Mysore University School of Engineering
8J99+QC7, Manasa Gangothiri, Mysuru, Karnataka 570006
Prepared by: Mr Thanmay J S, Assistant Professor, Bio-Medical & Robotics Engineering, UoM, SoE, Mysore 57006
Elements of Mechanical Engineering
(21EME15-25)
MODULE 05 NOTES
Mysore University School of Engineering
8J99+QC7, Manasa Gangothiri, Mysuru, Karnataka 570006
Prepared by: Mr Thanmay J S, Assistant Professor, Bio-Medical & Robotics Engineering, UoM, SoE, Mysore 57006
Module 05: Course Content
5.0 Introduction to Automation and Robotics
5.1 Introduction to Automation
5.2 CNC-Introduction,
5.3 Components of CNC,
5.4 Advantages and disadvantages of CNC.
5.5 Introduction to Robots,
5.6 Robot anatomy,
5.7 Robots’ configuration:
 Polar,
 Cylindrical,
 Cartesian and
 Spherical.
5.8 Applications, Advantages, and Disadvantages of Robots
5.9 Introduction to Engineering Materials
5.10 Properties of Engineering Materials
5.11 Composition of Engineering Materials
5.12 Industrial Applications of Engineering Materials
5.13 Ferrous Materials:
 Cast Iron
 Tool Steels
 Stainless Steels
5.14 Non-Ferrous Materials:
 Aluminium
 Brass
 Bronze
5.15 Polymers
 Thermoplastics polymers
 Thermosetting polymers
5.16 Comparison between Thermoplastics and Thermosetting polymers
5.17 Introduction to Ceramics
 Glass
 Optical fiber
 Cermet’s
5.18 Composites
 Fiber reinforced composites
 Metal Matrix Composites
Comparison between FRP and MMC
Mysore University School of Engineering
8J99+QC7, Manasa Gangothiri, Mysuru, Karnataka 570006
Prepared by: Mr Thanmay J S, Assistant Professor, Bio-Medical & Robotics Engineering, UoM, SoE, Mysore 57006
5.0 Introduction to Automation and Robotics
Automation and robotics are critical technologies transforming industries by increasing efficiency, precision,
and safety. Automation involves the use of control systems like computers or robots to manage processes
with minimal human intervention. Robotics, on the other hand, focuses on designing and building robots that
can perform tasks autonomously or semi-autonomously, helping in fields such as manufacturing, medicine,
and space exploration.
5.1 Introduction to Automation
Automation refers to the use of technology to perform tasks without human intervention. It has been widely
adopted in industries to improve productivity, quality, and consistency.
Types of Automation:
1. Fixed (Hard) Automation:
Fixed automation is a type of automation where the process of manufacturing stays fixed by the way it is
configured, following a fixed sequence of automated processes. An example of this is flow production, where
products are continuously being made. This is often also known as “hard automation”.
Fixed automation can be expensive to set up initially due to the equipment required, but in return, it provides
high production rates. However, it is relatively inflexible when it comes to making changes to the product.
This is relatively useful for many companies who use automation to create food products of one type and
variant. It allows them to effectively produce that item and package it in bulk.
Foods that require chemical processes, for example, may use this to ensure the consistency of the chemical
processes.
Advantages of fixed automation include:
• High levels of production
• Consistent quality in production
• Low cost per unit produced
Disadvantages of fixed automation include:
• High initial cost
• Difficult to accommodate changes
Mysore University School of Engineering
8J99+QC7, Manasa Gangothiri, Mysuru, Karnataka 570006
Prepared by: Mr Thanmay J S, Assistant Professor, Bio-Medical & Robotics Engineering, UoM, SoE, Mysore 57006
2. Programmable Automation:
Programmable Automation
Programmable automation allows the production equipment and automation to be altered to changing needs.
This is done by controlling the automation through a program, which can be coded in certain ways for the
automation to change the sequence of automation.
It’s used more commonly in low to medium levels of production, often being most suitable for batch
production.
Programmable automation will often be used by factories who make different variants of foods. This allows
them to make batches, from a few dozen to potentially thousands at a time, of one product. If the product
needs changing, it simply needs to be reprogrammed.
Advantages include:
• Flexibility to change products if needed
• Suitable if batch production is required
Disadvantages include:
• Expensive for equipment
• Lower production levels
• Often time-consuming to change products
3. Flexible (Soft) Automation:
Flexible automation, also known as “soft automation”, is similar to programmable automation, although a
little more complicated. Essentially, flexible automation enables the production of different types of products
without losing time when reprogramming.
A flexible automation system can produce various combinations of products efficiently without having to
separate them into different batches, as required in batch production. This type of automation tends to have
medium levels of production.
Advantages include:
• Flexibility of products
• No time lost with new changes to production
Disadvantages include:
• High custom machinery/automation cost
• Higher cost per unit
5.2 CNC-Introduction
CNC (Computer Numerical Control) refers to a method of automating machine tools through the use of a
computer to execute precise movements. The evolution of CNC started with simple mechanical systems and
has advanced with digital controls, allowing for more complex and accurate machining.
Mysore University School of Engineering
8J99+QC7, Manasa Gangothiri, Mysuru, Karnataka 570006
Prepared by: Mr Thanmay J S, Assistant Professor, Bio-Medical & Robotics Engineering, UoM, SoE, Mysore 57006
CNC machines operate based on programmed instructions to control a variety of machine tools
such as lathes, mills, and drills. These instructions are typically provided in G-code.
Evolution:
o 1960s: Introduction of numerical control (NC) with punched cards.
o 1970s: Development of CNC, allowing for more flexible and precise control.
o 2000s: Integration of CAD/CAM software, enhancing design-to-manufacturing efficiency.
Using Methods:
o G-code Programming: CNC machines are programmed using G-
code, a language that directs machine tools on how to perform
operations.
o Manual Programming: Operators input instructions manually on the
machine's control panel.
o CAD/CAM: Computer-aided design (CAD) and computer-aided
manufacturing (CAM) are used to design and simulate parts before
production.
5.3 Components of CNC
CNC systems consist of several key components:
1. Controller: The brain of the CNC system, which processes the input commands.
2. Computer/Processor: Runs the software that generates the machine code (G-code).
3. Input Device: Includes tools like keyboards or touchscreens for the operator to interact with the
system.
4. Machine Tool: The actual physical tool, such as a lathe or mill, that performs the cutting or shaping.
5. Feedback System: Provides real-time data on the tool’s position and adjusts the machine movements
to maintain precision.
6. Drive Motors: Motors that provide movement along the axes (X, Y, Z) to control tool position.
Mysore University School of Engineering
8J99+QC7, Manasa Gangothiri, Mysuru, Karnataka 570006
Prepared by: Mr Thanmay J S, Assistant Professor, Bio-Medical & Robotics Engineering, UoM, SoE, Mysore 57006
5.4 Advantages and disadvantages of CNC.
Advantages Disadvantages
High precision and repeatability High initial cost for machines and software
Reduces human error and labor costs Requires skilled labor for programming and maintenance
Capable of complex shapes and designs Potential for breakdowns leading to downtime
Automation improves production speed and efficiency Complexity in programming for intricate tasks
Flexible and adaptable to different tasks Limited by the software and hardware capabilities
5.5 Introduction to Robots
A robot is a programmable machine capable of carrying out tasks autonomously or semi-autonomously.
Robots can perform repetitive or hazardous tasks with high precision, making them useful in industries such
as manufacturing, healthcare, and space exploration.
5.6 Robot anatomy
The anatomy of a robot consists of several essential components:
• Base: The stationary part that provides stability.
• Body: Includes the structure and framework that holds the robot's components.
• Joints: Provide movement between links.
