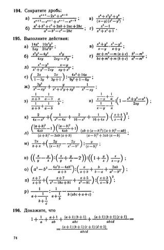
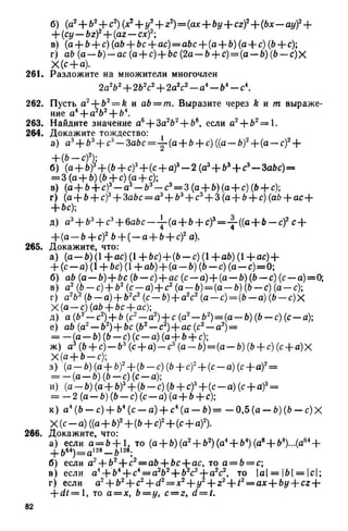
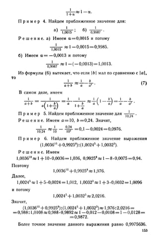
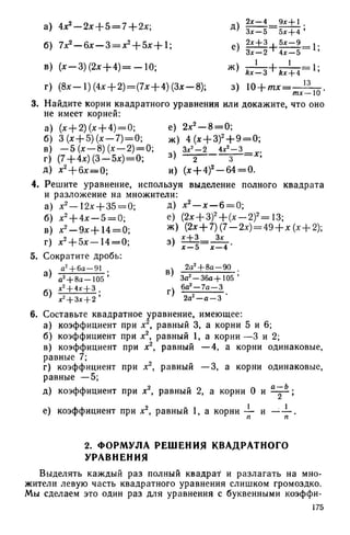
Embed presentation




































































































































































































































































Документ содержит анализ текущей экономической ситуации в стране. Рассматриваются ключевые факторы, влияющие на экономический рост, и предлагаются рекомендации по улучшению. Также обсуждаются потенциальные риски и возможности для бизнеса.



































































































































































































































































