Download free for 30 days
Sign in
Upload
Language (EN)
Support
Business
Mobile
Social Media
Marketing
Technology
Art & Photos
Career
Design
Education
Presentations & Public Speaking
Government & Nonprofit
Healthcare
Internet
Law
Leadership & Management
Automotive
Engineering
Software
Recruiting & HR
Retail
Sales
Services
Science
Small Business & Entrepreneurship
Food
Environment
Economy & Finance
Data & Analytics
Investor Relations
Sports
Spiritual
News & Politics
Travel
Self Improvement
Real Estate
Entertainment & Humor
Health & Medicine
Devices & Hardware
Lifestyle
Change Language
Language
English
Español
Português
Français
Deutsche
Cancel
Save
EN
Uploaded by
A Jorge Garcia
459 views
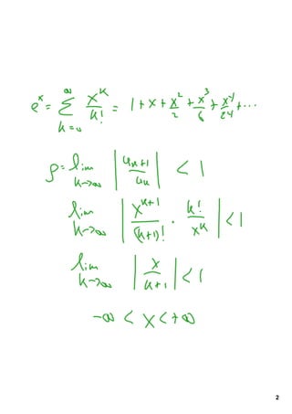
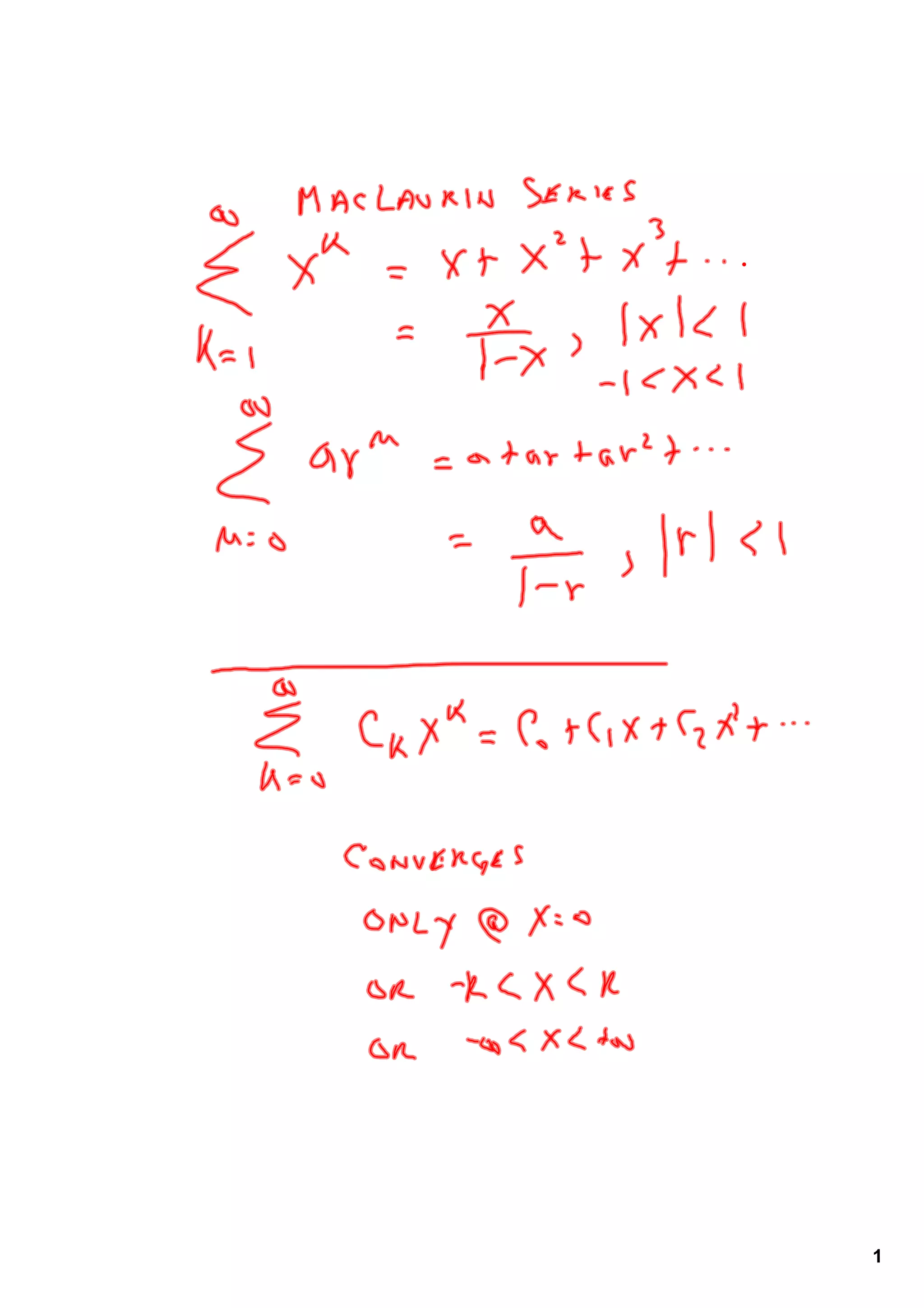
5HBC2012 11-01 MacLaurin Power Series
Education
◦
Read more
1
Save
Share
Embed
Embed presentation
Download
Download to read offline
1
/ 4
2
/ 4
3
/ 4
4
/ 4
More Related Content
PDF
5HBC2012 UNIT8 Assignments
by
A Jorge Garcia
PDF
5H2012 601 Area Between Curves
by
A Jorge Garcia
PDF
5HBC2012 Unit10 Assignments!
by
A Jorge Garcia
PDF
LAC2013 Day 01 Euler's Identity!
by
A Jorge Garcia
PDF
Life aftercalcday7
by
A Jorge Garcia
PDF
Life aftercalcday2
by
A Jorge Garcia
PDF
5HBC2012 11-02 Power Series Short Cuts!
by
A Jorge Garcia
PDF
UNIT05.BCS
by
A Jorge Garcia
5HBC2012 UNIT8 Assignments
by
A Jorge Garcia
5H2012 601 Area Between Curves
by
A Jorge Garcia
