Digital Water marking Using LSB Replacement with
Secret Key Insertion Technique
Vaibhav Joshi 1
and Milind Rane 2
1
Dept. of Electronics and Telecommunication Vishwakarma Institute of Technology, Pune, India.
Email: vj8891@gmail.com
2
Dept. of Electronics and Telecommunication Vishwakarma Institute of Technology, Pune, India.
Email: me_rane@yahoo.com
Abstract— Water marking has been proposed as a method to enhance data security. Text
water marking requires extreme care when embedding additional data within the images
because the additional information must not affect the image quality. Digital water marking
is a method through which we can authenticate images, videos and even texts. Add text
water mark and image water mark to your photos or animated image, protect your
copyright avoid unauthorized use. Water marking functions are not only authentication, but
also protection for such documents against malicious intentions to change such documents
or even claim the rights of such documents. Water marking scheme that hides water
marking in method, not affect the image quality. In this paper method of hiding a data using
LSB replacement technique is proposed.
Index Terms— security, confidentiality, digital water marking, copyright, authentication,
LSB replacement
I. INTRODUCTION
In recent years water marking has become an important research area in data security, confidentiality and
image reliability [1].Digital water marks serve to provide copyright security for digital format intellectual
property. Digital water marking technology makes use of the fact that the human eye has only a limited
ability to observe differences. Minor modifications in the color values of an image are subconsciously
corrected by the eye, so that the observer does not notice any difference. Text water marking is a special sort
of mark which enable you write words on your picture to protect you. Water marking techniques can
complement encryption by inserting a secret invisible signal, a water mark directly into the original data in
such a way that it always remains present [2].The water marking is a method to achieve the copyright
Protection of multimedia contents , because the multimedia represents several different media such as text,
video, audio and graphical objects, and they reveal very different characteristics in hiding information inside
them, different water marking algorithms appropriate to each of them should be developed[3].
II. RELATED WORK
In this section, we will attention into review of digital water mark use for image. we describe the previous
work which had been done on digital water marking using LSB technique and various water marking
DOI: 02.ITC.2014.5.60
© Association of Computer Electronics and Electrical Engineers, 2014
Proc. of Int. Conf. on Recent Trends in Information, Telecommunication and Computing, ITC
313
schemes.
According to Schyndel, Tirkel, and Osborne [4] generated a water mark using an m-sequence generator. The
water mark was either embedded or added to the least significant bit of the original image to produce the
water marked image. Schyndel et al. showed that the resulting image contained an invisible water mark with
simple extraction procedures. The water mark, however, was not robust to additive noise.
According to Cox et al. [5] noted that in order for a water mark to be robust to attack, it must be placed in
perceptually significant areas of the image.
According to Xia, Boncelet and Arce [6] proposed a water marking scheme based on the Discrete Wavelet
Transform (DWT).
According to Wen-Chao Yang et al [7] used the PKI (public-key infrastructure), public-key cryptography and
water mark technique design a novel testing and verifying method of digital images. The main idea of paper
is to embed encryption water mark is the least significant bits (LSBs) of cover images.
According to Gil-Je Lee et al [8] presented a new LSB digital water marking scheme by using random
mapping function. The idea of their proposed algorithm is embedding water mark randomly in the
coordinates of the image by using random function to be more robust than the traditional LSB technique.
According to Bas, Chassery and Davoine [9] introduced a water marking system using fractal codes. A
collage map was composed from 8x8 blocks of the original image and from the image’s DCT. The water
mark was added to the collage map to produce a marked image. Results showed that fractal coding in the
DCT domain performed better than coding in the spatial domain. The DCT based water marking technique
was robust to JPEG compression, while spatial fractal coding produced block artifacts after compression.
According to Debjyoti Basu et al [10] proposed Bit Plane Index Modulation (BPIM) based fragile water
marking scheme for authenticating RGB color image. By embedding R, G, B components of water marking
image in the R, G, B component of original image, embedding distortion is minimized by adopting least
significant bit (LSB) alteration scheme. Their proposed method consists of encoding and decoding methods
that can provide public detection capabilities in the absences of original host image and water mark image.
