Department of Information Technology
2023 – 2024 (EVEN SEMESTER)
Year : III IT Course Code : VIT336
Faculty Name : Dr. R. Arthy, AP/IT Course Name
: Recommender
System
Course code (as
per NBA)
21ITC324 Regulation : R2021
Unit IV - KNOWLEDGE-BASED AND HYBRID RECOMMENDATION
Topic 1: Knowledge Based Recommendation System
 A recommender system is knowledge-based when it makes recommendations based
not on a user’s rating history, but on specific queries made by the user.
 It might prompt the user to give a series of rules or guidelines on what the results
should look like, or an example of an item.
 The system then searches through its database of items and returns similar results.
Working Principle:
 Knowledge Base:
o The system's knowledge base contains information about items (products,
services, content) and the user's preferences or requirements.
o This information is typically represented using rules, ontologies, or structured
data.
 User Input:
o The user provides input about their preferences, requirements, or constraints.
o This input could be in the form of explicit ratings, answers to questions, or a
description of their needs.
 Matching:
o The system uses its knowledge base to match the user's input with the
information about items in the knowledge base.
o It may use rules or algorithms to determine the relevance of items to the user's
preferences.
 Recommendation Generation:
o Based on the matching process, the system generates recommendations that
best fit the user's preferences or requirements.
o These recommendations are often accompanied by explanations or reasoning
behind the recommendations.
 Feedback Loop:
o The system may incorporate feedback from the user to refine its
recommendations over time.
o This feedback could include explicit ratings, feedback on recommended items,
or updates to the user's preferences.
Examples of knowledge-based recommendation systems include:
 Expert Systems:
o These systems use rules and logic to mimic the decision-making process of a
human expert.
o They are often used in specialized domains where expertise is required, such
as medical diagnosis or financial planning.
 Case-Based Reasoning Systems:
o These systems recommend items based on their similarity to past cases or
experiences.
o They are used in applications where past cases can be used to make
recommendations, such as customer support or legal advice.
 Ontology-Based Systems:
o These systems use ontologies to represent knowledge about items and user
preferences.
o They can provide more flexible and customizable recommendations by
capturing the relationships between different concepts.
Knowledge Representation and Reasoning:
 Knowledge representation and reasoning (KRR) is a field of artificial intelligence
(AI) that focuses on how knowledge can be represented in a computer and how
automated reasoning techniques can be used to manipulate this knowledge to draw
conclusions, make decisions, or solve problems.
 Knowledge Representation:
o This involves selecting a suitable language to represent knowledge in a form
that a computer can understand and manipulate.
o Common approaches include:
 Logical Representation: Using formal logic (e.g., propositional logic,
first-order logic) to represent knowledge with statements and rules.
 Semantic Networks: Representing knowledge as a network of
interconnected nodes (concepts) and edges (relationships).
 Frames: Organizing knowledge into structures called frames, which
contain slots for properties and values.
 Ontologies: Using formal ontologies to represent knowledge,
specifying concepts, relationships, and constraints in a domain.
 Automated Reasoning:
o This involves using algorithms and techniques to manipulate the represented
knowledge to draw conclusions or make decisions.
o Common forms of reasoning include:
 Deductive Reasoning: Inferring new facts from existing knowledge
using logical rules and inference mechanisms.
 Inductive Reasoning: Generalizing from specific observations to make
more general conclusions.
 Abductive Reasoning: Inferring the best explanation or hypothesis for
a set of observations.
 Probabilistic Reasoning: Reasoning under uncertainty, where
probabilities are assigned to different outcomes.
 Knowledge Base:
o A knowledge base is a repository of knowledge represented in a formal
language, along with inference rules and mechanisms for manipulating this
knowledge.
 Inference Engines:
o These are software components that perform the actual reasoning or inference
process using the knowledge represented in the knowledge base.
 Applications:
o Knowledge representation and reasoning are used in various AI applications,
including expert systems, natural language processing, intelligent tutoring
systems, robotics, and decision support systems.
Topic 2: Constraint-based Recommendation System
Introduction:
 Recommendation systems are crucial in providing personalized recommendations to
users, enhancing user experience, and increasing user engagement.
 Constraint-based recommenders are a type of recommendation system that considers
user constraints and preferences to generate personalized recommendations.
 Constraint-based recommenders differ from other recommendation systems, such as
collaborative filtering and content-based recommenders, by focusing on satisfying
user constraints.
 These constraints can include budget limitations, specific product features, or other
requirements that users may have.
 A classical constraint satisfaction problem (CSP)1 can be described by a-tuple
(V,D,C) where
o V is a set of variables,
o D is a set of finite domains for these variables, and
o C is a set of constraints that describes the combinations of values the variables
can simultaneously take
Key Components:
 User Constraints: Users provide constraints or requirements that should be considered
in the recommendation process.
 Item Representation: Items are represented with attributes or features that describe
them, such as genre, price, or availability.
 Constraint Satisfaction: The system finds items that match the user's preferences
while satisfying the specified constraints.
 Recommendation Generation: Based on constraint satisfaction, the system generates
recommendations that best fit the user's preferences and constraints.
 Feedback Loop: As users interact with the system and provide feedback, the system
adapts its recommendations to better meet user needs over time.
Use Cases and Examples:
 Constraint-based recommenders are particularly useful in domains where users have
specific requirements or constraints.
 For example, in e-commerce, users may have budget constraints or specific product
features they are looking for. In travel planning, users may have preferences for
certain types of accommodations or travel dates.
Advantages:
 Personalization: Constraint-based recommenders provide personalized
recommendations that take into account user constraints, leading to more relevant
suggestions.
 User Control: Users have more control over the recommendations they receive, as
they can specify constraints based on their preferences.
 Diverse Recommendations: By considering user constraints, the system can provide a
diverse range of recommendations that match different user needs and preferences.
Limitations:
 User Effort: Users need to explicitly specify constraints, which may require additional
effort and input.
 Limited Exploration: Constraints may limit the diversity of recommendations,
potentially leading to less exploration of new items or content.