• Links: Rigid components that connect joints.
• Actuators: Devices that produce motion by converting energy into mechanical force.
• Sensors: Devices that allow the robot to perceive its environment (e.g., cameras, touch sensors).
• End Effectors: The tool or device attached to the robot's arm to interact with objects.
5.7 Robots’ configuration:
Robots come in different configurations based on the number of Degrees of Freedom (DOF), their work
volume, and the types of industrial applications they serve.
1. Cartesian Robots (Linear Robots)
Structure: Cartesian robots use three linear axes (X, Y, and Z), enabling movement along straight lines in a
three-dimensional rectangular coordinate system.
Mysore University School of Engineering
8J99+QC7, Manasa Gangothiri, Mysuru, Karnataka 570006
Prepared by: Mr Thanmay J S, Assistant Professor, Bio-Medical & Robotics Engineering, UoM, SoE, Mysore 57006
Degrees of Freedom (DOF): Typically 3 degrees of freedom, corresponding to movement along
the X, Y, and Z axes.
Movement: The robot moves in a straightforward manner, making only linear motions along the axes.
Applications:
o 3D printing.
o CNC (Computer Numerical Control) machines.
o Material handling and assembly.
Advantages:
o Simple design, easy to program.
o Cost-effective and reliable for repetitive tasks.
o Precise linear movements and high repeatability.
2. Cylindrical Robots
Structure: Cylindrical robots operate within a cylindrical work envelope. They consist of a vertical linear
movement (along the Z-axis) and rotational movement (around the Z-axis) with a horizontal movement (along
the X-axis).
Degrees of Freedom (DOF): Typically 3 degrees of freedom, including two linear movements (X and Z axes)
and one rotational movement (θ around the Z-axis).
Movement: The robot can extend or retract along the Z-axis, rotate around the Z-axis, and move horizontally
along the X-axis.
Applications:
o Assembly tasks.
o Handling materials in a cylindrical work volume.
o Picking and placing applications in confined spaces.
Advantages:
o Simple construction and programming.
o Compact and adaptable for confined spaces.
o Suitable for applications involving a combination of horizontal and vertical motions.
3. Polar or Spherical Robots
Structure: Polar robots, also known as spherical robots, have a rotational base and a moving arm that operates
within a spherical workspace. The movement consists of a radial arm with rotation about a vertical axis and a
pitch motion along the radial axis.
Degrees of Freedom (DOF): Typically, 3 degrees of freedom, which include:
o One rotational motion about the base (azimuth).
o One radial movement (extension/retraction).
Mysore University School of Engineering
8J99+QC7, Manasa Gangothiri, Mysuru, Karnataka 570006
Prepared by: Mr Thanmay J S, Assistant Professor, Bio-Medical & Robotics Engineering, UoM, SoE, Mysore 57006
o One vertical rotational motion (elevation or pitch).
Movement: The end effector can move in a spherical range, with the robot arm pivoting around a central base
and moving along a curved path.
Applications:
o Welding, painting, and other tasks requiring a spherical motion.
o Material handling in circular or radial workspaces.
o Robotics in large-scale manufacturing.
Advantages:
o Provides flexibility in reaching a wide range of points in a spherical
workspace.
o Suitable for large and open-area tasks.
4. SCARA Robots (Selective Compliance Assembly Robot Arm)
Structure: SCARA robots consist of two parallel rotational joints in the horizontal plane (X and Y), and a
vertical prismatic joint (Z-axis). This structure gives them flexibility for horizontal movement while
maintaining rigidity along the vertical axis.
Degrees of Freedom (DOF): Typically 4 degrees of freedom, with 2 rotational and 1 prismatic (vertical)
movement, providing flexibility in two dimensions (X, Y) and rigidity along the Z-axis.
Movement: SCARA robots are capable of precise horizontal movements while being more rigid and stable
vertically. They offer both rotational and linear movement in a highly controlled manner.
Applications:
o Assembly operations.
o Pick-and-place tasks.
o Packaging and material handling.
Advantages:
o High speed and accuracy for horizontal motions.
o Ideal for high-throughput, repetitive tasks.
o Cost-effective for simple operations requiring precision.
5. Angular Robots (also referred to as Articulated Robots)
• Structure: Angular robots, or articulated robots, have multiple rotary joints (revolute joints) that allow
for complex movement. These robots often resemble a human arm with multiple segments (links)
connected by joints that can rotate.
• Degrees of Freedom (DOF): Typically 4 to 7 degrees of freedom, allowing for a wide range of
rotational and translational movements. These robots can rotate around their joints and move in many
directions.
Mysore University School of Engineering
8J99+QC7, Manasa Gangothiri, Mysuru, Karnataka 570006
Prepared by: Mr Thanmay J S, Assistant Professor, Bio-Medical & Robotics Engineering, UoM, SoE, Mysore 57006
• Movement: These robots have highly flexible movements due to their multiple joints and
can perform a variety of complex motions, including rotation, bending, and extending.
• Applications:
o Applications such as welding, painting, and assembly.
o Handling heavy-duty materials.
o Robotics in hazardous environments.
• Advantages:
o Extremely flexible and capable of complex movements.
o Can reach into tight spaces or around obstacles.
o Suitable for a wide range of manufacturing and industrial tasks.
Summary of Robot Configurations:
Robot Type Key Features Advantages Common Applications
Cartesian Robots
Linear motion along X, Y,
and Z axes
Simple design, easy to
program, cost-effective
3D printing, CNC,
material handling
Cylindrical
Robots
Vertical and horizontal
motion with rotation
Compact, suitable for
confined spaces, adaptable
Assembly, material
handling, pick-and-place
Polar/Spherical
Robots
Radial movement with
rotation and vertical pitch
Wide-reaching workspace,
high flexibility
Welding, painting, large-
scale manufacturing
SCARA Robots
Two parallel rotational
joints, vertical prismatic
motion
High speed, precision in
horizontal motions, cost-
effective
Electronics assembly,
pick-and-place
Angular Robots
Multiple rotary joints,
highly flexible
Complex movements,
suitable for a wide range of
tasks
Welding, assembly,
hazardous environments
5.8 Applications, Advantages, and Disadvantages of Robots
Applications Advantages Disadvantages
Manufacturing: Assembly, welding,
painting
High precision and speed High initial investment
Healthcare: Surgery, prosthetics,
rehabilitation
Reduces human error, enhances
precision
Requires specialized training
Agriculture: Harvesting, planting,
monitoring
Increases yield, reduces labor costs Limited adaptability to changing
conditions
Space Exploration: Rovers, satellites Performs dangerous tasks, remote
operations
High cost, limited by technology
Logistics: Automated warehouses,
delivery robots
Reduces human labor, increases
efficiency
May displace jobs
Mysore University School of Engineering
8J99+QC7, Manasa Gangothiri, Mysuru, Karnataka 570006
Prepared by: Mr Thanmay J S, Assistant Professor, Bio-Medical & Robotics Engineering, UoM, SoE, Mysore 57006
5.9 Introduction to Engineering Materials
Engineering materials are substances used to make mechanical structures and systems. They must meet
specific criteria for strength, durability, and other properties depending on the application. Materials can be
classified into metals, polymers, ceramics, and composites.
5.10 Properties of Engineering Materials
1. Tensile Strength
Definition: Tensile strength is the maximum stress a material can withstand when being stretched or pulled
before breaking. It indicates the material's ability to resist deformation under tension.
Units: Pascals (Pa) or Megapascals (MPa).
• Standard Values:
o Mild Steel: 400-500 MPa
o Aluminum: 200-300 MPa
2. Yield Strength
Definition: Yield strength is the stress at which a material begins to deform plastically. Beyond this point,
permanent deformation occurs. It marks the limit beyond which the material will no longer return to its
original shape.
