255-6000   01/27/2010 10:00 am
$128,090.00   08/30/2002   Notice of Trustee Sale   American Home Mortgage        (877) 304-3100               12/08/2005        $196,000.00      $167,700.00   20090995762 Quality Loan Service                   Az-09-322706-bl   (714) 573-1965   01/28/2010 02:00 pm
 $68,000.00   11/25/1992   Notice of Trustee Sale                                                                                $200,000.00      $194,500.00   20090992943 Aztec Foreclosure                      09-018828         (602) 222-5711   01/26/2010 11:00 am




                                                                                                                                           Page 33
Pre-foreclosure List
                                                                                                                               Maricopa County Week Ending 11/2

 $270,000.00    10/28/2004   Notice of Trustee Sale   Downey Savings And Loan                                                       $267,000.00     $271,100.00   20090997917 Michael A Bosco Jr                     09-26559          (602) 255-6000   01/27/2010 10:00 am
 $223,500.00    07/25/2007   Notice of Trustee Sale   Chase Home Finance Llc         (888) 332-3251                                 $212,325.00     $163,600.00   20090996384 Michael A Bosco Jr                     09-26574          (602) 255-6000   01/27/2010 10:00 am
 $174,023.00    06/13/2008   Notice of Trustee Sale   Bank Of America                (800) 285-6000                                 $171,334.00      $31,000.00   20090998184 Northwest Trustee Service              7662              (714) 277-4888   01/29/2010 02:00 pm
 $176,109.00    03/10/2003   Notice of Trustee Sale                                                               09/29/2005        $284,000.00      $14,120.00   20090994669 Quality Loan Service                   Az-09-321264-tc   (714) 573-1965   01/27/2010 12:00 pm
 $132,500.00    03/10/2004   Notice of Trustee Sale   Hsbc Bank                      (800) 975-4722                                 $212,000.00     $165,600.00   20090992952 Aztec Foreclosure                      09-017084         (602) 222-5711   01/26/2010 11:00 am
                03/15/1995   Notice of Trustee Sale   Bayview Loan Servicing, Llc    (800) 457-5105                                   $68,354.00     $10,830.00   20090997973 Aztec Foreclosure                      09-018618         (602) 222-5711   01/27/2010 11:00 am
  $64,000.00    03/28/1997   Notice of Trustee Sale   Bank United                                                                   $152,000.00     $111,300.00   20090997881 Michael A Bosco Jr                     09-24404          (602) 255-6000   01/27/2010 10:00 am
 $800,000.00    12/14/2006   Notice of Trustee Sale   Bank Of America                (800) 285-6000   20061634134 12/14/2006        $640,000.00     $337,600.00   20090996958 Recontrust                                               (800) 281-8219   02/01/2010 12:00 pm
  $60,000.00    08/26/2003   Notice of Trustee Sale                                                                                   $96,000.00      $5,600.00   20090992921 Aztec Foreclosure                      09-018831         (602) 222-5711   01/26/2010 11:00 am
                02/26/2007   Notice of Trustee Sale   U.s. Bancorp                   (800) 365-7772                                 $201,000.00     $116,431.00   20090992937 Aztec Foreclosure                      09-016283         (602) 222-5711   01/26/2012 11:00 am
 $231,213.00    03/02/2004   Notice of Trustee Sale   Mers                           (800) 646-6377          2005 09/06/2005        $269,750.00     $152,100.00   20090997100 Security Title Agency                                    (602) 266-0275   02/05/2010 12:00 pm
 $486,224.00    10/02/2006   Notice of Trustee Sale   Chase Home Finance Llc         (888) 332-3251                                 $388,979.00     $372,300.00   20090996364 Michael A Bosco Jr                     09-26546          (602) 255-6000   01/27/2010 10:00 am
 $179,900.00    01/03/2006   Notice of Trustee Sale   Citimortgage, Inc              (800) 695-0935               12/26/2005        $129,900.00     $123,500.00   20090995356 Cr Title Service                       To9-55786-az      (714) 573-1965   01/28/2010 02:00 pm
 $343,000.00    08/10/2006   Notice of Trustee Sale   Bank Of America                (800) 285-6000          2008 06/23/2008        $260,347.00     $233,000.00   20090996806 Recontrust                                               (800) 281-8219   02/01/2010 12:00 pm
 $329,000.00    11/09/2004   Notice of Trustee Sale   Bank Of America                (800) 285-6000   20060725763 05/30/2006        $833,070.00      $57,550.00   20090997019 Recontrust                                               (800) 281-8219   02/01/2010 12:00 pm
 $233,687.00    08/12/2005   Notice of Trustee Sale   Suntrust Mortgage Inc          (800) 786-8787                                 $240,000.00      $13,100.00   20090996978 Aztec Foreclosure                      09-018680         (602) 222-5711   01/27/2010 11:00 am
 $181,000.00    12/15/2003   Notice of Trustee Sale   Citimortgage, Inc              (800) 695-0935               10/25/2006        $293,250.00     $230,000.00   20090996066 Cr Title Service                       To9-55651-az      (714) 573-1965   01/28/2010 02:00 pm
 $232,000.00    03/23/2007   Notice of Trustee Sale   Aurora Loan Services           (720) 945-3000               03/19/2007        $208,800.00     $168,300.00   20090997752 Quality Loan Service                   Az-09-322941-cl   (714) 573-1965   01/27/2010 12:00 pm
 $230,000.00    06/28/2004   Notice of Trustee Sale   Provident Funding              (800) 696-8199                                 $273,600.00     $274,700.00   20090997196 Jason Cotton Pa                        7092506                            01/27/2010 12:00 pm
  $82,000.00    05/04/1990   Notice of Trustee Sale   Bayview Loan Servicing, Llc    (800) 457-5105                                 $208,890.00     $148,500.00   20090998008 Aztec Foreclosure                      09-018616         (602) 222-5711   01/27/2010 11:00 am
 $233,000.00    04/19/2007   Notice of Trustee Sale   Hsbc Bank                      (800) 975-4722                                 $221,350.00     $186,100.00   20090992960 Aztec Foreclosure                      09-016510         (602) 222-5711   01/26/2010 11:00 am
 $139,000.00    06/28/2005   Notice of Trustee Sale   Aurora Loan Services           (720) 945-3000               07/27/2007        $149,000.00     $123,200.00   20090997206 Quality Loan Service                   Az-09-322949-cl   (714) 573-1965   01/27/2010 12:00 pm
  $95,900.00    01/03/2005   Notice of Trustee Sale   Mers                           (800) 646-6377          2006 07/28/2006        $150,000.00     $116,000.00   20090997015 Security Title Agency                                    (602) 266-0275   02/05/2010 12:00 pm
  $90,000.00    09/30/1996   Notice of Trustee Sale   Chase Home Finance Llc         (888) 332-3251                                 $165,000.00     $161,000.00   20090996335 Michael A Bosco Jr                     09-26491          (602) 255-6000   01/27/2010 10:00 am
 $139,000.00    11/29/2006   Notice of Trustee Sale   Chase Home Finance Llc         (888) 332-3251                                 $139,000.00       $7,050.00   20090996458 Michael A Bosco Jr                     09-26713          (602) 255-6000   01/27/2010 10:00 am
 $281,000.00    07/27/2005   Notice of Trustee Sale   Americas Servicing Company                                                    $224,800.00     $185,000.00   20090996470 Michael A Bosco Jr                     09-49059          (602) 255-6000   01/27/2010 10:00 am
 $175,000.00    10/20/2005   Notice of Trustee Sale   Mers                           (800) 646-6377          2005 10/19/2005        $166,250.00     $134,000.00   20090996856 Security Title Agency                                    (602) 266-0275   02/08/2010 12:00 pm
                03/02/2009   Notice of Trustee Sale   Bank Of America                (800) 285-6000          2006 04/20/2006        $405,322.00      $23,700.00   20090996624 Recontrust                                               (800) 281-8219   01/28/2010 02:00 pm
 $610,028.00    10/28/2008   Notice of Trustee Sale   Bank Of America                (800) 285-6000               10/28/2008        $457,500.00       $7,000.00   20090997041 Recontrust                                               (800) 281-8219   02/01/2010 12:00 pm
 $159,900.00    12/03/2004   Notice of Trustee Sale   Chase Home Finance Llc         (888) 332-3251                                 $194,500.00     $172,000.00   20090995015 First American Title                   20099019204343    (702) 304-7514   01/28/2010 02:00 pm
 $215,990.00    09/23/2008   Notice of Trustee Sale   Bank Of America                (800) 285-6000   20080698515 08/11/2008        $212,642.00      $43,500.00   20090996779 Recontrust                                               (800) 281-8219   01/28/2010 12:00 pm
 $240,000.00    01/22/2007   Notice of Trustee Sale   Bank Of America                (800) 285-6000                                 $200,000.00     $169,100.00   20090997233 Michael A Bosco Jr                     09-26013          (602) 255-6000   01/27/2010 10:00 am
 $136,000.00    11/01/2006   Notice of Trustee Sale   Bank Of America                (800) 285-6000                                 $108,800.00      $99,000.00   20090996216 Northwest Trustee Service              7662              (714) 277-4888   01/28/2010 02:00 pm
 $113,600.00    10/25/2001   Notice of Trustee Sale                                                                                 $188,000.00     $138,000.00   20090992945 Aztec Foreclosure                      09-018689         (602) 222-5711   01/26/2010 11:00 am
 $357,776.00    03/07/2005   Notice of Trustee Sale   Bank Of America                (800) 285-6000   20050274936 03/07/2005        $286,220.00     $278,200.00   20090997010 Recontrust                                               (800) 281-8219   02/01/2010 12:00 pm
 $125,000.00    08/01/2002   Notice of Trustee Sale                                                                                 $175,500.00     $151,000.00   20090996141 Empire West Title Agency                                 (602) 749-7000   01/29/2010 10:00 am
 $412,874.00    12/21/2004   Notice of Trustee Sale   Phh Mortgage                   (800) 210-8849                                 $369,600.00     $330,600.00   20090992929 Aztec Foreclosure                      09-018575         (602) 222-5711   01/26/2010 11:00 am
 $255,000.00    06/22/2005   Notice of Trustee Sale   Carrington Mortgage Services   (714) 969-7600                                 $204,000.00     $159,300.00   20090996350 Old Republic Nat'l Title Insurance C   09-35428          (714) 573-1965   01/28/2010 02:00 pm
  $93,000.00    02/21/2002   Notice of Trustee Sale   Mers                           (800) 646-6377               01/25/2007        $167,500.00     $131,200.00   20090995979 Quality Loan Service                   Az-09-321717-rm   (714) 573-1965   01/28/2010 02:00 pm
 $289,633.00    01/13/2006   Notice of Trustee Sale   Chase Home Finance Llc         (888) 332-3251                                 $289,633.00     $186,200.00   20090996339 Michael A Bosco Jr                     09-26496          (602) 255-6000   01/27/2010 10:00 am
 $608,222.00    03/30/2005   Notice of Trustee Sale   Citimortgage, Inc              (800) 695-0935               06/26/2006        $731,250.00     $577,200.00   20090996610 Mtc Financial                          Azo859754                          01/28/2010 12:00 pm
 $207,458.00    03/31/2006   Notice of Trustee Sale   Aurora Loan Services           (720) 945-3000                               $25,030,000.00     $12,870.00   20090993958 Cal Western Reconveyance               1246304-14        (800) 546-1531   01/28/2010 02:00 pm
                04/17/1991   Notice of Trustee Sale   Household Financial Group      (800) 340-7866                                   $54,947.00     $51,000.00   20090992935 Aztec Foreclosure                      09-018485         (602) 222-5711   01/26/2010 11:00 am
 $284,995.00    10/27/2005   Notice of Trustee Sale   Bank United                                                                   $280,000.00     $195,000.00   20090997883 Michael A Bosco Jr                     09-24407          (602) 255-6000   01/27/2010 10:00 am
 $520,000.00    11/22/2006   Notice of Trustee Sale   Mers                           (800) 646-6377          2006 11/17/2006        $416,000.00     $342,600.00   20090997139 Security Title Agency                                    (602) 266-0275   02/03/2010 12:00 pm
 $380,000.00    07/12/2007   Notice of Trustee Sale   Mers                           (800) 646-6377          2007 07/11/2007        $380,000.00     $237,500.00   20090997152 Security Title Agency                                    (602) 266-0275   02/03/2010 12:00 pm
                08/20/1999   Notice of Trustee Sale   The Bank Of New York Mellon    (212) 495-1784                                 $105,000.00      $32,833.00   20090992968 Aztec Foreclosure                      09-016522         (602) 222-5711   01/26/2010 11:00 am
   $97,700.00   01/24/2001   Notice of Trustee Sale   Wells Fargo Home Mortgage      (866) 234-8271               12/13/2006        $199,000.00     $163,200.00   20090994693 Quality Loan Service                   Az-09-322431-rm   (714) 573-1965   01/27/2010 12:00 pm
   $49,900.00   09/11/2006   Notice of Trustee Sale   Bank Of America                (800) 285-6000   20070605528 05/24/2007        $109,375.00     $118,600.00   20090997029 Recontrust                                               (800) 281-8219   02/01/2010 12:00 pm
   $69,900.00   08/10/1993   Notice of Trustee Sale   Mers                           (800) 646-6377          2005 07/11/2005        $145,000.00     $162,200.00   20090997472 Security Title Agency                                    (602) 266-0275   02/04/2010 12:00 pm
  $256,000.00   11/30/1988   Notice of Trustee Sale   Deutsche Bank                  (212) 250-2500               03/08/2007        $882,000.00     $852,500.00   20090994665 Quality Loan Service                   Az-09-321091-tc   (714) 573-1965   01/27/2010 12:00 pm
  $242,060.00   06/09/2003   Notice of Trustee Sale   Bank Of America                (800) 285-6000                                 $345,000.00     $297,300.00   20090997245 Michael A Bosco Jr                     09-26670          (602) 255-6000   01/27/2010 10:00 am
  $165,000.00   06/22/2006   Notice of Trustee Sale   Aurora Loan Services           (720) 945-3000               06/15/2006        $132,000.00     $131,300.00   20090997171 Quality Loan Service                   Az-09-322883-cl   (714) 573-1965   01/27/2010 12:00 pm
$1,300,000.00   05/26/2006   Notice of Trustee Sale   Bank Of America                (800) 285-6000                                $1,040,000.00    $921,500.00   20090996240 Northwest Trustee Service              7662              (714) 277-4888   01/28/2010 02:00 pm
  $199,000.00   03/26/2007   Notice of Trustee Sale   Aurora Loan Services           (720) 945-3000                                 $159,200.00     $153,800.00   20090997102 Cal Western Reconveyance               1246199-14        (800) 546-1531   01/28/2010 02:00 pm
  $232,000.00   01/27/2006   Notice of Trustee Sale   Mers                           (800) 646-6377          2006 01/10/2006        $185,600.00     $167,200.00   20090996945 Security Title Agency                                    (602) 266-0275   02/04/2010 12:00 pm
  $143,500.00   03/03/2004   Notice of Trustee Sale   Mers                           (800) 646-6377          2005 12/08/2005        $196,800.00     $183,500.00   20090996955 Security Title Agency                                    (602) 266-0275   02/05/2010 12:00 pm




                                                                                                                                              Page 34
Pre-foreclosure List
                                                                                                                                 Maricopa County Week Ending 11/2

 $296,000.00    09/02/2005   Notice of Trustee Sale   Wells Fargo Home Mortgage        (866) 234-8271                                 $236,800.00     $208,500.00   20090995010 First American Title                   20099070821447    (702) 304-7514   01/28/2010 02:00 pm
 $133,000.00    03/30/2000   Notice of Trustee Sale   Downey Savings And Loan                                                         $202,500.00     $202,200.00   20090997919 Michael A Bosco Jr                     09-26560          (602) 255-6000   01/27/2010 10:00 am
 $126,500.00    04/23/2004   Notice of Trustee Sale   Wachovia Corporation             (800) 922-4684               10/30/2006        $180,000.00     $147,600.00   20090996611 Mtc Financial                          Azo859757                          01/28/2010 12:00 pm
  $95,000.00    05/27/1999   Notice of Trustee Sale   Citimortgage, Inc                (800) 695-0935               01/07/2008        $182,000.00     $166,000.00   20090996070 Cr Title Service                       To9-55662-az      (714) 573-1965   01/28/2010 02:00 pm
  $88,000.00    05/21/1999   Notice of Trustee Sale   Wells Fargo Home Mortgage        (866) 234-8271                                 $121,500.00     $190,200.00   20090996352 Old Republic Nat'l Title Insurance C   09-35440          (714) 573-1965   01/28/2010 02:00 pm
 $306,000.00    07/18/2007   Notice of Trustee Sale   Chase Home Finance Llc           (888) 332-3251                                 $306,000.00     $224,100.00   20090996428 Michael A Bosco Jr                     09-26685          (602) 255-6000   01/27/2010 10:00 am
 $155,000.00    06/15/2007   Notice of Trustee Sale   U.s. Bancorp                     (800) 365-7772                                 $152,840.00      $69,325.00   20090997931 Michael A Bosco Jr                     09-26600          (602) 255-6000   01/27/2010 10:00 am
 $500,000.00    02/07/2008   Notice of Trustee Sale   Hsbc Bank                        (800) 975-4722                                 $417,000.00     $391,100.00   20090997241 Michael A Bosco Jr                     09-26668          (602) 255-6000   01/27/2010 10:00 am
 $548,067.00    10/28/2005   Notice of Trustee Sale   Wells Fargo Home Mortgage        (866) 234-8271                                 $438,450.00     $419,600.00   20090995028 First American Title                   20099070821478    (702) 304-7514   01/28/2010 02:00 pm
 $760,000.00    07/18/2007   Notice of Trustee Sale   Washington Mutual                                             07/18/2007        $608,000.00     $421,500.00   20090997180 California Reconveyance                137817az          (714) 573-1965   01/28/2010 02:00 pm
 $729,000.00    08/04/2006   Notice of Trustee Sale   Bank Of America                  (800) 285-6000               08/04/2006        $583,200.00     $404,500.00   20090997200 California Reconveyance                137831az          (714) 573-1965   01/28/2010 02:00 pm
 $236,590.00    06/28/2006   Notice of Trustee Sale   Hsbc Bank                        (800) 975-4722               06/27/2006        $188,800.00     $166,000.00   20090997251 Quality Loan Service                   Az-09-322793-pj   (714) 573-1965   01/27/2010 12:00 pm
 $252,500.00    05/17/2004   Notice of Trustee Sale   Bank Of America                  (800) 285-6000   20050322290 03/16/2005        $254,400.00     $257,700.00   20090996621 Recontrust                                               (800) 281-8219   01/28/2010 02:00 pm
                07/28/2005   Notice of Trustee Sale   American General Home Equity                                                    $115,109.00     $227,500.00   20090995209 Quality Loan Service                                     (714) 573-1965   01/28/2010 02:00 pm
 $575,000.00    05/11/2006   Notice of Trustee Sale   Bank United                                                                     $194,500.00     $373,200.00   20090997885 Michael A Bosco Jr                     09-26426          (602) 255-6000   01/27/2010 10:00 am
  $53,000.00    03/27/1979   Notice of Trustee Sale                                                                 01/14/2009        $217,375.00     $189,800.00   20090994685 Quality Loan Service                   Az-09-322245-cl   (714) 573-1965   01/28/2010 02:00 pm
 $242,597.00    08/11/2005   Notice of Trustee Sale   Washington Mutual                                             08/04/2005        $194,078.00     $185,700.00   20090994675 Quality Loan Service                   Az-09-321954-rm   (714) 573-1965   01/27/2010 12:00 pm
 $184,360.00    11/18/1999   Notice of Trustee Sale   Mers                             (800) 646-6377          2006 06/23/2006        $286,000.00     $176,300.00   20090997000 Security Title Agency                                    (602) 266-0275   02/05/2010 12:00 pm
 $127,500.00    01/14/2009   Notice of Trustee Sale   Bank Of America                  (800) 285-6000   20090263549 03/25/2009        $127,412.00     $118,600.00   20090996618 Recontrust                                               (800) 281-8219   02/01/2010 12:00 pm
 $480,000.00    08/29/2002   Notice of Trustee Sale   Aurora Loan Services             (720) 945-3000                                 $496,600.00     $581,000.00   20090993963 Cal Western Reconveyance               1246468-14        (800) 546-1531   01/28/2010 02:00 pm
  $82,000.00    06/05/2001   Notice of Trustee Sale   Americas Servicing Company                                                      $171,000.00     $129,800.00   20090996484 Michael A Bosco Jr                     09-49061          (602) 255-6000   01/27/2010 10:00 am
 $400,467.00    06/30/2006   Notice of Trustee Sale   Chase Home Finance Llc           (888) 332-3251                                 $320,350.00     $278,700.00   20090996414 Michael A Bosco Jr                     09-26638          (602) 255-6000   01/27/2010 10:00 am
                05/07/2008   Notice of Trustee Sale   Bank Of America                  (800) 285-6000                                 $429,250.00      $78,800.00   20090998129 Northwest Trustee Service              7530              (714) 277-4888   01/29/2010 02:00 pm
 $206,181.00    04/02/2004   Notice of Trustee Sale   Mers                             (800) 646-6377          2005 07/19/2005        $208,000.00     $207,500.00   20090997082 Security Title Agency                                    (602) 266-0275   02/04/2010 12:00 pm
 $500,000.00    11/29/2004   Notice of Trustee Sale                                                                                   $400,000.00     $552,800.00   20090998203 Northwest Trustee Service              7680              (714) 277-4888   01/29/2010 02:00 pm
 $188,000.00    02/02/2007   Notice of Trustee Sale   Chase Home Finance Llc           (888) 332-3251                                 $188,000.00     $130,700.00   20090996452 Michael A Bosco Jr                     09-26718          (602) 255-6000   01/27/2010 10:00 am
  $68,500.00    07/15/2004   Notice of Trustee Sale   Aurora Loan Services             (720) 945-3000               05/06/2005          $80,500.00    $123,000.00   20090997274 Quality Loan Service                   Az-09-322914-cl   (714) 573-1965   01/27/2010 12:00 pm
 $299,783.00    04/24/2007   Notice of Trustee Sale   American Home Mortgage           (877) 304-3100               04/11/2007        $239,826.00     $231,000.00   20090997202 Quality Loan Service                   Az-09-322868-bl   (714) 573-1965   01/28/2010 02:00 pm
 $168,000.00    10/14/2003   Notice of Trustee Sale   Citimortgage, Inc                (800) 695-0935                                 $283,500.00     $196,100.00   20090997912 Michael A Bosco Jr                     09-26715          (602) 255-6000   01/27/2010 10:00 am
 $116,600.00    12/30/1999   Notice of Trustee Sale   Midfirst Bank                    (800) 877-1674               05/10/2007        $267,097.00     $184,000.00   20090995981 Quality Loan Service                   Az-09-322604-ab   (714) 573-1965   01/28/2010 12:00 pm
 $225,542.00    06/13/2005   Notice of Trustee Sale   Mers                             (800) 646-6377          2005 06/08/2005        $202,987.00      $16,750.00   20090996825 Security Title Agency                                    (602) 266-0275   02/08/2010 12:00 pm
  $96,000.00    09/27/2005   Notice of Trustee Sale   The Bank Of New York Mellon      (212) 495-1784          2007                   $128,000.00      $98,500.00   20090997578 Security Title Agency                  14-89300          (602) 266-0275   01/27/2010 10:30 am
 $129,411.00    01/31/2000   Notice of Trustee Sale   Chase Home Finance Llc           (888) 332-3251                                 $195,000.00      $15,370.00   20090996444 Michael A Bosco Jr                     09-26711          (602) 255-6000   01/27/2010 10:00 am
 $160,000.00    11/15/2005   Notice of Trustee Sale                                                                 03/06/2007        $280,000.00     $281,500.00   20090994671 Quality Loan Service                   Az-09-321268-tc   (714) 573-1965   01/27/2010 12:00 pm
  $55,000.00    12/01/1998   Notice of Trustee Sale   Select Portfolio Servicing Inc   (904) 722-7000                                 $160,000.00     $129,300.00   20090997266 Michael A Bosco Jr                     09-26443          (602) 255-6000   01/27/2010 10:00 am
                06/06/2008   Notice of Trustee Sale   Bayview Loan Servicing, Llc      (800) 457-5105                                 $465,000.00      $54,812.00   20090997826 Aztec Foreclosure                      09-018598         (602) 222-5711   01/27/2010 11:00 am
 $294,012.00    10/05/2005   Notice of Trustee Sale   Bank Of America                  (800) 285-6000                                 $249,910.00     $153,800.00   20090992939 Aztec Foreclosure                      09-017269         (602) 222-5711   01/26/2010 11:00 am
 $208,321.00    12/29/2005   Notice of Trustee Sale   Chase Home Finance Llc           (888) 332-3251                                 $166,656.00     $124,600.00   20090996408 Michael A Bosco Jr                     09-26599          (602) 255-6000   01/27/2010 10:00 am
                01/11/2007   Notice of Trustee Sale   Bank Of America                  (800) 285-6000                                 $315,343.00      $31,520.00   20090996237 Northwest Trustee Service              7530              (714) 277-4888   01/28/2010 02:00 pm
                12/29/2006   Notice of Trustee Sale   Deutsche Bank                    (212) 250-2500                                 $263,500.00     $269,300.00   20090997239 Michael A Bosco Jr                     09-26195          (602) 255-6000   01/27/2010 10:00 am
  $230,000.00   03/09/2006   Notice of Trustee Sale   Mers                             (800) 646-6377          2006 03/06/2006        $184,000.00     $159,100.00   20090996972 Security Title Agency                                    (602) 266-0275   02/05/2010 12:00 pm
  $345,000.00   08/23/2005   Notice of Trustee Sale   U.s. Bancorp                     (800) 365-7772   20051215717 08/23/2005        $224,250.00     $244,200.00   20090996990 Recontrust                                               (800) 281-8219   02/01/2010 12:00 pm
  $690,000.00   01/04/2007   Notice of Trustee Sale   Hsbc Bank                        (800) 975-4722   20070017714 01/04/2007        $552,000.00     $491,000.00   20090996953 Recontrust                             09-0159685        (800) 281-8219   02/01/2010 12:00 pm
$1,250,000.00   06/15/2006   Notice of Trustee Sale   Midfirst Bank                    (800) 877-1674                                $1,390,500.00    $945,700.00   20090995481 Quality Loan Service                                     (714) 573-1965   01/28/2010 10:00 am
  $135,000.00   01/11/2005   Notice of Trustee Sale   Metlife Home Loans                                20050041699 01/04/2005        $121,500.00     $121,100.00   20090995619 Lawyers Title Insurance                057-009955        (714) 573-1965   01/28/2010 02:00 pm
  $279,990.00   12/27/2006   Notice of Trustee Sale   Bayview Loan Servicing, Llc      (800) 457-5105               12/20/2006        $223,992.00     $213,100.00   20090995297 Cr Title Service                       To9-55807-az      (714) 573-1965   02/03/2010 12:00 pm
  $300,000.00   03/01/2005   Notice of Trustee Sale   Mers                             (800) 646-6377          2005 02/25/2005        $285,000.00     $256,000.00   20090997067 Security Title Agency                                    (602) 266-0275   02/04/2010 12:00 pm
  $103,500.00   12/31/2002   Notice of Trustee Sale   Bank Of America                  (800) 285-6000   20061513090 11/17/2006        $157,500.00     $127,000.00   20090996925 Recontrust                                               (800) 281-8219   01/28/2010 02:00 pm
  $147,500.00   04/28/2004   Notice of Trustee Sale   Aurora Loan Services             (720) 945-3000                                 $118,000.00      $10,170.00   20090993956 Cal Western Reconveyance               3246294-14        (800) 546-1531   01/28/2010 02:00 pm
  $343,650.00   02/28/2005   Notice of Trustee Sale   Citimortgage, Inc                (800) 695-0935               04/07/2006        $352,500.00     $277,700.00   20090997871 Michael A Bosco Jr                     09-26434          (602) 255-6000   01/27/2010 10:00 am
  $282,000.00   06/22/2007   Notice of Trustee Sale   Emc Mortgage Corporation         (800) 723-3004               08/03/2007        $253,800.00     $190,000.00   20090994691 Quality Loan Service                   Az-09-322462-rm   (714) 573-1965   01/27/2010 12:00 pm
  $167,500.00   10/27/1998   Notice of Trustee Sale   Americas Servicing Company                                                      $416,000.00     $385,000.00   20090996493 Michael A Bosco Jr                     09-49073          (602) 255-6000   01/27/2010 10:00 am
  $268,000.00   02/27/2007   Notice of Trustee Sale   Bank Of America                  (800) 285-6000                                 $214,400.00     $195,800.00   20090996220 Northwest Trustee Service              7662              (714) 277-4888   01/28/2010 02:00 pm
  $235,990.00   09/19/2005   Notice of Trustee Sale   Mers                             (800) 646-6377          2006 02/16/2006        $254,125.00     $130,700.00   20090996970 Security Title Agency                                    (602) 266-0275   02/05/2010 12:00 pm
  $199,900.00   12/22/2006   Notice of Trustee Sale   Hsbc Bank                        (800) 975-4722                                 $159,920.00     $149,600.00   20090992970 Aztec Foreclosure                      09-016539         (602) 222-5711   01/26/2010 11:00 am
  $400,927.00   10/01/2004   Notice of Trustee Sale   The Bank Of New York Mellon      (212) 495-1784   20051466992 10/03/2005        $488,000.00     $410,300.00   20090996700 Recontrust                                               (800) 281-8219   01/28/2010 02:00 pm
  $233,168.00   08/24/2007   Notice of Trustee Sale   Wells Fargo Home Mortgage        (866) 234-8271                                 $186,534.00     $175,700.00   20090995000 First American Title                   20099070821446    (702) 304-7514   01/28/2010 02:00 pm




                                                                                                                                                Page 35
Pre-foreclosure List
                                                                                                                                   Maricopa County Week Ending 11/2

 $117,500.00    02/22/2002   Notice of Trustee Sale                                                                                     $169,500.00      $161,800.00   20090996349 Old Republic Nat'l Title Insurance C   09-35447          (714) 573-1965   01/28/2010 02:00 pm
 $401,845.00    10/28/2005   Notice of Trustee Sale   Chase Home Finance Llc             (888) 332-3251                                 $328,650.00      $339,500.00   20090996478 Michael A Bosco Jr                     09-26795          (602) 255-6000   01/27/2010 10:00 am
 $270,030.00    04/28/2008   Notice of Trustee Sale   Bank Of America                    (800) 285-6000   20080371267 04/28/2008        $265,857.00       $47,000.00   20090996834 Recontrust                                               (800) 281-8219   02/01/2010 12:00 pm
 $219,000.00    12/19/2002   Notice of Trustee Sale   Bank Of America                    (800) 285-6000                                   $50,000.00     $310,600.00   20090994300 Christopher Charles Rebhuhn            03-sf-86003                        01/28/2010 02:00 pm
 $124,900.00    12/17/2003   Notice of Trustee Sale   National City Mortgage             (800) 822-5626                                 $176,400.00      $163,000.00   20090997235 Michael A Bosco Jr                     09-13857          (602) 255-6000   01/27/2010 10:00 am
 $203,000.00    05/15/2007   Notice of Trustee Sale   Chase Home Finance Llc             (888) 332-3251                                 $203,000.00      $134,500.00   20090996390 Michael A Bosco Jr                     09-26590          (602) 255-6000   01/27/2010 10:00 am
 $270,000.00    01/06/2006   Notice of Trustee Sale   Wells Fargo Home Mortgage          (866) 234-8271                                 $216,000.00      $190,500.00   20090995023 First American Title                   20099070821471    (702) 304-7514   01/28/2010 02:00 pm
 $250,000.00    12/15/2005   Notice of Trustee Sale   Bank Of America                    (800) 285-6000          2005 12/15/2005        $175,000.00      $159,100.00   20090997013 Recontrust                             09-0159707        (800) 281-8219   02/01/2010 12:00 pm
 $264,900.00    07/05/2006   Notice of Trustee Sale   Aurora Loan Services               (720) 945-3000               06/28/2006        $211,920.00      $181,100.00   20090997175 Quality Loan Service                   Az-09-322886-cl   (714) 573-1965   01/27/2010 12:00 pm
                08/31/2006   Notice of Trustee Sale   Zions First National Bank          (435) 687-5693                                 $500,000.00      $146,265.00   20090994165 Quality Loan Service                                     (714) 573-1965   01/28/2010 02:00 pm
                08/16/2007   Notice of Trustee Sale   Wells Fargo Home Mortgage          (866) 234-8271                              $363,250,000.00   $2,009,637.00   20090994810 Quality Loan Service                   2310-             (714) 573-1965   01/27/2010 12:00 pm
  $280,000.00   07/26/2005   Notice of Trustee Sale   Mers                               (800) 646-6377          2005 12/13/2005        $215,000.00       $16,750.00   20090997125 Security Title Agency                                    (602) 266-0275   02/05/2010 12:00 pm
  $300,053.00   05/04/2005   Notice of Trustee Sale   Bank Of America                    (800) 285-6000   20050585615 05/04/2005        $240,042.00      $206,600.00   20090996982 Recontrust                             09-0159694        (800) 281-8219   02/01/2010 12:00 pm
   $60,474.00   09/28/1995   Notice of Trustee Sale   Mers                               (800) 646-6377          2005 07/26/2005        $108,000.00      $120,800.00   20090996916 Security Title Agency                                    (602) 266-0275   02/04/2010 12:00 pm
  $160,000.00   07/26/2004   Notice of Trustee Sale   Wells Fargo Home Mortgage          (866) 234-8271                                 $244,000.00      $114,800.00   20090996345 Old Republic Nat'l Title Insurance C   09-35427          (714) 573-1965   01/28/2010 02:00 pm
  $108,060.00   12/19/2002   Notice of Trustee Sale   Downey Savings And Loan                                                           $208,000.00      $129,100.00   20090997950 Michael A Bosco Jr                                       (602) 255-6000   01/27/2010 10:00 am
  $104,400.00   06/17/2004   Notice of Trustee Sale   Wachovia Corporation               (800) 922-4684               10/11/2006        $136,500.00       $90,600.00   20090996651 Mtc Financial                          Azo849717                          01/28/2010 12:00 pm
  $153,418.00   03/31/2005   Notice of Trustee Sale   Provident Funding                  (800) 696-8199                                 $179,000.00       $91,500.00   20090997188 Jason Cotton Pa                        7092507                            01/27/2010 12:00 pm
  $121,900.00   01/02/2001   Notice of Trustee Sale   Midfirst Bank                      (800) 877-1674   20080936556 04/19/2007        $266,872.00      $248,300.00   20090996061 Quality Loan Service                   Az-09-322605-ab   (714) 573-1965   01/28/2010 12:00 pm
  $427,517.00   03/14/2006   Notice of Trustee Sale   Residential Funding Company, Llc   (952) 832-7000                                 $342,000.00      $274,000.00   20090996643 Aztec Foreclosure                      09-018468         (602) 222-5711   01/27/2010 11:00 am
  $195,000.00   05/05/2008   Notice of Trustee Sale   Bank Of America                    (800) 285-6000   20090096857 02/05/2009        $198,432.00      $199,100.00   20090996666 Recontrust                                               (800) 281-8219   02/01/2010 12:00 pm
  $241,721.00   06/21/2006   Notice of Trustee Sale   Washington Mutual                                               06/21/2006        $193,376.00      $179,500.00   20090996342 California Reconveyance                137825az          (714) 573-1965   01/28/2010 02:00 pm
  $213,883.00   09/14/2005   Notice of Trustee Sale   Chase Home Finance Llc             (888) 332-3251                                 $200,000.00      $164,100.00   20090996358 Michael A Bosco Jr                     09-26529          (602) 255-6000   01/27/2010 10:00 am
  $287,252.00   07/21/2005   Notice of Trustee Sale   Chase Home Finance Llc             (888) 332-3251                                 $229,800.00      $231,600.00   20090996442 Michael A Bosco Jr                     09-26705          (602) 255-6000   01/27/2010 10:00 am
  $252,647.00   07/11/2006   Notice of Trustee Sale   Phh Mortgage                       (800) 210-8849                                 $214,750.00      $165,500.00   20090992927 Aztec Foreclosure                      09-018573         (602) 222-5711   01/26/2010 11:00 am
  $125,000.00   10/04/2005   Notice of Trustee Sale   U.s. Bancorp                       (800) 365-7772                                 $123,892.00       $10,580.00   20090997925 Michael A Bosco Jr                     09-26596          (602) 255-6000   01/27/2010 10:00 am
  $139,308.00   03/31/2004   Notice of Trustee Sale   Suntrust Mortgage Inc              (800) 786-8787                                 $160,600.00      $164,500.00   20090998029 Aztec Foreclosure                      09-018681         (602) 222-5711   01/27/2010 11:00 am
  $133,260.00   12/18/2001   Notice of Trustee Sale   Wells Fargo Home Mortgage          (866) 234-8271                                 $156,800.00      $145,500.00   20090996491 Michael A Bosco Jr                     09-49070          (602) 255-6000   01/27/2010 10:00 am
  $208,720.00   09/01/2006   Notice of Trustee Sale   Aurora Loan Services               (720) 945-3000               08/25/2006        $187,848.00      $142,300.00   20090997745 Quality Loan Service                   Az-09-322927-cl   (714) 573-1965   01/27/2010 12:00 pm
   $85,000.00   12/23/1997   Notice of Trustee Sale                                                                                            $5.00     $150,700.00   20090998212 Aztec Foreclosure                      1528451           (602) 222-5711   01/27/2010 11:00 am
  $310,000.00   07/13/2006   Notice of Trustee Sale                                                                   07/14/2007        $275,200.00      $190,300.00   20090994667 Quality Loan Service                   Az-09-321153-tc   (714) 573-1965   01/27/2010 12:00 pm
  $168,000.00   03/15/2006   Notice of Trustee Sale   Aurora Loan Services               (720) 945-3000               03/13/2006        $134,400.00      $131,000.00   20090997750 Quality Loan Service                   Az-09-322924-cl   (714) 573-1965   01/27/2010 12:00 pm
  $185,000.00   03/19/2007   Notice of Trustee Sale   Washington Mutual                                               03/19/2007        $148,000.00      $169,700.00   20090997158 California Reconveyance                137814az          (714) 573-1965   01/28/2010 02:00 pm
  $248,942.00   06/13/2005   Notice of Trustee Sale   Deutsche Bank                      (212) 250-2500                                 $199,153.00      $135,100.00   20090992966 Aztec Foreclosure                      09-016856         (602) 222-5711   01/26/2010 11:00 am
   $75,000.00   09/16/1996   Notice of Trustee Sale   American Home Mortgage             (877) 304-3100               04/13/2007        $120,000.00      $100,000.00   20090995770 Quality Loan Service                   Az-09-322771-bl   (714) 573-1965   01/28/2010 02:00 pm
  $126,000.00   09/23/2004   Notice of Trustee Sale   Saxon Mortgage Services            (800) 594-8422                                 $146,300.00       $95,000.00   20090996348 Old Republic Nat'l Title Insurance C   09-35438          (714) 573-1965   01/28/2010 02:00 pm
  $260,000.00   06/29/2005   Notice of Trustee Sale   Phh Mortgage                       (800) 210-8849                                 $223,781.00      $180,500.00   20090992931 Aztec Foreclosure                      09-018643         (602) 222-5711   01/26/2010 11:00 am
  $165,000.00   06/18/2007   Notice of Trustee Sale   Bank Of America                    (800) 285-6000                                 $132,000.00      $115,200.00   20090996218 Northwest Trustee Service              7662              (714) 277-4888   01/28/2010 02:00 pm
  $202,473.00   09/25/2006   Notice of Trustee Sale   Citimortgage, Inc                  (800) 695-0935               09/11/2006        $192,349.00      $143,000.00   20090995446 Cr Title Service                       To9-55769-az      (714) 573-1965   01/28/2010 02:00 pm
  $225,000.00   12/19/2005   Notice of Trustee Sale   Mers                               (800) 646-6377          2005 12/16/2005        $180,000.00      $133,100.00   20090997128 Security Title Agency                                    (602) 266-0275   02/05/2010 12:00 pm
  $305,000.00   03/15/2005   Notice of Trustee Sale   Hsbc Bank                          (800) 975-4722               03/11/2005        $244,000.00      $226,600.00   20090994678 Quality Loan Service                   Az-09-322266-ab   (714) 573-1965   01/27/2010 12:00 pm
  $212,000.00   12/11/2006   Notice of Trustee Sale   Hsbc Bank                          (800) 975-4722                                 $169,600.00       $93,000.00   20090992962 Aztec Foreclosure                      09-016503         (602) 222-5711   01/26/2010 11:00 am
$1,150,000.00   04/18/2005   Notice of Trustee Sale   Deutsche Bank                      (212) 250-2500               04/18/2005        $862,500.00      $799,300.00   20090997214 California Reconveyance                137828az          (714) 573-1965   01/28/2010 02:00 pm
  $158,000.00   12/03/2004   Notice of Trustee Sale   Washington Mutual                                               08/03/2007        $192,000.00      $193,100.00   20090997237 Security Title Agency                  Az-09-322720-pj   (602) 266-0275   01/27/2010 12:00 pm
  $320,990.00   11/02/2005   Notice of Trustee Sale   Chase Home Finance Llc             (888) 332-3251                                 $290,000.00      $231,700.00   20090996434 Michael A Bosco Jr                     09-26688          (602) 255-6000   01/27/2010 10:00 am
  $218,000.00   10/25/2005   Notice of Trustee Sale   The Bank Of New York Mellon        (212) 495-1784   20051606976 10/25/2005        $174,400.00      $133,300.00   20090996678 Recontrust                                               (800) 281-8219   01/28/2010 02:00 pm
  $380,000.00   11/30/2006   Notice of Trustee Sale   Downey Savings And Loan                                                           $342,000.00      $264,700.00   20090997979 Michael A Bosco Jr                     09-26810          (602) 255-6000   01/27/2010 10:00 am
  $454,573.00   02/25/2008   Notice of Trustee Sale   Mers                               (800) 646-6377          2008 02/21/2008        $409,115.00      $318,000.00   20090996848 Security Title Agency                                    (602) 266-0275   02/05/2010 12:00 pm
  $213,500.00   11/21/2006   Notice of Trustee Sale   Bank Of America                    (800) 285-6000                                 $170,800.00      $134,500.00   20090996222 Northwest Trustee Service              7662              (714) 277-4888   01/28/2010 02:00 pm
  $295,000.00   10/25/2005   Notice of Trustee Sale   American Home Mortgage             (877) 304-3100               04/25/2006        $300,000.00      $206,500.00   20090995764 Quality Loan Service                   Az-09-322707-bl   (714) 573-1965   01/28/2010 02:00 pm
   $82,820.00   03/31/1986   Notice of Trustee Sale   Aurora Loan Services               (720) 945-3000               06/03/2005        $200,000.00      $193,500.00   20090998318 Quality Loan Service                   Az-09-322989-cl   (714) 573-1965   01/28/2010 12:00 pm
  $112,500.00   03/30/2004   Notice of Trustee Sale   Bank Of America                    (800) 285-6000   20090079335 01/30/2009        $166,380.00      $135,800.00   20090996660 Recontrust                                               (800) 281-8219   02/01/2010 12:00 pm
                03/20/2009   Notice of Trustee Sale                                                                                       $98,250.00       $8,030.00   20090992917 Aztec Foreclosure                      09-018823         (602) 222-5711   01/26/2010 11:00 am
 $358,000.00    08/02/2005   Notice of Trustee Sale   Deutsche Bank                      (212) 250-2500               07/26/2005        $286,400.00      $257,500.00   20090994673 Quality Loan Service                   Az-09-321320-tc   (714) 573-1965   01/27/2010 12:00 pm
 $260,000.00    04/24/2006   Notice of Trustee Sale   Aurora Loan Services               (720) 945-3000                                 $208,000.00       $12,950.00   20090997108 Cal Western Reconveyance               1246538-14        (800) 546-1531   01/28/2010 02:00 pm
 $270,000.00    10/27/2006   Notice of Trustee Sale   Aurora Loan Services               (720) 945-3000               10/25/2006                         $197,800.00   20090998098 Quality Loan Service                   Az-09-322901-cl   (714) 573-1965   01/27/2010 12:00 pm
                08/25/2009   Notice of Trustee Sale   Mers                               (800) 646-6377          2007 06/19/2007        $180,000.00       $11,950.00   20090996765 Security Title Agency                                    (602) 266-0275   02/08/2010 12:00 pm




                                                                                                                                                  Page 36
Pre-foreclosure List
                                                                                                                              Maricopa County Week Ending 11/2

  $316,500.00   09/27/2005   Notice of Trustee Sale   Bank Of America               (800) 285-6000   20060777093 06/08/2006        $292,500.00     $223,700.00   20090996638 Recontrust                             09-0159706        (800) 281-8219   02/01/2010 12:00 pm
  $700,000.00   11/14/2006   Notice of Trustee Sale                                                                               $2,025,000.00    $388,000.00   20090994067 Quality Loan Service                                     (714) 573-1965   01/28/2010 02:00 pm
  $154,260.00   04/13/1999   Notice of Trustee Sale   Aurora Loan Services          (720) 945-3000                                 $300,000.00     $239,500.00   20090997105 Cal Western Reconveyance               1246507-14        (800) 546-1531   01/28/2010 02:00 pm
  $699,000.00   06/26/2007   Notice of Trustee Sale   Wells Fargo Home Mortgage     (866) 234-8271                                 $559,200.00     $496,700.00   20090995025 First American Title                   20099070821481    (702) 304-7514   01/28/2010 02:00 pm
   $92,500.00   04/25/2003   Notice of Trustee Sale   Phh Mortgage                  (800) 210-8849                                 $123,000.00     $111,100.00   20090992925 Aztec Foreclosure                      09-018799         (602) 222-5711   01/26/2010 11:00 am
  $250,000.00   12/27/2007   Notice of Trustee Sale   Bank Of America               (800) 285-6000   20071348310 12/27/2007        $246,137.00      $32,500.00   20090996802 Recontrust                                               (800) 281-8219   02/01/2010 12:00 pm
  $268,037.00   01/24/2007   Notice of Trustee Sale                                                                                $241,230.00     $209,200.00   20090997243 Michael A Bosco Jr                     09-26194          (602) 255-6000   01/27/2010 10:00 am
  $250,650.00   10/22/2007   Notice of Trustee Sale   Chase Home Finance Llc        (888) 332-3251                                 $250,650.00     $193,200.00   20090996333 Michael A Bosco Jr                     09-26489          (602) 255-6000   01/27/2010 10:00 am
  $608,685.00   12/21/2007   Notice of Trustee Sale   Chase Home Finance Llc        (888) 332-3251                                 $578,200.00     $438,700.00   20090995017 First American Title                   20099019204344    (702) 304-7514   01/28/2010 02:00 pm
  $175,000.00   02/05/2007   Notice of Trustee Sale   Hsbc Bank                     (800) 975-4722               01/26/2007        $140,000.00      $85,200.00   20090995976 Old Republic Nat'l Title Insurance C   Az-09-321019-ab   (714) 573-1965   01/28/2010 12:00 pm
  $300,000.00   06/18/2008   Notice of Trustee Sale   Bank Of America               (800) 285-6000   20080540877 06/18/2008        $295,365.00     $246,100.00   20090996684 Recontrust                                               (800) 281-8219   02/01/2010 12:00 pm
  $150,000.00   06/08/2004   Notice of Trustee Sale   Gmac Mortgage                 (800) 766-4622          2006 02/28/2006        $196,000.00     $175,000.00   20090997130 Security Title Agency                                    (602) 266-0275   02/04/2010 12:00 pm
  $580,000.00   12/06/1999   Notice of Trustee Sale   Wells Fargo Home Mortgage     (866) 234-8271                                 $650,000.00      $65,120.00   20090996263 First American Title                   20099070821342    (702) 304-7514   01/28/2010 02:00 pm
  $299,000.00   10/29/2001   Notice of Trustee Sale                                                                                $409,500.00     $414,100.00   20090987645 Aztec Foreclosure                      09-018441         (602) 222-5711   01/25/2010 11:00 am
  $287,000.00   05/19/2005   Notice of Trustee Sale   Americas Servicing Company                                                   $272,000.00     $196,800.00   20090991993 Michael A Bosco Jr                     09-49053          (602) 255-6000   01/26/2010 10:00 am
  $670,000.00   05/31/2006   Notice of Trustee Sale   Americas Servicing Company                                                   $536,000.00     $356,100.00   20090991931 Michael A Bosco Jr                     09-48135          (602) 255-6000   01/26/2010 10:00 am
  $150,400.00   01/05/2006   Notice of Trustee Sale   Bank Of America               (800) 285-6000   20060020033 01/05/2006        $120,320.00     $112,500.00   20090991795 Recontrust                             09-0157932        (800) 281-8219   01/27/2010 02:00 pm
  $305,000.00   06/11/2004   Notice of Trustee Sale   Chase Home Finance Llc        (888) 332-3251                                 $314,500.00     $299,300.00   20090991999 Michael A Bosco Jr                     09-26547          (602) 255-6000   01/26/2010 10:00 am
  $121,500.00   12/20/2000   Notice of Trustee Sale   Bank Of America               (800) 285-6000   20080233082 03/17/2008        $202,492.00     $167,800.00   20090992055 Recontrust                                               (800) 281-8219   02/01/2010 12:00 pm
  $100,000.00   02/28/2006   Notice of Trustee Sale   New Century Mortgage          (866) 774-5172                                   $85,000.00     $92,100.00   20090992575 Old Republic Nat'l Title Insurance C   09-35426          (714) 573-1965   01/27/2010 02:00 pm
  $205,000.00   09/22/2004   Notice of Trustee Sale   Chase Home Finance Llc        (888) 332-3251                                 $194,750.00     $166,100.00   20090991096 First American Title                   20099073502576    (702) 304-7514   01/27/2010 02:00 pm
  $104,000.00   06/12/1998   Notice of Trustee Sale   Bank Of America               (800) 285-6000          2003 02/14/2003        $103,736.00     $163,500.00   20090991549 Recontrust                                               (800) 281-8219   01/27/2010 02:00 pm
  $150,000.00   06/28/2007   Notice of Trustee Sale   Bank Of America               (800) 285-6000   20070746796 06/28/2007        $147,682.00     $116,000.00   20090991916 Recontrust                                               (800) 281-8219   01/27/2010 02:00 pm
  $240,092.00   04/03/2008   Notice of Trustee Sale   U.s. Bancorp                  (800) 365-7772                                 $181,157.00      $10,470.00   20090993268 Michael A Bosco Jr                     09-26406          (602) 255-6000   01/26/2010 10:00 am
  $120,000.00   11/12/2008   Notice of Trustee Sale   Mers                          (800) 646-6377          2005 01/25/2005        $122,000.00     $140,500.00   20090993232 Security Title Agency                                    (602) 266-0275   02/01/2010 12:00 pm
  $177,500.00   03/31/2004   Notice of Trustee Sale   Hsbc Bank                     (800) 975-4722   20040331654 03/31/2004        $142,000.00     $196,600.00   20090992072 Recontrust                                               (800) 281-8219   02/01/2010 12:00 pm
   $98,000.00   03/24/1998   Notice of Trustee Sale                                                                                  $75,500.00    $159,300.00   20090993202 Michael A Bosco Jr                     09-26327          (602) 255-6000   01/26/2010 10:00 am
  $108,000.00   08/16/2004   Notice of Trustee Sale   Bank Of America               (800) 285-6000          2004 08/16/2004          $86,400.00    $129,200.00   20090992006 Recontrust                                               (800) 281-8219   02/01/2010 12:00 pm
  $219,900.00   10/25/2006   Notice of Trustee Sale   Deutsche Bank                 (212) 250-2500   20061409692 10/25/2006        $175,920.00      $59,500.00   20090991827 Recontrust                                               (800) 281-8219   01/27/2010 02:00 pm
  $152,000.00   03/26/2002   Notice of Trustee Sale   Wells Fargo Home Mortgage     (866) 234-8271                                 $266,000.00     $195,200.00   20090992017 Michael A Bosco Jr                     09-49057          (602) 255-6000   01/26/2010 10:00 am
  $187,400.00   11/06/2002   Notice of Trustee Sale   Chase Home Finance Llc        (888) 332-3251                                 $187,523.00     $206,700.00   20090991090 First American Title                   20099073502567    (702) 304-7514   01/27/2010 02:00 pm
  $159,547.00   08/25/2008   Notice of Trustee Sale   Bank Of America               (800) 285-6000   20080739052 08/25/2008        $157,468.00     $147,200.00   20090992023 Recontrust                                               (800) 281-8219   02/01/2010 12:00 pm
  $259,000.00   05/16/2006   Notice of Trustee Sale   Mers                          (800) 646-6377                                 $212,000.00     $157,500.00   20090993252 Michael A Bosco Jr                     09-25988          (602) 255-6000   01/26/2010 10:00 am
   $83,000.00   06/01/1993   Notice of Trustee Sale   Mers                          (800) 646-6377          2007 12/07/2007        $220,400.00     $167,100.00   20090993226 Security Title Agency                                    (602) 266-0275   02/01/2010 12:00 pm
   $84,900.00   05/29/1996   Notice of Trustee Sale   Mers                          (800) 646-6377          2007 03/26/2007        $224,000.00     $163,800.00   20090993228 Security Title Agency                                    (602) 266-0275   02/01/2010 12:00 pm
  $342,000.00   01/10/2006   Notice of Trustee Sale   Bank Of America               (800) 285-6000   20060036368 01/10/2006        $273,600.00     $228,600.00   20090991895 Recontrust                                               (800) 281-8219   01/27/2010 02:00 pm
  $144,000.00   02/12/2008   Notice of Trustee Sale   Bank Of America               (800) 285-6000   20080122809 02/12/2008        $141,994.00     $127,200.00   20090991789 Recontrust                                               (800) 281-8219   02/01/2010 12:00 pm
  $463,000.00   08/30/2005   Notice of Trustee Sale   Bank Of America               (800) 285-6000          2005 08/30/2005        $354,400.00     $315,000.00   20090991563 Recontrust                             09-0158328        (800) 281-8219   01/27/2010 02:00 pm
  $154,220.00   01/30/1998   Notice of Trustee Sale   Aurora Loan Services          (720) 945-3000                                 $376,994.00     $219,800.00   20090993156 Michael A Bosco Jr                     09-48904          (602) 255-6000   01/26/2010 10:00 am
  $100,500.00   05/26/2000   Notice of Trustee Sale   Midfirst Bank                 (800) 877-1674               08/23/2001        $105,668.00       $8,450.00   20090992597 Quality Loan Service                   Az-09-322535-ab   (714) 573-1965   01/27/2010 12:00 pm
  $167,293.00   03/13/2008   Notice of Trustee Sale                                                                                $167,293.00      $27,500.00   20090987633 Aztec Foreclosure                      09-018119         (602) 222-5711   01/25/2010 11:00 am
  $160,892.00   07/28/2004   Notice of Trustee Sale   The Bank Of New York Mellon   (212) 495-1784   20040866174 07/28/2004        $128,710.00      $11,450.00   20090991518 Recontrust                                               (800) 281-8219   01/27/2010 02:00 pm
  $117,500.00   04/03/2003   Notice of Trustee Sale   Mers                          (800) 646-6377          2006 07/12/2006        $308,000.00     $242,000.00   20090993214 Security Title Agency                                    (602) 266-0275   02/01/2010 12:00 pm
  $114,900.00   03/24/2004   Notice of Trustee Sale                                                                                $147,360.00     $122,700.00   20090987631 Aztec Foreclosure                      09-017666         (602) 222-5711   01/25/2010 11:00 am
  $185,000.00   09/18/2006   Notice of Trustee Sale   National City Mortgage        (800) 822-5626                                 $166,500.00     $124,500.00   20090992837 Michael A Bosco Jr                     09-25777          (602) 255-6000   01/26/2010 10:00 am
  $276,000.00   03/16/2005   Notice of Trustee Sale   Bank Of America               (800) 285-6000   20050320141 03/16/2005        $256,500.00     $210,500.00   20090991783 Recontrust                                               (800) 281-8219   01/27/2010 02:00 pm
   $66,000.00   04/04/1988   Notice of Trustee Sale   Bank Of America               (800) 285-6000   20060732086 05/31/2006        $201,000.00     $165,200.00   20090991587 Recontrust                             09-0097218        (800) 281-8219   01/27/2010 02:00 pm
  $189,517.00   06/08/2007   Notice of Trustee Sale   Chase Home Finance Llc        (888) 332-3251                                 $224,580.00       $9,670.00   20090991101 First American Title                   20099073502582    (702) 304-7514   01/27/2010 02:00 pm
  $115,000.00   05/17/2001   Notice of Trustee Sale                                                         2001                     $92,000.00    $245,241.00   20090993306 First American Title                   12566rs           (702) 304-7514   01/27/2010 02:00 pm
  $122,000.00   08/28/2003   Notice of Trustee Sale   Bank Of America               (800) 285-6000          2005 04/25/2005        $141,491.00     $164,000.00   20090991898 Recontrust                                               (800) 281-8219   01/27/2010 02:00 pm
  $176,973.00   04/11/2007   Notice of Trustee Sale   Bank Of America               (800) 285-6000   20070427168 04/11/2007        $141,578.00       $9,800.00   20090991531 Recontrust                             09-0157941        (800) 281-8219   02/01/2010 12:00 pm
  $156,000.00   10/10/2000   Notice of Trustee Sale                                                                                $200,000.00     $241,700.00   20090987637 Aztec Foreclosure                      09-018788         (602) 222-5711   01/25/2010 11:00 am
   $84,000.00   05/27/2003   Notice of Trustee Sale   Wells Fargo Home Mortgage     (866) 234-8271                                 $125,698.00     $166,600.00   20090991182 First American Title                   20099070821133    (702) 304-7514   01/27/2010 02:00 pm
  $145,000.00   11/25/2002   Notice of Trustee Sale   The Bank Of New York Mellon   (212) 495-1784   20051717819 11/14/2005        $276,000.00     $213,800.00   20090991590 Recontrust                                               (800) 281-8219   01/27/2010 02:00 pm
$1,600,000.00   04/02/2003   Notice of Trustee Sale   Washington Mutual                                          10/19/2006       $1,500,000.00    $227,670.00   20090993285 California Reconveyance                137795az          (714) 573-1965   01/27/2010 02:00 pm
   $91,900.00   05/03/2002   Notice of Trustee Sale   Accredited Home Lenders       (866) 521-4815                                 $171,200.00     $107,000.00   20090989949 Quality Loan Service                   Az-sls-090121     (714) 573-1965   01/26/2010 12:00 pm
  $295,000.00   09/28/2001   Notice of Trustee Sale   Option One Mortgage           (800) 704-0800                                 $236,000.00     $283,700.00   20090990134 Fidelity National Title                09-03790-3        (714) 573-1965   01/28/2010 12:00 pm




                                                                                                                                             Page 37
Pre-foreclosure List
                                                                                                                            Maricopa County Week Ending 11/2

 $83,000.00 04/23/1999   Notice of Trustee Sale   Mers                          (800) 646-6377          2008 04/01/2008          $157,300.00     $143,700.00   20090993250 Security Title Agency                                    (602) 266-0275   02/01/2010 12:00 pm
$373,900.00 01/11/2007   Notice of Trustee Sale   Hsbc Bank                     (800) 975-4722   20070047219 01/11/2007          $299,100.00     $281,500.00   20090992078 Recontrust                             09-0158814        (800) 281-8219   02/01/2010 12:00 pm
            04/11/1990   Notice of Trustee Sale   Bank Of America               (800) 285-6000                                     $25,000.00    $174,300.00   20090989625 Christopher Charles Rebhuhn            03-sf-85778                        01/27/2010 02:00 pm
$236,000.00 05/22/2007   Notice of Trustee Sale   Mers                          (800) 646-6377          2007 08/16/2007          $216,000.00     $185,300.00   20090993241 Security Title Agency                                    (602) 266-0275   02/01/2010 12:00 pm
$115,000.00 12/27/2004   Notice of Trustee Sale   Americas Servicing Company                                                       $92,000.00    $121,300.00   20090991986 Michael A Bosco Jr                     09-49051          (602) 255-6000   01/26/2010 10:00 am
            03/05/1991   Notice of Trustee Sale   Citimortgage, Inc             (800) 695-0935                                   $124,800.00     $118,100.00   20090993230 Michael A Bosco Jr                     09-26328          (602) 255-6000   01/26/2010 10:00 am
$466,000.00 01/16/2008   Notice of Trustee Sale                                                                07/19/2007               $1.00    $668,700.00   20090990430 Quality Loan Service                   59953             (714) 573-1965   01/27/2010 02:00 pm
$231,900.00 08/03/2004   Notice of Trustee Sale   Citimortgage, Inc             (800) 695-0935                                   $277,882.00     $234,100.00   20090993218 Michael A Bosco Jr                     09-22724          (602) 255-6000   01/26/2010 10:00 am
$245,000.00 08/22/2002   Notice of Trustee Sale   Long Beach Mortgage                                                            $196,000.00     $284,000.00   20090993204 California Reconveyance                137804az          (714) 573-1965   05/08/2013 02:00 pm
$195,367.00 06/23/2004   Notice of Trustee Sale   Provident Funding             (800) 696-8199                 04/25/2008        $171,500.00     $193,800.00   20090993738 Quality Loan Service                   Az-09-315389-pj   (714) 573-1965   01/26/2010 12:00 pm
$196,060.00 05/30/2001   Notice of Trustee Sale   Wells Fargo Home Mortgage     (866) 234-8271                                   $239,000.00     $247,000.00   20090991971 Michael A Bosco Jr                     09-48989          (602) 255-6000   01/26/2010 10:00 am
$245,000.00 07/03/2008   Notice of Trustee Sale   Bank Of America               (800) 285-6000   20080590243 07/03/2008          $241,214.00     $252,600.00   20090992069 Recontrust                                               (800) 281-8219   02/01/2010 12:00 pm
$439,000.00 05/31/2005   Notice of Trustee Sale   Deutsche Bank                 (212) 250-2500                                   $351,200.00     $352,800.00   20090987647 Aztec Foreclosure                      09-018428         (602) 222-5711   01/25/2010 11:00 am
$285,000.00 11/15/2007   Notice of Trustee Sale                                                                                  $228,000.00     $203,100.00   20090987639 Aztec Foreclosure                      09-018781         (602) 222-5711   01/25/2010 11:00 am
$405,000.00 09/01/2005   Notice of Trustee Sale   U.s. Bancorp                  (800) 365-7772                                   $324,000.00     $279,700.00   20090993259 Michael A Bosco Jr                     09-26302          (602) 255-6000   01/26/2010 10:00 am
$149,000.00 08/31/2004   Notice of Trustee Sale   Bank Of America               (800) 285-6000   20061020324 07/31/2006          $190,400.00     $170,200.00   20090992060 Recontrust                                               (800) 281-8219   01/27/2010 02:00 pm
$181,500.00 05/16/2006   Notice of Trustee Sale   Mers                          (800) 646-6377                                   $147,000.00     $136,500.00   20090993154 Michael A Bosco Jr                     09-24110          (602) 255-6000   01/26/2010 10:00 am
$338,400.00 06/24/2005   Notice of Trustee Sale   Chase Home Finance Llc        (888) 332-3251                                   $270,720.00     $248,700.00   20090992012 Michael A Bosco Jr                     09-26549          (602) 255-6000   01/26/2010 10:00 am
$210,000.00 12/14/2005   Notice of Trustee Sale   Americas Servicing Company                                                     $168,000.00     $146,600.00   20090991965 Michael A Bosco Jr                     09-48987          (602) 255-6000   01/26/2010 10:00 am
 $46,000.00 05/17/1995   Notice of Trustee Sale   Bank Of America               (800) 285-6000   20080426963 05/14/2008          $157,832.00     $149,100.00   20090992032 Recontrust                             09-0157956        (800) 281-8219   02/01/2010 12:00 pm
$116,000.00 01/02/1998   Notice of Trustee Sale   Chase Home Finance Llc        (888) 332-3251                                   $205,125.00     $192,500.00   20090992043 Michael A Bosco Jr                     09-26576          (602) 255-6000   01/26/2010 10:00 am
$195,000.00 06/07/2006   Notice of Trustee Sale   Deutsche Bank                 (212) 250-2500                                   $156,000.00     $147,500.00   20090990003 Quality Loan Service                   Az-sls-090119     (714) 573-1965   01/26/2010 12:00 pm
$207,306.00 12/21/2004   Notice of Trustee Sale   Bank Of America               (800) 285-6000   20051948268 12/27/2005          $246,000.00     $225,000.00   20090991905 Recontrust                                               (800) 281-8219   01/27/2010 02:00 pm
$265,000.00 12/22/2005   Notice of Trustee Sale   Hsbc Bank                     (800) 975-4722                                   $212,000.00     $107,800.00   20090987627 Aztec Foreclosure                      09-018801         (602) 222-5711   01/25/2010 11:00 am
            08/11/2008   Notice of Trustee Sale   M&i Marshall                                   20080698478                     $312,000.00      $25,447.00   20090990876 Quality Loan Service                   09-1295           (714) 573-1965   01/27/2010 02:00 pm
$275,000.00 02/24/2005   Notice of Trustee Sale   Chase Home Finance Llc        (888) 332-3251                                   $220,000.00     $213,800.00   20090990909 Michael A Bosco Jr                     09-26595          (602) 255-6000   01/26/2010 10:00 am
 $33,000.00 01/06/1978   Notice of Trustee Sale   Wells Fargo Home Mortgage     (866) 234-8271                                   $108,000.00      $99,000.00   20090991077 First American Title                   20099070821387    (702) 304-7514   01/27/2010 02:00 pm
$147,500.00 01/28/2005   Notice of Trustee Sale   Wells Fargo Home Mortgage     (866) 234-8271                                   $141,178.00     $154,600.00   20090992574 Old Republic Nat'l Title Insurance C   09-35433          (714) 573-1965   01/27/2010 02:00 pm
$288,874.00 09/09/2005   Notice of Trustee Sale   Chase Home Finance Llc        (888) 332-3251                                   $298,406.00     $200,800.00   20090991092 First American Title                   20099073502568    (702) 304-7514   01/27/2010 02:00 pm
 $59,700.00 01/23/1992   Notice of Trustee Sale   Bank Of America               (800) 285-6000   20071019054 09/13/2007          $158,500.00     $164,800.00   20090991557 Recontrust                                               (800) 281-8219   02/01/2010 12:00 pm
 $78,900.00 10/21/1998   Notice of Trustee Sale   Wells Fargo Home Mortgage     (866) 234-8271                                   $127,917.00      $55,800.00   20090993152 Michael A Bosco Jr                     09-47113          (602) 255-6000   01/26/2010 10:00 am
$129,900.00 04/24/2008   Notice of Trustee Sale   Chase Home Finance Llc        (888) 332-3251                                   $132,692.00     $142,600.00   20090991085 First American Title                   20099073502564    (702) 304-7514   01/27/2010 02:00 pm
$222,800.00 04/25/2002   Notice of Trustee Sale   Phh Mortgage                  (800) 210-8849                                   $368,775.00     $305,800.00   20090987635 Aztec Foreclosure                      09-018800         (602) 222-5711   01/25/2010 11:00 am
$250,000.00 08/15/2006   Notice of Trustee Sale   The Bank Of New York Mellon   (212) 495-1784   20061088019 08/15/2006          $237,500.00     $176,700.00   20090991809 Recontrust                                               (800) 281-8219   01/27/2010 02:00 pm
 $78,500.00 06/22/1998   Notice of Trustee Sale   Chase Home Finance Llc        (888) 332-3251                                     $78,119.00    $149,800.00   20090991184 First American Title                   20099073502542    (702) 304-7514   01/27/2010 02:00 pm
$114,000.00 04/25/2002   Notice of Trustee Sale   Bank Of America               (800) 285-6000   20080456306 05/22/2008          $175,392.00     $131,000.00   20090991525 Recontrust                                               (800) 281-8219   02/01/2010 12:00 pm
            12/26/2006   Notice of Trustee Sale                                                                                 $1,360,000.00     $92,800.00   20090989577 Quality Loan Service                                     (714) 573-1965   01/27/2010 10:00 am
$294,210.00 08/07/2003   Notice of Trustee Sale   Deutsche Bank                 (212) 250-2500                                   $525,000.00     $428,800.00   20090987649 Aztec Foreclosure                      09-018275         (602) 222-5711   01/26/2010 11:00 am
$111,000.00 12/01/1994   Notice of Trustee Sale   Wells Fargo Home Mortgage     (866) 234-8271                                   $280,800.00     $181,500.00   20090993163 Michael A Bosco Jr                     09-48900          (602) 255-6000   01/26/2010 10:00 am
 $55,000.00 01/04/1995   Notice of Trustee Sale   Mers                          (800) 646-6377          2005 09/22/2005          $999,000.00     $954,700.00   20090993270 Security Title Agency                                    (602) 266-0275   02/05/2010 12:00 pm
            05/18/1994   Notice of Trustee Sale   Novastar                      (800) 469-4270                                     $50,000.00    $106,800.00   20090989940 Quality Loan Service                   Az-sls-090127     (714) 573-1965   01/26/2010 12:00 pm
            01/18/2008   Notice of Trustee Sale                                                                                    $93,000.00    $188,300.00   20090987629 Aztec Foreclosure                      09-018779         (602) 222-5711   01/25/2010 11:00 am
 $38,000.00 03/31/1993   Notice of Trustee Sale                                                  20061505227 11/16/2006          $328,000.00     $383,600.00   20090991928 Recontrust                                               (800) 281-8219   02/01/2010 12:00 pm
 $79,000.00 04/30/2001   Notice of Trustee Sale   Mers                          (800) 646-6377          2008 03/20/2008          $159,580.00      $60,100.00   20090993234 Security Title Agency                                    (602) 266-0275   02/01/2010 12:00 pm
$490,000.00 06/05/2007   Notice of Trustee Sale   Mers                          (800) 646-6377          2007 06/29/2007          $154,800.00     $123,200.00   20090993246 Security Title Agency                                    (602) 266-0275   02/01/2010 12:00 pm
$285,000.00 02/25/2005   Notice of Trustee Sale   Chase Home Finance Llc        (888) 332-3251                                   $215,000.00     $290,200.00   20090992052 Michael A Bosco Jr                     09-26631          (602) 255-6000   01/26/2010 10:00 am
$172,600.00 01/30/2008   Notice of Trustee Sale   Bank Of America               (800) 285-6000   20080083401 01/30/2008          $170,195.00      $41,500.00   20090992029 Recontrust                             09-0157950        (800) 281-8219   02/01/2010 12:00 pm
            06/02/2004   Notice of Trustee Sale   Bank Of America               (800) 285-6000   20040623060 06/02/2004          $155,460.00      $13,621.00   20090991892 Recontrust                                               (800) 281-8219   01/27/2010 02:00 pm
$394,000.00 10/24/2005   Notice of Trustee Sale   The Bank Of New York Mellon   (212) 495-1784          2005 10/24/2005          $275,800.00     $231,600.00   20090991884 Recontrust                                               (800) 281-8219   01/27/2010 02:00 pm
 $35,000.00 06/05/1987   Notice of Trustee Sale   Mers                          (800) 646-6377          2007 10/26/2007          $120,000.00     $125,600.00   20090993239 Security Title Agency                                    (602) 266-0275   02/01/2010 12:00 pm
$132,228.00 01/21/2005   Notice of Trustee Sale   Provident Funding             (800) 696-8199               04/25/2008          $158,200.00     $179,800.00   20090993744 First American Title                   Az-09-315403-pj   (702) 304-7514   01/26/2010 12:00 pm
 $43,810.00 04/04/1977   Notice of Trustee Sale                                                                                    $80,000.00    $240,300.00   20090992832 Michael A Bosco Jr                     09-25776          (602) 255-6000   01/26/2010 10:00 am
$186,040.00 01/24/2005   Notice of Trustee Sale   Provident Funding             (800) 696-8199                 04/25/2008        $158,200.00     $179,800.00   20090993742 Quality Loan Service                   Az-09-315393-pj   (714) 573-1965   01/26/2010 12:00 pm
$211,437.00 12/23/2004   Notice of Trustee Sale   Provident Funding             (800) 696-8199                 04/25/2008        $161,000.00     $181,800.00   20090993747 First American Title                   Az-09-315421-pj   (702) 304-7514   01/26/2010 12:00 pm
$128,409.00 12/01/1995   Notice of Trustee Sale   Citimortgage, Inc             (800) 695-0935                                   $160,000.00     $205,700.00   20090993206 Michael A Bosco Jr                     09-26339          (602) 255-6000   01/26/2010 10:00 am
$125,500.00 06/04/2008   Notice of Trustee Sale   Mers                          (800) 646-6377                 06/04/2008        $123,561.00     $138,700.00   20090993632 Mtc Financial                          Azo759739                          01/27/2010 12:00 pm
            10/02/2006   Notice of Trustee Sale                                                                                  $345,700.00       $1,720.00   20090987641 Aztec Foreclosure                      09-018821         (602) 222-5711   01/25/2010 11:00 am




                                                                                                                                           Page 38
Pre-foreclosure List
                                                                                                                              Maricopa County Week Ending 11/2

$237,265.00   10/27/2005   Notice of Trustee Sale                                                              10/27/2005          $189,812.00    $109,500.00    20090990424 Quality Loan Service        59952             (714) 573-1965   01/27/2010 02:00 pm
$249,340.00   09/11/2006   Notice of Trustee Sale   Bank Of America               (800) 285-6000   20061205918 09/11/2006          $245,486.00    $154,700.00    20090991812 Recontrust                                    (800) 281-8219   01/27/2010 02:00 pm
$605,000.00   03/28/2006   Notice of Trustee Sale   Chase Home Finance Llc        (888) 332-3251                                   $453,750.00    $436,000.00    20090991083 First American Title        20099073502547    (702) 304-7514   01/27/2010 02:00 pm
$108,000.00   07/12/1996   Notice of Trustee Sale   Chase Home Finance Llc        (888) 332-3251                                   $225,000.00    $208,700.00    20090992026 Michael A Bosco Jr          09-26573          (602) 255-6000   01/26/2010 10:00 am
$156,230.00   11/05/1999   Notice of Trustee Sale   Aurora Loan Services          (720) 945-3000                 02/23/2006        $288,000.00    $249,000.00    20090993355 Quality Loan Service        Az-09-280392-cl   (714) 573-1965   01/27/2010 12:00 pm
              06/14/2007   Notice of Trustee Sale   Wells Fargo Home Mortgage     (866) 234-8271                                   $200,832.00     $16,850.00    20090991933 Michael A Bosco Jr          09-48202          (602) 255-6000   01/26/2010 10:00 am
              02/05/2007   Notice of Trustee Sale   Wells Fargo Home Mortgage     (866) 234-8271                                   $193,498.00     $18,050.00    20090991935 Michael A Bosco Jr          09-48158          (602) 255-6000   01/26/2010 10:00 am
$168,000.00   10/29/2004   Notice of Trustee Sale   Deutsche Bank                 (212) 250-2500                                   $134,400.00    $129,600.00    20090992846 Michael A Bosco Jr          09-26402          (602) 255-6000   01/26/2010 10:00 am
$122,000.00   09/12/2003   Notice of Trustee Sale   Americas Servicing Company                                                     $130,000.00    $147,100.00    20090991980 Michael A Bosco Jr          09-49052          (602) 255-6000   01/26/2010 10:00 am
$153,900.00   01/29/2001   Notice of Trustee Sale   U.s. Bancorp                  (800) 365-7772   20060258855 02/27/2006          $304,000.00    $274,300.00    20090991923 Recontrust                  09-0158812        (800) 281-8219   02/01/2010 12:00 pm
$375,990.00   09/04/2007   Notice of Trustee Sale   Chase Home Finance Llc        (888) 332-3251                                   $401,400.00    $254,300.00    20090991087 First American Title        20099073502565    (702) 304-7514   01/27/2010 02:00 pm
              03/16/2006   Notice of Trustee Sale   Americas Servicing Company                                                      $84,000.00    $131,300.00    20090992003 Michael A Bosco Jr          09-49054          (602) 255-6000   01/26/2010 10:00 am
$200,000.00   03/17/2004   Notice of Trustee Sale   Bank Of America               (800) 285-6000   20061575188 12/01/2006          $256,000.00    $169,200.00    20090991920 Recontrust                                    (800) 281-8219   01/27/2010 02:00 pm
$315,000.00   03/29/2001   Notice of Trustee Sale                                                              03/15/2006          $480,000.00    $258,500.00    20090990428 Quality Loan Service        59955             (714) 573-1965   01/27/2010 02:00 pm
 $73,000.00   01/29/1998   Notice of Trustee Sale   Citimortgage, Inc             (800) 695-0935                                   $107,000.00    $168,500.00    20090993294 Michael A Bosco Jr          09-26493          (602) 255-6000   01/26/2010 10:00 am
$247,988.00   05/26/2006   Notice of Trustee Sale   Citimortgage, Inc             (800) 695-0935                                   $213,628.00    $154,700.00    20090993297 Michael A Bosco Jr          09-26435          (602) 255-6000   01/26/2010 10:00 am
              08/15/2007   Notice of Trustee Sale   Mers                          (800) 646-6377          2007 11/15/2007           $73,000.00     $28,000.00    20090993212 Security Title Agency                         (602) 266-0275   02/01/2010 12:00 pm
$212,898.00   01/17/2007   Notice of Trustee Sale   Chase Home Finance Llc        (888) 332-3251                                   $217,475.00    $183,100.00    20090991094 First American Title        20099073502574    (702) 304-7514   01/27/2010 02:00 pm
$375,000.00   05/13/2004   Notice of Trustee Sale   U.s. Bancorp                  (800) 365-7772   20061215495 09/13/2006          $470,000.00    $386,700.00    20090992084 Recontrust                  09-0158820        (800) 281-8219   02/01/2010 12:00 pm
$198,656.00   08/02/2006   Notice of Trustee Sale   Wells Fargo Home Mortgage     (866) 234-8271                                   $158,924.00    $172,000.00    20090991948 Michael A Bosco Jr          09-48204          (602) 255-6000   01/26/2010 10:00 am
$203,189.00   10/25/2004   Notice of Trustee Sale   Chase Home Finance Llc        (888) 332-3251                                   $224,000.00    $190,000.00    20090990905 Michael A Bosco Jr          09-26570          (602) 255-6000   01/26/2010 10:00 am
$199,900.00   07/08/2004   Notice of Trustee Sale   The Bank Of New York Mellon   (212) 495-1784          2005 08/25/2005          $275,000.00    $227,100.00    20090991594 Recontrust                  09-0156162        (800) 281-8219   01/27/2010 02:00 pm
              03/26/2008   Notice of Trustee Sale   Chase Home Finance Llc        (888) 332-3251                                   $188,993.00    $135,300.00    20090991074 First American Title        20099073502537    (702) 304-7514   01/27/2010 02:00 pm
$116,750.00   07/07/2000   Notice of Trustee Sale   Long Beach Mortgage                                          10/17/2006        $215,650.00     $94,500.00    20090993180 California Reconveyance     137809az          (714) 573-1965   01/27/2010 02:00 pm
 $48,500.00   10/29/2004   Notice of Trustee Sale   Wells Fargo Home Mortgage     (866) 234-8271                                   $129,514.00    $117,847.00    20090991190 First American Title        20099070821410    (702) 304-7514   01/27/2010 02:00 pm
$451,486.00   01/25/2007   Notice of Trustee Sale   Bank Of America               (800) 285-6000   20070100113 01/25/2007          $361,188.00    $281,100.00    20090991908 Recontrust                                    (800) 281-8219   01/27/2010 02:00 pm
$166,338.00   12/14/2004   Notice of Trustee Sale   Wells Fargo Home Mortgage     (866) 234-8271                                   $162,578.00    $153,200.00    20090991194 First American Title        20099070821409    (702) 304-7514   01/27/2010 02:00 pm
$271,000.00   10/15/2007   Notice of Trustee Sale   Bank Of America               (800) 285-6000   20071123136 10/15/2007          $266,792.00    $224,800.00    20090991522 Recontrust                                    (800) 281-8219   02/01/2010 12:00 pm
 $83,000.00   09/23/1998   Notice of Trustee Sale                                                                                  $125,100.00    $154,000.00    20090992841 Michael A Bosco Jr          40082             (602) 255-6000   01/26/2010 10:00 am
$127,500.00   04/13/2007   Notice of Trustee Sale   National City Mortgage        (800) 822-5626                                   $174,500.00     $11,850.00    20090992844 Michael A Bosco Jr          09-25883          (602) 255-6000   01/26/2010 10:00 am
 $92,500.00   04/01/2008   Notice of Trustee Sale   Citimortgage, Inc             (800) 695-0935                                   $134,000.00      $8,780.00    20090993220 Michael A Bosco Jr          09-26303          (602) 255-6000   01/26/2010 10:00 am
$213,000.00   09/26/2006   Notice of Trustee Sale   The Bank Of New York Mellon   (212) 495-1784   20061272950 09/26/2006          $170,400.00     $75,200.00    20090991528 Recontrust                                    (800) 281-8219   02/01/2010 12:00 pm
$209,000.00   08/09/2007   Notice of Trustee Sale                                                  20070899562 08/09/2007          $205,770.00    $151,700.00    20090991786 Recontrust                                    (800) 281-8219   02/01/2010 12:00 pm
$288,107.00   09/30/2005   Notice of Trustee Sale   Litton Loan Servicing Lp      (800) 247-9727               09/12/2006          $260,800.00    $188,500.00    20090993135 Security Title Agency       Az-09-321528-pj   (602) 266-0275   01/26/2010 12:00 pm
              12/23/2005   Notice of Trustee Sale                                                                                  $690,000.00    $620,200.00    20090989573 Quality Loan Service                          (714) 573-1965   01/27/2010 02:00 pm
$123,500.00   08/13/2004   Notice of Trustee Sale   Wells Fargo Home Mortgage     (866) 234-8271                 09/08/2004         $98,500.00    $147,500.00    20090991963 Michael A Bosco Jr          09-48956          (602) 255-6000   01/26/2010 10:00 am
              07/14/2005   Notice of Trustee Sale   M&i Marshall & Ilsley Bank    (623) 847-0147          2005                     $204,750.00     $48,720.00    20090993323 Quality Loan Service        Ross,             (714) 573-1965   01/27/2010 02:00 pm
              11/01/2002   Notice of Trustee Sale   Chase Home Finance Llc        (888) 332-3251                                    $87,500.00     $21,370.00    20090991974 Michael A Bosco Jr          09-26500          (602) 255-6000   01/26/2010 10:00 am
$150,353.00   09/14/2004   Notice of Trustee Sale   Bank Of America               (800) 285-6000   20061665811 12/21/2006          $201,386.00    $157,200.00    20090991889 Recontrust                                    (800) 281-8219   01/27/2010 02:00 pm
$160,000.00   05/14/2008   Notice of Trustee Sale   Bank Of America               (800) 285-6000   20080427161 05/14/2008          $157,528.00    $171,100.00    20090991822 Recontrust                                    (800) 281-8219   02/01/2010 12:00 pm
$224,000.00   06/01/2006   Notice of Trustee Sale   Chase Home Finance Llc        (888) 332-3251                                   $112,416.00    $135,500.00    20090991079 First American Title        20099073502543    (702) 304-7514   01/27/2010 02:00 pm
$331,500.00   09/21/2006   Notice of Trustee Sale   Chase Home Finance Llc        (888) 332-3251                                   $352,630.00    $205,500.00    20090991098 First American Title        20099073502577    (702) 304-7514   01/27/2010 02:00 pm
$212,000.00   06/22/2005   Notice of Trustee Sale   Hsbc Bank                     (800) 975-4722                                   $190,800.00    $162,100.00    20090991968 Michael A Bosco Jr          09-26495          (602) 255-6000   01/26/2010 10:00 am
$245,000.00   07/31/2007   Notice of Trustee Sale   Chase Home Finance Llc        (888) 332-3251                                   $232,750.00    $174,800.00    20090992772 Quality Loan Service        7104              (714) 573-1965   01/27/2010 02:00 pm
$154,712.00   08/17/2004   Notice of Trustee Sale   Aurora Loan Services          (720) 945-3000                 11/06/2006        $205,600.00    $163,500.00    20090993753 First American Title        Az-09-321997-pj   (702) 304-7514   01/26/2010 12:00 pm
$589,000.00   02/09/2006   Notice of Trustee Sale   Argent Securities Inc         (404) 965-5353                                   $471,200.00    $416,500.00    20090990138 Fidelity National Title                       (714) 573-1965   01/28/2010 12:00 pm
              10/18/2005   Notice of Trustee Sale   Bank Of America               (800) 285-6000                                   $226,539.00     $53,040.00    20090993626 Northwest Trustee Service   7530              (714) 277-4888   01/27/2010 02:00 pm
$620,000.00   08/28/2003   Notice of Trustee Sale   Citimortgage, Inc             (800) 695-0935                                   $570,000.00    $710,700.00    20090993224 Michael A Bosco Jr          09-26270          (602) 255-6000   01/26/2010 10:00 am
$250,000.00   02/21/2007   Notice of Trustee Sale   Chase Home Finance Llc        (888) 332-3251                                   $250,000.00    $199,300.00    20090992046 Michael A Bosco Jr          09-26591          (602) 255-6000   01/26/2010 10:00 am
$306,000.00   06/30/1999   Notice of Trustee Sale                                                                08/29/2007        $545,000.00    $416,100.00    20090990426 Quality Loan Service        59954             (714) 573-1965   01/27/2010 02:00 pm
$145,403.00   10/06/2008   Notice of Trustee Sale   Chase Home Finance Llc        (888) 332-3251                                   $138,728.00    $132,500.00    20090991081 First American Title        20099073502544    (702) 304-7514   01/27/2010 02:00 pm
$145,180.00   12/23/1998   Notice of Trustee Sale   Citimortgage, Inc             (800) 695-0935                                   $271,000.00    $299,200.00    20090993302 Michael A Bosco Jr          09-26572          (602) 255-6000   01/26/2010 10:00 am
$129,900.00   01/27/2004   Notice of Trustee Sale                                                  20061381487 10/19/2006          $161,250.00    $104,600.00    20090988106 Recontrust                                    (800) 281-8219   01/27/2010 12:00 pm
$133,000.00   02/27/2006   Notice of Trustee Sale   Bank Of America               (800) 285-6000               02/16/2006          $106,400.00     $96,500.00    20090988485 Quality Loan Service        Az-09-321744-bl   (714) 573-1965   01/25/2010 12:00 pm
$128,000.00   04/16/2003   Notice of Trustee Sale   Deutsche Bank                 (212) 250-2500   20060036957 01/10/2006          $121,000.00    $127,200.00    20090988210 Recontrust                                    (800) 281-8219   01/28/2010 12:00 pm
$199,990.00   05/20/2003   Notice of Trustee Sale   Provident Funding             (800) 696-8199                                   $318,000.00    $276,300.00    20090988355 Jason Cotton Pa             7092476                            01/26/2010 12:00 pm
$162,220.00   10/30/2001   Notice of Trustee Sale   Citimortgage, Inc             (800) 695-0935                 04/18/2006        $248,000.00    $216,000.00    20090986971 Cr Title Service            To9-55583-az      (714) 573-1965   01/26/2010 02:00 pm




                                                                                                                                            Page 39
Pre-foreclosure List
                                                                                                                            Maricopa County Week Ending 11/2

$330,706.00   04/13/2006   Notice of Trustee Sale   Deutsche Bank                 (212) 250-2500          2006 04/13/2006        $264,550.00     $195,300.00   20090988207 Recontrust                                               (800) 281-8219   01/27/2010 12:00 pm
$144,590.00   10/19/2000   Notice of Trustee Sale   Nationstar Mortgage           (800) 306-9027               03/02/2007        $325,000.00     $217,700.00   20090988529 First American Title                   Az-09-322409-ab   (702) 304-7514   01/25/2010 12:00 pm
$253,000.00   03/10/2006   Notice of Trustee Sale   New Century Mortgage          (866) 774-5172               03/09/2006        $202,400.00     $159,700.00   20090988835 Quality Loan Service                   Az-09-321672-rm   (714) 573-1965   01/26/2010 02:00 pm
$120,000.00   04/11/2003   Notice of Trustee Sale   Provident Funding             (800) 696-8199                                 $275,000.00     $246,700.00   20090988352 Jason Cotton Pa                        7092477                            01/26/2010 12:00 pm
$124,500.00   08/30/2002   Notice of Trustee Sale   Wells Fargo Home Mortgage     (866) 234-8271   20061355263 10/13/2006        $180,000.00     $149,100.00   20090988084 Recontrust                                               (800) 281-8219   01/27/2010 12:00 pm
$249,000.00   02/13/2004   Notice of Trustee Sale   Bank Of America               (800) 285-6000   20070505078 05/01/2007        $335,000.00     $136,300.00   20090987656 Recontrust                                               (800) 281-8219   01/27/2010 12:00 pm
$430,000.00   08/31/2005   Notice of Trustee Sale   The Bank Of New York Mellon   (212) 495-1784          2005 08/31/2005        $387,000.00     $273,300.00   20090987696 Recontrust                                               (800) 281-8219   01/26/2010 02:00 pm
$189,900.00   03/08/2006   Notice of Trustee Sale   First Horizon Home Loans      (800) 707-0139   20060316868 03/06/2006        $170,900.00     $148,800.00   20090986231 Lawyers Title Insurance                057-009958        (714) 573-1965   01/26/2010 02:00 pm
$190,000.00   01/08/2004   Notice of Trustee Sale   Chase Home Finance Llc        (888) 332-3251               06/21/2005        $228,750.00     $303,500.00   20090988045 California Reconveyance                137764az          (714) 573-1965   01/26/2010 02:00 pm
 $54,000.00   07/29/1994   Notice of Trustee Sale   Bank Of America               (800) 285-6000   20061597999 12/06/2006        $165,600.00      $82,300.00   20090988299 Recontrust                                               (800) 281-8219   01/28/2010 12:00 pm
$246,603.00   09/28/2004   Notice of Trustee Sale   Aurora Loan Services          (720) 945-3000                               $32,800,000.00     $18,480.00   20090987596 Cal Western Reconveyance               1246108-14        (800) 546-1531   01/26/2010 02:00 pm
$282,000.00   06/28/2005   Notice of Trustee Sale   Washington Mutual                                          06/28/2005        $252,000.00     $304,200.00   20090987938 California Reconveyance                137792az          (714) 573-1965   05/08/2013 02:00 pm
$119,000.00   10/30/2003   Notice of Trustee Sale   Bank Of America               (800) 285-6000   20060060857 01/13/2006        $174,000.00     $148,500.00   20090988094 Recontrust                                               (800) 281-8219   01/26/2010 02:00 pm
$205,990.00   02/22/2007   Notice of Trustee Sale   Bank Of America               (800) 285-6000   20080238155 03/18/2008        $209,709.00      $11,250.00   20090988064 Recontrust                             09-0157951        (800) 281-8219   01/28/2010 12:00 pm
$127,000.00   07/28/1994   Notice of Trustee Sale   Hsbc Bank                     (800) 975-4722   20070524166 05/04/2007        $348,750.00     $368,200.00   20090988267 Recontrust                                               (800) 281-8219   01/28/2010 12:00 pm
$114,130.00   10/31/1997   Notice of Trustee Sale   Bank Of America               (800) 285-6000   20071228334 11/16/2007        $192,500.00     $206,200.00   20090988343 Recontrust                                               (800) 281-8219   01/28/2010 12:00 pm
 $39,000.00   07/31/1987   Notice of Trustee Sale                                                              10/30/2007          $96,600.00     $68,500.00   20090987367 Mtc Financial                          Azo559691                          01/26/2010 02:00 pm
$168,000.00   12/08/2005   Notice of Trustee Sale   Bank Of America               (800) 285-6000   20051860743 12/08/2005        $168,000.00     $113,200.00   20090987669 Recontrust                                               (800) 281-8219   01/26/2010 02:00 pm
              01/31/2007   Notice of Trustee Sale   Deutsche Bank                 (212) 250-2500                                 $147,000.00       $8,020.00   20090986861 Michael A Bosco Jr                     09-25905          (602) 255-6000   01/25/2010 10:00 am
$130,000.00   07/08/2005   Notice of Trustee Sale   The Bank Of New York Mellon   (212) 495-1784   20050946894 07/08/2005        $104,000.00     $109,000.00   20090987693 Recontrust                             09-0156886        (800) 281-8219   01/26/2010 02:00 pm
$269,000.00   12/23/2005   Notice of Trustee Sale   Long Beach Mortgage                                        12/23/2005        $215,200.00     $180,200.00   20090987748 California Reconveyance                137791az          (714) 573-1965   05/08/2013 02:00 pm
$157,000.00   04/03/2002   Notice of Trustee Sale   Deutsche Bank                 (212) 250-2500               11/24/2004        $164,350.00     $129,300.00   20090988467 Quality Loan Service                   Az-09-321533-bl   (714) 573-1965   01/25/2010 12:00 pm
              08/15/2008   Notice of Trustee Sale   Bayview Loan Servicing, Llc   (800) 457-5105          2008                   $604,500.00      $31,276.00   20090987295 Security Title Agency                  14-89222          (602) 266-0275   01/26/2010 10:30 am
$150,000.00   05/30/2006   Notice of Trustee Sale   Metlife Home Loans                             20060729544 05/25/2006        $150,000.00     $108,000.00   20090986232 Lawyers Title Insurance                057-009914        (714) 573-1965   01/26/2010 02:00 pm
              08/24/2004   Notice of Trustee Sale   Johnson Bank                  (262) 619-2272                                 $306,000.00      $76,320.00   20090985893 Quality Loan Service                                     (714) 573-1965   01/26/2010 10:00 am
$135,500.00   10/01/2001   Notice of Trustee Sale   Mers                          (800) 646-6377          2008 12/31/2007        $237,500.00     $183,100.00   20090988212 Security Title Agency                                    (602) 266-0275   02/02/2010 12:00 pm
$280,000.00   05/28/2004   Notice of Trustee Sale   The Bank Of New York Mellon   (212) 495-1784          2006 01/05/2006        $319,500.00     $272,600.00   20090988171 Recontrust                                               (800) 281-8219   01/28/2010 12:00 pm
$265,000.00   05/29/2008   Notice of Trustee Sale   Chase Home Finance Llc        (888) 332-3251                                 $238,500.00     $188,700.00   20090986720 Michael A Bosco Jr                     09-26464          (602) 255-6000   01/25/2010 10:00 am
$197,915.00   01/30/2004   Notice of Trustee Sale   The Bank Of New York Mellon   (212) 495-1784   20060040369 01/10/2006        $269,000.00     $213,500.00   20090988215 Recontrust                                               (800) 281-8219   01/28/2010 12:00 pm
 $84,550.00   03/31/2000   Notice of Trustee Sale   Bank Of America               (800) 285-6000   20080193009 03/04/2008        $163,200.00     $128,200.00   20090987755 Recontrust                                               (800) 281-8219   01/27/2010 12:00 pm
$125,180.00   09/12/2003   Notice of Trustee Sale   Bank Of America               (800) 285-6000   20070124349 01/31/2007        $172,800.00     $153,100.00   20090987954 Recontrust                                               (800) 281-8219   01/26/2010 02:00 pm
$369,000.00   07/08/2005   Notice of Trustee Sale   The Bank Of New York Mellon   (212) 495-1784          2005 07/08/2005        $332,000.00     $254,700.00   20090987986 Recontrust                             09-0157513        (800) 281-8219   01/26/2010 02:00 pm
$293,800.00   09/14/2006   Notice of Trustee Sale   Bank Of America               (800) 285-6000   20061224764 09/14/2006        $235,000.00      $45,000.00   20090988290 Recontrust                                               (800) 281-8219   01/28/2010 12:00 pm
$337,475.00   11/26/2007   Notice of Trustee Sale   Bank Of America               (800) 285-6000   20071249800 11/26/2007        $302,500.00      $15,520.00   20090987744 Recontrust                                               (800) 281-8219   01/27/2010 12:00 pm
$445,725.00   10/17/2007   Notice of Trustee Sale   Bank Of America               (800) 285-6000   20071130634 10/17/2007        $252,000.00      $19,870.00   20090987982 Recontrust                                               (800) 281-8219   01/28/2010 12:00 pm
$129,900.00   07/30/2003   Notice of Trustee Sale   Deutsche Bank                 (212) 250-2500   20061056601 08/08/2006        $223,000.00     $146,100.00   20090988237 Recontrust                                               (800) 281-8219   01/27/2010 12:00 pm
 $87,900.00   01/31/2000   Notice of Trustee Sale   Litton Loan Servicing Lp      (800) 247-9727               09/15/2005        $138,750.00     $156,300.00   20090988471 Quality Loan Service                   Az-09-321566-bl   (714) 573-1965   01/25/2010 12:00 pm
$178,000.00   08/02/2002   Notice of Trustee Sale   Aurora Loan Services          (720) 945-3000                                 $256,000.00     $228,800.00   20090987598 Cal Western Reconveyance               1246186-14        (800) 546-1531   01/26/2010 02:00 pm
$239,861.00   09/26/2006   Notice of Trustee Sale   U.s. Bancorp                  (800) 365-7772               09/26/2006        $191,850.00     $173,000.00   20090988280 Recontrust                                               (800) 281-8219   01/28/2010 12:00 pm
              12/20/2007   Notice of Trustee Sale   U.s. Bancorp                  (800) 365-7772   20061341573 10/11/2006        $259,000.00     $214,000.00   20090987611 Recontrust                                               (800) 281-8219   01/28/2010 12:00 pm
 $70,000.00   12/27/2006   Notice of Trustee Sale   Bank Of America               (800) 285-6000   20071147291 10/23/2007        $183,750.00      $27,700.00   20090987996 Recontrust                                               (800) 281-8219   01/26/2010 02:00 pm
$140,000.00   01/30/2002   Notice of Trustee Sale   U.s. Bancorp                  (800) 365-7772          2007 03/08/2007        $283,000.00     $199,100.00   20090988016 Recontrust                             09-0157924        (800) 281-8219   01/26/2010 02:00 pm
$140,721.00   08/22/2003   Notice of Trustee Sale   Chase Home Finance Llc        (888) 332-3251                                 $200,000.00     $173,200.00   20090986741 Michael A Bosco Jr                     09-26445          (602) 255-6000   01/25/2010 10:00 am
$257,670.00   12/28/2004   Notice of Trustee Sale   Provident Funding             (800) 696-8199                                 $231,000.00     $264,000.00   20090988302 Jason Cotton Pa                        7092479                            01/26/2010 12:00 pm
 $66,000.00   08/31/1998   Notice of Trustee Sale   Chase Home Finance Llc        (888) 332-3251                                 $145,000.00      $51,800.00   20090986714 Michael A Bosco Jr                     09-26204          (602) 255-6000   01/25/2010 10:00 am
$110,000.00   08/13/2002   Notice of Trustee Sale   The Bank Of New York Mellon   (212) 495-1784               08/07/2002          $88,000.00     $77,000.00   20090988473 Quality Loan Service                   Az-09-321733-bl   (714) 573-1965   01/25/2010 12:00 pm
$416,790.00   07/30/2004   Notice of Trustee Sale                                                              08/07/2007        $470,500.00     $516,800.00   20090988459 Quality Loan Service                   Az-09-321055-tc   (714) 573-1965   01/25/2010 12:00 pm
              10/02/2006   Notice of Trustee Sale                                                                               $3,430,000.00    $363,880.00   20090987301 Quality Loan Service                                     (714) 573-1965   01/25/2010 10:00 am
$205,000.00   04/08/2005   Notice of Trustee Sale   Chase Home Finance Llc        (888) 332-3251               03/29/2004        $497,000.00     $531,300.00   20090987977 California Reconveyance                137770az          (714) 573-1965   01/26/2010 02:00 pm
$161,980.00   08/25/2006   Notice of Trustee Sale   Bank Of America               (800) 285-6000   20061135421 08/25/2006        $129,584.00     $126,000.00   20090987676 Recontrust                             09-0156906        (800) 281-8219   01/27/2010 12:00 pm
$262,000.00   07/02/2008   Notice of Trustee Sale   Metlife Home Loans                                         06/26/2008        $347,130.00     $309,000.00   20090985975 Quality Loan Service                   Az-09-321514-rm   (714) 573-1965   01/26/2010 02:00 pm
 $94,800.00   11/30/2001   Notice of Trustee Sale   Bank Of America               (800) 285-6000   20011125492 11/30/2001          $93,335.00    $125,000.00   20090988090 Recontrust                                               (800) 281-8219   01/27/2010 12:00 pm
$263,000.00   09/13/2005   Notice of Trustee Sale   Deutsche Bank                 (212) 250-2500                                 $211,002.00     $167,200.00   20090986930 Old Republic Nat'l Title Insurance C   09-35390          (714) 573-1965   01/26/2010 02:00 pm
$299,900.00   11/30/2005   Notice of Trustee Sale   Household Financial Group     (800) 340-7866               12/13/2006        $333,877.00     $220,100.00   20090987331 Mtc Financial                          Azo859687                          01/26/2010 12:00 pm
$105,155.00   07/11/1995   Notice of Trustee Sale   Chase Home Finance Llc        (888) 332-3251                                 $159,000.00     $199,200.00   20090986711 Michael A Bosco Jr                     09-26332          (602) 255-6000   01/25/2010 10:00 am
 $78,000.00   03/09/1999   Notice of Trustee Sale   Bank Of America               (800) 285-6000                                 $169,500.00     $155,700.00   20090986878 Michael A Bosco Jr                     09-26669          (602) 255-6000   01/25/2010 10:00 am
$139,000.00   09/21/2007   Notice of Trustee Sale   Metlife Home Loans                             20071047933 09/10/2007        $125,100.00     $116,000.00   20090986234 Lawyers Title Insurance                057-009979        (714) 573-1965   01/26/2010 02:00 pm




                                                                                                                                           Page 40
Pre-foreclosure List
                                                                                                                               Maricopa County Week Ending 11/2

$390,000.00   11/10/2005   Notice of Trustee Sale   Wells Fargo Home Mortgage      (866) 234-8271   20050425372 04/04/2005          $446,250.00     $28,980.00    20090987920 Recontrust                                               (800) 281-8219   01/26/2010 02:00 pm
 $38,000.00   08/02/2001   Notice of Trustee Sale   Nationstar Mortgage            (800) 306-9027               06/15/2007           $77,900.00     $58,500.00    20090988524 First American Title                   Az-09-322524-ab   (702) 304-7514   01/25/2010 12:00 pm
$160,000.00   06/27/2008   Notice of Trustee Sale   Phh Mortgage                   (800) 210-8849                                   $157,771.00    $163,300.00    20090986877 Michael A Bosco Jr                     09-26509          (602) 255-6000   01/25/2010 10:00 am
 $65,900.00   01/07/1999   Notice of Trustee Sale   Litton Loan Servicing Lp       (800) 247-9727                                   $134,400.00    $119,500.00    20090986871 Michael A Bosco Jr                     09-26077          (602) 255-6000   01/25/2010 10:00 am
$111,900.00   09/06/2001   Notice of Trustee Sale   Nationstar Mortgage            (800) 306-9027               04/06/2007          $218,500.00    $110,200.00    20090988522 First American Title                   Az-09-322415-ab   (702) 304-7514   01/25/2010 12:00 pm
$230,000.00   02/17/2006   Notice of Trustee Sale   U.s. Bancorp                   (800) 365-7772   20060226882 02/17/2006          $184,000.00    $171,600.00    20090987923 Recontrust                             09-0157508        (800) 281-8219   01/26/2010 02:00 pm
 $88,500.00   10/25/1999   Notice of Trustee Sale   Chase Home Finance Llc         (888) 332-3251                                   $172,500.00    $132,500.00    20090986011 First American Title                   20099073502375    (702) 304-7514   01/26/2010 02:00 pm
$274,208.00   12/06/2005   Notice of Trustee Sale   Provident Funding              (800) 696-8199                                   $276,000.00     $13,520.00    20090988365 Jason Cotton Pa                        7092485                            01/26/2010 12:00 pm
$157,400.00   06/30/2004   Notice of Trustee Sale   Chase Home Finance Llc         (888) 332-3251                                   $157,400.00     $10,960.00    20090988450 Aztec Foreclosure                      09-018777         (602) 222-5711   01/25/2010 11:00 am
$176,000.00   05/24/2006   Notice of Trustee Sale   Carrington Mortgage Services   (714) 969-7600               05/09/2006          $140,800.00    $101,400.00    20090988841 Quality Loan Service                   Az-09-321355-rm   (714) 573-1965   01/26/2010 02:00 pm
$928,500.00   12/14/2006   Notice of Trustee Sale   The Bank Of New York Mellon    (212) 495-1784   20061632075 12/14/2006          $696,375.00    $378,000.00    20090987935 Recontrust                                               (800) 281-8219   01/28/2010 12:00 pm
$110,000.00   10/01/2002   Notice of Trustee Sale   Bank Of America                (800) 285-6000   20080474890 05/29/2008          $178,843.00    $145,800.00    20090988067 Recontrust                                               (800) 281-8219   01/28/2010 12:00 pm
$498,466.00   09/14/2006   Notice of Trustee Sale   Bank Of America                (800) 285-6000   20061225042 09/14/2006          $412,000.00     $23,120.00    20090988412 Recontrust                                               (800) 281-8219   01/28/2010 12:00 pm
$165,000.00   06/24/2003   Notice of Trustee Sale   Bank Of America                (800) 285-6000                                   $245,000.00    $201,200.00    20090987442 Aztec Foreclosure                      09-018599         (602) 222-5711   01/25/2010 11:00 am
$578,500.00   02/14/2006   Notice of Trustee Sale                                                   20060614666 05/05/2006          $496,000.00    $480,300.00    20090988234 Recontrust                                               (800) 281-8219   01/28/2010 12:00 pm
$287,990.00   07/11/2007   Notice of Trustee Sale   U.s. Bancorp                   (800) 365-7772   20070790334 07/11/2007          $273,590.00     $16,900.00    20090988337 Recontrust                             09-0158829        (800) 281-8219   01/28/2010 12:00 pm
 $82,000.00   02/14/2000   Notice of Trustee Sale   Nationstar Mortgage            (800) 306-9027                                   $150,000.00    $144,700.00    20090987969 Cal Western Reconveyance               1246048-08        (800) 546-1531   01/26/2010 02:00 pm
$251,000.00   06/16/2005   Notice of Trustee Sale   Phh Mortgage                   (800) 210-8849                                   $156,000.00    $182,800.00    20090986869 Michael A Bosco Jr                     09-25299          (602) 255-6000   01/25/2010 10:00 am
 $47,000.00   04/15/2005   Notice of Trustee Sale   Long Beach Mortgage                                         04/15/2005           $42,300.00     $74,000.00    20090987917 California Reconveyance                137790az          (714) 573-1965   01/26/2010 02:00 pm
$237,600.00   08/14/2006   Notice of Trustee Sale   The Bank Of New York Mellon    (212) 495-1784   20061081913 08/14/2006          $190,080.00    $180,500.00    20090987465 Recontrust                                               (800) 281-8219   01/28/2010 12:00 pm
$233,900.00   07/18/2006   Notice of Trustee Sale   Bank Of America                (800) 285-6000   20060960082 07/18/2006          $187,120.00     $15,250.00    20090987951 Recontrust                             09-0157522        (800) 281-8219   01/26/2010 02:00 pm
$359,500.00   11/14/2005   Notice of Trustee Sale   Citimortgage, Inc              (800) 695-0935                                   $287,600.00    $206,100.00    20090988445 Michael A Bosco Jr                     09-26199          (602) 255-6000   01/25/2010 10:00 am
$200,000.00   10/25/2005   Notice of Trustee Sale   The Bank Of New York Mellon    (212) 495-1784   20051605162 10/25/2005          $140,000.00    $160,600.00    20090987914 Recontrust                                               (800) 281-8219   01/26/2010 02:00 pm
$273,000.00   11/29/2006   Notice of Trustee Sale   Litton Loan Servicing Lp       (800) 247-9727               11/21/2006          $273,000.00    $180,200.00    20090988469 Quality Loan Service                   Az-09-321555-bl   (714) 573-1965   01/25/2010 12:00 pm
$173,000.00   06/29/1999   Notice of Trustee Sale   Deutsche Bank                  (212) 250-2500   20061627635 12/13/2006          $357,000.00    $224,300.00    20090988116 Recontrust                                               (800) 281-8219   01/27/2010 12:00 pm
$289,674.00   05/05/2006   Notice of Trustee Sale   First Horizon Home Loans       (800) 707-0139   20060613292 05/01/2006          $231,500.00    $187,200.00    20090986230 Lawyers Title Insurance                057-009948        (714) 573-1965   01/26/2010 02:00 pm
$106,900.00   03/15/2002   Notice of Trustee Sale   Metlife Home Loans                                          02/19/2002          $105,248.00    $150,300.00    20090985973 Quality Loan Service                   Az-09-321422-rm   (714) 573-1965   01/26/2010 02:00 pm
 $77,600.00   08/12/2005   Notice of Trustee Sale   Long Beach Mortgage                                         08/12/2005           $65,960.00     $76,000.00    20090988087 California Reconveyance                137762az          (714) 573-1965   05/08/2013 02:00 pm
 $78,000.00   08/12/2005   Notice of Trustee Sale   Long Beach Mortgage                                         08/12/2005           $66,300.00     $76,000.00    20090988100 California Reconveyance                137761az          (714) 573-1965   05/08/2013 02:00 pm
$239,316.00   07/12/2006   Notice of Trustee Sale   Wells Fargo Home Mortgage      (866) 234-8271                                   $191,452.00    $183,000.00    20090986688 Michael A Bosco Jr                     09-48103          (602) 255-6000   01/25/2010 10:00 am
$314,120.00   07/26/2004   Notice of Trustee Sale   Wells Fargo Home Mortgage      (866) 234-8271                                   $285,964.00    $359,100.00    20090988239 First American Title                   20099070806674    (702) 304-7514   01/26/2010 02:00 pm
 $52,500.00   10/20/1995   Notice of Trustee Sale   The Bank Of New York Mellon    (212) 495-1784          2007 06/15/2007          $155,550.00     $67,300.00    20090987601 Recontrust                                               (800) 281-8219   01/26/2010 02:00 pm
$130,500.00   07/25/2008   Notice of Trustee Sale   Bank Of America                (800) 285-6000   20080651950 07/25/2008          $128,082.00    $166,600.00    20090988078 Recontrust                             09-0157964        (800) 281-8219   01/28/2010 12:00 pm
 $35,000.00   04/13/1977   Notice of Trustee Sale   Chase Home Finance Llc         (888) 332-3251                                    $48,000.00    $275,800.00    20090986716 Michael A Bosco Jr                     09-26342          (602) 255-6000   01/25/2010 10:00 am
$415,000.00   10/31/2005   Notice of Trustee Sale   The Bank Of New York Mellon    (212) 495-1784   20051646569 10/31/2005          $332,000.00    $198,700.00    20090988109 Recontrust                                               (800) 281-8219   01/26/2010 02:00 pm
$135,000.00   04/08/2005   Notice of Trustee Sale   Mers                           (800) 646-6377                                   $108,000.00    $131,800.00    20090986954 Quality Loan Service                   Az-sls-090112     (714) 573-1965   01/26/2010 12:00 pm
 $68,500.00   01/21/1999   Notice of Trustee Sale   Deutsche Bank                  (212) 250-2500                                   $135,000.00    $115,100.00    20090986932 Old Republic Nat'l Title Insurance C   09-35378          (714) 573-1965   01/26/2010 02:00 pm
$270,000.00   11/08/2005   Notice of Trustee Sale   U.s. Bancorp                   (800) 365-7772   20051689274 11/08/2005          $216,000.00    $181,700.00    20090988113 Recontrust                             09-0157969        (800) 281-8219   01/27/2010 12:00 pm
$103,000.00   11/26/2003   Notice of Trustee Sale   Nationstar Mortgage            (800) 306-9027               04/16/2007          $158,950.00     $58,500.00    20090988536 Quality Loan Service                   Az-09-322410-ab   (714) 573-1965   01/25/2010 12:00 pm
$105,000.00   10/29/2004   Notice of Trustee Sale   Bank Of America                (800) 285-6000   20060498175 04/13/2006          $143,500.00    $120,700.00    20090988009 Recontrust                                               (800) 281-8219   01/26/2010 02:00 pm
$103,000.00   06/28/2002   Notice of Trustee Sale   Provident Funding              (800) 696-8199                                   $168,000.00    $120,600.00    20090988287 Jason Cotton Pa                        7092480                            01/26/2010 12:00 pm
$152,290.00   06/17/2003   Notice of Trustee Sale   Bank Of America                (800) 285-6000   20071286614 12/06/2007          $254,406.00    $222,200.00    20090988075 Recontrust                                               (800) 281-8219   01/28/2010 12:00 pm
 $34,500.00   05/04/1992   Notice of Trustee Sale   Deutsche Bank                  (212) 250-2500                                   $100,000.00    $126,600.00    20090985317 Old Republic Nat'l Title Insurance C   09-35413          (714) 573-1965   01/26/2010 02:00 pm
$205,000.00   07/11/2006   Notice of Trustee Sale   The Bank Of New York Mellon    (212) 495-1784   20060926869 07/11/2006          $164,000.00    $102,100.00    20090987605 Recontrust                                               (800) 281-8219   01/28/2010 12:00 pm
$182,840.00   10/16/2006   Notice of Trustee Sale   New Century Mortgage           (866) 774-5172          2005                     $144,500.00    $158,200.00    20090985314 Old Republic Nat'l Title Insurance C   09-35399          (714) 573-1965   01/26/2010 02:00 pm
$310,331.00   12/28/2004   Notice of Trustee Sale   Bank Of America                (800) 285-6000   20051348502 09/14/2005          $295,400.00    $237,300.00    20090987659 Recontrust                                               (800) 281-8219   01/26/2010 02:00 pm
$107,500.00   11/23/2004   Notice of Trustee Sale   Chase Home Finance Llc         (888) 332-3251                                   $165,000.00    $126,000.00    20090988456 Aztec Foreclosure                      09-018805         (602) 222-5711   01/25/2010 11:00 am
 $95,000.00   09/09/2002   Notice of Trustee Sale   Hsbc Bank                      (800) 975-4722                                   $159,000.00    $150,600.00    20090986874 Michael A Bosco Jr                     09-26032          (602) 255-6000   01/25/2010 10:00 am
$158,418.00   10/28/1997   Notice of Trustee Sale   Litton Loan Servicing Lp       (800) 247-9727               07/01/2005          $225,600.00    $227,700.00    20090988483 Quality Loan Service                   Az-09-321745-bl   (714) 573-1965   01/25/2010 12:00 pm
$445,000.00   05/18/2007   Notice of Trustee Sale   Citimortgage, Inc              (800) 695-0935               05/15/2007          $356,000.00    $272,100.00    20090986212 Cr Title Service                       To9-55692-az      (714) 573-1965   01/26/2010 02:00 pm
$674,265.00   12/15/2006   Notice of Trustee Sale   The Bank Of New York Mellon    (212) 495-1784   20061638681 12/15/2006          $417,000.00    $400,200.00    20090987618 Recontrust                             09-0156208        (800) 281-8219   01/27/2010 12:00 pm
$145,000.00   06/27/2003   Notice of Trustee Sale   Provident Funding              (800) 696-8199                                   $176,700.00    $183,500.00    20090988271 Jason Cotton Pa                        7092481                            01/26/2010 12:00 pm
$218,000.00   01/13/2000   Notice of Trustee Sale   Washington Mutual                                           07/09/2007          $390,700.00    $347,200.00    20090987730 Quality Loan Service                   Az-09-322487-pj   (714) 573-1965   01/25/2010 12:00 pm
$425,000.00   02/08/2006   Notice of Trustee Sale                                                   20070174777 02/12/2007          $392,000.00    $309,700.00    20090988243 Recontrust                                               (800) 281-8219   01/27/2010 12:00 pm
$300,000.00   01/26/2006   Notice of Trustee Sale   Downey Savings And Loan                                                         $240,000.00    $156,000.00    20090987384 Michael A Bosco Jr                     09-26309          (602) 255-6000   01/25/2010 10:00 am
$452,000.00   10/24/2006   Notice of Trustee Sale   Wells Fargo Home Mortgage      (866) 234-8271   20090175807                     $308,000.00    $288,300.00    20090985315 Old Republic Nat'l Title Insurance C   09-35400          (714) 573-1965   01/26/2010 02:00 pm
$379,000.00   04/26/2006   Notice of Trustee Sale   Aurora Loan Services           (720) 945-3000                 04/24/2006        $303,200.00    $263,000.00    20090987719 Quality Loan Service                   Az-09-322421-pj   (714) 573-1965   01/25/2010 12:00 pm




                                                                                                                                             Page 41
Pre-foreclosure List
                                                                                                                           Maricopa County Week Ending 11/2

 $80,000.00 09/29/2009   Notice of Trustee Sale   Bank Of America                (800) 285-6000   20051026224 07/21/2005        $194,660.00     $160,000.00   20090987468 Recontrust                                   (800) 281-8219   01/28/2010 12:00 pm
            03/26/2007   Notice of Trustee Sale   Bank Of America                (800) 285-6000                                $3,375,000.00    $186,460.00   20090986784 Quality Loan Service       2009-36           (714) 573-1965   01/26/2010 02:00 pm
 $91,000.00 04/11/1994   Notice of Trustee Sale   Deutsche Bank                  (212) 250-2500   20070103448 01/26/2007        $246,400.00     $215,000.00   20090988119 Recontrust                                   (800) 281-8219   01/27/2010 12:00 pm
$250,000.00 07/27/2007   Notice of Trustee Sale   Washington Mutual                                           07/27/2007        $225,000.00     $140,100.00   20090987983 California Reconveyance    137768az          (714) 573-1965   05/08/2013 02:00 pm
$157,970.00 12/12/2003   Notice of Trustee Sale   Litton Loan Servicing Lp       (800) 247-9727               11/20/2006        $572,000.00     $401,300.00   20090988481 Quality Loan Service       Az-09-321743-bl   (714) 573-1965   01/25/2010 12:00 pm
$210,000.00 09/17/2007   Notice of Trustee Sale   Bank Of America                (800) 285-6000   20071029290 09/17/2007        $207,075.00     $129,700.00   20090988001 Recontrust                                   (800) 281-8219   01/28/2010 12:00 pm
$137,000.00 05/18/2005   Notice of Trustee Sale   Bank Of America                (800) 285-6000   20050660348 05/18/2005        $137,000.00     $122,300.00   20090988133 Recontrust                                   (800) 281-8219   01/27/2010 12:00 pm
            06/24/2002   Notice of Trustee Sale   The Bank Of New York Mellon    (212) 495-1784   20070392653 04/03/2007        $650,000.00     $528,500.00   20090988261 Recontrust                                   (800) 281-8219   01/27/2010 12:00 pm
$213,887.00 08/30/2005   Notice of Trustee Sale   The Bank Of New York Mellon    (212) 495-1784   20060958489 07/18/2006        $232,500.00     $220,500.00   20090988218 Recontrust                 09-0158397        (800) 281-8219   01/28/2010 12:00 pm
 $70,670.00 10/06/1989   Notice of Trustee Sale   Midfirst Bank                  (800) 877-1674               03/09/1987          $68,611.00    $149,200.00   20090986317 Quality Loan Service       Az-09-322344-ab   (714) 573-1965   01/25/2010 12:00 pm
$210,500.00 02/02/2005   Notice of Trustee Sale   Citimortgage, Inc              (800) 695-0935               06/15/2007        $289,000.00     $225,700.00   20090986323 Cr Title Service           To9-55650-az      (714) 573-1965   01/26/2010 02:00 pm
            08/20/2004   Notice of Trustee Sale   Bank Of America                (800) 285-6000   20051912077 12/19/2005        $685,000.00     $463,700.00   20090988144 Recontrust                 09-0158384        (800) 281-8219   01/28/2010 12:00 pm
$235,210.00 01/21/2009   Notice of Trustee Sale   Wells Fargo Home Mortgage      (866) 234-8271                                 $231,004.00      $16,270.00   20090986060 First American Title       20099070821235    (702) 304-7514   01/26/2010 02:00 pm
$545,000.00 06/28/2006   Notice of Trustee Sale   Bank Of America                (800) 285-6000                                 $395,000.00      $27,120.00   20090987399 Aztec Foreclosure          09-018590         (602) 222-5711   01/25/2010 11:00 am
$142,840.00 08/29/2003   Notice of Trustee Sale   U.s. Bancorp                   (800) 365-7772                                 $242,250.00     $167,000.00   20090986567 Quality Loan Service       B501937           (714) 573-1965   01/26/2010 12:00 pm
 $29,640.00 11/18/1976   Notice of Trustee Sale   U.s. Bancorp                   (800) 365-7772   20060884600 06/30/2006        $135,000.00     $169,800.00   20090988306 Recontrust                                   (800) 281-8219   01/28/2010 12:00 pm
$159,500.00 11/24/2004   Notice of Trustee Sale   Aurora Loan Services           (720) 945-3000                                 $126,400.00      $12,620.00   20090987495 Cal Western Reconveyance   1245800-14        (800) 546-1531   01/26/2010 02:00 pm
$329,000.00 06/27/2008   Notice of Trustee Sale   Bank Of America                (800) 285-6000   20080573053 06/27/2008        $312,550.00     $335,100.00   20090987672 Recontrust                                   (800) 281-8219   01/27/2010 12:00 pm
$229,990.00 12/21/2007   Notice of Trustee Sale   Bank Of America                (800) 285-6000   20071334692 12/21/2007        $226,436.00     $199,200.00   20090988020 Recontrust                 09-0157942        (800) 281-8219   01/28/2010 12:00 pm
$542,000.00 05/11/2007   Notice of Trustee Sale   Deutsche Bank                  (212) 250-2500               05/04/2007        $500,000.00     $335,200.00   20090986706 Quality Loan Service       Az-09-322529-bl   (714) 573-1965   01/26/2010 02:00 pm
$364,866.00 12/28/2005   Notice of Trustee Sale   Wells Fargo Home Mortgage      (866) 234-8271          2009 02/17/2006        $291,850.00     $237,500.00   20090986696 Michael A Bosco Jr         09-46123          (602) 255-6000   01/25/2010 10:00 am
$345,000.00 02/22/2007   Notice of Trustee Sale   Deutsche Bank                  (212) 250-2500                                 $276,000.00     $245,600.00   20090986865 Michael A Bosco Jr         09-25906          (602) 255-6000   01/25/2010 10:00 am
 $92,000.00 10/23/2002   Notice of Trustee Sale   Hsbc Bank                      (800) 975-4722   20060131912 01/30/2006        $160,000.00     $131,500.00   20090988184 Recontrust                                   (800) 281-8219   01/27/2010 12:00 pm
$128,225.00 02/26/2007   Notice of Trustee Sale                                                                                 $102,580.00     $101,000.00   20090987500 Cal Western Reconveyance   1239652-08        (800) 546-1531   01/25/2010 12:00 pm
$113,775.00 05/29/1996   Notice of Trustee Sale   Wells Fargo Home Mortgage      (866) 234-8271               09/26/2005        $351,000.00     $233,100.00   20090988829 Quality Loan Service       Az-09-321354-rm   (714) 573-1965   01/26/2010 02:00 pm
$135,000.00 01/21/2003   Notice of Trustee Sale   Chase Home Finance Llc         (888) 332-3251                                 $166,500.00     $142,100.00   20090988827 Quality Loan Service       7104              (714) 573-1965   01/26/2010 02:00 pm
$125,361.00 11/24/2004   Notice of Trustee Sale   Bank Of America                (800) 285-6000          2004 11/24/2004        $128,056.00     $145,100.00   20090987622 Recontrust                                   (800) 281-8219   01/26/2010 02:00 pm
$103,200.00 01/24/2001   Notice of Trustee Sale   Wells Fargo Home Mortgage      (866) 234-8271                                 $110,197.00       $9,260.00   20090986015 First American Title       20099070821167    (702) 304-7514   01/26/2010 02:00 pm
$122,000.00 06/01/2004   Notice of Trustee Sale   The Bank Of New York Mellon    (212) 495-1784                                   $97,600.00    $162,000.00   20090986867 Michael A Bosco Jr         09-26070          (602) 255-6000   01/25/2010 10:00 am
$199,000.00 06/27/2007   Notice of Trustee Sale   Bank Of America                (800) 285-6000   20070739916 06/27/2007        $199,000.00     $121,100.00   20090987708 Recontrust                                   (800) 281-8219   01/28/2010 12:00 pm
 $92,000.00 07/08/2004   Notice of Trustee Sale   U.s. Bancorp                   (800) 365-7772   20070803203 07/16/2007        $720,000.00     $569,300.00   20090988316 Recontrust                 09-0158414        (800) 281-8219   01/28/2010 12:00 pm
$250,000.00 06/29/2006   Notice of Trustee Sale   Washington Mutual                                           06/27/2006        $200,000.00     $160,800.00   20090987470 Quality Loan Service       Az-09-322488-pj   (714) 573-1965   01/26/2010 12:00 pm
$187,500.00 08/11/2006   Notice of Trustee Sale   Mers                           (800) 646-6377          2005 07/23/2005        $177,600.00     $161,000.00   20090988176 Security Title Agency                        (602) 266-0275   02/02/2010 12:00 pm
$124,900.00 12/15/2000   Notice of Trustee Sale   Chase Home Finance Llc         (888) 332-3251                                 $172,000.00     $176,700.00   20090988815 Quality Loan Service       7104              (714) 573-1965   01/26/2010 02:00 pm
$149,760.00 12/13/2004   Notice of Trustee Sale                                                               03/31/2006        $247,200.00     $169,200.00   20090987365 Mtc Financial              Azo552575                          01/26/2010 12:00 pm
$259,600.00 11/04/2005   Notice of Trustee Sale   Aurora Loan Services           (720) 945-3000                                 $264,000.00     $137,800.00   20090987502 Cal Western Reconveyance   1246107-14        (800) 546-1531   01/26/2010 02:00 pm
$313,855.00 04/20/2006   Notice of Trustee Sale   Bank Of America                (800) 285-6000   20070842499 07/25/2007        $277,400.00     $196,300.00   20090988264 Recontrust                                   (800) 281-8219   01/28/2010 12:00 pm
$183,343.00 03/10/1995   Notice of Trustee Sale   Mers                           (800) 646-6377          2005 08/08/2005        $320,000.00     $363,100.00   20090988173 Security Title Agency                        (602) 266-0275   02/02/2010 12:00 pm
$250,000.00 04/19/2006   Notice of Trustee Sale   U.s. Bancorp                   (800) 365-7772   20060520614 04/19/2006        $237,500.00     $155,600.00   20090988323 Recontrust                                   (800) 281-8219   01/28/2010 12:00 pm
$106,700.00 02/03/2003   Notice of Trustee Sale   The Bank Of New York Mellon    (212) 495-1784   20061377156 10/18/2006        $157,500.00     $130,100.00   20090987505 Recontrust                                   (800) 281-8219   01/28/2010 12:00 pm
$248,000.00 11/12/2004   Notice of Trustee Sale   Bank Of America                (800) 285-6000   20041325290 11/12/2004        $196,000.00     $214,100.00   20090987928 Recontrust                                   (800) 281-8219   01/26/2010 02:00 pm
$184,000.00 09/15/2005   Notice of Trustee Sale   The Bank Of New York Mellon    (212) 495-1784   20051361585 09/15/2005        $147,200.00     $135,100.00   20090987666 Recontrust                                   (800) 281-8219   01/26/2010 02:00 pm
$385,000.00 11/17/2006   Notice of Trustee Sale   Chase Home Finance Llc         (888) 332-3251                                 $308,000.00     $235,000.00   20090986692 Michael A Bosco Jr         09-26196          (602) 255-6000   01/25/2010 10:00 am
$252,310.00 03/07/2006   Notice of Trustee Sale   Provident Funding              (800) 696-8199                                 $258,000.00     $163,100.00   20090988359 Jason Cotton Pa            7092486                            01/26/2010 12:00 pm
$410,558.00 06/22/2006   Notice of Trustee Sale   The Bank Of New York Mellon    (212) 495-1784   20060842259 06/22/2006        $328,446.00     $157,100.00   20090987943 Recontrust                 09-0157520        (800) 281-8219   01/26/2010 02:00 pm
$258,000.00 05/31/2007   Notice of Trustee Sale   Suntrust Mortgage Inc          (800) 786-8787                                 $206,400.00     $185,800.00   20090987334 Aztec Foreclosure          09-018687         (602) 222-5711   01/25/2010 11:00 am
$271,609.00 11/22/2004   Notice of Trustee Sale   Chase Home Finance Llc         (888) 332-3251               06/24/2005        $260,000.00     $160,000.00   20090988070 California Reconveyance    137763az          (714) 573-1965   01/26/2010 02:00 pm
$355,000.00 03/25/2005   Notice of Trustee Sale   First Horizon Home Loans       (800) 707-0139          2005 03/22/2005        $280,800.00     $250,300.00   20090986233 Lawyers Title Insurance    057-009972        (714) 573-1965   01/26/2010 02:00 pm
 $86,860.00 10/23/1996   Notice of Trustee Sale   Provident Funding              (800) 696-8199                                 $177,000.00     $169,200.00   20090988330 Jason Cotton Pa            7092478                            01/26/2010 12:00 pm
$154,030.00 02/12/1999   Notice of Trustee Sale   Bank Of America                (800) 285-6000   20080279147 03/31/2008        $213,000.00     $238,100.00   20090988293 Recontrust                                   (800) 281-8219   01/27/2010 12:00 pm
$166,000.00 12/29/2004   Notice of Trustee Sale   Deutsche Bank                  (212) 250-2500   20061483470 11/13/2006        $224,000.00     $171,700.00   20090988126 Recontrust                                   (800) 281-8219   01/28/2010 12:00 pm
$185,000.00 06/14/2004   Notice of Trustee Sale   Citimortgage, Inc              (800) 695-0935                                 $148,000.00     $218,100.00   20090988440 Michael A Bosco Jr         09-26331          (602) 255-6000   01/25/2010 10:00 am
$202,000.00 12/09/2005   Notice of Trustee Sale   Bank Of America                (800) 285-6000   20070235685 02/27/2007        $184,000.00     $147,000.00   20090987741 Recontrust                                   (800) 281-8219   01/27/2010 12:00 pm
$399,990.00 03/19/2007   Notice of Trustee Sale   Hsbc Bank                      (800) 975-4722   20070756973 07/02/2007        $419,000.00     $309,500.00   20090988277 Recontrust                                   (800) 281-8219   01/27/2010 12:00 pm
 $98,500.00 11/30/1998   Notice of Trustee Sale   Carrington Mortgage Services   (714) 969-7600               09/06/2006        $159,250.00     $158,600.00   20090988831 Quality Loan Service       Az-09-321673-rm   (714) 573-1965   01/26/2010 02:00 pm
$135,349.00 12/08/1997   Notice of Trustee Sale   Citimortgage, Inc              (800) 695-0935                                 $264,000.00     $218,500.00   20090988452 Michael A Bosco Jr         09-26344          (602) 255-6000   01/25/2010 10:00 am
$183,000.00 04/20/2005   Notice of Trustee Sale   Deutsche Bank                  (212) 250-2500               04/13/2005        $143,200.00     $139,200.00   20090988769 Quality Loan Service       Az-09-321070-tc   (714) 573-1965   01/25/2010 12:00 pm




                                                                                                                                          Page 42
Pre-foreclosure List
                                                                                                                                 Maricopa County Week Ending 11/2

  $157,500.00   01/07/2004   Notice of Trustee Sale   Bank Of America                  (800) 285-6000                                 $261,000.00      $192,300.00   20090987075 Christopher Charles Rebhuhn            03-sf-85777                        01/26/2010 02:00 pm
  $407,000.00   10/14/1997   Notice of Trustee Sale   The Bank Of New York Mellon      (212) 495-1784   20060945826 07/14/2006        $720,000.00      $728,000.00   20090988202 Recontrust                             09-0158391        (800) 281-8219   01/28/2010 12:00 pm
  $135,000.00   08/20/2001   Notice of Trustee Sale   Hsbc Bank                        (800) 975-4722   20060377045 03/21/2006        $240,000.00      $200,000.00   20090988327 Recontrust                                               (800) 281-8219   01/28/2010 12:00 pm
  $198,945.00   07/26/2005   Notice of Trustee Sale   Bank Of America                  (800) 285-6000   20070968173 08/29/2007        $211,932.00      $221,000.00   20090988053 Recontrust                                               (800) 281-8219   01/28/2010 12:00 pm
  $289,990.00   11/15/2006   Notice of Trustee Sale   Deutsche Bank                    (212) 250-2500   20061502344 11/15/2006        $231,990.00      $151,700.00   20090987705 Recontrust                                               (800) 281-8219   01/26/2010 02:00 pm
  $147,500.00   08/19/2004   Notice of Trustee Sale   Bank Of America                  (800) 285-6000   20061155724 08/30/2006        $205,600.00      $150,100.00   20090988029 Recontrust                             09-0157936        (800) 281-8219   01/26/2010 02:00 pm
$1,050,000.00   10/25/2005   Notice of Trustee Sale                                                     20051600285 10/25/2005        $840,000.00      $817,200.00   20090988157 Recontrust                                               (800) 281-8219   01/28/2010 12:00 pm
  $203,820.00   03/21/2002   Notice of Trustee Sale   Bank Of America                  (800) 285-6000   20071166758 10/29/2007        $233,000.00      $261,600.00   20090987908 Recontrust                                               (800) 281-8219   01/27/2010 12:00 pm
  $102,730.00   02/17/1999   Notice of Trustee Sale                                                                                   $141,000.00      $143,800.00   20090987378 Mtc Financial                          Azo969684                          01/26/2010 12:00 pm
  $188,500.00   12/30/2004   Notice of Trustee Sale   Saxon Mortgage Services          (800) 594-8422                                 $150,800.00      $177,800.00   20090986929 Old Republic Nat'l Title Insurance C   09-35403          (714) 573-1965   01/26/2010 02:00 pm
  $236,900.00   11/21/2003   Notice of Trustee Sale   Downey Savings And Loan                                                         $380,000.00      $264,700.00   20090987336 Michael A Bosco Jr                     09-26310          (602) 255-6000   01/25/2010 10:00 am
  $257,000.00   10/31/2006   Notice of Trustee Sale   Washington Mutual                                             10/31/2006        $205,600.00      $174,800.00   20090987925 California Reconveyance                137793az          (714) 573-1965   05/08/2013 02:00 pm
   $84,000.00   11/15/2005   Notice of Trustee Sale   Select Portfolio Servicing Inc   (904) 722-7000               11/04/2005        $144,400.00       $94,100.00   20090988489 Quality Loan Service                   Az-09-321968-rt   (714) 573-1965   01/25/2010 12:00 pm
  $186,900.00   08/05/2002   Notice of Trustee Sale   Chase Home Finance Llc           (888) 332-3251                                 $188,600.00       $16,800.00   20090986701 Michael A Bosco Jr                     09-23016          (602) 255-6000   01/25/2010 10:00 am
  $325,000.00   07/20/2005   Notice of Trustee Sale   Deutsche Bank                    (212) 250-2500   20060373757 03/20/2006        $361,000.00      $223,300.00   20090988198 Recontrust                                               (800) 281-8219   01/28/2010 12:00 pm
  $213,804.00   06/30/1997   Notice of Trustee Sale   Wells Fargo Home Mortgage        (866) 234-8271   20061583164 12/04/2006        $476,000.00      $397,800.00   20090988334 Recontrust                                               (800) 281-8219   01/28/2010 12:00 pm
$1,700,000.00   06/28/2007   Notice of Trustee Sale   Ing Bank Fsb                     (800) 464-3473                                $1,360,000.00   $1,222,600.00   20090987491 Cal Western Reconveyance               1217545-08        (800) 546-1531   01/26/2010 02:00 pm
                09/13/2005   Notice of Trustee Sale   Mers                             (800) 646-6377          2005 08/12/2005        $125,000.00       $11,070.00   20090988204 Security Title Agency                                    (602) 266-0275   02/02/2010 12:00 pm
 $185,000.00    08/05/2005   Notice of Trustee Sale   Carrington Mortgage Services     (714) 969-7600               07/21/2005        $148,000.00       $74,700.00   20090988819 Quality Loan Service                   Az-09-321025-rm   (714) 573-1965   01/26/2010 02:00 pm
 $220,000.00    04/30/2001   Notice of Trustee Sale   Long Beach Mortgage                                           04/30/2001        $176,000.00      $436,600.00   20090988122 California Reconveyance                137759az          (714) 573-1965   01/26/2010 02:00 pm
 $175,000.00    11/29/2005   Notice of Trustee Sale   The Bank Of New York Mellon      (212) 495-1784   20051801471 11/29/2005        $140,000.00      $125,000.00   20090988167 Recontrust                                               (800) 281-8219   01/27/2010 12:00 pm
 $193,319.00    09/11/2006   Notice of Trustee Sale   Hsbc Bank                        (800) 975-4722          2006 01/31/2006        $273,000.00      $253,000.00   20090987608 Recontrust                                               (800) 281-8219   01/28/2010 12:00 pm
 $562,500.00    01/19/2007   Notice of Trustee Sale   National City Mortgage           (800) 822-5626                                $1,920,000.00     $669,000.00   20090986863 Michael A Bosco Jr                     09-25709          (602) 255-6000   01/25/2010 10:00 am
 $236,941.00    05/24/2006   Notice of Trustee Sale   Citimortgage, Inc                (800) 695-0935               05/17/2006        $233,200.00      $168,200.00   20090986104 Cr Title Service                       To9-55688-az      (714) 573-1965   01/26/2010 02:00 pm
 $230,000.00    05/19/2008   Notice of Trustee Sale   Bank Of America                  (800) 285-6000          2008 05/19/2008        $226,446.00       $53,500.00   20090988005 Recontrust                                               (800) 281-8219   01/26/2010 02:00 pm
 $100,000.00    12/13/2002   Notice of Trustee Sale   Mers                             (800) 646-6377          2006 10/16/2006        $115,000.00      $114,000.00   20090983945 Security Title Agency                                    (602) 266-0275   01/29/2010 12:00 pm
 $145,000.00    09/12/2005   Notice of Trustee Sale   Hsbc Bank                        (800) 975-4722   20070137901 02/02/2007        $148,800.00      $121,300.00   20090984447 Recontrust                                               (800) 281-8219   01/24/2010 02:00 pm
 $165,000.00    05/23/2003   Notice of Trustee Sale   Chase Home Finance Llc           (888) 332-3251                                 $202,000.00      $197,800.00   20090982774 Michael A Bosco Jr                     09-26240          (602) 255-6000   01/22/2010 10:00 am
  $35,000.00    08/10/1990   Notice of Trustee Sale   Mers                             (800) 646-6377          2006 11/27/2006        $367,000.00       $84,073.00   20090983950 Security Title Agency                                    (602) 266-0275   01/29/2010 12:00 pm
 $269,900.00    12/19/2005   Notice of Trustee Sale   Citimortgage, Inc                (800) 695-0935                                 $215,920.00      $168,000.00   20090984580 Michael A Bosco Jr                     09-26173          (602) 255-6000   01/22/2010 10:00 am
 $208,341.00    10/14/2005   Notice of Trustee Sale   Citimortgage, Inc                (800) 695-0935                                 $320,000.00      $313,500.00   20090984588 Michael A Bosco Jr                     09-26177          (602) 255-6000   01/22/2010 10:00 am
  $96,100.00    05/01/1995   Notice of Trustee Sale   Beneficial Mortgage Co           (888) 223-0555               08/28/2007        $190,750.00      $195,300.00   20090983371 Mtc Financial                          Azob59638                          01/25/2010 12:00 pm
 $305,000.00    01/25/2006   Notice of Trustee Sale   Chase Home Finance Llc           (888) 332-3251                                 $244,000.00      $195,500.00   20090982990 Michael A Bosco Jr                     09-26214          (602) 255-6000   01/22/2010 10:00 am
 $255,000.00    08/23/2001   Notice of Trustee Sale   Citimortgage, Inc                (800) 695-0935                                 $272,800.00      $324,100.00   20090984595 Michael A Bosco Jr                     09-26197          (602) 255-6000   01/22/2010 10:00 am
 $237,000.00    04/04/2005   Notice of Trustee Sale   The Bank Of New York Mellon      (212) 495-1784   20070376994 03/30/2007        $320,000.00      $208,800.00   20090984290 Recontrust                                               (800) 281-8219   01/27/2010 12:00 pm
 $258,000.00    10/06/2006   Notice of Trustee Sale   Deutsche Bank                    (212) 250-2500                                 $258,000.00      $127,500.00   20090984132 Michael A Bosco Jr                     08-08141          (602) 255-6000   01/22/2010 10:00 am
 $136,500.00    12/30/2004   Notice of Trustee Sale   Bank Of America                  (800) 285-6000               12/30/2004        $122,850.00      $146,200.00   20090984477 Recontrust                                               (800) 281-8219   01/24/2010 02:00 pm
 $137,500.00    10/12/2000   Notice of Trustee Sale                                                                 02/13/2006        $199,200.00      $189,100.00   20090983372 Mtc Financial                          Azo559608                          01/25/2010 12:00 pm
 $285,540.00    05/29/2007   Notice of Trustee Sale   Suntrust Mortgage Inc            (800) 786-8787                                 $299,640.00      $212,100.00   20090983370 Aztec Foreclosure                      09-018660         (602) 222-5711   01/24/2010 02:00 pm
 $285,000.00    10/04/2005   Notice of Trustee Sale   First Horizon Home Loans         (800) 707-0139   20071127006 10/09/2007        $277,000.00      $184,500.00   20090984089 Lawyers Title Insurance                057-009971        (714) 573-1965   01/24/2010 02:00 pm
 $142,500.00    02/28/2000   Notice of Trustee Sale   Chase Home Finance Llc           (888) 332-3251                                 $223,000.00      $215,500.00   20090982769 Michael A Bosco Jr                     09-26211          (602) 255-6000   01/22/2010 10:00 am
                08/11/2003   Notice of Trustee Sale   First Horizon Home Loans         (800) 707-0139   20050795169 06/03/2005        $127,000.00      $215,200.00   20090984076 Lawyers Title Insurance                057-009957        (714) 573-1965   01/24/2010 02:00 pm
$1,100,000.00   11/04/2005   Notice of Trustee Sale   Mers                             (800) 646-6377                                $2,400,190.00     $317,000.00   20090983667 Quality Loan Service                   556076032         (714) 573-1965   01/24/2010 12:00 pm
  $284,044.00   11/17/2006   Notice of Trustee Sale   Bank Of America                  (800) 285-6000                                        $5.00     $183,200.00   20090983669 Aztec Foreclosure                      09-018677         (602) 222-5711   01/22/2010 11:00 am
  $350,000.00   05/30/2006   Notice of Trustee Sale   Bank Of America                  (800) 285-6000   20060727742 05/30/2006        $280,000.00      $226,700.00   20090984352 Recontrust                                               (800) 281-8219   01/26/2010 12:00 pm
  $228,316.00   12/26/2006   Notice of Trustee Sale   Aurora Loan Services             (720) 945-3000                                 $182,650.00      $174,300.00   20090983702 Cal Western Reconveyance               1245778-14        (800) 546-1531   01/24/2010 02:00 pm
  $122,500.00   04/14/2005   Notice of Trustee Sale   Mers                             (800) 646-6377                                $1,192,000.00     $702,600.00   20090983663 Quality Loan Service                   B502201           (714) 573-1965   01/24/2010 12:00 pm
  $179,262.00   07/21/2005   Notice of Trustee Sale   Bank Of America                  (800) 285-6000                                 $100,000.00      $150,100.00   20090984671 Aztec Foreclosure                      09-018623         (602) 222-5711   01/22/2010 11:00 am
  $269,360.00   09/17/1998   Notice of Trustee Sale                                                                                   $500,000.00      $314,500.00   20090983717 Cal Western Reconveyance               1239617-08        (800) 546-1531   01/25/2010 12:00 pm
  $205,060.00   08/06/2001   Notice of Trustee Sale   Chase Home Finance Llc           (888) 332-3251                                 $240,000.00      $268,200.00   20090982795 Michael A Bosco Jr                     09-26269          (602) 255-6000   01/22/2010 10:00 am
  $149,000.00   08/26/2004   Notice of Trustee Sale                                                                                   $165,700.00      $151,600.00   20090983926 Aztec Foreclosure                      09-018412         (602) 222-5711   01/22/2010 11:00 am
  $172,701.00   08/26/2005   Notice of Trustee Sale   Chase Home Finance Llc           (888) 332-3251                                 $138,160.00       $89,000.00   20090979357 Michael A Bosco Jr                     09-26096          (602) 255-6000   01/21/2010 10:00 am
  $158,960.00   08/19/1998   Notice of Trustee Sale   Bank Of America                  (800) 285-6000          2008 02/26/2008        $236,250.00      $249,500.00   20090984441 Recontrust                             09-0156246        (800) 281-8219   01/27/2010 12:00 pm
   $75,950.00   07/08/1985   Notice of Trustee Sale   The Bank Of New York Mellon      (212) 495-1784          2005 12/23/2005        $237,750.00      $231,100.00   20090984519 Recontrust                                               (800) 281-8219   01/24/2010 02:00 pm
  $175,000.00   04/14/2005   Notice of Trustee Sale   Americas Servicing Company                                                      $140,000.00      $129,800.00   20090982973 Michael A Bosco Jr                     09-49026          (602) 255-6000   01/22/2010 10:00 am
   $97,000.00   03/02/1998   Notice of Trustee Sale   Wells Fargo Home Mortgage        (866) 234-8271                                   $86,250.00     $173,600.00   20090982666 Michael A Bosco Jr                     09-49006          (602) 255-6000   01/22/2010 10:00 am
  $180,000.00   11/24/2004   Notice of Trustee Sale   Wells Fargo Home Mortgage        (866) 234-8271                                 $183,000.00      $191,500.00   20090982609 Michael A Bosco Jr                     09-48074          (602) 255-6000   01/22/2010 10:00 am




                                                                                                                                                Page 43
Pre-foreclosure List
                                                                                                                            Maricopa County Week Ending 11/2

$124,000.00   11/15/2002   Notice of Trustee Sale   Mers                          (800) 646-6377          2006 07/26/2006        $272,000.00     $27,200.00    20090983928 Security Title Agency                         (602) 266-0275   01/29/2010 12:00 pm
$262,080.00   11/19/2003   Notice of Trustee Sale   Mers                          (800) 646-6377          2006 01/04/2006        $382,500.00    $340,000.00    20090983904 Security Title Agency                         (602) 266-0275   01/29/2010 12:00 pm
$218,000.00   12/23/2005   Notice of Trustee Sale   Wells Fargo Home Mortgage     (866) 234-8271                                 $174,400.00    $155,300.00    20090982842 Michael A Bosco Jr          09-49045          (602) 255-6000   01/22/2010 10:00 am
$114,900.00   04/18/2003   Notice of Trustee Sale   Chase Home Finance Llc        (888) 332-3251                                 $106,857.00    $131,200.00    20090982814 Michael A Bosco Jr          09-26273          (602) 255-6000   01/22/2010 10:00 am
$144,000.00   04/20/2005   Notice of Trustee Sale   Bank Of America               (800) 285-6000   20070242324 02/28/2007        $161,000.00    $161,500.00    20090984403 Recontrust                                    (800) 281-8219   01/26/2010 12:00 pm
$120,600.00   06/27/2001   Notice of Trustee Sale   Wells Fargo Home Mortgage     (866) 234-8271                                 $192,757.00    $149,000.00    20090982392 First American Title        20099070821377    (702) 304-7514   01/24/2010 02:00 pm
$215,000.00   03/03/2006   Notice of Trustee Sale   Bank Of America               (800) 285-6000   20070440889 04/16/2007        $265,500.00    $172,000.00    20090979444 Recontrust                  09-0155362        (800) 281-8219   01/26/2010 12:00 pm
$367,575.00   03/03/2005   Notice of Trustee Sale   Chase Home Finance Llc        (888) 332-3251                                 $294,060.00    $370,600.00    20090982732 Michael A Bosco Jr          09-26091          (602) 255-6000   01/22/2010 10:00 am
$315,000.00   07/17/2006   Notice of Trustee Sale   Chase Home Finance Llc        (888) 332-3251                                 $222,600.00    $199,100.00    20090982785 Michael A Bosco Jr          09-26247          (602) 255-6000   01/22/2010 10:00 am
$470,000.00   04/20/2006   Notice of Trustee Sale   Citimortgage, Inc             (800) 695-0935               04/10/2006        $376,000.00    $325,000.00    20090982207 Cr Title Service            T09-55687-az      (714) 573-1965   01/24/2010 02:00 pm
$282,990.00   03/26/2007   Notice of Trustee Sale   The Bank Of New York Mellon   (212) 495-1784   20070352410 03/26/2007        $246,350.00    $207,800.00    20090984365 Recontrust                                    (800) 281-8219   01/27/2010 12:00 pm
$179,900.00   06/16/2006   Notice of Trustee Sale   Deutsche Bank                 (212) 250-2500                                 $144,000.00    $124,700.00    20090980980 Fidelity National Title     09-03763-3        (714) 573-1965   01/27/2010 12:00 pm
$307,000.00   12/01/2006   Notice of Trustee Sale   Chase Home Finance Llc        (888) 332-3251                                 $207,000.00    $214,600.00    20090983011 Michael A Bosco Jr          09-26274          (602) 255-6000   01/22/2010 10:00 am
$185,250.00   09/07/2007   Notice of Trustee Sale                                                              09/07/2007        $185,250.00     $80,200.00    20090983384 Mtc Financial               Azo559610                          01/25/2010 12:00 pm
$187,868.00   05/23/2005   Notice of Trustee Sale   Bank Of America               (800) 285-6000   20070621170 05/30/2007        $200,000.00    $179,600.00    20090984269 Recontrust                                    (800) 281-8219   01/26/2010 12:00 pm
$210,000.00   12/05/2005   Notice of Trustee Sale   Chase Home Finance Llc        (888) 332-3251                                 $168,000.00    $140,500.00    20090982380 First American Title        20099019204320    (702) 304-7514   01/24/2010 02:00 pm
$191,394.00   11/22/2005   Notice of Trustee Sale   Mers                          (800) 646-6377          2007 01/10/2007        $195,000.00    $161,300.00    20090983856 Security Title Agency                         (602) 266-0275   01/29/2010 12:00 pm
$559,800.00   12/08/2005   Notice of Trustee Sale   The Bank Of New York Mellon   (212) 495-1784   20051860972 12/08/2005        $391,300.00    $314,800.00    20090984320 Recontrust                                    (800) 281-8219   01/26/2010 12:00 pm
$320,000.00   08/30/2007   Notice of Trustee Sale   Chase Home Finance Llc        (888) 332-3251                                 $304,000.00    $257,600.00    20090982994 Michael A Bosco Jr          09-26246          (602) 255-6000   01/22/2010 10:00 am
$231,000.00   10/29/2004   Notice of Trustee Sale   Washington Mutual                                          07/03/2007        $315,000.00    $266,100.00    20090982470 California Reconveyance     137741az          (714) 573-1965   01/24/2010 02:00 pm
$206,000.00   04/14/2006   Notice of Trustee Sale   Litton Loan Servicing Lp      (800) 247-9727               04/11/2006        $220,000.00    $197,700.00    20090979834 Quality Loan Service        Az-09-321240-bl   (714) 573-1965   01/21/2010 12:00 pm
 $96,200.00   04/02/1997   Notice of Trustee Sale   Wells Fargo Home Mortgage     (866) 234-8271                                 $138,000.00    $151,500.00    20090984107 Michael A Bosco Jr          09-25889          (602) 255-6000   01/22/2010 10:00 am
$248,218.00   03/25/2005   Notice of Trustee Sale   Bank Of America               (800) 285-6000   20080107237 02/06/2008        $236,000.00    $209,300.00    20090984306 Recontrust                                    (800) 281-8219   01/27/2010 12:00 pm
$201,760.00   02/20/2008   Notice of Trustee Sale   Chase Home Finance Llc        (888) 332-3251                                 $198,600.00     $29,500.00    20090982073 First American Title        20099073502487    (702) 304-7514   01/24/2010 02:00 pm
$249,000.00   06/13/2005   Notice of Trustee Sale   Deutsche Bank                 (212) 250-2500   20061060972 08/09/2006        $240,000.00    $209,300.00    20090984513 Recontrust                                    (800) 281-8219   01/24/2010 02:00 pm
$947,157.00   04/30/2007   Notice of Trustee Sale   U.s. Bancorp                  (800) 365-7772                                 $757,700.00    $596,000.00    20090983665 Quality Loan Service        B502124           (714) 573-1965   01/24/2010 12:00 pm
$280,607.00   03/30/2006   Notice of Trustee Sale   The Bank Of New York Mellon   (212) 495-1784   20060430753 03/30/2006        $224,485.00    $180,100.00    20090984263 Recontrust                                    (800) 281-8219   01/26/2010 12:00 pm
$247,311.00   12/12/2007   Notice of Trustee Sale   Citimortgage, Inc             (800) 695-0935               12/06/2007        $222,550.00    $183,000.00    20090982225 Cr Title Service            To9-55644-az      (714) 573-1965   01/24/2010 02:00 pm
$134,000.00   07/01/1996   Notice of Trustee Sale   Bank Of America               (800) 285-6000          2007 11/05/2007        $240,000.00    $212,600.00    20090984474 Recontrust                                    (800) 281-8219   01/27/2010 12:00 pm
$160,950.00   11/02/2000   Notice of Trustee Sale   Deutsche Bank                 (212) 250-2500          2006 05/31/2006        $303,000.00    $201,500.00    20090984251 Recontrust                                    (800) 281-8219   01/24/2010 02:00 pm
$165,681.00   07/15/2004   Notice of Trustee Sale   Hsbc Bank                     (800) 975-4722                                 $248,000.00    $197,700.00    20090983921 Aztec Foreclosure           09-018451         (602) 222-5711   01/22/2010 11:00 am
$185,000.00   06/27/2005   Notice of Trustee Sale   Citimortgage, Inc             (800) 695-0935                                 $148,000.00    $142,700.00    20090984591 Michael A Bosco Jr          09-26210          (602) 255-6000   01/22/2010 10:00 am
 $78,000.00   12/29/1994   Notice of Trustee Sale   Metlife Home Loans                                         07/11/2008        $183,207.00    $147,300.00    20090983336 Quality Loan Service        Az-09-321517-rm   (714) 573-1965   01/24/2010 02:00 pm
$240,000.00   01/05/2007   Notice of Trustee Sale   Mers                          (800) 646-6377          2007 12/20/2006        $192,000.00    $151,800.00    20090983880 Executive Trustee Service                     (714) 730-2727   01/29/2010 12:00 pm
 $75,000.00   11/30/2001   Notice of Trustee Sale   Citimortgage, Inc             (800) 695-0935                                 $233,000.00    $335,600.00    20090984584 Michael A Bosco Jr          09-26175          (602) 255-6000   01/22/2010 10:00 am
 $21,000.00   09/26/1986   Notice of Trustee Sale   Wells Fargo Home Mortgage     (866) 234-8271                                 $444,900.00    $392,700.00    20090978346 First American Title        20099070808028    (702) 304-7514   01/23/2010 02:00 pm
$350,000.00   12/13/2006   Notice of Trustee Sale   Aurora Loan Services          (720) 945-3000                                 $350,000.00    $268,100.00    20090983700 Cal Western Reconveyance    1245777-14        (800) 546-1531   01/24/2010 02:00 pm
$138,500.00   11/10/2003   Notice of Trustee Sale   Mers                          (800) 646-6377          2006 12/18/2006        $198,000.00    $168,500.00    20090983947 Security Title Agency                         (602) 266-0275   01/29/2010 12:00 pm
$219,250.00   01/19/2006   Notice of Trustee Sale   The Bank Of New York Mellon   (212) 495-1784   20060081684 01/19/2006        $175,400.00    $142,300.00    20090984323 Recontrust                                    (800) 281-8219   01/26/2010 12:00 pm
$144,900.00   07/07/2000   Notice of Trustee Sale   Chase Home Finance Llc        (888) 332-3251                                 $114,251.00    $188,300.00    20090982782 Michael A Bosco Jr          09-26242          (602) 255-6000   01/22/2010 10:00 am
$688,760.00   09/28/2006   Notice of Trustee Sale   The Bank Of New York Mellon   (212) 495-1784   20061287467 09/28/2006        $580,400.00    $444,700.00    20090984309 Recontrust                                    (800) 281-8219   01/26/2010 12:00 pm
$115,000.00   10/23/1998   Notice of Trustee Sale   Citimortgage, Inc             (800) 695-0935                                 $180,000.00    $173,200.00    20090984602 Michael A Bosco Jr          09-26198          (602) 255-6000   01/22/2010 10:00 am
$251,048.00   09/10/2007   Notice of Trustee Sale   Chase Home Finance Llc        (888) 332-3251                                 $251,048.00    $193,200.00    20090982830 Michael A Bosco Jr          09-26433          (602) 255-6000   01/22/2010 10:00 am
$189,000.00   11/03/2005   Notice of Trustee Sale   Mers                          (800) 646-6377          2008 01/24/2008        $192,700.00    $169,800.00    20090979900 Executive Trustee Service                     (714) 730-2727   01/28/2010 12:00 pm
$237,000.00   10/06/2006   Notice of Trustee Sale   Bank Of America               (800) 285-6000   20061327737 10/06/2006        $180,000.00    $171,700.00    20090984432 Recontrust                                    (800) 281-8219   01/26/2010 12:00 pm
$115,000.00   11/21/2006   Notice of Trustee Sale   Chase Home Finance Llc        (888) 332-3251                                  $92,000.00     $86,000.00    20090982672 Michael A Bosco Jr          09-25916          (602) 255-6000   01/22/2010 10:00 am
$315,190.00   04/27/2005   Notice of Trustee Sale   Chase Home Finance Llc        (888) 332-3251                                 $252,152.00    $293,200.00    20090982735 Michael A Bosco Jr          09-26093          (602) 255-6000   01/22/2010 10:00 am
 $45,000.00   10/27/2004   Notice of Trustee Sale   Bank Of America               (800) 285-6000                                  $36,000.00     $48,500.00    20090982627 Michael A Bosco Jr          09-48094          (602) 255-6000   01/22/2010 10:00 am
 $45,000.00   10/27/2004   Notice of Trustee Sale   Bank Of America               (800) 285-6000                                  $36,000.00     $47,500.00    20090982617 Michael A Bosco Jr          09-48093          (602) 255-6000   01/22/2010 10:00 am
$340,950.00   09/12/2005   Notice of Trustee Sale   Wells Fargo Home Mortgage     (866) 234-8271                                 $306,855.00    $258,500.00    20090982386 First American Title        20099070821353    (702) 304-7514   01/24/2010 02:00 pm
$227,000.00   09/14/2004   Notice of Trustee Sale   Chase Home Finance Llc        (888) 332-3251               10/01/2007        $269,970.00    $125,700.00    20090983294 California Reconveyance     137755az          (714) 573-1965   01/24/2010 02:00 pm
$372,500.00   09/10/2007   Notice of Trustee Sale   Bank Of America               (800) 285-6000   20080314044 04/09/2008        $265,000.00    $312,600.00    20090984275 Recontrust                  09-0156250        (800) 281-8219   01/27/2010 12:00 pm
$244,900.00   06/02/2006   Notice of Trustee Sale   Litton Loan Servicing Lp      (800) 247-9727               05/24/2006        $195,920.00    $167,600.00    20090979848 Quality Loan Service        Az-09-321255-bl   (714) 573-1965   01/21/2010 12:00 pm
$155,000.00   06/14/1994   Notice of Trustee Sale   Chase Home Finance Llc        (888) 332-3251                                 $348,500.00    $304,700.00    20090982981 Michael A Bosco Jr          09-26213          (602) 255-6000   01/22/2010 10:00 am
$199,880.00   08/21/1995   Notice of Trustee Sale                                                                                $392,000.00    $321,300.00    20090981114 Fidelity National Title     09-05851-6        (714) 573-1965   01/21/2010 12:00 pm
$382,047.00   02/28/2007   Notice of Trustee Sale   The Bank Of New York Mellon   (212) 495-1784   20070244362 02/28/2007        $373,300.00    $253,600.00    20090984424 Recontrust                                    (800) 281-8219   01/26/2010 12:00 pm
$200,900.00   09/29/2004   Notice of Trustee Sale   Citimortgage, Inc             (800) 695-0935                                 $190,850.00    $221,000.00    20090984568 Michael A Bosco Jr          09-26170          (602) 255-6000   01/22/2010 10:00 am




                                                                                                                                          Page 44
Pre-foreclosure List
                                                                                                                              Maricopa County Week Ending 11/2