5HBC2012 Unit10 Assignments!
by
A Jorge Garcia
LAC2013 Day 01 Euler's Identity!
by
A Jorge Garcia
Life aftercalcday7
by
A Jorge Garcia
Life aftercalcday2
by
A Jorge Garcia
5HBC2012 11-02 Power Series Short Cuts!
by
A Jorge Garcia
UNIT05.BCS
by
A Jorge Garcia
Viewers also liked
PDF
Life aftercalcday4
by
A Jorge Garcia
PDF
LAC2013 Day 03 Hooke's Law Part II
by
A Jorge Garcia
PDF
Week06 Iterations Java Boot Camp!
by
A Jorge Garcia
PDF
LAC2013 Day 02 Hooke's Law Part I
by
A Jorge Garcia
PDF
WEEK05 DECISIONS JAVA BOOT CAMP!
by
A Jorge Garcia
PDF
UNIT05.bcs
by
A Jorge Garcia
PDF
5HBC2012 11-03 Taylor Power Series
by
A Jorge Garcia
PDF
Life aftercalcday3
by
A Jorge Garcia
PDF
5HBC2012 904 Variable Separable DiffEqus!
by
A Jorge Garcia
PDF
Ncshs student application form
by
A Jorge Garcia
PDF
LAC2013 Day 04 - Air Resistance Part I
by
A Jorge Garcia
PDF
5HBC2012 1104 LaGrange Error Term
by
A Jorge Garcia
PDF
Lab06: Iterations Java Boot Camp!
by
A Jorge Garcia
PDF
Life aftercalcday6
by
A Jorge Garcia
PDF
LAC2013 Days 04 & 05: Air Resistance Part II
by
A Jorge Garcia
PDF
Life aftercalcday5
by
A Jorge Garcia
PDF
5HBC2012 Unit5 Assignment Sheet
by
A Jorge Garcia
PDF
LAC2013 UNIT preTESTs!
by
A Jorge Garcia
Life aftercalcday4
by
A Jorge Garcia
LAC2013 Day 03 Hooke's Law Part II
by
A Jorge Garcia
Week06 Iterations Java Boot Camp!
by
A Jorge Garcia
LAC2013 Day 02 Hooke's Law Part I
by
A Jorge Garcia
WEEK05 DECISIONS JAVA BOOT CAMP!
