Download free for 30 days
Sign in
Upload
Language (EN)
Support
Business
Mobile
Social Media
Marketing
Technology
Art & Photos
Career
Design
Education
Presentations & Public Speaking
Government & Nonprofit
Healthcare
Internet
Law
Leadership & Management
Automotive
Engineering
Software
Recruiting & HR
Retail
Sales
Services
Science
Small Business & Entrepreneurship
Food
Environment
Economy & Finance
Data & Analytics
Investor Relations
Sports
Spiritual
News & Politics
Travel
Self Improvement
Real Estate
Entertainment & Humor
Health & Medicine
Devices & Hardware
Lifestyle
Change Language
Language
English
Español
Português
Français
Deutsche
Cancel
Save
Submit search
EN
Uploaded by
A Jorge Garcia
766 views
AP Calculus BC 703 Integrals and Derivatives Involving ln(x)
Education
◦
Read more
0
Save
Share
Embed
Embed presentation
Download
Download to read offline
1
/ 8
2
/ 8
3
/ 8
4
/ 8
5
/ 8
6
/ 8
7
/ 8
8
/ 8
More Related Content
PDF
Hoboken Heights: A Luxury Condominium on the NJ Gold Coast
by
National Realty Investment Advisors
PPTX
Think tac toe cathleen
by
Romnick Victoria
PDF
Financial news & stock market analysis
by
Rob Hopkins
PPTX
[MENA] NN IP Risk-Rotation Survey
by
NN Investment Partners
PDF
Calculus 702 ln(x) and Logarithmic Differe
by
A Jorge Garcia
PDF
Spaans a2 21 9-15
by
SpaanIt
PDF
ap calculus bc 803: arc tangent derivatives
by
A Jorge Garcia
PDF
AP Calculus BC 706 Diff Equs!
by
A Jorge Garcia
Hoboken Heights: A Luxury Condominium on the NJ Gold Coast
by
National Realty Investment Advisors
Think tac toe cathleen
by
Romnick Victoria
Financial news & stock market analysis
by
Rob Hopkins
[MENA] NN IP Risk-Rotation Survey
by
NN Investment Partners
Calculus 702 ln(x) and Logarithmic Differe
by
A Jorge Garcia
Spaans a2 21 9-15
by
SpaanIt
ap calculus bc 803: arc tangent derivatives
by
A Jorge Garcia
AP Calculus BC 706 Diff Equs!
by
A Jorge Garcia
What's hot
PDF
Rexus Daxa M71 Pro - User Guide
by
tigasembilan
PPT
Hobby choices
by
TinaMasterman
PDF
Calculus 2.2 Continuity, Intermediate Value Theorem, Min Max Theorem
by
A Jorge Garcia
PDF
ap calculus bc L'Hopital's Rule!
by
A Jorge Garcia
PPTX
[EN] NN IP Risk-Rotation Survey
by
NN Investment Partners
PDF
Calculus 510 U-Substitution
by
A Jorge Garcia
PDF
Q4 2014 Vietnam Internet Snapshot
by
Tung Nguyen Thanh - Michael
PPTX
Explore the Bible Adults
by
julielangmade
PPTX
Screenplay Survey Results - Spy/Action Film
by
James McConnell
PDF
ap calculus bc 802: arc sine and arc cosine derivatives
by
A Jorge Garcia
PDF
999 is artifacts d-g copy
by
AlexBoswell
PDF
4 Equip Net Debunking Common Myths About Buying Pre Owned Industrial Equipment
by
EquipnetIndia
PDF
Pharmacist ... A Strong Pillar of Healthcare_System
by
PharmoHub Pakistan
Rexus Daxa M71 Pro - User Guide
by
tigasembilan
Hobby choices
by
TinaMasterman
Calculus 2.2 Continuity, Intermediate Value Theorem, Min Max Theorem
by
A Jorge Garcia
ap calculus bc L'Hopital's Rule!