Example:
Let's consider an example scenario where a travel website is helping a user, Sophi, find a
hotel for her upcoming vacation in Paris. Sophi has certain constraints and preferences that
the recommendation system needs to consider:
Constraints:
 Maximum budget per night: $200
 Minimum star rating: 4 stars
 Required amenities: Free Wi-Fi and a swimming pool
Hotel Representation:
 Hotels are represented with attributes such as price per night, star rating, and available
amenities.
 Each hotel is categorized based on these attributes, making it easier for the system to
filter and recommend suitable options.
Constraint Satisfaction:
 The recommendation system filters out hotels that do not meet Sophi’s constraints,
such as those exceeding her budget or lacking the required amenities.
 It also considers the location of the hotels to ensure they are in a suitable area of Paris
for Sophi’s stay.
Recommendation Generation:
 Based on the constraint satisfaction process, the system generates a list of hotels that
meet Sophi's budget, star rating, and amenity requirements.
 The system may also prioritize hotels based on their proximity to popular attractions
or their overall rating from previous guests.
Feedback Loop:
 Sophi can provide feedback on the recommended hotels, such as indicating which
amenities are essential or rating her overall satisfaction with the recommendations.
 This feedback helps the system refine its recommendations and improve the accuracy
of future suggestions for Sophi and other users.
Personalized Recommendations:
 The recommendation system provides personalized hotel recommendations that align
with Sophi’s constraints and preferences.
 By considering her specific requirements, the system ensures that the recommended
hotels meet her expectations and contribute to a memorable vacation experience in
Paris.
Conclusion:
 In this example, the constraint-based recommendation system effectively assists Sophi
in finding a hotel that meets her budget, star rating, and amenity requirements for her
vacation in Paris.
 The system's ability to consider these constraints and provide personalized
recommendations enhances Sophi's overall travel planning experience and increases
the likelihood of a successful and enjoyable trip.
Topic 3: Case-based Recommendation System
Introduction:
 Recommendation systems are crucial in providing personalized suggestions to users,
enhancing their experience.
 Case-based recommendation systems, a type of recommendation system, recommend
items based on similarities to past cases or experiences.
 They are valuable in providing personalized recommendations in various domains.
 Case-based recommendation systems work by comparing a new case (user's
preferences) with past cases in a case base.
 They recommend items that are similar to past cases that had positive outcomes.
 Unlike other recommendation systems, which rely on user-item interactions or item
attributes, case-based recommenders focus on similarities between cases.
Key Components:
 Case Base: Contains past cases or experiences, each represented by attributes and
outcomes. This is the knowledge repository of the system.
 Similarity Measure: A method to measure the similarity between the new case and
past cases. Common similarity measures include cosine similarity and Euclidean
distance.
 Recommender Engine: The algorithm that finds and recommends cases similar to the
new case based on the similarity measure.
Working Principle:
 User Input: The user provides preferences, which are represented as a new case.
 Similarity Calculation: The system calculates the similarity between the new case and
past cases in the case base.
More-is-better (MIB) property
Less-is-better (LIB) property
 Recommendation Generation: Based on the most similar cases, the system
recommends items that are likely to be of interest to the user.
 Feedback Loop: As the user interacts with the system and provides feedback on
recommended items, the system learns and improves its recommendations over time.
Advantages:
 Adaptability: Case-based recommenders can adapt to changing user preferences, as
the system learns from each new case.
 Domain Flexibility: They can recommend items in new or niche domains where data
is limited, as long as there are relevant past cases.
Limitations:
 Data Quality Dependence: The quality and relevance of past cases in the case base
significantly impact the recommendations.
 Cold-start Problem: They struggle in cold-start situations where there are few or no
past cases to draw recommendations from.
Examples of Application:
 Customer Service: Recommending solutions based on past customer interactions.
 Healthcare: Recommending treatments based on past medical cases.
 In conclusion, case-based recommendation systems are valuable in providing
personalized recommendations based on past experiences or cases.
 They offer adaptability and flexibility, although they are dependent on the quality of
past cases.
 Despite their limitations, they play a crucial role in enhancing user experience in
various domains.
Example:
Let's elaborate on the case-based recommendation system for Smitha looking for interesting
book:
 Case Base:
o The system maintains a case base of books that Smitha has read and enjoyed,
focusing on novels with strong female protagonists in the fantasy genre.
o The case base includes books like "The Hunger Games," "Throne of Glass,"
and "Graceling."
 Book Representation:
o Each book in the case base is represented with attributes such as genre
(fantasy), presence of a strong female protagonist, plot summary, and Smitha’s
rating or feedback.
 Similarity Measure:
o The system uses a similarity measure to compare new books with past cases in
the case base.
o This could involve comparing genres, protagonist attributes, and plot themes.
o For example, if a new fantasy novel features a strong female protagonist on a
quest, it would be considered similar to "The Hunger Games."
 Recommendation Generation:
o When Smitha is looking for a new book to read, the system compares it with
past cases of books she enjoyed.
o It then recommends books that are similar to those past cases, particularly
focusing on fantasy novels with strong female protagonists.
o For instance, if a new fantasy series with a strong female lead becomes
popular, the system would recommend it to Smitha based on its similarity to
"Throne of Glass" or other books she liked.
 Feedback Loop:
o As Smitha reads new books and provides feedback, such as ratings or reviews,
the system learns and improves its recommendations over time.
o For example, if Smitha enjoys a new book that was recommended to her, the
system would use this feedback to refine its recommendations and suggest
similar books in the future.
 Personalized Recommendations:
o The system provides personalized book recommendations to Smitha based on
her specific preference for fantasy novels with strong female protagonists.
o This ensures that she receives relevant and enjoyable suggestions tailored to
her reading tastes.
Topic 4: Hybridization Approach
 A hybridization approach in recommendation systems involves combining multiple
recommendation techniques to improve the quality and accuracy of recommendations.
 It leverages the strengths of different recommendation methods to overcome their
individual limitations.
 There are several ways to hybridize recommendation systems, including:
1. Weighted Hybrid:
 In this approach, recommendations from different methods are combined using
weights.
 For example, collaborative filtering and content-based recommendations could be
combined, with the weight for each method determined based on its performance
for a given user or item.