• Units: Pascals (Pa) or Megapascals (MPa).
• Standard Values:
o Mild Steel: 250 MPa
o Aluminum: 100-200 MPa
3. Elastic Modulus (Young’s Modulus)
Definition: Elastic modulus measures a material's ability to resist deformation under stress. It is the ratio of
stress to strain in the elastic region of the material's stress-strain curve.
• Units: Pascals (Pa) or Gigapascals (GPa).
• Standard Values:
o Mild Steel: 200 GPa
o Aluminum: 70 GPa
4. Thermal Conductivity
Definition: Thermal conductivity is a material's ability to conduct heat. A higher value indicates that the
material is a better conductor of heat.
• Units: Watts per meter per Kelvin (W/m·K).
• Standard Values:
o Aluminum: 205 W/m·K
o Steel: 50-60 W/m·K
Mysore University School of Engineering
8J99+QC7, Manasa Gangothiri, Mysuru, Karnataka 570006
Prepared by: Mr Thanmay J S, Assistant Professor, Bio-Medical & Robotics Engineering, UoM, SoE, Mysore 57006
5. Hardness
• Definition: Hardness refers to the resistance of a material to indentation, scratching, or abrasion. It
indicates the material's ability to resist plastic deformation.
• Units: Typically measured using scales like Brinell Hardness (HB), Vickers (HV), or Rockwell (HR).
• Standard Values:
o Stainless Steel: 150-250 HB
o Aluminum: 30-120 HB
6. Density
• Definition: Density is the mass per unit volume of a material. It determines how heavy a material is
for a given volume.
• Units: Kilograms per cubic meter (kg/m³) or grams per cubic centimeter (g/cm³).
• Standard Values:
o Mild Steel: 7.85 g/cm³
o Aluminum: 2.7 g/cm³
5.11 Composition of Engineering Materials
• Metals: Composed of atoms arranged in a crystal lattice structure. Metals bond through metallic
bonding, where electrons are shared freely among atoms.
• Polymers: Made up of long chains of molecules (monomers) connected by covalent bonds.
Examples include polyethylene and nylon.
• Ceramics: Consist of metal and non-metal atoms bonded primarily through ionic or covalent bonds,
creating a strong, brittle structure.
• Composites: Made from two or more materials, combining the properties of the individual
components.
5.12 Industrial Applications of Engineering Materials
• Metals: Used in construction, automotive, and aerospace for structural applications.
• Polymers: Employed in consumer goods, packaging, automotive parts, and electronics due to their
lightweight and moldability.
• Ceramics: Used in applications requiring high heat resistance, such as cutting tools, furnace linings,
and electronic components.
• Composites: Used in aerospace, automotive, and sports equipment due to their strength-to-weight
ratio and resistance to corrosion.
Mysore University School of Engineering
8J99+QC7, Manasa Gangothiri, Mysuru, Karnataka 570006
Prepared by: Mr Thanmay J S, Assistant Professor, Bio-Medical & Robotics Engineering, UoM, SoE, Mysore 57006
5.13 Ferrous Materials: Ferrous materials are metals that contain iron as their primary component.
Characteristics:
 Typically magnetic (due to the presence of iron).
 Can rust or corrode when exposed to moisture and oxygen, as iron reacts with water to form iron oxide.
 Generally stronger and more durable, though heavier.
Common Examples:
 Steel (an alloy of iron and carbon, sometimes with other elements).
 Cast Iron (iron with a higher carbon content than steel).
 Wrought Iron (iron with a very low carbon content, historically used for gates, railings, etc.).
 Carbon Steel, Stainless Steel, Alloy Steel, etc.
Examples:
a) Cast Iron:
Properties: High wear resistance, brittle, good castability.
Manufacturing Method: Melting iron, casting in molds.
Applications: Engine blocks, pipes, machine bases.
b) Tool Steels:
Properties: Hard, wear-resistant, can be heat-treated.
Manufacturing Method: Alloying iron with carbon and other elements.
Applications: Cutting tools, dies, molds.
c) Stainless Steels:
Properties: Corrosion-resistant, strong, ductile.
Manufacturing Method: Alloying steel with chromium and nickel.
Applications: Kitchenware, medical instruments, structural components.
5.14 Non-Ferrous Materials: Non-ferrous materials are metals that do not contain iron or contain only
trace amounts.
Characteristics:
 Non-magnetic (due to the absence of iron).
 Generally more resistant to corrosion and rusting compared to ferrous metals.
 Often lighter than ferrous metals.
 Typically more expensive than ferrous materials.
Common Examples:
 Aluminum (used in aerospace, packaging, etc.).
 Copper (used in electrical wiring and plumbing).
 Lead (used in batteries, radiation shielding, etc.).
 Nickel, Titanium, Zinc, Brass, Bronze.
Mysore University School of Engineering
8J99+QC7, Manasa Gangothiri, Mysuru, Karnataka 570006
Prepared by: Mr Thanmay J S, Assistant Professor, Bio-Medical & Robotics Engineering, UoM, SoE, Mysore 57006
Examples:
a) Aluminium:
Properties: Lightweight, corrosion-resistant, good conductivity.
Manufacturing Method: Extraction from bauxite, casting or extrusion.
Applications: Aircraft, automotive, packaging.
b) Brass:
Properties: Corrosion-resistant, excellent machinability, ductile.
Manufacturing Method: Alloying copper with zinc.
Applications: Plumbing fittings, electrical connectors.
c) Bronze:
Properties: Strong, corrosion-resistant, hard.
Manufacturing Method: Alloying copper with tin.
Applications: Bearings, coins, sculptures
5.15 Polymers
Polymers are large molecules made up of repeating subunits known as monomers. These monomers are
chemically bonded together to form long chains or networks. Polymers are a fundamental class of materials
with a wide variety of properties and uses. They can be found in both natural and synthetic forms.
Polymers are an incredibly diverse group of materials with applications across almost every industry. Their
flexibility, versatility, and ability to be tailored for specific uses make them one of the most important
categories of materials in both natural and synthetic forms.
Characteristics of Polymers:
 High Molecular Weight: Polymers are made up of long chains of repeating monomer units, giving them
large molecular sizes.
 Versatility: They can be engineered to have a wide range of physical properties, such as flexibility,
strength, or resistance to heat and chemicals, depending on the type of monomers and how they are linked
together.
 Lightweight: Many polymers are lightweight compared to metals and ceramics, making them ideal for
various applications.
Types of Polymers:
1. Natural Polymers: These are polymers that occur naturally in nature. Examples include:
▪ Cellulose: Found in plant cell walls; used in paper and textiles.
▪ Proteins: Made up of amino acids and serve as the building blocks of living organisms.
▪ DNA: A natural polymer composed of nucleotide monomers that carry genetic information.
▪ Natural Rubber: Derived from the latex of rubber trees.
Mysore University School of Engineering
8J99+QC7, Manasa Gangothiri, Mysuru, Karnataka 570006
Prepared by: Mr Thanmay J S, Assistant Professor, Bio-Medical & Robotics Engineering, UoM, SoE, Mysore 57006
2. Synthetic Polymers: These are man-made polymers produced through chemical
processes. They are often created to mimic the properties of natural polymers but with enhanced
characteristics. Examples include:
▪ Polyethylene (PE): A common plastic used in packaging, containers, and bottles.
▪ Polypropylene (PP): Used in automotive parts, textiles, and food containers.
▪ Polyvinyl Chloride (PVC): Used in plumbing pipes, flooring, and clothing.
▪ Nylon: A synthetic fiber used in clothing, ropes, and industrial products.
▪ Polystyrene (PS): Found in disposable cups, plates, and packaging materials.