In above technique to overcome drawback of existing techniques, we introduce new method using LSB
replacement with Secret Key Insertion to enhance data security. Frank Hartung, Martin Kutter, [12]
“Multimedia Watermarking Techniques”, which defines how the media or an audio file is used for sending a
secret message.
III. PRINCIPLE OF WATER MARKING
Technique used to hide a small amount of digital data in a digital signal in such a way that it can not be
detected by a standard playback device or viewer. A water marking system is usually divided into three
distinct steps, taking original image, inserting water mark and inserting secret key. In inserting water mark
step, original image is taken and data which is to be water marked will be inserted in to image pixel by
replacing LSB bits of original image pixels. Secret Key is inserted for additional security purpose. The water
marked signal is then transmitted or stored, usually transmitted to another person.
Fig .1 Insertion of Water mark
Fig.1 shows the procedure for insertion of water mark, Original image is taken as input and water mark will
be inserted on image with using a secret key to obtain water mark inserted output image.
314
IV. TYPES OF WATER MARKING
Steganography and water marking are main parts of the fast developing area of information hiding
[11].Water marking could be classified in to mainly two types:
A.Visible Water marking
A visible water mark is a visible translucent which is overlaid on the primary image. In visible digital water
marking, the information is visible in the picture or video. Typically, the information is text or a logo, which
identifies the owner of the media. The image on the right has a visible water mark. When a television
broadcaster adds its logo to the corner of transmitted video, this also is a visible water mark. It is important to
overlay the water mark in a way which makes it difficult to remove, if the goal of indicating property rights is
to be achieved.
Fw= (1-α) F+ α*W …..[11]
Fw = Water marked Image
α = Constant; 0<=α<=1,
If α=0 No water mark,
if α=1 water mark present
F =Original image
W =Water mark
B. Invisible Water marking
In invisible digital water marking, information is added as digital data to audio, picture, or video, but it
cannot be perceived as such (although it may be possible to detect that some amount of information is hidden
in the signal). The water mark may be intended for widespread use and thus, is made easy to retrieve or, it
may be a form of Steganography, where a party communicates a secret message embedded in the digital
signal. In either case, as in visible water marking, the objective is to attach ownership or other descriptive
information to the signal in a way that is difficult to remove. It is also possible to use hidden embedded
information as a means of covert communication between individuals.
V. PROPOSED WORK
A. Framework of LSB replacement technique
Manipulation of least-significant-bit (LSB) planes by directly replacing the LSBs of the cover-image with the
message bits is one of the usual techniques. LSB methods typically achieve high capacity [11]. This method
is exactly what it sounds like; the least significant bits of the cover-image are altered so that they form the
embedded information.
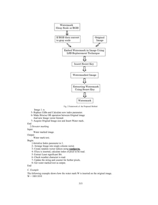
Water mark (Gray scale or RGB) is taken as input and if it is RGB then , Water mark has to be converted to
Gray Scale. This water mark is then embed onto image using LSB replacement Technique. Insert Secret Key
for increasing data security while transferring the water marked image. Viewer or receiver can Extract Water
mark by Inserting the same secret key. Fig. 2 shows the framework of implementation of LSB replacement
technique.
B. Algorithm
1.Water marking
Input
• Original image
• Water mark text
Output
Water Mark Image
Begin:
1- Define three arguments into a function (Image, String,
Key).
2- Arrange Image pixels in to single column Vector.
3- Set Least Significant Bit to 0 of each element in image.
4- Check weather Key is inserted or not. If inserted, create
Random vector indices using random permutation of
315
Fig. 2 Framework of the Proposed Method
Image 1: n.
5- Replace LSBs and Calculate new index parameter.
6- Make Bitwise OR operation between Original image
And new Image vector formed.
7- Acquire Original Image size and Insert Water mark.
End
2.Dewater marking
Input:
Water marked image.
Output:
Water mark text.
Begin:
1-Initialize Index parameter to 1.
2- Arrange Image into single column vector.
3- Create random vector indices using randperm.
4- If key is inserted, calculate index of pixel to be read.
5- Extract Least significant Bit.
6- Check weather character is read.
7- Update the string and counter for further pixels.
8- Get water marked text as output.