by
A Jorge Garcia
[EN] NN IP Risk-Rotation Survey
by
NN Investment Partners
Calculus 510 U-Substitution
by
A Jorge Garcia
Q4 2014 Vietnam Internet Snapshot
by
Tung Nguyen Thanh - Michael
Explore the Bible Adults
by
julielangmade
Screenplay Survey Results - Spy/Action Film
by
James McConnell
ap calculus bc 802: arc sine and arc cosine derivatives
by
A Jorge Garcia
999 is artifacts d-g copy
by
AlexBoswell
4 Equip Net Debunking Common Myths About Buying Pre Owned Industrial Equipment
by
EquipnetIndia
Pharmacist ... A Strong Pillar of Healthcare_System
by
PharmoHub Pakistan
Viewers also liked
PDF
ap calculus bc 801: L'Hopital's Rule!
by
A Jorge Garcia
PDF
preCalculus 803 Law of Cosines!
by
A Jorge Garcia
PDF
preCalculus Vector Product Notes!
by
A Jorge Garcia
PDF
AP Calculus BC Trig Stuff
by
A Jorge Garcia
PDF
AP Calculus BC 705 More e^x and ln(x)!
by
A Jorge Garcia
PDF
ap calculus bc 805: integration by parts
by
A Jorge Garcia
PDF
AP Calclus BC 704 e^x
by
A Jorge Garcia
PDF
preCalculus 905 Dot Products
by
A Jorge Garcia
PDF
preCalculus 803 Law of Cosines HWK!
by
A Jorge Garcia
PDF
preCalculus 802 Law of Sines
by
A Jorge Garcia
PDF
preCalculus 804 Triangle Areas!
by
A Jorge Garcia
PDF
preCalculus 907 Vector Cross Product
by
A Jorge Garcia
PDF
AP Computer Science C6X13 Calculus Notes on Newton's Method
by
A Jorge Garcia
ap calculus bc 801: L'Hopital's Rule!
by
A Jorge Garcia
preCalculus 803 Law of Cosines!
by
A Jorge Garcia
preCalculus Vector Product Notes!
by
A Jorge Garcia
AP Calculus BC Trig Stuff
by
A Jorge Garcia
AP Calculus BC 705 More e^x and ln(x)!
by
A Jorge Garcia
ap calculus bc 805: integration by parts
by
A Jorge Garcia
AP Calclus BC 704 e^x
by
A Jorge Garcia
preCalculus 905 Dot Products
by
A Jorge Garcia
preCalculus 803 Law of Cosines HWK!
by
A Jorge Garcia
preCalculus 802 Law of Sines
by
A Jorge Garcia
preCalculus 804 Triangle Areas!
by
A Jorge Garcia
preCalculus 907 Vector Cross Product
by
A Jorge Garcia
AP Computer Science C6X13 Calculus Notes on Newton's Method
by
A Jorge Garcia
More from A Jorge Garcia
PDF
LIMACON 2023 Brochure
by
A Jorge Garcia
PDF
MAT122 DAY303 Lesson 21 of 45
by
A Jorge Garcia
PDF
MAT122 DAY302 Lesson 20 of 45
by
A Jorge Garcia
PDF
MAT122 DAY507 MEETING 43 of 45 2021.1216 THURSDAY
by
A Jorge Garcia
PDF
MAT122 DAY05
by
A Jorge Garcia
PDF
MAT122 DAY308 Lesson 26 of 45
by
A Jorge Garcia
PDF
MAT122 DAY307 Lesson 25 of 45
by
A Jorge Garcia
PDF
MAT122 DAY306 Lesson 24 of 45
by
A Jorge Garcia
PDF
MAT122 DAY305 Lesson 23 of 45
by
A Jorge Garcia
PDF
MAT122 DAY508 MEETING 44 of 45 2021.1217 FRIDAY
by
A Jorge Garcia
PDF
MAT122 DAY304 Lesson 22 of 45
by
A Jorge Garcia
PDF
MAT122 DAY506 MEETING 42 of 45 2021.1215 WEDNESDAY
by
A Jorge Garcia
PDF
MAT122 DAY301 Lesson 19 of 45
by
A Jorge Garcia
PDF
MAT122 DAY205
by
A Jorge Garcia
PDF
MAT122 DAY204
by
A Jorge Garcia
PDF
MAT122 DAY203
by
A Jorge Garcia
PDF
MAT122 DAY202
by
A Jorge Garcia
PDF
MAT122 DAY201