2. Feature Combination:
 Features from different recommendation methods are combined to create a hybrid
feature set.
 For example, in a content-based system, features describing the item could be
combined with features derived from user-item interactions in a collaborative
filtering system.
3. Switching Hybrid:
 Recommendations from different methods are generated independently, and a
switching mechanism is used to select the best recommendation for each user or
item.
 The switching mechanism could be based on the user's current context or past
behavior.
4. Cascade Hybrid:
 Recommendations from one method are used to enhance or filter the
recommendations from another method.
 For example, the top recommendations from a collaborative filtering system could
be further filtered based on content-based features.
5. Meta-level Hybrid:
 In this approach, the outputs of different recommendation methods are used as
input to a meta-level model that generates the final recommendations.
 The meta-level model could be a machine learning algorithm trained on past
recommendation data.
6. Feature Augmentation:
 The feature augmentation hybrid is able to improve the performance of the core
system without changing the main recommendation model.
 For example, by using the association rule, we are able to enhance the user profile
dataset.
 With the augmented dataset, the performance of content-based recommendation
model will be improved.
7. Mixed:
Opportunity for Hybridization:
 The opportunity of hybridization in recommendation systems lies in its ability to
overcome the limitations of individual recommendation techniques and improve the
overall quality of recommendations.
 Some key opportunities include:
1. Improved Recommendation Accuracy:
 By combining multiple recommendation techniques, hybrid systems can
leverage the strengths of each method to provide more accurate and relevant
recommendations.
 This can lead to increased user satisfaction and engagement.
2. Enhanced Diversity:
 Hybridization can help overcome the problem of recommendation bias by
incorporating diverse recommendation approaches.
 This can lead to a more diverse set of recommendations, catering to a wider
range of user preferences.
3. Robustness to Data Sparsity:
 In scenarios where data is sparse, such as in cold-start situations, hybrid
systems can use multiple data sources or recommendation methods to generate
recommendations.
 This can help improve the quality of recommendations for new users or items.
4. Adaptability to User Preferences:
 Hybrid systems can adapt to changes in user preferences over time by
combining different recommendation techniques.
 This adaptability can help ensure that recommendations remain relevant and
useful to users.
5. Increased Personalization:
 By combining different recommendation methods, hybrid systems can provide
more personalized recommendations tailored to individual user preferences and
behavior patterns.
Topic 5: Monolithic Hybridization
 Monolithic hybridization in recommendation systems refers to the approach of
combining multiple recommendation techniques into a single, integrated system.
 This approach aims to leverage the strengths of different techniques to improve
recommendation quality and accuracy.
 One common method used in monolithic hybridization is feature combination, where
features from different recommendation methods are merged into a single feature set.
 Another technique is feature augmentation, where existing features are enhanced with
additional information to improve recommendation performance.
Feature Combination:
 In a monolithic hybrid system, features from different recommendation techniques are
combined into a single feature set.
 For example, in a movie recommendation system combining collaborative filtering and
content-based filtering, features such as movie genre, user ratings, and movie
popularity from both techniques could be merged into a single feature set.
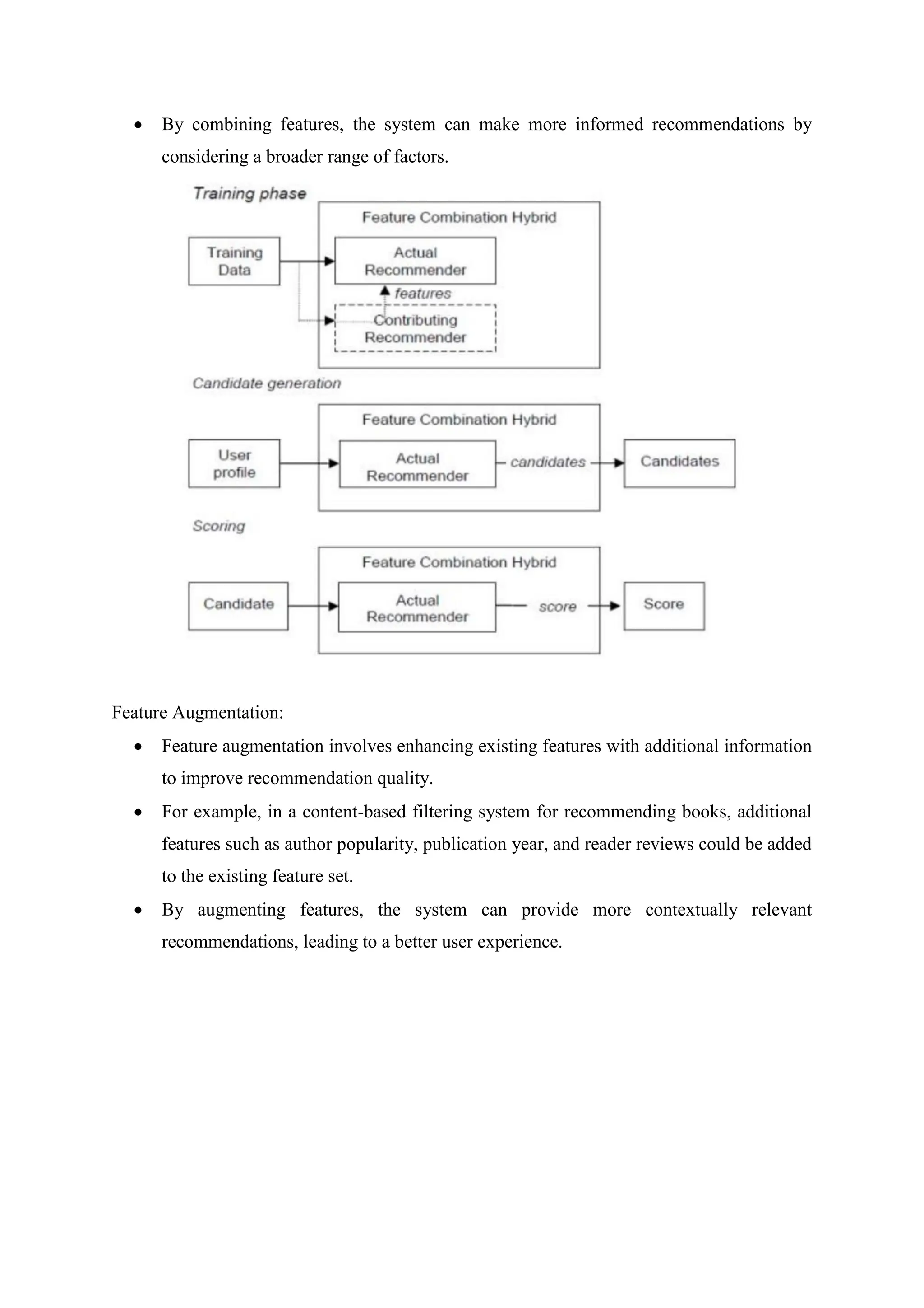
 By combining features, the system can make more informed recommendations by
considering a broader range of factors.