End
C. Example
The following example shows how the water mark W is inserted on the original image,
W = 10011010
316
Assume for simplicity that the image is represented by a single matrix (one color component) of 4x4 pixels:
Original image:
11000111 00010100 11111111 01001010
01000100 10111001 00101000 11010010
10101010 01011011 00101011 11011001
11100011 11111111 11010010 00101010
Once inserted the water mark W = 10011010 the image will then become:
We can say, the water mark has been inserted starting from its least significant bit and advancing to the
column in the matrix that represents the image.
We note that some elements of the matrix already had its least significant bit set to a desired value, this
means that the number of elements of the matrix are modified at the most equal to the number of bits of W (8
in this example). In addition, the changes made corresponds to modifying the elements of a single color
component, by varying its representation to the next level or above, which to the human eye is virtually
indistinguishable.
D. Design Of GUI Screen
The GUI screen will be developed for insertion of watermark on image or hiding the message inside the
image with an secret key insertion for high security. Fig. 3(a) shows the GUI screen for watermark insertion
and Fig. 3(b) shows the GUI screen for extraction of message.
Fig. 3(a) GUI screen for insertion of watermarking
VI. RESULT AND APPLICATION
Fig.4 (a)shows the input original image which need to be water marked with secret key encryption. Where
Fig.4 (b) show the Water marked Image with a message embed in the image,but human eye can not be able to
detect the changes in the output image.
11000110 00010101 11111111 01001010
01000101 10111000 00101000 11010010
10101010 01011010 00101011 11011001
11100011 11111111 11010010 00101010
317
Fig. 3(b) GUI screen for extraction of message
Fig. 4 (a)original image (b) Water marked Image
VII. CONCLUSION
Thus Digital water marking is an important step toward management of copyrighted and secured
documents. Information hiding is possible with the help of water marking which is the need of today’s piracy
or illegal use of images. Also the use of Secret key will enhance the data security.
REFERENCES
[1] W. Puech, J. M. Rodrigues. “A new crypto-water marking Method for medical images safe transfer”. In Proceedings
Of the 12th European Signal Processing Conference, Vienna, Austria, 2004, pp. 1481-1484.
[2] Serrão, C. And Guimarães, J. (1999), Protecting Intellectual Proprietary Rights through Secure Interactive
Contract Negotiation, Springer-Verlag Berlin Heidelberg 1999.
318
[3] F. Hartung and M. Kutter, "Multimedia water marking Techniques, “Proceedings of the IEEE, Vol.87, No.7,
pp.1079-1107, July 1999.
[4] R. Schyndel, A. Tirkel, and C. Osborne, “A Digital Water Mark,” Proc. IEEE Int. Conf. on Image Processing, Nov.
1994, vol. II, pp. 86-90.
[5] I. Cox, J. Kalian, F. Leighton, and T. Shimon, “Secure Spread Spectrum Water marking for Multimedia,” IEEE
Transactions on Image Processing, vol. 6, no. 12, pp.1673-1687, Dec. 1997.
[6] X. Xia, C. Boncelet, and G. Arce, “A Multiresolution Water mark for Digital Images,” Proc. IEEE Int. Conf. on
Image Processing, Oct. 1997, vol. I, pp. 548-551
[7] Yang, W.C., Wen, C.Y. and Chen, C.H., (2008), Applying Public-Key Water marking Techniques in forensic
Imaging to preserve the Authenticity of the Evidence.Springer-Verlag Berlin Heidelberg 2008
[8] Leg. J., Yoon, E. J. and York. Y.(2008),”A new LSB Based Digital Water marking Scheme with Random Mapping
Function”, in 2008 IEEE DOI 10.1109/UMC.2008.33
[9] P. Bas, J. Chassery, and F. Davoine, “Using the Fractal Code to Water mark Images,” Proc. IEEE Int. Conf. on
Image Processing, vol. I, Oct. 1998, pp. 469-473
[10] J. Delaigle, C. De Vleeschouwer, and B. Macq,“Psychovisual Approach to Digital Picture Water marking,” Journal
of Electronic Imaging, vol. 7, no. 3,pp. 628-640, July 1998
[11] D. Soumyendu, D.Subhendu,B.Bijoy, “Steganography And Steganalysis: Different Approaches”, Information
Security Consultant, International Journal of Computers, Information Technology and Engineering (IJCITAE), Vol.
2, No 1, June, 2008, Serial Publications.