Classification Based on Behavior:
1. Thermoplastics:
o These polymers can be repeatedly melted and reshaped when heated. They soften when
heated and solidify upon cooling.
o Examples: Polyethylene, Polypropylene, Polystyrene.
2. Thermosetting Polymers:
o These polymers harden permanently when heated and molded. They cannot be remelted or
reshaped once they have set.
o Examples: Epoxy, Bakelite, Melamine.
3. Elastomers:
o These polymers have rubber-like properties and can return to their original shape after being
stretched.
o Example: Rubber (natural or synthetic).
Uses of Polymers:
Packaging: Plastics like polyethylene, polypropylene, and PVC are commonly used in packaging materials.
Textiles: Polymers like nylon, polyester, and spandex are used to make fabrics.
Medical Devices: They are used in the manufacturing of items like syringes, implants, and surgical gloves.
Electronics: They are used in the production of insulation, circuit boards, and casings for electronic devices.
Automotive: Polymers are used in car parts, such as bumpers, dashboards, and seating materials, etc.
5.16 Comparison between Thermoplastics and Thermosetting polymers
Property Thermoplastics Thermosetting Polymers
Moldability Can be remolded upon heating Cannot be remolded after setting
Heat Resistance Lower compared to thermosets High heat resistance
Recycling Easily recyclable Not recyclable
Examples Polyethylene, PVC Epoxy, Phenolic
Mysore University School of Engineering
8J99+QC7, Manasa Gangothiri, Mysuru, Karnataka 570006
Prepared by: Mr Thanmay J S, Assistant Professor, Bio-Medical & Robotics Engineering, UoM, SoE, Mysore 57006
Introduction to Ceramics
The term ‘ceramic’ comes from the Greek word meaning ‘pottery’. A ceramic is a material that is neither
metallic nor organic. It may be crystalline, glassy or both crystalline and glassy. Ceramics are typically hard
and chemically non-reactive and can be formed or densified with heat.
Ceramic materials can be defined as inorganic materials constituted by the combination of metallic and
nonmetallic elements whose properties depend on the way in which these elements are linked. Ceramic
materials are the most versatile branch of materials. The origin of this versatility lies in the chemical nature of
its bonds, since they are mainly constituted by strong ionic and covalent bonds in different proportions. The
bonds determine a series of particular properties of ceramic materials among which are relatively high fusion
temperatures, high modulus, high wear strength, poor thermal properties, high hardness and fragilities
combined with tenacities, and low ductility. In addition to the lack of conduction electrons since they are
combined forming chemical bonds, they are good electrical insulators.
Glass:
• Properties: Transparent, brittle, and heat-resistant.
• Manufacturing Method: Melting silica with other materials.
• Applications: Windows, lenses, bottles.
Optical Fiber:
• Properties: High tensile strength, transparency.
• Manufacturing Method: Drawing glass into thin fibers.
• Applications: Telecommunications, data transmission.
Cermets:
• Properties: Combine the hardness of ceramics and toughness of metals.
• Manufacturing Method: Sintering metal powders with ceramic materials.
• Applications: Cutting tools, aerospace components.
5.17Introduction to Composites
A composite material is composed of at least two materials, which combine to give properties superior to those
of the individual constituents. fibre reinforced polymer (FRP) composites, usually with carbon, glass, aramid,
polymer or natural fibers embedded in a polymer matrix. Other matrix materials can be used and composites
may also contain fillers or nano-materials such as graphene.
The many component materials and different processes that can be used make composites extremely versatile
and efficient. They typically result in lighter, stronger, more durable solutions compared to traditional
materials.
The primary reason composite materials are chosen for components is because of weight saving for its relative
stiffness and strength.
Mysore University School of Engineering
8J99+QC7, Manasa Gangothiri, Mysuru, Karnataka 570006
Prepared by: Mr Thanmay J S, Assistant Professor, Bio-Medical & Robotics Engineering, UoM, SoE, Mysore 57006
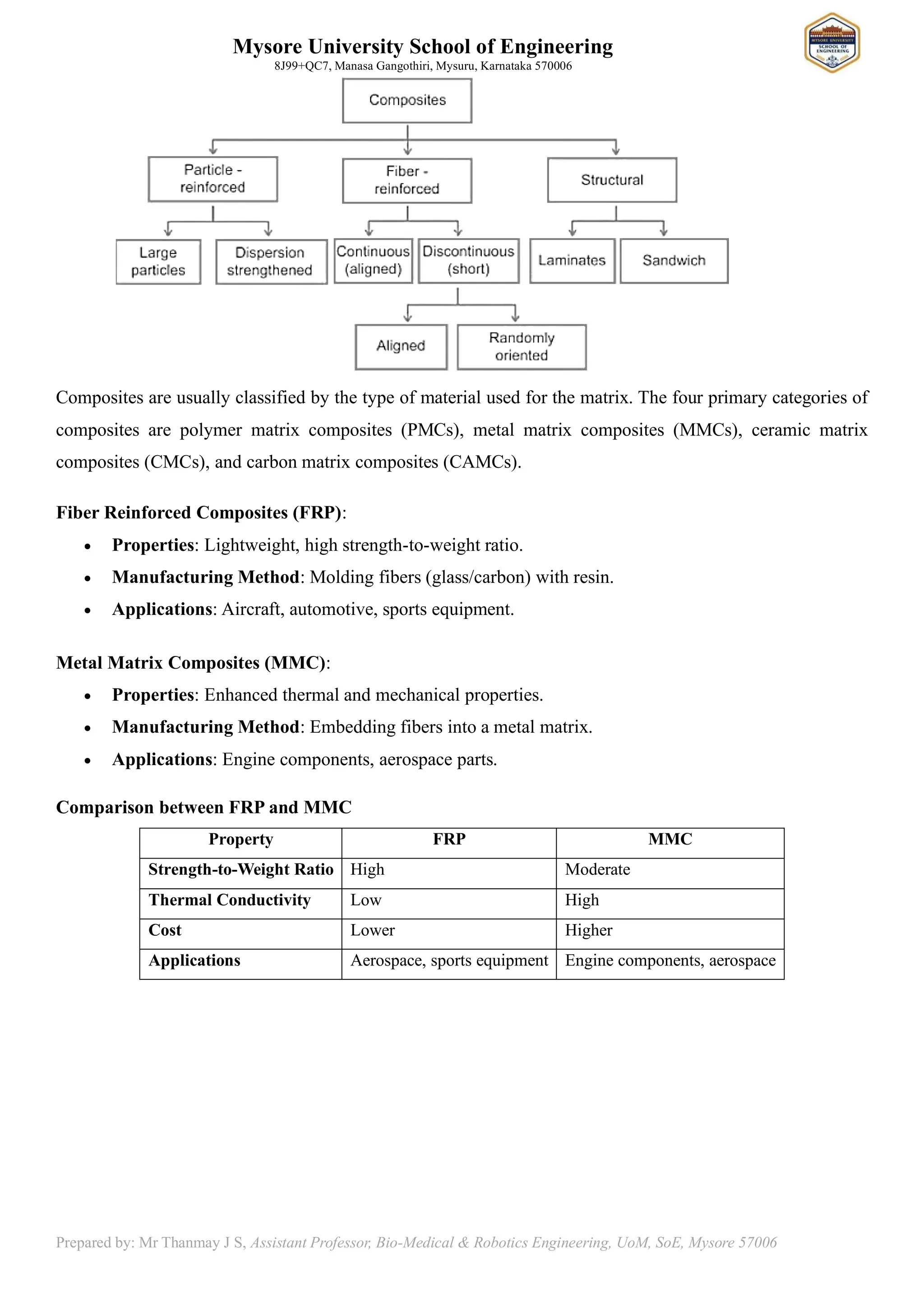
Composites are usually classified by the type of material used for the matrix. The four primary categories of
composites are polymer matrix composites (PMCs), metal matrix composites (MMCs), ceramic matrix
composites (CMCs), and carbon matrix composites (CAMCs).