by
A Jorge Garcia
PDF
MAT122 DAY06
by
A Jorge Garcia
PDF
2022-RESUME-NEW
by
A Jorge Garcia
LIMACON 2023 Brochure
by
A Jorge Garcia
MAT122 DAY303 Lesson 21 of 45
by
A Jorge Garcia
MAT122 DAY302 Lesson 20 of 45
by
A Jorge Garcia
MAT122 DAY507 MEETING 43 of 45 2021.1216 THURSDAY
by
A Jorge Garcia
MAT122 DAY05
by
A Jorge Garcia
MAT122 DAY308 Lesson 26 of 45
by
A Jorge Garcia
MAT122 DAY307 Lesson 25 of 45
by
A Jorge Garcia
MAT122 DAY306 Lesson 24 of 45
by
A Jorge Garcia
MAT122 DAY305 Lesson 23 of 45
by
A Jorge Garcia
MAT122 DAY508 MEETING 44 of 45 2021.1217 FRIDAY
by
A Jorge Garcia
MAT122 DAY304 Lesson 22 of 45
by
A Jorge Garcia
MAT122 DAY506 MEETING 42 of 45 2021.1215 WEDNESDAY
by
A Jorge Garcia
MAT122 DAY301 Lesson 19 of 45
by
A Jorge Garcia
MAT122 DAY205
by
A Jorge Garcia
MAT122 DAY204
by
A Jorge Garcia
MAT122 DAY203
by
A Jorge Garcia
MAT122 DAY202
by
A Jorge Garcia
MAT122 DAY201
by
A Jorge Garcia
MAT122 DAY06
by
A Jorge Garcia
2022-RESUME-NEW
by
A Jorge Garcia
Recently uploaded
PDF
The Drift Principle: When Information Accelerates Faster Than Minds Can Compress
by
Reality Drift Archive
PDF
FAMILY ASSESSMENT FORMAT - CHN practical
by
Dr. Sudhadevi Sadanandan
PDF
Ketogenic diet in Epilepsy in children..
by
mirzasania0810
DOCX
Mobile applications Devlopment ReTest year 2025-2026
by
Dr. Mazin Mohamed alkathiri
PPTX
15 December 2025 Education for human flourishing Michael Stevenson .pptx
by
EduSkills OECD
PDF
Current Electricity for first year physiotherapy
by
Ganesh Jadhav
PPTX
2025-2026 History in your Hands Class 4 December 2025 January 2026 .pptx
by
EilsONeill
PPTX
How to Manage Line Discounts in Odoo 18 POS
by
Celine George
PDF
Projecte de la porta de primer B: L'antic Egipte
by
eduardrubio1
PPTX
How to Manage Reception Report in Odoo 18 Inventory
by
Celine George
PPTX
TAMIS & TEMS - HOW, WHY and THE STEPS IN PROCTOLOGY
by
John Thanakumar
PPTX
Cost of Capital - Cost of Equity, Cost of debenture, Cost of Preference share...
by
Sundar B N
PDF
DHA/HAAD/MOH/DOH OPTOMETRY MCQ PYQ. .pdf
by
Anmol Singh
PDF
Blue / Green: Troop Leading Procedure (TLP) Overview.pdf
by
Blue / Green Training
PPTX
Limpitlaw "Licensing: From Mindset to Milestones"
by
National Information Standards Organization (NISO)
PPTX
Semester 6 UNIT 2 Dislocation of hip.pptx
by
sachin7989
PPTX
York "Collaboration for Research Support at U-M Library"
by
National Information Standards Organization (NISO)
PPTX
Campfens "The Data Qualify Challenge: Publishers, institutions, and funders r...
by
National Information Standards Organization (NISO)
PDF
The Tale of Melon City poem ppt by Sahasra
by
bitrasahasra
PPTX
Searching in PubMed andCochrane_Practical Presentation.pptx
by
Systematic Reviews Network (SRN)
The Drift Principle: When Information Accelerates Faster Than Minds Can Compress
by
Reality Drift Archive
FAMILY ASSESSMENT FORMAT - CHN practical
by
Dr. Sudhadevi Sadanandan
Ketogenic diet in Epilepsy in children..