$179,900.00   12/07/2005   Notice of Trustee Sale   Americas Servicing Company                                                     $143,920.00      $149,500.00   20090982601 Michael A Bosco Jr                     09-47219          (602) 255-6000   01/22/2010 10:00 am
$280,000.00   07/20/2005   Notice of Trustee Sale   Chase Home Finance Llc        (888) 332-3251                                   $266,000.00      $196,300.00   20090982810 Michael A Bosco Jr                     09-26272          (602) 255-6000   01/22/2010 10:00 am
$295,000.00   01/11/2006   Notice of Trustee Sale   Phh Mortgage                  (800) 210-8849                                   $300,000.00       $16,910.00   20090979893 Aztec Foreclosure                      09-018578         (602) 222-5711   01/21/2010 11:00 am
$447,466.00   11/01/2005   Notice of Trustee Sale   Chase Home Finance Llc        (888) 332-3251                                   $335,599.00      $233,300.00   20090982709 Michael A Bosco Jr                     09-26040          (602) 255-6000   01/22/2010 10:00 am
$324,900.00   10/03/2005   Notice of Trustee Sale   The Bank Of New York Mellon   (212) 495-1784   20051465056 10/03/2005          $259,920.00      $273,100.00   20090984524 Recontrust                                               (800) 281-8219   01/24/2010 02:00 pm
$167,000.00   05/31/2007   Notice of Trustee Sale   Metlife Home Loans                             20070628022 05/24/2007          $167,000.00      $127,200.00   20090984078 Lawyers Title Insurance                057-009968        (714) 573-1965   01/24/2010 02:00 pm
$151,400.00   12/08/1999   Notice of Trustee Sale   Bank Of America               (800) 285-6000   20080921636 10/27/2008          $164,000.00      $230,300.00   20090984326 Recontrust                                               (800) 281-8219   01/27/2010 12:00 pm
 $94,000.00   03/30/2005   Notice of Trustee Sale   Suntrust Mortgage Inc         (800) 786-8787                                   $115,000.00      $127,500.00   20090980055 Aztec Foreclosure                      09-018628         (602) 222-5711   01/21/2010 11:00 am
$247,350.00   09/17/2003   Notice of Trustee Sale   Citimortgage, Inc             (800) 695-0935                 09/10/2003        $234,950.00      $266,000.00   20090982519 Cr Title Service                       To9-55686-az      (714) 573-1965   01/24/2010 02:00 pm
$240,000.00   07/21/2005   Notice of Trustee Sale   Wells Fargo Home Mortgage     (866) 234-8271                                   $228,000.00      $165,800.00   20090982833 Michael A Bosco Jr                     09-49044          (602) 255-6000   01/22/2010 10:00 am
$307,840.00   06/29/2006   Notice of Trustee Sale   Chase Home Finance Llc        (888) 332-3251                                   $195,000.00       $15,020.00   20090982738 Michael A Bosco Jr                     09-26101          (602) 255-6000   01/22/2010 10:00 am
$227,000.00   02/28/2006   Notice of Trustee Sale   Americas Servicing Company                                                     $181,600.00      $189,300.00   20090982846 Michael A Bosco Jr                     09-49047          (602) 255-6000   01/22/2010 10:00 am
$192,960.00   12/15/2004   Notice of Trustee Sale   The Bank Of New York Mellon   (212) 495-1784   20060373608 03/20/2006          $260,000.00      $186,000.00   20090979294 Recontrust                                               (800) 281-8219   01/26/2010 12:00 pm
$227,000.00   06/10/2005   Notice of Trustee Sale   Chase Home Finance Llc        (888) 332-3251                                   $257,400.00      $182,800.00   20090983682 Quality Loan Service                   B501409           (714) 573-1965   01/24/2010 12:00 pm
$123,500.00   11/22/2002   Notice of Trustee Sale   Wells Fargo Home Mortgage     (866) 234-8271                                   $121,591.00      $156,500.00   20090982817 Michael A Bosco Jr                     09-49039          (602) 255-6000   01/22/2010 10:00 am
$185,000.00   01/05/2001   Notice of Trustee Sale                                                                                 $2,000,000.00   $1,247,000.00   20090983694 Cal Western Reconveyance               1239636-08        (800) 546-1531   01/24/2010 02:00 pm
$165,520.00   02/12/1999   Notice of Trustee Sale   Deutsche Bank                 (212) 250-2500                                   $335,750.00      $286,700.00   20090982722 Old Republic Nat'l Title Insurance C   09-35353          (714) 573-1965   01/24/2010 02:00 pm
 $79,400.00   04/15/1993   Notice of Trustee Sale   Wells Fargo Home Mortgage     (866) 234-8271                                     $83,180.00     $150,700.00   20090982651 Michael A Bosco Jr                     09-48996          (602) 255-6000   01/22/2010 10:00 am
              06/04/2004   Notice of Trustee Sale   The Bank Of New York Mellon   (212) 495-1784   20070014161 01/04/2007          $440,000.00       $30,360.00   20090984429 Recontrust                                               (800) 281-8219   01/26/2010 12:00 pm
$200,000.00   07/20/2006   Notice of Trustee Sale   Phh Mortgage                  (800) 210-8849                                   $160,000.00      $136,300.00   20090979869 Aztec Foreclosure                      09-018657         (602) 222-5711   01/21/2010 11:00 am
$309,997.00   11/28/2005   Notice of Trustee Sale   Bank Of America               (800) 285-6000   20051790705 11/28/2005          $247,997.00      $204,300.00   20090984248 Recontrust                                               (800) 281-8219   01/26/2010 12:00 pm
$225,368.00   12/28/2004   Notice of Trustee Sale   Chase Home Finance Llc        (888) 332-3251                                   $163,000.00      $204,300.00   20090982992 Michael A Bosco Jr                     09-26241          (602) 255-6000   01/22/2010 10:00 am
              05/07/2003   Notice of Trustee Sale   Bank Of America               (800) 285-6000          2007 06/07/2007          $109,200.00      $150,635.00   20090984409 Recontrust                                               (800) 281-8219   01/27/2010 12:00 pm
$221,752.00   02/08/2007   Notice of Trustee Sale   Hsbc Bank                     (800) 975-4722   20070164822 02/08/2007          $177,400.00      $132,300.00   20090984471 Recontrust                                               (800) 281-8219   01/24/2010 02:00 pm
$194,900.00   04/21/2005   Notice of Trustee Sale   Household Financial Group     (800) 340-7866               03/27/2007          $258,471.00      $162,500.00   20090983368 Mtc Financial                          Az0859639                          01/25/2010 12:00 pm
$240,000.00   11/06/2006   Notice of Trustee Sale   Citimortgage, Inc             (800) 695-0935               11/02/2006          $190,000.00      $201,800.00   20090982221 Cr Title Service                       To9-55643-az      (714) 573-1965   01/24/2010 02:00 pm
$188,500.00   05/29/2002   Notice of Trustee Sale   Litton Loan Servicing Lp      (800) 247-9727               11/21/2006          $288,750.00      $178,300.00   20090979844 Quality Loan Service                   Az-09-321246-bl   (714) 573-1965   01/21/2010 12:00 pm
$273,900.00   07/30/2004   Notice of Trustee Sale   Chase Home Finance Llc        (888) 332-3251                                   $340,000.00      $339,500.00   20090982827 Michael A Bosco Jr                     09-25920          (602) 255-6000   01/22/2010 10:00 am
$260,994.00   06/09/2004   Notice of Trustee Sale   Chase Home Finance Llc        (888) 332-3251                                   $363,750.00      $289,200.00   20090982985 Michael A Bosco Jr                     09-26215          (602) 255-6000   01/22/2010 10:00 am
$205,000.00   08/31/2006   Notice of Trustee Sale   Bank Of America               (800) 285-6000   20061164830 08/31/2006          $164,000.00      $135,500.00   20090978498 Recontrust                                               (800) 281-8219   01/25/2010 12:00 pm
$144,900.00   08/17/2005   Notice of Trustee Sale   The Bank Of New York Mellon   (212) 495-1784   20051180775 08/17/2005          $115,050.00      $114,300.00   20090984462 Recontrust                                               (800) 281-8219   01/24/2010 02:00 pm
$136,000.00   11/30/1998   Notice of Trustee Sale   Chase Home Finance Llc        (888) 332-3251                                   $225,000.00      $210,700.00   20090982759 Michael A Bosco Jr                     09-26183          (602) 255-6000   01/22/2010 10:00 am
$235,500.00   01/09/2008   Notice of Trustee Sale   Chase Home Finance Llc        (888) 332-3251                                   $221,350.00      $182,800.00   20090982668 Michael A Bosco Jr                     09-25912          (602) 255-6000   01/22/2010 10:00 am
$650,987.00   11/20/2007   Notice of Trustee Sale   Suntrust Mortgage Inc         (800) 786-8787                                   $417,000.00      $445,700.00   20090983296 Aztec Foreclosure                      09-018650         (602) 222-5711   01/22/2010 11:00 am
$104,420.00   09/10/1999   Notice of Trustee Sale   Household Financial Group     (800) 340-7866                 05/16/2007        $163,351.00       $95,700.00   20090979821 Mtc Financial                          Az0859532                          01/22/2010 12:00 pm
$107,000.00   12/23/2003   Notice of Trustee Sale                                                         2007                                      $103,100.00   20090983814 Quality Loan Service                                     (714) 573-1965   01/27/2010 10:00 am
$182,728.00   02/21/2007   Notice of Trustee Sale   Hsbc Bank                     (800) 975-4722                                   $182,700.00      $127,500.00   20090984117 Michael A Bosco Jr                     09-26074          (602) 255-6000   01/22/2010 10:00 am
$270,500.00   11/16/2005   Notice of Trustee Sale   U.s. Bancorp                  (800) 365-7772   20061329198 10/06/2006          $240,000.00      $147,300.00   20090984465 Recontrust                                               (800) 281-8219   01/24/2010 02:00 pm
$525,000.00   06/08/2005   Notice of Trustee Sale   Citimortgage, Inc             (800) 695-0935                                   $417,000.00      $329,800.00   20090984600 Michael A Bosco Jr                     09-26409          (602) 255-6000   01/22/2010 10:00 am
$303,987.00   09/21/2007   Notice of Trustee Sale                                                                                  $303,987.00      $233,700.00   20090980009 Aztec Foreclosure                      09-018587         (602) 222-5711   01/21/2010 11:00 am
$165,000.00   01/31/2008   Notice of Trustee Sale   Bank Of America               (800) 285-6000                                   $148,500.00      $127,500.00   20090984771 Aztec Foreclosure                      09-018605         (602) 222-5711   01/22/2010 11:00 am
$153,500.00   09/30/2008   Notice of Trustee Sale   Chase Home Finance Llc        (888) 332-3251                                   $156,632.00       $10,900.00   20090984213 Quality Loan Service                   7037              (714) 573-1965   01/24/2010 02:00 pm
$271,000.00   09/24/2007   Notice of Trustee Sale   Chase Home Finance Llc        (888) 332-3251                                   $257,450.00       $14,750.00   20090982764 Michael A Bosco Jr                     09-26205          (602) 255-6000   01/22/2010 10:00 am
$440,000.00   12/12/2005   Notice of Trustee Sale   The Bank Of New York Mellon   (212) 495-1784   20051872332 12/12/2005          $308,000.00      $307,600.00   20090984531 Recontrust                             09-0156900        (800) 281-8219   01/24/2010 02:00 pm
 $59,000.00   08/27/1999   Notice of Trustee Sale   Chase Home Finance Llc        (888) 332-3251                                    $60,700.00      $121,700.00   20090982761 Michael A Bosco Jr                     09-26182          (602) 255-6000   01/22/2010 10:00 am
$282,941.00   05/05/2006   Notice of Trustee Sale   Litton Loan Servicing Lp      (800) 247-9727               05/01/2006          $226,352.00      $212,100.00   20090981640 Quality Loan Service                   Az-09-320865-bl   (714) 573-1965   01/22/2010 12:00 pm
$155,000.00   11/17/2004   Notice of Trustee Sale   Metlife Home Loans                             20041347421 11/05/2004          $124,000.00      $171,600.00   20090984090 Lawyers Title Insurance                057-009954        (714) 573-1965   01/24/2010 02:00 pm
$324,400.00   11/23/2005   Notice of Trustee Sale   Americas Servicing Company                                                     $308,180.00      $239,000.00   20090982767 Michael A Bosco Jr                     09-49031          (602) 255-6000   01/22/2010 10:00 am
$162,851.00   03/01/2004   Notice of Trustee Sale   Wells Fargo Home Mortgage     (866) 234-8271                                   $154,708.00      $192,800.00   20090982998 Michael A Bosco Jr                     09-49034          (602) 255-6000   01/22/2010 10:00 am
$200,000.00   02/22/2005   Notice of Trustee Sale   Hsbc Bank                     (800) 975-4722                                   $263,150.00      $196,300.00   20090980953 Fidelity National Title                09-03757-3        (714) 573-1965   01/27/2010 12:00 pm
$192,000.00   04/25/2005   Notice of Trustee Sale   Aurora Loan Services          (720) 945-3000                                   $153,600.00      $169,200.00   20090983706 Cal Western Reconveyance               1246104-14        (800) 546-1531   01/24/2010 02:00 pm
 $93,000.00   04/19/2007   Notice of Trustee Sale                                                                                   $83,000.00       $52,000.00   20090980914 Quality Loan Service                   208150061         (714) 573-1965   01/24/2010 02:00 pm
 $52,000.00   01/20/1994   Notice of Trustee Sale   Hsbc Bank                     (800) 975-4722                                   $168,000.00       $98,600.00   20090983912 Aztec Foreclosure                      08-006264         (602) 222-5711   01/22/2010 11:00 am
$168,006.00   05/06/2005   Notice of Trustee Sale                                                                                  $224,000.00      $176,600.00   20090983696 Cal Western Reconveyance               1241576-08        (800) 546-1531   01/25/2010 12:00 pm
$130,300.00   09/06/2001   Notice of Trustee Sale   Phh Mortgage                  (800) 210-8849                                   $239,000.00      $190,100.00   20090984817 Michael A Bosco Jr                     08-16940          (602) 255-6000   01/22/2010 10:00 am
$300,000.00   10/31/2007   Notice of Trustee Sale   Wells Fargo Home Mortgage     (866) 234-8271                                   $237,000.00      $312,200.00   20090982806 Michael A Bosco Jr                     09-49036          (602) 255-6000   01/22/2010 10:00 am
$179,000.00   10/21/2004   Notice of Trustee Sale   Americas Servicing Company                                                     $210,000.00      $189,500.00   20090982654 Michael A Bosco Jr                     09-48998          (602) 255-6000   01/22/2010 10:00 am




                                                                                                                                             Page 45
Pre-foreclosure List
                                                                                                                              Maricopa County Week Ending 11/2

$114,900.00   05/29/2001   Notice of Trustee Sale   Hsbc Bank                     (800) 975-4722                                   $113,881.00    $154,200.00    20090982657 Michael A Bosco Jr          09-48999          (602) 255-6000   01/22/2010 10:00 am
$170,000.00   09/27/2006   Notice of Trustee Sale   U.s. Bancorp                  (800) 365-7772   20061277608 09/27/2006          $170,000.00    $106,200.00    20090984260 Recontrust                                    (800) 281-8219   01/24/2010 02:00 pm
$352,000.00   03/02/2006   Notice of Trustee Sale   The Bank Of New York Mellon   (212) 495-1784   20060288709 03/02/2006          $112,000.00    $139,800.00    20090984360 Recontrust                                    (800) 281-8219   01/27/2010 12:00 pm
$112,340.00   08/08/1995   Notice of Trustee Sale   National City Mortgage        (800) 822-5626                                   $184,000.00    $173,500.00    20090984099 Michael A Bosco Jr          09-25107          (602) 255-6000   01/22/2010 10:00 am
$232,000.00   09/28/2006   Notice of Trustee Sale                                                  20061286328 09/28/2006          $185,600.00    $161,200.00    20090984232 Recontrust                                    (800) 281-8219   01/24/2010 02:00 pm
$154,500.00   12/30/2004   Notice of Trustee Sale   Mers                          (800) 646-6377          2006 06/26/2006          $175,000.00    $153,100.00    20090983882 Executive Trustee Service                     (714) 730-2727   01/29/2010 12:00 pm
 $91,550.00   04/28/1998   Notice of Trustee Sale   Bank Of America               (800) 285-6000                                   $167,000.00    $147,000.00    20090984026 Aztec Foreclosure           09-018620         (602) 222-5711   01/22/2010 11:00 am
 $80,000.00   03/28/2000   Notice of Trustee Sale   The Bank Of New York Mellon   (212) 495-1784   20070727403 06/25/2007          $135,000.00    $120,300.00    20090984435 Recontrust                                    (800) 281-8219   01/27/2010 12:00 pm
$115,000.00   07/24/1998   Notice of Trustee Sale   Household Financial Group     (800) 340-7866                                   $174,404.00    $205,200.00    20090979891 Aztec Foreclosure           09-018560         (602) 222-5711   01/21/2010 11:00 am
$298,450.00   12/29/2005   Notice of Trustee Sale   Chase Home Finance Llc        (888) 332-3251                                   $280,000.00    $215,200.00    20090983013 Michael A Bosco Jr          09-26301          (602) 255-6000   01/22/2010 10:00 am
$239,900.00   11/18/2005   Notice of Trustee Sale   Wells Fargo Home Mortgage     (866) 234-8271                                   $165,000.00     $93,200.00    20090982390 First American Title        20099070821366    (702) 304-7514   01/24/2010 02:00 pm
 $54,900.00   10/16/1987   Notice of Trustee Sale   Chase Home Finance Llc        (888) 332-3251                                   $131,129.00    $122,800.00    20090982988 Michael A Bosco Jr          09-26245          (602) 255-6000   01/22/2010 10:00 am
$118,848.00   01/03/2005   Notice of Trustee Sale   Chase Home Finance Llc        (888) 332-3251                                   $120,000.00     $80,100.00    20090982071 First American Title        20099073502486    (702) 304-7514   01/24/2010 02:00 pm
$375,900.00   12/10/2004   Notice of Trustee Sale   Litton Loan Servicing Lp      (800) 247-9727               11/23/2005          $388,000.00    $293,300.00    20090979842 Quality Loan Service        Az-09-321258-bl   (714) 573-1965   01/21/2010 12:00 pm
 $27,500.00   01/14/1987   Notice of Trustee Sale   Citimortgage, Inc             (800) 695-0935               02/07/2007          $261,000.00    $178,500.00    20090982238 Cr Title Service            To9-55642-az      (714) 573-1965   01/24/2010 02:00 pm
$106,000.00   02/21/2003   Notice of Trustee Sale   Bank Of America               (800) 285-6000   20061104726 08/18/2006          $158,400.00    $118,500.00    20090984330 Recontrust                                    (800) 281-8219   01/26/2010 12:00 pm
$246,000.00   02/27/2007   Notice of Trustee Sale   Deutsche Bank                 (212) 250-2500   20070234004 02/27/2007          $196,800.00    $135,700.00    20090984272 Recontrust                                    (800) 281-8219   01/24/2010 02:00 pm
$310,839.00   06/25/2007   Notice of Trustee Sale   Bank Of America               (800) 285-6000   20070723433 06/25/2007          $279,755.00    $242,600.00    20090979428 Recontrust                  09-0155359        (800) 281-8219   01/26/2010 12:00 pm
$232,900.00   08/18/2005   Notice of Trustee Sale   Americas Servicing Company                                                     $186,300.00    $177,500.00    20090982700 Michael A Bosco Jr          09-49011          (602) 255-6000   01/22/2010 10:00 am
$159,500.00   02/15/2001   Notice of Trustee Sale                                                  20050049422                     $172,800.00    $228,300.00    20090983741 Quality Loan Service        46898             (714) 573-1965   01/24/2010 02:00 pm
$111,900.00   07/08/2005   Notice of Trustee Sale   Deutsche Bank                 (212) 250-2500                                   $106,305.00     $45,800.00    20090980977 Fidelity National Title     09-03759-3        (714) 573-1965   01/27/2010 12:00 pm
$311,621.00   01/08/2008   Notice of Trustee Sale   Chase Home Finance Llc        (888) 332-3251                                   $299,250.00    $195,300.00    20090983655 Quality Loan Service        B502120           (714) 573-1965   01/24/2010 12:00 pm
$279,900.00   01/18/2007   Notice of Trustee Sale   Americas Servicing Company                                                     $223,920.00    $164,600.00    20090982712 Michael A Bosco Jr          09-49015          (602) 255-6000   01/22/2010 10:00 am
 $94,087.00   02/26/2008   Notice of Trustee Sale   Chase Home Finance Llc        (888) 332-3251                                   $204,850.00     $47,500.00    20090982075 First American Title        20099073502488    (702) 304-7514   01/24/2010 02:00 pm
$183,000.00   06/01/2006   Notice of Trustee Sale                                                                                  $176,000.00    $159,000.00    20090979708 Jason Cotton Pa             7092461                            01/21/2010 12:00 pm
$253,011.00   06/23/2006   Notice of Trustee Sale   Hsbc Bank                     (800) 975-4722                                   $202,400.00    $154,500.00    20090979877 Aztec Foreclosure           09-018646         (602) 222-5711   01/21/2010 11:00 am
 $81,500.00   11/19/1993   Notice of Trustee Sale   Bank Of America               (800) 285-6000          2007 10/25/2007          $220,500.00    $171,700.00    20090984303 Recontrust                                    (800) 281-8219   01/26/2010 12:00 pm
$149,000.00   01/10/2005   Notice of Trustee Sale                                                                                  $209,000.00    $176,600.00    20090979873 Aztec Foreclosure           09-018691         (602) 222-5711   01/21/2010 11:00 am
$239,900.00   08/02/2005   Notice of Trustee Sale   Deutsche Bank                 (212) 250-2500                                   $225,250.00    $176,100.00    20090984131 Michael A Bosco Jr          09-26567          (602) 255-6000   01/22/2010 10:00 am
$123,000.00   02/23/2007   Notice of Trustee Sale   The Bank Of New York Mellon   (212) 495-1784   20070222768 02/23/2007           $98,400.00     $97,300.00    20090984438 Recontrust                                    (800) 281-8219   01/26/2010 12:00 pm
$135,000.00   03/30/2004   Notice of Trustee Sale                                                  20050953443                     $169,000.00    $156,600.00    20090983747 Quality Loan Service        46898             (714) 573-1965   01/24/2010 02:00 pm
$192,979.00   12/14/2007   Notice of Trustee Sale                                                              12/14/2007          $192,970.00     $56,000.00    20090983382 Mtc Financial               Azob59609                          01/25/2010 12:00 pm
$740,000.00   03/16/2007   Notice of Trustee Sale   Deutsche Bank                 (212) 250-2500                                   $592,000.00    $484,700.00    20090979887 Aztec Foreclosure           09-018198         (602) 222-5711   01/21/2010 11:00 am
$102,500.00   12/04/1998   Notice of Trustee Sale   Chase Home Finance Llc        (888) 332-3251               01/19/2007          $201,600.00    $166,300.00    20090982469 California Reconveyance     137742az          (714) 573-1965   01/24/2010 02:00 pm
$312,000.00   08/31/2006   Notice of Trustee Sale   Bank Of America               (800) 285-6000   20061161054 08/31/2006          $212,000.00    $246,000.00    20090984407 Recontrust                  09-0156202        (800) 281-8219   01/26/2010 12:00 pm
$329,500.00   06/26/2006   Notice of Trustee Sale   Bank Of America               (800) 285-6000   20060856974 06/26/2006          $224,500.00    $246,000.00    20090984392 Recontrust                  09-0156201        (800) 281-8219   01/26/2010 12:00 pm
$170,000.00   10/01/2003   Notice of Trustee Sale   Bank Of America               (800) 285-6000          2008 06/20/2008          $247,812.00    $223,600.00    20090979327 Recontrust                                    (800) 281-8219   01/26/2010 12:00 pm
              10/14/1998   Notice of Trustee Sale   Chase Home Finance Llc        (888) 332-3251                                    $79,100.00    $134,800.00    20090982376 First American Title        20099073502484    (702) 304-7514   01/24/2010 02:00 pm
              05/03/2002   Notice of Trustee Sale   Washington Mutual                                            07/18/2006        $228,000.00    $143,000.00    20090982471 California Reconveyance     137740az          (714) 573-1965   01/24/2010 02:00 pm
$107,500.00   06/25/2004   Notice of Trustee Sale   U.s. Bancorp                  (800) 365-7772                                   $152,670.00    $125,000.00    20090974431 Aztec Foreclosure           09-018282         (602) 222-5711   01/20/2010 11:00 am
$291,423.00   11/06/2006   Notice of Trustee Sale   Chase Home Finance Llc        (888) 332-3251                                   $233,000.00     $13,010.00    20090984537 Quality Loan Service        7037              (714) 573-1965   01/24/2010 02:00 pm
$106,900.00   09/26/2001   Notice of Trustee Sale   Hsbc Bank                     (800) 975-4722                                   $185,500.00    $146,100.00    20090984125 Michael A Bosco Jr          09-26277          (602) 255-6000   01/22/2010 10:00 am
$575,000.00   03/05/2008   Notice of Trustee Sale   Chase Home Finance Llc        (888) 332-3251                                   $417,000.00     $35,400.00    20090982681 Michael A Bosco Jr          09-25925          (602) 255-6000   01/22/2010 10:00 am
 $86,000.00   03/07/2008   Notice of Trustee Sale   Chase Home Finance Llc        (888) 332-3251                                    $81,700.00     $56,500.00    20090982697 Michael A Bosco Jr          09-25926          (602) 255-6000   01/22/2010 10:00 am
 $77,000.00   08/04/2000   Notice of Trustee Sale   Deutsche Bank                 (212) 250-2500                 05/10/2006        $129,600.00     $51,000.00    20090983381 Mtc Financial               Azo859583                          01/25/2010 12:00 pm
 $89,222.00   02/23/1996   Notice of Trustee Sale   Mers                          (800) 646-6377                                   $123,000.00    $145,000.00    20090983676 Quality Loan Service        554271239         (714) 573-1965   01/24/2010 12:00 pm
$175,900.00   08/16/2002   Notice of Trustee Sale   The Bank Of New York Mellon   (212) 495-1784   20070304807 03/14/2007          $280,000.00    $256,500.00    20090984412 Recontrust                                    (800) 281-8219   01/26/2010 12:00 pm
$333,000.00   03/02/2007   Notice of Trustee Sale   U.s. Bancorp                  (800) 365-7772   20070254575 03/02/2007          $266,400.00    $230,000.00    20090984333 Recontrust                  09-0156150        (800) 281-8219   01/24/2010 02:00 pm
$169,970.00   01/22/1998   Notice of Trustee Sale   Bank Of America               (800) 285-6000                                   $240,000.00    $261,800.00    20090983796 Aztec Foreclosure           09-018678         (602) 222-5711   01/22/2010 11:00 am
$714,180.00   07/07/2004   Notice of Trustee Sale   Americas Servicing Company                                                     $324,000.00    $424,200.00    20090982850 Michael A Bosco Jr          09-49048          (602) 255-6000   01/22/2010 10:00 am
 $49,815.00   06/28/1991   Notice of Trustee Sale   Nationstar Mortgage           (800) 306-9027               06/04/2004           $83,000.00     $62,500.00    20090984689 Quality Loan Service        Az-09-322389-ab   (714) 573-1965   01/22/2010 12:00 pm
$157,000.00   03/29/2001   Notice of Trustee Sale   New Century Mortgage          (866) 774-5172               02/22/2005          $189,000.00    $189,100.00    20090984894 Quality Loan Service        Az-09-321024-rm   (714) 573-1965   01/24/2010 02:00 pm
$126,000.00   03/12/2004   Notice of Trustee Sale   The Bank Of New York Mellon   (212) 495-1784   20070081950 01/22/2007          $181,500.00    $149,600.00    20090984384 Recontrust                                    (800) 281-8219   01/26/2010 12:00 pm
$240,000.00   10/20/2006   Notice of Trustee Sale   Citimortgage, Inc             (800) 695-0935                                   $240,000.00    $171,800.00    20090984564 Michael A Bosco Jr          09-26100          (602) 255-6000   01/22/2010 10:00 am
$306,761.00   04/17/2006   Notice of Trustee Sale   Bank Of America               (800) 285-6000                                   $245,408.00    $201,500.00    20090984648 Aztec Foreclosure           09-018608         (602) 222-5711   01/22/2010 11:00 am
$205,500.00   07/27/2005   Notice of Trustee Sale                                                                                  $164,400.00    $155,600.00    20090974441 Aztec Foreclosure           09-018279         (602) 222-5711   01/20/2010 11:00 am
$239,900.00   06/13/2006   Notice of Trustee Sale   Americas Servicing Company                                                     $191,920.00     $11,470.00    20090982720 Michael A Bosco Jr          09-49023          (602) 255-6000   01/22/2010 10:00 am




                                                                                                                                            Page 46
Pre-foreclosure List
                                                                                                                                Maricopa County Week Ending 11/2

  $280,000.0005/16/2003   Notice of Trustee Sale   The Bank Of New York Mellon      (212) 495-1784   20060619822 05/08/2006          $200,000.00     $408,300.00   20090984371 Recontrust                                               (800) 281-8219   01/26/2010 12:00 pm
  $169,900.0008/21/2007   Notice of Trustee Sale   Select Portfolio Servicing Inc   (904) 722-7000               08/16/2007          $135,900.00      $12,200.00   20090981638 Quality Loan Service                   Az-09-320352-rt   (714) 573-1965   01/22/2010 12:00 pm
  $155,000.0010/18/2006   Notice of Trustee Sale   The Bank Of New York Mellon      (212) 495-1784               10/18/2006          $147,250.00     $139,800.00   20090984910 Recontrust                                               (800) 281-8219   01/26/2010 12:00 pm
  $166,748.0009/30/2004   Notice of Trustee Sale   Wells Fargo Home Mortgage        (866) 234-8271                                   $165,008.00     $167,500.00   20090982417 First American Title                   20099070821379    (702) 304-7514   01/24/2010 02:00 pm
   $77,990.0002/09/2004   Notice of Trustee Sale   Wells Fargo Home Mortgage        (866) 234-8271                                     $77,990.00     $78,500.00   20090982606 Michael A Bosco Jr                     09-48080          (602) 255-6000   01/22/2010 10:00 am
  $235,000.0004/26/2005   Notice of Trustee Sale   Bank Of America                  (800) 285-6000   20050539682 04/26/2005          $205,000.00     $223,600.00   20090984242 Recontrust                                               (800) 281-8219   01/24/2010 02:00 pm
  $106,860.0005/31/1995   Notice of Trustee Sale   Deutsche Bank                    (212) 250-2500                                   $161,000.00     $198,300.00   20090984113 Michael A Bosco Jr                     09-25892          (602) 255-6000   01/22/2010 10:00 am
  $245,000.0001/12/2007   Notice of Trustee Sale   Saxon Mortgage Services          (800) 594-8422                                   $196,000.00     $163,300.00   20090982729 Old Republic Nat'l Title Insurance C   09-35364          (714) 573-1965   01/24/2010 02:00 pm
   $75,747.0008/10/1992   Notice of Trustee Sale   Bank Of America                  (800) 285-6000                                   $187,000.00      $98,100.00   20090979881 Aztec Foreclosure                      09-018431         (602) 222-5711   01/21/2010 11:00 am
  $197,878.0008/15/2005   Notice of Trustee Sale   Americas Servicing Company                                                        $158,300.00     $152,800.00   20090982820 Michael A Bosco Jr                     09-49042          (602) 255-6000   01/22/2010 10:00 am
  $152,866.0002/24/2004   Notice of Trustee Sale   Wells Fargo Home Mortgage        (866) 234-8271                                   $165,445.00     $185,100.00   20090982388 First American Title                   20099070821368    (702) 304-7514   01/24/2010 02:00 pm
   $80,500.0005/20/1999   Notice of Trustee Sale   Mers                             (800) 646-6377          2006 09/15/2006          $165,750.00     $108,700.00   20090983900 Security Title Agency                                    (602) 266-0275   01/29/2010 12:00 pm
  $210,000.0008/23/2005   Notice of Trustee Sale   The Bank Of New York Mellon      (212) 495-1784          2005                     $168,000.00     $136,000.00   20090983319 Security Title Agency                  14-89172          (602) 266-0275   01/22/2010 10:30 am
   $98,000.0009/21/2001   Notice of Trustee Sale   Americas Servicing Company                                                        $162,000.00     $100,800.00   20090979354 Michael A Bosco Jr                     09-49016          (602) 255-6000   01/21/2010 10:00 am
  $169,000.0008/24/2007   Notice of Trustee Sale   Bank Of America                  (800) 285-6000   20070953925 08/24/2007          $169,000.00     $133,200.00   20090984534 Recontrust                                               (800) 281-8219   01/26/2010 12:00 pm
  $208,000.0004/11/2005   Notice of Trustee Sale   Deutsche Bank                    (212) 250-2500                                   $166,400.00     $148,500.00   20090979883 Aztec Foreclosure                      09-018206         (602) 222-5711   01/21/2010 11:00 am
  $107,960.0005/31/2000   Notice of Trustee Sale   National City Mortgage           (800) 822-5626                                   $114,650.00     $154,500.00   20090984094 Michael A Bosco Jr                     09-25103          (602) 255-6000   01/22/2010 10:00 am
   $95,690.0005/21/2003   Notice of Trustee Sale   Select Portfolio Servicing Inc   (904) 722-7000                 11/22/2006        $150,750.00     $121,200.00   20090984028 Quality Loan Service                   Az-09-320861-rt   (714) 573-1965   01/22/2010 12:00 pm
   $63,400.0003/26/1999   Notice of Trustee Sale   Wells Fargo Home Mortgage        (866) 234-8271                                   $102,500.00     $104,700.00   20090979273 Michael A Bosco Jr                     09-48958          (602) 255-6000   01/21/2010 10:00 am
  $121,000.0001/20/2004   Notice of Trustee Sale   Metlife Home Loans                                            01/16/2004                 $1.00    $147,500.00   20090984069 Lawyers Title Insurance                057-009943        (714) 573-1965   01/24/2010 02:00 pm
  $305,000.0003/17/2005   Notice of Trustee Sale   Aurora Loan Services             (720) 945-3000               02/03/2006          $360,500.00     $283,500.00   20090979852 Quality Loan Service                   Az-09-322026-cl   (714) 573-1965   01/21/2010 12:00 pm
  $268,000.0012/22/2005   Notice of Trustee Sale   The Bank Of New York Mellon      (212) 495-1784   20061376207 10/18/2006          $252,000.00     $111,800.00   20090984336 Recontrust                                               (800) 281-8219   01/26/2010 12:00 pm
  $279,000.0001/19/2007   Notice of Trustee Sale   Deutsche Bank                    (212) 250-2500                                   $209,250.00      $14,670.00   20090983919 Aztec Foreclosure                      09-018264         (602) 222-5711   01/22/2010 11:00 am
   $68,000.0011/03/1998   Notice of Trustee Sale   Chase Home Finance Llc           (888) 332-3251                                   $168,000.00     $135,200.00   20090983018 Michael A Bosco Jr                     09-26304          (602) 255-6000   01/22/2010 10:00 am
  $163,000.0005/05/2005   Notice of Trustee Sale                                                            2007                     $172,800.00      $83,100.00   20090983737 Quality Loan Service                   46898             (714) 573-1965   01/24/2010 02:00 pm
  $170,000.0011/10/2005   Notice of Trustee Sale   Chase Home Finance Llc           (888) 332-3251                                   $136,000.00     $102,500.00   20090980037 Aztec Foreclosure                      09-018663         (602) 222-5711   01/21/2010 11:00 am
  $122,000.0009/23/2003   Notice of Trustee Sale   Chase Home Finance Llc           (888) 332-3251                                   $180,670.00     $133,500.00   20090982077 First American Title                   20099073502489    (702) 304-7514   01/24/2010 02:00 pm
  $200,000.0006/06/2005   Notice of Trustee Sale   Accredited Home Lenders          (866) 521-4815                                   $212,500.00      $73,100.00   20090980596 Quality Loan Service                   Az-sls-090101     (714) 573-1965   01/22/2010 12:00 pm
  $127,920.0011/27/2002   Notice of Trustee Sale   Midfirst Bank                    (800) 877-1674                 11/25/2002        $125,938.00     $154,800.00   20090982513 Quality Loan Service                   Az-09-322119-ab   (714) 573-1965   01/25/2010 12:00 pm
  $297,000.0002/23/2007   Notice of Trustee Sale   Saxon Mortgage Services          (800) 594-8422                                   $237,600.00     $191,100.00   20090984127 Michael A Bosco Jr                     09-26278          (602) 255-6000   01/22/2010 10:00 am
  $191,000.0001/06/2005   Notice of Trustee Sale   Americas Servicing Company                                                        $152,800.00     $189,800.00   20090982790 Michael A Bosco Jr                     09-49017          (602) 255-6000   01/22/2010 10:00 am
  $157,138.0012/14/2004   Notice of Trustee Sale   Chase Home Finance Llc           (888) 332-3251                                   $141,400.00     $174,500.00   20090982703 Michael A Bosco Jr                     09-25985          (602) 255-6000   01/22/2010 10:00 am
  $227,298.0005/04/2006   Notice of Trustee Sale   Bank Of America                  (800) 285-6000                                   $182,650.00     $200,300.00   20090982983 Michael A Bosco Jr                     09-49030          (602) 255-6000   01/22/2010 10:00 am
  $310,000.0003/09/2007   Notice of Trustee Sale   Ing Bank Fsb                     (800) 464-3473                                   $248,000.00     $175,500.00   20090983698 Cal Western Reconveyance               1239613-08        (800) 546-1531   01/24/2010 02:00 pm
  $123,000.0005/05/2004   Notice of Trustee Sale   Bank Of America                  (800) 285-6000                                   $116,850.00     $151,300.00   20090983602 Aztec Foreclosure                      09-018611         (602) 222-5711   01/22/2010 11:00 am
  $284,000.0012/21/2004   Notice of Trustee Sale   Mers                             (800) 646-6377                                   $332,350.00     $225,300.00   20090983684 Quality Loan Service                   575030275         (714) 573-1965   01/24/2010 12:00 pm
  $362,996.0003/15/2007   Notice of Trustee Sale   Green Tree                       (800) 643-0202          2007                     $311,996.00      $21,550.00   20090983272 Security Title Agency                  14-89021          (602) 266-0275   01/22/2010 10:30 am
  $139,900.0004/20/2004   Notice of Trustee Sale   Bank Of America                  (800) 285-6000   20070489890 04/27/2007          $186,200.00     $158,200.00   20090984286 Recontrust                                               (800) 281-8219   01/27/2010 12:00 pm
  $198,000.0008/20/2009   Notice of Trustee Sale   Hsbc Bank                        (800) 975-4722                                   $399,374.00     $190,300.00   20090979871 Aztec Foreclosure                      09-018696         (602) 222-5711   01/21/2010 11:00 am
  $645,000.0007/07/2005   Notice of Trustee Sale                                                                                     $690,000.00     $592,500.00   20090983715 Cal Western Reconveyance               1241575-08        (800) 546-1531   01/25/2010 12:00 pm
  $382,000.0010/11/2005   Notice of Trustee Sale   The Bank Of New York Mellon      (212) 495-1784               09/29/2006          $309,600.00      $19,980.00   20090984295 Recontrust                                               (800) 281-8219   01/26/2010 12:00 pm
   $80,000.0010/21/1997   Notice of Trustee Sale   Mers                             (800) 646-6377          2005 01/11/2005            $98,000.00    $122,000.00   20090983914 Security Title Agency                                    (602) 266-0275   01/29/2010 12:00 pm
$1,045,435.0004/23/2007   Notice of Trustee Sale   The Bank Of New York Mellon      (212) 495-1784   20070467606 04/23/2007          $731,804.00     $705,000.00   20090984339 Recontrust                             09-0156230        (800) 281-8219   01/26/2010 12:00 pm
   $56,476.0005/02/1995   Notice of Trustee Sale   Litton Loan Servicing Lp         (800) 247-9727               04/05/2006          $180,000.00     $150,000.00   20090979838 Quality Loan Service                   Az-09-321254-bl   (714) 573-1965   01/21/2010 12:00 pm
  $300,446.0011/30/2005   Notice of Trustee Sale   Wachovia Corporation             (800) 922-4684                                 $25,125,000.00    $236,500.00   20090983775 Cal Western Reconveyance               1246938-02        (800) 546-1531   01/24/2010 02:00 pm
  $147,290.0012/20/2004   Notice of Trustee Sale   Carrington Mortgage Services     (714) 969-7600               12/07/2004          $132,561.00     $151,200.00   20090984890 Quality Loan Service                   Az-09-321026-rm   (714) 573-1965   01/24/2010 02:00 pm
  $154,530.0011/20/2002   Notice of Trustee Sale                                                     20070720544                     $285,600.00     $216,200.00   20090983744 Quality Loan Service                   46898             (714) 573-1965   01/24/2010 02:00 pm
  $150,000.0009/01/2000   Notice of Trustee Sale   The Bank Of New York Mellon      (212) 495-1784   20050896092 06/29/2005          $200,000.00     $230,200.00   20090984504 Recontrust                                               (800) 281-8219   01/24/2010 02:00 pm
  $110,000.0008/27/2003   Notice of Trustee Sale   Bank Of America                  (800) 285-6000   20070964928 08/28/2007          $194,118.00     $170,112.00   20090984220 Recontrust                             09-0146794        (800) 281-8219   01/24/2010 02:00 pm
  $376,925.0011/13/2006   Notice of Trustee Sale                                                     20061483837 11/13/2006          $335,650.00     $221,100.00   20090984368 Recontrust                             09-0156206        (800) 281-8219   01/26/2010 12:00 pm
  $783,396.0009/19/2006   Notice of Trustee Sale   Wells Fargo Home Mortgage        (866) 234-8271                                   $626,700.00     $551,200.00   20090982384 First American Title                   20099070821343    (702) 304-7514   01/24/2010 02:00 pm
  $117,500.0012/11/2003   Notice of Trustee Sale   Saxon Mortgage Services          (800) 594-8422                                   $120,000.00     $145,200.00   20090984123 Michael A Bosco Jr                     09-26279          (602) 255-6000   01/22/2010 10:00 am
             09/21/2007   Notice of Trustee Sale   Mers                             (800) 646-6377                                   $243,700.00     $177,700.00   20090983661 Quality Loan Service                   B502121           (714) 573-1965   01/24/2010 12:00 pm
 $188,000.00 09/26/2005   Notice of Trustee Sale   Sun American Mortgage            (800) 469-7383                                   $150,400.00     $170,300.00   20090980712 Quality Loan Service                   Az-sls-090123     (714) 573-1965   01/22/2010 12:00 pm
             02/01/2005   Notice of Trustee Sale                                                     20071222898                    $6,150,000.00    $517,453.00   20090983299 Security Title Agency                  14-88718          (602) 266-0275   01/22/2010 10:30 am
 $180,000.00 02/28/2001   Notice of Trustee Sale   Bank Of America                  (800) 285-6000                                   $290,000.00     $284,800.00   20090983561 Aztec Foreclosure                      09-018613         (602) 222-5711   01/22/2010 11:00 am
 $164,740.00 07/30/2003   Notice of Trustee Sale   U.s. Bancorp                     (800) 365-7772          2006 01/24/2006          $203,000.00     $172,300.00   20090984278 Recontrust                                               (800) 281-8219   01/26/2010 12:00 pm




                                                                                                                                               Page 47
Pre-foreclosure List
                                                                                                                                     Maricopa County Week Ending 11/2

 $255,000.00    12/05/2005   Notice of Trustee Sale   Hsbc Bank                          (800) 975-4722                 12/05/2005        $204,000.00      $195,600.00   20090983374 Mtc Financial                          Azo859582                          01/25/2010 12:00 pm
 $330,300.00    11/23/2005   Notice of Trustee Sale   Hsbc Bank                          (800) 975-4722                                   $337,000.00      $207,600.00   20090979867 Aztec Foreclosure                      09-018651         (602) 222-5711   01/21/2010 11:00 am
 $215,000.00    10/18/2005   Notice of Trustee Sale   Deutsche Bank                      (212) 250-2500                                   $172,000.00      $165,600.00   20090980960 Fidelity National Title                                  (714) 573-1965   01/27/2010 12:00 pm
 $393,000.00    03/21/2005   Notice of Trustee Sale   Chase Home Finance Llc             (888) 332-3251                                   $314,400.00      $298,200.00   20090983021 Michael A Bosco Jr                     09-26306          (602) 255-6000   01/22/2010 10:00 am
 $232,000.00    11/14/2008   Notice of Trustee Sale   Metlife Home Loans                                                11/07/2008        $228,978.00      $165,000.00   20090983334 Quality Loan Service                   Az-09-321518-rm   (714) 573-1965   01/24/2010 02:00 pm
                06/04/1999   Notice of Trustee Sale   Wells Fargo Home Mortgage          (866) 234-8271          2003                     $750,000.00      $258,552.00   20090978548 Fidelity National Title                14745             (714) 573-1965   01/23/2010 02:00 pm
  $365,000.00   10/14/2005   Notice of Trustee Sale   Wells Fargo Home Mortgage          (866) 234-8271                                   $292,000.00      $243,600.00   20090982996 Michael A Bosco Jr                     09-49035          (602) 255-6000   01/22/2010 10:00 am
  $500,000.00   05/26/2006   Notice of Trustee Sale   Suntrust Mortgage Inc              (800) 786-8787                                   $400,000.00       $28,610.00   20090979291 Aztec Foreclosure                      09-018622         (602) 222-5711   01/21/2010 11:00 am
  $106,000.00   03/30/2001   Notice of Trustee Sale   Chase Home Finance Llc             (888) 332-3251                                   $160,000.00      $155,600.00   20090982753 Michael A Bosco Jr                     09-26084          (602) 255-6000   01/22/2010 10:00 am
  $153,000.00   08/07/2006   Notice of Trustee Sale   Suntrust Mortgage Inc              (800) 786-8787                                   $122,400.00      $106,500.00   20090983754 Aztec Foreclosure                      09-018656         (602) 222-5711   01/22/2010 11:00 am
   $54,000.00   07/08/1997   Notice of Trustee Sale   Wachovia Corporation               (800) 922-4684                                     $78,125.00     $119,321.00   20090982716 Old Republic Nat'l Title Insurance C   09-35300          (714) 573-1965   01/24/2010 02:00 pm
  $181,000.00   08/30/2000   Notice of Trustee Sale   Bank United                                                                         $280,000.00      $190,700.00   20090984047 Michael A Bosco Jr                     09-16546          (602) 255-6000   01/22/2010 10:00 am
  $259,000.00   07/22/2005   Notice of Trustee Sale   Aurora Loan Services               (720) 945-3000                                   $207,200.00      $210,600.00   20090983704 Cal Western Reconveyance               1246106-14        (800) 546-1531   01/24/2010 02:00 pm
  $185,000.00   08/09/2006   Notice of Trustee Sale   Americas Servicing Company                                                          $148,000.00      $118,100.00   20090982650 Michael A Bosco Jr                     09-48993          (602) 255-6000   01/22/2010 10:00 am
  $294,505.00   09/01/2006   Notice of Trustee Sale   Bank Of America                    (800) 285-6000   20061173394 09/01/2006          $225,184.00      $184,700.00   20090984388 Recontrust                                               (800) 281-8219   01/27/2010 12:00 pm
$1,470,000.00   09/16/2005   Notice of Trustee Sale   Bank Of America                    (800) 285-6000               09/16/2005         $1,029,000.00   $1,202,100.00   20090983969 California Reconveyance                137746az          (714) 573-1965   01/24/2010 02:00 pm
  $325,000.00   11/30/2005   Notice of Trustee Sale   Chase Home Finance Llc             (888) 332-3251                                   $260,000.00      $255,700.00   20090982382 First American Title                   20099019204321    (702) 304-7514   01/24/2010 02:00 pm
  $156,527.00   03/31/2004   Notice of Trustee Sale   Wells Fargo Home Mortgage          (866) 234-8271                 10/16/2009        $228,800.00      $178,600.00   20090982635 Michael A Bosco Jr                     09-48948          (602) 255-6000   01/22/2010 10:00 am
  $137,000.00   12/29/2000   Notice of Trustee Sale   Bank Of America                    (800) 285-6000                                   $109,600.00      $190,200.00   20090984453 Aztec Foreclosure                      09-018617         (602) 222-5711   01/22/2010 11:00 am
  $186,500.00   12/05/2005   Notice of Trustee Sale   Citimortgage, Inc                  (800) 695-0935                                   $149,200.00      $138,500.00   20090984590 Michael A Bosco Jr                     09-26200          (602) 255-6000   01/22/2010 10:00 am
  $259,682.00   11/03/2005   Notice of Trustee Sale   Chase Home Finance Llc             (888) 332-3251                                   $224,100.00      $202,500.00   20090982684 Michael A Bosco Jr                     09-25980          (602) 255-6000   01/22/2010 10:00 am
   $67,807.00   04/27/1984   Notice of Trustee Sale   Deutsche Bank                      (212) 250-2500                                   $160,000.00      $140,100.00   20090984109 Michael A Bosco Jr                     09-25890          (602) 255-6000   01/22/2010 10:00 am
$1,200,000.00   04/28/2006   Notice of Trustee Sale   Deutsche Bank                      (212) 250-2500                                   $960,000.00      $805,200.00   20090980972 Fidelity National Title                09-03740-3        (714) 573-1965   01/27/2010 12:00 pm
  $274,358.00   12/01/2004   Notice of Trustee Sale   The Bank Of New York Mellon        (212) 495-1784   20051122543 08/08/2005          $310,000.00      $230,600.00   20090984516 Recontrust                                               (800) 281-8219   01/24/2010 02:00 pm
  $298,644.00   11/29/2005   Notice of Trustee Sale   Mers                               (800) 646-6377          2007 03/13/2007          $315,200.00      $247,000.00   20090983908 Security Title Agency                                    (602) 266-0275   01/29/2010 12:00 pm
   $99,900.00   08/23/2004   Notice of Trustee Sale   U.s. Bancorp                       (800) 365-7772                                   $140,000.00      $139,500.00   20090984115 Michael A Bosco Jr                     09-25895          (602) 255-6000   01/22/2010 10:00 am
  $255,000.00   12/19/2005   Notice of Trustee Sale   Mers                               (800) 646-6377          2005 12/13/2005          $204,000.00      $172,300.00   20090983876 Security Title Agency                                    (602) 266-0275   01/29/2010 12:00 pm
  $232,000.00   02/07/2007   Notice of Trustee Sale   Wells Fargo Home Mortgage          (866) 234-8271                                   $185,600.00      $179,800.00   20090982645 Michael A Bosco Jr                     09-48954          (602) 255-6000   01/22/2010 10:00 am
  $182,000.00   05/01/2007   Notice of Trustee Sale   Suntrust Mortgage Inc              (800) 786-8787                                   $182,000.00      $128,700.00   20090984205 Aztec Foreclosure                      09-012637         (602) 222-5711   01/22/2010 11:00 am
  $125,000.00   01/16/2003   Notice of Trustee Sale   Mers                               (800) 646-6377          2006 06/09/2006          $166,000.00      $138,500.00   20090983878 Security Title Agency                                    (602) 266-0275   01/29/2010 12:00 pm
  $299,990.00   07/13/2007   Notice of Trustee Sale   Bank Of America                    (800) 285-6000   20070801368 07/13/2007          $264,280.00      $201,600.00   20090984421 Recontrust                             09-0156240        (800) 281-8219   01/27/2010 12:00 pm
$1,667,500.00   10/21/2005   Notice of Trustee Sale   Chase Home Finance Llc             (888) 332-3251                                  $1,552,000.00   $1,333,600.00   20090982370 First American Title                   20099073502363    (702) 304-7514   01/24/2010 02:00 pm
   $92,950.00   11/26/1997   Notice of Trustee Sale   American Home Mortgage             (877) 304-3100                 07/19/2007        $246,400.00      $157,000.00   20090983074 Quality Loan Service                   Az-09-322341-bl   (714) 573-1965   01/24/2010 02:00 pm
   $82,000.00   10/03/2001   Notice of Trustee Sale                                                                                         $92,900.00     $106,300.00   20090982727 Old Republic Nat'l Title Insurance C   09-35312          (714) 573-1965   01/24/2010 02:00 pm
  $237,500.00   05/10/2006   Notice of Trustee Sale   The Bank Of New York Mellon        (212) 495-1784   20060638012 05/10/2006          $208,500.00      $134,600.00   20090984374 Recontrust                                               (800) 281-8219   01/26/2010 12:00 pm
  $115,900.00   10/31/2002   Notice of Trustee Sale   Wells Fargo Home Mortgage          (866) 234-8271                                   $199,681.00      $151,000.00   20090984053 Michael A Bosco Jr                     09-48938          (602) 255-6000   01/22/2010 10:00 am
  $269,685.00   10/26/2005   Notice of Trustee Sale   Wells Fargo Home Mortgage          (866) 234-8271                                   $215,700.00       $13,810.00   20090982663 Michael A Bosco Jr                     09-49004          (602) 255-6000   01/22/2010 10:00 am
  $113,000.00   10/31/2006   Notice of Trustee Sale   Bank Of America                    (800) 285-6000                                     $90,400.00      $82,000.00   20090984635 Aztec Foreclosure                      09-018603         (602) 222-5711   01/22/2010 11:00 am
  $255,000.00   12/19/2006   Notice of Trustee Sale   Mers                               (800) 646-6377   20061656770 12/14/2006          $229,500.00      $202,800.00   20090983953 Security Title Agency                                    (602) 266-0275   01/29/2010 12:00 pm
  $168,000.00   02/10/2005   Notice of Trustee Sale   Citimortgage, Inc                  (800) 695-0935                                   $198,000.00      $171,100.00   20090980068 Michael A Bosco Jr                     09-26088          (602) 255-6000   01/21/2010 10:00 am
  $170,830.00   06/28/2001   Notice of Trustee Sale   Chase Home Finance Llc             (888) 332-3251                                   $197,000.00      $204,000.00   20090982798 Michael A Bosco Jr                     09-26271          (602) 255-6000   01/22/2010 10:00 am
  $310,000.00   04/08/2005   Notice of Trustee Sale   Wells Fargo Home Mortgage          (866) 234-8271                                   $384,540.00      $152,700.00   20090984051 Michael A Bosco Jr                     09-48898          (602) 255-6000   01/22/2010 10:00 am
  $156,782.00   01/25/2008   Notice of Trustee Sale   Residential Funding Company, Llc   (952) 832-7000          2007 07/23/2007          $153,000.00       $10,670.00   20090983952 Executive Trustee Service                                (714) 730-2727   01/29/2010 12:00 pm
  $221,650.00   03/16/2007   Notice of Trustee Sale   Citimortgage, Inc                  (800) 695-0935                                   $221,650.00       $10,360.00   20090984593 Michael A Bosco Jr                     09-26209          (602) 255-6000   01/22/2010 10:00 am
  $263,000.00   06/24/2005   Notice of Trustee Sale   Deutsche Bank                      (212) 250-2500                                   $210,400.00      $195,800.00   20090979885 Aztec Foreclosure                      09-018207         (602) 222-5711   01/21/2010 11:00 am
   $58,000.00   12/21/1999   Notice of Trustee Sale   Bank Of America                    (800) 285-6000                                     $48,000.00      $55,140.00   20090983844 Aztec Foreclosure                      09-018676         (602) 222-5711   01/22/2010 11:00 am
  $144,000.00   09/21/2004   Notice of Trustee Sale   Midfirst Bank                      (800) 877-1674               09/17/2004          $141,775.00      $162,500.00   20090982510 Quality Loan Service                   Az-09-321850-ab   (714) 573-1965   01/25/2010 12:00 pm
  $201,715.00   03/07/2003   Notice of Trustee Sale   The Bank Of New York Mellon        (212) 495-1784          2006 01/23/2006          $212,000.00       $21,210.00   20090984266 Recontrust                                               (800) 281-8219   01/26/2010 12:00 pm
  $252,500.00   04/21/2006   Notice of Trustee Sale   Deutsche Bank                      (212) 250-2500                                   $204,000.00      $153,500.00   20090980692 Quality Loan Service                   Az-sls-090125     (714) 573-1965   01/22/2010 12:00 pm
  $222,630.00   06/12/2007   Notice of Trustee Sale   Bank Of America                    (800) 285-6000                                   $178,104.00      $179,800.00   20090983708 Aztec Foreclosure                      09-018602         (602) 222-5711   01/22/2010 11:00 am
   $98,000.00   08/31/2005   Notice of Trustee Sale   Bank Of America                    (800) 285-6000   20071167553 10/29/2007                            $68,100.00   20090978546 Recontrust                                               (800) 281-8219   01/25/2010 12:00 pm
   $36,000.00   03/29/1996   Notice of Trustee Sale   Chase Home Finance Llc             (888) 332-3251                                    $70,500.00      $131,800.00   20090982744 Michael A Bosco Jr                     09-26171          (602) 255-6000   01/22/2010 10:00 am
                02/27/1989   Notice of Trustee Sale   Chase Home Finance Llc             (888) 332-3251                                    $50,000.00        $4,950.00   20090982675 Michael A Bosco Jr                     09-25921          (602) 255-6000   01/22/2010 10:00 am
 $560,000.00    05/31/2006   Notice of Trustee Sale   The Bank Of New York Mellon        (212) 495-1784   20060734732 05/31/2006          $440,000.00      $377,200.00   20090984527 Recontrust                                               (800) 281-8219   01/27/2010 12:00 pm
                07/28/2009   Notice of Trustee Sale   Wachovia Corporation               (800) 922-4684                                   $145,200.00      $202,700.00   20090982824 Michael A Bosco Jr                     09-26333          (602) 255-6000   01/22/2010 10:00 am




                                                                                                                                                    Page 48
Pre-foreclosure List
                                                                                                                                               Maricopa County Week Ending 11/2




Sale Location                                                                           Loan1 Date     Loan1 AMT         Market Value      Total Loans         Equity             Loan-to-Value
At The Main Entrance To The Superior Courts Building 201 W. Jefferson Phoenix Az.                            $129,600.00      $125,875.00          $129,600.00         -$3,725.00            1.03
Law Offices Of Perry & Shapiro                                                                               $159,364.00      $112,100.00          $159,364.00        -$47,264.00            1.42
Office Of Michael A. Bosco Jr.                                                                               $213,450.00      $162,450.00          $213,450.00        -$51,000.00            1.31
Office Of Michael A. Bosco Jr.                                                                               $243,000.00      $159,125.00          $243,000.00        -$83,875.00            1.53
At The Main Entrance Of The Superior Court Building 201 West Jefferson Phoenix Az       03/09/2007           $178,308.00      $142,025.00          $178,308.00        -$36,283.00            1.26
Office Of Michael A. Bosco Jr.                                                                               $209,778.00      $128,725.00          $209,778.00        -$81,053.00            1.63
At The Main Entrance Of The Superior Court Building 201 West Jefferson Phoenix Az       09/19/2006           $245,000.00      $228,950.00          $245,000.00        -$16,050.00            1.07
At The Main Entrance Of The Superior Court Building 201 West Jefferson Phoenix Az       07/05/2006           $135,000.00        $94,050.00         $135,000.00        -$40,950.00            1.44
At The Main Entrance Of The Superior Court Building 201 West Jefferson Phoenix Az       01/17/2006           $192,500.00      $133,000.00          $192,500.00        -$59,500.00            1.45
Office Of Michael A. Bosco Jr.                                                                               $222,500.00      $187,150.00          $222,500.00        -$35,350.00            1.19
Offices Of Gust Rosenfeld                                                                                    $141,300.00      $106,400.00          $141,300.00        -$34,900.00            1.33
Security Title Agency                                                                                        $625,000.00      $609,627.00          $625,000.00        -$15,373.00            1.03
At The Steps At The Front Entrance Of The Superior Court Building 201 West Jefferson Phoenix Arizona
                                                                                        06/09/2005           $340,000.00      $245,100.00          $340,000.00        -$94,900.00            1.39
Office Of Michael A. Bosco Jr.                                                                               $137,800.00      $152,475.00          $137,800.00         $14,675.00             0.9
Office Of Michael A. Bosco Jr.                                                                               $201,300.00      $157,340.00          $201,300.00        -$43,960.00            1.28
Empire West Title Agency                                                                                     $216,000.00      $127,775.00          $216,000.00        -$88,225.00            1.69
Statewide Foreclosure Services Inc.                                                                           $26,372.00      $104,500.00           $26,372.00         $78,128.00            0.25
Office Of Michael A. Bosco Jr.                                                          04/22/2008           $140,750.00        $94,525.00         $140,750.00        -$46,225.00            1.49
Office Of Michael A. Bosco Jr.                                                                               $207,120.00      $122,550.00          $207,120.00        -$84,570.00            1.69
At The Main Entrance Of The Superior Court Building 201 West Jefferson Phoenix Az                            $198,900.00      $108,775.00          $198,900.00        -$90,125.00            1.83
Office Of Michael A. Bosco Jr.                                                                               $194,944.00      $138,700.00          $194,944.00        -$56,244.00            1.41
At The Main Entrance Of The Superior Court Building 201 West Jefferson Phoenix Az       05/13/2008           $170,590.00      $143,450.00          $170,590.00        -$27,140.00            1.19
At The Main Entrance Of The Superior Court Building 201 West Jefferson Phoenix Arizona 12/29/2004            $424,000.00      $500,650.00          $424,000.00         $76,650.00            0.85
At The Main Entrance Of The Superior Court Building 201 West Jefferson Phoenix Az       09/26/2006           $184,500.00        $93,100.00         $184,500.00        -$91,400.00            1.98
At The Main Entrance Of The Superior Court Building 201 West Jefferson Phoenix Az                            $157,528.00        $90,725.00         $157,528.00        -$66,803.00            1.74
At The Main Entrance Of The Superior Court Building 201 West Jefferson Phoenix Az       08/07/2007           $267,097.00      $224,209.00          $267,097.00        -$42,888.00            1.19
Security Title Agency                                                                                     $15,200,000.00                        $15,200,000.00
At The Main Entrance Of The Superior Court Building 201 West Jefferson Phoenix Az       02/23/2007           $400,000.00      $239,400.00          $400,000.00      -$160,600.00             1.67
Security Title Agency                                                                                        $398,000.00      $427,993.00          $398,000.00         $29,993.00            0.93
Offices Of Folks & O'connor Pllc                                                                             $122,300.00      $104,975.00          $122,300.00        -$17,325.00            1.17
Office Of Michael A. Bosco Jr.                                                                               $247,568.00      $245,580.00          $247,568.00         -$1,988.00            1.01
At The Main Entrance Of The Superior Court Building 201 West Jefferson Phoenix Az                            $190,400.00      $118,750.00          $190,400.00        -$71,650.00             1.6
At The Main Entrance Of The Superior Court Building 201 West Jefferson Phoenix Az       06/15/2006           $174,250.00        $98,800.00         $174,250.00        -$75,450.00            1.76
At The Main Entrance To The Superior Courts Building 201 W. Jefferson Phoenix Az.                            $233,000.00        $88,825.00         $233,000.00      -$144,175.00             2.62
At The Main Entrance Of The Superior Court Building 201 West Jefferson Phoenix Az                             $82,201.00      $180,500.00           $82,201.00         $98,299.00            0.46
Law Offices Of Perry & Shapiro                                                                               $224,000.00                           $224,000.00
Office Of Michael A. Bosco Jr.                                                                               $104,000.00      $102,125.00          $104,000.00         -$1,875.00            1.02
At The Main Entrance Of The Superior Court Building 201 West Jefferson Phoenix Az                            $399,200.00      $396,032.00          $399,200.00         -$3,168.00            1.01
At The Main Entrance Of The Superior Court Building 201 West Jefferson Phoenix Az       01/26/2004           $142,145.00      $121,125.00          $142,145.00        -$21,020.00            1.17
Office Of Michael A. Bosco Jr.                                                                               $328,000.00      $254,125.00          $328,000.00        -$73,875.00            1.29
At The Main Entrance Of The Superior Court Building 201 West Jefferson Phoenix Az                            $109,650.00        $64,600.00         $109,650.00        -$45,050.00             1.7
In The Courtyard By The Main Entrance To The Superior Court Building 201 West Jefferson 09/19/2008
                                                                                        Phoenix              $124,545.00      $116,850.00          $124,545.00         -$7,695.00            1.07
At The Main Entrance Of The Superior Court Building 201 West Jefferson Phoenix Az       07/22/2005           $214,875.00      $222,128.00          $214,875.00          $7,253.00            0.97
At The Main Entrance Of The Superior Court Building 201 West Jefferson Phoenix Az       07/19/2006           $153,000.00      $100,225.00          $153,000.00        -$52,775.00            1.53
Office Of Michael A. Bosco Jr.                                                                               $113,981.00      $106,400.00          $113,981.00         -$7,581.00            1.07
Office Of Michael A. Bosco Jr.                                                                               $172,000.00      $106,400.00          $172,000.00        -$65,600.00            1.62
At The Main Entrance Of The Superior Court Building 201 West Jefferson Phoenix Arizona 10/18/2001             $89,103.00        $88,350.00          $89,103.00           -$753.00            1.01
At The Steps At The Front Entrance Of The Superior Court Building 201 West Jefferson Phoenix Arizona
                                                                                        01/20/2006           $185,000.00      $111,150.00          $185,000.00        -$73,850.00            1.66
Law Offices Of Perry & Shapiro                                                                               $210,405.00      $120,650.00          $210,405.00        -$89,755.00            1.74
At The Main Entrance To The Superior Courts Building 201 W. Jefferson Phoenix Az.                            $216,000.00      $135,375.00          $216,000.00        -$80,625.00             1.6
In The Courtyard By The Main Entrance To The Superior Court Building 201 West Jefferson 08/31/2006
                                                                                        Phoenix              $292,400.00      $156,750.00          $292,400.00      -$135,650.00             1.87
At The Main Entrance Of The Superior Court Building 201 West Jefferson Phoenix Az       03/03/2006           $292,000.00      $208,302.00          $292,000.00        -$83,698.00             1.4




                                                                                                                                                                Page 49
Pre-foreclosure List
                                                                                                                                      Maricopa County Week Ending 11/2

At The Main Entrance Of The Superior Court Building 201 West Jefferson Phoenix Az       09/12/2006       $234,500.00    $199,025.00     $234,500.00         -$35,475.00     1.18
Law Offices Of Perry & Shapiro                                                                           $185,000.00    $189,050.00     $185,000.00           $4,050.00     0.98
At The Main Entrance Of The Superior Court Building 201 West Jefferson Phoenix Az                      $21,600,000.00   $141,075.00   $21,600,000.00    -$21,458,925.00   153.11
At The Main Entrance Of The Superior Court Building 201 West Jefferson Phoenix Az       09/05/2007       $192,000.00    $143,925.00     $192,000.00         -$48,075.00     1.33
At The Main Entrance Of The Superior Court Building 201 West Jefferson Phoenix Az                        $218,500.00    $194,275.00     $218,500.00         -$24,225.00     1.13
At The Main Entrance Of The Superior Court Building 201 West Jefferson Phoenix Az       04/17/2006         $68,700.00    $50,825.00       $68,700.00        -$17,875.00     1.35
Office Of Michael A. Bosco Jr.                                                                             $92,000.00   $117,800.00       $92,000.00         $25,800.00     0.78
At The Main Entrance Of The Superior Court Building 201 West Jefferson Phoenix Az                        $126,367.00    $139,175.00     $126,367.00          $12,808.00     0.91
At The Main Entrance Of The Superior Court Building 201 West Jefferson Phoenix Az       08/31/2006       $180,000.00    $100,700.00     $180,000.00         -$79,300.00     1.79
At The Main Entrance Of The Superior Court Building 201 West Jefferson Phoenix Az                        $187,267.00    $142,975.00     $187,267.00         -$44,292.00     1.31
At The Main Entrance Of The Superior Court Building 201 West Jefferson Phoenix Az       11/16/2005       $456,000.00    $107,350.00     $456,000.00        -$348,650.00     4.25
At The Main Entrance Of The Superior Court Building 201 West Jefferson Phoenix Az                        $177,434.00                    $177,434.00
In The Courtyard By The Main Entrance To The Superior Court Building 201 West Jefferson 03/17/1987
                                                                                        Phoenix            $51,500.00    $95,950.00       $51,500.00        $44,450.00      0.54
At The Main Entrance Of The Superior Court Building 201 West Jefferson Phoenix Az                        $129,200.00    $104,975.00     $129,200.00        -$24,225.00      1.23
At The Main Entrance Of The Superior Court Building 201 West Jefferson Phoenix Az                        $411,365.00    $307,325.00     $411,365.00       -$104,040.00      1.34
At The Main Entrance Of The Superior Court Building 201 West Jefferson Phoenix Az       08/02/2005       $369,000.00    $260,775.00     $369,000.00       -$108,225.00      1.42
Office Of Michael A. Bosco Jr.                                                                           $148,000.00    $105,925.00     $148,000.00        -$42,075.00       1.4
In The Courtyard By The Main Entrance To The Superior Court Building 201 West Jefferson 05/16/2007
                                                                                        Phoenix            $78,100.00    $80,275.00       $78,100.00         $2,175.00      0.97
At The Main Entrance Of The Superior Court Building 201 West Jefferson Phoenix Az       03/10/2005       $228,000.00    $169,100.00     $228,000.00        -$58,900.00      1.35
Office Of Michael A. Bosco Jr.                                                                           $164,000.00     $94,525.00     $164,000.00        -$69,475.00      1.74
At The Main Entrance Of The Superior Court Building 201 West Jefferson Phoenix Az       05/26/2006       $192,800.00    $116,850.00     $192,800.00        -$75,950.00      1.65
In The Courtyard By The Main Entrance To The Superior Court Building 201 West Jefferson 12/11/2006
                                                                                        Phoenix          $257,400.00    $152,000.00     $257,400.00       -$105,400.00      1.69
At The Main Entrance Of The Superior Court Building 201 West Jefferson Phoenix Az       02/07/2005       $145,900.00    $129,200.00     $145,900.00        -$16,700.00      1.13
Office Of Michael A. Bosco Jr.                                                                           $109,294.00    $101,175.00     $109,294.00         -$8,119.00      1.08
Office Of Michael A. Bosco Jr.                                                                           $238,000.00    $127,775.00     $238,000.00       -$110,225.00      1.86
At The Main Entrance Of The Superior Court Building 201 West Jefferson Phoenix Az                        $294,405.00    $154,375.00     $294,405.00       -$140,030.00      1.91
Office Of Michael A. Bosco Jr.                                                                           $168,000.00    $106,875.00     $168,000.00        -$61,125.00      1.57
Office Of Michael A. Bosco Jr.                                                                           $357,452.00    $190,950.00     $357,452.00       -$166,502.00      1.87
Office Of Michael A. Bosco Jr.                                                                           $220,000.00    $159,600.00     $220,000.00        -$60,400.00      1.38
Office Of Michael A. Bosco Jr.                                                                           $245,372.00    $195,700.00     $245,372.00        -$49,672.00      1.25
In The Courtyard By The Main Entrance To The Superior Court Building 201 West Jefferson 08/12/2005
                                                                                        Phoenix          $169,600.00    $114,950.00     $169,600.00        -$54,650.00      1.48
At The Main Entrance Of The Superior Court Building 201 West Jefferson Phoenix Az                        $181,268.00    $141,075.00     $181,268.00        -$40,193.00      1.29
At The Main Entrance Of The Superior Court Building 201 West Jefferson Phoenix Az                        $255,983.00    $195,225.00     $255,983.00        -$60,758.00      1.31
At The Steps At The Front Entrance Of The Superior Court Building 201 West Jefferson Phoenix Arizona
                                                                                        04/25/2008       $140,790.00     $91,675.00     $140,790.00        -$49,115.00      1.54
At The Main Entrance Of The Superior Court Building 201 West Jefferson Phoenix Az                        $233,872.00    $160,550.00     $233,872.00        -$73,322.00      1.46
At The Main Entrance Of The Superior Court Building 201 West Jefferson Phoenix Arizona 04/09/2007        $184,000.00    $119,225.00     $184,000.00        -$64,775.00      1.54
Office Of Michael A. Bosco Jr.                                                                           $249,900.00    $145,350.00     $249,900.00       -$104,550.00      1.72
In The Courtyard By The Main Entrance To The Superior Court Building 201 West Jefferson 03/14/2007
                                                                                        Phoenix          $399,999.00    $236,075.00     $399,999.00       -$163,924.00      1.69
At The Main Entrance Of The Superior Court Building 201 West Jefferson Phoenix Az                        $202,500.00    $147,725.00     $202,500.00        -$54,775.00      1.37
At The Main Entrance Of The Superior Court Building 201 West Jefferson Phoenix Az       06/30/2006       $125,300.00     $60,800.00     $125,300.00        -$64,500.00      2.06
At The Main Entrance Of The Superior Court Building 201 West Jefferson Phoenix Az                        $113,600.00    $120,650.00     $113,600.00          $7,050.00      0.94
At The Main Entrance Of The Superior Court Building 201 West Jefferson Phoenix Az       10/14/2004       $131,200.00    $142,975.00     $131,200.00         $11,775.00      0.92
At The Main Entrance Of The Superior Court Building 201 West Jefferson Phoenix Az                          $29,000.00   $249,375.00       $29,000.00       $220,375.00      0.12
Front Lobby Of Jaburg & Wilk                                                                             $207,000.00    $114,000.00     $207,000.00        -$93,000.00      1.82
At The Main Entrance Of The Superior Court Building 201 West Jefferson Phoenix Az                        $198,728.00    $157,700.00     $198,728.00        -$41,028.00      1.26
Office Of Michael A. Bosco Jr.                                                                           $169,000.00    $127,300.00     $169,000.00        -$41,700.00      1.33
Office Of Michael A. Bosco Jr.                                                                           $332,100.00    $210,900.00     $332,100.00       -$121,200.00      1.58
In The Courtyard By The Main Entrance To The Superior Court Building 201 West Jefferson 08/31/2006
                                                                                        Phoenix          $276,000.00    $177,650.00     $276,000.00        -$98,350.00      1.55
At The Main Entrance Of The Superior Court Building 201 West Jefferson Phoenix Az       06/19/2006       $449,000.00    $261,250.00     $449,000.00       -$187,750.00      1.72
At The Main Entrance Of The Superior Court Building 201 West Jefferson Phoenix Az       08/28/2006       $237,621.00    $150,100.00     $237,621.00        -$87,521.00      1.58
Office Of Michael A. Bosco Jr.                                                                           $500,000.00    $421,247.00     $500,000.00        -$78,753.00      1.19
In The Courtyard By The Main Entrance To The Superior Court Building 201 West Jefferson 11/01/2005
                                                                                        Phoenix          $240,000.00    $184,775.00     $240,000.00        -$55,225.00       1.3
At The Main Entrance Of The Superior Court Building 201 West Jefferson Phoenix Az                        $124,000.00     $98,800.00     $124,000.00        -$25,200.00      1.26
At The Main Entrance Of The Superior Court Building 201 West Jefferson Phoenix Az       12/17/2007       $242,100.00    $179,550.00     $242,100.00        -$62,550.00      1.35
Security Title Agency                                                                                    $215,200.00    $153,900.00     $215,200.00        -$61,300.00       1.4
At The Main Entrance Of The Superior Court Building 201 West Jefferson Phoenix Az       07/18/2006       $216,750.00                    $216,750.00
At The Main Entrance To The Superior Courts Building 201 W. Jefferson Phoenix Az.                        $340,000.00    $205,200.00     $340,000.00       -$134,800.00      1.66




                                                                                                                                                       Page 50
Pre-foreclosure List
                                                                                                                                     Maricopa County Week Ending 11/2

Office Of Michael A. Bosco Jr.                                                                        $168,000.00     $113,525.00      $168,000.00       -$54,475.00    1.48
In The Courtyard By The Main Entrance To The Superior Court Building 201 West Jefferson 11/17/2005
                                                                                        Phoenix       $365,500.00     $240,350.00      $365,500.00      -$125,150.00    1.52
In The Courtyard By The Main Entrance To The Superior Court Building 201 West Jefferson 09/25/2006
                                                                                        Phoenix       $205,000.00     $115,425.00      $205,000.00       -$89,575.00    1.78
Law Offices Of Perry & Shapiro                                                                        $106,000.00     $158,175.00      $106,000.00        $52,175.00    0.67
At The Main Entrance Of The Superior Court Building 201 West Jefferson Phoenix Az                     $150,000.00     $277,560.00      $150,000.00       $127,560.00    0.54
At The Main Entrance Of The Superior Court Building 201 West Jefferson Phoenix Az       08/08/2006    $414,600.00     $271,700.00      $414,600.00      -$142,900.00    1.53
Office Of Michael A. Bosco Jr.                                                                        $407,000.00     $288,800.00      $407,000.00      -$118,200.00    1.41
Security Title Agency                                                                   06/29/2007    $165,000.00     $189,525.00      $165,000.00        $24,525.00    0.87
At The Main Entrance Of The Superior Court Building 201 West Jefferson Phoenix Az                     $192,473.00      $98,325.00      $192,473.00       -$94,148.00    1.96
At The Main Entrance Of The Superior Court Building 201 West Jefferson Phoenix Az                    $4,050,000.00                    $4,050,000.00
Office Of Michael A. Bosco Jr.                                                                        $179,000.00     $114,950.00      $179,000.00       -$64,050.00    1.56
At The Main Entrance Of The Superior Court Building 201 West Jefferson Phoenix Az       07/11/2007    $141,438.00      $99,275.00      $141,438.00       -$42,163.00    1.43
At The Main Entrance Of The Superior Court Building 201 West Jefferson Phoenix Az                     $131,235.00     $114,475.00      $131,235.00       -$16,760.00    1.15
At The Main Entrance Of The Superior Court Building 201 West Jefferson Phoenix Az                     $126,760.00      $98,800.00      $126,760.00       -$27,960.00    1.28
Office Of Michael A. Bosco Jr.                                                                        $157,500.00     $123,975.00      $157,500.00       -$33,525.00    1.27
Office Of Michael A. Bosco Jr.                                                                        $287,000.00     $180,975.00      $287,000.00      -$106,025.00    1.59
At The Main Entrance Of The Superior Court Building 201 West Jefferson Phoenix Az       05/31/2006    $276,500.00     $197,125.00      $276,500.00       -$79,375.00     1.4
At The Main Entrance Of The Superior Court Building 201 West Jefferson Phoenix Az                     $260,682.00     $133,950.00      $260,682.00      -$126,732.00    1.95
At The Main Entrance Of The Superior Court Building 201 West Jefferson Phoenix Az                     $203,400.00     $116,375.00      $203,400.00       -$87,025.00    1.75
At The Main Entrance Of The Superior Court Building 201 West Jefferson Phoenix Az       06/03/2005    $146,400.00     $115,425.00      $146,400.00       -$30,975.00    1.27
Office Of Michael A. Bosco Jr.                                                                        $160,000.00     $133,950.00      $160,000.00       -$26,050.00    1.19
In The Courtyard By The Main Entrance To The Superior Court Building 201 West Jefferson 06/30/2006
                                                                                        Phoenix       $280,000.00     $155,800.00      $280,000.00      -$124,200.00     1.8
In The Courtyard By The Main Entrance To The Superior Court Building 201 West Jefferson 09/06/2006
                                                                                        Phoenix       $656,000.00     $281,200.00      $656,000.00      -$374,800.00    2.33
At The Main Entrance To The Superior Courts Building 201 W. Jefferson Phoenix Az.                     $234,000.00     $102,125.00      $234,000.00      -$131,875.00    2.29
At The Main Entrance Of The Superior Court Building 201 West Jefferson Phoenix Az       11/07/2005    $252,000.00     $149,150.00      $252,000.00      -$102,850.00    1.69
Office Of Michael A. Bosco Jr.                                                                        $160,000.00     $131,100.00      $160,000.00       -$28,900.00    1.22
Office Of Michael A. Bosco Jr.                                                          06/29/2005    $101,150.00     $107,825.00      $101,150.00         $6,675.00    0.94
At The Main Entrance Of The Superior Court Building 201 West Jefferson Phoenix Az       11/28/2005    $204,800.00     $127,300.00      $204,800.00       -$77,500.00    1.61
Security Title Agency                                                                                 $128,000.00     $140,125.00      $128,000.00        $12,125.00    0.91
Office Of Michael A. Bosco Jr.                                                                        $189,000.00     $149,625.00      $189,000.00       -$39,375.00    1.26
At The Main Entrance Of The Superior Court Building 201 West Jefferson Phoenix Az       03/31/2006    $242,000.00     $154,850.00      $242,000.00       -$87,150.00    1.56
At The Main Entrance Of The Superior Court Building 201 West Jefferson Phoenix Az                     $198,879.00     $131,575.00      $198,879.00       -$67,304.00    1.51
In The Courtyard By The Main Entrance To The Superior Court Building 201 West Jefferson 12/12/2006
                                                                                        Phoenix       $340,600.00     $233,225.00      $340,600.00      -$107,375.00    1.46
In The Courtyard By The Main Entrance To The Superior Court Building 201 West Jefferson 09/25/2006
                                                                                        Phoenix       $360,000.00     $274,550.00      $360,000.00       -$85,450.00    1.31
Security Title Agency                                                                                 $500,000.00     $421,800.00      $500,000.00       -$78,200.00    1.19
Office Of Michael A. Bosco Jr.                                                                        $359,000.00     $268,352.00      $359,000.00       -$90,648.00    1.34
Office Of Michael A. Bosco Jr.                                                                        $124,000.00     $100,225.00      $124,000.00       -$23,775.00    1.24
At The Main Entrance Of The Superior Court Building 201 West Jefferson Phoenix Az       06/15/2007    $138,750.00     $101,175.00      $138,750.00       -$37,575.00    1.37
At The Main Entrance Of The Superior Court Building 201 West Jefferson Phoenix Az                     $223,200.00     $130,625.00      $223,200.00       -$92,575.00    1.71
Law Offices Of Perry & Shapiro                                                                        $111,600.00      $92,150.00      $111,600.00       -$19,450.00    1.21
At The Main Entrance Of The Superior Court Building 201 West Jefferson Phoenix Az       12/28/2004    $132,000.00     $113,050.00      $132,000.00       -$18,950.00    1.17
Office Of Michael A. Bosco Jr.                                                                        $212,000.00     $120,175.00      $212,000.00       -$91,825.00    1.76
Security Title Agency                                                                                 $240,000.00     $199,433.00      $240,000.00       -$40,567.00     1.2
At The Main Entrance To The Superior Courts Building 201 W. Jefferson Phoenix Az.                     $152,000.00     $102,600.00      $152,000.00       -$49,400.00    1.48
At The Main Entrance Of The Superior Court Building 201 West Jefferson Phoenix Az                     $277,000.00                      $277,000.00
At The Main Entrance Of The Superior Court Building 201 West Jefferson Phoenix Az                     $284,000.00      $226,100.00     $284,000.00       -$57,900.00    1.26
At The Main Entrance Of The Superior Court Building 201 West Jefferson Phoenix Az       10/30/2007    $215,041.00      $186,784.00     $215,041.00       -$28,257.00    1.15
At The Main Entrance Of The Superior Court Building 201 West Jefferson Phoenix Az       10/14/2005    $308,000.00      $212,800.00     $308,000.00       -$95,200.00    1.45
In The Courtyard By The Main Entrance To The Superior Court Building 201 West Jefferson 02/23/2007
                                                                                        Phoenix       $344,000.00      $247,950.00     $344,000.00       -$96,050.00    1.39
In The Courtyard By The Main Entrance To The Superior Court Building 201 West Jefferson 11/02/2005
                                                                                        Phoenix       $199,500.00      $123,025.00     $199,500.00       -$76,475.00    1.62
At The Main Entrance Of The Superior Court Building 201 West Jefferson Phoenix Az       05/16/2001    $389,200.00      $510,150.00     $389,200.00       $120,950.00    0.76
Office Of Michael A. Bosco Jr.                                                                        $216,660.00      $151,050.00     $216,660.00       -$65,610.00    1.43
At The Main Entrance Of The Superior Court Building 201 West Jefferson Phoenix Az       10/24/2006    $635,000.00      $483,075.00     $635,000.00      -$151,925.00    1.31
At The Main Entrance Of The Superior Court Building 201 West Jefferson Phoenix Az       01/26/2006    $198,000.00      $102,125.00     $198,000.00       -$95,875.00    1.94
At The Main Entrance Of The Superior Court Building 201 West Jefferson Phoenix Az       09/12/2006    $223,250.00      $115,900.00     $223,250.00      -$107,350.00    1.93
Office Of Michael A. Bosco Jr.                                                                        $163,200.00      $104,500.00     $163,200.00       -$58,700.00    1.56
At The Main Entrance Of The Superior Court Building 201 West Jefferson Phoenix Az       05/17/2006   $1,365,000.00   $1,779,350.00    $1,365,000.00      $414,350.00    0.77




                                                                                                                                                      Page 51
Pre-foreclosure List
                                                                                                                                       Maricopa County Week Ending 11/2

Office Of Michael A. Bosco Jr.                                                                          $235,000.00      $140,125.00     $235,000.00       -$94,875.00    1.68
At The Main Entrance Of The Superior Court Building 201 West Jefferson Phoenix Az       07/29/2005        $95,600.00     $100,239.00       $95,600.00        $4,639.00    0.95
At The Main Entrance Of The Superior Court Building 201 West Jefferson Phoenix Az       11/14/2006      $315,000.00      $232,275.00     $315,000.00       -$82,725.00    1.36
At The Main Entrance Of The Superior Court Building 201 West Jefferson Phoenix Az                       $194,050.00      $174,800.00     $194,050.00       -$19,250.00    1.11
Law Offices Of Perry & Shapiro                                                                          $417,000.00      $359,100.00     $417,000.00       -$57,900.00    1.16
Office Of Michael A. Bosco Jr.                                                                          $163,060.00      $109,250.00     $163,060.00       -$53,810.00    1.49
At The Main Entrance Of The Superior Court Building 201 West Jefferson Phoenix Az       08/25/2005      $169,000.00      $129,200.00     $169,000.00       -$39,800.00    1.31
At The Main Entrance Of The Superior Court Building 201 West Jefferson Phoenix Az       12/12/2006      $211,500.00      $101,650.00     $211,500.00      -$109,850.00    2.08
Law Offices Of Perry & Shapiro                                                                          $190,000.00      $111,625.00     $190,000.00       -$78,375.00     1.7
Law Offices Of Perry & Shapiro                                                                          $128,000.00      $132,629.00     $128,000.00         $4,629.00    0.97
At The Main Entrance Of The Superior Court Building 201 West Jefferson Phoenix Az       12/01/2005      $182,000.00      $119,225.00     $182,000.00       -$62,775.00    1.53
At The Main Entrance To The Superior Courts Building 201 W. Jefferson Phoenix Az.                       $110,400.00      $105,450.00     $110,400.00        -$4,950.00    1.05
At The Main Entrance Of The Superior Court Building 201 West Jefferson Phoenix Arizona 06/23/2004       $142,925.00      $119,700.00     $142,925.00       -$23,225.00    1.19
At The Main Entrance Of The Superior Court Building 201 West Jefferson Phoenix Az       09/14/2006      $262,500.00      $222,775.00     $262,500.00       -$39,725.00    1.18
At The Main Entrance Of The Superior Court Building 201 West Jefferson Phoenix Az       02/15/2006      $157,100.00      $100,225.00     $157,100.00       -$56,875.00    1.57
At The Main Entrance Of The Superior Court Building 201 West Jefferson Phoenix Az                       $204,880.00      $167,675.00     $204,880.00       -$37,205.00    1.22
At The Main Entrance Of The Superior Court Building 201 West Jefferson Phoenix Arizona 07/26/2004       $115,494.00      $108,775.00     $115,494.00        -$6,719.00    1.06
At The Main Entrance Of The Superior Court Building 201 West Jefferson Phoenix Az                       $207,850.00      $167,675.00     $207,850.00       -$40,175.00    1.24
At The Steps At The Front Entrance Of The Superior Court Building 201 West Jefferson Phoenix Arizona
                                                                                        02/23/2007      $213,592.00      $157,700.00     $213,592.00       -$55,892.00    1.35
Law Offices Of Perry & Shapiro                                                                          $197,056.00      $147,250.00     $197,056.00       -$49,806.00    1.34
At The Main Entrance Of The Superior Court Building 201 West Jefferson Phoenix Az       06/12/2006      $580,800.00      $482,600.00     $580,800.00       -$98,200.00     1.2
At The Main Entrance Of The Superior Court Building 201 West Jefferson Phoenix Az                       $246,000.00      $162,450.00     $246,000.00       -$83,550.00    1.51
At The Main Entrance Of The Superior Court Building 201 West Jefferson Phoenix Az       07/31/2008      $252,227.00      $179,075.00     $252,227.00       -$73,152.00    1.41
At The Main Entrance Of The Superior Court Building 201 West Jefferson Phoenix Az                       $181,231.00      $142,500.00     $181,231.00       -$38,731.00    1.27
Office Of Michael A. Bosco Jr.                                                          11/05/2008      $145,803.00      $125,400.00     $145,803.00       -$20,403.00    1.16
At The Main Entrance Of The Superior Court Building 201 West Jefferson Phoenix Az       11/14/2005      $181,930.00      $125,400.00     $181,930.00       -$56,530.00    1.45
At The Main Entrance Of The Superior Court Building 201 West Jefferson Phoenix Az       02/28/2006      $250,000.00      $318,725.00     $250,000.00        $68,725.00    0.78
Law Offices Of Perry & Shapiro                                                                          $148,080.00      $104,500.00     $148,080.00       -$43,580.00    1.42
At The Main Entrance Of The Superior Court Building 201 West Jefferson Phoenix Az       10/30/2006      $176,000.00      $111,625.00     $176,000.00       -$64,375.00    1.58
Office Of Michael A. Bosco Jr.                                                                          $285,000.00      $167,200.00     $285,000.00      -$117,800.00    1.71
Office Of Michael A. Bosco Jr.                                                                          $196,000.00      $114,950.00     $196,000.00       -$81,050.00    1.71
At The Main Entrance Of The Superior Court Building 201 West Jefferson Phoenix Az       03/12/2008      $175,920.00      $121,125.00     $175,920.00       -$54,795.00    1.45
In The Courtyard By The Main Entrance To The Superior Court Building 201 West Jefferson 01/25/2006
                                                                                        Phoenix        $1,500,000.00   $1,066,375.00    $1,500,000.00     -$433,625.00    1.41
At The Main Entrance Of The Superior Court Building 201 West Jefferson Phoenix Az                       $217,275.00      $120,175.00     $217,275.00       -$97,100.00    1.81
At The Main Entrance To The Superior Courts Building 201 W. Jefferson Phoenix Az.                       $225,000.00      $186,675.00     $225,000.00       -$38,325.00    1.21
At The Main Entrance Of The Superior Court Building 201 West Jefferson Phoenix Az       01/23/2007      $220,000.00      $155,800.00     $220,000.00       -$64,200.00    1.41
Office Of Michael A. Bosco Jr.                                                                          $294,363.00      $193,325.00     $294,363.00      -$101,038.00    1.52
Office Of Michael A. Bosco Jr.                                                                          $284,000.00      $183,825.00     $284,000.00      -$100,175.00    1.55
At The Main Entrance Of The Superior Court Building 201 West Jefferson Phoenix Az       05/12/2006      $390,000.00      $325,375.00     $390,000.00       -$64,625.00     1.2
At The Main Entrance Of The Superior Court Building 201 West Jefferson Phoenix Az                         $43,110.00      $85,025.00       $43,110.00       $41,915.00    0.51
At The Main Entrance Of The Superior Court Building 201 West Jefferson Phoenix Az       03/26/2008      $246,813.00      $201,875.00     $246,813.00       -$44,938.00    1.22
At The Main Entrance Of The Superior Court Building 201 West Jefferson Phoenix Az       06/27/2005      $650,000.00      $744,959.00     $650,000.00        $94,959.00    0.87
At The Main Entrance Of The Superior Court Building 201 West Jefferson Phoenix Az       12/15/2006      $217,800.00       $94,050.00     $217,800.00      -$123,750.00    2.32
At The Main Entrance Of The Superior Court Building 201 West Jefferson Phoenix Az                       $176,000.00       $89,300.00     $176,000.00       -$86,700.00    1.97
At The Main Entrance Of The Superior Court Building 201 West Jefferson Phoenix Az       04/03/2008      $147,910.00      $117,800.00     $147,910.00       -$30,110.00    1.26
At The Main Entrance Of The Superior Court Building 201 West Jefferson Phoenix Az       05/30/2006      $207,483.00      $143,925.00     $207,483.00       -$63,558.00    1.44
At The Main Entrance Of The Superior Court Building 201 West Jefferson Phoenix Az                       $244,000.00      $151,050.00     $244,000.00       -$92,950.00    1.62
Office Of Michael A. Bosco Jr.                                                                          $145,000.00       $92,625.00     $145,000.00       -$52,375.00    1.57
At The Main Entrance Of The Superior Court Building 201 West Jefferson Phoenix Az                       $169,834.00      $102,600.00     $169,834.00       -$67,234.00    1.66
At The Main Entrance Of The Superior Court Building 201 West Jefferson Phoenix Az       01/18/2007      $209,728.00      $143,450.00     $209,728.00       -$66,278.00    1.46
Office Of Michael A. Bosco Jr.                                                                          $180,000.00      $139,175.00     $180,000.00       -$40,825.00    1.29
At The Main Entrance Of The Superior Court Building 201 West Jefferson Phoenix Az       08/12/2005      $196,000.00      $139,650.00     $196,000.00       -$56,350.00     1.4
At The Main Entrance Of The Superior Court Building 201 West Jefferson Phoenix Az                       $250,462.00      $126,825.00     $250,462.00      -$123,637.00    1.98
At The Main Entrance Of The Superior Court Building 201 West Jefferson Phoenix Az                       $240,000.00      $208,050.00     $240,000.00       -$31,950.00    1.15
Office Of Michael A. Bosco Jr.                                                                          $389,520.00      $161,025.00     $389,520.00      -$228,495.00    2.42
Office Of Michael A. Bosco Jr.                                                                          $188,800.00      $164,350.00     $188,800.00       -$24,450.00    1.15
Office Of Michael A. Bosco Jr.                                                                          $305,000.00                      $305,000.00




                                                                                                                                                        Page 52
Pre-foreclosure List
                                                                                                                                       Maricopa County Week Ending 11/2

Office Of Michael A. Bosco Jr.                                                                          $257,600.00     $206,151.00      $257,600.00       -$51,449.00    1.25
At The Main Entrance Of The Superior Court Building 201 West Jefferson Phoenix Arizona 03/17/2008       $162,000.00     $111,150.00      $162,000.00       -$50,850.00    1.46
At The Main Entrance Of The Superior Court Building 201 West Jefferson Phoenix Az                       $154,800.00     $117,325.00      $154,800.00       -$37,475.00    1.32
At The Main Entrance Of The Superior Court Building 201 West Jefferson Phoenix Az       05/30/2006      $244,000.00     $162,450.00      $244,000.00       -$81,550.00     1.5
Law Offices Of Perry & Shapiro                                                                          $144,000.00     $115,425.00      $144,000.00       -$28,575.00    1.25
At The Main Entrance Of The Superior Court Building 201 West Jefferson Phoenix Az       09/20/2005      $241,400.00     $171,000.00      $241,400.00       -$70,400.00    1.41
Office Of Michael A. Bosco Jr.                                                                          $204,800.00     $125,875.00      $204,800.00       -$78,925.00    1.63
At The Main Entrance Of The Superior Court Building 201 West Jefferson Phoenix Az       03/13/2006      $219,000.00     $139,175.00      $219,000.00       -$79,825.00    1.57
At The Main Entrance Of The Superior Court Building 201 West Jefferson Phoenix Az       03/04/2004      $240,000.00     $345,325.00      $240,000.00       $105,325.00     0.7
At The Main Entrance Of The Superior Court Building 201 West Jefferson Phoenix Az       06/23/2005      $192,000.00     $150,575.00      $192,000.00       -$41,425.00    1.28
At The Main Entrance Of The Superior Court Building 201 West Jefferson Phoenix Az       03/08/2006      $560,000.00     $341,525.00      $560,000.00      -$218,475.00    1.64
Office Of Michael A. Bosco Jr.                                                                          $260,000.00     $206,150.00      $260,000.00       -$53,850.00    1.26
At The Steps At The Front Entrance Of The Superior Court Building 201 West Jefferson Phoenix Arizona
                                                                                        07/25/2005      $232,000.00     $160,550.00      $232,000.00       -$71,450.00    1.45
At The Main Entrance Of The Superior Court Building 201 West Jefferson Phoenix Az                       $400,000.00     $275,025.00      $400,000.00      -$124,975.00    1.45
At The Main Entrance Of The Superior Court Building 201 West Jefferson Phoenix Az       05/16/2005      $400,000.00     $233,700.00      $400,000.00      -$166,300.00    1.71
At The Main Entrance Of The Superior Court Building 201 West Jefferson Phoenix Arizona 07/11/2005       $303,000.00     $238,925.00      $303,000.00       -$64,075.00    1.27
In The Courtyard By The Main Entrance To The Superior Court Building 201 West Jefferson 09/03/2008
                                                                                        Phoenix         $201,448.00                      $201,448.00
At The Main Entrance Of The Superior Court Building 201 West Jefferson Phoenix Az       01/18/2006      $128,000.00       $93,575.00     $128,000.00       -$34,425.00    1.37
At The Main Entrance Of The Superior Court Building 201 West Jefferson Phoenix Az       11/28/2006      $115,000.00       $98,800.00     $115,000.00       -$16,200.00    1.16
Office Of Michael A. Bosco Jr.                                                                          $270,000.00      $340,676.00     $270,000.00        $70,676.00    0.79
At The Main Entrance Of The Superior Court Building 201 West Jefferson Phoenix Az       06/09/2005      $212,000.00      $129,200.00     $212,000.00       -$82,800.00    1.64
Office Of Michael A. Bosco Jr.                                                                          $149,600.00      $116,850.00     $149,600.00       -$32,750.00    1.28
At The Main Entrance Of The Superior Court Building 201 West Jefferson Phoenix Az                       $482,000.00      $663,575.00     $482,000.00       $181,575.00    0.73
At The Main Entrance Of The Superior Court Building 201 West Jefferson Phoenix Az                      $1,575,000.00   $1,375,600.00    $1,575,000.00     -$199,400.00    1.15
Office Of Michael A. Bosco Jr.                                                                          $455,000.00      $397,575.00     $455,000.00       -$57,425.00    1.14
At The Main Entrance Of The Superior Court Building 201 West Jefferson Phoenix Az                       $211,280.00      $131,575.00     $211,280.00       -$79,705.00    1.61
At The Main Entrance Of The Superior Court Building 201 West Jefferson Phoenix Az       09/28/2004      $261,250.00      $207,100.00     $261,250.00       -$54,150.00    1.26
At The Main Entrance Of The Superior Court Building 201 West Jefferson Phoenix Az       06/08/2006      $275,000.00      $269,800.00     $275,000.00        -$5,200.00    1.02
In The Courtyard By The Main Entrance To The Superior Court Building 201 West Jefferson 04/12/2006
                                                                                        Phoenix         $190,000.00                      $190,000.00
Law Offices Of Perry & Shapiro                                                                          $228,637.00     $112,575.00      $228,637.00      -$116,062.00    2.03
At The Main Entrance Of The Superior Court Building 201 West Jefferson Phoenix Az       04/12/2007      $233,400.00     $106,875.00      $233,400.00      -$126,525.00    2.18
At The Main Entrance Of The Superior Court Building 201 West Jefferson Phoenix Az       10/03/2006      $127,500.00     $103,075.00      $127,500.00       -$24,425.00    1.24
At The Main Entrance Of The Superior Court Building 201 West Jefferson Phoenix Az       05/15/2007      $560,000.00     $311,600.00      $560,000.00      -$248,400.00     1.8
At The Main Entrance Of The Superior Court Building 201 West Jefferson Phoenix Az                       $236,000.00     $154,850.00      $236,000.00       -$81,150.00    1.52
At The Main Entrance Of The Superior Court Building 201 West Jefferson Phoenix Az       06/13/2006      $265,000.00     $200,450.00      $265,000.00       -$64,550.00    1.32
At The Main Entrance Of The Superior Court Building 201 West Jefferson Phoenix Az       11/08/2007      $476,000.00     $331,075.00      $476,000.00      -$144,925.00    1.44
At The Main Entrance Of The Superior Court Building 201 West Jefferson Phoenix Az       02/15/2005      $160,000.00     $127,775.00      $160,000.00       -$32,225.00    1.25
At The Main Entrance Of The Superior Court Building 201 West Jefferson Phoenix Az                       $172,800.00     $113,050.00      $172,800.00       -$59,750.00    1.53
Office Of Michael A. Bosco Jr.                                                                          $184,000.00     $103,550.00      $184,000.00       -$80,450.00    1.78
At The Main Entrance Of The Superior Court Building 201 West Jefferson Phoenix Az                       $345,100.00     $296,400.00      $345,100.00       -$48,700.00    1.16
At The Main Entrance Of The Superior Court Building 201 West Jefferson Phoenix Az                       $204,513.00      $99,275.00      $204,513.00      -$105,238.00    2.06
Office Of Michael A. Bosco Jr.                                                                          $188,000.00     $128,250.00      $188,000.00       -$59,750.00    1.47
At The Main Entrance Of The Superior Court Building 201 West Jefferson Phoenix Az                       $204,000.00     $113,525.00      $204,000.00       -$90,475.00     1.8
At The Main Entrance Of The Superior Court Building 201 West Jefferson Phoenix Az                       $296,000.00     $158,650.00      $296,000.00      -$137,350.00    1.87
Law Offices Of Perry & Shapiro                                                                          $178,850.00     $138,700.00      $178,850.00       -$40,150.00    1.29
At The Main Entrance Of The Superior Court Building 201 West Jefferson Phoenix Az       11/03/2006      $105,000.00      $84,550.00      $105,000.00       -$20,450.00    1.24
In The Courtyard By The Main Entrance To The Superior Court Building 201 West Jefferson 12/05/2005
                                                                                        Phoenix         $177,600.00     $120,650.00      $177,600.00       -$56,950.00    1.47
Office Of Michael A. Bosco Jr.                                                                          $237,000.00     $188,575.00      $237,000.00       -$48,425.00    1.26
Empire West Title Agency                                                                                $100,000.00     $141,550.00      $100,000.00        $41,550.00    0.71
Office Of Michael A. Bosco Jr.                                                                          $341,000.00     $313,500.00      $341,000.00       -$27,500.00    1.09
At The Main Entrance Of The Superior Court Building 201 West Jefferson Phoenix Az       03/27/1997        $91,769.00    $112,575.00        $91,769.00       $20,806.00    0.82
Office Of Michael A. Bosco Jr.                                                                          $637,500.00                      $637,500.00
Office Of Michael A. Bosco Jr.                                                                          $155,000.00     $115,900.00      $155,000.00       -$39,100.00    1.34
At The Main Entrance Of The Superior Court Building 201 West Jefferson Phoenix Az                       $157,250.00      $59,850.00      $157,250.00       -$97,400.00    2.63
Office Of Michael A. Bosco Jr.                                                                          $100,000.00      $83,600.00      $100,000.00       -$16,400.00     1.2
Office Of Michael A. Bosco Jr.                                                                          $131,992.00      $90,725.00      $131,992.00       -$41,267.00    1.46
Office Of Michael A. Bosco Jr.                                                                          $266,000.00     $237,500.00      $266,000.00       -$28,500.00    1.12




                                                                                                                                                        Page 53
Pre-foreclosure List
                                                                                                                                   Maricopa County Week Ending 11/2

At The Main Entrance Of The Superior Court Building 201 West Jefferson Phoenix Arizona 11/08/2005      $135,920.00   $136,982.00     $135,920.00        $1,062.00     0.99
At The Main Entrance Of The Superior Court Building 201 West Jefferson Phoenix Az       03/27/2006     $205,000.00   $244,625.00     $205,000.00       $39,625.00     0.84
At The Main Entrance Of The Superior Court Building 201 West Jefferson Phoenix Az                      $154,660.00   $156,078.00     $154,660.00        $1,418.00     0.99
At The Main Entrance Of The Superior Court Building 201 West Jefferson Phoenix Az       07/10/2005     $209,950.00   $229,900.00     $209,950.00       $19,950.00     0.91
At The Main Entrance Of The Superior Court Building 201 West Jefferson Phoenix Az       02/02/2006     $536,000.00   $526,211.00     $536,000.00       -$9,789.00     1.02
At The Main Entrance Of The Superior Court Building 201 West Jefferson Phoenix Az                      $514,422.00   $327,750.00     $514,422.00     -$186,672.00     1.57
At The Main Entrance Of The Superior Court Building 201 West Jefferson Phoenix Az                       $70,000.00   $106,400.00      $70,000.00       $36,400.00     0.66
At The Main Entrance Of The Superior Court Building 201 West Jefferson Phoenix Az       09/26/2002     $246,400.00   $221,527.00     $246,400.00      -$24,873.00     1.11
Office Of Michael A. Bosco Jr.                                                                         $260,000.00   $167,675.00     $260,000.00      -$92,325.00     1.55
At The Main Entrance Of The Superior Court Building 201 West Jefferson Phoenix Az       11/10/2005      $60,000.00    $79,325.00      $60,000.00       $19,325.00     0.76
Office Of Michael A. Bosco Jr.                                                                         $172,500.00   $113,050.00     $172,500.00      -$59,450.00     1.53
At The Main Entrance Of The Superior Court Building 201 West Jefferson Phoenix Az       09/25/2008     $352,721.00   $298,300.00     $352,721.00      -$54,421.00     1.18
Office Of Michael A. Bosco Jr.                                                                         $215,180.00   $175,275.00     $215,180.00      -$39,905.00     1.23
At The Main Entrance Of The Superior Court Building 201 West Jefferson Phoenix Az       11/07/2007     $268,000.00   $241,300.00     $268,000.00      -$26,700.00     1.11
In The Courtyard By The Main Entrance To The Superior Court Building 201 West Jefferson 04/24/2006
                                                                                        Phoenix        $218,400.00   $126,350.00     $218,400.00      -$92,050.00     1.73
In The Courtyard By The Main Entrance To The Superior Court Building 201 West Jefferson 09/23/2005
                                                                                        Phoenix        $200,000.00   $173,375.00     $200,000.00      -$26,625.00     1.15
At The Main Entrance Of The Superior Court Building 201 West Jefferson Phoenix Az       10/16/2006     $678,000.00   $445,550.00     $678,000.00     -$232,450.00     1.52
Office Of Michael A. Bosco Jr.                                                                         $237,000.00   $121,600.00     $237,000.00     -$115,400.00     1.95
At The Main Entrance Of The Superior Court Building 201 West Jefferson Phoenix Arizona 03/20/2006      $170,000.00   $221,825.00     $170,000.00       $51,825.00     0.77
Office Of Michael A. Bosco Jr.                                                                         $267,500.00   $231,390.00     $267,500.00      -$36,110.00     1.16
At The Main Entrance Of The Superior Court Building 201 West Jefferson Phoenix Arizona 09/21/2007      $395,000.00   $221,825.00     $395,000.00     -$173,175.00     1.78
Office Of Michael A. Bosco Jr.                                                                         $149,500.00    $94,050.00     $149,500.00      -$55,450.00     1.59
Law Offices Of Perry & Shapiro                                                                         $675,000.00   $484,025.00     $675,000.00     -$190,975.00      1.4
In The Courtyard By The Main Entrance To The Superior Court Building 201 West Jefferson 09/28/2007
                                                                                        Phoenix        $207,200.00   $160,802.00     $207,200.00      -$46,398.00     1.29
In The Courtyard By The Main Entrance To The Superior Court Building 201 West Jefferson 03/13/2007
                                                                                        Phoenix        $255,931.00   $168,625.00     $255,931.00      -$87,306.00     1.52
At The Steps At The Front Entrance Of The Superior Court Building 201 West Jefferson Phoenix Arizona
                                                                                        03/08/2006     $173,000.00   $126,350.00     $173,000.00      -$46,650.00     1.37
At The Main Entrance Of The Superior Court Building 201 West Jefferson Phoenix Az       11/29/2006                   $205,675.00           $0.00
At The Main Entrance Of The Superior Court Building 201 West Jefferson Phoenix Az                      $139,900.00   $133,475.00     $139,900.00       -$6,425.00     1.05
In The Courtyard By The Main Entrance To The Superior Court Building 201 West Jefferson 06/03/2003
                                                                                        Phoenix         $95,009.00   $125,875.00      $95,009.00       $30,866.00     0.76
At The Main Entrance Of The Superior Court Building 201 West Jefferson Phoenix Az                      $418,500.00                   $418,500.00
Office Of Michael A. Bosco Jr.                                                                         $144,000.00    $88,825.00     $144,000.00      -$55,175.00     1.62
At The Main Entrance Of The Superior Court Building 201 West Jefferson Phoenix Az       11/16/2007      $91,200.00    $65,550.00      $91,200.00      -$25,650.00     1.39
Office Of Michael A. Bosco Jr.                                                                         $280,804.00   $166,725.00     $280,804.00     -$114,079.00     1.68
At The Main Entrance Of The Superior Court Building 201 West Jefferson Phoenix Az                      $270,443.00   $147,250.00     $270,443.00     -$123,193.00     1.84
At The Main Entrance Of The Superior Court Building 201 West Jefferson Phoenix Az       08/06/2004     $148,000.00   $173,850.00     $148,000.00       $25,850.00     0.85
At The Main Entrance Of The Superior Court Building 201 West Jefferson Phoenix Arizona 06/27/2005      $285,000.00   $278,350.00     $285,000.00       -$6,650.00     1.02
Statewide Foreclosure Services Inc.                                                                    $143,000.00   $375,725.00     $143,000.00      $232,725.00     0.38
At The Main Entrance Of The Superior Court Building 201 West Jefferson Phoenix Az       01/11/2007     $184,000.00    $99,750.00     $184,000.00      -$84,250.00     1.85
At The Main Entrance Of The Superior Court Building 201 West Jefferson Phoenix Az       01/31/2006     $340,000.00   $198,550.00     $340,000.00     -$141,450.00     1.71
At The Main Entrance Of The Superior Court Building 201 West Jefferson Phoenix Az       12/18/2006     $153,000.00    $50,350.00     $153,000.00     -$102,650.00     3.04
Office Of Michael A. Bosco Jr.                                                                         $135,000.00    $85,025.00     $135,000.00      -$49,975.00     1.59
At The Main Entrance Of The Superior Court Building 201 West Jefferson Phoenix Az       07/27/2005     $130,000.00    $99,750.00     $130,000.00      -$30,250.00      1.3
At The Main Entrance Of The Superior Court Building 201 West Jefferson Phoenix Az       01/28/2009     $208,623.00   $104,975.00     $208,623.00     -$103,648.00     1.99
At The Main Entrance Of The Superior Court Building 201 West Jefferson Phoenix Az       03/30/2007     $166,950.00   $103,075.00     $166,950.00      -$63,875.00     1.62
At The Main Entrance Of The Superior Court Building 201 West Jefferson Phoenix Az                      $417,000.00   $210,900.00     $417,000.00     -$206,100.00     1.98
In The Courtyard By The Main Entrance To The Superior Court Building 201 West Jefferson 08/11/2006
                                                                                        Phoenix        $184,000.00    $57,475.00     $184,000.00     -$126,525.00      3.2
At The Main Entrance Of The Superior Court Building 201 West Jefferson Phoenix Az       11/05/2007     $960,000.00   $921,500.00     $960,000.00      -$38,500.00     1.04
At The Main Entrance Of The Superior Court Building 201 West Jefferson Phoenix Az       12/27/2007     $175,000.00    $94,050.00     $175,000.00      -$80,950.00     1.86
Office Of Michael A. Bosco Jr.                                                                         $111,923.00   $102,600.00     $111,923.00       -$9,323.00     1.09
At The Main Entrance Of The Superior Court Building 201 West Jefferson Phoenix Az       01/17/2006     $158,400.00    $97,850.00     $158,400.00      -$60,550.00     1.62
At The Main Entrance Of The Superior Court Building 201 West Jefferson Phoenix Az                      $200,000.00   $130,625.00     $200,000.00      -$69,375.00     1.53
At The Main Entrance Of The Superior Court Building 201 West Jefferson Phoenix Az       03/21/2005     $289,600.00   $243,675.00     $289,600.00      -$45,925.00     1.19
At The Main Entrance Of The Superior Court Building 201 West Jefferson Phoenix Az       08/03/2006     $228,000.00   $137,275.00     $228,000.00      -$90,725.00     1.66
At The Main Entrance Of The Superior Court Building 201 West Jefferson Phoenix Az                      $194,500.00   $120,650.00     $194,500.00      -$73,850.00     1.61
At The Main Entrance Of The Superior Court Building 201 West Jefferson Phoenix Az       08/27/2007     $600,000.00                   $600,000.00
Office Of Michael A. Bosco Jr.                                                                         $420,000.00   $272,175.00     $420,000.00     -$147,825.00     1.54
Office Of Michael A. Bosco Jr.                                                                         $292,000.00   $249,850.00     $292,000.00      -$42,150.00     1.17




                                                                                                                                                   Page 54
Pre-foreclosure List
                                                                                                                                     Maricopa County Week Ending 11/2

At The Main Entrance Of The Superior Court Building 201 West Jefferson Phoenix Az       08/15/2007      $500,000.00    $228,950.00      $500,000.00        -$271,050.00     2.18
Security Title Agency                                                                                   $100,000.00     $91,675.00      $100,000.00          -$8,325.00     1.09
Law Offices Of Perry & Shapiro                                                                          $216,000.00    $129,200.00      $216,000.00         -$86,800.00     1.67
Office Of Michael A. Bosco Jr.                                                                          $150,000.00    $100,700.00      $150,000.00         -$49,300.00     1.49
At The Main Entrance Of The Superior Court Building 201 West Jefferson Phoenix Az       11/11/2005      $190,500.00    $118,750.00      $190,500.00         -$71,750.00      1.6
At The Main Entrance Of The Superior Court Building 201 West Jefferson Phoenix Az       02/16/2007      $136,000.00     $94,525.00      $136,000.00         -$41,475.00     1.44
Office Of Michael A. Bosco Jr.                                                                          $175,750.00    $110,675.00      $175,750.00         -$65,075.00     1.59
Law Offices Of Perry & Shapiro                                                                          $191,750.00    $175,619.00      $191,750.00         -$16,131.00     1.09
At The Main Entrance Of The Superior Court Building 201 West Jefferson Phoenix Az                       $347,000.00    $189,525.00      $347,000.00        -$157,475.00     1.83
At The Main Entrance Of The Superior Court Building 201 West Jefferson Phoenix Az       01/12/2007      $251,650.00    $140,600.00      $251,650.00        -$111,050.00     1.79
Office Of Michael A. Bosco Jr.                                                                          $137,500.00     $92,625.00      $137,500.00         -$44,875.00     1.48
At The Main Entrance Of The Superior Court Building 201 West Jefferson Phoenix Az       12/21/2006      $207,000.00    $103,075.00      $207,000.00        -$103,925.00     2.01
At The Main Entrance Of The Superior Court Building 201 West Jefferson Phoenix Az       12/18/2006      $454,018.00    $295,925.00      $454,018.00        -$158,093.00     1.53
In The Courtyard By The Main Entrance To The Superior Court Building 201 West Jefferson 02/13/2006
                                                                                        Phoenix         $226,300.00    $152,475.00      $226,300.00         -$73,825.00     1.48
At The Main Entrance Of The Superior Court Building 201 West Jefferson Phoenix Az       05/25/2007   $109,200,000.00   $779,950.00   $109,200,000.00   -$108,420,050.00   140.01
Office Of Michael A. Bosco Jr.                                                                          $115,200.00    $120,650.00      $115,200.00           $5,450.00     0.96
In The Courtyard By The Main Entrance To The Superior Court Building 201 West Jefferson 09/27/2006
                                                                                        Phoenix         $543,291.00    $573,146.00      $543,291.00          $29,855.00     0.95
Security Title Agency                                                                                   $184,800.00    $131,100.00      $184,800.00         -$53,700.00     1.41
At The Main Entrance Of The Superior Court Building 201 West Jefferson Phoenix Az       08/25/2006      $540,000.00    $340,575.00      $540,000.00        -$199,425.00     1.59
Office Of Michael A. Bosco Jr.                                                                          $196,000.00    $149,150.00      $196,000.00         -$46,850.00     1.31
At The Main Entrance Of The Superior Court Building 201 West Jefferson Phoenix Az       08/28/2006      $158,240.00    $106,875.00      $158,240.00         -$51,365.00     1.48
At The Main Entrance Of The Superior Court Building 201 West Jefferson Phoenix Az       12/11/2006      $188,000.00    $110,200.00      $188,000.00         -$77,800.00     1.71
At The Main Entrance Of The Superior Court Building 201 West Jefferson Phoenix Az                       $236,640.00    $145,825.00      $236,640.00         -$90,815.00     1.62
Statewide Foreclosure Services Inc.                                                                       $54,900.00    $92,150.00        $54,900.00         $37,250.00      0.6
Office Of Michael A. Bosco Jr.                                                                          $288,800.00    $176,700.00      $288,800.00        -$112,100.00     1.63
At The Main Entrance Of The Superior Court Building 201 West Jefferson Phoenix Az       10/05/2005      $153,000.00    $142,975.00      $153,000.00         -$10,025.00     1.07
Office Of Michael A. Bosco Jr.                                                                          $122,500.00    $149,625.00      $122,500.00          $27,125.00     0.82
At The Main Entrance Of The Superior Court Building 201 West Jefferson Phoenix Arizona 08/01/2008       $131,200.00    $103,402.00      $131,200.00         -$27,798.00     1.27
At The Main Entrance Of The Superior Court Building 201 West Jefferson Phoenix Az       04/22/2004      $276,000.00    $632,225.00      $276,000.00         $356,225.00     0.44
In The Courtyard By The Main Entrance To The Superior Court Building 201 West Jefferson 07/30/2008
                                                                                        Phoenix         $245,645.00    $190,475.00      $245,645.00         -$55,170.00     1.29
At The Main Entrance Of The Superior Court Building 201 West Jefferson Phoenix Az                      $2,700,000.00                   $2,700,000.00
Office Of Michael A. Bosco Jr.                                                                          $316,776.00    $162,450.00      $316,776.00       -$154,326.00      1.95
In The Courtyard By The Main Entrance To The Superior Court Building 201 West Jefferson 06/10/2008
                                                                                        Phoenix         $206,755.00    $169,575.00      $206,755.00        -$37,180.00      1.22
At The Main Entrance Of The Superior Court Building 201 West Jefferson Phoenix Az                       $100,000.00    $133,475.00      $100,000.00         $33,475.00      0.75
At The Main Entrance Of The Superior Court Building 201 West Jefferson Phoenix Az       04/08/2004      $456,000.00    $754,300.00      $456,000.00        $298,300.00      0.61
At The Main Entrance Of The Superior Court Building 201 West Jefferson Phoenix Az       04/14/2006      $213,500.00    $186,200.00      $213,500.00        -$27,300.00      1.15
Office Of Michael A. Bosco Jr.                                                                          $235,000.00    $138,225.00      $235,000.00        -$96,775.00       1.7
At The Main Entrance Of The Superior Court Building 201 West Jefferson Phoenix Az       11/22/2006      $217,600.00    $126,825.00      $217,600.00        -$90,775.00      1.72
At The Main Entrance Of The Superior Court Building 201 West Jefferson Phoenix Az       03/15/2005      $137,700.00    $100,225.00      $137,700.00        -$37,475.00      1.37
At The Main Entrance Of The Superior Court Building 201 West Jefferson Phoenix Az                       $750,000.00     $97,850.00      $750,000.00       -$652,150.00      7.67
Office Of Michael A. Bosco Jr.                                                                          $172,500.00    $113,525.00      $172,500.00        -$58,975.00      1.52
At The Main Entrance Of The Superior Court Building 201 West Jefferson Phoenix Az       06/28/2007      $116,250.00     $85,500.00      $116,250.00        -$30,750.00      1.36
At The Main Entrance Of The Superior Court Building 201 West Jefferson Phoenix Az       10/25/2006      $257,000.00    $198,550.00      $257,000.00        -$58,450.00      1.29
At The Main Entrance Of The Superior Court Building 201 West Jefferson Phoenix Az                       $381,900.00    $191,425.00      $381,900.00       -$190,475.00         2
At The Main Entrance Of The Superior Court Building 201 West Jefferson Phoenix Az       05/09/2006      $487,500.00    $676,875.00      $487,500.00        $189,375.00      0.72
At The Main Entrance Of The Superior Court Building 201 West Jefferson Phoenix Az       08/12/2005      $680,000.00    $419,425.00      $680,000.00       -$260,575.00      1.62
Office Of Michael A. Bosco Jr.                                                          10/13/2009      $319,200.00    $224,675.00      $319,200.00        -$94,525.00      1.42
At The Main Entrance Of The Superior Court Building 201 West Jefferson Phoenix Az       12/17/2007      $250,771.00    $167,200.00      $250,771.00        -$83,571.00       1.5
At The Main Entrance Of The Superior Court Building 201 West Jefferson Phoenix Az       12/22/2005      $244,000.00    $200,925.00      $244,000.00        -$43,075.00      1.21
Office Of Michael A. Bosco Jr.                                                                          $180,000.00    $124,450.00      $180,000.00        -$55,550.00      1.45
At The Main Entrance Of The Superior Court Building 201 West Jefferson Phoenix Az       09/13/2006      $180,000.00    $110,200.00      $180,000.00        -$69,800.00      1.63
At The Main Entrance Of The Superior Court Building 201 West Jefferson Phoenix Az                       $620,000.00    $532,950.00      $620,000.00        -$87,050.00      1.16
In The Courtyard By The Main Entrance To The Superior Court Building 201 West Jefferson 04/30/2008
                                                                                        Phoenix         $260,223.00    $174,800.00      $260,223.00        -$85,423.00      1.49
At The Main Entrance Of The Superior Court Building 201 West Jefferson Phoenix Az       06/21/2006      $300,000.00    $165,775.00      $300,000.00       -$134,225.00      1.81
At The Main Entrance Of The Superior Court Building 201 West Jefferson Phoenix Az                       $133,934.00    $171,950.00      $133,934.00         $38,016.00      0.78
In The Courtyard By The Main Entrance To The Superior Court Building 201 West Jefferson 11/15/2006
                                                                                        Phoenix         $201,600.00    $123,500.00      $201,600.00        -$78,100.00      1.63
Office Of Michael A. Bosco Jr.                                                                          $198,500.00    $157,700.00      $198,500.00        -$40,800.00      1.26




                                                                                                                                                       Page 55
Pre-foreclosure List
                                                                                                                                      Maricopa County Week Ending 11/2

Office Of Michael A. Bosco Jr.                                                                         $149,150.00     $102,600.00      $149,150.00        -$46,550.00      1.45
At The Main Entrance Of The Superior Court Building 201 West Jefferson Phoenix Az       02/14/2007     $456,300.00     $375,725.00      $456,300.00        -$80,575.00      1.21
At The Main Entrance Of The Superior Court Building 201 West Jefferson Phoenix Az       05/31/2006     $257,850.00     $132,525.00      $257,850.00       -$125,325.00      1.95
In The Courtyard By The Main Entrance To The Superior Court Building 201 West Jefferson 04/27/2007
                                                                                        Phoenix        $208,000.00     $123,975.00      $208,000.00        -$84,025.00      1.68
Office Of Michael A. Bosco Jr.                                                                         $171,900.00     $114,475.00      $171,900.00        -$57,425.00       1.5
At The Main Entrance Of The Superior Court Building 201 West Jefferson Phoenix Az       07/25/2007     $168,000.00     $124,450.00      $168,000.00        -$43,550.00      1.35
At The Main Entrance Of The Superior Court Building 201 West Jefferson Phoenix Az       03/31/2009     $129,910.00     $116,375.00      $129,910.00        -$13,535.00      1.12
At The Main Entrance Of The Superior Court Building 201 West Jefferson Phoenix Az       02/01/2006     $168,000.00     $133,950.00      $168,000.00        -$34,050.00      1.25
Office Of Michael A. Bosco Jr.                                                                         $562,500.00     $247,950.00      $562,500.00       -$314,550.00      2.27
Office Of Michael A. Bosco Jr.                                                                         $291,200.00     $258,875.00      $291,200.00        -$32,325.00      1.13
In The Courtyard By The Main Entrance To The Superior Court Building 201 West Jefferson 10/26/2007
                                                                                        Phoenix        $210,000.00     $171,216.00      $210,000.00        -$38,784.00      1.23
At The Main Entrance Of The Superior Court Building 201 West Jefferson Phoenix Az                      $150,000.00     $114,000.00      $150,000.00        -$36,000.00      1.32
Office Of Michael A. Bosco Jr.                                                                         $208,000.00     $109,250.00      $208,000.00        -$98,750.00       1.9
In The Courtyard By The Main Entrance To The Superior Court Building 201 West Jefferson 06/29/2005
                                                                                        Phoenix        $148,799.00     $138,225.00      $148,799.00        -$10,574.00      1.08
At The Main Entrance Of The Superior Court Building 201 West Jefferson Phoenix Az       09/07/2006     $406,700.00     $223,725.00      $406,700.00       -$182,975.00      1.82
At The Main Entrance Of The Superior Court Building 201 West Jefferson Phoenix Az       06/06/2006     $226,000.00     $204,250.00      $226,000.00        -$21,750.00      1.11
At The Main Entrance Of The Superior Court Building 201 West Jefferson Phoenix Az                      $432,000.00     $280,725.00      $432,000.00       -$151,275.00      1.54
Office Of Michael A. Bosco Jr.                                                                         $315,000.00     $213,750.00      $315,000.00       -$101,250.00      1.47
Front Lobby Of Jaburg & Wilk                                                                           $834,000.00                      $834,000.00
At The Main Entrance Of The Superior Court Building 201 West Jefferson Phoenix Az       04/04/2006     $192,000.00      $228,000.00     $192,000.00          $36,000.00     0.84
Law Offices Of Perry & Shapiro                                                                         $417,000.00      $467,400.00     $417,000.00          $50,400.00     0.89
At The Main Entrance Of The Superior Court Building 201 West Jefferson Phoenix Az       12/14/2005     $113,600.00       $78,375.00     $113,600.00         -$35,225.00     1.45
At The Main Entrance Of The Superior Court Building 201 West Jefferson Phoenix Az       09/06/2006     $160,000.00       $96,425.00     $160,000.00         -$63,575.00     1.66
Office Of Michael A. Bosco Jr.                                                                         $139,950.00      $162,450.00     $139,950.00          $22,500.00     0.86
Office Of Michael A. Bosco Jr.                                                                         $417,000.00      $374,300.00     $417,000.00         -$42,700.00     1.11
Office Of Michael A. Bosco Jr.                                                                         $216,000.00      $123,975.00     $216,000.00         -$92,025.00     1.74
At The Main Entrance Of The Superior Court Building 201 West Jefferson Phoenix Az       03/24/2005     $256,000.00      $292,600.00     $256,000.00          $36,600.00     0.88
Office Of Michael A. Bosco Jr.                                                                         $190,000.00      $132,050.00     $190,000.00         -$57,950.00     1.44
At The Main Entrance Of The Superior Court Building 201 West Jefferson Phoenix Az       05/09/2006     $232,000.00      $127,300.00     $232,000.00        -$104,700.00     1.82
Office Of Michael A. Bosco Jr.                                                                         $576,000.00      $284,050.00     $576,000.00        -$291,950.00     2.03
At The Main Entrance Of The Superior Court Building 201 West Jefferson Phoenix Az       06/11/2007     $240,000.00      $166,250.00     $240,000.00         -$73,750.00     1.44
At The Main Entrance Of The Superior Court Building 201 West Jefferson Phoenix Az       10/06/2005     $217,500.00      $126,825.00     $217,500.00         -$90,675.00     1.72
In The Courtyard By The Main Entrance To The Superior Court Building 201 West Jefferson 03/28/2006
                                                                                        Phoenix        $120,000.00       $97,375.00     $120,000.00         -$22,625.00     1.23
At The Main Entrance Of The Superior Court Building 201 West Jefferson Phoenix Az       04/07/2005     $162,435.00      $147,250.00     $162,435.00         -$15,185.00      1.1
In The Courtyard By The Main Entrance To The Superior Court Building 201 West Jefferson 11/16/2005
                                                                                        Phoenix        $145,600.00      $148,958.00     $145,600.00           $3,358.00     0.98
At The Main Entrance Of The Superior Court Building 201 West Jefferson Phoenix Az       09/23/2008     $168,458.00      $124,450.00     $168,458.00         -$44,008.00     1.35
At The Main Entrance Of The Superior Court Building 201 West Jefferson Phoenix Az                      $164,252.00      $112,100.00     $164,252.00         -$52,152.00     1.47
At The Main Entrance Of The Superior Court Building 201 West Jefferson Phoenix Az                      $159,100.00      $101,650.00     $159,100.00         -$57,450.00     1.57
Office Of Michael A. Bosco Jr.                                                                         $200,000.00      $104,500.00     $200,000.00         -$95,500.00     1.91
Office Of Michael A. Bosco Jr.                                                                         $188,000.00      $203,775.00     $188,000.00          $15,775.00     0.92
At The Main Entrance Of The Superior Court Building 201 West Jefferson Phoenix Az                      $231,700.00      $121,125.00     $231,700.00        -$110,575.00     1.91
In The Courtyard By The Main Entrance To The Superior Court Building 201 West Jefferson 08/01/2003
                                                                                        Phoenix        $109,074.00      $108,775.00     $109,074.00            -$299.00        1
At The Main Entrance Of The Superior Court Building 201 West Jefferson Phoenix Az       02/02/2007     $305,200.00      $264,100.00     $305,200.00         -$41,100.00     1.16
At The Main Entrance Of The Superior Court Building 201 West Jefferson Phoenix Az                        $40,000.00     $147,725.00       $40,000.00        $107,725.00     0.27
Office Of Michael A. Bosco Jr.                                                                         $406,000.00      $256,500.00     $406,000.00        -$149,500.00     1.58
Statewide Foreclosure Services Inc.                                                                      $83,250.00      $91,200.00       $83,250.00          $7,950.00     0.91
At The Main Entrance Of The Superior Court Building 201 West Jefferson Phoenix Az       09/06/2007     $924,000.00      $542,450.00     $924,000.00        -$381,550.00      1.7
Office Of Michael A. Bosco Jr.                                                                         $340,800.00      $249,850.00     $340,800.00         -$90,950.00     1.36
At The Main Entrance Of The Superior Court Building 201 West Jefferson Phoenix Az       12/07/2005     $880,000.00      $684,950.00     $880,000.00        -$195,050.00     1.29
Office Of Michael A. Bosco Jr.                                                                         $826,500.00      $634,600.00     $826,500.00        -$191,900.00      1.3
At The Main Entrance Of The Superior Court Building 201 West Jefferson Phoenix Az       07/31/2007     $892,570.00    $1,117,675.00     $892,570.00         $225,105.00      0.8
At The Main Entrance Of The Superior Court Building 201 West Jefferson Phoenix Az                      $170,900.00      $131,575.00     $170,900.00         -$39,325.00      1.3
Office Of Michael A. Bosco Jr.                                                                         $215,295.00      $130,150.00     $215,295.00         -$85,145.00     1.65
At The Main Entrance Of The Superior Court Building 201 West Jefferson Phoenix Az       09/26/2006     $188,000.00      $118,750.00     $188,000.00         -$69,250.00     1.58
At The Main Entrance Of The Superior Court Building 201 West Jefferson Phoenix Az                      $262,382.00      $128,725.00     $262,382.00        -$133,657.00     2.04
At The Main Entrance Of The Superior Court Building 201 West Jefferson Phoenix Az       03/29/2006   $16,792,000.00     $144,875.00   $16,792,000.00    -$16,647,125.00   115.91
At The Main Entrance Of The Superior Court Building 201 West Jefferson Phoenix Az                      $199,000.00      $103,075.00     $199,000.00         -$95,925.00     1.93




                                                                                                                                                       Page 56
Pre-foreclosure List
                                                                                                                                         Maricopa County Week Ending 11/2

In The Courtyard By The Main Entrance To The Superior Court Building 201 West Jefferson 11/07/2005
                                                                                        Phoenix           $259,000.00     $131,575.00       $259,000.00      -$127,425.00   1.97
Law Offices Of Perry & Shapiro                                                                            $113,000.00     $109,725.00       $113,000.00        -$3,275.00   1.03
At The Steps At The Front Entrance Of The Superior Court Building 201 West Jefferson Phoenix Arizona
                                                                                        10/18/2005        $204,800.00     $121,125.00       $204,800.00       -$83,675.00   1.69
Law Offices Of Perry & Shapiro                                                                            $241,062.00     $130,150.00       $241,062.00      -$110,912.00   1.85
At The Steps At The Front Entrance Of The Superior Court Building 201 West Jefferson Phoenix Arizona
                                                                                        10/10/2005        $328,000.00     $209,950.00       $328,000.00      -$118,050.00   1.56
At The Main Entrance Of The Superior Court Building 201 West Jefferson Phoenix Az       01/17/2006        $369,000.00     $195,700.00       $369,000.00      -$173,300.00   1.89
Law Offices Of Perry & Shapiro                                                                            $115,425.00     $116,375.00       $115,425.00          $950.00    0.99
Office Of Michael A. Bosco Jr.                                                                            $178,000.00                       $178,000.00
At The Main Entrance Of The Superior Court Building 201 West Jefferson Phoenix Az                         $188,400.00     $131,100.00       $188,400.00       -$57,300.00   1.44
Western Regional Foreclosures                                                                            $3,325,000.00                     $3,325,000.00
At The Main Entrance Of The Superior Court Building 201 West Jefferson Phoenix Az       11/02/2007        $143,200.00      $93,100.00       $143,200.00       -$50,100.00   1.54
At The Main Entrance Of The Superior Court Building 201 West Jefferson Phoenix Az                         $202,492.00     $110,200.00       $202,492.00       -$92,292.00   1.84
At The Main Entrance Of The Superior Court Building 201 West Jefferson Phoenix Arizona 11/09/2004         $169,950.00     $134,425.00       $169,950.00       -$35,525.00   1.26
At The Main Entrance Of The Superior Court Building 201 West Jefferson Phoenix Az       05/03/2006        $256,000.00     $177,650.00       $256,000.00       -$78,350.00   1.44
At The Main Entrance Of The Superior Court Building 201 West Jefferson Phoenix Az       09/11/2006        $107,500.00      $89,775.00       $107,500.00       -$17,725.00    1.2
At The Steps At The Front Entrance Of The Superior Court Building 201 West Jefferson Phoenix Arizona
                                                                                        11/20/2007        $210,000.00     $119,700.00       $210,000.00       -$90,300.00   1.75
At The Main Entrance Of The Superior Court Building 201 West Jefferson Phoenix Az       02/05/2004        $637,500.00     $731,025.00       $637,500.00        $93,525.00   0.87
At The Main Entrance Of The Superior Court Building 201 West Jefferson Phoenix Az                         $150,000.00     $199,975.00       $150,000.00        $49,975.00   0.75
At The Main Entrance Of The Superior Court Building 201 West Jefferson Phoenix Az       04/01/2009        $176,641.00     $164,825.00       $176,641.00       -$11,816.00   1.07
At The Steps At The Front Entrance Of The Superior Court Building 201 West Jefferson Phoenix Arizona
                                                                                        08/10/2006        $263,500.00     $156,275.00       $263,500.00      -$107,225.00   1.69
Law Offices Of Perry & Shapiro                                                                            $195,000.00     $194,275.00       $195,000.00          -$725.00      1
In The Courtyard By The Main Entrance To The Superior Court Building 201 West Jefferson 04/11/2005
                                                                                        Phoenix           $614,000.00     $427,975.00       $614,000.00      -$186,025.00   1.44
In The Courtyard By The Main Entrance To The Superior Court Building 201 West Jefferson 10/26/2005
                                                                                        Phoenix           $288,300.00     $211,375.00       $288,300.00       -$76,925.00   1.36
At The Main Entrance Of The Superior Court Building 201 West Jefferson Phoenix Az                      $363,250,000.00                   $363,250,000.00
In The Courtyard By The Main Entrance To The Superior Court Building 201 West Jefferson 03/31/2006
                                                                                        Phoenix           $153,920.00       $78,850.00      $153,920.00       -$75,070.00   1.95
At The Steps At The Front Entrance Of The Superior Court Building 201 West Jefferson Phoenix Arizona
                                                                                        09/07/2005        $195,075.00      $133,950.00      $195,075.00       -$61,125.00   1.46
At The Main Entrance Of The Superior Court Building 201 West Jefferson Phoenix Az                         $173,533.00      $126,350.00      $173,533.00       -$47,183.00   1.37
At The Main Entrance Of The Superior Court Building 201 West Jefferson Phoenix Arizona 04/25/2006         $213,500.00      $135,375.00      $213,500.00       -$78,125.00   1.58
At The Steps At The Front Entrance Of The Superior Court Building 201 West Jefferson Phoenix Arizona
                                                                                        08/10/2006        $149,500.00      $104,500.00      $149,500.00       -$45,000.00   1.43
At The Main Entrance Of The Superior Court Building 201 West Jefferson Phoenix Az                         $173,000.00      $138,700.00      $173,000.00       -$34,300.00   1.25
At The Main Entrance Of The Superior Court Building 201 West Jefferson Phoenix Az       06/16/2006        $560,000.00      $493,525.00      $560,000.00       -$66,475.00   1.14
At The Main Entrance Of The Superior Court Building 201 West Jefferson Phoenix Az                         $192,167.00      $123,500.00      $192,167.00       -$68,667.00   1.56
At The Main Entrance Of The Superior Court Building 201 West Jefferson Phoenix Az                         $185,677.00       $98,800.00      $185,677.00       -$86,877.00   1.88
At The Main Entrance Of The Superior Court Building 201 West Jefferson Phoenix Az       07/11/2006        $552,000.00      $386,175.00      $552,000.00      -$165,825.00   1.43
Law Offices Of Perry & Shapiro                                                                            $225,000.00      $123,975.00      $225,000.00      -$101,025.00   1.82
At The Main Entrance Of The Superior Court Building 201 West Jefferson Phoenix Az       03/04/2002          $85,405.00      $95,000.00        $85,405.00        $9,595.00    0.9
At The Main Entrance Of The Superior Court Building 201 West Jefferson Phoenix Az       12/20/2002          $78,000.00     $417,525.00        $78,000.00      $339,525.00   0.19
Law Offices Of Perry & Shapiro                                                                            $184,000.00      $122,075.00      $184,000.00       -$61,925.00   1.51
At The Main Entrance Of The Superior Court Building 201 West Jefferson Phoenix Az                           $25,100.00     $120,650.00        $25,100.00       $95,550.00   0.21
At The Main Entrance Of The Superior Court Building 201 West Jefferson Phoenix Az       03/03/2008        $942,500.00      $811,300.00      $942,500.00      -$131,200.00   1.16
Office Of Michael A. Bosco Jr.                                                                            $101,650.00       $91,200.00      $101,650.00       -$10,450.00   1.12
Office Of Michael A. Bosco Jr.                                                                            $348,000.00      $217,075.00      $348,000.00      -$130,925.00    1.6
The Main Entranceto The Superior Court Building 201 West Jefferson Phoenix Arizona      04/11/2006        $236,000.00      $174,800.00      $236,000.00       -$61,200.00   1.35
At The Main Entrance Of The Superior Court Building 201 West Jefferson Phoenix Az       05/27/2005        $225,000.00      $222,775.00      $225,000.00        -$2,225.00   1.01
At The Main Entrance Of The Superior Court Building 201 West Jefferson Phoenix Az                         $784,000.00    $1,110,550.00      $784,000.00       $326,550.00   0.71
Office Of Michael A. Bosco Jr.                                                                            $198,456.00      $204,010.00      $198,456.00         $5,554.00   0.97
At The Main Entrance Of The Superior Court Building 201 West Jefferson Phoenix Az                         $100,000.00       $72,675.00      $100,000.00       -$27,325.00   1.38
At The Steps At The Front Entrance Of The Superior Court Building 201 West Jefferson Phoenix Arizona
                                                                                        08/08/2007        $100,000.00       $63,175.00      $100,000.00       -$36,825.00   1.58
In The Courtyard By The Main Entrance To The Superior Court Building 201 West Jefferson 04/27/2004
                                                                                        Phoenix           $130,161.00      $108,300.00      $130,161.00       -$21,861.00    1.2
At The Main Entrance Of The Superior Court Building 201 West Jefferson Phoenix Az                         $165,000.00      $109,250.00      $165,000.00       -$55,750.00   1.51
At The Main Entrance Of The Superior Court Building 201 West Jefferson Phoenix Az       02/29/2008        $160,755.00      $129,586.00      $160,755.00       -$31,169.00   1.24
At The Steps At The Front Entrance Of The Superior Court Building 201 West Jefferson Phoenix Arizona
                                                                                        09/29/2005        $127,500.00      $100,700.00      $127,500.00       -$26,800.00   1.27
Law Offices Of Perry & Shapiro                                                                            $150,000.00      $113,050.00      $150,000.00       -$36,950.00   1.33
At The Main Entrance Of The Superior Court Building 201 West Jefferson Phoenix Az       06/29/2005        $180,000.00      $281,200.00      $180,000.00       $101,200.00   0.64
At The Main Entrance Of The Superior Court Building 201 West Jefferson Phoenix Az                         $400,720.00      $263,150.00      $400,720.00      -$137,570.00   1.52
At The Main Entrance Of The Superior Court Building 201 West Jefferson Phoenix Az       12/08/2005        $196,000.00      $118,750.00      $196,000.00       -$77,250.00   1.65
Law Offices Of Perry & Shapiro                                                                            $200,000.00      $144,400.00      $200,000.00       -$55,600.00   1.39




                                                                                                                                                           Page 57
Pre-foreclosure List
                                                                                                                                      Maricopa County Week Ending 11/2

At The Main Entrance Of The Superior Court Building 201 West Jefferson Phoenix Az                        $267,000.00    $220,875.00     $267,000.00       -$46,125.00    1.21
Office Of Michael A. Bosco Jr.                                                                           $212,325.00    $152,000.00     $212,325.00       -$60,325.00     1.4
At The Main Entrance Of The Superior Court Building 201 West Jefferson Phoenix Az                        $171,334.00    $124,450.00     $171,334.00       -$46,884.00    1.38
At The Main Entrance Of The Superior Court Building 201 West Jefferson Phoenix Az       09/29/2005       $284,000.00                    $284,000.00
Law Offices Of Perry & Shapiro                                                                           $212,000.00    $126,350.00     $212,000.00       -$85,650.00    1.68
Law Offices Of Perry & Shapiro                                                                             $68,354.00    $54,269.00       $68,354.00      -$14,085.00    1.26
Office Of Michael A. Bosco Jr.                                                                           $152,000.00     $87,875.00     $152,000.00       -$64,125.00    1.73
At The Main Entrance Of The Superior Court Building 201 West Jefferson Phoenix Az       12/14/2006       $640,000.00    $292,600.00     $640,000.00      -$347,400.00    2.19
Law Offices Of Perry & Shapiro                                                                             $96,000.00                     $96,000.00
Law Offices Of Perry & Shapiro                                                                           $201,000.00    $113,525.00     $201,000.00       -$87,475.00    1.77
At The Steps At The Front Entrance Of The Superior Court Building 201 West Jefferson Phoenix Arizona
                                                                                        09/06/2005       $269,750.00    $193,800.00     $269,750.00       -$75,950.00    1.39
Office Of Michael A. Bosco Jr.                                                                           $388,979.00    $327,275.00     $388,979.00       -$61,704.00    1.19
At The Main Entrance Of The Superior Court Building 201 West Jefferson Phoenix Arizona 12/26/2005        $129,900.00    $104,975.00     $129,900.00       -$24,925.00    1.24
At The Main Entrance Of The Superior Court Building 201 West Jefferson Phoenix Az       06/23/2008       $260,347.00    $196,175.00     $260,347.00       -$64,172.00    1.33
At The Main Entrance Of The Superior Court Building 201 West Jefferson Phoenix Az       05/30/2006       $833,070.00                    $833,070.00
Law Offices Of Perry & Shapiro                                                                           $240,000.00    $186,298.00     $240,000.00       -$53,702.00    1.29
At The Main Entrance Of The Superior Court Building 201 West Jefferson Phoenix Arizona 10/25/2006        $293,250.00    $187,625.00     $293,250.00      -$105,625.00    1.56
At The Main Entrance Of The Superior Court Building 201 West Jefferson Phoenix Az       03/19/2007       $208,800.00    $123,025.00     $208,800.00       -$85,775.00     1.7
Security Title Agency                                                                                    $273,600.00    $228,475.00     $273,600.00       -$45,125.00     1.2
Law Offices Of Perry & Shapiro                                                                           $208,890.00    $105,925.00     $208,890.00      -$102,965.00    1.97
Law Offices Of Perry & Shapiro                                                                           $221,350.00    $133,000.00     $221,350.00       -$88,350.00    1.66
At The Main Entrance Of The Superior Court Building 201 West Jefferson Phoenix Az       07/27/2007       $149,000.00     $88,825.00     $149,000.00       -$60,175.00    1.68
At The Steps At The Front Entrance Of The Superior Court Building 201 West Jefferson Phoenix Arizona
                                                                                        07/28/2006       $150,000.00     $82,175.00     $150,000.00       -$67,825.00    1.83
Office Of Michael A. Bosco Jr.                                                                           $165,000.00    $114,475.00     $165,000.00       -$50,525.00    1.44
Office Of Michael A. Bosco Jr.                                                                           $139,000.00    $112,826.00     $139,000.00       -$26,174.00    1.23
Office Of Michael A. Bosco Jr.                                                                           $224,800.00    $132,050.00     $224,800.00       -$92,750.00     1.7
At The Steps At The Front Entrance Of The Superior Court Building 201 West Jefferson Phoenix Arizona
                                                                                        10/19/2005       $166,250.00     $96,425.00     $166,250.00       -$69,825.00    1.72
In The Courtyard By The Main Entrance To The Superior Court Building 201 West Jefferson 04/20/2006
                                                                                        Phoenix          $405,322.00                    $405,322.00
At The Main Entrance Of The Superior Court Building 201 West Jefferson Phoenix Az       10/28/2008       $457,500.00    $439,850.00     $457,500.00       -$17,650.00    1.04
At The Main Entrance Of The Superior Court Building 201 West Jefferson Phoenix Az                        $194,500.00    $127,775.00     $194,500.00       -$66,725.00    1.52
At The Main Entrance Of The Superior Court Building 201 West Jefferson Phoenix Az       08/11/2008       $212,642.00    $165,300.00     $212,642.00       -$47,342.00    1.29
Office Of Michael A. Bosco Jr.                                                                           $200,000.00    $167,200.00     $200,000.00       -$32,800.00     1.2
At The Main Entrance Of The Superior Court Building 201 West Jefferson Phoenix Az                        $108,800.00    $106,875.00     $108,800.00        -$1,925.00    1.02
Law Offices Of Perry & Shapiro                                                                           $188,000.00     $99,750.00     $188,000.00       -$88,250.00    1.89
At The Main Entrance Of The Superior Court Building 201 West Jefferson Phoenix Az       03/07/2005       $286,220.00    $220,400.00     $286,220.00       -$65,820.00     1.3
Offices Of Gust Rosenfeld                                                                                $175,500.00    $107,350.00     $175,500.00       -$68,150.00    1.64
Law Offices Of Perry & Shapiro                                                                           $369,600.00    $289,750.00     $369,600.00       -$79,850.00    1.28
At The Main Entrance Of The Superior Court Building 201 West Jefferson Phoenix Az                        $204,000.00    $166,725.00     $204,000.00       -$37,275.00    1.22
At The Main Entrance Of The Superior Court Building 201 West Jefferson Phoenix Az       01/25/2007       $167,500.00     $94,525.00     $167,500.00       -$72,975.00    1.77
Office Of Michael A. Bosco Jr.                                                                           $289,633.00    $145,825.00     $289,633.00      -$143,808.00    1.99
At The Main Entrance Of The Superior Court Building 201 West Jefferson Phoenix Az       06/26/2006       $731,250.00    $472,625.00     $731,250.00      -$258,625.00    1.55
At The Main Entrance Of The Superior Court Building 201 West Jefferson Phoenix Az                      $25,030,000.00                 $25,030,000.00
Law Offices Of Perry & Shapiro                                                                             $54,947.00    $48,450.00       $54,947.00       -$6,497.00    1.13
Office Of Michael A. Bosco Jr.                                                                           $280,000.00    $144,400.00     $280,000.00      -$135,600.00    1.94
At The Steps At The Front Entrance Of The Superior Court Building 201 West Jefferson Phoenix Arizona
                                                                                        11/17/2006       $416,000.00    $305,900.00     $416,000.00      -$110,100.00    1.36
At The Steps At The Front Entrance Of The Superior Court Building 201 West Jefferson Phoenix Arizona
                                                                                        07/11/2007       $380,000.00    $232,750.00     $380,000.00      -$147,250.00    1.63
Law Offices Of Perry & Shapiro                                                                           $105,000.00                    $105,000.00
At The Main Entrance Of The Superior Court Building 201 West Jefferson Phoenix Az       12/13/2006       $199,000.00    $122,550.00     $199,000.00       -$76,450.00    1.62
At The Main Entrance Of The Superior Court Building 201 West Jefferson Phoenix Az       05/24/2007       $109,375.00     $85,975.00     $109,375.00       -$23,400.00    1.27
At The Steps At The Front Entrance Of The Superior Court Building 201 West Jefferson Phoenix Arizona
                                                                                        07/11/2005       $145,000.00    $123,975.00     $145,000.00       -$21,025.00    1.17
At The Main Entrance Of The Superior Court Building 201 West Jefferson Phoenix Az       03/08/2007       $882,000.00    $786,125.00     $882,000.00       -$95,875.00    1.12
Office Of Michael A. Bosco Jr.                                                                           $345,000.00    $265,525.00     $345,000.00       -$79,475.00     1.3
At The Main Entrance Of The Superior Court Building 201 West Jefferson Phoenix Az       06/15/2006       $132,000.00    $101,650.00     $132,000.00       -$30,350.00     1.3
At The Main Entrance Of The Superior Court Building 201 West Jefferson Phoenix Az                       $1,040,000.00   $736,250.00    $1,040,000.00     -$303,750.00    1.41
At The Main Entrance Of The Superior Court Building 201 West Jefferson Phoenix Az                        $159,200.00    $112,100.00     $159,200.00       -$47,100.00    1.42
At The Steps At The Front Entrance Of The Superior Court Building 201 West Jefferson Phoenix Arizona
                                                                                        01/10/2006       $185,600.00    $117,325.00     $185,600.00       -$68,275.00    1.58
At The Steps At The Front Entrance Of The Superior Court Building 201 West Jefferson Phoenix Arizona
                                                                                        12/08/2005       $196,800.00    $134,900.00     $196,800.00       -$61,900.00    1.46




                                                                                                                                                       Page 58
Pre-foreclosure List
                                                                                                                                     Maricopa County Week Ending 11/2

At The Main Entrance Of The Superior Court Building 201 West Jefferson Phoenix Az                       $236,800.00    $163,875.00     $236,800.00       -$72,925.00    1.45
Office Of Michael A. Bosco Jr.                                                                          $202,500.00    $184,775.00     $202,500.00       -$17,725.00     1.1
At The Main Entrance Of The Superior Court Building 201 West Jefferson Phoenix Az       10/30/2006      $180,000.00    $122,550.00     $180,000.00       -$57,450.00    1.47
At The Main Entrance Of The Superior Court Building 201 West Jefferson Phoenix Arizona 01/07/2008       $182,000.00    $121,125.00     $182,000.00       -$60,875.00     1.5
At The Main Entrance Of The Superior Court Building 201 West Jefferson Phoenix Az                       $121,500.00    $133,000.00     $121,500.00        $11,500.00    0.91
Office Of Michael A. Bosco Jr.                                                                          $306,000.00    $183,825.00     $306,000.00      -$122,175.00    1.67
Office Of Michael A. Bosco Jr.                                                                          $152,840.00     $94,050.00     $152,840.00       -$58,790.00    1.63
Office Of Michael A. Bosco Jr.                                                                          $417,000.00    $337,250.00     $417,000.00       -$79,750.00    1.24
At The Main Entrance Of The Superior Court Building 201 West Jefferson Phoenix Az                       $438,450.00    $304,000.00     $438,450.00      -$134,450.00    1.44
At The Main Entrance Of The Superior Court Building 201 West Jefferson Phoenix Az       07/18/2007      $608,000.00    $427,500.00     $608,000.00      -$180,500.00    1.42
At The Main Entrance Of The Superior Court Building 201 West Jefferson Phoenix Az       08/04/2006      $583,200.00    $357,675.00     $583,200.00      -$225,525.00    1.63
At The Main Entrance Of The Superior Court Building 201 West Jefferson Phoenix Az       06/27/2006      $188,800.00    $116,375.00     $188,800.00       -$72,425.00    1.62
In The Courtyard By The Main Entrance To The Superior Court Building 201 West Jefferson 03/16/2005
                                                                                        Phoenix         $254,400.00    $226,100.00     $254,400.00       -$28,300.00    1.13
At The Main Entrance Of The Superior Court Building 201 West Jefferson Phoenix Az                       $115,109.00    $172,900.00     $115,109.00        $57,791.00    0.67
At The Main Entrance Of The Superior Court Building 201 West Jefferson Phoenix Az                       $194,500.00    $354,350.00     $194,500.00       $159,850.00    0.55
At The Main Entrance Of The Superior Court Building 201 West Jefferson Phoenix Az       01/14/2009      $217,375.00    $155,800.00     $217,375.00       -$61,575.00     1.4
At The Main Entrance Of The Superior Court Building 201 West Jefferson Phoenix Az       08/04/2005      $194,078.00    $133,475.00     $194,078.00       -$60,603.00    1.45
At The Steps At The Front Entrance Of The Superior Court Building 201 West Jefferson Phoenix Arizona
                                                                                        06/23/2006      $286,000.00    $209,950.00     $286,000.00       -$76,050.00    1.36
At The Main Entrance Of The Superior Court Building 201 West Jefferson Phoenix Az       03/25/2009      $127,412.00     $87,400.00     $127,412.00       -$40,012.00    1.46
At The Main Entrance Of The Superior Court Building 201 West Jefferson Phoenix Az                       $496,600.00    $543,875.00     $496,600.00        $47,275.00    0.91
Office Of Michael A. Bosco Jr.                                                                          $171,000.00     $94,525.00     $171,000.00       -$76,475.00    1.81
Office Of Michael A. Bosco Jr.                                                                          $320,350.00    $239,400.00     $320,350.00       -$80,950.00    1.34
At The Main Entrance Of The Superior Court Building 201 West Jefferson Phoenix Az                       $429,250.00                    $429,250.00
At The Steps At The Front Entrance Of The Superior Court Building 201 West Jefferson Phoenix Arizona
                                                                                        07/19/2005      $208,000.00    $154,375.00     $208,000.00       -$53,625.00    1.35
At The Main Entrance Of The Superior Court Building 201 West Jefferson Phoenix Az                       $400,000.00    $408,500.00     $400,000.00         $8,500.00    0.98
Office Of Michael A. Bosco Jr.                                                                          $188,000.00     $95,950.00     $188,000.00       -$92,050.00    1.96
At The Main Entrance Of The Superior Court Building 201 West Jefferson Phoenix Az       05/06/2005        $80,500.00    $89,300.00       $80,500.00        $8,800.00     0.9
At The Main Entrance Of The Superior Court Building 201 West Jefferson Phoenix Az       04/11/2007      $239,826.00    $180,500.00     $239,826.00       -$59,326.00    1.33
At The Main Entrance Of The Superior Court Building 201 West Jefferson Phoenix Az                       $283,500.00    $199,975.00     $283,500.00       -$83,525.00    1.42
At The Main Entrance Of The Superior Court Building 201 West Jefferson Phoenix Az       05/10/2007      $267,097.00    $127,775.00     $267,097.00      -$139,322.00    2.09
At The Steps At The Front Entrance Of The Superior Court Building 201 West Jefferson Phoenix Arizona
                                                                                        06/08/2005      $202,987.00    $200,129.00     $202,987.00        -$2,858.00    1.01
Security Title Agency                                                                                   $128,000.00     $84,550.00     $128,000.00       -$43,450.00    1.51
Office Of Michael A. Bosco Jr.                                                                          $195,000.00                    $195,000.00
At The Main Entrance Of The Superior Court Building 201 West Jefferson Phoenix Az       03/06/2007      $280,000.00    $218,500.00     $280,000.00       -$61,500.00    1.28
At The Main Entrance Of The Superior Court Building 201 West Jefferson Phoenix Az                       $160,000.00     $98,800.00     $160,000.00       -$61,200.00    1.62
Law Offices Of Perry & Shapiro                                                                          $465,000.00                    $465,000.00
Law Offices Of Perry & Shapiro                                                                          $249,910.00    $144,400.00     $249,910.00      -$105,510.00    1.73
Office Of Michael A. Bosco Jr.                                                                          $166,656.00     $89,775.00     $166,656.00       -$76,881.00    1.86
At The Main Entrance Of The Superior Court Building 201 West Jefferson Phoenix Az                       $315,343.00                    $315,343.00
At The Main Entrance Of The Superior Court Building 201 West Jefferson Phoenix Az                       $263,500.00    $275,975.00     $263,500.00        $12,475.00    0.96
At The Steps At The Front Entrance Of The Superior Court Building 201 West Jefferson Phoenix Arizona
                                                                                        03/06/2006      $184,000.00    $131,100.00     $184,000.00       -$52,900.00     1.4
At The Main Entrance Of The Superior Court Building 201 West Jefferson Phoenix Az       08/23/2005      $224,250.00    $196,650.00     $224,250.00       -$27,600.00    1.14
At The Main Entrance Of The Superior Court Building 201 West Jefferson Phoenix Az       01/04/2007      $552,000.00    $415,625.00     $552,000.00      -$136,375.00    1.33
At The Main Entrance Of The Superior Court Building 201 West Jefferson Phoenix Az                      $1,390,500.00   $906,775.00    $1,390,500.00     -$483,725.00    1.53
At The Main Entrance Of The Superior Court Building 201 West Jefferson Phoenix Az       01/04/2005      $121,500.00     $90,250.00     $121,500.00       -$31,250.00    1.35
The Main Entranceto The Superior Court Building 201 West Jefferson Phoenix Arizona      12/20/2006      $223,992.00    $162,450.00     $223,992.00       -$61,542.00    1.38
At The Steps At The Front Entrance Of The Superior Court Building 201 West Jefferson Phoenix Arizona
                                                                                        02/25/2005      $285,000.00    $235,125.00     $285,000.00       -$49,875.00    1.21
In The Courtyard By The Main Entrance To The Superior Court Building 201 West Jefferson 11/17/2006
                                                                                        Phoenix         $157,500.00     $95,000.00     $157,500.00       -$62,500.00    1.66
At The Main Entrance Of The Superior Court Building 201 West Jefferson Phoenix Az                       $118,000.00    $126,400.00     $118,000.00         $8,400.00    0.93
Office Of Michael A. Bosco Jr.                                                          04/07/2006      $352,500.00    $238,925.00     $352,500.00      -$113,575.00    1.48
At The Main Entrance Of The Superior Court Building 201 West Jefferson Phoenix Az       08/03/2007      $253,800.00    $143,925.00     $253,800.00      -$109,875.00    1.76
Office Of Michael A. Bosco Jr.                                                                          $416,000.00    $289,275.00     $416,000.00      -$126,725.00    1.44
At The Main Entrance Of The Superior Court Building 201 West Jefferson Phoenix Az                       $214,400.00    $191,425.00     $214,400.00       -$22,975.00    1.12
At The Steps At The Front Entrance Of The Superior Court Building 201 West Jefferson Phoenix Arizona
                                                                                        02/16/2006      $254,125.00    $133,950.00     $254,125.00      -$120,175.00     1.9
Law Offices Of Perry & Shapiro                                                                          $159,920.00    $111,625.00     $159,920.00       -$48,295.00    1.43
In The Courtyard By The Main Entrance To The Superior Court Building 201 West Jefferson 10/03/2005
                                                                                        Phoenix         $488,000.00    $316,825.00     $488,000.00      -$171,175.00    1.54
At The Main Entrance Of The Superior Court Building 201 West Jefferson Phoenix Az                       $186,534.00    $142,025.00     $186,534.00       -$44,509.00    1.31




                                                                                                                                                      Page 59
Pre-foreclosure List
                                                                                                                                       Maricopa County Week Ending 11/2

At The Main Entrance Of The Superior Court Building 201 West Jefferson Phoenix Az                         $169,500.00    $115,900.00      $169,500.00       -$53,600.00   1.46
Office Of Michael A. Bosco Jr.                                                                            $328,650.00    $232,750.00      $328,650.00       -$95,900.00   1.41
At The Main Entrance Of The Superior Court Building 201 West Jefferson Phoenix Az       04/28/2008        $265,857.00    $188,575.00      $265,857.00       -$77,282.00   1.41
At The Main Entrance Of The Superior Court Building 201 West Jefferson Phoenix Az                           $50,000.00   $295,450.00        $50,000.00      $245,450.00   0.17
Office Of Michael A. Bosco Jr.                                                                            $176,400.00    $121,600.00      $176,400.00       -$54,800.00   1.45
Office Of Michael A. Bosco Jr.                                                                            $203,000.00    $102,600.00      $203,000.00      -$100,400.00   1.98
At The Main Entrance Of The Superior Court Building 201 West Jefferson Phoenix Az                         $216,000.00    $134,425.00      $216,000.00       -$81,575.00   1.61
At The Main Entrance Of The Superior Court Building 201 West Jefferson Phoenix Az       12/15/2005        $175,000.00    $113,050.00      $175,000.00       -$61,950.00   1.55
At The Main Entrance Of The Superior Court Building 201 West Jefferson Phoenix Az       06/28/2006        $211,920.00    $127,775.00      $211,920.00       -$84,145.00   1.66
At The Main Entrance Of The Superior Court Building 201 West Jefferson Phoenix Az                         $500,000.00                     $500,000.00
At The Main Entrance Of The Superior Court Building 201 West Jefferson Phoenix Az                      $363,250,000.00                 $363,250,000.00
At The Steps At The Front Entrance Of The Superior Court Building 201 West Jefferson Phoenix Arizona
                                                                                        12/13/2005        $215,000.00    $223,088.00      $215,000.00         $8,088.00   0.96
At The Main Entrance Of The Superior Court Building 201 West Jefferson Phoenix Az       05/04/2005        $240,042.00    $159,600.00      $240,042.00       -$80,442.00    1.5
At The Steps At The Front Entrance Of The Superior Court Building 201 West Jefferson Phoenix Arizona
                                                                                        07/26/2005        $108,000.00     $90,250.00      $108,000.00       -$17,750.00    1.2
At The Main Entrance Of The Superior Court Building 201 West Jefferson Phoenix Az                         $244,000.00    $119,225.00      $244,000.00      -$124,775.00   2.05
Office Of Michael A. Bosco Jr.                                                                            $208,000.00     $92,625.00      $208,000.00      -$115,375.00   2.25
At The Main Entrance Of The Superior Court Building 201 West Jefferson Phoenix Az       10/11/2006        $136,500.00     $80,275.00      $136,500.00       -$56,225.00    1.7
Security Title Agency                                                                                     $179,000.00     $84,075.00      $179,000.00       -$94,925.00   2.13
At The Main Entrance Of The Superior Court Building 201 West Jefferson Phoenix Az       04/19/2007        $266,872.00    $247,475.00      $266,872.00       -$19,397.00   1.08
Law Offices Of Perry & Shapiro                                                                            $342,000.00    $191,425.00      $342,000.00      -$150,575.00   1.79
At The Main Entrance Of The Superior Court Building 201 West Jefferson Phoenix Az       02/05/2009        $198,432.00    $148,200.00      $198,432.00       -$50,232.00   1.34
At The Main Entrance Of The Superior Court Building 201 West Jefferson Phoenix Az       06/21/2006        $193,376.00    $126,350.00      $193,376.00       -$67,026.00   1.53
Office Of Michael A. Bosco Jr.                                                                            $200,000.00    $119,700.00      $200,000.00       -$80,300.00   1.67
Office Of Michael A. Bosco Jr.                                                                            $229,800.00    $161,975.00      $229,800.00       -$67,825.00   1.42
Law Offices Of Perry & Shapiro                                                                            $214,750.00    $116,850.00      $214,750.00       -$97,900.00   1.84
Office Of Michael A. Bosco Jr.                                                                            $123,892.00    $104,188.00      $123,892.00       -$19,704.00   1.19
Law Offices Of Perry & Shapiro                                                                            $160,600.00    $115,900.00      $160,600.00       -$44,700.00   1.39
Office Of Michael A. Bosco Jr.                                                                            $156,800.00    $111,150.00      $156,800.00       -$45,650.00   1.41
At The Main Entrance Of The Superior Court Building 201 West Jefferson Phoenix Az       08/25/2006        $187,848.00    $102,125.00      $187,848.00       -$85,723.00   1.84
Law Offices Of Perry & Shapiro                                                                                   $5.00   $114,475.00             $5.00      $114,470.00      0
At The Main Entrance Of The Superior Court Building 201 West Jefferson Phoenix Az       07/14/2007        $275,200.00    $146,300.00      $275,200.00      -$128,900.00   1.88
At The Main Entrance Of The Superior Court Building 201 West Jefferson Phoenix Az       03/13/2006        $134,400.00     $94,050.00      $134,400.00       -$40,350.00   1.43
At The Main Entrance Of The Superior Court Building 201 West Jefferson Phoenix Az       03/19/2007        $148,000.00    $140,125.00      $148,000.00        -$7,875.00   1.06
Law Offices Of Perry & Shapiro                                                                            $199,153.00    $123,025.00      $199,153.00       -$76,128.00   1.62
At The Main Entrance Of The Superior Court Building 201 West Jefferson Phoenix Az       04/13/2007        $120,000.00     $76,475.00      $120,000.00       -$43,525.00   1.57
At The Main Entrance Of The Superior Court Building 201 West Jefferson Phoenix Az                         $146,300.00     $87,400.00      $146,300.00       -$58,900.00   1.67
Law Offices Of Perry & Shapiro                                                                            $223,781.00    $147,725.00      $223,781.00       -$76,056.00   1.52
At The Main Entrance Of The Superior Court Building 201 West Jefferson Phoenix Az                         $132,000.00     $80,750.00      $132,000.00       -$51,250.00   1.64
At The Main Entrance Of The Superior Court Building 201 West Jefferson Phoenix Arizona 09/11/2006         $192,349.00    $112,575.00      $192,349.00       -$79,774.00   1.71
At The Steps At The Front Entrance Of The Superior Court Building 201 West Jefferson Phoenix Arizona
                                                                                        12/16/2005        $180,000.00     $94,050.00      $180,000.00       -$85,950.00   1.91
At The Main Entrance Of The Superior Court Building 201 West Jefferson Phoenix Az       03/11/2005        $244,000.00    $162,925.00      $244,000.00       -$81,075.00    1.5
Law Offices Of Perry & Shapiro                                                                            $169,600.00     $98,325.00      $169,600.00       -$71,275.00   1.73
At The Main Entrance Of The Superior Court Building 201 West Jefferson Phoenix Az       04/18/2005        $862,500.00    $851,200.00      $862,500.00       -$11,300.00   1.01
Security Title Agency                                                                   08/03/2007        $192,000.00    $143,925.00      $192,000.00       -$48,075.00   1.33
Office Of Michael A. Bosco Jr.                                                                            $290,000.00    $169,100.00      $290,000.00      -$120,900.00   1.72
In The Courtyard By The Main Entrance To The Superior Court Building 201 West Jefferson 10/25/2005
                                                                                        Phoenix           $174,400.00     $94,050.00      $174,400.00       -$80,350.00   1.85
Office Of Michael A. Bosco Jr.                                                                            $342,000.00    $248,425.00      $342,000.00       -$93,575.00   1.38
At The Steps At The Front Entrance Of The Superior Court Building 201 West Jefferson Phoenix Arizona
                                                                                        02/21/2008        $409,115.00    $291,175.00      $409,115.00      -$117,940.00   1.41
At The Main Entrance Of The Superior Court Building 201 West Jefferson Phoenix Az                         $170,800.00     $98,325.00      $170,800.00       -$72,475.00   1.74
At The Main Entrance Of The Superior Court Building 201 West Jefferson Phoenix Az       04/25/2006        $300,000.00    $182,400.00      $300,000.00      -$117,600.00   1.65
At The Main Entrance Of The Superior Court Building 201 West Jefferson Phoenix Az       06/03/2005        $200,000.00    $194,275.00      $200,000.00        -$5,725.00   1.03
At The Main Entrance Of The Superior Court Building 201 West Jefferson Phoenix Az       01/30/2009        $166,380.00     $97,850.00      $166,380.00       -$68,530.00    1.7
Law Offices Of Perry & Shapiro                                                                              $98,250.00                      $98,250.00
At The Main Entrance Of The Superior Court Building 201 West Jefferson Phoenix Az       07/26/2005        $286,400.00    $258,875.00      $286,400.00       -$27,525.00   1.11
At The Main Entrance Of The Superior Court Building 201 West Jefferson Phoenix Az                         $208,000.00    $204,949.00      $208,000.00        -$3,051.00   1.02
At The Main Entrance Of The Superior Court Building 201 West Jefferson Phoenix Az       10/25/2006                       $180,025.00             $0.00
At The Steps At The Front Entrance Of The Superior Court Building 201 West Jefferson Phoenix Arizona
                                                                                        06/19/2007        $180,000.00                     $180,000.00