Fiber Reinforced Composites (FRP):
• Properties: Lightweight, high strength-to-weight ratio.
• Manufacturing Method: Molding fibers (glass/carbon) with resin.
• Applications: Aircraft, automotive, sports equipment.
Metal Matrix Composites (MMC):
• Properties: Enhanced thermal and mechanical properties.
• Manufacturing Method: Embedding fibers into a metal matrix.
• Applications: Engine components, aerospace parts.
Comparison between FRP and MMC
Property FRP MMC
Strength-to-Weight Ratio High Moderate
Thermal Conductivity Low High
Cost Lower Higher
Applications Aerospace, sports equipment Engine components, aerospace
Mysore University School of Engineering
8J99+QC7, Manasa Gangothiri, Mysuru, Karnataka 570006
Prepared by: Mr Thanmay J S, Assistant Professor, Bio-Medical & Robotics Engineering, UoM, SoE, Mysore 57006
Modal Questions
4 Marks Questions
1) Define Automations and List types of Automation
2) Briefly explain CNC Programming and its using methods
3) Explain the components of CNC System
4) Explain the advantages and disadvantages of CNC System
5) Explain Robot Anatomy
6) Briefly explain Robot Configurations
7) List the Applications, Advantages, and Disadvantages of Robots
8) Briefly explain the properties of Engineering Materials
9) What are different composition of Engineering Materials
10) Explain the Industrial Applications of Engineering Materials
11) What are Ferrous Materials explain any 2 types
12) What are Non-Ferrous Materials explain any 2 types
13) Explain types of Polymers and its Differences
14) Write a short note on Ceramics
15) Write a short note on Composites
8 Marks Questions
1) Define Automations and Explain types of Automations
2) Define CNC its Components and its Advantages and Disadvantages
3) Define Robots and Explain different types of Robot Configurations
4) Explain any 5 properties of Engineering Materials
5) Explain Polymers, its types and classification
6) Explain Composites its classification and write a note on FRP and MMC

21EME15 MODULE 05 NOTES, Automation, Engineering Materials

  • 1.
    Mysore University Schoolof Engineering 8J99+QC7, Manasa Gangothiri, Mysuru, Karnataka 570006 Prepared by: Mr Thanmay J S, Assistant Professor, Bio-Medical & Robotics Engineering, UoM, SoE, Mysore 57006 Elements of Mechanical Engineering (21EME15-25) MODULE 05 NOTES
  • 2.
    Mysore University Schoolof Engineering 8J99+QC7, Manasa Gangothiri, Mysuru, Karnataka 570006 Prepared by: Mr Thanmay J S, Assistant Professor, Bio-Medical & Robotics Engineering, UoM, SoE, Mysore 57006 Module 05: Course Content 5.0 Introduction to Automation and Robotics 5.1 Introduction to Automation 5.2 CNC-Introduction, 5.3 Components of CNC, 5.4 Advantages and disadvantages of CNC. 5.5 Introduction to Robots, 5.6 Robot anatomy, 5.7 Robots’ configuration:  Polar,  Cylindrical,  Cartesian and  Spherical. 5.8 Applications, Advantages, and Disadvantages of Robots 5.9 Introduction to Engineering Materials 5.10 Properties of Engineering Materials 5.11 Composition of Engineering Materials 5.12 Industrial Applications of Engineering Materials 5.13 Ferrous Materials:  Cast Iron  Tool Steels  Stainless Steels 5.14 Non-Ferrous Materials:  Aluminium  Brass  Bronze 5.15 Polymers  Thermoplastics polymers  Thermosetting polymers 5.16 Comparison between Thermoplastics and Thermosetting polymers 5.17 Introduction to Ceramics  Glass  Optical fiber  Cermet’s 5.18 Composites  Fiber reinforced composites  Metal Matrix Composites Comparison between FRP and MMC
  • 3.
    Mysore University Schoolof Engineering 8J99+QC7, Manasa Gangothiri, Mysuru, Karnataka 570006 Prepared by: Mr Thanmay J S, Assistant Professor, Bio-Medical & Robotics Engineering, UoM, SoE, Mysore 57006 5.0 Introduction to Automation and Robotics Automation and robotics are critical technologies transforming industries by increasing efficiency, precision, and safety. Automation involves the use of control systems like computers or robots to manage processes with minimal human intervention. Robotics, on the other hand, focuses on designing and building robots that can perform tasks autonomously or semi-autonomously, helping in fields such as manufacturing, medicine, and space exploration. 5.1 Introduction to Automation Automation refers to the use of technology to perform tasks without human intervention. It has been widely adopted in industries to improve productivity, quality, and consistency. Types of Automation: 1. Fixed (Hard) Automation: Fixed automation is a type of automation where the process of manufacturing stays fixed by the way it is configured, following a fixed sequence of automated processes. An example of this is flow production, where products are continuously being made. This is often also known as “hard automation”. Fixed automation can be expensive to set up initially due to the equipment required, but in return, it provides high production rates. However, it is relatively inflexible when it comes to making changes to the product. This is relatively useful for many companies who use automation to create food products of one type and variant. It allows them to effectively produce that item and package it in bulk. Foods that require chemical processes, for example, may use this to ensure the consistency of the chemical processes. Advantages of fixed automation include: • High levels of production • Consistent quality in production • Low cost per unit produced Disadvantages of fixed automation include: • High initial cost • Difficult to accommodate changes
  • 4.
    Mysore University Schoolof Engineering 8J99+QC7, Manasa Gangothiri, Mysuru, Karnataka 570006 Prepared by: Mr Thanmay J S, Assistant Professor, Bio-Medical & Robotics Engineering, UoM, SoE, Mysore 57006 2. Programmable Automation: Programmable Automation Programmable automation allows the production equipment and automation to be altered to changing needs. This is done by controlling the automation through a program, which can be coded in certain ways for the automation to change the sequence of automation. It’s used more commonly in low to medium levels of production, often being most suitable for batch production. Programmable automation will often be used by factories who make different variants of foods. This allows them to make batches, from a few dozen to potentially thousands at a time, of one product. If the product needs changing, it simply needs to be reprogrammed. Advantages include: • Flexibility to change products if needed • Suitable if batch production is required Disadvantages include: • Expensive for equipment • Lower production levels • Often time-consuming to change products 3. Flexible (Soft) Automation: Flexible automation, also known as “soft automation”, is similar to programmable automation, although a little more complicated. Essentially, flexible automation enables the production of different types of products without losing time when reprogramming. A flexible automation system can produce various combinations of products efficiently without having to separate them into different batches, as required in batch production. This type of automation tends to have medium levels of production. Advantages include: • Flexibility of products • No time lost with new changes to production Disadvantages include: • High custom machinery/automation cost • Higher cost per unit 5.2 CNC-Introduction CNC (Computer Numerical Control) refers to a method of automating machine tools through the use of a computer to execute precise movements. The evolution of CNC started with simple mechanical systems and has advanced with digital controls, allowing for more complex and accurate machining.
  • 5.