Feature Augmentation:
 Feature augmentation involves enhancing existing features with additional information
to improve recommendation quality.
 For example, in a content-based filtering system for recommending books, additional
features such as author popularity, publication year, and reader reviews could be added
to the existing feature set.
 By augmenting features, the system can provide more contextually relevant
recommendations, leading to a better user experience.
Benefits of Monolithic Hybridization:
 Improved Recommendation Accuracy: By combining features and techniques, the
system can provide more accurate and relevant recommendations to users.
 Enhanced Diversity: Monolithic hybridization can help overcome recommendation
bias by incorporating diverse recommendation approaches, leading to a more diverse
set of recommendations.
 Robustness to Data Sparsity: By combining multiple data sources and recommendation
methods, the system can provide recommendations even in scenarios where data is
sparse.
Challenges of Monolithic Hybridization:
 Complexity: Integrating multiple recommendation techniques into a single system can
be complex and require careful design and implementation.
 Scalability: As the system grows, maintaining and updating the monolithic hybrid
system can become challenging.
Example:
Let's consider an example scenario of a monolithic hybrid recommendation system for
recommending movies to users. This system combines collaborative filtering, content-based
filtering, and demographic-based filtering techniques to provide personalized movie
recommendations.
Feature Combination:
 Collaborative Filtering:
o This technique recommends movies based on the preferences and behavior of
similar users.
o The features include user ratings, movie ratings, and user-item interaction
history.
 Content-Based Filtering:
o This technique recommends movies based on the attributes of the movies and
user preferences.
o The features include movie genres, director, actors, and plot keywords.
 Demographic-Based Filtering:
o This technique recommends movies based on demographic information such
as age, gender, and location.
o The features include user demographics and preferences for specific genres or
actors.
Feature Augmentation:
 Additional features can be added to enhance the recommendation process. For
example, sentiment analysis of user reviews can provide insights into user preferences
and movie sentiment.
 User engagement metrics such as the number of times a user has watched a movie or
the average rating given by a user can also be added to the feature set.
Recommendation Generation:
 The system combines features from all three techniques into a single feature set.
 For example, it may use collaborative filtering to identify movies that similar users
have enjoyed, then use content-based filtering to filter those movies based on the
user's genre preferences.
 The system can also use demographic-based filtering to further personalize the
recommendations based on the user's age, gender, and location.
Feedback Loop:
 As the user interacts with the system and provides feedback on the recommended
movies, the system can learn and improve its recommendations over time.
 The system can use this feedback to update the feature set and improve the accuracy
of future recommendations.
Personalized Recommendations:
 By combining multiple techniques and features, the system can provide highly
personalized movie recommendations to users.
 The system can adapt to changes in user preferences and behavior, ensuring that the
recommendations remain relevant and engaging.
Topic 6: Parallelized Hybridization
 In a parallelized hybridization design for recommendation systems, multiple
recommendation techniques are employed simultaneously, and the final
recommendations are generated through a combination of these techniques.
 Three common approaches within this design are weighted, switching, and mixed
hybridization.
Weighted Hybridization:
 In the weighted approach, recommendations from different recommendation
techniques are combined using weighted averages or other mathematical functions.
 Each recommendation technique is assigned a weight based on its performance or
relevance to the user.
 For example, collaborative filtering might be assigned a higher weight for users with a
history of similar preferences, while content-based filtering might be more heavily
weighted for users with sparse interaction histories.
Switching Hybridization:
 In the switching approach, the system dynamically selects the best recommendation
technique based on the user's current context or behavior.
 For example, if a user is browsing for movies in a specific genre, the system might
switch to content-based filtering to provide more relevant recommendations.
Mixed Hybridization:
 In the mixed approach, recommendations from different techniques are combined
without assigning weights.
 The system might use collaborative filtering to generate a set of recommendations and
then use content-based filtering to filter or enhance those recommendations before
presenting them to the user.
Advantages:
 Improved Recommendation Accuracy: By combining multiple techniques, the system
can provide more accurate and relevant recommendations.
 Increased Robustness: The system is more robust to changes in user behavior or data
sparsity, as it can adapt its recommendations based on the current context.
 Enhanced Personalization: The system can provide more personalized
recommendations by leveraging the strengths of different recommendation
techniques.
Challenges:
 Complexity: Implementing and maintaining a parallelized hybridization design can be
complex, requiring careful management of multiple recommendation techniques.
 Performance Overhead: Combining multiple techniques can increase the
computational overhead of the system, especially in real-time recommendation
scenarios.
Example:
In a parallelized hybridization design for restaurant recommendations, the system would
combine multiple recommendation techniques to suggest restaurants that meet the user's
preferences and requirements. Here's how this could work:
Weighted Approach:
 Collaborative Filtering (CF): Recommend restaurants based on the dining history and
preferences of similar users.
 Content-Based Filtering (CBF): Recommend restaurants based on features such as
cuisine type, price range, and ambiance.
 Demographic-Based Filtering (DBF): Recommend restaurants based on user
demographics, such as age, location, and dining habits.
Switching Approach:
 The system dynamically selects the best recommendation technique based on the
user's current context. For example, if the user is searching for a specific cuisine, the
system might switch to CBF to prioritize restaurants that serve that cuisine.