[12] Frank Hartung, Martin Kutter, “Multimedia Watermarking Techniques”, Proceedings of The IEEE, Vol. 87, No. 7,
pp. 1085 – 1103, July 1999.

60 312-318

  • 1.
    Digital Water markingUsing LSB Replacement with Secret Key Insertion Technique Vaibhav Joshi 1 and Milind Rane 2 1 Dept. of Electronics and Telecommunication Vishwakarma Institute of Technology, Pune, India. Email: vj8891@gmail.com 2 Dept. of Electronics and Telecommunication Vishwakarma Institute of Technology, Pune, India. Email: me_rane@yahoo.com Abstract— Water marking has been proposed as a method to enhance data security. Text water marking requires extreme care when embedding additional data within the images because the additional information must not affect the image quality. Digital water marking is a method through which we can authenticate images, videos and even texts. Add text water mark and image water mark to your photos or animated image, protect your copyright avoid unauthorized use. Water marking functions are not only authentication, but also protection for such documents against malicious intentions to change such documents or even claim the rights of such documents. Water marking scheme that hides water marking in method, not affect the image quality. In this paper method of hiding a data using LSB replacement technique is proposed. Index Terms— security, confidentiality, digital water marking, copyright, authentication, LSB replacement I. INTRODUCTION In recent years water marking has become an important research area in data security, confidentiality and image reliability [1].Digital water marks serve to provide copyright security for digital format intellectual property. Digital water marking technology makes use of the fact that the human eye has only a limited ability to observe differences. Minor modifications in the color values of an image are subconsciously corrected by the eye, so that the observer does not notice any difference. Text water marking is a special sort of mark which enable you write words on your picture to protect you. Water marking techniques can complement encryption by inserting a secret invisible signal, a water mark directly into the original data in such a way that it always remains present [2].The water marking is a method to achieve the copyright Protection of multimedia contents , because the multimedia represents several different media such as text, video, audio and graphical objects, and they reveal very different characteristics in hiding information inside them, different water marking algorithms appropriate to each of them should be developed[3]. II. RELATED WORK In this section, we will attention into review of digital water mark use for image. we describe the previous work which had been done on digital water marking using LSB technique and various water marking DOI: 02.ITC.2014.5.60 © Association of Computer Electronics and Electrical Engineers, 2014 Proc. of Int. Conf. on Recent Trends in Information, Telecommunication and Computing, ITC
  • 2.
    313 schemes. According to Schyndel,Tirkel, and Osborne [4] generated a water mark using an m-sequence generator. The water mark was either embedded or added to the least significant bit of the original image to produce the water marked image. Schyndel et al. showed that the resulting image contained an invisible water mark with simple extraction procedures. The water mark, however, was not robust to additive noise. According to Cox et al. [5] noted that in order for a water mark to be robust to attack, it must be placed in perceptually significant areas of the image. According to Xia, Boncelet and Arce [6] proposed a water marking scheme based on the Discrete Wavelet Transform (DWT). According to Wen-Chao Yang et al [7] used the PKI (public-key infrastructure), public-key cryptography and water mark technique design a novel testing and verifying method of digital images. The main idea of paper is to embed encryption water mark is the least significant bits (LSBs) of cover images. According to Gil-Je Lee et al [8] presented a new LSB digital water marking scheme by using random mapping function. The idea of their proposed algorithm is embedding water mark randomly in the coordinates of the image by using random function to be more robust than the traditional LSB technique. According to Bas, Chassery and Davoine [9] introduced a water marking system using fractal codes. A collage map was composed from 8x8 blocks of the original image and from the image’s DCT. The water mark was added to the collage map to produce a marked image. Results showed that fractal coding in the DCT domain performed better than coding in the spatial domain. The DCT based water marking technique was robust to JPEG compression, while spatial fractal coding produced block artifacts after compression. According to Debjyoti Basu et al [10] proposed Bit Plane Index Modulation (BPIM) based fragile water marking scheme for authenticating RGB color image. By embedding R, G, B components of water marking image in the R, G, B component of original image, embedding distortion is minimized by adopting least significant bit (LSB) alteration scheme. Their proposed method consists of encoding and decoding methods that can provide public detection capabilities in the absences of original host image and water mark image. In above technique to overcome drawback of existing techniques, we introduce new method using LSB replacement with Secret Key Insertion to enhance data security. Frank Hartung, Martin Kutter, [12] “Multimedia Watermarking Techniques”, which defines how the media or an audio file is used for sending a secret message. III. PRINCIPLE OF WATER MARKING Technique used to hide a small amount of digital data in a digital signal in such a way that it can not be detected by a standard playback device or viewer. A water marking system is usually divided into three distinct steps, taking original image, inserting water mark and inserting secret key. In inserting water mark step, original image is taken and data which is to be water marked will be inserted in to image pixel by replacing LSB bits of original image pixels. Secret Key is inserted for additional security purpose. The water marked signal is then transmitted or stored, usually transmitted to another person. Fig .1 Insertion of Water mark Fig.1 shows the procedure for insertion of water mark, Original image is taken as input and water mark will be inserted on image with using a secret key to obtain water mark inserted output image.