    Mysore University Schoolof Engineering 8J99+QC7, Manasa Gangothiri, Mysuru, Karnataka 570006 Prepared by: Mr Thanmay J S, Assistant Professor, Bio-Medical & Robotics Engineering, UoM, SoE, Mysore 57006 CNC machines operate based on programmed instructions to control a variety of machine tools such as lathes, mills, and drills. These instructions are typically provided in G-code. Evolution: o 1960s: Introduction of numerical control (NC) with punched cards. o 1970s: Development of CNC, allowing for more flexible and precise control. o 2000s: Integration of CAD/CAM software, enhancing design-to-manufacturing efficiency. Using Methods: o G-code Programming: CNC machines are programmed using G- code, a language that directs machine tools on how to perform operations. o Manual Programming: Operators input instructions manually on the machine's control panel. o CAD/CAM: Computer-aided design (CAD) and computer-aided manufacturing (CAM) are used to design and simulate parts before production. 5.3 Components of CNC CNC systems consist of several key components: 1. Controller: The brain of the CNC system, which processes the input commands. 2. Computer/Processor: Runs the software that generates the machine code (G-code). 3. Input Device: Includes tools like keyboards or touchscreens for the operator to interact with the system. 4. Machine Tool: The actual physical tool, such as a lathe or mill, that performs the cutting or shaping. 5. Feedback System: Provides real-time data on the tool’s position and adjusts the machine movements to maintain precision. 6. Drive Motors: Motors that provide movement along the axes (X, Y, Z) to control tool position.
  • 6.
    Mysore University Schoolof Engineering 8J99+QC7, Manasa Gangothiri, Mysuru, Karnataka 570006 Prepared by: Mr Thanmay J S, Assistant Professor, Bio-Medical & Robotics Engineering, UoM, SoE, Mysore 57006 5.4 Advantages and disadvantages of CNC. Advantages Disadvantages High precision and repeatability High initial cost for machines and software Reduces human error and labor costs Requires skilled labor for programming and maintenance Capable of complex shapes and designs Potential for breakdowns leading to downtime Automation improves production speed and efficiency Complexity in programming for intricate tasks Flexible and adaptable to different tasks Limited by the software and hardware capabilities 5.5 Introduction to Robots A robot is a programmable machine capable of carrying out tasks autonomously or semi-autonomously. Robots can perform repetitive or hazardous tasks with high precision, making them useful in industries such as manufacturing, healthcare, and space exploration. 5.6 Robot anatomy The anatomy of a robot consists of several essential components: • Base: The stationary part that provides stability. • Body: Includes the structure and framework that holds the robot's components. • Joints: Provide movement between links. • Links: Rigid components that connect joints. • Actuators: Devices that produce motion by converting energy into mechanical force. • Sensors: Devices that allow the robot to perceive its environment (e.g., cameras, touch sensors). • End Effectors: The tool or device attached to the robot's arm to interact with objects. 5.7 Robots’ configuration: Robots come in different configurations based on the number of Degrees of Freedom (DOF), their work volume, and the types of industrial applications they serve. 1. Cartesian Robots (Linear Robots) Structure: Cartesian robots use three linear axes (X, Y, and Z), enabling movement along straight lines in a three-dimensional rectangular coordinate system.
  • 7.
    Mysore University Schoolof Engineering 8J99+QC7, Manasa Gangothiri, Mysuru, Karnataka 570006 Prepared by: Mr Thanmay J S, Assistant Professor, Bio-Medical & Robotics Engineering, UoM, SoE, Mysore 57006 Degrees of Freedom (DOF): Typically 3 degrees of freedom, corresponding to movement along the X, Y, and Z axes. Movement: The robot moves in a straightforward manner, making only linear motions along the axes. Applications: o 3D printing. o CNC (Computer Numerical Control) machines. o Material handling and assembly. Advantages: o Simple design, easy to program. o Cost-effective and reliable for repetitive tasks. o Precise linear movements and high repeatability. 2. Cylindrical Robots Structure: Cylindrical robots operate within a cylindrical work envelope. They consist of a vertical linear movement (along the Z-axis) and rotational movement (around the Z-axis) with a horizontal movement (along the X-axis). Degrees of Freedom (DOF): Typically 3 degrees of freedom, including two linear movements (X and Z axes) and one rotational movement (θ around the Z-axis). Movement: The robot can extend or retract along the Z-axis, rotate around the Z-axis, and move horizontally along the X-axis. Applications: o Assembly tasks. o Handling materials in a cylindrical work volume. o Picking and placing applications in confined spaces. Advantages: o Simple construction and programming. o Compact and adaptable for confined spaces. o Suitable for applications involving a combination of horizontal and vertical motions. 3. Polar or Spherical Robots Structure: Polar robots, also known as spherical robots, have a rotational base and a moving arm that operates within a spherical workspace. The movement consists of a radial arm with rotation about a vertical axis and a pitch motion along the radial axis. Degrees of Freedom (DOF): Typically, 3 degrees of freedom, which include: o One rotational motion about the base (azimuth). o One radial movement (extension/retraction).
  • 8.
    Mysore University Schoolof Engineering 8J99+QC7, Manasa Gangothiri, Mysuru, Karnataka 570006 Prepared by: Mr Thanmay J S, Assistant Professor, Bio-Medical & Robotics Engineering, UoM, SoE, Mysore 57006 o One vertical rotational motion (elevation or pitch). Movement: The end effector can move in a spherical range, with the robot arm pivoting around a central base and moving along a curved path. Applications: o Welding, painting, and other tasks requiring a spherical motion. o Material handling in circular or radial workspaces. o Robotics in large-scale manufacturing. Advantages: o Provides flexibility in reaching a wide range of points in a spherical workspace. o Suitable for large and open-area tasks. 4. SCARA Robots (Selective Compliance Assembly Robot Arm) Structure: SCARA robots consist of two parallel rotational joints in the horizontal plane (X and Y), and a vertical prismatic joint (Z-axis). This structure gives them flexibility for horizontal movement while maintaining rigidity along the vertical axis. Degrees of Freedom (DOF): Typically 4 degrees of freedom, with 2 rotational and 1 prismatic (vertical) movement, providing flexibility in two dimensions (X, Y) and rigidity along the Z-axis. Movement: SCARA robots are capable of precise horizontal movements while being more rigid and stable vertically. They offer both rotational and linear movement in a highly controlled manner. Applications: o Assembly operations. o Pick-and-place tasks. o Packaging and material handling. Advantages: o High speed and accuracy for horizontal motions. o Ideal for high-throughput, repetitive tasks. o Cost-effective for simple operations requiring precision. 5. Angular Robots (also referred to as Articulated Robots) • Structure: Angular robots, or articulated robots, have multiple rotary joints (revolute joints) that allow for complex movement. These robots often resemble a human arm with multiple segments (links) connected by joints that can rotate. • Degrees of Freedom (DOF): Typically 4 to 7 degrees of freedom, allowing for a wide range of rotational and translational movements. These robots can rotate around their joints and move in many directions.
  • 9.
    Mysore University Schoolof Engineering 8J99+QC7, Manasa Gangothiri, Mysuru, Karnataka 570006 Prepared by: Mr Thanmay J S, Assistant Professor, Bio-Medical & Robotics Engineering, UoM, SoE, Mysore 57006 • Movement: These robots have highly flexible movements due to their multiple joints and can perform a variety of complex motions, including rotation, bending, and extending. • Applications: o Applications such as welding, painting, and assembly. o Handling heavy-duty materials. o Robotics in hazardous environments. • Advantages: o Extremely flexible and capable of complex movements. o Can reach into tight spaces or around obstacles. o Suitable for a wide range of manufacturing and industrial tasks. Summary of Robot Configurations: Robot Type Key Features Advantages Common Applications Cartesian Robots Linear motion along X, Y, and Z axes Simple design, easy to program, cost-effective 3D printing, CNC, material handling Cylindrical Robots Vertical and horizontal motion with rotation Compact, suitable for confined spaces, adaptable Assembly, material handling, pick-and-place Polar/Spherical Robots Radial movement with rotation and vertical pitch Wide-reaching workspace, high flexibility Welding, painting, large- scale manufacturing SCARA Robots Two parallel rotational joints, vertical prismatic motion High speed, precision in horizontal motions, cost- effective Electronics assembly, pick-and-place Angular Robots Multiple rotary joints, highly flexible Complex movements, suitable for a wide range of tasks Welding, assembly, hazardous environments 5.8 Applications, Advantages, and Disadvantages of Robots Applications Advantages Disadvantages Manufacturing: Assembly, welding, painting High precision and speed High initial investment Healthcare: Surgery, prosthetics, rehabilitation Reduces human error, enhances precision Requires specialized training Agriculture: Harvesting, planting, monitoring Increases yield, reduces labor costs Limited adaptability to changing conditions Space Exploration: Rovers, satellites Performs dangerous tasks, remote operations High cost, limited by technology Logistics: Automated warehouses, delivery robots Reduces human labor, increases efficiency May displace jobs
  • 10.