Mixed Approach:
 Combine recommendations from CF, CBF, and DBF without assigning weights.
 Use CF to generate an initial set of recommendations, then use CBF to filter or
enhance those recommendations based on the user's requirements.
 DBF could further personalize the recommendations based on the user's
demographics and preferences.
Recommendation Generation:
 The system generates restaurant recommendations by combining the outputs of CF,
CBF, and DBF using a weighted, switching, and mixed approach.
 The final recommendation is a combination of the recommendations from each
technique, weighted based on their relevance and importance to the user's
requirements.
Topic 7: Pipelined Hybridization
 Pipelined hybridization in recommendation systems involves using multiple
recommendation techniques in a sequential manner, where the output of one
technique serves as input to the next.
 This approach allows each technique to complement the others and improve the
overall quality of recommendations. Some common pipelined hybridization strategies
include cascade and meta-level hybridization.
Cascade Hybridization:
 In cascade hybridization, the output of one recommendation technique is used to filter
or enhance the recommendations generated by another technique.
 For example, collaborative filtering might be used to generate a set of initial
recommendations, which are then filtered based on content-based features to improve
relevance.
Meta-level Hybridization:
 In meta-level hybridization, the outputs of multiple recommendation techniques are
combined using a meta-level model, such as a machine learning algorithm.
 The meta-level model learns to combine the outputs of different techniques to
generate the final recommendations.
 For example, the outputs of collaborative filtering, content-based filtering, and
demographic-based filtering could be combined using a machine learning algorithm to
improve recommendation accuracy.
Limitations of Hybridization Strategies:
 Complexity: Hybridization strategies can increase the complexity of recommendation
systems, making them more difficult to implement and maintain.
 Computational Overhead: Using multiple recommendation techniques in parallel or in
sequence can increase the computational overhead of the system, which may impact
its performance, especially in real-time recommendation scenarios.
 Data Requirements: Hybridization strategies often require a large amount of data to
train the different recommendation techniques and the meta-level model, which may
not always be available.
 Interpretability: The outputs of hybridization strategies can be difficult to interpret,
making it challenging to understand why a particular recommendation was made.
Example:
let's consider a user who is interested in learning graphic design and is looking for online
courses. The user prefers intermediate-level courses, has a maximum budget, and wants
courses that offer practical projects and instructor feedback. Here's how a pipelined
hybridization design could be used to recommend online graphic design courses:
Cascade Approach:
 Content-Based Filtering (CBF): The system initially uses CBF to recommend
intermediate-level graphic design courses based on their content and target audience.
 For example, the system might recommend courses that cover advanced design
principles, software techniques, and project workflows.
 Filtering for Budget and Features: The output of the CBF is then filtered based on the
user's maximum budget and the requirement for practical projects and instructor
feedback.
 This step ensures that only courses within the user's budget and offering practical
projects and feedback are considered for recommendation.
Meta-Level Approach:
 User Interaction Modeling: The system builds a model of the user's interaction with
the recommended courses based on their preferences and behavior.
 For example, the system tracks which courses the user enrolls in, completes, and
provides feedback on.
 Machine Learning Model: Using the model of the user's interaction, the system
employs a machine learning algorithm to predict which courses are most likely to be
preferred by the user.
 The algorithm takes into account factors such as course ratings, user reviews, and
similarity to previously liked courses.
Recommendation Generation:
 The final recommendation is a combination of the courses recommended through the
cascade approach (CBF and filtering) and the courses predicted to be preferred by the
user through the meta-level approach.
 This ensures that the recommended courses not only meet the user's initial preferences
but also align with their past behavior and preferences.

Unit IV Knowledge and Hybrid Recommendation System.pdf

  • 1.
    Department of InformationTechnology 2023 – 2024 (EVEN SEMESTER) Year : III IT Course Code : VIT336 Faculty Name : Dr. R. Arthy, AP/IT Course Name : Recommender System Course code (as per NBA) 21ITC324 Regulation : R2021 Unit IV - KNOWLEDGE-BASED AND HYBRID RECOMMENDATION Topic 1: Knowledge Based Recommendation System  A recommender system is knowledge-based when it makes recommendations based not on a user’s rating history, but on specific queries made by the user.  It might prompt the user to give a series of rules or guidelines on what the results should look like, or an example of an item.  The system then searches through its database of items and returns similar results. Working Principle:  Knowledge Base: o The system's knowledge base contains information about items (products, services, content) and the user's preferences or requirements. o This information is typically represented using rules, ontologies, or structured data.  User Input:
  • 2.
    o The userprovides input about their preferences, requirements, or constraints. o This input could be in the form of explicit ratings, answers to questions, or a description of their needs.  Matching: o The system uses its knowledge base to match the user's input with the information about items in the knowledge base. o It may use rules or algorithms to determine the relevance of items to the user's preferences.  Recommendation Generation: o Based on the matching process, the system generates recommendations that best fit the user's preferences or requirements. o These recommendations are often accompanied by explanations or reasoning behind the recommendations.  Feedback Loop: o The system may incorporate feedback from the user to refine its recommendations over time. o This feedback could include explicit ratings, feedback on recommended items, or updates to the user's preferences. Examples of knowledge-based recommendation systems include:  Expert Systems: o These systems use rules and logic to mimic the decision-making process of a human expert. o They are often used in specialized domains where expertise is required, such as medical diagnosis or financial planning.  Case-Based Reasoning Systems: o These systems recommend items based on their similarity to past cases or experiences. o They are used in applications where past cases can be used to make recommendations, such as customer support or legal advice.  Ontology-Based Systems: o These systems use ontologies to represent knowledge about items and user preferences.