                                                                                                                                                         Page 60
Pre-foreclosure List
                                                                                                                                       Maricopa County Week Ending 11/2

At The Main Entrance Of The Superior Court Building 201 West Jefferson Phoenix Az       06/08/2006      $292,500.00      $193,800.00     $292,500.00       -$98,700.00    1.51
At The Main Entrance Of The Superior Court Building 201 West Jefferson Phoenix Az                      $2,025,000.00   $2,161,250.00    $2,025,000.00      $136,250.00    0.94
At The Main Entrance Of The Superior Court Building 201 West Jefferson Phoenix Az                       $300,000.00      $180,025.00     $300,000.00      -$119,975.00    1.67
At The Main Entrance Of The Superior Court Building 201 West Jefferson Phoenix Az                       $559,200.00      $408,500.00     $559,200.00      -$150,700.00    1.37
Law Offices Of Perry & Shapiro                                                                          $123,000.00       $84,550.00     $123,000.00       -$38,450.00    1.46
At The Main Entrance Of The Superior Court Building 201 West Jefferson Phoenix Az       12/27/2007      $246,137.00      $145,825.00     $246,137.00      -$100,312.00    1.69
Office Of Michael A. Bosco Jr.                                                                          $241,230.00      $148,675.00     $241,230.00       -$92,555.00    1.62
Office Of Michael A. Bosco Jr.                                                                          $250,650.00      $146,775.00     $250,650.00      -$103,875.00    1.71
At The Main Entrance Of The Superior Court Building 201 West Jefferson Phoenix Az                       $578,200.00      $389,025.00     $578,200.00      -$189,175.00    1.49
At The Main Entrance Of The Superior Court Building 201 West Jefferson Phoenix Az       01/26/2007      $140,000.00       $98,800.00     $140,000.00       -$41,200.00    1.42
At The Main Entrance Of The Superior Court Building 201 West Jefferson Phoenix Az       06/18/2008      $295,365.00      $212,325.00     $295,365.00       -$83,040.00    1.39
At The Steps At The Front Entrance Of The Superior Court Building 201 West Jefferson Phoenix Arizona
                                                                                        02/28/2006      $196,000.00      $170,050.00     $196,000.00       -$25,950.00    1.15
At The Main Entrance Of The Superior Court Building 201 West Jefferson Phoenix Az                       $650,000.00      $482,496.00     $650,000.00      -$167,504.00    1.35
Law Offices Of Perry & Shapiro                                                                          $409,500.00      $390,925.00     $409,500.00       -$18,575.00    1.05
Office Of Michael A. Bosco Jr.                                                                          $272,000.00      $174,800.00     $272,000.00       -$97,200.00    1.56
Office Of Michael A. Bosco Jr.                                                                          $536,000.00      $436,050.00     $536,000.00       -$99,950.00    1.23
In The Courtyard By The Main Entrance To The Superior Court Building 201 West Jefferson 01/05/2006
                                                                                        Phoenix         $120,320.00      $103,550.00     $120,320.00       -$16,770.00    1.16
Office Of Michael A. Bosco Jr.                                                                          $314,500.00      $233,225.00     $314,500.00       -$81,275.00    1.35
At The Main Entrance Of The Superior Court Building 201 West Jefferson Phoenix Az       03/17/2008      $202,492.00      $123,025.00     $202,492.00       -$79,467.00    1.65
At The Main Entrance Of The Superior Court Building 201 West Jefferson Phoenix Az                         $85,000.00     $170,050.00       $85,000.00       $85,050.00     0.5
At The Main Entrance Of The Superior Court Building 201 West Jefferson Phoenix Az                       $194,750.00      $117,800.00     $194,750.00       -$76,950.00    1.65
In The Courtyard By The Main Entrance To The Superior Court Building 201 West Jefferson 02/14/2003
                                                                                        Phoenix         $103,736.00      $133,950.00     $103,736.00        $30,214.00    0.77
In The Courtyard By The Main Entrance To The Superior Court Building 201 West Jefferson 06/28/2007
                                                                                        Phoenix         $147,682.00       $85,975.00     $147,682.00       -$61,707.00    1.72
Office Of Michael A. Bosco Jr.                                                                          $181,157.00      $198,918.00     $181,157.00        $17,761.00    0.91
At The Steps At The Front Entrance Of The Superior Court Building 201 West Jefferson Phoenix Arizona
                                                                                        01/25/2005      $122,000.00      $112,100.00     $122,000.00        -$9,900.00    1.09
At The Main Entrance Of The Superior Court Building 201 West Jefferson Phoenix Az       03/31/2004      $142,000.00      $157,225.00     $142,000.00        $15,225.00     0.9
Office Of Michael A. Bosco Jr.                                                                            $75,500.00     $131,100.00       $75,500.00       $55,600.00    0.58
At The Main Entrance Of The Superior Court Building 201 West Jefferson Phoenix Az       08/16/2004        $86,400.00      $93,575.00       $86,400.00        $7,175.00    0.92
In The Courtyard By The Main Entrance To The Superior Court Building 201 West Jefferson 10/25/2006
                                                                                        Phoenix         $175,920.00       $74,100.00     $175,920.00      -$101,820.00    2.37
Office Of Michael A. Bosco Jr.                                                                          $266,000.00      $185,250.00     $266,000.00       -$80,750.00    1.44
At The Main Entrance Of The Superior Court Building 201 West Jefferson Phoenix Az                       $187,523.00      $180,500.00     $187,523.00        -$7,023.00    1.04
At The Main Entrance Of The Superior Court Building 201 West Jefferson Phoenix Az       08/25/2008      $157,468.00      $115,900.00     $157,468.00       -$41,568.00    1.36
Office Of Michael A. Bosco Jr.                                                                          $212,000.00      $126,825.00     $212,000.00       -$85,175.00    1.67
At The Steps At The Front Entrance Of The Superior Court Building 201 West Jefferson Phoenix Arizona
                                                                                        12/07/2007      $220,400.00      $120,650.00     $220,400.00       -$99,750.00    1.83
At The Steps At The Front Entrance Of The Superior Court Building 201 West Jefferson Phoenix Arizona
                                                                                        03/26/2007      $224,000.00      $158,175.00     $224,000.00       -$65,825.00    1.42
In The Courtyard By The Main Entrance To The Superior Court Building 201 West Jefferson 01/10/2006
                                                                                        Phoenix         $273,600.00      $185,250.00     $273,600.00       -$88,350.00    1.48
At The Main Entrance Of The Superior Court Building 201 West Jefferson Phoenix Az       02/12/2008      $141,994.00       $96,425.00     $141,994.00       -$45,569.00    1.47
In The Courtyard By The Main Entrance To The Superior Court Building 201 West Jefferson 08/30/2005
                                                                                        Phoenix         $354,400.00      $283,100.00     $354,400.00       -$71,300.00    1.25
Office Of Michael A. Bosco Jr.                                                                          $376,994.00      $220,875.00     $376,994.00      -$156,119.00    1.71
At The Main Entrance Of The Superior Court Building 201 West Jefferson Phoenix Az       08/23/2001      $105,668.00       $93,891.00     $105,668.00       -$11,777.00    1.13
Law Offices Of Perry & Shapiro                                                                          $167,293.00      $124,450.00     $167,293.00       -$42,843.00    1.34
In The Courtyard By The Main Entrance To The Superior Court Building 201 West Jefferson 07/28/2004
                                                                                        Phoenix         $128,710.00      $133,836.00     $128,710.00         $5,126.00    0.96
At The Steps At The Front Entrance Of The Superior Court Building 201 West Jefferson Phoenix Arizona
                                                                                        07/12/2006      $308,000.00      $203,775.00     $308,000.00      -$104,225.00    1.51
Law Offices Of Perry & Shapiro                                                                          $147,360.00       $90,250.00     $147,360.00       -$57,110.00    1.63
Office Of Michael A. Bosco Jr.                                                                          $166,500.00       $91,675.00     $166,500.00       -$74,825.00    1.82
In The Courtyard By The Main Entrance To The Superior Court Building 201 West Jefferson 03/16/2005
                                                                                        Phoenix         $256,500.00      $190,950.00     $256,500.00       -$65,550.00    1.34
In The Courtyard By The Main Entrance To The Superior Court Building 201 West Jefferson 05/31/2006
                                                                                        Phoenix         $201,000.00      $120,650.00     $201,000.00       -$80,350.00    1.67
At The Main Entrance Of The Superior Court Building 201 West Jefferson Phoenix Az                       $224,580.00      $149,816.00     $224,580.00       -$74,764.00     1.5
At The Main Entrance Of The Superior Court Building 201 West Jefferson Phoenix Az                         $92,000.00     $189,050.00       $92,000.00       $97,050.00    0.49
In The Courtyard By The Main Entrance To The Superior Court Building 201 West Jefferson 04/25/2005
                                                                                        Phoenix         $141,491.00      $116,375.00     $141,491.00       -$25,116.00    1.22
At The Main Entrance Of The Superior Court Building 201 West Jefferson Phoenix Az       04/11/2007      $141,578.00      $140,431.00     $141,578.00        -$1,147.00    1.01
Law Offices Of Perry & Shapiro                                                                          $200,000.00      $211,375.00     $200,000.00        $11,375.00    0.95
At The Main Entrance Of The Superior Court Building 201 West Jefferson Phoenix Az                       $125,698.00      $118,750.00     $125,698.00        -$6,948.00    1.06
In The Courtyard By The Main Entrance To The Superior Court Building 201 West Jefferson 11/14/2005
                                                                                        Phoenix         $276,000.00      $167,200.00     $276,000.00      -$108,800.00    1.65
At The Main Entrance Of The Superior Court Building 201 West Jefferson Phoenix Az       10/19/2006     $1,500,000.00   $1,614,198.00    $1,500,000.00      $114,198.00    0.93
At The Main Entrance Of The Superior Court Building 201 West Jefferson Phoenix Az                       $171,200.00       $77,900.00     $171,200.00       -$93,300.00     2.2
At The Main Entrance To The Superior Courts Building 201 W. Jefferson Phoenix Az.                       $236,000.00      $224,200.00     $236,000.00       -$11,800.00    1.05




                                                                                                                                                        Page 61
Pre-foreclosure List
                                                                                                                                       Maricopa County Week Ending 11/2

At The Steps At The Front Entrance Of The Superior Court Building 201 West Jefferson Phoenix Arizona
                                                                                        04/01/2008      $157,300.00     $103,550.00      $157,300.00       -$53,750.00    1.52
At The Main Entrance Of The Superior Court Building 201 West Jefferson Phoenix Az       01/11/2007      $299,100.00     $245,100.00      $299,100.00       -$54,000.00    1.22
At The Main Entrance Of The Superior Court Building 201 West Jefferson Phoenix Az                         $25,000.00    $122,550.00        $25,000.00       $97,550.00     0.2
At The Steps At The Front Entrance Of The Superior Court Building 201 West Jefferson Phoenix Arizona
                                                                                        08/16/2007      $216,000.00     $129,200.00      $216,000.00       -$86,800.00    1.67
Office Of Michael A. Bosco Jr.                                                                            $92,000.00     $88,825.00        $92,000.00       -$3,175.00    1.04
Office Of Michael A. Bosco Jr.                                                                          $124,800.00      $89,775.00      $124,800.00       -$35,025.00    1.39
At The Main Entrance Of The Superior Court Building 201 West Jefferson Phoenix Az       07/19/2007             $1.00    $718,200.00             $1.00      $718,199.00       0
Office Of Michael A. Bosco Jr.                                                                          $277,882.00     $198,550.00      $277,882.00       -$79,332.00     1.4
At The Main Entrance Of The Superior Court Building 201 West Jefferson Phoenix Az                       $196,000.00     $225,150.00      $196,000.00        $29,150.00    0.87
At The Main Entrance Of The Superior Court Building 201 West Jefferson Phoenix Az       04/25/2008      $171,500.00     $166,250.00      $171,500.00        -$5,250.00    1.03
Office Of Michael A. Bosco Jr.                                                                          $239,000.00     $204,250.00      $239,000.00       -$34,750.00    1.17
At The Main Entrance Of The Superior Court Building 201 West Jefferson Phoenix Az       07/03/2008      $241,214.00     $178,125.00      $241,214.00       -$63,089.00    1.35
Law Offices Of Perry & Shapiro                                                                          $351,200.00     $277,400.00      $351,200.00       -$73,800.00    1.27
Law Offices Of Perry & Shapiro                                                                          $228,000.00     $197,125.00      $228,000.00       -$30,875.00    1.16
Office Of Michael A. Bosco Jr.                                                                          $324,000.00     $218,975.00      $324,000.00      -$105,025.00    1.48
In The Courtyard By The Main Entrance To The Superior Court Building 201 West Jefferson 07/31/2006
                                                                                        Phoenix         $190,400.00     $121,600.00      $190,400.00       -$68,800.00    1.57
Office Of Michael A. Bosco Jr.                                                                          $147,000.00     $103,550.00      $147,000.00       -$43,450.00    1.42
Office Of Michael A. Bosco Jr.                                                                          $270,720.00     $197,125.00      $270,720.00       -$73,595.00    1.37
Office Of Michael A. Bosco Jr.                                                                          $168,000.00     $105,450.00      $168,000.00       -$62,550.00    1.59
At The Main Entrance Of The Superior Court Building 201 West Jefferson Phoenix Az       05/14/2008      $157,832.00     $106,875.00      $157,832.00       -$50,957.00    1.48
Office Of Michael A. Bosco Jr.                                                                          $205,125.00     $173,850.00      $205,125.00       -$31,275.00    1.18
At The Main Entrance Of The Superior Court Building 201 West Jefferson Phoenix Az                       $156,000.00     $114,475.00      $156,000.00       -$41,525.00    1.36
In The Courtyard By The Main Entrance To The Superior Court Building 201 West Jefferson 12/27/2005
                                                                                        Phoenix         $246,000.00     $192,850.00      $246,000.00       -$53,150.00    1.28
Law Offices Of Perry & Shapiro                                                                          $212,000.00      $93,575.00      $212,000.00      -$118,425.00    2.27
Western Regional Foreclosures                                                                           $312,000.00                      $312,000.00
Office Of Michael A. Bosco Jr.                                                                          $220,000.00     $214,225.00      $220,000.00        -$5,775.00    1.03
At The Main Entrance Of The Superior Court Building 201 West Jefferson Phoenix Az                       $108,000.00     $101,175.00      $108,000.00        -$6,825.00    1.07
At The Main Entrance Of The Superior Court Building 201 West Jefferson Phoenix Az                       $141,178.00     $121,600.00      $141,178.00       -$19,578.00    1.16
At The Main Entrance Of The Superior Court Building 201 West Jefferson Phoenix Az                       $298,406.00     $153,900.00      $298,406.00      -$144,506.00    1.94
At The Main Entrance Of The Superior Court Building 201 West Jefferson Phoenix Az       09/13/2007      $158,500.00     $116,850.00      $158,500.00       -$41,650.00    1.36
Office Of Michael A. Bosco Jr.                                                                          $127,917.00      $53,675.00      $127,917.00       -$74,242.00    2.38
At The Main Entrance Of The Superior Court Building 201 West Jefferson Phoenix Az                       $132,692.00     $102,600.00      $132,692.00       -$30,092.00    1.29
Law Offices Of Perry & Shapiro                                                                          $368,775.00     $266,475.00      $368,775.00      -$102,300.00    1.38
In The Courtyard By The Main Entrance To The Superior Court Building 201 West Jefferson 08/15/2006
                                                                                        Phoenix         $237,500.00     $124,450.00      $237,500.00      -$113,050.00    1.91
At The Main Entrance Of The Superior Court Building 201 West Jefferson Phoenix Az                         $78,119.00    $107,350.00        $78,119.00       $29,231.00    0.73
At The Main Entrance Of The Superior Court Building 201 West Jefferson Phoenix Az       05/22/2008      $175,392.00     $106,400.00      $175,392.00       -$68,992.00    1.65
At The Main Entrance Of The Superior Court Building 201 West Jefferson Phoenix Az                      $1,360,000.00                    $1,360,000.00
Law Offices Of Perry & Shapiro                                                                          $525,000.00      $326,325.00     $525,000.00      -$198,675.00    1.61
Office Of Michael A. Bosco Jr.                                                                          $280,800.00      $196,175.00     $280,800.00       -$84,625.00    1.43
At The Steps At The Front Entrance Of The Superior Court Building 201 West Jefferson Phoenix Arizona
                                                                                        09/22/2005      $999,000.00    $1,092,025.00     $999,000.00        $93,025.00    0.92
At The Main Entrance Of The Superior Court Building 201 West Jefferson Phoenix Az                         $50,000.00     $114,475.00       $50,000.00       $64,475.00    0.44
Law Offices Of Perry & Shapiro                                                                            $93,000.00     $157,225.00       $93,000.00       $64,225.00    0.59
At The Main Entrance Of The Superior Court Building 201 West Jefferson Phoenix Az       11/16/2006      $328,000.00      $293,075.00     $328,000.00       -$34,925.00    1.12
At The Steps At The Front Entrance Of The Superior Court Building 201 West Jefferson Phoenix Arizona
                                                                                        03/20/2008      $159,580.00       $63,650.00     $159,580.00       -$95,930.00    2.51
At The Steps At The Front Entrance Of The Superior Court Building 201 West Jefferson Phoenix Arizona
                                                                                        06/29/2007      $154,800.00       $91,675.00     $154,800.00       -$63,125.00    1.69
Office Of Michael A. Bosco Jr.                                                                          $215,000.00      $277,400.00     $215,000.00        $62,400.00    0.78
At The Main Entrance Of The Superior Court Building 201 West Jefferson Phoenix Az       01/30/2008      $170,195.00      $151,050.00     $170,195.00       -$19,145.00    1.13
In The Courtyard By The Main Entrance To The Superior Court Building 201 West Jefferson 06/02/2004
                                                                                        Phoenix         $155,460.00      $143,604.00     $155,460.00       -$11,856.00    1.08
In The Courtyard By The Main Entrance To The Superior Court Building 201 West Jefferson 10/24/2005
                                                                                        Phoenix         $275,800.00      $212,325.00     $275,800.00       -$63,475.00     1.3
At The Steps At The Front Entrance Of The Superior Court Building 201 West Jefferson Phoenix Arizona
                                                                                        10/26/2007      $120,000.00       $90,725.00     $120,000.00       -$29,275.00    1.32
At The Main Entrance Of The Superior Court Building 201 West Jefferson Phoenix Az       04/25/2008      $158,200.00      $128,250.00     $158,200.00       -$29,950.00    1.23
Office Of Michael A. Bosco Jr.                                                                            $80,000.00     $191,900.00       $80,000.00      $111,900.00    0.42
At The Main Entrance Of The Superior Court Building 201 West Jefferson Phoenix Az       04/25/2008      $158,200.00      $128,250.00     $158,200.00       -$29,950.00    1.23
At The Main Entrance Of The Superior Court Building 201 West Jefferson Phoenix Az       04/25/2008      $161,000.00      $131,575.00     $161,000.00       -$29,425.00    1.22
Office Of Michael A. Bosco Jr.                                                                          $160,000.00      $174,800.00     $160,000.00        $14,800.00    0.92
At The Main Entrance Of The Superior Court Building 201 West Jefferson Phoenix Az       06/04/2008      $123,561.00      $100,225.00     $123,561.00       -$23,336.00    1.23
Law Offices Of Perry & Shapiro                                                                          $345,700.00                      $345,700.00




                                                                                                                                                        Page 62
Pre-foreclosure List
                                                                                                                                   Maricopa County Week Ending 11/2

At The Main Entrance Of The Superior Court Building 201 West Jefferson Phoenix Az       10/27/2005     $189,812.00    $94,525.00     $189,812.00      -$95,287.00     2.01
In The Courtyard By The Main Entrance To The Superior Court Building 201 West Jefferson 09/11/2006
                                                                                        Phoenix        $245,486.00   $110,200.00     $245,486.00     -$135,286.00     2.23
At The Main Entrance Of The Superior Court Building 201 West Jefferson Phoenix Az                      $453,750.00   $314,450.00     $453,750.00     -$139,300.00     1.44
Office Of Michael A. Bosco Jr.                                                                         $225,000.00   $198,075.00     $225,000.00      -$26,925.00     1.14
At The Main Entrance Of The Superior Court Building 201 West Jefferson Phoenix Az       02/23/2006     $288,000.00   $200,925.00     $288,000.00      -$87,075.00     1.43
Office Of Michael A. Bosco Jr.                                                                         $200,832.00   $110,200.00     $200,832.00      -$90,632.00     1.82
Office Of Michael A. Bosco Jr.                                                                         $193,498.00   $115,425.00     $193,498.00      -$78,073.00     1.68
Office Of Michael A. Bosco Jr.                                                                         $134,400.00   $123,025.00     $134,400.00      -$11,375.00     1.09
Office Of Michael A. Bosco Jr.                                                                         $130,000.00   $111,625.00     $130,000.00      -$18,375.00     1.17
At The Main Entrance Of The Superior Court Building 201 West Jefferson Phoenix Az       02/27/2006     $304,000.00   $217,550.00     $304,000.00      -$86,450.00      1.4
At The Main Entrance Of The Superior Court Building 201 West Jefferson Phoenix Az                      $401,400.00   $202,350.00     $401,400.00     -$199,050.00     1.98
Office Of Michael A. Bosco Jr.                                                                          $84,000.00   $190,950.00      $84,000.00      $106,950.00     0.44
In The Courtyard By The Main Entrance To The Superior Court Building 201 West Jefferson 12/01/2006
                                                                                        Phoenix        $256,000.00   $186,675.00     $256,000.00      -$69,325.00     1.37
At The Main Entrance Of The Superior Court Building 201 West Jefferson Phoenix Az       03/15/2006     $480,000.00   $277,875.00     $480,000.00     -$202,125.00     1.73
Office Of Michael A. Bosco Jr.                                                                         $107,000.00   $120,650.00     $107,000.00       $13,650.00     0.89
At The Main Entrance Of The Superior Court Building 201 West Jefferson Phoenix Az                      $213,628.00   $126,825.00     $213,628.00      -$86,803.00     1.68
At The Steps At The Front Entrance Of The Superior Court Building 201 West Jefferson Phoenix Arizona
                                                                                        11/15/2007      $73,000.00   $140,600.00      $73,000.00       $67,600.00     0.52
At The Main Entrance Of The Superior Court Building 201 West Jefferson Phoenix Az                      $217,475.00   $141,550.00     $217,475.00      -$75,925.00     1.54
At The Main Entrance Of The Superior Court Building 201 West Jefferson Phoenix Az       09/13/2006     $470,000.00   $315,400.00     $470,000.00     -$154,600.00     1.49
Office Of Michael A. Bosco Jr.                                                                         $158,924.00   $119,700.00     $158,924.00      -$39,224.00     1.33
Office Of Michael A. Bosco Jr.                                                                         $224,000.00   $143,925.00     $224,000.00      -$80,075.00     1.56
In The Courtyard By The Main Entrance To The Superior Court Building 201 West Jefferson 08/25/2005
                                                                                        Phoenix        $275,000.00   $202,825.00     $275,000.00      -$72,175.00     1.36
At The Main Entrance Of The Superior Court Building 201 West Jefferson Phoenix Az                      $188,993.00    $97,850.00     $188,993.00      -$91,143.00     1.93
At The Main Entrance Of The Superior Court Building 201 West Jefferson Phoenix Az       10/17/2006     $215,650.00    $85,500.00     $215,650.00     -$130,150.00     2.52
At The Main Entrance Of The Superior Court Building 201 West Jefferson Phoenix Az                      $129,514.00    $83,125.00     $129,514.00      -$46,389.00     1.56
In The Courtyard By The Main Entrance To The Superior Court Building 201 West Jefferson 01/25/2007
                                                                                        Phoenix        $361,188.00   $228,000.00     $361,188.00     -$133,188.00     1.58
At The Main Entrance Of The Superior Court Building 201 West Jefferson Phoenix Az                      $162,578.00   $109,725.00     $162,578.00      -$52,853.00     1.48
At The Main Entrance Of The Superior Court Building 201 West Jefferson Phoenix Az       10/15/2007     $266,792.00   $178,600.00     $266,792.00      -$88,192.00     1.49
Office Of Michael A. Bosco Jr.                                                                         $125,100.00   $110,200.00     $125,100.00      -$14,900.00     1.14
Office Of Michael A. Bosco Jr.                                                                         $174,500.00                   $174,500.00
Office Of Michael A. Bosco Jr.                                                                         $134,000.00                   $134,000.00
At The Main Entrance Of The Superior Court Building 201 West Jefferson Phoenix Az       09/26/2006     $170,400.00    $62,700.00     $170,400.00     -$107,700.00     2.72
At The Main Entrance Of The Superior Court Building 201 West Jefferson Phoenix Az       08/09/2007     $205,770.00   $115,425.00     $205,770.00      -$90,345.00     1.78
Security Title Agency                                                                   09/12/2006     $260,800.00   $145,825.00     $260,800.00     -$114,975.00     1.79
At The Main Entrance Of The Superior Court Building 201 West Jefferson Phoenix Az                      $690,000.00   $481,175.00     $690,000.00     -$208,825.00     1.43
Office Of Michael A. Bosco Jr.                                                          09/08/2004      $98,500.00   $119,225.00      $98,500.00       $20,725.00     0.83
Offices Of Folks & O'connor Pllc                                                                       $204,750.00                   $204,750.00
Office Of Michael A. Bosco Jr.                                                                          $87,500.00    $80,759.00      $87,500.00       -$6,741.00     1.08
In The Courtyard By The Main Entrance To The Superior Court Building 201 West Jefferson 12/21/2006
                                                                                        Phoenix        $201,386.00   $110,200.00     $201,386.00      -$91,186.00     1.83
At The Main Entrance Of The Superior Court Building 201 West Jefferson Phoenix Az       05/14/2008     $157,528.00   $121,600.00     $157,528.00      -$35,928.00      1.3
At The Main Entrance Of The Superior Court Building 201 West Jefferson Phoenix Az                      $112,416.00    $95,475.00     $112,416.00      -$16,941.00     1.18
At The Main Entrance Of The Superior Court Building 201 West Jefferson Phoenix Az                      $352,630.00   $148,200.00     $352,630.00     -$204,430.00     2.38
Office Of Michael A. Bosco Jr.                                                                         $190,800.00   $113,050.00     $190,800.00      -$77,750.00     1.69
At The Main Entrance Of The Superior Court Building 201 West Jefferson Phoenix Az                      $232,750.00   $135,375.00     $232,750.00      -$97,375.00     1.72
At The Main Entrance Of The Superior Court Building 201 West Jefferson Phoenix Az       11/06/2006     $205,600.00   $115,425.00     $205,600.00      -$90,175.00     1.78
At The Main Entrance To The Superior Courts Building 201 W. Jefferson Phoenix Az.                      $471,200.00   $419,900.00     $471,200.00      -$51,300.00     1.12
At The Main Entrance Of The Superior Court Building 201 West Jefferson Phoenix Az                      $226,539.00                   $226,539.00
Office Of Michael A. Bosco Jr.                                                                         $570,000.00   $668,800.00     $570,000.00       $98,800.00     0.85
Office Of Michael A. Bosco Jr.                                                                         $250,000.00   $145,350.00     $250,000.00     -$104,650.00     1.72
At The Main Entrance Of The Superior Court Building 201 West Jefferson Phoenix Az       08/29/2007     $545,000.00   $439,850.00     $545,000.00     -$105,150.00     1.24
At The Main Entrance Of The Superior Court Building 201 West Jefferson Phoenix Az                      $138,728.00   $112,575.00     $138,728.00      -$26,153.00     1.23
At The Main Entrance Of The Superior Court Building 201 West Jefferson Phoenix Az                      $271,000.00   $262,200.00     $271,000.00       -$8,800.00     1.03
At The Main Entrance Of The Superior Court Building 201 West Jefferson Phoenix Az       10/19/2006     $161,250.00   $100,225.00     $161,250.00      -$61,025.00     1.61
At The Main Entrance Of The Superior Court Building 201 West Jefferson Phoenix Az       02/16/2006     $106,400.00    $70,300.00     $106,400.00      -$36,100.00     1.51
At The Main Entrance Of The Superior Court Building 201 West Jefferson Phoenix Az       01/10/2006     $121,000.00   $142,025.00     $121,000.00       $21,025.00     0.85
Security Title Agency                                                                                  $318,000.00   $235,125.00     $318,000.00      -$82,875.00     1.35
At The Main Entrance Of The Superior Court Building 201 West Jefferson Phoenix Arizona 04/18/2006      $248,000.00   $161,975.00     $248,000.00      -$86,025.00     1.53




                                                                                                                                                   Page 63
Pre-foreclosure List
                                                                                                                                      Maricopa County Week Ending 11/2

At The Main Entrance Of The Superior Court Building 201 West Jefferson Phoenix Az       04/13/2006       $264,550.00    $136,800.00     $264,550.00      -$127,750.00    1.93
At The Main Entrance Of The Superior Court Building 201 West Jefferson Phoenix Az       03/02/2007       $325,000.00    $178,600.00     $325,000.00      -$146,400.00    1.82
At The Main Entrance Of The Superior Court Building 201 West Jefferson Phoenix Az       03/09/2006       $202,400.00    $129,675.00     $202,400.00       -$72,725.00    1.56
Security Title Agency                                                                                    $275,000.00    $180,025.00     $275,000.00       -$94,975.00    1.53
At The Main Entrance Of The Superior Court Building 201 West Jefferson Phoenix Az       10/13/2006       $180,000.00    $106,875.00     $180,000.00       -$73,125.00    1.68
At The Main Entrance Of The Superior Court Building 201 West Jefferson Phoenix Az       05/01/2007       $335,000.00    $177,650.00     $335,000.00      -$157,350.00    1.89
In The Courtyard By The Main Entrance To The Superior Court Building 201 West Jefferson 08/31/2005
                                                                                        Phoenix          $387,000.00    $283,100.00     $387,000.00      -$103,900.00    1.37
At The Main Entrance Of The Superior Court Building 201 West Jefferson Phoenix Az       03/06/2006       $170,900.00    $106,875.00     $170,900.00       -$64,025.00     1.6
At The Main Entrance Of The Superior Court Building 201 West Jefferson Phoenix Az       06/21/2005       $228,750.00    $283,575.00     $228,750.00        $54,825.00    0.81
At The Main Entrance Of The Superior Court Building 201 West Jefferson Phoenix Az       12/06/2006       $165,600.00     $90,250.00     $165,600.00       -$75,350.00    1.84
At The Main Entrance Of The Superior Court Building 201 West Jefferson Phoenix Az                      $32,800,000.00                 $32,800,000.00
At The Main Entrance Of The Superior Court Building 201 West Jefferson Phoenix Az       06/28/2005       $252,000.00    $209,950.00     $252,000.00       -$42,050.00     1.2
In The Courtyard By The Main Entrance To The Superior Court Building 201 West Jefferson 01/13/2006
                                                                                        Phoenix          $174,000.00    $106,400.00     $174,000.00       -$67,600.00    1.64
At The Main Entrance Of The Superior Court Building 201 West Jefferson Phoenix Az       03/18/2008       $209,709.00    $171,870.00     $209,709.00       -$37,839.00    1.22
At The Main Entrance Of The Superior Court Building 201 West Jefferson Phoenix Az       05/04/2007       $348,750.00    $303,050.00     $348,750.00       -$45,700.00    1.15
At The Main Entrance Of The Superior Court Building 201 West Jefferson Phoenix Az       11/16/2007       $192,500.00    $169,100.00     $192,500.00       -$23,400.00    1.14
At The Main Entrance Of The Superior Court Building 201 West Jefferson Phoenix Az       10/30/2007         $96,600.00   $104,025.00       $96,600.00        $7,425.00    0.93
In The Courtyard By The Main Entrance To The Superior Court Building 201 West Jefferson 12/08/2005
                                                                                        Phoenix          $168,000.00     $85,975.00     $168,000.00       -$82,025.00    1.95
Office Of Michael A. Bosco Jr.                                                                           $147,000.00                    $147,000.00
In The Courtyard By The Main Entrance To The Superior Court Building 201 West Jefferson 07/08/2005
                                                                                        Phoenix          $104,000.00     $87,875.00     $104,000.00       -$16,125.00    1.18
At The Main Entrance Of The Superior Court Building 201 West Jefferson Phoenix Az       12/23/2005       $215,200.00    $152,000.00     $215,200.00       -$63,200.00    1.42
At The Main Entrance Of The Superior Court Building 201 West Jefferson Phoenix Az       11/24/2004       $164,350.00    $144,875.00     $164,350.00       -$19,475.00    1.13
Security Title Agency                                                                                    $604,500.00                    $604,500.00
At The Main Entrance Of The Superior Court Building 201 West Jefferson Phoenix Az       05/25/2006       $150,000.00     $77,900.00     $150,000.00       -$72,100.00    1.93
At The Main Entrance Of The Superior Court Building 201 West Jefferson Phoenix Az                        $306,000.00                    $306,000.00
At The Steps At The Front Entrance Of The Superior Court Building 201 West Jefferson Phoenix Arizona
                                                                                        12/31/2007       $237,500.00    $137,750.00     $237,500.00       -$99,750.00    1.72
At The Main Entrance Of The Superior Court Building 201 West Jefferson Phoenix Az       01/05/2006       $319,500.00    $189,525.00     $319,500.00      -$129,975.00    1.69
Office Of Michael A. Bosco Jr.                                                                           $238,500.00    $181,925.00     $238,500.00       -$56,575.00    1.31
At The Main Entrance Of The Superior Court Building 201 West Jefferson Phoenix Az       01/10/2006       $269,000.00    $149,150.00     $269,000.00      -$119,850.00     1.8
At The Main Entrance Of The Superior Court Building 201 West Jefferson Phoenix Az       03/04/2008       $163,200.00     $92,625.00     $163,200.00       -$70,575.00    1.76
In The Courtyard By The Main Entrance To The Superior Court Building 201 West Jefferson 01/31/2007
                                                                                        Phoenix          $172,800.00    $109,250.00     $172,800.00       -$63,550.00    1.58
In The Courtyard By The Main Entrance To The Superior Court Building 201 West Jefferson 07/08/2005
                                                                                        Phoenix          $332,000.00    $193,800.00     $332,000.00      -$138,200.00    1.71
At The Main Entrance Of The Superior Court Building 201 West Jefferson Phoenix Az       09/14/2006       $235,000.00    $108,300.00     $235,000.00      -$126,700.00    2.17
At The Main Entrance Of The Superior Court Building 201 West Jefferson Phoenix Az       11/26/2007       $302,500.00    $273,630.00     $302,500.00       -$28,870.00    1.11
At The Main Entrance Of The Superior Court Building 201 West Jefferson Phoenix Az       10/17/2007       $252,000.00    $354,578.00     $252,000.00       $102,578.00    0.71
At The Main Entrance Of The Superior Court Building 201 West Jefferson Phoenix Az       08/08/2006       $223,000.00    $104,975.00     $223,000.00      -$118,025.00    2.12
At The Main Entrance Of The Superior Court Building 201 West Jefferson Phoenix Az       09/15/2005       $138,750.00    $111,625.00     $138,750.00       -$27,125.00    1.24
At The Main Entrance Of The Superior Court Building 201 West Jefferson Phoenix Az                        $256,000.00    $176,225.00     $256,000.00       -$79,775.00    1.45
At The Main Entrance Of The Superior Court Building 201 West Jefferson Phoenix Az       09/26/2006       $191,850.00    $159,125.00     $191,850.00       -$32,725.00    1.21
At The Main Entrance Of The Superior Court Building 201 West Jefferson Phoenix Az       10/11/2006       $259,000.00    $279,775.00     $259,000.00        $20,775.00    0.93
At The Main Entrance Of The Superior Court Building 201 West Jefferson Phoenix Az       10/23/2007       $183,750.00    $142,025.00     $183,750.00       -$41,725.00    1.29
In The Courtyard By The Main Entrance To The Superior Court Building 201 West Jefferson 03/08/2007
                                                                                        Phoenix          $283,000.00    $154,375.00     $283,000.00      -$128,625.00    1.83
Office Of Michael A. Bosco Jr.                                                                           $200,000.00    $120,650.00     $200,000.00       -$79,350.00    1.66
Security Title Agency                                                                                    $231,000.00    $219,925.00     $231,000.00       -$11,075.00    1.05
Office Of Michael A. Bosco Jr.                                                                           $145,000.00     $61,275.00     $145,000.00       -$83,725.00    2.37
At The Main Entrance Of The Superior Court Building 201 West Jefferson Phoenix Az       08/07/2002         $88,000.00    $78,375.00       $88,000.00       -$9,625.00    1.12
At The Main Entrance Of The Superior Court Building 201 West Jefferson Phoenix Az       08/07/2007       $470,500.00    $401,375.00     $470,500.00       -$69,125.00    1.17
At The Main Entrance Of The Superior Court Building 201 West Jefferson Phoenix Az                       $3,430,000.00                  $3,430,000.00
At The Main Entrance Of The Superior Court Building 201 West Jefferson Phoenix Az       03/29/2004       $497,000.00    $533,900.00     $497,000.00        $36,900.00    0.93
At The Main Entrance Of The Superior Court Building 201 West Jefferson Phoenix Az       08/25/2006       $129,584.00     $91,200.00     $129,584.00       -$38,384.00    1.42
At The Main Entrance Of The Superior Court Building 201 West Jefferson Phoenix Az       06/26/2008       $347,130.00    $240,350.00     $347,130.00      -$106,780.00    1.44
At The Main Entrance Of The Superior Court Building 201 West Jefferson Phoenix Az       11/30/2001         $93,335.00    $91,200.00       $93,335.00       -$2,135.00    1.02
At The Main Entrance Of The Superior Court Building 201 West Jefferson Phoenix Az                        $211,002.00    $162,925.00     $211,002.00       -$48,077.00     1.3
At The Main Entrance Of The Superior Court Building 201 West Jefferson Phoenix Az       12/13/2006       $333,877.00    $199,500.00     $333,877.00      -$134,377.00    1.67
Office Of Michael A. Bosco Jr.                                                                           $159,000.00    $163,875.00     $159,000.00         $4,875.00    0.97
Office Of Michael A. Bosco Jr.                                                                           $169,500.00    $110,675.00     $169,500.00       -$58,825.00    1.53
At The Main Entrance Of The Superior Court Building 201 West Jefferson Phoenix Az       09/10/2007       $125,100.00     $85,025.00     $125,100.00       -$40,075.00    1.47




                                                                                                                                                       Page 64
Pre-foreclosure List
                                                                                                                                 Maricopa County Week Ending 11/2

In The Courtyard By The Main Entrance To The Superior Court Building 201 West Jefferson 04/04/2005
                                                                                        Phoenix      $446,250.00                   $446,250.00
At The Main Entrance Of The Superior Court Building 201 West Jefferson Phoenix Az       06/15/2007    $77,900.00    $52,250.00      $77,900.00      -$25,650.00     1.49
Office Of Michael A. Bosco Jr.                                                                       $157,771.00   $121,125.00     $157,771.00      -$36,646.00      1.3
Office Of Michael A. Bosco Jr.                                                                       $134,400.00    $88,350.00     $134,400.00      -$46,050.00     1.52
At The Main Entrance Of The Superior Court Building 201 West Jefferson Phoenix Az       04/06/2007   $218,500.00   $123,500.00     $218,500.00      -$95,000.00     1.77
In The Courtyard By The Main Entrance To The Superior Court Building 201 West Jefferson 02/17/2006
                                                                                        Phoenix      $184,000.00   $127,775.00     $184,000.00      -$56,225.00     1.44
At The Main Entrance Of The Superior Court Building 201 West Jefferson Phoenix Az                    $172,500.00    $96,900.00     $172,500.00      -$75,600.00     1.78
Security Title Agency                                                                                $276,000.00   $217,490.00     $276,000.00      -$58,510.00     1.27
Law Offices Of Perry & Shapiro                                                                       $157,400.00   $128,681.00     $157,400.00      -$28,719.00     1.22
At The Main Entrance Of The Superior Court Building 201 West Jefferson Phoenix Az       05/09/2006   $140,800.00    $82,175.00     $140,800.00      -$58,625.00     1.71
At The Main Entrance Of The Superior Court Building 201 West Jefferson Phoenix Az       12/14/2006   $696,375.00   $437,950.00     $696,375.00     -$258,425.00     1.59
At The Main Entrance Of The Superior Court Building 201 West Jefferson Phoenix Az       05/29/2008   $178,843.00   $104,975.00     $178,843.00      -$73,868.00      1.7
At The Main Entrance Of The Superior Court Building 201 West Jefferson Phoenix Az       09/14/2006   $412,000.00   $401,832.00     $412,000.00      -$10,168.00     1.03
Law Offices Of Perry & Shapiro                                                                       $245,000.00   $165,300.00     $245,000.00      -$79,700.00     1.48
At The Main Entrance Of The Superior Court Building 201 West Jefferson Phoenix Az       05/05/2006   $496,000.00   $353,875.00     $496,000.00     -$142,125.00      1.4
At The Main Entrance Of The Superior Court Building 201 West Jefferson Phoenix Az       07/11/2007   $273,590.00   $250,041.00     $273,590.00      -$23,549.00     1.09
At The Main Entrance Of The Superior Court Building 201 West Jefferson Phoenix Az                    $150,000.00   $104,025.00     $150,000.00      -$45,975.00     1.44
Office Of Michael A. Bosco Jr.                                                                       $156,000.00   $133,000.00     $156,000.00      -$23,000.00     1.17
At The Main Entrance Of The Superior Court Building 201 West Jefferson Phoenix Az       04/15/2005    $42,300.00    $58,425.00      $42,300.00       $16,125.00     0.72
At The Main Entrance Of The Superior Court Building 201 West Jefferson Phoenix Az       08/14/2006   $190,080.00   $160,550.00     $190,080.00      -$29,530.00     1.18
In The Courtyard By The Main Entrance To The Superior Court Building 201 West Jefferson 07/18/2006
                                                                                        Phoenix      $187,120.00   $183,765.00     $187,120.00       -$3,355.00     1.02
At The Main Entrance Of The Superior Court Building 201 West Jefferson Phoenix Az                    $287,600.00   $186,675.00     $287,600.00     -$100,925.00     1.54
In The Courtyard By The Main Entrance To The Superior Court Building 201 West Jefferson 10/25/2005
                                                                                        Phoenix      $140,000.00   $114,475.00     $140,000.00      -$25,525.00     1.22
At The Main Entrance Of The Superior Court Building 201 West Jefferson Phoenix Az       11/21/2006   $273,000.00   $145,350.00     $273,000.00     -$127,650.00     1.88
At The Main Entrance Of The Superior Court Building 201 West Jefferson Phoenix Az       12/13/2006   $357,000.00   $162,450.00     $357,000.00     -$194,550.00      2.2
At The Main Entrance Of The Superior Court Building 201 West Jefferson Phoenix Az       05/01/2006   $231,500.00   $130,625.00     $231,500.00     -$100,875.00     1.77
At The Main Entrance Of The Superior Court Building 201 West Jefferson Phoenix Az       02/19/2002   $105,248.00   $107,350.00     $105,248.00        $2,102.00     0.98
At The Main Entrance Of The Superior Court Building 201 West Jefferson Phoenix Az       08/12/2005    $65,960.00    $57,000.00      $65,960.00       -$8,960.00     1.16
At The Main Entrance Of The Superior Court Building 201 West Jefferson Phoenix Az       08/12/2005    $66,300.00    $57,000.00      $66,300.00       -$9,300.00     1.16
Office Of Michael A. Bosco Jr.                                                                       $191,452.00   $128,250.00     $191,452.00      -$63,202.00     1.49
At The Main Entrance Of The Superior Court Building 201 West Jefferson Phoenix Az                    $285,964.00   $253,175.00     $285,964.00      -$32,789.00     1.13
In The Courtyard By The Main Entrance To The Superior Court Building 201 West Jefferson 06/15/2007
                                                                                        Phoenix      $155,550.00    $89,775.00     $155,550.00      -$65,775.00     1.73
At The Main Entrance Of The Superior Court Building 201 West Jefferson Phoenix Az       07/25/2008   $128,082.00   $116,850.00     $128,082.00      -$11,232.00      1.1
Office Of Michael A. Bosco Jr.                                                                        $48,000.00   $236,075.00      $48,000.00      $188,075.00      0.2
In The Courtyard By The Main Entrance To The Superior Court Building 201 West Jefferson 10/31/2005
                                                                                        Phoenix      $332,000.00   $190,000.00     $332,000.00     -$142,000.00     1.75
At The Main Entrance Of The Superior Court Building 201 West Jefferson Phoenix Az                    $108,000.00    $95,475.00     $108,000.00      -$12,525.00     1.13
At The Main Entrance Of The Superior Court Building 201 West Jefferson Phoenix Az                    $135,000.00   $123,500.00     $135,000.00      -$11,500.00     1.09
At The Main Entrance Of The Superior Court Building 201 West Jefferson Phoenix Az       11/08/2005   $216,000.00   $141,550.00     $216,000.00      -$74,450.00     1.53
At The Main Entrance Of The Superior Court Building 201 West Jefferson Phoenix Az       04/16/2007   $158,950.00    $64,600.00     $158,950.00      -$94,350.00     2.46
In The Courtyard By The Main Entrance To The Superior Court Building 201 West Jefferson 04/13/2006
                                                                                        Phoenix      $143,500.00    $88,350.00     $143,500.00      -$55,150.00     1.62
Security Title Agency                                                                                $168,000.00    $88,825.00     $168,000.00      -$79,175.00     1.89
At The Main Entrance Of The Superior Court Building 201 West Jefferson Phoenix Az       12/06/2007   $254,406.00   $124,925.00     $254,406.00     -$129,481.00     2.04
At The Main Entrance Of The Superior Court Building 201 West Jefferson Phoenix Az                    $100,000.00    $91,675.00     $100,000.00       -$8,325.00     1.09
At The Main Entrance Of The Superior Court Building 201 West Jefferson Phoenix Az       07/11/2006   $164,000.00    $90,725.00     $164,000.00      -$73,275.00     1.81
At The Main Entrance Of The Superior Court Building 201 West Jefferson Phoenix Az                    $144,500.00   $118,275.00     $144,500.00      -$26,225.00     1.22
In The Courtyard By The Main Entrance To The Superior Court Building 201 West Jefferson 09/14/2005
                                                                                        Phoenix      $295,400.00   $219,450.00     $295,400.00      -$75,950.00     1.35
Law Offices Of Perry & Shapiro                                                                       $165,000.00    $92,150.00     $165,000.00      -$72,850.00     1.79
Office Of Michael A. Bosco Jr.                                                                       $159,000.00   $108,300.00     $159,000.00      -$50,700.00     1.47
At The Main Entrance Of The Superior Court Building 201 West Jefferson Phoenix Az       07/01/2005   $225,600.00   $166,725.00     $225,600.00      -$58,875.00     1.35
At The Main Entrance Of The Superior Court Building 201 West Jefferson Phoenix Arizona 05/15/2007    $356,000.00   $251,275.00     $356,000.00     -$104,725.00     1.42
At The Main Entrance Of The Superior Court Building 201 West Jefferson Phoenix Az       12/15/2006   $417,000.00   $332,975.00     $417,000.00      -$84,025.00     1.25
Security Title Agency                                                                                $176,700.00   $145,350.00     $176,700.00      -$31,350.00     1.22
At The Main Entrance Of The Superior Court Building 201 West Jefferson Phoenix Az       07/09/2007   $390,700.00   $328,700.00     $390,700.00      -$62,000.00     1.19
At The Main Entrance Of The Superior Court Building 201 West Jefferson Phoenix Az       02/12/2007   $392,000.00   $248,425.00     $392,000.00     -$143,575.00     1.58
Office Of Michael A. Bosco Jr.                                                                       $240,000.00   $173,375.00     $240,000.00      -$66,625.00     1.38
At The Main Entrance Of The Superior Court Building 201 West Jefferson Phoenix Az                    $308,000.00   $224,675.00     $308,000.00      -$83,325.00     1.37
At The Main Entrance Of The Superior Court Building 201 West Jefferson Phoenix Az       04/24/2006   $303,200.00   $217,075.00     $303,200.00      -$86,125.00      1.4




                                                                                                                                                 Page 65
Pre-foreclosure List
                                                                                                                                     Maricopa County Week Ending 11/2

At The Main Entrance Of The Superior Court Building 201 West Jefferson Phoenix Az       07/21/2005      $194,660.00    $114,000.00     $194,660.00       -$80,660.00    1.71
At The Main Entrance Of The Superior Court Building 201 West Jefferson Phoenix Arizona                 $3,375,000.00                  $3,375,000.00
At The Main Entrance Of The Superior Court Building 201 West Jefferson Phoenix Az       01/26/2007      $246,400.00    $208,525.00     $246,400.00       -$37,875.00    1.18
At The Main Entrance Of The Superior Court Building 201 West Jefferson Phoenix Az       07/27/2007      $225,000.00    $118,750.00     $225,000.00      -$106,250.00     1.9
At The Main Entrance Of The Superior Court Building 201 West Jefferson Phoenix Az       11/20/2006      $572,000.00    $294,025.00     $572,000.00      -$277,975.00    1.95
At The Main Entrance Of The Superior Court Building 201 West Jefferson Phoenix Az       09/17/2007      $207,075.00    $107,825.00     $207,075.00       -$99,250.00    1.92
At The Main Entrance Of The Superior Court Building 201 West Jefferson Phoenix Az       05/18/2005      $137,000.00     $89,300.00     $137,000.00       -$47,700.00    1.53
At The Main Entrance Of The Superior Court Building 201 West Jefferson Phoenix Az       04/03/2007      $650,000.00    $402,800.00     $650,000.00      -$247,200.00    1.61
At The Main Entrance Of The Superior Court Building 201 West Jefferson Phoenix Az       07/18/2006      $232,500.00    $167,675.00     $232,500.00       -$64,825.00    1.39
At The Main Entrance Of The Superior Court Building 201 West Jefferson Phoenix Az       03/09/1987        $68,611.00   $111,150.00       $68,611.00       $42,539.00    0.62
At The Main Entrance Of The Superior Court Building 201 West Jefferson Phoenix Arizona 06/15/2007       $289,000.00    $210,425.00     $289,000.00       -$78,575.00    1.37
At The Main Entrance Of The Superior Court Building 201 West Jefferson Phoenix Az       12/19/2005      $685,000.00    $335,350.00     $685,000.00      -$349,650.00    2.04
At The Main Entrance Of The Superior Court Building 201 West Jefferson Phoenix Az                       $231,004.00    $207,738.00     $231,004.00       -$23,266.00    1.11
Law Offices Of Perry & Shapiro                                                                          $395,000.00    $441,990.00     $395,000.00        $46,990.00    0.89
At The Main Entrance Of The Superior Court Building 201 West Jefferson Phoenix Az                       $242,250.00    $122,550.00     $242,250.00      -$119,700.00    1.98
At The Main Entrance Of The Superior Court Building 201 West Jefferson Phoenix Az       06/30/2006      $135,000.00    $122,075.00     $135,000.00       -$12,925.00    1.11
At The Main Entrance Of The Superior Court Building 201 West Jefferson Phoenix Az                       $126,400.00    $138,758.00     $126,400.00        $12,358.00    0.91
At The Main Entrance Of The Superior Court Building 201 West Jefferson Phoenix Az       06/27/2008      $312,550.00    $256,500.00     $312,550.00       -$56,050.00    1.22
At The Main Entrance Of The Superior Court Building 201 West Jefferson Phoenix Az       12/21/2007      $226,436.00    $164,350.00     $226,436.00       -$62,086.00    1.38
At The Main Entrance Of The Superior Court Building 201 West Jefferson Phoenix Az       05/04/2007      $500,000.00    $278,350.00     $500,000.00      -$221,650.00     1.8
Office Of Michael A. Bosco Jr.                                                          02/17/2006      $291,850.00    $193,325.00     $291,850.00       -$98,525.00    1.51
Office Of Michael A. Bosco Jr.                                                                          $276,000.00    $204,250.00     $276,000.00       -$71,750.00    1.35
At The Main Entrance Of The Superior Court Building 201 West Jefferson Phoenix Az       01/30/2006      $160,000.00     $99,275.00     $160,000.00       -$60,725.00    1.61
At The Main Entrance Of The Superior Court Building 201 West Jefferson Phoenix Az                       $102,580.00    $114,950.00     $102,580.00        $12,370.00    0.89
At The Main Entrance Of The Superior Court Building 201 West Jefferson Phoenix Az       09/26/2005      $351,000.00    $185,725.00     $351,000.00      -$165,275.00    1.89
At The Main Entrance Of The Superior Court Building 201 West Jefferson Phoenix Az                       $166,500.00    $103,075.00     $166,500.00       -$63,425.00    1.62
In The Courtyard By The Main Entrance To The Superior Court Building 201 West Jefferson 11/24/2004
                                                                                        Phoenix         $128,056.00    $102,600.00     $128,056.00       -$25,456.00    1.25
At The Main Entrance Of The Superior Court Building 201 West Jefferson Phoenix Az                       $110,197.00     $89,775.00     $110,197.00       -$20,422.00    1.23
Office Of Michael A. Bosco Jr.                                                                            $97,600.00   $145,350.00       $97,600.00       $47,750.00    0.67
At The Main Entrance Of The Superior Court Building 201 West Jefferson Phoenix Az       06/27/2007      $199,000.00    $105,450.00     $199,000.00       -$93,550.00    1.89
At The Main Entrance Of The Superior Court Building 201 West Jefferson Phoenix Az       07/16/2007      $720,000.00    $493,050.00     $720,000.00      -$226,950.00    1.46
At The Main Entrance Of The Superior Court Building 201 West Jefferson Phoenix Az       06/27/2006      $200,000.00    $115,900.00     $200,000.00       -$84,100.00    1.73
At The Steps At The Front Entrance Of The Superior Court Building 201 West Jefferson Phoenix Arizona
                                                                                        07/23/2005      $177,600.00    $114,475.00     $177,600.00       -$63,125.00    1.55
At The Main Entrance Of The Superior Court Building 201 West Jefferson Phoenix Az                       $172,000.00    $129,675.00     $172,000.00       -$42,325.00    1.33
At The Main Entrance Of The Superior Court Building 201 West Jefferson Phoenix Az       03/31/2006      $247,200.00    $126,825.00     $247,200.00      -$120,375.00    1.95
At The Main Entrance Of The Superior Court Building 201 West Jefferson Phoenix Az                       $264,000.00    $158,650.00     $264,000.00      -$105,350.00    1.66
At The Main Entrance Of The Superior Court Building 201 West Jefferson Phoenix Az       07/25/2007      $277,400.00    $197,600.00     $277,400.00       -$79,800.00     1.4
At The Steps At The Front Entrance Of The Superior Court Building 201 West Jefferson Phoenix Arizona
                                                                                        08/08/2005      $320,000.00    $319,675.00     $320,000.00          -$325.00       1
At The Main Entrance Of The Superior Court Building 201 West Jefferson Phoenix Az       04/19/2006      $237,500.00    $110,675.00     $237,500.00      -$126,825.00    2.15
At The Main Entrance Of The Superior Court Building 201 West Jefferson Phoenix Az       10/18/2006      $157,500.00     $92,625.00     $157,500.00       -$64,875.00     1.7
In The Courtyard By The Main Entrance To The Superior Court Building 201 West Jefferson 11/12/2004
                                                                                        Phoenix         $196,000.00    $149,150.00     $196,000.00       -$46,850.00    1.31
In The Courtyard By The Main Entrance To The Superior Court Building 201 West Jefferson 09/15/2005
                                                                                        Phoenix         $147,200.00     $97,850.00     $147,200.00       -$49,350.00     1.5
At The Main Entrance Of The Superior Court Building 201 West Jefferson Phoenix Az                       $308,000.00    $186,200.00     $308,000.00      -$121,800.00    1.65
Security Title Agency                                                                                   $258,000.00    $122,075.00     $258,000.00      -$135,925.00    2.11
In The Courtyard By The Main Entrance To The Superior Court Building 201 West Jefferson 06/22/2006
                                                                                        Phoenix         $328,446.00    $157,225.00     $328,446.00      -$171,221.00    2.09
Law Offices Of Perry & Shapiro                                                                          $206,400.00    $142,975.00     $206,400.00       -$63,425.00    1.44
At The Main Entrance Of The Superior Court Building 201 West Jefferson Phoenix Az       06/24/2005      $260,000.00    $169,575.00     $260,000.00       -$90,425.00    1.53
At The Main Entrance Of The Superior Court Building 201 West Jefferson Phoenix Az       03/22/2005      $280,800.00    $197,125.00     $280,800.00       -$83,675.00    1.42
Security Title Agency                                                                                   $177,000.00    $127,300.00     $177,000.00       -$49,700.00    1.39
At The Main Entrance Of The Superior Court Building 201 West Jefferson Phoenix Az       03/31/2008      $213,000.00    $204,250.00     $213,000.00        -$8,750.00    1.04
At The Main Entrance Of The Superior Court Building 201 West Jefferson Phoenix Az       11/13/2006      $224,000.00    $134,425.00     $224,000.00       -$89,575.00    1.67
Office Of Michael A. Bosco Jr.                                                                          $148,000.00    $191,425.00     $148,000.00        $43,425.00    0.77
At The Main Entrance Of The Superior Court Building 201 West Jefferson Phoenix Az       02/27/2007      $184,000.00    $106,875.00     $184,000.00       -$77,125.00    1.72
At The Main Entrance Of The Superior Court Building 201 West Jefferson Phoenix Az       07/02/2007      $419,000.00    $219,925.00     $419,000.00      -$199,075.00    1.91
At The Main Entrance Of The Superior Court Building 201 West Jefferson Phoenix Az       09/06/2006      $159,250.00    $117,800.00     $159,250.00       -$41,450.00    1.35
Office Of Michael A. Bosco Jr.                                                                          $264,000.00    $180,025.00     $264,000.00       -$83,975.00    1.47
At The Main Entrance Of The Superior Court Building 201 West Jefferson Phoenix Az       04/13/2005      $143,200.00     $97,850.00     $143,200.00       -$45,350.00    1.46




                                                                                                                                                      Page 66
Pre-foreclosure List
                                                                                                                                       Maricopa County Week Ending 11/2

At The Main Entrance Of The Superior Court Building 201 West Jefferson Phoenix Az                       $261,000.00      $172,900.00     $261,000.00       -$88,100.00    1.51
At The Main Entrance Of The Superior Court Building 201 West Jefferson Phoenix Az       07/14/2006      $720,000.00      $617,975.00     $720,000.00      -$102,025.00    1.17
At The Main Entrance Of The Superior Court Building 201 West Jefferson Phoenix Az       03/21/2006      $240,000.00      $173,375.00     $240,000.00       -$66,625.00    1.38
At The Main Entrance Of The Superior Court Building 201 West Jefferson Phoenix Az       08/29/2007      $211,932.00      $157,700.00     $211,932.00       -$54,232.00    1.34
In The Courtyard By The Main Entrance To The Superior Court Building 201 West Jefferson 11/15/2006
                                                                                        Phoenix         $231,990.00      $159,600.00     $231,990.00       -$72,390.00    1.45
In The Courtyard By The Main Entrance To The Superior Court Building 201 West Jefferson 08/30/2006
                                                                                        Phoenix         $205,600.00      $109,250.00     $205,600.00       -$96,350.00    1.88
At The Main Entrance Of The Superior Court Building 201 West Jefferson Phoenix Az       10/25/2005      $840,000.00      $699,200.00     $840,000.00      -$140,800.00     1.2
At The Main Entrance Of The Superior Court Building 201 West Jefferson Phoenix Az       10/29/2007      $233,000.00      $182,875.00     $233,000.00       -$50,125.00    1.27
At The Main Entrance Of The Superior Court Building 201 West Jefferson Phoenix Az                       $141,000.00       $98,325.00     $141,000.00       -$42,675.00    1.43
At The Main Entrance Of The Superior Court Building 201 West Jefferson Phoenix Az                       $150,800.00      $126,350.00     $150,800.00       -$24,450.00    1.19
Office Of Michael A. Bosco Jr.                                                                          $380,000.00      $216,125.00     $380,000.00      -$163,875.00    1.76
At The Main Entrance Of The Superior Court Building 201 West Jefferson Phoenix Az       10/31/2006      $205,600.00      $132,050.00     $205,600.00       -$73,550.00    1.56
At The Main Entrance Of The Superior Court Building 201 West Jefferson Phoenix Az       11/04/2005      $144,400.00      $100,700.00     $144,400.00       -$43,700.00    1.43
Office Of Michael A. Bosco Jr.                                                                          $188,600.00      $179,858.00     $188,600.00        -$8,742.00    1.05
At The Main Entrance Of The Superior Court Building 201 West Jefferson Phoenix Az       03/20/2006      $361,000.00      $157,700.00     $361,000.00      -$203,300.00    2.29
At The Main Entrance Of The Superior Court Building 201 West Jefferson Phoenix Az       12/04/2006      $476,000.00      $356,250.00     $476,000.00      -$119,750.00    1.34
At The Main Entrance Of The Superior Court Building 201 West Jefferson Phoenix Az                      $1,360,000.00   $1,103,900.00    $1,360,000.00     -$256,100.00    1.23
At The Steps At The Front Entrance Of The Superior Court Building 201 West Jefferson Phoenix Arizona
                                                                                        08/12/2005      $125,000.00                      $125,000.00
At The Main Entrance Of The Superior Court Building 201 West Jefferson Phoenix Az       07/21/2005      $148,000.00       $66,975.00     $148,000.00        -$81,025.00   2.21
At The Main Entrance Of The Superior Court Building 201 West Jefferson Phoenix Az       04/30/2001      $176,000.00      $390,925.00     $176,000.00        $214,925.00   0.45
At The Main Entrance Of The Superior Court Building 201 West Jefferson Phoenix Az       11/29/2005      $140,000.00      $120,650.00     $140,000.00        -$19,350.00   1.16
At The Main Entrance Of The Superior Court Building 201 West Jefferson Phoenix Az       01/31/2006      $273,000.00      $210,425.00     $273,000.00        -$62,575.00    1.3
Office Of Michael A. Bosco Jr.                                                                         $1,920,000.00   $1,320,500.00    $1,920,000.00      -$599,500.00   1.45
At The Main Entrance Of The Superior Court Building 201 West Jefferson Phoenix Arizona 05/17/2006       $233,200.00      $117,325.00     $233,200.00       -$115,875.00   1.99
In The Courtyard By The Main Entrance To The Superior Court Building 201 West Jefferson 05/19/2008
                                                                                        Phoenix         $226,446.00      $152,000.00     $226,446.00        -$74,446.00   1.49
At The Steps At The Front Entrance Of The Superior Court Building 201 West Jefferson Phoenix Arizona
                                                                                        10/16/2006      $115,000.00       $83,125.00     $115,000.00        -$31,875.00   1.38
In The Courtyard By The Main Entrance To The Superior Court Building 201 West Jefferson 02/02/2007
                                                                                        Phoenix         $148,800.00       $92,150.00     $148,800.00        -$56,650.00   1.62
At The Main Entrance Of The Superior Court Building 201 West Jefferson Phoenix Az                       $202,000.00      $152,950.00     $202,000.00        -$49,050.00   1.32
At The Steps At The Front Entrance Of The Superior Court Building 201 West Jefferson Phoenix Arizona
                                                                                        11/27/2006      $367,000.00      $108,775.00     $367,000.00       -$258,225.00   3.37
Office Of Michael A. Bosco Jr.                                                                          $215,920.00      $120,650.00     $215,920.00        -$95,270.00   1.79
Office Of Michael A. Bosco Jr.                                                                          $320,000.00      $266,000.00     $320,000.00        -$54,000.00    1.2
At The Main Entrance Of The Superior Court Building 201 West Jefferson Phoenix Az       08/28/2007      $190,750.00      $177,650.00     $190,750.00        -$13,100.00   1.07
Office Of Michael A. Bosco Jr.                                                                          $244,000.00      $166,725.00     $244,000.00        -$77,275.00   1.46
Office Of Michael A. Bosco Jr.                                                                          $272,800.00      $277,875.00     $272,800.00          $5,075.00   0.98
At The Main Entrance Of The Superior Court Building 201 West Jefferson Phoenix Az       03/30/2007      $320,000.00      $199,975.00     $320,000.00       -$120,025.00    1.6
Office Of Michael A. Bosco Jr.                                                                          $258,000.00      $128,725.00     $258,000.00       -$129,275.00      2
At The Main Entrance Of The Superior Court Building 201 West Jefferson Phoenix Az       12/30/2004      $122,850.00      $104,975.00     $122,850.00        -$17,875.00   1.17
At The Main Entrance Of The Superior Court Building 201 West Jefferson Phoenix Az       02/13/2006      $199,200.00      $169,575.00     $199,200.00        -$29,625.00   1.18
At The Main Entrance Of The Superior Court Building 201 West Jefferson Phoenix Az                       $299,640.00      $167,200.00     $299,640.00       -$132,440.00   1.79
At The Main Entrance Of The Superior Court Building 201 West Jefferson Phoenix Az       10/09/2007      $277,000.00      $128,725.00     $277,000.00       -$148,275.00   2.15
Office Of Michael A. Bosco Jr.                                                                          $223,000.00      $163,875.00     $223,000.00        -$59,125.00   1.36
At The Main Entrance Of The Superior Court Building 201 West Jefferson Phoenix Az       06/03/2005      $127,000.00      $162,450.00     $127,000.00         $35,450.00   0.78
At The Main Entrance Of The Superior Court Building 201 West Jefferson Phoenix Az                      $2,400,190.00     $962,825.00    $2,400,190.00    -$1,437,365.00   2.49
Law Offices Of Perry & Shapiro                                                                                 $5.00     $130,150.00            $5.00       $130,145.00      0
At The Main Entrance Of The Superior Court Building 201 West Jefferson Phoenix Az       05/30/2006      $280,000.00      $208,525.00     $280,000.00        -$71,475.00   1.34
At The Main Entrance Of The Superior Court Building 201 West Jefferson Phoenix Az                       $182,650.00      $124,925.00     $182,650.00        -$57,725.00   1.46
At The Main Entrance Of The Superior Court Building 201 West Jefferson Phoenix Az                      $1,192,000.00     $579,025.00    $1,192,000.00      -$612,975.00   2.06
Law Offices Of Perry & Shapiro                                                                          $100,000.00      $105,925.00     $100,000.00          $5,925.00   0.94
At The Main Entrance Of The Superior Court Building 201 West Jefferson Phoenix Az                       $500,000.00      $346,750.00     $500,000.00       -$153,250.00   1.44
Office Of Michael A. Bosco Jr.                                                                          $240,000.00      $224,200.00     $240,000.00        -$15,800.00   1.07
Law Offices Of Perry & Shapiro                                                                          $165,700.00      $118,750.00     $165,700.00        -$46,950.00    1.4
Office Of Michael A. Bosco Jr.                                                                          $138,160.00      $102,600.00     $138,160.00        -$35,560.00   1.35
At The Main Entrance Of The Superior Court Building 201 West Jefferson Phoenix Az       02/26/2008      $236,250.00      $195,225.00     $236,250.00        -$41,025.00   1.21
In The Courtyard By The Main Entrance To The Superior Court Building 201 West Jefferson 12/23/2005
                                                                                        Phoenix         $237,750.00      $238,450.00     $237,750.00            $700.00      1
Office Of Michael A. Bosco Jr.                                                                          $140,000.00       $91,675.00     $140,000.00        -$48,325.00   1.53
Office Of Michael A. Bosco Jr.                                                                            $86,250.00     $123,025.00       $86,250.00        $36,775.00    0.7
Office Of Michael A. Bosco Jr.                                                                          $183,000.00      $144,875.00     $183,000.00        -$38,125.00   1.26




                                                                                                                                                        Page 67
Pre-foreclosure List
                                                                                                                                   Maricopa County Week Ending 11/2

At The Steps At The Front Entrance Of The Superior Court Building 201 West Jefferson Phoenix Arizona
                                                                                        07/26/2006     $272,000.00                   $272,000.00
At The Steps At The Front Entrance Of The Superior Court Building 201 West Jefferson Phoenix Arizona
                                                                                        01/04/2006     $382,500.00   $254,600.00     $382,500.00     -$127,900.00      1.5
Office Of Michael A. Bosco Jr.                                                                         $174,400.00   $116,850.00     $174,400.00      -$57,550.00     1.49
Office Of Michael A. Bosco Jr.                                                                         $106,857.00   $108,300.00     $106,857.00        $1,443.00     0.99
At The Main Entrance Of The Superior Court Building 201 West Jefferson Phoenix Az       02/28/2007     $161,000.00   $115,900.00     $161,000.00      -$45,100.00     1.39
At The Main Entrance Of The Superior Court Building 201 West Jefferson Phoenix Az                      $192,757.00   $109,725.00     $192,757.00      -$83,032.00     1.76
At The Main Entrance Of The Superior Court Building 201 West Jefferson Phoenix Az       04/16/2007     $265,500.00   $120,175.00     $265,500.00     -$145,325.00     2.21
Office Of Michael A. Bosco Jr.                                                                         $294,060.00   $286,900.00     $294,060.00       -$7,160.00     1.03
Office Of Michael A. Bosco Jr.                                                                         $222,600.00   $164,350.00     $222,600.00      -$58,250.00     1.35
At The Main Entrance Of The Superior Court Building 201 West Jefferson Phoenix Arizona 04/10/2006      $376,000.00   $239,400.00     $376,000.00     -$136,600.00     1.57
At The Main Entrance Of The Superior Court Building 201 West Jefferson Phoenix Az       03/26/2007     $246,350.00   $151,050.00     $246,350.00      -$95,300.00     1.63
At The Main Entrance To The Superior Courts Building 201 W. Jefferson Phoenix Az.                      $144,000.00    $90,725.00     $144,000.00      -$53,275.00     1.59
Office Of Michael A. Bosco Jr.                                                                         $207,000.00   $152,950.00     $207,000.00      -$54,050.00     1.35
At The Main Entrance Of The Superior Court Building 201 West Jefferson Phoenix Az       09/07/2007     $185,250.00    $85,025.00     $185,250.00     -$100,225.00     2.18
At The Main Entrance Of The Superior Court Building 201 West Jefferson Phoenix Az       05/30/2007     $200,000.00   $126,350.00     $200,000.00      -$73,650.00     1.58
At The Main Entrance Of The Superior Court Building 201 West Jefferson Phoenix Az                      $168,000.00   $101,650.00     $168,000.00      -$66,350.00     1.65
At The Steps At The Front Entrance Of The Superior Court Building 201 West Jefferson Phoenix Arizona
                                                                                        01/10/2007     $195,000.00   $115,425.00     $195,000.00      -$79,575.00     1.69
At The Main Entrance Of The Superior Court Building 201 West Jefferson Phoenix Az       12/08/2005     $391,300.00   $308,275.00     $391,300.00      -$83,025.00     1.27
Office Of Michael A. Bosco Jr.                                                                         $304,000.00   $189,525.00     $304,000.00     -$114,475.00      1.6
At The Main Entrance Of The Superior Court Building 201 West Jefferson Phoenix Az       07/03/2007     $315,000.00   $187,150.00     $315,000.00     -$127,850.00     1.68
At The Main Entrance Of The Superior Court Building 201 West Jefferson Phoenix Az       04/11/2006     $220,000.00   $145,350.00     $220,000.00      -$74,650.00     1.51
Office Of Michael A. Bosco Jr.                                                                         $138,000.00   $109,725.00     $138,000.00      -$28,275.00     1.26
At The Main Entrance Of The Superior Court Building 201 West Jefferson Phoenix Az       02/06/2008     $236,000.00   $150,100.00     $236,000.00      -$85,900.00     1.57
At The Main Entrance Of The Superior Court Building 201 West Jefferson Phoenix Az                      $198,600.00   $155,800.00     $198,600.00      -$42,800.00     1.28
In The Courtyard By The Main Entrance To The Superior Court Building 201 West Jefferson 08/09/2006
                                                                                        Phoenix        $240,000.00   $166,725.00     $240,000.00      -$73,275.00     1.44
At The Main Entrance Of The Superior Court Building 201 West Jefferson Phoenix Az                      $757,700.00   $524,400.00     $757,700.00     -$233,300.00     1.45
At The Main Entrance Of The Superior Court Building 201 West Jefferson Phoenix Az       03/30/2006     $224,485.00   $128,250.00     $224,485.00      -$96,235.00     1.75
At The Main Entrance Of The Superior Court Building 201 West Jefferson Phoenix Arizona 12/06/2007      $222,550.00   $144,875.00     $222,550.00      -$77,675.00     1.54
At The Main Entrance Of The Superior Court Building 201 West Jefferson Phoenix Az       11/05/2007     $240,000.00   $195,700.00     $240,000.00      -$44,300.00     1.23
In The Courtyard By The Main Entrance To The Superior Court Building 201 West Jefferson 05/31/2006
                                                                                        Phoenix        $303,000.00   $142,500.00     $303,000.00     -$160,500.00     2.13
Law Offices Of Perry & Shapiro                                                                         $248,000.00   $136,800.00     $248,000.00     -$111,200.00     1.81
Office Of Michael A. Bosco Jr.                                                                         $148,000.00   $103,550.00     $148,000.00      -$44,450.00     1.43
At The Main Entrance Of The Superior Court Building 201 West Jefferson Phoenix Az       07/11/2008     $183,207.00   $118,750.00     $183,207.00      -$64,457.00     1.54
At The Steps At The Front Entrance Of The Superior Court Building 201 West Jefferson Phoenix Arizona
                                                                                        12/20/2006     $192,000.00   $112,100.00     $192,000.00      -$79,900.00     1.71
Office Of Michael A. Bosco Jr.                                                                         $233,000.00   $315,400.00     $233,000.00       $82,400.00     0.74
At The Main Entrance Of The Superior Court Building 201 West Jefferson Phoenix Az                      $444,900.00   $272,175.00     $444,900.00     -$172,725.00     1.64
At The Main Entrance Of The Superior Court Building 201 West Jefferson Phoenix Az                      $350,000.00   $223,725.00     $350,000.00     -$126,275.00     1.56
At The Steps At The Front Entrance Of The Superior Court Building 201 West Jefferson Phoenix Arizona
                                                                                        12/18/2006     $198,000.00   $139,175.00     $198,000.00      -$58,825.00     1.42
At The Main Entrance Of The Superior Court Building 201 West Jefferson Phoenix Az       01/19/2006     $175,400.00   $109,250.00     $175,400.00      -$66,150.00     1.61
Office Of Michael A. Bosco Jr.                                                                         $114,251.00   $144,875.00     $114,251.00       $30,624.00     0.79
At The Main Entrance Of The Superior Court Building 201 West Jefferson Phoenix Az       09/28/2006     $580,400.00   $446,025.00     $580,400.00     -$134,375.00      1.3
Office Of Michael A. Bosco Jr.                                                                         $180,000.00   $123,500.00     $180,000.00      -$56,500.00     1.46
Office Of Michael A. Bosco Jr.                                                                         $251,048.00   $162,450.00     $251,048.00      -$88,598.00     1.55
At The Steps At The Front Entrance Of The Superior Court Building 201 West Jefferson Phoenix Arizona
                                                                                        01/24/2008     $192,700.00   $121,125.00     $192,700.00      -$71,575.00     1.59
At The Main Entrance Of The Superior Court Building 201 West Jefferson Phoenix Az       10/06/2006     $180,000.00   $130,625.00     $180,000.00      -$49,375.00     1.38
Office Of Michael A. Bosco Jr.                                                                          $92,000.00    $96,900.00      $92,000.00        $4,900.00     0.95
Office Of Michael A. Bosco Jr.                                                                         $252,152.00   $203,775.00     $252,152.00      -$48,377.00     1.24
Office Of Michael A. Bosco Jr.                                                                          $36,000.00    $52,725.00      $36,000.00       $16,725.00     0.68
Office Of Michael A. Bosco Jr.                                                                          $36,000.00    $48,450.00      $36,000.00       $12,450.00     0.74
At The Main Entrance Of The Superior Court Building 201 West Jefferson Phoenix Az                      $306,855.00   $195,225.00     $306,855.00     -$111,630.00     1.57
At The Main Entrance Of The Superior Court Building 201 West Jefferson Phoenix Az       10/01/2007     $269,970.00   $124,450.00     $269,970.00     -$145,520.00     2.17
At The Main Entrance Of The Superior Court Building 201 West Jefferson Phoenix Az       04/09/2008     $265,000.00   $239,875.00     $265,000.00      -$25,125.00     1.11
At The Main Entrance Of The Superior Court Building 201 West Jefferson Phoenix Az       05/24/2006     $195,920.00   $117,325.00     $195,920.00      -$78,595.00     1.67
Office Of Michael A. Bosco Jr.                                                                         $348,500.00   $267,425.00     $348,500.00      -$81,075.00      1.3
At The Main Entrance To The Superior Courts Building 201 W. Jefferson Phoenix Az.                      $392,000.00   $288,800.00     $392,000.00     -$103,200.00     1.36
At The Main Entrance Of The Superior Court Building 201 West Jefferson Phoenix Az       02/28/2007     $373,300.00   $195,225.00     $373,300.00     -$178,075.00     1.91
Office Of Michael A. Bosco Jr.                                                                         $190,850.00   $191,900.00     $190,850.00        $1,050.00        1




                                                                                                                                                   Page 68
Pre-foreclosure List
                                                                                                                                     Maricopa County Week Ending 11/2

Office Of Michael A. Bosco Jr.                                                                        $143,920.00      $107,825.00     $143,920.00       -$36,095.00    1.34
Office Of Michael A. Bosco Jr.                                                                        $266,000.00      $138,700.00     $266,000.00      -$127,300.00    1.92
Law Offices Of Perry & Shapiro                                                                        $300,000.00      $232,780.00     $300,000.00       -$67,220.00    1.29
Office Of Michael A. Bosco Jr.                                                                        $335,599.00      $212,325.00     $335,599.00      -$123,274.00    1.58
In The Courtyard By The Main Entrance To The Superior Court Building 201 West Jefferson 10/03/2005
                                                                                        Phoenix       $259,920.00      $207,100.00     $259,920.00       -$52,820.00    1.26
At The Main Entrance Of The Superior Court Building 201 West Jefferson Phoenix Az       05/24/2007    $167,000.00       $98,325.00     $167,000.00       -$68,675.00     1.7
At The Main Entrance Of The Superior Court Building 201 West Jefferson Phoenix Az       10/27/2008    $164,000.00      $184,775.00     $164,000.00        $20,775.00    0.89
Law Offices Of Perry & Shapiro                                                                        $115,000.00       $95,950.00     $115,000.00       -$19,050.00     1.2
At The Main Entrance Of The Superior Court Building 201 West Jefferson Phoenix Arizona 09/10/2003     $234,950.00      $240,350.00     $234,950.00         $5,400.00    0.98
Office Of Michael A. Bosco Jr.                                                                        $228,000.00      $135,850.00     $228,000.00       -$92,150.00    1.68
Office Of Michael A. Bosco Jr.                                                                        $195,000.00      $251,774.00     $195,000.00        $56,774.00    0.78
Office Of Michael A. Bosco Jr.                                                                        $181,600.00      $141,075.00     $181,600.00       -$40,525.00    1.29
At The Main Entrance Of The Superior Court Building 201 West Jefferson Phoenix Az       03/20/2006    $260,000.00      $138,225.00     $260,000.00      -$121,775.00    1.88
At The Main Entrance Of The Superior Court Building 201 West Jefferson Phoenix Az                     $257,400.00      $157,225.00     $257,400.00      -$100,175.00    1.64
At The Main Entrance Of The Superior Court Building 201 West Jefferson Phoenix Az                     $121,591.00      $112,100.00     $121,591.00        -$9,491.00    1.09
At The Main Entrance Of The Superior Court Building 201 West Jefferson Phoenix Az                    $2,000,000.00   $1,313,375.00    $2,000,000.00     -$686,625.00    1.52
At The Main Entrance Of The Superior Court Building 201 West Jefferson Phoenix Az                     $335,750.00      $212,325.00     $335,750.00      -$123,425.00    1.58
At The Main Entrance Of The Superior Court Building 201 West Jefferson Phoenix Az                       $83,180.00     $109,250.00       $83,180.00       $26,070.00    0.76
At The Main Entrance Of The Superior Court Building 201 West Jefferson Phoenix Az       01/04/2007    $440,000.00                      $440,000.00
Law Offices Of Perry & Shapiro                                                                        $160,000.00     $102,600.00      $160,000.00       -$57,400.00    1.56
At The Main Entrance Of The Superior Court Building 201 West Jefferson Phoenix Az       11/28/2005    $247,997.00     $144,875.00      $247,997.00      -$103,122.00    1.71
Office Of Michael A. Bosco Jr.                                                                        $163,000.00     $141,550.00      $163,000.00       -$21,450.00    1.15
At The Main Entrance Of The Superior Court Building 201 West Jefferson Phoenix Az       06/07/2007    $109,200.00     $186,675.00      $109,200.00        $77,475.00    0.59
In The Courtyard By The Main Entrance To The Superior Court Building 201 West Jefferson 02/08/2007
                                                                                        Phoenix       $177,400.00     $101,175.00      $177,400.00       -$76,225.00    1.75
At The Main Entrance Of The Superior Court Building 201 West Jefferson Phoenix Az       03/27/2007    $258,471.00     $115,425.00      $258,471.00      -$143,046.00    2.24
At The Main Entrance Of The Superior Court Building 201 West Jefferson Phoenix Arizona 11/02/2006     $190,000.00     $156,275.00      $190,000.00       -$33,725.00    1.22
At The Main Entrance Of The Superior Court Building 201 West Jefferson Phoenix Az       11/21/2006    $288,750.00     $184,300.00      $288,750.00      -$104,450.00    1.57
Office Of Michael A. Bosco Jr.                                                                        $340,000.00     $256,500.00      $340,000.00       -$83,500.00    1.33
Office Of Michael A. Bosco Jr.                                                                        $363,750.00     $236,550.00      $363,750.00      -$127,200.00    1.54
At The Main Entrance Of The Superior Court Building 201 West Jefferson Phoenix Az       08/31/2006    $164,000.00      $98,800.00      $164,000.00       -$65,200.00    1.66
In The Courtyard By The Main Entrance To The Superior Court Building 201 West Jefferson 08/17/2005
                                                                                        Phoenix       $115,050.00      $83,125.00      $115,050.00       -$31,925.00    1.38
Office Of Michael A. Bosco Jr.                                                                        $225,000.00     $191,900.00      $225,000.00       -$33,100.00    1.17
Office Of Michael A. Bosco Jr.                                                                        $221,350.00     $171,475.00      $221,350.00       -$49,875.00    1.29
Law Offices Of Perry & Shapiro                                                                        $417,000.00     $454,575.00      $417,000.00        $37,575.00    0.92
At The Main Entrance Of The Superior Court Building 201 West Jefferson Phoenix Az       05/16/2007    $163,351.00      $79,800.00      $163,351.00       -$83,551.00    2.05
At The Main Entrance Of The Superior Court Building 201 West Jefferson Phoenix Az                                      $91,200.00             $0.00
Office Of Michael A. Bosco Jr.                                                                        $182,700.00      $95,000.00      $182,700.00       -$87,700.00    1.92
In The Courtyard By The Main Entrance To The Superior Court Building 201 West Jefferson 10/06/2006
                                                                                        Phoenix       $240,000.00     $152,950.00      $240,000.00       -$87,050.00    1.57
Office Of Michael A. Bosco Jr.                                                                        $417,000.00     $247,475.00      $417,000.00      -$169,525.00    1.69
Law Offices Of Perry & Shapiro                                                                        $303,987.00     $180,975.00      $303,987.00      -$123,012.00    1.68
Law Offices Of Perry & Shapiro                                                                        $148,500.00     $100,700.00      $148,500.00       -$47,800.00    1.48
At The Main Entrance Of The Superior Court Building 201 West Jefferson Phoenix Az                     $156,632.00     $132,724.00      $156,632.00       -$23,908.00    1.18
Office Of Michael A. Bosco Jr.                                                                        $257,450.00     $217,912.00      $257,450.00       -$39,538.00    1.18
In The Courtyard By The Main Entrance To The Superior Court Building 201 West Jefferson 12/12/2005
                                                                                        Phoenix       $308,000.00     $276,925.00      $308,000.00       -$31,075.00    1.11
Office Of Michael A. Bosco Jr.                                                                         $60,700.00      $88,350.00        $60,700.00       $27,650.00    0.69
At The Main Entrance Of The Superior Court Building 201 West Jefferson Phoenix Az       05/01/2006    $226,352.00     $146,300.00      $226,352.00       -$80,052.00    1.55
At The Main Entrance Of The Superior Court Building 201 West Jefferson Phoenix Az       11/05/2004    $124,000.00     $123,500.00      $124,000.00          -$500.00       1
Office Of Michael A. Bosco Jr.                                                                        $308,180.00     $222,775.00      $308,180.00       -$85,405.00    1.38
Office Of Michael A. Bosco Jr.                                                                        $154,708.00     $133,950.00      $154,708.00       -$20,758.00    1.16
At The Main Entrance To The Superior Courts Building 201 W. Jefferson Phoenix Az.                     $263,150.00     $180,025.00      $263,150.00       -$83,125.00    1.46
At The Main Entrance Of The Superior Court Building 201 West Jefferson Phoenix Az                     $153,600.00     $123,025.00      $153,600.00       -$30,575.00    1.25
At The Main Entrance Of The Superior Court Building 201 West Jefferson Phoenix Az                      $83,000.00      $84,075.00        $83,000.00        $1,075.00    0.99
Law Offices Of Perry & Shapiro                                                                        $168,000.00      $91,200.00      $168,000.00       -$76,800.00    1.84
At The Main Entrance Of The Superior Court Building 201 West Jefferson Phoenix Az                     $224,000.00     $124,925.00      $224,000.00       -$99,075.00    1.79
Office Of Michael A. Bosco Jr.                                                                        $239,000.00     $136,800.00      $239,000.00      -$102,200.00    1.75
Office Of Michael A. Bosco Jr.                                                                        $237,000.00     $284,050.00      $237,000.00        $47,050.00    0.83
Office Of Michael A. Bosco Jr.                                                                        $210,000.00     $151,050.00      $210,000.00       -$58,950.00    1.39




                                                                                                                                                      Page 69
Pre-foreclosure List
                                                                                                                                   Maricopa County Week Ending 11/2

Office Of Michael A. Bosco Jr.                                                                         $113,881.00   $123,975.00     $113,881.00       $10,094.00     0.92
In The Courtyard By The Main Entrance To The Superior Court Building 201 West Jefferson 09/27/2006
                                                                                        Phoenix        $170,000.00    $86,925.00     $170,000.00      -$83,075.00     1.96
At The Main Entrance Of The Superior Court Building 201 West Jefferson Phoenix Az       03/02/2006     $112,000.00   $139,175.00     $112,000.00       $27,175.00     0.81
Office Of Michael A. Bosco Jr.                                                                         $184,000.00   $149,625.00     $184,000.00      -$34,375.00     1.23
In The Courtyard By The Main Entrance To The Superior Court Building 201 West Jefferson 09/28/2006
                                                                                        Phoenix        $185,600.00   $129,675.00     $185,600.00      -$55,925.00     1.43
At The Steps At The Front Entrance Of The Superior Court Building 201 West Jefferson Phoenix Arizona
                                                                                        06/26/2006     $175,000.00   $116,375.00     $175,000.00      -$58,625.00      1.5
Law Offices Of Perry & Shapiro                                                                         $167,000.00   $109,725.00     $167,000.00      -$57,275.00     1.52
At The Main Entrance Of The Superior Court Building 201 West Jefferson Phoenix Az       06/25/2007     $135,000.00    $88,825.00     $135,000.00      -$46,175.00     1.52
Law Offices Of Perry & Shapiro                                                                         $174,404.00   $163,400.00     $174,404.00      -$11,004.00     1.07
At The Main Entrance Of The Superior Court Building 201 West Jefferson Phoenix Az                      $280,000.00   $150,575.00     $280,000.00     -$129,425.00     1.86
At The Main Entrance Of The Superior Court Building 201 West Jefferson Phoenix Az                      $165,000.00    $87,400.00     $165,000.00      -$77,600.00     1.89
Office Of Michael A. Bosco Jr.                                                                         $131,129.00    $92,150.00     $131,129.00      -$38,979.00     1.42
At The Main Entrance Of The Superior Court Building 201 West Jefferson Phoenix Az                      $120,000.00    $87,875.00     $120,000.00      -$32,125.00     1.37
At The Main Entrance Of The Superior Court Building 201 West Jefferson Phoenix Az       11/23/2005     $388,000.00   $268,375.00     $388,000.00     -$119,625.00     1.45
At The Main Entrance Of The Superior Court Building 201 West Jefferson Phoenix Arizona 02/07/2007      $261,000.00   $159,125.00     $261,000.00     -$101,875.00     1.64
At The Main Entrance Of The Superior Court Building 201 West Jefferson Phoenix Az       08/18/2006     $158,400.00    $93,575.00     $158,400.00      -$64,825.00     1.69
In The Courtyard By The Main Entrance To The Superior Court Building 201 West Jefferson 02/27/2007
                                                                                        Phoenix        $196,800.00   $158,650.00     $196,800.00      -$38,150.00     1.24
At The Main Entrance Of The Superior Court Building 201 West Jefferson Phoenix Az       06/25/2007     $279,755.00   $179,075.00     $279,755.00     -$100,680.00     1.56
Office Of Michael A. Bosco Jr.                                                                         $186,300.00   $130,150.00     $186,300.00      -$56,150.00     1.43
Front Lobby Of Jaburg & Wilk                                                                           $172,800.00   $173,375.00     $172,800.00          $575.00        1
At The Main Entrance To The Superior Courts Building 201 W. Jefferson Phoenix Az.                      $106,305.00    $50,825.00     $106,305.00      -$55,480.00     2.09
At The Main Entrance Of The Superior Court Building 201 West Jefferson Phoenix Az                      $299,250.00   $171,950.00     $299,250.00     -$127,300.00     1.74
Office Of Michael A. Bosco Jr.                                                                         $223,920.00   $138,225.00     $223,920.00      -$85,695.00     1.62
At The Main Entrance Of The Superior Court Building 201 West Jefferson Phoenix Az                      $204,850.00   $151,525.00     $204,850.00      -$53,325.00     1.35
Security Title Agency                                                                                  $176,000.00   $126,350.00     $176,000.00      -$49,650.00     1.39
Law Offices Of Perry & Shapiro                                                                         $202,400.00   $110,675.00     $202,400.00      -$91,725.00     1.83
At The Main Entrance Of The Superior Court Building 201 West Jefferson Phoenix Az       10/25/2007     $220,500.00   $182,875.00     $220,500.00      -$37,625.00     1.21
Law Offices Of Perry & Shapiro                                                                         $209,000.00   $126,350.00     $209,000.00      -$82,650.00     1.65
Office Of Michael A. Bosco Jr.                                                                         $225,250.00   $135,850.00     $225,250.00      -$89,400.00     1.66
At The Main Entrance Of The Superior Court Building 201 West Jefferson Phoenix Az       02/23/2007      $98,400.00    $86,450.00      $98,400.00      -$11,950.00     1.14
Front Lobby Of Jaburg & Wilk                                                                           $169,000.00   $112,575.00     $169,000.00      -$56,425.00      1.5
At The Main Entrance Of The Superior Court Building 201 West Jefferson Phoenix Az       12/14/2007     $192,970.00   $191,425.00     $192,970.00       -$1,545.00     1.01
Law Offices Of Perry & Shapiro                                                                         $592,000.00   $496,375.00     $592,000.00      -$95,625.00     1.19
At The Main Entrance Of The Superior Court Building 201 West Jefferson Phoenix Az       01/19/2007     $201,600.00   $134,900.00     $201,600.00      -$66,700.00     1.49
At The Main Entrance Of The Superior Court Building 201 West Jefferson Phoenix Az       08/31/2006     $212,000.00   $187,150.00     $212,000.00      -$24,850.00     1.13
At The Main Entrance Of The Superior Court Building 201 West Jefferson Phoenix Az       06/26/2006     $224,500.00   $189,050.00     $224,500.00      -$35,450.00     1.19
At The Main Entrance Of The Superior Court Building 201 West Jefferson Phoenix Az       06/20/2008     $247,812.00   $192,850.00     $247,812.00      -$54,962.00     1.29
At The Main Entrance Of The Superior Court Building 201 West Jefferson Phoenix Az                       $79,100.00   $105,925.00      $79,100.00       $26,825.00     0.75
At The Main Entrance Of The Superior Court Building 201 West Jefferson Phoenix Az       07/18/2006     $228,000.00   $137,275.00     $228,000.00      -$90,725.00     1.66
Law Offices Of Perry & Shapiro                                                                         $152,670.00   $106,400.00     $152,670.00      -$46,270.00     1.44
At The Main Entrance Of The Superior Court Building 201 West Jefferson Phoenix Az                      $233,000.00   $230,547.00     $233,000.00       -$2,453.00     1.01
Office Of Michael A. Bosco Jr.                                                                         $185,500.00   $117,325.00     $185,500.00      -$68,175.00     1.58
Office Of Michael A. Bosco Jr.                                                                         $417,000.00   $443,693.00     $417,000.00       $26,693.00     0.94
Office Of Michael A. Bosco Jr.                                                                          $81,700.00    $57,950.00      $81,700.00      -$23,750.00     1.41
At The Main Entrance Of The Superior Court Building 201 West Jefferson Phoenix Az       05/10/2006     $129,600.00    $79,800.00     $129,600.00      -$49,800.00     1.62
At The Main Entrance Of The Superior Court Building 201 West Jefferson Phoenix Az                      $123,000.00   $104,975.00     $123,000.00      -$18,025.00     1.17
At The Main Entrance Of The Superior Court Building 201 West Jefferson Phoenix Az       03/14/2007     $280,000.00   $226,575.00     $280,000.00      -$53,425.00     1.24
In The Courtyard By The Main Entrance To The Superior Court Building 201 West Jefferson 03/02/2007
                                                                                        Phoenix        $266,400.00   $208,525.00     $266,400.00      -$57,875.00     1.28
Law Offices Of Perry & Shapiro                                                                         $240,000.00   $239,875.00     $240,000.00         -$125.00        1
Office Of Michael A. Bosco Jr.                                                                         $324,000.00   $306,850.00     $324,000.00      -$17,150.00     1.06
At The Main Entrance Of The Superior Court Building 201 West Jefferson Phoenix Az       06/04/2004      $83,000.00    $87,875.00      $83,000.00        $4,875.00     0.95
At The Main Entrance Of The Superior Court Building 201 West Jefferson Phoenix Az       02/22/2005     $189,000.00   $180,500.00     $189,000.00       -$8,500.00     1.05
At The Main Entrance Of The Superior Court Building 201 West Jefferson Phoenix Az       01/22/2007     $181,500.00   $124,450.00     $181,500.00      -$57,050.00     1.46
Office Of Michael A. Bosco Jr.                                                                         $240,000.00   $122,550.00     $240,000.00     -$117,450.00     1.96
Law Offices Of Perry & Shapiro                                                                         $245,408.00   $152,950.00     $245,408.00      -$92,458.00      1.6
Law Offices Of Perry & Shapiro                                                                         $164,400.00   $123,025.00     $164,400.00      -$41,375.00     1.34
Office Of Michael A. Bosco Jr.                                                                         $191,920.00   $189,145.00     $191,920.00       -$2,775.00     1.02




                                                                                                                                                   Page 70
Pre-foreclosure List
                                                                                                                                      Maricopa County Week Ending 11/2

At The Main Entrance Of The Superior Court Building 201 West Jefferson Phoenix Az       05/08/2006       $200,000.00    $340,100.00     $200,000.00         $140,100.00     0.59
At The Main Entrance Of The Superior Court Building 201 West Jefferson Phoenix Az       08/16/2007       $135,900.00    $133,160.00     $135,900.00          -$2,740.00     1.02
At The Main Entrance Of The Superior Court Building 201 West Jefferson Phoenix Az       10/18/2006       $147,250.00     $99,750.00     $147,250.00         -$47,500.00     1.48
At The Main Entrance Of The Superior Court Building 201 West Jefferson Phoenix Az                        $165,008.00    $121,125.00     $165,008.00         -$43,883.00     1.36
Office Of Michael A. Bosco Jr.                                                                             $77,990.00    $72,675.00       $77,990.00         -$5,315.00     1.07
In The Courtyard By The Main Entrance To The Superior Court Building 201 West Jefferson 04/26/2005
                                                                                        Phoenix          $205,000.00    $206,625.00     $205,000.00           $1,625.00     0.99
At The Main Entrance Of The Superior Court Building 201 West Jefferson Phoenix Az                        $161,000.00    $163,875.00     $161,000.00           $2,875.00     0.98
At The Main Entrance Of The Superior Court Building 201 West Jefferson Phoenix Az                        $196,000.00    $135,850.00     $196,000.00         -$60,150.00     1.44
Law Offices Of Perry & Shapiro                                                                           $187,000.00     $86,450.00     $187,000.00        -$100,550.00     2.16
Office Of Michael A. Bosco Jr.                                                                           $158,300.00    $112,100.00     $158,300.00         -$46,200.00     1.41
At The Main Entrance Of The Superior Court Building 201 West Jefferson Phoenix Az                        $165,445.00    $129,675.00     $165,445.00         -$35,770.00     1.28
At The Steps At The Front Entrance Of The Superior Court Building 201 West Jefferson Phoenix Arizona
                                                                                        09/15/2006       $165,750.00     $87,875.00     $165,750.00         -$77,875.00     1.89
Security Title Agency                                                                                    $168,000.00    $145,825.00     $168,000.00         -$22,175.00     1.15
Office Of Michael A. Bosco Jr.                                                                           $162,000.00     $96,425.00     $162,000.00         -$65,575.00     1.68
At The Main Entrance Of The Superior Court Building 201 West Jefferson Phoenix Az       08/24/2007       $169,000.00    $106,875.00     $169,000.00         -$62,125.00     1.58
Law Offices Of Perry & Shapiro                                                                           $166,400.00    $107,825.00     $166,400.00         -$58,575.00     1.54
Office Of Michael A. Bosco Jr.                                                                           $114,650.00    $108,300.00     $114,650.00          -$6,350.00     1.06
At The Main Entrance Of The Superior Court Building 201 West Jefferson Phoenix Az       11/22/2006       $150,750.00     $99,750.00     $150,750.00         -$51,000.00     1.51
Office Of Michael A. Bosco Jr.                                                                           $102,500.00     $75,525.00     $102,500.00         -$26,975.00     1.36
At The Main Entrance Of The Superior Court Building 201 West Jefferson Phoenix Az       01/16/2004              $1.00   $106,400.00            $1.00        $106,399.00        0
At The Main Entrance Of The Superior Court Building 201 West Jefferson Phoenix Az       02/03/2006       $360,500.00    $285,950.00     $360,500.00         -$74,550.00     1.26
At The Main Entrance Of The Superior Court Building 201 West Jefferson Phoenix Az       10/18/2006       $252,000.00    $114,950.00     $252,000.00        -$137,050.00     2.19
Law Offices Of Perry & Shapiro                                                                           $209,250.00    $229,028.00     $209,250.00          $19,778.00     0.91
Office Of Michael A. Bosco Jr.                                                                           $168,000.00    $100,700.00     $168,000.00         -$67,300.00     1.67
Front Lobby Of Jaburg & Wilk                                                                             $172,800.00     $85,975.00     $172,800.00         -$86,825.00     2.01
Law Offices Of Perry & Shapiro                                                                           $136,000.00    $120,175.00     $136,000.00         -$15,825.00     1.13
At The Main Entrance Of The Superior Court Building 201 West Jefferson Phoenix Az                        $180,670.00     $97,850.00     $180,670.00         -$82,820.00     1.85
At The Main Entrance Of The Superior Court Building 201 West Jefferson Phoenix Az                        $212,500.00     $76,950.00     $212,500.00        -$135,550.00     2.76
At The Main Entrance Of The Superior Court Building 201 West Jefferson Phoenix Az       11/25/2002       $125,938.00    $110,675.00     $125,938.00         -$15,263.00     1.14
Office Of Michael A. Bosco Jr.                                                                           $237,600.00    $153,425.00     $237,600.00         -$84,175.00     1.55
Office Of Michael A. Bosco Jr.                                                                           $152,800.00    $137,750.00     $152,800.00         -$15,050.00     1.11
Office Of Michael A. Bosco Jr.                                                                           $141,400.00    $123,025.00     $141,400.00         -$18,375.00     1.15
At The Main Entrance Of The Superior Court Building 201 West Jefferson Phoenix Az                        $182,650.00    $138,700.00     $182,650.00         -$43,950.00     1.32
At The Main Entrance Of The Superior Court Building 201 West Jefferson Phoenix Az                        $248,000.00    $183,825.00     $248,000.00         -$64,175.00     1.35
Law Offices Of Perry & Shapiro                                                                           $116,850.00    $108,300.00     $116,850.00          -$8,550.00     1.08
At The Main Entrance Of The Superior Court Building 201 West Jefferson Phoenix Az                        $332,350.00    $200,925.00     $332,350.00        -$131,425.00     1.65
Security Title Agency                                                                                    $311,996.00    $293,240.00     $311,996.00         -$18,756.00     1.06
At The Main Entrance Of The Superior Court Building 201 West Jefferson Phoenix Az       04/27/2007       $186,200.00    $174,325.00     $186,200.00         -$11,875.00     1.07
Law Offices Of Perry & Shapiro                                                                           $399,374.00    $205,200.00     $399,374.00        -$194,174.00     1.95
At The Main Entrance Of The Superior Court Building 201 West Jefferson Phoenix Az                        $690,000.00    $614,650.00     $690,000.00         -$75,350.00     1.12
At The Main Entrance Of The Superior Court Building 201 West Jefferson Phoenix Az       09/29/2006       $309,600.00    $299,516.00     $309,600.00         -$10,084.00     1.03
At The Steps At The Front Entrance Of The Superior Court Building 201 West Jefferson Phoenix Arizona
                                                                                        01/11/2005         $98,000.00    $97,850.00       $98,000.00           -$150.00        1
At The Main Entrance Of The Superior Court Building 201 West Jefferson Phoenix Az       04/23/2007       $731,804.00    $619,400.00     $731,804.00        -$112,404.00     1.18
At The Main Entrance Of The Superior Court Building 201 West Jefferson Phoenix Az       04/05/2006       $180,000.00    $108,300.00     $180,000.00         -$71,700.00     1.66
At The Main Entrance Of The Superior Court Building 201 West Jefferson Phoenix Az                      $25,125,000.00   $164,825.00   $25,125,000.00    -$24,960,175.00   152.43
At The Main Entrance Of The Superior Court Building 201 West Jefferson Phoenix Az       12/07/2004       $132,561.00    $107,825.00     $132,561.00         -$24,736.00     1.23
Front Lobby Of Jaburg & Wilk                                                                             $285,600.00    $155,800.00     $285,600.00        -$129,800.00     1.83
In The Courtyard By The Main Entrance To The Superior Court Building 201 West Jefferson 06/29/2005
                                                                                        Phoenix          $200,000.00    $168,150.00     $200,000.00         -$31,850.00     1.19
In The Courtyard By The Main Entrance To The Superior Court Building 201 West Jefferson 08/28/2007
                                                                                        Phoenix          $194,118.00    $142,500.00     $194,118.00         -$51,618.00     1.36
At The Main Entrance Of The Superior Court Building 201 West Jefferson Phoenix Az       11/13/2006       $335,650.00    $160,075.00     $335,650.00        -$175,575.00      2.1
At The Main Entrance Of The Superior Court Building 201 West Jefferson Phoenix Az                        $626,700.00    $489,725.00     $626,700.00        -$136,975.00     1.28
Office Of Michael A. Bosco Jr.                                                                           $120,000.00    $101,175.00     $120,000.00         -$18,825.00     1.19
At The Main Entrance Of The Superior Court Building 201 West Jefferson Phoenix Az                        $243,700.00    $132,050.00     $243,700.00        -$111,650.00     1.85
At The Main Entrance Of The Superior Court Building 201 West Jefferson Phoenix Az                        $150,400.00    $128,250.00     $150,400.00         -$22,150.00     1.17
Security Title Agency                                                                                   $6,150,000.00                  $6,150,000.00
Law Offices Of Perry & Shapiro                                                                           $290,000.00    $205,200.00     $290,000.00        -$84,800.00      1.41
At The Main Entrance Of The Superior Court Building 201 West Jefferson Phoenix Az       01/24/2006       $203,000.00    $123,025.00     $203,000.00        -$79,975.00      1.65




                                                                                                                                                       Page 71
Pre-foreclosure List
                                                                                                                                       Maricopa County Week Ending 11/2

At The Main Entrance Of The Superior Court Building 201 West Jefferson Phoenix Az       12/05/2005      $204,000.00     $179,075.00      $204,000.00       -$24,925.00    1.14
Law Offices Of Perry & Shapiro                                                                          $337,000.00     $168,150.00      $337,000.00      -$168,850.00       2
At The Main Entrance To The Superior Courts Building 201 W. Jefferson Phoenix Az.                       $172,000.00     $122,075.00      $172,000.00       -$49,925.00    1.41
Office Of Michael A. Bosco Jr.                                                                          $314,400.00     $297,350.00      $314,400.00       -$17,050.00    1.06
At The Main Entrance Of The Superior Court Building 201 West Jefferson Phoenix Az       11/07/2008      $228,978.00     $201,875.00      $228,978.00       -$27,103.00    1.13
Front Lobby Of Jaburg & Wilk                                                                            $750,000.00                      $750,000.00
Office Of Michael A. Bosco Jr.                                                                          $292,000.00      $189,050.00     $292,000.00      -$102,950.00    1.55
Law Offices Of Perry & Shapiro                                                                          $400,000.00      $399,071.00     $400,000.00          -$929.00       1
Office Of Michael A. Bosco Jr.                                                                          $160,000.00      $112,100.00     $160,000.00       -$47,900.00    1.43
Law Offices Of Perry & Shapiro                                                                          $122,400.00       $85,500.00     $122,400.00       -$36,900.00    1.43
At The Main Entrance Of The Superior Court Building 201 West Jefferson Phoenix Az                         $78,125.00      $86,450.00       $78,125.00        $8,325.00     0.9
Office Of Michael A. Bosco Jr.                                                                          $280,000.00      $209,950.00     $280,000.00       -$70,050.00    1.33
At The Main Entrance Of The Superior Court Building 201 West Jefferson Phoenix Az                       $207,200.00      $145,350.00     $207,200.00       -$61,850.00    1.43
Office Of Michael A. Bosco Jr.                                                                          $148,000.00       $86,450.00     $148,000.00       -$61,550.00    1.71
At The Main Entrance Of The Superior Court Building 201 West Jefferson Phoenix Az       09/01/2006      $225,184.00      $211,850.00     $225,184.00       -$13,334.00    1.06
At The Main Entrance Of The Superior Court Building 201 West Jefferson Phoenix Az       09/16/2005     $1,029,000.00   $1,487,700.00    $1,029,000.00      $458,700.00    0.69
At The Main Entrance Of The Superior Court Building 201 West Jefferson Phoenix Az                       $260,000.00      $176,700.00     $260,000.00       -$83,300.00    1.47
Office Of Michael A. Bosco Jr.                                                          10/16/2009      $228,800.00      $129,200.00     $228,800.00       -$99,600.00    1.77
Law Offices Of Perry & Shapiro                                                                          $109,600.00      $173,375.00     $109,600.00        $63,775.00    0.63
Office Of Michael A. Bosco Jr.                                                                          $149,200.00      $121,600.00     $149,200.00       -$27,600.00    1.23
Office Of Michael A. Bosco Jr.                                                                          $224,100.00      $142,500.00     $224,100.00       -$81,600.00    1.57
Office Of Michael A. Bosco Jr.                                                                          $160,000.00      $101,650.00     $160,000.00       -$58,350.00    1.57
At The Main Entrance To The Superior Courts Building 201 W. Jefferson Phoenix Az.                       $960,000.00      $741,475.00     $960,000.00      -$218,525.00     1.3
In The Courtyard By The Main Entrance To The Superior Court Building 201 West Jefferson 08/08/2005
                                                                                        Phoenix         $310,000.00      $178,600.00     $310,000.00      -$131,400.00    1.74
At The Steps At The Front Entrance Of The Superior Court Building 201 West Jefferson Phoenix Arizona
                                                                                        03/13/2007      $315,200.00      $173,850.00     $315,200.00      -$141,350.00    1.81
At The Main Entrance Of The Superior Court Building 201 West Jefferson Phoenix Az                       $140,000.00      $119,700.00     $140,000.00       -$20,300.00    1.17
At The Steps At The Front Entrance Of The Superior Court Building 201 West Jefferson Phoenix Arizona
                                                                                        12/13/2005      $204,000.00      $136,325.00     $204,000.00       -$67,675.00     1.5
Office Of Michael A. Bosco Jr.                                                                          $185,600.00      $137,275.00     $185,600.00       -$48,325.00    1.35
Law Offices Of Perry & Shapiro                                                                          $182,000.00       $96,900.00     $182,000.00       -$85,100.00    1.88
At The Steps At The Front Entrance Of The Superior Court Building 201 West Jefferson Phoenix Arizona
                                                                                        06/09/2006      $166,000.00      $113,050.00     $166,000.00       -$52,950.00    1.47
At The Main Entrance Of The Superior Court Building 201 West Jefferson Phoenix Az       07/13/2007      $264,280.00      $184,300.00     $264,280.00       -$79,980.00    1.43
At The Main Entrance Of The Superior Court Building 201 West Jefferson Phoenix Az                      $1,552,000.00   $1,536,625.00    $1,552,000.00      -$15,375.00    1.01
At The Main Entrance Of The Superior Court Building 201 West Jefferson Phoenix Az       07/19/2007      $246,400.00      $112,100.00     $246,400.00      -$134,300.00     2.2
At The Main Entrance Of The Superior Court Building 201 West Jefferson Phoenix Az                         $92,900.00     $112,575.00       $92,900.00       $19,675.00    0.83
At The Main Entrance Of The Superior Court Building 201 West Jefferson Phoenix Az       05/10/2006      $208,500.00      $133,950.00     $208,500.00       -$74,550.00    1.56
Office Of Michael A. Bosco Jr.                                                                          $199,681.00      $108,300.00     $199,681.00       -$91,381.00    1.84
Office Of Michael A. Bosco Jr.                                                                          $215,700.00      $227,606.00     $215,700.00        $11,906.00    0.95
At The Main Entrance Of The Superior Court Building 201 West Jefferson Phoenix Az                         $90,400.00      $69,350.00       $90,400.00      -$21,050.00     1.3
At The Steps At The Front Entrance Of The Superior Court Building 201 West Jefferson Phoenix Arizona
                                                                                        12/14/2006      $229,500.00      $143,925.00     $229,500.00       -$85,575.00     1.6
Office Of Michael A. Bosco Jr.                                                                          $198,000.00      $121,125.00     $198,000.00       -$76,875.00    1.64
Office Of Michael A. Bosco Jr.                                                                          $197,000.00      $218,500.00     $197,000.00        $21,500.00     0.9
Office Of Michael A. Bosco Jr.                                                                          $384,540.00      $161,025.00     $384,540.00      -$223,515.00    2.39
At The Steps At The Front Entrance Of The Superior Court Building 201 West Jefferson Phoenix Arizona
                                                                                        07/23/2007      $153,000.00      $128,324.00     $153,000.00       -$24,676.00    1.19
Office Of Michael A. Bosco Jr.                                                                          $221,650.00      $174,969.00     $221,650.00       -$46,681.00    1.27
Law Offices Of Perry & Shapiro                                                                          $210,400.00      $188,100.00     $210,400.00       -$22,300.00    1.12
Law Offices Of Perry & Shapiro                                                                            $48,000.00      $67,925.00       $48,000.00       $19,925.00    0.71
At The Main Entrance Of The Superior Court Building 201 West Jefferson Phoenix Az       09/17/2004      $141,775.00      $115,900.00     $141,775.00       -$25,875.00    1.22
At The Main Entrance Of The Superior Court Building 201 West Jefferson Phoenix Az       01/23/2006      $212,000.00      $171,573.00     $212,000.00       -$40,427.00    1.24
At The Main Entrance Of The Superior Court Building 201 West Jefferson Phoenix Az                       $204,000.00      $111,625.00     $204,000.00       -$92,375.00    1.83
Law Offices Of Perry & Shapiro                                                                          $178,104.00      $130,150.00     $178,104.00       -$47,954.00    1.37
At The Main Entrance Of The Superior Court Building 201 West Jefferson Phoenix Az       10/29/2007                        $56,525.00            $0.00
Office Of Michael A. Bosco Jr.                                                                           $70,500.00       $96,425.00       $70,500.00       $25,925.00    0.73
Office Of Michael A. Bosco Jr.                                                                           $50,000.00       $33,374.00       $50,000.00      -$16,626.00     1.5
At The Main Entrance Of The Superior Court Building 201 West Jefferson Phoenix Az       05/31/2006      $440,000.00      $302,100.00     $440,000.00      -$137,900.00    1.46
Office Of Michael A. Bosco Jr.                                                                          $145,200.00      $173,375.00     $145,200.00        $28,175.00    0.84




