Embed presentation
Download to read offline

































































































































































































































































































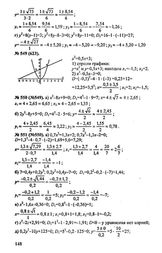
В документе рассматриваются основные тенденции в области искусственного интеллекта, его влияние на разные сферы жизни и бизнеса. Упоминаются ключевые технологии и их применение, а также потенциальные этические и социальные проблемы, связанные с развитием ИИ. Документ подчеркивает важность адаптации и регулирования в этой быстро меняющейся области.
































































































































































































































































