  • 3.
    o They canprovide more flexible and customizable recommendations by capturing the relationships between different concepts. Knowledge Representation and Reasoning:  Knowledge representation and reasoning (KRR) is a field of artificial intelligence (AI) that focuses on how knowledge can be represented in a computer and how automated reasoning techniques can be used to manipulate this knowledge to draw conclusions, make decisions, or solve problems.  Knowledge Representation: o This involves selecting a suitable language to represent knowledge in a form that a computer can understand and manipulate. o Common approaches include:  Logical Representation: Using formal logic (e.g., propositional logic, first-order logic) to represent knowledge with statements and rules.  Semantic Networks: Representing knowledge as a network of interconnected nodes (concepts) and edges (relationships).  Frames: Organizing knowledge into structures called frames, which contain slots for properties and values.  Ontologies: Using formal ontologies to represent knowledge, specifying concepts, relationships, and constraints in a domain.  Automated Reasoning: o This involves using algorithms and techniques to manipulate the represented knowledge to draw conclusions or make decisions. o Common forms of reasoning include:  Deductive Reasoning: Inferring new facts from existing knowledge using logical rules and inference mechanisms.  Inductive Reasoning: Generalizing from specific observations to make more general conclusions.  Abductive Reasoning: Inferring the best explanation or hypothesis for a set of observations.  Probabilistic Reasoning: Reasoning under uncertainty, where probabilities are assigned to different outcomes.  Knowledge Base:
  • 4.
    o A knowledgebase is a repository of knowledge represented in a formal language, along with inference rules and mechanisms for manipulating this knowledge.  Inference Engines: o These are software components that perform the actual reasoning or inference process using the knowledge represented in the knowledge base.  Applications: o Knowledge representation and reasoning are used in various AI applications, including expert systems, natural language processing, intelligent tutoring systems, robotics, and decision support systems. Topic 2: Constraint-based Recommendation System Introduction:  Recommendation systems are crucial in providing personalized recommendations to users, enhancing user experience, and increasing user engagement.  Constraint-based recommenders are a type of recommendation system that considers user constraints and preferences to generate personalized recommendations.  Constraint-based recommenders differ from other recommendation systems, such as collaborative filtering and content-based recommenders, by focusing on satisfying user constraints.  These constraints can include budget limitations, specific product features, or other requirements that users may have.  A classical constraint satisfaction problem (CSP)1 can be described by a-tuple (V,D,C) where o V is a set of variables, o D is a set of finite domains for these variables, and o C is a set of constraints that describes the combinations of values the variables can simultaneously take Key Components:  User Constraints: Users provide constraints or requirements that should be considered in the recommendation process.  Item Representation: Items are represented with attributes or features that describe them, such as genre, price, or availability.
  • 5.
     Constraint Satisfaction:The system finds items that match the user's preferences while satisfying the specified constraints.  Recommendation Generation: Based on constraint satisfaction, the system generates recommendations that best fit the user's preferences and constraints.  Feedback Loop: As users interact with the system and provide feedback, the system adapts its recommendations to better meet user needs over time. Use Cases and Examples:  Constraint-based recommenders are particularly useful in domains where users have specific requirements or constraints.  For example, in e-commerce, users may have budget constraints or specific product features they are looking for. In travel planning, users may have preferences for certain types of accommodations or travel dates. Advantages:  Personalization: Constraint-based recommenders provide personalized recommendations that take into account user constraints, leading to more relevant suggestions.  User Control: Users have more control over the recommendations they receive, as they can specify constraints based on their preferences.  Diverse Recommendations: By considering user constraints, the system can provide a diverse range of recommendations that match different user needs and preferences. Limitations:  User Effort: Users need to explicitly specify constraints, which may require additional effort and input.  Limited Exploration: Constraints may limit the diversity of recommendations, potentially leading to less exploration of new items or content. Example: Let's consider an example scenario where a travel website is helping a user, Sophi, find a hotel for her upcoming vacation in Paris. Sophi has certain constraints and preferences that the recommendation system needs to consider: Constraints:  Maximum budget per night: $200  Minimum star rating: 4 stars  Required amenities: Free Wi-Fi and a swimming pool
  • 6.
    Hotel Representation:  Hotelsare represented with attributes such as price per night, star rating, and available amenities.  Each hotel is categorized based on these attributes, making it easier for the system to filter and recommend suitable options. Constraint Satisfaction:  The recommendation system filters out hotels that do not meet Sophi’s constraints, such as those exceeding her budget or lacking the required amenities.  It also considers the location of the hotels to ensure they are in a suitable area of Paris for Sophi’s stay. Recommendation Generation:  Based on the constraint satisfaction process, the system generates a list of hotels that meet Sophi's budget, star rating, and amenity requirements.  The system may also prioritize hotels based on their proximity to popular attractions or their overall rating from previous guests. Feedback Loop:  Sophi can provide feedback on the recommended hotels, such as indicating which amenities are essential or rating her overall satisfaction with the recommendations.  This feedback helps the system refine its recommendations and improve the accuracy of future suggestions for Sophi and other users. Personalized Recommendations:  The recommendation system provides personalized hotel recommendations that align with Sophi’s constraints and preferences.  By considering her specific requirements, the system ensures that the recommended hotels meet her expectations and contribute to a memorable vacation experience in Paris. Conclusion:  In this example, the constraint-based recommendation system effectively assists Sophi in finding a hotel that meets her budget, star rating, and amenity requirements for her vacation in Paris.  The system's ability to consider these constraints and provide personalized recommendations enhances Sophi's overall travel planning experience and increases the likelihood of a successful and enjoyable trip.
  • 7.
    Topic 3: Case-basedRecommendation System Introduction:  Recommendation systems are crucial in providing personalized suggestions to users, enhancing their experience.  Case-based recommendation systems, a type of recommendation system, recommend items based on similarities to past cases or experiences.  They are valuable in providing personalized recommendations in various domains.  Case-based recommendation systems work by comparing a new case (user's preferences) with past cases in a case base.  They recommend items that are similar to past cases that had positive outcomes.  Unlike other recommendation systems, which rely on user-item interactions or item attributes, case-based recommenders focus on similarities between cases. Key Components:  Case Base: Contains past cases or experiences, each represented by attributes and outcomes. This is the knowledge repository of the system.  Similarity Measure: A method to measure the similarity between the new case and past cases. Common similarity measures include cosine similarity and Euclidean distance.  Recommender Engine: The algorithm that finds and recommends cases similar to the new case based on the similarity measure. Working Principle:  User Input: The user provides preferences, which are represented as a new case.  Similarity Calculation: The system calculates the similarity between the new case and past cases in the case base. More-is-better (MIB) property Less-is-better (LIB) property
  • 8.