                                                                                                                                                        Page 72

Arizona Bank Owned Properties -- Weekly Pre-Foreclosure List

  • 1.
    Pre-foreclosure List Maricopa County Week Ending 11/2 Visit http://www.InvestmentRealEstateCorner.com Learn How to Profit from real estate properties not on the MLS Property Address Property City Pstate Pzip Assessor Parcel # County Property Owner Phone Mailing Address Mailing City Mstate Mzip Bed Bath Sqft Lot Size Year Built Report Date Record Date Property Type 9845 N 103rd Dr Sun City AZ 85351 142-84-229 Maricopa Patrick Regan 9845 N 103rd Dr Sun City AZ 85351 2 1733 0.32 1967 11/02/2009 10/30/2009 Single Family Residence 9817 E Escondido Ave Mesa AZ 85208 220-72-354 Maricopa Marisol Acosta (480) 219-3153 9817 E Escondido Ave Mesa AZ 85208 6 1525 0.07 2005 11/02/2009 10/29/2009 Single Family Residence 9754 E Juanita Ave Mesa AZ 85209 220-80-785 Maricopa Tsue Sachi (602) 370-1300 9754 E Juanita Ave Mesa AZ 85209 2.75 1945 0.15 1998 11/02/2009 10/30/2009 Single Family Residence 9517 W Hazelwood St Phoenix AZ 85037 102-18-711 Maricopa Jeffrey Mckee 9517 W Hazelwood St Phoenix AZ 85037 3.5 2663 0.12 2001 11/02/2009 10/30/2009 Single Family Residence 9436 W Eaton Pl Phoenix AZ 85037 102-34-895 Maricopa Reemakumar Walia 9436 W Eaton Rd Phoenix AZ 85037 9 1935 0.08 2003 11/02/2009 10/30/2009 Single Family Residence 9392 W Cordes Rd Tolleson AZ 85353 101-27-552 Maricopa Robert Mansfield 9392 W Cordes Rd Tolleson AZ 85353 10 2166 0.09 2005 11/02/2009 10/30/2009 Single Family Residence 906 S Farmer Ave Tempe AZ 85281 124-69-086 Maricopa Timothy R Wright 906 S Farmer Ave Tempe AZ 85281 3 1632 0.14 1981 11/02/2009 10/30/2009 Single Family Residence 9039 N 3rd Ave Phoenix AZ 85021 159-48-124 Maricopa Ccc Avenue Rd Llc 9039 N 3rd Ave Phoenix AZ 85021 1 1037 0.14 1947 11/02/2009 10/30/2009 Single Family Residence 9035 W Magnolia St Tolleson AZ 85353 101-57-622 Maricopa Jason E Kenyon 3881 Kendall St San Diego CA 92109 9 2025 0.12 2005 11/02/2009 10/30/2009 Single Family Residence 899 N 87th Pl Scottsdale AZ 85257 131-07-106 Maricopa Sara Cryer 899 N 87th Pl Scottsdale AZ 85257 2 1408 0.11 1978 11/02/2009 10/30/2009 Single Family Residence 8826 W Lawrence Ln Peoria AZ 85345 142-35-204 Maricopa Rodney Michelle A Krop (623) 322-8678 8826 W Lawrence Ln Peoria AZ 85345 2 1171 0.16 1987 11/02/2009 10/30/2009 Single Family Residence 8545 E Remuda Tr Scottsdale AZ 85255 212-08-139 Maricopa James Melanie Naslund 8545 E Remuda Dr Scottsdale AZ 85255 19 4278 0.9 1995 11/02/2009 10/30/2009 Other 8447 W Tether Tr Peoria AZ 85383 201-06-795 Maricopa Theodore Kellie Olsen 8447 W Tether Trl Peoria AZ 85383 12 3187 0.16 2004 11/02/2009 10/30/2009 Single Family Residence 8161 E Osage Ave Mesa AZ 85212 304-04-497 Maricopa Andrea Joyner 8161 E Osage Ave Mesa AZ 85212 2 1937 0.11 1998 11/02/2009 10/30/2009 Single Family Residence 8124 S 73rd Dr Phoenix AZ 85339 300-01-908 Maricopa Patricia Clarke (602) 651-1227 8124 S 73rd Dr Laveen AZ 85339 6 1340 0.11 2007 11/02/2009 10/30/2009 Other 8122 E Obispo Ave Mesa AZ 85212 304-04-454 Maricopa William Veach (480) 380-6165 8122 E Obispo Ave Mesa AZ 85212 2 1544 0.12 1998 11/02/2009 10/30/2009 Single Family Residence 8101 E 5th Ave Mesa AZ 85208 218-31-071 Maricopa Charles Connie Grandstaff (480) 529-1423 8101 E 5th Ave Mesa AZ 85208 0.18 11/02/2009 10/30/2009 Mobile Home 8002 W Mariposa Dr Phoenix AZ 85033 102-79-125 Maricopa Robertaflores Bahena (623) 934-9871 8002 W Mariposa Dr Phoenix AZ 85033 1 1078 0.12 1978 11/02/2009 10/30/2009 Single Family Residence 7944 W Greer Ave Peoria AZ 85345 142-10-016 Maricopa Anna E Garcia 7944 W Greer Ave Peoria AZ 85345 2 1743 0.17 1985 11/02/2009 10/30/2009 Single Family Residence 7834 W Midway Ave Glendale AZ 85303 142-26-294 Maricopa Roberta C Kelley (623) 435-6415 7834 W Midway Ave Glendale AZ 85303 2.75 1490 0.13 1991 11/02/2009 10/30/2009 Single Family Residence 762 S 38th St Mesa AZ 85206 140-38-122 Maricopa Freeman Jrsharon (480) 983-4090 762 S 38th St Mesa AZ 85206 7 1351 0.18 1985 11/02/2009 10/30/2009 Single Family Residence 7553 E Monte Ave Mesa AZ 85209 309-07-609 Maricopa David Golec 7553 E Monte Ave Mesa AZ 85209 3 1544 0.12 1995 11/02/2009 10/30/2009 Single Family Residence 7454 E Black Rock Rd Scottsdale AZ 85255 212-05-236 Maricopa Peter Laura Keyser (480) 794-1015 7454 E Black Rock Rd Scottsdale AZ 85255 3.75 3834 0.16 1994 11/02/2009 10/30/2009 Single Family Residence 7229 N 26th Ln Phoenix AZ 85051 157-31-034 Maricopa Hector Silvia Vidrio 7229 N 26th Ln Phoenix AZ 85051 1 1433 0.14 1948 11/02/2009 10/30/2009 Single Family Residence 715 E Lola Dr Phoenix AZ 85022 214-12-180 Maricopa Zeljomir Andja Djurdjevic (602) 996-4873 715 E Lola Dr Phoenix AZ 85022 2 2 892 0.03 1983 11/02/2009 10/30/2009 Single Family Residence 7118 W Maldonado Rd Phoenix AZ 85339 104-84-367 Maricopa Cristina I Montoya 3102 Demavend Rd Ne Rio Rancho NM 87144 12 2712 0.15 2007 11/02/2009 10/30/2009 Other 7002 W Indian School Rd Phoenix AZ 85033 144-40-003-f Maricopa Properties Mtan Llc 7002 W Indian School Rd Phoenix AZ 85033 8.29 11/02/2009 10/30/2009 Other 6862 S Topaz Pl Chandler AZ 85249 313-09-509 Maricopa Kenneth Gaylord 3100 E Cedar Dr Chandler AZ 85249 10 2835 0.25 2004 11/02/2009 10/30/2009 Single Family Residence 6849 W Peak View Rd Phoenix AZ 85383 201-03-879 Maricopa Khai Bui 6849 W Peak View Rd Peoria AZ 85383 15 4054 0.16 2006 11/02/2009 10/30/2009 Other 6834 W Palo Verde Dr Glendale AZ 85303 144-25-513 Maricopa Yvonne Martinez 6834 W Palo Verde Dr Glendale AZ 85303 2.5 1344 0.12 2001 11/02/2009 10/30/2009 Single Family Residence 6809 W Maldonado Rd Phoenix AZ 85339 104-83-225 Maricopa James E Pletsch 6809 W Maldonado Rd Laveen AZ 85339 11 2406 0.16 2006 11/02/2009 10/30/2009 Other 6631 W Christy Dr Glendale AZ 85304 143-03-058 Maricopa Pablode Palacios (623) 773-9524 6631 W Christy Dr Glendale AZ 85304 2 1438 0.13 1979 11/02/2009 10/30/2009 Single Family Residence 6628 W Adams St Phoenix AZ 85043 104-08-075 Maricopa Daniel A Sutliff 6628 W Adams St Phoenix AZ 85043 4 2 1623 0.05 2006 11/02/2009 10/30/2009 Single Family Residence 6378 N 78th Dr Glendale AZ 85303 102-06-781 Maricopa Nelson Ocherry 6378 N 78th Dr Glendale AZ 85303 4 2 1519 0.14 2000 11/02/2009 10/30/2009 Single Family Residence 6224 S El Camino Dr Guadalupe AZ 85283 301-81-075 Maricopa Kirk Callaghan 6224 S El Camino Dr Guadalupe AZ 85283 3 1638 0.2 1972 11/02/2009 10/30/2009 Single Family Residence 6184 N 87th Ln Glendale AZ 85305 102-04-413 Maricopa Carlos Delgado 6184 N 87th Ln Glendale AZ 85305 6 1895 0.18 1991 11/02/2009 10/29/2009 Other 6132 W Virginia Ave Phoenix AZ 85035 103-14-152 Maricopa Marquez Irene 6132 W Virginia Ave Phoenix AZ 85035 2 1344 0.12 1978 11/02/2009 10/30/2009 Single Family Residence 6102 E Friess Dr Phoenix AZ 85254 215-61-254 Maricopa Robert Welsh 6102 E Friess Dr Scottsdale AZ 85254 8 2155 0.37 1979 11/02/2009 10/30/2009 Other 6036 W Wood St Phoenix AZ 85043 104-57-287 Maricopa Rosemary Evans 6036 W Wood St Phoenix AZ 85043 2.75 1828 0.11 2002 11/02/2009 10/30/2009 Single Family Residence 6026 W Morrow Dr Glendale AZ 85308 200-28-194 Maricopa David B Coble (623) 910-1279 6026 W Morrow Dr Glendale AZ 85308 5 3 2603 0.15 1995 11/02/2009 10/30/2009 Other 5926 W Golden Ln Glendale AZ 85302 143-13-053 Maricopa Ignacio Lopez 5926 W Golden Ln Glendale AZ 85302 3 1122 0.02 1972 11/02/2009 10/30/2009 Condominium 5703 N 73rd Ln Glendale AZ 85303 144-21-391 Maricopa Adrian Morales 9713 La Jolla Dr Unit D Rancho Cucamonga CA 91701 2 1451 0.18 2000 11/02/2009 10/30/2009 Single Family Residence 5638 W Lydia Ln Phoenix AZ 85339 104-91-196 Maricopa Miguel A Duran 5638 W Lydia Ln Laveen AZ 85339 8 1763 0.12 2004 11/02/2009 10/30/2009 Other 5546 W Wilshire Dr Phoenix AZ 85035 103-15-117 Maricopa Martin Rosas 5546 W Wilshire Dr Phoenix AZ 85035 2 1387 0.14 1969 11/02/2009 10/30/2009 Single Family Residence 5464 W Osborn Rd Phoenix AZ 85031 103-38-133 Maricopa Lopez Irma 5464 W Osborn Rd Phoenix AZ 85031 2 1601 0.17 1956 11/02/2009 10/30/2009 Single Family Residence 5437 S 44th Pl Phoenix AZ 85040 123-11-070 Maricopa Sanjuanita Vera 5437 S 44th Pl Phoenix AZ 85040 2 1288 0.13 1971 11/02/2009 10/30/2009 Single Family Residence 5426 S 35th Ave Phoenix AZ 85041 105-72-074 Maricopa Bernarda Cristina Murillo 5426 S 35th Ave Phoenix AZ 85041 1.75 1040 0.12 1960 11/02/2009 10/30/2009 Single Family Residence 5408 W Wolf St Phoenix AZ 85031 144-53-070 Maricopa Deleon Zonia 5408 W Wolf St Phoenix AZ 85031 2 2243 0.17 1957 11/02/2009 10/30/2009 Single Family Residence 540 N Emery Mesa AZ 85207 220-11-524 Maricopa Romero Alicia (480) 275-8560 540 N Emery Mesa AZ 85207 6 1530 0.13 1998 11/02/2009 10/29/2009 Single Family Residence 5344 W Evans Dr Glendale AZ 85306 231-03-255 Maricopa David Kearley (623) 695-6332 5344 W Evans Dr Glendale AZ 85306 2 1839 0.14 1973 11/02/2009 10/30/2009 Single Family Residence 5321 W Campbell Ave Phoenix AZ 85031 144-44-047 Maricopa Vista American Llc 5321 W Campbell Ave Phoenix AZ 85031 4322 0.25 1973 11/02/2009 10/30/2009 Multi-unit 5305 S 51st Dr Phoenix AZ 85339 104-74-603 Maricopa Sianone Vilayphone Nanthavong 5305 S 51st Dr Laveen AZ 85339 12 3024 0.17 2005 11/02/2009 10/30/2009 Other Page 1
  • 2.
    Pre-foreclosure List Maricopa County Week Ending 11/2 528 W 17th Pl Tempe AZ 85281 124-64-022 Maricopa Timothy R Wright 528 W 17th Pl Tempe AZ 85281 2 1656 0.15 1959 11/02/2009 10/30/2009 Single Family Residence 519 W Kelton Ln Phoenix AZ 85023 208-34-509 Maricopa Larson David 519 W Kelton Ln Phoenix AZ 85023 3 2 1615 0.87 1994 11/02/2009 10/29/2009 Single Family Residence 5160 W Morten Ave Glendale AZ 85301 147-19-242 Maricopa David Saballa Jr 5160 W Morten Ave Glendale AZ 85301 3.5 1833 0.14 2000 11/02/2009 10/30/2009 Single Family Residence 515 E Sherri Dr Gilbert AZ 85296 309-14-395 Maricopa Scott M Monroe 515 E Sherri Dr Gilbert AZ 85296 2.75 1283 0.11 1997 11/02/2009 10/30/2009 Single Family Residence 5101 E Shasta St Phoenix AZ 85044 301-59-220 Maricopa Michael R Stang (480) 232-2751 42790 W Hillman Dr Maricopa AZ 85138 6 1948 0.14 1983 11/02/2009 10/30/2009 Single Family Residence 4866 W Rancho Dr Glendale AZ 85301 145-01-235 Maricopa Llc Wemato 4866 W Rancho Dr Glendale AZ 85301 1.75 972 73 1979 11/02/2009 10/30/2009 Condominium 4852 W Cheryl Dr Glendale AZ 85302 148-05-056 Maricopa Frederick Throne (623) 937-1932 4852 W Cheryl Dr Glendale AZ 85302 2 1717 0.13 1973 11/02/2009 10/30/2009 Single Family Residence 4758 E Princess Dr Mesa AZ 85205 141-73-024 Maricopa Daniel S Johnston 4758 E Princess Dr Mesa AZ 85205 2 1568 0.33 1948 11/02/2009 10/30/2009 Single Family Residence 4741 W Beverly Ln Glendale AZ 85306 207-27-304 Maricopa Fallon Roy 4741 W Beverly Ln Glendale AZ 85306 2 1157 0.18 1979 11/02/2009 10/30/2009 Single Family Residence 4730 W St Kateri Dr Phoenix AZ 85339 104-77-472 Maricopa Kelvin Ong 4730 W St Kateri Dr Phoenix AZ 85339 3 2 2142 0.12 2006 11/02/2009 10/30/2009 Single Family Residence 4729 N 65th St Phoenix AZ 85251 173-82-030 Maricopa Ziff Lease 4729 N 65th Dr Phoenix AZ 85033 2 1595 0.16 1974 11/02/2009 10/30/2009 Single Family Residence 4705 S 23rd Ln Phoenix AZ 85041 105-65-787 Maricopa Larios Lucze 4705 S 23rd Ln Phoenix AZ 85041 6 1524 0.12 2007 11/02/2009 10/30/2009 Other 4649 W Virginia Ave Phoenix AZ 85035 103-22-200 Maricopa Jesus Chavez (602) 278-9530 4649 W Virginia Ave Phoenix AZ 85035 2 1093 0.19 1982 11/02/2009 10/30/2009 Single Family Residence 4545 N 67th Ave 1131 Phoenix AZ 85033 144-87-004 Maricopa Donald Mcdonald 701 S Dobson Rd Lot 468 Mesa AZ 85202 2.5 1339 0.1 1997 11/02/2009 10/30/2009 Single Family Residence 4541 S Ranger Tr Gilbert AZ 85297 313-02-928 Maricopa Khanh Pho (480) 393-3217 4541 S Ranger Trl Gilbert AZ 85297 15 4211 0.21 2005 11/02/2009 10/30/2009 Single Family Residence 4514 E Melinda Ln Phoenix AZ 85050 212-34-609 Maricopa Mitchell Maria Edelstein 4514 E Melinda Ln Phoenix AZ 85050 2.75 1962 0.11 1997 11/02/2009 10/30/2009 Single Family Residence 4501 N 49th Dr Phoenix AZ 85031 145-20-049 Maricopa Hector Garcia 4501 N 49th Dr Phoenix AZ 85031 2 1557 0.17 1957 11/02/2009 10/30/2009 Single Family Residence 4442 E Wood St Phoenix AZ 85040 124-55-476 Maricopa Arroyo Soto 4442 E Wood St Phoenix AZ 85040 3 1 1008 0.02 1973 11/02/2009 10/30/2009 Other 4415 N 23rd Ave Phoenix AZ 85015 154-16-005-b Maricopa Michael Milazzo 4415 N 23rd Ave Phoenix AZ 85015 2522 0.22 1961 11/02/2009 10/30/2009 Multi-unit 4411 N 71st Dr Phoenix AZ 85033 144-39-372 Maricopa Anaaldas Ortega 4411 N 71st Dr Phoenix AZ 85033 3 2 1280 0.13 1970 11/02/2009 10/30/2009 Single Family Residence 434 W Beautiful Ln Phoenix AZ 85041 300-40-182 Maricopa Kenneth Wharton 434 W Beautiful Ln Phoenix AZ 85041 7 1458 0.13 2004 11/02/2009 10/30/2009 Single Family Residence 4333 W Park Pl Glendale AZ 85306 207-26-454 Maricopa Mark Montoya Po Box 484 Glendale AZ 85311 4 2 1848 0.18 1980 11/02/2009 10/30/2009 Single Family Residence 4329 W Claremont St Glendale AZ 85301 146-31-067 Maricopa Contreras Ricardonorma 4329 W Claremont St Glendale AZ 85301 2 2280 0.14 1963 11/02/2009 10/30/2009 Single Family Residence 427 S Nevada Wy Mesa AZ 85204 139-22-007 Maricopa Hernandez Jacqueline (480) 649-3815 427 S Nevada Way Mesa AZ 85204 1 1180 0.15 1950 11/02/2009 10/30/2009 Single Family Residence 42406 N 46th Ln Anthem AZ 85086 203-04-038 Maricopa Michael Morquecho (623) 551-9265 42406 N 46th Ln Anthem AZ 85086 7 1757 0.11 2004 11/02/2009 10/30/2009 Single Family Residence 424 S Chatsworth Mesa AZ 85208 220-71-805 Maricopa Donald Patricia E Barker (480) 986-4225 424 S Chatsworth Mesa AZ 85208 3 2071 0.19 1999 11/02/2009 10/30/2009 Single Family Residence 3925 W Christy Dr Phoenix AZ 85029 149-34-330 Maricopa John Mckee Jr 3925 W Christy Dr Phoenix AZ 85029 3 2.5 1338 0.14 1978 11/02/2009 10/30/2009 Single Family Residence 3817 E Bridgeport Pkwy Gilbert AZ 85295 309-29-597 Maricopa Nils Amundson 3817 E Bridgeport Pkwy Gilbert AZ 85295 10 2412 0.11 2006 11/02/2009 10/30/2009 Single Family Residence 3775 S Laurel Wy Chandler AZ 85286 303-92-104 Maricopa Laurie Estates Llc 3775 S Laurel Way Chandler AZ 85286 8 1533 0.08 2004 11/02/2009 10/30/2009 Condominium 3758 E Phelps St Gilbert AZ 85295 313-10-638 Maricopa Larhonda Magras 3758 E Phelps St Gilbert AZ 85295 10 2412 0.12 2007 11/02/2009 10/30/2009 Single Family Residence 3746 W Griswold Rd Phoenix AZ 85051 150-17-188 Maricopa Felipe Nadia Andrade 3746 W Griswold Rd Phoenix AZ 85051 2 1784 0.16 1966 11/02/2009 10/30/2009 Single Family Residence 3709 W Pleasant Ln Phoenix AZ 85041 105-90-801 Maricopa Melanie Miller 3709 W Pleasant Ln Phoenix AZ 85041 10 2634 0.12 2005 11/02/2009 10/30/2009 Single Family Residence 3675 E Constitution Ct Gilbert AZ 85296 304-28-115-- Maricopa Spencer Preston 3675 E Constitution Dr Gilbert AZ 85296 8 2167 0.13 2003 11/02/2009 10/30/2009 Single Family Residence 3647 W Luke Ave Phoenix AZ 85019 145-11-121 Maricopa Ruben Ramirez 3647 W Luke Ave Phoenix AZ 85019 6 1617 0.13 1957 11/02/2009 10/30/2009 Single Family Residence 3638 E Leslie Dr Gilbert AZ 85296 313-14-446 Maricopa Thomas Jarboe Po Box 602 Higley AZ 85236 10 2187 0.04 2007 11/02/2009 10/30/2009 Single Family Residence 3636 W Beryl Ave Phoenix AZ 85051 149-36-029 Maricopa Etter Renee 3636 W Beryl Ave Phoenix AZ 85051 2 1792 0.16 1968 11/02/2009 10/30/2009 Single Family Residence 3625 W St Moritz Ln Phoenix AZ 85053 207-10-355 Maricopa Lourdes Bernal (602) 314-5147 3625 W Saint Moritz Ln Phoenix AZ 85053 2.5 1980 0.14 1971 11/02/2009 10/30/2009 Single Family Residence 3562 E Harwell Rd Gilbert AZ 85234 313-11-247 Maricopa Green Brian 3562 E Harwell Rd Gilbert AZ 85234 5 2.5 2623 0.1 2006 11/02/2009 10/30/2009 Single Family Residence 3529 E Mckinley St Phoenix AZ 85008 121-10-084 Maricopa Jesus Rodriguez 3529 E Mckinley St Phoenix AZ 85008 2 1930 0.16 1975 11/02/2009 10/30/2009 Single Family Residence 3523 N 35th Dr Phoenix AZ 85019 107-07-037 Maricopa Marijo Johnson 3523 N 35th Dr Phoenix AZ 85019 3 1042 0.16 1951 11/02/2009 10/30/2009 Single Family Residence 3413 N 70th Ave Phoenix AZ 85033 102-84-944 Maricopa Guadalupe Borquez 3413 N 70th Ave Phoenix AZ 85033 2.5 1822 0.19 1997 11/02/2009 10/30/2009 Single Family Residence 3391 E Boston Ct Gilbert AZ 85295 304-48-062 Maricopa Chad E Brockman 3391 E Boston Ct Gilbert AZ 85295 6 1450 0.13 2001 11/02/2009 10/30/2009 Single Family Residence 3345 E Geronimo Ct Gilbert AZ 85295 304-48-587 Maricopa John Follett (480) 664-7135 3345 E Geronimo Ct Gilbert AZ 85295 12 3298 0.15 2003 11/02/2009 10/30/2009 Single Family Residence 325 N 103rd Pl Apache Junction AZ 85220 220-45-049 Maricopa Donald Karen Barr 325 N 103rd Pl Apache Junction AZ 85120 3 3 2042 0.08 2004 11/02/2009 10/30/2009 Single Family Residence 32409 N 23rd Ave Phoenix AZ 85085 204-12-896 Maricopa William Cave III 32409 N 23rd Ave Phoenix AZ 85085 9 1882 0.07 2005 11/02/2009 10/30/2009 Single Family Residence 321 E Melody Dr Gilbert AZ 85234 304-10-403 Maricopa Jeremy Mcconnell 321 E Melody Dr Gilbert AZ 85234 2 1160 0.15 1983 11/02/2009 10/30/2009 Single Family Residence 320 W Wisteria Pl Sun Lakes AZ 85248 303-87-465 Maricopa Timothy Billington 320 W Wisteria Pl Sun Lakes AZ 85248 8 1800 0.09 2006 11/02/2009 10/30/2009 Single Family Residence 318 E Vine Cir Mesa AZ 85210 139-36-099 Maricopa Vista American Llc 318 E Vine Cir Mesa AZ 85210 2918 0.14 1985 11/02/2009 10/30/2009 Multi-unit 3136 W Quail Track Dr Phoenix AZ 85083 205-03-105 Maricopa Mariusz Buchna (623) 594-7092 3136 W Quail Track Dr Phoenix AZ 85083 5 3 3466 0.2 2002 11/02/2009 10/30/2009 Single Family Residence 3034 N 46th Dr Phoenix AZ 85031 107-42-033-b Maricopa Jude Dodson 3034 N 46th Dr Phoenix AZ 85031 2.5 3031 0.55 1961 11/02/2009 10/30/2009 Single Family Residence 29806 N 49th Pl Phoenix AZ 85331 211-41-545 Maricopa Justin C Brown 25637 N 114th Way Scottsdale AZ 85255 10 2581 0.15 1996 11/02/2009 10/30/2009 Other 28438 N 46th Pl Phoenix AZ 85331 211-40-305 Maricopa Tomasz Magdalena Latusek 28438 N 46th Pl Cave Creek AZ 85331 3 1748 0.08 1990 11/02/2009 10/30/2009 Single Family Residence 2837 E Palm Ln Phoenix AZ 85008 120-27-001-a Maricopa Oscar Anna Duarte (520) 450-1787 2837 E Palm Ln Phoenix AZ 85008 1 1053 0.15 1930 11/02/2009 10/30/2009 Single Family Residence 2836 E Turquoise Dr Phoenix AZ 85028 165-28-029 Maricopa Fink Antonio 2836 E Turquoise Dr Phoenix AZ 85028 2.5 1502 0.26 1962 11/02/2009 10/30/2009 Single Family Residence 2709 E Schiliro Cir Phoenix AZ 85032 214-04-088 Maricopa Oliveth D Serafica 2709 E Schiliro Cir Phoenix AZ 85032 11 1842 0.05 2003 11/02/2009 10/30/2009 Condominium 267 N Jefferson St Wickenburg AZ 85390 505-48-054-a Maricopa Lyle D Stotz (928) 671-1667 443 W Wickenburg Way Wickenburg AZ 85390 0.14 11/02/2009 10/30/2009 Other 26627 S Drifter Dr Sun Lakes AZ 85248 303-59-653 Maricopa Charles Bruening Jr 26627 S Drifter Dr Sun Lakes AZ 85248 2.75 1948 0.16 1986 11/02/2009 10/30/2009 Single Family Residence Page 2
  • 3.
    Pre-foreclosure List Maricopa County Week Ending 11/2 2605 E Edgemont Ave Phoenix AZ 85008 120-34-071 Maricopa Lorraine Robinson 2605 E Edgemont Ave Phoenix AZ 85008 2 1393 0.04 1977 11/02/2009 10/30/2009 Condominium 2604 W Summerside Rd Phoenix AZ 85041 300-16-173 Maricopa Karen S Lenhardt (602) 276-9656 2604 W Summerside Rd Phoenix AZ 85041 11 2732 0.19 2003 11/02/2009 10/30/2009 Single Family Residence 25529 W Shooting Star Ln Buckeye AZ 85326 504-40-174 Maricopa John Atchley 706 S 119th Ave Avondale AZ 85323 9 1874 0.19 2004 11/02/2009 10/30/2009 Single Family Residence 2522 S Bonarden Ln Tempe AZ 85282 133-42-103 Maricopa Kelly Sheehan (480) 829-3768 2522 S Bonarden Ln Tempe AZ 85282 2 1287 0.12 1965 11/02/2009 10/30/2009 Single Family Residence 24794 S 195th St Chandler HeightsAZ 85242 304-90-636 Maricopa Kenneth Kreuter 24794 S 195th St Chandler Heights AZ 85142 0.78 11/02/2009 10/30/2009 Other 2435 W Cavedale Dr Phoenix AZ 85085 210-19-602 Maricopa Erica Correa (602) 595-4202 3720 E Bryce Ln Phoenix AZ 85050 14 3920 0.2 2006 11/02/2009 10/30/2009 Single Family Residence 2435 E Redwood Ct Chandler AZ 85286 303-92-225 Maricopa Duy Ly (480) 857-8216 2435 E Redwood Ct Chandler AZ 85286 10 2860 0.21 2006 11/02/2009 10/30/2009 Single Family Residence 2415 N 37th Wy Phoenix AZ 85008 120-07-159 Maricopa Joaquin Lilia M Medina (602) 374-4850 2415 N 37th Way Phoenix AZ 85008 3 2308 0.12 1972 11/02/2009 10/30/2009 Single Family Residence 24138 W Tonto St Buckeye AZ 85326 504-58-735 Maricopa Steven Robles 24138 W Tonto St Buckeye AZ 85326 7 1657 0.13 2005 11/02/2009 10/30/2009 Single Family Residence 2408 W Myrtle Ave Phoenix AZ 85021 157-26-034-b Maricopa Zvis Canyontree Llc 2408 W Myrtle Ave Phoenix AZ 85021 3.66 11/02/2009 10/30/2009 Other 236 W Indigo St Mesa AZ 85201 136-18-054 Maricopa Hugo Yamile Lozano (480) 610-6716 236 W Indigo St Mesa AZ 85201 6 1584 0.14 1973 11/02/2009 10/30/2009 Single Family Residence 2316 W Whitton Ave Phoenix AZ 85015 110-19-057 Maricopa Greg Schmunk 2316 W Whitton Ave Phoenix AZ 85015 1 1036 0.14 1953 11/02/2009 10/30/2009 Single Family Residence 2313 S 65th Dr Phoenix AZ 85043 104-37-536 Maricopa Tesfaye Feben (602) 885-3590 2313 S 65th Dr Phoenix AZ 85043 6 1460 0.12 2004 11/02/2009 10/30/2009 Single Family Residence 2308 N 72nd Dr Phoenix AZ 85035 102-39-188 Maricopa Victor Ruiz 2308 N 72nd Dr Phoenix AZ 85035 2 1140 0.14 1972 11/02/2009 10/30/2009 Single Family Residence 2245 N 22nd St Phoenix AZ 85006 117-09-049 Maricopa Betty J Lafrance (602) 275-3554 2245 N 22nd St Phoenix AZ 85006 3 3 1410 0.13 1947 11/02/2009 10/30/2009 Single Family Residence 2245 E Downing St Mesa AZ 85213 140-09-281 Maricopa David Yourkoski 2245 E Downing St Mesa AZ 85213 4 2.5 2180 0.24 1973 11/02/2009 10/30/2009 Single Family Residence 2227 N 24th Pl Phoenix AZ 85008 120-37-017 Maricopa Jose Huerta 2227 N 24th Pl Phoenix AZ 85008 2986 0.18 1933 11/02/2009 10/30/2009 Multi-unit 22179 W Twilight Tr Buckeye AZ 85326 504-25-360 Maricopa Mark Teran 22179 W Twilight Trl Buckeye AZ 85326 12 2594 0.18 2008 11/02/2009 10/30/2009 Single Family Residence 21294 E Bonanza Wy Chandler HeightsAZ 85242 304-66-333 Maricopa Michael Bryant 21294 E Bonanza Way Chandler Heights AZ 85142 2.5 1268 0.12 2003 11/02/2009 10/30/2009 Single Family Residence 2126 W Palmaire Ave Phoenix AZ 85021 157-24-098 Maricopa Clarence Vonda Chavis 2126 W Palmaire Ave Phoenix AZ 85021 2 1505 0.17 1956 11/02/2009 10/30/2009 Single Family Residence 2124 W Vista Ave Phoenix AZ 85021 157-22-042 Maricopa Selvin R Gonzales 2124 W Vista Ave Phoenix AZ 85021 1 2036 0.35 1948 11/02/2009 10/30/2009 Single Family Residence 21127 E Aspen Valley Dr Chandler HeightsAZ 85242 304-65-771 Maricopa Richard Walerius 21127 E Aspen Valley Dr Chandler Heights AZ 85142 10 2275 0.11 2003 11/02/2009 10/30/2009 Single Family Residence 20954 W Cora Vista Buckeye AZ 85396 502-79-683 Maricopa Marc Andrea Robson 40918 W Chambers Dr Maricopa AZ 85138 11 3054 0.3 2007 11/02/2009 10/30/2009 Single Family Residence 2088 S 160th Ln Goodyear AZ 85338 500-90-667 Maricopa Makayla J Jackson 2088 S 160th Ln Goodyear AZ 85338 6 1591 0.11 2006 11/02/2009 10/30/2009 Single Family Residence 2063 S Falcon Dr Gilbert AZ 85295 304-38-869 Maricopa Adammitchell Burkhalter 2063 S Falcon Dr Gilbert AZ 85295 8 1737 0.09 2004 11/02/2009 10/30/2009 Single Family Residence 2019 W Darrel Rd Phoenix AZ 85041 105-91-745 Maricopa Isabel Dominguez (602) 595-6882 2019 W Darrel Rd Phoenix AZ 85041 8 1930 0.15 2005 11/02/2009 10/30/2009 Single Family Residence 2002 W San Miguel Ave Phoenix AZ 85015 153-09-136 Maricopa Susanna C Yanez 2002 W San Miguel Ave Phoenix AZ 85015 2 1344 0.15 1954 11/02/2009 10/30/2009 Single Family Residence 19402 N 9th Pl Phoenix AZ 85024 213-25-337 Maricopa Willow Investments Llc 19402 N 9th Pl Phoenix AZ 85024 3 1.5 1311 0.16 1983 11/02/2009 10/30/2009 Single Family Residence 1902 N Barkley St 10 Mesa AZ 85203 136-32-120 Maricopa Karleen Conover 1902 N Barkley Unit 10 Mesa AZ 85203 3 1346 0.08 1994 11/02/2009 10/30/2009 Single Family Residence 18648 W Sanna St Waddell AZ 85355 502-90-157 Maricopa Leslie A Waterman 18648 W Sanna St Waddell AZ 85355 6 1526 0.12 2006 11/02/2009 10/30/2009 Single Family Residence 18642 E Ryan Rd Chandler HeightsAZ 85242 304-61-241 Maricopa Larry Gruver 18642 E Ryan Rd Chandler Heights AZ 85142 7 1637 0.12 2003 11/02/2009 10/30/2009 Single Family Residence 18614 N 12th Ave Phoenix AZ 85027 209-21-018 Maricopa Donna J Olsen (813) 416-3836 18614 N 12th Ave Phoenix AZ 85027 2 1472 0.15 1977 11/02/2009 10/30/2009 Single Family Residence 18462 W Mauna Loa Ln Sun City AZ 85388 502-03-384 Maricopa Catherine Price Jr (623) 556-4832 18462 W Mauna Loa Ln Surprise AZ 85388 14 4000 0.23 2006 11/02/2009 10/30/2009 Single Family Residence 1706 E Camino Del Santo Phoenix AZ 85022 166-43-013 Maricopa Scott Duck 1706 E Camino Del Santo Phoenix AZ 85022 2 2384 0.24 1984 11/02/2009 10/30/2009 Single Family Residence 16844 S 14th Ln Phoenix AZ 85045 311-01-285 Maricopa Anthonette C Kramer (480) 283-0628 16844 S 14th Ln Phoenix AZ 85045 4.75 3452 0.26 1997 11/02/2009 10/30/2009 Single Family Residence 16833 N 60th Pl Phoenix AZ 85254 215-39-086 Maricopa Cary Cohen (480) 368-9887 16833 N 60th Pl Scottsdale AZ 85254 14 3245 0.16 1994 11/02/2009 10/30/2009 Other 16453 N 62nd Ave Glendale AZ 85306 200-51-535 Maricopa Marquita M Thompson (602) 281-6747 16453 N 62nd Ave Glendale AZ 85306 2 1090 0.17 1982 11/02/2009 10/30/2009 Single Family Residence 16442 N 18th St Phoenix AZ 85022 214-20-255 Maricopa Linda M Marion 16442 N 18th St Phoenix AZ 85022 2 910 0.09 1986 11/02/2009 10/30/2009 Condominium 16219 W Winchcomb Dr Sun City AZ 85379 509-11-585 Maricopa Lincoln Jodi Smith 16219 W Winchcomb Dr Sun City AZ 85379 4 2 2011 0.14 2004 11/02/2009 10/30/2009 Single Family Residence 1621 N 31st Pl Phoenix AZ 85008 120-20-059 Maricopa Ordaz Rodriguez 1621 N 31st Pl Phoenix AZ 85008 1 902 0.23 1930 11/02/2009 10/29/2009 Single Family Residence 15857 W Madison St Goodyear AZ 85338 500-88-377 Maricopa Justin J Allen 3301 E Hidden Springs Dr Washington UT 84780 2 1591 0.11 2000 11/02/2009 10/30/2009 Single Family Residence 15789 W Diamond St Goodyear AZ 85338 500-91-865 Maricopa Guerrero Family (623) 245-1597 15789 W Diamond St Goodyear AZ 85338 10 2038 0.11 2005 11/02/2009 10/30/2009 Single Family Residence 15741 N 91st Ave Peoria AZ 85382 231-21-068 Maricopa Julio Cristina Fierro 15741 N 91st Dr Peoria AZ 85382 9 2310 0.14 1997 11/02/2009 10/30/2009 Other 1541 E Mckinley St Phoenix AZ 85006 116-19-113 Maricopa Raul O Adame 1541 E Mckinley St Phoenix AZ 85006 1 1051 0.14 1946 11/02/2009 10/30/2009 Single Family Residence 15390 W Pinchot Ct Goodyear AZ 85395 501-69-277 Maricopa Kathleen M Carter (623) 935-1168 15390 W Pinchot Ct Goodyear AZ 85395 7 2154 0.16 1993 11/02/2009 10/30/2009 Other 1538 E Windsong Dr Phoenix AZ 85048 301-78-573 Maricopa Scott Leann Tantillo 1538 E Windsong Dr Phoenix AZ 85048 3 2 1682 0.15 1992 11/02/2009 10/30/2009 Single Family Residence 15239 W Alexandria Wy Surprise AZ 85379 509-18-447 Maricopa Matthew Dawn Wagner (309) 452-2959 3268 Marimarsh Ln Normal IL 61761 10 2334 0.08 2007 11/02/2009 10/30/2009 Other 1521 S Velero Pl Chandler AZ 85286 303-29-417 Maricopa Todd Desilva 7544 N Via De La Siesta Scottsdale AZ 85258 4 2 2049 0.18 2001 11/02/2009 10/30/2009 Single Family Residence 1520 W Devon Dr Gilbert AZ 85233 302-37-936 Maricopa Lonnie Ruscito (480) 290-2192 1520 W Devon Dr Gilbert AZ 85233 3 2393 0.2 1993 11/02/2009 10/30/2009 Single Family Residence 15130 W Monroe St Goodyear AZ 85338 500-04-310 Maricopa Lacampagne Kristna 15130 W Monroe St Goodyear AZ 85338 8 2023 0.13 2004 11/02/2009 10/30/2009 Single Family Residence 14840 S 5th Ave Phoenix AZ 85048 311-02-545 Maricopa Salum Gene 14840 S 5th Ave Phoenix AZ 85045 4 3 2912 0.19 1999 11/02/2009 10/30/2009 Single Family Residence 14515 W Mauna Loa Ln Sun City AZ 85379 509-03-857 Maricopa Ricardo Nayeli Cosio 14515 W Mauna Loa Ln Sun City AZ 85379 4 235 2524 0.11 2006 11/02/2009 10/30/2009 Other 14027 S 10th St Phoenix AZ 85048 300-97-045 Maricopa Paul Grazyna Madejski (480) 460-6083 14027 S 10th St Phoenix AZ 85048 4.75 3166 0.27 1996 11/02/2009 10/30/2009 Single Family Residence 13942 W Country Gables DrSun City AZ 85379 509-17-248 Maricopa Castonia S Harding 13942 W Country Gables Dr Sun City AZ 85379 6 1353 0.11 2004 11/02/2009 10/30/2009 Single Family Residence 13820 W Palo Verde Dr Litchfield Park AZ 85340 501-62-238 Maricopa Adam Ewa Krywult 13820 W Palo Verde Dr Litchfield Park AZ 85340 3 2 1503 0.13 2002 11/02/2009 10/30/2009 Other 13743 W Keim Dr Litchfield Park AZ 85340 508-05-560 Maricopa Jerlene Xavier Benavidez (623) 337-5581 13743 W Keim Dr Litchfield Park AZ 85340 2 1247 0.1 2002 11/02/2009 10/30/2009 Single Family Residence 13631 S Canyon Dr Phoenix AZ 85048 301-76-863 Maricopa Daniel J Belton (480) 759-2791 13631 S Canyon Dr Phoenix AZ 85048 4 5 5500 2.04 1994 11/02/2009 10/30/2009 Single Family Residence Page 3
  • 4.
    Pre-foreclosure List Maricopa County Week Ending 11/2 1340 S Bridgegate Dr Gilbert AZ 85296 304-28-288 Maricopa William Huff (480) 699-4498 1340 S Bridgegate Dr Gilbert AZ 85296 9 1837 0.09 2003 11/02/2009 10/30/2009 Single Family Residence 1322 E Grove St Phoenix AZ 85040 113-60-077 Maricopa Ramin Bral 1322 E Grove St Phoenix AZ 85040 3 1056 0.12 1959 11/02/2009 10/30/2009 Other 1320 S Ash Ave Tempe AZ 85281 133-18-028 Maricopa Timothy R Wright 1320 S Ash Ave Tempe AZ 85281 1 1607 0.24 1949 11/02/2009 10/30/2009 Single Family Residence 13122 W Jacobson Dr Litchfield Park AZ 85340 508-06-040 Maricopa Everard C Oliver 13122 W Jacobson Dr Litchfield Park AZ 85340 4 2614 0.15 2002 11/02/2009 10/30/2009 Single Family Residence 12924 E Sahuaro Dr Scottsdale AZ 85259 217-20-098 Maricopa Mark Forman (480) 614-1525 12924 E Sahuaro Dr Scottsdale AZ 85259 4 3 2525 0.15 1990 11/02/2009 10/30/2009 Other 12909 W Holly St Avondale AZ 85392 501-90-220 Maricopa Kreed Ziegler 12909 W Holly St Avondale AZ 85392 2.75 1611 0.09 1999 11/02/2009 10/30/2009 Single Family Residence 12634 W Estero Ln Litchfield Park AZ 85340 508-07-202 Maricopa Azca Holdings Llc 12634 W Estero Ln Litchfield Park AZ 85340 3.75 1914 0.1 2002 11/02/2009 10/30/2009 Single Family Residence 12613 W Soledad St El Mirage AZ 85335 509-08-015 Maricopa Rey Sharon Banzon 12613 W Soledad St El Mirage AZ 85335 2 1527 0.16 2002 11/02/2009 10/30/2009 Single Family Residence 12537 W Coldwater SpringsAvondale AZ 85323 500-92-208 Maricopa Hardy Mleka 12537 W Coldwater Springs Blvd Avondale AZ 85323 2 1678 0.12 2001 11/02/2009 10/29/2009 Single Family Residence 12522 W Honeysuckle St Litchfield Park AZ 85340 508-07-904 Maricopa Jennifer Land 12522 W Honeysuckle St Litchfield Park AZ 85340 8 1524 0.1 2002 11/02/2009 10/30/2009 Other 12514 W Bird Ln Litchfield Park AZ 85340 508-07-151 Maricopa Jacek Bednarz 12514 W Bird Ln Litchfield Park AZ 85340 2.75 1678 0.1 2002 11/02/2009 10/30/2009 Single Family Residence 12513 W Pershing St El Mirage AZ 85335 509-08-182 Maricopa Josh Kirby (602) 561-4194 12513 W Pershing St El Mirage AZ 85335 2.75 1776 0.13 2002 11/02/2009 10/30/2009 Single Family Residence 1217 E Graham Tr Phoenix AZ 85040 113-59-122 Maricopa Keith F Brooks 1217 E Graham Trl Phoenix AZ 85040 6 1799 0.09 2004 11/02/2009 10/30/2009 Single Family Residence 1215 S Farmer Ave Tempe AZ 85281 124-70-018 Maricopa Timothy R Wright 1215 S Farmer Ave Tempe AZ 85281 0.07 11/02/2009 10/30/2009 Single Family Residence 121 N 224th Ave Buckeye AZ 85326 504-23-462 Maricopa Christina Rodriguez 121 N 224th Ave Buckeye AZ 85326 6 1831 0.11 2005 11/02/2009 10/30/2009 Single Family Residence 12032 N 60th Ave Glendale AZ 85304 143-01-138 Maricopa Franklin Alexis (623) 234-2879 12032 N 60th Ave Glendale AZ 85304 2.5 2219 0.31 1979 11/02/2009 10/30/2009 Single Family Residence 1201 W Angela Dr Phoenix AZ 85023 208-18-201 Maricopa John Cindi Keen 1201 W Angela Dr Phoenix AZ 85023 2 1238 0.13 1976 11/02/2009 10/30/2009 Single Family Residence 11926 N 145th Ln Sun City AZ 85379 509-15-237 Maricopa Nick Zahreddine 11926 N 145th Ln Sun City AZ 85379 11 3064 0.13 2004 11/02/2009 10/30/2009 Single Family Residence 11908 W Dos Rios Dr Sun City AZ 85373 503-58-451 Maricopa Brian Climaco 11908 W Dos Rios Dr Sun City AZ 85373 11 2228 0.24 2006 11/02/2009 10/30/2009 Single Family Residence 11707 W Jessie Ln Sun City AZ 85373 503-88-930 Maricopa Lisa M Tran 11707 W Jessie Ln Sun City AZ 85373 9 2010 0.12 2007 11/02/2009 10/30/2009 Single Family Residence 11627 E Appaloosa Pl Scottsdale AZ 85259 217-56-120-- Maricopa Rory Lubold (480) 840-1267 11627 E Appaloosa Pl Scottsdale AZ 85259 9 2363 0.16 1994 11/02/2009 10/30/2009 Single Family Residence 11614 N 123rd Ln El Mirage AZ 85335 501-44-170 Maricopa Ruben R Reyes 11614 N 123rd Ln El Mirage AZ 85335 3.5 2645 0.26 2000 11/02/2009 10/30/2009 Single Family Residence 11446 E Roscoe Ave Mesa AZ 85212 304-33-759 Maricopa Kevin Metoyer (480) 313-9175 11446 E Roscoe Ave Mesa AZ 85212 3 2008 0.26 2002 11/02/2009 10/30/2009 Single Family Residence 11405 W Hadley St Avondale AZ 85323 101-01-078 Maricopa David Sims 11405 W Hadley St Avondale AZ 85323 8 1864 0.14 2008 11/02/2009 10/30/2009 Single Family Residence 11346 E Dartmouth St Mesa AZ 85207 220-11-369 Maricopa Egan Annesean 11346 E Dartmouth St Mesa AZ 85207 3 2 1480 0.16 1998 11/02/2009 10/30/2009 Single Family Residence 11332 E Quintana Ave Mesa AZ 85212 304-33-395 Maricopa Deidri Dennis Hoppe 11332 E Quintana Ave Mesa AZ 85212 2 1665 0.13 2001 11/02/2009 10/30/2009 Single Family Residence 11132 E Poinsettia Dr Scottsdale AZ 85259 217-47-567 Maricopa Gloria Johnsen (480) 661-0250 11132 E Poinsettia Dr Scottsdale AZ 85259 2.75 2178 0.14 1994 11/02/2009 10/30/2009 Single Family Residence 11128 W Montecito Ave Phoenix AZ 85037 102-90-182 Maricopa Llc Mbulk 11128 W Montecito Ave Phoenix AZ 85037 2 1238 0.08 1998 11/02/2009 10/30/2009 Single Family Residence 11105 W Campbell Ave Phoenix AZ 85037 102-58-322 Maricopa Ramirez Claudia 11105 W Campbell Ave Phoenix AZ 85037 2.5 1436 0.16 1988 11/02/2009 10/30/2009 Single Family Residence 1073 W Bluebird Dr Chandler AZ 85286 303-35-548 Maricopa Anthony Crisci 1073 W Bluebird Dr Chandler AZ 85286 2 1538 0.11 1995 11/02/2009 10/30/2009 Single Family Residence 10645 W Coronado Rd Avondale AZ 85392 102-31-369 Maricopa Tom Casault 10645 W Coronado Rd Avondale AZ 85392 3 1557 0.07 2000 11/02/2009 10/30/2009 Single Family Residence 10565 W Rosewood Dr Avondale AZ 85392 102-27-450 Maricopa Janusz Izabela Zalech 10565 W Rosewood Dr Avondale AZ 85392 3 2.5 1949 0.12 1999 11/02/2009 10/30/2009 Single Family Residence 10225 E Sweetwater Ave Scottsdale AZ 85260 217-23-080-a Maricopa Patrick L Shudak 12703 E Desert Cove Ave Scottsdale AZ 85259 4.75 4122 1.23 1993 11/02/2009 10/30/2009 Single Family Residence 10109 W Preston Ln Tolleson AZ 85353 101-14-366 Maricopa Ramirez Mnorma (623) 478-7891 10109 W Preston Ln Tolleson AZ 85353 7 1745 0.1 2007 11/02/2009 10/30/2009 Single Family Residence 10101 N Arabian Tr 1073 Scottsdale AZ 85258 217-53-535 Maricopa Debra Requa 10101 N Arabian Trl Unit 1073Scottsdale AZ 85258 2 1076 0 1990 11/02/2009 10/30/2009 Condominium 9846 N 5th Ave Phoenix AZ 85020 159-53-008-- Maricopa Sonja L Starkey (602) 266-0442 9846 N 5th Ave Phoenix AZ 85021 2 2047 0.16 1953 10/30/2009 10/29/2009 Single Family Residence 9746 W Las Palmaritas Dr Peoria AZ 85345 142-55-387 Maricopa Isaac Roberts 9746 W Las Palmaritas Dr Peoria AZ 85345 8 2496 0.19 2003 10/30/2009 10/28/2009 Single Family Residence 9509 W Tonopah Dr Peoria AZ 85382 200-15-423 Maricopa Robb Brenda Hansen (623) 376-6354 9509 W Tonopah Dr Peoria AZ 85382 3.5 2045 0.13 1999 10/30/2009 10/29/2009 Single Family Residence 950 E Lehi Rd Mesa AZ 85203 136-09-024-b Maricopa Jefferson H Miller (480) 890-9015 950 E Lehi Rd Mesa AZ 85203 3 2942 0.88 1973 10/30/2009 10/29/2009 Single Family Residence 9316 E Balsam Ave 4c Mesa AZ 85208 220-33-021 Maricopa Martin Diana 9316 E Balsam Ave Unit 4c Mesa AZ 85208 3 430 0.01 1957 10/30/2009 10/29/2009 Condominium 9159 W Lone Cactus Dr Peoria AZ 85382 231-24-514 Maricopa Donald J Gilliand 9159 W Lone Cactus Dr Peoria AZ 85382 4 2 2166 0.13 2000 10/30/2009 10/29/2009 Single Family Residence 9151 E Foothills Dr Scottsdale AZ 85255 217-07-334 Maricopa David Debuse 9151 E Foothills Dr Scottsdale AZ 85255 17 4024 0.98 1994 10/30/2009 10/29/2009 Other 9045 W Granada Rd Phoenix AZ 85037 102-36-886 Maricopa Benito Christina Carmona (623) 297-4871 9045 W Granada Rd Phoenix AZ 85037 6 1438 0.17 1993 10/30/2009 10/29/2009 Single Family Residence 8953 W Royal Palm Rd Peoria AZ 85345 142-32-056 Maricopa Darrell Luce Romero 8953 W Royal Palm Rd Peoria AZ 85345 3 2 1270 0.16 1982 10/30/2009 10/29/2009 Single Family Residence 8927 E Butternut Ave Mesa AZ 85208 218-41-318 Maricopa Chavez Jrrosalie (480) 964-1528 8927 E Butternut Ave Mesa AZ 85208 3 2 1400 0.11 1998 10/30/2009 10/29/2009 Single Family Residence 8856 W Aster Dr Peoria AZ 85381 200-97-251 Maricopa Eric Steffes 8856 W Aster Dr Peoria AZ 85381 10 1765 0.06 2006 10/30/2009 10/29/2009 Single Family Residence 8849 W Echo Ln Peoria AZ 85345 142-32-396-- Maricopa Arcelia Neil Younan (623) 203-6873 8849 W Echo Ln Peoria AZ 85345 2.75 2057 0.18 2000 10/30/2009 10/29/2009 Single Family Residence 8836 W Turney Ave Phoenix AZ 85037 102-19-491 Maricopa Ruben F Ramirez 8836 W Turney Ave Phoenix AZ 85037 2 1272 0.13 1972 10/30/2009 10/29/2009 Single Family Residence 8747 W Elm St Phoenix AZ 85037 102-81-205 Maricopa Amador Liduvina 8747 W Elm St Phoenix AZ 85037 2 1120 0.14 1980 10/30/2009 10/29/2009 Single Family Residence 8745 W Surrey Ave Peoria AZ 85381 200-87-646 Maricopa Stratton Wjosephine (623) 815-1827 8745 W Surrey Ave Peoria AZ 85381 8 1765 0.06 2006 10/30/2009 10/29/2009 Single Family Residence 8743 E Portobello Ave Mesa AZ 85212 304-03-240 Maricopa Fox Rchristen (480) 495-2477 8743 E Portobello Ave Mesa AZ 85212 3 2 1556 0.14 2001 10/30/2009 10/29/2009 Single Family Residence 8739 W Watkins St Tolleson AZ 85353 101-57-561 Maricopa Franklin Lem 8739 W Watkins St Tolleson AZ 85353 10 2310 0.12 2005 10/30/2009 10/29/2009 Single Family Residence 8734 W Manzanita Dr Peoria AZ 85345 142-32-526 Maricopa Joshua Corrington 8734 W Manzanita Dr Peoria AZ 85345 3 2 1343 0.23 2000 10/30/2009 10/29/2009 Single Family Residence 8625 E Chaparral Rd Scottsdale AZ 85251 173-63-012 Maricopa Richard L Rozinski (480) 945-6966 8625 E Chaparral Rd Scottsdale AZ 85250 2 1416 0.15 1960 10/30/2009 10/29/2009 Single Family Residence 8409 W Crown King Rd Tolleson AZ 85353 101-30-391 Maricopa Virgilio Leticia Yang (623) 251-6273 8409 W Crown King Rd Tolleson AZ 85353 9 3244 0.13 2004 10/30/2009 10/29/2009 Single Family Residence 8404 E Montebello Ave Scottsdale AZ 85250 173-75-176 Maricopa Jeanne Chase Falls (480) 998-2367 8404 E Montebello Ave Scottsdale AZ 85250 2.75 1584 0.03 1964 10/30/2009 10/29/2009 Condominium 8317 S 45th Ln Phoenix AZ 85339 300-84-454 Maricopa Rodriguez Ejosie 8317 S 45th Ln Laveen AZ 85339 11 2974 0.12 2004 10/30/2009 10/29/2009 Other Page 4
  • 5.
    Pre-foreclosure List Maricopa County Week Ending 11/2 8316 S 48th Dr Phoenix AZ 85339 300-84-175 Maricopa Michellebarker Nitschke (602) 237-1411 8316 S 48th Dr Laveen AZ 85339 8 2270 0.12 2004 10/30/2009 10/29/2009 Other 828 W Roeser Rd Phoenix AZ 85041 105-80-018 Maricopa Orlando Cazarez 828 W Roeser Rd Phoenix AZ 85041 9 1799 0.1 2004 10/30/2009 10/29/2009 Single Family Residence 815 S Solomon Mesa AZ 85204 139-18-105 Maricopa Weiland Shaw 815 S Solomon Mesa AZ 85204 3 2 1272 0.15 1964 10/30/2009 10/29/2009 Single Family Residence 8146 E Fairfield St Mesa AZ 85207 218-08-785 Maricopa Jennifer Joseph Highley (480) 226-0615 8146 E Fairfield St Mesa AZ 85207 3 2 1700 0.18 1997 10/30/2009 10/29/2009 Single Family Residence 7949 W Montecito Ave Phoenix AZ 85033 102-77-091 Maricopa Michael Grace West (520) 432-4826 7949 W Montecito Ave Phoenix AZ 85033 4 2 1873 0.25 1975 10/30/2009 10/28/2009 Single Family Residence 794 S Bedford Dr Chandler AZ 85225 303-82-420 Maricopa Gregory Rogers 394 W Weatherby Pl Chandler AZ 85286 3 1728 0.06 1999 10/30/2009 10/29/2009 Single Family Residence 7821 N 42nd Ave Phoenix AZ 85051 151-06-035 Maricopa Winter Jo (623) 915-0341 7821 N 42nd Ave Phoenix AZ 85051 2.75 1939 0.19 1969 10/30/2009 10/29/2009 Single Family Residence 7814 N 42nd Ave Phoenix AZ 85051 151-06-053 Maricopa Ira Pinkhasov (623) 243-6881 7814 N 42nd Ave Phoenix AZ 85051 2.75 2356 0.22 1969 10/30/2009 10/29/2009 Single Family Residence 7813 E Journey Ln Scottsdale AZ 85255 212-36-150 Maricopa Ploeg Vander 7813 E Journey Ln Scottsdale AZ 85255 3 1882 0.17 1997 10/30/2009 10/29/2009 Single Family Residence 7810 W Bloomfield Rd Peoria AZ 85381 200-78-548 Maricopa Donna E Dundas 7810 W Bloomfield Rd Peoria AZ 85381 2.5 1696 0.18 1985 10/30/2009 10/28/2009 Single Family Residence 781 E Capricorn Wy Chandler AZ 85249 303-53-458 Maricopa Kevin Hardin 15 E Los Arboles Cir Tempe AZ 85284 4 4 3800 0.17 2001 10/30/2009 10/29/2009 Single Family Residence 7800 E Lincoln Dr 1087 Scottsdale AZ 85250 174-21-873 Maricopa Tilley Edward 7800 E Lincoln Dr Unit 1087 Scottsdale AZ 85250 7 1171 0 1985 10/30/2009 10/28/2009 Condominium 7746 E Portland St Scottsdale AZ 85257 131-50-013 Maricopa Behnam Miho Kanani 3845 E Greenway Rd Unit 219 Phoenix AZ 85032 2 1428 0.13 1967 10/30/2009 10/29/2009 Single Family Residence 7729 W Caribbean Ln Peoria AZ 85381 200-62-818 Maricopa Ligia Vicovan 7729 W Caribbean Ln Peoria AZ 85381 3 2620 0.2 1999 10/30/2009 10/28/2009 Single Family Residence 7702 N 16th Ln Phoenix AZ 85021 157-03-016 Maricopa Rey Tessie Serdenia 7702 N 16th Ln Phoenix AZ 85021 2 1776 0.3 1959 10/30/2009 10/29/2009 Single Family Residence 7469 W Quail Ave Glendale AZ 85308 200-21-737 Maricopa Richard Kelly (623) 518-2686 7469 W Quail Ave Glendale AZ 85308 3 2.5 2439 0.16 1997 10/30/2009 10/29/2009 Single Family Residence 7436 W Glass Ln Phoenix AZ 85339 104-84-573 Maricopa Aneatra Pervis (602) 628-0613 7436 W Glass Ln Laveen AZ 85339 6 1914 0.21 2008 10/30/2009 10/29/2009 Other 7401 W Vermont Ave Glendale AZ 85303 144-22-340-- Maricopa Curtis Diane Wheeler 7401 W Vermont Ave Glendale AZ 85303 1.75 1180 0.13 1984 10/30/2009 10/29/2009 Single Family Residence 7333 W Cypress St Phoenix AZ 85035 102-39-360 Maricopa Jorge Astorga (623) 846-2795 7333 W Cypress St Phoenix AZ 85035 1 840 0.14 1975 10/30/2009 10/29/2009 Single Family Residence 7325 E Rose Ln Scottsdale AZ 85250 174-15-122 Maricopa Blincoe Lease 7325 E Rose Ln Scottsdale AZ 85250 9 2441 0.12 1976 10/30/2009 10/29/2009 Other 7145 W Maryland Ave Glendale AZ 85303 144-03-237 Maricopa Steven J Friedman 7145 W Maryland Ave Glendale AZ 85303 2.75 1906 0.13 2002 10/30/2009 10/29/2009 Single Family Residence 7131 N 28th Dr Phoenix AZ 85051 151-24-246 Maricopa Randyerinmiller Guthmiller 7131 N 28th Dr Phoenix AZ 85051 2.5 1518 0.08 1992 10/30/2009 10/29/2009 Single Family Residence 7100 E Montgomery Rd Scottsdale AZ 85266 216-67-081-- Maricopa Ervin Bollinger 7100 E Montgomery Rd Scottsdale AZ 85266 4 2.5 3800 1.74 1987 10/30/2009 10/29/2009 Single Family Residence 6988 E Paradise Ranch Rd Paradise Valley AZ 85253 174-42-030 Maricopa Timothy R Wright 6988 E Paradise Ranch Rd Paradise Valley AZ 85253 5.75 4172 0.85 1991 10/30/2009 10/29/2009 Single Family Residence 6911 W Stockman Rd Glendale AZ 85308 200-44-509 Maricopa Andrew L Truitt (602) 218-6141 6911 W Stockman Rd Glendale AZ 85308 13 4502 0.47 2002 10/30/2009 10/29/2009 Single Family Residence 6900 E Princess Dr 2206 Phoenix AZ 85054 215-09-284 Maricopa Danielmortensen Olic 6900 E Princess Dr Unit 2206 Phoenix AZ 85054 2 2 927 0.02 2003 10/30/2009 10/29/2009 Condominium 6874 W Potter Dr Glendale AZ 85308 231-23-319 Maricopa Corey Rhone 11680 E Sahuaro Dr Unit 1046Scottsdale AZ 85259 3.75 2073 0.15 2000 10/30/2009 10/29/2009 Single Family Residence 6702 W Grovers Ave Glendale AZ 85308 200-44-460 Maricopa Carletta Pfirrman 40812 N 3rd Ave Phoenix AZ 85086 3 2 2675 0.41 1981 10/30/2009 10/29/2009 Single Family Residence 6626 E Kelton Ln Phoenix AZ 85254 215-40-378 Maricopa Lynne F Yearsley 3933 Pine Ridge Way Lexington KY 40514 8 1452 0.17 1982 10/30/2009 10/29/2009 Other 6621 W Watkins St Phoenix AZ 85043 104-37-499 Maricopa Alexis G Hernandez 6621 W Watkins St Phoenix AZ 85043 6 1460 0.11 2005 10/30/2009 10/29/2009 Single Family Residence 6621 S 5th Wy Phoenix AZ 85042 114-08-036 Maricopa Sherry L Thomas 6621 S 5th Way Phoenix AZ 85042 3 2 1718 0.11 2004 10/30/2009 10/29/2009 Single Family Residence 6612 S 16th Dr Phoenix AZ 85041 105-84-281-- Maricopa Amy Gossage 6612 S 16th Dr Phoenix AZ 85041 3 2 1343 0.12 2004 10/30/2009 10/29/2009 Single Family Residence 6511 E Windstone Tr Az 85331 AZ 216-67-065 Maricopa Dale Lindstrom (480) 502-5449 6511 E Windstone Trl Cave Creek AZ 85331 2 1408 1.83 1984 10/30/2009 10/29/2009 Single Family Residence 6458 W Saddlehorn Rd Phoenix AZ 85083 201-10-140 Maricopa Carol D Watkins 6458 W Saddlehorn Rd Phoenix AZ 85083 2.75 1656 0.15 1998 10/30/2009 10/28/2009 Single Family Residence 6424 W Wahalla Ln Glendale AZ 85308 200-28-350 Maricopa Andrzej Rajman (623) 362-9826 6424 W Wahalla Ln Glendale AZ 85308 3.5 2045 0.13 1997 10/30/2009 10/29/2009 Single Family Residence 6420 E Waltann Ln Phoenix AZ 85254 215-41-106 Maricopa Kenneth Richardson 6420 E Waltann Ln Scottsdale AZ 85254 4 3 2342 0.23 1995 10/30/2009 10/29/2009 Single Family Residence 6417 E Mclellan Rd Mesa AZ 85205 141-64-119 Maricopa Jeff Grace Koehler 6417 E Mclellan Rd Mesa AZ 85205 2 1148 0.36 1970 10/30/2009 10/28/2009 Single Family Residence 6409 W Sandra Ter Glendale AZ 85306 200-51-789 Maricopa Keith Mitchell 6409 W Sandra Ter Glendale AZ 85306 2.5 1265 0.14 1991 10/30/2009 10/29/2009 Single Family Residence 6402 W Mohave St Phoenix AZ 85043 104-28-318 Maricopa Trevor Morgan (623) 266-3730 6402 W Mohave St Phoenix AZ 85043 2 1587 0.13 2002 10/30/2009 10/29/2009 Single Family Residence 6329 N 15th St Phoenix AZ 85014 161-09-028 Maricopa James Vanne 6329 N 15th St Phoenix AZ 85014 2 1925 0.3 1950 10/30/2009 10/29/2009 Single Family Residence 6308 N 41st Dr Phoenix AZ 85019 152-30-096 Maricopa Jake Lynn Winters 6308 N 41st Dr Phoenix AZ 85019 2 1290 0.13 1959 10/30/2009 10/29/2009 Single Family Residence 625 N Layton Mesa AZ 85207 218-07-240 Maricopa James Woodley Jr 625 N Layton Mesa AZ 85207 2 1508 0.12 1999 10/30/2009 10/29/2009 Single Family Residence 620 W 6th Dr Mesa AZ 85210 134-15-014 Maricopa Francisco Claralynn Merino 620 W 6th Dr Mesa AZ 85210 6 1409 0.18 1958 10/30/2009 10/29/2009 Single Family Residence 6034 N 21st Ave Phoenix AZ 85015 156-12-136-j Maricopa Jeffrey V Hill 6034 N 21st Ave Phoenix AZ 85015 2790 0.2 1963 10/30/2009 10/29/2009 Duplex 6032 W Poinsetta Dr Glendale AZ 85304 143-01-185 Maricopa Bernard Vanderlaan (623) 337-5673 6032 W Poinsettia Dr Glendale AZ 85304 2 1819 0.21 1979 10/30/2009 10/28/2009 Single Family Residence 6031 N 31st Ave Phoenix AZ 85017 152-16-147 Maricopa Rick Pineda 6031 N 31st Ave Phoenix AZ 85017 2.75 1298 0.06 1971 10/30/2009 10/29/2009 Condominium 602 S Ashbrook Mesa AZ 85204 140-42-224 Maricopa Walter Johnson (480) 254-1659 602 S Ashbrook Mesa AZ 85204 2 1476 0.17 1982 10/30/2009 10/29/2009 Single Family Residence 585 S Monterey St Gilbert AZ 85233 302-32-766 Maricopa Michael Jill C Vandengoorbergh (480) 503-1216 Po Box 1083 Ross CA 94957 2 1642 0.13 1993 10/30/2009 10/29/2009 Single Family Residence 5634 S Dysart Rd Avondale AZ 85323 500-77-006-b Maricopa Kathleen M Miller 5634 S Dysart Rd Avondale AZ 85323 1440 1.83 1978 10/30/2009 10/29/2009 Mobile Home 5620 N 134th Dr Litchfield Park AZ 85340 508-08-206 Maricopa Pete Diana Gomez 5620 N 134th Dr Litchfield Park AZ 85340 3.5 3001 10 2002 10/30/2009 10/29/2009 Single Family Residence 5541 W Mission Ln Glendale AZ 85302 148-22-053 Maricopa Huerta Jevelia (623) 628-4881 5541 W Mission Ln Glendale AZ 85302 2 1819 0.15 1971 10/30/2009 10/29/2009 Single Family Residence 5530 E Shea Blvd Phoenix AZ 85254 167-77-002 Maricopa March Eileen 5530 E Shea Blvd Scottsdale AZ 85254 10 2486 0.75 1980 10/30/2009 10/29/2009 Other 5447 W Vernon Ave Phoenix AZ 85035 103-17-265-a Maricopa David A Sundberg (623) 374-2577 5447 W Vernon Ave Phoenix AZ 85035 3 2 1634 0.15 1980 10/30/2009 10/29/2009 Single Family Residence 5424 W Earll Dr Phoenix AZ 85031 103-38-084 Maricopa Fuentes Consuelo (480) 326-3130 5424 W Earll Dr Phoenix AZ 85031 6 1380 0.12 1959 10/30/2009 10/28/2009 Single Family Residence 5402 S 11th Ave Phoenix AZ 85041 105-79-149 Maricopa Juan Beltran (602) 243-1260 5402 S 11th Ave Phoenix AZ 85041 1.5 997 0.16 1957 10/30/2009 10/29/2009 Single Family Residence 5401 E Van Buren St 1027 Phoenix AZ 85034 124-18-059 Maricopa Robert Traci Duda 5401 E Van Buren St Unit 1027Phoenix AZ 85008 3 684 0.02 1999 10/30/2009 10/29/2009 Condominium 5302 N Granite Reef Rd Scottsdale AZ 85250 173-73-173 Maricopa Lombardo Marie 5302 N Granite Reef Rd Scottsdale AZ 85250 2.75 2034 0.14 1966 10/30/2009 10/28/2009 Single Family Residence Page 5
  • 6.
    Pre-foreclosure List Maricopa County Week Ending 11/2 5301 E Casper St Mesa AZ 85205 141-47-075 Maricopa Hector Maldonado 5301 E Casper St Mesa AZ 85205 6 1152 0.15 1968 10/30/2009 10/29/2009 Other 517 W Wilshire Dr Phoenix AZ 85003 118-49-028 Maricopa Paula W Alexander 517 W Wilshire Dr Phoenix AZ 85003 1.5 1458 0.15 1940 10/30/2009 10/29/2009 Single Family Residence 506 N Hunt Dr Mesa AZ 85203 137-39-008-a Maricopa Herrera Ramirez 506 N Hunt Dr Mesa AZ 85203 6 1245 0.15 1963 10/30/2009 10/29/2009 4917 S Granite St Gilbert AZ 85298 304-72-458 Maricopa Abisai Gutierrez 4917 S Granite St Gilbert AZ 85298 9 2208 0.16 2004 10/30/2009 10/29/2009 Single Family Residence 4839 E Charleston Ave Phoenix AZ 85254 215-11-977 Maricopa Stefan Singureanu 4839 E Charleston Ave Scottsdale AZ 85254 9 2662 0.17 1998 10/30/2009 10/29/2009 Other 4808 N 24th St 703 Phoenix AZ 85016 163-19-194 Maricopa Lee Lisa Bjork 4808 N 24th St Unit 703 Phoenix AZ 85016 7 1356 0.03 2006 10/30/2009 10/29/2009 Condominium 4800 N 68th St 211 Scottsdale AZ 85251 173-35-191-a Maricopa Archbury Inc 4800 N 68th St Unit 211 Scottsdale AZ 85251 1 624 62 1969 10/30/2009 10/29/2009 Condominium 4731 E Windstone Tr Phoenix AZ 85331 211-62-595 Maricopa Marvin Paulette F Hill (480) 563-1354 4731 E Windstone Trl Cave Creek AZ 85331 11 2818 0.19 1993 10/30/2009 10/29/2009 Other 4701 N 96th Ave Phoenix AZ 85037 102-18-666 Maricopa Liviu Iiiescu 4701 N 96th Ave Phoenix AZ 85037 4 3 2700 0.13 2002 10/30/2009 10/29/2009 Single Family Residence 4545 N 67th Ave 1416 Phoenix AZ 85033 144-43-684 Maricopa Jewell Rdeann 4545 N 67th Ave Unit 1416 Phoenix AZ 85033 2 1306 0.01 1986 10/30/2009 10/29/2009 Condominium 4537 W Marshall Ave Glendale AZ 85301 145-07-439 Maricopa Rueben A Willis 4537 W Marshall Ave Glendale AZ 85301 2 1812 0.15 1973 10/30/2009 10/29/2009 Single Family Residence 4525 E Gelding Dr Phoenix AZ 85032 215-69-215 Maricopa James Denise Porterfield (602) 404-6770 4525 E Gelding Dr Phoenix AZ 85032 3.75 2716 0.21 1982 10/30/2009 10/29/2009 Single Family Residence 45219 N 12th St Phoenix AZ 85087 202-20-037-a Maricopa Andrew Tina Incardona 45219 N 12th St Phoenix AZ 85087 1680 1.09 1997 10/30/2009 10/29/2009 Mobile Home 428 E Del Rio Dr Tempe AZ 85282 133-28-319 Maricopa Kelley Lee 428 E Del Rio Dr Tempe AZ 85282 7 1892 0.17 1967 10/30/2009 10/29/2009 Single Family Residence 4249 W Dailey St Phoenix AZ 85053 207-12-259 Maricopa Erica Higgins 4249 W Dailey St Phoenix AZ 85053 2 1777 0.17 1973 10/30/2009 10/29/2009 Single Family Residence 4232 E Douglas Ave Gilbert AZ 85234 304-06-587 Maricopa Joseph Guzdziol 542 N Falcon Dr Gilbert AZ 85234 4 2 1938 0.14 1991 10/30/2009 10/29/2009 Single Family Residence 42318 N Caledonia Wy Anthem AZ 85086 203-01-324 Maricopa James Ogburn (623) 363-7324 42318 N Caledonia Way Anthem AZ 85086 5 4.5 4116 0.36 2001 10/30/2009 10/29/2009 Single Family Residence 4212 W Harmont Dr Phoenix AZ 85051 150-13-468 Maricopa Alejandro Carerrea-chaires 4212 W Harmont Dr Phoenix AZ 85051 2 1528 0.16 1976 10/30/2009 10/29/2009 Single Family Residence 4208 E Roma Ave Phoenix AZ 85018 171-24-138 Maricopa Harry Swarens 4208 E Roma Ave Phoenix AZ 85018 2.5 1207 0.12 1951 10/30/2009 10/29/2009 Single Family Residence 4203 E Jasper Dr Gilbert AZ 85296 304-29-778 Maricopa Jones Daniel 4203 E Jasper Dr Gilbert AZ 85296 3 2 1463 0.02 2005 10/30/2009 10/29/2009 Other 41311 N Laurel Valley Ct Anthem AZ 85086 203-08-013 Maricopa Gary Wegener 16426 N 72nd Ln Peoria AZ 85382 8 1760 0.12 2003 10/30/2009 10/29/2009 Single Family Residence 412 S 228th Ln Buckeye AZ 85326 504-58-380 Maricopa Burke Dawn 412 S 228th Ln Buckeye AZ 85326 6 1238 0.12 2005 10/30/2009 10/28/2009 Single Family Residence 40910 N River Bend Ct Anthem AZ 85086 211-86-008 Maricopa John Patterson (623) 551-0462 40910 N River Bend Ct Anthem AZ 85086 6 5.5 4557 0.37 2004 10/30/2009 10/28/2009 Single Family Residence 4025 W Camino Vivaz Glendale AZ 85310 205-14-042 Maricopa Davidcardlin Paglia (303) 834-8668 1364 Monarch Dr Longmont CO 80504 6 1248 0.09 1989 10/30/2009 10/29/2009 Other 3876 E Battala Ave Gilbert AZ 85297 304-59-376 Maricopa John Shufelt 709 Pebble Creek Dr Hewitt TX 76643 4 2.5 2174 0.08 2007 10/30/2009 10/29/2009 Single Family Residence 3844 E Willow Ave Phoenix AZ 85032 166-01-428 Maricopa Thomas Casandra C Murphy (602) 576-8901 3844 E Willow Ave Phoenix AZ 85032 2 1384 0.13 1972 10/30/2009 10/28/2009 Single Family Residence 3844 E Morelos St Gilbert AZ 85295 313-10-086 Maricopa Lance Stephanie Monahan (480) 964-1327 3844 E Morelos St Gilbert AZ 85295 11 3080 0.09 2006 10/30/2009 10/29/2009 Single Family Residence 3833 N 30th St 218 Phoenix AZ 85016 119-01-317 Maricopa Kevanda F Alexander 3833 N 30th St Unit 218 Phoenix AZ 85016 3 780 0.02 2007 10/30/2009 10/29/2009 Condominium 3828 N 30th St Phoenix AZ 85016 119-02-191 Maricopa Rosas Erendira 3828 N 30th St Phoenix AZ 85016 1.75 1408 0.04 1966 10/30/2009 10/29/2009 Condominium 38198 N 109th St Scottsdale AZ 85262 219-60-330 Maricopa Daniel R Clock 38198 N 109th St Scottsdale AZ 85262 0.72 10/30/2009 10/29/2009 Single Family Residence 3812 W Encanto Blvd Phoenix AZ 85009 108-13-005 Maricopa Victoriano V Uriarte 3812 W Encanto Blvd Phoenix AZ 85009 1 960 0.12 1955 10/30/2009 10/29/2009 Single Family Residence 3810 N Maryvale Pkwy 1033 hoenix P AZ 85031 103-08-039-a Maricopa Act Investments Llc 3810 N Maryvale Pkwy Unit 1033 Phoenix AZ 85031 2 936 0.02 1983 10/30/2009 10/29/2009 Condominium 3744 W Amber Nickole Ct Anthem AZ 85086 203-11-206 Maricopa Darice James Rinehart 3744 W Amber Nickole Ct Anthem AZ 85086 5 3 2199 0.11 2007 10/30/2009 10/29/2009 Single Family Residence 3712 S 104th Ln Tolleson AZ 85353 101-28-140-- Maricopa Brian Herrmann (623) 907-0952 3712 S 104th Ln Tolleson AZ 85353 10 2966 0.13 2006 10/30/2009 10/28/2009 Single Family Residence 3701 E Taro Ln Phoenix AZ 85050 213-14-559 Maricopa Jon Vandenheuvel 3701 E Taro Ln Phoenix AZ 85050 2.5 1454 0.09 1991 10/30/2009 10/29/2009 Single Family Residence 3689 E Fruitvale Ave Gilbert AZ 85297 304-60-790 Maricopa Pfaff Sidsharon 3689 E Fruitvale Ave Gilbert AZ 85297 5 2.5 3221 0.17 2002 10/30/2009 10/29/2009 Other 36648 W Jones Ave Tonopah AZ 85354 506-41-162-f Maricopa Alejandro Martinez 36648 W Jones Ave Tonopah AZ 85354 4.36 1984 10/30/2009 10/29/2009 Mobile Home 3644 N 88th Ln Phoenix AZ 85037 102-24-198 Maricopa Eva Raygoza 3644 N 88th Ln Phoenix AZ 85037 2 1394 0.17 1979 10/30/2009 10/28/2009 Single Family Residence 3628 W Wayne Ln Anthem AZ 85086 203-03-108 Maricopa Justin J Dassele 3628 W Wayne Ln Anthem AZ 85086 11 3190 0.12 2004 10/30/2009 10/29/2009 Single Family Residence 3625 W Vernon Ave Phoenix AZ 85009 108-13-020 Maricopa Acosta Reyes 3625 W Vernon Ave Phoenix AZ 85009 3 960 0.17 1954 10/30/2009 10/29/2009 Single Family Residence 3624 W Palm Ln Phoenix AZ 85009 108-19-134 Maricopa Diaz Luis 3624 W Palm Ln Phoenix AZ 85009 1 945 0.12 1958 10/30/2009 10/28/2009 Single Family Residence 3607 S 123rd Dr Avondale AZ 85323 500-64-033 Maricopa Abel Ramos 3607 S 123rd Dr Avondale AZ 85323 2 1267 0.4 2005 10/30/2009 10/28/2009 Single Family Residence 3602 W Grovers Ave Glendale AZ 85308 207-20-166 Maricopa Daniel Lespron 3602 W Grovers Ave Glendale AZ 85308 2 1190 0.15 1981 10/30/2009 10/29/2009 Single Family Residence 3600 N Hayden Rd 2401 Scottsdale AZ 85251 130-28-486 Maricopa Bb Investment Llc 3600 N Hayden Rd Unit 2401 Scottsdale AZ 85251 3 725 0.01 1979 10/30/2009 10/29/2009 Condominium 3565 W Summit Walk Dr Anthem AZ 85086 203-03-692 Maricopa Wheeler Claytonfelicia (602) 721-2730 3565 W Summit Walk Dr Anthem AZ 85086 10 2663 0.18 2005 10/30/2009 10/29/2009 Single Family Residence 3544 W Mariposa St Phoenix AZ 85019 107-06-006 Maricopa Anacieto Flores (602) 332-9232 3544 W Mariposa St Phoenix AZ 85019 6 1393 0.15 1959 10/30/2009 10/29/2009 Single Family Residence 3524 E Mallory Cir Mesa AZ 85213 141-87-525 Maricopa Karen Slaughter (480) 924-8383 3524 E Mallory Cir Mesa AZ 85213 6 4.5 4736 0.82 2002 10/30/2009 10/29/2009 Other 3521 W Hazelwood St Phoenix AZ 85019 107-07-100 Maricopa Cecilio Navarro (602) 841-1473 3521 W Hazelwood St Phoenix AZ 85019 2 1126 0.13 1958 10/30/2009 10/29/2009 Single Family Residence 3442 W Paradise Dr Phoenix AZ 85029 149-50-065 Maricopa Maxrhodes Palter 3442 W Paradise Dr Phoenix AZ 85029 2 1462 0.14 1961 10/30/2009 10/28/2009 Single Family Residence 3426 W Altadena Ave Phoenix AZ 85029 149-51-027 Maricopa Walberto Desirea Sandoval 3426 W Altadena Ave Phoenix AZ 85029 2 1331 0.12 1961 10/30/2009 10/29/2009 Single Family Residence 3416 E Angela Dr Phoenix AZ 85032 214-01-495 Maricopa Maya J Angeles 3416 E Angela Dr Phoenix AZ 85032 2 1297 0.21 1980 10/30/2009 10/29/2009 Single Family Residence 3343 E Thornton Ave Gilbert AZ 85297 304-60-346 Maricopa Robert Cole 8889 Dewsbury Ave San Diego CA 92126 6 2.5 2918 0.17 2002 10/30/2009 10/29/2009 Single Family Residence 3333 W Hearn Rd Phoenix AZ 85053 207-08-315 Maricopa Troy Blume 3333 W Hearn Rd Phoenix AZ 85053 3 2 1880 0.2 1969 10/30/2009 10/29/2009 Single Family Residence 3333 W Gary Rd Phoenix AZ 85029 149-18-354-- Maricopa David Cohen (602) 548-0133 3333 W Gary Rd Phoenix AZ 85029 2 1750 0.15 1970 10/30/2009 10/29/2009 Single Family Residence 332 W Portland St Phoenix AZ 85003 111-32-056 Maricopa Sherry L Rampy 332 W Portland St Phoenix AZ 85003 9 2906 0.2 1918 10/30/2009 10/29/2009 Other 32811 N 169th Ave Sun City West AZ 85387 503-50-014-a Maricopa Randall Janet Dirks 32811 N 169th Ave Sun City West AZ 85387 1 2404 3.94 1995 10/30/2009 10/28/2009 Single Family Residence 3246 E Briarwood Ter Phoenix AZ 85048 301-79-834 Maricopa Robert H Kim 3604 Mossdale Ave Durham NC 27707 4 3 2162 0.11 1987 10/30/2009 10/29/2009 Single Family Residence Page 6
  • 7.
    Pre-foreclosure List Maricopa County Week Ending 11/2 32011 N 23rd Ave Phoenix AZ 85085 204-12-734 Maricopa Michele L Yeates (623) 215-4067 32011 N 23rd Ave Phoenix AZ 85085 12 2854 0.14 2005 10/30/2009 10/29/2009 Single Family Residence 3135 E Bell Rd Phoenix AZ 85032 214-31-001-b Maricopa Shea Inc 3135 E Bell Rd Phoenix AZ 85032 2 1125 0.13 1954 10/30/2009 10/29/2009 Single Family Residence 3123 W Carson Rd Phoenix AZ 85041 105-91-354 Maricopa Terence Paytee 3123 W Carson Rd Phoenix AZ 85041 6 2040 0.13 2003 10/30/2009 10/27/2009 Single Family Residence 3101 N 79th Dr Phoenix AZ 85033 102-70-068 Maricopa Lydia E Centeno 3101 N 79th Dr Phoenix AZ 85033 2 1310 0.18 1963 10/30/2009 10/29/2009 Single Family Residence 3010 W Salter Dr Phoenix AZ 85027 206-41-040 Maricopa Christina C Walsh 38751 Via Las Flores Murrieta CA 92563 2 1324 0.09 1997 10/30/2009 10/29/2009 Single Family Residence 2940 N Oregon St 7 Chandler AZ 85225 302-91-716 Maricopa Forte Bmelissa 2940 N Oregon St Unit 7 Chandler AZ 85225 1.75 1019 0.02 1986 10/30/2009 10/28/2009 Condominium 2929 W Yorkshire Dr 2111 Phoenix AZ 85027 206-09-235 Maricopa Barry Harris 2929 W Yorkshire Dr Unit 2111 Phoenix AZ 85027 6 1019 0.02 1999 10/30/2009 10/29/2009 Condominium 2927 N 28th Pl Phoenix AZ 85016 119-11-124 Maricopa John F Turtchin 15457 N 38th Way Phoenix AZ 85032 8 1254 0.06 2004 10/30/2009 10/29/2009 Other 2851 E Anika Dr Gilbert AZ 85298 304-77-366 Maricopa Jackie Hunter 2851 E Anika Dr Gilbert AZ 85298 4 3 2172 0.13 2007 10/30/2009 10/29/2009 Single Family Residence 2838 S 89th Dr Tolleson AZ 85353 101-56-470 Maricopa Marco Gonzalez 2838 S 89th Dr Tolleson AZ 85353 10 2424 0.11 2006 10/30/2009 10/28/2009 Single Family Residence 2825 E Isabella Ave Mesa AZ 85204 140-64-283 Maricopa Heather Frampton (480) 628-9612 2825 E Isabella Ave Mesa AZ 85204 2 2 910 0.09 1984 10/30/2009 10/29/2009 Condominium 2754 E Holmes Ave Mesa AZ 85204 140-60-386 Maricopa Trevor Johnson 2754 E Holmes Ave Mesa AZ 85204 2 1038 0.15 1981 10/30/2009 10/28/2009 Single Family Residence 27405 N Covered Wagon Rd Phoenix AZ 85085 210-20-150 Maricopa Mariposa Investments 27405 N Covered Wagon Rd Phoenix AZ 85085 14 4177 0.23 2006 10/30/2009 10/29/2009 Single Family Residence 2738 E Villa Maria Dr Phoenix AZ 85032 214-06-366 Maricopa Alma Y Grady 2738 E Villa Maria Dr Phoenix AZ 85032 2 1629 0.14 1983 10/30/2009 10/29/2009 Single Family Residence 2736 E Taurus Pl Chandler AZ 85249 303-55-087 Maricopa Laurie Urlacher 3430 S Camellia Pl Chandler AZ 85248 5.5 5259 0.77 2001 10/30/2009 10/29/2009 Single Family Residence 2721 E Willetta St Phoenix AZ 85008 121-77-044-a Maricopa Shirley Gelfand 2721 E Willetta St Phoenix AZ 85008 1 1870 0.16 1925 10/30/2009 10/29/2009 Single Family Residence 26750 N 90th Dr Peoria AZ 85383 201-39-479 Maricopa Eric Benefield (623) 825-2582 8519 W Avenida Del Sol Peoria AZ 85383 17 4903 0.3 2005 10/30/2009 10/29/2009 Other 2623 S 79th Dr Phoenix AZ 85043 104-33-320 Maricopa Silva Jane 2623 S 79th Dr Phoenix AZ 85043 4 2166 0.12 2000 10/30/2009 10/29/2009 Single Family Residence 26120 N 9th Ave Phoenix AZ 85085 210-12-008-c Maricopa Robert Brenda Christmas (623) 492-9713 19451 N 21st Dr Phoenix AZ 85027 13 3369 1.11 2003 10/30/2009 10/29/2009 Single Family Residence 2603 N Pennington Dr Chandler AZ 85224 302-25-898 Maricopa Warlock Management Llc 2603 N Pennington Dr Chandler AZ 85224 3 2 1432 0.18 1983 10/30/2009 10/29/2009 Other 25634 W Burgess Ln Buckeye AZ 85326 504-57-461 Maricopa Michael S Elson 25634 W Burgess Ln Buckeye AZ 85326 7 1852 0.14 2006 10/30/2009 10/28/2009 Single Family Residence 2546 W Roeser Rd Phoenix AZ 85041 105-65-486 Maricopa Robert Hill (602) 305-8842 2546 W Roeser Rd Phoenix AZ 85041 6 1327 0.1 2004 10/30/2009 10/29/2009 Single Family Residence 2533 W Brilliant Sky Dr Phoenix AZ 85085 204-01-359 Maricopa Todd Brussel (623) 444-8999 2533 W Brilliant Sky Dr Phoenix AZ 85085 3 2 1518 0.1 2004 10/30/2009 10/29/2009 Single Family Residence 2532 E Tierra Buena Ln Phoenix AZ 85032 214-40-112 Maricopa Staretta Pugh 2532 E Tierra Buena Ln Phoenix AZ 85032 0.16 1974 10/30/2009 10/29/2009 Mobile Home 2530 W Blue Sky Dr Phoenix AZ 85085 210-03-575 Maricopa Karen Mcfarland (623) 444-9803 2530 W Blue Sky Dr Phoenix AZ 85085 9 1982 0.15 2004 10/30/2009 10/28/2009 Single Family Residence 2517 N Mitchell St Phoenix AZ 85006 117-27-109-c Maricopa Sam Baar IV 2517 N Mitchell St Phoenix AZ 85006 2 1132 0.17 1900 10/30/2009 10/29/2009 Single Family Residence 2507 W Whitman Dr Anthem AZ 85086 203-40-160 Maricopa Richard Lelah F Kaufman (602) 358-7119 1043 E Lois Ln Phoenix AZ 85020 7 1432 0.17 2003 10/30/2009 10/29/2009 Single Family Residence 2436 W Caribbean Ln 5 Phoenix AZ 85023 208-15-908 Maricopa Larry Carol Mckenzie 2436 W Caribbean Ln Unit 5 Phoenix AZ 85023 6 1296 0.05 1979 10/30/2009 10/29/2009 Other 24119 N 116th Wy Scottsdale AZ 85255 217-55-284 Maricopa Robert Suchowian (480) 563-2305 24119 N 116th Way Scottsdale AZ 85255 11 3305 0.25 2001 10/30/2009 10/29/2009 Single Family Residence 2401 E Rio Salado Pkwy 1209 Tempe AZ 85281 135-41-100 Maricopa Charles Haas Jr 2675 Windmill Pkwy Unit 211 Henderson NV 89074 8 1100 0.01 2007 10/30/2009 10/29/2009 Condominium 2323 N 27th Ave Phoenix AZ 85009 110-48-004-d Maricopa Mahoney Llpetal 2323 N 27th Ave Phoenix AZ 85009 2.52 10/30/2009 10/29/2009 Other 2314 W Beverly Rd Phoenix AZ 85041 300-17-308 Maricopa Johnkane Gamble 2314 W Beverly Rd Phoenix AZ 85041 8 2032 0.14 2007 10/30/2009 10/29/2009 Single Family Residence 22639 S 212th St Chandler HeightsAZ 85242 304-65-640 Maricopa Michael Sloboda 22639 S 212th St Chandler Heights AZ 85142 5 3 2883 0.11 2004 10/30/2009 10/29/2009 Single Family Residence 2244 W Cambridge Ave Phoenix AZ 85009 110-43-099 Maricopa Patrick Deborah Fishell 2244 W Cambridge Ave Phoenix AZ 85009 2 1118 0.16 1954 10/30/2009 10/29/2009 Single Family Residence 22376 N 77th Wy Scottsdale AZ 85255 212-02-644 Maricopa Daniel Harlan (480) 473-4742 22376 N 77th Way Scottsdale AZ 85255 13 3616 0.48 2003 10/30/2009 10/28/2009 Single Family Residence 2237 W Glenrosa Ave Phoenix AZ 85015 154-29-012-c Maricopa Tim Ho 2237 W Glenrosa Ave Phoenix AZ 85015 3286 0.28 1954 10/30/2009 10/28/2009 Multi-unit 22024 N 35th Dr Glendale AZ 85310 206-21-125 Maricopa Marek Romana Kliczek (623) 581-9287 22024 N 35th Dr Glendale AZ 85310 2 1480 0.11 1997 10/30/2009 10/29/2009 Single Family Residence 2150 E Bell Rd 1144 Phoenix AZ 85022 214-08-457 Maricopa Heather Wilt 2150 E Bell Rd Unit 1144 Phoenix AZ 85022 8 1468 0.03 2005 10/30/2009 10/29/2009 Condominium 2134 E Jerome Ave Mesa AZ 85204 140-62-228 Maricopa Alberto L Lopez 2134 E Jerome Ave Mesa AZ 85204 2 1188 0.15 1979 10/30/2009 10/29/2009 Single Family Residence 20224 N 27th Ave Phoenix AZ 85027 206-08-377-- Maricopa Reynaldo Sara Ruiz (602) 571-7713 20224 N 27th Ave Phoenix AZ 85027 1 1225 0.12 1959 10/30/2009 10/29/2009 Single Family Residence 202 N 65th St Mesa AZ 85205 141-60-072 Maricopa Jose M Garcia 202 N 65th St Mesa AZ 85205 3 1212 0.36 1952 10/30/2009 10/29/2009 Single Family Residence 2001 W Chipman Rd Phoenix AZ 85041 105-65-144 Maricopa Trust Acw 2001 W Chipman Rd Phoenix AZ 85041 2 1365 0.13 1973 10/30/2009 10/29/2009 Single Family Residence 1939 E Jasper Dr Chandler AZ 85225 302-37-349 Maricopa Richard Martinez (480) 539-8759 1939 E Jasper Dr Chandler AZ 85225 3.5 2166 0.17 1988 10/30/2009 10/29/2009 Single Family Residence 19227 N 89th Dr Peoria AZ 85382 200-31-521 Maricopa Austin Rosemary (623) 825-6334 19227 N 89th Dr Peoria AZ 85382 3 2 1574 0.14 1991 10/30/2009 10/29/2009 Single Family Residence 18430 E Sparrow Dr Chandler HeightsAZ 85242 304-61-357 Maricopa Zennie Lynch (678) 759-1167 429 Aviemore Loop Mcdonough GA 30253 6 3.5 4082 6.1 2004 10/30/2009 10/29/2009 Single Family Residence 18402 N 14th St Phoenix AZ 85022 214-11-825 Maricopa Glen Forthun (602) 418-6293 18402 N 14th St Phoenix AZ 85022 5 4368 0.17 2000 10/30/2009 10/29/2009 Single Family Residence 172 E Bonita Wy Tempe AZ 85281 133-16-063 Maricopa Robert Buller 172 E Bonita Way Tempe AZ 85281 2 1270 0.21 1957 10/30/2009 10/29/2009 Single Family Residence 16959 W Hammond St Goodyear AZ 85338 500-97-406 Maricopa Judy Brillantes 15878 W Melvin St Goodyear AZ 85338 4 3 2691 0.14 2007 10/30/2009 10/29/2009 Single Family Residence 16924 W Dale Ln Surprise AZ 85387 503-51-130-g Maricopa David W Smith 16924 W Dale Ln Surprise AZ 85387 2 1690 4.36 1995 10/30/2009 10/29/2009 Single Family Residence 16668 W Moreland St Goodyear AZ 85338 500-89-318 Maricopa Ruben Maria Nunez (623) 925-8377 16668 W Moreland St Goodyear AZ 85338 3.5 2232 0.1 2001 10/30/2009 10/29/2009 Single Family Residence 16604 N 113th Dr Sun City AZ 85351 200-57-670 Maricopa Fisher Michelle 16604 N 113th Dr Sun City AZ 85374 4 2 1571 0.12 2001 10/30/2009 10/29/2009 Other 16536 E Jacklin Dr Fountain Hills AZ 85268 176-07-078 Maricopa Philip Wurth (480) 686-9060 16536 E Jacklin Dr Fountain Hills AZ 85268 3 4 3757 1.03 1979 10/30/2009 10/29/2009 Single Family Residence 16431 N 35th Dr Phoenix AZ 85053 207-16-172 Maricopa Robert Sandy A Opperman 16431 N 35th Dr Phoenix AZ 85053 2 1886 0.23 1984 10/30/2009 10/29/2009 Single Family Residence 16388 W Roosevelt St Goodyear AZ 85338 500-91-383 Maricopa Robert Jackson 16388 W Roosevelt St Goodyear AZ 85338 9 2470 0.19 2004 10/30/2009 10/29/2009 Single Family Residence 1626 E Villa Theresa Dr Phoenix AZ 85022 214-10-342 Maricopa Shirley W Prouty 1626 E Villa Theresa Dr Phoenix AZ 85022 3 1846 0.1 1992 10/30/2009 10/29/2009 Single Family Residence 16118 N 168th Ln Sun City AZ 85388 501-12-578 Maricopa Samica Bordas (623) 374-2265 16118 N 168th Ln Surprise AZ 85388 7 1914 0.11 2005 10/30/2009 10/29/2009 Single Family Residence 16023 N 15th Pl Phoenix AZ 85022 214-18-069 Maricopa Karen Gieber 16023 N 15th Pl Phoenix AZ 85022 3 2 1312 0.16 1985 10/30/2009 10/29/2009 Single Family Residence Page 7
  • 8.
    Pre-foreclosure List Maricopa County Week Ending 11/2 15650 N 19th Ave N1a Phoenix AZ 85023 208-35-001-b Maricopa Victoria L Landis 15650 N 19th Ave N1a Phoenix AZ 85023 3.5 1340 0.02 1986 10/30/2009 10/29/2009 Condominium 1547 E Glacier Pl Chandler AZ 85249 303-91-210 Maricopa Dennis Kathleen J Marion (480) 892-1785 1547 E Glacier Pl Chandler AZ 85249 14 4315 0.19 2004 10/30/2009 10/29/2009 Single Family Residence 15454 W Evans Dr Sun City AZ 85379 501-95-497 Maricopa Juan C Fuentes 15454 W Evans Dr Sun City AZ 85379 2.75 1747 0.25 2002 10/30/2009 10/29/2009 Single Family Residence 1530 W St Anne Ave Phoenix AZ 85041 105-84-213 Maricopa Pedro Ximena B Delgado (602) 276-8837 1530 W Saint Anne Ave Phoenix AZ 85041 2.75 2012 0.14 2002 10/30/2009 10/29/2009 Single Family Residence 15230 N 162nd Ln Sun City AZ 85379 501-97-099 Maricopa Earl Bolton 15230 N 162nd Ln Sun City AZ 85379 2.5 1767 0.11 2002 10/30/2009 10/29/2009 Single Family Residence 1523 S Jacana Ln Gilbert AZ 85296 304-29-344 Maricopa Tsi Opportunities Llc 1523 S Jacana Ln Gilbert AZ 85296 3 2.5 1471 0.06 2003 10/30/2009 10/29/2009 Single Family Residence 1505 S 115th Dr Avondale AZ 85323 500-30-397 Maricopa Derek Maria Turkmen (623) 478-2803 1505 S 115th Dr Avondale AZ 85323 4 2 1701 0.15 2005 10/30/2009 10/29/2009 Single Family Residence 1502 N 66th Pl Mesa AZ 85205 141-64-107 Maricopa Brianne Hurst (480) 518-1309 1502 N 66th Pl Mesa AZ 85205 2 1588 0.35 1960 10/30/2009 10/29/2009 Single Family Residence 15016 N 40th Ln Phoenix AZ 85053 207-13-085 Maricopa Deena Morton (602) 938-1044 15016 N 40th Ln Phoenix AZ 85053 2 1852 0.77 1971 10/30/2009 10/28/2009 Single Family Residence 15000 N 88th Ave Peoria AZ 85381 200-61-608 Maricopa Neal Goldblatt 15000 N 88th Ave Peoria AZ 85381 2.75 1874 0.24 1998 10/30/2009 10/29/2009 Single Family Residence 1480 S Boulder St F Gilbert AZ 85296 309-17-598 Maricopa Ashley Cracraft 1480 S Boulder St Unit F Gilbert AZ 85296 9 1514 0.07 1998 10/30/2009 10/29/2009 Other 14766 W Charter Oak Rd Sun City AZ 85379 501-39-551 Maricopa George Cortez (623) 680-1338 9602 W Bajada Rd Peoria AZ 85383 7 1670 0.11 2003 10/30/2009 10/29/2009 Single Family Residence 14728 W Redfield Rd Sun City AZ 85379 509-02-503 Maricopa Stephen Taylor (623) 215-2103 1920 Sioux Glendale AZ 85307 2.5 1603 0.11 2002 10/30/2009 10/29/2009 Single Family Residence 14675 N 90th Ln Peoria AZ 85381 200-61-731 Maricopa Kenneth Fowler 14675 N 90th Ln Peoria AZ 85381 3 2 1467 0.11 1992 10/30/2009 10/29/2009 Single Family Residence 14338 W Cholla St Sun City AZ 85379 509-15-490 Maricopa Erika Mitchell 14338 W Cholla St Sun City AZ 85379 12 4242 0.19 2006 10/30/2009 10/29/2009 Single Family Residence 1433 E Charleston Ave Phoenix AZ 85022 214-11-674 Maricopa Jakov Angela Abramov (602) 754-4514 1433 E Charleston Ave Phoenix AZ 85022 12 2076 0.14 1999 10/30/2009 10/29/2009 Single Family Residence 14215 N 30th St Phoenix AZ 85032 214-55-230 Maricopa Mohammad Falsafi (602) 765-1304 14215 N 30th St Phoenix AZ 85032 4 2.5 2330 0.25 1987 10/30/2009 10/29/2009 Single Family Residence 14208 W Poinsettia Dr Sun City AZ 85379 501-96-804 Maricopa John M Bergher 14208 W Poinsettia Dr Sun City AZ 85379 5 4.5 4119 0.2 2005 10/30/2009 10/29/2009 Single Family Residence 1416 W San Pedro St Gilbert AZ 85233 302-12-422 Maricopa Llc S&l 1416 W San Pedro St Gilbert AZ 85233 1.31 10/30/2009 10/29/2009 Other 141 S Mesquite St Wickenburg AZ 85390 505-51-058 Maricopa Jamie C Richards 141 S Mesquite St Wickenburg AZ 85390 6 2551 0.27 1955 10/30/2009 10/28/2009 Single Family Residence 14027 E Williams Field Rd Gilbert AZ 85295 304-44-008 Maricopa Huynh Tram 14027 E Williams Field Rd Gilbert AZ 85295 6 4 4335 0.89 1984 10/30/2009 10/29/2009 Single Family Residence 14002 N 49th Ave 1133 Glendale AZ 85306 207-33-562 Maricopa Jill Graham 17407 W Banff Ln Surprise AZ 85388 2 864 0.02 1986 10/30/2009 10/29/2009 Condominium 13459 W Post Dr Sun City AZ 85374 501-91-145 Maricopa Smith Allison 13459 W Post Dr Sun City AZ 85374 2 1205 0.11 2000 10/30/2009 10/29/2009 Single Family Residence 13423 S Hermit Rd Buckeye AZ 85326 400-76-226-b Maricopa Katherine Bates (623) 327-3809 13423 S Hermit Rd Buckeye AZ 85326 2 1184 0.81 1992 10/30/2009 10/29/2009 Single Family Residence 13212 N 7th Dr Phoenix AZ 85029 159-03-022 Maricopa Alvaro Castillo 13212 N 7th Dr Phoenix AZ 85029 2.75 2683 0.24 1974 10/30/2009 10/29/2009 Single Family Residence 13141 W Clarendon Ave Litchfield Park AZ 85340 508-02-138 Maricopa George Ramos 13141 W Clarendon Ave Litchfield Park AZ 85340 6 1702 0.13 2004 10/30/2009 10/28/2009 Single Family Residence 1308 E Northshore Dr Guadalupe AZ 85283 301-02-268 Maricopa Eric A Ganz 280 S Evergreen Rd Unit 1311 Tempe AZ 85281 3.5 2895 0.15 1972 10/30/2009 10/28/2009 Single Family Residence 13053 W Scotts Dr El Mirage AZ 85335 509-09-163 Maricopa Johnsmith Acedo 13053 W Scotts Dr El Mirage AZ 85335 3 2255 0.2 2002 10/30/2009 10/29/2009 Single Family Residence 13031 N 36th Dr Phoenix AZ 85029 149-25-381 Maricopa David W Shoop (602) 595-6477 13031 N 36th Dr Phoenix AZ 85029 2 1550 0.21 1981 10/30/2009 10/28/2009 Single Family Residence 12922 W Georgia Ave Litchfield Park AZ 85340 501-63-187 Maricopa Kenny Revocable (623) 536-7887 12922 W Georgia Ave Litchfield Park AZ 85340 10 3060 0.56 2005 10/30/2009 10/29/2009 Single Family Residence 12915 W Limewood Dr Sun City AZ 85375 232-07-181 Maricopa Vic C Seymour 12915 W Limewood Dr Sun City AZ 85375 2 2094 0.19 1979 10/30/2009 10/29/2009 Single Family Residence 1285 N 166th Dr Goodyear AZ 85338 500-91-012 Maricopa April G Leher 1285 N 166th Dr Goodyear AZ 85338 4 2.5 2232 0.1 2003 10/30/2009 10/29/2009 Other 12845 W Illini St Avondale AZ 85323 500-63-010-k Maricopa Castro Luz 12845 W Illini St Avondale AZ 85323 1 1175 0.25 2006 10/30/2009 10/29/2009 Single Family Residence 12830 W Campbell Ave Litchfield Park AZ 85340 508-07-359 Maricopa Zia Yjaneet 12830 W Campbell Ave Litchfield Park AZ 85340 3 2047 0.15 2002 10/30/2009 10/29/2009 Single Family Residence 12707 Ballad Dr Sun City AZ 85375 232-09-346-a Maricopa Joanne M Feiter 12707 W Ballad Dr Sun City AZ 85375 2 1 1419 0.01 1983 10/30/2009 10/29/2009 Single Family Residence 12512 W Adams St Avondale AZ 85323 500-29-450 Maricopa Jonathan M Olive 12512 W Adams St Avondale AZ 85323 2.75 2112 0.11 2001 10/30/2009 10/29/2009 Single Family Residence 1250 S Rialto St 74 Mesa AZ 85209 220-86-271 Maricopa Eccles Kenneth 1250 S Rialto Unit 74 Mesa AZ 85209 7 1227 0.01 2005 10/30/2009 10/29/2009 Condominium 1232 N 85th Pl Scottsdale AZ 85257 131-06-675-a Maricopa Layla P Suleiman 1232 N 85th Pl Scottsdale AZ 85257 1 936 89 1984 10/30/2009 10/29/2009 Condominium 12314 W Pershing St El Mirage AZ 85335 509-08-345 Maricopa Stephanie Myers 12314 W Pershing St El Mirage AZ 85335 2 1430 0.15 2002 10/30/2009 10/28/2009 Single Family Residence 11818 S 194th Dr Buckeye AZ 85326 400-52-074 Maricopa Matthew Kirker (623) 547-0428 11818 S 194th Dr Buckeye AZ 85326 4 2 1815 1.24 1971 10/30/2009 10/29/2009 Single Family Residence 11754 W Acapulco Ln El Mirage AZ 85335 501-25-453 Maricopa Ralph D Cronin 11754 W Acapulco Ln El Mirage AZ 85335 9 1978 0.12 2006 10/30/2009 10/28/2009 Single Family Residence 11617 N 40th Ave Phoenix AZ 85029 149-33-654 Maricopa Johnrae Rakes 11617 N 40th Ave Phoenix AZ 85029 2.5 1346 0.16 1978 10/30/2009 10/29/2009 Single Family Residence 1150 E Browning Pl Chandler AZ 85286 303-29-524 Maricopa Jeremy Reeder 1150 E Browning Pl Chandler AZ 85286 3 2428 0.2 2002 10/30/2009 10/29/2009 Single Family Residence 11450 N 66th Dr Glendale AZ 85304 143-04-188 Maricopa Timothy Spalla (623) 910-2014 11450 N 66th Dr Glendale AZ 85304 2.5 2034 0.17 1984 10/30/2009 10/28/2009 Single Family Residence 11218 E Stearn Ave Mesa AZ 85212 312-14-691 Maricopa Todd Mindy Terry 11218 E Stearn Ave Mesa AZ 85212 14 3937 0.19 2006 10/30/2009 10/29/2009 Single Family Residence 1113 E Apache St Phoenix AZ 85034 115-46-168-a Maricopa Ernesto Lourdes Alcaraz 1113 E Apache St Phoenix AZ 85034 1248 0.2 1946 10/30/2009 10/29/2009 Duplex 11124 N 138th Wy Scottsdale AZ 85259 217-30-168 Maricopa Karen Clague 10830 E San Salvador Dr Scottsdale AZ 85259 5 4 3705 0.17 1996 10/30/2009 10/29/2009 Other 11082 E Sahuaro Dr Scottsdale AZ 85259 217-27-637 Maricopa Clarke Marygrace (480) 860-8967 11082 E Sahuaro Dr Scottsdale AZ 85259 8 1699 0.14 1983 10/30/2009 10/29/2009 Single Family Residence 11004 E Karen Dr Scottsdale AZ 85255 217-61-802 Maricopa Christ Agnos 11004 E Karen Dr Scottsdale AZ 85255 3.75 3194 0.23 1999 10/30/2009 10/29/2009 Single Family Residence 10975 E Santa Fe Tr Scottsdale AZ 85262 219-56-638 Maricopa White Payne 10975 E Santa Fe Trl Scottsdale AZ 85262 11 3202 1.1 1998 10/30/2009 10/29/2009 Single Family Residence 10917 E Addy Wy Scottsdale AZ 85262 219-60-802 Maricopa Bryan Suzanne Brescia 10917 E Addy Way Scottsdale AZ 85262 17 5320 0.66 2006 10/30/2009 10/29/2009 Single Family Residence 10913 E Cholla Rd Mesa AZ 85207 220-09-026 Maricopa Matthew J Storey 10913 E Cholla Rd Mesa AZ 85207 2.5 1622 0.13 1999 10/30/2009 10/29/2009 Single Family Residence 10873 W Locust Ln Avondale AZ 85353 101-20-591 Maricopa Katarzyna Kulikowski 10873 W Locust Ln Avondale AZ 85323 8 1739 0.14 2003 10/30/2009 10/29/2009 Single Family Residence 10836 N 41st Ave Phoenix AZ 85029 149-34-472 Maricopa Jedbrown Okason 10836 N 41st Ave Phoenix AZ 85029 2 1570 0.13 1978 10/30/2009 10/29/2009 Single Family Residence 10820 N 64th Ln Glendale AZ 85304 143-03-439 Maricopa Charles Christy Brady 10820 N 64th Ln Glendale AZ 85304 2.75 1570 0.1 1985 10/30/2009 10/29/2009 Single Family Residence 10713 W Palmeras Dr Sun City AZ 85373 230-05-070 Maricopa Louis G Scheffer 10713 W Palmeras Dr Sun City AZ 85373 2 1661 0.19 1974 10/30/2009 10/29/2009 Single Family Residence 10583 N 115th Dr Youngtown AZ 85363 509-18-663 Maricopa Ezekial Linn (623) 444-7343 10583 N 115th Dr Youngtown AZ 85363 3 2 1424 0.11 2005 10/30/2009 10/29/2009 Single Family Residence Page 8
  • 9.
    Pre-foreclosure List Maricopa County Week Ending 11/2 10509 E Abilene Ave Mesa AZ 85208 220-53-089 Maricopa Gregory Theo Shearer 10509 E Abilene Ave Mesa AZ 85208 2 1934 0.11 1999 10/30/2009 10/29/2009 Single Family Residence 10234 N 37th Ave Phoenix AZ 85051 149-36-091 Maricopa Reyes Mendoza (602) 862-0419 10234 N 37th Ave Phoenix AZ 85051 2 1332 0.16 1969 10/30/2009 10/28/2009 Single Family Residence 9713 W Florence Ave Tolleson AZ 85353 101-26-268 Maricopa Ramirez Imelda 9713 W Florence Ave Tolleson AZ 85353 6 1766 0.12 2003 10/29/2009 10/28/2009 Single Family Residence 9433 W Williams St Tolleson AZ 85353 101-27-670 Maricopa George Herrera 9433 W Williams St Tolleson AZ 85353 11 2166 0.09 2005 10/29/2009 10/28/2009 Single Family Residence 9432 W San Miguel Ave Glendale AZ 85305 102-13-063 Maricopa Lisa C Brinson 9432 W San Miguel Ave Glendale AZ 85305 2 1612 0.87 1977 10/29/2009 10/28/2009 Single Family Residence 9306 W Bonitos Rd Phoenix AZ 85037 102-34-180 Maricopa Garcia Cecilia 9306 W Bonitos Rd Phoenix AZ 85037 11 3050 0.16 2004 10/29/2009 10/28/2009 Single Family Residence 924 S Nevada Wy Mesa AZ 85204 139-17-102 Maricopa Barbara A Wood 924 S Nevada Way Mesa AZ 85204 2 1552 0.13 1978 10/29/2009 10/27/2009 Single Family Residence 9229 S 45th Pl Phoenix AZ 85044 307-01-352 Maricopa Debra Gordon (520) 808-7122 9229 S 45th Pl Phoenix AZ 85044 3 2.5 1728 0.09 1986 10/29/2009 10/28/2009 Single Family Residence 9122 W Virginia Ave Phoenix AZ 85037 102-34-551 Maricopa Angela Robertson 9122 W Virginia Ave Phoenix AZ 85037 6 1615 0.13 2004 10/29/2009 10/28/2009 Single Family Residence 8734 N Avenida Del Sol Paradise Valley AZ 85253 168-44-011 Maricopa Land Maricopa Llc 8734 N Avenida Del Sol Paradise Valley AZ 85253 11 3374 0.89 1975 10/29/2009 10/28/2009 Other 8668 W Earll Dr Phoenix AZ 85037 102-73-408 Maricopa David Bishop 8668 W Earll Dr Phoenix AZ 85037 1 894 0.17 1974 10/29/2009 10/28/2009 Single Family Residence 8633 N 51st Dr Glendale AZ 85302 148-20-438 Maricopa Terah L Kerns 8633 N 51st Dr Glendale AZ 85302 2.5 1284 0.16 1986 10/29/2009 10/28/2009 Single Family Residence 8619 E Meseto Ave Mesa AZ 85209 312-03-509 Maricopa Aris Ciriaco 8619 E Meseto Ave Mesa AZ 85209 2.75 1523 0.12 2001 10/29/2009 10/28/2009 Single Family Residence 8547 E Neville Ave Mesa AZ 85209 312-03-124 Maricopa Joseph Mitzi Papa (480) 214-3753 8547 E Neville Ave Mesa AZ 85209 3 2122 0.14 2000 10/29/2009 10/28/2009 Single Family Residence 8428 W Mackenzie Dr Phoenix AZ 85037 102-19-100 Maricopa Paul B Dominguez (623) 444-9991 8428 W Mackenzie Dr Phoenix AZ 85037 2 1148 0.12 1971 10/29/2009 10/28/2009 Single Family Residence 8380 N 90th Ln Peoria AZ 85345 142-32-270 Maricopa Nicholas C Stolp 8380 N 90th Ln Peoria AZ 85345 2 1382 0.23 1983 10/29/2009 10/28/2009 Single Family Residence 8344 E Sands Dr Scottsdale AZ 85255 212-01-426 Maricopa Victoria Inc 8344 E Sands Dr Scottsdale AZ 85255 3 3.5 3570 0.35 1998 10/29/2009 10/28/2009 Single Family Residence 8343 E Earll Dr Scottsdale AZ 85251 130-35-012 Maricopa Michael Michelle Quinlan (480) 874-4234 8343 E Earll Dr Scottsdale AZ 85251 2 1480 0.14 1960 10/29/2009 10/28/2009 Single Family Residence 8334 W Rose Ln Glendale AZ 85305 102-04-503 Maricopa Stephen Jennifer Azodeh 8334 W Rose Ln Glendale AZ 85305 4 2 2190 0.17 1999 10/29/2009 10/28/2009 Single Family Residence 8324 W Griffin Ave Glendale AZ 85305 102-04-440 Maricopa Aida A Trillas 8324 W Griffin Ave Glendale AZ 85305 7 1700 0.16 2003 10/29/2009 10/28/2009 Single Family Residence 8319 E Mcdonald Dr Scottsdale AZ 85250 173-02-433 Maricopa Rawls Ivcarrie 8319 E Mcdonald Dr Scottsdale AZ 85250 2 1633 0.05 1979 10/29/2009 10/27/2009 Condominium 8307 W Cantera Peoria AZ 85383 200-08-463 Maricopa Burns Rene (623) 326-0178 8307 W Cantera Peoria AZ 85383 14 4767 0.4 2004 10/29/2009 10/28/2009 Single Family Residence 8218 W Melinda Ln Peoria AZ 85382 200-18-598 Maricopa Shawn D Powell 12916 W La Vina Dr Sun City West AZ 85375 3.75 2465 0.13 1999 10/29/2009 10/28/2009 Single Family Residence 8120 N Hayden Rd Scottsdale AZ 85258 174-04-998-b Maricopa Mef Realty Llc 8120 N Hayden Rd Scottsdale AZ 85258 10.35 10/29/2009 10/28/2009 Other 8102 W Minnezona Ave Phoenix AZ 85033 102-79-771 Maricopa Gerardo Sandoval 8102 W Minnezona Ave Phoenix AZ 85033 1 840 0.12 1980 10/29/2009 10/28/2009 Single Family Residence 8012 N 88th Ln Peoria AZ 85345 142-32-581 Maricopa Joseph Ancona 8012 N 88th Ln Peoria AZ 85345 2 1508 0.24 2000 10/29/2009 10/28/2009 Single Family Residence 7927 E 3rd Ave Mesa AZ 85208 218-33-005-b Maricopa Margaret Sullins (480) 415-1853 7927 E 3rd Ave Mesa AZ 85208 4 2.75 1998 0.18 1995 10/29/2009 10/28/2009 Mobile Home 7725 W Northview Ave Glendale AZ 85303 142-26-379 Maricopa Sharin S Clairmont (269) 792-9579 2968 8th St Shelbyville MI 49344 7 1855 0.14 2003 10/29/2009 10/28/2009 Single Family Residence 7607 W Flower St Phoenix AZ 85033 102-22-096 Maricopa Cirilo Maria Mendoza (623) 330-8594 7607 W Flower St Phoenix AZ 85033 2 1824 0.14 1975 10/29/2009 10/28/2009 Single Family Residence 7545 W Pershing Ave Peoria AZ 85381 231-10-058 Maricopa Ronald G Grenier 7545 W Pershing Ave Peoria AZ 85381 2.5 1542 0.16 1985 10/29/2009 10/28/2009 Single Family Residence 7480 E Camino Santo Scottsdale AZ 85260 175-04-063 Maricopa Maria Igna (480) 361-1771 7480 E Camino Santo Scottsdale AZ 85260 2.5 3125 0.7 1981 10/29/2009 10/28/2009 Single Family Residence 7384 S 253rd Ave Buckeye AZ 85326 504-41-186 Maricopa Evelyn L Ayala 25541 W Winslow Ave Buckeye AZ 85326 8 2079 0.16 2008 10/29/2009 10/28/2009 Single Family Residence 7351 W Coronado Rd Phoenix AZ 85035 102-39-523 Maricopa Rene Santiago 7351 W Coronado Rd Phoenix AZ 85035 6 1240 0.14 1974 10/29/2009 10/28/2009 Single Family Residence 7334 E Evening Glow Dr Scottsdale AZ 85266 216-48-703 Maricopa Maria Igna 7334 E Evening Glow Dr Scottsdale AZ 85266 2.75 2060 0.12 1999 10/29/2009 10/28/2009 Single Family Residence 7156 W Marlette Ave Glendale AZ 85303 144-03-374 Maricopa Manuel J Nunez 7156 W Marlette Ave Glendale AZ 85303 7 1756 0.13 2003 10/29/2009 10/27/2009 Single Family Residence 7147 W Coronado Rd Phoenix AZ 85035 102-39-806 Maricopa Tomas Magdalena Garcia 7147 W Coronado Rd Phoenix AZ 85035 1 1200 0.14 1975 10/29/2009 10/28/2009 Single Family Residence 7072 E Thirsty Cactus Ln Scottsdale AZ 85266 216-50-443 Maricopa Moore Ann (480) 200-0885 7072 E Thirsty Cactus Ln Scottsdale AZ 85266 10 2358 0.18 1995 10/29/2009 10/28/2009 Single Family Residence 7020 W Oregon Ave Glendale AZ 85303 144-24-375 Maricopa Castillo Daniel 7020 W Oregon Ave Glendale AZ 85303 2 1849 0.22 1978 10/29/2009 10/27/2009 Single Family Residence 6958 W Brown St Peoria AZ 85345 143-09-187 Maricopa Charles Ludwig 6958 W Brown St Peoria AZ 85345 2.5 1542 0.16 1986 10/29/2009 10/28/2009 Single Family Residence 6915 E Quail Run Rd Paradise Valley AZ 85253 174-63-009-a Maricopa Patricia Livi 6915 E Quail Run Rd Paradise Valley AZ 85253 2 2820 1.33 1955 10/29/2009 10/28/2009 Single Family Residence 6914 W Linda Sue Ln Peoria AZ 85382 200-52-559 Maricopa Richard Feight (623) 486-8817 6914 W Linda Sue Ln Peoria AZ 85382 1456 0.17 2002 10/29/2009 10/28/2009 Mobile Home 6903 W El Cortez Pl Peoria AZ 85383 201-34-056 Maricopa Baba Esho 6903 W El Cortez Pl Peoria AZ 85383 3 2339 0.16 1999 10/29/2009 10/28/2009 Single Family Residence 6862 E Laguna Azul Ave Mesa AZ 85209 309-07-967 Maricopa Delbert Brummett 6862 E Laguna Azul Ave Mesa AZ 85209 2.75 1816 0.13 1995 10/29/2009 10/28/2009 Single Family Residence 6851 S Birdie Wy Gilbert AZ 85298 313-04-496 Maricopa Ervin Jrjennifer 6851 S Birdie Way Gilbert AZ 85298 4 3 2608 0.14 2005 10/29/2009 10/28/2009 Single Family Residence 6815 E Wildcat Dr Scottsdale AZ 85266 216-67-090 Maricopa Scott Francis 29862 N Tatum Blvd Unit 2071Cave Creek AZ 85331 6 4 5180 2.18 2003 10/29/2009 10/28/2009 Single Family Residence 6809 W St Catherine Ave Phoenix AZ 85339 104-83-159 Maricopa Donald Diana M Oswald 2512 S 114th Ave Avondale AZ 85323 9 2516 0.19 2005 10/29/2009 10/28/2009 Other 6725 N 44th Ave Glendale AZ 85301 146-26-042 Maricopa Rachael R Hernandez 300 W Iola St Broken Arrow OK 74012 1.75 1152 0.02 1964 10/29/2009 10/28/2009 Condominium 6711 W Osborn Rd 93 Phoenix AZ 85033 102-85-093 Maricopa Genaro Rivera 6711 W Osborn Rd Unit 93 Phoenix AZ 85033 1 840 0.03 1986 10/29/2009 10/28/2009 Condominium 6704 N 31st Ave Phoenix AZ 85017 152-09-103 Maricopa Gutierrez Roxana (602) 374-4183 6704 N 31st Ave Phoenix AZ 85017 2 1504 0.13 1976 10/29/2009 10/28/2009 Single Family Residence 654 E Garnet Ave Mesa AZ 85204 139-13-298 Maricopa Eduardo Lucia Diosdado (480) 969-2065 654 E Garnet Ave Mesa AZ 85204 2 1323 0.15 1975 10/29/2009 10/28/2009 Single Family Residence 6431 W Beverly Rd Phoenix AZ 85339 300-13-545 Maricopa Amy Brian Kadlec 6431 W Beverly Rd Laveen AZ 85339 9 1253 0.06 2007 10/29/2009 10/28/2009 Other 6417 W Cocopah St Phoenix AZ 85043 104-28-144 Maricopa Sam Shack 6417 W Cocopah St Phoenix AZ 85043 2 1392 0.11 1999 10/29/2009 10/28/2009 Single Family Residence 6402 W Coolidge St Phoenix AZ 85033 144-43-253 Maricopa Manuel Janice Ohton 6402 W Coolidge St Phoenix AZ 85033 2 1671 0.15 1973 10/29/2009 10/27/2009 Single Family Residence 6330 S Blake Ct Gilbert AZ 85298 313-07-077 Maricopa Scott Susan Bumm 6330 S Blake St Gilbert AZ 85298 6 2540 0.22 2003 10/29/2009 10/28/2009 Single Family Residence 6329 W Buckskin Tr Phoenix AZ 85083 201-10-042 Maricopa William G Gacusan 6329 W Buckskin Trl Phoenix AZ 85083 5 3 3450 0.14 1999 10/29/2009 10/28/2009 Single Family Residence 6321 W Toronto Wy Phoenix AZ 85043 104-37-062 Maricopa Paul Spector 6321 W Toronto Way Phoenix AZ 85043 3 2 1600 0.13 2002 10/29/2009 10/28/2009 Single Family Residence 6118 N 18th Ave Phoenix AZ 85015 156-19-046 Maricopa Leo Gail Toloumu 6118 N 18th Ave Phoenix AZ 85015 2 1532 0.2 1950 10/29/2009 10/27/2009 Single Family Residence Page 9
  • 10.
    Pre-foreclosure List Maricopa County Week Ending 11/2 6012 S Danielson Wy Chandler AZ 85249 303-56-121 Maricopa Maria J Rebozo 6012 S Danielson Way Chandler AZ 85249 4 3 2350 0.26 2001 10/29/2009 10/28/2009 Single Family Residence 5728 W Chicago St Chandler AZ 85226 301-88-084 Maricopa Cody King 5728 W Chicago St Chandler AZ 85226 3 2 1215 0.18 1982 10/29/2009 10/28/2009 Single Family Residence 5718 S 237th Ln Buckeye AZ 85326 504-42-251 Maricopa Christopherlopez Balderrama (623) 915-7038 5718 S 237th Ln Buckeye AZ 85326 6 2251 0.11 2008 10/29/2009 10/28/2009 Single Family Residence 5615 N Castano Dr Litchfield Park AZ 85340 501-62-049 Maricopa Vipawan Rodney K Miller (623) 229-6719 5615 N Castano Dr Litchfield Park AZ 85340 9 2405 0.15 2002 10/29/2009 10/28/2009 Other 5602 W Bluefield Ave Glendale AZ 85308 200-49-410 Maricopa Dawn M Risk 5602 W Bluefield Ave Glendale AZ 85308 2 1624 0.14 1984 10/29/2009 10/27/2009 Single Family Residence 5539 E Calle Iglesia Guadalupe AZ 85283 301-16-111-a Maricopa Veronica Perez (480) 768-2007 5539 E Calle Iglesia Guadalupe AZ 85283 6 1350 0.1 1990 10/29/2009 10/28/2009 Other 5436 W Myrtle Ave Glendale AZ 85301 147-18-022 Maricopa Real Tague 5436 W Myrtle Ave Glendale AZ 85301 3 2 1064 0.14 1945 10/29/2009 10/28/2009 Single Family Residence 5347 N 106th Ave Glendale AZ 85307 102-16-019 Maricopa Rodriguez Estela (623) 872-9631 5347 N 106th Ave Glendale AZ 85307 13 3567 0.88 1995 10/29/2009 10/28/2009 Single Family Residence 5317 N 33rd Dr Phoenix AZ 85017 153-17-094 Maricopa Maria E Melgoza 5317 N 33rd Dr Phoenix AZ 85017 6 1080 0.02 1973 10/29/2009 10/27/2009 Other 5302 E Van Buren St 2012 Phoenix AZ 85008 125-04-159 Maricopa Alicia Ruiz 5302 E Van Buren St Unit 2012Phoenix AZ 85008 3 847 0.02 2002 10/29/2009 10/27/2009 Condominium 527 E Beth Dr Phoenix AZ 85042 300-45-389 Maricopa Ovie Emudianughe 527 E Beth Dr Phoenix AZ 85042 9 3359 0.15 2004 10/29/2009 10/28/2009 Single Family Residence 5208 W Trotter Tr Phoenix AZ 85083 201-38-636 Maricopa Venkata Paripoorna Naidu 7932 N Macarthur Blvd Unit 4109 Irving TX 75063 14 4070 0.17 2006 10/29/2009 10/28/2009 Single Family Residence 5136 E Evergreen St 1152 Mesa AZ 85205 140-01-673 Maricopa Monica L Price 5136 E Evergreen St Unit 1152Mesa AZ 85205 2 1110 0.02 1985 10/29/2009 10/28/2009 Condominium 508 W Comstock Dr Gilbert AZ 85233 302-32-604 Maricopa Ables Von Whillary 508 W Comstock Dr Gilbert AZ 85233 2.75 1976 0.15 1988 10/29/2009 10/28/2009 Single Family Residence 5047 E Oakhurst Wy Phoenix AZ 85254 167-52-115 Maricopa Beverly F Host (602) 692-7056 5047 E Oakhurst Way Scottsdale AZ 85254 7 3382 0.36 1986 10/29/2009 10/28/2009 Other 5019 W Lynne Ln Phoenix AZ 85339 104-78-029 Maricopa Wilder Floyd 5019 W Lynne Ln Laveen AZ 85339 8 1868 0.14 2005 10/29/2009 10/28/2009 Other 4915 E Bellerive Dr Chandler AZ 85249 304-84-669 Maricopa Karrie Scott Mckinnon (480) 633-5567 4915 E Bellerive Dr Chandler AZ 85249 4 2 2052 0.14 2002 10/29/2009 10/28/2009 Single Family Residence 4851 W Shangri La Rd Glendale AZ 85304 148-04-040 Maricopa Alvie Janet Fincher (602) 617-6561 6328 W Orange Dr Glendale AZ 85301 2 1616 0.15 1974 10/29/2009 10/28/2009 Single Family Residence 4851 S Soho Ln Chandler AZ 85249 303-45-876 Maricopa Joshua Graves 6321 E Presidio St Mesa AZ 85215 3 2.75 2126 0.21 2001 10/29/2009 10/28/2009 Single Family Residence 4731 N 103rd Dr Phoenix AZ 85037 102-17-867 Maricopa Joyce A Raymond (602) 818-8176 4731 N 103rd Dr Phoenix AZ 85037 2 1611 0.14 1984 10/29/2009 10/28/2009 Single Family Residence 4637 W Vista Ave Glendale AZ 85301 147-05-109 Maricopa Price Jesus (623) 210-8913 4637 W Vista Ave Glendale AZ 85301 2 1889 0.2 1971 10/29/2009 10/27/2009 Single Family Residence 4624 N 75th Dr Phoenix AZ 85033 102-20-576 Maricopa Maria F Carlos 4624 N 75th Dr Phoenix AZ 85033 2 1077 0.13 1979 10/29/2009 10/28/2009 Single Family Residence 4601 N 102nd Ave 1101 Phoenix AZ 85037 102-82-448-a Maricopa Tony L Martinez 20447 N 80th Dr Peoria AZ 85382 2 2.5 1088 0.01 1986 10/29/2009 10/28/2009 Condominium 4569 W Onyx Ave Glendale AZ 85302 148-06-332 Maricopa Michelle R Little 4569 W Onyx Ave Glendale AZ 85302 2 1486 0.16 1976 10/29/2009 10/28/2009 Single Family Residence 4539 W Mclellan Blvd Glendale AZ 85301 146-27-435 Maricopa Ramon Olivas 4539 W Mclellan Rd Glendale AZ 85301 6 1061 0.04 1980 10/29/2009 10/28/2009 Other 4538 W Stoneman Dr Anthem AZ 85086 203-04-266 Maricopa Larry Chambers Jr 4538 W Stoneman Dr Anthem AZ 85086 7 1625 0.14 2005 10/29/2009 10/28/2009 Single Family Residence 4535 N 105th Ave Phoenix AZ 85037 102-17-593 Maricopa Melinda Schulder 4535 N 105th Ave Phoenix AZ 85037 2 1421 0.14 1977 10/29/2009 10/28/2009 Single Family Residence 4521 W Paseo Wy Phoenix AZ 85339 300-10-406 Maricopa Violeta I Balan 4521 W Paseo Wy Phoenix AZ 85339 15 3706 0.19 2005 10/29/2009 10/28/2009 Other 44 W Monroe St 1007 Phoenix AZ 85003 112-21-398 Maricopa Jerry Olshan 44 W Monroe St Unit 1007 Phoenix AZ 85003 8 1394 0.03 2008 10/29/2009 10/28/2009 Condominium 4344 E Hubbell St Phoenix AZ 85008 126-26-015 Maricopa Vela Rosario 4344 E Hubbell St Phoenix AZ 85008 2 1378 0.18 1955 10/29/2009 10/28/2009 Single Family Residence 4232 E Bruce Ct Gilbert AZ 85234 313-12-632 Maricopa Misty R Newman 4232 E Bruce Ct Gilbert AZ 85234 6 1225 0.12 2008 10/29/2009 10/28/2009 Single Family Residence 4202 E Zia St Phoenix AZ 85044 306-22-184 Maricopa Moore Ernest (480) 785-0702 4202 E Zia St Phoenix AZ 85044 6 1948 0.15 1979 10/29/2009 10/28/2009 Single Family Residence 420 E Washington Ave 5a Gilbert AZ 85234 304-12-410 Maricopa Brandy L Owen 420 E Washington Ave 5a Gilbert AZ 85234 2 813 0.02 1981 10/29/2009 10/28/2009 Condominium 4136 N 64th Dr Phoenix AZ 85033 144-85-059 Maricopa Alvarez Paul Sr 4136 N 64th Dr Phoenix AZ 85033 1.75 1753 0.22 1961 10/29/2009 10/27/2009 Single Family Residence 41211 N Prestancia Dr Anthem AZ 85086 211-86-911 Maricopa Eric Warren 41211 N Prestancia Dr Anthem AZ 85086 8 2082 0.13 2004 10/29/2009 10/28/2009 Single Family Residence 4109 W Seldon Ln Phoenix AZ 85051 150-14-033 Maricopa Israel Pauline G Erivez (623) 594-2929 4109 W Seldon Ln Phoenix AZ 85051 2 1330 0.15 1977 10/29/2009 10/28/2009 Single Family Residence 41014 N Lytham Wy Anthem AZ 85086 211-86-931 Maricopa Morales Jc (623) 551-2846 41014 N Lytham Way Anthem AZ 85086 3 2.5 2544 0.18 2004 10/29/2009 10/27/2009 Single Family Residence 403 W Aire Libre Ave Phoenix AZ 85023 208-34-576 Maricopa Ignacio Guizar 403 W Aire Libre Ave Phoenix AZ 85023 7 1615 0.12 1995 10/29/2009 10/28/2009 Single Family Residence 4029 W Hubbell St Phoenix AZ 85009 108-30-063 Maricopa Benjamin G Valdez 4029 W Hubbell St Phoenix AZ 85009 1 1553 0.12 1958 10/29/2009 10/28/2009 Single Family Residence 3963 W Ericson Dr Phoenix AZ 85087 202-22-624 Maricopa Carey Rokovich 40267 N La Cantera Dr Phoenix AZ 85086 3 2 1432 0.11 2005 10/29/2009 10/28/2009 Single Family Residence 3944 E Nocona Ln Phoenix AZ 85050 212-38-290 Maricopa Tytb Inc 3944 E Nocona Ln Phoenix AZ 85050 11 3402 0.22 2005 10/29/2009 10/28/2009 Single Family Residence 3939 E Pollack St Phoenix AZ 85042 122-98-104 Maricopa Rosa I Salomon 3939 E Pollack St Phoenix AZ 85042 10 1636 0.09 2006 10/29/2009 10/28/2009 Other 3901 W Windsor Ave Phoenix AZ 85009 108-31-040 Maricopa Rosario Lopez 1628 N 56th Ave Phoenix AZ 85035 2 1080 0.14 1960 10/29/2009 10/27/2009 Single Family Residence 3833 W Ashton Dr Anthem AZ 85086 203-03-749 Maricopa Naghmeh Paimany 8832 E Lupine Ave Scottsdale AZ 85260 4 2 1827 0.11 2005 10/29/2009 10/28/2009 Single Family Residence 3830 E Devonshire Ave Phoenix AZ 85018 170-32-061 Maricopa Alice M Brown 3830 E Devonshire Ave Phoenix AZ 85018 2 2079 0.18 1954 10/29/2009 10/28/2009 Single Family Residence 37406 N 17th St Anthem AZ 85086 211-69-001-r Maricopa Christopher Phoebe Lehman 37406 N 17th St Anthem AZ 85086 7 1800 1.05 1998 10/29/2009 10/28/2009 Single Family Residence 3648 W Mcdowell Rd Phoenix AZ 85009 108-24-090 Maricopa Hernandez Repair Llc 3648 W Mcdowell Rd Phoenix AZ 85009 0.2 10/29/2009 10/27/2009 Other 3637 W Woodridge Dr Glendale AZ 85308 207-19-403 Maricopa Daniel Moore (602) 330-1858 3637 W Woodridge Dr Glendale AZ 85308 2 1505 0.23 1979 10/29/2009 10/28/2009 Single Family Residence 3611 W Alice Ave Phoenix AZ 85051 150-15-111-a Maricopa Jerry A Deletto (602) 405-1225 3611 W Alice Ave Phoenix AZ 85051 1 1150 0.12 1960 10/29/2009 10/28/2009 Single Family Residence 3550 E Thunderbird Rd Phoenix AZ 85032 214-61-425 Maricopa Michael E Lake 3550 E Thunderbird Rd Phoenix AZ 85032 2 1546 0.14 1969 10/29/2009 10/28/2009 Single Family Residence 3527 E Ahwatukee Ct Phoenix AZ 85044 301-56-380 Maricopa Miller Diane 3527 E Ahwatukee Ct Phoenix AZ 85044 6.75 4595 0.47 1985 10/29/2009 10/28/2009 Single Family Residence 3516 S Newport Pl Chandler AZ 85286 303-42-198 Maricopa Scot Evans 3945 Ceanothus Pl Unit H Calabasas CA 91302 5 3 2512 0.29 2003 10/29/2009 10/28/2009 Single Family Residence 3437 E Taylor St Phoenix AZ 85008 121-16-068 Maricopa Hector Jayme-estrada 3437 E Taylor St Phoenix AZ 85008 1 847 0.16 1948 10/29/2009 10/28/2009 Single Family Residence 3435 N Ladera Cir Mesa AZ 85207 219-20-259 Maricopa Michael Antionette Boragina 3435 N Ladera Cir Mesa AZ 85207 5 4 4302 0.59 2004 10/29/2009 10/28/2009 Other 3420 W Laurel Ln Phoenix AZ 85029 149-50-112 Maricopa Rolando Rivas 3420 W Laurel Ln Phoenix AZ 85029 2 1532 0.13 1961 10/29/2009 10/28/2009 Single Family Residence 3414 W Sunland Ave Phoenix AZ 85041 105-68-414 Maricopa Raintree Investments Llc 3414 W Sunland Ave Phoenix AZ 85041 6 1601 0.11 2006 10/29/2009 10/28/2009 Single Family Residence 341 N Fresno St Chandler AZ 85225 302-63-079 Maricopa Alexander Yazza 3820 S Acacia Ct Chandler AZ 85248 7 1233 0.13 2003 10/29/2009 10/28/2009 Single Family Residence Page 10
  • 11.
    Pre-foreclosure List Maricopa County Week Ending 11/2 3381 E Flamingo Ct Gilbert AZ 85297 313-03-399 Maricopa Walcott Jennifer 3381 E Flamingo Ct Gilbert AZ 85297 3 2 1651 0.14 2001 10/29/2009 10/28/2009 Single Family Residence 3309 E Topeka Dr Phoenix AZ 85050 213-15-206 Maricopa Rita Leto-davi (602) 617-8201 3309 E Topeka Dr Phoenix AZ 85050 3.5 1633 0.07 1991 10/29/2009 10/28/2009 Single Family Residence 3285 N Ash Cir Chandler AZ 85224 302-78-718 Maricopa Marsha G Lazcano 1785 E Caborca Dr Casa Grande AZ 85122 2 1133 0.11 1984 10/29/2009 10/28/2009 Single Family Residence 3229 E Palm Ln Phoenix AZ 85008 120-16-190 Maricopa Anselmo Montano 3229 E Palm Ln Phoenix AZ 85008 2 1558 0.13 1970 10/29/2009 10/28/2009 Single Family Residence 3217 E Monte Vista Rd Phoenix AZ 85008 120-16-009 Maricopa Carlos L Avila 3217 E Monte Vista Rd Phoenix AZ 85008 2 1379 0.17 1950 10/29/2009 10/28/2009 Single Family Residence 3143 S Sabrina Cir Mesa AZ 85212 309-19-845 Maricopa Glenn Kadow 3143 S Sabrina Cir Mesa AZ 85212 3 2 1882 0.19 2001 10/29/2009 10/28/2009 Single Family Residence 314 S 85th St Mesa AZ 85208 218-60-023 Maricopa Dominick Sandra Schuster 314 S 85th St Mesa AZ 85208 1440 0.18 1985 10/29/2009 10/28/2009 Mobile Home 3100 E Powell Pl Chandler AZ 85249 304-76-534 Maricopa Jamie Handley (480) 883-2051 3100 E Powell Pl Chandler AZ 85249 11 2964 0.22 2007 10/29/2009 10/28/2009 Single Family Residence 3079 E Weather Vane Rd Gilbert AZ 85296 304-20-322 Maricopa Eddie Czarina Tabarangao 3079 E Weather Vane Rd Gilbert AZ 85296 12 2899 0.2 2005 10/29/2009 10/28/2009 Single Family Residence 3074 E Page Ave Gilbert AZ 85234 304-14-617 Maricopa Family Burkinshaw 3074 E Page Ave Gilbert AZ 85234 3.5 3240 0.38 2002 10/29/2009 10/28/2009 Single Family Residence 29715 N 156th Pl Az 85262 AZ 85262 219-37-035-n Maricopa Amy Romanin 29715 N 156th Pl Scottsdale AZ 85262 14 3389 1 2003 10/29/2009 10/28/2009 Single Family Residence 2912 W Grenadine Rd Phoenix AZ 85041 105-46-078 Maricopa Moises Raquel Moreno (602) 710-1945 2912 W Grenadine Rd Phoenix AZ 85041 6 1652 0.12 2006 10/29/2009 10/28/2009 Single Family Residence 2853 E Indian Wells Pl Chandler AZ 85249 303-56-866 Maricopa Christopher Cole 13307 La Venta Dr Poway CA 92064 3.75 2566 0.14 2001 10/29/2009 10/28/2009 Single Family Residence 28405 N 256th Ln Wittmann AZ 85361 503-32-108-j Maricopa Bruce Shaibani 28405 N 256th Ln Wittmann AZ 85361 8 2517 1.06 2006 10/29/2009 10/28/2009 Single Family Residence 2826 E Highland Ave Phoenix AZ 85016 163-09-035 Maricopa Sean Nottingham (602) 999-7724 2826 E Highland Ave Phoenix AZ 85016 2.75 2546 0.3 1950 10/29/2009 10/28/2009 Single Family Residence 2824 E Windrose Dr Phoenix AZ 85032 166-05-235 Maricopa Sammy Mcguffin 2824 E Windrose Dr Phoenix AZ 85032 2 1597 0.2 1972 10/29/2009 10/28/2009 Single Family Residence 2812 N 33rd St Phoenix AZ 85008 120-04-028 Maricopa Martin I Rascon 2812 N 33rd St Phoenix AZ 85008 1 1630 0.13 1953 10/29/2009 10/28/2009 Single Family Residence 2738 E Beverly Rd Phoenix AZ 85042 301-26-324 Maricopa Thalya Nero (602) 323-2120 2738 E Beverly Rd Phoenix AZ 85042 13 2464 0.16 1999 10/29/2009 10/28/2009 Single Family Residence 2727 W Elm St Phoenix AZ 85017 154-05-017 Maricopa Benavidez Borovina 2727 W Elm St Phoenix AZ 85017 1 968 0.14 1954 10/29/2009 10/28/2009 Single Family Residence 2720 S Constellation Wy Gilbert AZ 85295 304-47-112 Maricopa Michael Janko (480) 279-5000 2720 S Constellation Way Gilbert AZ 85295 4 3.5 4550 0.72 2002 10/29/2009 10/28/2009 Single Family Residence 2718 W Campbell Ave Phoenix AZ 85017 154-11-067 Maricopa Guillermo Ascencio (602) 795-3191 2718 W Campbell Ave Phoenix AZ 85017 1 1248 0.12 1953 10/29/2009 10/28/2009 Single Family Residence 26913 N 22nd Ave Phoenix AZ 85085 210-19-679 Maricopa Tek Bou 26913 N 22nd Ave Phoenix AZ 85085 12 3128 0.14 2006 10/29/2009 10/28/2009 Single Family Residence 26658 N 90th Dr Peoria AZ 85383 201-39-474 Maricopa Hawkins Lllp 26658 N 90th Dr Peoria AZ 85383 1.33 10/29/2009 10/28/2009 Other 2638 W Florentine Rd Anthem AZ 85086 203-25-504 Maricopa Eric Stevenson 2638 W Florentine Rd Anthem AZ 85086 2 2 1400 0.11 2004 10/29/2009 10/28/2009 Single Family Residence 2603 E Acoma Dr Phoenix AZ 85032 214-54-066 Maricopa Sulejmanahmetovic Behmen (602) 595-2231 2603 E Acoma Dr Phoenix AZ 85032 5 3 2672 0.22 1999 10/29/2009 10/28/2009 Single Family Residence 25861 W Winslow Ave Buckeye AZ 85326 504-26-856 Maricopa Cheryl A Wilson (623) 934-9347 25861 W Winslow Ave Buckeye AZ 85326 6 1248 0.1 2005 10/29/2009 10/28/2009 Single Family Residence 2556 W Cheery Lynn Rd Phoenix AZ 85017 110-38-056 Maricopa Eric Bulman 2556 W Cheery Lynn Rd Phoenix AZ 85017 1 896 0.13 1951 10/29/2009 10/28/2009 Single Family Residence 2533 W Cordia Ln Phoenix AZ 85085 204-24-941 Maricopa Brianna Brabander 2533 W Cordia Ln Phoenix AZ 85085 10 2092 0.08 2006 10/29/2009 10/28/2009 Single Family Residence 2502 W Pecos Ave Mesa AZ 85202 302-05-596 Maricopa Cederick Doty 2829 S El Marino Mesa AZ 85202 3 2 1703 0.17 1978 10/29/2009 10/28/2009 Single Family Residence 2428 S 71st Dr Phoenix AZ 85043 104-35-070 Maricopa Eudelia Duran 2428 S 71st Dr Phoenix AZ 85043 3.5 1854 0.12 1999 10/29/2009 10/28/2009 Single Family Residence 2427 W Lucia Dr Phoenix AZ 85085 210-03-701 Maricopa Mahesh Sunita Suthar 2427 W Lucia Dr Phoenix AZ 85085 9 1982 0.09 2005 10/29/2009 10/28/2009 Other 2425 W Papago St Phoenix AZ 85009 105-07-090 Maricopa Lorenzo R Martinez 2425 W Papago St Phoenix AZ 85009 1 1369 0.13 1946 10/29/2009 10/28/2009 Single Family Residence 2330 E Spruce Dr Chandler AZ 85286 303-30-548 Maricopa Madelon Lusk (928) 300-6342 2330 E Spruce Dr Chandler AZ 85286 9 1820 0.07 2000 10/29/2009 10/28/2009 Other 2315 N 76th Pl Mesa AZ 85207 219-26-102-e Maricopa Richard Rothwell Jr (480) 986-9760 2315 N 76th Pl Mesa AZ 85207 2 1700 0.5 1987 10/29/2009 10/28/2009 Single Family Residence 2304 W Ella St Mesa AZ 85201 135-45-046-b Maricopa Desmond D Nowak 2304 W Ella St Mesa AZ 85201 1 1088 0.18 1945 10/29/2009 10/28/2009 Single Family Residence 2221 W Granada Rd Phoenix AZ 85009 110-51-002-d Maricopa Triple Recycling Llc 2221 W Granada Rd Phoenix AZ 85009 0.27 10/29/2009 10/28/2009 Other 22137 E Calle De Flores Chandler HeightsAZ 85242 314-03-672 Maricopa Benjamin Bidlack 22137 E Calle De Flores Chandler Heights AZ 85142 10 2288 0.16 2005 10/29/2009 10/27/2009 Single Family Residence 22028 W Cocopah St Buckeye AZ 85326 504-63-273 Maricopa Stephen J Silverman 22219 W Sonora St Buckeye AZ 85326 6 1312 0.13 2005 10/29/2009 10/28/2009 Single Family Residence 2190 E Kaibab Pl Chandler AZ 85249 303-44-807 Maricopa Werner Von Borries 2190 E Kaibab Pl Chandler AZ 85249 0.34 10/29/2009 10/28/2009 Other 2160 N 77th Pl Mesa AZ 85207 219-26-128-a Maricopa Scott H Koslosky 2160 N 77th Pl Mesa AZ 85207 3 2 1808 0.73 1987 10/29/2009 10/28/2009 Single Family Residence 2121 N Villas Ln Chandler AZ 85224 302-89-660 Maricopa Rigoberto Arriola (480) 899-4140 2121 N Villas Ln Chandler AZ 85224 2 1326 0.09 1981 10/29/2009 10/28/2009 Single Family Residence 2118 E Rockwood Dr Phoenix AZ 85024 213-20-237 Maricopa Jane L Donsker (602) 374-5511 2118 E Rockwood Dr Phoenix AZ 85024 2.75 1810 0.1 1997 10/29/2009 10/28/2009 Single Family Residence 2044 W Weatherby Wy Chandler AZ 85286 303-25-275 Maricopa Ruley Patrick 2044 W Weatherby Way Chandler AZ 85286 3.5 2977 0.24 2002 10/29/2009 10/28/2009 Single Family Residence 20384 N 93rd Pl Scottsdale AZ 85255 217-62-596 Maricopa Andrew Beams 20384 N 93rd Pl Scottsdale AZ 85255 4 3.5 4350 0.17 2000 10/29/2009 10/28/2009 Single Family Residence 2037 W Colter St Phoenix AZ 85015 153-24-058 Maricopa Kirk Alana Pangus 2037 W Colter St Phoenix AZ 85015 1.75 956 0.16 1947 10/29/2009 10/28/2009 Single Family Residence 19986 E Carriage Wy Chandler HeightsAZ 85242 314-04-396 Maricopa Charles Linda Cooke 9464 Valley Ranch Pkwy E Unit 1043 Irving TX 75063 11 2307 0.13 2006 10/29/2009 10/28/2009 Single Family Residence 19550 N Grayhawk Dr 2075Scottsdale AZ 85255 212-43-169 Maricopa Gregory J Yancey 19550 N Grayhawk Dr Unit 2075 Scottsdale AZ 85255 2.5 1347 0 2000 10/29/2009 10/28/2009 Condominium 1950 N 69th Ln Phoenix AZ 85035 102-76-219 Maricopa Anita Ortiz (623) 455-8058 1950 N 69th Ln Phoenix AZ 85035 1 1173 0.15 1976 10/29/2009 10/28/2009 Single Family Residence 1930 N 104th Ln Avondale AZ 85392 102-31-156 Maricopa Frank J Gulikers 1930 N 104th Ln Avondale AZ 85392 6 1452 0.14 2001 10/29/2009 10/28/2009 Other 1925 E Pinto Dr Gilbert AZ 85296 304-21-279 Maricopa Dewayne Holly Clark 1925 E Pinto Dr Gilbert AZ 85296 4 3 2716 0.15 1995 10/29/2009 10/28/2009 Single Family Residence 1920 E Bell Rd 1043 Phoenix AZ 85022 214-09-771 Maricopa Pile Investments Llc 1920 E Bell Rd Unit 1043 Phoenix AZ 85022 3 2 1454 0.02 2007 10/29/2009 10/28/2009 Single Family Residence 19115 E Karsten Dr Chandler HeightsAZ 85242 304-89-070-d Maricopa Christina M Gibson 19115 E Karsten Dr Chandler Heights AZ 85142 3.5 2604 0.94 1999 10/29/2009 10/28/2009 Single Family Residence 1903 W Thompson Wy Chandler AZ 85286 303-76-073 Maricopa Andrew Karen Kozik (480) 474-4677 1903 W Thompson Way Chandler AZ 85286 2.5 1529 0.12 1998 10/29/2009 10/28/2009 Single Family Residence 1841 S Hudson Dr Chandler AZ 85286 303-29-734 Maricopa Angelica Salvador Navarro (480) 821-1689 1841 S Hudson Dr Chandler AZ 85286 6 1214 0.07 2005 10/29/2009 10/28/2009 Single Family Residence 1831 E Hubbell St Phoenix AZ 85006 117-14-075 Maricopa Salazar Carlos (602) 687-7883 1831 E Hubbell St Phoenix AZ 85006 1 1185 0.16 1952 10/29/2009 10/27/2009 Single Family Residence 18130 W Las Cruces Dr Goodyear AZ 85338 400-79-872 Maricopa Tracy Kowasic (623) 882-9163 18130 W Las Cruces Dr Goodyear AZ 85338 6 5 3795 0.18 2004 10/29/2009 10/28/2009 Single Family Residence 17826 W Alexandria Wy Surprise AZ 85388 502-05-359 Maricopa Frazier Jo (623) 977-9667 17826 W Alexandria Way Surprise AZ 85388 7 2231 0.17 2006 10/29/2009 10/28/2009 Single Family Residence Page 11
  • 12.
    Pre-foreclosure List Maricopa County Week Ending 11/2 1774 E Fremont Rd Phoenix AZ 85042 122-93-251 Maricopa Barrera Clementina (602) 510-7611 1774 E Fremont Rd Phoenix AZ 85042 2 1348 0.11 1993 10/29/2009 10/28/2009 Single Family Residence 17649 W Carmen Dr Surprise AZ 85388 502-84-343 Maricopa Deanna Hagon (623) 583-7809 17649 W Carmen Dr Surprise AZ 85388 12 3723 0.25 2005 10/29/2009 10/28/2009 Single Family Residence 17348 W Buchanan St Goodyear AZ 85338 502-39-452 Maricopa Chiomangwu Chlme 17348 W Buchanan St Goodyear AZ 85338 12 2902 0.12 2008 10/29/2009 10/28/2009 Single Family Residence 17253 N 46th St Phoenix AZ 85032 215-18-094 Maricopa Olga Babayeva (602) 795-5651 17253 N 46th St Phoenix AZ 85032 2.5 2342 0.14 1992 10/29/2009 10/28/2009 Single Family Residence 1717 E Union Hills Dr 1114 Phoenix AZ 85022 214-10-718 Maricopa Jeremy Hancock 1717 E Union Hls Dr Unit 1114Phoenix AZ 85024 2 1330 0.02 1987 10/29/2009 10/28/2009 Condominium 1717 E Juanita Ave Mesa AZ 85204 139-09-539 Maricopa Jeff Morrison 6520 Se 5th St Unit 3 Des Moines IA 50315 2 1040 0.1 1984 10/29/2009 10/28/2009 Single Family Residence 1702 E Bell Rd 109 Phoenix AZ 85022 214-09-517 Maricopa Lucy Pitts 1702 E Bell Rd Unit 109 Phoenix AZ 85022 8 1539 0.03 2004 10/29/2009 10/28/2009 Condominium 16824 W Marshall Ln Sun City AZ 85388 501-12-554 Maricopa Jerzy Jadwiga K Niemyjski 16824 W Marshall Ln Surprise AZ 85388 7 1631 0.1 2004 10/29/2009 10/28/2009 Single Family Residence 16636 N 172nd Ave Surprise AZ 85388 502-01-726 Maricopa Yolanda Easter (703) 307-3203 9503 Unity Ln Lorton VA 22079 4 2 2190 0.11 2005 10/29/2009 10/28/2009 Other 16621 N 91st St 101 Scottsdale AZ 85255 217-13-301 Maricopa Bb Investments Llc 16621 N 91st St Ste 101 Scottsdale AZ 85260 0.1 10/29/2009 10/28/2009 Other 1661 S Alma School Rd Mesa AZ 85210 134-26-316-b Maricopa Mef Realty Llc 1661 S Alma School Rd Mesa AZ 85210 8.39 10/29/2009 10/28/2009 Other 16601 N 68th Wy Phoenix AZ 85254 215-43-048 Maricopa James Hanley (480) 686-9824 16601 N 68th Way Scottsdale AZ 85254 4 1257 0.12 1983 10/29/2009 10/28/2009 Other 1649 W Kuralt Dr Anthem AZ 85086 211-93-202 Maricopa Daimon Karla Songer 1649 W Kuralt Dr Anthem AZ 85086 9 2168 0.11 2004 10/29/2009 10/28/2009 Single Family Residence 1631 W Cinnabar Ave Phoenix AZ 85021 158-25-045 Maricopa Jamie Guillerma Valadez 1631 W Cinnabar Ave Phoenix AZ 85021 1 1040 0.12 1958 10/29/2009 10/28/2009 Single Family Residence 16279 W Superior Ave Goodyear AZ 85338 500-06-789 Maricopa Leandro Escobar 16173 W Monroe St Goodyear AZ 85338 6 2226 0.15 2002 10/29/2009 10/28/2009 Single Family Residence 16048 W Vogel Ave Goodyear AZ 85338 500-94-151 Maricopa Carol A Gomez (623) 932-1398 16048 W Vogel Ave Goodyear AZ 85338 2 1305 0.11 2002 10/29/2009 10/28/2009 Single Family Residence 15718 W Cottonwood St Sun City AZ 85374 501-77-265 Maricopa Josie Mack 15718 W Cottonwood St Sun City AZ 85374 6 1220 0.11 1997 10/29/2009 10/28/2009 Single Family Residence 15539 W Shiloh Ave Goodyear AZ 85338 500-90-535 Maricopa Barry Lenore L Sukoneck 16630 N Reems Rd Unit 1022 Surprise AZ 85374 3 2 1245 0.11 2005 10/29/2009 10/28/2009 Single Family Residence 1541 E Cheery Lynn Rd Phoenix AZ 85014 118-12-054 Maricopa Theresa A Rathert (602) 677-4507 1541 E Cheery Lynn Rd Phoenix AZ 85014 2 1 1700 0.12 1961 10/29/2009 10/28/2009 Single Family Residence 15398 W Eugene Ter Sun City AZ 85379 509-18-272 Maricopa Keith R Knutson 15398 W Eugene Terrace Sun City AZ 85379 11 2773 0.18 2005 10/29/2009 10/28/2009 Single Family Residence 15126 N 182nd Ln Sun City AZ 85388 502-03-581 Maricopa Vasquez John 15126 N 182nd Ln Surprise AZ 85388 4 2 2167 0.19 2005 10/29/2009 10/28/2009 Single Family Residence 14975 N 174th Ave Surprise AZ 85388 502-88-761 Maricopa Reyes Family 14975 N 174th Ave Surprise AZ 85388 8 1902 0.07 2006 10/29/2009 10/28/2009 Single Family Residence 14914 N 140th Ave Sun City AZ 85379 509-17-197 Maricopa Casey Sanders 14914 N 140th Ave Sun City AZ 85379 7 1615 0.12 2005 10/29/2009 10/28/2009 Single Family Residence 14874 W Cameron Dr Sun City AZ 85379 509-14-342 Maricopa Kelly Adam Malky 807 N Vulcan Ave Encinitas CA 92024 8 2568 0.15 2004 10/29/2009 10/28/2009 Single Family Residence 14824 N El Frio St El Mirage AZ 85335 501-25-137 Maricopa Jaime Koenig 29310 N 20th Ln Phoenix AZ 85085 4 2.5 1978 0.14 2006 10/29/2009 10/27/2009 Single Family Residence 14631 N 51st Ave Glendale AZ 85306 200-74-163 Maricopa Mills Lisa 14631 N 51st Dr Glendale AZ 85306 6 1080 0.18 1972 10/29/2009 10/28/2009 Other 14320 N 148th Ln Sun City AZ 85379 509-02-406 Maricopa Dina M Schlosser 14320 N 148th Ln Sun City AZ 85379 6 1482 0.23 2003 10/29/2009 10/28/2009 Single Family Residence 14260 W Cora Ln Goodyear AZ 85395 508-02-025 Maricopa Rosalinda Quezada 14260 W Cora Ln Goodyear AZ 85395 2.5 1446 0.08 2001 10/29/2009 10/28/2009 Single Family Residence 14242 W Country Gables Dr Sun City AZ 85379 509-18-828 Maricopa Rey Imelda Aranas 14242 W Country Gables Dr Sun City AZ 85379 9 1375 0.05 2006 10/29/2009 10/28/2009 Single Family Residence 1423 W Sack Dr Phoenix AZ 85027 209-13-208 Maricopa Phoenix Greater Llc 1423 W Sack Dr Phoenix AZ 85027 2 1548 0.16 1973 10/29/2009 10/28/2009 Single Family Residence 14137 W Rosewood Dr Sun City AZ 85379 509-14-804 Maricopa Anthony Paraspolo 14137 W Rosewood Dr Sun City AZ 85379 4 3 2328 0.13 2006 10/29/2009 10/28/2009 Single Family Residence 14002 N 49th Ave 1119 Glendale AZ 85306 207-33-548 Maricopa Rachel A Bryan 13720 N 88th Ave Unit 1055 Peoria AZ 85381 2 1160 0.02 1984 10/29/2009 10/28/2009 Condominium 137 W 8th Pl Mesa AZ 85201 137-22-067 Maricopa Troy Mcdonald (480) 733-5962 137 W 8th Pl Mesa AZ 85201 2 1889 0.13 1955 10/29/2009 10/28/2009 Single Family Residence 13583 W Acapulco Ln Sun City AZ 85379 501-15-514 Maricopa Eden Iuhasz 13583 W Acapulco Ln Sun City AZ 85379 8 2196 0.14 2004 10/29/2009 10/27/2009 Single Family Residence 13407 N Emberwood Dr Sun City AZ 85351 200-82-260 Maricopa Sandra P Barbieri Po Box 444 Buckeye AZ 85326 2 1.75 1318 0.01 1972 10/29/2009 10/28/2009 Single Family Residence 1330 E Apollo Rd Phoenix AZ 85042 114-22-449 Maricopa Zavala Rocio 1330 E Apollo Rd Phoenix AZ 85042 6 1239 0.11 1999 10/29/2009 10/28/2009 Single Family Residence 1326 E San Angelo Ave Gilbert AZ 85234 304-96-768 Maricopa Odell Janelle Hovey (480) 632-2772 1326 E San Angelo Ave Gilbert AZ 85234 2.5 1410 0.13 1988 10/29/2009 10/27/2009 Single Family Residence 13028 N B St El Mirage AZ 85335 501-36-412 Maricopa Tania Aguilar 13028 N B St El Mirage AZ 85335 3 1 1068 0.11 2000 10/29/2009 10/28/2009 Single Family Residence 12943 N 88th Ave Peoria AZ 85381 200-97-323 Maricopa Penny Clemens 559 W Yale Dr Tempe AZ 85283 8 1035 0.08 2006 10/29/2009 10/28/2009 Single Family Residence 12841 W Paradise Dr El Mirage AZ 85335 501-44-429 Maricopa Ellis Jrashley (623) 374-3646 12841 W Paradise Dr El Mirage AZ 85335 3 2 1238 0.11 2001 10/29/2009 10/28/2009 Single Family Residence 12726 W Merrell St Avondale AZ 85392 501-72-379 Maricopa Gonzalez Lopez 12726 W Merrell St Avondale AZ 85392 4 3 2552 0.14 2002 10/29/2009 10/28/2009 Single Family Residence 12536 W Roanoke Ave Avondale AZ 85392 501-88-570 Maricopa Erick Begazo (623) 249-7744 12536 W Roanoke Ave Avondale AZ 85392 8 1290 0.1 1996 10/29/2009 10/27/2009 Single Family Residence 12472 N 133rd Pl Scottsdale AZ 85259 217-19-246 Maricopa Murray Jjennifer 12472 N 133rd Pl Scottsdale AZ 85259 5 4 4487 0.45 2000 10/29/2009 10/28/2009 Other 124 E 9th Ave Mesa AZ 85210 139-33-072 Maricopa Trejo Pena (480) 464-9286 124 E 9th Ave Mesa AZ 85210 2 1948 0.14 1973 10/29/2009 10/28/2009 Single Family Residence 1231 E Frances Ln Gilbert AZ 85295 304-46-115 Maricopa Kathy Gunn 1231 E Frances Ln Gilbert AZ 85295 12 1960 0.12 2005 10/29/2009 10/28/2009 Single Family Residence 11770 W Aster Dr El Mirage AZ 85335 501-36-542 Maricopa Meza Galicia (623) 972-3879 11770 W Aster Dr El Mirage AZ 85335 2 1518 0.1 2000 10/29/2009 10/28/2009 Single Family Residence 11523 E Renata Ave Mesa AZ 85212 304-33-456 Maricopa Mario Mateo (480) 699-5345 11523 E Renata Ave Mesa AZ 85212 3.75 3691 0.16 2001 10/29/2009 10/28/2009 Single Family Residence 11417 E Solina Ave Mesa AZ 85212 312-14-395 Maricopa Oscar Patricia Guerrero 11417 E Solina Ave Mesa AZ 85212 12 3346 0.22 2007 10/29/2009 10/28/2009 Single Family Residence 11332 W Alice Ave Peoria AZ 85345 142-88-780 Maricopa Lopez Dina 11332 W Alice Ave Peoria AZ 85345 2.5 1208 0.11 1993 10/29/2009 10/28/2009 Single Family Residence 1124 E Marlette Ave Phoenix AZ 85014 161-13-051 Maricopa Levi Babakhanov (602) 266-1314 1124 E Marlette Ave Phoenix AZ 85014 2 1545 0.13 1957 10/29/2009 10/28/2009 Single Family Residence 11080 N 109th Wy Scottsdale AZ 85259 217-47-183 Maricopa Barry N Hutt 11080 N 109th Way Scottsdale AZ 85259 2 2 1008 0.06 1986 10/29/2009 10/28/2009 Other 11015 N 66th Dr Glendale AZ 85304 143-03-506 Maricopa Christopher Blackford 6605 W Lawrence Ln Glendale AZ 85302 2 2 1018 0.14 1985 10/29/2009 10/28/2009 Single Family Residence 11001 W Canterbury Dr Sun City AZ 85351 142-79-081 Maricopa Christopher Brunson (623) 388-4348 11001 W Canterbury Dr Sun City AZ 85351 6 1138 0.16 1961 10/29/2009 10/27/2009 Other 10880 E Sahuaro Dr Scottsdale AZ 85259 217-27-462 Maricopa Timothy Lachat 10880 E Sahuaro Dr Scottsdale AZ 85259 2 1556 0.14 1983 10/29/2009 10/28/2009 Single Family Residence 10864 E Florian Ave Mesa AZ 85208 220-72-144 Maricopa Lawrence Pew 10864 E Florian Ave Mesa AZ 85208 7 1432 0.15 2001 10/29/2009 10/28/2009 Other 10739 W Quail Ave Sun City AZ 85373 200-12-820 Maricopa Garry B Henderson 10739 W Quail Ave Sun City AZ 85373 3 2 1711 0.19 1998 10/29/2009 10/28/2009 Single Family Residence 10725 W Cottonwood Ln Avondale AZ 85392 102-86-811 Maricopa W Lane 10725 W Cottonwood Ln Avondale AZ 85392 7 1798 0.17 1996 10/29/2009 10/28/2009 Other Page 12
  • 13.
    Pre-foreclosure List Maricopa County Week Ending 11/2 1072 W Morelos St Chandler AZ 85224 303-75-059 Maricopa David Lynda Bjorklund (480) 272-9035 1072 W Morelos St Chandler AZ 85224 2.5 1765 0.1 1996 10/29/2009 10/28/2009 Single Family Residence 10715 E Whitethorn Dr 19 Scottsdale AZ 85262 216-82-047 Maricopa Lllp Silvermist 10715 E Whitethorn Dr Unit 19 Scottsdale AZ 85262 18 6014 0.56 2009 10/29/2009 10/28/2009 Single Family Residence 10643 E Ananea Ave Mesa AZ 85208 220-53-432 Maricopa Raymond Obolewicz 10643 E Ananea Ave Mesa AZ 85208 3 2885 0.17 1999 10/29/2009 10/28/2009 Single Family Residence 10592 E Firewheel Dr Scottsdale AZ 85255 217-17-677 Maricopa Eric Katherine Schwarz 10592 E Firewheel Dr Scottsdale AZ 85255 3.75 2613 0.13 1996 10/29/2009 10/28/2009 Single Family Residence 10444 E Albany St Apache Junction AZ 85220 220-47-042 Maricopa Antonia Delia Arrieta (602) 326-4378 10444 E Albany St Apache Junction AZ 85120 1 1040 0.16 1972 10/29/2009 10/27/2009 Single Family Residence 10425 W Magnolia St Tolleson AZ 85353 101-20-863 Maricopa Francisco Celia Costal (623) 322-4686 10425 W Magnolia St Tolleson AZ 85353 10 2670 0.11 2007 10/29/2009 10/28/2009 Single Family Residence 10408 W Wood St Tolleson AZ 85353 101-28-357 Maricopa Sara De La Torre 10408 W Wood St Tolleson AZ 85353 9 2783 0.17 2006 10/29/2009 10/28/2009 Single Family Residence 10376 W Atlantis Way Tolleson AZ 85353 101-28-436 Maricopa Vianey Gallardo 10376 W Atlantis Way Tolleson AZ 85353 4 3 2783 0.12 2006 10/29/2009 10/28/2009 Other 1036 E Lodgepole Dr Gilbert AZ 85298 304-72-549 Maricopa Vester Neasman 1036 E Lodgepole Dr Gilbert AZ 85298 14 4933 0.22 2007 10/29/2009 10/28/2009 Single Family Residence 1022 N 11th St Phoenix AZ 85006 116-28-035 Maricopa Toby M Girard 1022 N 11th St Phoenix AZ 85006 1 1069 0.09 1923 10/29/2009 10/28/2009 Single Family Residence 10112 E Pantera Ave Mesa AZ 85212 309-19-360 Maricopa Ashby Noel 10112 E Pantera Ave Mesa AZ 85212 4 3 2552 0.16 2001 10/29/2009 10/28/2009 Single Family Residence 1003 W Scorpio Dr Guadalupe AZ 85283 301-06-254-l Maricopa George Kasnoff 1003 W Scorpio Dr Guadalupe AZ 85283 3 1461 0.06 1995 10/29/2009 10/28/2009 Single Family Residence 1 W Vista Ave Phoenix AZ 85021 160-40-085 Maricopa Timothy Cook (760) 525-4804 509 W Moon Valley Dr Phoenix AZ 85023 15 4013 0.33 1996 10/29/2009 10/28/2009 Other 9786 S La Rosa Dr Tempe AZ 85284 308-07-642 Maricopa Robert P Espiritu Po Box 284 Florham Park NJ 7932 4 3.5 3238 0.15 1997 10/28/2009 10/26/2009 Other 9633 E Olla Ave Mesa AZ 85212 304-02-034 Maricopa Heidicruise Huenerbein 9633 E Olla Ave Mesa AZ 85212 3 2 1877 0.14 1999 10/28/2009 10/27/2009 Single Family Residence 9483 E Whitewing Dr Scottsdale AZ 85262 216-35-002 Maricopa Ray Wilson 9483 E Whitewing Dr Scottsdale AZ 85262 3 3 2167 0.13 1999 10/28/2009 10/27/2009 Single Family Residence 9450 E Becker Ln B2039 Scottsdale AZ 85260 217-26-833 Maricopa Michael Burggraf 9450 E Becker Ln Unit B2039 Scottsdale AZ 85260 3 663 0.02 1991 10/28/2009 10/27/2009 Condominium 9432 W Melinda Ln Peoria AZ 85382 231-24-554 Maricopa David Lippert (623) 215-3494 9432 W Melinda Ln Peoria AZ 85382 3.75 2968 0.17 2001 10/28/2009 10/27/2009 Single Family Residence 9241 N 84th Ave Peoria AZ 85345 142-89-440 Maricopa Alfredo Altamirano Jr (623) 773-1503 9241 N 84th Ave Peoria AZ 85345 2.5 1615 0.2 1987 10/28/2009 10/27/2009 Single Family Residence 921 W Lincoln St Phoenix AZ 85007 112-12-077 Maricopa Ary R Camara 921 W Lincoln St Phoenix AZ 85007 1 1136 0.15 1936 10/28/2009 10/27/2009 Single Family Residence 915 E Fremont Rd Phoenix AZ 85042 114-20-004-d Maricopa Badilla Family 915 E Fremont Rd Phoenix AZ 85042 1 1040 1.07 1960 10/28/2009 10/27/2009 Single Family Residence 914 E Hearne Wy Gilbert AZ 85234 304-13-398 Maricopa Peter F Ledesma (480) 539-4388 914 E Hearne Way Gilbert AZ 85234 3 2 1355 0.08 1989 10/28/2009 10/27/2009 Other 9106 N 68th Ln Peoria AZ 85345 143-11-354 Maricopa Carlos Marin 9106 N 68th Ln Peoria AZ 85345 2 2 1056 0.07 1985 10/28/2009 10/27/2009 Condominium 8634 W Payson Rd Tolleson AZ 85353 101-30-026 Maricopa Fernando Lebron (623) 215-8536 8634 W Payson Rd Tolleson AZ 85353 8 2145 0.1 2006 10/28/2009 10/27/2009 Other 8510 E Edgewood Ave Mesa AZ 85208 218-51-011 Maricopa Glen Penny Millett (480) 984-6542 8510 E Edgewood Ave Mesa AZ 85208 2 1204 0.17 1984 10/28/2009 10/27/2009 Single Family Residence 8458 W Monona Ln Peoria AZ 85382 200-16-933 Maricopa Wallybarr Bahoura 8458 W Monona Ln Peoria AZ 85382 2.5 1685 0.12 2002 10/28/2009 10/27/2009 Single Family Residence 8450 W Charter Oak Rd Peoria AZ 85381 200-79-641 Maricopa Seng Lov 8450 W Charter Oak Rd Peoria AZ 85381 2.75 1522 0.1 1993 10/28/2009 10/27/2009 Single Family Residence 8324 W Elm St Phoenix AZ 85037 102-74-744 Maricopa Marioara Ioschici (623) 845-9322 8506 W Mariposa Dr Phoenix AZ 85037 2 870 0.08 1996 10/28/2009 10/27/2009 Single Family Residence 8232 W Whitton Ave Phoenix AZ 85033 102-68-050 Maricopa Demetri S Lagarde 8232 W Whitton Ave Phoenix AZ 85033 6 1780 0.12 1961 10/28/2009 10/27/2009 Single Family Residence 81 N Del Pueblo Pl Chandler AZ 85226 308-09-581 Maricopa Abby Abramowitz 81 N Del Pueblo Pl Chandler AZ 85226 2.5 1478 0.11 1994 10/28/2009 10/27/2009 Single Family Residence 8035 W Melinda Ln Peoria AZ 85382 200-18-433 Maricopa Osceola Emerita C Adams 8035 W Melinda Ln Peoria AZ 85382 2.5 1685 0.13 1998 10/28/2009 10/27/2009 Single Family Residence 7942 W Shaw Butte Dr Peoria AZ 85345 142-02-169 Maricopa Charlene Holsinger (623) 979-5680 7942 W Shaw Butte Dr Peoria AZ 85345 2.75 1294 0.09 1992 10/28/2009 10/27/2009 Single Family Residence 7938 W Larkspur Dr Peoria AZ 85381 231-10-545 Maricopa James Heck (623) 463-3332 7938 W Larkspur Dr Peoria AZ 85381 2 1506 0.16 1985 10/28/2009 10/27/2009 Single Family Residence 7920 W Desert Cove Ave Peoria AZ 85345 142-10-128 Maricopa John Gaumnitz 7920 W Desert Cove Ave Peoria AZ 85345 2.5 1636 0.17 1987 10/28/2009 10/27/2009 Single Family Residence 7918 E Loma Land Dr Scottsdale AZ 85257 131-11-035 Maricopa Gabriel Isabel Mateos (480) 874-0432 7918 E Loma Land Dr Scottsdale AZ 85257 2 1362 0.13 1959 10/28/2009 10/27/2009 Single Family Residence 7771 W Crocus Dr Peoria AZ 85381 200-62-162 Maricopa Jonathan P Jones (623) 776-3114 7771 W Crocus Dr Peoria AZ 85381 3 1812 0.2 1991 10/28/2009 10/27/2009 Single Family Residence 7745 W Pasadena Ave Glendale AZ 85303 102-08-078 Maricopa Edgar A Gonzalez 7745 W Pasadena Ave Glendale AZ 85303 1 1144 0.13 1972 10/28/2009 10/27/2009 Single Family Residence 771 N Lisbon Dr Chandler AZ 85226 308-08-509 Maricopa James Small 961 N Forest Ct Chandler AZ 85226 4 3 2419 0.16 1994 10/28/2009 10/27/2009 Single Family Residence 7457 W Aurora Dr Glendale AZ 85308 200-21-818 Maricopa David May 13495 S 176th Dr Goodyear AZ 85338 9 2296 0.15 1998 10/28/2009 10/27/2009 Single Family Residence 742 S Parsell Cir Mesa AZ 85204 139-20-116 Maricopa Duran Liia 742 S Parsell Cir Mesa AZ 85204 6 1410 0.18 1970 10/28/2009 10/27/2009 Other 7376 S 253rd Ave Buckeye AZ 85326 504-41-187 Maricopa Mendoza James (623) 327-3828 7376 S 253rd Ave Buckeye AZ 85326 8 2079 0.14 2008 10/28/2009 10/26/2009 Single Family Residence 7309 S 56th Ln Phoenix AZ 85339 104-87-144 Maricopa Atin Kapadia 2019 W Lemon Tree Pl Unit 1164 Chandler AZ 85224 8 1753 0.11 2004 10/28/2009 10/27/2009 Other 720 N Date Mesa AZ 85201 135-23-025 Maricopa Kenneth Morris 3509 E Harwell Rd Gilbert AZ 85234 2 2574 0.2 1985 10/28/2009 10/27/2009 Single Family Residence 7002 W Beatrice St Phoenix AZ 85043 102-41-155 Maricopa Jacinto Ramirez 7002 W Beatrice St Phoenix AZ 85043 2 1246 0.12 1983 10/28/2009 10/26/2009 Single Family Residence 69 W 11th Ave Mesa AZ 85210 139-45-124 Maricopa Steven Gonzalez 69 W 11th Ave Mesa AZ 85210 1 948 0.14 1968 10/28/2009 10/27/2009 Single Family Residence 675 S Lanus Dr Gilbert AZ 85296 309-12-372 Maricopa Kurt Angelina Springer 675 S Lanus Dr Gilbert AZ 85296 2.75 1702 0.15 1997 10/28/2009 10/27/2009 Single Family Residence 6628 S 44th Ave Phoenix AZ 85339 104-77-681 Maricopa Julio E Moran 6628 S 44th St Phoenix AZ 85042 2 1608 0.14 1973 10/28/2009 10/27/2009 Single Family Residence 6508 S 74th Ln Phoenix AZ 85339 104-84-636 Maricopa Don Miller (602) 682-7671 6508 S 74th Ln Laveen AZ 85339 6 1413 0.11 2007 10/28/2009 10/27/2009 Other 648 W Pierson St Phoenix AZ 85013 155-35-106 Maricopa Madrid Rand (602) 740-6185 648 W Pierson St Phoenix AZ 85013 1475 0.17 1939 10/28/2009 10/27/2009 Single Family Residence 6431 W Campbell Ave Phoenix AZ 85033 144-84-021 Maricopa Pedro Valdovinos 6431 W Campbell Ave Phoenix AZ 85033 2.75 2077 0.19 1962 10/28/2009 10/27/2009 Single Family Residence 6412 W Sophie Ln Phoenix AZ 85339 300-13-370 Maricopa Chrissydaugherty Neese (623) 696-0722 6412 W Sophie Ln Laveen AZ 85339 6 1358 0.07 2006 10/28/2009 10/27/2009 Other 6362 E Princess Dr Mesa AZ 85205 141-84-561 Maricopa John Doumakes (480) 325-7428 6362 E Princess Dr Mesa AZ 85205 3 2505 0.18 1988 10/28/2009 10/26/2009 Single Family Residence 6320 W Toronto Wy Phoenix AZ 85043 104-37-057-- Maricopa Chad Guilds (623) 451-0180 6320 W Toronto Way Phoenix AZ 85043 2 1590 0.12 2001 10/28/2009 10/27/2009 Single Family Residence 6137 N 17th Ave Phoenix AZ 85015 156-20-031 Maricopa Zina Rubinova (602) 466-2721 6137 N 17th Ave Phoenix AZ 85015 2 1793 0.19 1951 10/28/2009 10/27/2009 Single Family Residence 6133 E Sage Dr Phoenix AZ 85253 172-10-023 Maricopa Jeffrey P Rice (480) 621-7732 6133 E Sage Dr Paradise Valley AZ 85253 21 7671 1.48 1969 10/28/2009 10/27/2009 Other 5901 W Mitchell Dr Phoenix AZ 85033 103-04-017 Maricopa Guzman Alejandro Jr 5901 W Mitchell Dr Phoenix AZ 85033 3 2 1233 0.15 1971 10/28/2009 10/27/2009 Single Family Residence 5824 S Dysart Rd Avondale AZ 85323 500-77-006-v Maricopa Broc W York 5824 S Dysart Rd Avondale AZ 85323 2.75 2016 4.86 1985 10/28/2009 10/27/2009 Single Family Residence Page 13
  • 14.