  • 3.
    314 IV. TYPES OFWATER MARKING Steganography and water marking are main parts of the fast developing area of information hiding [11].Water marking could be classified in to mainly two types: A.Visible Water marking A visible water mark is a visible translucent which is overlaid on the primary image. In visible digital water marking, the information is visible in the picture or video. Typically, the information is text or a logo, which identifies the owner of the media. The image on the right has a visible water mark. When a television broadcaster adds its logo to the corner of transmitted video, this also is a visible water mark. It is important to overlay the water mark in a way which makes it difficult to remove, if the goal of indicating property rights is to be achieved. Fw= (1-α) F+ α*W …..[11] Fw = Water marked Image α = Constant; 0<=α<=1, If α=0 No water mark, if α=1 water mark present F =Original image W =Water mark B. Invisible Water marking In invisible digital water marking, information is added as digital data to audio, picture, or video, but it cannot be perceived as such (although it may be possible to detect that some amount of information is hidden in the signal). The water mark may be intended for widespread use and thus, is made easy to retrieve or, it may be a form of Steganography, where a party communicates a secret message embedded in the digital signal. In either case, as in visible water marking, the objective is to attach ownership or other descriptive information to the signal in a way that is difficult to remove. It is also possible to use hidden embedded information as a means of covert communication between individuals. V. PROPOSED WORK A. Framework of LSB replacement technique Manipulation of least-significant-bit (LSB) planes by directly replacing the LSBs of the cover-image with the message bits is one of the usual techniques. LSB methods typically achieve high capacity [11]. This method is exactly what it sounds like; the least significant bits of the cover-image are altered so that they form the embedded information. Water mark (Gray scale or RGB) is taken as input and if it is RGB then , Water mark has to be converted to Gray Scale. This water mark is then embed onto image using LSB replacement Technique. Insert Secret Key for increasing data security while transferring the water marked image. Viewer or receiver can Extract Water mark by Inserting the same secret key. Fig. 2 shows the framework of implementation of LSB replacement technique. B. Algorithm 1.Water marking Input • Original image • Water mark text Output Water Mark Image Begin: 1- Define three arguments into a function (Image, String, Key). 2- Arrange Image pixels in to single column Vector. 3- Set Least Significant Bit to 0 of each element in image. 4- Check weather Key is inserted or not. If inserted, create Random vector indices using random permutation of
  • 4.
    315 Fig. 2 Frameworkof the Proposed Method Image 1: n. 5- Replace LSBs and Calculate new index parameter. 6- Make Bitwise OR operation between Original image And new Image vector formed. 7- Acquire Original Image size and Insert Water mark. End 2.Dewater marking Input: Water marked image. Output: Water mark text. Begin: 1-Initialize Index parameter to 1. 2- Arrange Image into single column vector. 3- Create random vector indices using randperm. 4- If key is inserted, calculate index of pixel to be read. 5- Extract Least significant Bit. 6- Check weather character is read. 7- Update the string and counter for further pixels. 8- Get water marked text as output. End C. Example The following example shows how the water mark W is inserted on the original image, W = 10011010
  • 5.