by
A Jorge Garcia
UNIT05.bcs
by
A Jorge Garcia
5HBC2012 11-03 Taylor Power Series
by
A Jorge Garcia
Life aftercalcday3
by
A Jorge Garcia
5HBC2012 904 Variable Separable DiffEqus!
by
A Jorge Garcia
Ncshs student application form
by
A Jorge Garcia
LAC2013 Day 04 - Air Resistance Part I
by
A Jorge Garcia
5HBC2012 1104 LaGrange Error Term
by
A Jorge Garcia
Lab06: Iterations Java Boot Camp!
by
A Jorge Garcia
Life aftercalcday6
by
A Jorge Garcia
LAC2013 Days 04 & 05: Air Resistance Part II
by
A Jorge Garcia
Life aftercalcday5
by
A Jorge Garcia
5HBC2012 Unit5 Assignment Sheet
by
A Jorge Garcia
LAC2013 UNIT preTESTs!
by
A Jorge Garcia
More from A Jorge Garcia
PDF
LIMACON 2023 Brochure
by
A Jorge Garcia
PDF
2022-RESUME-NEW
by
A Jorge Garcia
PDF
MAT122 DAY508 MEETING 44 of 45 2021.1217 FRIDAY
by
A Jorge Garcia
PDF
MAT122 DAY507 MEETING 43 of 45 2021.1216 THURSDAY
by
A Jorge Garcia
PDF
MAT122 DAY506 MEETING 42 of 45 2021.1215 WEDNESDAY
by
A Jorge Garcia
PDF
MAT122 DAY308 Lesson 26 of 45
by
A Jorge Garcia
PDF
MAT122 DAY307 Lesson 25 of 45
by
A Jorge Garcia
PDF
MAT122 DAY306 Lesson 24 of 45
by
A Jorge Garcia
PDF
MAT122 DAY305 Lesson 23 of 45
by
A Jorge Garcia
PDF
MAT122 DAY304 Lesson 22 of 45
by
A Jorge Garcia
PDF
MAT122 DAY303 Lesson 21 of 45
by
A Jorge Garcia
PDF
MAT122 DAY302 Lesson 20 of 45
by
A Jorge Garcia
PDF
MAT122 DAY301 Lesson 19 of 45
by
A Jorge Garcia
PDF
MAT122 DAY205
by
A Jorge Garcia
PDF
MAT122 DAY204
by
A Jorge Garcia
PDF
MAT122 DAY203
by
A Jorge Garcia
PDF
MAT122 DAY202
by
A Jorge Garcia
PDF
MAT122 DAY201
by
A Jorge Garcia
PDF
MAT122 DAY06
by
A Jorge Garcia
PDF
MAT122 DAY05
by
A Jorge Garcia
LIMACON 2023 Brochure
by
A Jorge Garcia
2022-RESUME-NEW
by
A Jorge Garcia
MAT122 DAY508 MEETING 44 of 45 2021.1217 FRIDAY
by
A Jorge Garcia
MAT122 DAY507 MEETING 43 of 45 2021.1216 THURSDAY
by
A Jorge Garcia
MAT122 DAY506 MEETING 42 of 45 2021.1215 WEDNESDAY
by
A Jorge Garcia
MAT122 DAY308 Lesson 26 of 45
by
A Jorge Garcia
MAT122 DAY307 Lesson 25 of 45
by
A Jorge Garcia
MAT122 DAY306 Lesson 24 of 45
by
A Jorge Garcia
MAT122 DAY305 Lesson 23 of 45
by
A Jorge Garcia
MAT122 DAY304 Lesson 22 of 45
by
A Jorge Garcia
MAT122 DAY303 Lesson 21 of 45
by
A Jorge Garcia
MAT122 DAY302 Lesson 20 of 45
by
A Jorge Garcia
MAT122 DAY301 Lesson 19 of 45
by
A Jorge Garcia
MAT122 DAY205
by
A Jorge Garcia
MAT122 DAY204
by
A Jorge Garcia
MAT122 DAY203
by
A Jorge Garcia
MAT122 DAY202
by
A Jorge Garcia
MAT122 DAY201
by
A Jorge Garcia
MAT122 DAY06
by
A Jorge Garcia
MAT122 DAY05
by
A Jorge Garcia
Recently uploaded
PDF
Bones by Sadu Kassam (play) story ppt pdf
by
RonnieMaeBorres
PDF
java full stack programming and interview questions
by
rajuashokit
PDF
Chapter 05 Drugs Acting on the Central Nervous System: Anti-Depressant Drugs
by
SandeshSul
PDF
AI Is a Tool, Not a Voice: Radio, Trust, and the Human Factor
by
N.A. Shah Ansari
PDF
Chapter 05 Drugs Acting on the Central Nervous System: Anticonvulsant (Antiep...