    Pre-foreclosure List Maricopa County Week Ending 11/2 5601 N 31st Ln Phoenix AZ 85017 153-15-069 Maricopa Susan Salvador 5601 N 31st Ln Phoenix AZ 85017 2 1420 0.13 1954 10/28/2009 10/27/2009 Single Family Residence 5510 W Tether Tr Phoenix AZ 85083 201-38-155 Maricopa Todd M Kelley (623) 234-3616 5510 W Tether Trl Phoenix AZ 85083 12 2745 0.14 2006 10/28/2009 10/27/2009 Single Family Residence 5410 W Vernon Ave Phoenix AZ 85035 103-17-258-a Maricopa Williams Lrita (602) 272-0723 5410 W Vernon Ave Phoenix AZ 85035 2 2042 0.26 1965 10/28/2009 10/27/2009 Single Family Residence 5251 N 80th Dr Glendale AZ 85303 102-09-158 Maricopa Dahl Shelley Willis 5251 N 80th Dr Glendale AZ 85303 4 2 1986 0.13 1992 10/28/2009 10/27/2009 Single Family Residence 5030 S 22nd Pl Phoenix AZ 85040 122-07-097 Maricopa Dwayne E Evans 5030 S 22nd Pl Phoenix AZ 85040 2 1154 0.16 1970 10/28/2009 10/27/2009 Single Family Residence 4836 S 10th St Phoenix AZ 85040 113-50-013 Maricopa Jim Cadriel 4339 W Cheery Lynn Rd Phoenix AZ 85031 1 1431 0.19 1940 10/28/2009 10/27/2009 Single Family Residence 4727 S Goldstrike Gilbert AZ 85297 304-59-523 Maricopa Trust Terrlance 4727 S Goldstrike Gilbert AZ 85297 4 3.5 5097 1.58 2006 10/28/2009 10/27/2009 Single Family Residence 457 S Marin Dr Gilbert AZ 85296 304-21-836 Maricopa Michael Anderson 457 S Marin Dr Gilbert AZ 85296 2.75 1816 0.26 1996 10/28/2009 10/27/2009 Single Family Residence 4543 W Greenway Rd Glendale AZ 85306 207-30-029 Maricopa Toni R Morgan 4543 W Greenway Rd Glendale AZ 85306 2 1839 0.73 1969 10/28/2009 10/27/2009 Single Family Residence 4460 E Harrison St Gilbert AZ 85295 304-38-740 Maricopa South Lake Llc 4460 E Harrison St Gilbert AZ 85295 8 2159 0.1 2004 10/28/2009 10/27/2009 Single Family Residence 4425 N 20th St 18 Phoenix AZ 85016 163-31-218 Maricopa Robert Macintosh Jr 4425 N 20th St 18 Phoenix AZ 85016 3.5 1534 0.01 2000 10/28/2009 10/27/2009 Condominium 4413 W Villa Linda Dr Glendale AZ 85310 205-12-629 Maricopa Anthony Hickman 4413 W Villa Linda Dr Glendale AZ 85310 4 2 2041 0.18 1990 10/28/2009 10/27/2009 Single Family Residence 43827 N 16th St Phoenix AZ 85087 202-20-075-h Maricopa William Arbuckle 43827 N 16th St Phoenix AZ 85087 9 2406 0.96 2004 10/28/2009 10/26/2009 Single Family Residence 4362 E Sack Dr Phoenix AZ 85050 215-04-239 Maricopa Anthony F Pawlak 4362 E Sack Dr Phoenix AZ 85050 10 1646 0.06 2007 10/28/2009 10/26/2009 Single Family Residence 4350 E Gatewood Dr Phoenix AZ 85050 212-34-563 Maricopa John Sisk (480) 699-7758 4350 E Gatewood Rd Phoenix AZ 85050 2.75 1661 0.1 1997 10/28/2009 10/27/2009 Single Family Residence 432 E Harrison St Chandler AZ 85225 302-67-046 Maricopa Tracy Elena Goodenough 432 E Harrison St Chandler AZ 85225 2 1120 0.13 1996 10/28/2009 10/27/2009 Single Family Residence 416 E Turquoise Ave Phoenix AZ 85020 159-42-015 Maricopa Doris A Gonzalez (602) 953-3122 416 E Turquoise Ave Phoenix AZ 85020 1.75 1084 0.04 1983 10/28/2009 10/27/2009 Condominium 41508 N River Bend Ct Anthem AZ 85086 211-22-082 Maricopa Tony Tamburo 41508 N River Bend Ct Anthem AZ 85086 8 1846 0.12 2005 10/28/2009 10/27/2009 Single Family Residence 4131 W Marlette Ave Phoenix AZ 85019 152-30-071 Maricopa Rodriguez Martina (602) 995-0761 4131 W Marlette Ave Phoenix AZ 85019 2 1576 0.14 1959 10/28/2009 10/27/2009 Single Family Residence 4116 N 30th Dr Phoenix AZ 85017 154-25-022 Maricopa Vitelio Lozano 4116 N 30th Dr Phoenix AZ 85017 1.75 1656 0.23 1951 10/28/2009 10/27/2009 Single Family Residence 4106 E Silverwood Dr Phoenix AZ 85048 307-03-147 Maricopa Andy Wilt 4106 E Silverwood Dr Phoenix AZ 85048 3 2 1443 0.1 1992 10/28/2009 10/27/2009 Single Family Residence 4021 E Pecan Rd Phoenix AZ 85040 123-16-039 Maricopa Jeffery Mcaffee 4021 E Pecan Rd Phoenix AZ 85040 2 1432 0.17 1979 10/28/2009 10/27/2009 Single Family Residence 3932 S Eucalyptus Pl Chandler AZ 85286 303-43-591 Maricopa Dennis Turner 3932 S Eucalyptus Pl Chandler AZ 85286 4 2 1871 0.14 2004 10/28/2009 10/27/2009 Single Family Residence 3926 W Irwin Ave Phoenix AZ 85041 105-89-352 Maricopa Javier Penaloza 3926 W Irwin Ave Phoenix AZ 85041 6 1830 0.07 2002 10/28/2009 10/26/2009 Single Family Residence 3926 E Winslow Ave Phoenix AZ 85040 122-01-012 Maricopa Larsen Richard 3926 E Winslow Ave Phoenix AZ 85040 0.18 10/28/2009 10/27/2009 Other 39029 N 11th Ave Anthem AZ 85086 211-50-050 Maricopa Douglas Newtown 39029 N 11th Ave Anthem AZ 85086 4 2 2280 1.02 1989 10/28/2009 10/27/2009 Single Family Residence 3902 W Lane Ave Phoenix AZ 85051 151-06-009 Maricopa Mayeda Rubygary (623) 934-4170 3902 W Lane Ave Phoenix AZ 85051 6 1772 0.17 1970 10/28/2009 10/27/2009 Single Family Residence 3839 W Lupine Ave Phoenix AZ 85029 149-33-164 Maricopa Rolando Paredes 3839 W Lupine Ave Phoenix AZ 85029 2 1670 0.12 1971 10/28/2009 10/27/2009 Single Family Residence 3735 W Memorial Dr Anthem AZ 85086 203-10-735 Maricopa David Meszaros 18148 W Golden Ln Waddell AZ 85355 9 2168 0.11 2005 10/28/2009 10/27/2009 Single Family Residence 3732 W Fleetwood Ln Phoenix AZ 85019 152-03-087 Maricopa Martha S Larson 4115 W Encanto Blvd Phoenix AZ 85009 2 1875 0.15 1957 10/28/2009 10/27/2009 Single Family Residence 3539 W Campbell Ave Phoenix AZ 85019 107-10-024 Maricopa Torres Eduardo 3539 W Campbell Ave Phoenix AZ 85019 6 1344 0.15 1960 10/28/2009 10/27/2009 Single Family Residence 3324 N 79th Ave Phoenix AZ 85033 102-22-219 Maricopa Juan Mireles (623) 505-3845 3324 N 79th Ave Phoenix AZ 85033 2 1348 0.2 1978 10/28/2009 10/27/2009 Single Family Residence 3239 E Vaughn Ave Gilbert AZ 85234 309-23-051 Maricopa Padilla Lama 3239 E Vaughn Ave Gilbert AZ 85234 4 2537 0.27 2001 10/28/2009 10/26/2009 Single Family Residence 3232 W Alta Vista Rd Phoenix AZ 85041 105-88-768 Maricopa El-rashied Alimam 4610 S Rural Rd Unit 306 Tempe AZ 85282 3 2 1759 0.12 2005 10/28/2009 10/27/2009 Other 3208 N 49th Ave Phoenix AZ 85031 107-46-077 Maricopa Nestorvillalta Duran (602) 278-5106 3208 N 49th Ave Phoenix AZ 85031 2 1688 0.28 1958 10/28/2009 10/27/2009 Single Family Residence 32 S Matlock St Mesa AZ 85204 138-16-034-a Maricopa Rodrigo Valenzuela 32 S Matlock St Mesa AZ 85204 2 1242 0.18 1986 10/28/2009 10/27/2009 Single Family Residence 31307 N 57th Pl Az 85331 AZ 85331 211-45-003-u Maricopa Avey Investments Llc 31307 N 57th Pl Cave Creek AZ 85331 19 4900 0.87 2006 10/28/2009 10/27/2009 Other 3114 E Canyon Creek Dr Gilbert AZ 85295 304-47-267 Maricopa Jacqualine Delamater Jr 3114 E Canyon Creek Dr Gilbert AZ 85295 14 4106 0.2 2003 10/28/2009 10/26/2009 Single Family Residence 311 N Brookside St Chandler AZ 85225 302-84-430 Maricopa Ronaldcynthia Sparenga 311 N Brookside St Chandler AZ 85225 10 2147 0.1 1994 10/28/2009 10/27/2009 Single Family Residence 30600 N Pima Rd 21 Scottsdale AZ 85266 216-65-032 Maricopa Adams Rmitra 30600 N Pima Rd Unit 21 Scottsdale AZ 85266 5.75 4438 1.18 2002 10/28/2009 10/27/2009 Single Family Residence 3036 W Monte Vista Rd Phoenix AZ 85009 108-16-127-a Maricopa Esperanza Deciga (480) 430-1044 3036 W Monte Vista Rd Phoenix AZ 85009 3 800 0.13 1951 10/28/2009 10/27/2009 Single Family Residence 3015 E Whitton Ave Phoenix AZ 85016 119-08-018 Maricopa Jdg Management Llc 3015 E Whitton Ave Phoenix AZ 85016 2 1433 0.14 1955 10/28/2009 10/26/2009 Single Family Residence 2952 E Escuda Rd Phoenix AZ 85050 213-17-055 Maricopa Donald Atchinson (602) 524-3469 2952 E Escuda Rd Phoenix AZ 85050 14 3574 0.19 2001 10/28/2009 10/27/2009 Single Family Residence 2835 W Rovey Ave Phoenix AZ 85017 152-15-112 Maricopa Otero Dominguez (602) 358-7736 2835 W Rovey Ave Phoenix AZ 85017 3 1148 0.15 1951 10/28/2009 10/27/2009 Single Family Residence 2810 W Keim Dr Phoenix AZ 85017 152-15-030 Maricopa Richard Patricia A Freeman 2810 W Keim Dr Phoenix AZ 85017 1 1111 0.12 1952 10/28/2009 10/27/2009 Single Family Residence 2715 W Montgomery Dr Chandler AZ 85224 302-93-261 Maricopa Anthony Patricia Betancourt 2715 W Montgomery Dr Chandler AZ 85224 4 2587 0.16 1985 10/28/2009 10/27/2009 Single Family Residence 27002 N 178th Ave Sun City West AZ 85387 503-51-658 Maricopa Kyle Danielle Buteau 27002 N 178th Ave Sun City West AZ 85387 7 1734 0.13 2007 10/28/2009 10/27/2009 Single Family Residence 26809 N 231st Ave Wittmann AZ 85361 503-33-007-b Maricopa James Morehouse (623) 848-9833 26809 N 231st Ave Wittmann AZ 85361 1.13 10/28/2009 10/27/2009 Other 26230 S Flame Tree Dr Sun Lakes AZ 85248 303-70-333 Maricopa Bessie Greenhouse 26235 S Saddletree Dr Chandler AZ 85248 2 2 1772 0.14 1996 10/28/2009 10/27/2009 Single Family Residence 2531 N 37th Ave Phoenix AZ 85009 108-13-114 Maricopa Mariano R Ramirez 2531 N 37th Ave Phoenix AZ 85009 1 960 0.12 1954 10/28/2009 10/27/2009 Single Family Residence 2529 W Darrel Rd Phoenix AZ 85041 105-85-208 Maricopa North Properties Llc 2529 W Darrel Rd Phoenix AZ 85041 8 2108 0.15 2004 10/28/2009 10/27/2009 Single Family Residence 2525 S 228th Dr Buckeye AZ 85326 504-22-221 Maricopa Francis Christensen (602) 617-7230 2525 S 228th Dr Buckeye AZ 85326 2.5 2495 0.91 1979 10/28/2009 10/27/2009 Single Family Residence 2517 W Darrel Rd Phoenix AZ 85041 105-85-205 Maricopa North Properties Llc 2517 W Darrel Rd Phoenix AZ 85041 8 2108 0.15 2004 10/28/2009 10/27/2009 Single Family Residence 2516 W Darrel Rd Phoenix AZ 85041 105-85-197 Maricopa North Properties Llc 2516 W Darrel Rd Phoenix AZ 85041 10 2312 0.14 2004 10/28/2009 10/27/2009 Single Family Residence 2354 N 123rd Ln Avondale AZ 85392 501-88-155 Maricopa Gilbert Moreno 2354 N 123rd Ln Avondale AZ 85392 4 2 2335 0.18 1995 10/28/2009 10/27/2009 Single Family Residence 22542 W Cocopah St Buckeye AZ 85326 504-21-455 Maricopa Samuel Angelica Lopez 22542 W Cocopah St Buckeye AZ 85326 6 1428 0.1 2004 10/28/2009 10/27/2009 Single Family Residence 22451 S 202nd Ct Chandler HeightsAZ 85242 304-67-366 Maricopa Ismail Azizshaker 22451 S 202nd Ct Chandler Heights AZ 85142 0.05 10/28/2009 10/26/2009 Other Page 14
  • 15.
    Pre-foreclosure List Maricopa County Week Ending 11/2 22332 E Via Del Palo Chandler HeightsAZ 85242 314-03-754 Maricopa Kathryn William G Solomon 22332 E Via Del Palo Chandler Heights AZ 85142 6 1611 0.12 2005 10/28/2009 10/27/2009 Single Family Residence 2232 S 258th Ave Buckeye AZ 85326 504-60-573 Maricopa Elia Francisco Elia Rivadeneyra (623) 242-9237 2232 S 258th Ave Buckeye AZ 85326 6 1868 0.12 2006 10/28/2009 10/27/2009 Single Family Residence 22018 N 59th Ln Glendale AZ 85310 200-05-259 Maricopa Chiu Lin 22018 N 59th Ln Glendale AZ 85310 4.75 3169 0.19 1994 10/28/2009 10/27/2009 Single Family Residence 2117 E Broadmor Dr Tempe AZ 85282 133-34-540 Maricopa Andrew Wilt 2117 E Broadmor Dr Tempe AZ 85282 2.75 1724 0.18 1969 10/28/2009 10/27/2009 Single Family Residence 20408 N 30th Wy Phoenix AZ 85050 213-12-173 Maricopa Salem Smajdouline (602) 493-3745 20408 N 30th Way Phoenix AZ 85050 3 2177 0.08 1999 10/28/2009 10/27/2009 Single Family Residence 2025 E Campbell Ave 305 Phoenix AZ 85016 163-31-387 Maricopa Holdings Jpk Llc 2025 E Campbell Ave Unit 305Phoenix AZ 85016 3 951 0.02 1989 10/28/2009 10/27/2009 Condominium 2025 E Campbell Ave 243 Phoenix AZ 85016 163-31-357 Maricopa Bruno Bardet 2025 E Campbell Ave Unit 243Phoenix AZ 85016 6 1006 0.02 1989 10/28/2009 10/27/2009 Condominium 2024 E Edgewood Ave Mesa AZ 85204 140-43-029 Maricopa Sanchez Beatriz 2024 E Edgewood Ave Mesa AZ 85204 7 1740 0.15 1980 10/28/2009 10/27/2009 Single Family Residence 202 E Park Ave Gilbert AZ 85234 304-11-302 Maricopa Merino Scott 202 E Park Ave Gilbert AZ 85234 1 1 756 0.16 1973 10/28/2009 10/27/2009 Condominium 20141 E Palm Beach Dr Chandler HeightsAZ 85242 304-91-039-g Maricopa Jaime Rosalva Olave 20141 E Palm Beach Dr Chandler Heights AZ 85142 2 1928 0.88 2000 10/28/2009 10/27/2009 Single Family Residence 19352 E Thornton Rd Chandler HeightsAZ 85242 314-02-272 Maricopa Juan Cruz 19352 E Thornton Rd Chandler Heights AZ 85142 4 2.5 2757 0.19 2003 10/28/2009 10/27/2009 Single Family Residence 1915 S 364th Ave Tonopah AZ 85354 506-41-401 Maricopa Lone Investment Llc 1915 S 364th Ave Tonopah AZ 85354 3 1000 1.09 2005 10/28/2009 10/27/2009 Single Family Residence 1914 E Colter St Phoenix AZ 85016 164-54-003 Maricopa David Cindy Levin 1914 E Colter St Phoenix AZ 85016 1635 0.16 1959 10/28/2009 10/27/2009 Duplex 18991 N 74th Dr Glendale AZ 85308 200-29-067 Maricopa John Nickeson 18991 N 74th Dr Glendale AZ 85308 4 3.75 3055 0.19 1991 10/28/2009 10/27/2009 Single Family Residence 1830 W Oraibi Dr Phoenix AZ 85027 209-19-057 Maricopa William Simon 1830 W Oraibi Dr Phoenix AZ 85027 2 1388 0.17 1980 10/28/2009 10/27/2009 Single Family Residence 18221 W Mission Ln Waddell AZ 85355 502-91-053 Maricopa James L Brown Po Box 330032 Fort Worth TX 76163 8 1595 0.11 2005 10/28/2009 10/27/2009 Single Family Residence 1809 W Hadley St Phoenix AZ 85007 112-13-093 Maricopa Joseph Fleming 1809 W Hadley St Phoenix AZ 85007 1 676 0.13 1936 10/28/2009 10/27/2009 Single Family Residence 18040 W Mission Ln Waddell AZ 85355 502-91-330 Maricopa Roxana G Frakes 3911 1/2 W Morrison Ave Tampa FL 33629 10 2263 0.11 2006 10/28/2009 10/27/2009 Single Family Residence 17824 N Stone Haven Dr Sun City AZ 85374 232-40-119 Maricopa Floyd Templeton (707) 539-1104 12 El Prado Ct Santa Rosa CA 95405 2.5 2016 0.17 2000 10/28/2009 10/27/2009 Single Family Residence 1701 E Colter St 107 Phoenix AZ 85016 164-57-101 Maricopa Martina Square Llc 1701 E Colter St Unit 107 Phoenix AZ 85016 6 790 0.01 2003 10/28/2009 10/27/2009 Condominium 16820 W Carmen Dr Sun City AZ 85388 501-12-809 Maricopa David Anne-marie Lahn 8659 W Adam Ave Peoria AZ 85382 4 2.5 2567 0.12 2004 10/28/2009 10/27/2009 Single Family Residence 1634 W Northern Ave Phoenix AZ 85021 158-07-003-a Maricopa Patrick Tawna Nicoll 1634 W Northern Ave Phoenix AZ 85021 2 1820 0.27 1966 10/28/2009 10/27/2009 Single Family Residence 1615 N 49th Ave Phoenix AZ 85035 103-20-678 Maricopa Marta Fierros 2201 S 82nd Ln Phoenix AZ 85043 2 1346 0.11 1971 10/28/2009 10/27/2009 Single Family Residence 16122 W Desert Bloom St Goodyear AZ 85338 500-05-101 Maricopa Ramona Boston Jr (623) 932-5044 16122 W Desert Bloom St Goodyear AZ 85338 8 1347 0.13 1996 10/28/2009 10/27/2009 Single Family Residence 16040 N 71st Dr Peoria AZ 85382 200-52-669 Maricopa Humes Francis 16040 N 71st Dr Peoria AZ 85382 120 0.14 2005 10/28/2009 10/27/2009 Mobile Home 15877 W Montecito Ave Goodyear AZ 85395 501-61-344 Maricopa Lleraldin Perez 15877 W Montecito Ave Goodyear AZ 85395 12 2899 0.29 2006 10/28/2009 10/27/2009 Single Family Residence 15810 N 172nd Ln Surprise AZ 85388 502-01-159 Maricopa Ernestine Milton 15810 N 172nd Ln Surprise AZ 85388 3 2.5 1533 0.09 2004 10/28/2009 10/27/2009 Single Family Residence 15640 W Minnezona Ave Goodyear AZ 85395 501-61-456 Maricopa Jeffrey Souza 15640 W Minnezona Ave Goodyear AZ 85395 9 2257 0.19 2007 10/28/2009 10/27/2009 Single Family Residence 1543 W Charleston Ave Phoenix AZ 85023 208-04-234 Maricopa Petru Pop 1543 W Charleston Ave Phoenix AZ 85023 3 2 1348 0.17 1973 10/28/2009 10/27/2009 Single Family Residence 1538 S Horne St Mesa AZ 85204 136-26-600 Maricopa Anthony Olivas (480) 668-8437 1538 S Horne St Mesa AZ 85204 10/28/2009 10/27/2009 Other 15031 N 27th Dr Phoenix AZ 85053 207-06-011 Maricopa Gonzalez Jose 15031 N 27th Dr Phoenix AZ 85053 6 1296 0.32 1971 10/28/2009 10/27/2009 Other 14824 N 130th Ln El Mirage AZ 85335 509-13-571 Maricopa Shirley Colmer 14824 N 130th Ln El Mirage AZ 85335 6 1308 0.1 2004 10/28/2009 10/27/2009 Single Family Residence 14603 N 132nd Ave Sun City AZ 85379 501-94-196 Maricopa Christopher J Goodman 14603 N 132nd Ave Sun City AZ 85379 4 2 1527 0.11 2002 10/28/2009 10/27/2009 Single Family Residence 14246 W Boca Raton Rd Sun City AZ 85379 509-17-390 Maricopa Christine N Paredes 14246 W Boca Raton Rd Sun City AZ 85379 2.5 2269 0.12 2005 10/28/2009 10/27/2009 Single Family Residence 14227 E Quail Track Rd Az 85262 AZ 85262 219-39-202-l Maricopa Avey Investments Llc 14227 E Quail Track Rd Scottsdale AZ 85262 5 3 3598 0.87 2006 10/28/2009 10/27/2009 Other 1333 E Morten Ave 136 Phoenix AZ 85020 160-22-156 Maricopa Terry Claire Hillman 1333 E Morten Ave Unit 136 Phoenix AZ 85020 2.5 1068 0.02 1985 10/28/2009 10/27/2009 Condominium 1313 E Peoria Ave Phoenix AZ 85020 159-28-005-a Maricopa Kris Ross 1313 E Peoria Ave Phoenix AZ 85020 0.84 10/28/2009 10/27/2009 Other 1301 E Sand Dollar Cir Gilbert AZ 85234 304-96-623 Maricopa Frederick Lueck (480) 926-9118 1301 E Sand Dollar Ct Gilbert AZ 85234 9 1871 0.23 1987 10/28/2009 10/27/2009 Other 12718 W St Moritz Ln El Mirage AZ 85335 509-13-782 Maricopa Roberto Kristina L Gallarzo (623) 243-6935 12718 W Saint Moritz Ln El Mirage AZ 85335 4 2 1722 0.87 2004 10/28/2009 10/27/2009 Single Family Residence 12511 W Mauna Loa Ln El Mirage AZ 85335 509-13-407 Maricopa Francisco Becerra 12511 W Mauna Loa Ln El Mirage AZ 85335 9 2178 0.11 2003 10/28/2009 10/27/2009 Single Family Residence 12509 W Mandalay Ln El Mirage AZ 85335 509-13-516 Maricopa Jerry Beck 12509 W Mandalay Ln El Mirage AZ 85335 6 1308 0.11 2003 10/28/2009 10/27/2009 Single Family Residence 12229 W Madison St Avondale AZ 85323 500-29-253 Maricopa Barton Eline (623) 975-4592 12229 W Madison St Avondale AZ 85323 2.75 2136 0.16 2001 10/28/2009 10/27/2009 Single Family Residence 11705 W Sunnyside Dr El Mirage AZ 85335 501-45-211 Maricopa Juan C Rodriguez 11705 W Sunnyside Dr El Mirage AZ 85335 2 1832 0.17 2002 10/28/2009 10/27/2009 Single Family Residence 11235 E Escondido Ave Mesa AZ 85208 220-79-154 Maricopa Shawn Soumilas 11235 E Escondido Ave Mesa AZ 85208 2.5 1627 0.13 2000 10/28/2009 10/27/2009 Single Family Residence 1113 S 115th Dr Avondale AZ 85323 500-95-027 Maricopa Joseph Parsons Jr 1113 S 115th Dr Avondale AZ 85323 7 1495 0.12 2004 10/28/2009 10/27/2009 Single Family Residence 1112 N Mckemy Ave Chandler AZ 85226 301-60-761 Maricopa Jeremy Flores (917) 476-1165 1112 N Mckemy Ave Chandler AZ 85226 5 3 3704 0.25 1995 10/28/2009 10/27/2009 Single Family Residence 11051 E Wildcat Hill Rd Scottsdale AZ 85262 219-60-381 Maricopa Sanjeev Chopra 11051 E Wildcat Hill Rd Scottsdale AZ 85262 0.78 10/28/2009 10/27/2009 Other 11025 E Butherus Dr Scottsdale AZ 85255 217-61-538 Maricopa John Dean (480) 361-3887 11025 E Butherus Dr Scottsdale AZ 85255 5 3 3924 0.21 1999 10/28/2009 10/27/2009 Single Family Residence 11016 W Crimson Ln Avondale AZ 85392 102-28-463 Maricopa Eric Joy Davidson 3700 S Hiwassee Rd Choctaw OK 73020 3.5 2064 0.15 1987 10/28/2009 10/27/2009 Single Family Residence 10562 E Cosmos Cir Scottsdale AZ 85255 217-17-476 Maricopa William Cunningham (480) 419-3988 10562 E Cosmos Cir Scottsdale AZ 85255 4 2.5 2678 0.19 1996 10/28/2009 10/27/2009 Single Family Residence 1050 S Stapley Dr 3 Mesa AZ 85204 139-15-064 Maricopa Justin Rachel Gurr 1050 S Stapley Dr Unit 3 Mesa AZ 85204 6 1163 0.02 1979 10/28/2009 10/27/2009 Condominium 10267 E Carribbean Ln Scottsdale AZ 85255 217-65-168 Maricopa E Lane 10267 E Caribbean Ln Scottsdale AZ 85255 3 2 1351 0.1 1998 10/28/2009 10/27/2009 Single Family Residence 9904 E Billings St Mesa AZ 85207 220-30-036-h Maricopa Terry L Womack 9904 E Billings St Mesa AZ 85207 6 1377 0.22 1988 10/27/2009 10/26/2009 Single Family Residence 9653 W Brown St A Peoria AZ 85345 142-54-457 Maricopa Raymond Kohlhaus (623) 476-7174 9653 W Brown St Unit A Peoria AZ 85345 2 1144 0 1978 10/27/2009 10/26/2009 Condominium 958 W Redondo Dr Gilbert AZ 85233 302-37-292 Maricopa Luis Karla Marron 958 W Redondo Dr Gilbert AZ 85233 6 1236 0.09 1991 10/27/2009 10/26/2009 Single Family Residence 957 E Scorpio Pl Chandler AZ 85249 303-53-673 Maricopa Steve Tracie Baker (480) 963-3903 957 E Scorpio Pl Chandler AZ 85249 3 2049 0.14 2002 10/27/2009 10/26/2009 Single Family Residence 9438 W Albert Ln Peoria AZ 85382 200-15-900 Maricopa Harry Granger (623) 825-0317 9438 W Albert Ln Peoria AZ 85382 4 2 1792 0.13 2001 10/27/2009 10/26/2009 Single Family Residence Page 15
  • 16.
    Pre-foreclosure List Maricopa County Week Ending 11/2 9332 W Crown King Rd Tolleson AZ 85353 101-27-079 Maricopa Scott T Erfort 9332 W Crown King Rd Tolleson AZ 85353 12 2138 0.14 2006 10/27/2009 10/26/2009 Single Family Residence 9206 W Lone Cactus Dr Peoria AZ 85382 231-26-166 Maricopa Peter Frick (623) 376-6823 9206 W Lone Cactus Dr Peoria AZ 85382 2 1845 0.13 2000 10/27/2009 10/26/2009 Single Family Residence 912 S Wanda Dr Gilbert AZ 85296 304-26-365 Maricopa Eralio Villareal 912 S Wanda Dr Gilbert AZ 85296 2 1219 0.13 1996 10/27/2009 10/26/2009 Single Family Residence 907 E Gary Ln Phoenix AZ 85042 300-20-112 Maricopa Gary Rosser (602) 323-5260 907 E Gary Ln Phoenix AZ 85042 3.5 2433 0.15 2000 10/27/2009 10/26/2009 Single Family Residence 9029 W Virginia Ave Phoenix AZ 85037 102-36-305 Maricopa Danny Gomez (623) 341-7046 9029 W Virginia Ave Phoenix AZ 85037 2.5 1183 0.12 1997 10/27/2009 10/26/2009 Single Family Residence 8923 S 7th Dr Phoenix AZ 85041 300-51-021 Maricopa Philip Buggs (602) 304-0258 8923 S 7th Dr Phoenix AZ 85041 4 2 1979 0.13 2003 10/27/2009 10/26/2009 Other 8854 S Grandview Dr Tempe AZ 85284 301-61-657 Maricopa Edwards Rebecca 8854 S Grandview Dr Tempe AZ 85284 4 3 2149 0.14 1989 10/27/2009 10/26/2009 Single Family Residence 8702 E Boise St Mesa AZ 85207 218-37-032 Maricopa Daniel B Staehling 8702 E Boise St Mesa AZ 85207 3 2 1288 0.22 1984 10/27/2009 10/26/2009 Other 8701 E Minnezona Ave Scottsdale AZ 85251 173-67-048 Maricopa Michael Ralston 8701 E Minnezona Ave Scottsdale AZ 85251 2 1858 0.19 1962 10/27/2009 10/26/2009 Single Family Residence 868 S Macdonald Mesa AZ 85210 139-42-129 Maricopa Baltazar Arguello 868 S Macdonald Mesa AZ 85210 3 1220 0.21 1958 10/27/2009 10/26/2009 Single Family Residence 8604 S 45th Dr Phoenix AZ 85339 300-84-799 Maricopa Hwan H Kang 8604 S 45th Dr Laveen AZ 85339 11 2982 0.21 2004 10/27/2009 10/26/2009 Other 8473 W Berridge Ln Glendale AZ 85305 102-04-654 Maricopa Palma Angelica 8473 W Berridge Ln Glendale AZ 85305 3 3086 0.17 2002 10/27/2009 10/26/2009 Single Family Residence 8451 W Flower St Phoenix AZ 85037 102-23-902 Maricopa Anderson Canna (623) 845-0240 8451 W Flower St Phoenix AZ 85037 3 2 1360 0.12 1999 10/27/2009 10/26/2009 Other 8333 W Sheridan St Phoenix AZ 85037 102-37-064 Maricopa Allisonpaterno Woodhouse 8333 W Sheridan St Phoenix AZ 85037 9 1652 0.04 2007 10/27/2009 10/26/2009 Other 8325 N 85th St Scottsdale AZ 85258 174-04-093 Maricopa Webster Travis 8325 N 85th St Scottsdale AZ 85258 2.5 1712 0.14 1979 10/27/2009 10/26/2009 Single Family Residence 829 E Laredo St Chandler AZ 85225 302-69-608 Maricopa Jennifer Mobley (480) 857-3112 829 E Laredo St Chandler AZ 85225 2.5 1684 0.11 1997 10/27/2009 10/26/2009 Single Family Residence 8142 E 3rd Ave Mesa AZ 85208 218-32-127 Maricopa Robert A Peel (480) 354-1383 8142 E 3rd Ave Mesa AZ 85208 3 1130 0.18 1940 10/27/2009 10/26/2009 Single Family Residence 8122 N 28th Dr Phoenix AZ 85051 150-06-034 Maricopa Luna Liliana 8122 N 28th Dr Phoenix AZ 85051 1 1102 0.12 1952 10/27/2009 10/26/2009 Single Family Residence 809 N 67th Ln Phoenix AZ 85043 102-41-061 Maricopa Robert C Diaz (623) 936-9580 809 N 67th Ln Phoenix AZ 85043 6 1170 0.22 1981 10/27/2009 10/26/2009 Other 8055 E Thomas Rd A204 Scottsdale AZ 85257 131-03-106 Maricopa Patrick Johnston 8055 E Thomas Rd Unit A204 Scottsdale AZ 85251 2 864 0.02 1972 10/27/2009 10/26/2009 Condominium 8050 E Casper St Mesa AZ 85207 218-08-063 Maricopa Mahatma Vega 8050 E Casper St Mesa AZ 85207 2.5 1794 0.27 1989 10/27/2009 10/26/2009 Single Family Residence 805 N Oleander St Wickenburg AZ 85390 505-08-012 Maricopa Howard Dixon (928) 684-2933 805 Oleander St Wickenburg AZ 85390 2 899 0.45 1955 10/27/2009 10/26/2009 Single Family Residence 805 E Roma Ave Phoenix AZ 85014 155-19-067 Maricopa Roma Holdings Llc 805 E Roma Ave Phoenix AZ 85014 0.47 10/27/2009 10/26/2009 Other 7850 N 47th Ave Glendale AZ 85301 147-03-218 Maricopa Senji Dallas 7850 N 47th Ave Glendale AZ 85301 2 1320 0.06 1971 10/27/2009 10/26/2009 Condominium 7553 Whisper Rock Tr Scottsdale AZ 85266 216-51-025 Maricopa Family Difilippo 7553 E Whisper Rock Trl Scottsdale AZ 85266 1.32 10/27/2009 10/26/2009 Other 746 E Rosemonte Dr Phoenix AZ 85024 213-29-046 Maricopa Jeannie A Adams 746 E Rosemonte Dr Phoenix AZ 85024 3 2.5 1436 0.07 1992 10/27/2009 10/26/2009 Single Family Residence 7446 S 40th Ln Phoenix AZ 85041 105-89-540 Maricopa Gloria Mejia 7446 S 40th Ln Phoenix AZ 85041 3.75 3159 0.31 2001 10/27/2009 10/26/2009 Single Family Residence 742 S Balboa Cir Mesa AZ 85206 140-35-395 Maricopa Arthur Munns 742 S Balboa Cir Mesa AZ 85206 3 2 1837 0.17 1995 10/27/2009 10/26/2009 Single Family Residence 7328 W Florence Ave Phoenix AZ 85043 104-52-227 Maricopa Maxie Rlisa 7328 W Florence Ave Phoenix AZ 85043 10 2675 0.12 2003 10/27/2009 10/26/2009 Single Family Residence 7142 W Devonshire Ave Phoenix AZ 85033 144-39-469 Maricopa Luis Ernelda Quintero (623) 505-7482 7142 W Devonshire Ave Phoenix AZ 85033 2 1344 0.13 1972 10/27/2009 10/26/2009 Single Family Residence 6906 S 14th Dr Phoenix AZ 85041 105-98-041 Maricopa Patrick J Pianalto 6906 S 14th Dr Phoenix AZ 85041 6 1317 0.13 2003 10/27/2009 10/26/2009 Single Family Residence 6905 S Rainbow Rd Buckeye AZ 85326 504-44-016-p Maricopa Krystal L Rawleigh 6905 S Rainbow Rd Buckeye AZ 85326 10 2557 0.87 2005 10/27/2009 10/26/2009 Single Family Residence 6901 W Denton Ln Glendale AZ 85303 144-24-315 Maricopa Albert Jackson Jr 6901 W Denton Ln Glendale AZ 85303 2 2175 0.14 2006 10/27/2009 10/26/2009 Single Family Residence 6828 S 68th Dr Phoenix AZ 85339 104-83-251 Maricopa Jasonbrendastrohmeyer Browne 6828 S 68th Dr Laveen AZ 85339 11 3143 0.14 2005 10/27/2009 10/26/2009 Other 6810 W St Anne Ave Phoenix AZ 85339 104-83-170 Maricopa Victor Montano (602) 374-2470 6810 W St Anne Ave Laveen AZ 85339 12 3553 0.23 2006 10/27/2009 10/26/2009 Other 6622 W Mckinley St Phoenix AZ 85043 103-24-069 Maricopa Jose Vazquez 6622 W Mckinley St Phoenix AZ 85043 1 1040 0.28 1975 10/27/2009 10/26/2009 Single Family Residence 6516 W Devonshire Ave Phoenix AZ 85033 144-86-026-- Maricopa Cortez Antonio 6516 W Devonshire Ave Phoenix AZ 85033 2 2079 0.17 1961 10/27/2009 10/26/2009 Single Family Residence 648 E Springfield Pl Chandler AZ 85286 303-28-301 Maricopa Robert French 648 E Springfield Pl Chandler AZ 85286 3 2195 0.08 2002 10/27/2009 10/26/2009 Single Family Residence 643 S Buena Vista Ave Gilbert AZ 85296 313-10-400 Maricopa Michael Graham 7301 E 3rd Ave Unit 110 Scottsdale AZ 85251 3 10 1684 0.06 2006 10/27/2009 10/26/2009 Other 6407 N 82nd Wy Scottsdale AZ 85250 174-12-077 Maricopa Hoyt Jon 6407 N 82nd Way Scottsdale AZ 85250 2.75 2376 0.26 1967 10/27/2009 10/26/2009 Single Family Residence 612 E Dee St Avondale AZ 85323 500-53-072 Maricopa Pedro R Esqueda (623) 882-8833 612 E Dee St Avondale AZ 85323 1 2033 0.18 2007 10/27/2009 10/26/2009 Single Family Residence 6047 W Maui Ln Glendale AZ 85306 231-07-733 Maricopa Wayne Debra Johnson (602) 938-7800 6047 W Maui Ln Glendale AZ 85306 4 2.75 1 0.17 1986 10/27/2009 10/26/2009 Single Family Residence 6031 W Warner St Phoenix AZ 85043 104-57-439 Maricopa Matthew J Alvey 6031 W Warner St Phoenix AZ 85043 3 1767 0.1 2002 10/27/2009 10/26/2009 Single Family Residence 5911 W Questa Dr Glendale AZ 85310 201-12-735 Maricopa Sozan Esho Kais 5911 W Questa Dr Glendale AZ 85310 9 2230 0.15 2004 10/27/2009 10/26/2009 Single Family Residence 5841 W Cheery Lynn Rd Phoenix AZ 85031 103-42-072 Maricopa Rafael Mercado (480) 560-2436 5841 W Cheery Lynn Rd Phoenix AZ 85031 5 1332 0.13 1960 10/27/2009 10/26/2009 Single Family Residence 5819 N 38th Dr Phoenix AZ 85019 145-09-120 Maricopa Dean Shannon Walker (602) 242-2363 5819 N 38th Dr Phoenix AZ 85019 6 1844 0.14 1958 10/27/2009 10/26/2009 Single Family Residence 573 N Tatum Ln Gilbert AZ 85234 304-15-177 Maricopa Wesley Still (480) 354-7914 573 N Tatum Ln Gilbert AZ 85234 4.75 3038 0.41 1997 10/27/2009 10/26/2009 Single Family Residence 5701 S Rural Rd Guadalupe AZ 85283 301-02-022 Maricopa Granada Lakes Llc 5701 S Rural Rd Guadalupe AZ 85283 2.98 10/27/2009 10/26/2009 Other 5649 N 6th St Phoenix AZ 85012 162-35-015 Maricopa Allan D Doyle 5649 N 6th St Phoenix AZ 85012 4 3723 0.19 1979 10/27/2009 10/26/2009 Single Family Residence 5401 E Van Buren St 3027 Phoenix AZ 85034 124-18-299 Maricopa Katherine A Nowak 5401 E Van Buren St Unit 3027Phoenix AZ 85008 3 684 0.02 1999 10/27/2009 10/26/2009 Condominium 5301 N 83rd Pl Scottsdale AZ 85250 173-73-180 Maricopa Erin Reimer (831) 644-9372 25401 Boots Rd Monterey CA 93940 2 1930 0.27 1966 10/27/2009 10/26/2009 Single Family Residence 5222 N 41st Ave Phoenix AZ 85019 145-27-280 Maricopa Erica Yadira Villegas 5222 N 41st Ave Phoenix AZ 85019 2 1332 0.09 1971 10/27/2009 10/26/2009 Single Family Residence 5123 E Delta Ave Mesa AZ 85206 140-35-385 Maricopa Milenko Sava Djukic 5123 E Delta Ave Mesa AZ 85206 2.5 1552 0.14 1994 10/27/2009 10/26/2009 Single Family Residence 5062 W Kesler Ln Chandler AZ 85226 308-09-214 Maricopa Susan G Hawrylkiw 5062 W Kesler Ln Chandler AZ 85226 2.75 1604 0.11 1993 10/27/2009 10/26/2009 Single Family Residence 4948 W Tonto Rd Glendale AZ 85308 206-30-515 Maricopa Kenneth Nichols (623) 810-3209 4948 W Tonto Rd Glendale AZ 85308 3 1853 0.09 1995 10/27/2009 10/26/2009 Single Family Residence 4829 N 57th Ave Phoenix AZ 85031 144-51-004 Maricopa Pedro Castillo (623) 266-7565 4829 N 57th Ave Phoenix AZ 85031 2 1746 0.19 1957 10/27/2009 10/26/2009 Single Family Residence 4828 W Orangewood Ave 214Glendale AZ 85301 147-03-616 Maricopa George Spencer 4828 W Orangewood Ave UnitGlendale 214 AZ 85301 3 2 872 0 1984 10/27/2009 10/26/2009 Condominium Page 16
  • 17.
    Pre-foreclosure List Maricopa County Week Ending 11/2 4812 E Barwick Dr Phoenix AZ 85331 211-42-335 Maricopa Matthew Winter 4812 E Barwick Dr Cave Creek AZ 85331 10/27/2009 10/26/2009 Other 4625 W Thomas Rd 58 Phoenix AZ 85035 103-53-140-b Maricopa Domingo Gomez 4625 W Thomas Rd Unit 58 Phoenix AZ 85031 1 891 0.03 1971 10/27/2009 10/26/2009 Condominium 4613 W Kimberly Wy Glendale AZ 85308 206-32-384 Maricopa Palmer Siciliano (623) 374-6624 4613 W Kimberly Way Glendale AZ 85308 2.75 1358 0.2 1983 10/27/2009 10/26/2009 Single Family Residence 4565 N 29th Ave Phoenix AZ 85017 154-10-004 Maricopa Carlos Nimatuj 4565 N 29th Ave Phoenix AZ 85017 1 1417 0.17 1952 10/27/2009 10/26/2009 Single Family Residence 4558 E Halifax St Mesa AZ 85205 141-72-025 Maricopa Ortiz Martina 4558 E Halifax St Mesa AZ 85205 3 1200 0.28 1972 10/27/2009 10/26/2009 Single Family Residence 4531 W Wethersfield Rd Glendale AZ 85304 207-41-287 Maricopa Jedbrown Oakason (602) 595-9671 4531 W Wethersfield Rd Glendale AZ 85304 2 1809 0.18 1978 10/27/2009 10/26/2009 Single Family Residence 4449 W Turquoise Ave Glendale AZ 85302 148-06-448 Maricopa Patrick M Griffith 4449 W Turquoise Ave Glendale AZ 85302 1 1488 0.15 1975 10/27/2009 10/26/2009 Single Family Residence 4438 W St Kateri Dr Phoenix AZ 85339 104-77-737 Maricopa Sundharavadivel Kasinathan 4438 W St Kateri Dr Phoenix AZ 85339 8 2114 0.14 2005 10/27/2009 10/26/2009 Other 4426 W Park St Phoenix AZ 85339 104-90-088 Maricopa Hernandez Miriam 4426 W Park St Laveen AZ 85339 6 1518 0.12 2004 10/27/2009 10/26/2009 Other 4419 S 2nd St Phoenix AZ 85040 113-33-022-b Maricopa Luis A Valenzuela 4419 S 2nd St Phoenix AZ 85040 2 1288 0.13 1945 10/27/2009 10/26/2009 Single Family Residence 41808 N Spy Glass Dr Anthem AZ 85086 211-22-048 Maricopa Mark Bootman 41808 N Spy Glass Dr Anthem AZ 85086 17 4319 0.28 2005 10/27/2009 10/26/2009 Single Family Residence 4148 N 81st Ave Phoenix AZ 85033 102-77-155 Maricopa Jose Ramirez 4148 N 81st Ave Phoenix AZ 85033 2 1445 0.17 1979 10/27/2009 10/26/2009 Single Family Residence 4138 E Lexington Ave Gilbert AZ 85234 313-12-418 Maricopa Allen Albert 4138 E Lexington Ave Gilbert AZ 85234 12 3098 0.13 2006 10/27/2009 10/26/2009 Other 4137 W Calle Lejos Glendale AZ 85310 205-11-634 Maricopa Carrie L Curtis 4137 W Calle Lejos Glendale AZ 85310 4 3 2049 0.13 1991 10/27/2009 10/26/2009 Single Family Residence 41204 N Congressional Dr Anthem AZ 85086 203-08-313 Maricopa Paul A Baca 1750 W Union Hills Dr Unit 37Phoenix AZ 85027 4 3.5 2981 0.28 2003 10/27/2009 10/26/2009 Single Family Residence 4120 N 78th St 221 Scottsdale AZ 85251 173-54-515 Maricopa Craig Atheresa 4120 N 78th St Unit 221 Scottsdale AZ 85251 6 1010 0.02 1981 10/27/2009 10/26/2009 Other 4112 W Pinchot Ave Phoenix AZ 85019 107-38-029 Maricopa Gabriel Arreola 4112 W Pinchot Ave Phoenix AZ 85019 2 1665 0.15 1958 10/27/2009 10/26/2009 Single Family Residence 4036 W Lane Ave Phoenix AZ 85051 151-06-021 Maricopa Varela Villegas (623) 236-3982 4036 W Lane Ave Phoenix AZ 85051 2.5 2243 0.2 1970 10/27/2009 10/26/2009 Single Family Residence 3947 W Wonderview Rd Phoenix AZ 85019 145-27-559 Maricopa Leonora G Calvin 3947 W Wonderview Rd Phoenix AZ 85019 1 1005 0.1 1972 10/27/2009 10/26/2009 Condominium 3928 E Sahuaro Dr Phoenix AZ 85028 166-45-068 Maricopa Jair Leon 3928 E Sahuaro Dr Phoenix AZ 85028 2 1192 0.15 1961 10/27/2009 10/26/2009 Single Family Residence 3830 E Lakewood Pkwy 2141Phoenix AZ 85048 306-04-457 Maricopa Jonathan Mamat 3830 E Lakewood Pkwy 2141 Phoenix AZ 85048 6 997 0.02 1995 10/27/2009 10/26/2009 Other 383 N Newport St Chandler AZ 85225 310-07-209 Maricopa Williams Lester 383 N Newport St Chandler AZ 85225 3.5 1876 0.13 1997 10/27/2009 10/26/2009 Single Family Residence 3819 W Columbine Dr Phoenix AZ 85029 149-31-129 Maricopa Amy Larimore 3819 W Columbine Dr Phoenix AZ 85029 2 1376 0.15 1971 10/27/2009 10/26/2009 Single Family Residence 3802 E Dahlia Dr Phoenix AZ 85032 166-56-388 Maricopa Heather Warner 7046 E Paradise Dr Scottsdale AZ 85254 2 1533 0.13 1978 10/27/2009 10/26/2009 Single Family Residence 3743 N 103rd Dr Avondale AZ 85392 102-27-629 Maricopa Garry Wedlow 3743 N 103rd Dr Avondale AZ 85392 2.75 3046 0.18 1999 10/27/2009 10/26/2009 Single Family Residence 3736 S 72nd Ln Phoenix AZ 85043 104-55-333 Maricopa Katherine Joshua Slavik (623) 242-9224 3736 S 72nd Ln Phoenix AZ 85043 1551 0.22 2006 10/27/2009 10/26/2009 Single Family Residence 3620 N 60th Ave Phoenix AZ 85033 103-04-215 Maricopa Wenceslaoruiz Romero 3620 N 60th Ave Phoenix AZ 85033 2 1930 0.14 1972 10/27/2009 10/26/2009 Single Family Residence 3605 W Bethany Home Rd 27Phoenix AZ 85019 145-10-148 Maricopa Humberto Olivia Valdez 3605 W Bethany Home Rd Unit 27 Phoenix AZ 85019 1.75 1200 0.01 1974 10/27/2009 10/26/2009 Condominium 3605 W Bethany Home Rd 23Phoenix AZ 85019 145-10-144 Maricopa Humberto Olivia Valdez 3605 W Bethany Home Rd Unit 23 Phoenix AZ 85019 1.75 1200 0.01 1974 10/27/2009 10/26/2009 Condominium 3600 N Hayden Rd 2602 Scottsdale AZ 85251 130-28-513 Maricopa James Hopewell 3600 N Hayden Rd Unit 2602 Scottsdale AZ 85251 3 934 0.02 1979 10/27/2009 10/26/2009 Condominium 35915 N 34th Ln Anthem AZ 85086 203-27-208-- Maricopa Ford Marie 35915 N 34th Ln Anthem AZ 85086 14 3376 0.13 2004 10/27/2009 10/26/2009 Single Family Residence 3537 W Hadley St Phoenix AZ 85009 106-25-023 Maricopa Eduardo Galaz (602) 455-8663 3537 W Hadley St Phoenix AZ 85009 6 1500 0.12 1954 10/27/2009 10/26/2009 Single Family Residence 3424 W Hidalgo Ave Phoenix AZ 85041 105-68-060 Maricopa Kenneth Buettgen 3424 W Hidalgo Ave Phoenix AZ 85041 3 2 1601 0.11 2005 10/27/2009 10/26/2009 Single Family Residence 3423 N 34th Pl Phoenix AZ 85018 127-28-032 Maricopa Benson Henry (602) 956-1371 3423 N 34th Pl Phoenix AZ 85018 2 1899 0.25 1950 10/27/2009 10/26/2009 Single Family Residence 3422 N 12th Pl Phoenix AZ 85014 118-08-137 Maricopa Guido Rodriguez 3422 N 12th Pl Phoenix AZ 85014 2 2 970 0.15 1983 10/27/2009 10/26/2009 Multi-unit 3307 N 62nd Dr Phoenix AZ 85033 103-47-105 Maricopa Branden Castaneda (602) 909-6506 3307 N 62nd Dr Phoenix AZ 85033 3 1.75 1329 0.16 1961 10/27/2009 10/26/2009 Single Family Residence 3221 W Jefferson St Phoenix AZ 85009 109-40-059 Maricopa Jose Jammie Ibarra 3221 W Jefferson St Phoenix AZ 85009 2199 0.16 1933 10/27/2009 10/26/2009 Duplex 307 E Milada Dr Phoenix AZ 85042 300-45-368 Maricopa Lorenzo Natividad Tovar 307 E Milada Dr Phoenix AZ 85042 2.5 1756 0.12 2002 10/27/2009 10/26/2009 Single Family Residence 3047 N 89th Ave Phoenix AZ 85037 102-73-167 Maricopa Esmeralda Miguel Hernandez (623) 877-0062 3047 N 89th Ave Phoenix AZ 85037 3 1062 0.13 1975 10/27/2009 10/26/2009 Single Family Residence 3021 W Greenway Rd Phoenix AZ 85053 207-34-144 Maricopa Farzad Parvaneh Janfaza 3021 W Greenway Rd Phoenix AZ 85053 2 1024 0.15 1970 10/27/2009 10/26/2009 Single Family Residence 3017 W Irma Ln Phoenix AZ 85027 206-08-112 Maricopa Pace Tucker (623) 879-9125 3017 W Irma Ln Phoenix AZ 85027 2 1056 0.08 1982 10/27/2009 10/26/2009 Single Family Residence 3017 S 81st Ave Phoenix AZ 85043 104-53-252 Maricopa Miguel Vasquez 3017 S 81st Ave Phoenix AZ 85043 3 2 1100 1 1961 10/27/2009 10/26/2009 Single Family Residence 3011 W Roma Ave Phoenix AZ 85017 154-20-136 Maricopa Gutierrez Alonso (602) 973-8671 3011 W Roma Ave Phoenix AZ 85017 1 1141 0.13 1954 10/27/2009 10/26/2009 Single Family Residence 3001 W Muriel Dr Phoenix AZ 85053 207-04-137 Maricopa Rodriguez Rrosa 3001 W Muriel Dr Phoenix AZ 85053 6 1209 0.17 1976 10/27/2009 10/26/2009 Single Family Residence 2992 E Union Hills Dr Phoenix AZ 85050 213-16-037-a Maricopa Craig Bowman 2992 E Union Hills Dr Phoenix AZ 85050 1.75 1183 0.18 1964 10/27/2009 10/26/2009 Single Family Residence 2954 N 143rd Ln Goodyear AZ 85395 501-76-629 Maricopa Nathan Lucca (623) 547-1979 2954 N 143rd Ln Goodyear AZ 85395 4 2 2403 0.22 2004 10/27/2009 10/26/2009 Single Family Residence 2947 W St Moritz Ln Phoenix AZ 85053 207-35-035 Maricopa Jesus Espinoza (602) 298-0107 2947 W Saint Moritz Ln Phoenix AZ 85053 2 1269 0.15 1960 10/27/2009 10/26/2009 Single Family Residence 2925 E Brill St Phoenix AZ 85008 121-74-020 Maricopa Hernandez Daniel 2925 E Brill St Phoenix AZ 85008 1 1268 0.16 1950 10/27/2009 10/26/2009 Single Family Residence 2916 N 111th Ln Avondale AZ 85392 102-86-673 Maricopa Michael Strawn (623) 877-9586 2916 N 111th Ln Avondale AZ 85392 3 2300 0.18 1997 10/27/2009 10/26/2009 Single Family Residence 2861 E Ranch Ct Gilbert AZ 85296 309-15-251 Maricopa Steven J Wheeler 2861 E Ranch Ct Gilbert AZ 85296 3 2361 0.19 1999 10/27/2009 10/26/2009 Single Family Residence 27421 N Covered Wagon Rd Phoenix AZ 85085 210-20-146 Maricopa Denise David L Nickerson (417) 714-4601 847 E Grafton Dr Nixa MO 65714 14 4464 0.23 2006 10/27/2009 10/26/2009 Single Family Residence 2711 E Schiliro Cir Phoenix AZ 85032 214-04-087 Maricopa Lisa A Noble (602) 867-0388 2711 E Schiliro Cir Phoenix AZ 85032 9 1618 0.05 2003 10/27/2009 10/26/2009 Condominium 271 E Ashurst Dr Phoenix AZ 85048 300-95-584 Maricopa Annette Oleary 9450 W Cabela Dr Unit 1118 Glendale AZ 85305 4 2694 0.11 1994 10/27/2009 10/26/2009 Single Family Residence 2654 E Beryl Ave Phoenix AZ 85028 165-05-146 Maricopa Jana Jones 2654 E Beryl Ave Phoenix AZ 85028 2.5 1949 0.25 1970 10/27/2009 10/26/2009 Single Family Residence 2651 S Santa Anna St Chandler AZ 85286 303-36-094 Maricopa Michael Rorman 2651 S Santa Anna St Chandler AZ 85286 7 1385 0.11 1996 10/27/2009 10/26/2009 Single Family Residence 264 N Starboard Dr Gilbert AZ 85234 309-01-450 Maricopa Stern Kathy 264 N Starboard Dr Gilbert AZ 85234 9 1975 0.29 1993 10/27/2009 10/26/2009 Single Family Residence 2504 E Monterosa St Phoenix AZ 85016 163-06-054 Maricopa Dennis Bloomquist 2504 E Monterosa St Phoenix AZ 85016 2 2244 0.18 1950 10/27/2009 10/26/2009 Single Family Residence Page 17
  • 18.
    Pre-foreclosure List Maricopa County Week Ending 11/2 25024 W Illini St Buckeye AZ 85326 504-24-031 Maricopa Richard Medina 25024 W Illini St Buckeye AZ 85326 8 2198 0.12 2005 10/27/2009 10/26/2009 Single Family Residence 2502 E Greenway Rd Phoenix AZ 85032 214-40-009-c Maricopa David L Winston 2502 E Greenway Rd Phoenix AZ 85032 0.82 10/27/2009 10/26/2009 Other 2460 W Pecos Ave Mesa AZ 85202 302-05-597 Maricopa Frank Carolyn J Schoenhardt (480) 250-5983 2460 W Pecos Ave Mesa AZ 85202 4 2 2016 0.16 1978 10/27/2009 10/26/2009 Single Family Residence 2320 W Orange Dr Phoenix AZ 85015 153-26-014 Maricopa Jose Liset M Gomez (623) 203-3807 2320 W Orange Dr Phoenix AZ 85015 1 1192 0.19 1948 10/27/2009 10/26/2009 Single Family Residence 2311 W Night Owl Ln Phoenix AZ 85085 204-01-074 Maricopa William Wilder (623) 581-1934 2311 W Night Owl Ln Phoenix AZ 85085 14 4464 0.21 2003 10/27/2009 10/26/2009 Single Family Residence 22936 W Gardenia Dr Buckeye AZ 85326 504-21-821 Maricopa Emily Eversole 22936 W Gardenia Dr Buckeye AZ 85326 6 1635 0.16 2005 10/27/2009 10/26/2009 Single Family Residence 2278 E Alpine Ave Mesa AZ 85204 140-25-095 Maricopa Jonathan Martinez 2278 E Alpine Ave Mesa AZ 85204 1 816 0.12 1962 10/27/2009 10/26/2009 Single Family Residence 22509 S 173rd Wy Gilbert AZ 85298 304-69-073-k Maricopa Curtis Keesler 22509 S 173rd Way Gilbert AZ 85298 15 4449 0.91 2002 10/27/2009 10/26/2009 Single Family Residence 2250 E Deer Valley Rd 64 Phoenix AZ 85024 213-32-333 Maricopa Nicolas Z Kadzielawski 2250 E Deer Valley Rd Unit 64 Phoenix AZ 85024 8 1467 0.03 2005 10/27/2009 10/26/2009 Condominium 2230 W Charter Oak Rd Phoenix AZ 85029 149-04-136 Maricopa Scott K Moulton (602) 371-8567 2230 W Charter Oak Rd Phoenix AZ 85029 2 1293 0.13 1971 10/27/2009 10/26/2009 Single Family Residence 2227 S Saratoga Mesa AZ 85202 305-04-137 Maricopa Leah Holt (480) 726-7249 2227 S Saratoga Mesa AZ 85202 2.75 2240 0.19 1976 10/27/2009 10/26/2009 Single Family Residence 2212 W White Spar Rd Phoenix AZ 85087 202-06-116 Maricopa David Lindemeyer 2212 W White Spar Rd Phoenix AZ 85087 4 4 3165 4.36 1997 10/27/2009 10/26/2009 Single Family Residence 21592 E Bonanza Ct Chandler HeightsAZ 85242 304-66-488 Maricopa Michelle Rangel 21592 E Bonanza Ct Chandler Heights AZ 85142 10 2194 0.2 2008 10/27/2009 10/26/2009 Other 2139 S Canfield 41 Mesa AZ 85209 312-11-469 Maricopa Mark Cohen (301) 802-3436 2139 S Canfield Unit 41 Mesa AZ 85209 14 3699 0.2 2004 10/27/2009 10/26/2009 Other 213 E Milada Dr Phoenix AZ 85042 300-45-363 Maricopa Andrew M Mudryk 213 E Milada Dr Phoenix AZ 85042 2 2 1386 0.14 2003 10/27/2009 10/26/2009 Single Family Residence 2111 W Maple Dr Phoenix AZ 85027 209-14-467 Maricopa Almeron Rappold 2111 W Maple Dr Phoenix AZ 85027 2 1539 0.18 1977 10/27/2009 10/26/2009 Single Family Residence 202 S Hill Mesa AZ 85204 138-01-073 Maricopa Jerry Christina Mccomb 202 S Hill Mesa AZ 85204 6 1600 0.2 1965 10/27/2009 10/26/2009 Other 19825 N 14th St Phoenix AZ 85024 213-23-521 Maricopa Rafael Toni Miranda (623) 243-9602 19825 N 14th St Phoenix AZ 85024 5 3 2646 0.16 2001 10/27/2009 10/26/2009 Single Family Residence 19814 E Thornton Rd Chandler HeightsAZ 85242 314-04-340 Maricopa Ivett Bonillas 19814 E Thornton Rd Chandler Heights AZ 85142 11 2307 0.11 2007 10/27/2009 10/26/2009 Single Family Residence 19789 S 190th Dr Chandler HeightsAZ 85242 314-05-250 Maricopa Andrew Goldberg 19789 S 190th Dr Chandler Heights AZ 85142 7 4.5 4313 0.23 2005 10/27/2009 10/26/2009 Single Family Residence 18898 E Kingbird Dr Chandler HeightsAZ 85242 314-05-440 Maricopa Anand Chavan 18898 E Kingbird Dr Chandler Heights AZ 85142 5 3 2545 0.18 2005 10/27/2009 10/26/2009 Single Family Residence 18661 N 70th Dr Glendale AZ 85308 200-29-919 Maricopa Kori L Mcintyre 18661 N 70th Dr Glendale AZ 85308 2.75 2269 0.12 1986 10/27/2009 10/26/2009 Single Family Residence 1825 E Brill St Phoenix AZ 85006 116-13-019 Maricopa Armando Bustos 1825 E Brill St Phoenix AZ 85006 1 819 0.14 1944 10/27/2009 10/26/2009 Single Family Residence 17625 N 7th St 2028 Phoenix AZ 85022 214-13-364 Maricopa Amy Timmons 17625 N 7th St Unit 2028 Phoenix AZ 85022 3 656 0.01 2007 10/27/2009 10/26/2009 Condominium 1756 E Hope St Mesa AZ 85203 136-27-645 Maricopa Todd Stevens 1756 E Hope St Mesa AZ 85203 1.75 2251 10 1976 10/27/2009 10/26/2009 Single Family Residence 1750 E Carson Rd Phoenix AZ 85042 122-93-161 Maricopa Rodalfoespinoza Cervantes 2302 E Alta Vista Rd Phoenix AZ 85042 2.5 1375 0.1 1988 10/27/2009 10/26/2009 Single Family Residence 17463 W Ventura St Surprise AZ 85388 502-87-462 Maricopa Adam Natalia Villalobos 17463 W Ventura St Surprise AZ 85388 6 1265 0.12 2004 10/27/2009 10/26/2009 Single Family Residence 1743 E Jacinto Ave Mesa AZ 85204 139-09-464 Maricopa John Griffin Jr (480) 688-4665 1743 E Jacinto Cir Mesa AZ 85204 6 1026 0.1 1985 10/27/2009 10/26/2009 Other 1664 W Crescent Ave Mesa AZ 85202 134-29-151 Maricopa Aldo Castro (480) 464-4328 1664 W Crescent Ave Mesa AZ 85202 2 1760 0.14 1968 10/27/2009 10/26/2009 Single Family Residence 1649 W Grovers Ave Phoenix AZ 85023 208-08-218-a Maricopa Martinez Sixta 1649 W Grovers Ave Phoenix AZ 85023 1 1217 0.16 1981 10/27/2009 10/26/2009 Single Family Residence 16338 W Hilton Ave Goodyear AZ 85338 500-06-183 Maricopa Mark Hoole 16338 W Hilton Ave Goodyear AZ 85338 6 4.5 5192 0.89 2005 10/27/2009 10/26/2009 Single Family Residence 15866 W Tara Ln Sun City AZ 85374 501-93-665 Maricopa Robert Gladis 30361 W Verde Ln Buckeye AZ 85396 2 1668 0.11 2001 10/27/2009 10/26/2009 Single Family Residence 15806 W Madison St Goodyear AZ 85338 500-88-369 Maricopa Kec Development Llc 15806 W Madison St Goodyear AZ 85338 2 1591 0.12 2000 10/27/2009 10/26/2009 Single Family Residence 1563 S Danielson Wy Chandler AZ 85286 303-30-607 Maricopa Efrainalvarez Medina 1563 S Danielson Way Chandler AZ 85286 2 1373 0.08 2000 10/27/2009 10/26/2009 Single Family Residence 15437 W Shangrila Rd Sun City AZ 85379 501-96-691 Maricopa Alfred A Munoz 15437 W Shangri La Rd Sun City AZ 85379 8 1688 0.11 2004 10/27/2009 10/26/2009 Single Family Residence 15368 W Yucatan St Sun City AZ 85379 501-96-757 Maricopa Aykush Movsisyan 15368 W Yucatan Dr Sun City AZ 85379 8 2536 0.21 2005 10/27/2009 10/26/2009 Single Family Residence 15354 W Windsor Ave Goodyear AZ 85395 508-14-320 Maricopa Karol Foltynski 1181 Bay Ridge Ave Brooklyn NY 11219 3 2 1870 0.13 2006 10/27/2009 10/26/2009 Single Family Residence 15007 S 8th St Phoenix AZ 85048 300-94-377 Maricopa Robert J Crean (480) 460-4972 15007 S 8th St Phoenix AZ 85048 4 2627 0.15 1994 10/27/2009 10/26/2009 Single Family Residence 14926 N 132nd Ln Sun City AZ 85379 501-94-299 Maricopa Cortez Luisdiana 14926 N 132nd Ln Sun City AZ 85379 2.5 1600 0.11 2001 10/27/2009 10/26/2009 Single Family Residence 14817 W Redfield Rd Sun City AZ 85379 509-02-525 Maricopa Carmen G Moreno 14817 W Redfield Rd Sun City AZ 85379 2 1062 0.12 2002 10/27/2009 10/26/2009 Single Family Residence 14800 N 129th Ave El Mirage AZ 85335 509-13-618 Maricopa William Rineer (623) 933-1738 14800 N 129th Ave El Mirage AZ 85335 4 3 3086 0.16 2004 10/27/2009 10/26/2009 Single Family Residence 14409 N 50th Ave Glendale AZ 85306 207-33-293 Maricopa Johnlubash Whitley (602) 214-7862 14409 N 50th Ave Glendale AZ 85306 2 2 1073 0.1 1984 10/27/2009 10/26/2009 Single Family Residence 14212 N 144th Ln Sun City AZ 85379 509-03-450 Maricopa Joshua Koerner 14212 N 144th Ln Sun City AZ 85379 10 3300 0.15 2004 10/27/2009 10/26/2009 Single Family Residence 14208 W Larkspur Dr Sun City AZ 85379 509-14-850 Maricopa Ryan Cheeseman 2841 Louisa Washington Rd Columbus Junction IA 52738 8 1885 0.12 2006 10/27/2009 10/26/2009 Single Family Residence 14154 W Shaw Butte Dr Sun City AZ 85379 501-96-915 Maricopa Anthony Porumb 14154 W Shaw Butte Dr Sun City AZ 85379 10 2524 0.19 2005 10/27/2009 10/26/2009 Single Family Residence 1409 W Villa Rita Dr Phoenix AZ 85023 208-03-428 Maricopa Raphael J Avakian 1409 W Villa Rita Dr Phoenix AZ 85023 2.75 1539 0.12 1994 10/27/2009 10/26/2009 Single Family Residence 13979 N 136th Dr Sun City AZ 85379 509-16-063 Maricopa Yvonne T Tran 13979 N 136th Dr Sun City AZ 85379 11 3414 0.16 2004 10/27/2009 10/26/2009 Single Family Residence 13541 W Holly St Goodyear AZ 85395 501-98-258 Maricopa Mary Duteau (623) 935-7977 13541 W Holly St Goodyear AZ 85395 2.75 2113 0.15 2000 10/27/2009 10/26/2009 Single Family Residence 1351 W Plata Ave Mesa AZ 85202 302-06-076 Maricopa Enrique Stiles 1351 W Plata Ave Mesa AZ 85202 2 1430 0.14 1978 10/27/2009 10/26/2009 Single Family Residence 1331 E Betsy Ln Gilbert AZ 85296 309-17-017 Maricopa Sylvia T Fitu 1331 E Betsy Ln Gilbert AZ 85296 3.5 2182 0.13 1998 10/27/2009 10/26/2009 Single Family Residence 1330 E Coronado Rd Phoenix AZ 85006 117-24-010 Maricopa Maat Spencer (602) 254-3038 1330 E Coronado Rd Phoenix AZ 85006 1 984 0.12 1939 10/27/2009 10/26/2009 Single Family Residence 1321 W Canary Wy Chandler AZ 85286 303-35-202 Maricopa John Turner (480) 899-4188 1321 W Canary Way Chandler AZ 85286 2.75 1539 0.14 1995 10/27/2009 10/26/2009 Single Family Residence 13026 N 55th Dr Glendale AZ 85304 200-39-108 Maricopa Jason Langley (623) 594-9907 5010 W Lariat Ln Phoenix AZ 85083 2 1169 0.15 1983 10/27/2009 10/26/2009 Single Family Residence 13024 N 154th Ln Sun City AZ 85379 509-14-672 Maricopa David Havel 13024 N 154th Ln Sun City AZ 85379 11 3318 0.18 2006 10/27/2009 10/26/2009 Single Family Residence 13020 N 55th Dr Glendale AZ 85304 200-39-109 Maricopa Price Spencer (602) 896-8866 13020 N 55th Dr Glendale AZ 85304 2 1428 0.18 1983 10/27/2009 10/26/2009 Single Family Residence 12708 W Lewis Ave Avondale AZ 85392 501-88-642 Maricopa Thomas Eleonora Pollio 2424 W Wildhorse Dr Chandler AZ 85286 3 2 2277 0.16 1997 10/27/2009 10/26/2009 Single Family Residence 12610 W Cherry Hills Dr El Mirage AZ 85335 501-44-650 Maricopa Sergio Javier Arroyo 12610 W Cherry Hills Dr El Mirage AZ 85335 2.75 1385 0.1 2001 10/27/2009 10/26/2009 Single Family Residence Page 18
  • 19.
    Pre-foreclosure List Maricopa County Week Ending 11/2 1220 E San Angelo Ave Gilbert AZ 85234 304-96-814 Maricopa Pedro Rivera (480) 306-5313 2556 E Lowell Ct Gilbert AZ 85295 2.5 1784 0.13 1988 10/27/2009 10/26/2009 Single Family Residence 11979 E Christopher Ln Scottsdale AZ 85255 217-55-481 Maricopa Carl A Blunt (480) 502-3669 11979 E Christopher Ln Scottsdale AZ 85255 4.75 3421 0.45 1996 10/27/2009 10/26/2009 Single Family Residence 1192 N Bogle Ave Chandler AZ 85225 310-06-094 Maricopa Kristie J Wenz 1192 N Bogle Ave Chandler AZ 85225 3 2.75 1528 0.11 1995 10/27/2009 10/26/2009 Single Family Residence 1187 S Emmett Dr Chandler AZ 85286 303-30-924 Maricopa Michelle Hayes 1973 E Palomino Dr Tempe AZ 85284 9 1757 0.07 2005 10/27/2009 10/26/2009 Single Family Residence 11818 W Foothill Dr Sun City AZ 85373 503-88-123 Maricopa Christopher Donevski 11818 W Foothill Dr Sun City AZ 85373 8 2466 0.11 2006 10/27/2009 10/26/2009 Single Family Residence 11331 W Diana Ave Peoria AZ 85345 142-73-737 Maricopa Miller Jtina (623) 875-8234 11331 W Diana Ave Peoria AZ 85345 2 1644 0.1 1997 10/27/2009 10/26/2009 Single Family Residence 1123 E Thunderhill Pl Phoenix AZ 85048 300-97-221 Maricopa Martin A Gordon (480) 283-1177 1123 E Thunderhill Pl Phoenix AZ 85048 4 3.5 3569 0.27 1997 10/27/2009 10/26/2009 Single Family Residence 11202 W Cambridge Ave Avondale AZ 85392 102-29-851 Maricopa Bradley Dupen (623) 478-9289 11202 W Cambridge Ave Avondale AZ 85392 2.75 2313 0.21 2001 10/27/2009 10/26/2009 Single Family Residence 11008 W Hayward Ave Glendale AZ 85307 142-75-419 Maricopa Melody A Bowdell 11008 W Hayward Ave Glendale AZ 85307 3 2 1322 0.12 1999 10/27/2009 10/26/2009 Single Family Residence 10812 W Monte Vista Rd Avondale AZ 85392 102-30-078 Maricopa Denise A Pritt 10812 W Monte Vista Rd Avondale AZ 85392 3.5 1674 0.1 1999 10/27/2009 10/26/2009 Single Family Residence 10657 W Adela Dr Peoria AZ 85383 200-10-553 Maricopa Shayne Catrone 10657 W Adela Dr Peoria AZ 85383 2.75 2615 0.18 2001 10/27/2009 10/26/2009 Single Family Residence 10655 E Forge Ave Mesa AZ 85208 220-71-246 Maricopa Monica Mariani 10655 E Forge Ave Mesa AZ 85208 2.5 1627 0.14 1999 10/27/2009 10/26/2009 Single Family Residence 10644 N 15th Ave Phoenix AZ 85029 159-14-026 Maricopa Curtis W Froelich 10644 N 15th Ave Phoenix AZ 85029 3 1240 0.48 1945 10/27/2009 10/26/2009 Single Family Residence 10616 E Balmoral Ave Mesa AZ 85208 220-53-290 Maricopa Sullivan Dmyra 10616 E Balmoral Ave Mesa AZ 85208 9 3161 0.13 1998 10/27/2009 10/26/2009 Other 10530 W San Miguel Ave Glendale AZ 85307 102-16-317 Maricopa Ramon Araceli Ramirez 18372 W Capistrano Ave Goodyear AZ 85338 2.5 1472 0.56 1993 10/27/2009 10/26/2009 Single Family Residence 10520 E Firewheel Dr Scottsdale AZ 85255 217-17-539 Maricopa Russell S Fisher 18815 N 91st Pl Scottsdale AZ 85255 2.75 1972 0.12 1997 10/27/2009 10/26/2009 Single Family Residence 10489 E Palo Brea Dr Scottsdale AZ 85262 219-56-332 Maricopa Julio L Ordonez 10489 E Palo Brea Dr Scottsdale AZ 85262 18 3905 0.72 2000 10/27/2009 10/26/2009 Single Family Residence 10426 W Orchid Ln Peoria AZ 85345 142-61-392 Maricopa Christopher Morris (623) 972-5312 10426 W Orchid Ln Peoria AZ 85345 7 1707 0.15 1978 10/27/2009 10/26/2009 Other 10337 W Campbell Ave Phoenix AZ 85037 102-17-454 Maricopa Daryl Mccauley (602) 625-2700 10337 W Campbell Ave Phoenix AZ 85037 3 2 1425 0.12 1977 10/27/2009 10/26/2009 Single Family Residence 10286 E Bella Vista Scottsdale AZ 85258 217-35-640 Maricopa Gary W Nicholas 10286 E Bella Vista Dr Scottsdale AZ 85258 3.75 2174 0.2 1984 10/27/2009 10/26/2009 Single Family Residence 1015 E Redfield Rd Guadalupe AZ 85283 301-48-574-a Maricopa Arconia II Llc 1015 E Redfield Rd Guadalupe AZ 85283 3 2 1035 0.02 1974 10/27/2009 10/26/2009 Condominium 10034 E Lomita Ave Mesa AZ 85209 312-11-925 Maricopa Mary Revocable 10034 E Lomita Ave Mesa AZ 85209 9 2350 0.15 2004 10/27/2009 10/26/2009 Single Family Residence 10028 E Mirabel Club Dr Scottsdale AZ 85262 219-62-442 Maricopa Ranjana Patel 10028 E Mirabel Club Dr Scottsdale AZ 85262 18 5383 0.94 2009 10/27/2009 10/26/2009 Single Family Residence 10025 W Winslow Ave Tolleson AZ 85353 101-25-613 Maricopa Lopez Stephanie 10025 W Winslow Ave Tolleson AZ 85353 11 1631 0.08 2006 10/27/2009 10/26/2009 Single Family Residence 10013 W Albeniz Pl Tolleson AZ 85353 101-28-590 Maricopa Wilfredo Ayala (623) 256-6172 10013 W Albeniz Pl Tolleson AZ 85353 7 1953 0.14 2008 10/27/2009 10/26/2009 Single Family Residence 6846 W Coolidge St Phoenix AZ 85033 144-79-013 Maricopa Zenaida Felix 6846 W Coolidge St Phoenix AZ 85033 1.75 1154 0.12 1960 10/26/2009 10/23/2009 Single Family Residence 8520 W Palm Ln 1055 Phoenix AZ 85037 102-36-793 Maricopa Zanndra D Castillo 8334 W Monte Vista Rd Phoenix AZ 85037 2.5 1320 0.05 1987 10/26/2009 10/23/2009 Single Family Residence 3745 E Diamond Ave Mesa AZ 85206 140-38-127 Maricopa Zacharaih L Gross (480) 363-7155 3745 E Diamond Ave Mesa AZ 85206 2.5 1455 0.26 1984 10/26/2009 10/23/2009 Single Family Residence 6220 E Phelps Rd Phoenix AZ 85254 215-79-125 Maricopa Yvette N Banker 6220 E Phelps Rd Scottsdale AZ 85254 9 2059 0.16 1968 10/26/2009 10/23/2009 Mobile Home 16474 W Sandra Ln Sun City AZ 85388 509-04-588 Maricopa Yost Iiirichard Jr 16474 W Sandra Ln Surprise AZ 85388 8 1728 0.14 2003 10/26/2009 10/23/2009 Single Family Residence 1121 S Bedford Pl Chandler AZ 85286 303-29-079 Maricopa Yeung Kmay (480) 917-0918 1121 S Bedford Pl Chandler AZ 85286 3.5 2886 0.18 2002 10/26/2009 10/23/2009 Single Family Residence 2103 E Fremont Dr Tempe AZ 85282 133-35-254 Maricopa Yanna Nou 2103 E Fremont Dr Tempe AZ 85282 2 1599 0.18 1972 10/26/2009 10/23/2009 Single Family Residence 1233 E Angela Dr Phoenix AZ 85022 214-14-460 Maricopa Yakub Aminov 1233 E Angela Dr Phoenix AZ 85022 3 1593 0.08 1994 10/26/2009 10/23/2009 Single Family Residence 3157 E Verbena Dr Phoenix AZ 85048 306-05-140 Maricopa World Empire Llc 3157 E Verbena Dr Phoenix AZ 85048 2.75 2203 0.23 1993 10/26/2009 10/23/2009 Single Family Residence 1173 S Penrose Dr Gilbert AZ 85296 304-27-627 Maricopa Woodrow Shirley Owens (480) 545-0857 1173 S Penrose Dr Gilbert AZ 85296 2410 0.17 1997 10/26/2009 10/23/2009 Single Family Residence 8615 W Columbine Dr Peoria AZ 85381 200-79-144 Maricopa Woodford Scott 8615 W Columbine Dr Peoria AZ 85381 6 1637 0.17 1984 10/26/2009 10/23/2009 Single Family Residence 15007 N 28th Ave Phoenix AZ 85053 207-06-066 Maricopa Willow Investments Llc 15007 N 28th Ave Phoenix AZ 85053 3 1.5 1624 0.12 1971 10/26/2009 10/23/2009 Single Family Residence 3716 S Country Club Wy Tempe AZ 85282 133-36-261 Maricopa William W Kile (480) 994-9670 3716 S Country Club Way Tempe AZ 85282 2 1466 0.17 1969 10/26/2009 10/23/2009 Single Family Residence 3445 N 301st Dr Buckeye AZ 85396 504-74-507 Maricopa Wilder Edward 3445 N 301st Dr Buckeye AZ 85396 10 3120 0.15 2006 10/26/2009 10/23/2009 Single Family Residence 12737 W Rosewood Dr El Mirage AZ 85335 509-09-283 Maricopa Wang Jung 12737 W Rosewood Dr El Mirage AZ 85335 4 2232 0.14 2002 10/26/2009 10/23/2009 Single Family Residence 2017 W Carol Ann Wy Phoenix AZ 85023 208-35-367 Maricopa W Family 2017 W Carol Ann Way Phoenix AZ 85023 4 2 2037 0.1 1998 10/26/2009 10/23/2009 Single Family Residence 15461 N 30th Ave Phoenix AZ 85053 207-39-266 Maricopa Virgil Reeves (602) 296-5827 15461 N 30th Ave Phoenix AZ 85053 2 2356 0.17 1979 10/26/2009 10/23/2009 Single Family Residence 15217 N 15th Dr Phoenix AZ 85023 208-16-235 Maricopa Vincent Burr 15217 N 15th Dr Phoenix AZ 85023 4 9094 0.45 2007 10/26/2009 10/23/2009 Single Family Residence 195 N 237th Ave Buckeye AZ 85396 504-23-207 Maricopa Verne Bauman 20425 W Terrace Ln Buckeye AZ 85396 9 2498 0.16 2006 10/26/2009 10/23/2009 Single Family Residence 8337 E Turney Ave Scottsdale AZ 85251 173-58-104 Maricopa Vanda D Hale 8337 E Turney Ave Scottsdale AZ 85251 2 1416 0.15 1959 10/26/2009 10/23/2009 Single Family Residence 8733 W Cordes Rd Tolleson AZ 85353 101-56-578 Maricopa Valenzuela Teresapaloma 8733 W Cordes Rd Tolleson AZ 85353 10 1822 0.1 2006 10/26/2009 10/23/2009 Single Family Residence 3421 S Camellia Pl Sun Lakes AZ 85248 303-40-291 Maricopa Trust I Ddb 3421 S Camellia Pl Sun Lakes AZ 85248 15 5270 0.26 2002 10/26/2009 10/23/2009 Single Family Residence 11762 W Mauna Loa Ln El Mirage AZ 85335 501-25-228 Maricopa Torres Amoises Jr 11762 W Mauna Loa Ln El Mirage AZ 85335 6 1642 0.11 2005 10/26/2009 10/23/2009 Single Family Residence 2041 E Finley St Gilbert AZ 85296 304-21-574 Maricopa Timothy Nguyen 5205 Creekside Rd Camarillo CA 93012 13 3306 0.28 1998 10/26/2009 10/23/2009 Single Family Residence 6850 S 27th Pl Phoenix AZ 85042 122-96-302 Maricopa Timothy Lynn Morris (602) 243-6115 6850 S 27th Pl Phoenix AZ 85042 3 2 1869 0.15 2001 10/26/2009 10/23/2009 Single Family Residence 8908 W Hatcher Rd Peoria AZ 85345 142 89-269 Maricopa Timothy Fridelle (623) 236-9588 8908 W Hatcher Rd Peoria AZ 85345 2 1456 0.16 1985 10/26/2009 10/23/2009 Single Family Residence 1292 S 222nd Ln Buckeye AZ 85326 504-60-811 Maricopa Tiffany Manfredi (623) 332-7406 1292 S 222nd Ln Buckeye AZ 85326 7 2002 0.11 2005 10/26/2009 10/22/2009 Single Family Residence 20961 N 96th Dr Peoria AZ 85382 200-15-661 Maricopa Thomas Hulstrom 20961 N 96th Dr Peoria AZ 85382 3 2157 0.17 1998 10/26/2009 10/23/2009 Single Family Residence 3513 S Siesta Ln Tempe AZ 85282 133-36-911 Maricopa Tho Nguyen (480) 363-6658 3513 S Siesta Ln Tempe AZ 85282 2.5 2096 0.16 1979 10/26/2009 10/23/2009 Single Family Residence 12434 W Scotts Dr El Mirage AZ 85335 509-07-166 Maricopa Teodoro Vargas 12434 W Scotts Dr El Mirage AZ 85335 2 1229 0.1 2001 10/26/2009 10/23/2009 Single Family Residence 8591 W Oregon Ave Glendale AZ 85305 102-11-176 Maricopa Sutton Marie (623) 877-5579 8591 W Oregon Ave Glendale AZ 85305 2.5 1557 0.14 1993 10/26/2009 10/23/2009 Single Family Residence 7235 E Knoll St Mesa AZ 85207 219-25-180 Maricopa Sunthree Liampetch 7235 E Knoll St Mesa AZ 85207 3 2.5 1559 0.07 1999 10/26/2009 10/23/2009 Single Family Residence Page 19
  • 20.
    Pre-foreclosure List Maricopa County Week Ending 11/2 8511 E Cambridge Ave Scottsdale AZ 85257 131-34-141 Maricopa Steven Lisa A Vinson (480) 949-6553 8511 E Cambridge Ave Scottsdale AZ 85257 6 1676 0.15 1961 10/26/2009 10/23/2009 Other 14628 W Harvard St Goodyear AZ 85395 501-76-390 Maricopa Steven J Kalomas 209 Woodcrest Ct Franklin TN 37067 14 3105 0.26 2003 10/26/2009 10/23/2009 Single Family Residence 2326 N 13th St Phoenix AZ 85006 117-22-038 Maricopa Steven Carole Mellman 2326 N 13th St Phoenix AZ 85006 2 1 676 0.13 1926 10/26/2009 10/23/2009 Single Family Residence 429 W La Jolla Dr Tempe AZ 85282 123-45-201 Maricopa Stephen V Mooney 429 W La Jolla Dr Tempe AZ 85282 1 1002 0.06 1972 10/26/2009 10/23/2009 Single Family Residence 3419 W Claremont St Phoenix AZ 85017 152-05-019 Maricopa Stephen Saunders 3419 W Claremont St Phoenix AZ 85017 2 1480 0.17 1961 10/26/2009 10/23/2009 Single Family Residence 2158 W Tonto Ln Phoenix AZ 85027 209-17-144 Maricopa Stephen Mara (623) 582-9582 2158 W Tonto Ln Phoenix AZ 85027 2 1318 0.16 1980 10/26/2009 10/23/2009 Single Family Residence 1701 E Colter St 103 Phoenix AZ 85016 164-57-097 Maricopa Stephen Clark 1701 E Colter St Unit 103 Phoenix AZ 85016 6 790 0.01 2003 10/26/2009 10/22/2009 Condominium 775 E Bellerive Pl Chandler AZ 85249 303-58-325 Maricopa Stephan Smith (480) 773-6857 775 E Bellerive Pl Chandler AZ 85249 12 2780 0.19 2004 10/26/2009 10/23/2009 Single Family Residence 528 W Villa Maria Dr Phoenix AZ 85023 208-02-386 Maricopa Simon Bangiyev 9919 66th Rd Unit 2b Rego Park NY 11374 2.75 1523 0.11 1996 10/26/2009 10/23/2009 Single Family Residence 14569 W Windsor Ave Goodyear AZ 85395 501-76-436 Maricopa Shannon M Wellman (623) 478-8944 2762 N 133rd Dr Goodyear AZ 85395 12 2680 0.21 2003 10/26/2009 10/23/2009 Single Family Residence 10029 W Marguerite Ave Tolleson AZ 85353 101-39-063 Maricopa Serna Pino 10029 W Marguerite Ave Tolleson AZ 85353 14 2802 0.11 2007 10/26/2009 10/23/2009 Single Family Residence 6136 W Hollyhock Dr Phoenix AZ 85033 103-47-145 Maricopa Sergio Velasquez 6136 W Hollyhock Dr Phoenix AZ 85033 1.75 1020 0.12 1961 10/26/2009 10/23/2009 Single Family Residence 8226 W Miami St Phoenix AZ 85043 104-53-688 Maricopa Sergio Pasilla 8226 W Miami St Phoenix AZ 85043 10 2609 0.14 2005 10/26/2009 10/23/2009 Single Family Residence 10007 N 87th Ln Peoria AZ 85345 142-37-210 Maricopa Sergio Najera (623) 547-5673 10007 N 87th Ln Peoria AZ 85345 3 982 0.16 1981 10/26/2009 10/23/2009 Single Family Residence 9570 W Williams St Tolleson AZ 85353 101-26-322 Maricopa Scott M Walters (623) 764-3511 9570 W Williams St Tolleson AZ 85353 7 1884 0.11 2005 10/26/2009 10/23/2009 Single Family Residence 432 N Ash Mesa AZ 85201 135-35-088 Maricopa Saul Pedraza 432 N Ash Mesa AZ 85201 2 1189 0.18 1959 10/26/2009 10/23/2009 Single Family Residence 3327 W Burgess Ln Phoenix AZ 85041 105-85-470 Maricopa Sarah Symolon 3327 W Burgess Ln Phoenix AZ 85041 6 1759 0.11 2005 10/26/2009 10/23/2009 Single Family Residence 3773 E Aquarius Pl Chandler AZ 85249 304-82-381 Maricopa Sandra Stewart 3773 E Aquarius Pl Chandler AZ 85249 5 2.5 3000 0.21 2005 10/26/2009 10/23/2009 Single Family Residence 7216 W Monte Cristo Ave Peoria AZ 85382 231-25-085 Maricopa Sanders Ralison (623) 271-6080 7216 W Monte Cristo Ave Peoria AZ 85382 8 2162 0.13 2003 10/26/2009 10/23/2009 Single Family Residence 504 N Beverly Wy Tolleson AZ 85353 102-48-118 Maricopa Salvador Macias 504 N Beverly Way Tolleson AZ 85353 3 1736 0.41 1990 10/26/2009 10/23/2009 Single Family Residence 3845 W St Moritz Ln Phoenix AZ 85053 207-10-008 Maricopa Ryan Mcroberts (602) 548-0816 3845 W Saint Moritz Ln Phoenix AZ 85053 3.75 2360 0.16 1970 10/26/2009 10/22/2009 Single Family Residence 12848 N 40th Ave Phoenix AZ 85029 149-27-156-b Maricopa Russellbishoff Pennington (602) 435-7622 12848 N 40th Ave Phoenix AZ 85029 2 1400 0.15 1978 10/26/2009 10/23/2009 Single Family Residence 15329 W Madison St Goodyear AZ 85338 500-04-639 Maricopa Ruben Luevano 15329 W Madison St Goodyear AZ 85338 11 2911 0.14 2005 10/26/2009 10/23/2009 Single Family Residence 1746 S Chatsworth Mesa AZ 85209 220-81-663 Maricopa Rowena T Valdez 1746 S Chatsworth Mesa AZ 85209 4 3 2015 0.05 2007 10/26/2009 10/23/2009 Single Family Residence 556 W Kiva Ave Mesa AZ 85210 302-04-215 Maricopa Ronnie Gurule 556 W Kiva Ave Mesa AZ 85210 3.5 1861 0.17 1977 10/26/2009 10/23/2009 Single Family Residence 7137 E Rancho Vista Dr 5001cottsdale S AZ 85251 173-33-478 Maricopa Ronald G Norris 7451 E Rose Cir Prescott Valley AZ 86314 7 1397 0.03 2007 10/26/2009 10/23/2009 Condominium 3215 S 91st Dr Tolleson AZ 85353 101-27-263 Maricopa Roithavy Long 3215 S 91st Dr Tolleson AZ 85353 10 2053 0.1 2006 10/26/2009 10/23/2009 Single Family Residence 7218 N 73rd Dr Glendale AZ 85303 143-26-141 Maricopa Rodrigo Nora Ramirez (623) 847-2332 7218 N 73rd Dr Glendale AZ 85303 10 2002 0.08 2007 10/26/2009 10/23/2009 Single Family Residence 1561 W Megan St Chandler AZ 85224 302-48-930 Maricopa Roberta Richard M Anson (480) 857-2492 1561 W Megan St Chandler AZ 85224 2.75 1821 0.1 1992 10/26/2009 10/23/2009 Single Family Residence 6425 N 77th Dr Glendale AZ 85303 102-06-811 Maricopa Robert V Alvarez (623) 670-8762 6425 N 77th Dr Glendale AZ 85303 3.5 2287 0.14 2000 10/26/2009 10/23/2009 Single Family Residence 2235 N 92nd Dale Phoenix AZ 85037 102-34-664 Maricopa Robert Ruffinelli (623) 322-5591 2235 N 92nd Dl Phoenix AZ 85037 6 1919 0.13 2004 10/26/2009 10/23/2009 Single Family Residence 2862 W Muriel Dr Phoenix AZ 85053 207-04-277 Maricopa Robert Knieriem 2862 W Muriel Dr Phoenix AZ 85053 2 1091 0.09 1994 10/26/2009 10/23/2009 Single Family Residence 9428 E Flanders Rd Mesa AZ 85207 220-19-184 Maricopa Robert Bonnie G Milius 246 W Brangus Way San Tan Valley AZ 85143 3 2 1300 0.16 1994 10/26/2009 10/23/2009 Single Family Residence 25846 W Hilton Ave Buckeye AZ 85326 504-60-640 Maricopa Richard Rachel Kruser (602) 851-2487 25846 W Hilton Ave Buckeye AZ 85326 3 2.5 1984 0.12 2006 10/26/2009 10/23/2009 Single Family Residence 2705 E Lynwood St Mesa AZ 85213 141-08-354 Maricopa Richard Adlhoch (480) 838-8627 629 W Navarro Ave Mesa AZ 85210 4 3.5 2708 0.18 2003 10/26/2009 10/23/2009 Single Family Residence 28026 N 42nd St Az 85331 AZ 85331 212-18-001-e Maricopa Rex J Wager 28026 N 42nd St Cave Creek AZ 85331 2 1574 1.98 1990 10/26/2009 10/22/2009 Single Family Residence 19805 N 63rd Dr Glendale AZ 85308 231-22-121 Maricopa Rene L Cone (623) 215-2004 19805 N 63rd Dr Glendale AZ 85308 2.75 2313 0.15 1999 10/26/2009 10/23/2009 Single Family Residence 18010 N 42nd Dr Glendale AZ 85308 207-21-370 Maricopa Raymond Yonan (602) 404-1237 18010 N 42nd Dr Glendale AZ 85308 2 1873 0.17 1983 10/26/2009 10/23/2009 Single Family Residence 14722 W Laurel Ln Sun City AZ 85379 509-14-932 Maricopa Ray Kessler Jr (623) 328-8451 6210 W Gambit Trl Phoenix AZ 85083 10 1747 0.08 2006 10/26/2009 10/23/2009 Single Family Residence 1244 E Kristal Wy Phoenix AZ 85024 213-23-297 Maricopa Raul Molina (480) 580-1510 1244 E Kristal Way Phoenix AZ 85024 2 1311 0.2 1985 10/26/2009 10/23/2009 Single Family Residence 11615 E Chestnut Ct Chandler AZ 85249 303-58-838 Maricopa Randy S Large 277 W Rock Creek Pl Casa Grande AZ 85122 11 3551 0.43 2006 10/26/2009 10/23/2009 Single Family Residence 4120 W Eva St Phoenix AZ 85051 149-38-086 Maricopa Randy Kerbaugh 4120 W Eva St Phoenix AZ 85051 2 1545 0.17 1968 10/26/2009 10/23/2009 Single Family Residence 19926 E Mayberry Rd Chandler HeightsAZ 85242 314-04-365 Maricopa Randall L Angle 19926 E Mayberry Rd Chandler Heights AZ 85142 8 1987 0.14 2007 10/26/2009 10/23/2009 Single Family Residence 6127 W Frier Dr Glendale AZ 85301 143-39-026-a Maricopa Rafael Ibarra 6127 W Frier Dr Glendale AZ 85301 2 2224 0.25 1955 10/26/2009 10/22/2009 Single Family Residence 3751 E Willow Ave Phoenix AZ 85032 166-01-575 Maricopa Pham Tchung (602) 765-1071 3751 E Willow Ave Phoenix AZ 85032 2 1475 0.14 1972 10/26/2009 10/23/2009 Single Family Residence 4005 S 44th St Phoenix AZ 85040 124-55-544 Maricopa Peter Tsikata 4005 S 44th St Phoenix AZ 85040 1.75 1041 0.02 1980 10/26/2009 10/23/2009 Condominium 14208 W St Moritz Ln Sun City AZ 85379 509-17-631 Maricopa Peter Srey P Seth 14208 W St Moritz Ln Sun City AZ 85379 12 4068 0.16 2004 10/26/2009 10/23/2009 Single Family Residence 2652 N 43rd Ave 11c Phoenix AZ 85035 103-22-086 Maricopa Peter S Liang 2652 N 43rd Ave Unit 11c Phoenix AZ 85009 1 1036 0.01 1973 10/26/2009 10/23/2009 Condominium 2652 N 43rd Ave 11a Phoenix AZ 85035 103-22-084 Maricopa Peter S Liang 2652 N 43rd Ave Unit 11a Phoenix AZ 85009 1 957 0.05 1973 10/26/2009 10/23/2009 Condominium 20100 N 78th Pl 3074 Scottsdale AZ 85255 212-47-400 Maricopa Perlita Aguinaldo 20100 N 78th Pl Unit 3074 Scottsdale AZ 85255 6 1116 0.02 2001 10/26/2009 10/23/2009 Condominium 8035 W Gibson Ln Phoenix AZ 85043 104-33-470 Maricopa Pedro Norma Sandoval 8035 W Gibson Ln Phoenix AZ 85043 10 2552 0.17 2000 10/26/2009 10/23/2009 Single Family Residence 33218 N 12th St Phoenix AZ 85085 211-74-035-d Maricopa Paul Vivelo (623) 879-9897 33218 N 12th St Phoenix AZ 85085 3 2 1673 0.91 1999 10/26/2009 10/23/2009 Single Family Residence 12817 W Bloomfield Rd El Mirage AZ 85335 509-09-244 Maricopa Paul R Jajou (623) 748-3191 12817 W Bloomfield Rd El Mirage AZ 85335 3 1901 0.13 2002 10/26/2009 10/22/2009 Single Family Residence 1937 E Sunburst Ln Tempe AZ 85284 301-50-282 Maricopa Paul Ilze Stolz Po Box 831 Castle Rock CO 80104 3 1997 0.27 1982 10/26/2009 10/23/2009 Single Family Residence 15817 S 31st Wy Phoenix AZ 85048 301-70-955 Maricopa Patrick Runninger 15817 S 31st Way Phoenix AZ 85048 3 2493 0.16 1995 10/26/2009 10/23/2009 Single Family Residence 15986 W Desert Mirage Dr Sun City AZ 85379 501-40-260 Maricopa Patrick Doyle 15986 W Desert Mirage Dr Sun City AZ 85379 12 3451 0.13 2006 10/26/2009 10/23/2009 Single Family Residence 6822 N 12th Ave Phoenix AZ 85013 156-22-075 Maricopa Patricia Clark (602) 544-0250 6822 N 12th Ave Phoenix AZ 85013 2 1321 0.24 1953 10/26/2009 10/23/2009 Single Family Residence Page 20
  • 21.
    Pre-foreclosure List Maricopa County Week Ending 11/2 8543 E Portland St Scottsdale AZ 85257 131-06-335-a Maricopa Paskel Estates Llc 8543 E Portland St Scottsdale AZ 85257 2 1107 0.02 1972 10/26/2009 10/23/2009 Condominium 11230 W Holly St Avondale AZ 85392 102-30-753 Maricopa Panuncio Rodriguez 11230 W Holly St Avondale AZ 85392 3.75 1790 0.23 1998 10/26/2009 10/23/2009 Single Family Residence 725 N Grand Mesa AZ 85201 137-24-044-j Maricopa Pantaleon Martinez 725 N Grand Mesa AZ 85201 6 1652 0.29 1975 10/26/2009 10/22/2009 Other 3781 N Springfield St Buckeye AZ 85396 502-78-802 Maricopa Pan J Choi 3781 N Springfield St Buckeye AZ 85396 4 3.5 2739 0.19 2005 10/26/2009 10/23/2009 Single Family Residence 8315 N 61st Ave Glendale AZ 85302 143-14-026 Maricopa Oscar Eva Ardon 8315 N 61st Ave Glendale AZ 85302 3255 0.21 1973 10/26/2009 10/23/2009 Multi-unit 653 N 96th Pl Mesa AZ 85207 220-22-045 Maricopa Omarbecerra Rodriguez 653 N 96th Pl Mesa AZ 85207 1 1080 0.16 1979 10/26/2009 10/23/2009 Single Family Residence 4417 E Windsong Dr Phoenix AZ 85048 307-03-694 Maricopa Olson Mark 4417 E Windsong Dr Phoenix AZ 85048 2.75 1601 0.09 2000 10/26/2009 10/23/2009 Single Family Residence 1513 W Hazelwood St Phoenix AZ 85015 155-45-219 Maricopa Nystrom Ann (602) 595-9991 1513 W Hazelwood St Phoenix AZ 85015 1.75 1440 0.04 1965 10/26/2009 10/22/2009 Condominium 3516 W Buckhorn Tr Phoenix AZ 85083 205-06-008 Maricopa Nguyen Truc 3516 W Buckhorn Trl Phoenix AZ 85083 12 2670 0.18 2003 10/26/2009 10/23/2009 Single Family Residence 12095 N 66th Ave Glendale AZ 85304 143-04-479 Maricopa Nguyen Hoa (602) 748-7320 12095 N 66th Ave Glendale AZ 85304 9 2046 0.08 2005 10/26/2009 10/23/2009 Single Family Residence 5422 W St Kateri Dr Phoenix AZ 85339 104-88-377 Maricopa Nguyen Demi 5422 W St Kateri Dr Laveen AZ 85339 9 3050 0.13 2006 10/26/2009 10/23/2009 Other 2407 E Catalina Ave Mesa AZ 85204 140-41-481 Maricopa Neil Conway 2407 E Catalina Ave Mesa AZ 85204 2.5 1620 0.17 1984 10/26/2009 10/23/2009 Single Family Residence 15438 W Shangrila Rd Sun City AZ 85379 501-96-713 Maricopa Nathaniel Hailey 11586 W Duran Ave Youngtown AZ 85363 10 2072 0.11 2004 10/26/2009 10/22/2009 Single Family Residence 631 W Verano Pl Gilbert AZ 85233 302-32-825 Maricopa Nancy Gardner (480) 497-9168 631 W Verano Pl Gilbert AZ 85233 2.75 1391 0.15 1992 10/26/2009 10/23/2009 Single Family Residence 4641 N 86th Ave Phoenix AZ 85037 102-81-551 Maricopa Nancy Cardona 4641 N 86th Ave Phoenix AZ 85037 2 1462 0.1 1995 10/26/2009 10/23/2009 Single Family Residence 3911 E Northridge Cir Mesa AZ 85215 141-27-056 Maricopa Morgen Thruston (480) 844-1886 3911 E Northridge Cir Mesa AZ 85215 19 7341 0.7 2007 10/26/2009 10/23/2009 Single Family Residence 6352 W Hackamore Dr Phoenix AZ 85083 201-10-074 Maricopa Moore Stavro (602) 763-6828 6352 W Hackamore Dr Phoenix AZ 85083 2.75 2152 0.21 1998 10/26/2009 10/23/2009 Single Family Residence 6507 W Turquoise Ave Glendale AZ 85302 143-49-327 Maricopa Montoya Peter Jr (623) 215-2615 6507 W Turquoise Ave Glendale AZ 85302 2.5 1275 0.14 1985 10/26/2009 10/23/2009 Single Family Residence 7026 N Alsup Ave Litchfield Park AZ 85340 501-49-127 Maricopa Montoya Egloria 7026 N Alsup Rd Litchfield Park AZ 85340 12 3812 0.98 2005 10/26/2009 10/23/2009 Other 2601 W Wethersfield Rd Phoenix AZ 85029 149-49-107 Maricopa Montez Love 2601 W Wethersfield Rd Phoenix AZ 85029 2 1620 0.12 1962 10/26/2009 10/22/2009 Single Family Residence 25695 W Victory St Buckeye AZ 85326 504-26-255 Maricopa Milan Mara Cvijanovic (623) 386-1193 25695 W Victory St Buckeye AZ 85326 11 2596 0.12 2005 10/26/2009 10/23/2009 Single Family Residence 1628 S 234th Ln Buckeye AZ 85326 504-60-064 Maricopa Miguel Rogel (623) 327-9448 1628 S 234th Ln Buckeye AZ 85326 3 2469 0.23 2004 10/26/2009 10/23/2009 Single Family Residence 8512 S 307th Ave Buckeye AZ 85326 401-27-028-f Maricopa Miguel A Alvarado 8512 S 307th Ave Buckeye AZ 85326 1664 1.09 2003 10/26/2009 10/23/2009 Mobile Home 4164 S 250th Ln Buckeye AZ 85326 504-24-013 Maricopa Michelle Kemp-zempoalteca (760) 480-4699 756 Suzanne Ln Escondido CA 92026 6 1489 0.13 2006 10/26/2009 10/23/2009 Single Family Residence 23121 W Yavapai St Buckeye AZ 85326 504-22-625 Maricopa Michelle Jose A Delgado (623) 547-5426 23121 W Yavapai St Buckeye AZ 85326 9 2154 0.13 2003 10/26/2009 10/23/2009 Single Family Residence 18362 W Paseo Wy 45 Goodyear AZ 85338 400-79-465 Maricopa Michelle Buryanek 18362 W Paseo Way Unit 45 Goodyear AZ 85338 8 1578 0.12 2003 10/26/2009 10/23/2009 Single Family Residence 9024 W Salter Dr Peoria AZ 85382 200-16-261 Maricopa Michael S Flanigan (623) 466-0196 9024 W Salter Dr Peoria AZ 85382 5 3 1942 0.14 1999 10/26/2009 10/22/2009 Single Family Residence 12235 N Desert Sage Dr B Fountain Hills AZ 85268 176-24-888 Maricopa Michael R Hitt (480) 837-4364 12235 N Desert Sage Dr Unit BFountain Hills AZ 85268 10 2195 0 2001 10/26/2009 10/23/2009 Condominium 39733 N Lost Legend Dr Anthem AZ 85086 203-40-833 Maricopa Michael Mathiesen (623) 551-6909 39733 N Lost Legend Dr Anthem AZ 85086 10 2968 0.14 2003 10/26/2009 10/23/2009 Single Family Residence 8110 W Mescal St Peoria AZ 85345 142-07-103 Maricopa Michael Karen Scheerer (623) 486-4044 8110 W Mescal St Peoria AZ 85345 2 1209 0.1 1987 10/26/2009 10/22/2009 Single Family Residence 6426 W Osborn Rd Phoenix AZ 85033 103-03-149 Maricopa Michael Douthwaite 6426 W Osborn Rd Phoenix AZ 85033 1 910 0.14 1960 10/26/2009 10/23/2009 Single Family Residence 1542 W Impala Ave Mesa AZ 85202 305-02-493 Maricopa Michael Donna Kundrat 8850 W Hayward Ave Glendale AZ 85305 4 3 2038 0.15 1978 10/26/2009 10/23/2009 Other 3267 E Tyson St Gilbert AZ 85295 313-11-539 Maricopa Michael D Davidson 1942 N 1225 W Clearfield UT 84015 8 1781 0.09 2007 10/26/2009 10/23/2009 Single Family Residence 5840 W Desperado Wy Phoenix AZ 85083 201-40-647 Maricopa Mia Mcdermott 5840 W Desperado Way Phoenix AZ 85083 16 3798 0.25 2007 10/26/2009 10/23/2009 Single Family Residence 6920 W Gardenia Ave Glendale AZ 85303 143-27-254 Maricopa Mendez Fyvonne 6920 W Gardenia Ave Glendale AZ 85303 6 1190 0.13 1999 10/26/2009 10/22/2009 Single Family Residence 3872 W Royal Palm Rd Phoenix AZ 85051 150-17-246 Maricopa Melissa Shelley (602) 995-9211 3872 W Royal Palm Rd Phoenix AZ 85051 6 1780 0.16 1968 10/26/2009 10/23/2009 Single Family Residence 11746 W Acapulco Ln El Mirage AZ 85335 501-25-451 Maricopa Melissa Crawford 11746 W Acapulco Ln El Mirage AZ 85335 3 2 1132 0.1 2006 10/26/2009 10/23/2009 Single Family Residence 1125 W Manor St Chandler AZ 85224 302-81-767 Maricopa Mclean Rtiffany 1125 W Manor St Chandler AZ 85224 9 1673 0.09 1985 10/26/2009 10/23/2009 Single Family Residence 2416 W Tumbleweed Dr Phoenix AZ 85085 204-01-145 Maricopa Matthew Thill 2416 W Tumbleweed Dr Phoenix AZ 85085 12 3305 0.18 2004 10/26/2009 10/23/2009 Single Family Residence 1227 E Marcella Ln Gilbert AZ 85295 304-46-064 Maricopa Matthew Hultstrand 1227 E Marcella Ln Gilbert AZ 85295 11 2092 0.09 2006 10/26/2009 10/22/2009 Single Family Residence 429 S Temple St Mesa AZ 85204 139-22-086 Maricopa Martingraff Dessens (480) 898-7329 429 S Temple St Mesa AZ 85204 1 1080 0.16 1950 10/26/2009 10/23/2009 Single Family Residence 16078 W Miami St Goodyear AZ 85338 500-07-288 Maricopa Martinez Vera 16078 W Miami St Goodyear AZ 85338 6 1845 0.12 2006 10/26/2009 10/23/2009 Other 6334 E Avalon St Mesa AZ 85205 141-60-025 Maricopa Martin Eddington 6334 E Avalon St Mesa AZ 85205 6 1796 0.36 1958 10/26/2009 10/23/2009 Other 768 E Irma Ln Phoenix AZ 85024 213-05-715 Maricopa Mark Kushmakov 768 E Irma Ln Phoenix AZ 85024 4 2579 0.14 1999 10/26/2009 10/23/2009 Single Family Residence 5509 N 64th Ave Glendale AZ 85301 144-58-001-a Maricopa Mark A Mcgovern (623) 847-4155 5509 N 64th Ave Glendale AZ 85301 1.75 1020 0.13 1959 10/26/2009 10/23/2009 Single Family Residence 8601 W Cordes Rd Tolleson AZ 85353 101-30-081-- Maricopa Mario Corina Salgado (623) 234-8039 8601 W Cordes Rd Tolleson AZ 85353 8 2228 0.18 2006 10/26/2009 10/23/2009 Single Family Residence 7721 N 48th Dr Glendale AZ 85301 147-03-042 Maricopa Mario Castro 17245 Se Wax Rd Kent WA 98042 2 1888 0.16 1970 10/26/2009 10/23/2009 Single Family Residence 13430 S 47th St Phoenix AZ 85044 306-03-349 Maricopa Maria A Martin 13430 S 47th St Phoenix AZ 85044 3 2.5 1518 0.13 1995 10/26/2009 10/23/2009 Single Family Residence 2323 N 92nd Ln Phoenix AZ 85037 102-34-571 Maricopa Margarita Ocampo (623) 322-2696 2323 N 92nd Ln Phoenix AZ 85037 6 1919 0.13 2003 10/26/2009 10/23/2009 Single Family Residence 14225 N 20th Pl Phoenix AZ 85022 214-51-330 Maricopa Margaret S Biegel (602) 466-2896 14225 N 20th Pl Phoenix AZ 85022 3 2 1432 0.15 1985 10/26/2009 10/23/2009 Single Family Residence 6531 W Turquoise Ave Glendale AZ 85302 143-49-323 Maricopa Marcus E Martin 6531 W Turquoise Ave Glendale AZ 85302 2.5 1716 0.14 1985 10/26/2009 10/23/2009 Single Family Residence 4753 E Moreland St Phoenix AZ 85008 125-14-041 Maricopa Marcos Galvan 4753 E Moreland St Phoenix AZ 85008 3 968 0.01 1972 10/26/2009 10/23/2009 Condominium 2339 N 31st St Phoenix AZ 85008 120-22-052 Maricopa Marcial Aalicia (602) 955-4894 2339 N 31st St Phoenix AZ 85008 5 1122 0.14 1951 10/26/2009 10/23/2009 Single Family Residence 5209 W Novak Wy Phoenix AZ 85339 104-79-224 Maricopa Mao Lu 5209 W Novak Way Laveen AZ 85339 11 1316 0.25 2004 10/26/2009 10/23/2009 Single Family Residence 2214 N 106th Ln Avondale AZ 85392 102-31-511 Maricopa Manuel Laurie Penunuri 2114 S 114th Ave Avondale AZ 85323 3 2173 0.1 2001 10/26/2009 10/23/2009 Single Family Residence 2714 E Lynwood St Mesa AZ 85213 141-08-351 Maricopa Makamoeafi Etuina Taufa 2714 E Lynwood St Mesa AZ 85213 3.75 2653 0.18 1997 10/26/2009 10/23/2009 Single Family Residence 5015 W Wikieup Ln Glendale AZ 85308 206-30-665 Maricopa Majdolin Fouad Jado 5015 W Wikieup Ln Glendale AZ 85308 3 1593 0.11 1995 10/26/2009 10/23/2009 Single Family Residence Page 21
  • 22.
    Pre-foreclosure List Maricopa County Week Ending 11/2 1063 W Hackamore St Mesa AZ 85201 135-14-046 Maricopa Lylemedrano Lamb (480) 844-4910 1063 W Hackamore St Mesa AZ 85201 2 1200 0.14 1982 10/26/2009 10/23/2009 Single Family Residence 4117 W Park St Phoenix AZ 85041 105-89-858 Maricopa Lucila Ballesteros (602) 237-9366 4117 W Park St Phoenix AZ 85041 8 1616 0.08 2003 10/26/2009 10/23/2009 Single Family Residence 16130 N 158th Ave Sun City AZ 85374 501-77-711 Maricopa Lori Britton 16130 N 158th Ave Sun City AZ 85374 8 2426 0.2 1999 10/26/2009 10/23/2009 Single Family Residence 7133 E Juanita Ave Mesa AZ 85209 218-56-658 Maricopa Lloyd Soterin (480) 332-5297 7133 E Juanita Ave Mesa AZ 85209 2.75 1632 0.11 1995 10/26/2009 10/23/2009 Single Family Residence 1613 W Mcnair St Chandler AZ 85224 302-78-577 Maricopa Lin Feng (520) 227-7370 1613 W Mcnair St Chandler AZ 85224 2 1188 0.14 1982 10/26/2009 10/23/2009 Single Family Residence 2319 E Florian Cir Mesa AZ 85204 140-43-321 Maricopa Lenona C Packer 2319 E Florian Cir Mesa AZ 85204 2 1225 0.18 1983 10/26/2009 10/23/2009 Single Family Residence 14830 W Lamoille Dr Sun City AZ 85374 232-29-435 Maricopa Laura K Hlushko 14830 W Lamoille Dr Sun City AZ 85374 2 1201 0.12 1998 10/26/2009 10/23/2009 Single Family Residence 18020 N 31st Ave Phoenix AZ 85053 207-02-363 Maricopa Lanny T Myers (602) 467-9711 18020 N 31st Ave Phoenix AZ 85053 1 936 0.13 1978 10/26/2009 10/23/2009 Single Family Residence 750 E Myrtle Ave Phoenix AZ 85020 160-29-021 Maricopa Lance Scott (602) 803-7738 750 E Myrtle Ave Phoenix AZ 85020 1 1232 0.21 1947 10/26/2009 10/22/2009 Single Family Residence 3010 S 81st Ln Phoenix AZ 85043 104-53-724 Maricopa Lake Gyolanda 3010 S 81st Ln Phoenix AZ 85043 10 2609 0.14 2005 10/26/2009 10/23/2009 Single Family Residence 4909 S 15th Pl Phoenix AZ 85040 113-54-152 Maricopa Kristina Mckenzie 4909 S 15th Pl Phoenix AZ 85040 9 1534 0.06 2002 10/26/2009 10/23/2009 Single Family Residence 9424 N 6th Ave Phoenix AZ 85021 159-52-145 Maricopa Kingthong Sounpasath Bilazanh 9424 N 6th Ave Phoenix AZ 85021 1.75 985 0.13 1950 10/26/2009 10/23/2009 Single Family Residence 23454 W Pima St Buckeye AZ 85326 504-60-114 Maricopa Kevin S Rausch 23454 W Pima St Buckeye AZ 85326 6 1535 0.1 2004 10/26/2009 10/23/2009 Single Family Residence 4119 S Emery Mesa AZ 85212 304-33-810 Maricopa Kevin Keil 4119 S Emery Mesa AZ 85212 11 3365 0.17 2003 10/26/2009 10/22/2009 Single Family Residence 5325 E Catalina Ave Mesa AZ 85206 141-52-948 Maricopa Keven D Connolly 5325 E Catalina Ave Mesa AZ 85206 4 2 1809 0.18 1987 10/26/2009 10/23/2009 Single Family Residence 2955 N Oregon St 4 Chandler AZ 85225 302-91-671 Maricopa Kenneth Saelens 2955 N Oregon St Unit 4 Chandler AZ 85225 1.75 1213 0.02 1989 10/26/2009 10/23/2009 Condominium 4107 E La Salle St Phoenix AZ 85040 123-09-191 Maricopa Ken H Nguyen 4107 E La Salle St Phoenix AZ 85040 8 1881 0.07 2004 10/26/2009 10/23/2009 Single Family Residence 17515 W Pershing St Surprise AZ 85388 502-05-095 Maricopa Keith Valarie Christoffel 17515 W Pershing St Surprise AZ 85388 10 3551 0.18 2006 10/26/2009 10/22/2009 Single Family Residence 12639 N 47th Dr Glendale AZ 85304 207-40-292 Maricopa Judith Hedges 12639 N 47th Dr Glendale AZ 85304 2.5 1690 0.16 1978 10/26/2009 10/23/2009 Single Family Residence 6519 W Range Mule Dr Phoenix AZ 85083 201-10-344 Maricopa Juan M Munoz (623) 340-4898 6519 W Range Mule Dr Phoenix AZ 85083 2.75 1792 0.14 1999 10/26/2009 10/23/2009 Single Family Residence 4000 W Hubbell St Phoenix AZ 85009 108-30-058 Maricopa Juan Flores 4000 W Hubbell St Phoenix AZ 85009 3 867 0.12 1958 10/26/2009 10/23/2009 Single Family Residence 2983 E Franklin Ave Gilbert AZ 85295 313-13-688 Maricopa Juan Delatorre 320 W Nopal Pl Chandler AZ 85225 3 2.5 1928 0.1 2006 10/26/2009 10/23/2009 Single Family Residence 2807 E Larkspur Dr Phoenix AZ 85032 166-05-170 Maricopa Juan Chavero 2807 E Larkspur Dr Phoenix AZ 85032 2 1305 0.16 1972 10/26/2009 10/23/2009 Single Family Residence 4249 E Oakland St Gilbert AZ 85295 304-43-885 Maricopa Josue Guajardo (480) 279-0305 4249 E Oakland St Gilbert AZ 85295 9 1601 0.07 2008 10/26/2009 10/23/2009 Single Family Residence 1114 W Grandview St Mesa AZ 85201 135-14-059 Maricopa Joshua Warden 1114 W Grandview St Mesa AZ 85201 3 2 1360 0.13 1979 10/26/2009 10/22/2009 Other 22600 W Solano Dr Buckeye AZ 85326 504-23-290 Maricopa Joseph O Comprone 22600 W Solano Dr Buckeye AZ 85326 9 2267 0.12 2006 10/26/2009 10/22/2009 Single Family Residence 2122 W Erie St Chandler AZ 85224 302-47-123 Maricopa Jose Villegas (480) 620-8630 2122 W Erie St Chandler AZ 85224 2 1667 0.15 1981 10/26/2009 10/23/2009 Single Family Residence 2051 W Lawrence Rd Phoenix AZ 85015 156-16-093 Maricopa Jose Mendez 2051 W Lawrence Rd Phoenix AZ 85015 2 1186 0.19 1998 10/26/2009 10/22/2009 Single Family Residence 2206 E Camino Cir Mesa AZ 85213 140-09-048 Maricopa Jose I Becerra 2206 E Camino Cir Mesa AZ 85213 2 1515 0.18 1971 10/26/2009 10/23/2009 Single Family Residence 4001 W Tonto St Phoenix AZ 85009 106-19-093 Maricopa Jose Estorga (602) 442-7696 4001 W Tonto St Phoenix AZ 85009 1 780 0.14 1936 10/26/2009 10/23/2009 Single Family Residence 9963 N 94th Ln Peoria AZ 85345 142-90-340 Maricopa Jose Christina Olibarria 9963 N 94th Ln Peoria AZ 85345 2 1306 0.11 1997 10/26/2009 10/23/2009 Single Family Residence 481 S 166th Dr Goodyear AZ 85338 500-96-323 Maricopa Jordan Hill (623) 476-2859 481 S 166th Dr Goodyear AZ 85338 8 2491 0.15 2008 10/26/2009 10/23/2009 Single Family Residence 9808 E Topaz Dr Scottsdale AZ 85258 217-35-235 Maricopa John Vella 9808 E Topaz Dr Scottsdale AZ 85258 3.75 2495 0.31 1982 10/26/2009 10/22/2009 Single Family Residence 3837 W Folley St Chandler AZ 85226 301-65-588 Maricopa John Soderberg (480) 782-9273 3837 W Folley St Chandler AZ 85226 2 1210 0.1 1986 10/26/2009 10/23/2009 Single Family Residence 5104 N 32nd St 253 Phoenix AZ 85016 164-71-119 Maricopa John Chilcott 5104 N 32nd St Unit 253 Phoenix AZ 85018 2 1277 0 1990 10/26/2009 10/23/2009 Condominium 5104 N 32nd St 151 Phoenix AZ 85016 164-71-062 Maricopa John Chilcott 5104 N 32nd St Unit 151 Phoenix AZ 85018 2 1277 0.03 1990 10/26/2009 10/23/2009 Condominium 3325 E Ford Ave Gilbert AZ 85234 304-07-910 Maricopa John Billington 3325 E Ford Ave Gilbert AZ 85234 2.5 1785 0.15 2001 10/26/2009 10/22/2009 Single Family Residence 2101 W Poinsettia Dr Phoenix AZ 85029 149-53-038 Maricopa Joel Maria Moreno (602) 354-2609 2101 W Poinsettia Dr Phoenix AZ 85029 2 1293 0.13 1962 10/26/2009 10/23/2009 Single Family Residence 7930 E Camelback Rd B612 Scottsdale AZ 85251 173-76-610 Maricopa Joan Trumbower 7930 E Camelback Rd Unit B612Scottsdale AZ 85251 6 1369 0.02 1974 10/26/2009 10/23/2009 Condominium 5136 E Evergreen St 1029 Mesa AZ 85205 140-01-550 Maricopa Jesus Martinez 5136 E Evergreen St Unit 1029Mesa AZ 85205 2 1110 0 1987 10/26/2009 10/21/2009 Condominium 7315 S 54th Dr Phoenix AZ 85339 104-88-445 Maricopa Jeremy Alllyson Greek (602) 314-4563 7315 S 54th Dr Laveen AZ 85339 8 2209 0.1 2006 10/26/2009 10/23/2009 Other 1110 N 94th St Mesa AZ 85207 220-19-119 Maricopa Jeffrey J Thomas (480) 358-9622 1110 N 94th St Mesa AZ 85207 2 1290 0.14 1994 10/26/2009 10/23/2009 Single Family Residence 15221 N Clubgate Dr 2040 Phoenix AZ 85254 215-59-711 Maricopa Jeffrey A Graham 15221 N Clubgate Dr Unit 2040Scottsdale AZ 85254 8 1849 0.07 2000 10/26/2009 10/23/2009 Other 3810 N Maryvale Pkwy 2084 hoenix P AZ 85031 103-08-190-a Maricopa Jeff Wadlow 3810 N Maryvale Pkwy Unit 2084 Phoenix AZ 85031 1 672 0.01 1983 10/26/2009 10/23/2009 Condominium 4322 N 49th Ave Phoenix AZ 85031 145-21-003 Maricopa Javier Teresa Rodriguez 4322 N 49th Ave Phoenix AZ 85031 6 1116 0.13 1955 10/26/2009 10/23/2009 Single Family Residence 11304 W Golden Ln Peoria AZ 85345 142-88-812 Maricopa Jan Woodard 11304 W Golden Ln Peoria AZ 85345 2.5 1480 0.1 1995 10/26/2009 10/23/2009 Single Family Residence 2939 W Mcrae Wy Phoenix AZ 85027 206-10-008 Maricopa James Strmic 3107 E Altadena Ave Phoenix AZ 85028 2.75 2494 0.36 1978 10/26/2009 10/23/2009 Single Family Residence 20801 N 90th Pl 106 Scottsdale AZ 85255 217-68-187 Maricopa James Mcgarity 20801 N 90th Pl Unit 106 Scottsdale AZ 85255 6 1298 0.02 2000 10/26/2009 10/23/2009 Condominium 649 W Oxford Ln Gilbert AZ 85233 302-83-738 Maricopa James Mccormick (480) 703-9555 649 W Oxford Ln Gilbert AZ 85233 4 2562 0.14 1998 10/26/2009 10/23/2009 Single Family Residence 8350 W Molly Ln Peoria AZ 85383 201-06-633 Maricopa James Martin 8350 W Molly Ln Peoria AZ 85383 5 3 3097 0.18 2003 10/26/2009 10/23/2009 Single Family Residence 8815 N 29th Ave Phoenix AZ 85051 150-01-032 Maricopa James M Baker (602) 332-6231 8815 N 29th Ave Phoenix AZ 85051 6 1453 0.12 1954 10/26/2009 10/23/2009 Single Family Residence 907 W Diamond Dr Guadalupe AZ 85283 301-44-181 Maricopa James Kurth 907 W Diamond Dr Guadalupe AZ 85283 6 1915 0.16 1986 10/26/2009 10/23/2009 Single Family Residence 23626 N 38th Dr Glendale AZ 85310 205-11-340 Maricopa James Hanson (623) 251-2975 6025 W Cielo Grande Glendale AZ 85310 3 2 1257 0.1 1989 10/26/2009 10/23/2009 Single Family Residence 17604 W Boca Raton Rd Surprise AZ 85388 502-87-523 Maricopa James D Smith 17604 W Boca Raton Rd Surprise AZ 85388 3 2.5 1714 0.12 2003 10/26/2009 10/23/2009 Single Family Residence 1350 E Frances Ln Gilbert AZ 85295 304-46-142 Maricopa James D Parson 1350 E Frances Ln Gilbert AZ 85295 10 1615 0.09 2005 10/26/2009 10/23/2009 Single Family Residence 10053 E Capri Ave Mesa AZ 85208 220-71-765 Maricopa James Conner 10053 E Capri Ave Mesa AZ 85208 2.5 1310 0.09 2000 10/26/2009 10/21/2009 Single Family Residence 7323 S 56th Dr Phoenix AZ 85339 104-87-141 Maricopa James Cockerhern 7323 S 56th Dr Laveen AZ 85339 8 1753 0.1 2005 10/26/2009 10/23/2009 Other Page 22
  • 23.
    Pre-foreclosure List Maricopa County Week Ending 11/2 23960 N 73rd Pl Scottsdale AZ 85255 212-05-141 Maricopa Jagannath Penelope K Jayaswal (480) 634-5680 23960 N 73rd Pl Scottsdale AZ 85255 3.75 2346 0.1 1991 10/26/2009 10/23/2009 Single Family Residence 16013 S Desert Foothills Pkwy 2146 Phoenix AZ 85048 300-97-767 Maricopa Ignacio Morales 16013 S Desert Foothills Pkwy Phoenix Unit 2146 AZ 85048 3 698 0.01 1997 10/26/2009 10/23/2009 Other 3730 W San Juan Ave Phoenix AZ 85019 145-12-028 Maricopa Huerta Juzuna (602) 973-7721 3730 W San Juan Ave Phoenix AZ 85019 2 1343 0.14 1956 10/26/2009 10/23/2009 Single Family Residence 224 N 152nd Dr Goodyear AZ 85338 500-04-435 Maricopa Holly Herrington (623) 444-6743 224 N 152nd Dr Goodyear AZ 85338 10 2068 0.12 2004 10/26/2009 10/23/2009 Single Family Residence 21622 N 23rd Ave 203b Phoenix AZ 85027 209-07-079 Maricopa Hermida Hernandez 21622 N 23rd Ave Unit 203b Phoenix AZ 85027 1 768 68 1984 10/26/2009 10/23/2009 Condominium 8025 N 11th Pl Phoenix AZ 85020 160-09-016 Maricopa Heidemarie Dempsey 8025 N 11th Pl Phoenix AZ 85020 1.75 2363 0.27 1957 10/26/2009 10/23/2009 Single Family Residence 4928 W Wikieup Ln Glendale AZ 85308 206-30-631 Maricopa Hector Yolanda Betancourt 4928 W Wikieup Ln Glendale AZ 85308 3 1853 0.09 1995 10/26/2009 10/23/2009 Single Family Residence 8923 W Anthony Joseph LnPeoria AZ 85345 142-45-219 Maricopa Heath David (623) 234-2342 8923 W Anthony Joseph Ln Peoria AZ 85345 4 3.5 1663 0.13 1994 10/26/2009 10/23/2009 Single Family Residence 3737 W Griswold Rd Phoenix AZ 85051 150-17-205 Maricopa Hathaway Linda (602) 841-2739 3737 W Griswold Rd Phoenix AZ 85051 5 1500 0.15 1966 10/26/2009 10/22/2009 Single Family Residence 11633 W Monroe St Avondale AZ 85323 500-95-924 Maricopa Hamze Nina 11633 W Monroe St Avondale AZ 85323 4 2.5 1 0.17 2005 10/26/2009 10/23/2009 Single Family Residence 10609 W Pomo St Tolleson AZ 85353 101-15-141 Maricopa Gutierrez Srsylvia 10609 W Pomo St Tolleson AZ 85353 9 2228 0.12 2003 10/26/2009 10/23/2009 Single Family Residence 9807 E Quarterline Rd Mesa AZ 85207 220-24-035 Maricopa Guerra Cmarisa (480) 264-6450 9807 E Quarterline Rd Mesa AZ 85207 1.75 960 0.26 1971 10/26/2009 10/23/2009 Single Family Residence 10220 N 12th Pl 2 Phoenix AZ 85020 159-28-477-a Maricopa Griselda L Espinoza 10220 N 12th Pl Unit 2 Phoenix AZ 85020 2 2.5 1436 0.02 1997 10/26/2009 10/23/2009 Condominium 17430 N 21st Ave Phoenix AZ 85023 208-26-071 Maricopa Gregory Weitman 17430 N 21st Ave Phoenix AZ 85023 6 1292 0.18 1961 10/26/2009 10/22/2009 Single Family Residence 15030 W Eureka Tr Sun City AZ 85374 232-29-793 Maricopa Gonzales Jones 15030 W Eureka Trl Sun City AZ 85374 2 1145 0.11 1997 10/26/2009 10/23/2009 Single Family Residence 2453 N 125th Ln Avondale AZ 85392 501-89-148 Maricopa Geoffrey Wendy Ronning 2453 N 125th Ln Avondale AZ 85392 2.75 1290 0.17 1996 10/26/2009 10/22/2009 Single Family Residence 12020 W Windrose Dr El Mirage AZ 85335 509-06-255 Maricopa Gary L Jordan 12020 W Windrose Dr El Mirage AZ 85335 2 1832 0.12 2000 10/26/2009 10/23/2009 Single Family Residence 6617 W Yuma St Phoenix AZ 85043 104-28-094 Maricopa Garcia Lorena 6617 W Yuma St Phoenix AZ 85043 2 1157 0.11 1989 10/26/2009 10/23/2009 Single Family Residence 13806 N Alto St El Mirage AZ 85335 501-27-036 Maricopa Garcia Angelica 13806 N Alto St El Mirage AZ 85335 1 1270 0.17 1982 10/26/2009 10/22/2009 Single Family Residence 10865 W Devonshire Ave Phoenix AZ 85037 102-58-626 Maricopa Fredrick Andrea 10865 W Devonshire Ave Phoenix AZ 85037 2 1482 0.11 1996 10/26/2009 10/23/2009 Single Family Residence 419 E Country Gables Dr Phoenix AZ 85022 208 17 371-a Maricopa Frazier Douglas Jr 419 E Country Gables Dr Phoenix AZ 85022 4 2 2400 0.21 1973 10/26/2009 10/22/2009 Single Family Residence 4731 N 94th Ave Phoenix AZ 85037 102-18-103 Maricopa Frank J Flores 4731 N 94th Ave Phoenix AZ 85037 11 1907 0.15 1999 10/26/2009 10/23/2009 Single Family Residence 7225 W St Catherine Ave Phoenix AZ 85339 104-83-630 Maricopa Francisco U Amaya (602) 237-3520 7225 W St Catherine Ave Laveen AZ 85339 10 2827 0.13 2005 10/26/2009 10/23/2009 Other 5417 W Cypress St Phoenix AZ 85035 103-18-072 Maricopa Francisco Rodriquez 5417 W Cypress St Phoenix AZ 85035 2 1308 0.13 1973 10/26/2009 10/23/2009 Single Family Residence 2258 W Bowker St Phoenix AZ 85041 105-65-310 Maricopa Francisco Robledo (602) 795-0592 2258 W Bowker St Phoenix AZ 85041 6 1408 0.11 2001 10/26/2009 10/23/2009 Single Family Residence 13224 W Mclellan Rd Glendale AZ 85307 501-57-157 Maricopa Francisco Bernal 13224 W Mclellan Rd Glendale AZ 85307 4 2 1640 0.15 1999 10/26/2009 10/22/2009 Single Family Residence 7017 S 18th St Phoenix AZ 85042 122-93-347 Maricopa Fortino Gracida 7017 S 18th St Phoenix AZ 85042 2.5 1199 0.09 1989 10/26/2009 10/23/2009 Single Family Residence 5918 W Highland Ave Phoenix AZ 85033 144-72-194-a Maricopa Fidelia Luna 5918 W Highland Ave Phoenix AZ 85033 6 2209 0.21 1965 10/26/2009 10/23/2009 Single Family Residence 4034 W Carter Rd Phoenix AZ 85041 105-89-457 Maricopa Fernando Frausto (602) 326-3642 4034 W Carter Rd Phoenix AZ 85041 2.75 1616 0.06 2002 10/26/2009 10/23/2009 Single Family Residence 826 E 4th Pl Mesa AZ 85203 137-06-074 Maricopa Felix Uriarte 826 E 4th Pl Mesa AZ 85203 1919 0.18 1965 10/26/2009 10/23/2009 Multi-unit 8710 E Lindner Cir Mesa AZ 85209 312-03-569 Maricopa Evans Group Llc 8710 E Lindner Cir Mesa AZ 85209 3.5 2090 0.08 2001 10/26/2009 10/23/2009 Single Family Residence 352 S 220th Ln Buckeye AZ 85326 504-20-558 Maricopa Eric De Rose 352 S 220th Ln Buckeye AZ 85326 3 2.5 1726 0.19 2004 10/26/2009 10/23/2009 Other 12213 W Ironwood St El Mirage AZ 85335 509-17-894 Maricopa Enrique Barragan (623) 876-0524 12213 W Ironwood St El Mirage AZ 85335 10 1907 0.11 2005 10/26/2009 10/23/2009 Single Family Residence 11843 W Via Montoya Ct Sun City AZ 85373 503-88-109 Maricopa Emily O Miles 11843 W Via Montoya Ct Sun City AZ 85373 4 2.5 3207 0.1 2006 10/26/2009 10/23/2009 Single Family Residence 8446 W Elm St Phoenix AZ 85037 102-74-838 Maricopa Emilio Maria L Molina 8446 W Elm St Phoenix AZ 85037 2 1065 0.14 1996 10/26/2009 10/23/2009 Single Family Residence 8155 W Joedad Ter Peoria AZ 85382 200-18-518 Maricopa Emanouel Younan 8155 W Joedad Ter Peoria AZ 85382 3 2011 0.14 1998 10/26/2009 10/23/2009 Single Family Residence 4469 E Maplewood St Chandler HeightsAZ 85297 313-16-152 Maricopa Elizabeth F Aroca 4469 E Maplewood St Gilbert AZ 85297 11 2630 0.14 2006 10/26/2009 10/23/2009 Other 1432 W Wood Dr Phoenix AZ 85029 159-03-593 Maricopa Eduardo Cortes 1432 W Wood Dr Phoenix AZ 85029 2 1565 0.17 1972 10/26/2009 10/23/2009 Single Family Residence 3641 E Bruce Ave Gilbert AZ 85234 309-23-351 Maricopa E Ave Llc 3641 E Bruce Ave Gilbert AZ 85234 11 2127 0.12 2001 10/26/2009 10/22/2009 Single Family Residence 34567 N 99th St Scottsdale AZ 85262 216-45-037 Maricopa Douglas K Oshana 34567 N 99th St Scottsdale AZ 85262 3 3 2846 0.22 1999 10/26/2009 10/23/2009 Other 3847 S Seton Ave Gilbert AZ 85297 309-24-105 Maricopa Dotson Ann (480) 988-0779 3847 S Seton Ave Gilbert AZ 85297 9 2136 0.15 2001 10/26/2009 10/23/2009 Other 855 E 6th Ave Mesa AZ 85204 139-19-002 Maricopa Dorothy Wright 855 E 6th Ave Mesa AZ 85204 2 1183 0.15 1959 10/26/2009 10/23/2009 Single Family Residence 7141 E Rancho Vista Dr 6006cottsdale S AZ 85251 173-33-555 Maricopa Doc Properties Llc 7141 E Rancho Vista Dr Unit 6006 Scottsdale AZ 85251 8 1759 0.04 2007 10/26/2009 10/23/2009 Condominium 3122 E Campo Bello Dr Phoenix AZ 85032 214-03-073-a Maricopa Dianna Jaime Blasingim (602) 330-3059 3122 E Campo Bello Dr Phoenix AZ 85032 1 1004 0.43 1955 10/26/2009 10/22/2009 Single Family Residence 8327 W Forest Grove Ave Tolleson AZ 85353 101-30-318 Maricopa Demetria Brown 8327 W Forest Grove Ave Tolleson AZ 85353 11 3434 0.13 2005 10/26/2009 10/23/2009 Single Family Residence 5129 S 15th Pl Phoenix AZ 85040 113-54-180 Maricopa Deena Hailoo 5129 S 15th Pl Phoenix AZ 85040 3 2.5 1352 0.08 2004 10/26/2009 10/23/2009 Single Family Residence 21175 E Camina Plata Chandler HeightsAZ 85242 304-65-395 Maricopa Dayna L Thompson 21175 E Camina Plata Chandler Heights AZ 85142 2.5 2264 0.13 2003 10/26/2009 10/23/2009 Single Family Residence 23809 N 39th Ln Glendale AZ 85310 205-11-023 Maricopa Dawn Kelley 23809 N 39th Ln Glendale AZ 85310 2.75 1827 0.14 1994 10/26/2009 10/23/2009 Single Family Residence 30008 W Roosevelt St Buckeye AZ 85396 504-15-429 Maricopa David Phasley 30008 W Roosevelt St Buckeye AZ 85396 2144 0.95 1998 10/26/2009 10/23/2009 Mobile Home 510 S 220th Ln Buckeye AZ 85326 504-25-446 Maricopa David Marie 510 S 220th Ln Buckeye AZ 85326 14 3176 0.25 2006 10/26/2009 10/23/2009 Single Family Residence 11518 E Chestnut Ct Chandler AZ 85249 303-58-847 Maricopa David Karen Morris 11518 E Chestnut Ct Chandler AZ 85249 5 4.5 4635 0.44 2006 10/26/2009 10/23/2009 Single Family Residence 11418 N 57th Dr Glendale AZ 85304 148-28-138 Maricopa David Calvario 11418 N 57th Dr Glendale AZ 85304 3 2 1300 0.15 1978 10/26/2009 10/23/2009 Single Family Residence 2547 E Isabella Ave Mesa AZ 85204 140-63-170 Maricopa David Buruato (480) 926-6111 2547 E Isabella Ave Mesa AZ 85204 4 2 1640 0.16 1979 10/26/2009 10/23/2009 Single Family Residence 2423 E Aster Dr Phoenix AZ 85032 166-54-593 Maricopa Daryl Jessen 2423 E Aster Dr Phoenix AZ 85032 2 1440 0.15 1971 10/26/2009 10/23/2009 Single Family Residence 840 N Dysart Rd Avondale AZ 85323 500-03-269-l Maricopa Daniel L Powell 840 N Dysart Rd Goodyear AZ 85338 1.97 10/26/2009 10/23/2009 Hotel 18512 E Lawndale Pl Chandler HeightsAZ 85242 304-89-005-a Maricopa Daniel Kelly 18512 E Lawndale Pl Chandler Heights AZ 85142 2 1818 0.98 1997 10/26/2009 10/23/2009 Single Family Residence 1655 S 172nd Dr Goodyear AZ 85338 502-43-245 Maricopa Daniel Green 1655 S 172nd Dr Goodyear AZ 85338 9 1918 0.13 2003 10/26/2009 10/23/2009 Single Family Residence Page 23
  • 24.
    Pre-foreclosure List Maricopa County Week Ending 11/2 15811 N 6th Dr Phoenix AZ 85023 208-34-379 Maricopa Daniel Claudia Peel 15811 N 6th Dr Phoenix AZ 85023 2.75 1471 0.08 1986 10/26/2009 10/23/2009 Single Family Residence 2935 S Valle Verde Mesa AZ 85212 309-19-584 Maricopa Damon Rebecca Krause (480) 292-8467 2935 S Valle Verde Mesa AZ 85212 3 2.5 2250 0.14 2000 10/26/2009 10/22/2009 Single Family Residence 2133 W Eugie Ave Phoenix AZ 85029 149-61-227 Maricopa Cruz Yesenia (602) 548-3442 2133 W Eugie Ave Phoenix AZ 85029 2 1646 0.14 1972 10/26/2009 10/23/2009 Single Family Residence 880 W Cherrywood Dr Sun Lakes AZ 85248 303-74-419 Maricopa Crespo Scott 880 W Cherrywood Dr Sun Lakes AZ 85248 3 2666 0.15 1997 10/26/2009 10/23/2009 Single Family Residence 24442 N 41st Ave Glendale AZ 85310 205-11-847 Maricopa Crescencia Sandoval 24442 N 41st Ave Glendale AZ 85310 2.75 2557 0.2 1988 10/26/2009 10/23/2009 Single Family Residence 962 E Isabella Ave Mesa AZ 85204 139-11-005 Maricopa Contreras Inc 962 E Isabella Ave Mesa AZ 85204 0.93 10/26/2009 10/22/2009 Other 3823 W Villa Linda Dr Glendale AZ 85310 205-14-796 Maricopa Cohen Stephanie 3823 W Villa Linda Dr Glendale AZ 85310 3 2285 0.1 1998 10/26/2009 10/23/2009 Single Family Residence 15652 N 55th St Phoenix AZ 85254 215-34-120 Maricopa Cleland Jay 15652 N 55th St Scottsdale AZ 85254 7 2288 0.21 1983 10/26/2009 10/22/2009 Other 9603 N 55th Ave Glendale AZ 85302 148-21-419 Maricopa Claytonteri Pullen (623) 463-3678 9603 N 55th Ave Glendale AZ 85302 2 1513 0.15 1978 10/26/2009 10/23/2009 Single Family Residence 1351 N Pleasant Dr 2176 Chandler AZ 85225 302-43-891 Maricopa Christopherwilliams Ansburg 1351 N Pleasant Dr Unit 2176 Chandler AZ 85225 1 1 725 0.01 1984 10/26/2009 10/23/2009 Condominium 6658 W Nancy Rd Glendale AZ 85306 200-51-074 Maricopa Christopher Moore (623) 979-8588 6658 W Nancy Rd Glendale AZ 85306 840 0.29 1988 10/26/2009 10/23/2009 Mobile Home 1015 E Blackhawk Dr Phoenix AZ 85024 213-31-345 Maricopa Christine Nguyen 1015 E Blackhawk Dr Phoenix AZ 85024 7 1883 0.13 1999 10/26/2009 10/23/2009 Single Family Residence 9459 W Virginia Ave Phoenix AZ 85037 102-33-301 Maricopa Chris T Oba 9459 W Virginia Ave Phoenix AZ 85037 9 1935 0.07 2004 10/26/2009 10/23/2009 Single Family Residence 4031 W Granada Rd Phoenix AZ 85009 108-22-050 Maricopa Castro Cynthia 4031 W Granada Rd Phoenix AZ 85009 1 929 0.16 1948 10/26/2009 10/23/2009 Single Family Residence 12856 W Quail Track Dr Peoria AZ 85383 510-03-021 Maricopa Casey Mary (623) 242-8969 12856 W Quail Track Dr Peoria AZ 85383 7 1384 0.12 2006 10/26/2009 10/23/2009 Single Family Residence 4795 E Valley Vista Ln Paradise Valley AZ 85253 169-23-027-b Maricopa Carol Holliday (602) 368-7069 4795 E Valley Vista Ln Paradise Valley AZ 85253 5 6 6000 1.28 1977 10/26/2009 10/23/2009 Single Family Residence 3225 W State Ave Phoenix AZ 85051 151-15-016 Maricopa Carlos Velazquez 3225 W State Ave Phoenix AZ 85051 3 3008 0.43 1960 10/26/2009 10/23/2009 Single Family Residence 17224 W Country Gables DrSurprise AZ 85388 502-87-870 Maricopa Carl Staci Fischer (623) 584-9177 17224 W Country Gables Dr Surprise AZ 85388 10 1999 0.11 2003 10/26/2009 10/23/2009 Single Family Residence 444 E Melody Ln Gilbert AZ 85234 304-95-413 Maricopa Campbell Scott 444 E Melody Ln Gilbert AZ 85234 2.75 1708 0.14 1989 10/26/2009 10/23/2009 Single Family Residence 2008 N 51st Wy Phoenix AZ 85008 126-21-110 Maricopa Burke Brie 2008 N 51st Way Phoenix AZ 85008 2 1244 0.04 1980 10/26/2009 10/23/2009 Condominium 14527 W Laurel Ln Sun City AZ 85379 509-15-248 Maricopa Bryon Catherine Zimpfer 14527 W Laurel Ln Sun City AZ 85379 8 1909 0.13 2005 10/26/2009 10/23/2009 Single Family Residence 4701 W Westcott Dr Glendale AZ 85308 206-32-549 Maricopa Bruce D Deheer (623) 826-3977 4701 W Westcott Dr Glendale AZ 85308 2 1068 0.16 1984 10/26/2009 10/23/2009 Single Family Residence 10956 E Paradise Dr Scottsdale AZ 85259 217-47-693 Maricopa Brooks Gail Barthel 10956 E Paradise Dr Scottsdale AZ 85259 13 3363 0.38 2003 10/26/2009 10/23/2009 Single Family Residence 33110 N 24th Ln Phoenix AZ 85085 204-01-728 Maricopa Brian R Castillo 33110 N 24th Ln Phoenix AZ 85085 1907 0.13 2004 10/26/2009 10/23/2009 Single Family Residence 13600 W Ventura St Sun City AZ 85379 509-16-112 Maricopa Brian Katherine Trojahn 13600 W Ventura St Sun City AZ 85379 9 2904 0.16 2005 10/26/2009 10/23/2009 Single Family Residence 2840 N Granite Reef Rd Scottsdale AZ 85257 131-31-126 Maricopa Brent Tartsah 2840 N Granite Reef Rd Scottsdale AZ 85257 2 1.5 1044 0.03 1973 10/26/2009 10/23/2009 Single Family Residence 2440 E Capri Ave Mesa AZ 85204 140-41-608 Maricopa Brent Smith 2440 E Capri Ave Mesa AZ 85204 2.5 1428 0.17 1985 10/26/2009 10/23/2009 Single Family Residence 1750 W Union Hills Dr 82 Phoenix AZ 85027 209-21-532 Maricopa Brenda Mitchelitis 1750 W Union Hills Dr Unit 82Phoenix AZ 85027 3 1568 0.06 2001 10/26/2009 10/23/2009 Single Family Residence 1517 S 228th Ln Buckeye AZ 85326 504-22-474 Maricopa Brandon Jensen 16114 W Jackson St Goodyear AZ 85338 6 1245 0.12 2003 10/26/2009 10/23/2009 Single Family Residence 11012 E Elton Ave Mesa AZ 85208 220-73-011 Maricopa Brandon Blackgoat 11012 E Elton Ave Mesa AZ 85208 2 1378 0.22 1980 10/26/2009 10/23/2009 Single Family Residence 6086 S Bridal Vail Dr Gilbert AZ 85298 313-07-537 Maricopa Boyd Dvalerie 6086 S Bridal Vail Dr Gilbert AZ 85298 3 2 1749 0.15 2007 10/26/2009 10/23/2009 Single Family Residence 4839 E White Gates Dr Phoenix AZ 85018 172-49-012 Maricopa Bihag Kakad (480) 516-4040 4839 E White Gates Dr Phoenix AZ 85018 4 6094 0.84 1990 10/26/2009 10/23/2009 Single Family Residence 5404 N 68th Ave Glendale AZ 85303 144-24-170 Maricopa Bertha Galaviz 5404 N 68th Ave Glendale AZ 85303 2 2017 0.15 1973 10/26/2009 10/23/2009 Single Family Residence 3048 W Almeria Rd Phoenix AZ 85009 108-27-168-a Maricopa Bertha A Rodriguez (602) 595-9584 3048 W Almeria Rd Phoenix AZ 85009 3 1 780 0.13 1958 10/26/2009 10/23/2009 Single Family Residence 2110 N Tamarisk St Chandler AZ 85224 302-79-365 Maricopa Becky Stevens 2110 N Tamarisk St Chandler AZ 85224 6 1172 0.19 1983 10/26/2009 10/23/2009 Single Family Residence 3201 W Eugie Ave Phoenix AZ 85029 149-46-123 Maricopa Bary Walter 8164 W Mclellan Rd Glendale AZ 85303 2 1400 0.15 1961 10/26/2009 10/23/2009 Single Family Residence 12362 W Glenrosa Ave Litchfield Park AZ 85392 501-63-586 Maricopa Balkar Singh 12362 W Glenrosa Ave Avondale AZ 85392 7 2470 0.15 2005 10/26/2009 10/23/2009 Other 1426 N 53rd Ave Phoenix AZ 85043 103-30-127 Maricopa Arturogarcia Garduno (602) 314-4716 1426 N 53rd Ave Phoenix AZ 85043 1.75 930 0.02 1983 10/26/2009 10/23/2009 Condominium 5268 N 42nd Ln Phoenix AZ 85019 145-08-923 Maricopa Arturo Gallegos 5268 N 42nd Ln Phoenix AZ 85019 2.75 1872 0.26 2001 10/26/2009 10/23/2009 Single Family Residence 1847 N 85th Dr Phoenix AZ 85037 102-87-902 Maricopa Armando Claudia Soto 1847 N 85th Dr Phoenix AZ 85037 2.5 1679 0.21 1998 10/26/2009 10/22/2009 Single Family Residence 2042 W Periwinkle Wy Sun Lakes AZ 85248 303-48-719 Maricopa Arizona Realty Llc 2042 W Periwinkle Way Sun Lakes AZ 85248 2.5 1311 0.08 2001 10/26/2009 10/23/2009 Single Family Residence 13627 W Calavar Rd Sun City AZ 85379 509-16-059 Maricopa April Cobb IV 13627 W Calavar Rd Sun City AZ 85379 12 3062 0.16 2004 10/26/2009 10/23/2009 Single Family Residence 7307 S 55th Ln Phoenix AZ 85339 104-87-164 Maricopa Apache Circle Llc 7307 S 55th Ln Laveen AZ 85339 6 1528 0.11 2004 10/26/2009 10/23/2009 Other 10949 W Griswold Rd Peoria AZ 85345 142-74-164 Maricopa Anna M Colella 10949 W Griswold Rd Peoria AZ 85345 8 1317 0.11 2002 10/26/2009 10/23/2009 Other 2008 E Encanto St Mesa AZ 85213 140-08-072 Maricopa Andy Wendy Chaidez (480) 664-4144 2008 E Encanto St Mesa AZ 85213 2 2219 0.2 1971 10/26/2009 10/22/2009 Single Family Residence 8831 E Avalon St Mesa AZ 85207 218-40-244 Maricopa Andrew G Gomez 8831 E Avalon St Mesa AZ 85207 1440 0.14 1980 10/26/2009 10/23/2009 Mobile Home 13448 N 37th Ave Phoenix AZ 85029 149-25-135 Maricopa Amber Decker (602) 795-6159 13448 N 37th Ave Phoenix AZ 85029 2 1513 0.16 1971 10/26/2009 10/23/2009 Single Family Residence 3326 N Brighton 18 Mesa AZ 85207 219-19-677 Maricopa Alicia Bautista-orozco 3326 N Brighton Unit 18 Mesa AZ 85207 8 1571 0.12 2002 10/26/2009 10/23/2009 Other 3446 N 130th Dr Avondale AZ 85392 508-03-310 Maricopa Alex Samaniego 3446 N 130th Dr Avondale AZ 85392 3 2 1511 0.11 2001 10/26/2009 10/23/2009 Single Family Residence 11114 W College Dr Phoenix AZ 85037 102-90-624 Maricopa Alejandro Robles 11114 W College Dr Phoenix AZ 85037 6 2221 0.13 2007 10/26/2009 10/23/2009 Single Family Residence 5611 W State Ave Glendale AZ 85301 147-24-044 Maricopa Alberto Bahena 5611 W State Ave Glendale AZ 85301 1 528 0.14 1944 10/26/2009 10/22/2009 Single Family Residence 115 S 93rd Ave Tolleson AZ 85353 101-07-019 Maricopa Albert R Camacho (623) 936-4561 115 S 93rd Ave Tolleson AZ 85353 2 1464 0.17 1960 10/26/2009 10/23/2009 Single Family Residence 3408 W Denton Ln D Phoenix AZ 85017 153-17-159 Maricopa Albert O Schacke 3408 W Denton Ln Unit D Phoenix AZ 85017 5 960 0.01 1973 10/26/2009 10/23/2009 Other 4578 S Cobblestone St Gilbert AZ 85297 304-57-302 Maricopa Abraham Flores (480) 782-7880 4578 S Cobblestone St Gilbert AZ 85297 12 3396 0.21 2004 10/26/2009 10/23/2009 Single Family Residence 11407 E Quicksilver Ave Mesa AZ 85212 304-33-022 Maricopa Abdelmalik Chaara 11407 E Quicksilver Ave Mesa AZ 85212 7 2175 0.18 2003 10/26/2009 10/23/2009 Single Family Residence Page 24
  • 25.
    Pre-foreclosure List Maricopa County Week Ending 11/2 Prevsaleprice Prevsaledate Foreclosure Type Lender Lphone Loan Number Loan Date Loan AMT Assessed Value Document # Attorney/Trustee Trustee Number Trustee Phone Sale Date $115,000.0006/19/2002 Notice of Trustee Sale Option One Mortgage (800) 704-0800 $129,600.00 $153,300.00 20091005080 Fidelity National Title 09-03819-3 (714) 573-1965 01/30/2010 12:00 pm $199,206.0011/30/2005 Notice of Trustee Sale Hsbc Bank (800) 975-4722 $159,364.00 $138,200.00 20091002202 Aztec Foreclosure 09-018527 (602) 222-5711 01/28/2010 11:00 am $131,600.0009/15/1998 Notice of Trustee Sale Downey Savings And Loan $213,450.00 $210,200.00 20091008391 Michael A Bosco Jr 09-26641 (602) 255-6000 01/29/2010 10:00 am $177,030.0001/31/2002 Notice of Trustee Sale Wells Fargo Home Mortgage (866) 234-8271 $243,000.00 $232,100.00 20091006510 Michael A Bosco Jr 09-49119 (602) 255-6000 01/29/2010 10:00 am $195,000.0003/19/2007 Notice of Trustee Sale 03/09/2007 $178,308.00 $206,200.00 20091005853 Quality Loan Service Az-09-321435-bm (714) 573-1965 01/29/2010 12:00 pm $262,223.0005/16/2006 Notice of Trustee Sale Emc Mortgage Corporation (800) 723-3004 $209,778.00 $185,600.00 20091008104 Michael A Bosco Jr 09-27035 (602) 255-6000 01/29/2010 10:00 am $150,000.0001/25/1999 Notice of Trustee Sale 09/19/2006 $245,000.00 $328,200.00 20091007921 Quality Loan Service Az-09-322689-bm (714) 573-1965 01/29/2010 12:00 pm $150,000.0007/05/2006 Notice of Trustee Sale U.s. Bancorp (800) 365-7772 20060900847 07/05/2006 $135,000.00 $124,100.00 20091007137 Recontrust (800) 281-8219 02/03/2010 12:00 pm $240,671.0001/17/2006 Notice of Trustee Sale U.s. Bancorp (800) 365-7772 20060064910 01/17/2006 $192,500.00 $192,500.00 20091006987 Recontrust (800) 281-8219 02/03/2010 12:00 pm $210,000.0001/28/2005 Notice of Trustee Sale Everhome Mortgage Company (800) 669-9721 $222,500.00 $225,600.00 20091008109 Michael A Bosco Jr 09-26418 (602) 255-6000 01/29/2010 10:00 am $107,000.0011/29/2000 Notice of Trustee Sale $141,300.00 $150,300.00 20091006398 Empire West Title Agency (602) 749-7000 01/29/2010 10:00 am $720,000.0012/16/2003 Notice of Trustee Sale Provident Funding (800) 696-8199 $625,000.00 $72,380.00 20091006055 Jason Cotton Pa 7092521 01/29/2010 12:00 pm $322,768.0007/06/2004 Notice of Trustee Sale Mers (800) 646-6377 2005 06/09/2005 $340,000.00 $275,800.00 20091005984 Security Title Agency (602) 266-0275 02/08/2010 12:00 pm $135,500.0009/28/2001 Notice of Trustee Sale Downey Savings And Loan $137,800.00 $208,500.00 20091008769 Michael A Bosco Jr 09-26607 (602) 255-6000 01/29/2010 10:00 am $201,313.0008/15/2007 Notice of Trustee Sale Hsbc Bank (800) 975-4722 $201,300.00 $10,380.00 20091008100 Michael A Bosco Jr 09-26501 (602) 255-6000 01/29/2010 10:00 am $110,060.0002/19/1998 Notice of Trustee Sale Biltmore Bank Of Arizona (480) 922-7620 2007 $216,000.00 $166,700.00 20091007871 Empire West Title Agency 2009-35770 (602) 749-7000 01/30/2010 02:00 pm 02/19/2004 Notice of Trustee Sale 20040167139 $26,372.00 $65,628.00 20091006931 Statewide Foreclosure (602) 414-9928 01/30/2010 02:00 pm $144,900.00 02/11/2008 Notice of Trustee Sale U.s. Bancorp (800) 365-7772 04/22/2008 $140,750.00 $119,500.00 20091008286 Michael A Bosco Jr 09-26408 (602) 255-6000 01/29/2010 10:00 am $258,900.00 10/18/2006 Notice of Trustee Sale Hsbc Bank (800) 975-4722 $207,120.00 $166,100.00 20091008064 Michael A Bosco Jr 09-26026 (602) 255-6000 01/29/2010 10:00 am Notice of Trustee Sale Chase Home Finance Llc (888) 332-3251 $198,900.00 $153,000.00 20091006862 First American Title 20099019204363 (702) 304-7514 01/30/2010 02:00 pm $159,900.00 07/21/2003 Notice of Trustee Sale Citimortgage, Inc (800) 695-0935 $194,944.00 $129,500.00 20091008160 Michael A Bosco Jr 09-27001 (602) 255-6000 01/29/2010 10:00 am $139,000.00 09/15/2008 Notice of Trustee Sale Bank Of America (800) 285-6000 20080421084 05/13/2008 $170,590.00 $168,000.00 20091007064 Recontrust 09-0157962 (800) 281-8219 02/03/2010 12:00 pm $530,000.00 12/30/2004 Notice of Trustee Sale Citimortgage, Inc (800) 695-0935 12/29/2004 $424,000.00 $540,000.00 20091007879 Cr Title Service To9-55832-az (714) 573-1965 01/30/2010 02:00 pm $107,000.00 03/05/2004 Notice of Trustee Sale Deutsche Bank (212) 250-2500 2006 09/26/2006 $184,500.00 $128,800.00 20091007144 Recontrust (800) 281-8219 02/03/2010 12:00 pm $160,000.00 01/26/2006 Notice of Trustee Sale Wells Fargo Home Mortgage (866) 234-8271 $157,528.00 $125,500.00 20091006889 First American Title 20099070821690 (702) 304-7514 01/30/2010 02:00 pm $274,150.00 08/07/2007 Notice of Trustee Sale Bank Of America (800) 285-6000 20070890503 08/07/2007 $267,097.00 $13,660.00 20091007102 Recontrust (800) 281-8219 02/03/2010 12:00 pm 06/30/2003 Notice of Trustee Sale Wells Fargo Home Mortgage (866) 234-8271 20050723344 $15,200,000.00 $979,680.00 20091007451 Security Title Agency 14-89227 (602) 266-0275 01/30/2010 10:30 am $298,070.00 04/01/2005 Notice of Trustee Sale 02/23/2007 $400,000.00 $319,500.00 20091005849 Quality Loan Service Az-09-320931-bm (714) 573-1965 01/29/2010 12:00 pm $496,557.00 04/30/2007 Notice of Trustee Sale Provident Funding (800) 696-8199 $398,000.00 $27,300.00 20091006114 Jason Cotton Pa 7092513 01/29/2010 12:00 pm $119,000.00 07/27/2001 Notice of Trustee Sale Chase Home Finance Llc (888) 332-3251 2003 $122,300.00 $148,200.00 20091008145 Quality Loan Service Martinez, (714) 573-1965 01/30/2010 02:00 pm $309,461.00 03/07/2006 Notice of Trustee Sale Chase Home Finance Llc (888) 332-3251 $247,568.00 $14,480.00 20091006518 Michael A Bosco Jr 09-26882 (602) 255-6000 01/29/2010 10:00 am $130,000.00 03/31/2005 Notice of Trustee Sale Chase Home Finance Llc (888) 332-3251 $190,400.00 $162,600.00 20091006881 First American Title 20099073502623 (702) 304-7514 01/30/2010 02:00 pm $217,825.00 06/16/2006 Notice of Trustee Sale 06/15/2006 $174,250.00 $89,100.00 20091008490 Quality Loan Service Az-09-321901-tc (714) 573-1965 01/29/2010 12:00 pm $127,000.00 12/12/2001 Notice of Trustee Sale Deutsche Bank (212) 250-2500 $233,000.00 $109,500.00 20091004626 Fidelity National Title 09-03798-3 (714) 573-1965 01/30/2010 12:00 pm $85,000.00 03/30/1995 Notice of Trustee Sale Chase Home Finance Llc (888) 332-3251 $82,201.00 $210,300.00 20091006856 First American Title 20099073502616 (702) 304-7514 01/30/2010 02:00 pm 12/19/2001 Notice of Trustee Sale $224,000.00 $12,600.00 20091002192 Aztec Foreclosure 09-018059 (602) 222-5711 01/28/2010 11:00 am $104,000.00 04/03/2003 Notice of Trustee Sale Wells Fargo Home Mortgage (866) 234-8271 $104,000.00 $143,800.00 20091006512 Michael A Bosco Jr 09-49118 (602) 255-6000 01/29/2010 10:00 am $499,000.00 12/13/2004 Notice of Trustee Sale Wells Fargo Home Mortgage (866) 234-8271 $399,200.00 $31,050.00 20091006822 First American Title 20099070821616 (702) 304-7514 01/30/2010 02:00 pm $139,600.00 12/20/2002 Notice of Trustee Sale Midfirst Bank (800) 877-1674 01/26/2004 $142,145.00 $174,000.00 20091006479 Quality Loan Service Az-09-323222-bm (714) 573-1965 02/01/2010 12:00 pm $172,507.00 03/14/1996 Notice of Trustee Sale Citimortgage, Inc (800) 695-0935 $328,000.00 $283,700.00 20091008155 Michael A Bosco Jr 09-26494 (602) 255-6000 01/29/2010 10:00 am $129,000.00 05/09/2007 Notice of Trustee Sale Deutsche Bank (212) 250-2500 $109,650.00 $59,000.00 20091007586 Old Republic Nat'l Title Insurance C (714) 573-1965 01/30/2010 02:00 pm $126,500.00 09/19/2008 Notice of Trustee Sale Bank Of America (800) 285-6000 20080813359 09/19/2008 $124,545.00 $166,800.00 20091007058 Recontrust (800) 281-8219 01/30/2010 02:00 pm $286,500.00 07/22/2005 Notice of Trustee Sale Bank Of America (800) 285-6000 07/22/2005 $214,875.00 $13,450.00 20091009007 California Reconveyance 137861az (714) 573-1965 01/30/2010 02:00 pm $118,000.00 05/11/2004 Notice of Trustee Sale U.s. Bancorp (800) 365-7772 07/19/2006 $153,000.00 $140,700.00 20091007689 Mtc Financial Azo869876 01/29/2010 12:00 pm $115,000.00 01/03/2002 Notice of Trustee Sale U.s. Bancorp (800) 365-7772 $113,981.00 $150,300.00 20091008281 Michael A Bosco Jr 09-26594 (602) 255-6000 01/29/2010 10:00 am $57,000.00 04/10/1995 Notice of Trustee Sale Litton Loan Servicing Lp (800) 247-9727 $172,000.00 $133,600.00 20091008076 Michael A Bosco Jr 09-26425 (602) 255-6000 01/29/2010 10:00 am $89,900.00 10/23/2001 Notice of Trustee Sale Citimortgage, Inc (800) 695-0935 10/18/2001 $89,103.00 $113,700.00 20091007886 Cr Title Service To9-55845-az (714) 573-1965 01/30/2010 02:00 pm $71,532.00 04/26/1996 Notice of Trustee Sale Mers (800) 646-6377 2006 01/20/2006 $185,000.00 $157,800.00 20091005962 Security Title Agency (602) 266-0275 02/08/2010 12:00 pm $139,900.00 05/04/2004 Notice of Trustee Sale Beneficial Mortgage Co (888) 223-0555 $210,405.00 $122,000.00 20091002200 Aztec Foreclosure 09-018893 (602) 222-5711 01/28/2010 11:00 am $217,000.00 05/20/2005 Notice of Trustee Sale Hsbc Bank (800) 975-4722 $216,000.00 $172,200.00 20091004237 Fidelity National Title 09-03817-3 (714) 573-1965 01/30/2010 12:00 pm $305,000.00 02/16/2005 Notice of Trustee Sale The Bank Of New York Mellon (212) 495-1784 20061163529 08/31/2006 $292,400.00 $199,100.00 20091007195 Recontrust (800) 281-8219 01/30/2010 02:00 pm $245,877.00 04/29/2005 Notice of Trustee Sale The Bank Of New York Mellon (212) 495-1784 2006 03/03/2006 $292,000.00 $16,560.00 20091007146 Recontrust (800) 281-8219 02/03/2010 12:00 pm Page 25
  • 26.
    Pre-foreclosure List Maricopa County Week Ending 11/2 $61,000.00 06/19/1995 Notice of Trustee Sale 09/12/2006 $234,500.00 $220,300.00 20091007944 Quality Loan Service Az-09-322690-bm (714) 573-1965 01/29/2010 12:00 pm $185,000.00 04/27/2004 Notice of Trustee Sale Phh Mortgage (800) 210-8849 $185,000.00 $217,500.00 20091002204 Aztec Foreclosure 09-018886 (602) 222-5711 01/28/2010 11:00 am $160,000.00 04/28/2003 Notice of Trustee Sale $21,600,000.00 $201,000.00 20091007588 Old Republic Nat'l Title Insurance C 09-35506 (714) 573-1965 01/30/2010 02:00 pm $260,000.00 07/11/2006 Notice of Trustee Sale Washington Mutual 09/05/2007 $192,000.00 $161,200.00 20091006024 California Reconveyance 137849az (714) 573-1965 01/30/2010 02:00 pm $125,500.00 10/21/1998 Notice of Trustee Sale Citimortgage, Inc (800) 695-0935 $218,500.00 $198,800.00 20091008148 Michael A Bosco Jr 09-25844 (602) 255-6000 01/29/2010 10:00 am $85,900.00 04/19/2006 Notice of Trustee Sale 04/17/2006 $68,700.00 $65,500.00 20091008512 Quality Loan Service Az-09-322230-tc (714) 573-1965 01/29/2010 12:00 pm $79,900.00 03/11/1992 Notice of Trustee Sale Citimortgage, Inc (800) 695-0935 $92,000.00 $160,500.00 20091008163 Michael A Bosco Jr 09-26684 (602) 255-6000 01/29/2010 10:00 am $128,500.00 03/20/2002 Notice of Trustee Sale Chase Home Finance Llc (888) 332-3251 $126,367.00 $140,100.00 20091008200 First American Title 20099073502615 (702) 304-7514 01/30/2010 02:00 pm $108,000.00 10/03/2000 Notice of Trustee Sale 08/31/2006 $180,000.00 $138,800.00 20091007916 Quality Loan Service Az-09-322585-bm (714) 573-1965 01/29/2010 12:00 pm $169,900.00 10/29/2008 Notice of Trustee Sale Wells Fargo Home Mortgage (866) 234-8271 $187,267.00 $205,800.00 20091006916 First American Title 20099070821683 (702) 304-7514 01/30/2010 02:00 pm $31,500.00 07/08/1974 Notice of Trustee Sale The Bank Of New York Mellon (212) 495-1784 2005 11/16/2005 $456,000.00 $151,700.00 20091006995 Recontrust 09-0161620 (800) 281-8219 02/03/2010 12:00 pm 05/05/2008 Notice of Trustee Sale Wells Fargo Home Mortgage (866) 234-8271 $177,434.00 $11,010.00 20091006906 First American Title 20099070821661 (702) 304-7514 01/30/2010 02:00 pm $50,500.00 01/26/1990 Notice of Trustee Sale 87157786 03/17/1987 $51,500.00 $134,000.00 20091007172 Recontrust (800) 281-8219 01/30/2010 02:00 pm $83,640.00 02/24/1998 Notice of Trustee Sale Deutsche Bank (212) 250-2500 $129,200.00 $147,700.00 20091008865 Quality Loan Service 7104 (714) 573-1965 01/30/2010 02:00 pm $514,207.00 11/17/2005 Notice of Trustee Sale Aurora Loan Services (720) 945-3000 $411,365.00 $441,500.00 20091008435 Cal Western Reconveyance 1246747-14 (800) 546-1531 01/30/2010 02:00 pm $410,000.00 08/03/2005 Notice of Trustee Sale Select Portfolio Servicing Inc (904) 722-7000 08/02/2005 $369,000.00 $312,300.00 20091008517 Quality Loan Service Az-09-323081-rt (714) 573-1965 01/29/2010 12:00 pm $185,000.00 02/22/2006 Notice of Trustee Sale Bank Of America (800) 285-6000 $148,000.00 $149,700.00 20091008110 Michael A Bosco Jr 09-27212 (602) 255-6000 01/29/2010 10:00 am $98,000.00 05/16/2007 Notice of Trustee Sale The Bank Of New York Mellon (212) 495-1784 20070573114 05/16/2007 $78,100.00 $80,000.00 20091006974 Recontrust 09-0159669 (800) 281-8219 01/30/2010 02:00 pm $285,000.00 03/10/2005 Notice of Trustee Sale 20050297285 03/10/2005 $228,000.00 $240,500.00 20091007236 Recontrust (800) 281-8219 02/03/2010 12:00 pm $205,000.00 10/31/2006 Notice of Trustee Sale Hsbc Bank (800) 975-4722 $164,000.00 $130,600.00 20091008062 Michael A Bosco Jr 09-26022 (602) 255-6000 01/29/2010 10:00 am $241,000.00 05/26/2006 Notice of Trustee Sale Bank Of America (800) 285-6000 2006 05/26/2006 $192,800.00 $164,700.00 20091007157 Recontrust (800) 281-8219 02/03/2010 12:00 pm $115,000.00 08/30/2000 Notice of Trustee Sale The Bank Of New York Mellon (212) 495-1784 20061611890 12/11/2006 $257,400.00 $189,500.00 20091007084 Recontrust (800) 281-8219 01/30/2010 02:00 pm $145,900.00 02/15/2005 Notice of Trustee Sale Nationstar Mortgage (800) 306-9027 02/07/2005 $145,900.00 $183,300.00 20091008598 Quality Loan Service Az-09-323247-ab (714) 573-1965 01/29/2010 12:00 pm $100,000.00 08/16/2001 Notice of Trustee Sale U.s. Bancorp (800) 365-7772 $109,294.00 $112,800.00 20091008347 Michael A Bosco Jr 09-26634 (602) 255-6000 01/29/2010 10:00 am $227,769.00 04/20/2005 Notice of Trustee Sale Chase Home Finance Llc (888) 332-3251 $238,000.00 $137,200.00 20091009517 Michael A Bosco Jr 09-26563 (602) 255-6000 01/29/2010 10:00 am $285,000.00 07/11/2005 Notice of Trustee Sale Wells Fargo Home Mortgage (866) 234-8271 $294,405.00 $220,000.00 20091006843 First American Title 20099070821633 (702) 304-7514 01/30/2010 02:00 pm $133,000.00 11/12/2004 Notice of Trustee Sale Chase Home Finance Llc (888) 332-3251 $168,000.00 $150,500.00 20091006508 Michael A Bosco Jr 09-26830 (602) 255-6000 01/29/2010 10:00 am $376,266.00 07/03/2006 Notice of Trustee Sale Chase Home Finance Llc (888) 332-3251 $357,452.00 $247,500.00 20091009511 Michael A Bosco Jr 09-26527 (602) 255-6000 01/29/2010 10:00 am $146,442.00 12/05/2006 Notice of Trustee Sale Wells Fargo Home Mortgage (866) 234-8271 $220,000.00 $194,500.00 20091009554 Michael A Bosco Jr 08-49907 (602) 255-6000 01/29/2010 10:00 am $327,163.00 05/30/2007 Notice of Trustee Sale Chase Home Finance Llc (888) 332-3251 $245,372.00 $240,100.00 20091009541 Michael A Bosco Jr 09-26995 (602) 255-6000 01/29/2010 10:00 am $95,000.00 01/11/1999 Notice of Trustee Sale Bank Of America (800) 285-6000 2005 08/12/2005 $169,600.00 $162,600.00 20091007075 Recontrust (800) 281-8219 01/30/2010 02:00 pm $258,954.00 03/23/2006 Notice of Trustee Sale Amtrust Bank (888) 696-4444 $181,268.00 $202,000.00 20091008431 Cal Western Reconveyance 1204471-14 (800) 546-1531 01/30/2010 02:00 pm $192,170.00 09/29/2003 Notice of Trustee Sale Chase Home Finance Llc (888) 332-3251 $255,983.00 $241,800.00 20091006869 First American Title 20099073502622 (702) 304-7514 01/30/2010 02:00 pm $143,000.00 04/30/2008 Notice of Trustee Sale Mers (800) 646-6377 2008 04/25/2008 $140,790.00 $66,100.00 20091005981 Security Title Agency (602) 266-0275 02/08/2010 12:00 pm $228,950.00 06/06/2007 Notice of Trustee Sale Wells Fargo Home Mortgage (866) 234-8271 $233,872.00 $179,800.00 20091006839 First American Title 20099070821619 (702) 304-7514 01/30/2010 02:00 pm $189,000.00 03/25/2005 Notice of Trustee Sale Citimortgage, Inc (800) 695-0935 04/09/2007 $184,000.00 $166,500.00 20091007914 Cr Title Service To9-55856-az (714) 573-1965 01/30/2010 02:00 pm $249,900.00 09/27/2007 Notice of Trustee Sale Hsbc Bank (800) 975-4722 $249,900.00 $174,800.00 20091008096 Michael A Bosco Jr 09-26502 (602) 255-6000 01/29/2010 10:00 am $421,336.00 03/14/2007 Notice of Trustee Sale Bank Of America (800) 285-6000 20070304114 03/14/2007 $399,999.00 $239,800.00 20091007097 Recontrust (800) 281-8219 01/30/2010 02:00 pm $41,000.00 05/09/1990 Notice of Trustee Sale Chase Home Finance Llc (888) 332-3251 $202,500.00 $174,600.00 20091006866 First American Title 20099019204364 (702) 304-7514 01/30/2010 02:00 pm $179,000.00 06/30/2006 Notice of Trustee Sale Deutsche Bank (212) 250-2500 20060887214 06/30/2006 $125,300.00 $49,600.00 20091007185 Recontrust (800) 281-8219 02/03/2010 12:00 pm $145,000.00 08/05/2004 Notice of Trustee Sale Deutsche Bank (212) 250-2500 $113,600.00 $172,700.00 20091004230 Fidelity National Title 09-03802-3 (714) 573-1965 01/30/2010 12:00 pm $143,700.00 10/19/2001 Notice of Trustee Sale U.s. Bancorp (800) 365-7772 10/14/2004 $131,200.00 $144,800.00 20091007695 Mtc Financial Azo859874 02/01/2010 12:00 pm $238,340.00 11/24/2003 Notice of Trustee Sale Provident Funding (800) 696-8199 $29,000.00 $307,700.00 20091006111 Jason Cotton Pa 7092516 01/29/2010 12:00 pm $215,000.00 12/15/2006 Notice of Trustee Sale Wells Fargo Home Mortgage (866) 234-8271 2007 $207,000.00 $113,200.00 20091007472 Quality Loan Service 49148 (714) 573-1965 01/30/2010 02:00 pm $248,411.00 03/31/2006 Notice of Trustee Sale Deutsche Bank (212) 250-2500 $198,728.00 $203,300.00 20091007585 Old Republic Nat'l Title Insurance C (714) 573-1965 01/30/2010 02:00 pm $115,500.00 04/21/2003 Notice of Trustee Sale Chase Home Finance Llc (888) 332-3251 $169,000.00 $144,200.00 20091006504 Michael A Bosco Jr 09-26826 (602) 255-6000 01/29/2010 10:00 am $429,955.00 12/05/2006 Notice of Trustee Sale Chase Home Finance Llc (888) 332-3251 $332,100.00 $242,200.00 20091009536 Michael A Bosco Jr 09-26993 (602) 255-6000 01/29/2010 10:00 am $305,000.00 12/30/2004 Notice of Trustee Sale The Bank Of New York Mellon (212) 495-1784 20061163347 08/31/2006 $276,000.00 $161,300.00 20091007105 Recontrust (800) 281-8219 01/30/2010 02:00 pm $257,950.00 07/01/2002 Notice of Trustee Sale The Bank Of New York Mellon (212) 495-1784 20060822623 06/19/2006 $449,000.00 $317,700.00 20091007256 Recontrust (800) 281-8219 02/03/2010 12:00 pm $304,980.00 08/28/2006 Notice of Trustee Sale Deutsche Bank (212) 250-2500 20061142719 08/28/2006 $237,621.00 $219,300.00 20091007061 Recontrust 09-0151622 (800) 281-8219 02/03/2010 12:00 pm $535,000.00 02/13/2007 Notice of Trustee Sale Hsbc Bank (800) 975-4722 $500,000.00 $27,970.00 20091008051 Michael A Bosco Jr 09-26014 (602) 255-6000 01/29/2010 10:00 am $90,000.00 02/28/1990 Notice of Trustee Sale Bank Of America (800) 285-6000 20051655700 11/01/2005 $240,000.00 $230,200.00 20091007208 Recontrust (800) 281-8219 01/30/2010 02:00 pm $85,000.00 01/04/2002 Notice of Trustee Sale Argent Securities Inc (404) 965-5353 $124,000.00 $114,700.00 20091007438 Mtc Financial Az0859903 02/01/2010 12:00 pm $242,100.00 12/20/2007 Notice of Trustee Sale 12/17/2007 $242,100.00 $254,000.00 20091008510 Quality Loan Service Az-09-322228-tc (714) 573-1965 01/29/2010 12:00 pm $269,000.00 08/30/2006 Notice of Trustee Sale Provident Funding (800) 696-8199 $215,200.00 $203,500.00 20091006129 Jason Cotton Pa 7092515 01/29/2010 12:00 pm 06/14/2005 Notice of Trustee Sale Litton Loan Servicing Lp (800) 247-9727 07/18/2006 $216,750.00 $12,519.00 20091008523 Quality Loan Service Az-09-322750-bl (714) 573-1965 01/29/2010 12:00 pm $25,000.00 06/18/1986 Notice of Trustee Sale Wells Fargo Home Mortgage (866) 234-8271 $340,000.00 $223,000.00 20091004212 Fidelity National Title 09-03793-3 (714) 573-1965 01/30/2010 12:00 pm Page 26
  • 27.