     Recommendation Generation:Based on the most similar cases, the system recommends items that are likely to be of interest to the user.  Feedback Loop: As the user interacts with the system and provides feedback on recommended items, the system learns and improves its recommendations over time. Advantages:  Adaptability: Case-based recommenders can adapt to changing user preferences, as the system learns from each new case.  Domain Flexibility: They can recommend items in new or niche domains where data is limited, as long as there are relevant past cases. Limitations:  Data Quality Dependence: The quality and relevance of past cases in the case base significantly impact the recommendations.  Cold-start Problem: They struggle in cold-start situations where there are few or no past cases to draw recommendations from. Examples of Application:  Customer Service: Recommending solutions based on past customer interactions.  Healthcare: Recommending treatments based on past medical cases.  In conclusion, case-based recommendation systems are valuable in providing personalized recommendations based on past experiences or cases.  They offer adaptability and flexibility, although they are dependent on the quality of past cases.  Despite their limitations, they play a crucial role in enhancing user experience in various domains. Example: Let's elaborate on the case-based recommendation system for Smitha looking for interesting book:  Case Base: o The system maintains a case base of books that Smitha has read and enjoyed, focusing on novels with strong female protagonists in the fantasy genre.
  • 9.
    o The casebase includes books like "The Hunger Games," "Throne of Glass," and "Graceling."  Book Representation: o Each book in the case base is represented with attributes such as genre (fantasy), presence of a strong female protagonist, plot summary, and Smitha’s rating or feedback.  Similarity Measure: o The system uses a similarity measure to compare new books with past cases in the case base. o This could involve comparing genres, protagonist attributes, and plot themes. o For example, if a new fantasy novel features a strong female protagonist on a quest, it would be considered similar to "The Hunger Games."  Recommendation Generation: o When Smitha is looking for a new book to read, the system compares it with past cases of books she enjoyed. o It then recommends books that are similar to those past cases, particularly focusing on fantasy novels with strong female protagonists. o For instance, if a new fantasy series with a strong female lead becomes popular, the system would recommend it to Smitha based on its similarity to "Throne of Glass" or other books she liked.  Feedback Loop: o As Smitha reads new books and provides feedback, such as ratings or reviews, the system learns and improves its recommendations over time. o For example, if Smitha enjoys a new book that was recommended to her, the system would use this feedback to refine its recommendations and suggest similar books in the future.  Personalized Recommendations: o The system provides personalized book recommendations to Smitha based on her specific preference for fantasy novels with strong female protagonists. o This ensures that she receives relevant and enjoyable suggestions tailored to her reading tastes. Topic 4: Hybridization Approach
  • 10.
     A hybridizationapproach in recommendation systems involves combining multiple recommendation techniques to improve the quality and accuracy of recommendations.  It leverages the strengths of different recommendation methods to overcome their individual limitations.  There are several ways to hybridize recommendation systems, including: 1. Weighted Hybrid:  In this approach, recommendations from different methods are combined using weights.  For example, collaborative filtering and content-based recommendations could be combined, with the weight for each method determined based on its performance for a given user or item. 2. Feature Combination:  Features from different recommendation methods are combined to create a hybrid feature set.  For example, in a content-based system, features describing the item could be combined with features derived from user-item interactions in a collaborative filtering system.
  • 11.
    3. Switching Hybrid: Recommendations from different methods are generated independently, and a switching mechanism is used to select the best recommendation for each user or item.  The switching mechanism could be based on the user's current context or past behavior. 4. Cascade Hybrid:  Recommendations from one method are used to enhance or filter the recommendations from another method.  For example, the top recommendations from a collaborative filtering system could be further filtered based on content-based features. 5. Meta-level Hybrid:  In this approach, the outputs of different recommendation methods are used as input to a meta-level model that generates the final recommendations.  The meta-level model could be a machine learning algorithm trained on past recommendation data. 6. Feature Augmentation:
  • 12.
     The featureaugmentation hybrid is able to improve the performance of the core system without changing the main recommendation model.  For example, by using the association rule, we are able to enhance the user profile dataset.  With the augmented dataset, the performance of content-based recommendation model will be improved. 7. Mixed: Opportunity for Hybridization:  The opportunity of hybridization in recommendation systems lies in its ability to overcome the limitations of individual recommendation techniques and improve the overall quality of recommendations.  Some key opportunities include: 1. Improved Recommendation Accuracy:  By combining multiple recommendation techniques, hybrid systems can leverage the strengths of each method to provide more accurate and relevant recommendations.  This can lead to increased user satisfaction and engagement. 2. Enhanced Diversity:  Hybridization can help overcome the problem of recommendation bias by incorporating diverse recommendation approaches.  This can lead to a more diverse set of recommendations, catering to a wider range of user preferences. 3. Robustness to Data Sparsity:
  • 13.
     In scenarioswhere data is sparse, such as in cold-start situations, hybrid systems can use multiple data sources or recommendation methods to generate recommendations.  This can help improve the quality of recommendations for new users or items. 4. Adaptability to User Preferences:  Hybrid systems can adapt to changes in user preferences over time by combining different recommendation techniques.  This adaptability can help ensure that recommendations remain relevant and useful to users. 5. Increased Personalization:  By combining different recommendation methods, hybrid systems can provide more personalized recommendations tailored to individual user preferences and behavior patterns. Topic 5: Monolithic Hybridization  Monolithic hybridization in recommendation systems refers to the approach of combining multiple recommendation techniques into a single, integrated system.  This approach aims to leverage the strengths of different techniques to improve recommendation quality and accuracy.  One common method used in monolithic hybridization is feature combination, where features from different recommendation methods are merged into a single feature set.  Another technique is feature augmentation, where existing features are enhanced with additional information to improve recommendation performance. Feature Combination:  In a monolithic hybrid system, features from different recommendation techniques are combined into a single feature set.  For example, in a movie recommendation system combining collaborative filtering and content-based filtering, features such as movie genre, user ratings, and movie popularity from both techniques could be merged into a single feature set.