    Mysore University Schoolof Engineering 8J99+QC7, Manasa Gangothiri, Mysuru, Karnataka 570006 Prepared by: Mr Thanmay J S, Assistant Professor, Bio-Medical & Robotics Engineering, UoM, SoE, Mysore 57006 5.9 Introduction to Engineering Materials Engineering materials are substances used to make mechanical structures and systems. They must meet specific criteria for strength, durability, and other properties depending on the application. Materials can be classified into metals, polymers, ceramics, and composites. 5.10 Properties of Engineering Materials 1. Tensile Strength Definition: Tensile strength is the maximum stress a material can withstand when being stretched or pulled before breaking. It indicates the material's ability to resist deformation under tension. Units: Pascals (Pa) or Megapascals (MPa). • Standard Values: o Mild Steel: 400-500 MPa o Aluminum: 200-300 MPa 2. Yield Strength Definition: Yield strength is the stress at which a material begins to deform plastically. Beyond this point, permanent deformation occurs. It marks the limit beyond which the material will no longer return to its original shape. • Units: Pascals (Pa) or Megapascals (MPa). • Standard Values: o Mild Steel: 250 MPa o Aluminum: 100-200 MPa 3. Elastic Modulus (Young’s Modulus) Definition: Elastic modulus measures a material's ability to resist deformation under stress. It is the ratio of stress to strain in the elastic region of the material's stress-strain curve. • Units: Pascals (Pa) or Gigapascals (GPa). • Standard Values: o Mild Steel: 200 GPa o Aluminum: 70 GPa 4. Thermal Conductivity Definition: Thermal conductivity is a material's ability to conduct heat. A higher value indicates that the material is a better conductor of heat. • Units: Watts per meter per Kelvin (W/m·K). • Standard Values: o Aluminum: 205 W/m·K o Steel: 50-60 W/m·K
  • 11.
    Mysore University Schoolof Engineering 8J99+QC7, Manasa Gangothiri, Mysuru, Karnataka 570006 Prepared by: Mr Thanmay J S, Assistant Professor, Bio-Medical & Robotics Engineering, UoM, SoE, Mysore 57006 5. Hardness • Definition: Hardness refers to the resistance of a material to indentation, scratching, or abrasion. It indicates the material's ability to resist plastic deformation. • Units: Typically measured using scales like Brinell Hardness (HB), Vickers (HV), or Rockwell (HR). • Standard Values: o Stainless Steel: 150-250 HB o Aluminum: 30-120 HB 6. Density • Definition: Density is the mass per unit volume of a material. It determines how heavy a material is for a given volume. • Units: Kilograms per cubic meter (kg/m³) or grams per cubic centimeter (g/cm³). • Standard Values: o Mild Steel: 7.85 g/cm³ o Aluminum: 2.7 g/cm³ 5.11 Composition of Engineering Materials • Metals: Composed of atoms arranged in a crystal lattice structure. Metals bond through metallic bonding, where electrons are shared freely among atoms. • Polymers: Made up of long chains of molecules (monomers) connected by covalent bonds. Examples include polyethylene and nylon. • Ceramics: Consist of metal and non-metal atoms bonded primarily through ionic or covalent bonds, creating a strong, brittle structure. • Composites: Made from two or more materials, combining the properties of the individual components. 5.12 Industrial Applications of Engineering Materials • Metals: Used in construction, automotive, and aerospace for structural applications. • Polymers: Employed in consumer goods, packaging, automotive parts, and electronics due to their lightweight and moldability. • Ceramics: Used in applications requiring high heat resistance, such as cutting tools, furnace linings, and electronic components. • Composites: Used in aerospace, automotive, and sports equipment due to their strength-to-weight ratio and resistance to corrosion.
  • 12.
    Mysore University Schoolof Engineering 8J99+QC7, Manasa Gangothiri, Mysuru, Karnataka 570006 Prepared by: Mr Thanmay J S, Assistant Professor, Bio-Medical & Robotics Engineering, UoM, SoE, Mysore 57006 5.13 Ferrous Materials: Ferrous materials are metals that contain iron as their primary component. Characteristics:  Typically magnetic (due to the presence of iron).  Can rust or corrode when exposed to moisture and oxygen, as iron reacts with water to form iron oxide.  Generally stronger and more durable, though heavier. Common Examples:  Steel (an alloy of iron and carbon, sometimes with other elements).  Cast Iron (iron with a higher carbon content than steel).  Wrought Iron (iron with a very low carbon content, historically used for gates, railings, etc.).  Carbon Steel, Stainless Steel, Alloy Steel, etc. Examples: a) Cast Iron: Properties: High wear resistance, brittle, good castability. Manufacturing Method: Melting iron, casting in molds. Applications: Engine blocks, pipes, machine bases. b) Tool Steels: Properties: Hard, wear-resistant, can be heat-treated. Manufacturing Method: Alloying iron with carbon and other elements. Applications: Cutting tools, dies, molds. c) Stainless Steels: Properties: Corrosion-resistant, strong, ductile. Manufacturing Method: Alloying steel with chromium and nickel. Applications: Kitchenware, medical instruments, structural components. 5.14 Non-Ferrous Materials: Non-ferrous materials are metals that do not contain iron or contain only trace amounts. Characteristics:  Non-magnetic (due to the absence of iron).  Generally more resistant to corrosion and rusting compared to ferrous metals.  Often lighter than ferrous metals.  Typically more expensive than ferrous materials. Common Examples:  Aluminum (used in aerospace, packaging, etc.).  Copper (used in electrical wiring and plumbing).  Lead (used in batteries, radiation shielding, etc.).  Nickel, Titanium, Zinc, Brass, Bronze.
  • 13.
    Mysore University Schoolof Engineering 8J99+QC7, Manasa Gangothiri, Mysuru, Karnataka 570006 Prepared by: Mr Thanmay J S, Assistant Professor, Bio-Medical & Robotics Engineering, UoM, SoE, Mysore 57006 Examples: a) Aluminium: Properties: Lightweight, corrosion-resistant, good conductivity. Manufacturing Method: Extraction from bauxite, casting or extrusion. Applications: Aircraft, automotive, packaging. b) Brass: Properties: Corrosion-resistant, excellent machinability, ductile. Manufacturing Method: Alloying copper with zinc. Applications: Plumbing fittings, electrical connectors. c) Bronze: Properties: Strong, corrosion-resistant, hard. Manufacturing Method: Alloying copper with tin. Applications: Bearings, coins, sculptures 5.15 Polymers Polymers are large molecules made up of repeating subunits known as monomers. These monomers are chemically bonded together to form long chains or networks. Polymers are a fundamental class of materials with a wide variety of properties and uses. They can be found in both natural and synthetic forms. Polymers are an incredibly diverse group of materials with applications across almost every industry. Their flexibility, versatility, and ability to be tailored for specific uses make them one of the most important categories of materials in both natural and synthetic forms. Characteristics of Polymers:  High Molecular Weight: Polymers are made up of long chains of repeating monomer units, giving them large molecular sizes.  Versatility: They can be engineered to have a wide range of physical properties, such as flexibility, strength, or resistance to heat and chemicals, depending on the type of monomers and how they are linked together.  Lightweight: Many polymers are lightweight compared to metals and ceramics, making them ideal for various applications. Types of Polymers: 1. Natural Polymers: These are polymers that occur naturally in nature. Examples include: ▪ Cellulose: Found in plant cell walls; used in paper and textiles. ▪ Proteins: Made up of amino acids and serve as the building blocks of living organisms. ▪ DNA: A natural polymer composed of nucleotide monomers that carry genetic information. ▪ Natural Rubber: Derived from the latex of rubber trees.
