PARÁBOLAS




 x
-5
-4
-3
-2
-1
 0
 1
 2
 3
 4
 5
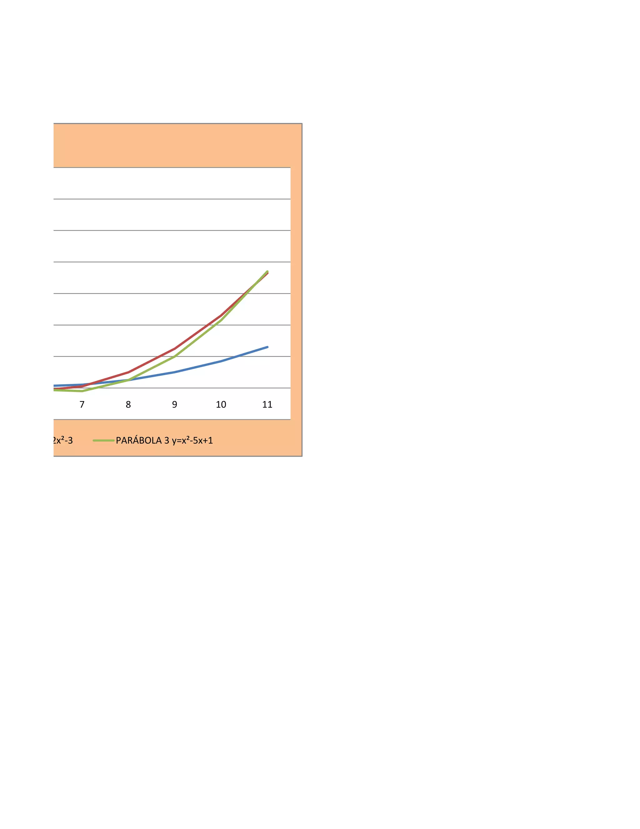
PARÁBOLAS



PARÁBOLA 1    PARÁBOLA 2        PARÁBOLA 3
  y=x²+1        y=2x²-3          y=x²-5x+1
         26                47            51
         17                29            37
         10                15            25
          5                 5            15
          2                -1             7
          1                -3             1
          2                -1            -3
          5                 5            -5
         10                15            -5
         17                29            -3
         26                47             1
z
Parábolas
140


120


100


 80


 60


 40


 20


  0
      1   2          3        4     5        6
-20

              PARÁBOLA 1 y=x²+1     PARÁBOLA 2 y=2x²
ábolas




                   7     8        9           10   11


RÁBOLA 2 y=2x²-3       PARÁBOLA 3 y=x²-5x+1

5 practica