by
SandeshSul
PDF
BP502T Industrial Pharmacy I (Theory) UNIT– I (Part 1)
by
Rushi Mandali
PDF
Pratishta Educational Society., Courses & Opportunities
by
GanapathiVankudoth
PPTX
Types of counselling Directive, Non Directive, Eclectic Counselling
by
Priya Sush
PPTX
Greengnorance Toolkit Module 2 Energy saving
by
Karl Donert
PPTX
Renal Physiology- Juxtaglomerular Apparatus.pptx
by
Disha Soriya
PPTX
Math 8 Quarter 4 Week 3 PRIMARY DATA.pptx
by
shahanieabbat3
PDF
Conservation of Earthen Structures in India Preserving Traditional and Sustai...
by
Aman Kumar Singh
PDF
PHARMACOLOGY 1 ( BP 404 T) Unit 1 (Cology 1)
by
Chetan Mali
PPTX
Plant fibres used as surgical dressings & Sutures – Surgical Catgut and Ligat...
by
Sai Meer College of Pharmacy
PDF
Workshop 29 Crystal Review All Students by YogiGoddess
by
©LDMMIA, ©Reiki Yoga
PPTX
How to perform product search based on a custom field from the Website Shop p...
by
Celine George
PPTX
ELIMINATION NEEDS Fundamentals of Nursing .pptx
by
Sonali Gupta
PPTX
How to Add an Icon in Systray in Odoo 18
by
Celine George
PPTX
Greengnorance Toolkit Module 4 Active Mobility and Transport
by
Karl Donert
PDF
Judgement Regarding Land Acquisition Act not Applicable to Encroachers.pdf
by
ssuser9d8e4e
Bones by Sadu Kassam (play) story ppt pdf
by
RonnieMaeBorres
java full stack programming and interview questions
by
rajuashokit
Chapter 05 Drugs Acting on the Central Nervous System: Anti-Depressant Drugs
by
SandeshSul
AI Is a Tool, Not a Voice: Radio, Trust, and the Human Factor
by
N.A. Shah Ansari
Chapter 05 Drugs Acting on the Central Nervous System: Anticonvulsant (Antiep...
by
SandeshSul
BP502T Industrial Pharmacy I (Theory) UNIT– I (Part 1)
by
Rushi Mandali
Pratishta Educational Society., Courses & Opportunities
by
GanapathiVankudoth
Types of counselling Directive, Non Directive, Eclectic Counselling
by
Priya Sush
Greengnorance Toolkit Module 2 Energy saving
by
Karl Donert
Renal Physiology- Juxtaglomerular Apparatus.pptx
by
Disha Soriya
Math 8 Quarter 4 Week 3 PRIMARY DATA.pptx
by
shahanieabbat3
Conservation of Earthen Structures in India Preserving Traditional and Sustai...
by
Aman Kumar Singh
PHARMACOLOGY 1 ( BP 404 T) Unit 1 (Cology 1)
by
Chetan Mali
Plant fibres used as surgical dressings & Sutures – Surgical Catgut and Ligat...
by
Sai Meer College of Pharmacy
Workshop 29 Crystal Review All Students by YogiGoddess
by
©LDMMIA, ©Reiki Yoga
How to perform product search based on a custom field from the Website Shop p...
by
Celine George
ELIMINATION NEEDS Fundamentals of Nursing .pptx
by
Sonali Gupta
How to Add an Icon in Systray in Odoo 18
by
Celine George
Greengnorance Toolkit Module 4 Active Mobility and Transport
by
Karl Donert
Judgement Regarding Land Acquisition Act not Applicable to Encroachers.pdf
by
ssuser9d8e4e
5HBC2012 11-01 MacLaurin Power Series
1.
1
2.
2
3.
3
4.
4
Download