  • 14.
    Mysore University Schoolof Engineering 8J99+QC7, Manasa Gangothiri, Mysuru, Karnataka 570006 Prepared by: Mr Thanmay J S, Assistant Professor, Bio-Medical & Robotics Engineering, UoM, SoE, Mysore 57006 2. Synthetic Polymers: These are man-made polymers produced through chemical processes. They are often created to mimic the properties of natural polymers but with enhanced characteristics. Examples include: ▪ Polyethylene (PE): A common plastic used in packaging, containers, and bottles. ▪ Polypropylene (PP): Used in automotive parts, textiles, and food containers. ▪ Polyvinyl Chloride (PVC): Used in plumbing pipes, flooring, and clothing. ▪ Nylon: A synthetic fiber used in clothing, ropes, and industrial products. ▪ Polystyrene (PS): Found in disposable cups, plates, and packaging materials. Classification Based on Behavior: 1. Thermoplastics: o These polymers can be repeatedly melted and reshaped when heated. They soften when heated and solidify upon cooling. o Examples: Polyethylene, Polypropylene, Polystyrene. 2. Thermosetting Polymers: o These polymers harden permanently when heated and molded. They cannot be remelted or reshaped once they have set. o Examples: Epoxy, Bakelite, Melamine. 3. Elastomers: o These polymers have rubber-like properties and can return to their original shape after being stretched. o Example: Rubber (natural or synthetic). Uses of Polymers: Packaging: Plastics like polyethylene, polypropylene, and PVC are commonly used in packaging materials. Textiles: Polymers like nylon, polyester, and spandex are used to make fabrics. Medical Devices: They are used in the manufacturing of items like syringes, implants, and surgical gloves. Electronics: They are used in the production of insulation, circuit boards, and casings for electronic devices. Automotive: Polymers are used in car parts, such as bumpers, dashboards, and seating materials, etc. 5.16 Comparison between Thermoplastics and Thermosetting polymers Property Thermoplastics Thermosetting Polymers Moldability Can be remolded upon heating Cannot be remolded after setting Heat Resistance Lower compared to thermosets High heat resistance Recycling Easily recyclable Not recyclable Examples Polyethylene, PVC Epoxy, Phenolic
  • 15.
    Mysore University Schoolof Engineering 8J99+QC7, Manasa Gangothiri, Mysuru, Karnataka 570006 Prepared by: Mr Thanmay J S, Assistant Professor, Bio-Medical & Robotics Engineering, UoM, SoE, Mysore 57006 Introduction to Ceramics The term ‘ceramic’ comes from the Greek word meaning ‘pottery’. A ceramic is a material that is neither metallic nor organic. It may be crystalline, glassy or both crystalline and glassy. Ceramics are typically hard and chemically non-reactive and can be formed or densified with heat. Ceramic materials can be defined as inorganic materials constituted by the combination of metallic and nonmetallic elements whose properties depend on the way in which these elements are linked. Ceramic materials are the most versatile branch of materials. The origin of this versatility lies in the chemical nature of its bonds, since they are mainly constituted by strong ionic and covalent bonds in different proportions. The bonds determine a series of particular properties of ceramic materials among which are relatively high fusion temperatures, high modulus, high wear strength, poor thermal properties, high hardness and fragilities combined with tenacities, and low ductility. In addition to the lack of conduction electrons since they are combined forming chemical bonds, they are good electrical insulators. Glass: • Properties: Transparent, brittle, and heat-resistant. • Manufacturing Method: Melting silica with other materials. • Applications: Windows, lenses, bottles. Optical Fiber: • Properties: High tensile strength, transparency. • Manufacturing Method: Drawing glass into thin fibers. • Applications: Telecommunications, data transmission. Cermets: • Properties: Combine the hardness of ceramics and toughness of metals. • Manufacturing Method: Sintering metal powders with ceramic materials. • Applications: Cutting tools, aerospace components. 5.17Introduction to Composites A composite material is composed of at least two materials, which combine to give properties superior to those of the individual constituents. fibre reinforced polymer (FRP) composites, usually with carbon, glass, aramid, polymer or natural fibers embedded in a polymer matrix. Other matrix materials can be used and composites may also contain fillers or nano-materials such as graphene. The many component materials and different processes that can be used make composites extremely versatile and efficient. They typically result in lighter, stronger, more durable solutions compared to traditional materials. The primary reason composite materials are chosen for components is because of weight saving for its relative stiffness and strength.
  • 16.
    Mysore University Schoolof Engineering 8J99+QC7, Manasa Gangothiri, Mysuru, Karnataka 570006 Prepared by: Mr Thanmay J S, Assistant Professor, Bio-Medical & Robotics Engineering, UoM, SoE, Mysore 57006 Composites are usually classified by the type of material used for the matrix. The four primary categories of composites are polymer matrix composites (PMCs), metal matrix composites (MMCs), ceramic matrix composites (CMCs), and carbon matrix composites (CAMCs). Fiber Reinforced Composites (FRP): • Properties: Lightweight, high strength-to-weight ratio. • Manufacturing Method: Molding fibers (glass/carbon) with resin. • Applications: Aircraft, automotive, sports equipment. Metal Matrix Composites (MMC): • Properties: Enhanced thermal and mechanical properties. • Manufacturing Method: Embedding fibers into a metal matrix. • Applications: Engine components, aerospace parts. Comparison between FRP and MMC Property FRP MMC Strength-to-Weight Ratio High Moderate Thermal Conductivity Low High Cost Lower Higher Applications Aerospace, sports equipment Engine components, aerospace
  • 17.
    Mysore University Schoolof Engineering 8J99+QC7, Manasa Gangothiri, Mysuru, Karnataka 570006 Prepared by: Mr Thanmay J S, Assistant Professor, Bio-Medical & Robotics Engineering, UoM, SoE, Mysore 57006 Modal Questions 4 Marks Questions 1) Define Automations and List types of Automation 2) Briefly explain CNC Programming and its using methods 3) Explain the components of CNC System 4) Explain the advantages and disadvantages of CNC System 5) Explain Robot Anatomy 6) Briefly explain Robot Configurations 7) List the Applications, Advantages, and Disadvantages of Robots 8) Briefly explain the properties of Engineering Materials 9) What are different composition of Engineering Materials 10) Explain the Industrial Applications of Engineering Materials 11) What are Ferrous Materials explain any 2 types 12) What are Non-Ferrous Materials explain any 2 types 13) Explain types of Polymers and its Differences 14) Write a short note on Ceramics 15) Write a short note on Composites 8 Marks Questions 1) Define Automations and Explain types of Automations 2) Define CNC its Components and its Advantages and Disadvantages 3) Define Robots and Explain different types of Robot Configurations 4) Explain any 5 properties of Engineering Materials 5) Explain Polymers, its types and classification 6) Explain Composites its classification and write a note on FRP and MMC