by
mirzasania0810
Mobile applications Devlopment ReTest year 2025-2026
by
Dr. Mazin Mohamed alkathiri
15 December 2025 Education for human flourishing Michael Stevenson .pptx
by
EduSkills OECD
Current Electricity for first year physiotherapy
by
Ganesh Jadhav
2025-2026 History in your Hands Class 4 December 2025 January 2026 .pptx
by
EilsONeill
How to Manage Line Discounts in Odoo 18 POS
by
Celine George
Projecte de la porta de primer B: L'antic Egipte
by
eduardrubio1
How to Manage Reception Report in Odoo 18 Inventory
by
Celine George
TAMIS & TEMS - HOW, WHY and THE STEPS IN PROCTOLOGY
by
John Thanakumar
Cost of Capital - Cost of Equity, Cost of debenture, Cost of Preference share...
by
Sundar B N
DHA/HAAD/MOH/DOH OPTOMETRY MCQ PYQ. .pdf
by
Anmol Singh
Blue / Green: Troop Leading Procedure (TLP) Overview.pdf
by
Blue / Green Training
Limpitlaw "Licensing: From Mindset to Milestones"
by
National Information Standards Organization (NISO)
Semester 6 UNIT 2 Dislocation of hip.pptx
by
sachin7989
York "Collaboration for Research Support at U-M Library"
by
National Information Standards Organization (NISO)