    Pre-foreclosure List Maricopa County Week Ending 11/2 $123,900.00 12/03/2003 Notice of Trustee Sale Wells Fargo Home Mortgage (866) 234-8271 $168,000.00 $160,500.00 20091009531 Michael A Bosco Jr 09-49171 (602) 255-6000 01/29/2010 10:00 am $258,050.00 08/20/2003 Notice of Trustee Sale The Bank Of New York Mellon (212) 495-1784 20051744679 11/17/2005 $365,500.00 $302,600.00 20091007199 Recontrust (800) 281-8219 01/30/2010 02:00 pm $136,568.00 10/22/2004 Notice of Trustee Sale The Bank Of New York Mellon (212) 495-1784 20061261234 09/25/2006 $205,000.00 $149,600.00 20091007109 Recontrust (800) 281-8219 01/30/2010 02:00 pm $69,500.00 07/30/1986 Notice of Trustee Sale $106,000.00 $165,700.00 20091008271 Aztec Foreclosure 09-017821 (602) 222-5711 01/29/2010 11:00 am 10/28/2005 Notice of Trustee Sale First Credit Union (800) 998-3328 2005 $150,000.00 $24,880.00 20091008059 Fidelity National Title 09-0243-f (714) 573-1965 01/30/2010 02:00 pm $518,265.00 08/08/2006 Notice of Trustee Sale Bank Of America (800) 285-6000 20061056394 08/08/2006 $414,600.00 $343,800.00 20091005546 Recontrust 09-0154186 (800) 281-8219 02/02/2010 12:00 pm $468,205.00 09/01/2006 Notice of Trustee Sale Citimortgage, Inc (800) 695-0935 $407,000.00 $318,100.00 20091008151 Michael A Bosco Jr 09-26694 (602) 255-6000 01/29/2010 10:00 am $79,000.00 05/23/1997 Notice of Trustee Sale Washington Mutual 06/29/2007 $165,000.00 $245,700.00 20091007698 Security Title Agency Az-09-323373-pj (602) 266-0275 01/29/2010 12:00 pm $188,952.00 01/05/2006 Notice of Trustee Sale Wells Fargo Home Mortgage (866) 234-8271 $192,473.00 $137,000.00 20091006849 First American Title 20099070821636 (702) 304-7514 01/30/2010 02:00 pm 04/02/2007 Notice of Trustee Sale $4,050,000.00 $358,170.00 20091008399 Quality Loan Service (714) 573-1965 01/30/2010 10:00 am $117,000.00 04/30/2001 Notice of Trustee Sale Wachovia Corporation (800) 922-4684 $179,000.00 $115,200.00 20091008085 Michael A Bosco Jr 09-26679 (602) 255-6000 01/29/2010 10:00 am $166,000.00 10/13/2005 Notice of Trustee Sale U.s. Bancorp (800) 365-7772 20070790443 07/11/2007 $141,438.00 $138,200.00 20091007132 Recontrust 09-0161642 (800) 281-8219 02/03/2010 12:00 pm $133,090.00 08/19/2004 Notice of Trustee Sale Wells Fargo Home Mortgage (866) 234-8271 $131,235.00 $161,200.00 20091006860 First American Title 20099070821638 (702) 304-7514 01/30/2010 02:00 pm $128,850.00 05/06/2005 Notice of Trustee Sale Wells Fargo Home Mortgage (866) 234-8271 $126,760.00 $128,200.00 20091006908 First American Title 20099070821680 (702) 304-7514 01/30/2010 02:00 pm 06/07/2007 Notice of Trustee Sale Wells Fargo Home Mortgage (866) 234-8271 $157,500.00 $74,000.00 20091006514 Michael A Bosco Jr 09-49142 (602) 255-6000 01/29/2010 10:00 am $287,000.00 05/18/2007 Notice of Trustee Sale Everhome Mortgage Company (800) 669-9721 $287,000.00 $209,300.00 20091008091 Michael A Bosco Jr 09-26449 (602) 255-6000 01/29/2010 10:00 am $395,000.00 05/31/2006 Notice of Trustee Sale U.s. Bancorp (800) 365-7772 20060732477 05/31/2006 $276,500.00 $278,969.00 20091007579 Recontrust (800) 281-8219 02/03/2010 12:00 pm $255,196.00 10/09/2007 Notice of Trustee Sale Wells Fargo Home Mortgage (866) 234-8271 $260,682.00 $34,500.00 20091006837 First American Title 20099070821617 (702) 304-7514 01/30/2010 02:00 pm $139,100.00 10/21/2003 Notice of Trustee Sale Washington Mutual $203,400.00 $136,300.00 20091008552 California Reconveyance 137197az (714) 573-1965 01/30/2010 02:00 pm $183,000.00 06/03/2005 Notice of Trustee Sale Wachovia Corporation (800) 922-4684 2005 06/03/2005 $146,400.00 $163,300.00 20091006978 Recontrust (800) 281-8219 02/03/2010 12:00 pm $210,000.00 01/13/2006 Notice of Trustee Sale Chase Home Finance Llc (888) 332-3251 $160,000.00 $190,000.00 20091006522 Michael A Bosco Jr 09-26885 (602) 255-6000 01/29/2010 10:00 am $350,000.00 06/30/2006 Notice of Trustee Sale Bank Of America (800) 285-6000 20060890254 06/30/2006 $280,000.00 $204,500.00 20091007078 Recontrust 09-0159661 (800) 281-8219 01/30/2010 02:00 pm $820,000.00 09/06/2006 Notice of Trustee Sale The Bank Of New York Mellon (212) 495-1784 2006 09/06/2006 $656,000.00 $382,200.00 20091007219 Recontrust (800) 281-8219 01/30/2010 02:00 pm $229,421.00 03/30/2006 Notice of Trustee Sale Citimortgage, Inc (800) 695-0935 $234,000.00 $142,600.00 20091004233 Fidelity National Title 09-03816-3 (714) 573-1965 01/30/2010 12:00 pm $315,000.00 11/07/2005 Notice of Trustee Sale Bank Of America (800) 285-6000 20051685368 11/07/2005 $252,000.00 $170,300.00 20091007152 Recontrust (800) 281-8219 02/03/2010 12:00 pm $231,176.00 12/20/2005 Notice of Trustee Sale Chase Home Finance Llc (888) 332-3251 $160,000.00 $186,100.00 20091006540 Michael A Bosco Jr 09-26990 (602) 255-6000 01/29/2010 10:00 am $96,000.00 05/15/2002 Notice of Trustee Sale Everhome Mortgage Company (800) 669-9721 06/29/2005 $101,150.00 $150,600.00 20091008089 Michael A Bosco Jr 09-26467 (602) 255-6000 01/29/2010 10:00 am $122,000.00 12/29/2000 Notice of Trustee Sale Bank Of America (800) 285-6000 20051794153 11/28/2005 $204,800.00 $173,000.00 20091007233 Recontrust (800) 281-8219 02/03/2010 12:00 pm $146,500.00 04/29/2003 Notice of Trustee Sale Provident Funding (800) 696-8199 $128,000.00 $176,700.00 20091006030 Jason Cotton Pa 7092517 01/29/2010 12:00 pm $210,000.00 12/11/2006 Notice of Trustee Sale Chase Home Finance Llc (888) 332-3251 $189,000.00 $148,700.00 20091009528 Michael A Bosco Jr 09-26985 (602) 255-6000 01/29/2010 10:00 am $302,500.00 03/31/2006 Notice of Trustee Sale Chase Home Finance Llc (888) 332-3251 03/31/2006 $242,000.00 $175,600.00 20091008992 California Reconveyance 137865az (714) 573-1965 01/30/2010 02:00 pm $202,000.00 04/21/2008 Notice of Trustee Sale Chase Home Finance Llc (888) 332-3251 $198,879.00 $91,000.00 20091008858 Quality Loan Service 7037 (714) 573-1965 01/30/2010 02:00 pm $425,794.00 12/12/2006 Notice of Trustee Sale The Bank Of New York Mellon (212) 495-1784 20061619351 12/12/2006 $340,600.00 $293,200.00 20091007113 Recontrust (800) 281-8219 01/30/2010 02:00 pm $106,000.00 09/27/1996 Notice of Trustee Sale The Bank Of New York Mellon (212) 495-1784 20061264944 09/25/2006 $360,000.00 $296,600.00 20091007087 Recontrust (800) 281-8219 01/30/2010 02:00 pm $255,780.00 02/02/1998 Notice of Trustee Sale Provident Funding (800) 696-8199 $500,000.00 $475,000.00 20091006033 Jason Cotton Pa 7092520 01/29/2010 12:00 pm $284,000.00 01/14/1998 Notice of Trustee Sale Flagstar Bank (800) 968-7700 $359,000.00 $40,220.00 20091008349 Michael A Bosco Jr 09-26896 (602) 255-6000 01/29/2010 10:00 am $130,000.00 02/11/2004 Notice of Trustee Sale Citimortgage, Inc (800) 695-0935 $124,000.00 $139,500.00 20091008157 Michael A Bosco Jr 09-26919 (602) 255-6000 01/29/2010 10:00 am $108,150.00 05/29/2003 Notice of Trustee Sale 06/15/2007 $138,750.00 $141,500.00 20091008519 Quality Loan Service Az-09-322444-tc (714) 573-1965 01/29/2010 12:00 pm $279,000.00 01/26/2006 Notice of Trustee Sale Wells Fargo Home Mortgage (866) 234-8271 $223,200.00 $182,100.00 20091006900 First American Title 20099070821660 (702) 304-7514 01/30/2010 02:00 pm $35,000.00 09/22/1997 Notice of Trustee Sale Hsbc Bank (800) 975-4722 $111,600.00 $127,600.00 20091002190 Aztec Foreclosure 09-018567 (602) 222-5711 01/28/2010 11:00 am $165,000.00 12/28/2004 Notice of Trustee Sale Bank Of America (800) 285-6000 20041528267 12/28/2004 $132,000.00 $160,200.00 20091007161 Recontrust (800) 281-8219 02/03/2010 12:00 pm $180,260.00 03/31/2005 Notice of Trustee Sale Select Portfolio Servicing Inc (904) 722-7000 $212,000.00 $111,600.00 20091008107 Michael A Bosco Jr 09-27214 (602) 255-6000 01/29/2010 10:00 am $229,900.00 08/06/2004 Notice of Trustee Sale Provident Funding (800) 696-8199 $240,000.00 $18,120.00 20091006036 Jason Cotton Pa 7092522 01/29/2010 12:00 pm $135,000.00 04/27/2005 Notice of Trustee Sale Deutsche Bank (212) 250-2500 $152,000.00 $90,000.00 20091004618 Fidelity National Title 09-03799-3 (714) 573-1965 01/30/2010 12:00 pm 11/23/2005 Notice of Trustee Sale Aurora Loan Services (720) 945-3000 $277,000.00 $24,850.00 20091008433 Cal Western Reconveyance 1246743-14 (800) 546-1531 01/30/2010 02:00 pm $355,000.00 07/19/2005 Notice of Trustee Sale Aurora Loan Services (720) 945-3000 $284,000.00 $236,200.00 20091008425 Cal Western Reconveyance 1246741-14 (800) 546-1531 01/30/2010 02:00 pm $226,359.00 10/31/2007 Notice of Trustee Sale 10/30/2007 $215,041.00 $16,120.00 20091007928 Quality Loan Service Az-09-322967-bm (714) 573-1965 01/29/2010 12:00 pm $385,000.00 10/14/2005 Notice of Trustee Sale Bank Of America (800) 285-6000 20051531785 10/14/2005 $308,000.00 $266,800.00 20091006998 Recontrust (800) 281-8219 02/03/2010 12:00 pm $220,000.00 02/20/2002 Notice of Trustee Sale Bank Of America (800) 285-6000 20070221844 02/23/2007 $344,000.00 $290,700.00 20091007229 Recontrust (800) 281-8219 01/30/2010 02:00 pm $291,000.00 11/02/2005 Notice of Trustee Sale The Bank Of New York Mellon (212) 495-1784 20051659272 11/02/2005 $199,500.00 $170,100.00 20091007205 Recontrust 09-0159650 (800) 281-8219 01/30/2010 02:00 pm $486,500.00 05/18/2001 Notice of Trustee Sale Emc Mortgage Corporation (800) 723-3004 05/16/2001 $389,200.00 $542,500.00 20091005857 Quality Loan Service Az-09-322850-rm (714) 573-1965 01/29/2010 12:00 pm $270,825.00 12/21/2006 Notice of Trustee Sale Emc Mortgage Corporation (800) 723-3004 $216,660.00 $189,200.00 20091008094 Michael A Bosco Jr 09-26460 (602) 255-6000 01/29/2010 10:00 am $410,000.00 10/29/1999 Notice of Trustee Sale Deutsche Bank (212) 250-2500 10/24/2006 $635,000.00 $576,800.00 20091008501 Quality Loan Service Az-09-322098-tc (714) 573-1965 01/29/2010 12:00 pm $161,072.00 03/04/2005 Notice of Trustee Sale Nationstar Mortgage (800) 306-9027 01/26/2006 $198,000.00 $143,200.00 20091008595 First American Title Az-09-323246-ab (702) 304-7514 01/29/2010 12:00 pm $235,000.00 09/12/2006 Notice of Trustee Sale Deutsche Bank (212) 250-2500 20061210556 09/12/2006 $223,250.00 $162,800.00 20091006991 Recontrust 09-0161637 (800) 281-8219 02/03/2010 12:00 pm $200,000.00 02/28/2007 Notice of Trustee Sale $163,200.00 $142,100.00 20091008070 Michael A Bosco Jr 09-26676 (602) 255-6000 01/29/2010 10:00 am $213,750.00 03/06/1992 Notice of Trustee Sale 05/17/2006 $1,365,000.00 $1,519,100.00 20091005855 Quality Loan Service Az-09-321436-bm (714) 573-1965 01/29/2010 12:00 pm Page 27
  • 28.
    Pre-foreclosure List Maricopa County Week Ending 11/2 $160,730.00 08/22/2003 Notice of Trustee Sale Phh Mortgage (800) 210-8849 $235,000.00 $184,600.00 20091008068 Michael A Bosco Jr 09-26231 (602) 255-6000 01/29/2010 10:00 am $119,500.00 07/29/2005 Notice of Trustee Sale Bank Of America (800) 285-6000 07/29/2005 $95,600.00 $6,320.00 20091009000 California Reconveyance 137862az (714) 573-1965 01/30/2010 02:00 pm $460,000.00 11/15/2006 Notice of Trustee Sale 11/14/2006 $315,000.00 $264,600.00 20091007925 Quality Loan Service Az-09-322692-bm (714) 573-1965 01/29/2010 12:00 pm $190,000.00 09/15/2008 Notice of Trustee Sale Wells Fargo Home Mortgage (866) 234-8271 $194,050.00 $245,600.00 20091006854 First American Title 20099070821631 (702) 304-7514 01/30/2010 02:00 pm $337,000.00 09/17/2003 Notice of Trustee Sale Suntrust Mortgage Inc (800) 786-8787 $417,000.00 $418,500.00 20091007700 Aztec Foreclosure 09-018924 (602) 222-5711 01/29/2010 11:00 am $165,620.00 03/18/2008 Notice of Trustee Sale U.s. Bancorp (800) 365-7772 $163,060.00 $153,200.00 20091008275 Michael A Bosco Jr 09-26340 (602) 255-6000 01/29/2010 10:00 am $139,500.00 02/06/2004 Notice of Trustee Sale Wachovia Corporation (800) 922-4684 08/25/2005 $169,000.00 $178,500.00 20091007437 Mtc Financial Azo859900 02/01/2010 12:00 pm $119,510.00 05/29/2002 Notice of Trustee Sale 20061621344 12/12/2006 $211,500.00 $143,800.00 20091007251 Recontrust (800) 281-8219 02/03/2010 12:00 pm $154,900.00 09/29/2003 Notice of Trustee Sale Hsbc Bank (800) 975-4722 $190,000.00 $156,700.00 20091002198 Aztec Foreclosure 09-018543 (602) 222-5711 01/28/2010 11:00 am $160,000.00 04/24/2008 Notice of Trustee Sale $128,000.00 $10,350.00 20091008165 Aztec Foreclosure 09-017724 (602) 222-5711 01/29/2010 11:00 am $260,000.00 12/01/2005 Notice of Trustee Sale Bank Of America (800) 285-6000 20051822242 12/01/2005 $182,000.00 $162,700.00 20091007001 Recontrust (800) 281-8219 02/03/2010 12:00 pm $111,190.00 02/21/2002 Notice of Trustee Sale American Home Mortgage (877) 304-3100 $110,400.00 $150,800.00 20091005290 Fidelity National Title 09-03812-3 (714) 573-1965 01/30/2010 12:00 pm $144,944.00 06/24/2004 Notice of Trustee Sale Citimortgage, Inc (800) 695-0935 06/23/2004 $142,925.00 $171,000.00 20091007972 Cr Title Service To9-55854-az (714) 573-1965 01/30/2010 02:00 pm 09/03/2004 Notice of Trustee Sale 09/14/2006 $262,500.00 $13,994.00 20091007919 Quality Loan Service Az-09-322688-bm (714) 573-1965 01/29/2010 12:00 pm $196,444.00 02/21/2006 Notice of Trustee Sale Deutsche Bank (212) 250-2500 02/15/2006 $157,100.00 $139,300.00 20091008503 Quality Loan Service Az-09-322100-tc (714) 573-1965 01/29/2010 12:00 pm $202,000.00 08/29/2008 Notice of Trustee Sale Wells Fargo Home Mortgage (866) 234-8271 $204,880.00 $212,100.00 20091006818 First American Title 20099070821615 (702) 304-7514 01/30/2010 02:00 pm $113,000.00 05/07/2003 Notice of Trustee Sale Citimortgage, Inc (800) 695-0935 07/26/2004 $115,494.00 $147,700.00 20091008056 Cr Title Service To9-55860-az (714) 573-1965 01/30/2010 02:00 pm $259,825.00 06/10/2005 Notice of Trustee Sale Everhome Mortgage Company (800) 669-9721 $207,850.00 $238,500.00 20091008113 Michael A Bosco Jr 09-27045 (602) 255-6000 01/29/2010 10:00 am $266,990.00 02/28/2007 Notice of Trustee Sale Mers (800) 646-6377 2007 02/23/2007 $213,592.00 $204,200.00 20091005964 Security Title Agency (602) 266-0275 02/08/2010 12:00 pm $246,320.00 08/23/2007 Notice of Trustee Sale Suntrust Mortgage Inc (800) 786-8787 $197,056.00 $188,700.00 20091008230 Aztec Foreclosure 09-018897 (602) 222-5711 01/29/2010 11:00 am $443,000.00 08/17/2004 Notice of Trustee Sale Deutsche Bank (212) 250-2500 06/12/2006 $580,800.00 $401,200.00 20091008505 Quality Loan Service Az-09-321957-tc (714) 573-1965 01/29/2010 12:00 pm $184,850.00 11/08/2000 Notice of Trustee Sale Provident Funding (800) 696-8199 $246,000.00 $225,600.00 20091006117 Jason Cotton Pa 7092519 01/29/2010 12:00 pm $178,780.00 10/11/2002 Notice of Trustee Sale Bank Of America (800) 285-6000 2008 07/31/2008 $252,227.00 $210,700.00 20091007202 Recontrust (800) 281-8219 02/03/2010 12:00 pm $183,174.00 10/01/2008 Notice of Trustee Sale Wells Fargo Home Mortgage (866) 234-8271 $181,231.00 $65,000.00 20091006845 First American Title 20099070821635 (702) 304-7514 01/30/2010 02:00 pm $147,500.00 09/12/2008 Notice of Trustee Sale 11/05/2008 $145,803.00 $175,100.00 20091008043 Michael A Bosco Jr 09-24246 (602) 255-6000 01/29/2010 10:00 am $259,900.00 11/14/2005 Notice of Trustee Sale Bank Of America (800) 285-6000 11/14/2005 $181,930.00 $161,700.00 20091008996 California Reconveyance 137864az (714) 573-1965 01/30/2010 02:00 pm $154,176.00 10/21/1993 Notice of Trustee Sale The Bank Of New York Mellon (212) 495-1784 20060267935 02/28/2006 $250,000.00 $361,000.00 20091007006 Recontrust (800) 281-8219 02/03/2010 12:00 pm $185,100.00 05/27/2005 Notice of Trustee Sale Suntrust Mortgage Inc (800) 786-8787 $148,080.00 $147,600.00 20091008202 Aztec Foreclosure 09-018900 (602) 222-5711 01/29/2010 11:00 am $215,000.00 07/12/2005 Notice of Trustee Sale Hsbc Bank (800) 975-4722 20061431848 10/30/2006 $176,000.00 $158,300.00 20091007126 Recontrust (800) 281-8219 02/03/2010 12:00 pm $185,000.00 04/29/2005 Notice of Trustee Sale Saxon Mortgage Services (800) 594-8422 $285,000.00 $195,700.00 20091008098 Michael A Bosco Jr 09-26937 (602) 255-6000 01/29/2010 10:00 am $122,610.00 06/20/2001 Notice of Trustee Sale Chase Home Finance Llc (888) 332-3251 $196,000.00 $163,200.00 20091006537 Michael A Bosco Jr 09-26989 (602) 255-6000 01/29/2010 10:00 am $145,000.00 01/16/2004 Notice of Trustee Sale U.s. Bancorp (800) 365-7772 03/12/2008 $175,920.00 $170,000.00 20091007694 Mtc Financial Azo859875 01/29/2010 12:00 pm $600,000.00 09/14/2004 Notice of Trustee Sale The Bank Of New York Mellon (212) 495-1784 20060110341 01/25/2006 $1,500,000.00 $1,501,000.00 20091007188 Recontrust (800) 281-8219 01/30/2010 02:00 pm $217,275.00 06/01/2007 Notice of Trustee Sale Homeamerican Mortgage Corporation $217,275.00 $163,700.00 20091007456 Quality Loan Service B502939 (714) 573-1965 01/30/2010 12:00 pm $255,000.00 03/15/2005 Notice of Trustee Sale Chase Home Finance Llc (888) 332-3251 $225,000.00 $208,000.00 20091004222 Fidelity National Title 09-03796-3 (714) 573-1965 01/30/2010 12:00 pm $165,000.00 01/27/2005 Notice of Trustee Sale Metlife Home Loans 01/23/2007 $220,000.00 $171,600.00 20091000826 Quality Loan Service Az-09-318911-rm (714) 573-1965 01/29/2010 02:00 pm $368,000.00 02/16/2006 Notice of Trustee Sale Downey Savings And Loan $294,363.00 $274,700.00 20090997948 Michael A Bosco Jr 09-26750 (602) 255-6000 01/27/2010 10:00 am $355,000.00 06/06/2006 Notice of Trustee Sale Wells Fargo Home Mortgage (866) 234-8271 $284,000.00 $229,300.00 20091001571 Michael A Bosco Jr 09-49094 (602) 255-6000 01/28/2010 10:00 am 07/21/2006 Notice of Trustee Sale Bank Of America (800) 285-6000 2006 05/12/2006 $390,000.00 $389,200.00 20091002500 Recontrust 09-0156258 (800) 281-8219 02/02/2010 12:00 pm $47,900.00 10/31/2006 Notice of Trustee Sale Wells Fargo Home Mortgage (866) 234-8271 $43,110.00 $36,500.00 20091002068 First American Title 20099070821568 (702) 304-7514 01/29/2010 02:00 pm $250,300.00 03/26/2008 Notice of Trustee Sale Bank Of America (800) 285-6000 20080266750 03/26/2008 $246,813.00 $231,300.00 20091002705 Recontrust (800) 281-8219 02/02/2010 12:00 pm $920,000.00 04/21/2003 Notice of Trustee Sale Bank Of America (800) 285-6000 2005 06/27/2005 $650,000.00 $80,460.00 20091002822 Recontrust (800) 281-8219 02/02/2010 12:00 pm $242,000.00 12/15/2006 Notice of Trustee Sale Bank Of America (800) 285-6000 20061640459 12/15/2006 $217,800.00 $88,500.00 20091002740 Recontrust (800) 281-8219 02/01/2010 12:00 pm $143,500.00 12/07/2004 Notice of Trustee Sale Chase Home Finance Llc (888) 332-3251 $176,000.00 $98,300.00 20091002312 First American Title 20099019204355 (702) 304-7514 01/29/2010 02:00 pm $150,000.00 04/03/2008 Notice of Trustee Sale Bank Of America (800) 285-6000 2008 04/03/2008 $147,910.00 $153,700.00 20091002666 Recontrust 09-0158810 (800) 281-8219 02/01/2010 12:00 pm $259,354.00 06/02/2006 Notice of Trustee Sale Aurora Loan Services (720) 945-3000 05/30/2006 $207,483.00 $180,500.00 20091002848 First American Title z-09-322878-pj (702) 304-7514 01/28/2010 12:00 pm $141,888.00 10/04/2006 Notice of Trustee Sale Americas Servicing Company $244,000.00 $209,600.00 20091002036 First American Title 20099134001970 (702) 304-7514 01/29/2010 02:00 pm $190,000.00 03/10/2006 Notice of Trustee Sale Phh Mortgage (800) 210-8849 $145,000.00 $129,000.00 20091003272 Michael A Bosco Jr 09-26020 (602) 255-6000 01/28/2010 10:00 am $172,500.00 12/28/2007 Notice of Trustee Sale Wells Fargo Home Mortgage (866) 234-8271 $169,834.00 $127,200.00 20091003376 First American Title 20099070821525 (702) 304-7514 01/29/2010 02:00 pm $262,160.00 02/01/2007 Notice of Trustee Sale Aurora Loan Services (720) 945-3000 01/18/2007 $209,728.00 $176,200.00 20091002450 Quality Loan Service Az-09-322933-cl (714) 573-1965 01/23/2010 12:00 pm $152,560.00 12/28/2000 Notice of Trustee Sale Wells Fargo Home Mortgage (866) 234-8271 $180,000.00 $188,300.00 20091001533 Michael A Bosco Jr 09-49076 (602) 255-6000 01/28/2010 10:00 am $197,535.00 03/02/2005 Notice of Trustee Sale Aurora Loan Services (720) 945-3000 08/12/2005 $196,000.00 $203,000.00 20090999656 Quality Loan Service Az-09-323007-cl (714) 573-1965 01/28/2010 12:00 pm $254,000.00 12/19/2006 Notice of Trustee Sale Wells Fargo Home Mortgage (866) 234-8271 $250,462.00 $176,300.00 20091002057 First American Title 20099070821539 (702) 304-7514 01/29/2010 02:00 pm $164,900.00 10/16/2002 Notice of Trustee Sale Chase Home Finance Llc (888) 332-3251 $240,000.00 $217,000.00 20091001518 Michael A Bosco Jr 09-26754 (602) 255-6000 01/28/2010 10:00 am $486,900.00 04/05/2006 Notice of Trustee Sale Wells Fargo Home Mortgage (866) 234-8271 $389,520.00 $232,100.00 20091001622 Michael A Bosco Jr 09-49116 (602) 255-6000 01/28/2010 10:00 am $243,000.00 07/03/2006 Notice of Trustee Sale Select Portfolio Servicing Inc (904) 722-7000 $188,800.00 $182,000.00 20091002798 Michael A Bosco Jr 09-27040 (602) 255-6000 01/28/2010 10:00 am $217,282.00 08/19/2004 Notice of Trustee Sale Wells Fargo Home Mortgage (866) 234-8271 $305,000.00 $17,160.00 20091001556 Michael A Bosco Jr 09-49085 (602) 255-6000 01/28/2010 10:00 am Page 28
  • 29.
    Pre-foreclosure List Maricopa County Week Ending 11/2 $255,496.00 03/15/2005 Notice of Trustee Sale Wells Fargo Home Mortgage (866) 234-8271 $257,600.00 $13,530.00 20091001608 Michael A Bosco Jr 09-49106 (602) 255-6000 01/28/2010 10:00 am $127,430.00 12/01/2003 Notice of Trustee Sale Citimortgage, Inc (800) 695-0935 03/17/2008 $162,000.00 $156,000.00 20091001398 Cr Title Service To9-55645-az (714) 573-1965 01/29/2010 02:00 pm $172,000.00 05/20/2005 Notice of Trustee Sale $154,800.00 $150,000.00 20091001181 Quality Loan Service (714) 573-1965 01/29/2010 02:00 pm $222,000.00 12/15/2005 Notice of Trustee Sale The Bank Of New York Mellon (212) 495-1784 20060725513 05/30/2006 $244,000.00 $171,700.00 20091002635 Recontrust (800) 281-8219 02/02/2010 12:00 pm $67,500.00 11/04/1994 Notice of Trustee Sale New Century Mortgage (866) 774-5172 $144,000.00 $152,100.00 20090996861 Aztec Foreclosure 09-018582 (602) 222-5711 01/27/2010 11:00 am $134,670.00 01/27/2000 Notice of Trustee Sale Bank Of America (800) 285-6000 09/20/2005 $241,400.00 $188,800.00 20091002562 Quality Loan Service Az-09-322666-rm (714) 573-1965 01/28/2010 12:00 pm $138,000.00 04/26/2001 Notice of Trustee Sale Wells Fargo Home Mortgage (866) 234-8271 $204,800.00 $176,700.00 20091001615 Michael A Bosco Jr 09-49111 (602) 255-6000 01/28/2010 10:00 am $219,000.00 03/25/2005 Notice of Trustee Sale U.s. Bancorp (800) 365-7772 20060337307 03/13/2006 $219,000.00 $197,100.00 20091002745 Recontrust (800) 281-8219 02/01/2010 12:00 pm $355,000.00 03/04/2004 Notice of Trustee Sale 20040226301 03/04/2004 $240,000.00 $413,000.00 20091002956 Recontrust 09-0159680 (800) 281-8219 02/01/2010 12:00 pm $240,000.00 06/28/2005 Notice of Trustee Sale Aurora Loan Services (720) 945-3000 06/23/2005 $192,000.00 $180,100.00 20090998080 Quality Loan Service Az-09-322888-cl (714) 573-1965 01/27/2010 12:00 pm $368,900.00 03/25/2002 Notice of Trustee Sale Deutsche Bank (212) 250-2500 03/08/2006 $560,000.00 $431,700.00 20091003491 Mtc Financial Az0859859 01/28/2010 12:00 pm $145,000.00 07/25/2000 Notice of Trustee Sale Downey Savings And Loan $260,000.00 $196,000.00 20090997923 Michael A Bosco Jr 09-26561 (602) 255-6000 01/27/2010 10:00 am $180,500.00 01/27/2005 Notice of Trustee Sale Residential Funding Company, Llc (952) 832-7000 2005 07/25/2005 $232,000.00 $190,300.00 20090999733 Security Title Agency (602) 266-0275 02/05/2010 12:00 pm $500,000.00 03/30/2007 Notice of Trustee Sale Deutsche Bank (212) 250-2500 $400,000.00 $296,500.00 20090996865 Aztec Foreclosure 09-018429 (602) 222-5711 01/27/2010 11:00 am $500,000.00 05/18/2005 Notice of Trustee Sale Metlife Home Loans 05/16/2005 $400,000.00 $315,200.00 20091000878 Quality Loan Service Az-09-313976-rm (714) 573-1965 01/29/2010 02:00 pm $202,500.00 03/02/2001 Notice of Trustee Sale Citimortgage, Inc (800) 695-0935 07/11/2005 $303,000.00 $288,300.00 20091001139 Cr Title Service To9-55831-az (714) 573-1965 01/29/2010 02:00 pm 09/03/2008 Notice of Trustee Sale Bank Of America (800) 285-6000 20080765101 09/03/2008 $201,448.00 $11,760.00 20091002939 Recontrust (800) 281-8219 01/29/2010 02:00 pm $106,000.00 07/25/2003 Notice of Trustee Sale Metlife Home Loans 01/18/2006 $128,000.00 $130,300.00 20091000804 Quality Loan Service Az-09-319207-rm (714) 573-1965 01/29/2010 02:00 pm $86,000.00 11/27/2002 Notice of Trustee Sale Bank Of America (800) 285-6000 20061550303 11/28/2006 $115,000.00 $110,200.00 20091002786 Recontrust (800) 281-8219 02/02/2010 12:00 pm $344,000.00 04/11/2005 Notice of Trustee Sale Wells Fargo Home Mortgage (866) 234-8271 $270,000.00 $27,300.00 20091001624 Michael A Bosco Jr 09-49112 (602) 255-6000 01/28/2010 10:00 am $265,000.00 06/09/2005 Notice of Trustee Sale Bank Of America (800) 285-6000 20050779305 06/09/2005 $212,000.00 $182,500.00 20091002713 Recontrust (800) 281-8219 02/01/2010 12:00 pm $187,000.00 01/07/2008 Notice of Trustee Sale Bb&t Mortgage (800) 295-5744 $149,600.00 $162,600.00 20091002754 Michael A Bosco Jr 09-25414 (602) 255-6000 01/28/2010 10:00 am $435,000.00 06/17/2003 Notice of Trustee Sale Wells Fargo Home Mortgage (866) 234-8271 $482,000.00 $635,800.00 20091002810 First American Title 20099070814394 (702) 304-7514 01/29/2010 02:00 pm $1,175,000.00 03/22/2002 Notice of Trustee Sale Midfirst Bank (800) 877-1674 $1,575,000.00 $1,764,800.00 20091001101 Quality Loan Service (714) 573-1965 01/29/2010 10:00 am $73,000.00 01/13/2000 Notice of Trustee Sale Deutsche Bank (212) 250-2500 $455,000.00 $537,000.00 20091002767 Michael A Bosco Jr 09-26378 (602) 255-6000 01/28/2010 10:00 am $264,100.00 02/07/2006 Notice of Trustee Sale Wells Fargo Home Mortgage (866) 234-8271 $211,280.00 $188,000.00 20091002079 First American Title 20099070821586 (702) 304-7514 01/29/2010 02:00 pm $275,000.00 09/28/2004 Notice of Trustee Sale The Bank Of New York Mellon (212) 495-1784 20041134258 09/28/2004 $261,250.00 $251,600.00 20091002621 Recontrust (800) 281-8219 02/01/2010 12:00 pm $263,000.00 09/08/2004 Notice of Trustee Sale Metlife Home Loans 06/08/2006 $275,000.00 $338,700.00 20091000824 Quality Loan Service Az-09-318921-rm (714) 573-1965 01/29/2010 02:00 pm $123,500.00 03/29/1996 Notice of Trustee Sale Bank Of America (800) 285-6000 20060489001 04/12/2006 $190,000.00 $22,170.00 20091002928 Recontrust (800) 281-8219 01/29/2010 02:00 pm $220,000.00 09/12/2006 Notice of Trustee Sale Chase Home Finance Llc (888) 332-3251 $228,637.00 $158,100.00 20091003242 Aztec Foreclosure 09-018832 (602) 222-5711 01/28/2010 11:00 am $168,735.00 07/05/2005 Notice of Trustee Sale Carrington Mortgage Services (714) 969-7600 04/12/2007 $233,400.00 $104,800.00 20090999646 Quality Loan Service Az-09-322255-rm (714) 573-1965 01/29/2010 02:00 pm $128,454.00 03/26/2004 Notice of Trustee Sale Metlife Home Loans 10/03/2006 $127,500.00 $144,000.00 20091000876 Quality Loan Service Az-09-319201-rm (714) 573-1965 01/29/2010 02:00 pm $290,000.00 03/05/2003 Notice of Trustee Sale The Bank Of New York Mellon (212) 495-1784 05/15/2007 $560,000.00 $445,000.00 20091000806 Quality Loan Service Az-09-318929-rm (714) 573-1965 01/29/2010 02:00 pm $295,000.00 07/15/2005 Notice of Trustee Sale Bank Of America (800) 285-6000 $236,000.00 $212,100.00 20090998191 Northwest Trustee Service 7662 (714) 277-4888 01/29/2010 02:00 pm $143,393.00 12/26/1997 Notice of Trustee Sale The Bank Of New York Mellon (212) 495-1784 06/13/2006 $265,000.00 $239,200.00 20091000798 Quality Loan Service Az-09-318919-rm (714) 573-1965 01/29/2010 02:00 pm $300,000.00 01/16/2009 Notice of Trustee Sale Bank Of America (800) 285-6000 20071203039 11/08/2007 $476,000.00 $391,100.00 20091002519 Recontrust (800) 281-8219 02/01/2010 12:00 pm $200,000.00 02/16/2005 Notice of Trustee Sale Aurora Loan Services (720) 945-3000 02/15/2005 $160,000.00 $151,000.00 20090998364 Quality Loan Service Az-09-322947-cl (714) 573-1965 01/27/2010 12:00 pm $216,000.00 08/22/2005 Notice of Trustee Sale Wells Fargo Home Mortgage (866) 234-8271 $172,800.00 $157,700.00 20091002294 First American Title 20099070820957 (702) 304-7514 01/29/2010 02:00 pm $125,282.00 10/24/2002 Notice of Trustee Sale Citimortgage, Inc (800) 695-0935 $184,000.00 $142,300.00 20091003248 Michael A Bosco Jr 09-26868 (602) 255-6000 01/28/2010 10:00 am $400,000.00 11/21/2007 Notice of Trustee Sale Wells Fargo Home Mortgage (866) 234-8271 $345,100.00 $306,700.00 20091002308 First American Title 20099070821522 (702) 304-7514 01/29/2010 02:00 pm $138,000.00 08/29/2005 Notice of Trustee Sale Wells Fargo Home Mortgage (866) 234-8271 $204,513.00 $138,200.00 20091002075 First American Title 20099070821585 (702) 304-7514 01/29/2010 02:00 pm $235,000.00 07/07/2006 Notice of Trustee Sale Americas Servicing Company $188,000.00 $176,500.00 20091001530 Michael A Bosco Jr 09-49060 (602) 255-6000 01/28/2010 10:00 am $255,000.00 05/01/2007 Notice of Trustee Sale Wells Fargo Home Mortgage (866) 234-8271 $204,000.00 $101,000.00 20091002300 First American Title 20099070821491 (702) 304-7514 01/29/2010 02:00 pm $370,000.00 05/08/2006 Notice of Trustee Sale Wells Fargo Home Mortgage (866) 234-8271 $296,000.00 $216,100.00 20091002066 First American Title 20099070821581 (702) 304-7514 01/29/2010 02:00 pm $255,500.00 11/22/2005 Notice of Trustee Sale $178,850.00 $193,500.00 20090996871 Aztec Foreclosure 09-018532 (602) 222-5711 01/27/2010 11:00 am $91,497.00 09/30/2005 Notice of Trustee Sale Hsbc Bank (800) 975-4722 20061457757 11/03/2006 $105,000.00 $117,000.00 20091002523 Recontrust (800) 281-8219 01/29/2010 02:00 pm $89,000.00 08/19/1998 Notice of Trustee Sale Bank Of America (800) 285-6000 2005 12/05/2005 $177,600.00 $160,000.00 20091002624 Recontrust 09-0148223 (800) 281-8219 01/29/2010 02:00 pm $160,000.00 08/23/2001 Notice of Trustee Sale Chase Home Finance Llc (888) 332-3251 $237,000.00 $194,700.00 20091001516 Michael A Bosco Jr 09-26720 (602) 255-6000 01/28/2010 10:00 am $125,000.00 06/18/2004 Notice of Trustee Sale $100,000.00 $144,097.00 20090998941 Empire West Title Agency 20997-068 (602) 749-7000 01/29/2010 10:00 am $369,000.00 02/23/2009 Notice of Trustee Sale Wells Fargo Home Mortgage (866) 234-8271 $341,000.00 $318,700.00 20091001594 Michael A Bosco Jr 09-49103 (602) 255-6000 01/28/2010 10:00 am $92,500.00 03/28/1997 Notice of Trustee Sale Midfirst Bank (800) 877-1674 20080982946 03/27/1997 $91,769.00 $157,300.00 20091001395 Quality Loan Service Az-09-322731-ab (714) 573-1965 01/29/2010 12:00 pm $350,000.00 08/16/2005 Notice of Trustee Sale Flagstar Bank (800) 968-7700 $637,500.00 $48,500.00 20091003465 Michael A Bosco Jr 09-25669 (602) 255-6000 01/28/2010 10:00 am $63,900.00 09/11/1995 Notice of Trustee Sale Flagstar Bank (800) 968-7700 $155,000.00 $151,100.00 20091002609 Michael A Bosco Jr 09-26160 (602) 255-6000 01/28/2010 10:00 am $185,000.00 06/16/2006 Notice of Trustee Sale Hsbc Bank (800) 975-4722 $157,250.00 $52,200.00 20090996863 Aztec Foreclosure 09-016222 (602) 222-5711 01/27/2010 11:00 am $65,000.00 05/22/1998 Notice of Trustee Sale Deutsche Bank (212) 250-2500 $100,000.00 $107,500.00 20091002772 Michael A Bosco Jr 09-26876 (602) 255-6000 01/28/2010 10:00 am $164,990.00 08/28/2006 Notice of Trustee Sale Chase Home Finance Llc (888) 332-3251 $131,992.00 $126,000.00 20091001630 Michael A Bosco Jr 09-26860 (602) 255-6000 01/28/2010 10:00 am $164,000.00 11/19/2004 Notice of Trustee Sale Downey Savings And Loan $266,000.00 $285,300.00 20090997941 Michael A Bosco Jr 09-26724 (602) 255-6000 01/27/2010 10:00 am Page 29
  • 30.
    Pre-foreclosure List Maricopa County Week Ending 11/2 $169,900.00 11/14/2005 Notice of Trustee Sale Citimortgage, Inc (800) 695-0935 11/08/2005 $135,920.00 $9,130.00 20091001100 Cr Title Service To9-55828-az (714) 573-1965 01/29/2010 02:00 pm $128,000.00 01/07/1997 Notice of Trustee Sale Select Portfolio Servicing Inc (904) 722-7000 03/27/2006 $205,000.00 $300,300.00 20091002402 Quality Loan Service Az-09-322766-rt (714) 573-1965 01/28/2010 12:00 pm 10/14/2004 Notice of Trustee Sale Wells Fargo Home Mortgage (866) 234-8271 $154,660.00 20091002071 First American Title 20099070821584 (702) 304-7514 01/29/2010 02:00 pm $264,459.00 07/25/2005 Notice of Trustee Sale Metlife Home Loans 07/10/2005 $209,950.00 $270,500.00 20091000828 Quality Loan Service Az-09-318915-rm (714) 573-1965 01/29/2010 02:00 pm $670,000.00 02/02/2006 Notice of Trustee Sale 20060154734 02/02/2006 $536,000.00 $34,230.00 20091002962 Recontrust 09-0160480 (800) 281-8219 02/02/2010 12:00 pm $643,028.00 04/12/2006 Notice of Trustee Sale Wells Fargo Home Mortgage (866) 234-8271 $514,422.00 $456,000.00 20091002052 First American Title 20099070821536 (702) 304-7514 01/29/2010 02:00 pm $75,000.00 05/02/2008 Notice of Trustee Sale $70,000.00 $70,000.00 20091003402 Quality Loan Service (714) 573-1965 01/29/2010 10:00 am $243,000.00 10/22/2002 Notice of Trustee Sale First Horizon Home Loans (800) 707-0139 20021033688 09/26/2002 $246,400.00 $33,720.00 20091002111 Lawyers Title Insurance 057-009994 (714) 573-1965 01/29/2010 02:00 pm $245,000.00 11/29/2004 Notice of Trustee Sale Wells Fargo Home Mortgage (866) 234-8271 $260,000.00 $240,200.00 20091001604 Michael A Bosco Jr 09-49104 (602) 255-6000 01/28/2010 10:00 am $100,000.00 11/16/2005 Notice of Trustee Sale Aurora Loan Services (720) 945-3000 11/10/2005 $60,000.00 $110,500.00 20091002258 Quality Loan Service A2'-09-323008-cl (714) 573-1965 01/29/2010 12:00 pm $122,500.00 10/17/2003 Notice of Trustee Sale Bank Of America (800) 285-6000 $172,500.00 $159,700.00 20091001527 Michael A Bosco Jr 09-49058 (602) 255-6000 01/28/2010 10:00 am $356,500.00 09/25/2008 Notice of Trustee Sale Bank Of America (800) 285-6000 20080829260 09/25/2008 $352,721.00 $383,000.00 20091002702 Recontrust (800) 281-8219 02/02/2010 12:00 pm $25,500.00 12/13/1996 Notice of Trustee Sale Flagstar Bank (800) 968-7700 $215,180.00 $203,066.00 20091002607 Michael A Bosco Jr 09-26052 (602) 255-6000 01/28/2010 10:00 am $235,000.00 08/01/2006 Notice of Trustee Sale 11/07/2007 $268,000.00 $216,500.00 20091003489 Mtc Financial Azob59750 01/29/2010 12:00 pm $119,500.00 11/21/2000 Notice of Trustee Sale The Bank Of New York Mellon (212) 495-1784 20060542484 04/24/2006 $218,400.00 $174,800.00 20091002894 Recontrust (800) 281-8219 01/29/2010 02:00 pm $166,000.00 05/28/2004 Notice of Trustee Sale Bank Of America (800) 285-6000 20051413107 09/23/2005 $200,000.00 $193,000.00 20091002884 Recontrust (800) 281-8219 01/29/2010 02:00 pm $385,330.00 06/13/2001 Notice of Trustee Sale U.s. Bancorp (800) 365-7772 20061364090 10/16/2006 $678,000.00 $522,000.00 20091002529 Recontrust (800) 281-8219 02/02/2010 12:00 pm $237,000.00 04/20/2007 Notice of Trustee Sale Chase Home Finance Llc (888) 332-3251 $237,000.00 $164,100.00 20091001646 Michael A Bosco Jr 09-26887 (602) 255-6000 01/28/2010 10:00 am $85,000.00 09/05/1991 Notice of Trustee Sale Citimortgage, Inc (800) 695-0935 03/20/2006 $170,000.00 $254,000.00 20091001208 Cr Title Service To9-55791-az (714) 573-1965 01/29/2010 02:00 pm $297,033.00 03/17/2006 Notice of Trustee Sale Citimortgage, Inc (800) 695-0935 $267,500.00 $13,000.00 20091003246 Michael A Bosco Jr 09-26886 (602) 255-6000 01/28/2010 10:00 am $395,000.00 09/25/2007 Notice of Trustee Sale Citimortgage, Inc (800) 695-0935 09/21/2007 $395,000.00 $297,600.00 20091001108 Cr Title Service To9-55830-az (714) 573-1965 01/29/2010 02:00 pm $142,203.00 06/28/2005 Notice of Trustee Sale Downey Savings And Loan $149,500.00 $120,100.00 20090997937 Michael A Bosco Jr 09-26723 (602) 255-6000 01/27/2010 10:00 am $856,823.00 08/04/2004 Notice of Trustee Sale Deutsche Bank (212) 250-2500 $675,000.00 $567,500.00 20090996858 Aztec Foreclosure 09-018558 (602) 222-5711 01/27/2010 11:00 am $199,000.00 08/29/2005 Notice of Trustee Sale Bank Of America (800) 285-6000 20071071784 09/28/2007 $207,200.00 $11,810.00 20091002660 Recontrust (800) 281-8219 01/29/2010 02:00 pm $255,931.00 03/13/2007 Notice of Trustee Sale Bank Of America (800) 285-6000 20070296944 03/13/2007 $255,931.00 $192,000.00 20091002669 Recontrust (800) 281-8219 01/29/2010 02:00 pm $85,000.00 11/04/1997 Notice of Trustee Sale Mers (800) 646-6377 2006 03/08/2006 $173,000.00 $169,300.00 20090997141 Security Title Agency (602) 266-0275 02/03/2010 12:00 pm $317,025.00 09/05/2006 Notice of Trustee Sale Washington Mutual 11/29/2006 $255,300.00 20091002843 First American Title Az-09-323144-pj (702) 304-7514 01/28/2010 12:00 pm $139,900.00 08/19/2008 Notice of Trustee Sale $139,900.00 $100,000.00 20091001016 Quality Loan Service (714) 573-1965 01/29/2010 12:00 pm $96,500.00 06/03/2003 Notice of Trustee Sale Bank Of America (800) 285-6000 20030707892 06/03/2003 $95,009.00 $127,000.00 20091002684 Recontrust (800) 281-8219 01/29/2010 02:00 pm 04/20/2007 Notice of Trustee Sale Johnson Bank (262) 619-2272 $418,500.00 $61,280.00 20090998896 Quality Loan Service (714) 573-1965 01/29/2010 02:00 pm $88,500.00 10/24/2002 Notice of Trustee Sale Americas Servicing Company $144,000.00 $123,300.00 20091001496 Michael A Bosco Jr 07-43635 (602) 255-6000 01/28/2010 10:00 am $114,000.00 11/21/2007 Notice of Trustee Sale Metlife Home Loans 20071243514 11/16/2007 $91,200.00 $73,500.00 20091002109 Lawyers Title Insurance 057-009981 (714) 573-1965 01/29/2010 02:00 pm $280,804.00 04/24/2007 Notice of Trustee Sale Chase Home Finance Llc (888) 332-3251 $280,804.00 $201,300.00 20091001554 Michael A Bosco Jr 09-26825 (602) 255-6000 01/28/2010 10:00 am $338,054.00 01/29/2007 Notice of Trustee Sale Americas Servicing Company $270,443.00 $132,500.00 20090996251 First American Title 20099134001814 (702) 304-7514 01/28/2010 02:00 pm $94,000.00 03/11/2003 Notice of Trustee Sale 08/06/2004 $148,000.00 $208,700.00 20091002835 Quality Loan Service Az-09-321692-pj (714) 573-1965 01/28/2010 12:00 pm $263,190.00 10/03/2002 Notice of Trustee Sale Citimortgage, Inc (800) 695-0935 06/27/2005 $285,000.00 $327,200.00 20091001113 Cr Title Service To9-55829-az (714) 573-1965 01/29/2010 02:00 pm $20,000.00 05/24/2004 Notice of Trustee Sale 20070419389 $143,000.00 $143,848.00 20091000943 Statewide Foreclosure (602) 414-9928 01/29/2010 02:00 pm $158,000.00 06/07/2005 Notice of Trustee Sale Aurora Loan Services (720) 945-3000 01/11/2007 $184,000.00 $139,000.00 20090998390 Quality Loan Service Az-09-322942-cl (714) 573-1965 01/27/2010 12:00 pm $314,088.00 03/31/2005 Notice of Trustee Sale Bank Of America (800) 285-6000 20060139537 01/31/2006 $340,000.00 $223,200.00 20091002794 Recontrust (800) 281-8219 02/02/2010 12:00 pm $44,300.00 12/18/2006 Notice of Trustee Sale Bank Of America (800) 285-6000 20061648482 12/18/2006 $153,000.00 $50,800.00 20091002758 Recontrust (800) 281-8219 02/02/2010 12:00 pm $85,000.00 05/09/2001 Notice of Trustee Sale Downey Savings And Loan $135,000.00 $116,700.00 20090997984 Michael A Bosco Jr 09-26814 (602) 255-6000 01/27/2010 10:00 am $170,000.00 08/03/2005 Notice of Trustee Sale Aurora Loan Services (720) 945-3000 07/27/2005 $130,000.00 $138,700.00 20090998286 Quality Loan Service Az-09-322894-cl (714) 573-1965 01/27/2010 12:00 pm $208,500.00 11/21/2005 Notice of Trustee Sale Bank Of America (800) 285-6000 20090072836 01/28/2009 $208,623.00 $143,000.00 20091002716 Recontrust (800) 281-8219 02/02/2010 12:00 pm $185,500.00 04/06/2007 Notice of Trustee Sale Aurora Loan Services (720) 945-3000 03/30/2007 $166,950.00 $140,500.00 20090999648 Quality Loan Service Az-09-322935-cl (714) 573-1965 01/28/2010 12:00 pm $419,890.00 08/31/2006 Notice of Trustee Sale Wells Fargo Home Mortgage (866) 234-8271 $417,000.00 $299,700.00 20091002314 First American Title 20099070821512 (702) 304-7514 01/29/2010 02:00 pm $86,360.00 02/25/2003 Notice of Trustee Sale Wells Fargo Home Mortgage (866) 234-8271 20061074844 08/11/2006 $184,000.00 $59,200.00 20091002880 Recontrust (800) 281-8219 01/29/2010 02:00 pm $693,030.00 05/09/2003 Notice of Trustee Sale Bank Of America (800) 285-6000 20071190767 11/05/2007 $960,000.00 $864,000.00 20091002808 Recontrust (800) 281-8219 02/02/2010 12:00 pm $150,000.00 10/25/2005 Notice of Trustee Sale Hsbc Bank (800) 975-4722 12/27/2007 $175,000.00 $132,300.00 20091001306 Quality Loan Service Az-09-321267-tc (714) 573-1965 01/28/2010 12:00 pm $112,000.00 12/17/2003 Notice of Trustee Sale U.s. Bancorp (800) 365-7772 $111,923.00 $142,700.00 20090997945 Michael A Bosco Jr 09-26635 (602) 255-6000 01/27/2010 10:00 am $114,000.00 04/22/2003 Notice of Trustee Sale The Bank Of New York Mellon (212) 495-1784 2006 01/17/2006 $158,400.00 $135,200.00 20091002829 Recontrust (800) 281-8219 02/02/2010 12:00 pm $225,000.00 06/28/2005 Notice of Trustee Sale Aurora Loan Services (720) 945-3000 $200,000.00 $175,100.00 20091002434 Cal Western Reconveyance 1246589-14 (800) 546-1531 01/29/2010 02:00 pm $211,240.00 05/29/2002 Notice of Trustee Sale 2005 03/21/2005 $289,600.00 $285,100.00 20091002555 Recontrust (800) 281-8219 02/02/2010 12:00 pm $285,000.00 08/07/2006 Notice of Trustee Sale Aurora Loan Services (720) 945-3000 08/03/2006 $228,000.00 $182,100.00 20091001314 Quality Loan Service Az~09-323031-cl (714) 573-1965 01/28/2010 12:00 pm $210,000.00 08/11/2005 Notice of Trustee Sale $194,500.00 $161,200.00 20091002429 Cal Western Reconveyance 1246736-08 (800) 546-1531 01/29/2010 12:00 pm $172,000.00 08/31/2007 Notice of Trustee Sale Metlife Home Loans 08/27/2007 $600,000.00 $15,190.00 20091000796 Quality Loan Service Az-09-319463-rm (714) 573-1965 01/29/2010 02:00 pm $362,000.00 01/14/2005 Notice of Trustee Sale Downey Savings And Loan $420,000.00 $377,000.00 20090997992 Michael A Bosco Jr 09-26809 (602) 255-6000 01/27/2010 10:00 am $365,000.00 04/07/2006 Notice of Trustee Sale Wells Fargo Home Mortgage (866) 234-8271 $292,000.00 $248,200.00 20091001563 Michael A Bosco Jr 09-49090 (602) 255-6000 01/28/2010 10:00 am Page 30
  • 31.
    Pre-foreclosure List Maricopa County Week Ending 11/2 $347,200.00 10/26/2005 Notice of Trustee Sale Bank Of America (800) 285-6000 20070921111 08/15/2007 $500,000.00 $328,000.00 20091002959 Recontrust 09-0159721 (800) 281-8219 02/01/2010 12:00 pm $154,000.00 12/28/2005 Notice of Trustee Sale 2008 $100,000.00 $127,600.00 20091002341 Security Title Agency 14-89588 (602) 266-0275 01/28/2010 10:30 am $150,588.00 11/19/2003 Notice of Trustee Sale Deutsche Bank (212) 250-2500 $216,000.00 $180,800.00 20090992956 Aztec Foreclosure 09-016272 (602) 222-5711 01/26/2010 11:00 am $77,900.00 06/24/1997 Notice of Trustee Sale Wells Fargo Home Mortgage (866) 234-8271 $150,000.00 $140,300.00 20091001559 Michael A Bosco Jr 09-49088 (602) 255-6000 01/28/2010 10:00 am $200,500.00 03/24/2005 Notice of Trustee Sale Metlife Home Loans 11/11/2005 $190,500.00 $165,000.00 20091000880 Quality Loan Service Az-09-319175-rm (714) 573-1965 01/29/2010 02:00 pm $138,500.00 07/14/2005 Notice of Trustee Sale Aurora Loan Services (720) 945-3000 02/16/2007 $136,000.00 $125,000.00 20090998041 Quality Loan Service Az-09-322937-cl (714) 573-1965 01/27/2010 12:00 pm $185,100.00 03/30/2006 Notice of Trustee Sale Wells Fargo Home Mortgage (866) 234-8271 $175,750.00 $141,000.00 20091001580 Michael A Bosco Jr 09-49096 (602) 255-6000 01/28/2010 10:00 am $191,779.00 11/04/2004 Notice of Trustee Sale Bayview Loan Servicing, Llc (800) 457-5105 $191,750.00 $14,800.00 20091002456 Aztec Foreclosure 09-018604 (602) 222-5711 01/28/2010 11:00 am $297,872.00 09/07/2007 Notice of Trustee Sale Nationstar Mortgage (800) 306-9027 $347,000.00 $227,000.00 20091002448 Cal Western Reconveyance 1247711-08 (800) 546-1531 01/29/2010 02:00 pm $279,636.00 01/22/2007 Notice of Trustee Sale Aurora Loan Services (720) 945-3000 01/12/2007 $251,650.00 $195,700.00 20090998388 Quality Loan Service Az-09-322931-cl (714) 573-1965 01/27/2010 12:00 pm $98,500.00 03/31/2003 Notice of Trustee Sale Citimortgage, Inc (800) 695-0935 $137,500.00 $128,000.00 20091003223 Michael A Bosco Jr 09-24025 (602) 255-6000 01/28/2010 10:00 am $207,000.00 12/22/2006 Notice of Trustee Sale Aurora Loan Services (720) 945-3000 12/21/2006 $207,000.00 $141,200.00 20090998269 Quality Loan Service Az-09-322908-cl (714) 573-1965 01/27/2010 12:00 pm $553,006.00 12/18/2006 Notice of Trustee Sale 20061643165 12/18/2006 $454,018.00 $382,600.00 20091002540 Recontrust 09-0160490 (800) 281-8219 02/02/2010 12:00 pm $142,000.00 09/29/2003 Notice of Trustee Sale 20060196849 02/13/2006 $226,300.00 $200,200.00 20091002687 Recontrust (800) 281-8219 01/29/2010 02:00 pm $1,365,000.00 05/31/2007 Notice of Trustee Sale Quantum Servicing Corp 05/25/2007 $109,200,000.00 $886,500.00 20091002567 Quality Loan Service Az-09-322672-bm (714) 573-1965 01/28/2010 12:00 pm $144,000.00 06/28/2002 Notice of Trustee Sale Hsbc Bank (800) 975-4722 $115,200.00 $155,700.00 20091002783 Michael A Bosco Jr 09-26486 (602) 255-6000 01/28/2010 10:00 am $679,114.00 09/27/2006 Notice of Trustee Sale Deutsche Bank (212) 250-2500 20061276723 09/27/2006 $543,291.00 $36,510.00 20091002678 Recontrust (800) 281-8219 01/29/2010 02:00 pm $130,800.00 05/24/2000 Notice of Trustee Sale The Bank Of New York Mellon (212) 495-1784 2007 $184,800.00 $189,300.00 20091001507 Security Title Agency 14-89427 (602) 266-0275 01/28/2010 10:30 am $90,000.00 01/29/2003 Notice of Trustee Sale Metlife Home Loans 08/25/2006 $540,000.00 $448,100.00 20091000800 Quality Loan Service Az-09-319196-rm (714) 573-1965 01/29/2010 02:00 pm $123,000.00 04/17/2000 Notice of Trustee Sale Americas Servicing Company $196,000.00 $182,800.00 20091001551 Michael A Bosco Jr 09-49084 (602) 255-6000 01/28/2010 10:00 am $197,800.00 08/29/2006 Notice of Trustee Sale Aurora Loan Services (720) 945-3000 08/28/2006 $158,240.00 $147,800.00 20090997747 Quality Loan Service Az-09-322930-cl (714) 573-1965 01/27/2010 12:00 pm $124,568.00 05/28/2004 Notice of Trustee Sale Litton Loan Servicing Lp (800) 247-9727 12/11/2006 $188,000.00 $155,700.00 20091002400 Quality Loan Service Az-09-322392-bl (714) 573-1965 01/28/2010 12:00 pm $295,800.00 10/14/2005 Notice of Trustee Sale Wells Fargo Home Mortgage (866) 234-8271 $236,640.00 $187,600.00 20091002062 First American Title 20099070821549 (702) 304-7514 01/29/2010 02:00 pm $61,000.00 05/08/2003 Notice of Trustee Sale 2003 $54,900.00 $83,701.00 20091000944 Statewide Foreclosure (602) 414-9928 01/29/2010 02:00 pm $361,000.00 11/07/2005 Notice of Trustee Sale Downey Savings And Loan $288,800.00 $223,000.00 20090997939 Michael A Bosco Jr 09-26640 (602) 255-6000 01/27/2010 10:00 am $25,000.00 03/26/1993 Notice of Trustee Sale Bank Of America (800) 285-6000 20051484700 10/05/2005 $153,000.00 $173,500.00 20091002965 Recontrust (800) 281-8219 02/02/2010 12:00 pm $156,360.00 07/23/2003 Notice of Trustee Sale Chase Home Finance Llc (888) 332-3251 $122,500.00 $190,500.00 20091001540 Michael A Bosco Jr 09-26797 (602) 255-6000 01/28/2010 10:00 am $115,000.00 07/19/2005 Notice of Trustee Sale Citimortgage, Inc (800) 695-0935 08/01/2008 $131,200.00 $10,200.00 20091001234 Cr Title Service To9-55788-az (714) 573-1965 01/29/2010 02:00 pm $524,000.00 10/30/2001 Notice of Trustee Sale Metlife Home Loans 04/22/2004 $276,000.00 $547,200.00 20091000884 Quality Loan Service Az-09-319197-rm (714) 573-1965 01/29/2010 02:00 pm $249,500.00 07/30/2008 Notice of Trustee Sale Bank Of America (800) 285-6000 20080663714 07/30/2008 $245,645.00 $189,000.00 20091002469 Recontrust (800) 281-8219 01/29/2010 02:00 pm 04/27/2006 Notice of Trustee Sale Wells Fargo Home Mortgage (866) 234-8271 $2,700,000.00 $677,343.00 20091002156 Quality Loan Service (714) 573-1965 01/28/2010 10:00 am $304,031.00 10/15/2007 Notice of Trustee Sale Wells Fargo Home Mortgage (866) 234-8271 $316,776.00 $187,100.00 20091001583 Michael A Bosco Jr 09-49099 (602) 255-6000 01/28/2010 10:00 am $210,000.00 06/10/2008 Notice of Trustee Sale Bank Of America (800) 285-6000 20080512492 06/10/2008 $206,755.00 $232,200.00 20091002936 Recontrust (800) 281-8219 01/29/2010 02:00 pm $96,000.00 11/19/2004 Notice of Trustee Sale Deutsche Bank (212) 250-2500 $100,000.00 $147,000.00 20091003490 Mtc Financial Azo859858 01/28/2010 12:00 pm $469,900.00 12/03/2002 Notice of Trustee Sale Bank Of America (800) 285-6000 2004 04/08/2004 $456,000.00 $792,200.00 20090996941 Recontrust (800) 281-8219 02/01/2010 12:00 pm $305,000.00 04/19/2006 Notice of Trustee Sale Aurora Loan Services (720) 945-3000 04/14/2006 $213,500.00 $266,300.00 20090998371 Quality Loan Service Az-09-322884-cl (714) 573-1965 01/27/2010 12:00 pm $106,481.00 06/19/1997 Notice of Trustee Sale Wells Fargo Home Mortgage (866) 234-8271 $235,000.00 $187,600.00 20091001574 Michael A Bosco Jr 09-49095 (602) 255-6000 01/28/2010 10:00 am $204,283.00 07/12/2005 Notice of Trustee Sale Hsbc Bank (800) 975-4722 20061535750 11/22/2006 $217,600.00 $174,000.00 20091002947 Recontrust (800) 281-8219 02/01/2010 12:00 pm $153,000.00 03/15/2005 Notice of Trustee Sale Deutsche Bank (212) 250-2500 2005 03/15/2005 $137,700.00 $137,300.00 20091002560 Recontrust (800) 281-8219 02/02/2010 12:00 pm $94,000.00 07/31/2001 Notice of Trustee Sale Desert Hills Bank (480) 212-5363 2004 $750,000.00 $118,000.00 20090999782 Quality Loan Service (714) 573-1965 01/29/2010 02:00 pm $94,940.00 12/18/2000 Notice of Trustee Sale $172,500.00 $95,000.00 20091002742 Michael A Bosco Jr 231444 (602) 255-6000 01/28/2010 10:00 am $155,000.00 03/21/2007 Notice of Trustee Sale U.s. Bancorp (800) 365-7772 20070747169 06/28/2007 $116,250.00 $111,200.00 20091002781 Recontrust (800) 281-8219 02/02/2010 12:00 pm $238,000.00 04/26/2005 Notice of Trustee Sale Metlife Home Loans 20070522224 10/25/2006 $257,000.00 $221,100.00 20091000834 Quality Loan Service Az-09-318913-rm (714) 573-1965 01/29/2010 02:00 pm $146,000.00 04/27/1995 Notice of Trustee Sale Wells Fargo Home Mortgage (866) 234-8271 $381,900.00 $188,000.00 20091001638 Michael A Bosco Jr 09-49140 (602) 255-6000 01/28/2010 10:00 am $288,355.00 11/03/2004 Notice of Trustee Sale Bank Of America (800) 285-6000 20060626298 05/09/2006 $487,500.00 $348,200.00 20091002650 Recontrust (800) 281-8219 02/02/2010 12:00 pm $66,600.00 08/06/1996 Notice of Trustee Sale Wachovia Corporation (800) 922-4684 08/12/2005 $680,000.00 $555,100.00 20091003488 Mtc Financial Az0859851 01/29/2010 12:00 pm $399,000.00 07/25/2005 Notice of Trustee Sale Americas Servicing Company 10/13/2009 $319,200.00 $271,700.00 20091001499 Michael A Bosco Jr 09-45489 (602) 255-6000 01/28/2010 10:00 am $250,771.00 12/27/2007 Notice of Trustee Sale Aurora Loan Services (720) 945-3000 12/17/2007 $250,771.00 $52,000.00 20091001316 Quality Loan Service Az-09-323072-cl (714) 573-1965 01/28/2010 12:00 pm $305,000.00 12/27/2005 Notice of Trustee Sale Select Portfolio Servicing Inc (904) 722-7000 12/22/2005 $244,000.00 $173,000.00 20090999644 Quality Loan Service Az-09-321415-rt (714) 573-1965 01/27/2010 12:00 pm $154,386.00 04/24/2003 Notice of Trustee Sale Wells Fargo Home Mortgage (866) 234-8271 $180,000.00 $171,300.00 20091001568 Michael A Bosco Jr 09-49092 (602) 255-6000 01/28/2010 10:00 am $225,000.00 09/13/2006 Notice of Trustee Sale Deutsche Bank (212) 250-2500 20061217565 09/13/2006 $180,000.00 $159,200.00 20091002737 Recontrust (800) 281-8219 02/01/2010 12:00 pm $775,000.00 01/12/2007 Notice of Trustee Sale Chase Home Finance Llc (888) 332-3251 $620,000.00 $806,800.00 20091002856 First American Title 20099073502501 (702) 304-7514 01/29/2010 02:00 pm $260,000.00 08/23/2007 Notice of Trustee Sale Bank Of America (800) 285-6000 20080381216 04/30/2008 $260,223.00 $180,200.00 20091002925 Recontrust (800) 281-8219 01/29/2010 02:00 pm $234,716.00 05/13/2004 Notice of Trustee Sale U.s. Bancorp (800) 365-7772 20060836385 06/21/2006 $300,000.00 $215,500.00 20091002770 Recontrust (800) 281-8219 02/02/2010 12:00 pm $286,000.00 11/17/2006 Notice of Trustee Sale Phh Mortgage (800) 210-8849 $133,934.00 $208,600.00 20091002760 Michael A Bosco Jr 09-25595 (602) 255-6000 01/28/2010 10:00 am $252,000.00 11/15/2006 Notice of Trustee Sale Bank Of America (800) 285-6000 20061501112 11/15/2006 $201,600.00 $170,200.00 20091002876 Recontrust 09-0158795 (800) 281-8219 01/29/2010 02:00 pm $248,500.00 08/31/2007 Notice of Trustee Sale Wells Fargo Home Mortgage (866) 234-8271 $198,500.00 $191,000.00 20091001561 Michael A Bosco Jr 09-49089 (602) 255-6000 01/28/2010 10:00 am Page 31
  • 32.
    Pre-foreclosure List Maricopa County Week Ending 11/2 $148,000.00 06/17/2005 Notice of Trustee Sale Chase Home Finance Llc (888) 332-3251 $149,150.00 $143,000.00 20091001512 Michael A Bosco Jr 09-26708 (602) 255-6000 01/28/2010 10:00 am $345,803.00 09/07/2004 Notice of Trustee Sale Wells Fargo Home Mortgage (866) 234-8271 20070185859 02/14/2007 $456,300.00 $393,500.00 20091002543 Recontrust (800) 281-8219 02/02/2010 12:00 pm $286,500.00 05/31/2006 Notice of Trustee Sale Bank Of America (800) 285-6000 20060731956 05/31/2006 $257,850.00 $187,500.00 20091002516 Recontrust 09-0154188 (800) 281-8219 02/02/2010 12:00 pm $145,720.00 10/16/2002 Notice of Trustee Sale Bank Of America (800) 285-6000 20070494016 04/27/2007 $208,000.00 $174,300.00 20091002672 Recontrust (800) 281-8219 01/29/2010 02:00 pm $133,070.00 08/02/2002 Notice of Trustee Sale $171,900.00 $160,700.00 20091002778 Michael A Bosco Jr 09-26482 (602) 255-6000 01/28/2010 10:00 am $210,000.00 07/25/2007 Notice of Trustee Sale Bank Of America (800) 285-6000 20070843458 07/25/2007 $168,000.00 $165,200.00 20091002552 Recontrust (800) 281-8219 02/02/2010 12:00 pm $130,000.00 10/08/2008 Notice of Trustee Sale Bank Of America (800) 285-6000 2009 03/31/2009 $129,910.00 $164,000.00 20091002731 Recontrust (800) 281-8219 02/02/2010 12:00 pm $210,000.00 02/06/2006 Notice of Trustee Sale Aurora Loan Services (720) 945-3000 02/01/2006 $168,000.00 $179,800.00 20091001312 Quality Loan Service Az-09-323022-cl (714) 573-1965 01/28/2010 12:00 pm $625,000.00 11/08/2005 Notice of Trustee Sale Downey Savings And Loan $562,500.00 $362,300.00 20090997956 Michael A Bosco Jr 09-26805 (602) 255-6000 01/27/2010 10:00 am $364,000.00 11/17/2004 Notice of Trustee Sale Americas Servicing Company $291,200.00 $355,200.00 20091001635 Michael A Bosco Jr 09-49143 (602) 255-6000 01/28/2010 10:00 am $210,000.00 10/26/2007 Notice of Trustee Sale Bank Of America (800) 285-6000 20071163424 10/26/2007 $210,000.00 $12,930.00 20091002698 Recontrust (800) 281-8219 01/29/2010 02:00 pm $141,596.00 01/22/2004 Notice of Trustee Sale Aurora Loan Services (720) 945-3000 $150,000.00 $158,300.00 20091002444 Cal Western Reconveyance 1246733-14 (800) 546-1531 01/29/2010 02:00 pm $136,560.00 08/21/2003 Notice of Trustee Sale National City Mortgage (800) 822-5626 $208,000.00 $153,800.00 20091003213 Michael A Bosco Jr 09-21845 (602) 255-6000 01/28/2010 10:00 am $148,000.00 03/23/2004 Notice of Trustee Sale 20050891254 06/29/2005 $148,799.00 $170,600.00 20091003522 Recontrust (800) 281-8219 01/29/2010 02:00 pm $473,019.00 09/12/2006 Notice of Trustee Sale Metlife Home Loans 09/07/2006 $406,700.00 $287,500.00 20091000832 Quality Loan Service Az-09-318571-rm (714) 573-1965 01/29/2010 02:00 pm $156,000.00 04/16/1999 Notice of Trustee Sale Select Portfolio Servicing Inc (904) 722-7000 06/06/2006 $226,000.00 $192,800.00 20091002391 Quality Loan Service Az-09-321919-rt (714) 573-1965 01/28/2010 12:00 pm $195,000.00 02/27/1998 Notice of Trustee Sale Chase Home Finance Llc (888) 332-3251 $432,000.00 $339,000.00 20091002141 First American Title 20099073502605 (702) 304-7514 01/29/2010 02:00 pm $443,053.00 08/17/2005 Notice of Trustee Sale Hsbc Bank (800) 975-4722 $315,000.00 $296,700.00 20091002749 Michael A Bosco Jr 230348 (602) 255-6000 01/28/2010 10:00 am 04/23/2002 Notice of Trustee Sale 20020412241 $834,000.00 $398,410.00 20091001164 Empire West Title Agency 11516 (602) 749-7000 01/29/2010 02:00 pm $240,000.00 04/04/2006 Notice of Trustee Sale Chase Home Finance Llc (888) 332-3251 04/04/2006 $192,000.00 $220,100.00 20090996608 Mtc Financial Azo859756 01/27/2010 12:00 pm $525,000.00 01/29/2008 Notice of Trustee Sale Bank Of America (800) 285-6000 $417,000.00 $679,300.00 20091001996 Aztec Foreclosure 09-018606 (602) 222-5711 01/23/2010 11:00 am $142,000.00 12/20/2005 Notice of Trustee Sale Metlife Home Loans 12/14/2005 $113,600.00 $109,000.00 20091000882 Quality Loan Service Az-09-319194-rm (714) 573-1965 01/29/2010 02:00 pm $200,000.00 09/14/2006 Notice of Trustee Sale Metlife Home Loans 09/06/2006 $160,000.00 $134,100.00 20091000830 Quality Loan Service Az-09-318920-rm (714) 573-1965 01/29/2010 02:00 pm 09/13/1993 Notice of Trustee Sale Everhome Mortgage Company (800) 669-9721 $139,950.00 $143,700.00 20091002788 Michael A Bosco Jr 09-26466 (602) 255-6000 01/28/2010 10:00 am $600,000.00 01/22/2008 Notice of Trustee Sale Bb&t Mortgage (800) 295-5744 $417,000.00 $326,200.00 20091002752 Michael A Bosco Jr 09-25413 (602) 255-6000 01/28/2010 10:00 am $173,818.00 03/23/2005 Notice of Trustee Sale Bank United $216,000.00 $149,500.00 20090997921 Michael A Bosco Jr 09-26424 (602) 255-6000 01/27/2010 10:00 am $320,000.00 03/28/2005 Notice of Trustee Sale Aurora Loan Services (720) 945-3000 03/24/2005 $256,000.00 $323,800.00 20090998380 Quality Loan Service Az-09-264093-cl (714) 573-1965 01/27/2010 12:00 pm $190,000.00 09/13/2007 Notice of Trustee Sale Wells Fargo Home Mortgage (866) 234-8271 $190,000.00 $190,700.00 20091001611 Michael A Bosco Jr 09-49108 (602) 255-6000 01/28/2010 10:00 am $290,000.00 05/12/2006 Notice of Trustee Sale Aurora Loan Services (720) 945-3000 05/09/2006 $232,000.00 $179,200.00 20090998095 Quality Loan Service Az-09-322877-cl (714) 573-1965 01/27/2010 12:00 pm $721,000.00 11/02/2006 Notice of Trustee Sale Hsbc Bank (800) 975-4722 $576,000.00 $382,600.00 20091002776 Michael A Bosco Jr 09-26015 (602) 255-6000 01/28/2010 10:00 am $139,500.00 11/29/2000 Notice of Trustee Sale Hsbc Bank (800) 975-4722 20070669634 06/11/2007 $240,000.00 $170,600.00 20091002537 Recontrust (800) 281-8219 02/02/2010 12:00 pm $145,415.00 05/15/2003 Notice of Trustee Sale The Bank Of New York Mellon (212) 495-1784 2005149848 10/06/2005 $217,500.00 $174,300.00 20091002802 Recontrust 09-0160477 (800) 281-8219 02/02/2010 12:00 pm $7,996.00 08/04/1989 Notice of Trustee Sale Bank Of America (800) 285-6000 20060412010 03/28/2006 $120,000.00 $129,600.00 20091002826 Recontrust (800) 281-8219 01/29/2010 02:00 pm $249,900.00 04/15/2005 Notice of Trustee Sale Metlife Home Loans 04/07/2005 $162,435.00 $193,000.00 20091000802 Quality Loan Service Az-09-319464-rm (714) 573-1965 01/29/2010 02:00 pm $182,000.00 11/16/2005 Notice of Trustee Sale The Bank Of New York Mellon (212) 495-1784 20051737319 11/16/2005 $145,600.00 $11,600.00 20091002695 Recontrust 09-0159150 (800) 281-8219 01/29/2010 02:00 pm $170,000.00 09/23/2008 Notice of Trustee Sale Bank Of America (800) 285-6000 2008082007 09/23/2008 $168,458.00 $172,800.00 20091002603 Recontrust 09-0064757 (800) 281-8219 02/01/2010 12:00 pm $205,316.00 04/28/2006 Notice of Trustee Sale Wells Fargo Home Mortgage (866) 234-8271 $164,252.00 $123,000.00 20091002292 First American Title 20099070820980 (702) 304-7514 01/29/2010 02:00 pm $176,800.00 10/05/2005 Notice of Trustee Sale Wells Fargo Home Mortgage (866) 234-8271 $159,100.00 $141,500.00 20091002039 First American Title 20099070821348 (702) 304-7514 01/29/2010 02:00 pm $112,051.00 07/25/2005 Notice of Trustee Sale Citimortgage, Inc (800) 695-0935 $200,000.00 $148,000.00 20090997914 Michael A Bosco Jr 09-26696 (602) 255-6000 01/27/2010 10:00 am $235,000.00 03/03/2005 Notice of Trustee Sale Chase Home Finance Llc (888) 332-3251 $188,000.00 $185,500.00 20091001514 Michael A Bosco Jr 09-26709 (602) 255-6000 01/28/2010 10:00 am $231,703.00 02/22/2007 Notice of Trustee Sale Hsbc Bank (800) 975-4722 $231,700.00 $166,700.00 20090997256 Michael A Bosco Jr 09-26674 (602) 255-6000 01/27/2010 10:00 am $112,000.00 12/12/2001 Notice of Trustee Sale Bank Of America (800) 285-6000 20031031399 08/01/2003 $109,074.00 $152,600.00 20091002864 Recontrust (800) 281-8219 01/29/2010 02:00 pm $436,000.00 02/07/2007 Notice of Trustee Sale Washington Mutual 02/02/2007 $305,200.00 $297,200.00 20091002841 First American Title Az-09-323111-pj (702) 304-7514 01/28/2010 12:00 pm $167,000.00 06/09/2004 Notice of Trustee Sale Bank Of America (800) 285-6000 $40,000.00 $196,100.00 20090998200 Northwest Trustee Service 7530 (714) 277-4888 01/29/2010 02:00 pm $409,914.00 12/22/2006 Notice of Trustee Sale Citimortgage, Inc (800) 695-0935 $406,000.00 $299,100.00 20091003262 Michael A Bosco Jr 09-26716 (602) 255-6000 01/28/2010 10:00 am $70,000.00 09/25/2003 Notice of Trustee Sale 20080530843 $83,250.00 $82,700.00 20091001133 Statewide Foreclosure (602) 414-9928 01/29/2010 02:00 pm $815,000.00 12/22/2006 Notice of Trustee Sale Bank Of America (800) 285-6000 20070993461 09/06/2007 $924,000.00 $597,200.00 20091002734 Recontrust (800) 281-8219 02/01/2010 12:00 pm $225,000.00 12/04/2002 Notice of Trustee Sale $340,800.00 $212,100.00 20091002774 Michael A Bosco Jr 09-26610 (602) 255-6000 01/28/2010 10:00 am $486,830.00 02/15/2000 Notice of Trustee Sale Bank Of America (800) 285-6000 20051856100 12/07/2005 $880,000.00 $772,000.00 20091002765 Recontrust 09-0160479 (800) 281-8219 02/02/2010 12:00 pm $869,900.00 06/01/2005 Notice of Trustee Sale $826,500.00 $639,600.00 20091002613 Michael A Bosco Jr 926234 (602) 255-6000 01/28/2010 10:00 am $1,200,000.00 07/31/2007 Notice of Trustee Sale Bank Of America (800) 285-6000 20070862544 07/31/2007 $892,570.00 $945,300.00 20091002728 Recontrust (800) 281-8219 02/01/2010 12:00 pm $179,900.00 02/02/2005 Notice of Trustee Sale Chase Home Finance Llc (888) 332-3251 $170,900.00 $174,000.00 20091003017 First American Title 20099073502504 (702) 304-7514 01/29/2010 02:00 pm $231,500.00 09/21/2007 Notice of Trustee Sale Wells Fargo Home Mortgage (866) 234-8271 $215,295.00 $173,300.00 20091001565 Michael A Bosco Jr 09-49091 (602) 255-6000 01/28/2010 10:00 am $235,000.00 09/29/2006 Notice of Trustee Sale Metlife Home Loans 09/26/2006 $188,000.00 $167,000.00 20091000874 Quality Loan Service Az-09-319200-rm (714) 573-1965 01/29/2010 02:00 pm $254,000.00 06/22/2006 Notice of Trustee Sale Wells Fargo Home Mortgage (866) 234-8271 $262,382.00 $165,200.00 20091002306 First American Title 20099070821520 (702) 304-7514 01/29/2010 02:00 pm $209,900.00 03/31/2006 Notice of Trustee Sale Aurora Loan Services (720) 945-3000 03/29/2006 $16,792,000.00 $150,000.00 20091002384 Quality Loan Service Az-09-323025-cl (714) 573-1965 01/28/2010 12:00 pm $188,212.00 10/19/2005 Notice of Trustee Sale Wells Fargo Home Mortgage (866) 234-8271 $199,000.00 $145,100.00 20091002290 First American Title 20099070820956 (702) 304-7514 01/29/2010 02:00 pm Page 32
  • 33.
    Pre-foreclosure List Maricopa County Week Ending 11/2 $259,000.00 11/07/2005 Notice of Trustee Sale Bank Of America (800) 285-6000 20051685121 11/07/2005 $259,000.00 $180,700.00 20091002838 Recontrust (800) 281-8219 01/29/2010 02:00 pm $109,900.00 03/02/2001 Notice of Trustee Sale Bank Of America (800) 285-6000 $113,000.00 $153,700.00 20090996867 Aztec Foreclosure 09-018419 (602) 222-5711 01/27/2010 11:00 am $256,000.00 10/20/2005 Notice of Trustee Sale Mers (800) 646-6377 2005 10/18/2005 $204,800.00 $173,800.00 20090997099 Executive Trustee Service (714) 730-2727 02/05/2010 12:00 pm $182,836.00 09/30/2005 Notice of Trustee Sale Suntrust Mortgage Inc (800) 786-8787 $241,062.00 $187,200.00 20090997863 Aztec Foreclosure 09-018688 (602) 222-5711 01/27/2010 11:00 am $410,000.00 10/11/2005 Notice of Trustee Sale Mers (800) 646-6377 2005 10/10/2005 $328,000.00 $307,000.00 20090996745 Security Title Agency (602) 266-0275 02/05/2010 12:00 pm $410,000.00 01/17/2006 Notice of Trustee Sale Deutsche Bank (212) 250-2500 01/17/2006 $369,000.00 $285,100.00 20090996607 Mtc Financial Azo859753 01/28/2010 12:00 pm $121,500.00 05/15/2003 Notice of Trustee Sale Phh Mortgage (800) 210-8849 $115,425.00 $161,200.00 20090992933 Aztec Foreclosure 09-018531 (602) 222-5711 01/26/2010 11:00 am 07/05/2007 Notice of Trustee Sale Downey Savings And Loan $178,000.00 $18,420.00 20090997943 Michael A Bosco Jr 09-26601 (602) 255-6000 01/27/2010 10:00 am $235,500.00 05/22/2007 Notice of Trustee Sale Bank Of America (800) 285-6000 $188,400.00 $181,700.00 20090996231 Northwest Trustee Service 7662 (714) 277-4888 01/28/2010 02:00 pm $705,000.00 11/03/2006 Notice of Trustee Sale M&i Marshall 20061458847 $3,325,000.00 $240,026.00 20090997604 Quality Loan Service 09-1293 (714) 573-1965 01/28/2010 02:00 pm $185,000.00 07/31/2007 Notice of Trustee Sale Bank Of America (800) 285-6000 20071187214 11/02/2007 $143,200.00 $115,700.00 20090997059 Recontrust (800) 281-8219 02/01/2010 12:00 pm $117,750.00 01/08/2003 Notice of Trustee Sale Chase Home Finance Llc (888) 332-3251 $202,492.00 $154,700.00 20090996256 First American Title 20099073502429 (702) 304-7514 01/28/2010 02:00 pm $188,888.00 11/17/2004 Notice of Trustee Sale Citimortgage, Inc (800) 695-0935 11/09/2004 $169,950.00 $170,500.00 20090995785 Cr Title Service To9-55740-az (714) 573-1965 01/28/2010 02:00 pm $320,000.00 06/05/2006 Notice of Trustee Sale 05/03/2006 $256,000.00 $219,500.00 20090997827 Quality Loan Service Az-09-280886-tc (714) 573-1965 01/27/2010 12:00 pm $59,900.00 02/28/1997 Notice of Trustee Sale Bank Of America (800) 285-6000 20061204004 09/11/2006 $107,500.00 $124,600.00 20090996654 Recontrust (800) 281-8219 02/01/2010 12:00 pm $210,000.00 11/20/2007 Notice of Trustee Sale Mers (800) 646-6377 2007 11/20/2007 $210,000.00 $150,500.00 20090996822 Security Title Agency (602) 266-0275 02/08/2010 12:00 pm $850,000.00 02/05/2004 Notice of Trustee Sale Washington Mutual 02/05/2004 $637,500.00 $745,100.00 20090997226 California Reconveyance 137827az (714) 573-1965 01/28/2010 02:00 pm $91,000.00 08/30/1996 Notice of Trustee Sale Bank Of America (800) 285-6000 $150,000.00 $228,200.00 20090996250 Christopher Charles Rebhuhn 03-sf-86030 01/28/2010 02:00 pm $179,900.00 04/01/2009 Notice of Trustee Sale Bank Of America (800) 285-6000 20090288538 04/01/2009 $176,641.00 $253,000.00 20090996672 Recontrust (800) 281-8219 02/01/2010 12:00 pm $164,512.00 07/07/2004 Notice of Trustee Sale Mers (800) 646-6377 2006 08/10/2006 $263,500.00 $226,600.00 20090997035 Security Title Agency (602) 266-0275 02/04/2010 12:00 pm $135,000.00 11/28/2003 Notice of Trustee Sale $195,000.00 $197,500.00 20090992941 Aztec Foreclosure 09-018808 (602) 222-5711 01/26/2010 11:00 am $139,900.00 02/06/2002 Notice of Trustee Sale Wells Fargo Home Mortgage (866) 234-8271 2005 04/11/2005 $614,000.00 $533,100.00 20090996708 Recontrust (800) 281-8219 01/28/2010 02:00 pm $161,470.00 08/16/1999 Notice of Trustee Sale The Bank Of New York Mellon (212) 495-1784 20051614073 10/26/2005 $288,300.00 $246,000.00 20090996705 Recontrust (800) 281-8219 01/28/2010 02:00 pm 08/16/2007 Notice of Trustee Sale Wells Fargo Home Mortgage (866) 234-8271 $363,250,000.00 $5,466,612.00 20090994815 Quality Loan Service 2310-40(e) (714) 573-1965 01/27/2010 12:00 pm $192,400.00 03/31/2006 Notice of Trustee Sale The Bank Of New York Mellon (212) 495-1784 2006 03/31/2006 $153,920.00 $107,300.00 20090996829 Recontrust (800) 281-8219 01/28/2010 02:00 pm $126,810.00 08/18/2000 Notice of Trustee Sale Mers (800) 646-6377 2005 09/07/2005 $195,075.00 $191,000.00 20090997084 Security Title Agency (602) 266-0275 02/04/2010 12:00 pm $178,900.00 02/27/2007 Notice of Trustee Sale Bank Of America (800) 285-6000 $173,533.00 $100,991.00 20090996242 Northwest Trustee Service 7662 (714) 277-4888 01/28/2010 02:00 pm $159,970.00 11/12/2003 Notice of Trustee Sale Citimortgage, Inc (800) 695-0935 04/25/2006 $213,500.00 $191,800.00 20090995406 Cr Title Service To9-55768-az (714) 573-1965 01/28/2010 02:00 pm $85,000.00 05/05/1999 Notice of Trustee Sale Mers (800) 646-6377 2006 08/10/2006 $149,500.00 $146,200.00 20090997054 Security Title Agency (602) 266-0275 02/04/2010 12:00 pm $131,000.00 04/02/2001 Notice of Trustee Sale Chase Home Finance Llc (888) 332-3251 $173,000.00 $168,700.00 20090996465 Michael A Bosco Jr 09-26722 (602) 255-6000 01/27/2010 10:00 am $700,000.00 06/16/2006 Notice of Trustee Sale 20060814258 06/16/2006 $560,000.00 $528,200.00 20090997879 Recontrust (800) 281-8219 02/01/2010 12:00 pm $202,282.00 06/29/2007 Notice of Trustee Sale Aurora Loan Services (720) 945-3000 $192,167.00 $30,500.00 20090997112 Cal Western Reconveyance 1246477-14 (800) 546-1531 01/28/2010 02:00 pm $208,000.00 12/12/2006 Notice of Trustee Sale The Bank Of New York Mellon (212) 495-1784 $185,677.00 $64,300.00 20090996351 Old Republic Nat'l Title Insurance C 09-35450 (714) 573-1965 01/28/2010 02:00 pm $508,000.00 05/16/2005 Notice of Trustee Sale Wells Fargo Home Mortgage (866) 234-8271 20060924372 07/11/2006 $552,000.00 $353,100.00 20090996641 Recontrust 09-0159710 (800) 281-8219 02/01/2010 12:00 pm $225,000.00 12/06/2007 Notice of Trustee Sale Bb&t Mortgage (800) 295-5744 $225,000.00 $174,200.00 20090992950 Aztec Foreclosure 09-018816 (602) 222-5711 01/26/2010 11:00 am $89,900.00 03/06/2002 Notice of Trustee Sale Aurora Loan Services (720) 945-3000 03/04/2002 $85,405.00 $119,200.00 20090997173 Quality Loan Service Az-09-322876-cl (714) 573-1965 01/27/2010 12:00 pm $270,489.00 06/23/1995 Notice of Trustee Sale Wachovia Corporation (800) 922-4684 12/20/2002 $78,000.00 $419,800.00 20090996609 Mtc Financial Azo859756 01/28/2010 12:00 pm $230,000.00 02/02/2007 Notice of Trustee Sale Hsbc Bank (800) 975-4722 $184,000.00 $169,300.00 20090992948 Aztec Foreclosure 09-016673 (602) 222-5711 01/26/2010 11:00 am $169,585.00 12/19/2005 Notice of Trustee Sale Wachovia Corporation (800) 922-4684 $25,100.00 $165,000.00 20090994250 Cal Western Reconveyance 1247467-02 (800) 546-1531 01/28/2010 02:00 pm $850,000.00 03/17/2004 Notice of Trustee Sale 20080188078 03/03/2008 $942,500.00 $892,100.00 20090996932 Recontrust (800) 281-8219 02/01/2010 12:00 pm $48,950.00 02/18/1994 Notice of Trustee Sale Citimortgage, Inc (800) 695-0935 $101,650.00 $123,258.00 20090997910 Michael A Bosco Jr 09-26699 (602) 255-6000 01/27/2010 10:00 am $283,000.00 06/15/2004 Notice of Trustee Sale Bank United $348,000.00 $288,700.00 20090997875 Michael A Bosco Jr 09-23282 (602) 255-6000 01/27/2010 10:00 am $295,000.00 05/05/2006 Notice of Trustee Sale Bayview Loan Servicing, Llc (800) 457-5105 04/11/2006 $236,000.00 $190,700.00 20090995326 Cr Title Service To9-55806-az (714) 573-1965 02/03/2010 12:00 pm $280,217.00 05/27/2005 Notice of Trustee Sale Bank Of America (800) 285-6000 20050712129 05/27/2005 $225,000.00 $266,500.00 20090996975 Recontrust (800) 281-8219 02/01/2010 12:00 pm $139,500.00 03/27/2002 Notice of Trustee Sale Chase Home Finance Llc (888) 332-3251 $784,000.00 $1,154,000.00 20090995019 First American Title 20099073502586 (702) 304-7514 01/28/2010 02:00 pm $248,070.00 06/23/2005 Notice of Trustee Sale Chase Home Finance Llc (888) 332-3251 $198,456.00 $15,770.00 20090996361 Michael A Bosco Jr 09-26550 (602) 255-6000 01/27/2010 10:00 am $60,000.00 07/17/2001 Notice of Trustee Sale Accredited Home Lenders (866) 521-4815 $100,000.00 $97,500.00 20090995357 Quality Loan Service Az-sls-090122 (714) 573-1965 01/28/2010 12:00 pm $100,000.00 08/10/2007 Notice of Trustee Sale Mers (800) 646-6377 2007 08/08/2007 $100,000.00 $82,000.00 20090996915 Security Title Agency (602) 266-0275 02/04/2010 12:00 pm $132,000.00 04/27/2004 Notice of Trustee Sale Bank Of America (800) 285-6000 20040451403 04/27/2004 $130,161.00 $151,600.00 20090996815 Recontrust (800) 281-8219 01/28/2010 02:00 pm $178,000.00 11/14/2005 Notice of Trustee Sale Bank Of America (800) 285-6000 $165,000.00 $151,100.00 20090998172 Northwest Trustee Service 7530 (714) 277-4888 01/29/2010 02:00 pm $163,279.00 02/29/2008 Notice of Trustee Sale Bank Of America (800) 285-6000 20080184447 02/29/2008 $160,755.00 $9,200.00 20090996837 Recontrust 09-0158356 (800) 281-8219 02/01/2010 12:00 pm $91,200.00 10/26/1999 Notice of Trustee Sale Mers (800) 646-6377 2005 09/29/2005 $127,500.00 $138,300.00 20090996844 Security Title Agency (602) 266-0275 02/08/2010 12:00 pm $75,000.00 12/19/2003 Notice of Trustee Sale $150,000.00 $159,100.00 20090992954 Aztec Foreclosure 09-018694 (602) 222-5711 01/26/2010 11:00 am $270,090.00 04/22/2004 Notice of Trustee Sale Deutsche Bank (212) 250-2500 20090946799 06/29/2005 $180,000.00 $342,800.00 20090994658 Quality Loan Service Az-09-316337-tc (714) 573-1965 01/26/2010 12:00 pm $500,900.00 07/12/2006 Notice of Trustee Sale Chase Home Finance Llc (888) 332-3251 $400,720.00 $314,100.00 20090996387 Michael A Bosco Jr 09-26597 (602) 255-6000 01/27/2010 10:00 am $128,090.00 08/30/2002 Notice of Trustee Sale American Home Mortgage (877) 304-3100 12/08/2005 $196,000.00 $167,700.00 20090995762 Quality Loan Service Az-09-322706-bl (714) 573-1965 01/28/2010 02:00 pm $68,000.00 11/25/1992 Notice of Trustee Sale $200,000.00 $194,500.00 20090992943 Aztec Foreclosure 09-018828 (602) 222-5711 01/26/2010 11:00 am Page 33
  • 34.
    Pre-foreclosure List Maricopa County Week Ending 11/2 $270,000.00 10/28/2004 Notice of Trustee Sale Downey Savings And Loan $267,000.00 $271,100.00 20090997917 Michael A Bosco Jr 09-26559 (602) 255-6000 01/27/2010 10:00 am $223,500.00 07/25/2007 Notice of Trustee Sale Chase Home Finance Llc (888) 332-3251 $212,325.00 $163,600.00 20090996384 Michael A Bosco Jr 09-26574 (602) 255-6000 01/27/2010 10:00 am $174,023.00 06/13/2008 Notice of Trustee Sale Bank Of America (800) 285-6000 $171,334.00 $31,000.00 20090998184 Northwest Trustee Service 7662 (714) 277-4888 01/29/2010 02:00 pm $176,109.00 03/10/2003 Notice of Trustee Sale 09/29/2005 $284,000.00 $14,120.00 20090994669 Quality Loan Service Az-09-321264-tc (714) 573-1965 01/27/2010 12:00 pm $132,500.00 03/10/2004 Notice of Trustee Sale Hsbc Bank (800) 975-4722 $212,000.00 $165,600.00 20090992952 Aztec Foreclosure 09-017084 (602) 222-5711 01/26/2010 11:00 am 03/15/1995 Notice of Trustee Sale Bayview Loan Servicing, Llc (800) 457-5105 $68,354.00 $10,830.00 20090997973 Aztec Foreclosure 09-018618 (602) 222-5711 01/27/2010 11:00 am $64,000.00 03/28/1997 Notice of Trustee Sale Bank United $152,000.00 $111,300.00 20090997881 Michael A Bosco Jr 09-24404 (602) 255-6000 01/27/2010 10:00 am $800,000.00 12/14/2006 Notice of Trustee Sale Bank Of America (800) 285-6000 20061634134 12/14/2006 $640,000.00 $337,600.00 20090996958 Recontrust (800) 281-8219 02/01/2010 12:00 pm $60,000.00 08/26/2003 Notice of Trustee Sale $96,000.00 $5,600.00 20090992921 Aztec Foreclosure 09-018831 (602) 222-5711 01/26/2010 11:00 am 02/26/2007 Notice of Trustee Sale U.s. Bancorp (800) 365-7772 $201,000.00 $116,431.00 20090992937 Aztec Foreclosure 09-016283 (602) 222-5711 01/26/2012 11:00 am $231,213.00 03/02/2004 Notice of Trustee Sale Mers (800) 646-6377 2005 09/06/2005 $269,750.00 $152,100.00 20090997100 Security Title Agency (602) 266-0275 02/05/2010 12:00 pm $486,224.00 10/02/2006 Notice of Trustee Sale Chase Home Finance Llc (888) 332-3251 $388,979.00 $372,300.00 20090996364 Michael A Bosco Jr 09-26546 (602) 255-6000 01/27/2010 10:00 am $179,900.00 01/03/2006 Notice of Trustee Sale Citimortgage, Inc (800) 695-0935 12/26/2005 $129,900.00 $123,500.00 20090995356 Cr Title Service To9-55786-az (714) 573-1965 01/28/2010 02:00 pm $343,000.00 08/10/2006 Notice of Trustee Sale Bank Of America (800) 285-6000 2008 06/23/2008 $260,347.00 $233,000.00 20090996806 Recontrust (800) 281-8219 02/01/2010 12:00 pm $329,000.00 11/09/2004 Notice of Trustee Sale Bank Of America (800) 285-6000 20060725763 05/30/2006 $833,070.00 $57,550.00 20090997019 Recontrust (800) 281-8219 02/01/2010 12:00 pm $233,687.00 08/12/2005 Notice of Trustee Sale Suntrust Mortgage Inc (800) 786-8787 $240,000.00 $13,100.00 20090996978 Aztec Foreclosure 09-018680 (602) 222-5711 01/27/2010 11:00 am $181,000.00 12/15/2003 Notice of Trustee Sale Citimortgage, Inc (800) 695-0935 10/25/2006 $293,250.00 $230,000.00 20090996066 Cr Title Service To9-55651-az (714) 573-1965 01/28/2010 02:00 pm $232,000.00 03/23/2007 Notice of Trustee Sale Aurora Loan Services (720) 945-3000 03/19/2007 $208,800.00 $168,300.00 20090997752 Quality Loan Service Az-09-322941-cl (714) 573-1965 01/27/2010 12:00 pm $230,000.00 06/28/2004 Notice of Trustee Sale Provident Funding (800) 696-8199 $273,600.00 $274,700.00 20090997196 Jason Cotton Pa 7092506 01/27/2010 12:00 pm $82,000.00 05/04/1990 Notice of Trustee Sale Bayview Loan Servicing, Llc (800) 457-5105 $208,890.00 $148,500.00 20090998008 Aztec Foreclosure 09-018616 (602) 222-5711 01/27/2010 11:00 am $233,000.00 04/19/2007 Notice of Trustee Sale Hsbc Bank (800) 975-4722 $221,350.00 $186,100.00 20090992960 Aztec Foreclosure 09-016510 (602) 222-5711 01/26/2010 11:00 am $139,000.00 06/28/2005 Notice of Trustee Sale Aurora Loan Services (720) 945-3000 07/27/2007 $149,000.00 $123,200.00 20090997206 Quality Loan Service Az-09-322949-cl (714) 573-1965 01/27/2010 12:00 pm $95,900.00 01/03/2005 Notice of Trustee Sale Mers (800) 646-6377 2006 07/28/2006 $150,000.00 $116,000.00 20090997015 Security Title Agency (602) 266-0275 02/05/2010 12:00 pm $90,000.00 09/30/1996 Notice of Trustee Sale Chase Home Finance Llc (888) 332-3251 $165,000.00 $161,000.00 20090996335 Michael A Bosco Jr 09-26491 (602) 255-6000 01/27/2010 10:00 am $139,000.00 11/29/2006 Notice of Trustee Sale Chase Home Finance Llc (888) 332-3251 $139,000.00 $7,050.00 20090996458 Michael A Bosco Jr 09-26713 (602) 255-6000 01/27/2010 10:00 am $281,000.00 07/27/2005 Notice of Trustee Sale Americas Servicing Company $224,800.00 $185,000.00 20090996470 Michael A Bosco Jr 09-49059 (602) 255-6000 01/27/2010 10:00 am $175,000.00 10/20/2005 Notice of Trustee Sale Mers (800) 646-6377 2005 10/19/2005 $166,250.00 $134,000.00 20090996856 Security Title Agency (602) 266-0275 02/08/2010 12:00 pm 03/02/2009 Notice of Trustee Sale Bank Of America (800) 285-6000 2006 04/20/2006 $405,322.00 $23,700.00 20090996624 Recontrust (800) 281-8219 01/28/2010 02:00 pm $610,028.00 10/28/2008 Notice of Trustee Sale Bank Of America (800) 285-6000 10/28/2008 $457,500.00 $7,000.00 20090997041 Recontrust (800) 281-8219 02/01/2010 12:00 pm $159,900.00 12/03/2004 Notice of Trustee Sale Chase Home Finance Llc (888) 332-3251 $194,500.00 $172,000.00 20090995015 First American Title 20099019204343 (702) 304-7514 01/28/2010 02:00 pm $215,990.00 09/23/2008 Notice of Trustee Sale Bank Of America (800) 285-6000 20080698515 08/11/2008 $212,642.00 $43,500.00 20090996779 Recontrust (800) 281-8219 01/28/2010 12:00 pm $240,000.00 01/22/2007 Notice of Trustee Sale Bank Of America (800) 285-6000 $200,000.00 $169,100.00 20090997233 Michael A Bosco Jr 09-26013 (602) 255-6000 01/27/2010 10:00 am $136,000.00 11/01/2006 Notice of Trustee Sale Bank Of America (800) 285-6000 $108,800.00 $99,000.00 20090996216 Northwest Trustee Service 7662 (714) 277-4888 01/28/2010 02:00 pm $113,600.00 10/25/2001 Notice of Trustee Sale $188,000.00 $138,000.00 20090992945 Aztec Foreclosure 09-018689 (602) 222-5711 01/26/2010 11:00 am $357,776.00 03/07/2005 Notice of Trustee Sale Bank Of America (800) 285-6000 20050274936 03/07/2005 $286,220.00 $278,200.00 20090997010 Recontrust (800) 281-8219 02/01/2010 12:00 pm $125,000.00 08/01/2002 Notice of Trustee Sale $175,500.00 $151,000.00 20090996141 Empire West Title Agency (602) 749-7000 01/29/2010 10:00 am $412,874.00 12/21/2004 Notice of Trustee Sale Phh Mortgage (800) 210-8849 $369,600.00 $330,600.00 20090992929 Aztec Foreclosure 09-018575 (602) 222-5711 01/26/2010 11:00 am $255,000.00 06/22/2005 Notice of Trustee Sale Carrington Mortgage Services (714) 969-7600 $204,000.00 $159,300.00 20090996350 Old Republic Nat'l Title Insurance C 09-35428 (714) 573-1965 01/28/2010 02:00 pm $93,000.00 02/21/2002 Notice of Trustee Sale Mers (800) 646-6377 01/25/2007 $167,500.00 $131,200.00 20090995979 Quality Loan Service Az-09-321717-rm (714) 573-1965 01/28/2010 02:00 pm $289,633.00 01/13/2006 Notice of Trustee Sale Chase Home Finance Llc (888) 332-3251 $289,633.00 $186,200.00 20090996339 Michael A Bosco Jr 09-26496 (602) 255-6000 01/27/2010 10:00 am $608,222.00 03/30/2005 Notice of Trustee Sale Citimortgage, Inc (800) 695-0935 06/26/2006 $731,250.00 $577,200.00 20090996610 Mtc Financial Azo859754 01/28/2010 12:00 pm $207,458.00 03/31/2006 Notice of Trustee Sale Aurora Loan Services (720) 945-3000 $25,030,000.00 $12,870.00 20090993958 Cal Western Reconveyance 1246304-14 (800) 546-1531 01/28/2010 02:00 pm 04/17/1991 Notice of Trustee Sale Household Financial Group (800) 340-7866 $54,947.00 $51,000.00 20090992935 Aztec Foreclosure 09-018485 (602) 222-5711 01/26/2010 11:00 am $284,995.00 10/27/2005 Notice of Trustee Sale Bank United $280,000.00 $195,000.00 20090997883 Michael A Bosco Jr 09-24407 (602) 255-6000 01/27/2010 10:00 am $520,000.00 11/22/2006 Notice of Trustee Sale Mers (800) 646-6377 2006 11/17/2006 $416,000.00 $342,600.00 20090997139 Security Title Agency (602) 266-0275 02/03/2010 12:00 pm $380,000.00 07/12/2007 Notice of Trustee Sale Mers (800) 646-6377 2007 07/11/2007 $380,000.00 $237,500.00 20090997152 Security Title Agency (602) 266-0275 02/03/2010 12:00 pm 08/20/1999 Notice of Trustee Sale The Bank Of New York Mellon (212) 495-1784 $105,000.00 $32,833.00 20090992968 Aztec Foreclosure 09-016522 (602) 222-5711 01/26/2010 11:00 am $97,700.00 01/24/2001 Notice of Trustee Sale Wells Fargo Home Mortgage (866) 234-8271 12/13/2006 $199,000.00 $163,200.00 20090994693 Quality Loan Service Az-09-322431-rm (714) 573-1965 01/27/2010 12:00 pm $49,900.00 09/11/2006 Notice of Trustee Sale Bank Of America (800) 285-6000 20070605528 05/24/2007 $109,375.00 $118,600.00 20090997029 Recontrust (800) 281-8219 02/01/2010 12:00 pm $69,900.00 08/10/1993 Notice of Trustee Sale Mers (800) 646-6377 2005 07/11/2005 $145,000.00 $162,200.00 20090997472 Security Title Agency (602) 266-0275 02/04/2010 12:00 pm $256,000.00 11/30/1988 Notice of Trustee Sale Deutsche Bank (212) 250-2500 03/08/2007 $882,000.00 $852,500.00 20090994665 Quality Loan Service Az-09-321091-tc (714) 573-1965 01/27/2010 12:00 pm $242,060.00 06/09/2003 Notice of Trustee Sale Bank Of America (800) 285-6000 $345,000.00 $297,300.00 20090997245 Michael A Bosco Jr 09-26670 (602) 255-6000 01/27/2010 10:00 am $165,000.00 06/22/2006 Notice of Trustee Sale Aurora Loan Services (720) 945-3000 06/15/2006 $132,000.00 $131,300.00 20090997171 Quality Loan Service Az-09-322883-cl (714) 573-1965 01/27/2010 12:00 pm $1,300,000.00 05/26/2006 Notice of Trustee Sale Bank Of America (800) 285-6000 $1,040,000.00 $921,500.00 20090996240 Northwest Trustee Service 7662 (714) 277-4888 01/28/2010 02:00 pm $199,000.00 03/26/2007 Notice of Trustee Sale Aurora Loan Services (720) 945-3000 $159,200.00 $153,800.00 20090997102 Cal Western Reconveyance 1246199-14 (800) 546-1531 01/28/2010 02:00 pm $232,000.00 01/27/2006 Notice of Trustee Sale Mers (800) 646-6377 2006 01/10/2006 $185,600.00 $167,200.00 20090996945 Security Title Agency (602) 266-0275 02/04/2010 12:00 pm $143,500.00 03/03/2004 Notice of Trustee Sale Mers (800) 646-6377 2005 12/08/2005 $196,800.00 $183,500.00 20090996955 Security Title Agency (602) 266-0275 02/05/2010 12:00 pm Page 34
  • 35.
    Pre-foreclosure List Maricopa County Week Ending 11/2 $296,000.00 09/02/2005 Notice of Trustee Sale Wells Fargo Home Mortgage (866) 234-8271 $236,800.00 $208,500.00 20090995010 First American Title 20099070821447 (702) 304-7514 01/28/2010 02:00 pm $133,000.00 03/30/2000 Notice of Trustee Sale Downey Savings And Loan $202,500.00 $202,200.00 20090997919 Michael A Bosco Jr 09-26560 (602) 255-6000 01/27/2010 10:00 am $126,500.00 04/23/2004 Notice of Trustee Sale Wachovia Corporation (800) 922-4684 10/30/2006 $180,000.00 $147,600.00 20090996611 Mtc Financial Azo859757 01/28/2010 12:00 pm $95,000.00 05/27/1999 Notice of Trustee Sale Citimortgage, Inc (800) 695-0935 01/07/2008 $182,000.00 $166,000.00 20090996070 Cr Title Service To9-55662-az (714) 573-1965 01/28/2010 02:00 pm $88,000.00 05/21/1999 Notice of Trustee Sale Wells Fargo Home Mortgage (866) 234-8271 $121,500.00 $190,200.00 20090996352 Old Republic Nat'l Title Insurance C 09-35440 (714) 573-1965 01/28/2010 02:00 pm $306,000.00 07/18/2007 Notice of Trustee Sale Chase Home Finance Llc (888) 332-3251 $306,000.00 $224,100.00 20090996428 Michael A Bosco Jr 09-26685 (602) 255-6000 01/27/2010 10:00 am $155,000.00 06/15/2007 Notice of Trustee Sale U.s. Bancorp (800) 365-7772 $152,840.00 $69,325.00 20090997931 Michael A Bosco Jr 09-26600 (602) 255-6000 01/27/2010 10:00 am $500,000.00 02/07/2008 Notice of Trustee Sale Hsbc Bank (800) 975-4722 $417,000.00 $391,100.00 20090997241 Michael A Bosco Jr 09-26668 (602) 255-6000 01/27/2010 10:00 am $548,067.00 10/28/2005 Notice of Trustee Sale Wells Fargo Home Mortgage (866) 234-8271 $438,450.00 $419,600.00 20090995028 First American Title 20099070821478 (702) 304-7514 01/28/2010 02:00 pm $760,000.00 07/18/2007 Notice of Trustee Sale Washington Mutual 07/18/2007 $608,000.00 $421,500.00 20090997180 California Reconveyance 137817az (714) 573-1965 01/28/2010 02:00 pm $729,000.00 08/04/2006 Notice of Trustee Sale Bank Of America (800) 285-6000 08/04/2006 $583,200.00 $404,500.00 20090997200 California Reconveyance 137831az (714) 573-1965 01/28/2010 02:00 pm $236,590.00 06/28/2006 Notice of Trustee Sale Hsbc Bank (800) 975-4722 06/27/2006 $188,800.00 $166,000.00 20090997251 Quality Loan Service Az-09-322793-pj (714) 573-1965 01/27/2010 12:00 pm $252,500.00 05/17/2004 Notice of Trustee Sale Bank Of America (800) 285-6000 20050322290 03/16/2005 $254,400.00 $257,700.00 20090996621 Recontrust (800) 281-8219 01/28/2010 02:00 pm 07/28/2005 Notice of Trustee Sale American General Home Equity $115,109.00 $227,500.00 20090995209 Quality Loan Service (714) 573-1965 01/28/2010 02:00 pm $575,000.00 05/11/2006 Notice of Trustee Sale Bank United $194,500.00 $373,200.00 20090997885 Michael A Bosco Jr 09-26426 (602) 255-6000 01/27/2010 10:00 am $53,000.00 03/27/1979 Notice of Trustee Sale 01/14/2009 $217,375.00 $189,800.00 20090994685 Quality Loan Service Az-09-322245-cl (714) 573-1965 01/28/2010 02:00 pm $242,597.00 08/11/2005 Notice of Trustee Sale Washington Mutual 08/04/2005 $194,078.00 $185,700.00 20090994675 Quality Loan Service Az-09-321954-rm (714) 573-1965 01/27/2010 12:00 pm $184,360.00 11/18/1999 Notice of Trustee Sale Mers (800) 646-6377 2006 06/23/2006 $286,000.00 $176,300.00 20090997000 Security Title Agency (602) 266-0275 02/05/2010 12:00 pm $127,500.00 01/14/2009 Notice of Trustee Sale Bank Of America (800) 285-6000 20090263549 03/25/2009 $127,412.00 $118,600.00 20090996618 Recontrust (800) 281-8219 02/01/2010 12:00 pm $480,000.00 08/29/2002 Notice of Trustee Sale Aurora Loan Services (720) 945-3000 $496,600.00 $581,000.00 20090993963 Cal Western Reconveyance 1246468-14 (800) 546-1531 01/28/2010 02:00 pm $82,000.00 06/05/2001 Notice of Trustee Sale Americas Servicing Company $171,000.00 $129,800.00 20090996484 Michael A Bosco Jr 09-49061 (602) 255-6000 01/27/2010 10:00 am $400,467.00 06/30/2006 Notice of Trustee Sale Chase Home Finance Llc (888) 332-3251 $320,350.00 $278,700.00 20090996414 Michael A Bosco Jr 09-26638 (602) 255-6000 01/27/2010 10:00 am 05/07/2008 Notice of Trustee Sale Bank Of America (800) 285-6000 $429,250.00 $78,800.00 20090998129 Northwest Trustee Service 7530 (714) 277-4888 01/29/2010 02:00 pm $206,181.00 04/02/2004 Notice of Trustee Sale Mers (800) 646-6377 2005 07/19/2005 $208,000.00 $207,500.00 20090997082 Security Title Agency (602) 266-0275 02/04/2010 12:00 pm $500,000.00 11/29/2004 Notice of Trustee Sale $400,000.00 $552,800.00 20090998203 Northwest Trustee Service 7680 (714) 277-4888 01/29/2010 02:00 pm $188,000.00 02/02/2007 Notice of Trustee Sale Chase Home Finance Llc (888) 332-3251 $188,000.00 $130,700.00 20090996452 Michael A Bosco Jr 09-26718 (602) 255-6000 01/27/2010 10:00 am $68,500.00 07/15/2004 Notice of Trustee Sale Aurora Loan Services (720) 945-3000 05/06/2005 $80,500.00 $123,000.00 20090997274 Quality Loan Service Az-09-322914-cl (714) 573-1965 01/27/2010 12:00 pm $299,783.00 04/24/2007 Notice of Trustee Sale American Home Mortgage (877) 304-3100 04/11/2007 $239,826.00 $231,000.00 20090997202 Quality Loan Service Az-09-322868-bl (714) 573-1965 01/28/2010 02:00 pm $168,000.00 10/14/2003 Notice of Trustee Sale Citimortgage, Inc (800) 695-0935 $283,500.00 $196,100.00 20090997912 Michael A Bosco Jr 09-26715 (602) 255-6000 01/27/2010 10:00 am $116,600.00 12/30/1999 Notice of Trustee Sale Midfirst Bank (800) 877-1674 05/10/2007 $267,097.00 $184,000.00 20090995981 Quality Loan Service Az-09-322604-ab (714) 573-1965 01/28/2010 12:00 pm $225,542.00 06/13/2005 Notice of Trustee Sale Mers (800) 646-6377 2005 06/08/2005 $202,987.00 $16,750.00 20090996825 Security Title Agency (602) 266-0275 02/08/2010 12:00 pm $96,000.00 09/27/2005 Notice of Trustee Sale The Bank Of New York Mellon (212) 495-1784 2007 $128,000.00 $98,500.00 20090997578 Security Title Agency 14-89300 (602) 266-0275 01/27/2010 10:30 am $129,411.00 01/31/2000 Notice of Trustee Sale Chase Home Finance Llc (888) 332-3251 $195,000.00 $15,370.00 20090996444 Michael A Bosco Jr 09-26711 (602) 255-6000 01/27/2010 10:00 am $160,000.00 11/15/2005 Notice of Trustee Sale 03/06/2007 $280,000.00 $281,500.00 20090994671 Quality Loan Service Az-09-321268-tc (714) 573-1965 01/27/2010 12:00 pm $55,000.00 12/01/1998 Notice of Trustee Sale Select Portfolio Servicing Inc (904) 722-7000 $160,000.00 $129,300.00 20090997266 Michael A Bosco Jr 09-26443 (602) 255-6000 01/27/2010 10:00 am 06/06/2008 Notice of Trustee Sale Bayview Loan Servicing, Llc (800) 457-5105 $465,000.00 $54,812.00 20090997826 Aztec Foreclosure 09-018598 (602) 222-5711 01/27/2010 11:00 am $294,012.00 10/05/2005 Notice of Trustee Sale Bank Of America (800) 285-6000 $249,910.00 $153,800.00 20090992939 Aztec Foreclosure 09-017269 (602) 222-5711 01/26/2010 11:00 am $208,321.00 12/29/2005 Notice of Trustee Sale Chase Home Finance Llc (888) 332-3251 $166,656.00 $124,600.00 20090996408 Michael A Bosco Jr 09-26599 (602) 255-6000 01/27/2010 10:00 am 01/11/2007 Notice of Trustee Sale Bank Of America (800) 285-6000 $315,343.00 $31,520.00 20090996237 Northwest Trustee Service 7530 (714) 277-4888 01/28/2010 02:00 pm 12/29/2006 Notice of Trustee Sale Deutsche Bank (212) 250-2500 $263,500.00 $269,300.00 20090997239 Michael A Bosco Jr 09-26195 (602) 255-6000 01/27/2010 10:00 am $230,000.00 03/09/2006 Notice of Trustee Sale Mers (800) 646-6377 2006 03/06/2006 $184,000.00 $159,100.00 20090996972 Security Title Agency (602) 266-0275 02/05/2010 12:00 pm $345,000.00 08/23/2005 Notice of Trustee Sale U.s. Bancorp (800) 365-7772 20051215717 08/23/2005 $224,250.00 $244,200.00 20090996990 Recontrust (800) 281-8219 02/01/2010 12:00 pm $690,000.00 01/04/2007 Notice of Trustee Sale Hsbc Bank (800) 975-4722 20070017714 01/04/2007 $552,000.00 $491,000.00 20090996953 Recontrust 09-0159685 (800) 281-8219 02/01/2010 12:00 pm $1,250,000.00 06/15/2006 Notice of Trustee Sale Midfirst Bank (800) 877-1674 $1,390,500.00 $945,700.00 20090995481 Quality Loan Service (714) 573-1965 01/28/2010 10:00 am $135,000.00 01/11/2005 Notice of Trustee Sale Metlife Home Loans 20050041699 01/04/2005 $121,500.00 $121,100.00 20090995619 Lawyers Title Insurance 057-009955 (714) 573-1965 01/28/2010 02:00 pm $279,990.00 12/27/2006 Notice of Trustee Sale Bayview Loan Servicing, Llc (800) 457-5105 12/20/2006 $223,992.00 $213,100.00 20090995297 Cr Title Service To9-55807-az (714) 573-1965 02/03/2010 12:00 pm $300,000.00 03/01/2005 Notice of Trustee Sale Mers (800) 646-6377 2005 02/25/2005 $285,000.00 $256,000.00 20090997067 Security Title Agency (602) 266-0275 02/04/2010 12:00 pm $103,500.00 12/31/2002 Notice of Trustee Sale Bank Of America (800) 285-6000 20061513090 11/17/2006 $157,500.00 $127,000.00 20090996925 Recontrust (800) 281-8219 01/28/2010 02:00 pm $147,500.00 04/28/2004 Notice of Trustee Sale Aurora Loan Services (720) 945-3000 $118,000.00 $10,170.00 20090993956 Cal Western Reconveyance 3246294-14 (800) 546-1531 01/28/2010 02:00 pm $343,650.00 02/28/2005 Notice of Trustee Sale Citimortgage, Inc (800) 695-0935 04/07/2006 $352,500.00 $277,700.00 20090997871 Michael A Bosco Jr 09-26434 (602) 255-6000 01/27/2010 10:00 am $282,000.00 06/22/2007 Notice of Trustee Sale Emc Mortgage Corporation (800) 723-3004 08/03/2007 $253,800.00 $190,000.00 20090994691 Quality Loan Service Az-09-322462-rm (714) 573-1965 01/27/2010 12:00 pm $167,500.00 10/27/1998 Notice of Trustee Sale Americas Servicing Company $416,000.00 $385,000.00 20090996493 Michael A Bosco Jr 09-49073 (602) 255-6000 01/27/2010 10:00 am $268,000.00 02/27/2007 Notice of Trustee Sale Bank Of America (800) 285-6000 $214,400.00 $195,800.00 20090996220 Northwest Trustee Service 7662 (714) 277-4888 01/28/2010 02:00 pm $235,990.00 09/19/2005 Notice of Trustee Sale Mers (800) 646-6377 2006 02/16/2006 $254,125.00 $130,700.00 20090996970 Security Title Agency (602) 266-0275 02/05/2010 12:00 pm $199,900.00 12/22/2006 Notice of Trustee Sale Hsbc Bank (800) 975-4722 $159,920.00 $149,600.00 20090992970 Aztec Foreclosure 09-016539 (602) 222-5711 01/26/2010 11:00 am $400,927.00 10/01/2004 Notice of Trustee Sale The Bank Of New York Mellon (212) 495-1784 20051466992 10/03/2005 $488,000.00 $410,300.00 20090996700 Recontrust (800) 281-8219 01/28/2010 02:00 pm $233,168.00 08/24/2007 Notice of Trustee Sale Wells Fargo Home Mortgage (866) 234-8271 $186,534.00 $175,700.00 20090995000 First American Title 20099070821446 (702) 304-7514 01/28/2010 02:00 pm Page 35
  • 36.
    Pre-foreclosure List Maricopa County Week Ending 11/2 $117,500.00 02/22/2002 Notice of Trustee Sale $169,500.00 $161,800.00 20090996349 Old Republic Nat'l Title Insurance C 09-35447 (714) 573-1965 01/28/2010 02:00 pm $401,845.00 10/28/2005 Notice of Trustee Sale Chase Home Finance Llc (888) 332-3251 $328,650.00 $339,500.00 20090996478 Michael A Bosco Jr 09-26795 (602) 255-6000 01/27/2010 10:00 am $270,030.00 04/28/2008 Notice of Trustee Sale Bank Of America (800) 285-6000 20080371267 04/28/2008 $265,857.00 $47,000.00 20090996834 Recontrust (800) 281-8219 02/01/2010 12:00 pm $219,000.00 12/19/2002 Notice of Trustee Sale Bank Of America (800) 285-6000 $50,000.00 $310,600.00 20090994300 Christopher Charles Rebhuhn 03-sf-86003 01/28/2010 02:00 pm $124,900.00 12/17/2003 Notice of Trustee Sale National City Mortgage (800) 822-5626 $176,400.00 $163,000.00 20090997235 Michael A Bosco Jr 09-13857 (602) 255-6000 01/27/2010 10:00 am $203,000.00 05/15/2007 Notice of Trustee Sale Chase Home Finance Llc (888) 332-3251 $203,000.00 $134,500.00 20090996390 Michael A Bosco Jr 09-26590 (602) 255-6000 01/27/2010 10:00 am $270,000.00 01/06/2006 Notice of Trustee Sale Wells Fargo Home Mortgage (866) 234-8271 $216,000.00 $190,500.00 20090995023 First American Title 20099070821471 (702) 304-7514 01/28/2010 02:00 pm $250,000.00 12/15/2005 Notice of Trustee Sale Bank Of America (800) 285-6000 2005 12/15/2005 $175,000.00 $159,100.00 20090997013 Recontrust 09-0159707 (800) 281-8219 02/01/2010 12:00 pm $264,900.00 07/05/2006 Notice of Trustee Sale Aurora Loan Services (720) 945-3000 06/28/2006 $211,920.00 $181,100.00 20090997175 Quality Loan Service Az-09-322886-cl (714) 573-1965 01/27/2010 12:00 pm 08/31/2006 Notice of Trustee Sale Zions First National Bank (435) 687-5693 $500,000.00 $146,265.00 20090994165 Quality Loan Service (714) 573-1965 01/28/2010 02:00 pm 08/16/2007 Notice of Trustee Sale Wells Fargo Home Mortgage (866) 234-8271 $363,250,000.00 $2,009,637.00 20090994810 Quality Loan Service 2310- (714) 573-1965 01/27/2010 12:00 pm $280,000.00 07/26/2005 Notice of Trustee Sale Mers (800) 646-6377 2005 12/13/2005 $215,000.00 $16,750.00 20090997125 Security Title Agency (602) 266-0275 02/05/2010 12:00 pm $300,053.00 05/04/2005 Notice of Trustee Sale Bank Of America (800) 285-6000 20050585615 05/04/2005 $240,042.00 $206,600.00 20090996982 Recontrust 09-0159694 (800) 281-8219 02/01/2010 12:00 pm $60,474.00 09/28/1995 Notice of Trustee Sale Mers (800) 646-6377 2005 07/26/2005 $108,000.00 $120,800.00 20090996916 Security Title Agency (602) 266-0275 02/04/2010 12:00 pm $160,000.00 07/26/2004 Notice of Trustee Sale Wells Fargo Home Mortgage (866) 234-8271 $244,000.00 $114,800.00 20090996345 Old Republic Nat'l Title Insurance C 09-35427 (714) 573-1965 01/28/2010 02:00 pm $108,060.00 12/19/2002 Notice of Trustee Sale Downey Savings And Loan $208,000.00 $129,100.00 20090997950 Michael A Bosco Jr (602) 255-6000 01/27/2010 10:00 am $104,400.00 06/17/2004 Notice of Trustee Sale Wachovia Corporation (800) 922-4684 10/11/2006 $136,500.00 $90,600.00 20090996651 Mtc Financial Azo849717 01/28/2010 12:00 pm $153,418.00 03/31/2005 Notice of Trustee Sale Provident Funding (800) 696-8199 $179,000.00 $91,500.00 20090997188 Jason Cotton Pa 7092507 01/27/2010 12:00 pm $121,900.00 01/02/2001 Notice of Trustee Sale Midfirst Bank (800) 877-1674 20080936556 04/19/2007 $266,872.00 $248,300.00 20090996061 Quality Loan Service Az-09-322605-ab (714) 573-1965 01/28/2010 12:00 pm $427,517.00 03/14/2006 Notice of Trustee Sale Residential Funding Company, Llc (952) 832-7000 $342,000.00 $274,000.00 20090996643 Aztec Foreclosure 09-018468 (602) 222-5711 01/27/2010 11:00 am $195,000.00 05/05/2008 Notice of Trustee Sale Bank Of America (800) 285-6000 20090096857 02/05/2009 $198,432.00 $199,100.00 20090996666 Recontrust (800) 281-8219 02/01/2010 12:00 pm $241,721.00 06/21/2006 Notice of Trustee Sale Washington Mutual 06/21/2006 $193,376.00 $179,500.00 20090996342 California Reconveyance 137825az (714) 573-1965 01/28/2010 02:00 pm $213,883.00 09/14/2005 Notice of Trustee Sale Chase Home Finance Llc (888) 332-3251 $200,000.00 $164,100.00 20090996358 Michael A Bosco Jr 09-26529 (602) 255-6000 01/27/2010 10:00 am $287,252.00 07/21/2005 Notice of Trustee Sale Chase Home Finance Llc (888) 332-3251 $229,800.00 $231,600.00 20090996442 Michael A Bosco Jr 09-26705 (602) 255-6000 01/27/2010 10:00 am $252,647.00 07/11/2006 Notice of Trustee Sale Phh Mortgage (800) 210-8849 $214,750.00 $165,500.00 20090992927 Aztec Foreclosure 09-018573 (602) 222-5711 01/26/2010 11:00 am $125,000.00 10/04/2005 Notice of Trustee Sale U.s. Bancorp (800) 365-7772 $123,892.00 $10,580.00 20090997925 Michael A Bosco Jr 09-26596 (602) 255-6000 01/27/2010 10:00 am $139,308.00 03/31/2004 Notice of Trustee Sale Suntrust Mortgage Inc (800) 786-8787 $160,600.00 $164,500.00 20090998029 Aztec Foreclosure 09-018681 (602) 222-5711 01/27/2010 11:00 am $133,260.00 12/18/2001 Notice of Trustee Sale Wells Fargo Home Mortgage (866) 234-8271 $156,800.00 $145,500.00 20090996491 Michael A Bosco Jr 09-49070 (602) 255-6000 01/27/2010 10:00 am $208,720.00 09/01/2006 Notice of Trustee Sale Aurora Loan Services (720) 945-3000 08/25/2006 $187,848.00 $142,300.00 20090997745 Quality Loan Service Az-09-322927-cl (714) 573-1965 01/27/2010 12:00 pm $85,000.00 12/23/1997 Notice of Trustee Sale $5.00 $150,700.00 20090998212 Aztec Foreclosure 1528451 (602) 222-5711 01/27/2010 11:00 am $310,000.00 07/13/2006 Notice of Trustee Sale 07/14/2007 $275,200.00 $190,300.00 20090994667 Quality Loan Service Az-09-321153-tc (714) 573-1965 01/27/2010 12:00 pm $168,000.00 03/15/2006 Notice of Trustee Sale Aurora Loan Services (720) 945-3000 03/13/2006 $134,400.00 $131,000.00 20090997750 Quality Loan Service Az-09-322924-cl (714) 573-1965 01/27/2010 12:00 pm $185,000.00 03/19/2007 Notice of Trustee Sale Washington Mutual 03/19/2007 $148,000.00 $169,700.00 20090997158 California Reconveyance 137814az (714) 573-1965 01/28/2010 02:00 pm $248,942.00 06/13/2005 Notice of Trustee Sale Deutsche Bank (212) 250-2500 $199,153.00 $135,100.00 20090992966 Aztec Foreclosure 09-016856 (602) 222-5711 01/26/2010 11:00 am $75,000.00 09/16/1996 Notice of Trustee Sale American Home Mortgage (877) 304-3100 04/13/2007 $120,000.00 $100,000.00 20090995770 Quality Loan Service Az-09-322771-bl (714) 573-1965 01/28/2010 02:00 pm $126,000.00 09/23/2004 Notice of Trustee Sale Saxon Mortgage Services (800) 594-8422 $146,300.00 $95,000.00 20090996348 Old Republic Nat'l Title Insurance C 09-35438 (714) 573-1965 01/28/2010 02:00 pm $260,000.00 06/29/2005 Notice of Trustee Sale Phh Mortgage (800) 210-8849 $223,781.00 $180,500.00 20090992931 Aztec Foreclosure 09-018643 (602) 222-5711 01/26/2010 11:00 am $165,000.00 06/18/2007 Notice of Trustee Sale Bank Of America (800) 285-6000 $132,000.00 $115,200.00 20090996218 Northwest Trustee Service 7662 (714) 277-4888 01/28/2010 02:00 pm $202,473.00 09/25/2006 Notice of Trustee Sale Citimortgage, Inc (800) 695-0935 09/11/2006 $192,349.00 $143,000.00 20090995446 Cr Title Service To9-55769-az (714) 573-1965 01/28/2010 02:00 pm $225,000.00 12/19/2005 Notice of Trustee Sale Mers (800) 646-6377 2005 12/16/2005 $180,000.00 $133,100.00 20090997128 Security Title Agency (602) 266-0275 02/05/2010 12:00 pm $305,000.00 03/15/2005 Notice of Trustee Sale Hsbc Bank (800) 975-4722 03/11/2005 $244,000.00 $226,600.00 20090994678 Quality Loan Service Az-09-322266-ab (714) 573-1965 01/27/2010 12:00 pm $212,000.00 12/11/2006 Notice of Trustee Sale Hsbc Bank (800) 975-4722 $169,600.00 $93,000.00 20090992962 Aztec Foreclosure 09-016503 (602) 222-5711 01/26/2010 11:00 am $1,150,000.00 04/18/2005 Notice of Trustee Sale Deutsche Bank (212) 250-2500 04/18/2005 $862,500.00 $799,300.00 20090997214 California Reconveyance 137828az (714) 573-1965 01/28/2010 02:00 pm $158,000.00 12/03/2004 Notice of Trustee Sale Washington Mutual 08/03/2007 $192,000.00 $193,100.00 20090997237 Security Title Agency Az-09-322720-pj (602) 266-0275 01/27/2010 12:00 pm $320,990.00 11/02/2005 Notice of Trustee Sale Chase Home Finance Llc (888) 332-3251 $290,000.00 $231,700.00 20090996434 Michael A Bosco Jr 09-26688 (602) 255-6000 01/27/2010 10:00 am $218,000.00 10/25/2005 Notice of Trustee Sale The Bank Of New York Mellon (212) 495-1784 20051606976 10/25/2005 $174,400.00 $133,300.00 20090996678 Recontrust (800) 281-8219 01/28/2010 02:00 pm $380,000.00 11/30/2006 Notice of Trustee Sale Downey Savings And Loan $342,000.00 $264,700.00 20090997979 Michael A Bosco Jr 09-26810 (602) 255-6000 01/27/2010 10:00 am $454,573.00 02/25/2008 Notice of Trustee Sale Mers (800) 646-6377 2008 02/21/2008 $409,115.00 $318,000.00 20090996848 Security Title Agency (602) 266-0275 02/05/2010 12:00 pm $213,500.00 11/21/2006 Notice of Trustee Sale Bank Of America (800) 285-6000 $170,800.00 $134,500.00 20090996222 Northwest Trustee Service 7662 (714) 277-4888 01/28/2010 02:00 pm $295,000.00 10/25/2005 Notice of Trustee Sale American Home Mortgage (877) 304-3100 04/25/2006 $300,000.00 $206,500.00 20090995764 Quality Loan Service Az-09-322707-bl (714) 573-1965 01/28/2010 02:00 pm $82,820.00 03/31/1986 Notice of Trustee Sale Aurora Loan Services (720) 945-3000 06/03/2005 $200,000.00 $193,500.00 20090998318 Quality Loan Service Az-09-322989-cl (714) 573-1965 01/28/2010 12:00 pm $112,500.00 03/30/2004 Notice of Trustee Sale Bank Of America (800) 285-6000 20090079335 01/30/2009 $166,380.00 $135,800.00 20090996660 Recontrust (800) 281-8219 02/01/2010 12:00 pm 03/20/2009 Notice of Trustee Sale $98,250.00 $8,030.00 20090992917 Aztec Foreclosure 09-018823 (602) 222-5711 01/26/2010 11:00 am $358,000.00 08/02/2005 Notice of Trustee Sale Deutsche Bank (212) 250-2500 07/26/2005 $286,400.00 $257,500.00 20090994673 Quality Loan Service Az-09-321320-tc (714) 573-1965 01/27/2010 12:00 pm $260,000.00 04/24/2006 Notice of Trustee Sale Aurora Loan Services (720) 945-3000 $208,000.00 $12,950.00 20090997108 Cal Western Reconveyance 1246538-14 (800) 546-1531 01/28/2010 02:00 pm $270,000.00 10/27/2006 Notice of Trustee Sale Aurora Loan Services (720) 945-3000 10/25/2006 $197,800.00 20090998098 Quality Loan Service Az-09-322901-cl (714) 573-1965 01/27/2010 12:00 pm 08/25/2009 Notice of Trustee Sale Mers (800) 646-6377 2007 06/19/2007 $180,000.00 $11,950.00 20090996765 Security Title Agency (602) 266-0275 02/08/2010 12:00 pm Page 36
  • 37.
    Pre-foreclosure List Maricopa County Week Ending 11/2 $316,500.00 09/27/2005 Notice of Trustee Sale Bank Of America (800) 285-6000 20060777093 06/08/2006 $292,500.00 $223,700.00 20090996638 Recontrust 09-0159706 (800) 281-8219 02/01/2010 12:00 pm $700,000.00 11/14/2006 Notice of Trustee Sale $2,025,000.00 $388,000.00 20090994067 Quality Loan Service (714) 573-1965 01/28/2010 02:00 pm $154,260.00 04/13/1999 Notice of Trustee Sale Aurora Loan Services (720) 945-3000 $300,000.00 $239,500.00 20090997105 Cal Western Reconveyance 1246507-14 (800) 546-1531 01/28/2010 02:00 pm $699,000.00 06/26/2007 Notice of Trustee Sale Wells Fargo Home Mortgage (866) 234-8271 $559,200.00 $496,700.00 20090995025 First American Title 20099070821481 (702) 304-7514 01/28/2010 02:00 pm $92,500.00 04/25/2003 Notice of Trustee Sale Phh Mortgage (800) 210-8849 $123,000.00 $111,100.00 20090992925 Aztec Foreclosure 09-018799 (602) 222-5711 01/26/2010 11:00 am $250,000.00 12/27/2007 Notice of Trustee Sale Bank Of America (800) 285-6000 20071348310 12/27/2007 $246,137.00 $32,500.00 20090996802 Recontrust (800) 281-8219 02/01/2010 12:00 pm $268,037.00 01/24/2007 Notice of Trustee Sale $241,230.00 $209,200.00 20090997243 Michael A Bosco Jr 09-26194 (602) 255-6000 01/27/2010 10:00 am $250,650.00 10/22/2007 Notice of Trustee Sale Chase Home Finance Llc (888) 332-3251 $250,650.00 $193,200.00 20090996333 Michael A Bosco Jr 09-26489 (602) 255-6000 01/27/2010 10:00 am $608,685.00 12/21/2007 Notice of Trustee Sale Chase Home Finance Llc (888) 332-3251 $578,200.00 $438,700.00 20090995017 First American Title 20099019204344 (702) 304-7514 01/28/2010 02:00 pm $175,000.00 02/05/2007 Notice of Trustee Sale Hsbc Bank (800) 975-4722 01/26/2007 $140,000.00 $85,200.00 20090995976 Old Republic Nat'l Title Insurance C Az-09-321019-ab (714) 573-1965 01/28/2010 12:00 pm $300,000.00 06/18/2008 Notice of Trustee Sale Bank Of America (800) 285-6000 20080540877 06/18/2008 $295,365.00 $246,100.00 20090996684 Recontrust (800) 281-8219 02/01/2010 12:00 pm $150,000.00 06/08/2004 Notice of Trustee Sale Gmac Mortgage (800) 766-4622 2006 02/28/2006 $196,000.00 $175,000.00 20090997130 Security Title Agency (602) 266-0275 02/04/2010 12:00 pm $580,000.00 12/06/1999 Notice of Trustee Sale Wells Fargo Home Mortgage (866) 234-8271 $650,000.00 $65,120.00 20090996263 First American Title 20099070821342 (702) 304-7514 01/28/2010 02:00 pm $299,000.00 10/29/2001 Notice of Trustee Sale $409,500.00 $414,100.00 20090987645 Aztec Foreclosure 09-018441 (602) 222-5711 01/25/2010 11:00 am $287,000.00 05/19/2005 Notice of Trustee Sale Americas Servicing Company $272,000.00 $196,800.00 20090991993 Michael A Bosco Jr 09-49053 (602) 255-6000 01/26/2010 10:00 am $670,000.00 05/31/2006 Notice of Trustee Sale Americas Servicing Company $536,000.00 $356,100.00 20090991931 Michael A Bosco Jr 09-48135 (602) 255-6000 01/26/2010 10:00 am $150,400.00 01/05/2006 Notice of Trustee Sale Bank Of America (800) 285-6000 20060020033 01/05/2006 $120,320.00 $112,500.00 20090991795 Recontrust 09-0157932 (800) 281-8219 01/27/2010 02:00 pm $305,000.00 06/11/2004 Notice of Trustee Sale Chase Home Finance Llc (888) 332-3251 $314,500.00 $299,300.00 20090991999 Michael A Bosco Jr 09-26547 (602) 255-6000 01/26/2010 10:00 am $121,500.00 12/20/2000 Notice of Trustee Sale Bank Of America (800) 285-6000 20080233082 03/17/2008 $202,492.00 $167,800.00 20090992055 Recontrust (800) 281-8219 02/01/2010 12:00 pm $100,000.00 02/28/2006 Notice of Trustee Sale New Century Mortgage (866) 774-5172 $85,000.00 $92,100.00 20090992575 Old Republic Nat'l Title Insurance C 09-35426 (714) 573-1965 01/27/2010 02:00 pm $205,000.00 09/22/2004 Notice of Trustee Sale Chase Home Finance Llc (888) 332-3251 $194,750.00 $166,100.00 20090991096 First American Title 20099073502576 (702) 304-7514 01/27/2010 02:00 pm $104,000.00 06/12/1998 Notice of Trustee Sale Bank Of America (800) 285-6000 2003 02/14/2003 $103,736.00 $163,500.00 20090991549 Recontrust (800) 281-8219 01/27/2010 02:00 pm $150,000.00 06/28/2007 Notice of Trustee Sale Bank Of America (800) 285-6000 20070746796 06/28/2007 $147,682.00 $116,000.00 20090991916 Recontrust (800) 281-8219 01/27/2010 02:00 pm $240,092.00 04/03/2008 Notice of Trustee Sale U.s. Bancorp (800) 365-7772 $181,157.00 $10,470.00 20090993268 Michael A Bosco Jr 09-26406 (602) 255-6000 01/26/2010 10:00 am $120,000.00 11/12/2008 Notice of Trustee Sale Mers (800) 646-6377 2005 01/25/2005 $122,000.00 $140,500.00 20090993232 Security Title Agency (602) 266-0275 02/01/2010 12:00 pm $177,500.00 03/31/2004 Notice of Trustee Sale Hsbc Bank (800) 975-4722 20040331654 03/31/2004 $142,000.00 $196,600.00 20090992072 Recontrust (800) 281-8219 02/01/2010 12:00 pm $98,000.00 03/24/1998 Notice of Trustee Sale $75,500.00 $159,300.00 20090993202 Michael A Bosco Jr 09-26327 (602) 255-6000 01/26/2010 10:00 am $108,000.00 08/16/2004 Notice of Trustee Sale Bank Of America (800) 285-6000 2004 08/16/2004 $86,400.00 $129,200.00 20090992006 Recontrust (800) 281-8219 02/01/2010 12:00 pm $219,900.00 10/25/2006 Notice of Trustee Sale Deutsche Bank (212) 250-2500 20061409692 10/25/2006 $175,920.00 $59,500.00 20090991827 Recontrust (800) 281-8219 01/27/2010 02:00 pm $152,000.00 03/26/2002 Notice of Trustee Sale Wells Fargo Home Mortgage (866) 234-8271 $266,000.00 $195,200.00 20090992017 Michael A Bosco Jr 09-49057 (602) 255-6000 01/26/2010 10:00 am $187,400.00 11/06/2002 Notice of Trustee Sale Chase Home Finance Llc (888) 332-3251 $187,523.00 $206,700.00 20090991090 First American Title 20099073502567 (702) 304-7514 01/27/2010 02:00 pm $159,547.00 08/25/2008 Notice of Trustee Sale Bank Of America (800) 285-6000 20080739052 08/25/2008 $157,468.00 $147,200.00 20090992023 Recontrust (800) 281-8219 02/01/2010 12:00 pm $259,000.00 05/16/2006 Notice of Trustee Sale Mers (800) 646-6377 $212,000.00 $157,500.00 20090993252 Michael A Bosco Jr 09-25988 (602) 255-6000 01/26/2010 10:00 am $83,000.00 06/01/1993 Notice of Trustee Sale Mers (800) 646-6377 2007 12/07/2007 $220,400.00 $167,100.00 20090993226 Security Title Agency (602) 266-0275 02/01/2010 12:00 pm $84,900.00 05/29/1996 Notice of Trustee Sale Mers (800) 646-6377 2007 03/26/2007 $224,000.00 $163,800.00 20090993228 Security Title Agency (602) 266-0275 02/01/2010 12:00 pm $342,000.00 01/10/2006 Notice of Trustee Sale Bank Of America (800) 285-6000 20060036368 01/10/2006 $273,600.00 $228,600.00 20090991895 Recontrust (800) 281-8219 01/27/2010 02:00 pm $144,000.00 02/12/2008 Notice of Trustee Sale Bank Of America (800) 285-6000 20080122809 02/12/2008 $141,994.00 $127,200.00 20090991789 Recontrust (800) 281-8219 02/01/2010 12:00 pm $463,000.00 08/30/2005 Notice of Trustee Sale Bank Of America (800) 285-6000 2005 08/30/2005 $354,400.00 $315,000.00 20090991563 Recontrust 09-0158328 (800) 281-8219 01/27/2010 02:00 pm $154,220.00 01/30/1998 Notice of Trustee Sale Aurora Loan Services (720) 945-3000 $376,994.00 $219,800.00 20090993156 Michael A Bosco Jr 09-48904 (602) 255-6000 01/26/2010 10:00 am $100,500.00 05/26/2000 Notice of Trustee Sale Midfirst Bank (800) 877-1674 08/23/2001 $105,668.00 $8,450.00 20090992597 Quality Loan Service Az-09-322535-ab (714) 573-1965 01/27/2010 12:00 pm $167,293.00 03/13/2008 Notice of Trustee Sale $167,293.00 $27,500.00 20090987633 Aztec Foreclosure 09-018119 (602) 222-5711 01/25/2010 11:00 am $160,892.00 07/28/2004 Notice of Trustee Sale The Bank Of New York Mellon (212) 495-1784 20040866174 07/28/2004 $128,710.00 $11,450.00 20090991518 Recontrust (800) 281-8219 01/27/2010 02:00 pm $117,500.00 04/03/2003 Notice of Trustee Sale Mers (800) 646-6377 2006 07/12/2006 $308,000.00 $242,000.00 20090993214 Security Title Agency (602) 266-0275 02/01/2010 12:00 pm $114,900.00 03/24/2004 Notice of Trustee Sale $147,360.00 $122,700.00 20090987631 Aztec Foreclosure 09-017666 (602) 222-5711 01/25/2010 11:00 am $185,000.00 09/18/2006 Notice of Trustee Sale National City Mortgage (800) 822-5626 $166,500.00 $124,500.00 20090992837 Michael A Bosco Jr 09-25777 (602) 255-6000 01/26/2010 10:00 am $276,000.00 03/16/2005 Notice of Trustee Sale Bank Of America (800) 285-6000 20050320141 03/16/2005 $256,500.00 $210,500.00 20090991783 Recontrust (800) 281-8219 01/27/2010 02:00 pm $66,000.00 04/04/1988 Notice of Trustee Sale Bank Of America (800) 285-6000 20060732086 05/31/2006 $201,000.00 $165,200.00 20090991587 Recontrust 09-0097218 (800) 281-8219 01/27/2010 02:00 pm $189,517.00 06/08/2007 Notice of Trustee Sale Chase Home Finance Llc (888) 332-3251 $224,580.00 $9,670.00 20090991101 First American Title 20099073502582 (702) 304-7514 01/27/2010 02:00 pm $115,000.00 05/17/2001 Notice of Trustee Sale 2001 $92,000.00 $245,241.00 20090993306 First American Title 12566rs (702) 304-7514 01/27/2010 02:00 pm $122,000.00 08/28/2003 Notice of Trustee Sale Bank Of America (800) 285-6000 2005 04/25/2005 $141,491.00 $164,000.00 20090991898 Recontrust (800) 281-8219 01/27/2010 02:00 pm $176,973.00 04/11/2007 Notice of Trustee Sale Bank Of America (800) 285-6000 20070427168 04/11/2007 $141,578.00 $9,800.00 20090991531 Recontrust 09-0157941 (800) 281-8219 02/01/2010 12:00 pm $156,000.00 10/10/2000 Notice of Trustee Sale $200,000.00 $241,700.00 20090987637 Aztec Foreclosure 09-018788 (602) 222-5711 01/25/2010 11:00 am $84,000.00 05/27/2003 Notice of Trustee Sale Wells Fargo Home Mortgage (866) 234-8271 $125,698.00 $166,600.00 20090991182 First American Title 20099070821133 (702) 304-7514 01/27/2010 02:00 pm $145,000.00 11/25/2002 Notice of Trustee Sale The Bank Of New York Mellon (212) 495-1784 20051717819 11/14/2005 $276,000.00 $213,800.00 20090991590 Recontrust (800) 281-8219 01/27/2010 02:00 pm $1,600,000.00 04/02/2003 Notice of Trustee Sale Washington Mutual 10/19/2006 $1,500,000.00 $227,670.00 20090993285 California Reconveyance 137795az (714) 573-1965 01/27/2010 02:00 pm $91,900.00 05/03/2002 Notice of Trustee Sale Accredited Home Lenders (866) 521-4815 $171,200.00 $107,000.00 20090989949 Quality Loan Service Az-sls-090121 (714) 573-1965 01/26/2010 12:00 pm $295,000.00 09/28/2001 Notice of Trustee Sale Option One Mortgage (800) 704-0800 $236,000.00 $283,700.00 20090990134 Fidelity National Title 09-03790-3 (714) 573-1965 01/28/2010 12:00 pm Page 37
  • 38.
    Pre-foreclosure List Maricopa County Week Ending 11/2 $83,000.00 04/23/1999 Notice of Trustee Sale Mers (800) 646-6377 2008 04/01/2008 $157,300.00 $143,700.00 20090993250 Security Title Agency (602) 266-0275 02/01/2010 12:00 pm $373,900.00 01/11/2007 Notice of Trustee Sale Hsbc Bank (800) 975-4722 20070047219 01/11/2007 $299,100.00 $281,500.00 20090992078 Recontrust 09-0158814 (800) 281-8219 02/01/2010 12:00 pm 04/11/1990 Notice of Trustee Sale Bank Of America (800) 285-6000 $25,000.00 $174,300.00 20090989625 Christopher Charles Rebhuhn 03-sf-85778 01/27/2010 02:00 pm $236,000.00 05/22/2007 Notice of Trustee Sale Mers (800) 646-6377 2007 08/16/2007 $216,000.00 $185,300.00 20090993241 Security Title Agency (602) 266-0275 02/01/2010 12:00 pm $115,000.00 12/27/2004 Notice of Trustee Sale Americas Servicing Company $92,000.00 $121,300.00 20090991986 Michael A Bosco Jr 09-49051 (602) 255-6000 01/26/2010 10:00 am 03/05/1991 Notice of Trustee Sale Citimortgage, Inc (800) 695-0935 $124,800.00 $118,100.00 20090993230 Michael A Bosco Jr 09-26328 (602) 255-6000 01/26/2010 10:00 am $466,000.00 01/16/2008 Notice of Trustee Sale 07/19/2007 $1.00 $668,700.00 20090990430 Quality Loan Service 59953 (714) 573-1965 01/27/2010 02:00 pm $231,900.00 08/03/2004 Notice of Trustee Sale Citimortgage, Inc (800) 695-0935 $277,882.00 $234,100.00 20090993218 Michael A Bosco Jr 09-22724 (602) 255-6000 01/26/2010 10:00 am $245,000.00 08/22/2002 Notice of Trustee Sale Long Beach Mortgage $196,000.00 $284,000.00 20090993204 California Reconveyance 137804az (714) 573-1965 05/08/2013 02:00 pm $195,367.00 06/23/2004 Notice of Trustee Sale Provident Funding (800) 696-8199 04/25/2008 $171,500.00 $193,800.00 20090993738 Quality Loan Service Az-09-315389-pj (714) 573-1965 01/26/2010 12:00 pm $196,060.00 05/30/2001 Notice of Trustee Sale Wells Fargo Home Mortgage (866) 234-8271 $239,000.00 $247,000.00 20090991971 Michael A Bosco Jr 09-48989 (602) 255-6000 01/26/2010 10:00 am $245,000.00 07/03/2008 Notice of Trustee Sale Bank Of America (800) 285-6000 20080590243 07/03/2008 $241,214.00 $252,600.00 20090992069 Recontrust (800) 281-8219 02/01/2010 12:00 pm $439,000.00 05/31/2005 Notice of Trustee Sale Deutsche Bank (212) 250-2500 $351,200.00 $352,800.00 20090987647 Aztec Foreclosure 09-018428 (602) 222-5711 01/25/2010 11:00 am $285,000.00 11/15/2007 Notice of Trustee Sale $228,000.00 $203,100.00 20090987639 Aztec Foreclosure 09-018781 (602) 222-5711 01/25/2010 11:00 am $405,000.00 09/01/2005 Notice of Trustee Sale U.s. Bancorp (800) 365-7772 $324,000.00 $279,700.00 20090993259 Michael A Bosco Jr 09-26302 (602) 255-6000 01/26/2010 10:00 am $149,000.00 08/31/2004 Notice of Trustee Sale Bank Of America (800) 285-6000 20061020324 07/31/2006 $190,400.00 $170,200.00 20090992060 Recontrust (800) 281-8219 01/27/2010 02:00 pm $181,500.00 05/16/2006 Notice of Trustee Sale Mers (800) 646-6377 $147,000.00 $136,500.00 20090993154 Michael A Bosco Jr 09-24110 (602) 255-6000 01/26/2010 10:00 am $338,400.00 06/24/2005 Notice of Trustee Sale Chase Home Finance Llc (888) 332-3251 $270,720.00 $248,700.00 20090992012 Michael A Bosco Jr 09-26549 (602) 255-6000 01/26/2010 10:00 am $210,000.00 12/14/2005 Notice of Trustee Sale Americas Servicing Company $168,000.00 $146,600.00 20090991965 Michael A Bosco Jr 09-48987 (602) 255-6000 01/26/2010 10:00 am $46,000.00 05/17/1995 Notice of Trustee Sale Bank Of America (800) 285-6000 20080426963 05/14/2008 $157,832.00 $149,100.00 20090992032 Recontrust 09-0157956 (800) 281-8219 02/01/2010 12:00 pm $116,000.00 01/02/1998 Notice of Trustee Sale Chase Home Finance Llc (888) 332-3251 $205,125.00 $192,500.00 20090992043 Michael A Bosco Jr 09-26576 (602) 255-6000 01/26/2010 10:00 am $195,000.00 06/07/2006 Notice of Trustee Sale Deutsche Bank (212) 250-2500 $156,000.00 $147,500.00 20090990003 Quality Loan Service Az-sls-090119 (714) 573-1965 01/26/2010 12:00 pm $207,306.00 12/21/2004 Notice of Trustee Sale Bank Of America (800) 285-6000 20051948268 12/27/2005 $246,000.00 $225,000.00 20090991905 Recontrust (800) 281-8219 01/27/2010 02:00 pm $265,000.00 12/22/2005 Notice of Trustee Sale Hsbc Bank (800) 975-4722 $212,000.00 $107,800.00 20090987627 Aztec Foreclosure 09-018801 (602) 222-5711 01/25/2010 11:00 am 08/11/2008 Notice of Trustee Sale M&i Marshall 20080698478 $312,000.00 $25,447.00 20090990876 Quality Loan Service 09-1295 (714) 573-1965 01/27/2010 02:00 pm $275,000.00 02/24/2005 Notice of Trustee Sale Chase Home Finance Llc (888) 332-3251 $220,000.00 $213,800.00 20090990909 Michael A Bosco Jr 09-26595 (602) 255-6000 01/26/2010 10:00 am $33,000.00 01/06/1978 Notice of Trustee Sale Wells Fargo Home Mortgage (866) 234-8271 $108,000.00 $99,000.00 20090991077 First American Title 20099070821387 (702) 304-7514 01/27/2010 02:00 pm $147,500.00 01/28/2005 Notice of Trustee Sale Wells Fargo Home Mortgage (866) 234-8271 $141,178.00 $154,600.00 20090992574 Old Republic Nat'l Title Insurance C 09-35433 (714) 573-1965 01/27/2010 02:00 pm $288,874.00 09/09/2005 Notice of Trustee Sale Chase Home Finance Llc (888) 332-3251 $298,406.00 $200,800.00 20090991092 First American Title 20099073502568 (702) 304-7514 01/27/2010 02:00 pm $59,700.00 01/23/1992 Notice of Trustee Sale Bank Of America (800) 285-6000 20071019054 09/13/2007 $158,500.00 $164,800.00 20090991557 Recontrust (800) 281-8219 02/01/2010 12:00 pm $78,900.00 10/21/1998 Notice of Trustee Sale Wells Fargo Home Mortgage (866) 234-8271 $127,917.00 $55,800.00 20090993152 Michael A Bosco Jr 09-47113 (602) 255-6000 01/26/2010 10:00 am $129,900.00 04/24/2008 Notice of Trustee Sale Chase Home Finance Llc (888) 332-3251 $132,692.00 $142,600.00 20090991085 First American Title 20099073502564 (702) 304-7514 01/27/2010 02:00 pm $222,800.00 04/25/2002 Notice of Trustee Sale Phh Mortgage (800) 210-8849 $368,775.00 $305,800.00 20090987635 Aztec Foreclosure 09-018800 (602) 222-5711 01/25/2010 11:00 am $250,000.00 08/15/2006 Notice of Trustee Sale The Bank Of New York Mellon (212) 495-1784 20061088019 08/15/2006 $237,500.00 $176,700.00 20090991809 Recontrust (800) 281-8219 01/27/2010 02:00 pm $78,500.00 06/22/1998 Notice of Trustee Sale Chase Home Finance Llc (888) 332-3251 $78,119.00 $149,800.00 20090991184 First American Title 20099073502542 (702) 304-7514 01/27/2010 02:00 pm $114,000.00 04/25/2002 Notice of Trustee Sale Bank Of America (800) 285-6000 20080456306 05/22/2008 $175,392.00 $131,000.00 20090991525 Recontrust (800) 281-8219 02/01/2010 12:00 pm 12/26/2006 Notice of Trustee Sale $1,360,000.00 $92,800.00 20090989577 Quality Loan Service (714) 573-1965 01/27/2010 10:00 am $294,210.00 08/07/2003 Notice of Trustee Sale Deutsche Bank (212) 250-2500 $525,000.00 $428,800.00 20090987649 Aztec Foreclosure 09-018275 (602) 222-5711 01/26/2010 11:00 am $111,000.00 12/01/1994 Notice of Trustee Sale Wells Fargo Home Mortgage (866) 234-8271 $280,800.00 $181,500.00 20090993163 Michael A Bosco Jr 09-48900 (602) 255-6000 01/26/2010 10:00 am $55,000.00 01/04/1995 Notice of Trustee Sale Mers (800) 646-6377 2005 09/22/2005 $999,000.00 $954,700.00 20090993270 Security Title Agency (602) 266-0275 02/05/2010 12:00 pm 05/18/1994 Notice of Trustee Sale Novastar (800) 469-4270 $50,000.00 $106,800.00 20090989940 Quality Loan Service Az-sls-090127 (714) 573-1965 01/26/2010 12:00 pm 01/18/2008 Notice of Trustee Sale $93,000.00 $188,300.00 20090987629 Aztec Foreclosure 09-018779 (602) 222-5711 01/25/2010 11:00 am $38,000.00 03/31/1993 Notice of Trustee Sale 20061505227 11/16/2006 $328,000.00 $383,600.00 20090991928 Recontrust (800) 281-8219 02/01/2010 12:00 pm $79,000.00 04/30/2001 Notice of Trustee Sale Mers (800) 646-6377 2008 03/20/2008 $159,580.00 $60,100.00 20090993234 Security Title Agency (602) 266-0275 02/01/2010 12:00 pm $490,000.00 06/05/2007 Notice of Trustee Sale Mers (800) 646-6377 2007 06/29/2007 $154,800.00 $123,200.00 20090993246 Security Title Agency (602) 266-0275 02/01/2010 12:00 pm $285,000.00 02/25/2005 Notice of Trustee Sale Chase Home Finance Llc (888) 332-3251 $215,000.00 $290,200.00 20090992052 Michael A Bosco Jr 09-26631 (602) 255-6000 01/26/2010 10:00 am $172,600.00 01/30/2008 Notice of Trustee Sale Bank Of America (800) 285-6000 20080083401 01/30/2008 $170,195.00 $41,500.00 20090992029 Recontrust 09-0157950 (800) 281-8219 02/01/2010 12:00 pm 06/02/2004 Notice of Trustee Sale Bank Of America (800) 285-6000 20040623060 06/02/2004 $155,460.00 $13,621.00 20090991892 Recontrust (800) 281-8219 01/27/2010 02:00 pm $394,000.00 10/24/2005 Notice of Trustee Sale The Bank Of New York Mellon (212) 495-1784 2005 10/24/2005 $275,800.00 $231,600.00 20090991884 Recontrust (800) 281-8219 01/27/2010 02:00 pm $35,000.00 06/05/1987 Notice of Trustee Sale Mers (800) 646-6377 2007 10/26/2007 $120,000.00 $125,600.00 20090993239 Security Title Agency (602) 266-0275 02/01/2010 12:00 pm $132,228.00 01/21/2005 Notice of Trustee Sale Provident Funding (800) 696-8199 04/25/2008 $158,200.00 $179,800.00 20090993744 First American Title Az-09-315403-pj (702) 304-7514 01/26/2010 12:00 pm $43,810.00 04/04/1977 Notice of Trustee Sale $80,000.00 $240,300.00 20090992832 Michael A Bosco Jr 09-25776 (602) 255-6000 01/26/2010 10:00 am $186,040.00 01/24/2005 Notice of Trustee Sale Provident Funding (800) 696-8199 04/25/2008 $158,200.00 $179,800.00 20090993742 Quality Loan Service Az-09-315393-pj (714) 573-1965 01/26/2010 12:00 pm $211,437.00 12/23/2004 Notice of Trustee Sale Provident Funding (800) 696-8199 04/25/2008 $161,000.00 $181,800.00 20090993747 First American Title Az-09-315421-pj (702) 304-7514 01/26/2010 12:00 pm $128,409.00 12/01/1995 Notice of Trustee Sale Citimortgage, Inc (800) 695-0935 $160,000.00 $205,700.00 20090993206 Michael A Bosco Jr 09-26339 (602) 255-6000 01/26/2010 10:00 am $125,500.00 06/04/2008 Notice of Trustee Sale Mers (800) 646-6377 06/04/2008 $123,561.00 $138,700.00 20090993632 Mtc Financial Azo759739 01/27/2010 12:00 pm 10/02/2006 Notice of Trustee Sale $345,700.00 $1,720.00 20090987641 Aztec Foreclosure 09-018821 (602) 222-5711 01/25/2010 11:00 am Page 38
  • 39.
    Pre-foreclosure List Maricopa County Week Ending 11/2 $237,265.00 10/27/2005 Notice of Trustee Sale 10/27/2005 $189,812.00 $109,500.00 20090990424 Quality Loan Service 59952 (714) 573-1965 01/27/2010 02:00 pm $249,340.00 09/11/2006 Notice of Trustee Sale Bank Of America (800) 285-6000 20061205918 09/11/2006 $245,486.00 $154,700.00 20090991812 Recontrust (800) 281-8219 01/27/2010 02:00 pm $605,000.00 03/28/2006 Notice of Trustee Sale Chase Home Finance Llc (888) 332-3251 $453,750.00 $436,000.00 20090991083 First American Title 20099073502547 (702) 304-7514 01/27/2010 02:00 pm $108,000.00 07/12/1996 Notice of Trustee Sale Chase Home Finance Llc (888) 332-3251 $225,000.00 $208,700.00 20090992026 Michael A Bosco Jr 09-26573 (602) 255-6000 01/26/2010 10:00 am $156,230.00 11/05/1999 Notice of Trustee Sale Aurora Loan Services (720) 945-3000 02/23/2006 $288,000.00 $249,000.00 20090993355 Quality Loan Service Az-09-280392-cl (714) 573-1965 01/27/2010 12:00 pm 06/14/2007 Notice of Trustee Sale Wells Fargo Home Mortgage (866) 234-8271 $200,832.00 $16,850.00 20090991933 Michael A Bosco Jr 09-48202 (602) 255-6000 01/26/2010 10:00 am 02/05/2007 Notice of Trustee Sale Wells Fargo Home Mortgage (866) 234-8271 $193,498.00 $18,050.00 20090991935 Michael A Bosco Jr 09-48158 (602) 255-6000 01/26/2010 10:00 am $168,000.00 10/29/2004 Notice of Trustee Sale Deutsche Bank (212) 250-2500 $134,400.00 $129,600.00 20090992846 Michael A Bosco Jr 09-26402 (602) 255-6000 01/26/2010 10:00 am $122,000.00 09/12/2003 Notice of Trustee Sale Americas Servicing Company $130,000.00 $147,100.00 20090991980 Michael A Bosco Jr 09-49052 (602) 255-6000 01/26/2010 10:00 am $153,900.00 01/29/2001 Notice of Trustee Sale U.s. Bancorp (800) 365-7772 20060258855 02/27/2006 $304,000.00 $274,300.00 20090991923 Recontrust 09-0158812 (800) 281-8219 02/01/2010 12:00 pm $375,990.00 09/04/2007 Notice of Trustee Sale Chase Home Finance Llc (888) 332-3251 $401,400.00 $254,300.00 20090991087 First American Title 20099073502565 (702) 304-7514 01/27/2010 02:00 pm 03/16/2006 Notice of Trustee Sale Americas Servicing Company $84,000.00 $131,300.00 20090992003 Michael A Bosco Jr 09-49054 (602) 255-6000 01/26/2010 10:00 am $200,000.00 03/17/2004 Notice of Trustee Sale Bank Of America (800) 285-6000 20061575188 12/01/2006 $256,000.00 $169,200.00 20090991920 Recontrust (800) 281-8219 01/27/2010 02:00 pm $315,000.00 03/29/2001 Notice of Trustee Sale 03/15/2006 $480,000.00 $258,500.00 20090990428 Quality Loan Service 59955 (714) 573-1965 01/27/2010 02:00 pm $73,000.00 01/29/1998 Notice of Trustee Sale Citimortgage, Inc (800) 695-0935 $107,000.00 $168,500.00 20090993294 Michael A Bosco Jr 09-26493 (602) 255-6000 01/26/2010 10:00 am $247,988.00 05/26/2006 Notice of Trustee Sale Citimortgage, Inc (800) 695-0935 $213,628.00 $154,700.00 20090993297 Michael A Bosco Jr 09-26435 (602) 255-6000 01/26/2010 10:00 am 08/15/2007 Notice of Trustee Sale Mers (800) 646-6377 2007 11/15/2007 $73,000.00 $28,000.00 20090993212 Security Title Agency (602) 266-0275 02/01/2010 12:00 pm $212,898.00 01/17/2007 Notice of Trustee Sale Chase Home Finance Llc (888) 332-3251 $217,475.00 $183,100.00 20090991094 First American Title 20099073502574 (702) 304-7514 01/27/2010 02:00 pm $375,000.00 05/13/2004 Notice of Trustee Sale U.s. Bancorp (800) 365-7772 20061215495 09/13/2006 $470,000.00 $386,700.00 20090992084 Recontrust 09-0158820 (800) 281-8219 02/01/2010 12:00 pm $198,656.00 08/02/2006 Notice of Trustee Sale Wells Fargo Home Mortgage (866) 234-8271 $158,924.00 $172,000.00 20090991948 Michael A Bosco Jr 09-48204 (602) 255-6000 01/26/2010 10:00 am $203,189.00 10/25/2004 Notice of Trustee Sale Chase Home Finance Llc (888) 332-3251 $224,000.00 $190,000.00 20090990905 Michael A Bosco Jr 09-26570 (602) 255-6000 01/26/2010 10:00 am $199,900.00 07/08/2004 Notice of Trustee Sale The Bank Of New York Mellon (212) 495-1784 2005 08/25/2005 $275,000.00 $227,100.00 20090991594 Recontrust 09-0156162 (800) 281-8219 01/27/2010 02:00 pm 03/26/2008 Notice of Trustee Sale Chase Home Finance Llc (888) 332-3251 $188,993.00 $135,300.00 20090991074 First American Title 20099073502537 (702) 304-7514 01/27/2010 02:00 pm $116,750.00 07/07/2000 Notice of Trustee Sale Long Beach Mortgage 10/17/2006 $215,650.00 $94,500.00 20090993180 California Reconveyance 137809az (714) 573-1965 01/27/2010 02:00 pm $48,500.00 10/29/2004 Notice of Trustee Sale Wells Fargo Home Mortgage (866) 234-8271 $129,514.00 $117,847.00 20090991190 First American Title 20099070821410 (702) 304-7514 01/27/2010 02:00 pm $451,486.00 01/25/2007 Notice of Trustee Sale Bank Of America (800) 285-6000 20070100113 01/25/2007 $361,188.00 $281,100.00 20090991908 Recontrust (800) 281-8219 01/27/2010 02:00 pm $166,338.00 12/14/2004 Notice of Trustee Sale Wells Fargo Home Mortgage (866) 234-8271 $162,578.00 $153,200.00 20090991194 First American Title 20099070821409 (702) 304-7514 01/27/2010 02:00 pm $271,000.00 10/15/2007 Notice of Trustee Sale Bank Of America (800) 285-6000 20071123136 10/15/2007 $266,792.00 $224,800.00 20090991522 Recontrust (800) 281-8219 02/01/2010 12:00 pm $83,000.00 09/23/1998 Notice of Trustee Sale $125,100.00 $154,000.00 20090992841 Michael A Bosco Jr 40082 (602) 255-6000 01/26/2010 10:00 am $127,500.00 04/13/2007 Notice of Trustee Sale National City Mortgage (800) 822-5626 $174,500.00 $11,850.00 20090992844 Michael A Bosco Jr 09-25883 (602) 255-6000 01/26/2010 10:00 am $92,500.00 04/01/2008 Notice of Trustee Sale Citimortgage, Inc (800) 695-0935 $134,000.00 $8,780.00 20090993220 Michael A Bosco Jr 09-26303 (602) 255-6000 01/26/2010 10:00 am $213,000.00 09/26/2006 Notice of Trustee Sale The Bank Of New York Mellon (212) 495-1784 20061272950 09/26/2006 $170,400.00 $75,200.00 20090991528 Recontrust (800) 281-8219 02/01/2010 12:00 pm $209,000.00 08/09/2007 Notice of Trustee Sale 20070899562 08/09/2007 $205,770.00 $151,700.00 20090991786 Recontrust (800) 281-8219 02/01/2010 12:00 pm $288,107.00 09/30/2005 Notice of Trustee Sale Litton Loan Servicing Lp (800) 247-9727 09/12/2006 $260,800.00 $188,500.00 20090993135 Security Title Agency Az-09-321528-pj (602) 266-0275 01/26/2010 12:00 pm 12/23/2005 Notice of Trustee Sale $690,000.00 $620,200.00 20090989573 Quality Loan Service (714) 573-1965 01/27/2010 02:00 pm $123,500.00 08/13/2004 Notice of Trustee Sale Wells Fargo Home Mortgage (866) 234-8271 09/08/2004 $98,500.00 $147,500.00 20090991963 Michael A Bosco Jr 09-48956 (602) 255-6000 01/26/2010 10:00 am 07/14/2005 Notice of Trustee Sale M&i Marshall & Ilsley Bank (623) 847-0147 2005 $204,750.00 $48,720.00 20090993323 Quality Loan Service Ross, (714) 573-1965 01/27/2010 02:00 pm 11/01/2002 Notice of Trustee Sale Chase Home Finance Llc (888) 332-3251 $87,500.00 $21,370.00 20090991974 Michael A Bosco Jr 09-26500 (602) 255-6000 01/26/2010 10:00 am $150,353.00 09/14/2004 Notice of Trustee Sale Bank Of America (800) 285-6000 20061665811 12/21/2006 $201,386.00 $157,200.00 20090991889 Recontrust (800) 281-8219 01/27/2010 02:00 pm $160,000.00 05/14/2008 Notice of Trustee Sale Bank Of America (800) 285-6000 20080427161 05/14/2008 $157,528.00 $171,100.00 20090991822 Recontrust (800) 281-8219 02/01/2010 12:00 pm $224,000.00 06/01/2006 Notice of Trustee Sale Chase Home Finance Llc (888) 332-3251 $112,416.00 $135,500.00 20090991079 First American Title 20099073502543 (702) 304-7514 01/27/2010 02:00 pm $331,500.00 09/21/2006 Notice of Trustee Sale Chase Home Finance Llc (888) 332-3251 $352,630.00 $205,500.00 20090991098 First American Title 20099073502577 (702) 304-7514 01/27/2010 02:00 pm $212,000.00 06/22/2005 Notice of Trustee Sale Hsbc Bank (800) 975-4722 $190,800.00 $162,100.00 20090991968 Michael A Bosco Jr 09-26495 (602) 255-6000 01/26/2010 10:00 am $245,000.00 07/31/2007 Notice of Trustee Sale Chase Home Finance Llc (888) 332-3251 $232,750.00 $174,800.00 20090992772 Quality Loan Service 7104 (714) 573-1965 01/27/2010 02:00 pm $154,712.00 08/17/2004 Notice of Trustee Sale Aurora Loan Services (720) 945-3000 11/06/2006 $205,600.00 $163,500.00 20090993753 First American Title Az-09-321997-pj (702) 304-7514 01/26/2010 12:00 pm $589,000.00 02/09/2006 Notice of Trustee Sale Argent Securities Inc (404) 965-5353 $471,200.00 $416,500.00 20090990138 Fidelity National Title (714) 573-1965 01/28/2010 12:00 pm 10/18/2005 Notice of Trustee Sale Bank Of America (800) 285-6000 $226,539.00 $53,040.00 20090993626 Northwest Trustee Service 7530 (714) 277-4888 01/27/2010 02:00 pm $620,000.00 08/28/2003 Notice of Trustee Sale Citimortgage, Inc (800) 695-0935 $570,000.00 $710,700.00 20090993224 Michael A Bosco Jr 09-26270 (602) 255-6000 01/26/2010 10:00 am $250,000.00 02/21/2007 Notice of Trustee Sale Chase Home Finance Llc (888) 332-3251 $250,000.00 $199,300.00 20090992046 Michael A Bosco Jr 09-26591 (602) 255-6000 01/26/2010 10:00 am $306,000.00 06/30/1999 Notice of Trustee Sale 08/29/2007 $545,000.00 $416,100.00 20090990426 Quality Loan Service 59954 (714) 573-1965 01/27/2010 02:00 pm $145,403.00 10/06/2008 Notice of Trustee Sale Chase Home Finance Llc (888) 332-3251 $138,728.00 $132,500.00 20090991081 First American Title 20099073502544 (702) 304-7514 01/27/2010 02:00 pm $145,180.00 12/23/1998 Notice of Trustee Sale Citimortgage, Inc (800) 695-0935 $271,000.00 $299,200.00 20090993302 Michael A Bosco Jr 09-26572 (602) 255-6000 01/26/2010 10:00 am $129,900.00 01/27/2004 Notice of Trustee Sale 20061381487 10/19/2006 $161,250.00 $104,600.00 20090988106 Recontrust (800) 281-8219 01/27/2010 12:00 pm $133,000.00 02/27/2006 Notice of Trustee Sale Bank Of America (800) 285-6000 02/16/2006 $106,400.00 $96,500.00 20090988485 Quality Loan Service Az-09-321744-bl (714) 573-1965 01/25/2010 12:00 pm $128,000.00 04/16/2003 Notice of Trustee Sale Deutsche Bank (212) 250-2500 20060036957 01/10/2006 $121,000.00 $127,200.00 20090988210 Recontrust (800) 281-8219 01/28/2010 12:00 pm $199,990.00 05/20/2003 Notice of Trustee Sale Provident Funding (800) 696-8199 $318,000.00 $276,300.00 20090988355 Jason Cotton Pa 7092476 01/26/2010 12:00 pm $162,220.00 10/30/2001 Notice of Trustee Sale Citimortgage, Inc (800) 695-0935 04/18/2006 $248,000.00 $216,000.00 20090986971 Cr Title Service To9-55583-az (714) 573-1965 01/26/2010 02:00 pm Page 39
  • 40.
