Algebra 1 3.6
Reciprocals and Division
https://www.youtube.com/watch?v=-Te57fkE6Gc
Did you know that:
By stating the objectives
for the lesson, retention
increases by 24%!
Review:
Talk with the people on your table about:
2. Consider the fraction . What does the denominator tell you?
Give a real-life example of this fraction.
4
5
3. What happens when you multiply by its reciprocal, ?
Why?
4
5 4
5
1. What operation is being represented in ? How do you know?
4
5
Step 1: convert decimal to fraction.
Step 2: Find the reciprocal.
How do you find the reciprocal of 3.14?
Find the reciprocal of this decimal:
Find the reciprocal of this decimal:
1) 45.65
2) 632.6
3) 2.239
4) 0.10394
Reciprocal Properties:
Property of Reciprocals: a 1
a
= 1 a1
a
= 1
Reciprocal of the Opposite:
a
1
-a
= -
1
Reciprocal of a Product: =
1
ab
1
a
1
b
Division = Multiplying by a reciprocal
Examples:
Simplifying Simple Expressions with Reciprocals:
1
-7
1
4
1
4
4y 1
3
-6ab -
Simplifying Complicated Expressions with Reciprocals:
1
3
(42x - 3y)
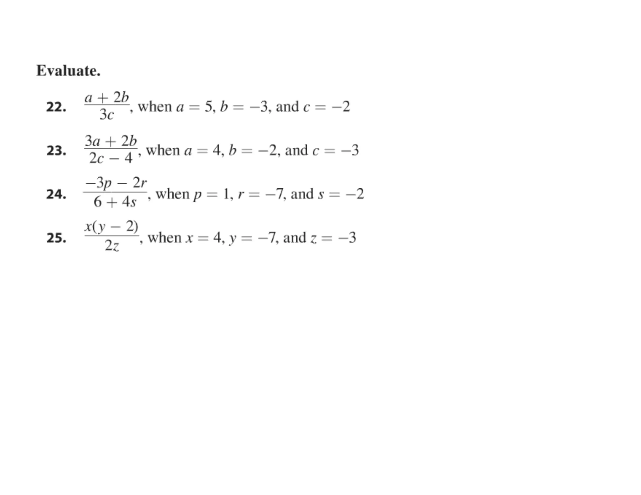
Practice Problems in Algebra 1 Textbook
Alg 1 3.6 Reciprocals and Division
Alg 1 3.6 Reciprocals and Division
Alg 1 3.6 Reciprocals and Division
Alg 1 3.6 Reciprocals and Division

Alg 1 3.6 Reciprocals and Division