Campfens "The Data Qualify Challenge: Publishers, institutions, and funders r...
by
National Information Standards Organization (NISO)
The Tale of Melon City poem ppt by Sahasra
by
bitrasahasra
Searching in PubMed andCochrane_Practical Presentation.pptx
by
Systematic Reviews Network (SRN)
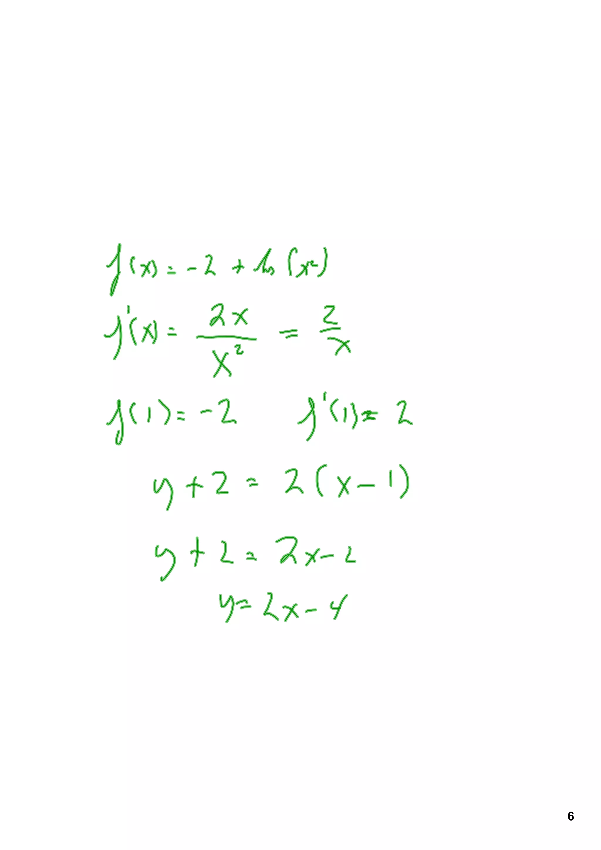
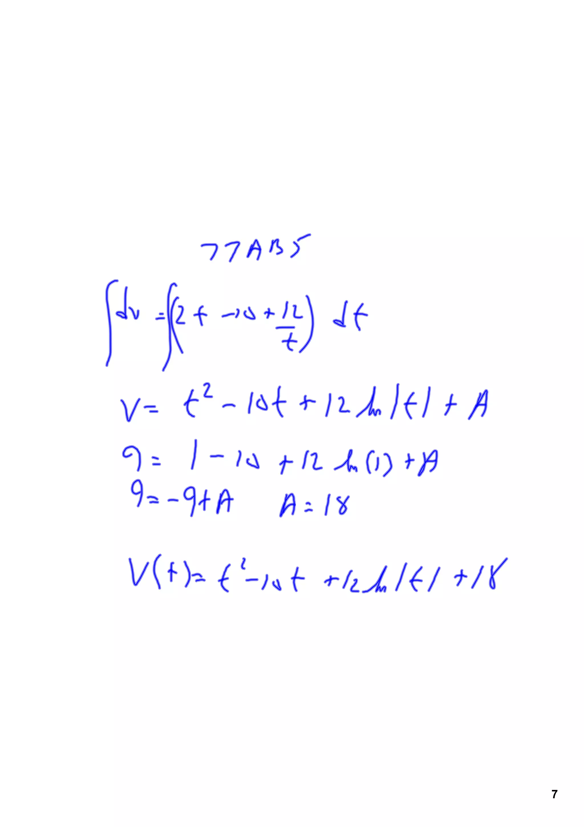
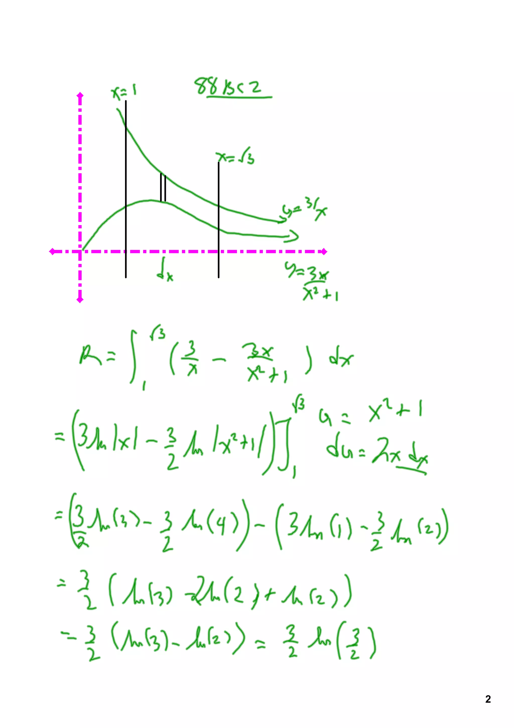
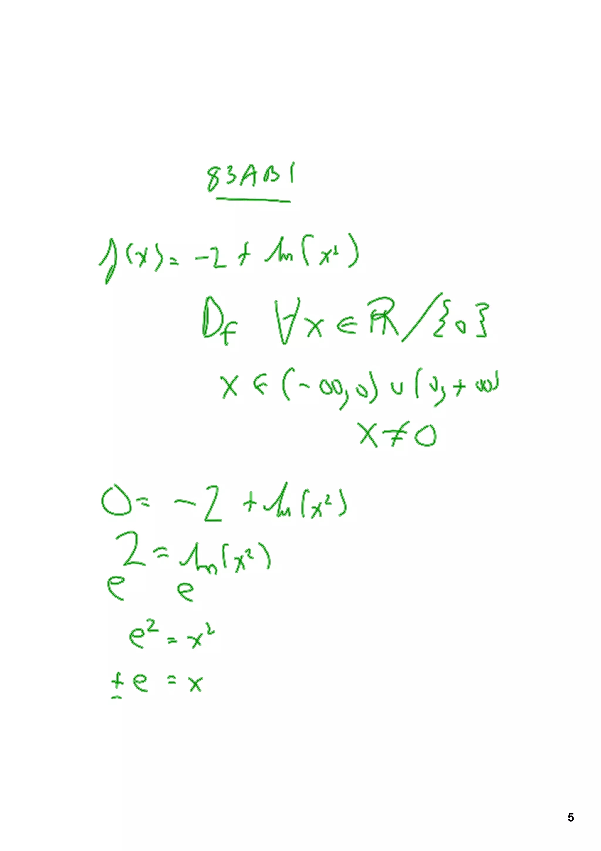
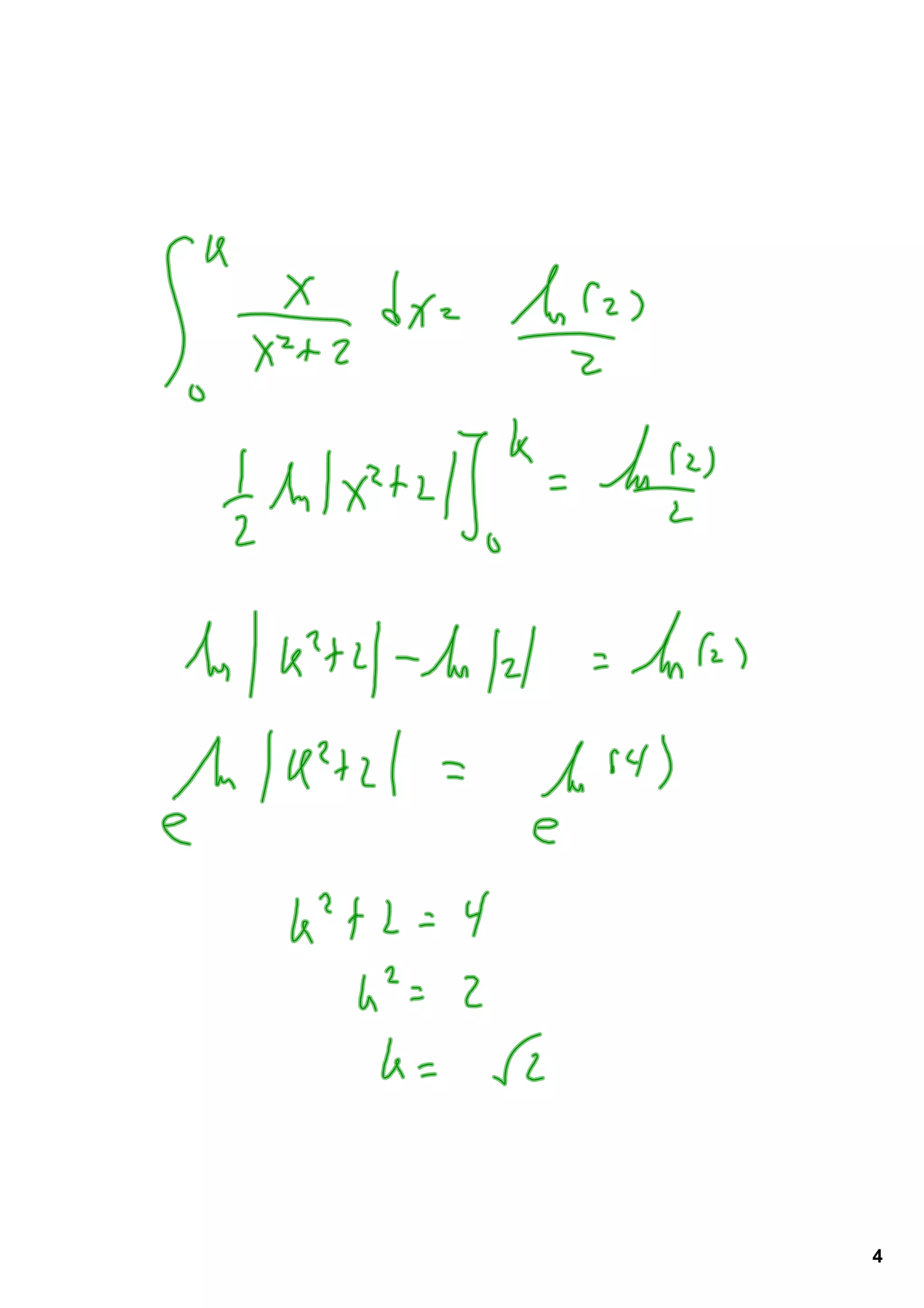
AP Calculus BC 703 Integrals and Derivatives Involving ln(x)
1.
1
2.
2
3.
3
4.
4
5.
5
6.
6
7.
7
8.
8
Download