    Pre-foreclosure List Maricopa County Week Ending 11/2 $330,706.00 04/13/2006 Notice of Trustee Sale Deutsche Bank (212) 250-2500 2006 04/13/2006 $264,550.00 $195,300.00 20090988207 Recontrust (800) 281-8219 01/27/2010 12:00 pm $144,590.00 10/19/2000 Notice of Trustee Sale Nationstar Mortgage (800) 306-9027 03/02/2007 $325,000.00 $217,700.00 20090988529 First American Title Az-09-322409-ab (702) 304-7514 01/25/2010 12:00 pm $253,000.00 03/10/2006 Notice of Trustee Sale New Century Mortgage (866) 774-5172 03/09/2006 $202,400.00 $159,700.00 20090988835 Quality Loan Service Az-09-321672-rm (714) 573-1965 01/26/2010 02:00 pm $120,000.00 04/11/2003 Notice of Trustee Sale Provident Funding (800) 696-8199 $275,000.00 $246,700.00 20090988352 Jason Cotton Pa 7092477 01/26/2010 12:00 pm $124,500.00 08/30/2002 Notice of Trustee Sale Wells Fargo Home Mortgage (866) 234-8271 20061355263 10/13/2006 $180,000.00 $149,100.00 20090988084 Recontrust (800) 281-8219 01/27/2010 12:00 pm $249,000.00 02/13/2004 Notice of Trustee Sale Bank Of America (800) 285-6000 20070505078 05/01/2007 $335,000.00 $136,300.00 20090987656 Recontrust (800) 281-8219 01/27/2010 12:00 pm $430,000.00 08/31/2005 Notice of Trustee Sale The Bank Of New York Mellon (212) 495-1784 2005 08/31/2005 $387,000.00 $273,300.00 20090987696 Recontrust (800) 281-8219 01/26/2010 02:00 pm $189,900.00 03/08/2006 Notice of Trustee Sale First Horizon Home Loans (800) 707-0139 20060316868 03/06/2006 $170,900.00 $148,800.00 20090986231 Lawyers Title Insurance 057-009958 (714) 573-1965 01/26/2010 02:00 pm $190,000.00 01/08/2004 Notice of Trustee Sale Chase Home Finance Llc (888) 332-3251 06/21/2005 $228,750.00 $303,500.00 20090988045 California Reconveyance 137764az (714) 573-1965 01/26/2010 02:00 pm $54,000.00 07/29/1994 Notice of Trustee Sale Bank Of America (800) 285-6000 20061597999 12/06/2006 $165,600.00 $82,300.00 20090988299 Recontrust (800) 281-8219 01/28/2010 12:00 pm $246,603.00 09/28/2004 Notice of Trustee Sale Aurora Loan Services (720) 945-3000 $32,800,000.00 $18,480.00 20090987596 Cal Western Reconveyance 1246108-14 (800) 546-1531 01/26/2010 02:00 pm $282,000.00 06/28/2005 Notice of Trustee Sale Washington Mutual 06/28/2005 $252,000.00 $304,200.00 20090987938 California Reconveyance 137792az (714) 573-1965 05/08/2013 02:00 pm $119,000.00 10/30/2003 Notice of Trustee Sale Bank Of America (800) 285-6000 20060060857 01/13/2006 $174,000.00 $148,500.00 20090988094 Recontrust (800) 281-8219 01/26/2010 02:00 pm $205,990.00 02/22/2007 Notice of Trustee Sale Bank Of America (800) 285-6000 20080238155 03/18/2008 $209,709.00 $11,250.00 20090988064 Recontrust 09-0157951 (800) 281-8219 01/28/2010 12:00 pm $127,000.00 07/28/1994 Notice of Trustee Sale Hsbc Bank (800) 975-4722 20070524166 05/04/2007 $348,750.00 $368,200.00 20090988267 Recontrust (800) 281-8219 01/28/2010 12:00 pm $114,130.00 10/31/1997 Notice of Trustee Sale Bank Of America (800) 285-6000 20071228334 11/16/2007 $192,500.00 $206,200.00 20090988343 Recontrust (800) 281-8219 01/28/2010 12:00 pm $39,000.00 07/31/1987 Notice of Trustee Sale 10/30/2007 $96,600.00 $68,500.00 20090987367 Mtc Financial Azo559691 01/26/2010 02:00 pm $168,000.00 12/08/2005 Notice of Trustee Sale Bank Of America (800) 285-6000 20051860743 12/08/2005 $168,000.00 $113,200.00 20090987669 Recontrust (800) 281-8219 01/26/2010 02:00 pm 01/31/2007 Notice of Trustee Sale Deutsche Bank (212) 250-2500 $147,000.00 $8,020.00 20090986861 Michael A Bosco Jr 09-25905 (602) 255-6000 01/25/2010 10:00 am $130,000.00 07/08/2005 Notice of Trustee Sale The Bank Of New York Mellon (212) 495-1784 20050946894 07/08/2005 $104,000.00 $109,000.00 20090987693 Recontrust 09-0156886 (800) 281-8219 01/26/2010 02:00 pm $269,000.00 12/23/2005 Notice of Trustee Sale Long Beach Mortgage 12/23/2005 $215,200.00 $180,200.00 20090987748 California Reconveyance 137791az (714) 573-1965 05/08/2013 02:00 pm $157,000.00 04/03/2002 Notice of Trustee Sale Deutsche Bank (212) 250-2500 11/24/2004 $164,350.00 $129,300.00 20090988467 Quality Loan Service Az-09-321533-bl (714) 573-1965 01/25/2010 12:00 pm 08/15/2008 Notice of Trustee Sale Bayview Loan Servicing, Llc (800) 457-5105 2008 $604,500.00 $31,276.00 20090987295 Security Title Agency 14-89222 (602) 266-0275 01/26/2010 10:30 am $150,000.00 05/30/2006 Notice of Trustee Sale Metlife Home Loans 20060729544 05/25/2006 $150,000.00 $108,000.00 20090986232 Lawyers Title Insurance 057-009914 (714) 573-1965 01/26/2010 02:00 pm 08/24/2004 Notice of Trustee Sale Johnson Bank (262) 619-2272 $306,000.00 $76,320.00 20090985893 Quality Loan Service (714) 573-1965 01/26/2010 10:00 am $135,500.00 10/01/2001 Notice of Trustee Sale Mers (800) 646-6377 2008 12/31/2007 $237,500.00 $183,100.00 20090988212 Security Title Agency (602) 266-0275 02/02/2010 12:00 pm $280,000.00 05/28/2004 Notice of Trustee Sale The Bank Of New York Mellon (212) 495-1784 2006 01/05/2006 $319,500.00 $272,600.00 20090988171 Recontrust (800) 281-8219 01/28/2010 12:00 pm $265,000.00 05/29/2008 Notice of Trustee Sale Chase Home Finance Llc (888) 332-3251 $238,500.00 $188,700.00 20090986720 Michael A Bosco Jr 09-26464 (602) 255-6000 01/25/2010 10:00 am $197,915.00 01/30/2004 Notice of Trustee Sale The Bank Of New York Mellon (212) 495-1784 20060040369 01/10/2006 $269,000.00 $213,500.00 20090988215 Recontrust (800) 281-8219 01/28/2010 12:00 pm $84,550.00 03/31/2000 Notice of Trustee Sale Bank Of America (800) 285-6000 20080193009 03/04/2008 $163,200.00 $128,200.00 20090987755 Recontrust (800) 281-8219 01/27/2010 12:00 pm $125,180.00 09/12/2003 Notice of Trustee Sale Bank Of America (800) 285-6000 20070124349 01/31/2007 $172,800.00 $153,100.00 20090987954 Recontrust (800) 281-8219 01/26/2010 02:00 pm $369,000.00 07/08/2005 Notice of Trustee Sale The Bank Of New York Mellon (212) 495-1784 2005 07/08/2005 $332,000.00 $254,700.00 20090987986 Recontrust 09-0157513 (800) 281-8219 01/26/2010 02:00 pm $293,800.00 09/14/2006 Notice of Trustee Sale Bank Of America (800) 285-6000 20061224764 09/14/2006 $235,000.00 $45,000.00 20090988290 Recontrust (800) 281-8219 01/28/2010 12:00 pm $337,475.00 11/26/2007 Notice of Trustee Sale Bank Of America (800) 285-6000 20071249800 11/26/2007 $302,500.00 $15,520.00 20090987744 Recontrust (800) 281-8219 01/27/2010 12:00 pm $445,725.00 10/17/2007 Notice of Trustee Sale Bank Of America (800) 285-6000 20071130634 10/17/2007 $252,000.00 $19,870.00 20090987982 Recontrust (800) 281-8219 01/28/2010 12:00 pm $129,900.00 07/30/2003 Notice of Trustee Sale Deutsche Bank (212) 250-2500 20061056601 08/08/2006 $223,000.00 $146,100.00 20090988237 Recontrust (800) 281-8219 01/27/2010 12:00 pm $87,900.00 01/31/2000 Notice of Trustee Sale Litton Loan Servicing Lp (800) 247-9727 09/15/2005 $138,750.00 $156,300.00 20090988471 Quality Loan Service Az-09-321566-bl (714) 573-1965 01/25/2010 12:00 pm $178,000.00 08/02/2002 Notice of Trustee Sale Aurora Loan Services (720) 945-3000 $256,000.00 $228,800.00 20090987598 Cal Western Reconveyance 1246186-14 (800) 546-1531 01/26/2010 02:00 pm $239,861.00 09/26/2006 Notice of Trustee Sale U.s. Bancorp (800) 365-7772 09/26/2006 $191,850.00 $173,000.00 20090988280 Recontrust (800) 281-8219 01/28/2010 12:00 pm 12/20/2007 Notice of Trustee Sale U.s. Bancorp (800) 365-7772 20061341573 10/11/2006 $259,000.00 $214,000.00 20090987611 Recontrust (800) 281-8219 01/28/2010 12:00 pm $70,000.00 12/27/2006 Notice of Trustee Sale Bank Of America (800) 285-6000 20071147291 10/23/2007 $183,750.00 $27,700.00 20090987996 Recontrust (800) 281-8219 01/26/2010 02:00 pm $140,000.00 01/30/2002 Notice of Trustee Sale U.s. Bancorp (800) 365-7772 2007 03/08/2007 $283,000.00 $199,100.00 20090988016 Recontrust 09-0157924 (800) 281-8219 01/26/2010 02:00 pm $140,721.00 08/22/2003 Notice of Trustee Sale Chase Home Finance Llc (888) 332-3251 $200,000.00 $173,200.00 20090986741 Michael A Bosco Jr 09-26445 (602) 255-6000 01/25/2010 10:00 am $257,670.00 12/28/2004 Notice of Trustee Sale Provident Funding (800) 696-8199 $231,000.00 $264,000.00 20090988302 Jason Cotton Pa 7092479 01/26/2010 12:00 pm $66,000.00 08/31/1998 Notice of Trustee Sale Chase Home Finance Llc (888) 332-3251 $145,000.00 $51,800.00 20090986714 Michael A Bosco Jr 09-26204 (602) 255-6000 01/25/2010 10:00 am $110,000.00 08/13/2002 Notice of Trustee Sale The Bank Of New York Mellon (212) 495-1784 08/07/2002 $88,000.00 $77,000.00 20090988473 Quality Loan Service Az-09-321733-bl (714) 573-1965 01/25/2010 12:00 pm $416,790.00 07/30/2004 Notice of Trustee Sale 08/07/2007 $470,500.00 $516,800.00 20090988459 Quality Loan Service Az-09-321055-tc (714) 573-1965 01/25/2010 12:00 pm 10/02/2006 Notice of Trustee Sale $3,430,000.00 $363,880.00 20090987301 Quality Loan Service (714) 573-1965 01/25/2010 10:00 am $205,000.00 04/08/2005 Notice of Trustee Sale Chase Home Finance Llc (888) 332-3251 03/29/2004 $497,000.00 $531,300.00 20090987977 California Reconveyance 137770az (714) 573-1965 01/26/2010 02:00 pm $161,980.00 08/25/2006 Notice of Trustee Sale Bank Of America (800) 285-6000 20061135421 08/25/2006 $129,584.00 $126,000.00 20090987676 Recontrust 09-0156906 (800) 281-8219 01/27/2010 12:00 pm $262,000.00 07/02/2008 Notice of Trustee Sale Metlife Home Loans 06/26/2008 $347,130.00 $309,000.00 20090985975 Quality Loan Service Az-09-321514-rm (714) 573-1965 01/26/2010 02:00 pm $94,800.00 11/30/2001 Notice of Trustee Sale Bank Of America (800) 285-6000 20011125492 11/30/2001 $93,335.00 $125,000.00 20090988090 Recontrust (800) 281-8219 01/27/2010 12:00 pm $263,000.00 09/13/2005 Notice of Trustee Sale Deutsche Bank (212) 250-2500 $211,002.00 $167,200.00 20090986930 Old Republic Nat'l Title Insurance C 09-35390 (714) 573-1965 01/26/2010 02:00 pm $299,900.00 11/30/2005 Notice of Trustee Sale Household Financial Group (800) 340-7866 12/13/2006 $333,877.00 $220,100.00 20090987331 Mtc Financial Azo859687 01/26/2010 12:00 pm $105,155.00 07/11/1995 Notice of Trustee Sale Chase Home Finance Llc (888) 332-3251 $159,000.00 $199,200.00 20090986711 Michael A Bosco Jr 09-26332 (602) 255-6000 01/25/2010 10:00 am $78,000.00 03/09/1999 Notice of Trustee Sale Bank Of America (800) 285-6000 $169,500.00 $155,700.00 20090986878 Michael A Bosco Jr 09-26669 (602) 255-6000 01/25/2010 10:00 am $139,000.00 09/21/2007 Notice of Trustee Sale Metlife Home Loans 20071047933 09/10/2007 $125,100.00 $116,000.00 20090986234 Lawyers Title Insurance 057-009979 (714) 573-1965 01/26/2010 02:00 pm Page 40
  • 41.
    Pre-foreclosure List Maricopa County Week Ending 11/2 $390,000.00 11/10/2005 Notice of Trustee Sale Wells Fargo Home Mortgage (866) 234-8271 20050425372 04/04/2005 $446,250.00 $28,980.00 20090987920 Recontrust (800) 281-8219 01/26/2010 02:00 pm $38,000.00 08/02/2001 Notice of Trustee Sale Nationstar Mortgage (800) 306-9027 06/15/2007 $77,900.00 $58,500.00 20090988524 First American Title Az-09-322524-ab (702) 304-7514 01/25/2010 12:00 pm $160,000.00 06/27/2008 Notice of Trustee Sale Phh Mortgage (800) 210-8849 $157,771.00 $163,300.00 20090986877 Michael A Bosco Jr 09-26509 (602) 255-6000 01/25/2010 10:00 am $65,900.00 01/07/1999 Notice of Trustee Sale Litton Loan Servicing Lp (800) 247-9727 $134,400.00 $119,500.00 20090986871 Michael A Bosco Jr 09-26077 (602) 255-6000 01/25/2010 10:00 am $111,900.00 09/06/2001 Notice of Trustee Sale Nationstar Mortgage (800) 306-9027 04/06/2007 $218,500.00 $110,200.00 20090988522 First American Title Az-09-322415-ab (702) 304-7514 01/25/2010 12:00 pm $230,000.00 02/17/2006 Notice of Trustee Sale U.s. Bancorp (800) 365-7772 20060226882 02/17/2006 $184,000.00 $171,600.00 20090987923 Recontrust 09-0157508 (800) 281-8219 01/26/2010 02:00 pm $88,500.00 10/25/1999 Notice of Trustee Sale Chase Home Finance Llc (888) 332-3251 $172,500.00 $132,500.00 20090986011 First American Title 20099073502375 (702) 304-7514 01/26/2010 02:00 pm $274,208.00 12/06/2005 Notice of Trustee Sale Provident Funding (800) 696-8199 $276,000.00 $13,520.00 20090988365 Jason Cotton Pa 7092485 01/26/2010 12:00 pm $157,400.00 06/30/2004 Notice of Trustee Sale Chase Home Finance Llc (888) 332-3251 $157,400.00 $10,960.00 20090988450 Aztec Foreclosure 09-018777 (602) 222-5711 01/25/2010 11:00 am $176,000.00 05/24/2006 Notice of Trustee Sale Carrington Mortgage Services (714) 969-7600 05/09/2006 $140,800.00 $101,400.00 20090988841 Quality Loan Service Az-09-321355-rm (714) 573-1965 01/26/2010 02:00 pm $928,500.00 12/14/2006 Notice of Trustee Sale The Bank Of New York Mellon (212) 495-1784 20061632075 12/14/2006 $696,375.00 $378,000.00 20090987935 Recontrust (800) 281-8219 01/28/2010 12:00 pm $110,000.00 10/01/2002 Notice of Trustee Sale Bank Of America (800) 285-6000 20080474890 05/29/2008 $178,843.00 $145,800.00 20090988067 Recontrust (800) 281-8219 01/28/2010 12:00 pm $498,466.00 09/14/2006 Notice of Trustee Sale Bank Of America (800) 285-6000 20061225042 09/14/2006 $412,000.00 $23,120.00 20090988412 Recontrust (800) 281-8219 01/28/2010 12:00 pm $165,000.00 06/24/2003 Notice of Trustee Sale Bank Of America (800) 285-6000 $245,000.00 $201,200.00 20090987442 Aztec Foreclosure 09-018599 (602) 222-5711 01/25/2010 11:00 am $578,500.00 02/14/2006 Notice of Trustee Sale 20060614666 05/05/2006 $496,000.00 $480,300.00 20090988234 Recontrust (800) 281-8219 01/28/2010 12:00 pm $287,990.00 07/11/2007 Notice of Trustee Sale U.s. Bancorp (800) 365-7772 20070790334 07/11/2007 $273,590.00 $16,900.00 20090988337 Recontrust 09-0158829 (800) 281-8219 01/28/2010 12:00 pm $82,000.00 02/14/2000 Notice of Trustee Sale Nationstar Mortgage (800) 306-9027 $150,000.00 $144,700.00 20090987969 Cal Western Reconveyance 1246048-08 (800) 546-1531 01/26/2010 02:00 pm $251,000.00 06/16/2005 Notice of Trustee Sale Phh Mortgage (800) 210-8849 $156,000.00 $182,800.00 20090986869 Michael A Bosco Jr 09-25299 (602) 255-6000 01/25/2010 10:00 am $47,000.00 04/15/2005 Notice of Trustee Sale Long Beach Mortgage 04/15/2005 $42,300.00 $74,000.00 20090987917 California Reconveyance 137790az (714) 573-1965 01/26/2010 02:00 pm $237,600.00 08/14/2006 Notice of Trustee Sale The Bank Of New York Mellon (212) 495-1784 20061081913 08/14/2006 $190,080.00 $180,500.00 20090987465 Recontrust (800) 281-8219 01/28/2010 12:00 pm $233,900.00 07/18/2006 Notice of Trustee Sale Bank Of America (800) 285-6000 20060960082 07/18/2006 $187,120.00 $15,250.00 20090987951 Recontrust 09-0157522 (800) 281-8219 01/26/2010 02:00 pm $359,500.00 11/14/2005 Notice of Trustee Sale Citimortgage, Inc (800) 695-0935 $287,600.00 $206,100.00 20090988445 Michael A Bosco Jr 09-26199 (602) 255-6000 01/25/2010 10:00 am $200,000.00 10/25/2005 Notice of Trustee Sale The Bank Of New York Mellon (212) 495-1784 20051605162 10/25/2005 $140,000.00 $160,600.00 20090987914 Recontrust (800) 281-8219 01/26/2010 02:00 pm $273,000.00 11/29/2006 Notice of Trustee Sale Litton Loan Servicing Lp (800) 247-9727 11/21/2006 $273,000.00 $180,200.00 20090988469 Quality Loan Service Az-09-321555-bl (714) 573-1965 01/25/2010 12:00 pm $173,000.00 06/29/1999 Notice of Trustee Sale Deutsche Bank (212) 250-2500 20061627635 12/13/2006 $357,000.00 $224,300.00 20090988116 Recontrust (800) 281-8219 01/27/2010 12:00 pm $289,674.00 05/05/2006 Notice of Trustee Sale First Horizon Home Loans (800) 707-0139 20060613292 05/01/2006 $231,500.00 $187,200.00 20090986230 Lawyers Title Insurance 057-009948 (714) 573-1965 01/26/2010 02:00 pm $106,900.00 03/15/2002 Notice of Trustee Sale Metlife Home Loans 02/19/2002 $105,248.00 $150,300.00 20090985973 Quality Loan Service Az-09-321422-rm (714) 573-1965 01/26/2010 02:00 pm $77,600.00 08/12/2005 Notice of Trustee Sale Long Beach Mortgage 08/12/2005 $65,960.00 $76,000.00 20090988087 California Reconveyance 137762az (714) 573-1965 05/08/2013 02:00 pm $78,000.00 08/12/2005 Notice of Trustee Sale Long Beach Mortgage 08/12/2005 $66,300.00 $76,000.00 20090988100 California Reconveyance 137761az (714) 573-1965 05/08/2013 02:00 pm $239,316.00 07/12/2006 Notice of Trustee Sale Wells Fargo Home Mortgage (866) 234-8271 $191,452.00 $183,000.00 20090986688 Michael A Bosco Jr 09-48103 (602) 255-6000 01/25/2010 10:00 am $314,120.00 07/26/2004 Notice of Trustee Sale Wells Fargo Home Mortgage (866) 234-8271 $285,964.00 $359,100.00 20090988239 First American Title 20099070806674 (702) 304-7514 01/26/2010 02:00 pm $52,500.00 10/20/1995 Notice of Trustee Sale The Bank Of New York Mellon (212) 495-1784 2007 06/15/2007 $155,550.00 $67,300.00 20090987601 Recontrust (800) 281-8219 01/26/2010 02:00 pm $130,500.00 07/25/2008 Notice of Trustee Sale Bank Of America (800) 285-6000 20080651950 07/25/2008 $128,082.00 $166,600.00 20090988078 Recontrust 09-0157964 (800) 281-8219 01/28/2010 12:00 pm $35,000.00 04/13/1977 Notice of Trustee Sale Chase Home Finance Llc (888) 332-3251 $48,000.00 $275,800.00 20090986716 Michael A Bosco Jr 09-26342 (602) 255-6000 01/25/2010 10:00 am $415,000.00 10/31/2005 Notice of Trustee Sale The Bank Of New York Mellon (212) 495-1784 20051646569 10/31/2005 $332,000.00 $198,700.00 20090988109 Recontrust (800) 281-8219 01/26/2010 02:00 pm $135,000.00 04/08/2005 Notice of Trustee Sale Mers (800) 646-6377 $108,000.00 $131,800.00 20090986954 Quality Loan Service Az-sls-090112 (714) 573-1965 01/26/2010 12:00 pm $68,500.00 01/21/1999 Notice of Trustee Sale Deutsche Bank (212) 250-2500 $135,000.00 $115,100.00 20090986932 Old Republic Nat'l Title Insurance C 09-35378 (714) 573-1965 01/26/2010 02:00 pm $270,000.00 11/08/2005 Notice of Trustee Sale U.s. Bancorp (800) 365-7772 20051689274 11/08/2005 $216,000.00 $181,700.00 20090988113 Recontrust 09-0157969 (800) 281-8219 01/27/2010 12:00 pm $103,000.00 11/26/2003 Notice of Trustee Sale Nationstar Mortgage (800) 306-9027 04/16/2007 $158,950.00 $58,500.00 20090988536 Quality Loan Service Az-09-322410-ab (714) 573-1965 01/25/2010 12:00 pm $105,000.00 10/29/2004 Notice of Trustee Sale Bank Of America (800) 285-6000 20060498175 04/13/2006 $143,500.00 $120,700.00 20090988009 Recontrust (800) 281-8219 01/26/2010 02:00 pm $103,000.00 06/28/2002 Notice of Trustee Sale Provident Funding (800) 696-8199 $168,000.00 $120,600.00 20090988287 Jason Cotton Pa 7092480 01/26/2010 12:00 pm $152,290.00 06/17/2003 Notice of Trustee Sale Bank Of America (800) 285-6000 20071286614 12/06/2007 $254,406.00 $222,200.00 20090988075 Recontrust (800) 281-8219 01/28/2010 12:00 pm $34,500.00 05/04/1992 Notice of Trustee Sale Deutsche Bank (212) 250-2500 $100,000.00 $126,600.00 20090985317 Old Republic Nat'l Title Insurance C 09-35413 (714) 573-1965 01/26/2010 02:00 pm $205,000.00 07/11/2006 Notice of Trustee Sale The Bank Of New York Mellon (212) 495-1784 20060926869 07/11/2006 $164,000.00 $102,100.00 20090987605 Recontrust (800) 281-8219 01/28/2010 12:00 pm $182,840.00 10/16/2006 Notice of Trustee Sale New Century Mortgage (866) 774-5172 2005 $144,500.00 $158,200.00 20090985314 Old Republic Nat'l Title Insurance C 09-35399 (714) 573-1965 01/26/2010 02:00 pm $310,331.00 12/28/2004 Notice of Trustee Sale Bank Of America (800) 285-6000 20051348502 09/14/2005 $295,400.00 $237,300.00 20090987659 Recontrust (800) 281-8219 01/26/2010 02:00 pm $107,500.00 11/23/2004 Notice of Trustee Sale Chase Home Finance Llc (888) 332-3251 $165,000.00 $126,000.00 20090988456 Aztec Foreclosure 09-018805 (602) 222-5711 01/25/2010 11:00 am $95,000.00 09/09/2002 Notice of Trustee Sale Hsbc Bank (800) 975-4722 $159,000.00 $150,600.00 20090986874 Michael A Bosco Jr 09-26032 (602) 255-6000 01/25/2010 10:00 am $158,418.00 10/28/1997 Notice of Trustee Sale Litton Loan Servicing Lp (800) 247-9727 07/01/2005 $225,600.00 $227,700.00 20090988483 Quality Loan Service Az-09-321745-bl (714) 573-1965 01/25/2010 12:00 pm $445,000.00 05/18/2007 Notice of Trustee Sale Citimortgage, Inc (800) 695-0935 05/15/2007 $356,000.00 $272,100.00 20090986212 Cr Title Service To9-55692-az (714) 573-1965 01/26/2010 02:00 pm $674,265.00 12/15/2006 Notice of Trustee Sale The Bank Of New York Mellon (212) 495-1784 20061638681 12/15/2006 $417,000.00 $400,200.00 20090987618 Recontrust 09-0156208 (800) 281-8219 01/27/2010 12:00 pm $145,000.00 06/27/2003 Notice of Trustee Sale Provident Funding (800) 696-8199 $176,700.00 $183,500.00 20090988271 Jason Cotton Pa 7092481 01/26/2010 12:00 pm $218,000.00 01/13/2000 Notice of Trustee Sale Washington Mutual 07/09/2007 $390,700.00 $347,200.00 20090987730 Quality Loan Service Az-09-322487-pj (714) 573-1965 01/25/2010 12:00 pm $425,000.00 02/08/2006 Notice of Trustee Sale 20070174777 02/12/2007 $392,000.00 $309,700.00 20090988243 Recontrust (800) 281-8219 01/27/2010 12:00 pm $300,000.00 01/26/2006 Notice of Trustee Sale Downey Savings And Loan $240,000.00 $156,000.00 20090987384 Michael A Bosco Jr 09-26309 (602) 255-6000 01/25/2010 10:00 am $452,000.00 10/24/2006 Notice of Trustee Sale Wells Fargo Home Mortgage (866) 234-8271 20090175807 $308,000.00 $288,300.00 20090985315 Old Republic Nat'l Title Insurance C 09-35400 (714) 573-1965 01/26/2010 02:00 pm $379,000.00 04/26/2006 Notice of Trustee Sale Aurora Loan Services (720) 945-3000 04/24/2006 $303,200.00 $263,000.00 20090987719 Quality Loan Service Az-09-322421-pj (714) 573-1965 01/25/2010 12:00 pm Page 41
  • 42.
    Pre-foreclosure List Maricopa County Week Ending 11/2 $80,000.00 09/29/2009 Notice of Trustee Sale Bank Of America (800) 285-6000 20051026224 07/21/2005 $194,660.00 $160,000.00 20090987468 Recontrust (800) 281-8219 01/28/2010 12:00 pm 03/26/2007 Notice of Trustee Sale Bank Of America (800) 285-6000 $3,375,000.00 $186,460.00 20090986784 Quality Loan Service 2009-36 (714) 573-1965 01/26/2010 02:00 pm $91,000.00 04/11/1994 Notice of Trustee Sale Deutsche Bank (212) 250-2500 20070103448 01/26/2007 $246,400.00 $215,000.00 20090988119 Recontrust (800) 281-8219 01/27/2010 12:00 pm $250,000.00 07/27/2007 Notice of Trustee Sale Washington Mutual 07/27/2007 $225,000.00 $140,100.00 20090987983 California Reconveyance 137768az (714) 573-1965 05/08/2013 02:00 pm $157,970.00 12/12/2003 Notice of Trustee Sale Litton Loan Servicing Lp (800) 247-9727 11/20/2006 $572,000.00 $401,300.00 20090988481 Quality Loan Service Az-09-321743-bl (714) 573-1965 01/25/2010 12:00 pm $210,000.00 09/17/2007 Notice of Trustee Sale Bank Of America (800) 285-6000 20071029290 09/17/2007 $207,075.00 $129,700.00 20090988001 Recontrust (800) 281-8219 01/28/2010 12:00 pm $137,000.00 05/18/2005 Notice of Trustee Sale Bank Of America (800) 285-6000 20050660348 05/18/2005 $137,000.00 $122,300.00 20090988133 Recontrust (800) 281-8219 01/27/2010 12:00 pm 06/24/2002 Notice of Trustee Sale The Bank Of New York Mellon (212) 495-1784 20070392653 04/03/2007 $650,000.00 $528,500.00 20090988261 Recontrust (800) 281-8219 01/27/2010 12:00 pm $213,887.00 08/30/2005 Notice of Trustee Sale The Bank Of New York Mellon (212) 495-1784 20060958489 07/18/2006 $232,500.00 $220,500.00 20090988218 Recontrust 09-0158397 (800) 281-8219 01/28/2010 12:00 pm $70,670.00 10/06/1989 Notice of Trustee Sale Midfirst Bank (800) 877-1674 03/09/1987 $68,611.00 $149,200.00 20090986317 Quality Loan Service Az-09-322344-ab (714) 573-1965 01/25/2010 12:00 pm $210,500.00 02/02/2005 Notice of Trustee Sale Citimortgage, Inc (800) 695-0935 06/15/2007 $289,000.00 $225,700.00 20090986323 Cr Title Service To9-55650-az (714) 573-1965 01/26/2010 02:00 pm 08/20/2004 Notice of Trustee Sale Bank Of America (800) 285-6000 20051912077 12/19/2005 $685,000.00 $463,700.00 20090988144 Recontrust 09-0158384 (800) 281-8219 01/28/2010 12:00 pm $235,210.00 01/21/2009 Notice of Trustee Sale Wells Fargo Home Mortgage (866) 234-8271 $231,004.00 $16,270.00 20090986060 First American Title 20099070821235 (702) 304-7514 01/26/2010 02:00 pm $545,000.00 06/28/2006 Notice of Trustee Sale Bank Of America (800) 285-6000 $395,000.00 $27,120.00 20090987399 Aztec Foreclosure 09-018590 (602) 222-5711 01/25/2010 11:00 am $142,840.00 08/29/2003 Notice of Trustee Sale U.s. Bancorp (800) 365-7772 $242,250.00 $167,000.00 20090986567 Quality Loan Service B501937 (714) 573-1965 01/26/2010 12:00 pm $29,640.00 11/18/1976 Notice of Trustee Sale U.s. Bancorp (800) 365-7772 20060884600 06/30/2006 $135,000.00 $169,800.00 20090988306 Recontrust (800) 281-8219 01/28/2010 12:00 pm $159,500.00 11/24/2004 Notice of Trustee Sale Aurora Loan Services (720) 945-3000 $126,400.00 $12,620.00 20090987495 Cal Western Reconveyance 1245800-14 (800) 546-1531 01/26/2010 02:00 pm $329,000.00 06/27/2008 Notice of Trustee Sale Bank Of America (800) 285-6000 20080573053 06/27/2008 $312,550.00 $335,100.00 20090987672 Recontrust (800) 281-8219 01/27/2010 12:00 pm $229,990.00 12/21/2007 Notice of Trustee Sale Bank Of America (800) 285-6000 20071334692 12/21/2007 $226,436.00 $199,200.00 20090988020 Recontrust 09-0157942 (800) 281-8219 01/28/2010 12:00 pm $542,000.00 05/11/2007 Notice of Trustee Sale Deutsche Bank (212) 250-2500 05/04/2007 $500,000.00 $335,200.00 20090986706 Quality Loan Service Az-09-322529-bl (714) 573-1965 01/26/2010 02:00 pm $364,866.00 12/28/2005 Notice of Trustee Sale Wells Fargo Home Mortgage (866) 234-8271 2009 02/17/2006 $291,850.00 $237,500.00 20090986696 Michael A Bosco Jr 09-46123 (602) 255-6000 01/25/2010 10:00 am $345,000.00 02/22/2007 Notice of Trustee Sale Deutsche Bank (212) 250-2500 $276,000.00 $245,600.00 20090986865 Michael A Bosco Jr 09-25906 (602) 255-6000 01/25/2010 10:00 am $92,000.00 10/23/2002 Notice of Trustee Sale Hsbc Bank (800) 975-4722 20060131912 01/30/2006 $160,000.00 $131,500.00 20090988184 Recontrust (800) 281-8219 01/27/2010 12:00 pm $128,225.00 02/26/2007 Notice of Trustee Sale $102,580.00 $101,000.00 20090987500 Cal Western Reconveyance 1239652-08 (800) 546-1531 01/25/2010 12:00 pm $113,775.00 05/29/1996 Notice of Trustee Sale Wells Fargo Home Mortgage (866) 234-8271 09/26/2005 $351,000.00 $233,100.00 20090988829 Quality Loan Service Az-09-321354-rm (714) 573-1965 01/26/2010 02:00 pm $135,000.00 01/21/2003 Notice of Trustee Sale Chase Home Finance Llc (888) 332-3251 $166,500.00 $142,100.00 20090988827 Quality Loan Service 7104 (714) 573-1965 01/26/2010 02:00 pm $125,361.00 11/24/2004 Notice of Trustee Sale Bank Of America (800) 285-6000 2004 11/24/2004 $128,056.00 $145,100.00 20090987622 Recontrust (800) 281-8219 01/26/2010 02:00 pm $103,200.00 01/24/2001 Notice of Trustee Sale Wells Fargo Home Mortgage (866) 234-8271 $110,197.00 $9,260.00 20090986015 First American Title 20099070821167 (702) 304-7514 01/26/2010 02:00 pm $122,000.00 06/01/2004 Notice of Trustee Sale The Bank Of New York Mellon (212) 495-1784 $97,600.00 $162,000.00 20090986867 Michael A Bosco Jr 09-26070 (602) 255-6000 01/25/2010 10:00 am $199,000.00 06/27/2007 Notice of Trustee Sale Bank Of America (800) 285-6000 20070739916 06/27/2007 $199,000.00 $121,100.00 20090987708 Recontrust (800) 281-8219 01/28/2010 12:00 pm $92,000.00 07/08/2004 Notice of Trustee Sale U.s. Bancorp (800) 365-7772 20070803203 07/16/2007 $720,000.00 $569,300.00 20090988316 Recontrust 09-0158414 (800) 281-8219 01/28/2010 12:00 pm $250,000.00 06/29/2006 Notice of Trustee Sale Washington Mutual 06/27/2006 $200,000.00 $160,800.00 20090987470 Quality Loan Service Az-09-322488-pj (714) 573-1965 01/26/2010 12:00 pm $187,500.00 08/11/2006 Notice of Trustee Sale Mers (800) 646-6377 2005 07/23/2005 $177,600.00 $161,000.00 20090988176 Security Title Agency (602) 266-0275 02/02/2010 12:00 pm $124,900.00 12/15/2000 Notice of Trustee Sale Chase Home Finance Llc (888) 332-3251 $172,000.00 $176,700.00 20090988815 Quality Loan Service 7104 (714) 573-1965 01/26/2010 02:00 pm $149,760.00 12/13/2004 Notice of Trustee Sale 03/31/2006 $247,200.00 $169,200.00 20090987365 Mtc Financial Azo552575 01/26/2010 12:00 pm $259,600.00 11/04/2005 Notice of Trustee Sale Aurora Loan Services (720) 945-3000 $264,000.00 $137,800.00 20090987502 Cal Western Reconveyance 1246107-14 (800) 546-1531 01/26/2010 02:00 pm $313,855.00 04/20/2006 Notice of Trustee Sale Bank Of America (800) 285-6000 20070842499 07/25/2007 $277,400.00 $196,300.00 20090988264 Recontrust (800) 281-8219 01/28/2010 12:00 pm $183,343.00 03/10/1995 Notice of Trustee Sale Mers (800) 646-6377 2005 08/08/2005 $320,000.00 $363,100.00 20090988173 Security Title Agency (602) 266-0275 02/02/2010 12:00 pm $250,000.00 04/19/2006 Notice of Trustee Sale U.s. Bancorp (800) 365-7772 20060520614 04/19/2006 $237,500.00 $155,600.00 20090988323 Recontrust (800) 281-8219 01/28/2010 12:00 pm $106,700.00 02/03/2003 Notice of Trustee Sale The Bank Of New York Mellon (212) 495-1784 20061377156 10/18/2006 $157,500.00 $130,100.00 20090987505 Recontrust (800) 281-8219 01/28/2010 12:00 pm $248,000.00 11/12/2004 Notice of Trustee Sale Bank Of America (800) 285-6000 20041325290 11/12/2004 $196,000.00 $214,100.00 20090987928 Recontrust (800) 281-8219 01/26/2010 02:00 pm $184,000.00 09/15/2005 Notice of Trustee Sale The Bank Of New York Mellon (212) 495-1784 20051361585 09/15/2005 $147,200.00 $135,100.00 20090987666 Recontrust (800) 281-8219 01/26/2010 02:00 pm $385,000.00 11/17/2006 Notice of Trustee Sale Chase Home Finance Llc (888) 332-3251 $308,000.00 $235,000.00 20090986692 Michael A Bosco Jr 09-26196 (602) 255-6000 01/25/2010 10:00 am $252,310.00 03/07/2006 Notice of Trustee Sale Provident Funding (800) 696-8199 $258,000.00 $163,100.00 20090988359 Jason Cotton Pa 7092486 01/26/2010 12:00 pm $410,558.00 06/22/2006 Notice of Trustee Sale The Bank Of New York Mellon (212) 495-1784 20060842259 06/22/2006 $328,446.00 $157,100.00 20090987943 Recontrust 09-0157520 (800) 281-8219 01/26/2010 02:00 pm $258,000.00 05/31/2007 Notice of Trustee Sale Suntrust Mortgage Inc (800) 786-8787 $206,400.00 $185,800.00 20090987334 Aztec Foreclosure 09-018687 (602) 222-5711 01/25/2010 11:00 am $271,609.00 11/22/2004 Notice of Trustee Sale Chase Home Finance Llc (888) 332-3251 06/24/2005 $260,000.00 $160,000.00 20090988070 California Reconveyance 137763az (714) 573-1965 01/26/2010 02:00 pm $355,000.00 03/25/2005 Notice of Trustee Sale First Horizon Home Loans (800) 707-0139 2005 03/22/2005 $280,800.00 $250,300.00 20090986233 Lawyers Title Insurance 057-009972 (714) 573-1965 01/26/2010 02:00 pm $86,860.00 10/23/1996 Notice of Trustee Sale Provident Funding (800) 696-8199 $177,000.00 $169,200.00 20090988330 Jason Cotton Pa 7092478 01/26/2010 12:00 pm $154,030.00 02/12/1999 Notice of Trustee Sale Bank Of America (800) 285-6000 20080279147 03/31/2008 $213,000.00 $238,100.00 20090988293 Recontrust (800) 281-8219 01/27/2010 12:00 pm $166,000.00 12/29/2004 Notice of Trustee Sale Deutsche Bank (212) 250-2500 20061483470 11/13/2006 $224,000.00 $171,700.00 20090988126 Recontrust (800) 281-8219 01/28/2010 12:00 pm $185,000.00 06/14/2004 Notice of Trustee Sale Citimortgage, Inc (800) 695-0935 $148,000.00 $218,100.00 20090988440 Michael A Bosco Jr 09-26331 (602) 255-6000 01/25/2010 10:00 am $202,000.00 12/09/2005 Notice of Trustee Sale Bank Of America (800) 285-6000 20070235685 02/27/2007 $184,000.00 $147,000.00 20090987741 Recontrust (800) 281-8219 01/27/2010 12:00 pm $399,990.00 03/19/2007 Notice of Trustee Sale Hsbc Bank (800) 975-4722 20070756973 07/02/2007 $419,000.00 $309,500.00 20090988277 Recontrust (800) 281-8219 01/27/2010 12:00 pm $98,500.00 11/30/1998 Notice of Trustee Sale Carrington Mortgage Services (714) 969-7600 09/06/2006 $159,250.00 $158,600.00 20090988831 Quality Loan Service Az-09-321673-rm (714) 573-1965 01/26/2010 02:00 pm $135,349.00 12/08/1997 Notice of Trustee Sale Citimortgage, Inc (800) 695-0935 $264,000.00 $218,500.00 20090988452 Michael A Bosco Jr 09-26344 (602) 255-6000 01/25/2010 10:00 am $183,000.00 04/20/2005 Notice of Trustee Sale Deutsche Bank (212) 250-2500 04/13/2005 $143,200.00 $139,200.00 20090988769 Quality Loan Service Az-09-321070-tc (714) 573-1965 01/25/2010 12:00 pm Page 42
  • 43.
    Pre-foreclosure List Maricopa County Week Ending 11/2 $157,500.00 01/07/2004 Notice of Trustee Sale Bank Of America (800) 285-6000 $261,000.00 $192,300.00 20090987075 Christopher Charles Rebhuhn 03-sf-85777 01/26/2010 02:00 pm $407,000.00 10/14/1997 Notice of Trustee Sale The Bank Of New York Mellon (212) 495-1784 20060945826 07/14/2006 $720,000.00 $728,000.00 20090988202 Recontrust 09-0158391 (800) 281-8219 01/28/2010 12:00 pm $135,000.00 08/20/2001 Notice of Trustee Sale Hsbc Bank (800) 975-4722 20060377045 03/21/2006 $240,000.00 $200,000.00 20090988327 Recontrust (800) 281-8219 01/28/2010 12:00 pm $198,945.00 07/26/2005 Notice of Trustee Sale Bank Of America (800) 285-6000 20070968173 08/29/2007 $211,932.00 $221,000.00 20090988053 Recontrust (800) 281-8219 01/28/2010 12:00 pm $289,990.00 11/15/2006 Notice of Trustee Sale Deutsche Bank (212) 250-2500 20061502344 11/15/2006 $231,990.00 $151,700.00 20090987705 Recontrust (800) 281-8219 01/26/2010 02:00 pm $147,500.00 08/19/2004 Notice of Trustee Sale Bank Of America (800) 285-6000 20061155724 08/30/2006 $205,600.00 $150,100.00 20090988029 Recontrust 09-0157936 (800) 281-8219 01/26/2010 02:00 pm $1,050,000.00 10/25/2005 Notice of Trustee Sale 20051600285 10/25/2005 $840,000.00 $817,200.00 20090988157 Recontrust (800) 281-8219 01/28/2010 12:00 pm $203,820.00 03/21/2002 Notice of Trustee Sale Bank Of America (800) 285-6000 20071166758 10/29/2007 $233,000.00 $261,600.00 20090987908 Recontrust (800) 281-8219 01/27/2010 12:00 pm $102,730.00 02/17/1999 Notice of Trustee Sale $141,000.00 $143,800.00 20090987378 Mtc Financial Azo969684 01/26/2010 12:00 pm $188,500.00 12/30/2004 Notice of Trustee Sale Saxon Mortgage Services (800) 594-8422 $150,800.00 $177,800.00 20090986929 Old Republic Nat'l Title Insurance C 09-35403 (714) 573-1965 01/26/2010 02:00 pm $236,900.00 11/21/2003 Notice of Trustee Sale Downey Savings And Loan $380,000.00 $264,700.00 20090987336 Michael A Bosco Jr 09-26310 (602) 255-6000 01/25/2010 10:00 am $257,000.00 10/31/2006 Notice of Trustee Sale Washington Mutual 10/31/2006 $205,600.00 $174,800.00 20090987925 California Reconveyance 137793az (714) 573-1965 05/08/2013 02:00 pm $84,000.00 11/15/2005 Notice of Trustee Sale Select Portfolio Servicing Inc (904) 722-7000 11/04/2005 $144,400.00 $94,100.00 20090988489 Quality Loan Service Az-09-321968-rt (714) 573-1965 01/25/2010 12:00 pm $186,900.00 08/05/2002 Notice of Trustee Sale Chase Home Finance Llc (888) 332-3251 $188,600.00 $16,800.00 20090986701 Michael A Bosco Jr 09-23016 (602) 255-6000 01/25/2010 10:00 am $325,000.00 07/20/2005 Notice of Trustee Sale Deutsche Bank (212) 250-2500 20060373757 03/20/2006 $361,000.00 $223,300.00 20090988198 Recontrust (800) 281-8219 01/28/2010 12:00 pm $213,804.00 06/30/1997 Notice of Trustee Sale Wells Fargo Home Mortgage (866) 234-8271 20061583164 12/04/2006 $476,000.00 $397,800.00 20090988334 Recontrust (800) 281-8219 01/28/2010 12:00 pm $1,700,000.00 06/28/2007 Notice of Trustee Sale Ing Bank Fsb (800) 464-3473 $1,360,000.00 $1,222,600.00 20090987491 Cal Western Reconveyance 1217545-08 (800) 546-1531 01/26/2010 02:00 pm 09/13/2005 Notice of Trustee Sale Mers (800) 646-6377 2005 08/12/2005 $125,000.00 $11,070.00 20090988204 Security Title Agency (602) 266-0275 02/02/2010 12:00 pm $185,000.00 08/05/2005 Notice of Trustee Sale Carrington Mortgage Services (714) 969-7600 07/21/2005 $148,000.00 $74,700.00 20090988819 Quality Loan Service Az-09-321025-rm (714) 573-1965 01/26/2010 02:00 pm $220,000.00 04/30/2001 Notice of Trustee Sale Long Beach Mortgage 04/30/2001 $176,000.00 $436,600.00 20090988122 California Reconveyance 137759az (714) 573-1965 01/26/2010 02:00 pm $175,000.00 11/29/2005 Notice of Trustee Sale The Bank Of New York Mellon (212) 495-1784 20051801471 11/29/2005 $140,000.00 $125,000.00 20090988167 Recontrust (800) 281-8219 01/27/2010 12:00 pm $193,319.00 09/11/2006 Notice of Trustee Sale Hsbc Bank (800) 975-4722 2006 01/31/2006 $273,000.00 $253,000.00 20090987608 Recontrust (800) 281-8219 01/28/2010 12:00 pm $562,500.00 01/19/2007 Notice of Trustee Sale National City Mortgage (800) 822-5626 $1,920,000.00 $669,000.00 20090986863 Michael A Bosco Jr 09-25709 (602) 255-6000 01/25/2010 10:00 am $236,941.00 05/24/2006 Notice of Trustee Sale Citimortgage, Inc (800) 695-0935 05/17/2006 $233,200.00 $168,200.00 20090986104 Cr Title Service To9-55688-az (714) 573-1965 01/26/2010 02:00 pm $230,000.00 05/19/2008 Notice of Trustee Sale Bank Of America (800) 285-6000 2008 05/19/2008 $226,446.00 $53,500.00 20090988005 Recontrust (800) 281-8219 01/26/2010 02:00 pm $100,000.00 12/13/2002 Notice of Trustee Sale Mers (800) 646-6377 2006 10/16/2006 $115,000.00 $114,000.00 20090983945 Security Title Agency (602) 266-0275 01/29/2010 12:00 pm $145,000.00 09/12/2005 Notice of Trustee Sale Hsbc Bank (800) 975-4722 20070137901 02/02/2007 $148,800.00 $121,300.00 20090984447 Recontrust (800) 281-8219 01/24/2010 02:00 pm $165,000.00 05/23/2003 Notice of Trustee Sale Chase Home Finance Llc (888) 332-3251 $202,000.00 $197,800.00 20090982774 Michael A Bosco Jr 09-26240 (602) 255-6000 01/22/2010 10:00 am $35,000.00 08/10/1990 Notice of Trustee Sale Mers (800) 646-6377 2006 11/27/2006 $367,000.00 $84,073.00 20090983950 Security Title Agency (602) 266-0275 01/29/2010 12:00 pm $269,900.00 12/19/2005 Notice of Trustee Sale Citimortgage, Inc (800) 695-0935 $215,920.00 $168,000.00 20090984580 Michael A Bosco Jr 09-26173 (602) 255-6000 01/22/2010 10:00 am $208,341.00 10/14/2005 Notice of Trustee Sale Citimortgage, Inc (800) 695-0935 $320,000.00 $313,500.00 20090984588 Michael A Bosco Jr 09-26177 (602) 255-6000 01/22/2010 10:00 am $96,100.00 05/01/1995 Notice of Trustee Sale Beneficial Mortgage Co (888) 223-0555 08/28/2007 $190,750.00 $195,300.00 20090983371 Mtc Financial Azob59638 01/25/2010 12:00 pm $305,000.00 01/25/2006 Notice of Trustee Sale Chase Home Finance Llc (888) 332-3251 $244,000.00 $195,500.00 20090982990 Michael A Bosco Jr 09-26214 (602) 255-6000 01/22/2010 10:00 am $255,000.00 08/23/2001 Notice of Trustee Sale Citimortgage, Inc (800) 695-0935 $272,800.00 $324,100.00 20090984595 Michael A Bosco Jr 09-26197 (602) 255-6000 01/22/2010 10:00 am $237,000.00 04/04/2005 Notice of Trustee Sale The Bank Of New York Mellon (212) 495-1784 20070376994 03/30/2007 $320,000.00 $208,800.00 20090984290 Recontrust (800) 281-8219 01/27/2010 12:00 pm $258,000.00 10/06/2006 Notice of Trustee Sale Deutsche Bank (212) 250-2500 $258,000.00 $127,500.00 20090984132 Michael A Bosco Jr 08-08141 (602) 255-6000 01/22/2010 10:00 am $136,500.00 12/30/2004 Notice of Trustee Sale Bank Of America (800) 285-6000 12/30/2004 $122,850.00 $146,200.00 20090984477 Recontrust (800) 281-8219 01/24/2010 02:00 pm $137,500.00 10/12/2000 Notice of Trustee Sale 02/13/2006 $199,200.00 $189,100.00 20090983372 Mtc Financial Azo559608 01/25/2010 12:00 pm $285,540.00 05/29/2007 Notice of Trustee Sale Suntrust Mortgage Inc (800) 786-8787 $299,640.00 $212,100.00 20090983370 Aztec Foreclosure 09-018660 (602) 222-5711 01/24/2010 02:00 pm $285,000.00 10/04/2005 Notice of Trustee Sale First Horizon Home Loans (800) 707-0139 20071127006 10/09/2007 $277,000.00 $184,500.00 20090984089 Lawyers Title Insurance 057-009971 (714) 573-1965 01/24/2010 02:00 pm $142,500.00 02/28/2000 Notice of Trustee Sale Chase Home Finance Llc (888) 332-3251 $223,000.00 $215,500.00 20090982769 Michael A Bosco Jr 09-26211 (602) 255-6000 01/22/2010 10:00 am 08/11/2003 Notice of Trustee Sale First Horizon Home Loans (800) 707-0139 20050795169 06/03/2005 $127,000.00 $215,200.00 20090984076 Lawyers Title Insurance 057-009957 (714) 573-1965 01/24/2010 02:00 pm $1,100,000.00 11/04/2005 Notice of Trustee Sale Mers (800) 646-6377 $2,400,190.00 $317,000.00 20090983667 Quality Loan Service 556076032 (714) 573-1965 01/24/2010 12:00 pm $284,044.00 11/17/2006 Notice of Trustee Sale Bank Of America (800) 285-6000 $5.00 $183,200.00 20090983669 Aztec Foreclosure 09-018677 (602) 222-5711 01/22/2010 11:00 am $350,000.00 05/30/2006 Notice of Trustee Sale Bank Of America (800) 285-6000 20060727742 05/30/2006 $280,000.00 $226,700.00 20090984352 Recontrust (800) 281-8219 01/26/2010 12:00 pm $228,316.00 12/26/2006 Notice of Trustee Sale Aurora Loan Services (720) 945-3000 $182,650.00 $174,300.00 20090983702 Cal Western Reconveyance 1245778-14 (800) 546-1531 01/24/2010 02:00 pm $122,500.00 04/14/2005 Notice of Trustee Sale Mers (800) 646-6377 $1,192,000.00 $702,600.00 20090983663 Quality Loan Service B502201 (714) 573-1965 01/24/2010 12:00 pm $179,262.00 07/21/2005 Notice of Trustee Sale Bank Of America (800) 285-6000 $100,000.00 $150,100.00 20090984671 Aztec Foreclosure 09-018623 (602) 222-5711 01/22/2010 11:00 am $269,360.00 09/17/1998 Notice of Trustee Sale $500,000.00 $314,500.00 20090983717 Cal Western Reconveyance 1239617-08 (800) 546-1531 01/25/2010 12:00 pm $205,060.00 08/06/2001 Notice of Trustee Sale Chase Home Finance Llc (888) 332-3251 $240,000.00 $268,200.00 20090982795 Michael A Bosco Jr 09-26269 (602) 255-6000 01/22/2010 10:00 am $149,000.00 08/26/2004 Notice of Trustee Sale $165,700.00 $151,600.00 20090983926 Aztec Foreclosure 09-018412 (602) 222-5711 01/22/2010 11:00 am $172,701.00 08/26/2005 Notice of Trustee Sale Chase Home Finance Llc (888) 332-3251 $138,160.00 $89,000.00 20090979357 Michael A Bosco Jr 09-26096 (602) 255-6000 01/21/2010 10:00 am $158,960.00 08/19/1998 Notice of Trustee Sale Bank Of America (800) 285-6000 2008 02/26/2008 $236,250.00 $249,500.00 20090984441 Recontrust 09-0156246 (800) 281-8219 01/27/2010 12:00 pm $75,950.00 07/08/1985 Notice of Trustee Sale The Bank Of New York Mellon (212) 495-1784 2005 12/23/2005 $237,750.00 $231,100.00 20090984519 Recontrust (800) 281-8219 01/24/2010 02:00 pm $175,000.00 04/14/2005 Notice of Trustee Sale Americas Servicing Company $140,000.00 $129,800.00 20090982973 Michael A Bosco Jr 09-49026 (602) 255-6000 01/22/2010 10:00 am $97,000.00 03/02/1998 Notice of Trustee Sale Wells Fargo Home Mortgage (866) 234-8271 $86,250.00 $173,600.00 20090982666 Michael A Bosco Jr 09-49006 (602) 255-6000 01/22/2010 10:00 am $180,000.00 11/24/2004 Notice of Trustee Sale Wells Fargo Home Mortgage (866) 234-8271 $183,000.00 $191,500.00 20090982609 Michael A Bosco Jr 09-48074 (602) 255-6000 01/22/2010 10:00 am Page 43
  • 44.
    Pre-foreclosure List Maricopa County Week Ending 11/2 $124,000.00 11/15/2002 Notice of Trustee Sale Mers (800) 646-6377 2006 07/26/2006 $272,000.00 $27,200.00 20090983928 Security Title Agency (602) 266-0275 01/29/2010 12:00 pm $262,080.00 11/19/2003 Notice of Trustee Sale Mers (800) 646-6377 2006 01/04/2006 $382,500.00 $340,000.00 20090983904 Security Title Agency (602) 266-0275 01/29/2010 12:00 pm $218,000.00 12/23/2005 Notice of Trustee Sale Wells Fargo Home Mortgage (866) 234-8271 $174,400.00 $155,300.00 20090982842 Michael A Bosco Jr 09-49045 (602) 255-6000 01/22/2010 10:00 am $114,900.00 04/18/2003 Notice of Trustee Sale Chase Home Finance Llc (888) 332-3251 $106,857.00 $131,200.00 20090982814 Michael A Bosco Jr 09-26273 (602) 255-6000 01/22/2010 10:00 am $144,000.00 04/20/2005 Notice of Trustee Sale Bank Of America (800) 285-6000 20070242324 02/28/2007 $161,000.00 $161,500.00 20090984403 Recontrust (800) 281-8219 01/26/2010 12:00 pm $120,600.00 06/27/2001 Notice of Trustee Sale Wells Fargo Home Mortgage (866) 234-8271 $192,757.00 $149,000.00 20090982392 First American Title 20099070821377 (702) 304-7514 01/24/2010 02:00 pm $215,000.00 03/03/2006 Notice of Trustee Sale Bank Of America (800) 285-6000 20070440889 04/16/2007 $265,500.00 $172,000.00 20090979444 Recontrust 09-0155362 (800) 281-8219 01/26/2010 12:00 pm $367,575.00 03/03/2005 Notice of Trustee Sale Chase Home Finance Llc (888) 332-3251 $294,060.00 $370,600.00 20090982732 Michael A Bosco Jr 09-26091 (602) 255-6000 01/22/2010 10:00 am $315,000.00 07/17/2006 Notice of Trustee Sale Chase Home Finance Llc (888) 332-3251 $222,600.00 $199,100.00 20090982785 Michael A Bosco Jr 09-26247 (602) 255-6000 01/22/2010 10:00 am $470,000.00 04/20/2006 Notice of Trustee Sale Citimortgage, Inc (800) 695-0935 04/10/2006 $376,000.00 $325,000.00 20090982207 Cr Title Service T09-55687-az (714) 573-1965 01/24/2010 02:00 pm $282,990.00 03/26/2007 Notice of Trustee Sale The Bank Of New York Mellon (212) 495-1784 20070352410 03/26/2007 $246,350.00 $207,800.00 20090984365 Recontrust (800) 281-8219 01/27/2010 12:00 pm $179,900.00 06/16/2006 Notice of Trustee Sale Deutsche Bank (212) 250-2500 $144,000.00 $124,700.00 20090980980 Fidelity National Title 09-03763-3 (714) 573-1965 01/27/2010 12:00 pm $307,000.00 12/01/2006 Notice of Trustee Sale Chase Home Finance Llc (888) 332-3251 $207,000.00 $214,600.00 20090983011 Michael A Bosco Jr 09-26274 (602) 255-6000 01/22/2010 10:00 am $185,250.00 09/07/2007 Notice of Trustee Sale 09/07/2007 $185,250.00 $80,200.00 20090983384 Mtc Financial Azo559610 01/25/2010 12:00 pm $187,868.00 05/23/2005 Notice of Trustee Sale Bank Of America (800) 285-6000 20070621170 05/30/2007 $200,000.00 $179,600.00 20090984269 Recontrust (800) 281-8219 01/26/2010 12:00 pm $210,000.00 12/05/2005 Notice of Trustee Sale Chase Home Finance Llc (888) 332-3251 $168,000.00 $140,500.00 20090982380 First American Title 20099019204320 (702) 304-7514 01/24/2010 02:00 pm $191,394.00 11/22/2005 Notice of Trustee Sale Mers (800) 646-6377 2007 01/10/2007 $195,000.00 $161,300.00 20090983856 Security Title Agency (602) 266-0275 01/29/2010 12:00 pm $559,800.00 12/08/2005 Notice of Trustee Sale The Bank Of New York Mellon (212) 495-1784 20051860972 12/08/2005 $391,300.00 $314,800.00 20090984320 Recontrust (800) 281-8219 01/26/2010 12:00 pm $320,000.00 08/30/2007 Notice of Trustee Sale Chase Home Finance Llc (888) 332-3251 $304,000.00 $257,600.00 20090982994 Michael A Bosco Jr 09-26246 (602) 255-6000 01/22/2010 10:00 am $231,000.00 10/29/2004 Notice of Trustee Sale Washington Mutual 07/03/2007 $315,000.00 $266,100.00 20090982470 California Reconveyance 137741az (714) 573-1965 01/24/2010 02:00 pm $206,000.00 04/14/2006 Notice of Trustee Sale Litton Loan Servicing Lp (800) 247-9727 04/11/2006 $220,000.00 $197,700.00 20090979834 Quality Loan Service Az-09-321240-bl (714) 573-1965 01/21/2010 12:00 pm $96,200.00 04/02/1997 Notice of Trustee Sale Wells Fargo Home Mortgage (866) 234-8271 $138,000.00 $151,500.00 20090984107 Michael A Bosco Jr 09-25889 (602) 255-6000 01/22/2010 10:00 am $248,218.00 03/25/2005 Notice of Trustee Sale Bank Of America (800) 285-6000 20080107237 02/06/2008 $236,000.00 $209,300.00 20090984306 Recontrust (800) 281-8219 01/27/2010 12:00 pm $201,760.00 02/20/2008 Notice of Trustee Sale Chase Home Finance Llc (888) 332-3251 $198,600.00 $29,500.00 20090982073 First American Title 20099073502487 (702) 304-7514 01/24/2010 02:00 pm $249,000.00 06/13/2005 Notice of Trustee Sale Deutsche Bank (212) 250-2500 20061060972 08/09/2006 $240,000.00 $209,300.00 20090984513 Recontrust (800) 281-8219 01/24/2010 02:00 pm $947,157.00 04/30/2007 Notice of Trustee Sale U.s. Bancorp (800) 365-7772 $757,700.00 $596,000.00 20090983665 Quality Loan Service B502124 (714) 573-1965 01/24/2010 12:00 pm $280,607.00 03/30/2006 Notice of Trustee Sale The Bank Of New York Mellon (212) 495-1784 20060430753 03/30/2006 $224,485.00 $180,100.00 20090984263 Recontrust (800) 281-8219 01/26/2010 12:00 pm $247,311.00 12/12/2007 Notice of Trustee Sale Citimortgage, Inc (800) 695-0935 12/06/2007 $222,550.00 $183,000.00 20090982225 Cr Title Service To9-55644-az (714) 573-1965 01/24/2010 02:00 pm $134,000.00 07/01/1996 Notice of Trustee Sale Bank Of America (800) 285-6000 2007 11/05/2007 $240,000.00 $212,600.00 20090984474 Recontrust (800) 281-8219 01/27/2010 12:00 pm $160,950.00 11/02/2000 Notice of Trustee Sale Deutsche Bank (212) 250-2500 2006 05/31/2006 $303,000.00 $201,500.00 20090984251 Recontrust (800) 281-8219 01/24/2010 02:00 pm $165,681.00 07/15/2004 Notice of Trustee Sale Hsbc Bank (800) 975-4722 $248,000.00 $197,700.00 20090983921 Aztec Foreclosure 09-018451 (602) 222-5711 01/22/2010 11:00 am $185,000.00 06/27/2005 Notice of Trustee Sale Citimortgage, Inc (800) 695-0935 $148,000.00 $142,700.00 20090984591 Michael A Bosco Jr 09-26210 (602) 255-6000 01/22/2010 10:00 am $78,000.00 12/29/1994 Notice of Trustee Sale Metlife Home Loans 07/11/2008 $183,207.00 $147,300.00 20090983336 Quality Loan Service Az-09-321517-rm (714) 573-1965 01/24/2010 02:00 pm $240,000.00 01/05/2007 Notice of Trustee Sale Mers (800) 646-6377 2007 12/20/2006 $192,000.00 $151,800.00 20090983880 Executive Trustee Service (714) 730-2727 01/29/2010 12:00 pm $75,000.00 11/30/2001 Notice of Trustee Sale Citimortgage, Inc (800) 695-0935 $233,000.00 $335,600.00 20090984584 Michael A Bosco Jr 09-26175 (602) 255-6000 01/22/2010 10:00 am $21,000.00 09/26/1986 Notice of Trustee Sale Wells Fargo Home Mortgage (866) 234-8271 $444,900.00 $392,700.00 20090978346 First American Title 20099070808028 (702) 304-7514 01/23/2010 02:00 pm $350,000.00 12/13/2006 Notice of Trustee Sale Aurora Loan Services (720) 945-3000 $350,000.00 $268,100.00 20090983700 Cal Western Reconveyance 1245777-14 (800) 546-1531 01/24/2010 02:00 pm $138,500.00 11/10/2003 Notice of Trustee Sale Mers (800) 646-6377 2006 12/18/2006 $198,000.00 $168,500.00 20090983947 Security Title Agency (602) 266-0275 01/29/2010 12:00 pm $219,250.00 01/19/2006 Notice of Trustee Sale The Bank Of New York Mellon (212) 495-1784 20060081684 01/19/2006 $175,400.00 $142,300.00 20090984323 Recontrust (800) 281-8219 01/26/2010 12:00 pm $144,900.00 07/07/2000 Notice of Trustee Sale Chase Home Finance Llc (888) 332-3251 $114,251.00 $188,300.00 20090982782 Michael A Bosco Jr 09-26242 (602) 255-6000 01/22/2010 10:00 am $688,760.00 09/28/2006 Notice of Trustee Sale The Bank Of New York Mellon (212) 495-1784 20061287467 09/28/2006 $580,400.00 $444,700.00 20090984309 Recontrust (800) 281-8219 01/26/2010 12:00 pm $115,000.00 10/23/1998 Notice of Trustee Sale Citimortgage, Inc (800) 695-0935 $180,000.00 $173,200.00 20090984602 Michael A Bosco Jr 09-26198 (602) 255-6000 01/22/2010 10:00 am $251,048.00 09/10/2007 Notice of Trustee Sale Chase Home Finance Llc (888) 332-3251 $251,048.00 $193,200.00 20090982830 Michael A Bosco Jr 09-26433 (602) 255-6000 01/22/2010 10:00 am $189,000.00 11/03/2005 Notice of Trustee Sale Mers (800) 646-6377 2008 01/24/2008 $192,700.00 $169,800.00 20090979900 Executive Trustee Service (714) 730-2727 01/28/2010 12:00 pm $237,000.00 10/06/2006 Notice of Trustee Sale Bank Of America (800) 285-6000 20061327737 10/06/2006 $180,000.00 $171,700.00 20090984432 Recontrust (800) 281-8219 01/26/2010 12:00 pm $115,000.00 11/21/2006 Notice of Trustee Sale Chase Home Finance Llc (888) 332-3251 $92,000.00 $86,000.00 20090982672 Michael A Bosco Jr 09-25916 (602) 255-6000 01/22/2010 10:00 am $315,190.00 04/27/2005 Notice of Trustee Sale Chase Home Finance Llc (888) 332-3251 $252,152.00 $293,200.00 20090982735 Michael A Bosco Jr 09-26093 (602) 255-6000 01/22/2010 10:00 am $45,000.00 10/27/2004 Notice of Trustee Sale Bank Of America (800) 285-6000 $36,000.00 $48,500.00 20090982627 Michael A Bosco Jr 09-48094 (602) 255-6000 01/22/2010 10:00 am $45,000.00 10/27/2004 Notice of Trustee Sale Bank Of America (800) 285-6000 $36,000.00 $47,500.00 20090982617 Michael A Bosco Jr 09-48093 (602) 255-6000 01/22/2010 10:00 am $340,950.00 09/12/2005 Notice of Trustee Sale Wells Fargo Home Mortgage (866) 234-8271 $306,855.00 $258,500.00 20090982386 First American Title 20099070821353 (702) 304-7514 01/24/2010 02:00 pm $227,000.00 09/14/2004 Notice of Trustee Sale Chase Home Finance Llc (888) 332-3251 10/01/2007 $269,970.00 $125,700.00 20090983294 California Reconveyance 137755az (714) 573-1965 01/24/2010 02:00 pm $372,500.00 09/10/2007 Notice of Trustee Sale Bank Of America (800) 285-6000 20080314044 04/09/2008 $265,000.00 $312,600.00 20090984275 Recontrust 09-0156250 (800) 281-8219 01/27/2010 12:00 pm $244,900.00 06/02/2006 Notice of Trustee Sale Litton Loan Servicing Lp (800) 247-9727 05/24/2006 $195,920.00 $167,600.00 20090979848 Quality Loan Service Az-09-321255-bl (714) 573-1965 01/21/2010 12:00 pm $155,000.00 06/14/1994 Notice of Trustee Sale Chase Home Finance Llc (888) 332-3251 $348,500.00 $304,700.00 20090982981 Michael A Bosco Jr 09-26213 (602) 255-6000 01/22/2010 10:00 am $199,880.00 08/21/1995 Notice of Trustee Sale $392,000.00 $321,300.00 20090981114 Fidelity National Title 09-05851-6 (714) 573-1965 01/21/2010 12:00 pm $382,047.00 02/28/2007 Notice of Trustee Sale The Bank Of New York Mellon (212) 495-1784 20070244362 02/28/2007 $373,300.00 $253,600.00 20090984424 Recontrust (800) 281-8219 01/26/2010 12:00 pm $200,900.00 09/29/2004 Notice of Trustee Sale Citimortgage, Inc (800) 695-0935 $190,850.00 $221,000.00 20090984568 Michael A Bosco Jr 09-26170 (602) 255-6000 01/22/2010 10:00 am Page 44
  • 45.
    Pre-foreclosure List Maricopa County Week Ending 11/2 $179,900.00 12/07/2005 Notice of Trustee Sale Americas Servicing Company $143,920.00 $149,500.00 20090982601 Michael A Bosco Jr 09-47219 (602) 255-6000 01/22/2010 10:00 am $280,000.00 07/20/2005 Notice of Trustee Sale Chase Home Finance Llc (888) 332-3251 $266,000.00 $196,300.00 20090982810 Michael A Bosco Jr 09-26272 (602) 255-6000 01/22/2010 10:00 am $295,000.00 01/11/2006 Notice of Trustee Sale Phh Mortgage (800) 210-8849 $300,000.00 $16,910.00 20090979893 Aztec Foreclosure 09-018578 (602) 222-5711 01/21/2010 11:00 am $447,466.00 11/01/2005 Notice of Trustee Sale Chase Home Finance Llc (888) 332-3251 $335,599.00 $233,300.00 20090982709 Michael A Bosco Jr 09-26040 (602) 255-6000 01/22/2010 10:00 am $324,900.00 10/03/2005 Notice of Trustee Sale The Bank Of New York Mellon (212) 495-1784 20051465056 10/03/2005 $259,920.00 $273,100.00 20090984524 Recontrust (800) 281-8219 01/24/2010 02:00 pm $167,000.00 05/31/2007 Notice of Trustee Sale Metlife Home Loans 20070628022 05/24/2007 $167,000.00 $127,200.00 20090984078 Lawyers Title Insurance 057-009968 (714) 573-1965 01/24/2010 02:00 pm $151,400.00 12/08/1999 Notice of Trustee Sale Bank Of America (800) 285-6000 20080921636 10/27/2008 $164,000.00 $230,300.00 20090984326 Recontrust (800) 281-8219 01/27/2010 12:00 pm $94,000.00 03/30/2005 Notice of Trustee Sale Suntrust Mortgage Inc (800) 786-8787 $115,000.00 $127,500.00 20090980055 Aztec Foreclosure 09-018628 (602) 222-5711 01/21/2010 11:00 am $247,350.00 09/17/2003 Notice of Trustee Sale Citimortgage, Inc (800) 695-0935 09/10/2003 $234,950.00 $266,000.00 20090982519 Cr Title Service To9-55686-az (714) 573-1965 01/24/2010 02:00 pm $240,000.00 07/21/2005 Notice of Trustee Sale Wells Fargo Home Mortgage (866) 234-8271 $228,000.00 $165,800.00 20090982833 Michael A Bosco Jr 09-49044 (602) 255-6000 01/22/2010 10:00 am $307,840.00 06/29/2006 Notice of Trustee Sale Chase Home Finance Llc (888) 332-3251 $195,000.00 $15,020.00 20090982738 Michael A Bosco Jr 09-26101 (602) 255-6000 01/22/2010 10:00 am $227,000.00 02/28/2006 Notice of Trustee Sale Americas Servicing Company $181,600.00 $189,300.00 20090982846 Michael A Bosco Jr 09-49047 (602) 255-6000 01/22/2010 10:00 am $192,960.00 12/15/2004 Notice of Trustee Sale The Bank Of New York Mellon (212) 495-1784 20060373608 03/20/2006 $260,000.00 $186,000.00 20090979294 Recontrust (800) 281-8219 01/26/2010 12:00 pm $227,000.00 06/10/2005 Notice of Trustee Sale Chase Home Finance Llc (888) 332-3251 $257,400.00 $182,800.00 20090983682 Quality Loan Service B501409 (714) 573-1965 01/24/2010 12:00 pm $123,500.00 11/22/2002 Notice of Trustee Sale Wells Fargo Home Mortgage (866) 234-8271 $121,591.00 $156,500.00 20090982817 Michael A Bosco Jr 09-49039 (602) 255-6000 01/22/2010 10:00 am $185,000.00 01/05/2001 Notice of Trustee Sale $2,000,000.00 $1,247,000.00 20090983694 Cal Western Reconveyance 1239636-08 (800) 546-1531 01/24/2010 02:00 pm $165,520.00 02/12/1999 Notice of Trustee Sale Deutsche Bank (212) 250-2500 $335,750.00 $286,700.00 20090982722 Old Republic Nat'l Title Insurance C 09-35353 (714) 573-1965 01/24/2010 02:00 pm $79,400.00 04/15/1993 Notice of Trustee Sale Wells Fargo Home Mortgage (866) 234-8271 $83,180.00 $150,700.00 20090982651 Michael A Bosco Jr 09-48996 (602) 255-6000 01/22/2010 10:00 am 06/04/2004 Notice of Trustee Sale The Bank Of New York Mellon (212) 495-1784 20070014161 01/04/2007 $440,000.00 $30,360.00 20090984429 Recontrust (800) 281-8219 01/26/2010 12:00 pm $200,000.00 07/20/2006 Notice of Trustee Sale Phh Mortgage (800) 210-8849 $160,000.00 $136,300.00 20090979869 Aztec Foreclosure 09-018657 (602) 222-5711 01/21/2010 11:00 am $309,997.00 11/28/2005 Notice of Trustee Sale Bank Of America (800) 285-6000 20051790705 11/28/2005 $247,997.00 $204,300.00 20090984248 Recontrust (800) 281-8219 01/26/2010 12:00 pm $225,368.00 12/28/2004 Notice of Trustee Sale Chase Home Finance Llc (888) 332-3251 $163,000.00 $204,300.00 20090982992 Michael A Bosco Jr 09-26241 (602) 255-6000 01/22/2010 10:00 am 05/07/2003 Notice of Trustee Sale Bank Of America (800) 285-6000 2007 06/07/2007 $109,200.00 $150,635.00 20090984409 Recontrust (800) 281-8219 01/27/2010 12:00 pm $221,752.00 02/08/2007 Notice of Trustee Sale Hsbc Bank (800) 975-4722 20070164822 02/08/2007 $177,400.00 $132,300.00 20090984471 Recontrust (800) 281-8219 01/24/2010 02:00 pm $194,900.00 04/21/2005 Notice of Trustee Sale Household Financial Group (800) 340-7866 03/27/2007 $258,471.00 $162,500.00 20090983368 Mtc Financial Az0859639 01/25/2010 12:00 pm $240,000.00 11/06/2006 Notice of Trustee Sale Citimortgage, Inc (800) 695-0935 11/02/2006 $190,000.00 $201,800.00 20090982221 Cr Title Service To9-55643-az (714) 573-1965 01/24/2010 02:00 pm $188,500.00 05/29/2002 Notice of Trustee Sale Litton Loan Servicing Lp (800) 247-9727 11/21/2006 $288,750.00 $178,300.00 20090979844 Quality Loan Service Az-09-321246-bl (714) 573-1965 01/21/2010 12:00 pm $273,900.00 07/30/2004 Notice of Trustee Sale Chase Home Finance Llc (888) 332-3251 $340,000.00 $339,500.00 20090982827 Michael A Bosco Jr 09-25920 (602) 255-6000 01/22/2010 10:00 am $260,994.00 06/09/2004 Notice of Trustee Sale Chase Home Finance Llc (888) 332-3251 $363,750.00 $289,200.00 20090982985 Michael A Bosco Jr 09-26215 (602) 255-6000 01/22/2010 10:00 am $205,000.00 08/31/2006 Notice of Trustee Sale Bank Of America (800) 285-6000 20061164830 08/31/2006 $164,000.00 $135,500.00 20090978498 Recontrust (800) 281-8219 01/25/2010 12:00 pm $144,900.00 08/17/2005 Notice of Trustee Sale The Bank Of New York Mellon (212) 495-1784 20051180775 08/17/2005 $115,050.00 $114,300.00 20090984462 Recontrust (800) 281-8219 01/24/2010 02:00 pm $136,000.00 11/30/1998 Notice of Trustee Sale Chase Home Finance Llc (888) 332-3251 $225,000.00 $210,700.00 20090982759 Michael A Bosco Jr 09-26183 (602) 255-6000 01/22/2010 10:00 am $235,500.00 01/09/2008 Notice of Trustee Sale Chase Home Finance Llc (888) 332-3251 $221,350.00 $182,800.00 20090982668 Michael A Bosco Jr 09-25912 (602) 255-6000 01/22/2010 10:00 am $650,987.00 11/20/2007 Notice of Trustee Sale Suntrust Mortgage Inc (800) 786-8787 $417,000.00 $445,700.00 20090983296 Aztec Foreclosure 09-018650 (602) 222-5711 01/22/2010 11:00 am $104,420.00 09/10/1999 Notice of Trustee Sale Household Financial Group (800) 340-7866 05/16/2007 $163,351.00 $95,700.00 20090979821 Mtc Financial Az0859532 01/22/2010 12:00 pm $107,000.00 12/23/2003 Notice of Trustee Sale 2007 $103,100.00 20090983814 Quality Loan Service (714) 573-1965 01/27/2010 10:00 am $182,728.00 02/21/2007 Notice of Trustee Sale Hsbc Bank (800) 975-4722 $182,700.00 $127,500.00 20090984117 Michael A Bosco Jr 09-26074 (602) 255-6000 01/22/2010 10:00 am $270,500.00 11/16/2005 Notice of Trustee Sale U.s. Bancorp (800) 365-7772 20061329198 10/06/2006 $240,000.00 $147,300.00 20090984465 Recontrust (800) 281-8219 01/24/2010 02:00 pm $525,000.00 06/08/2005 Notice of Trustee Sale Citimortgage, Inc (800) 695-0935 $417,000.00 $329,800.00 20090984600 Michael A Bosco Jr 09-26409 (602) 255-6000 01/22/2010 10:00 am $303,987.00 09/21/2007 Notice of Trustee Sale $303,987.00 $233,700.00 20090980009 Aztec Foreclosure 09-018587 (602) 222-5711 01/21/2010 11:00 am $165,000.00 01/31/2008 Notice of Trustee Sale Bank Of America (800) 285-6000 $148,500.00 $127,500.00 20090984771 Aztec Foreclosure 09-018605 (602) 222-5711 01/22/2010 11:00 am $153,500.00 09/30/2008 Notice of Trustee Sale Chase Home Finance Llc (888) 332-3251 $156,632.00 $10,900.00 20090984213 Quality Loan Service 7037 (714) 573-1965 01/24/2010 02:00 pm $271,000.00 09/24/2007 Notice of Trustee Sale Chase Home Finance Llc (888) 332-3251 $257,450.00 $14,750.00 20090982764 Michael A Bosco Jr 09-26205 (602) 255-6000 01/22/2010 10:00 am $440,000.00 12/12/2005 Notice of Trustee Sale The Bank Of New York Mellon (212) 495-1784 20051872332 12/12/2005 $308,000.00 $307,600.00 20090984531 Recontrust 09-0156900 (800) 281-8219 01/24/2010 02:00 pm $59,000.00 08/27/1999 Notice of Trustee Sale Chase Home Finance Llc (888) 332-3251 $60,700.00 $121,700.00 20090982761 Michael A Bosco Jr 09-26182 (602) 255-6000 01/22/2010 10:00 am $282,941.00 05/05/2006 Notice of Trustee Sale Litton Loan Servicing Lp (800) 247-9727 05/01/2006 $226,352.00 $212,100.00 20090981640 Quality Loan Service Az-09-320865-bl (714) 573-1965 01/22/2010 12:00 pm $155,000.00 11/17/2004 Notice of Trustee Sale Metlife Home Loans 20041347421 11/05/2004 $124,000.00 $171,600.00 20090984090 Lawyers Title Insurance 057-009954 (714) 573-1965 01/24/2010 02:00 pm $324,400.00 11/23/2005 Notice of Trustee Sale Americas Servicing Company $308,180.00 $239,000.00 20090982767 Michael A Bosco Jr 09-49031 (602) 255-6000 01/22/2010 10:00 am $162,851.00 03/01/2004 Notice of Trustee Sale Wells Fargo Home Mortgage (866) 234-8271 $154,708.00 $192,800.00 20090982998 Michael A Bosco Jr 09-49034 (602) 255-6000 01/22/2010 10:00 am $200,000.00 02/22/2005 Notice of Trustee Sale Hsbc Bank (800) 975-4722 $263,150.00 $196,300.00 20090980953 Fidelity National Title 09-03757-3 (714) 573-1965 01/27/2010 12:00 pm $192,000.00 04/25/2005 Notice of Trustee Sale Aurora Loan Services (720) 945-3000 $153,600.00 $169,200.00 20090983706 Cal Western Reconveyance 1246104-14 (800) 546-1531 01/24/2010 02:00 pm $93,000.00 04/19/2007 Notice of Trustee Sale $83,000.00 $52,000.00 20090980914 Quality Loan Service 208150061 (714) 573-1965 01/24/2010 02:00 pm $52,000.00 01/20/1994 Notice of Trustee Sale Hsbc Bank (800) 975-4722 $168,000.00 $98,600.00 20090983912 Aztec Foreclosure 08-006264 (602) 222-5711 01/22/2010 11:00 am $168,006.00 05/06/2005 Notice of Trustee Sale $224,000.00 $176,600.00 20090983696 Cal Western Reconveyance 1241576-08 (800) 546-1531 01/25/2010 12:00 pm $130,300.00 09/06/2001 Notice of Trustee Sale Phh Mortgage (800) 210-8849 $239,000.00 $190,100.00 20090984817 Michael A Bosco Jr 08-16940 (602) 255-6000 01/22/2010 10:00 am $300,000.00 10/31/2007 Notice of Trustee Sale Wells Fargo Home Mortgage (866) 234-8271 $237,000.00 $312,200.00 20090982806 Michael A Bosco Jr 09-49036 (602) 255-6000 01/22/2010 10:00 am $179,000.00 10/21/2004 Notice of Trustee Sale Americas Servicing Company $210,000.00 $189,500.00 20090982654 Michael A Bosco Jr 09-48998 (602) 255-6000 01/22/2010 10:00 am Page 45
  • 46.
    Pre-foreclosure List Maricopa County Week Ending 11/2 $114,900.00 05/29/2001 Notice of Trustee Sale Hsbc Bank (800) 975-4722 $113,881.00 $154,200.00 20090982657 Michael A Bosco Jr 09-48999 (602) 255-6000 01/22/2010 10:00 am $170,000.00 09/27/2006 Notice of Trustee Sale U.s. Bancorp (800) 365-7772 20061277608 09/27/2006 $170,000.00 $106,200.00 20090984260 Recontrust (800) 281-8219 01/24/2010 02:00 pm $352,000.00 03/02/2006 Notice of Trustee Sale The Bank Of New York Mellon (212) 495-1784 20060288709 03/02/2006 $112,000.00 $139,800.00 20090984360 Recontrust (800) 281-8219 01/27/2010 12:00 pm $112,340.00 08/08/1995 Notice of Trustee Sale National City Mortgage (800) 822-5626 $184,000.00 $173,500.00 20090984099 Michael A Bosco Jr 09-25107 (602) 255-6000 01/22/2010 10:00 am $232,000.00 09/28/2006 Notice of Trustee Sale 20061286328 09/28/2006 $185,600.00 $161,200.00 20090984232 Recontrust (800) 281-8219 01/24/2010 02:00 pm $154,500.00 12/30/2004 Notice of Trustee Sale Mers (800) 646-6377 2006 06/26/2006 $175,000.00 $153,100.00 20090983882 Executive Trustee Service (714) 730-2727 01/29/2010 12:00 pm $91,550.00 04/28/1998 Notice of Trustee Sale Bank Of America (800) 285-6000 $167,000.00 $147,000.00 20090984026 Aztec Foreclosure 09-018620 (602) 222-5711 01/22/2010 11:00 am $80,000.00 03/28/2000 Notice of Trustee Sale The Bank Of New York Mellon (212) 495-1784 20070727403 06/25/2007 $135,000.00 $120,300.00 20090984435 Recontrust (800) 281-8219 01/27/2010 12:00 pm $115,000.00 07/24/1998 Notice of Trustee Sale Household Financial Group (800) 340-7866 $174,404.00 $205,200.00 20090979891 Aztec Foreclosure 09-018560 (602) 222-5711 01/21/2010 11:00 am $298,450.00 12/29/2005 Notice of Trustee Sale Chase Home Finance Llc (888) 332-3251 $280,000.00 $215,200.00 20090983013 Michael A Bosco Jr 09-26301 (602) 255-6000 01/22/2010 10:00 am $239,900.00 11/18/2005 Notice of Trustee Sale Wells Fargo Home Mortgage (866) 234-8271 $165,000.00 $93,200.00 20090982390 First American Title 20099070821366 (702) 304-7514 01/24/2010 02:00 pm $54,900.00 10/16/1987 Notice of Trustee Sale Chase Home Finance Llc (888) 332-3251 $131,129.00 $122,800.00 20090982988 Michael A Bosco Jr 09-26245 (602) 255-6000 01/22/2010 10:00 am $118,848.00 01/03/2005 Notice of Trustee Sale Chase Home Finance Llc (888) 332-3251 $120,000.00 $80,100.00 20090982071 First American Title 20099073502486 (702) 304-7514 01/24/2010 02:00 pm $375,900.00 12/10/2004 Notice of Trustee Sale Litton Loan Servicing Lp (800) 247-9727 11/23/2005 $388,000.00 $293,300.00 20090979842 Quality Loan Service Az-09-321258-bl (714) 573-1965 01/21/2010 12:00 pm $27,500.00 01/14/1987 Notice of Trustee Sale Citimortgage, Inc (800) 695-0935 02/07/2007 $261,000.00 $178,500.00 20090982238 Cr Title Service To9-55642-az (714) 573-1965 01/24/2010 02:00 pm $106,000.00 02/21/2003 Notice of Trustee Sale Bank Of America (800) 285-6000 20061104726 08/18/2006 $158,400.00 $118,500.00 20090984330 Recontrust (800) 281-8219 01/26/2010 12:00 pm $246,000.00 02/27/2007 Notice of Trustee Sale Deutsche Bank (212) 250-2500 20070234004 02/27/2007 $196,800.00 $135,700.00 20090984272 Recontrust (800) 281-8219 01/24/2010 02:00 pm $310,839.00 06/25/2007 Notice of Trustee Sale Bank Of America (800) 285-6000 20070723433 06/25/2007 $279,755.00 $242,600.00 20090979428 Recontrust 09-0155359 (800) 281-8219 01/26/2010 12:00 pm $232,900.00 08/18/2005 Notice of Trustee Sale Americas Servicing Company $186,300.00 $177,500.00 20090982700 Michael A Bosco Jr 09-49011 (602) 255-6000 01/22/2010 10:00 am $159,500.00 02/15/2001 Notice of Trustee Sale 20050049422 $172,800.00 $228,300.00 20090983741 Quality Loan Service 46898 (714) 573-1965 01/24/2010 02:00 pm $111,900.00 07/08/2005 Notice of Trustee Sale Deutsche Bank (212) 250-2500 $106,305.00 $45,800.00 20090980977 Fidelity National Title 09-03759-3 (714) 573-1965 01/27/2010 12:00 pm $311,621.00 01/08/2008 Notice of Trustee Sale Chase Home Finance Llc (888) 332-3251 $299,250.00 $195,300.00 20090983655 Quality Loan Service B502120 (714) 573-1965 01/24/2010 12:00 pm $279,900.00 01/18/2007 Notice of Trustee Sale Americas Servicing Company $223,920.00 $164,600.00 20090982712 Michael A Bosco Jr 09-49015 (602) 255-6000 01/22/2010 10:00 am $94,087.00 02/26/2008 Notice of Trustee Sale Chase Home Finance Llc (888) 332-3251 $204,850.00 $47,500.00 20090982075 First American Title 20099073502488 (702) 304-7514 01/24/2010 02:00 pm $183,000.00 06/01/2006 Notice of Trustee Sale $176,000.00 $159,000.00 20090979708 Jason Cotton Pa 7092461 01/21/2010 12:00 pm $253,011.00 06/23/2006 Notice of Trustee Sale Hsbc Bank (800) 975-4722 $202,400.00 $154,500.00 20090979877 Aztec Foreclosure 09-018646 (602) 222-5711 01/21/2010 11:00 am $81,500.00 11/19/1993 Notice of Trustee Sale Bank Of America (800) 285-6000 2007 10/25/2007 $220,500.00 $171,700.00 20090984303 Recontrust (800) 281-8219 01/26/2010 12:00 pm $149,000.00 01/10/2005 Notice of Trustee Sale $209,000.00 $176,600.00 20090979873 Aztec Foreclosure 09-018691 (602) 222-5711 01/21/2010 11:00 am $239,900.00 08/02/2005 Notice of Trustee Sale Deutsche Bank (212) 250-2500 $225,250.00 $176,100.00 20090984131 Michael A Bosco Jr 09-26567 (602) 255-6000 01/22/2010 10:00 am $123,000.00 02/23/2007 Notice of Trustee Sale The Bank Of New York Mellon (212) 495-1784 20070222768 02/23/2007 $98,400.00 $97,300.00 20090984438 Recontrust (800) 281-8219 01/26/2010 12:00 pm $135,000.00 03/30/2004 Notice of Trustee Sale 20050953443 $169,000.00 $156,600.00 20090983747 Quality Loan Service 46898 (714) 573-1965 01/24/2010 02:00 pm $192,979.00 12/14/2007 Notice of Trustee Sale 12/14/2007 $192,970.00 $56,000.00 20090983382 Mtc Financial Azob59609 01/25/2010 12:00 pm $740,000.00 03/16/2007 Notice of Trustee Sale Deutsche Bank (212) 250-2500 $592,000.00 $484,700.00 20090979887 Aztec Foreclosure 09-018198 (602) 222-5711 01/21/2010 11:00 am $102,500.00 12/04/1998 Notice of Trustee Sale Chase Home Finance Llc (888) 332-3251 01/19/2007 $201,600.00 $166,300.00 20090982469 California Reconveyance 137742az (714) 573-1965 01/24/2010 02:00 pm $312,000.00 08/31/2006 Notice of Trustee Sale Bank Of America (800) 285-6000 20061161054 08/31/2006 $212,000.00 $246,000.00 20090984407 Recontrust 09-0156202 (800) 281-8219 01/26/2010 12:00 pm $329,500.00 06/26/2006 Notice of Trustee Sale Bank Of America (800) 285-6000 20060856974 06/26/2006 $224,500.00 $246,000.00 20090984392 Recontrust 09-0156201 (800) 281-8219 01/26/2010 12:00 pm $170,000.00 10/01/2003 Notice of Trustee Sale Bank Of America (800) 285-6000 2008 06/20/2008 $247,812.00 $223,600.00 20090979327 Recontrust (800) 281-8219 01/26/2010 12:00 pm 10/14/1998 Notice of Trustee Sale Chase Home Finance Llc (888) 332-3251 $79,100.00 $134,800.00 20090982376 First American Title 20099073502484 (702) 304-7514 01/24/2010 02:00 pm 05/03/2002 Notice of Trustee Sale Washington Mutual 07/18/2006 $228,000.00 $143,000.00 20090982471 California Reconveyance 137740az (714) 573-1965 01/24/2010 02:00 pm $107,500.00 06/25/2004 Notice of Trustee Sale U.s. Bancorp (800) 365-7772 $152,670.00 $125,000.00 20090974431 Aztec Foreclosure 09-018282 (602) 222-5711 01/20/2010 11:00 am $291,423.00 11/06/2006 Notice of Trustee Sale Chase Home Finance Llc (888) 332-3251 $233,000.00 $13,010.00 20090984537 Quality Loan Service 7037 (714) 573-1965 01/24/2010 02:00 pm $106,900.00 09/26/2001 Notice of Trustee Sale Hsbc Bank (800) 975-4722 $185,500.00 $146,100.00 20090984125 Michael A Bosco Jr 09-26277 (602) 255-6000 01/22/2010 10:00 am $575,000.00 03/05/2008 Notice of Trustee Sale Chase Home Finance Llc (888) 332-3251 $417,000.00 $35,400.00 20090982681 Michael A Bosco Jr 09-25925 (602) 255-6000 01/22/2010 10:00 am $86,000.00 03/07/2008 Notice of Trustee Sale Chase Home Finance Llc (888) 332-3251 $81,700.00 $56,500.00 20090982697 Michael A Bosco Jr 09-25926 (602) 255-6000 01/22/2010 10:00 am $77,000.00 08/04/2000 Notice of Trustee Sale Deutsche Bank (212) 250-2500 05/10/2006 $129,600.00 $51,000.00 20090983381 Mtc Financial Azo859583 01/25/2010 12:00 pm $89,222.00 02/23/1996 Notice of Trustee Sale Mers (800) 646-6377 $123,000.00 $145,000.00 20090983676 Quality Loan Service 554271239 (714) 573-1965 01/24/2010 12:00 pm $175,900.00 08/16/2002 Notice of Trustee Sale The Bank Of New York Mellon (212) 495-1784 20070304807 03/14/2007 $280,000.00 $256,500.00 20090984412 Recontrust (800) 281-8219 01/26/2010 12:00 pm $333,000.00 03/02/2007 Notice of Trustee Sale U.s. Bancorp (800) 365-7772 20070254575 03/02/2007 $266,400.00 $230,000.00 20090984333 Recontrust 09-0156150 (800) 281-8219 01/24/2010 02:00 pm $169,970.00 01/22/1998 Notice of Trustee Sale Bank Of America (800) 285-6000 $240,000.00 $261,800.00 20090983796 Aztec Foreclosure 09-018678 (602) 222-5711 01/22/2010 11:00 am $714,180.00 07/07/2004 Notice of Trustee Sale Americas Servicing Company $324,000.00 $424,200.00 20090982850 Michael A Bosco Jr 09-49048 (602) 255-6000 01/22/2010 10:00 am $49,815.00 06/28/1991 Notice of Trustee Sale Nationstar Mortgage (800) 306-9027 06/04/2004 $83,000.00 $62,500.00 20090984689 Quality Loan Service Az-09-322389-ab (714) 573-1965 01/22/2010 12:00 pm $157,000.00 03/29/2001 Notice of Trustee Sale New Century Mortgage (866) 774-5172 02/22/2005 $189,000.00 $189,100.00 20090984894 Quality Loan Service Az-09-321024-rm (714) 573-1965 01/24/2010 02:00 pm $126,000.00 03/12/2004 Notice of Trustee Sale The Bank Of New York Mellon (212) 495-1784 20070081950 01/22/2007 $181,500.00 $149,600.00 20090984384 Recontrust (800) 281-8219 01/26/2010 12:00 pm $240,000.00 10/20/2006 Notice of Trustee Sale Citimortgage, Inc (800) 695-0935 $240,000.00 $171,800.00 20090984564 Michael A Bosco Jr 09-26100 (602) 255-6000 01/22/2010 10:00 am $306,761.00 04/17/2006 Notice of Trustee Sale Bank Of America (800) 285-6000 $245,408.00 $201,500.00 20090984648 Aztec Foreclosure 09-018608 (602) 222-5711 01/22/2010 11:00 am $205,500.00 07/27/2005 Notice of Trustee Sale $164,400.00 $155,600.00 20090974441 Aztec Foreclosure 09-018279 (602) 222-5711 01/20/2010 11:00 am $239,900.00 06/13/2006 Notice of Trustee Sale Americas Servicing Company $191,920.00 $11,470.00 20090982720 Michael A Bosco Jr 09-49023 (602) 255-6000 01/22/2010 10:00 am Page 46
  • 47.
    Pre-foreclosure List Maricopa County Week Ending 11/2 $280,000.0005/16/2003 Notice of Trustee Sale The Bank Of New York Mellon (212) 495-1784 20060619822 05/08/2006 $200,000.00 $408,300.00 20090984371 Recontrust (800) 281-8219 01/26/2010 12:00 pm $169,900.0008/21/2007 Notice of Trustee Sale Select Portfolio Servicing Inc (904) 722-7000 08/16/2007 $135,900.00 $12,200.00 20090981638 Quality Loan Service Az-09-320352-rt (714) 573-1965 01/22/2010 12:00 pm $155,000.0010/18/2006 Notice of Trustee Sale The Bank Of New York Mellon (212) 495-1784 10/18/2006 $147,250.00 $139,800.00 20090984910 Recontrust (800) 281-8219 01/26/2010 12:00 pm $166,748.0009/30/2004 Notice of Trustee Sale Wells Fargo Home Mortgage (866) 234-8271 $165,008.00 $167,500.00 20090982417 First American Title 20099070821379 (702) 304-7514 01/24/2010 02:00 pm $77,990.0002/09/2004 Notice of Trustee Sale Wells Fargo Home Mortgage (866) 234-8271 $77,990.00 $78,500.00 20090982606 Michael A Bosco Jr 09-48080 (602) 255-6000 01/22/2010 10:00 am $235,000.0004/26/2005 Notice of Trustee Sale Bank Of America (800) 285-6000 20050539682 04/26/2005 $205,000.00 $223,600.00 20090984242 Recontrust (800) 281-8219 01/24/2010 02:00 pm $106,860.0005/31/1995 Notice of Trustee Sale Deutsche Bank (212) 250-2500 $161,000.00 $198,300.00 20090984113 Michael A Bosco Jr 09-25892 (602) 255-6000 01/22/2010 10:00 am $245,000.0001/12/2007 Notice of Trustee Sale Saxon Mortgage Services (800) 594-8422 $196,000.00 $163,300.00 20090982729 Old Republic Nat'l Title Insurance C 09-35364 (714) 573-1965 01/24/2010 02:00 pm $75,747.0008/10/1992 Notice of Trustee Sale Bank Of America (800) 285-6000 $187,000.00 $98,100.00 20090979881 Aztec Foreclosure 09-018431 (602) 222-5711 01/21/2010 11:00 am $197,878.0008/15/2005 Notice of Trustee Sale Americas Servicing Company $158,300.00 $152,800.00 20090982820 Michael A Bosco Jr 09-49042 (602) 255-6000 01/22/2010 10:00 am $152,866.0002/24/2004 Notice of Trustee Sale Wells Fargo Home Mortgage (866) 234-8271 $165,445.00 $185,100.00 20090982388 First American Title 20099070821368 (702) 304-7514 01/24/2010 02:00 pm $80,500.0005/20/1999 Notice of Trustee Sale Mers (800) 646-6377 2006 09/15/2006 $165,750.00 $108,700.00 20090983900 Security Title Agency (602) 266-0275 01/29/2010 12:00 pm $210,000.0008/23/2005 Notice of Trustee Sale The Bank Of New York Mellon (212) 495-1784 2005 $168,000.00 $136,000.00 20090983319 Security Title Agency 14-89172 (602) 266-0275 01/22/2010 10:30 am $98,000.0009/21/2001 Notice of Trustee Sale Americas Servicing Company $162,000.00 $100,800.00 20090979354 Michael A Bosco Jr 09-49016 (602) 255-6000 01/21/2010 10:00 am $169,000.0008/24/2007 Notice of Trustee Sale Bank Of America (800) 285-6000 20070953925 08/24/2007 $169,000.00 $133,200.00 20090984534 Recontrust (800) 281-8219 01/26/2010 12:00 pm $208,000.0004/11/2005 Notice of Trustee Sale Deutsche Bank (212) 250-2500 $166,400.00 $148,500.00 20090979883 Aztec Foreclosure 09-018206 (602) 222-5711 01/21/2010 11:00 am $107,960.0005/31/2000 Notice of Trustee Sale National City Mortgage (800) 822-5626 $114,650.00 $154,500.00 20090984094 Michael A Bosco Jr 09-25103 (602) 255-6000 01/22/2010 10:00 am $95,690.0005/21/2003 Notice of Trustee Sale Select Portfolio Servicing Inc (904) 722-7000 11/22/2006 $150,750.00 $121,200.00 20090984028 Quality Loan Service Az-09-320861-rt (714) 573-1965 01/22/2010 12:00 pm $63,400.0003/26/1999 Notice of Trustee Sale Wells Fargo Home Mortgage (866) 234-8271 $102,500.00 $104,700.00 20090979273 Michael A Bosco Jr 09-48958 (602) 255-6000 01/21/2010 10:00 am $121,000.0001/20/2004 Notice of Trustee Sale Metlife Home Loans 01/16/2004 $1.00 $147,500.00 20090984069 Lawyers Title Insurance 057-009943 (714) 573-1965 01/24/2010 02:00 pm $305,000.0003/17/2005 Notice of Trustee Sale Aurora Loan Services (720) 945-3000 02/03/2006 $360,500.00 $283,500.00 20090979852 Quality Loan Service Az-09-322026-cl (714) 573-1965 01/21/2010 12:00 pm $268,000.0012/22/2005 Notice of Trustee Sale The Bank Of New York Mellon (212) 495-1784 20061376207 10/18/2006 $252,000.00 $111,800.00 20090984336 Recontrust (800) 281-8219 01/26/2010 12:00 pm $279,000.0001/19/2007 Notice of Trustee Sale Deutsche Bank (212) 250-2500 $209,250.00 $14,670.00 20090983919 Aztec Foreclosure 09-018264 (602) 222-5711 01/22/2010 11:00 am $68,000.0011/03/1998 Notice of Trustee Sale Chase Home Finance Llc (888) 332-3251 $168,000.00 $135,200.00 20090983018 Michael A Bosco Jr 09-26304 (602) 255-6000 01/22/2010 10:00 am $163,000.0005/05/2005 Notice of Trustee Sale 2007 $172,800.00 $83,100.00 20090983737 Quality Loan Service 46898 (714) 573-1965 01/24/2010 02:00 pm $170,000.0011/10/2005 Notice of Trustee Sale Chase Home Finance Llc (888) 332-3251 $136,000.00 $102,500.00 20090980037 Aztec Foreclosure 09-018663 (602) 222-5711 01/21/2010 11:00 am $122,000.0009/23/2003 Notice of Trustee Sale Chase Home Finance Llc (888) 332-3251 $180,670.00 $133,500.00 20090982077 First American Title 20099073502489 (702) 304-7514 01/24/2010 02:00 pm $200,000.0006/06/2005 Notice of Trustee Sale Accredited Home Lenders (866) 521-4815 $212,500.00 $73,100.00 20090980596 Quality Loan Service Az-sls-090101 (714) 573-1965 01/22/2010 12:00 pm $127,920.0011/27/2002 Notice of Trustee Sale Midfirst Bank (800) 877-1674 11/25/2002 $125,938.00 $154,800.00 20090982513 Quality Loan Service Az-09-322119-ab (714) 573-1965 01/25/2010 12:00 pm $297,000.0002/23/2007 Notice of Trustee Sale Saxon Mortgage Services (800) 594-8422 $237,600.00 $191,100.00 20090984127 Michael A Bosco Jr 09-26278 (602) 255-6000 01/22/2010 10:00 am $191,000.0001/06/2005 Notice of Trustee Sale Americas Servicing Company $152,800.00 $189,800.00 20090982790 Michael A Bosco Jr 09-49017 (602) 255-6000 01/22/2010 10:00 am $157,138.0012/14/2004 Notice of Trustee Sale Chase Home Finance Llc (888) 332-3251 $141,400.00 $174,500.00 20090982703 Michael A Bosco Jr 09-25985 (602) 255-6000 01/22/2010 10:00 am $227,298.0005/04/2006 Notice of Trustee Sale Bank Of America (800) 285-6000 $182,650.00 $200,300.00 20090982983 Michael A Bosco Jr 09-49030 (602) 255-6000 01/22/2010 10:00 am $310,000.0003/09/2007 Notice of Trustee Sale Ing Bank Fsb (800) 464-3473 $248,000.00 $175,500.00 20090983698 Cal Western Reconveyance 1239613-08 (800) 546-1531 01/24/2010 02:00 pm $123,000.0005/05/2004 Notice of Trustee Sale Bank Of America (800) 285-6000 $116,850.00 $151,300.00 20090983602 Aztec Foreclosure 09-018611 (602) 222-5711 01/22/2010 11:00 am $284,000.0012/21/2004 Notice of Trustee Sale Mers (800) 646-6377 $332,350.00 $225,300.00 20090983684 Quality Loan Service 575030275 (714) 573-1965 01/24/2010 12:00 pm $362,996.0003/15/2007 Notice of Trustee Sale Green Tree (800) 643-0202 2007 $311,996.00 $21,550.00 20090983272 Security Title Agency 14-89021 (602) 266-0275 01/22/2010 10:30 am $139,900.0004/20/2004 Notice of Trustee Sale Bank Of America (800) 285-6000 20070489890 04/27/2007 $186,200.00 $158,200.00 20090984286 Recontrust (800) 281-8219 01/27/2010 12:00 pm $198,000.0008/20/2009 Notice of Trustee Sale Hsbc Bank (800) 975-4722 $399,374.00 $190,300.00 20090979871 Aztec Foreclosure 09-018696 (602) 222-5711 01/21/2010 11:00 am $645,000.0007/07/2005 Notice of Trustee Sale $690,000.00 $592,500.00 20090983715 Cal Western Reconveyance 1241575-08 (800) 546-1531 01/25/2010 12:00 pm $382,000.0010/11/2005 Notice of Trustee Sale The Bank Of New York Mellon (212) 495-1784 09/29/2006 $309,600.00 $19,980.00 20090984295 Recontrust (800) 281-8219 01/26/2010 12:00 pm $80,000.0010/21/1997 Notice of Trustee Sale Mers (800) 646-6377 2005 01/11/2005 $98,000.00 $122,000.00 20090983914 Security Title Agency (602) 266-0275 01/29/2010 12:00 pm $1,045,435.0004/23/2007 Notice of Trustee Sale The Bank Of New York Mellon (212) 495-1784 20070467606 04/23/2007 $731,804.00 $705,000.00 20090984339 Recontrust 09-0156230 (800) 281-8219 01/26/2010 12:00 pm $56,476.0005/02/1995 Notice of Trustee Sale Litton Loan Servicing Lp (800) 247-9727 04/05/2006 $180,000.00 $150,000.00 20090979838 Quality Loan Service Az-09-321254-bl (714) 573-1965 01/21/2010 12:00 pm $300,446.0011/30/2005 Notice of Trustee Sale Wachovia Corporation (800) 922-4684 $25,125,000.00 $236,500.00 20090983775 Cal Western Reconveyance 1246938-02 (800) 546-1531 01/24/2010 02:00 pm $147,290.0012/20/2004 Notice of Trustee Sale Carrington Mortgage Services (714) 969-7600 12/07/2004 $132,561.00 $151,200.00 20090984890 Quality Loan Service Az-09-321026-rm (714) 573-1965 01/24/2010 02:00 pm $154,530.0011/20/2002 Notice of Trustee Sale 20070720544 $285,600.00 $216,200.00 20090983744 Quality Loan Service 46898 (714) 573-1965 01/24/2010 02:00 pm $150,000.0009/01/2000 Notice of Trustee Sale The Bank Of New York Mellon (212) 495-1784 20050896092 06/29/2005 $200,000.00 $230,200.00 20090984504 Recontrust (800) 281-8219 01/24/2010 02:00 pm $110,000.0008/27/2003 Notice of Trustee Sale Bank Of America (800) 285-6000 20070964928 08/28/2007 $194,118.00 $170,112.00 20090984220 Recontrust 09-0146794 (800) 281-8219 01/24/2010 02:00 pm $376,925.0011/13/2006 Notice of Trustee Sale 20061483837 11/13/2006 $335,650.00 $221,100.00 20090984368 Recontrust 09-0156206 (800) 281-8219 01/26/2010 12:00 pm $783,396.0009/19/2006 Notice of Trustee Sale Wells Fargo Home Mortgage (866) 234-8271 $626,700.00 $551,200.00 20090982384 First American Title 20099070821343 (702) 304-7514 01/24/2010 02:00 pm $117,500.0012/11/2003 Notice of Trustee Sale Saxon Mortgage Services (800) 594-8422 $120,000.00 $145,200.00 20090984123 Michael A Bosco Jr 09-26279 (602) 255-6000 01/22/2010 10:00 am 09/21/2007 Notice of Trustee Sale Mers (800) 646-6377 $243,700.00 $177,700.00 20090983661 Quality Loan Service B502121 (714) 573-1965 01/24/2010 12:00 pm $188,000.00 09/26/2005 Notice of Trustee Sale Sun American Mortgage (800) 469-7383 $150,400.00 $170,300.00 20090980712 Quality Loan Service Az-sls-090123 (714) 573-1965 01/22/2010 12:00 pm 02/01/2005 Notice of Trustee Sale 20071222898 $6,150,000.00 $517,453.00 20090983299 Security Title Agency 14-88718 (602) 266-0275 01/22/2010 10:30 am $180,000.00 02/28/2001 Notice of Trustee Sale Bank Of America (800) 285-6000 $290,000.00 $284,800.00 20090983561 Aztec Foreclosure 09-018613 (602) 222-5711 01/22/2010 11:00 am $164,740.00 07/30/2003 Notice of Trustee Sale U.s. Bancorp (800) 365-7772 2006 01/24/2006 $203,000.00 $172,300.00 20090984278 Recontrust (800) 281-8219 01/26/2010 12:00 pm Page 47
  • 48.
    Pre-foreclosure List Maricopa County Week Ending 11/2 $255,000.00 12/05/2005 Notice of Trustee Sale Hsbc Bank (800) 975-4722 12/05/2005 $204,000.00 $195,600.00 20090983374 Mtc Financial Azo859582 01/25/2010 12:00 pm $330,300.00 11/23/2005 Notice of Trustee Sale Hsbc Bank (800) 975-4722 $337,000.00 $207,600.00 20090979867 Aztec Foreclosure 09-018651 (602) 222-5711 01/21/2010 11:00 am $215,000.00 10/18/2005 Notice of Trustee Sale Deutsche Bank (212) 250-2500 $172,000.00 $165,600.00 20090980960 Fidelity National Title (714) 573-1965 01/27/2010 12:00 pm $393,000.00 03/21/2005 Notice of Trustee Sale Chase Home Finance Llc (888) 332-3251 $314,400.00 $298,200.00 20090983021 Michael A Bosco Jr 09-26306 (602) 255-6000 01/22/2010 10:00 am $232,000.00 11/14/2008 Notice of Trustee Sale Metlife Home Loans 11/07/2008 $228,978.00 $165,000.00 20090983334 Quality Loan Service Az-09-321518-rm (714) 573-1965 01/24/2010 02:00 pm 06/04/1999 Notice of Trustee Sale Wells Fargo Home Mortgage (866) 234-8271 2003 $750,000.00 $258,552.00 20090978548 Fidelity National Title 14745 (714) 573-1965 01/23/2010 02:00 pm $365,000.00 10/14/2005 Notice of Trustee Sale Wells Fargo Home Mortgage (866) 234-8271 $292,000.00 $243,600.00 20090982996 Michael A Bosco Jr 09-49035 (602) 255-6000 01/22/2010 10:00 am $500,000.00 05/26/2006 Notice of Trustee Sale Suntrust Mortgage Inc (800) 786-8787 $400,000.00 $28,610.00 20090979291 Aztec Foreclosure 09-018622 (602) 222-5711 01/21/2010 11:00 am $106,000.00 03/30/2001 Notice of Trustee Sale Chase Home Finance Llc (888) 332-3251 $160,000.00 $155,600.00 20090982753 Michael A Bosco Jr 09-26084 (602) 255-6000 01/22/2010 10:00 am $153,000.00 08/07/2006 Notice of Trustee Sale Suntrust Mortgage Inc (800) 786-8787 $122,400.00 $106,500.00 20090983754 Aztec Foreclosure 09-018656 (602) 222-5711 01/22/2010 11:00 am $54,000.00 07/08/1997 Notice of Trustee Sale Wachovia Corporation (800) 922-4684 $78,125.00 $119,321.00 20090982716 Old Republic Nat'l Title Insurance C 09-35300 (714) 573-1965 01/24/2010 02:00 pm $181,000.00 08/30/2000 Notice of Trustee Sale Bank United $280,000.00 $190,700.00 20090984047 Michael A Bosco Jr 09-16546 (602) 255-6000 01/22/2010 10:00 am $259,000.00 07/22/2005 Notice of Trustee Sale Aurora Loan Services (720) 945-3000 $207,200.00 $210,600.00 20090983704 Cal Western Reconveyance 1246106-14 (800) 546-1531 01/24/2010 02:00 pm $185,000.00 08/09/2006 Notice of Trustee Sale Americas Servicing Company $148,000.00 $118,100.00 20090982650 Michael A Bosco Jr 09-48993 (602) 255-6000 01/22/2010 10:00 am $294,505.00 09/01/2006 Notice of Trustee Sale Bank Of America (800) 285-6000 20061173394 09/01/2006 $225,184.00 $184,700.00 20090984388 Recontrust (800) 281-8219 01/27/2010 12:00 pm $1,470,000.00 09/16/2005 Notice of Trustee Sale Bank Of America (800) 285-6000 09/16/2005 $1,029,000.00 $1,202,100.00 20090983969 California Reconveyance 137746az (714) 573-1965 01/24/2010 02:00 pm $325,000.00 11/30/2005 Notice of Trustee Sale Chase Home Finance Llc (888) 332-3251 $260,000.00 $255,700.00 20090982382 First American Title 20099019204321 (702) 304-7514 01/24/2010 02:00 pm $156,527.00 03/31/2004 Notice of Trustee Sale Wells Fargo Home Mortgage (866) 234-8271 10/16/2009 $228,800.00 $178,600.00 20090982635 Michael A Bosco Jr 09-48948 (602) 255-6000 01/22/2010 10:00 am $137,000.00 12/29/2000 Notice of Trustee Sale Bank Of America (800) 285-6000 $109,600.00 $190,200.00 20090984453 Aztec Foreclosure 09-018617 (602) 222-5711 01/22/2010 11:00 am $186,500.00 12/05/2005 Notice of Trustee Sale Citimortgage, Inc (800) 695-0935 $149,200.00 $138,500.00 20090984590 Michael A Bosco Jr 09-26200 (602) 255-6000 01/22/2010 10:00 am $259,682.00 11/03/2005 Notice of Trustee Sale Chase Home Finance Llc (888) 332-3251 $224,100.00 $202,500.00 20090982684 Michael A Bosco Jr 09-25980 (602) 255-6000 01/22/2010 10:00 am $67,807.00 04/27/1984 Notice of Trustee Sale Deutsche Bank (212) 250-2500 $160,000.00 $140,100.00 20090984109 Michael A Bosco Jr 09-25890 (602) 255-6000 01/22/2010 10:00 am $1,200,000.00 04/28/2006 Notice of Trustee Sale Deutsche Bank (212) 250-2500 $960,000.00 $805,200.00 20090980972 Fidelity National Title 09-03740-3 (714) 573-1965 01/27/2010 12:00 pm $274,358.00 12/01/2004 Notice of Trustee Sale The Bank Of New York Mellon (212) 495-1784 20051122543 08/08/2005 $310,000.00 $230,600.00 20090984516 Recontrust (800) 281-8219 01/24/2010 02:00 pm $298,644.00 11/29/2005 Notice of Trustee Sale Mers (800) 646-6377 2007 03/13/2007 $315,200.00 $247,000.00 20090983908 Security Title Agency (602) 266-0275 01/29/2010 12:00 pm $99,900.00 08/23/2004 Notice of Trustee Sale U.s. Bancorp (800) 365-7772 $140,000.00 $139,500.00 20090984115 Michael A Bosco Jr 09-25895 (602) 255-6000 01/22/2010 10:00 am $255,000.00 12/19/2005 Notice of Trustee Sale Mers (800) 646-6377 2005 12/13/2005 $204,000.00 $172,300.00 20090983876 Security Title Agency (602) 266-0275 01/29/2010 12:00 pm $232,000.00 02/07/2007 Notice of Trustee Sale Wells Fargo Home Mortgage (866) 234-8271 $185,600.00 $179,800.00 20090982645 Michael A Bosco Jr 09-48954 (602) 255-6000 01/22/2010 10:00 am $182,000.00 05/01/2007 Notice of Trustee Sale Suntrust Mortgage Inc (800) 786-8787 $182,000.00 $128,700.00 20090984205 Aztec Foreclosure 09-012637 (602) 222-5711 01/22/2010 11:00 am $125,000.00 01/16/2003 Notice of Trustee Sale Mers (800) 646-6377 2006 06/09/2006 $166,000.00 $138,500.00 20090983878 Security Title Agency (602) 266-0275 01/29/2010 12:00 pm $299,990.00 07/13/2007 Notice of Trustee Sale Bank Of America (800) 285-6000 20070801368 07/13/2007 $264,280.00 $201,600.00 20090984421 Recontrust 09-0156240 (800) 281-8219 01/27/2010 12:00 pm $1,667,500.00 10/21/2005 Notice of Trustee Sale Chase Home Finance Llc (888) 332-3251 $1,552,000.00 $1,333,600.00 20090982370 First American Title 20099073502363 (702) 304-7514 01/24/2010 02:00 pm $92,950.00 11/26/1997 Notice of Trustee Sale American Home Mortgage (877) 304-3100 07/19/2007 $246,400.00 $157,000.00 20090983074 Quality Loan Service Az-09-322341-bl (714) 573-1965 01/24/2010 02:00 pm $82,000.00 10/03/2001 Notice of Trustee Sale $92,900.00 $106,300.00 20090982727 Old Republic Nat'l Title Insurance C 09-35312 (714) 573-1965 01/24/2010 02:00 pm $237,500.00 05/10/2006 Notice of Trustee Sale The Bank Of New York Mellon (212) 495-1784 20060638012 05/10/2006 $208,500.00 $134,600.00 20090984374 Recontrust (800) 281-8219 01/26/2010 12:00 pm $115,900.00 10/31/2002 Notice of Trustee Sale Wells Fargo Home Mortgage (866) 234-8271 $199,681.00 $151,000.00 20090984053 Michael A Bosco Jr 09-48938 (602) 255-6000 01/22/2010 10:00 am $269,685.00 10/26/2005 Notice of Trustee Sale Wells Fargo Home Mortgage (866) 234-8271 $215,700.00 $13,810.00 20090982663 Michael A Bosco Jr 09-49004 (602) 255-6000 01/22/2010 10:00 am $113,000.00 10/31/2006 Notice of Trustee Sale Bank Of America (800) 285-6000 $90,400.00 $82,000.00 20090984635 Aztec Foreclosure 09-018603 (602) 222-5711 01/22/2010 11:00 am $255,000.00 12/19/2006 Notice of Trustee Sale Mers (800) 646-6377 20061656770 12/14/2006 $229,500.00 $202,800.00 20090983953 Security Title Agency (602) 266-0275 01/29/2010 12:00 pm $168,000.00 02/10/2005 Notice of Trustee Sale Citimortgage, Inc (800) 695-0935 $198,000.00 $171,100.00 20090980068 Michael A Bosco Jr 09-26088 (602) 255-6000 01/21/2010 10:00 am $170,830.00 06/28/2001 Notice of Trustee Sale Chase Home Finance Llc (888) 332-3251 $197,000.00 $204,000.00 20090982798 Michael A Bosco Jr 09-26271 (602) 255-6000 01/22/2010 10:00 am $310,000.00 04/08/2005 Notice of Trustee Sale Wells Fargo Home Mortgage (866) 234-8271 $384,540.00 $152,700.00 20090984051 Michael A Bosco Jr 09-48898 (602) 255-6000 01/22/2010 10:00 am $156,782.00 01/25/2008 Notice of Trustee Sale Residential Funding Company, Llc (952) 832-7000 2007 07/23/2007 $153,000.00 $10,670.00 20090983952 Executive Trustee Service (714) 730-2727 01/29/2010 12:00 pm $221,650.00 03/16/2007 Notice of Trustee Sale Citimortgage, Inc (800) 695-0935 $221,650.00 $10,360.00 20090984593 Michael A Bosco Jr 09-26209 (602) 255-6000 01/22/2010 10:00 am $263,000.00 06/24/2005 Notice of Trustee Sale Deutsche Bank (212) 250-2500 $210,400.00 $195,800.00 20090979885 Aztec Foreclosure 09-018207 (602) 222-5711 01/21/2010 11:00 am $58,000.00 12/21/1999 Notice of Trustee Sale Bank Of America (800) 285-6000 $48,000.00 $55,140.00 20090983844 Aztec Foreclosure 09-018676 (602) 222-5711 01/22/2010 11:00 am $144,000.00 09/21/2004 Notice of Trustee Sale Midfirst Bank (800) 877-1674 09/17/2004 $141,775.00 $162,500.00 20090982510 Quality Loan Service Az-09-321850-ab (714) 573-1965 01/25/2010 12:00 pm $201,715.00 03/07/2003 Notice of Trustee Sale The Bank Of New York Mellon (212) 495-1784 2006 01/23/2006 $212,000.00 $21,210.00 20090984266 Recontrust (800) 281-8219 01/26/2010 12:00 pm $252,500.00 04/21/2006 Notice of Trustee Sale Deutsche Bank (212) 250-2500 $204,000.00 $153,500.00 20090980692 Quality Loan Service Az-sls-090125 (714) 573-1965 01/22/2010 12:00 pm $222,630.00 06/12/2007 Notice of Trustee Sale Bank Of America (800) 285-6000 $178,104.00 $179,800.00 20090983708 Aztec Foreclosure 09-018602 (602) 222-5711 01/22/2010 11:00 am $98,000.00 08/31/2005 Notice of Trustee Sale Bank Of America (800) 285-6000 20071167553 10/29/2007 $68,100.00 20090978546 Recontrust (800) 281-8219 01/25/2010 12:00 pm $36,000.00 03/29/1996 Notice of Trustee Sale Chase Home Finance Llc (888) 332-3251 $70,500.00 $131,800.00 20090982744 Michael A Bosco Jr 09-26171 (602) 255-6000 01/22/2010 10:00 am 02/27/1989 Notice of Trustee Sale Chase Home Finance Llc (888) 332-3251 $50,000.00 $4,950.00 20090982675 Michael A Bosco Jr 09-25921 (602) 255-6000 01/22/2010 10:00 am $560,000.00 05/31/2006 Notice of Trustee Sale The Bank Of New York Mellon (212) 495-1784 20060734732 05/31/2006 $440,000.00 $377,200.00 20090984527 Recontrust (800) 281-8219 01/27/2010 12:00 pm 07/28/2009 Notice of Trustee Sale Wachovia Corporation (800) 922-4684 $145,200.00 $202,700.00 20090982824 Michael A Bosco Jr 09-26333 (602) 255-6000 01/22/2010 10:00 am Page 48
  • 49.
    Pre-foreclosure List Maricopa County Week Ending 11/2 Sale Location Loan1 Date Loan1 AMT Market Value Total Loans Equity Loan-to-Value At The Main Entrance To The Superior Courts Building 201 W. Jefferson Phoenix Az. $129,600.00 $125,875.00 $129,600.00 -$3,725.00 1.03 Law Offices Of Perry & Shapiro $159,364.00 $112,100.00 $159,364.00 -$47,264.00 1.42 Office Of Michael A. Bosco Jr. $213,450.00 $162,450.00 $213,450.00 -$51,000.00 1.31 Office Of Michael A. Bosco Jr. $243,000.00 $159,125.00 $243,000.00 -$83,875.00 1.53 At The Main Entrance Of The Superior Court Building 201 West Jefferson Phoenix Az 03/09/2007 $178,308.00 $142,025.00 $178,308.00 -$36,283.00 1.26 Office Of Michael A. Bosco Jr. $209,778.00 $128,725.00 $209,778.00 -$81,053.00 1.63 At The Main Entrance Of The Superior Court Building 201 West Jefferson Phoenix Az 09/19/2006 $245,000.00 $228,950.00 $245,000.00 -$16,050.00 1.07 At The Main Entrance Of The Superior Court Building 201 West Jefferson Phoenix Az 07/05/2006 $135,000.00 $94,050.00 $135,000.00 -$40,950.00 1.44 At The Main Entrance Of The Superior Court Building 201 West Jefferson Phoenix Az 01/17/2006 $192,500.00 $133,000.00 $192,500.00 -$59,500.00 1.45 Office Of Michael A. Bosco Jr. $222,500.00 $187,150.00 $222,500.00 -$35,350.00 1.19 Offices Of Gust Rosenfeld $141,300.00 $106,400.00 $141,300.00 -$34,900.00 1.33 Security Title Agency $625,000.00 $609,627.00 $625,000.00 -$15,373.00 1.03 At The Steps At The Front Entrance Of The Superior Court Building 201 West Jefferson Phoenix Arizona 06/09/2005 $340,000.00 $245,100.00 $340,000.00 -$94,900.00 1.39 Office Of Michael A. Bosco Jr. $137,800.00 $152,475.00 $137,800.00 $14,675.00 0.9 Office Of Michael A. Bosco Jr. $201,300.00 $157,340.00 $201,300.00 -$43,960.00 1.28 Empire West Title Agency $216,000.00 $127,775.00 $216,000.00 -$88,225.00 1.69 Statewide Foreclosure Services Inc. $26,372.00 $104,500.00 $26,372.00 $78,128.00 0.25 Office Of Michael A. Bosco Jr. 04/22/2008 $140,750.00 $94,525.00 $140,750.00 -$46,225.00 1.49 Office Of Michael A. Bosco Jr. $207,120.00 $122,550.00 $207,120.00 -$84,570.00 1.69 At The Main Entrance Of The Superior Court Building 201 West Jefferson Phoenix Az $198,900.00 $108,775.00 $198,900.00 -$90,125.00 1.83 Office Of Michael A. Bosco Jr. $194,944.00 $138,700.00 $194,944.00 -$56,244.00 1.41 At The Main Entrance Of The Superior Court Building 201 West Jefferson Phoenix Az 05/13/2008 $170,590.00 $143,450.00 $170,590.00 -$27,140.00 1.19 At The Main Entrance Of The Superior Court Building 201 West Jefferson Phoenix Arizona 12/29/2004 $424,000.00 $500,650.00 $424,000.00 $76,650.00 0.85 At The Main Entrance Of The Superior Court Building 201 West Jefferson Phoenix Az 09/26/2006 $184,500.00 $93,100.00 $184,500.00 -$91,400.00 1.98 At The Main Entrance Of The Superior Court Building 201 West Jefferson Phoenix Az $157,528.00 $90,725.00 $157,528.00 -$66,803.00 1.74 At The Main Entrance Of The Superior Court Building 201 West Jefferson Phoenix Az 08/07/2007 $267,097.00 $224,209.00 $267,097.00 -$42,888.00 1.19 Security Title Agency $15,200,000.00 $15,200,000.00 At The Main Entrance Of The Superior Court Building 201 West Jefferson Phoenix Az 02/23/2007 $400,000.00 $239,400.00 $400,000.00 -$160,600.00 1.67 Security Title Agency $398,000.00 $427,993.00 $398,000.00 $29,993.00 0.93 Offices Of Folks & O'connor Pllc $122,300.00 $104,975.00 $122,300.00 -$17,325.00 1.17 Office Of Michael A. Bosco Jr. $247,568.00 $245,580.00 $247,568.00 -$1,988.00 1.01 At The Main Entrance Of The Superior Court Building 201 West Jefferson Phoenix Az $190,400.00 $118,750.00 $190,400.00 -$71,650.00 1.6 At The Main Entrance Of The Superior Court Building 201 West Jefferson Phoenix Az 06/15/2006 $174,250.00 $98,800.00 $174,250.00 -$75,450.00 1.76 At The Main Entrance To The Superior Courts Building 201 W. Jefferson Phoenix Az. $233,000.00 $88,825.00 $233,000.00 -$144,175.00 2.62 At The Main Entrance Of The Superior Court Building 201 West Jefferson Phoenix Az $82,201.00 $180,500.00 $82,201.00 $98,299.00 0.46 Law Offices Of Perry & Shapiro $224,000.00 $224,000.00 Office Of Michael A. Bosco Jr. $104,000.00 $102,125.00 $104,000.00 -$1,875.00 1.02 At The Main Entrance Of The Superior Court Building 201 West Jefferson Phoenix Az $399,200.00 $396,032.00 $399,200.00 -$3,168.00 1.01 At The Main Entrance Of The Superior Court Building 201 West Jefferson Phoenix Az 01/26/2004 $142,145.00 $121,125.00 $142,145.00 -$21,020.00 1.17 Office Of Michael A. Bosco Jr. $328,000.00 $254,125.00 $328,000.00 -$73,875.00 1.29 At The Main Entrance Of The Superior Court Building 201 West Jefferson Phoenix Az $109,650.00 $64,600.00 $109,650.00 -$45,050.00 1.7 In The Courtyard By The Main Entrance To The Superior Court Building 201 West Jefferson 09/19/2008 Phoenix $124,545.00 $116,850.00 $124,545.00 -$7,695.00 1.07 At The Main Entrance Of The Superior Court Building 201 West Jefferson Phoenix Az 07/22/2005 $214,875.00 $222,128.00 $214,875.00 $7,253.00 0.97 At The Main Entrance Of The Superior Court Building 201 West Jefferson Phoenix Az 07/19/2006 $153,000.00 $100,225.00 $153,000.00 -$52,775.00 1.53 Office Of Michael A. Bosco Jr. $113,981.00 $106,400.00 $113,981.00 -$7,581.00 1.07 Office Of Michael A. Bosco Jr. $172,000.00 $106,400.00 $172,000.00 -$65,600.00 1.62 At The Main Entrance Of The Superior Court Building 201 West Jefferson Phoenix Arizona 10/18/2001 $89,103.00 $88,350.00 $89,103.00 -$753.00 1.01 At The Steps At The Front Entrance Of The Superior Court Building 201 West Jefferson Phoenix Arizona 01/20/2006 $185,000.00 $111,150.00 $185,000.00 -$73,850.00 1.66 Law Offices Of Perry & Shapiro $210,405.00 $120,650.00 $210,405.00 -$89,755.00 1.74 At The Main Entrance To The Superior Courts Building 201 W. Jefferson Phoenix Az. $216,000.00 $135,375.00 $216,000.00 -$80,625.00 1.6 In The Courtyard By The Main Entrance To The Superior Court Building 201 West Jefferson 08/31/2006 Phoenix $292,400.00 $156,750.00 $292,400.00 -$135,650.00 1.87 At The Main Entrance Of The Superior Court Building 201 West Jefferson Phoenix Az 03/03/2006 $292,000.00 $208,302.00 $292,000.00 -$83,698.00 1.4 Page 49
  • 50.
    Pre-foreclosure List Maricopa County Week Ending 11/2 At The Main Entrance Of The Superior Court Building 201 West Jefferson Phoenix Az 09/12/2006 $234,500.00 $199,025.00 $234,500.00 -$35,475.00 1.18 Law Offices Of Perry & Shapiro $185,000.00 $189,050.00 $185,000.00 $4,050.00 0.98 At The Main Entrance Of The Superior Court Building 201 West Jefferson Phoenix Az $21,600,000.00 $141,075.00 $21,600,000.00 -$21,458,925.00 153.11 At The Main Entrance Of The Superior Court Building 201 West Jefferson Phoenix Az 09/05/2007 $192,000.00 $143,925.00 $192,000.00 -$48,075.00 1.33 At The Main Entrance Of The Superior Court Building 201 West Jefferson Phoenix Az $218,500.00 $194,275.00 $218,500.00 -$24,225.00 1.13 At The Main Entrance Of The Superior Court Building 201 West Jefferson Phoenix Az 04/17/2006 $68,700.00 $50,825.00 $68,700.00 -$17,875.00 1.35 Office Of Michael A. Bosco Jr. $92,000.00 $117,800.00 $92,000.00 $25,800.00 0.78 At The Main Entrance Of The Superior Court Building 201 West Jefferson Phoenix Az $126,367.00 $139,175.00 $126,367.00 $12,808.00 0.91 At The Main Entrance Of The Superior Court Building 201 West Jefferson Phoenix Az 08/31/2006 $180,000.00 $100,700.00 $180,000.00 -$79,300.00 1.79 At The Main Entrance Of The Superior Court Building 201 West Jefferson Phoenix Az $187,267.00 $142,975.00 $187,267.00 -$44,292.00 1.31 At The Main Entrance Of The Superior Court Building 201 West Jefferson Phoenix Az 11/16/2005 $456,000.00 $107,350.00 $456,000.00 -$348,650.00 4.25 At The Main Entrance Of The Superior Court Building 201 West Jefferson Phoenix Az $177,434.00 $177,434.00 In The Courtyard By The Main Entrance To The Superior Court Building 201 West Jefferson 03/17/1987 Phoenix $51,500.00 $95,950.00 $51,500.00 $44,450.00 0.54 At The Main Entrance Of The Superior Court Building 201 West Jefferson Phoenix Az $129,200.00 $104,975.00 $129,200.00 -$24,225.00 1.23 At The Main Entrance Of The Superior Court Building 201 West Jefferson Phoenix Az $411,365.00 $307,325.00 $411,365.00 -$104,040.00 1.34 At The Main Entrance Of The Superior Court Building 201 West Jefferson Phoenix Az 08/02/2005 $369,000.00 $260,775.00 $369,000.00 -$108,225.00 1.42 Office Of Michael A. Bosco Jr. $148,000.00 $105,925.00 $148,000.00 -$42,075.00 1.4 In The Courtyard By The Main Entrance To The Superior Court Building 201 West Jefferson 05/16/2007 Phoenix $78,100.00 $80,275.00 $78,100.00 $2,175.00 0.97 At The Main Entrance Of The Superior Court Building 201 West Jefferson Phoenix Az 03/10/2005 $228,000.00 $169,100.00 $228,000.00 -$58,900.00 1.35 Office Of Michael A. Bosco Jr. $164,000.00 $94,525.00 $164,000.00 -$69,475.00 1.74 At The Main Entrance Of The Superior Court Building 201 West Jefferson Phoenix Az 05/26/2006 $192,800.00 $116,850.00 $192,800.00 -$75,950.00 1.65 In The Courtyard By The Main Entrance To The Superior Court Building 201 West Jefferson 12/11/2006 Phoenix $257,400.00 $152,000.00 $257,400.00 -$105,400.00 1.69 At The Main Entrance Of The Superior Court Building 201 West Jefferson Phoenix Az 02/07/2005 $145,900.00 $129,200.00 $145,900.00 -$16,700.00 1.13 Office Of Michael A. Bosco Jr. $109,294.00 $101,175.00 $109,294.00 -$8,119.00 1.08 Office Of Michael A. Bosco Jr. $238,000.00 $127,775.00 $238,000.00 -$110,225.00 1.86 At The Main Entrance Of The Superior Court Building 201 West Jefferson Phoenix Az $294,405.00 $154,375.00 $294,405.00 -$140,030.00 1.91 Office Of Michael A. Bosco Jr. $168,000.00 $106,875.00 $168,000.00 -$61,125.00 1.57 Office Of Michael A. Bosco Jr. $357,452.00 $190,950.00 $357,452.00 -$166,502.00 1.87 Office Of Michael A. Bosco Jr. $220,000.00 $159,600.00 $220,000.00 -$60,400.00 1.38 Office Of Michael A. Bosco Jr. $245,372.00 $195,700.00 $245,372.00 -$49,672.00 1.25 In The Courtyard By The Main Entrance To The Superior Court Building 201 West Jefferson 08/12/2005 Phoenix $169,600.00 $114,950.00 $169,600.00 -$54,650.00 1.48 At The Main Entrance Of The Superior Court Building 201 West Jefferson Phoenix Az $181,268.00 $141,075.00 $181,268.00 -$40,193.00 1.29 At The Main Entrance Of The Superior Court Building 201 West Jefferson Phoenix Az $255,983.00 $195,225.00 $255,983.00 -$60,758.00 1.31 At The Steps At The Front Entrance Of The Superior Court Building 201 West Jefferson Phoenix Arizona 04/25/2008 $140,790.00 $91,675.00 $140,790.00 -$49,115.00 1.54 At The Main Entrance Of The Superior Court Building 201 West Jefferson Phoenix Az $233,872.00 $160,550.00 $233,872.00 -$73,322.00 1.46 At The Main Entrance Of The Superior Court Building 201 West Jefferson Phoenix Arizona 04/09/2007 $184,000.00 $119,225.00 $184,000.00 -$64,775.00 1.54 Office Of Michael A. Bosco Jr. $249,900.00 $145,350.00 $249,900.00 -$104,550.00 1.72 In The Courtyard By The Main Entrance To The Superior Court Building 201 West Jefferson 03/14/2007 Phoenix $399,999.00 $236,075.00 $399,999.00 -$163,924.00 1.69 At The Main Entrance Of The Superior Court Building 201 West Jefferson Phoenix Az $202,500.00 $147,725.00 $202,500.00 -$54,775.00 1.37 At The Main Entrance Of The Superior Court Building 201 West Jefferson Phoenix Az 06/30/2006 $125,300.00 $60,800.00 $125,300.00 -$64,500.00 2.06 At The Main Entrance Of The Superior Court Building 201 West Jefferson Phoenix Az $113,600.00 $120,650.00 $113,600.00 $7,050.00 0.94 At The Main Entrance Of The Superior Court Building 201 West Jefferson Phoenix Az 10/14/2004 $131,200.00 $142,975.00 $131,200.00 $11,775.00 0.92 At The Main Entrance Of The Superior Court Building 201 West Jefferson Phoenix Az $29,000.00 $249,375.00 $29,000.00 $220,375.00 0.12 Front Lobby Of Jaburg & Wilk $207,000.00 $114,000.00 $207,000.00 -$93,000.00 1.82 At The Main Entrance Of The Superior Court Building 201 West Jefferson Phoenix Az $198,728.00 $157,700.00 $198,728.00 -$41,028.00 1.26 Office Of Michael A. Bosco Jr. $169,000.00 $127,300.00 $169,000.00 -$41,700.00 1.33 Office Of Michael A. Bosco Jr. $332,100.00 $210,900.00 $332,100.00 -$121,200.00 1.58 In The Courtyard By The Main Entrance To The Superior Court Building 201 West Jefferson 08/31/2006 Phoenix $276,000.00 $177,650.00 $276,000.00 -$98,350.00 1.55 At The Main Entrance Of The Superior Court Building 201 West Jefferson Phoenix Az 06/19/2006 $449,000.00 $261,250.00 $449,000.00 -$187,750.00 1.72 At The Main Entrance Of The Superior Court Building 201 West Jefferson Phoenix Az 08/28/2006 $237,621.00 $150,100.00 $237,621.00 -$87,521.00 1.58 Office Of Michael A. Bosco Jr. $500,000.00 $421,247.00 $500,000.00 -$78,753.00 1.19 In The Courtyard By The Main Entrance To The Superior Court Building 201 West Jefferson 11/01/2005 Phoenix $240,000.00 $184,775.00 $240,000.00 -$55,225.00 1.3 At The Main Entrance Of The Superior Court Building 201 West Jefferson Phoenix Az $124,000.00 $98,800.00 $124,000.00 -$25,200.00 1.26 At The Main Entrance Of The Superior Court Building 201 West Jefferson Phoenix Az 12/17/2007 $242,100.00 $179,550.00 $242,100.00 -$62,550.00 1.35 Security Title Agency $215,200.00 $153,900.00 $215,200.00 -$61,300.00 1.4 At The Main Entrance Of The Superior Court Building 201 West Jefferson Phoenix Az 07/18/2006 $216,750.00 $216,750.00 At The Main Entrance To The Superior Courts Building 201 W. Jefferson Phoenix Az. $340,000.00 $205,200.00 $340,000.00 -$134,800.00 1.66 Page 50
  • 51.
    Pre-foreclosure List Maricopa County Week Ending 11/2 Office Of Michael A. Bosco Jr. $168,000.00 $113,525.00 $168,000.00 -$54,475.00 1.48 In The Courtyard By The Main Entrance To The Superior Court Building 201 West Jefferson 11/17/2005 Phoenix $365,500.00 $240,350.00 $365,500.00 -$125,150.00 1.52 In The Courtyard By The Main Entrance To The Superior Court Building 201 West Jefferson 09/25/2006 Phoenix $205,000.00 $115,425.00 $205,000.00 -$89,575.00 1.78 Law Offices Of Perry & Shapiro $106,000.00 $158,175.00 $106,000.00 $52,175.00 0.67 At The Main Entrance Of The Superior Court Building 201 West Jefferson Phoenix Az $150,000.00 $277,560.00 $150,000.00 $127,560.00 0.54 At The Main Entrance Of The Superior Court Building 201 West Jefferson Phoenix Az 08/08/2006 $414,600.00 $271,700.00 $414,600.00 -$142,900.00 1.53 Office Of Michael A. Bosco Jr. $407,000.00 $288,800.00 $407,000.00 -$118,200.00 1.41 Security Title Agency 06/29/2007 $165,000.00 $189,525.00 $165,000.00 $24,525.00 0.87 At The Main Entrance Of The Superior Court Building 201 West Jefferson Phoenix Az $192,473.00 $98,325.00 $192,473.00 -$94,148.00 1.96 At The Main Entrance Of The Superior Court Building 201 West Jefferson Phoenix Az $4,050,000.00 $4,050,000.00 Office Of Michael A. Bosco Jr. $179,000.00 $114,950.00 $179,000.00 -$64,050.00 1.56 At The Main Entrance Of The Superior Court Building 201 West Jefferson Phoenix Az 07/11/2007 $141,438.00 $99,275.00 $141,438.00 -$42,163.00 1.43 At The Main Entrance Of The Superior Court Building 201 West Jefferson Phoenix Az $131,235.00 $114,475.00 $131,235.00 -$16,760.00 1.15 At The Main Entrance Of The Superior Court Building 201 West Jefferson Phoenix Az $126,760.00 $98,800.00 $126,760.00 -$27,960.00 1.28 Office Of Michael A. Bosco Jr. $157,500.00 $123,975.00 $157,500.00 -$33,525.00 1.27 Office Of Michael A. Bosco Jr. $287,000.00 $180,975.00 $287,000.00 -$106,025.00 1.59 At The Main Entrance Of The Superior Court Building 201 West Jefferson Phoenix Az 05/31/2006 $276,500.00 $197,125.00 $276,500.00 -$79,375.00 1.4 At The Main Entrance Of The Superior Court Building 201 West Jefferson Phoenix Az $260,682.00 $133,950.00 $260,682.00 -$126,732.00 1.95 At The Main Entrance Of The Superior Court Building 201 West Jefferson Phoenix Az $203,400.00 $116,375.00 $203,400.00 -$87,025.00 1.75 At The Main Entrance Of The Superior Court Building 201 West Jefferson Phoenix Az 06/03/2005 $146,400.00 $115,425.00 $146,400.00 -$30,975.00 1.27 Office Of Michael A. Bosco Jr. $160,000.00 $133,950.00 $160,000.00 -$26,050.00 1.19 In The Courtyard By The Main Entrance To The Superior Court Building 201 West Jefferson 06/30/2006 Phoenix $280,000.00 $155,800.00 $280,000.00 -$124,200.00 1.8 In The Courtyard By The Main Entrance To The Superior Court Building 201 West Jefferson 09/06/2006 Phoenix $656,000.00 $281,200.00 $656,000.00 -$374,800.00 2.33 At The Main Entrance To The Superior Courts Building 201 W. Jefferson Phoenix Az. $234,000.00 $102,125.00 $234,000.00 -$131,875.00 2.29 At The Main Entrance Of The Superior Court Building 201 West Jefferson Phoenix Az 11/07/2005 $252,000.00 $149,150.00 $252,000.00 -$102,850.00 1.69 Office Of Michael A. Bosco Jr. $160,000.00 $131,100.00 $160,000.00 -$28,900.00 1.22 Office Of Michael A. Bosco Jr. 06/29/2005 $101,150.00 $107,825.00 $101,150.00 $6,675.00 0.94 At The Main Entrance Of The Superior Court Building 201 West Jefferson Phoenix Az 11/28/2005 $204,800.00 $127,300.00 $204,800.00 -$77,500.00 1.61 Security Title Agency $128,000.00 $140,125.00 $128,000.00 $12,125.00 0.91 Office Of Michael A. Bosco Jr. $189,000.00 $149,625.00 $189,000.00 -$39,375.00 1.26 At The Main Entrance Of The Superior Court Building 201 West Jefferson Phoenix Az 03/31/2006 $242,000.00 $154,850.00 $242,000.00 -$87,150.00 1.56 At The Main Entrance Of The Superior Court Building 201 West Jefferson Phoenix Az $198,879.00 $131,575.00 $198,879.00 -$67,304.00 1.51 In The Courtyard By The Main Entrance To The Superior Court Building 201 West Jefferson 12/12/2006 Phoenix $340,600.00 $233,225.00 $340,600.00 -$107,375.00 1.46 In The Courtyard By The Main Entrance To The Superior Court Building 201 West Jefferson 09/25/2006 Phoenix $360,000.00 $274,550.00 $360,000.00 -$85,450.00 1.31 Security Title Agency $500,000.00 $421,800.00 $500,000.00 -$78,200.00 1.19 Office Of Michael A. Bosco Jr. $359,000.00 $268,352.00 $359,000.00 -$90,648.00 1.34 Office Of Michael A. Bosco Jr. $124,000.00 $100,225.00 $124,000.00 -$23,775.00 1.24 At The Main Entrance Of The Superior Court Building 201 West Jefferson Phoenix Az 06/15/2007 $138,750.00 $101,175.00 $138,750.00 -$37,575.00 1.37 At The Main Entrance Of The Superior Court Building 201 West Jefferson Phoenix Az $223,200.00 $130,625.00 $223,200.00 -$92,575.00 1.71 Law Offices Of Perry & Shapiro $111,600.00 $92,150.00 $111,600.00 -$19,450.00 1.21 At The Main Entrance Of The Superior Court Building 201 West Jefferson Phoenix Az 12/28/2004 $132,000.00 $113,050.00 $132,000.00 -$18,950.00 1.17 Office Of Michael A. Bosco Jr. $212,000.00 $120,175.00 $212,000.00 -$91,825.00 1.76 Security Title Agency $240,000.00 $199,433.00 $240,000.00 -$40,567.00 1.2 At The Main Entrance To The Superior Courts Building 201 W. Jefferson Phoenix Az. $152,000.00 $102,600.00 $152,000.00 -$49,400.00 1.48 At The Main Entrance Of The Superior Court Building 201 West Jefferson Phoenix Az $277,000.00 $277,000.00 At The Main Entrance Of The Superior Court Building 201 West Jefferson Phoenix Az $284,000.00 $226,100.00 $284,000.00 -$57,900.00 1.26 At The Main Entrance Of The Superior Court Building 201 West Jefferson Phoenix Az 10/30/2007 $215,041.00 $186,784.00 $215,041.00 -$28,257.00 1.15 At The Main Entrance Of The Superior Court Building 201 West Jefferson Phoenix Az 10/14/2005 $308,000.00 $212,800.00 $308,000.00 -$95,200.00 1.45 In The Courtyard By The Main Entrance To The Superior Court Building 201 West Jefferson 02/23/2007 Phoenix $344,000.00 $247,950.00 $344,000.00 -$96,050.00 1.39 In The Courtyard By The Main Entrance To The Superior Court Building 201 West Jefferson 11/02/2005 Phoenix $199,500.00 $123,025.00 $199,500.00 -$76,475.00 1.62 At The Main Entrance Of The Superior Court Building 201 West Jefferson Phoenix Az 05/16/2001 $389,200.00 $510,150.00 $389,200.00 $120,950.00 0.76 Office Of Michael A. Bosco Jr. $216,660.00 $151,050.00 $216,660.00 -$65,610.00 1.43 At The Main Entrance Of The Superior Court Building 201 West Jefferson Phoenix Az 10/24/2006 $635,000.00 $483,075.00 $635,000.00 -$151,925.00 1.31 At The Main Entrance Of The Superior Court Building 201 West Jefferson Phoenix Az 01/26/2006 $198,000.00 $102,125.00 $198,000.00 -$95,875.00 1.94 At The Main Entrance Of The Superior Court Building 201 West Jefferson Phoenix Az 09/12/2006 $223,250.00 $115,900.00 $223,250.00 -$107,350.00 1.93 Office Of Michael A. Bosco Jr. $163,200.00 $104,500.00 $163,200.00 -$58,700.00 1.56 At The Main Entrance Of The Superior Court Building 201 West Jefferson Phoenix Az 05/17/2006 $1,365,000.00 $1,779,350.00 $1,365,000.00 $414,350.00 0.77 Page 51
  • 52.
    Pre-foreclosure List Maricopa County Week Ending 11/2 Office Of Michael A. Bosco Jr. $235,000.00 $140,125.00 $235,000.00 -$94,875.00 1.68 At The Main Entrance Of The Superior Court Building 201 West Jefferson Phoenix Az 07/29/2005 $95,600.00 $100,239.00 $95,600.00 $4,639.00 0.95 At The Main Entrance Of The Superior Court Building 201 West Jefferson Phoenix Az 11/14/2006 $315,000.00 $232,275.00 $315,000.00 -$82,725.00 1.36 At The Main Entrance Of The Superior Court Building 201 West Jefferson Phoenix Az $194,050.00 $174,800.00 $194,050.00 -$19,250.00 1.11 Law Offices Of Perry & Shapiro $417,000.00 $359,100.00 $417,000.00 -$57,900.00 1.16 Office Of Michael A. Bosco Jr. $163,060.00 $109,250.00 $163,060.00 -$53,810.00 1.49 At The Main Entrance Of The Superior Court Building 201 West Jefferson Phoenix Az 08/25/2005 $169,000.00 $129,200.00 $169,000.00 -$39,800.00 1.31 At The Main Entrance Of The Superior Court Building 201 West Jefferson Phoenix Az 12/12/2006 $211,500.00 $101,650.00 $211,500.00 -$109,850.00 2.08 Law Offices Of Perry & Shapiro $190,000.00 $111,625.00 $190,000.00 -$78,375.00 1.7 Law Offices Of Perry & Shapiro $128,000.00 $132,629.00 $128,000.00 $4,629.00 0.97 At The Main Entrance Of The Superior Court Building 201 West Jefferson Phoenix Az 12/01/2005 $182,000.00 $119,225.00 $182,000.00 -$62,775.00 1.53 At The Main Entrance To The Superior Courts Building 201 W. Jefferson Phoenix Az. $110,400.00 $105,450.00 $110,400.00 -$4,950.00 1.05 At The Main Entrance Of The Superior Court Building 201 West Jefferson Phoenix Arizona 06/23/2004 $142,925.00 $119,700.00 $142,925.00 -$23,225.00 1.19 At The Main Entrance Of The Superior Court Building 201 West Jefferson Phoenix Az 09/14/2006 $262,500.00 $222,775.00 $262,500.00 -$39,725.00 1.18 At The Main Entrance Of The Superior Court Building 201 West Jefferson Phoenix Az 02/15/2006 $157,100.00 $100,225.00 $157,100.00 -$56,875.00 1.57 At The Main Entrance Of The Superior Court Building 201 West Jefferson Phoenix Az $204,880.00 $167,675.00 $204,880.00 -$37,205.00 1.22 At The Main Entrance Of The Superior Court Building 201 West Jefferson Phoenix Arizona 07/26/2004 $115,494.00 $108,775.00 $115,494.00 -$6,719.00 1.06 At The Main Entrance Of The Superior Court Building 201 West Jefferson Phoenix Az $207,850.00 $167,675.00 $207,850.00 -$40,175.00 1.24 At The Steps At The Front Entrance Of The Superior Court Building 201 West Jefferson Phoenix Arizona 02/23/2007 $213,592.00 $157,700.00 $213,592.00 -$55,892.00 1.35 Law Offices Of Perry & Shapiro $197,056.00 $147,250.00 $197,056.00 -$49,806.00 1.34 At The Main Entrance Of The Superior Court Building 201 West Jefferson Phoenix Az 06/12/2006 $580,800.00 $482,600.00 $580,800.00 -$98,200.00 1.2 At The Main Entrance Of The Superior Court Building 201 West Jefferson Phoenix Az $246,000.00 $162,450.00 $246,000.00 -$83,550.00 1.51 At The Main Entrance Of The Superior Court Building 201 West Jefferson Phoenix Az 07/31/2008 $252,227.00 $179,075.00 $252,227.00 -$73,152.00 1.41 At The Main Entrance Of The Superior Court Building 201 West Jefferson Phoenix Az $181,231.00 $142,500.00 $181,231.00 -$38,731.00 1.27 Office Of Michael A. Bosco Jr. 11/05/2008 $145,803.00 $125,400.00 $145,803.00 -$20,403.00 1.16 At The Main Entrance Of The Superior Court Building 201 West Jefferson Phoenix Az 11/14/2005 $181,930.00 $125,400.00 $181,930.00 -$56,530.00 1.45 At The Main Entrance Of The Superior Court Building 201 West Jefferson Phoenix Az 02/28/2006 $250,000.00 $318,725.00 $250,000.00 $68,725.00 0.78 Law Offices Of Perry & Shapiro $148,080.00 $104,500.00 $148,080.00 -$43,580.00 1.42 At The Main Entrance Of The Superior Court Building 201 West Jefferson Phoenix Az 10/30/2006 $176,000.00 $111,625.00 $176,000.00 -$64,375.00 1.58 Office Of Michael A. Bosco Jr. $285,000.00 $167,200.00 $285,000.00 -$117,800.00 1.71 Office Of Michael A. Bosco Jr. $196,000.00 $114,950.00 $196,000.00 -$81,050.00 1.71 At The Main Entrance Of The Superior Court Building 201 West Jefferson Phoenix Az 03/12/2008 $175,920.00 $121,125.00 $175,920.00 -$54,795.00 1.45 In The Courtyard By The Main Entrance To The Superior Court Building 201 West Jefferson 01/25/2006 Phoenix $1,500,000.00 $1,066,375.00 $1,500,000.00 -$433,625.00 1.41 At The Main Entrance Of The Superior Court Building 201 West Jefferson Phoenix Az $217,275.00 $120,175.00 $217,275.00 -$97,100.00 1.81 At The Main Entrance To The Superior Courts Building 201 W. Jefferson Phoenix Az. $225,000.00 $186,675.00 $225,000.00 -$38,325.00 1.21 At The Main Entrance Of The Superior Court Building 201 West Jefferson Phoenix Az 01/23/2007 $220,000.00 $155,800.00 $220,000.00 -$64,200.00 1.41 Office Of Michael A. Bosco Jr. $294,363.00 $193,325.00 $294,363.00 -$101,038.00 1.52 Office Of Michael A. Bosco Jr. $284,000.00 $183,825.00 $284,000.00 -$100,175.00 1.55 At The Main Entrance Of The Superior Court Building 201 West Jefferson Phoenix Az 05/12/2006 $390,000.00 $325,375.00 $390,000.00 -$64,625.00 1.2 At The Main Entrance Of The Superior Court Building 201 West Jefferson Phoenix Az $43,110.00 $85,025.00 $43,110.00 $41,915.00 0.51 At The Main Entrance Of The Superior Court Building 201 West Jefferson Phoenix Az 03/26/2008 $246,813.00 $201,875.00 $246,813.00 -$44,938.00 1.22 At The Main Entrance Of The Superior Court Building 201 West Jefferson Phoenix Az 06/27/2005 $650,000.00 $744,959.00 $650,000.00 $94,959.00 0.87 At The Main Entrance Of The Superior Court Building 201 West Jefferson Phoenix Az 12/15/2006 $217,800.00 $94,050.00 $217,800.00 -$123,750.00 2.32 At The Main Entrance Of The Superior Court Building 201 West Jefferson Phoenix Az $176,000.00 $89,300.00 $176,000.00 -$86,700.00 1.97 At The Main Entrance Of The Superior Court Building 201 West Jefferson Phoenix Az 04/03/2008 $147,910.00 $117,800.00 $147,910.00 -$30,110.00 1.26 At The Main Entrance Of The Superior Court Building 201 West Jefferson Phoenix Az 05/30/2006 $207,483.00 $143,925.00 $207,483.00 -$63,558.00 1.44 At The Main Entrance Of The Superior Court Building 201 West Jefferson Phoenix Az $244,000.00 $151,050.00 $244,000.00 -$92,950.00 1.62 Office Of Michael A. Bosco Jr. $145,000.00 $92,625.00 $145,000.00 -$52,375.00 1.57 At The Main Entrance Of The Superior Court Building 201 West Jefferson Phoenix Az $169,834.00 $102,600.00 $169,834.00 -$67,234.00 1.66 At The Main Entrance Of The Superior Court Building 201 West Jefferson Phoenix Az 01/18/2007 $209,728.00 $143,450.00 $209,728.00 -$66,278.00 1.46 Office Of Michael A. Bosco Jr. $180,000.00 $139,175.00 $180,000.00 -$40,825.00 1.29 At The Main Entrance Of The Superior Court Building 201 West Jefferson Phoenix Az 08/12/2005 $196,000.00 $139,650.00 $196,000.00 -$56,350.00 1.4 At The Main Entrance Of The Superior Court Building 201 West Jefferson Phoenix Az $250,462.00 $126,825.00 $250,462.00 -$123,637.00 1.98 At The Main Entrance Of The Superior Court Building 201 West Jefferson Phoenix Az $240,000.00 $208,050.00 $240,000.00 -$31,950.00 1.15 Office Of Michael A. Bosco Jr. $389,520.00 $161,025.00 $389,520.00 -$228,495.00 2.42 Office Of Michael A. Bosco Jr. $188,800.00 $164,350.00 $188,800.00 -$24,450.00 1.15 Office Of Michael A. Bosco Jr. $305,000.00 $305,000.00 Page 52
  • 53.
    Pre-foreclosure List Maricopa County Week Ending 11/2 Office Of Michael A. Bosco Jr. $257,600.00 $206,151.00 $257,600.00 -$51,449.00 1.25 At The Main Entrance Of The Superior Court Building 201 West Jefferson Phoenix Arizona 03/17/2008 $162,000.00 $111,150.00 $162,000.00 -$50,850.00 1.46 At The Main Entrance Of The Superior Court Building 201 West Jefferson Phoenix Az $154,800.00 $117,325.00 $154,800.00 -$37,475.00 1.32 At The Main Entrance Of The Superior Court Building 201 West Jefferson Phoenix Az 05/30/2006 $244,000.00 $162,450.00 $244,000.00 -$81,550.00 1.5 Law Offices Of Perry & Shapiro $144,000.00 $115,425.00 $144,000.00 -$28,575.00 1.25 At The Main Entrance Of The Superior Court Building 201 West Jefferson Phoenix Az 09/20/2005 $241,400.00 $171,000.00 $241,400.00 -$70,400.00 1.41 Office Of Michael A. Bosco Jr. $204,800.00 $125,875.00 $204,800.00 -$78,925.00 1.63 At The Main Entrance Of The Superior Court Building 201 West Jefferson Phoenix Az 03/13/2006 $219,000.00 $139,175.00 $219,000.00 -$79,825.00 1.57 At The Main Entrance Of The Superior Court Building 201 West Jefferson Phoenix Az 03/04/2004 $240,000.00 $345,325.00 $240,000.00 $105,325.00 0.7 At The Main Entrance Of The Superior Court Building 201 West Jefferson Phoenix Az 06/23/2005 $192,000.00 $150,575.00 $192,000.00 -$41,425.00 1.28 At The Main Entrance Of The Superior Court Building 201 West Jefferson Phoenix Az 03/08/2006 $560,000.00 $341,525.00 $560,000.00 -$218,475.00 1.64 Office Of Michael A. Bosco Jr. $260,000.00 $206,150.00 $260,000.00 -$53,850.00 1.26 At The Steps At The Front Entrance Of The Superior Court Building 201 West Jefferson Phoenix Arizona 07/25/2005 $232,000.00 $160,550.00 $232,000.00 -$71,450.00 1.45 At The Main Entrance Of The Superior Court Building 201 West Jefferson Phoenix Az $400,000.00 $275,025.00 $400,000.00 -$124,975.00 1.45 At The Main Entrance Of The Superior Court Building 201 West Jefferson Phoenix Az 05/16/2005 $400,000.00 $233,700.00 $400,000.00 -$166,300.00 1.71 At The Main Entrance Of The Superior Court Building 201 West Jefferson Phoenix Arizona 07/11/2005 $303,000.00 $238,925.00 $303,000.00 -$64,075.00 1.27 In The Courtyard By The Main Entrance To The Superior Court Building 201 West Jefferson 09/03/2008 Phoenix $201,448.00 $201,448.00 At The Main Entrance Of The Superior Court Building 201 West Jefferson Phoenix Az 01/18/2006 $128,000.00 $93,575.00 $128,000.00 -$34,425.00 1.37 At The Main Entrance Of The Superior Court Building 201 West Jefferson Phoenix Az 11/28/2006 $115,000.00 $98,800.00 $115,000.00 -$16,200.00 1.16 Office Of Michael A. Bosco Jr. $270,000.00 $340,676.00 $270,000.00 $70,676.00 0.79 At The Main Entrance Of The Superior Court Building 201 West Jefferson Phoenix Az 06/09/2005 $212,000.00 $129,200.00 $212,000.00 -$82,800.00 1.64 Office Of Michael A. Bosco Jr. $149,600.00 $116,850.00 $149,600.00 -$32,750.00 1.28 At The Main Entrance Of The Superior Court Building 201 West Jefferson Phoenix Az $482,000.00 $663,575.00 $482,000.00 $181,575.00 0.73 At The Main Entrance Of The Superior Court Building 201 West Jefferson Phoenix Az $1,575,000.00 $1,375,600.00 $1,575,000.00 -$199,400.00 1.15 Office Of Michael A. Bosco Jr. $455,000.00 $397,575.00 $455,000.00 -$57,425.00 1.14 At The Main Entrance Of The Superior Court Building 201 West Jefferson Phoenix Az $211,280.00 $131,575.00 $211,280.00 -$79,705.00 1.61 At The Main Entrance Of The Superior Court Building 201 West Jefferson Phoenix Az 09/28/2004 $261,250.00 $207,100.00 $261,250.00 -$54,150.00 1.26 At The Main Entrance Of The Superior Court Building 201 West Jefferson Phoenix Az 06/08/2006 $275,000.00 $269,800.00 $275,000.00 -$5,200.00 1.02 In The Courtyard By The Main Entrance To The Superior Court Building 201 West Jefferson 04/12/2006 Phoenix $190,000.00 $190,000.00 Law Offices Of Perry & Shapiro $228,637.00 $112,575.00 $228,637.00 -$116,062.00 2.03 At The Main Entrance Of The Superior Court Building 201 West Jefferson Phoenix Az 04/12/2007 $233,400.00 $106,875.00 $233,400.00 -$126,525.00 2.18 At The Main Entrance Of The Superior Court Building 201 West Jefferson Phoenix Az 10/03/2006 $127,500.00 $103,075.00 $127,500.00 -$24,425.00 1.24 At The Main Entrance Of The Superior Court Building 201 West Jefferson Phoenix Az 05/15/2007 $560,000.00 $311,600.00 $560,000.00 -$248,400.00 1.8 At The Main Entrance Of The Superior Court Building 201 West Jefferson Phoenix Az $236,000.00 $154,850.00 $236,000.00 -$81,150.00 1.52 At The Main Entrance Of The Superior Court Building 201 West Jefferson Phoenix Az 06/13/2006 $265,000.00 $200,450.00 $265,000.00 -$64,550.00 1.32 At The Main Entrance Of The Superior Court Building 201 West Jefferson Phoenix Az 11/08/2007 $476,000.00 $331,075.00 $476,000.00 -$144,925.00 1.44 At The Main Entrance Of The Superior Court Building 201 West Jefferson Phoenix Az 02/15/2005 $160,000.00 $127,775.00 $160,000.00 -$32,225.00 1.25 At The Main Entrance Of The Superior Court Building 201 West Jefferson Phoenix Az $172,800.00 $113,050.00 $172,800.00 -$59,750.00 1.53 Office Of Michael A. Bosco Jr. $184,000.00 $103,550.00 $184,000.00 -$80,450.00 1.78 At The Main Entrance Of The Superior Court Building 201 West Jefferson Phoenix Az $345,100.00 $296,400.00 $345,100.00 -$48,700.00 1.16 At The Main Entrance Of The Superior Court Building 201 West Jefferson Phoenix Az $204,513.00 $99,275.00 $204,513.00 -$105,238.00 2.06 Office Of Michael A. Bosco Jr. $188,000.00 $128,250.00 $188,000.00 -$59,750.00 1.47 At The Main Entrance Of The Superior Court Building 201 West Jefferson Phoenix Az $204,000.00 $113,525.00 $204,000.00 -$90,475.00 1.8 At The Main Entrance Of The Superior Court Building 201 West Jefferson Phoenix Az $296,000.00 $158,650.00 $296,000.00 -$137,350.00 1.87 Law Offices Of Perry & Shapiro $178,850.00 $138,700.00 $178,850.00 -$40,150.00 1.29 At The Main Entrance Of The Superior Court Building 201 West Jefferson Phoenix Az 11/03/2006 $105,000.00 $84,550.00 $105,000.00 -$20,450.00 1.24 In The Courtyard By The Main Entrance To The Superior Court Building 201 West Jefferson 12/05/2005 Phoenix $177,600.00 $120,650.00 $177,600.00 -$56,950.00 1.47 Office Of Michael A. Bosco Jr. $237,000.00 $188,575.00 $237,000.00 -$48,425.00 1.26 Empire West Title Agency $100,000.00 $141,550.00 $100,000.00 $41,550.00 0.71 Office Of Michael A. Bosco Jr. $341,000.00 $313,500.00 $341,000.00 -$27,500.00 1.09 At The Main Entrance Of The Superior Court Building 201 West Jefferson Phoenix Az 03/27/1997 $91,769.00 $112,575.00 $91,769.00 $20,806.00 0.82 Office Of Michael A. Bosco Jr. $637,500.00 $637,500.00 Office Of Michael A. Bosco Jr. $155,000.00 $115,900.00 $155,000.00 -$39,100.00 1.34 At The Main Entrance Of The Superior Court Building 201 West Jefferson Phoenix Az $157,250.00 $59,850.00 $157,250.00 -$97,400.00 2.63 Office Of Michael A. Bosco Jr. $100,000.00 $83,600.00 $100,000.00 -$16,400.00 1.2 Office Of Michael A. Bosco Jr. $131,992.00 $90,725.00 $131,992.00 -$41,267.00 1.46 Office Of Michael A. Bosco Jr. $266,000.00 $237,500.00 $266,000.00 -$28,500.00 1.12 Page 53
  • 54.
    Pre-foreclosure List Maricopa County Week Ending 11/2 At The Main Entrance Of The Superior Court Building 201 West Jefferson Phoenix Arizona 11/08/2005 $135,920.00 $136,982.00 $135,920.00 $1,062.00 0.99 At The Main Entrance Of The Superior Court Building 201 West Jefferson Phoenix Az 03/27/2006 $205,000.00 $244,625.00 $205,000.00 $39,625.00 0.84 At The Main Entrance Of The Superior Court Building 201 West Jefferson Phoenix Az $154,660.00 $156,078.00 $154,660.00 $1,418.00 0.99 At The Main Entrance Of The Superior Court Building 201 West Jefferson Phoenix Az 07/10/2005 $209,950.00 $229,900.00 $209,950.00 $19,950.00 0.91 At The Main Entrance Of The Superior Court Building 201 West Jefferson Phoenix Az 02/02/2006 $536,000.00 $526,211.00 $536,000.00 -$9,789.00 1.02 At The Main Entrance Of The Superior Court Building 201 West Jefferson Phoenix Az $514,422.00 $327,750.00 $514,422.00 -$186,672.00 1.57 At The Main Entrance Of The Superior Court Building 201 West Jefferson Phoenix Az $70,000.00 $106,400.00 $70,000.00 $36,400.00 0.66 At The Main Entrance Of The Superior Court Building 201 West Jefferson Phoenix Az 09/26/2002 $246,400.00 $221,527.00 $246,400.00 -$24,873.00 1.11 Office Of Michael A. Bosco Jr. $260,000.00 $167,675.00 $260,000.00 -$92,325.00 1.55 At The Main Entrance Of The Superior Court Building 201 West Jefferson Phoenix Az 11/10/2005 $60,000.00 $79,325.00 $60,000.00 $19,325.00 0.76 Office Of Michael A. Bosco Jr. $172,500.00 $113,050.00 $172,500.00 -$59,450.00 1.53 At The Main Entrance Of The Superior Court Building 201 West Jefferson Phoenix Az 09/25/2008 $352,721.00 $298,300.00 $352,721.00 -$54,421.00 1.18 Office Of Michael A. Bosco Jr. $215,180.00 $175,275.00 $215,180.00 -$39,905.00 1.23 At The Main Entrance Of The Superior Court Building 201 West Jefferson Phoenix Az 11/07/2007 $268,000.00 $241,300.00 $268,000.00 -$26,700.00 1.11 In The Courtyard By The Main Entrance To The Superior Court Building 201 West Jefferson 04/24/2006 Phoenix $218,400.00 $126,350.00 $218,400.00 -$92,050.00 1.73 In The Courtyard By The Main Entrance To The Superior Court Building 201 West Jefferson 09/23/2005 Phoenix $200,000.00 $173,375.00 $200,000.00 -$26,625.00 1.15 At The Main Entrance Of The Superior Court Building 201 West Jefferson Phoenix Az 10/16/2006 $678,000.00 $445,550.00 $678,000.00 -$232,450.00 1.52 Office Of Michael A. Bosco Jr. $237,000.00 $121,600.00 $237,000.00 -$115,400.00 1.95 At The Main Entrance Of The Superior Court Building 201 West Jefferson Phoenix Arizona 03/20/2006 $170,000.00 $221,825.00 $170,000.00 $51,825.00 0.77 Office Of Michael A. Bosco Jr. $267,500.00 $231,390.00 $267,500.00 -$36,110.00 1.16 At The Main Entrance Of The Superior Court Building 201 West Jefferson Phoenix Arizona 09/21/2007 $395,000.00 $221,825.00 $395,000.00 -$173,175.00 1.78 Office Of Michael A. Bosco Jr. $149,500.00 $94,050.00 $149,500.00 -$55,450.00 1.59 Law Offices Of Perry & Shapiro $675,000.00 $484,025.00 $675,000.00 -$190,975.00 1.4 In The Courtyard By The Main Entrance To The Superior Court Building 201 West Jefferson 09/28/2007 Phoenix $207,200.00 $160,802.00 $207,200.00 -$46,398.00 1.29 In The Courtyard By The Main Entrance To The Superior Court Building 201 West Jefferson 03/13/2007 Phoenix $255,931.00 $168,625.00 $255,931.00 -$87,306.00 1.52 At The Steps At The Front Entrance Of The Superior Court Building 201 West Jefferson Phoenix Arizona 03/08/2006 $173,000.00 $126,350.00 $173,000.00 -$46,650.00 1.37 At The Main Entrance Of The Superior Court Building 201 West Jefferson Phoenix Az 11/29/2006 $205,675.00 $0.00 At The Main Entrance Of The Superior Court Building 201 West Jefferson Phoenix Az $139,900.00 $133,475.00 $139,900.00 -$6,425.00 1.05 In The Courtyard By The Main Entrance To The Superior Court Building 201 West Jefferson 06/03/2003 Phoenix $95,009.00 $125,875.00 $95,009.00 $30,866.00 0.76 At The Main Entrance Of The Superior Court Building 201 West Jefferson Phoenix Az $418,500.00 $418,500.00 Office Of Michael A. Bosco Jr. $144,000.00 $88,825.00 $144,000.00 -$55,175.00 1.62 At The Main Entrance Of The Superior Court Building 201 West Jefferson Phoenix Az 11/16/2007 $91,200.00 $65,550.00 $91,200.00 -$25,650.00 1.39 Office Of Michael A. Bosco Jr. $280,804.00 $166,725.00 $280,804.00 -$114,079.00 1.68 At The Main Entrance Of The Superior Court Building 201 West Jefferson Phoenix Az $270,443.00 $147,250.00 $270,443.00 -$123,193.00 1.84 At The Main Entrance Of The Superior Court Building 201 West Jefferson Phoenix Az 08/06/2004 $148,000.00 $173,850.00 $148,000.00 $25,850.00 0.85 At The Main Entrance Of The Superior Court Building 201 West Jefferson Phoenix Arizona 06/27/2005 $285,000.00 $278,350.00 $285,000.00 -$6,650.00 1.02 Statewide Foreclosure Services Inc. $143,000.00 $375,725.00 $143,000.00 $232,725.00 0.38 At The Main Entrance Of The Superior Court Building 201 West Jefferson Phoenix Az 01/11/2007 $184,000.00 $99,750.00 $184,000.00 -$84,250.00 1.85 At The Main Entrance Of The Superior Court Building 201 West Jefferson Phoenix Az 01/31/2006 $340,000.00 $198,550.00 $340,000.00 -$141,450.00 1.71 At The Main Entrance Of The Superior Court Building 201 West Jefferson Phoenix Az 12/18/2006 $153,000.00 $50,350.00 $153,000.00 -$102,650.00 3.04 Office Of Michael A. Bosco Jr. $135,000.00 $85,025.00 $135,000.00 -$49,975.00 1.59 At The Main Entrance Of The Superior Court Building 201 West Jefferson Phoenix Az 07/27/2005 $130,000.00 $99,750.00 $130,000.00 -$30,250.00 1.3 At The Main Entrance Of The Superior Court Building 201 West Jefferson Phoenix Az 01/28/2009 $208,623.00 $104,975.00 $208,623.00 -$103,648.00 1.99 At The Main Entrance Of The Superior Court Building 201 West Jefferson Phoenix Az 03/30/2007 $166,950.00 $103,075.00 $166,950.00 -$63,875.00 1.62 At The Main Entrance Of The Superior Court Building 201 West Jefferson Phoenix Az $417,000.00 $210,900.00 $417,000.00 -$206,100.00 1.98 In The Courtyard By The Main Entrance To The Superior Court Building 201 West Jefferson 08/11/2006 Phoenix $184,000.00 $57,475.00 $184,000.00 -$126,525.00 3.2 At The Main Entrance Of The Superior Court Building 201 West Jefferson Phoenix Az 11/05/2007 $960,000.00 $921,500.00 $960,000.00 -$38,500.00 1.04 At The Main Entrance Of The Superior Court Building 201 West Jefferson Phoenix Az 12/27/2007 $175,000.00 $94,050.00 $175,000.00 -$80,950.00 1.86 Office Of Michael A. Bosco Jr. $111,923.00 $102,600.00 $111,923.00 -$9,323.00 1.09 At The Main Entrance Of The Superior Court Building 201 West Jefferson Phoenix Az 01/17/2006 $158,400.00 $97,850.00 $158,400.00 -$60,550.00 1.62 At The Main Entrance Of The Superior Court Building 201 West Jefferson Phoenix Az $200,000.00 $130,625.00 $200,000.00 -$69,375.00 1.53 At The Main Entrance Of The Superior Court Building 201 West Jefferson Phoenix Az 03/21/2005 $289,600.00 $243,675.00 $289,600.00 -$45,925.00 1.19 At The Main Entrance Of The Superior Court Building 201 West Jefferson Phoenix Az 08/03/2006 $228,000.00 $137,275.00 $228,000.00 -$90,725.00 1.66 At The Main Entrance Of The Superior Court Building 201 West Jefferson Phoenix Az $194,500.00 $120,650.00 $194,500.00 -$73,850.00 1.61 At The Main Entrance Of The Superior Court Building 201 West Jefferson Phoenix Az 08/27/2007 $600,000.00 $600,000.00 Office Of Michael A. Bosco Jr. $420,000.00 $272,175.00 $420,000.00 -$147,825.00 1.54 Office Of Michael A. Bosco Jr. $292,000.00 $249,850.00 $292,000.00 -$42,150.00 1.17 Page 54