    316 Assume for simplicitythat the image is represented by a single matrix (one color component) of 4x4 pixels: Original image: 11000111 00010100 11111111 01001010 01000100 10111001 00101000 11010010 10101010 01011011 00101011 11011001 11100011 11111111 11010010 00101010 Once inserted the water mark W = 10011010 the image will then become: We can say, the water mark has been inserted starting from its least significant bit and advancing to the column in the matrix that represents the image. We note that some elements of the matrix already had its least significant bit set to a desired value, this means that the number of elements of the matrix are modified at the most equal to the number of bits of W (8 in this example). In addition, the changes made corresponds to modifying the elements of a single color component, by varying its representation to the next level or above, which to the human eye is virtually indistinguishable. D. Design Of GUI Screen The GUI screen will be developed for insertion of watermark on image or hiding the message inside the image with an secret key insertion for high security. Fig. 3(a) shows the GUI screen for watermark insertion and Fig. 3(b) shows the GUI screen for extraction of message. Fig. 3(a) GUI screen for insertion of watermarking VI. RESULT AND APPLICATION Fig.4 (a)shows the input original image which need to be water marked with secret key encryption. Where Fig.4 (b) show the Water marked Image with a message embed in the image,but human eye can not be able to detect the changes in the output image. 11000110 00010101 11111111 01001010 01000101 10111000 00101000 11010010 10101010 01011010 00101011 11011001 11100011 11111111 11010010 00101010
  • 6.
    317 Fig. 3(b) GUIscreen for extraction of message Fig. 4 (a)original image (b) Water marked Image VII. CONCLUSION Thus Digital water marking is an important step toward management of copyrighted and secured documents. Information hiding is possible with the help of water marking which is the need of today’s piracy or illegal use of images. Also the use of Secret key will enhance the data security. REFERENCES [1] W. Puech, J. M. Rodrigues. “A new crypto-water marking Method for medical images safe transfer”. In Proceedings Of the 12th European Signal Processing Conference, Vienna, Austria, 2004, pp. 1481-1484. [2] Serrão, C. And Guimarães, J. (1999), Protecting Intellectual Proprietary Rights through Secure Interactive Contract Negotiation, Springer-Verlag Berlin Heidelberg 1999.
  • 7.
    318 [3] F. Hartungand M. Kutter, "Multimedia water marking Techniques, “Proceedings of the IEEE, Vol.87, No.7, pp.1079-1107, July 1999. [4] R. Schyndel, A. Tirkel, and C. Osborne, “A Digital Water Mark,” Proc. IEEE Int. Conf. on Image Processing, Nov. 1994, vol. II, pp. 86-90. [5] I. Cox, J. Kalian, F. Leighton, and T. Shimon, “Secure Spread Spectrum Water marking for Multimedia,” IEEE Transactions on Image Processing, vol. 6, no. 12, pp.1673-1687, Dec. 1997. [6] X. Xia, C. Boncelet, and G. Arce, “A Multiresolution Water mark for Digital Images,” Proc. IEEE Int. Conf. on Image Processing, Oct. 1997, vol. I, pp. 548-551 [7] Yang, W.C., Wen, C.Y. and Chen, C.H., (2008), Applying Public-Key Water marking Techniques in forensic Imaging to preserve the Authenticity of the Evidence.Springer-Verlag Berlin Heidelberg 2008 [8] Leg. J., Yoon, E. J. and York. Y.(2008),”A new LSB Based Digital Water marking Scheme with Random Mapping Function”, in 2008 IEEE DOI 10.1109/UMC.2008.33 [9] P. Bas, J. Chassery, and F. Davoine, “Using the Fractal Code to Water mark Images,” Proc. IEEE Int. Conf. on Image Processing, vol. I, Oct. 1998, pp. 469-473 [10] J. Delaigle, C. De Vleeschouwer, and B. Macq,“Psychovisual Approach to Digital Picture Water marking,” Journal of Electronic Imaging, vol. 7, no. 3,pp. 628-640, July 1998 [11] D. Soumyendu, D.Subhendu,B.Bijoy, “Steganography And Steganalysis: Different Approaches”, Information Security Consultant, International Journal of Computers, Information Technology and Engineering (IJCITAE), Vol. 2, No 1, June, 2008, Serial Publications. [12] Frank Hartung, Martin Kutter, “Multimedia Watermarking Techniques”, Proceedings of The IEEE, Vol. 87, No. 7, pp. 1085 – 1103, July 1999.