Embed presentation
Download to read offline






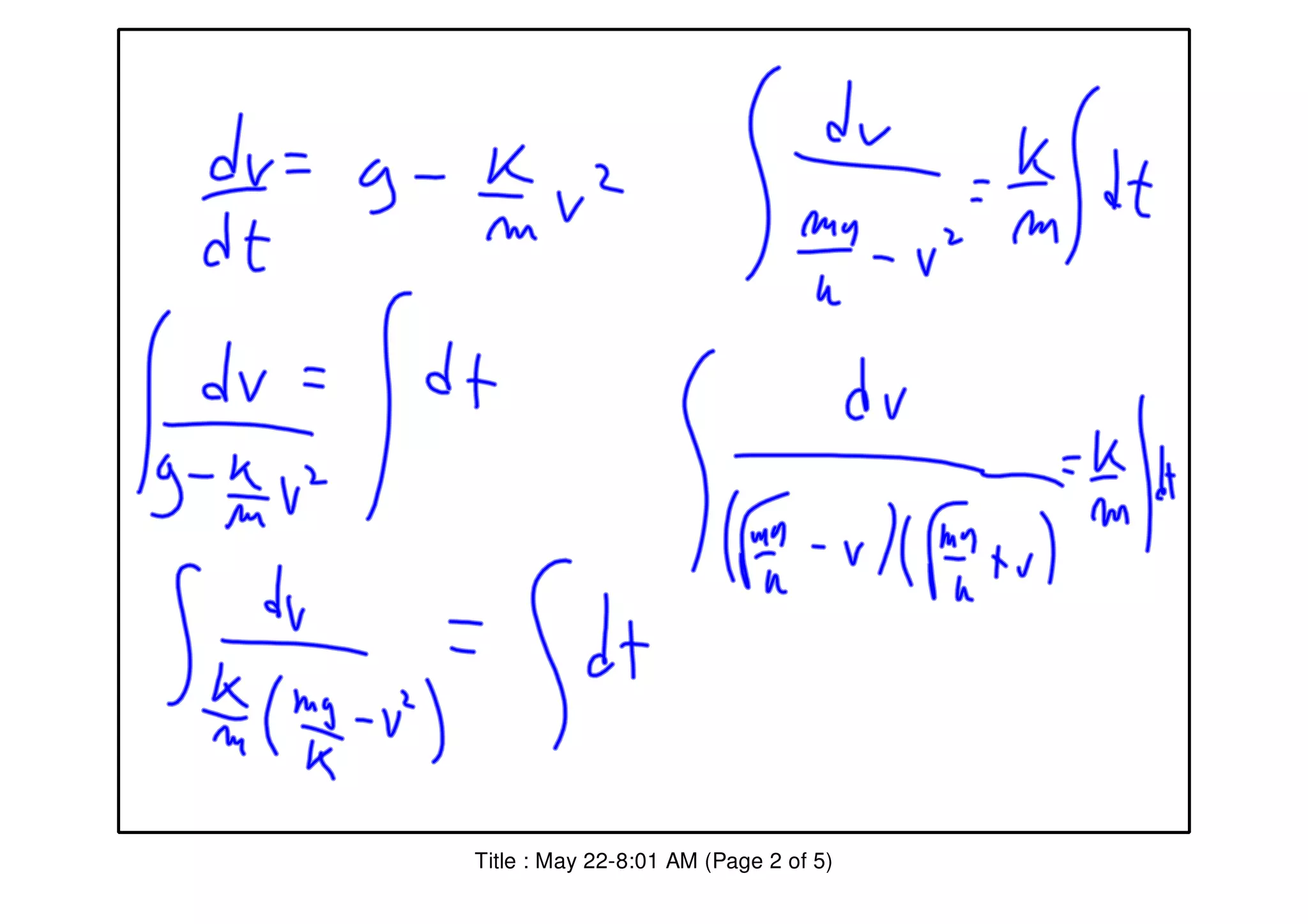
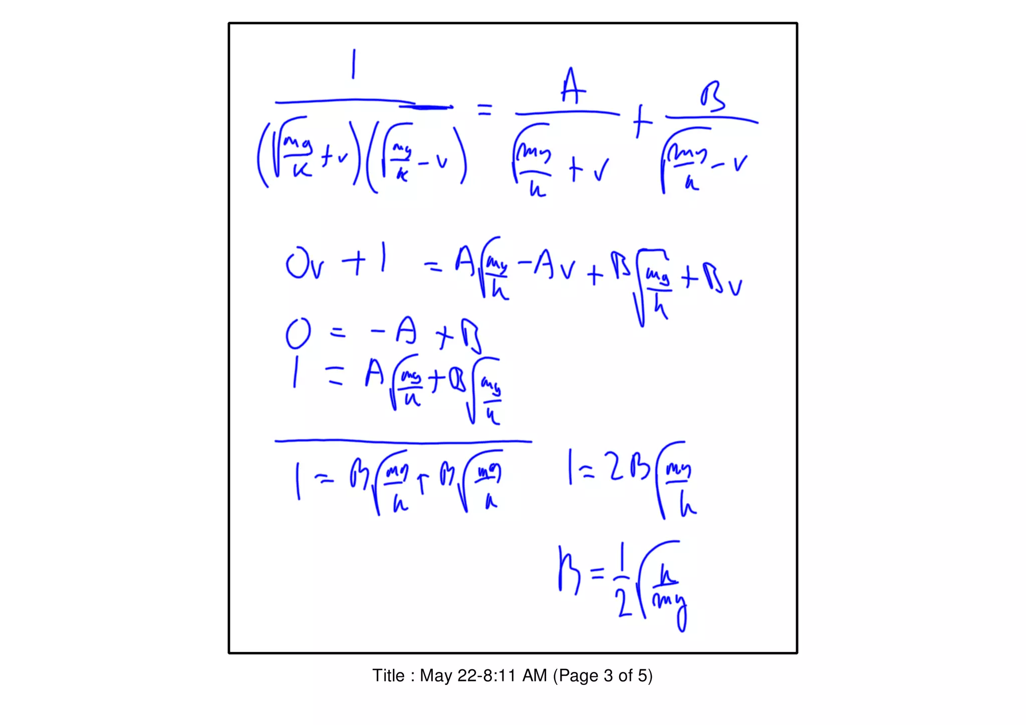
This document appears to be a log of 5 pages of entries from May 22nd, with timestamps ranging from 7:39 AM to 8:17 AM. The titles indicate the pages were created at different times that morning and include the time and page number.