  • 55.
    Pre-foreclosure List Maricopa County Week Ending 11/2 At The Main Entrance Of The Superior Court Building 201 West Jefferson Phoenix Az 08/15/2007 $500,000.00 $228,950.00 $500,000.00 -$271,050.00 2.18 Security Title Agency $100,000.00 $91,675.00 $100,000.00 -$8,325.00 1.09 Law Offices Of Perry & Shapiro $216,000.00 $129,200.00 $216,000.00 -$86,800.00 1.67 Office Of Michael A. Bosco Jr. $150,000.00 $100,700.00 $150,000.00 -$49,300.00 1.49 At The Main Entrance Of The Superior Court Building 201 West Jefferson Phoenix Az 11/11/2005 $190,500.00 $118,750.00 $190,500.00 -$71,750.00 1.6 At The Main Entrance Of The Superior Court Building 201 West Jefferson Phoenix Az 02/16/2007 $136,000.00 $94,525.00 $136,000.00 -$41,475.00 1.44 Office Of Michael A. Bosco Jr. $175,750.00 $110,675.00 $175,750.00 -$65,075.00 1.59 Law Offices Of Perry & Shapiro $191,750.00 $175,619.00 $191,750.00 -$16,131.00 1.09 At The Main Entrance Of The Superior Court Building 201 West Jefferson Phoenix Az $347,000.00 $189,525.00 $347,000.00 -$157,475.00 1.83 At The Main Entrance Of The Superior Court Building 201 West Jefferson Phoenix Az 01/12/2007 $251,650.00 $140,600.00 $251,650.00 -$111,050.00 1.79 Office Of Michael A. Bosco Jr. $137,500.00 $92,625.00 $137,500.00 -$44,875.00 1.48 At The Main Entrance Of The Superior Court Building 201 West Jefferson Phoenix Az 12/21/2006 $207,000.00 $103,075.00 $207,000.00 -$103,925.00 2.01 At The Main Entrance Of The Superior Court Building 201 West Jefferson Phoenix Az 12/18/2006 $454,018.00 $295,925.00 $454,018.00 -$158,093.00 1.53 In The Courtyard By The Main Entrance To The Superior Court Building 201 West Jefferson 02/13/2006 Phoenix $226,300.00 $152,475.00 $226,300.00 -$73,825.00 1.48 At The Main Entrance Of The Superior Court Building 201 West Jefferson Phoenix Az 05/25/2007 $109,200,000.00 $779,950.00 $109,200,000.00 -$108,420,050.00 140.01 Office Of Michael A. Bosco Jr. $115,200.00 $120,650.00 $115,200.00 $5,450.00 0.96 In The Courtyard By The Main Entrance To The Superior Court Building 201 West Jefferson 09/27/2006 Phoenix $543,291.00 $573,146.00 $543,291.00 $29,855.00 0.95 Security Title Agency $184,800.00 $131,100.00 $184,800.00 -$53,700.00 1.41 At The Main Entrance Of The Superior Court Building 201 West Jefferson Phoenix Az 08/25/2006 $540,000.00 $340,575.00 $540,000.00 -$199,425.00 1.59 Office Of Michael A. Bosco Jr. $196,000.00 $149,150.00 $196,000.00 -$46,850.00 1.31 At The Main Entrance Of The Superior Court Building 201 West Jefferson Phoenix Az 08/28/2006 $158,240.00 $106,875.00 $158,240.00 -$51,365.00 1.48 At The Main Entrance Of The Superior Court Building 201 West Jefferson Phoenix Az 12/11/2006 $188,000.00 $110,200.00 $188,000.00 -$77,800.00 1.71 At The Main Entrance Of The Superior Court Building 201 West Jefferson Phoenix Az $236,640.00 $145,825.00 $236,640.00 -$90,815.00 1.62 Statewide Foreclosure Services Inc. $54,900.00 $92,150.00 $54,900.00 $37,250.00 0.6 Office Of Michael A. Bosco Jr. $288,800.00 $176,700.00 $288,800.00 -$112,100.00 1.63 At The Main Entrance Of The Superior Court Building 201 West Jefferson Phoenix Az 10/05/2005 $153,000.00 $142,975.00 $153,000.00 -$10,025.00 1.07 Office Of Michael A. Bosco Jr. $122,500.00 $149,625.00 $122,500.00 $27,125.00 0.82 At The Main Entrance Of The Superior Court Building 201 West Jefferson Phoenix Arizona 08/01/2008 $131,200.00 $103,402.00 $131,200.00 -$27,798.00 1.27 At The Main Entrance Of The Superior Court Building 201 West Jefferson Phoenix Az 04/22/2004 $276,000.00 $632,225.00 $276,000.00 $356,225.00 0.44 In The Courtyard By The Main Entrance To The Superior Court Building 201 West Jefferson 07/30/2008 Phoenix $245,645.00 $190,475.00 $245,645.00 -$55,170.00 1.29 At The Main Entrance Of The Superior Court Building 201 West Jefferson Phoenix Az $2,700,000.00 $2,700,000.00 Office Of Michael A. Bosco Jr. $316,776.00 $162,450.00 $316,776.00 -$154,326.00 1.95 In The Courtyard By The Main Entrance To The Superior Court Building 201 West Jefferson 06/10/2008 Phoenix $206,755.00 $169,575.00 $206,755.00 -$37,180.00 1.22 At The Main Entrance Of The Superior Court Building 201 West Jefferson Phoenix Az $100,000.00 $133,475.00 $100,000.00 $33,475.00 0.75 At The Main Entrance Of The Superior Court Building 201 West Jefferson Phoenix Az 04/08/2004 $456,000.00 $754,300.00 $456,000.00 $298,300.00 0.61 At The Main Entrance Of The Superior Court Building 201 West Jefferson Phoenix Az 04/14/2006 $213,500.00 $186,200.00 $213,500.00 -$27,300.00 1.15 Office Of Michael A. Bosco Jr. $235,000.00 $138,225.00 $235,000.00 -$96,775.00 1.7 At The Main Entrance Of The Superior Court Building 201 West Jefferson Phoenix Az 11/22/2006 $217,600.00 $126,825.00 $217,600.00 -$90,775.00 1.72 At The Main Entrance Of The Superior Court Building 201 West Jefferson Phoenix Az 03/15/2005 $137,700.00 $100,225.00 $137,700.00 -$37,475.00 1.37 At The Main Entrance Of The Superior Court Building 201 West Jefferson Phoenix Az $750,000.00 $97,850.00 $750,000.00 -$652,150.00 7.67 Office Of Michael A. Bosco Jr. $172,500.00 $113,525.00 $172,500.00 -$58,975.00 1.52 At The Main Entrance Of The Superior Court Building 201 West Jefferson Phoenix Az 06/28/2007 $116,250.00 $85,500.00 $116,250.00 -$30,750.00 1.36 At The Main Entrance Of The Superior Court Building 201 West Jefferson Phoenix Az 10/25/2006 $257,000.00 $198,550.00 $257,000.00 -$58,450.00 1.29 At The Main Entrance Of The Superior Court Building 201 West Jefferson Phoenix Az $381,900.00 $191,425.00 $381,900.00 -$190,475.00 2 At The Main Entrance Of The Superior Court Building 201 West Jefferson Phoenix Az 05/09/2006 $487,500.00 $676,875.00 $487,500.00 $189,375.00 0.72 At The Main Entrance Of The Superior Court Building 201 West Jefferson Phoenix Az 08/12/2005 $680,000.00 $419,425.00 $680,000.00 -$260,575.00 1.62 Office Of Michael A. Bosco Jr. 10/13/2009 $319,200.00 $224,675.00 $319,200.00 -$94,525.00 1.42 At The Main Entrance Of The Superior Court Building 201 West Jefferson Phoenix Az 12/17/2007 $250,771.00 $167,200.00 $250,771.00 -$83,571.00 1.5 At The Main Entrance Of The Superior Court Building 201 West Jefferson Phoenix Az 12/22/2005 $244,000.00 $200,925.00 $244,000.00 -$43,075.00 1.21 Office Of Michael A. Bosco Jr. $180,000.00 $124,450.00 $180,000.00 -$55,550.00 1.45 At The Main Entrance Of The Superior Court Building 201 West Jefferson Phoenix Az 09/13/2006 $180,000.00 $110,200.00 $180,000.00 -$69,800.00 1.63 At The Main Entrance Of The Superior Court Building 201 West Jefferson Phoenix Az $620,000.00 $532,950.00 $620,000.00 -$87,050.00 1.16 In The Courtyard By The Main Entrance To The Superior Court Building 201 West Jefferson 04/30/2008 Phoenix $260,223.00 $174,800.00 $260,223.00 -$85,423.00 1.49 At The Main Entrance Of The Superior Court Building 201 West Jefferson Phoenix Az 06/21/2006 $300,000.00 $165,775.00 $300,000.00 -$134,225.00 1.81 At The Main Entrance Of The Superior Court Building 201 West Jefferson Phoenix Az $133,934.00 $171,950.00 $133,934.00 $38,016.00 0.78 In The Courtyard By The Main Entrance To The Superior Court Building 201 West Jefferson 11/15/2006 Phoenix $201,600.00 $123,500.00 $201,600.00 -$78,100.00 1.63 Office Of Michael A. Bosco Jr. $198,500.00 $157,700.00 $198,500.00 -$40,800.00 1.26 Page 55
  • 56.
    Pre-foreclosure List Maricopa County Week Ending 11/2 Office Of Michael A. Bosco Jr. $149,150.00 $102,600.00 $149,150.00 -$46,550.00 1.45 At The Main Entrance Of The Superior Court Building 201 West Jefferson Phoenix Az 02/14/2007 $456,300.00 $375,725.00 $456,300.00 -$80,575.00 1.21 At The Main Entrance Of The Superior Court Building 201 West Jefferson Phoenix Az 05/31/2006 $257,850.00 $132,525.00 $257,850.00 -$125,325.00 1.95 In The Courtyard By The Main Entrance To The Superior Court Building 201 West Jefferson 04/27/2007 Phoenix $208,000.00 $123,975.00 $208,000.00 -$84,025.00 1.68 Office Of Michael A. Bosco Jr. $171,900.00 $114,475.00 $171,900.00 -$57,425.00 1.5 At The Main Entrance Of The Superior Court Building 201 West Jefferson Phoenix Az 07/25/2007 $168,000.00 $124,450.00 $168,000.00 -$43,550.00 1.35 At The Main Entrance Of The Superior Court Building 201 West Jefferson Phoenix Az 03/31/2009 $129,910.00 $116,375.00 $129,910.00 -$13,535.00 1.12 At The Main Entrance Of The Superior Court Building 201 West Jefferson Phoenix Az 02/01/2006 $168,000.00 $133,950.00 $168,000.00 -$34,050.00 1.25 Office Of Michael A. Bosco Jr. $562,500.00 $247,950.00 $562,500.00 -$314,550.00 2.27 Office Of Michael A. Bosco Jr. $291,200.00 $258,875.00 $291,200.00 -$32,325.00 1.13 In The Courtyard By The Main Entrance To The Superior Court Building 201 West Jefferson 10/26/2007 Phoenix $210,000.00 $171,216.00 $210,000.00 -$38,784.00 1.23 At The Main Entrance Of The Superior Court Building 201 West Jefferson Phoenix Az $150,000.00 $114,000.00 $150,000.00 -$36,000.00 1.32 Office Of Michael A. Bosco Jr. $208,000.00 $109,250.00 $208,000.00 -$98,750.00 1.9 In The Courtyard By The Main Entrance To The Superior Court Building 201 West Jefferson 06/29/2005 Phoenix $148,799.00 $138,225.00 $148,799.00 -$10,574.00 1.08 At The Main Entrance Of The Superior Court Building 201 West Jefferson Phoenix Az 09/07/2006 $406,700.00 $223,725.00 $406,700.00 -$182,975.00 1.82 At The Main Entrance Of The Superior Court Building 201 West Jefferson Phoenix Az 06/06/2006 $226,000.00 $204,250.00 $226,000.00 -$21,750.00 1.11 At The Main Entrance Of The Superior Court Building 201 West Jefferson Phoenix Az $432,000.00 $280,725.00 $432,000.00 -$151,275.00 1.54 Office Of Michael A. Bosco Jr. $315,000.00 $213,750.00 $315,000.00 -$101,250.00 1.47 Front Lobby Of Jaburg & Wilk $834,000.00 $834,000.00 At The Main Entrance Of The Superior Court Building 201 West Jefferson Phoenix Az 04/04/2006 $192,000.00 $228,000.00 $192,000.00 $36,000.00 0.84 Law Offices Of Perry & Shapiro $417,000.00 $467,400.00 $417,000.00 $50,400.00 0.89 At The Main Entrance Of The Superior Court Building 201 West Jefferson Phoenix Az 12/14/2005 $113,600.00 $78,375.00 $113,600.00 -$35,225.00 1.45 At The Main Entrance Of The Superior Court Building 201 West Jefferson Phoenix Az 09/06/2006 $160,000.00 $96,425.00 $160,000.00 -$63,575.00 1.66 Office Of Michael A. Bosco Jr. $139,950.00 $162,450.00 $139,950.00 $22,500.00 0.86 Office Of Michael A. Bosco Jr. $417,000.00 $374,300.00 $417,000.00 -$42,700.00 1.11 Office Of Michael A. Bosco Jr. $216,000.00 $123,975.00 $216,000.00 -$92,025.00 1.74 At The Main Entrance Of The Superior Court Building 201 West Jefferson Phoenix Az 03/24/2005 $256,000.00 $292,600.00 $256,000.00 $36,600.00 0.88 Office Of Michael A. Bosco Jr. $190,000.00 $132,050.00 $190,000.00 -$57,950.00 1.44 At The Main Entrance Of The Superior Court Building 201 West Jefferson Phoenix Az 05/09/2006 $232,000.00 $127,300.00 $232,000.00 -$104,700.00 1.82 Office Of Michael A. Bosco Jr. $576,000.00 $284,050.00 $576,000.00 -$291,950.00 2.03 At The Main Entrance Of The Superior Court Building 201 West Jefferson Phoenix Az 06/11/2007 $240,000.00 $166,250.00 $240,000.00 -$73,750.00 1.44 At The Main Entrance Of The Superior Court Building 201 West Jefferson Phoenix Az 10/06/2005 $217,500.00 $126,825.00 $217,500.00 -$90,675.00 1.72 In The Courtyard By The Main Entrance To The Superior Court Building 201 West Jefferson 03/28/2006 Phoenix $120,000.00 $97,375.00 $120,000.00 -$22,625.00 1.23 At The Main Entrance Of The Superior Court Building 201 West Jefferson Phoenix Az 04/07/2005 $162,435.00 $147,250.00 $162,435.00 -$15,185.00 1.1 In The Courtyard By The Main Entrance To The Superior Court Building 201 West Jefferson 11/16/2005 Phoenix $145,600.00 $148,958.00 $145,600.00 $3,358.00 0.98 At The Main Entrance Of The Superior Court Building 201 West Jefferson Phoenix Az 09/23/2008 $168,458.00 $124,450.00 $168,458.00 -$44,008.00 1.35 At The Main Entrance Of The Superior Court Building 201 West Jefferson Phoenix Az $164,252.00 $112,100.00 $164,252.00 -$52,152.00 1.47 At The Main Entrance Of The Superior Court Building 201 West Jefferson Phoenix Az $159,100.00 $101,650.00 $159,100.00 -$57,450.00 1.57 Office Of Michael A. Bosco Jr. $200,000.00 $104,500.00 $200,000.00 -$95,500.00 1.91 Office Of Michael A. Bosco Jr. $188,000.00 $203,775.00 $188,000.00 $15,775.00 0.92 At The Main Entrance Of The Superior Court Building 201 West Jefferson Phoenix Az $231,700.00 $121,125.00 $231,700.00 -$110,575.00 1.91 In The Courtyard By The Main Entrance To The Superior Court Building 201 West Jefferson 08/01/2003 Phoenix $109,074.00 $108,775.00 $109,074.00 -$299.00 1 At The Main Entrance Of The Superior Court Building 201 West Jefferson Phoenix Az 02/02/2007 $305,200.00 $264,100.00 $305,200.00 -$41,100.00 1.16 At The Main Entrance Of The Superior Court Building 201 West Jefferson Phoenix Az $40,000.00 $147,725.00 $40,000.00 $107,725.00 0.27 Office Of Michael A. Bosco Jr. $406,000.00 $256,500.00 $406,000.00 -$149,500.00 1.58 Statewide Foreclosure Services Inc. $83,250.00 $91,200.00 $83,250.00 $7,950.00 0.91 At The Main Entrance Of The Superior Court Building 201 West Jefferson Phoenix Az 09/06/2007 $924,000.00 $542,450.00 $924,000.00 -$381,550.00 1.7 Office Of Michael A. Bosco Jr. $340,800.00 $249,850.00 $340,800.00 -$90,950.00 1.36 At The Main Entrance Of The Superior Court Building 201 West Jefferson Phoenix Az 12/07/2005 $880,000.00 $684,950.00 $880,000.00 -$195,050.00 1.29 Office Of Michael A. Bosco Jr. $826,500.00 $634,600.00 $826,500.00 -$191,900.00 1.3 At The Main Entrance Of The Superior Court Building 201 West Jefferson Phoenix Az 07/31/2007 $892,570.00 $1,117,675.00 $892,570.00 $225,105.00 0.8 At The Main Entrance Of The Superior Court Building 201 West Jefferson Phoenix Az $170,900.00 $131,575.00 $170,900.00 -$39,325.00 1.3 Office Of Michael A. Bosco Jr. $215,295.00 $130,150.00 $215,295.00 -$85,145.00 1.65 At The Main Entrance Of The Superior Court Building 201 West Jefferson Phoenix Az 09/26/2006 $188,000.00 $118,750.00 $188,000.00 -$69,250.00 1.58 At The Main Entrance Of The Superior Court Building 201 West Jefferson Phoenix Az $262,382.00 $128,725.00 $262,382.00 -$133,657.00 2.04 At The Main Entrance Of The Superior Court Building 201 West Jefferson Phoenix Az 03/29/2006 $16,792,000.00 $144,875.00 $16,792,000.00 -$16,647,125.00 115.91 At The Main Entrance Of The Superior Court Building 201 West Jefferson Phoenix Az $199,000.00 $103,075.00 $199,000.00 -$95,925.00 1.93 Page 56
  • 57.
    Pre-foreclosure List Maricopa County Week Ending 11/2 In The Courtyard By The Main Entrance To The Superior Court Building 201 West Jefferson 11/07/2005 Phoenix $259,000.00 $131,575.00 $259,000.00 -$127,425.00 1.97 Law Offices Of Perry & Shapiro $113,000.00 $109,725.00 $113,000.00 -$3,275.00 1.03 At The Steps At The Front Entrance Of The Superior Court Building 201 West Jefferson Phoenix Arizona 10/18/2005 $204,800.00 $121,125.00 $204,800.00 -$83,675.00 1.69 Law Offices Of Perry & Shapiro $241,062.00 $130,150.00 $241,062.00 -$110,912.00 1.85 At The Steps At The Front Entrance Of The Superior Court Building 201 West Jefferson Phoenix Arizona 10/10/2005 $328,000.00 $209,950.00 $328,000.00 -$118,050.00 1.56 At The Main Entrance Of The Superior Court Building 201 West Jefferson Phoenix Az 01/17/2006 $369,000.00 $195,700.00 $369,000.00 -$173,300.00 1.89 Law Offices Of Perry & Shapiro $115,425.00 $116,375.00 $115,425.00 $950.00 0.99 Office Of Michael A. Bosco Jr. $178,000.00 $178,000.00 At The Main Entrance Of The Superior Court Building 201 West Jefferson Phoenix Az $188,400.00 $131,100.00 $188,400.00 -$57,300.00 1.44 Western Regional Foreclosures $3,325,000.00 $3,325,000.00 At The Main Entrance Of The Superior Court Building 201 West Jefferson Phoenix Az 11/02/2007 $143,200.00 $93,100.00 $143,200.00 -$50,100.00 1.54 At The Main Entrance Of The Superior Court Building 201 West Jefferson Phoenix Az $202,492.00 $110,200.00 $202,492.00 -$92,292.00 1.84 At The Main Entrance Of The Superior Court Building 201 West Jefferson Phoenix Arizona 11/09/2004 $169,950.00 $134,425.00 $169,950.00 -$35,525.00 1.26 At The Main Entrance Of The Superior Court Building 201 West Jefferson Phoenix Az 05/03/2006 $256,000.00 $177,650.00 $256,000.00 -$78,350.00 1.44 At The Main Entrance Of The Superior Court Building 201 West Jefferson Phoenix Az 09/11/2006 $107,500.00 $89,775.00 $107,500.00 -$17,725.00 1.2 At The Steps At The Front Entrance Of The Superior Court Building 201 West Jefferson Phoenix Arizona 11/20/2007 $210,000.00 $119,700.00 $210,000.00 -$90,300.00 1.75 At The Main Entrance Of The Superior Court Building 201 West Jefferson Phoenix Az 02/05/2004 $637,500.00 $731,025.00 $637,500.00 $93,525.00 0.87 At The Main Entrance Of The Superior Court Building 201 West Jefferson Phoenix Az $150,000.00 $199,975.00 $150,000.00 $49,975.00 0.75 At The Main Entrance Of The Superior Court Building 201 West Jefferson Phoenix Az 04/01/2009 $176,641.00 $164,825.00 $176,641.00 -$11,816.00 1.07 At The Steps At The Front Entrance Of The Superior Court Building 201 West Jefferson Phoenix Arizona 08/10/2006 $263,500.00 $156,275.00 $263,500.00 -$107,225.00 1.69 Law Offices Of Perry & Shapiro $195,000.00 $194,275.00 $195,000.00 -$725.00 1 In The Courtyard By The Main Entrance To The Superior Court Building 201 West Jefferson 04/11/2005 Phoenix $614,000.00 $427,975.00 $614,000.00 -$186,025.00 1.44 In The Courtyard By The Main Entrance To The Superior Court Building 201 West Jefferson 10/26/2005 Phoenix $288,300.00 $211,375.00 $288,300.00 -$76,925.00 1.36 At The Main Entrance Of The Superior Court Building 201 West Jefferson Phoenix Az $363,250,000.00 $363,250,000.00 In The Courtyard By The Main Entrance To The Superior Court Building 201 West Jefferson 03/31/2006 Phoenix $153,920.00 $78,850.00 $153,920.00 -$75,070.00 1.95 At The Steps At The Front Entrance Of The Superior Court Building 201 West Jefferson Phoenix Arizona 09/07/2005 $195,075.00 $133,950.00 $195,075.00 -$61,125.00 1.46 At The Main Entrance Of The Superior Court Building 201 West Jefferson Phoenix Az $173,533.00 $126,350.00 $173,533.00 -$47,183.00 1.37 At The Main Entrance Of The Superior Court Building 201 West Jefferson Phoenix Arizona 04/25/2006 $213,500.00 $135,375.00 $213,500.00 -$78,125.00 1.58 At The Steps At The Front Entrance Of The Superior Court Building 201 West Jefferson Phoenix Arizona 08/10/2006 $149,500.00 $104,500.00 $149,500.00 -$45,000.00 1.43 At The Main Entrance Of The Superior Court Building 201 West Jefferson Phoenix Az $173,000.00 $138,700.00 $173,000.00 -$34,300.00 1.25 At The Main Entrance Of The Superior Court Building 201 West Jefferson Phoenix Az 06/16/2006 $560,000.00 $493,525.00 $560,000.00 -$66,475.00 1.14 At The Main Entrance Of The Superior Court Building 201 West Jefferson Phoenix Az $192,167.00 $123,500.00 $192,167.00 -$68,667.00 1.56 At The Main Entrance Of The Superior Court Building 201 West Jefferson Phoenix Az $185,677.00 $98,800.00 $185,677.00 -$86,877.00 1.88 At The Main Entrance Of The Superior Court Building 201 West Jefferson Phoenix Az 07/11/2006 $552,000.00 $386,175.00 $552,000.00 -$165,825.00 1.43 Law Offices Of Perry & Shapiro $225,000.00 $123,975.00 $225,000.00 -$101,025.00 1.82 At The Main Entrance Of The Superior Court Building 201 West Jefferson Phoenix Az 03/04/2002 $85,405.00 $95,000.00 $85,405.00 $9,595.00 0.9 At The Main Entrance Of The Superior Court Building 201 West Jefferson Phoenix Az 12/20/2002 $78,000.00 $417,525.00 $78,000.00 $339,525.00 0.19 Law Offices Of Perry & Shapiro $184,000.00 $122,075.00 $184,000.00 -$61,925.00 1.51 At The Main Entrance Of The Superior Court Building 201 West Jefferson Phoenix Az $25,100.00 $120,650.00 $25,100.00 $95,550.00 0.21 At The Main Entrance Of The Superior Court Building 201 West Jefferson Phoenix Az 03/03/2008 $942,500.00 $811,300.00 $942,500.00 -$131,200.00 1.16 Office Of Michael A. Bosco Jr. $101,650.00 $91,200.00 $101,650.00 -$10,450.00 1.12 Office Of Michael A. Bosco Jr. $348,000.00 $217,075.00 $348,000.00 -$130,925.00 1.6 The Main Entranceto The Superior Court Building 201 West Jefferson Phoenix Arizona 04/11/2006 $236,000.00 $174,800.00 $236,000.00 -$61,200.00 1.35 At The Main Entrance Of The Superior Court Building 201 West Jefferson Phoenix Az 05/27/2005 $225,000.00 $222,775.00 $225,000.00 -$2,225.00 1.01 At The Main Entrance Of The Superior Court Building 201 West Jefferson Phoenix Az $784,000.00 $1,110,550.00 $784,000.00 $326,550.00 0.71 Office Of Michael A. Bosco Jr. $198,456.00 $204,010.00 $198,456.00 $5,554.00 0.97 At The Main Entrance Of The Superior Court Building 201 West Jefferson Phoenix Az $100,000.00 $72,675.00 $100,000.00 -$27,325.00 1.38 At The Steps At The Front Entrance Of The Superior Court Building 201 West Jefferson Phoenix Arizona 08/08/2007 $100,000.00 $63,175.00 $100,000.00 -$36,825.00 1.58 In The Courtyard By The Main Entrance To The Superior Court Building 201 West Jefferson 04/27/2004 Phoenix $130,161.00 $108,300.00 $130,161.00 -$21,861.00 1.2 At The Main Entrance Of The Superior Court Building 201 West Jefferson Phoenix Az $165,000.00 $109,250.00 $165,000.00 -$55,750.00 1.51 At The Main Entrance Of The Superior Court Building 201 West Jefferson Phoenix Az 02/29/2008 $160,755.00 $129,586.00 $160,755.00 -$31,169.00 1.24 At The Steps At The Front Entrance Of The Superior Court Building 201 West Jefferson Phoenix Arizona 09/29/2005 $127,500.00 $100,700.00 $127,500.00 -$26,800.00 1.27 Law Offices Of Perry & Shapiro $150,000.00 $113,050.00 $150,000.00 -$36,950.00 1.33 At The Main Entrance Of The Superior Court Building 201 West Jefferson Phoenix Az 06/29/2005 $180,000.00 $281,200.00 $180,000.00 $101,200.00 0.64 At The Main Entrance Of The Superior Court Building 201 West Jefferson Phoenix Az $400,720.00 $263,150.00 $400,720.00 -$137,570.00 1.52 At The Main Entrance Of The Superior Court Building 201 West Jefferson Phoenix Az 12/08/2005 $196,000.00 $118,750.00 $196,000.00 -$77,250.00 1.65 Law Offices Of Perry & Shapiro $200,000.00 $144,400.00 $200,000.00 -$55,600.00 1.39 Page 57
  • 58.
    Pre-foreclosure List Maricopa County Week Ending 11/2 At The Main Entrance Of The Superior Court Building 201 West Jefferson Phoenix Az $267,000.00 $220,875.00 $267,000.00 -$46,125.00 1.21 Office Of Michael A. Bosco Jr. $212,325.00 $152,000.00 $212,325.00 -$60,325.00 1.4 At The Main Entrance Of The Superior Court Building 201 West Jefferson Phoenix Az $171,334.00 $124,450.00 $171,334.00 -$46,884.00 1.38 At The Main Entrance Of The Superior Court Building 201 West Jefferson Phoenix Az 09/29/2005 $284,000.00 $284,000.00 Law Offices Of Perry & Shapiro $212,000.00 $126,350.00 $212,000.00 -$85,650.00 1.68 Law Offices Of Perry & Shapiro $68,354.00 $54,269.00 $68,354.00 -$14,085.00 1.26 Office Of Michael A. Bosco Jr. $152,000.00 $87,875.00 $152,000.00 -$64,125.00 1.73 At The Main Entrance Of The Superior Court Building 201 West Jefferson Phoenix Az 12/14/2006 $640,000.00 $292,600.00 $640,000.00 -$347,400.00 2.19 Law Offices Of Perry & Shapiro $96,000.00 $96,000.00 Law Offices Of Perry & Shapiro $201,000.00 $113,525.00 $201,000.00 -$87,475.00 1.77 At The Steps At The Front Entrance Of The Superior Court Building 201 West Jefferson Phoenix Arizona 09/06/2005 $269,750.00 $193,800.00 $269,750.00 -$75,950.00 1.39 Office Of Michael A. Bosco Jr. $388,979.00 $327,275.00 $388,979.00 -$61,704.00 1.19 At The Main Entrance Of The Superior Court Building 201 West Jefferson Phoenix Arizona 12/26/2005 $129,900.00 $104,975.00 $129,900.00 -$24,925.00 1.24 At The Main Entrance Of The Superior Court Building 201 West Jefferson Phoenix Az 06/23/2008 $260,347.00 $196,175.00 $260,347.00 -$64,172.00 1.33 At The Main Entrance Of The Superior Court Building 201 West Jefferson Phoenix Az 05/30/2006 $833,070.00 $833,070.00 Law Offices Of Perry & Shapiro $240,000.00 $186,298.00 $240,000.00 -$53,702.00 1.29 At The Main Entrance Of The Superior Court Building 201 West Jefferson Phoenix Arizona 10/25/2006 $293,250.00 $187,625.00 $293,250.00 -$105,625.00 1.56 At The Main Entrance Of The Superior Court Building 201 West Jefferson Phoenix Az 03/19/2007 $208,800.00 $123,025.00 $208,800.00 -$85,775.00 1.7 Security Title Agency $273,600.00 $228,475.00 $273,600.00 -$45,125.00 1.2 Law Offices Of Perry & Shapiro $208,890.00 $105,925.00 $208,890.00 -$102,965.00 1.97 Law Offices Of Perry & Shapiro $221,350.00 $133,000.00 $221,350.00 -$88,350.00 1.66 At The Main Entrance Of The Superior Court Building 201 West Jefferson Phoenix Az 07/27/2007 $149,000.00 $88,825.00 $149,000.00 -$60,175.00 1.68 At The Steps At The Front Entrance Of The Superior Court Building 201 West Jefferson Phoenix Arizona 07/28/2006 $150,000.00 $82,175.00 $150,000.00 -$67,825.00 1.83 Office Of Michael A. Bosco Jr. $165,000.00 $114,475.00 $165,000.00 -$50,525.00 1.44 Office Of Michael A. Bosco Jr. $139,000.00 $112,826.00 $139,000.00 -$26,174.00 1.23 Office Of Michael A. Bosco Jr. $224,800.00 $132,050.00 $224,800.00 -$92,750.00 1.7 At The Steps At The Front Entrance Of The Superior Court Building 201 West Jefferson Phoenix Arizona 10/19/2005 $166,250.00 $96,425.00 $166,250.00 -$69,825.00 1.72 In The Courtyard By The Main Entrance To The Superior Court Building 201 West Jefferson 04/20/2006 Phoenix $405,322.00 $405,322.00 At The Main Entrance Of The Superior Court Building 201 West Jefferson Phoenix Az 10/28/2008 $457,500.00 $439,850.00 $457,500.00 -$17,650.00 1.04 At The Main Entrance Of The Superior Court Building 201 West Jefferson Phoenix Az $194,500.00 $127,775.00 $194,500.00 -$66,725.00 1.52 At The Main Entrance Of The Superior Court Building 201 West Jefferson Phoenix Az 08/11/2008 $212,642.00 $165,300.00 $212,642.00 -$47,342.00 1.29 Office Of Michael A. Bosco Jr. $200,000.00 $167,200.00 $200,000.00 -$32,800.00 1.2 At The Main Entrance Of The Superior Court Building 201 West Jefferson Phoenix Az $108,800.00 $106,875.00 $108,800.00 -$1,925.00 1.02 Law Offices Of Perry & Shapiro $188,000.00 $99,750.00 $188,000.00 -$88,250.00 1.89 At The Main Entrance Of The Superior Court Building 201 West Jefferson Phoenix Az 03/07/2005 $286,220.00 $220,400.00 $286,220.00 -$65,820.00 1.3 Offices Of Gust Rosenfeld $175,500.00 $107,350.00 $175,500.00 -$68,150.00 1.64 Law Offices Of Perry & Shapiro $369,600.00 $289,750.00 $369,600.00 -$79,850.00 1.28 At The Main Entrance Of The Superior Court Building 201 West Jefferson Phoenix Az $204,000.00 $166,725.00 $204,000.00 -$37,275.00 1.22 At The Main Entrance Of The Superior Court Building 201 West Jefferson Phoenix Az 01/25/2007 $167,500.00 $94,525.00 $167,500.00 -$72,975.00 1.77 Office Of Michael A. Bosco Jr. $289,633.00 $145,825.00 $289,633.00 -$143,808.00 1.99 At The Main Entrance Of The Superior Court Building 201 West Jefferson Phoenix Az 06/26/2006 $731,250.00 $472,625.00 $731,250.00 -$258,625.00 1.55 At The Main Entrance Of The Superior Court Building 201 West Jefferson Phoenix Az $25,030,000.00 $25,030,000.00 Law Offices Of Perry & Shapiro $54,947.00 $48,450.00 $54,947.00 -$6,497.00 1.13 Office Of Michael A. Bosco Jr. $280,000.00 $144,400.00 $280,000.00 -$135,600.00 1.94 At The Steps At The Front Entrance Of The Superior Court Building 201 West Jefferson Phoenix Arizona 11/17/2006 $416,000.00 $305,900.00 $416,000.00 -$110,100.00 1.36 At The Steps At The Front Entrance Of The Superior Court Building 201 West Jefferson Phoenix Arizona 07/11/2007 $380,000.00 $232,750.00 $380,000.00 -$147,250.00 1.63 Law Offices Of Perry & Shapiro $105,000.00 $105,000.00 At The Main Entrance Of The Superior Court Building 201 West Jefferson Phoenix Az 12/13/2006 $199,000.00 $122,550.00 $199,000.00 -$76,450.00 1.62 At The Main Entrance Of The Superior Court Building 201 West Jefferson Phoenix Az 05/24/2007 $109,375.00 $85,975.00 $109,375.00 -$23,400.00 1.27 At The Steps At The Front Entrance Of The Superior Court Building 201 West Jefferson Phoenix Arizona 07/11/2005 $145,000.00 $123,975.00 $145,000.00 -$21,025.00 1.17 At The Main Entrance Of The Superior Court Building 201 West Jefferson Phoenix Az 03/08/2007 $882,000.00 $786,125.00 $882,000.00 -$95,875.00 1.12 Office Of Michael A. Bosco Jr. $345,000.00 $265,525.00 $345,000.00 -$79,475.00 1.3 At The Main Entrance Of The Superior Court Building 201 West Jefferson Phoenix Az 06/15/2006 $132,000.00 $101,650.00 $132,000.00 -$30,350.00 1.3 At The Main Entrance Of The Superior Court Building 201 West Jefferson Phoenix Az $1,040,000.00 $736,250.00 $1,040,000.00 -$303,750.00 1.41 At The Main Entrance Of The Superior Court Building 201 West Jefferson Phoenix Az $159,200.00 $112,100.00 $159,200.00 -$47,100.00 1.42 At The Steps At The Front Entrance Of The Superior Court Building 201 West Jefferson Phoenix Arizona 01/10/2006 $185,600.00 $117,325.00 $185,600.00 -$68,275.00 1.58 At The Steps At The Front Entrance Of The Superior Court Building 201 West Jefferson Phoenix Arizona 12/08/2005 $196,800.00 $134,900.00 $196,800.00 -$61,900.00 1.46 Page 58
  • 59.
    Pre-foreclosure List Maricopa County Week Ending 11/2 At The Main Entrance Of The Superior Court Building 201 West Jefferson Phoenix Az $236,800.00 $163,875.00 $236,800.00 -$72,925.00 1.45 Office Of Michael A. Bosco Jr. $202,500.00 $184,775.00 $202,500.00 -$17,725.00 1.1 At The Main Entrance Of The Superior Court Building 201 West Jefferson Phoenix Az 10/30/2006 $180,000.00 $122,550.00 $180,000.00 -$57,450.00 1.47 At The Main Entrance Of The Superior Court Building 201 West Jefferson Phoenix Arizona 01/07/2008 $182,000.00 $121,125.00 $182,000.00 -$60,875.00 1.5 At The Main Entrance Of The Superior Court Building 201 West Jefferson Phoenix Az $121,500.00 $133,000.00 $121,500.00 $11,500.00 0.91 Office Of Michael A. Bosco Jr. $306,000.00 $183,825.00 $306,000.00 -$122,175.00 1.67 Office Of Michael A. Bosco Jr. $152,840.00 $94,050.00 $152,840.00 -$58,790.00 1.63 Office Of Michael A. Bosco Jr. $417,000.00 $337,250.00 $417,000.00 -$79,750.00 1.24 At The Main Entrance Of The Superior Court Building 201 West Jefferson Phoenix Az $438,450.00 $304,000.00 $438,450.00 -$134,450.00 1.44 At The Main Entrance Of The Superior Court Building 201 West Jefferson Phoenix Az 07/18/2007 $608,000.00 $427,500.00 $608,000.00 -$180,500.00 1.42 At The Main Entrance Of The Superior Court Building 201 West Jefferson Phoenix Az 08/04/2006 $583,200.00 $357,675.00 $583,200.00 -$225,525.00 1.63 At The Main Entrance Of The Superior Court Building 201 West Jefferson Phoenix Az 06/27/2006 $188,800.00 $116,375.00 $188,800.00 -$72,425.00 1.62 In The Courtyard By The Main Entrance To The Superior Court Building 201 West Jefferson 03/16/2005 Phoenix $254,400.00 $226,100.00 $254,400.00 -$28,300.00 1.13 At The Main Entrance Of The Superior Court Building 201 West Jefferson Phoenix Az $115,109.00 $172,900.00 $115,109.00 $57,791.00 0.67 At The Main Entrance Of The Superior Court Building 201 West Jefferson Phoenix Az $194,500.00 $354,350.00 $194,500.00 $159,850.00 0.55 At The Main Entrance Of The Superior Court Building 201 West Jefferson Phoenix Az 01/14/2009 $217,375.00 $155,800.00 $217,375.00 -$61,575.00 1.4 At The Main Entrance Of The Superior Court Building 201 West Jefferson Phoenix Az 08/04/2005 $194,078.00 $133,475.00 $194,078.00 -$60,603.00 1.45 At The Steps At The Front Entrance Of The Superior Court Building 201 West Jefferson Phoenix Arizona 06/23/2006 $286,000.00 $209,950.00 $286,000.00 -$76,050.00 1.36 At The Main Entrance Of The Superior Court Building 201 West Jefferson Phoenix Az 03/25/2009 $127,412.00 $87,400.00 $127,412.00 -$40,012.00 1.46 At The Main Entrance Of The Superior Court Building 201 West Jefferson Phoenix Az $496,600.00 $543,875.00 $496,600.00 $47,275.00 0.91 Office Of Michael A. Bosco Jr. $171,000.00 $94,525.00 $171,000.00 -$76,475.00 1.81 Office Of Michael A. Bosco Jr. $320,350.00 $239,400.00 $320,350.00 -$80,950.00 1.34 At The Main Entrance Of The Superior Court Building 201 West Jefferson Phoenix Az $429,250.00 $429,250.00 At The Steps At The Front Entrance Of The Superior Court Building 201 West Jefferson Phoenix Arizona 07/19/2005 $208,000.00 $154,375.00 $208,000.00 -$53,625.00 1.35 At The Main Entrance Of The Superior Court Building 201 West Jefferson Phoenix Az $400,000.00 $408,500.00 $400,000.00 $8,500.00 0.98 Office Of Michael A. Bosco Jr. $188,000.00 $95,950.00 $188,000.00 -$92,050.00 1.96 At The Main Entrance Of The Superior Court Building 201 West Jefferson Phoenix Az 05/06/2005 $80,500.00 $89,300.00 $80,500.00 $8,800.00 0.9 At The Main Entrance Of The Superior Court Building 201 West Jefferson Phoenix Az 04/11/2007 $239,826.00 $180,500.00 $239,826.00 -$59,326.00 1.33 At The Main Entrance Of The Superior Court Building 201 West Jefferson Phoenix Az $283,500.00 $199,975.00 $283,500.00 -$83,525.00 1.42 At The Main Entrance Of The Superior Court Building 201 West Jefferson Phoenix Az 05/10/2007 $267,097.00 $127,775.00 $267,097.00 -$139,322.00 2.09 At The Steps At The Front Entrance Of The Superior Court Building 201 West Jefferson Phoenix Arizona 06/08/2005 $202,987.00 $200,129.00 $202,987.00 -$2,858.00 1.01 Security Title Agency $128,000.00 $84,550.00 $128,000.00 -$43,450.00 1.51 Office Of Michael A. Bosco Jr. $195,000.00 $195,000.00 At The Main Entrance Of The Superior Court Building 201 West Jefferson Phoenix Az 03/06/2007 $280,000.00 $218,500.00 $280,000.00 -$61,500.00 1.28 At The Main Entrance Of The Superior Court Building 201 West Jefferson Phoenix Az $160,000.00 $98,800.00 $160,000.00 -$61,200.00 1.62 Law Offices Of Perry & Shapiro $465,000.00 $465,000.00 Law Offices Of Perry & Shapiro $249,910.00 $144,400.00 $249,910.00 -$105,510.00 1.73 Office Of Michael A. Bosco Jr. $166,656.00 $89,775.00 $166,656.00 -$76,881.00 1.86 At The Main Entrance Of The Superior Court Building 201 West Jefferson Phoenix Az $315,343.00 $315,343.00 At The Main Entrance Of The Superior Court Building 201 West Jefferson Phoenix Az $263,500.00 $275,975.00 $263,500.00 $12,475.00 0.96 At The Steps At The Front Entrance Of The Superior Court Building 201 West Jefferson Phoenix Arizona 03/06/2006 $184,000.00 $131,100.00 $184,000.00 -$52,900.00 1.4 At The Main Entrance Of The Superior Court Building 201 West Jefferson Phoenix Az 08/23/2005 $224,250.00 $196,650.00 $224,250.00 -$27,600.00 1.14 At The Main Entrance Of The Superior Court Building 201 West Jefferson Phoenix Az 01/04/2007 $552,000.00 $415,625.00 $552,000.00 -$136,375.00 1.33 At The Main Entrance Of The Superior Court Building 201 West Jefferson Phoenix Az $1,390,500.00 $906,775.00 $1,390,500.00 -$483,725.00 1.53 At The Main Entrance Of The Superior Court Building 201 West Jefferson Phoenix Az 01/04/2005 $121,500.00 $90,250.00 $121,500.00 -$31,250.00 1.35 The Main Entranceto The Superior Court Building 201 West Jefferson Phoenix Arizona 12/20/2006 $223,992.00 $162,450.00 $223,992.00 -$61,542.00 1.38 At The Steps At The Front Entrance Of The Superior Court Building 201 West Jefferson Phoenix Arizona 02/25/2005 $285,000.00 $235,125.00 $285,000.00 -$49,875.00 1.21 In The Courtyard By The Main Entrance To The Superior Court Building 201 West Jefferson 11/17/2006 Phoenix $157,500.00 $95,000.00 $157,500.00 -$62,500.00 1.66 At The Main Entrance Of The Superior Court Building 201 West Jefferson Phoenix Az $118,000.00 $126,400.00 $118,000.00 $8,400.00 0.93 Office Of Michael A. Bosco Jr. 04/07/2006 $352,500.00 $238,925.00 $352,500.00 -$113,575.00 1.48 At The Main Entrance Of The Superior Court Building 201 West Jefferson Phoenix Az 08/03/2007 $253,800.00 $143,925.00 $253,800.00 -$109,875.00 1.76 Office Of Michael A. Bosco Jr. $416,000.00 $289,275.00 $416,000.00 -$126,725.00 1.44 At The Main Entrance Of The Superior Court Building 201 West Jefferson Phoenix Az $214,400.00 $191,425.00 $214,400.00 -$22,975.00 1.12 At The Steps At The Front Entrance Of The Superior Court Building 201 West Jefferson Phoenix Arizona 02/16/2006 $254,125.00 $133,950.00 $254,125.00 -$120,175.00 1.9 Law Offices Of Perry & Shapiro $159,920.00 $111,625.00 $159,920.00 -$48,295.00 1.43 In The Courtyard By The Main Entrance To The Superior Court Building 201 West Jefferson 10/03/2005 Phoenix $488,000.00 $316,825.00 $488,000.00 -$171,175.00 1.54 At The Main Entrance Of The Superior Court Building 201 West Jefferson Phoenix Az $186,534.00 $142,025.00 $186,534.00 -$44,509.00 1.31 Page 59
  • 60.
    Pre-foreclosure List Maricopa County Week Ending 11/2 At The Main Entrance Of The Superior Court Building 201 West Jefferson Phoenix Az $169,500.00 $115,900.00 $169,500.00 -$53,600.00 1.46 Office Of Michael A. Bosco Jr. $328,650.00 $232,750.00 $328,650.00 -$95,900.00 1.41 At The Main Entrance Of The Superior Court Building 201 West Jefferson Phoenix Az 04/28/2008 $265,857.00 $188,575.00 $265,857.00 -$77,282.00 1.41 At The Main Entrance Of The Superior Court Building 201 West Jefferson Phoenix Az $50,000.00 $295,450.00 $50,000.00 $245,450.00 0.17 Office Of Michael A. Bosco Jr. $176,400.00 $121,600.00 $176,400.00 -$54,800.00 1.45 Office Of Michael A. Bosco Jr. $203,000.00 $102,600.00 $203,000.00 -$100,400.00 1.98 At The Main Entrance Of The Superior Court Building 201 West Jefferson Phoenix Az $216,000.00 $134,425.00 $216,000.00 -$81,575.00 1.61 At The Main Entrance Of The Superior Court Building 201 West Jefferson Phoenix Az 12/15/2005 $175,000.00 $113,050.00 $175,000.00 -$61,950.00 1.55 At The Main Entrance Of The Superior Court Building 201 West Jefferson Phoenix Az 06/28/2006 $211,920.00 $127,775.00 $211,920.00 -$84,145.00 1.66 At The Main Entrance Of The Superior Court Building 201 West Jefferson Phoenix Az $500,000.00 $500,000.00 At The Main Entrance Of The Superior Court Building 201 West Jefferson Phoenix Az $363,250,000.00 $363,250,000.00 At The Steps At The Front Entrance Of The Superior Court Building 201 West Jefferson Phoenix Arizona 12/13/2005 $215,000.00 $223,088.00 $215,000.00 $8,088.00 0.96 At The Main Entrance Of The Superior Court Building 201 West Jefferson Phoenix Az 05/04/2005 $240,042.00 $159,600.00 $240,042.00 -$80,442.00 1.5 At The Steps At The Front Entrance Of The Superior Court Building 201 West Jefferson Phoenix Arizona 07/26/2005 $108,000.00 $90,250.00 $108,000.00 -$17,750.00 1.2 At The Main Entrance Of The Superior Court Building 201 West Jefferson Phoenix Az $244,000.00 $119,225.00 $244,000.00 -$124,775.00 2.05 Office Of Michael A. Bosco Jr. $208,000.00 $92,625.00 $208,000.00 -$115,375.00 2.25 At The Main Entrance Of The Superior Court Building 201 West Jefferson Phoenix Az 10/11/2006 $136,500.00 $80,275.00 $136,500.00 -$56,225.00 1.7 Security Title Agency $179,000.00 $84,075.00 $179,000.00 -$94,925.00 2.13 At The Main Entrance Of The Superior Court Building 201 West Jefferson Phoenix Az 04/19/2007 $266,872.00 $247,475.00 $266,872.00 -$19,397.00 1.08 Law Offices Of Perry & Shapiro $342,000.00 $191,425.00 $342,000.00 -$150,575.00 1.79 At The Main Entrance Of The Superior Court Building 201 West Jefferson Phoenix Az 02/05/2009 $198,432.00 $148,200.00 $198,432.00 -$50,232.00 1.34 At The Main Entrance Of The Superior Court Building 201 West Jefferson Phoenix Az 06/21/2006 $193,376.00 $126,350.00 $193,376.00 -$67,026.00 1.53 Office Of Michael A. Bosco Jr. $200,000.00 $119,700.00 $200,000.00 -$80,300.00 1.67 Office Of Michael A. Bosco Jr. $229,800.00 $161,975.00 $229,800.00 -$67,825.00 1.42 Law Offices Of Perry & Shapiro $214,750.00 $116,850.00 $214,750.00 -$97,900.00 1.84 Office Of Michael A. Bosco Jr. $123,892.00 $104,188.00 $123,892.00 -$19,704.00 1.19 Law Offices Of Perry & Shapiro $160,600.00 $115,900.00 $160,600.00 -$44,700.00 1.39 Office Of Michael A. Bosco Jr. $156,800.00 $111,150.00 $156,800.00 -$45,650.00 1.41 At The Main Entrance Of The Superior Court Building 201 West Jefferson Phoenix Az 08/25/2006 $187,848.00 $102,125.00 $187,848.00 -$85,723.00 1.84 Law Offices Of Perry & Shapiro $5.00 $114,475.00 $5.00 $114,470.00 0 At The Main Entrance Of The Superior Court Building 201 West Jefferson Phoenix Az 07/14/2007 $275,200.00 $146,300.00 $275,200.00 -$128,900.00 1.88 At The Main Entrance Of The Superior Court Building 201 West Jefferson Phoenix Az 03/13/2006 $134,400.00 $94,050.00 $134,400.00 -$40,350.00 1.43 At The Main Entrance Of The Superior Court Building 201 West Jefferson Phoenix Az 03/19/2007 $148,000.00 $140,125.00 $148,000.00 -$7,875.00 1.06 Law Offices Of Perry & Shapiro $199,153.00 $123,025.00 $199,153.00 -$76,128.00 1.62 At The Main Entrance Of The Superior Court Building 201 West Jefferson Phoenix Az 04/13/2007 $120,000.00 $76,475.00 $120,000.00 -$43,525.00 1.57 At The Main Entrance Of The Superior Court Building 201 West Jefferson Phoenix Az $146,300.00 $87,400.00 $146,300.00 -$58,900.00 1.67 Law Offices Of Perry & Shapiro $223,781.00 $147,725.00 $223,781.00 -$76,056.00 1.52 At The Main Entrance Of The Superior Court Building 201 West Jefferson Phoenix Az $132,000.00 $80,750.00 $132,000.00 -$51,250.00 1.64 At The Main Entrance Of The Superior Court Building 201 West Jefferson Phoenix Arizona 09/11/2006 $192,349.00 $112,575.00 $192,349.00 -$79,774.00 1.71 At The Steps At The Front Entrance Of The Superior Court Building 201 West Jefferson Phoenix Arizona 12/16/2005 $180,000.00 $94,050.00 $180,000.00 -$85,950.00 1.91 At The Main Entrance Of The Superior Court Building 201 West Jefferson Phoenix Az 03/11/2005 $244,000.00 $162,925.00 $244,000.00 -$81,075.00 1.5 Law Offices Of Perry & Shapiro $169,600.00 $98,325.00 $169,600.00 -$71,275.00 1.73 At The Main Entrance Of The Superior Court Building 201 West Jefferson Phoenix Az 04/18/2005 $862,500.00 $851,200.00 $862,500.00 -$11,300.00 1.01 Security Title Agency 08/03/2007 $192,000.00 $143,925.00 $192,000.00 -$48,075.00 1.33 Office Of Michael A. Bosco Jr. $290,000.00 $169,100.00 $290,000.00 -$120,900.00 1.72 In The Courtyard By The Main Entrance To The Superior Court Building 201 West Jefferson 10/25/2005 Phoenix $174,400.00 $94,050.00 $174,400.00 -$80,350.00 1.85 Office Of Michael A. Bosco Jr. $342,000.00 $248,425.00 $342,000.00 -$93,575.00 1.38 At The Steps At The Front Entrance Of The Superior Court Building 201 West Jefferson Phoenix Arizona 02/21/2008 $409,115.00 $291,175.00 $409,115.00 -$117,940.00 1.41 At The Main Entrance Of The Superior Court Building 201 West Jefferson Phoenix Az $170,800.00 $98,325.00 $170,800.00 -$72,475.00 1.74 At The Main Entrance Of The Superior Court Building 201 West Jefferson Phoenix Az 04/25/2006 $300,000.00 $182,400.00 $300,000.00 -$117,600.00 1.65 At The Main Entrance Of The Superior Court Building 201 West Jefferson Phoenix Az 06/03/2005 $200,000.00 $194,275.00 $200,000.00 -$5,725.00 1.03 At The Main Entrance Of The Superior Court Building 201 West Jefferson Phoenix Az 01/30/2009 $166,380.00 $97,850.00 $166,380.00 -$68,530.00 1.7 Law Offices Of Perry & Shapiro $98,250.00 $98,250.00 At The Main Entrance Of The Superior Court Building 201 West Jefferson Phoenix Az 07/26/2005 $286,400.00 $258,875.00 $286,400.00 -$27,525.00 1.11 At The Main Entrance Of The Superior Court Building 201 West Jefferson Phoenix Az $208,000.00 $204,949.00 $208,000.00 -$3,051.00 1.02 At The Main Entrance Of The Superior Court Building 201 West Jefferson Phoenix Az 10/25/2006 $180,025.00 $0.00 At The Steps At The Front Entrance Of The Superior Court Building 201 West Jefferson Phoenix Arizona 06/19/2007 $180,000.00 $180,000.00 Page 60
  • 61.
    Pre-foreclosure List Maricopa County Week Ending 11/2 At The Main Entrance Of The Superior Court Building 201 West Jefferson Phoenix Az 06/08/2006 $292,500.00 $193,800.00 $292,500.00 -$98,700.00 1.51 At The Main Entrance Of The Superior Court Building 201 West Jefferson Phoenix Az $2,025,000.00 $2,161,250.00 $2,025,000.00 $136,250.00 0.94 At The Main Entrance Of The Superior Court Building 201 West Jefferson Phoenix Az $300,000.00 $180,025.00 $300,000.00 -$119,975.00 1.67 At The Main Entrance Of The Superior Court Building 201 West Jefferson Phoenix Az $559,200.00 $408,500.00 $559,200.00 -$150,700.00 1.37 Law Offices Of Perry & Shapiro $123,000.00 $84,550.00 $123,000.00 -$38,450.00 1.46 At The Main Entrance Of The Superior Court Building 201 West Jefferson Phoenix Az 12/27/2007 $246,137.00 $145,825.00 $246,137.00 -$100,312.00 1.69 Office Of Michael A. Bosco Jr. $241,230.00 $148,675.00 $241,230.00 -$92,555.00 1.62 Office Of Michael A. Bosco Jr. $250,650.00 $146,775.00 $250,650.00 -$103,875.00 1.71 At The Main Entrance Of The Superior Court Building 201 West Jefferson Phoenix Az $578,200.00 $389,025.00 $578,200.00 -$189,175.00 1.49 At The Main Entrance Of The Superior Court Building 201 West Jefferson Phoenix Az 01/26/2007 $140,000.00 $98,800.00 $140,000.00 -$41,200.00 1.42 At The Main Entrance Of The Superior Court Building 201 West Jefferson Phoenix Az 06/18/2008 $295,365.00 $212,325.00 $295,365.00 -$83,040.00 1.39 At The Steps At The Front Entrance Of The Superior Court Building 201 West Jefferson Phoenix Arizona 02/28/2006 $196,000.00 $170,050.00 $196,000.00 -$25,950.00 1.15 At The Main Entrance Of The Superior Court Building 201 West Jefferson Phoenix Az $650,000.00 $482,496.00 $650,000.00 -$167,504.00 1.35 Law Offices Of Perry & Shapiro $409,500.00 $390,925.00 $409,500.00 -$18,575.00 1.05 Office Of Michael A. Bosco Jr. $272,000.00 $174,800.00 $272,000.00 -$97,200.00 1.56 Office Of Michael A. Bosco Jr. $536,000.00 $436,050.00 $536,000.00 -$99,950.00 1.23 In The Courtyard By The Main Entrance To The Superior Court Building 201 West Jefferson 01/05/2006 Phoenix $120,320.00 $103,550.00 $120,320.00 -$16,770.00 1.16 Office Of Michael A. Bosco Jr. $314,500.00 $233,225.00 $314,500.00 -$81,275.00 1.35 At The Main Entrance Of The Superior Court Building 201 West Jefferson Phoenix Az 03/17/2008 $202,492.00 $123,025.00 $202,492.00 -$79,467.00 1.65 At The Main Entrance Of The Superior Court Building 201 West Jefferson Phoenix Az $85,000.00 $170,050.00 $85,000.00 $85,050.00 0.5 At The Main Entrance Of The Superior Court Building 201 West Jefferson Phoenix Az $194,750.00 $117,800.00 $194,750.00 -$76,950.00 1.65 In The Courtyard By The Main Entrance To The Superior Court Building 201 West Jefferson 02/14/2003 Phoenix $103,736.00 $133,950.00 $103,736.00 $30,214.00 0.77 In The Courtyard By The Main Entrance To The Superior Court Building 201 West Jefferson 06/28/2007 Phoenix $147,682.00 $85,975.00 $147,682.00 -$61,707.00 1.72 Office Of Michael A. Bosco Jr. $181,157.00 $198,918.00 $181,157.00 $17,761.00 0.91 At The Steps At The Front Entrance Of The Superior Court Building 201 West Jefferson Phoenix Arizona 01/25/2005 $122,000.00 $112,100.00 $122,000.00 -$9,900.00 1.09 At The Main Entrance Of The Superior Court Building 201 West Jefferson Phoenix Az 03/31/2004 $142,000.00 $157,225.00 $142,000.00 $15,225.00 0.9 Office Of Michael A. Bosco Jr. $75,500.00 $131,100.00 $75,500.00 $55,600.00 0.58 At The Main Entrance Of The Superior Court Building 201 West Jefferson Phoenix Az 08/16/2004 $86,400.00 $93,575.00 $86,400.00 $7,175.00 0.92 In The Courtyard By The Main Entrance To The Superior Court Building 201 West Jefferson 10/25/2006 Phoenix $175,920.00 $74,100.00 $175,920.00 -$101,820.00 2.37 Office Of Michael A. Bosco Jr. $266,000.00 $185,250.00 $266,000.00 -$80,750.00 1.44 At The Main Entrance Of The Superior Court Building 201 West Jefferson Phoenix Az $187,523.00 $180,500.00 $187,523.00 -$7,023.00 1.04 At The Main Entrance Of The Superior Court Building 201 West Jefferson Phoenix Az 08/25/2008 $157,468.00 $115,900.00 $157,468.00 -$41,568.00 1.36 Office Of Michael A. Bosco Jr. $212,000.00 $126,825.00 $212,000.00 -$85,175.00 1.67 At The Steps At The Front Entrance Of The Superior Court Building 201 West Jefferson Phoenix Arizona 12/07/2007 $220,400.00 $120,650.00 $220,400.00 -$99,750.00 1.83 At The Steps At The Front Entrance Of The Superior Court Building 201 West Jefferson Phoenix Arizona 03/26/2007 $224,000.00 $158,175.00 $224,000.00 -$65,825.00 1.42 In The Courtyard By The Main Entrance To The Superior Court Building 201 West Jefferson 01/10/2006 Phoenix $273,600.00 $185,250.00 $273,600.00 -$88,350.00 1.48 At The Main Entrance Of The Superior Court Building 201 West Jefferson Phoenix Az 02/12/2008 $141,994.00 $96,425.00 $141,994.00 -$45,569.00 1.47 In The Courtyard By The Main Entrance To The Superior Court Building 201 West Jefferson 08/30/2005 Phoenix $354,400.00 $283,100.00 $354,400.00 -$71,300.00 1.25 Office Of Michael A. Bosco Jr. $376,994.00 $220,875.00 $376,994.00 -$156,119.00 1.71 At The Main Entrance Of The Superior Court Building 201 West Jefferson Phoenix Az 08/23/2001 $105,668.00 $93,891.00 $105,668.00 -$11,777.00 1.13 Law Offices Of Perry & Shapiro $167,293.00 $124,450.00 $167,293.00 -$42,843.00 1.34 In The Courtyard By The Main Entrance To The Superior Court Building 201 West Jefferson 07/28/2004 Phoenix $128,710.00 $133,836.00 $128,710.00 $5,126.00 0.96 At The Steps At The Front Entrance Of The Superior Court Building 201 West Jefferson Phoenix Arizona 07/12/2006 $308,000.00 $203,775.00 $308,000.00 -$104,225.00 1.51 Law Offices Of Perry & Shapiro $147,360.00 $90,250.00 $147,360.00 -$57,110.00 1.63 Office Of Michael A. Bosco Jr. $166,500.00 $91,675.00 $166,500.00 -$74,825.00 1.82 In The Courtyard By The Main Entrance To The Superior Court Building 201 West Jefferson 03/16/2005 Phoenix $256,500.00 $190,950.00 $256,500.00 -$65,550.00 1.34 In The Courtyard By The Main Entrance To The Superior Court Building 201 West Jefferson 05/31/2006 Phoenix $201,000.00 $120,650.00 $201,000.00 -$80,350.00 1.67 At The Main Entrance Of The Superior Court Building 201 West Jefferson Phoenix Az $224,580.00 $149,816.00 $224,580.00 -$74,764.00 1.5 At The Main Entrance Of The Superior Court Building 201 West Jefferson Phoenix Az $92,000.00 $189,050.00 $92,000.00 $97,050.00 0.49 In The Courtyard By The Main Entrance To The Superior Court Building 201 West Jefferson 04/25/2005 Phoenix $141,491.00 $116,375.00 $141,491.00 -$25,116.00 1.22 At The Main Entrance Of The Superior Court Building 201 West Jefferson Phoenix Az 04/11/2007 $141,578.00 $140,431.00 $141,578.00 -$1,147.00 1.01 Law Offices Of Perry & Shapiro $200,000.00 $211,375.00 $200,000.00 $11,375.00 0.95 At The Main Entrance Of The Superior Court Building 201 West Jefferson Phoenix Az $125,698.00 $118,750.00 $125,698.00 -$6,948.00 1.06 In The Courtyard By The Main Entrance To The Superior Court Building 201 West Jefferson 11/14/2005 Phoenix $276,000.00 $167,200.00 $276,000.00 -$108,800.00 1.65 At The Main Entrance Of The Superior Court Building 201 West Jefferson Phoenix Az 10/19/2006 $1,500,000.00 $1,614,198.00 $1,500,000.00 $114,198.00 0.93 At The Main Entrance Of The Superior Court Building 201 West Jefferson Phoenix Az $171,200.00 $77,900.00 $171,200.00 -$93,300.00 2.2 At The Main Entrance To The Superior Courts Building 201 W. Jefferson Phoenix Az. $236,000.00 $224,200.00 $236,000.00 -$11,800.00 1.05 Page 61
  • 62.
    Pre-foreclosure List Maricopa County Week Ending 11/2 At The Steps At The Front Entrance Of The Superior Court Building 201 West Jefferson Phoenix Arizona 04/01/2008 $157,300.00 $103,550.00 $157,300.00 -$53,750.00 1.52 At The Main Entrance Of The Superior Court Building 201 West Jefferson Phoenix Az 01/11/2007 $299,100.00 $245,100.00 $299,100.00 -$54,000.00 1.22 At The Main Entrance Of The Superior Court Building 201 West Jefferson Phoenix Az $25,000.00 $122,550.00 $25,000.00 $97,550.00 0.2 At The Steps At The Front Entrance Of The Superior Court Building 201 West Jefferson Phoenix Arizona 08/16/2007 $216,000.00 $129,200.00 $216,000.00 -$86,800.00 1.67 Office Of Michael A. Bosco Jr. $92,000.00 $88,825.00 $92,000.00 -$3,175.00 1.04 Office Of Michael A. Bosco Jr. $124,800.00 $89,775.00 $124,800.00 -$35,025.00 1.39 At The Main Entrance Of The Superior Court Building 201 West Jefferson Phoenix Az 07/19/2007 $1.00 $718,200.00 $1.00 $718,199.00 0 Office Of Michael A. Bosco Jr. $277,882.00 $198,550.00 $277,882.00 -$79,332.00 1.4 At The Main Entrance Of The Superior Court Building 201 West Jefferson Phoenix Az $196,000.00 $225,150.00 $196,000.00 $29,150.00 0.87 At The Main Entrance Of The Superior Court Building 201 West Jefferson Phoenix Az 04/25/2008 $171,500.00 $166,250.00 $171,500.00 -$5,250.00 1.03 Office Of Michael A. Bosco Jr. $239,000.00 $204,250.00 $239,000.00 -$34,750.00 1.17 At The Main Entrance Of The Superior Court Building 201 West Jefferson Phoenix Az 07/03/2008 $241,214.00 $178,125.00 $241,214.00 -$63,089.00 1.35 Law Offices Of Perry & Shapiro $351,200.00 $277,400.00 $351,200.00 -$73,800.00 1.27 Law Offices Of Perry & Shapiro $228,000.00 $197,125.00 $228,000.00 -$30,875.00 1.16 Office Of Michael A. Bosco Jr. $324,000.00 $218,975.00 $324,000.00 -$105,025.00 1.48 In The Courtyard By The Main Entrance To The Superior Court Building 201 West Jefferson 07/31/2006 Phoenix $190,400.00 $121,600.00 $190,400.00 -$68,800.00 1.57 Office Of Michael A. Bosco Jr. $147,000.00 $103,550.00 $147,000.00 -$43,450.00 1.42 Office Of Michael A. Bosco Jr. $270,720.00 $197,125.00 $270,720.00 -$73,595.00 1.37 Office Of Michael A. Bosco Jr. $168,000.00 $105,450.00 $168,000.00 -$62,550.00 1.59 At The Main Entrance Of The Superior Court Building 201 West Jefferson Phoenix Az 05/14/2008 $157,832.00 $106,875.00 $157,832.00 -$50,957.00 1.48 Office Of Michael A. Bosco Jr. $205,125.00 $173,850.00 $205,125.00 -$31,275.00 1.18 At The Main Entrance Of The Superior Court Building 201 West Jefferson Phoenix Az $156,000.00 $114,475.00 $156,000.00 -$41,525.00 1.36 In The Courtyard By The Main Entrance To The Superior Court Building 201 West Jefferson 12/27/2005 Phoenix $246,000.00 $192,850.00 $246,000.00 -$53,150.00 1.28 Law Offices Of Perry & Shapiro $212,000.00 $93,575.00 $212,000.00 -$118,425.00 2.27 Western Regional Foreclosures $312,000.00 $312,000.00 Office Of Michael A. Bosco Jr. $220,000.00 $214,225.00 $220,000.00 -$5,775.00 1.03 At The Main Entrance Of The Superior Court Building 201 West Jefferson Phoenix Az $108,000.00 $101,175.00 $108,000.00 -$6,825.00 1.07 At The Main Entrance Of The Superior Court Building 201 West Jefferson Phoenix Az $141,178.00 $121,600.00 $141,178.00 -$19,578.00 1.16 At The Main Entrance Of The Superior Court Building 201 West Jefferson Phoenix Az $298,406.00 $153,900.00 $298,406.00 -$144,506.00 1.94 At The Main Entrance Of The Superior Court Building 201 West Jefferson Phoenix Az 09/13/2007 $158,500.00 $116,850.00 $158,500.00 -$41,650.00 1.36 Office Of Michael A. Bosco Jr. $127,917.00 $53,675.00 $127,917.00 -$74,242.00 2.38 At The Main Entrance Of The Superior Court Building 201 West Jefferson Phoenix Az $132,692.00 $102,600.00 $132,692.00 -$30,092.00 1.29 Law Offices Of Perry & Shapiro $368,775.00 $266,475.00 $368,775.00 -$102,300.00 1.38 In The Courtyard By The Main Entrance To The Superior Court Building 201 West Jefferson 08/15/2006 Phoenix $237,500.00 $124,450.00 $237,500.00 -$113,050.00 1.91 At The Main Entrance Of The Superior Court Building 201 West Jefferson Phoenix Az $78,119.00 $107,350.00 $78,119.00 $29,231.00 0.73 At The Main Entrance Of The Superior Court Building 201 West Jefferson Phoenix Az 05/22/2008 $175,392.00 $106,400.00 $175,392.00 -$68,992.00 1.65 At The Main Entrance Of The Superior Court Building 201 West Jefferson Phoenix Az $1,360,000.00 $1,360,000.00 Law Offices Of Perry & Shapiro $525,000.00 $326,325.00 $525,000.00 -$198,675.00 1.61 Office Of Michael A. Bosco Jr. $280,800.00 $196,175.00 $280,800.00 -$84,625.00 1.43 At The Steps At The Front Entrance Of The Superior Court Building 201 West Jefferson Phoenix Arizona 09/22/2005 $999,000.00 $1,092,025.00 $999,000.00 $93,025.00 0.92 At The Main Entrance Of The Superior Court Building 201 West Jefferson Phoenix Az $50,000.00 $114,475.00 $50,000.00 $64,475.00 0.44 Law Offices Of Perry & Shapiro $93,000.00 $157,225.00 $93,000.00 $64,225.00 0.59 At The Main Entrance Of The Superior Court Building 201 West Jefferson Phoenix Az 11/16/2006 $328,000.00 $293,075.00 $328,000.00 -$34,925.00 1.12 At The Steps At The Front Entrance Of The Superior Court Building 201 West Jefferson Phoenix Arizona 03/20/2008 $159,580.00 $63,650.00 $159,580.00 -$95,930.00 2.51 At The Steps At The Front Entrance Of The Superior Court Building 201 West Jefferson Phoenix Arizona 06/29/2007 $154,800.00 $91,675.00 $154,800.00 -$63,125.00 1.69 Office Of Michael A. Bosco Jr. $215,000.00 $277,400.00 $215,000.00 $62,400.00 0.78 At The Main Entrance Of The Superior Court Building 201 West Jefferson Phoenix Az 01/30/2008 $170,195.00 $151,050.00 $170,195.00 -$19,145.00 1.13 In The Courtyard By The Main Entrance To The Superior Court Building 201 West Jefferson 06/02/2004 Phoenix $155,460.00 $143,604.00 $155,460.00 -$11,856.00 1.08 In The Courtyard By The Main Entrance To The Superior Court Building 201 West Jefferson 10/24/2005 Phoenix $275,800.00 $212,325.00 $275,800.00 -$63,475.00 1.3 At The Steps At The Front Entrance Of The Superior Court Building 201 West Jefferson Phoenix Arizona 10/26/2007 $120,000.00 $90,725.00 $120,000.00 -$29,275.00 1.32 At The Main Entrance Of The Superior Court Building 201 West Jefferson Phoenix Az 04/25/2008 $158,200.00 $128,250.00 $158,200.00 -$29,950.00 1.23 Office Of Michael A. Bosco Jr. $80,000.00 $191,900.00 $80,000.00 $111,900.00 0.42 At The Main Entrance Of The Superior Court Building 201 West Jefferson Phoenix Az 04/25/2008 $158,200.00 $128,250.00 $158,200.00 -$29,950.00 1.23 At The Main Entrance Of The Superior Court Building 201 West Jefferson Phoenix Az 04/25/2008 $161,000.00 $131,575.00 $161,000.00 -$29,425.00 1.22 Office Of Michael A. Bosco Jr. $160,000.00 $174,800.00 $160,000.00 $14,800.00 0.92 At The Main Entrance Of The Superior Court Building 201 West Jefferson Phoenix Az 06/04/2008 $123,561.00 $100,225.00 $123,561.00 -$23,336.00 1.23 Law Offices Of Perry & Shapiro $345,700.00 $345,700.00 Page 62
  • 63.
    Pre-foreclosure List Maricopa County Week Ending 11/2 At The Main Entrance Of The Superior Court Building 201 West Jefferson Phoenix Az 10/27/2005 $189,812.00 $94,525.00 $189,812.00 -$95,287.00 2.01 In The Courtyard By The Main Entrance To The Superior Court Building 201 West Jefferson 09/11/2006 Phoenix $245,486.00 $110,200.00 $245,486.00 -$135,286.00 2.23 At The Main Entrance Of The Superior Court Building 201 West Jefferson Phoenix Az $453,750.00 $314,450.00 $453,750.00 -$139,300.00 1.44 Office Of Michael A. Bosco Jr. $225,000.00 $198,075.00 $225,000.00 -$26,925.00 1.14 At The Main Entrance Of The Superior Court Building 201 West Jefferson Phoenix Az 02/23/2006 $288,000.00 $200,925.00 $288,000.00 -$87,075.00 1.43 Office Of Michael A. Bosco Jr. $200,832.00 $110,200.00 $200,832.00 -$90,632.00 1.82 Office Of Michael A. Bosco Jr. $193,498.00 $115,425.00 $193,498.00 -$78,073.00 1.68 Office Of Michael A. Bosco Jr. $134,400.00 $123,025.00 $134,400.00 -$11,375.00 1.09 Office Of Michael A. Bosco Jr. $130,000.00 $111,625.00 $130,000.00 -$18,375.00 1.17 At The Main Entrance Of The Superior Court Building 201 West Jefferson Phoenix Az 02/27/2006 $304,000.00 $217,550.00 $304,000.00 -$86,450.00 1.4 At The Main Entrance Of The Superior Court Building 201 West Jefferson Phoenix Az $401,400.00 $202,350.00 $401,400.00 -$199,050.00 1.98 Office Of Michael A. Bosco Jr. $84,000.00 $190,950.00 $84,000.00 $106,950.00 0.44 In The Courtyard By The Main Entrance To The Superior Court Building 201 West Jefferson 12/01/2006 Phoenix $256,000.00 $186,675.00 $256,000.00 -$69,325.00 1.37 At The Main Entrance Of The Superior Court Building 201 West Jefferson Phoenix Az 03/15/2006 $480,000.00 $277,875.00 $480,000.00 -$202,125.00 1.73 Office Of Michael A. Bosco Jr. $107,000.00 $120,650.00 $107,000.00 $13,650.00 0.89 At The Main Entrance Of The Superior Court Building 201 West Jefferson Phoenix Az $213,628.00 $126,825.00 $213,628.00 -$86,803.00 1.68 At The Steps At The Front Entrance Of The Superior Court Building 201 West Jefferson Phoenix Arizona 11/15/2007 $73,000.00 $140,600.00 $73,000.00 $67,600.00 0.52 At The Main Entrance Of The Superior Court Building 201 West Jefferson Phoenix Az $217,475.00 $141,550.00 $217,475.00 -$75,925.00 1.54 At The Main Entrance Of The Superior Court Building 201 West Jefferson Phoenix Az 09/13/2006 $470,000.00 $315,400.00 $470,000.00 -$154,600.00 1.49 Office Of Michael A. Bosco Jr. $158,924.00 $119,700.00 $158,924.00 -$39,224.00 1.33 Office Of Michael A. Bosco Jr. $224,000.00 $143,925.00 $224,000.00 -$80,075.00 1.56 In The Courtyard By The Main Entrance To The Superior Court Building 201 West Jefferson 08/25/2005 Phoenix $275,000.00 $202,825.00 $275,000.00 -$72,175.00 1.36 At The Main Entrance Of The Superior Court Building 201 West Jefferson Phoenix Az $188,993.00 $97,850.00 $188,993.00 -$91,143.00 1.93 At The Main Entrance Of The Superior Court Building 201 West Jefferson Phoenix Az 10/17/2006 $215,650.00 $85,500.00 $215,650.00 -$130,150.00 2.52 At The Main Entrance Of The Superior Court Building 201 West Jefferson Phoenix Az $129,514.00 $83,125.00 $129,514.00 -$46,389.00 1.56 In The Courtyard By The Main Entrance To The Superior Court Building 201 West Jefferson 01/25/2007 Phoenix $361,188.00 $228,000.00 $361,188.00 -$133,188.00 1.58 At The Main Entrance Of The Superior Court Building 201 West Jefferson Phoenix Az $162,578.00 $109,725.00 $162,578.00 -$52,853.00 1.48 At The Main Entrance Of The Superior Court Building 201 West Jefferson Phoenix Az 10/15/2007 $266,792.00 $178,600.00 $266,792.00 -$88,192.00 1.49 Office Of Michael A. Bosco Jr. $125,100.00 $110,200.00 $125,100.00 -$14,900.00 1.14 Office Of Michael A. Bosco Jr. $174,500.00 $174,500.00 Office Of Michael A. Bosco Jr. $134,000.00 $134,000.00 At The Main Entrance Of The Superior Court Building 201 West Jefferson Phoenix Az 09/26/2006 $170,400.00 $62,700.00 $170,400.00 -$107,700.00 2.72 At The Main Entrance Of The Superior Court Building 201 West Jefferson Phoenix Az 08/09/2007 $205,770.00 $115,425.00 $205,770.00 -$90,345.00 1.78 Security Title Agency 09/12/2006 $260,800.00 $145,825.00 $260,800.00 -$114,975.00 1.79 At The Main Entrance Of The Superior Court Building 201 West Jefferson Phoenix Az $690,000.00 $481,175.00 $690,000.00 -$208,825.00 1.43 Office Of Michael A. Bosco Jr. 09/08/2004 $98,500.00 $119,225.00 $98,500.00 $20,725.00 0.83 Offices Of Folks & O'connor Pllc $204,750.00 $204,750.00 Office Of Michael A. Bosco Jr. $87,500.00 $80,759.00 $87,500.00 -$6,741.00 1.08 In The Courtyard By The Main Entrance To The Superior Court Building 201 West Jefferson 12/21/2006 Phoenix $201,386.00 $110,200.00 $201,386.00 -$91,186.00 1.83 At The Main Entrance Of The Superior Court Building 201 West Jefferson Phoenix Az 05/14/2008 $157,528.00 $121,600.00 $157,528.00 -$35,928.00 1.3 At The Main Entrance Of The Superior Court Building 201 West Jefferson Phoenix Az $112,416.00 $95,475.00 $112,416.00 -$16,941.00 1.18 At The Main Entrance Of The Superior Court Building 201 West Jefferson Phoenix Az $352,630.00 $148,200.00 $352,630.00 -$204,430.00 2.38 Office Of Michael A. Bosco Jr. $190,800.00 $113,050.00 $190,800.00 -$77,750.00 1.69 At The Main Entrance Of The Superior Court Building 201 West Jefferson Phoenix Az $232,750.00 $135,375.00 $232,750.00 -$97,375.00 1.72 At The Main Entrance Of The Superior Court Building 201 West Jefferson Phoenix Az 11/06/2006 $205,600.00 $115,425.00 $205,600.00 -$90,175.00 1.78 At The Main Entrance To The Superior Courts Building 201 W. Jefferson Phoenix Az. $471,200.00 $419,900.00 $471,200.00 -$51,300.00 1.12 At The Main Entrance Of The Superior Court Building 201 West Jefferson Phoenix Az $226,539.00 $226,539.00 Office Of Michael A. Bosco Jr. $570,000.00 $668,800.00 $570,000.00 $98,800.00 0.85 Office Of Michael A. Bosco Jr. $250,000.00 $145,350.00 $250,000.00 -$104,650.00 1.72 At The Main Entrance Of The Superior Court Building 201 West Jefferson Phoenix Az 08/29/2007 $545,000.00 $439,850.00 $545,000.00 -$105,150.00 1.24 At The Main Entrance Of The Superior Court Building 201 West Jefferson Phoenix Az $138,728.00 $112,575.00 $138,728.00 -$26,153.00 1.23 At The Main Entrance Of The Superior Court Building 201 West Jefferson Phoenix Az $271,000.00 $262,200.00 $271,000.00 -$8,800.00 1.03 At The Main Entrance Of The Superior Court Building 201 West Jefferson Phoenix Az 10/19/2006 $161,250.00 $100,225.00 $161,250.00 -$61,025.00 1.61 At The Main Entrance Of The Superior Court Building 201 West Jefferson Phoenix Az 02/16/2006 $106,400.00 $70,300.00 $106,400.00 -$36,100.00 1.51 At The Main Entrance Of The Superior Court Building 201 West Jefferson Phoenix Az 01/10/2006 $121,000.00 $142,025.00 $121,000.00 $21,025.00 0.85 Security Title Agency $318,000.00 $235,125.00 $318,000.00 -$82,875.00 1.35 At The Main Entrance Of The Superior Court Building 201 West Jefferson Phoenix Arizona 04/18/2006 $248,000.00 $161,975.00 $248,000.00 -$86,025.00 1.53 Page 63
  • 64.
    Pre-foreclosure List Maricopa County Week Ending 11/2 At The Main Entrance Of The Superior Court Building 201 West Jefferson Phoenix Az 04/13/2006 $264,550.00 $136,800.00 $264,550.00 -$127,750.00 1.93 At The Main Entrance Of The Superior Court Building 201 West Jefferson Phoenix Az 03/02/2007 $325,000.00 $178,600.00 $325,000.00 -$146,400.00 1.82 At The Main Entrance Of The Superior Court Building 201 West Jefferson Phoenix Az 03/09/2006 $202,400.00 $129,675.00 $202,400.00 -$72,725.00 1.56 Security Title Agency $275,000.00 $180,025.00 $275,000.00 -$94,975.00 1.53 At The Main Entrance Of The Superior Court Building 201 West Jefferson Phoenix Az 10/13/2006 $180,000.00 $106,875.00 $180,000.00 -$73,125.00 1.68 At The Main Entrance Of The Superior Court Building 201 West Jefferson Phoenix Az 05/01/2007 $335,000.00 $177,650.00 $335,000.00 -$157,350.00 1.89 In The Courtyard By The Main Entrance To The Superior Court Building 201 West Jefferson 08/31/2005 Phoenix $387,000.00 $283,100.00 $387,000.00 -$103,900.00 1.37 At The Main Entrance Of The Superior Court Building 201 West Jefferson Phoenix Az 03/06/2006 $170,900.00 $106,875.00 $170,900.00 -$64,025.00 1.6 At The Main Entrance Of The Superior Court Building 201 West Jefferson Phoenix Az 06/21/2005 $228,750.00 $283,575.00 $228,750.00 $54,825.00 0.81 At The Main Entrance Of The Superior Court Building 201 West Jefferson Phoenix Az 12/06/2006 $165,600.00 $90,250.00 $165,600.00 -$75,350.00 1.84 At The Main Entrance Of The Superior Court Building 201 West Jefferson Phoenix Az $32,800,000.00 $32,800,000.00 At The Main Entrance Of The Superior Court Building 201 West Jefferson Phoenix Az 06/28/2005 $252,000.00 $209,950.00 $252,000.00 -$42,050.00 1.2 In The Courtyard By The Main Entrance To The Superior Court Building 201 West Jefferson 01/13/2006 Phoenix $174,000.00 $106,400.00 $174,000.00 -$67,600.00 1.64 At The Main Entrance Of The Superior Court Building 201 West Jefferson Phoenix Az 03/18/2008 $209,709.00 $171,870.00 $209,709.00 -$37,839.00 1.22 At The Main Entrance Of The Superior Court Building 201 West Jefferson Phoenix Az 05/04/2007 $348,750.00 $303,050.00 $348,750.00 -$45,700.00 1.15 At The Main Entrance Of The Superior Court Building 201 West Jefferson Phoenix Az 11/16/2007 $192,500.00 $169,100.00 $192,500.00 -$23,400.00 1.14 At The Main Entrance Of The Superior Court Building 201 West Jefferson Phoenix Az 10/30/2007 $96,600.00 $104,025.00 $96,600.00 $7,425.00 0.93 In The Courtyard By The Main Entrance To The Superior Court Building 201 West Jefferson 12/08/2005 Phoenix $168,000.00 $85,975.00 $168,000.00 -$82,025.00 1.95 Office Of Michael A. Bosco Jr. $147,000.00 $147,000.00 In The Courtyard By The Main Entrance To The Superior Court Building 201 West Jefferson 07/08/2005 Phoenix $104,000.00 $87,875.00 $104,000.00 -$16,125.00 1.18 At The Main Entrance Of The Superior Court Building 201 West Jefferson Phoenix Az 12/23/2005 $215,200.00 $152,000.00 $215,200.00 -$63,200.00 1.42 At The Main Entrance Of The Superior Court Building 201 West Jefferson Phoenix Az 11/24/2004 $164,350.00 $144,875.00 $164,350.00 -$19,475.00 1.13 Security Title Agency $604,500.00 $604,500.00 At The Main Entrance Of The Superior Court Building 201 West Jefferson Phoenix Az 05/25/2006 $150,000.00 $77,900.00 $150,000.00 -$72,100.00 1.93 At The Main Entrance Of The Superior Court Building 201 West Jefferson Phoenix Az $306,000.00 $306,000.00 At The Steps At The Front Entrance Of The Superior Court Building 201 West Jefferson Phoenix Arizona 12/31/2007 $237,500.00 $137,750.00 $237,500.00 -$99,750.00 1.72 At The Main Entrance Of The Superior Court Building 201 West Jefferson Phoenix Az 01/05/2006 $319,500.00 $189,525.00 $319,500.00 -$129,975.00 1.69 Office Of Michael A. Bosco Jr. $238,500.00 $181,925.00 $238,500.00 -$56,575.00 1.31 At The Main Entrance Of The Superior Court Building 201 West Jefferson Phoenix Az 01/10/2006 $269,000.00 $149,150.00 $269,000.00 -$119,850.00 1.8 At The Main Entrance Of The Superior Court Building 201 West Jefferson Phoenix Az 03/04/2008 $163,200.00 $92,625.00 $163,200.00 -$70,575.00 1.76 In The Courtyard By The Main Entrance To The Superior Court Building 201 West Jefferson 01/31/2007 Phoenix $172,800.00 $109,250.00 $172,800.00 -$63,550.00 1.58 In The Courtyard By The Main Entrance To The Superior Court Building 201 West Jefferson 07/08/2005 Phoenix $332,000.00 $193,800.00 $332,000.00 -$138,200.00 1.71 At The Main Entrance Of The Superior Court Building 201 West Jefferson Phoenix Az 09/14/2006 $235,000.00 $108,300.00 $235,000.00 -$126,700.00 2.17 At The Main Entrance Of The Superior Court Building 201 West Jefferson Phoenix Az 11/26/2007 $302,500.00 $273,630.00 $302,500.00 -$28,870.00 1.11 At The Main Entrance Of The Superior Court Building 201 West Jefferson Phoenix Az 10/17/2007 $252,000.00 $354,578.00 $252,000.00 $102,578.00 0.71 At The Main Entrance Of The Superior Court Building 201 West Jefferson Phoenix Az 08/08/2006 $223,000.00 $104,975.00 $223,000.00 -$118,025.00 2.12 At The Main Entrance Of The Superior Court Building 201 West Jefferson Phoenix Az 09/15/2005 $138,750.00 $111,625.00 $138,750.00 -$27,125.00 1.24 At The Main Entrance Of The Superior Court Building 201 West Jefferson Phoenix Az $256,000.00 $176,225.00 $256,000.00 -$79,775.00 1.45 At The Main Entrance Of The Superior Court Building 201 West Jefferson Phoenix Az 09/26/2006 $191,850.00 $159,125.00 $191,850.00 -$32,725.00 1.21 At The Main Entrance Of The Superior Court Building 201 West Jefferson Phoenix Az 10/11/2006 $259,000.00 $279,775.00 $259,000.00 $20,775.00 0.93 At The Main Entrance Of The Superior Court Building 201 West Jefferson Phoenix Az 10/23/2007 $183,750.00 $142,025.00 $183,750.00 -$41,725.00 1.29 In The Courtyard By The Main Entrance To The Superior Court Building 201 West Jefferson 03/08/2007 Phoenix $283,000.00 $154,375.00 $283,000.00 -$128,625.00 1.83 Office Of Michael A. Bosco Jr. $200,000.00 $120,650.00 $200,000.00 -$79,350.00 1.66 Security Title Agency $231,000.00 $219,925.00 $231,000.00 -$11,075.00 1.05 Office Of Michael A. Bosco Jr. $145,000.00 $61,275.00 $145,000.00 -$83,725.00 2.37 At The Main Entrance Of The Superior Court Building 201 West Jefferson Phoenix Az 08/07/2002 $88,000.00 $78,375.00 $88,000.00 -$9,625.00 1.12 At The Main Entrance Of The Superior Court Building 201 West Jefferson Phoenix Az 08/07/2007 $470,500.00 $401,375.00 $470,500.00 -$69,125.00 1.17 At The Main Entrance Of The Superior Court Building 201 West Jefferson Phoenix Az $3,430,000.00 $3,430,000.00 At The Main Entrance Of The Superior Court Building 201 West Jefferson Phoenix Az 03/29/2004 $497,000.00 $533,900.00 $497,000.00 $36,900.00 0.93 At The Main Entrance Of The Superior Court Building 201 West Jefferson Phoenix Az 08/25/2006 $129,584.00 $91,200.00 $129,584.00 -$38,384.00 1.42 At The Main Entrance Of The Superior Court Building 201 West Jefferson Phoenix Az 06/26/2008 $347,130.00 $240,350.00 $347,130.00 -$106,780.00 1.44 At The Main Entrance Of The Superior Court Building 201 West Jefferson Phoenix Az 11/30/2001 $93,335.00 $91,200.00 $93,335.00 -$2,135.00 1.02 At The Main Entrance Of The Superior Court Building 201 West Jefferson Phoenix Az $211,002.00 $162,925.00 $211,002.00 -$48,077.00 1.3 At The Main Entrance Of The Superior Court Building 201 West Jefferson Phoenix Az 12/13/2006 $333,877.00 $199,500.00 $333,877.00 -$134,377.00 1.67 Office Of Michael A. Bosco Jr. $159,000.00 $163,875.00 $159,000.00 $4,875.00 0.97 Office Of Michael A. Bosco Jr. $169,500.00 $110,675.00 $169,500.00 -$58,825.00 1.53 At The Main Entrance Of The Superior Court Building 201 West Jefferson Phoenix Az 09/10/2007 $125,100.00 $85,025.00 $125,100.00 -$40,075.00 1.47 Page 64
  • 65.
    Pre-foreclosure List Maricopa County Week Ending 11/2 In The Courtyard By The Main Entrance To The Superior Court Building 201 West Jefferson 04/04/2005 Phoenix $446,250.00 $446,250.00 At The Main Entrance Of The Superior Court Building 201 West Jefferson Phoenix Az 06/15/2007 $77,900.00 $52,250.00 $77,900.00 -$25,650.00 1.49 Office Of Michael A. Bosco Jr. $157,771.00 $121,125.00 $157,771.00 -$36,646.00 1.3 Office Of Michael A. Bosco Jr. $134,400.00 $88,350.00 $134,400.00 -$46,050.00 1.52 At The Main Entrance Of The Superior Court Building 201 West Jefferson Phoenix Az 04/06/2007 $218,500.00 $123,500.00 $218,500.00 -$95,000.00 1.77 In The Courtyard By The Main Entrance To The Superior Court Building 201 West Jefferson 02/17/2006 Phoenix $184,000.00 $127,775.00 $184,000.00 -$56,225.00 1.44 At The Main Entrance Of The Superior Court Building 201 West Jefferson Phoenix Az $172,500.00 $96,900.00 $172,500.00 -$75,600.00 1.78 Security Title Agency $276,000.00 $217,490.00 $276,000.00 -$58,510.00 1.27 Law Offices Of Perry & Shapiro $157,400.00 $128,681.00 $157,400.00 -$28,719.00 1.22 At The Main Entrance Of The Superior Court Building 201 West Jefferson Phoenix Az 05/09/2006 $140,800.00 $82,175.00 $140,800.00 -$58,625.00 1.71 At The Main Entrance Of The Superior Court Building 201 West Jefferson Phoenix Az 12/14/2006 $696,375.00 $437,950.00 $696,375.00 -$258,425.00 1.59 At The Main Entrance Of The Superior Court Building 201 West Jefferson Phoenix Az 05/29/2008 $178,843.00 $104,975.00 $178,843.00 -$73,868.00 1.7 At The Main Entrance Of The Superior Court Building 201 West Jefferson Phoenix Az 09/14/2006 $412,000.00 $401,832.00 $412,000.00 -$10,168.00 1.03 Law Offices Of Perry & Shapiro $245,000.00 $165,300.00 $245,000.00 -$79,700.00 1.48 At The Main Entrance Of The Superior Court Building 201 West Jefferson Phoenix Az 05/05/2006 $496,000.00 $353,875.00 $496,000.00 -$142,125.00 1.4 At The Main Entrance Of The Superior Court Building 201 West Jefferson Phoenix Az 07/11/2007 $273,590.00 $250,041.00 $273,590.00 -$23,549.00 1.09 At The Main Entrance Of The Superior Court Building 201 West Jefferson Phoenix Az $150,000.00 $104,025.00 $150,000.00 -$45,975.00 1.44 Office Of Michael A. Bosco Jr. $156,000.00 $133,000.00 $156,000.00 -$23,000.00 1.17 At The Main Entrance Of The Superior Court Building 201 West Jefferson Phoenix Az 04/15/2005 $42,300.00 $58,425.00 $42,300.00 $16,125.00 0.72 At The Main Entrance Of The Superior Court Building 201 West Jefferson Phoenix Az 08/14/2006 $190,080.00 $160,550.00 $190,080.00 -$29,530.00 1.18 In The Courtyard By The Main Entrance To The Superior Court Building 201 West Jefferson 07/18/2006 Phoenix $187,120.00 $183,765.00 $187,120.00 -$3,355.00 1.02 At The Main Entrance Of The Superior Court Building 201 West Jefferson Phoenix Az $287,600.00 $186,675.00 $287,600.00 -$100,925.00 1.54 In The Courtyard By The Main Entrance To The Superior Court Building 201 West Jefferson 10/25/2005 Phoenix $140,000.00 $114,475.00 $140,000.00 -$25,525.00 1.22 At The Main Entrance Of The Superior Court Building 201 West Jefferson Phoenix Az 11/21/2006 $273,000.00 $145,350.00 $273,000.00 -$127,650.00 1.88 At The Main Entrance Of The Superior Court Building 201 West Jefferson Phoenix Az 12/13/2006 $357,000.00 $162,450.00 $357,000.00 -$194,550.00 2.2 At The Main Entrance Of The Superior Court Building 201 West Jefferson Phoenix Az 05/01/2006 $231,500.00 $130,625.00 $231,500.00 -$100,875.00 1.77 At The Main Entrance Of The Superior Court Building 201 West Jefferson Phoenix Az 02/19/2002 $105,248.00 $107,350.00 $105,248.00 $2,102.00 0.98 At The Main Entrance Of The Superior Court Building 201 West Jefferson Phoenix Az 08/12/2005 $65,960.00 $57,000.00 $65,960.00 -$8,960.00 1.16 At The Main Entrance Of The Superior Court Building 201 West Jefferson Phoenix Az 08/12/2005 $66,300.00 $57,000.00 $66,300.00 -$9,300.00 1.16 Office Of Michael A. Bosco Jr. $191,452.00 $128,250.00 $191,452.00 -$63,202.00 1.49 At The Main Entrance Of The Superior Court Building 201 West Jefferson Phoenix Az $285,964.00 $253,175.00 $285,964.00 -$32,789.00 1.13 In The Courtyard By The Main Entrance To The Superior Court Building 201 West Jefferson 06/15/2007 Phoenix $155,550.00 $89,775.00 $155,550.00 -$65,775.00 1.73 At The Main Entrance Of The Superior Court Building 201 West Jefferson Phoenix Az 07/25/2008 $128,082.00 $116,850.00 $128,082.00 -$11,232.00 1.1 Office Of Michael A. Bosco Jr. $48,000.00 $236,075.00 $48,000.00 $188,075.00 0.2 In The Courtyard By The Main Entrance To The Superior Court Building 201 West Jefferson 10/31/2005 Phoenix $332,000.00 $190,000.00 $332,000.00 -$142,000.00 1.75 At The Main Entrance Of The Superior Court Building 201 West Jefferson Phoenix Az $108,000.00 $95,475.00 $108,000.00 -$12,525.00 1.13 At The Main Entrance Of The Superior Court Building 201 West Jefferson Phoenix Az $135,000.00 $123,500.00 $135,000.00 -$11,500.00 1.09 At The Main Entrance Of The Superior Court Building 201 West Jefferson Phoenix Az 11/08/2005 $216,000.00 $141,550.00 $216,000.00 -$74,450.00 1.53 At The Main Entrance Of The Superior Court Building 201 West Jefferson Phoenix Az 04/16/2007 $158,950.00 $64,600.00 $158,950.00 -$94,350.00 2.46 In The Courtyard By The Main Entrance To The Superior Court Building 201 West Jefferson 04/13/2006 Phoenix $143,500.00 $88,350.00 $143,500.00 -$55,150.00 1.62 Security Title Agency $168,000.00 $88,825.00 $168,000.00 -$79,175.00 1.89 At The Main Entrance Of The Superior Court Building 201 West Jefferson Phoenix Az 12/06/2007 $254,406.00 $124,925.00 $254,406.00 -$129,481.00 2.04 At The Main Entrance Of The Superior Court Building 201 West Jefferson Phoenix Az $100,000.00 $91,675.00 $100,000.00 -$8,325.00 1.09 At The Main Entrance Of The Superior Court Building 201 West Jefferson Phoenix Az 07/11/2006 $164,000.00 $90,725.00 $164,000.00 -$73,275.00 1.81 At The Main Entrance Of The Superior Court Building 201 West Jefferson Phoenix Az $144,500.00 $118,275.00 $144,500.00 -$26,225.00 1.22 In The Courtyard By The Main Entrance To The Superior Court Building 201 West Jefferson 09/14/2005 Phoenix $295,400.00 $219,450.00 $295,400.00 -$75,950.00 1.35 Law Offices Of Perry & Shapiro $165,000.00 $92,150.00 $165,000.00 -$72,850.00 1.79 Office Of Michael A. Bosco Jr. $159,000.00 $108,300.00 $159,000.00 -$50,700.00 1.47 At The Main Entrance Of The Superior Court Building 201 West Jefferson Phoenix Az 07/01/2005 $225,600.00 $166,725.00 $225,600.00 -$58,875.00 1.35 At The Main Entrance Of The Superior Court Building 201 West Jefferson Phoenix Arizona 05/15/2007 $356,000.00 $251,275.00 $356,000.00 -$104,725.00 1.42 At The Main Entrance Of The Superior Court Building 201 West Jefferson Phoenix Az 12/15/2006 $417,000.00 $332,975.00 $417,000.00 -$84,025.00 1.25 Security Title Agency $176,700.00 $145,350.00 $176,700.00 -$31,350.00 1.22 At The Main Entrance Of The Superior Court Building 201 West Jefferson Phoenix Az 07/09/2007 $390,700.00 $328,700.00 $390,700.00 -$62,000.00 1.19 At The Main Entrance Of The Superior Court Building 201 West Jefferson Phoenix Az 02/12/2007 $392,000.00 $248,425.00 $392,000.00 -$143,575.00 1.58 Office Of Michael A. Bosco Jr. $240,000.00 $173,375.00 $240,000.00 -$66,625.00 1.38 At The Main Entrance Of The Superior Court Building 201 West Jefferson Phoenix Az $308,000.00 $224,675.00 $308,000.00 -$83,325.00 1.37 At The Main Entrance Of The Superior Court Building 201 West Jefferson Phoenix Az 04/24/2006 $303,200.00 $217,075.00 $303,200.00 -$86,125.00 1.4 Page 65
  • 66.
    Pre-foreclosure List Maricopa County Week Ending 11/2 At The Main Entrance Of The Superior Court Building 201 West Jefferson Phoenix Az 07/21/2005 $194,660.00 $114,000.00 $194,660.00 -$80,660.00 1.71 At The Main Entrance Of The Superior Court Building 201 West Jefferson Phoenix Arizona $3,375,000.00 $3,375,000.00 At The Main Entrance Of The Superior Court Building 201 West Jefferson Phoenix Az 01/26/2007 $246,400.00 $208,525.00 $246,400.00 -$37,875.00 1.18 At The Main Entrance Of The Superior Court Building 201 West Jefferson Phoenix Az 07/27/2007 $225,000.00 $118,750.00 $225,000.00 -$106,250.00 1.9 At The Main Entrance Of The Superior Court Building 201 West Jefferson Phoenix Az 11/20/2006 $572,000.00 $294,025.00 $572,000.00 -$277,975.00 1.95 At The Main Entrance Of The Superior Court Building 201 West Jefferson Phoenix Az 09/17/2007 $207,075.00 $107,825.00 $207,075.00 -$99,250.00 1.92 At The Main Entrance Of The Superior Court Building 201 West Jefferson Phoenix Az 05/18/2005 $137,000.00 $89,300.00 $137,000.00 -$47,700.00 1.53 At The Main Entrance Of The Superior Court Building 201 West Jefferson Phoenix Az 04/03/2007 $650,000.00 $402,800.00 $650,000.00 -$247,200.00 1.61 At The Main Entrance Of The Superior Court Building 201 West Jefferson Phoenix Az 07/18/2006 $232,500.00 $167,675.00 $232,500.00 -$64,825.00 1.39 At The Main Entrance Of The Superior Court Building 201 West Jefferson Phoenix Az 03/09/1987 $68,611.00 $111,150.00 $68,611.00 $42,539.00 0.62 At The Main Entrance Of The Superior Court Building 201 West Jefferson Phoenix Arizona 06/15/2007 $289,000.00 $210,425.00 $289,000.00 -$78,575.00 1.37 At The Main Entrance Of The Superior Court Building 201 West Jefferson Phoenix Az 12/19/2005 $685,000.00 $335,350.00 $685,000.00 -$349,650.00 2.04 At The Main Entrance Of The Superior Court Building 201 West Jefferson Phoenix Az $231,004.00 $207,738.00 $231,004.00 -$23,266.00 1.11 Law Offices Of Perry & Shapiro $395,000.00 $441,990.00 $395,000.00 $46,990.00 0.89 At The Main Entrance Of The Superior Court Building 201 West Jefferson Phoenix Az $242,250.00 $122,550.00 $242,250.00 -$119,700.00 1.98 At The Main Entrance Of The Superior Court Building 201 West Jefferson Phoenix Az 06/30/2006 $135,000.00 $122,075.00 $135,000.00 -$12,925.00 1.11 At The Main Entrance Of The Superior Court Building 201 West Jefferson Phoenix Az $126,400.00 $138,758.00 $126,400.00 $12,358.00 0.91 At The Main Entrance Of The Superior Court Building 201 West Jefferson Phoenix Az 06/27/2008 $312,550.00 $256,500.00 $312,550.00 -$56,050.00 1.22 At The Main Entrance Of The Superior Court Building 201 West Jefferson Phoenix Az 12/21/2007 $226,436.00 $164,350.00 $226,436.00 -$62,086.00 1.38 At The Main Entrance Of The Superior Court Building 201 West Jefferson Phoenix Az 05/04/2007 $500,000.00 $278,350.00 $500,000.00 -$221,650.00 1.8 Office Of Michael A. Bosco Jr. 02/17/2006 $291,850.00 $193,325.00 $291,850.00 -$98,525.00 1.51 Office Of Michael A. Bosco Jr. $276,000.00 $204,250.00 $276,000.00 -$71,750.00 1.35 At The Main Entrance Of The Superior Court Building 201 West Jefferson Phoenix Az 01/30/2006 $160,000.00 $99,275.00 $160,000.00 -$60,725.00 1.61 At The Main Entrance Of The Superior Court Building 201 West Jefferson Phoenix Az $102,580.00 $114,950.00 $102,580.00 $12,370.00 0.89 At The Main Entrance Of The Superior Court Building 201 West Jefferson Phoenix Az 09/26/2005 $351,000.00 $185,725.00 $351,000.00 -$165,275.00 1.89 At The Main Entrance Of The Superior Court Building 201 West Jefferson Phoenix Az $166,500.00 $103,075.00 $166,500.00 -$63,425.00 1.62 In The Courtyard By The Main Entrance To The Superior Court Building 201 West Jefferson 11/24/2004 Phoenix $128,056.00 $102,600.00 $128,056.00 -$25,456.00 1.25 At The Main Entrance Of The Superior Court Building 201 West Jefferson Phoenix Az $110,197.00 $89,775.00 $110,197.00 -$20,422.00 1.23 Office Of Michael A. Bosco Jr. $97,600.00 $145,350.00 $97,600.00 $47,750.00 0.67 At The Main Entrance Of The Superior Court Building 201 West Jefferson Phoenix Az 06/27/2007 $199,000.00 $105,450.00 $199,000.00 -$93,550.00 1.89 At The Main Entrance Of The Superior Court Building 201 West Jefferson Phoenix Az 07/16/2007 $720,000.00 $493,050.00 $720,000.00 -$226,950.00 1.46 At The Main Entrance Of The Superior Court Building 201 West Jefferson Phoenix Az 06/27/2006 $200,000.00 $115,900.00 $200,000.00 -$84,100.00 1.73 At The Steps At The Front Entrance Of The Superior Court Building 201 West Jefferson Phoenix Arizona 07/23/2005 $177,600.00 $114,475.00 $177,600.00 -$63,125.00 1.55 At The Main Entrance Of The Superior Court Building 201 West Jefferson Phoenix Az $172,000.00 $129,675.00 $172,000.00 -$42,325.00 1.33 At The Main Entrance Of The Superior Court Building 201 West Jefferson Phoenix Az 03/31/2006 $247,200.00 $126,825.00 $247,200.00 -$120,375.00 1.95 At The Main Entrance Of The Superior Court Building 201 West Jefferson Phoenix Az $264,000.00 $158,650.00 $264,000.00 -$105,350.00 1.66 At The Main Entrance Of The Superior Court Building 201 West Jefferson Phoenix Az 07/25/2007 $277,400.00 $197,600.00 $277,400.00 -$79,800.00 1.4 At The Steps At The Front Entrance Of The Superior Court Building 201 West Jefferson Phoenix Arizona 08/08/2005 $320,000.00 $319,675.00 $320,000.00 -$325.00 1 At The Main Entrance Of The Superior Court Building 201 West Jefferson Phoenix Az 04/19/2006 $237,500.00 $110,675.00 $237,500.00 -$126,825.00 2.15 At The Main Entrance Of The Superior Court Building 201 West Jefferson Phoenix Az 10/18/2006 $157,500.00 $92,625.00 $157,500.00 -$64,875.00 1.7 In The Courtyard By The Main Entrance To The Superior Court Building 201 West Jefferson 11/12/2004 Phoenix $196,000.00 $149,150.00 $196,000.00 -$46,850.00 1.31 In The Courtyard By The Main Entrance To The Superior Court Building 201 West Jefferson 09/15/2005 Phoenix $147,200.00 $97,850.00 $147,200.00 -$49,350.00 1.5 At The Main Entrance Of The Superior Court Building 201 West Jefferson Phoenix Az $308,000.00 $186,200.00 $308,000.00 -$121,800.00 1.65 Security Title Agency $258,000.00 $122,075.00 $258,000.00 -$135,925.00 2.11 In The Courtyard By The Main Entrance To The Superior Court Building 201 West Jefferson 06/22/2006 Phoenix $328,446.00 $157,225.00 $328,446.00 -$171,221.00 2.09 Law Offices Of Perry & Shapiro $206,400.00 $142,975.00 $206,400.00 -$63,425.00 1.44 At The Main Entrance Of The Superior Court Building 201 West Jefferson Phoenix Az 06/24/2005 $260,000.00 $169,575.00 $260,000.00 -$90,425.00 1.53 At The Main Entrance Of The Superior Court Building 201 West Jefferson Phoenix Az 03/22/2005 $280,800.00 $197,125.00 $280,800.00 -$83,675.00 1.42 Security Title Agency $177,000.00 $127,300.00 $177,000.00 -$49,700.00 1.39 At The Main Entrance Of The Superior Court Building 201 West Jefferson Phoenix Az 03/31/2008 $213,000.00 $204,250.00 $213,000.00 -$8,750.00 1.04 At The Main Entrance Of The Superior Court Building 201 West Jefferson Phoenix Az 11/13/2006 $224,000.00 $134,425.00 $224,000.00 -$89,575.00 1.67 Office Of Michael A. Bosco Jr. $148,000.00 $191,425.00 $148,000.00 $43,425.00 0.77 At The Main Entrance Of The Superior Court Building 201 West Jefferson Phoenix Az 02/27/2007 $184,000.00 $106,875.00 $184,000.00 -$77,125.00 1.72 At The Main Entrance Of The Superior Court Building 201 West Jefferson Phoenix Az 07/02/2007 $419,000.00 $219,925.00 $419,000.00 -$199,075.00 1.91 At The Main Entrance Of The Superior Court Building 201 West Jefferson Phoenix Az 09/06/2006 $159,250.00 $117,800.00 $159,250.00 -$41,450.00 1.35 Office Of Michael A. Bosco Jr. $264,000.00 $180,025.00 $264,000.00 -$83,975.00 1.47 At The Main Entrance Of The Superior Court Building 201 West Jefferson Phoenix Az 04/13/2005 $143,200.00 $97,850.00 $143,200.00 -$45,350.00 1.46 Page 66
  • 67.
    Pre-foreclosure List Maricopa County Week Ending 11/2 At The Main Entrance Of The Superior Court Building 201 West Jefferson Phoenix Az $261,000.00 $172,900.00 $261,000.00 -$88,100.00 1.51 At The Main Entrance Of The Superior Court Building 201 West Jefferson Phoenix Az 07/14/2006 $720,000.00 $617,975.00 $720,000.00 -$102,025.00 1.17 At The Main Entrance Of The Superior Court Building 201 West Jefferson Phoenix Az 03/21/2006 $240,000.00 $173,375.00 $240,000.00 -$66,625.00 1.38 At The Main Entrance Of The Superior Court Building 201 West Jefferson Phoenix Az 08/29/2007 $211,932.00 $157,700.00 $211,932.00 -$54,232.00 1.34 In The Courtyard By The Main Entrance To The Superior Court Building 201 West Jefferson 11/15/2006 Phoenix $231,990.00 $159,600.00 $231,990.00 -$72,390.00 1.45 In The Courtyard By The Main Entrance To The Superior Court Building 201 West Jefferson 08/30/2006 Phoenix $205,600.00 $109,250.00 $205,600.00 -$96,350.00 1.88 At The Main Entrance Of The Superior Court Building 201 West Jefferson Phoenix Az 10/25/2005 $840,000.00 $699,200.00 $840,000.00 -$140,800.00 1.2 At The Main Entrance Of The Superior Court Building 201 West Jefferson Phoenix Az 10/29/2007 $233,000.00 $182,875.00 $233,000.00 -$50,125.00 1.27 At The Main Entrance Of The Superior Court Building 201 West Jefferson Phoenix Az $141,000.00 $98,325.00 $141,000.00 -$42,675.00 1.43 At The Main Entrance Of The Superior Court Building 201 West Jefferson Phoenix Az $150,800.00 $126,350.00 $150,800.00 -$24,450.00 1.19 Office Of Michael A. Bosco Jr. $380,000.00 $216,125.00 $380,000.00 -$163,875.00 1.76 At The Main Entrance Of The Superior Court Building 201 West Jefferson Phoenix Az 10/31/2006 $205,600.00 $132,050.00 $205,600.00 -$73,550.00 1.56 At The Main Entrance Of The Superior Court Building 201 West Jefferson Phoenix Az 11/04/2005 $144,400.00 $100,700.00 $144,400.00 -$43,700.00 1.43 Office Of Michael A. Bosco Jr. $188,600.00 $179,858.00 $188,600.00 -$8,742.00 1.05 At The Main Entrance Of The Superior Court Building 201 West Jefferson Phoenix Az 03/20/2006 $361,000.00 $157,700.00 $361,000.00 -$203,300.00 2.29 At The Main Entrance Of The Superior Court Building 201 West Jefferson Phoenix Az 12/04/2006 $476,000.00 $356,250.00 $476,000.00 -$119,750.00 1.34 At The Main Entrance Of The Superior Court Building 201 West Jefferson Phoenix Az $1,360,000.00 $1,103,900.00 $1,360,000.00 -$256,100.00 1.23 At The Steps At The Front Entrance Of The Superior Court Building 201 West Jefferson Phoenix Arizona 08/12/2005 $125,000.00 $125,000.00 At The Main Entrance Of The Superior Court Building 201 West Jefferson Phoenix Az 07/21/2005 $148,000.00 $66,975.00 $148,000.00 -$81,025.00 2.21 At The Main Entrance Of The Superior Court Building 201 West Jefferson Phoenix Az 04/30/2001 $176,000.00 $390,925.00 $176,000.00 $214,925.00 0.45 At The Main Entrance Of The Superior Court Building 201 West Jefferson Phoenix Az 11/29/2005 $140,000.00 $120,650.00 $140,000.00 -$19,350.00 1.16 At The Main Entrance Of The Superior Court Building 201 West Jefferson Phoenix Az 01/31/2006 $273,000.00 $210,425.00 $273,000.00 -$62,575.00 1.3 Office Of Michael A. Bosco Jr. $1,920,000.00 $1,320,500.00 $1,920,000.00 -$599,500.00 1.45 At The Main Entrance Of The Superior Court Building 201 West Jefferson Phoenix Arizona 05/17/2006 $233,200.00 $117,325.00 $233,200.00 -$115,875.00 1.99 In The Courtyard By The Main Entrance To The Superior Court Building 201 West Jefferson 05/19/2008 Phoenix $226,446.00 $152,000.00 $226,446.00 -$74,446.00 1.49 At The Steps At The Front Entrance Of The Superior Court Building 201 West Jefferson Phoenix Arizona 10/16/2006 $115,000.00 $83,125.00 $115,000.00 -$31,875.00 1.38 In The Courtyard By The Main Entrance To The Superior Court Building 201 West Jefferson 02/02/2007 Phoenix $148,800.00 $92,150.00 $148,800.00 -$56,650.00 1.62 At The Main Entrance Of The Superior Court Building 201 West Jefferson Phoenix Az $202,000.00 $152,950.00 $202,000.00 -$49,050.00 1.32 At The Steps At The Front Entrance Of The Superior Court Building 201 West Jefferson Phoenix Arizona 11/27/2006 $367,000.00 $108,775.00 $367,000.00 -$258,225.00 3.37 Office Of Michael A. Bosco Jr. $215,920.00 $120,650.00 $215,920.00 -$95,270.00 1.79 Office Of Michael A. Bosco Jr. $320,000.00 $266,000.00 $320,000.00 -$54,000.00 1.2 At The Main Entrance Of The Superior Court Building 201 West Jefferson Phoenix Az 08/28/2007 $190,750.00 $177,650.00 $190,750.00 -$13,100.00 1.07 Office Of Michael A. Bosco Jr. $244,000.00 $166,725.00 $244,000.00 -$77,275.00 1.46 Office Of Michael A. Bosco Jr. $272,800.00 $277,875.00 $272,800.00 $5,075.00 0.98 At The Main Entrance Of The Superior Court Building 201 West Jefferson Phoenix Az 03/30/2007 $320,000.00 $199,975.00 $320,000.00 -$120,025.00 1.6 Office Of Michael A. Bosco Jr. $258,000.00 $128,725.00 $258,000.00 -$129,275.00 2 At The Main Entrance Of The Superior Court Building 201 West Jefferson Phoenix Az 12/30/2004 $122,850.00 $104,975.00 $122,850.00 -$17,875.00 1.17 At The Main Entrance Of The Superior Court Building 201 West Jefferson Phoenix Az 02/13/2006 $199,200.00 $169,575.00 $199,200.00 -$29,625.00 1.18 At The Main Entrance Of The Superior Court Building 201 West Jefferson Phoenix Az $299,640.00 $167,200.00 $299,640.00 -$132,440.00 1.79 At The Main Entrance Of The Superior Court Building 201 West Jefferson Phoenix Az 10/09/2007 $277,000.00 $128,725.00 $277,000.00 -$148,275.00 2.15 Office Of Michael A. Bosco Jr. $223,000.00 $163,875.00 $223,000.00 -$59,125.00 1.36 At The Main Entrance Of The Superior Court Building 201 West Jefferson Phoenix Az 06/03/2005 $127,000.00 $162,450.00 $127,000.00 $35,450.00 0.78 At The Main Entrance Of The Superior Court Building 201 West Jefferson Phoenix Az $2,400,190.00 $962,825.00 $2,400,190.00 -$1,437,365.00 2.49 Law Offices Of Perry & Shapiro $5.00 $130,150.00 $5.00 $130,145.00 0 At The Main Entrance Of The Superior Court Building 201 West Jefferson Phoenix Az 05/30/2006 $280,000.00 $208,525.00 $280,000.00 -$71,475.00 1.34 At The Main Entrance Of The Superior Court Building 201 West Jefferson Phoenix Az $182,650.00 $124,925.00 $182,650.00 -$57,725.00 1.46 At The Main Entrance Of The Superior Court Building 201 West Jefferson Phoenix Az $1,192,000.00 $579,025.00 $1,192,000.00 -$612,975.00 2.06 Law Offices Of Perry & Shapiro $100,000.00 $105,925.00 $100,000.00 $5,925.00 0.94 At The Main Entrance Of The Superior Court Building 201 West Jefferson Phoenix Az $500,000.00 $346,750.00 $500,000.00 -$153,250.00 1.44 Office Of Michael A. Bosco Jr. $240,000.00 $224,200.00 $240,000.00 -$15,800.00 1.07 Law Offices Of Perry & Shapiro $165,700.00 $118,750.00 $165,700.00 -$46,950.00 1.4 Office Of Michael A. Bosco Jr. $138,160.00 $102,600.00 $138,160.00 -$35,560.00 1.35 At The Main Entrance Of The Superior Court Building 201 West Jefferson Phoenix Az 02/26/2008 $236,250.00 $195,225.00 $236,250.00 -$41,025.00 1.21 In The Courtyard By The Main Entrance To The Superior Court Building 201 West Jefferson 12/23/2005 Phoenix $237,750.00 $238,450.00 $237,750.00 $700.00 1 Office Of Michael A. Bosco Jr. $140,000.00 $91,675.00 $140,000.00 -$48,325.00 1.53 Office Of Michael A. Bosco Jr. $86,250.00 $123,025.00 $86,250.00 $36,775.00 0.7 Office Of Michael A. Bosco Jr. $183,000.00 $144,875.00 $183,000.00 -$38,125.00 1.26 Page 67
  • 68.
    Pre-foreclosure List Maricopa County Week Ending 11/2 At The Steps At The Front Entrance Of The Superior Court Building 201 West Jefferson Phoenix Arizona 07/26/2006 $272,000.00 $272,000.00 At The Steps At The Front Entrance Of The Superior Court Building 201 West Jefferson Phoenix Arizona 01/04/2006 $382,500.00 $254,600.00 $382,500.00 -$127,900.00 1.5 Office Of Michael A. Bosco Jr. $174,400.00 $116,850.00 $174,400.00 -$57,550.00 1.49 Office Of Michael A. Bosco Jr. $106,857.00 $108,300.00 $106,857.00 $1,443.00 0.99 At The Main Entrance Of The Superior Court Building 201 West Jefferson Phoenix Az 02/28/2007 $161,000.00 $115,900.00 $161,000.00 -$45,100.00 1.39 At The Main Entrance Of The Superior Court Building 201 West Jefferson Phoenix Az $192,757.00 $109,725.00 $192,757.00 -$83,032.00 1.76 At The Main Entrance Of The Superior Court Building 201 West Jefferson Phoenix Az 04/16/2007 $265,500.00 $120,175.00 $265,500.00 -$145,325.00 2.21 Office Of Michael A. Bosco Jr. $294,060.00 $286,900.00 $294,060.00 -$7,160.00 1.03 Office Of Michael A. Bosco Jr. $222,600.00 $164,350.00 $222,600.00 -$58,250.00 1.35 At The Main Entrance Of The Superior Court Building 201 West Jefferson Phoenix Arizona 04/10/2006 $376,000.00 $239,400.00 $376,000.00 -$136,600.00 1.57 At The Main Entrance Of The Superior Court Building 201 West Jefferson Phoenix Az 03/26/2007 $246,350.00 $151,050.00 $246,350.00 -$95,300.00 1.63 At The Main Entrance To The Superior Courts Building 201 W. Jefferson Phoenix Az. $144,000.00 $90,725.00 $144,000.00 -$53,275.00 1.59 Office Of Michael A. Bosco Jr. $207,000.00 $152,950.00 $207,000.00 -$54,050.00 1.35 At The Main Entrance Of The Superior Court Building 201 West Jefferson Phoenix Az 09/07/2007 $185,250.00 $85,025.00 $185,250.00 -$100,225.00 2.18 At The Main Entrance Of The Superior Court Building 201 West Jefferson Phoenix Az 05/30/2007 $200,000.00 $126,350.00 $200,000.00 -$73,650.00 1.58 At The Main Entrance Of The Superior Court Building 201 West Jefferson Phoenix Az $168,000.00 $101,650.00 $168,000.00 -$66,350.00 1.65 At The Steps At The Front Entrance Of The Superior Court Building 201 West Jefferson Phoenix Arizona 01/10/2007 $195,000.00 $115,425.00 $195,000.00 -$79,575.00 1.69 At The Main Entrance Of The Superior Court Building 201 West Jefferson Phoenix Az 12/08/2005 $391,300.00 $308,275.00 $391,300.00 -$83,025.00 1.27 Office Of Michael A. Bosco Jr. $304,000.00 $189,525.00 $304,000.00 -$114,475.00 1.6 At The Main Entrance Of The Superior Court Building 201 West Jefferson Phoenix Az 07/03/2007 $315,000.00 $187,150.00 $315,000.00 -$127,850.00 1.68 At The Main Entrance Of The Superior Court Building 201 West Jefferson Phoenix Az 04/11/2006 $220,000.00 $145,350.00 $220,000.00 -$74,650.00 1.51 Office Of Michael A. Bosco Jr. $138,000.00 $109,725.00 $138,000.00 -$28,275.00 1.26 At The Main Entrance Of The Superior Court Building 201 West Jefferson Phoenix Az 02/06/2008 $236,000.00 $150,100.00 $236,000.00 -$85,900.00 1.57 At The Main Entrance Of The Superior Court Building 201 West Jefferson Phoenix Az $198,600.00 $155,800.00 $198,600.00 -$42,800.00 1.28 In The Courtyard By The Main Entrance To The Superior Court Building 201 West Jefferson 08/09/2006 Phoenix $240,000.00 $166,725.00 $240,000.00 -$73,275.00 1.44 At The Main Entrance Of The Superior Court Building 201 West Jefferson Phoenix Az $757,700.00 $524,400.00 $757,700.00 -$233,300.00 1.45 At The Main Entrance Of The Superior Court Building 201 West Jefferson Phoenix Az 03/30/2006 $224,485.00 $128,250.00 $224,485.00 -$96,235.00 1.75 At The Main Entrance Of The Superior Court Building 201 West Jefferson Phoenix Arizona 12/06/2007 $222,550.00 $144,875.00 $222,550.00 -$77,675.00 1.54 At The Main Entrance Of The Superior Court Building 201 West Jefferson Phoenix Az 11/05/2007 $240,000.00 $195,700.00 $240,000.00 -$44,300.00 1.23 In The Courtyard By The Main Entrance To The Superior Court Building 201 West Jefferson 05/31/2006 Phoenix $303,000.00 $142,500.00 $303,000.00 -$160,500.00 2.13 Law Offices Of Perry & Shapiro $248,000.00 $136,800.00 $248,000.00 -$111,200.00 1.81 Office Of Michael A. Bosco Jr. $148,000.00 $103,550.00 $148,000.00 -$44,450.00 1.43 At The Main Entrance Of The Superior Court Building 201 West Jefferson Phoenix Az 07/11/2008 $183,207.00 $118,750.00 $183,207.00 -$64,457.00 1.54 At The Steps At The Front Entrance Of The Superior Court Building 201 West Jefferson Phoenix Arizona 12/20/2006 $192,000.00 $112,100.00 $192,000.00 -$79,900.00 1.71 Office Of Michael A. Bosco Jr. $233,000.00 $315,400.00 $233,000.00 $82,400.00 0.74 At The Main Entrance Of The Superior Court Building 201 West Jefferson Phoenix Az $444,900.00 $272,175.00 $444,900.00 -$172,725.00 1.64 At The Main Entrance Of The Superior Court Building 201 West Jefferson Phoenix Az $350,000.00 $223,725.00 $350,000.00 -$126,275.00 1.56 At The Steps At The Front Entrance Of The Superior Court Building 201 West Jefferson Phoenix Arizona 12/18/2006 $198,000.00 $139,175.00 $198,000.00 -$58,825.00 1.42 At The Main Entrance Of The Superior Court Building 201 West Jefferson Phoenix Az 01/19/2006 $175,400.00 $109,250.00 $175,400.00 -$66,150.00 1.61 Office Of Michael A. Bosco Jr. $114,251.00 $144,875.00 $114,251.00 $30,624.00 0.79 At The Main Entrance Of The Superior Court Building 201 West Jefferson Phoenix Az 09/28/2006 $580,400.00 $446,025.00 $580,400.00 -$134,375.00 1.3 Office Of Michael A. Bosco Jr. $180,000.00 $123,500.00 $180,000.00 -$56,500.00 1.46 Office Of Michael A. Bosco Jr. $251,048.00 $162,450.00 $251,048.00 -$88,598.00 1.55 At The Steps At The Front Entrance Of The Superior Court Building 201 West Jefferson Phoenix Arizona 01/24/2008 $192,700.00 $121,125.00 $192,700.00 -$71,575.00 1.59 At The Main Entrance Of The Superior Court Building 201 West Jefferson Phoenix Az 10/06/2006 $180,000.00 $130,625.00 $180,000.00 -$49,375.00 1.38 Office Of Michael A. Bosco Jr. $92,000.00 $96,900.00 $92,000.00 $4,900.00 0.95 Office Of Michael A. Bosco Jr. $252,152.00 $203,775.00 $252,152.00 -$48,377.00 1.24 Office Of Michael A. Bosco Jr. $36,000.00 $52,725.00 $36,000.00 $16,725.00 0.68 Office Of Michael A. Bosco Jr. $36,000.00 $48,450.00 $36,000.00 $12,450.00 0.74 At The Main Entrance Of The Superior Court Building 201 West Jefferson Phoenix Az $306,855.00 $195,225.00 $306,855.00 -$111,630.00 1.57 At The Main Entrance Of The Superior Court Building 201 West Jefferson Phoenix Az 10/01/2007 $269,970.00 $124,450.00 $269,970.00 -$145,520.00 2.17 At The Main Entrance Of The Superior Court Building 201 West Jefferson Phoenix Az 04/09/2008 $265,000.00 $239,875.00 $265,000.00 -$25,125.00 1.11 At The Main Entrance Of The Superior Court Building 201 West Jefferson Phoenix Az 05/24/2006 $195,920.00 $117,325.00 $195,920.00 -$78,595.00 1.67 Office Of Michael A. Bosco Jr. $348,500.00 $267,425.00 $348,500.00 -$81,075.00 1.3 At The Main Entrance To The Superior Courts Building 201 W. Jefferson Phoenix Az. $392,000.00 $288,800.00 $392,000.00 -$103,200.00 1.36 At The Main Entrance Of The Superior Court Building 201 West Jefferson Phoenix Az 02/28/2007 $373,300.00 $195,225.00 $373,300.00 -$178,075.00 1.91 Office Of Michael A. Bosco Jr. $190,850.00 $191,900.00 $190,850.00 $1,050.00 1 Page 68
  • 69.
    Pre-foreclosure List Maricopa County Week Ending 11/2 Office Of Michael A. Bosco Jr. $143,920.00 $107,825.00 $143,920.00 -$36,095.00 1.34 Office Of Michael A. Bosco Jr. $266,000.00 $138,700.00 $266,000.00 -$127,300.00 1.92 Law Offices Of Perry & Shapiro $300,000.00 $232,780.00 $300,000.00 -$67,220.00 1.29 Office Of Michael A. Bosco Jr. $335,599.00 $212,325.00 $335,599.00 -$123,274.00 1.58 In The Courtyard By The Main Entrance To The Superior Court Building 201 West Jefferson 10/03/2005 Phoenix $259,920.00 $207,100.00 $259,920.00 -$52,820.00 1.26 At The Main Entrance Of The Superior Court Building 201 West Jefferson Phoenix Az 05/24/2007 $167,000.00 $98,325.00 $167,000.00 -$68,675.00 1.7 At The Main Entrance Of The Superior Court Building 201 West Jefferson Phoenix Az 10/27/2008 $164,000.00 $184,775.00 $164,000.00 $20,775.00 0.89 Law Offices Of Perry & Shapiro $115,000.00 $95,950.00 $115,000.00 -$19,050.00 1.2 At The Main Entrance Of The Superior Court Building 201 West Jefferson Phoenix Arizona 09/10/2003 $234,950.00 $240,350.00 $234,950.00 $5,400.00 0.98 Office Of Michael A. Bosco Jr. $228,000.00 $135,850.00 $228,000.00 -$92,150.00 1.68 Office Of Michael A. Bosco Jr. $195,000.00 $251,774.00 $195,000.00 $56,774.00 0.78 Office Of Michael A. Bosco Jr. $181,600.00 $141,075.00 $181,600.00 -$40,525.00 1.29 At The Main Entrance Of The Superior Court Building 201 West Jefferson Phoenix Az 03/20/2006 $260,000.00 $138,225.00 $260,000.00 -$121,775.00 1.88 At The Main Entrance Of The Superior Court Building 201 West Jefferson Phoenix Az $257,400.00 $157,225.00 $257,400.00 -$100,175.00 1.64 At The Main Entrance Of The Superior Court Building 201 West Jefferson Phoenix Az $121,591.00 $112,100.00 $121,591.00 -$9,491.00 1.09 At The Main Entrance Of The Superior Court Building 201 West Jefferson Phoenix Az $2,000,000.00 $1,313,375.00 $2,000,000.00 -$686,625.00 1.52 At The Main Entrance Of The Superior Court Building 201 West Jefferson Phoenix Az $335,750.00 $212,325.00 $335,750.00 -$123,425.00 1.58 At The Main Entrance Of The Superior Court Building 201 West Jefferson Phoenix Az $83,180.00 $109,250.00 $83,180.00 $26,070.00 0.76 At The Main Entrance Of The Superior Court Building 201 West Jefferson Phoenix Az 01/04/2007 $440,000.00 $440,000.00 Law Offices Of Perry & Shapiro $160,000.00 $102,600.00 $160,000.00 -$57,400.00 1.56 At The Main Entrance Of The Superior Court Building 201 West Jefferson Phoenix Az 11/28/2005 $247,997.00 $144,875.00 $247,997.00 -$103,122.00 1.71 Office Of Michael A. Bosco Jr. $163,000.00 $141,550.00 $163,000.00 -$21,450.00 1.15 At The Main Entrance Of The Superior Court Building 201 West Jefferson Phoenix Az 06/07/2007 $109,200.00 $186,675.00 $109,200.00 $77,475.00 0.59 In The Courtyard By The Main Entrance To The Superior Court Building 201 West Jefferson 02/08/2007 Phoenix $177,400.00 $101,175.00 $177,400.00 -$76,225.00 1.75 At The Main Entrance Of The Superior Court Building 201 West Jefferson Phoenix Az 03/27/2007 $258,471.00 $115,425.00 $258,471.00 -$143,046.00 2.24 At The Main Entrance Of The Superior Court Building 201 West Jefferson Phoenix Arizona 11/02/2006 $190,000.00 $156,275.00 $190,000.00 -$33,725.00 1.22 At The Main Entrance Of The Superior Court Building 201 West Jefferson Phoenix Az 11/21/2006 $288,750.00 $184,300.00 $288,750.00 -$104,450.00 1.57 Office Of Michael A. Bosco Jr. $340,000.00 $256,500.00 $340,000.00 -$83,500.00 1.33 Office Of Michael A. Bosco Jr. $363,750.00 $236,550.00 $363,750.00 -$127,200.00 1.54 At The Main Entrance Of The Superior Court Building 201 West Jefferson Phoenix Az 08/31/2006 $164,000.00 $98,800.00 $164,000.00 -$65,200.00 1.66 In The Courtyard By The Main Entrance To The Superior Court Building 201 West Jefferson 08/17/2005 Phoenix $115,050.00 $83,125.00 $115,050.00 -$31,925.00 1.38 Office Of Michael A. Bosco Jr. $225,000.00 $191,900.00 $225,000.00 -$33,100.00 1.17 Office Of Michael A. Bosco Jr. $221,350.00 $171,475.00 $221,350.00 -$49,875.00 1.29 Law Offices Of Perry & Shapiro $417,000.00 $454,575.00 $417,000.00 $37,575.00 0.92 At The Main Entrance Of The Superior Court Building 201 West Jefferson Phoenix Az 05/16/2007 $163,351.00 $79,800.00 $163,351.00 -$83,551.00 2.05 At The Main Entrance Of The Superior Court Building 201 West Jefferson Phoenix Az $91,200.00 $0.00 Office Of Michael A. Bosco Jr. $182,700.00 $95,000.00 $182,700.00 -$87,700.00 1.92 In The Courtyard By The Main Entrance To The Superior Court Building 201 West Jefferson 10/06/2006 Phoenix $240,000.00 $152,950.00 $240,000.00 -$87,050.00 1.57 Office Of Michael A. Bosco Jr. $417,000.00 $247,475.00 $417,000.00 -$169,525.00 1.69 Law Offices Of Perry & Shapiro $303,987.00 $180,975.00 $303,987.00 -$123,012.00 1.68 Law Offices Of Perry & Shapiro $148,500.00 $100,700.00 $148,500.00 -$47,800.00 1.48 At The Main Entrance Of The Superior Court Building 201 West Jefferson Phoenix Az $156,632.00 $132,724.00 $156,632.00 -$23,908.00 1.18 Office Of Michael A. Bosco Jr. $257,450.00 $217,912.00 $257,450.00 -$39,538.00 1.18 In The Courtyard By The Main Entrance To The Superior Court Building 201 West Jefferson 12/12/2005 Phoenix $308,000.00 $276,925.00 $308,000.00 -$31,075.00 1.11 Office Of Michael A. Bosco Jr. $60,700.00 $88,350.00 $60,700.00 $27,650.00 0.69 At The Main Entrance Of The Superior Court Building 201 West Jefferson Phoenix Az 05/01/2006 $226,352.00 $146,300.00 $226,352.00 -$80,052.00 1.55 At The Main Entrance Of The Superior Court Building 201 West Jefferson Phoenix Az 11/05/2004 $124,000.00 $123,500.00 $124,000.00 -$500.00 1 Office Of Michael A. Bosco Jr. $308,180.00 $222,775.00 $308,180.00 -$85,405.00 1.38 Office Of Michael A. Bosco Jr. $154,708.00 $133,950.00 $154,708.00 -$20,758.00 1.16 At The Main Entrance To The Superior Courts Building 201 W. Jefferson Phoenix Az. $263,150.00 $180,025.00 $263,150.00 -$83,125.00 1.46 At The Main Entrance Of The Superior Court Building 201 West Jefferson Phoenix Az $153,600.00 $123,025.00 $153,600.00 -$30,575.00 1.25 At The Main Entrance Of The Superior Court Building 201 West Jefferson Phoenix Az $83,000.00 $84,075.00 $83,000.00 $1,075.00 0.99 Law Offices Of Perry & Shapiro $168,000.00 $91,200.00 $168,000.00 -$76,800.00 1.84 At The Main Entrance Of The Superior Court Building 201 West Jefferson Phoenix Az $224,000.00 $124,925.00 $224,000.00 -$99,075.00 1.79 Office Of Michael A. Bosco Jr. $239,000.00 $136,800.00 $239,000.00 -$102,200.00 1.75 Office Of Michael A. Bosco Jr. $237,000.00 $284,050.00 $237,000.00 $47,050.00 0.83 Office Of Michael A. Bosco Jr. $210,000.00 $151,050.00 $210,000.00 -$58,950.00 1.39 Page 69
  • 70.
    Pre-foreclosure List Maricopa County Week Ending 11/2 Office Of Michael A. Bosco Jr. $113,881.00 $123,975.00 $113,881.00 $10,094.00 0.92 In The Courtyard By The Main Entrance To The Superior Court Building 201 West Jefferson 09/27/2006 Phoenix $170,000.00 $86,925.00 $170,000.00 -$83,075.00 1.96 At The Main Entrance Of The Superior Court Building 201 West Jefferson Phoenix Az 03/02/2006 $112,000.00 $139,175.00 $112,000.00 $27,175.00 0.81 Office Of Michael A. Bosco Jr. $184,000.00 $149,625.00 $184,000.00 -$34,375.00 1.23 In The Courtyard By The Main Entrance To The Superior Court Building 201 West Jefferson 09/28/2006 Phoenix $185,600.00 $129,675.00 $185,600.00 -$55,925.00 1.43 At The Steps At The Front Entrance Of The Superior Court Building 201 West Jefferson Phoenix Arizona 06/26/2006 $175,000.00 $116,375.00 $175,000.00 -$58,625.00 1.5 Law Offices Of Perry & Shapiro $167,000.00 $109,725.00 $167,000.00 -$57,275.00 1.52 At The Main Entrance Of The Superior Court Building 201 West Jefferson Phoenix Az 06/25/2007 $135,000.00 $88,825.00 $135,000.00 -$46,175.00 1.52 Law Offices Of Perry & Shapiro $174,404.00 $163,400.00 $174,404.00 -$11,004.00 1.07 At The Main Entrance Of The Superior Court Building 201 West Jefferson Phoenix Az $280,000.00 $150,575.00 $280,000.00 -$129,425.00 1.86 At The Main Entrance Of The Superior Court Building 201 West Jefferson Phoenix Az $165,000.00 $87,400.00 $165,000.00 -$77,600.00 1.89 Office Of Michael A. Bosco Jr. $131,129.00 $92,150.00 $131,129.00 -$38,979.00 1.42 At The Main Entrance Of The Superior Court Building 201 West Jefferson Phoenix Az $120,000.00 $87,875.00 $120,000.00 -$32,125.00 1.37 At The Main Entrance Of The Superior Court Building 201 West Jefferson Phoenix Az 11/23/2005 $388,000.00 $268,375.00 $388,000.00 -$119,625.00 1.45 At The Main Entrance Of The Superior Court Building 201 West Jefferson Phoenix Arizona 02/07/2007 $261,000.00 $159,125.00 $261,000.00 -$101,875.00 1.64 At The Main Entrance Of The Superior Court Building 201 West Jefferson Phoenix Az 08/18/2006 $158,400.00 $93,575.00 $158,400.00 -$64,825.00 1.69 In The Courtyard By The Main Entrance To The Superior Court Building 201 West Jefferson 02/27/2007 Phoenix $196,800.00 $158,650.00 $196,800.00 -$38,150.00 1.24 At The Main Entrance Of The Superior Court Building 201 West Jefferson Phoenix Az 06/25/2007 $279,755.00 $179,075.00 $279,755.00 -$100,680.00 1.56 Office Of Michael A. Bosco Jr. $186,300.00 $130,150.00 $186,300.00 -$56,150.00 1.43 Front Lobby Of Jaburg & Wilk $172,800.00 $173,375.00 $172,800.00 $575.00 1 At The Main Entrance To The Superior Courts Building 201 W. Jefferson Phoenix Az. $106,305.00 $50,825.00 $106,305.00 -$55,480.00 2.09 At The Main Entrance Of The Superior Court Building 201 West Jefferson Phoenix Az $299,250.00 $171,950.00 $299,250.00 -$127,300.00 1.74 Office Of Michael A. Bosco Jr. $223,920.00 $138,225.00 $223,920.00 -$85,695.00 1.62 At The Main Entrance Of The Superior Court Building 201 West Jefferson Phoenix Az $204,850.00 $151,525.00 $204,850.00 -$53,325.00 1.35 Security Title Agency $176,000.00 $126,350.00 $176,000.00 -$49,650.00 1.39 Law Offices Of Perry & Shapiro $202,400.00 $110,675.00 $202,400.00 -$91,725.00 1.83 At The Main Entrance Of The Superior Court Building 201 West Jefferson Phoenix Az 10/25/2007 $220,500.00 $182,875.00 $220,500.00 -$37,625.00 1.21 Law Offices Of Perry & Shapiro $209,000.00 $126,350.00 $209,000.00 -$82,650.00 1.65 Office Of Michael A. Bosco Jr. $225,250.00 $135,850.00 $225,250.00 -$89,400.00 1.66 At The Main Entrance Of The Superior Court Building 201 West Jefferson Phoenix Az 02/23/2007 $98,400.00 $86,450.00 $98,400.00 -$11,950.00 1.14 Front Lobby Of Jaburg & Wilk $169,000.00 $112,575.00 $169,000.00 -$56,425.00 1.5 At The Main Entrance Of The Superior Court Building 201 West Jefferson Phoenix Az 12/14/2007 $192,970.00 $191,425.00 $192,970.00 -$1,545.00 1.01 Law Offices Of Perry & Shapiro $592,000.00 $496,375.00 $592,000.00 -$95,625.00 1.19 At The Main Entrance Of The Superior Court Building 201 West Jefferson Phoenix Az 01/19/2007 $201,600.00 $134,900.00 $201,600.00 -$66,700.00 1.49 At The Main Entrance Of The Superior Court Building 201 West Jefferson Phoenix Az 08/31/2006 $212,000.00 $187,150.00 $212,000.00 -$24,850.00 1.13 At The Main Entrance Of The Superior Court Building 201 West Jefferson Phoenix Az 06/26/2006 $224,500.00 $189,050.00 $224,500.00 -$35,450.00 1.19 At The Main Entrance Of The Superior Court Building 201 West Jefferson Phoenix Az 06/20/2008 $247,812.00 $192,850.00 $247,812.00 -$54,962.00 1.29 At The Main Entrance Of The Superior Court Building 201 West Jefferson Phoenix Az $79,100.00 $105,925.00 $79,100.00 $26,825.00 0.75 At The Main Entrance Of The Superior Court Building 201 West Jefferson Phoenix Az 07/18/2006 $228,000.00 $137,275.00 $228,000.00 -$90,725.00 1.66 Law Offices Of Perry & Shapiro $152,670.00 $106,400.00 $152,670.00 -$46,270.00 1.44 At The Main Entrance Of The Superior Court Building 201 West Jefferson Phoenix Az $233,000.00 $230,547.00 $233,000.00 -$2,453.00 1.01 Office Of Michael A. Bosco Jr. $185,500.00 $117,325.00 $185,500.00 -$68,175.00 1.58 Office Of Michael A. Bosco Jr. $417,000.00 $443,693.00 $417,000.00 $26,693.00 0.94 Office Of Michael A. Bosco Jr. $81,700.00 $57,950.00 $81,700.00 -$23,750.00 1.41 At The Main Entrance Of The Superior Court Building 201 West Jefferson Phoenix Az 05/10/2006 $129,600.00 $79,800.00 $129,600.00 -$49,800.00 1.62 At The Main Entrance Of The Superior Court Building 201 West Jefferson Phoenix Az $123,000.00 $104,975.00 $123,000.00 -$18,025.00 1.17 At The Main Entrance Of The Superior Court Building 201 West Jefferson Phoenix Az 03/14/2007 $280,000.00 $226,575.00 $280,000.00 -$53,425.00 1.24 In The Courtyard By The Main Entrance To The Superior Court Building 201 West Jefferson 03/02/2007 Phoenix $266,400.00 $208,525.00 $266,400.00 -$57,875.00 1.28 Law Offices Of Perry & Shapiro $240,000.00 $239,875.00 $240,000.00 -$125.00 1 Office Of Michael A. Bosco Jr. $324,000.00 $306,850.00 $324,000.00 -$17,150.00 1.06 At The Main Entrance Of The Superior Court Building 201 West Jefferson Phoenix Az 06/04/2004 $83,000.00 $87,875.00 $83,000.00 $4,875.00 0.95 At The Main Entrance Of The Superior Court Building 201 West Jefferson Phoenix Az 02/22/2005 $189,000.00 $180,500.00 $189,000.00 -$8,500.00 1.05 At The Main Entrance Of The Superior Court Building 201 West Jefferson Phoenix Az 01/22/2007 $181,500.00 $124,450.00 $181,500.00 -$57,050.00 1.46 Office Of Michael A. Bosco Jr. $240,000.00 $122,550.00 $240,000.00 -$117,450.00 1.96 Law Offices Of Perry & Shapiro $245,408.00 $152,950.00 $245,408.00 -$92,458.00 1.6 Law Offices Of Perry & Shapiro $164,400.00 $123,025.00 $164,400.00 -$41,375.00 1.34 Office Of Michael A. Bosco Jr. $191,920.00 $189,145.00 $191,920.00 -$2,775.00 1.02 Page 70
  • 71.
    Pre-foreclosure List Maricopa County Week Ending 11/2 At The Main Entrance Of The Superior Court Building 201 West Jefferson Phoenix Az 05/08/2006 $200,000.00 $340,100.00 $200,000.00 $140,100.00 0.59 At The Main Entrance Of The Superior Court Building 201 West Jefferson Phoenix Az 08/16/2007 $135,900.00 $133,160.00 $135,900.00 -$2,740.00 1.02 At The Main Entrance Of The Superior Court Building 201 West Jefferson Phoenix Az 10/18/2006 $147,250.00 $99,750.00 $147,250.00 -$47,500.00 1.48 At The Main Entrance Of The Superior Court Building 201 West Jefferson Phoenix Az $165,008.00 $121,125.00 $165,008.00 -$43,883.00 1.36 Office Of Michael A. Bosco Jr. $77,990.00 $72,675.00 $77,990.00 -$5,315.00 1.07 In The Courtyard By The Main Entrance To The Superior Court Building 201 West Jefferson 04/26/2005 Phoenix $205,000.00 $206,625.00 $205,000.00 $1,625.00 0.99 At The Main Entrance Of The Superior Court Building 201 West Jefferson Phoenix Az $161,000.00 $163,875.00 $161,000.00 $2,875.00 0.98 At The Main Entrance Of The Superior Court Building 201 West Jefferson Phoenix Az $196,000.00 $135,850.00 $196,000.00 -$60,150.00 1.44 Law Offices Of Perry & Shapiro $187,000.00 $86,450.00 $187,000.00 -$100,550.00 2.16 Office Of Michael A. Bosco Jr. $158,300.00 $112,100.00 $158,300.00 -$46,200.00 1.41 At The Main Entrance Of The Superior Court Building 201 West Jefferson Phoenix Az $165,445.00 $129,675.00 $165,445.00 -$35,770.00 1.28 At The Steps At The Front Entrance Of The Superior Court Building 201 West Jefferson Phoenix Arizona 09/15/2006 $165,750.00 $87,875.00 $165,750.00 -$77,875.00 1.89 Security Title Agency $168,000.00 $145,825.00 $168,000.00 -$22,175.00 1.15 Office Of Michael A. Bosco Jr. $162,000.00 $96,425.00 $162,000.00 -$65,575.00 1.68 At The Main Entrance Of The Superior Court Building 201 West Jefferson Phoenix Az 08/24/2007 $169,000.00 $106,875.00 $169,000.00 -$62,125.00 1.58 Law Offices Of Perry & Shapiro $166,400.00 $107,825.00 $166,400.00 -$58,575.00 1.54 Office Of Michael A. Bosco Jr. $114,650.00 $108,300.00 $114,650.00 -$6,350.00 1.06 At The Main Entrance Of The Superior Court Building 201 West Jefferson Phoenix Az 11/22/2006 $150,750.00 $99,750.00 $150,750.00 -$51,000.00 1.51 Office Of Michael A. Bosco Jr. $102,500.00 $75,525.00 $102,500.00 -$26,975.00 1.36 At The Main Entrance Of The Superior Court Building 201 West Jefferson Phoenix Az 01/16/2004 $1.00 $106,400.00 $1.00 $106,399.00 0 At The Main Entrance Of The Superior Court Building 201 West Jefferson Phoenix Az 02/03/2006 $360,500.00 $285,950.00 $360,500.00 -$74,550.00 1.26 At The Main Entrance Of The Superior Court Building 201 West Jefferson Phoenix Az 10/18/2006 $252,000.00 $114,950.00 $252,000.00 -$137,050.00 2.19 Law Offices Of Perry & Shapiro $209,250.00 $229,028.00 $209,250.00 $19,778.00 0.91 Office Of Michael A. Bosco Jr. $168,000.00 $100,700.00 $168,000.00 -$67,300.00 1.67 Front Lobby Of Jaburg & Wilk $172,800.00 $85,975.00 $172,800.00 -$86,825.00 2.01 Law Offices Of Perry & Shapiro $136,000.00 $120,175.00 $136,000.00 -$15,825.00 1.13 At The Main Entrance Of The Superior Court Building 201 West Jefferson Phoenix Az $180,670.00 $97,850.00 $180,670.00 -$82,820.00 1.85 At The Main Entrance Of The Superior Court Building 201 West Jefferson Phoenix Az $212,500.00 $76,950.00 $212,500.00 -$135,550.00 2.76 At The Main Entrance Of The Superior Court Building 201 West Jefferson Phoenix Az 11/25/2002 $125,938.00 $110,675.00 $125,938.00 -$15,263.00 1.14 Office Of Michael A. Bosco Jr. $237,600.00 $153,425.00 $237,600.00 -$84,175.00 1.55 Office Of Michael A. Bosco Jr. $152,800.00 $137,750.00 $152,800.00 -$15,050.00 1.11 Office Of Michael A. Bosco Jr. $141,400.00 $123,025.00 $141,400.00 -$18,375.00 1.15 At The Main Entrance Of The Superior Court Building 201 West Jefferson Phoenix Az $182,650.00 $138,700.00 $182,650.00 -$43,950.00 1.32 At The Main Entrance Of The Superior Court Building 201 West Jefferson Phoenix Az $248,000.00 $183,825.00 $248,000.00 -$64,175.00 1.35 Law Offices Of Perry & Shapiro $116,850.00 $108,300.00 $116,850.00 -$8,550.00 1.08 At The Main Entrance Of The Superior Court Building 201 West Jefferson Phoenix Az $332,350.00 $200,925.00 $332,350.00 -$131,425.00 1.65 Security Title Agency $311,996.00 $293,240.00 $311,996.00 -$18,756.00 1.06 At The Main Entrance Of The Superior Court Building 201 West Jefferson Phoenix Az 04/27/2007 $186,200.00 $174,325.00 $186,200.00 -$11,875.00 1.07 Law Offices Of Perry & Shapiro $399,374.00 $205,200.00 $399,374.00 -$194,174.00 1.95 At The Main Entrance Of The Superior Court Building 201 West Jefferson Phoenix Az $690,000.00 $614,650.00 $690,000.00 -$75,350.00 1.12 At The Main Entrance Of The Superior Court Building 201 West Jefferson Phoenix Az 09/29/2006 $309,600.00 $299,516.00 $309,600.00 -$10,084.00 1.03 At The Steps At The Front Entrance Of The Superior Court Building 201 West Jefferson Phoenix Arizona 01/11/2005 $98,000.00 $97,850.00 $98,000.00 -$150.00 1 At The Main Entrance Of The Superior Court Building 201 West Jefferson Phoenix Az 04/23/2007 $731,804.00 $619,400.00 $731,804.00 -$112,404.00 1.18 At The Main Entrance Of The Superior Court Building 201 West Jefferson Phoenix Az 04/05/2006 $180,000.00 $108,300.00 $180,000.00 -$71,700.00 1.66 At The Main Entrance Of The Superior Court Building 201 West Jefferson Phoenix Az $25,125,000.00 $164,825.00 $25,125,000.00 -$24,960,175.00 152.43 At The Main Entrance Of The Superior Court Building 201 West Jefferson Phoenix Az 12/07/2004 $132,561.00 $107,825.00 $132,561.00 -$24,736.00 1.23 Front Lobby Of Jaburg & Wilk $285,600.00 $155,800.00 $285,600.00 -$129,800.00 1.83 In The Courtyard By The Main Entrance To The Superior Court Building 201 West Jefferson 06/29/2005 Phoenix $200,000.00 $168,150.00 $200,000.00 -$31,850.00 1.19 In The Courtyard By The Main Entrance To The Superior Court Building 201 West Jefferson 08/28/2007 Phoenix $194,118.00 $142,500.00 $194,118.00 -$51,618.00 1.36 At The Main Entrance Of The Superior Court Building 201 West Jefferson Phoenix Az 11/13/2006 $335,650.00 $160,075.00 $335,650.00 -$175,575.00 2.1 At The Main Entrance Of The Superior Court Building 201 West Jefferson Phoenix Az $626,700.00 $489,725.00 $626,700.00 -$136,975.00 1.28 Office Of Michael A. Bosco Jr. $120,000.00 $101,175.00 $120,000.00 -$18,825.00 1.19 At The Main Entrance Of The Superior Court Building 201 West Jefferson Phoenix Az $243,700.00 $132,050.00 $243,700.00 -$111,650.00 1.85 At The Main Entrance Of The Superior Court Building 201 West Jefferson Phoenix Az $150,400.00 $128,250.00 $150,400.00 -$22,150.00 1.17 Security Title Agency $6,150,000.00 $6,150,000.00 Law Offices Of Perry & Shapiro $290,000.00 $205,200.00 $290,000.00 -$84,800.00 1.41 At The Main Entrance Of The Superior Court Building 201 West Jefferson Phoenix Az 01/24/2006 $203,000.00 $123,025.00 $203,000.00 -$79,975.00 1.65 Page 71
  • 72.
    Pre-foreclosure List Maricopa County Week Ending 11/2 At The Main Entrance Of The Superior Court Building 201 West Jefferson Phoenix Az 12/05/2005 $204,000.00 $179,075.00 $204,000.00 -$24,925.00 1.14 Law Offices Of Perry & Shapiro $337,000.00 $168,150.00 $337,000.00 -$168,850.00 2 At The Main Entrance To The Superior Courts Building 201 W. Jefferson Phoenix Az. $172,000.00 $122,075.00 $172,000.00 -$49,925.00 1.41 Office Of Michael A. Bosco Jr. $314,400.00 $297,350.00 $314,400.00 -$17,050.00 1.06 At The Main Entrance Of The Superior Court Building 201 West Jefferson Phoenix Az 11/07/2008 $228,978.00 $201,875.00 $228,978.00 -$27,103.00 1.13 Front Lobby Of Jaburg & Wilk $750,000.00 $750,000.00 Office Of Michael A. Bosco Jr. $292,000.00 $189,050.00 $292,000.00 -$102,950.00 1.55 Law Offices Of Perry & Shapiro $400,000.00 $399,071.00 $400,000.00 -$929.00 1 Office Of Michael A. Bosco Jr. $160,000.00 $112,100.00 $160,000.00 -$47,900.00 1.43 Law Offices Of Perry & Shapiro $122,400.00 $85,500.00 $122,400.00 -$36,900.00 1.43 At The Main Entrance Of The Superior Court Building 201 West Jefferson Phoenix Az $78,125.00 $86,450.00 $78,125.00 $8,325.00 0.9 Office Of Michael A. Bosco Jr. $280,000.00 $209,950.00 $280,000.00 -$70,050.00 1.33 At The Main Entrance Of The Superior Court Building 201 West Jefferson Phoenix Az $207,200.00 $145,350.00 $207,200.00 -$61,850.00 1.43 Office Of Michael A. Bosco Jr. $148,000.00 $86,450.00 $148,000.00 -$61,550.00 1.71 At The Main Entrance Of The Superior Court Building 201 West Jefferson Phoenix Az 09/01/2006 $225,184.00 $211,850.00 $225,184.00 -$13,334.00 1.06 At The Main Entrance Of The Superior Court Building 201 West Jefferson Phoenix Az 09/16/2005 $1,029,000.00 $1,487,700.00 $1,029,000.00 $458,700.00 0.69 At The Main Entrance Of The Superior Court Building 201 West Jefferson Phoenix Az $260,000.00 $176,700.00 $260,000.00 -$83,300.00 1.47 Office Of Michael A. Bosco Jr. 10/16/2009 $228,800.00 $129,200.00 $228,800.00 -$99,600.00 1.77 Law Offices Of Perry & Shapiro $109,600.00 $173,375.00 $109,600.00 $63,775.00 0.63 Office Of Michael A. Bosco Jr. $149,200.00 $121,600.00 $149,200.00 -$27,600.00 1.23 Office Of Michael A. Bosco Jr. $224,100.00 $142,500.00 $224,100.00 -$81,600.00 1.57 Office Of Michael A. Bosco Jr. $160,000.00 $101,650.00 $160,000.00 -$58,350.00 1.57 At The Main Entrance To The Superior Courts Building 201 W. Jefferson Phoenix Az. $960,000.00 $741,475.00 $960,000.00 -$218,525.00 1.3 In The Courtyard By The Main Entrance To The Superior Court Building 201 West Jefferson 08/08/2005 Phoenix $310,000.00 $178,600.00 $310,000.00 -$131,400.00 1.74 At The Steps At The Front Entrance Of The Superior Court Building 201 West Jefferson Phoenix Arizona 03/13/2007 $315,200.00 $173,850.00 $315,200.00 -$141,350.00 1.81 At The Main Entrance Of The Superior Court Building 201 West Jefferson Phoenix Az $140,000.00 $119,700.00 $140,000.00 -$20,300.00 1.17 At The Steps At The Front Entrance Of The Superior Court Building 201 West Jefferson Phoenix Arizona 12/13/2005 $204,000.00 $136,325.00 $204,000.00 -$67,675.00 1.5 Office Of Michael A. Bosco Jr. $185,600.00 $137,275.00 $185,600.00 -$48,325.00 1.35 Law Offices Of Perry & Shapiro $182,000.00 $96,900.00 $182,000.00 -$85,100.00 1.88 At The Steps At The Front Entrance Of The Superior Court Building 201 West Jefferson Phoenix Arizona 06/09/2006 $166,000.00 $113,050.00 $166,000.00 -$52,950.00 1.47 At The Main Entrance Of The Superior Court Building 201 West Jefferson Phoenix Az 07/13/2007 $264,280.00 $184,300.00 $264,280.00 -$79,980.00 1.43 At The Main Entrance Of The Superior Court Building 201 West Jefferson Phoenix Az $1,552,000.00 $1,536,625.00 $1,552,000.00 -$15,375.00 1.01 At The Main Entrance Of The Superior Court Building 201 West Jefferson Phoenix Az 07/19/2007 $246,400.00 $112,100.00 $246,400.00 -$134,300.00 2.2 At The Main Entrance Of The Superior Court Building 201 West Jefferson Phoenix Az $92,900.00 $112,575.00 $92,900.00 $19,675.00 0.83 At The Main Entrance Of The Superior Court Building 201 West Jefferson Phoenix Az 05/10/2006 $208,500.00 $133,950.00 $208,500.00 -$74,550.00 1.56 Office Of Michael A. Bosco Jr. $199,681.00 $108,300.00 $199,681.00 -$91,381.00 1.84 Office Of Michael A. Bosco Jr. $215,700.00 $227,606.00 $215,700.00 $11,906.00 0.95 At The Main Entrance Of The Superior Court Building 201 West Jefferson Phoenix Az $90,400.00 $69,350.00 $90,400.00 -$21,050.00 1.3 At The Steps At The Front Entrance Of The Superior Court Building 201 West Jefferson Phoenix Arizona 12/14/2006 $229,500.00 $143,925.00 $229,500.00 -$85,575.00 1.6 Office Of Michael A. Bosco Jr. $198,000.00 $121,125.00 $198,000.00 -$76,875.00 1.64 Office Of Michael A. Bosco Jr. $197,000.00 $218,500.00 $197,000.00 $21,500.00 0.9 Office Of Michael A. Bosco Jr. $384,540.00 $161,025.00 $384,540.00 -$223,515.00 2.39 At The Steps At The Front Entrance Of The Superior Court Building 201 West Jefferson Phoenix Arizona 07/23/2007 $153,000.00 $128,324.00 $153,000.00 -$24,676.00 1.19 Office Of Michael A. Bosco Jr. $221,650.00 $174,969.00 $221,650.00 -$46,681.00 1.27 Law Offices Of Perry & Shapiro $210,400.00 $188,100.00 $210,400.00 -$22,300.00 1.12 Law Offices Of Perry & Shapiro $48,000.00 $67,925.00 $48,000.00 $19,925.00 0.71 At The Main Entrance Of The Superior Court Building 201 West Jefferson Phoenix Az 09/17/2004 $141,775.00 $115,900.00 $141,775.00 -$25,875.00 1.22 At The Main Entrance Of The Superior Court Building 201 West Jefferson Phoenix Az 01/23/2006 $212,000.00 $171,573.00 $212,000.00 -$40,427.00 1.24 At The Main Entrance Of The Superior Court Building 201 West Jefferson Phoenix Az $204,000.00 $111,625.00 $204,000.00 -$92,375.00 1.83 Law Offices Of Perry & Shapiro $178,104.00 $130,150.00 $178,104.00 -$47,954.00 1.37 At The Main Entrance Of The Superior Court Building 201 West Jefferson Phoenix Az 10/29/2007 $56,525.00 $0.00 Office Of Michael A. Bosco Jr. $70,500.00 $96,425.00 $70,500.00 $25,925.00 0.73 Office Of Michael A. Bosco Jr. $50,000.00 $33,374.00 $50,000.00 -$16,626.00 1.5 At The Main Entrance Of The Superior Court Building 201 West Jefferson Phoenix Az 05/31/2006 $440,000.00 $302,100.00 $440,000.00 -$137,900.00 1.46 Office Of Michael A. Bosco Jr. $145,200.00 $173,375.00 $145,200.00 $28,175.00 0.84 Page 72