  • 14.
     By combiningfeatures, the system can make more informed recommendations by considering a broader range of factors. Feature Augmentation:  Feature augmentation involves enhancing existing features with additional information to improve recommendation quality.  For example, in a content-based filtering system for recommending books, additional features such as author popularity, publication year, and reader reviews could be added to the existing feature set.  By augmenting features, the system can provide more contextually relevant recommendations, leading to a better user experience.
  • 15.
    Benefits of MonolithicHybridization:  Improved Recommendation Accuracy: By combining features and techniques, the system can provide more accurate and relevant recommendations to users.  Enhanced Diversity: Monolithic hybridization can help overcome recommendation bias by incorporating diverse recommendation approaches, leading to a more diverse set of recommendations.  Robustness to Data Sparsity: By combining multiple data sources and recommendation methods, the system can provide recommendations even in scenarios where data is sparse. Challenges of Monolithic Hybridization:  Complexity: Integrating multiple recommendation techniques into a single system can be complex and require careful design and implementation.  Scalability: As the system grows, maintaining and updating the monolithic hybrid system can become challenging. Example:
  • 16.
    Let's consider anexample scenario of a monolithic hybrid recommendation system for recommending movies to users. This system combines collaborative filtering, content-based filtering, and demographic-based filtering techniques to provide personalized movie recommendations. Feature Combination:  Collaborative Filtering: o This technique recommends movies based on the preferences and behavior of similar users. o The features include user ratings, movie ratings, and user-item interaction history.  Content-Based Filtering: o This technique recommends movies based on the attributes of the movies and user preferences. o The features include movie genres, director, actors, and plot keywords.  Demographic-Based Filtering: o This technique recommends movies based on demographic information such as age, gender, and location. o The features include user demographics and preferences for specific genres or actors. Feature Augmentation:  Additional features can be added to enhance the recommendation process. For example, sentiment analysis of user reviews can provide insights into user preferences and movie sentiment.  User engagement metrics such as the number of times a user has watched a movie or the average rating given by a user can also be added to the feature set. Recommendation Generation:  The system combines features from all three techniques into a single feature set.  For example, it may use collaborative filtering to identify movies that similar users have enjoyed, then use content-based filtering to filter those movies based on the user's genre preferences.  The system can also use demographic-based filtering to further personalize the recommendations based on the user's age, gender, and location.
  • 17.
    Feedback Loop:  Asthe user interacts with the system and provides feedback on the recommended movies, the system can learn and improve its recommendations over time.  The system can use this feedback to update the feature set and improve the accuracy of future recommendations. Personalized Recommendations:  By combining multiple techniques and features, the system can provide highly personalized movie recommendations to users.  The system can adapt to changes in user preferences and behavior, ensuring that the recommendations remain relevant and engaging. Topic 6: Parallelized Hybridization  In a parallelized hybridization design for recommendation systems, multiple recommendation techniques are employed simultaneously, and the final recommendations are generated through a combination of these techniques.  Three common approaches within this design are weighted, switching, and mixed hybridization. Weighted Hybridization:  In the weighted approach, recommendations from different recommendation techniques are combined using weighted averages or other mathematical functions.  Each recommendation technique is assigned a weight based on its performance or relevance to the user.  For example, collaborative filtering might be assigned a higher weight for users with a history of similar preferences, while content-based filtering might be more heavily weighted for users with sparse interaction histories.
  • 18.
    Switching Hybridization:  Inthe switching approach, the system dynamically selects the best recommendation technique based on the user's current context or behavior.  For example, if a user is browsing for movies in a specific genre, the system might switch to content-based filtering to provide more relevant recommendations.
  • 19.
    Mixed Hybridization:  Inthe mixed approach, recommendations from different techniques are combined without assigning weights.  The system might use collaborative filtering to generate a set of recommendations and then use content-based filtering to filter or enhance those recommendations before presenting them to the user.
  • 20.
    Advantages:  Improved RecommendationAccuracy: By combining multiple techniques, the system can provide more accurate and relevant recommendations.  Increased Robustness: The system is more robust to changes in user behavior or data sparsity, as it can adapt its recommendations based on the current context.  Enhanced Personalization: The system can provide more personalized recommendations by leveraging the strengths of different recommendation techniques. Challenges:  Complexity: Implementing and maintaining a parallelized hybridization design can be complex, requiring careful management of multiple recommendation techniques.  Performance Overhead: Combining multiple techniques can increase the computational overhead of the system, especially in real-time recommendation scenarios. Example: In a parallelized hybridization design for restaurant recommendations, the system would combine multiple recommendation techniques to suggest restaurants that meet the user's preferences and requirements. Here's how this could work: Weighted Approach:
  • 21.
     Collaborative Filtering(CF): Recommend restaurants based on the dining history and preferences of similar users.  Content-Based Filtering (CBF): Recommend restaurants based on features such as cuisine type, price range, and ambiance.  Demographic-Based Filtering (DBF): Recommend restaurants based on user demographics, such as age, location, and dining habits. Switching Approach:  The system dynamically selects the best recommendation technique based on the user's current context. For example, if the user is searching for a specific cuisine, the system might switch to CBF to prioritize restaurants that serve that cuisine. Mixed Approach:  Combine recommendations from CF, CBF, and DBF without assigning weights.  Use CF to generate an initial set of recommendations, then use CBF to filter or enhance those recommendations based on the user's requirements.  DBF could further personalize the recommendations based on the user's demographics and preferences. Recommendation Generation:  The system generates restaurant recommendations by combining the outputs of CF, CBF, and DBF using a weighted, switching, and mixed approach.  The final recommendation is a combination of the recommendations from each technique, weighted based on their relevance and importance to the user's requirements. Topic 7: Pipelined Hybridization  Pipelined hybridization in recommendation systems involves using multiple recommendation techniques in a sequential manner, where the output of one technique serves as input to the next.  This approach allows each technique to complement the others and improve the overall quality of recommendations. Some common pipelined hybridization strategies include cascade and meta-level hybridization.
  • 22.
    Cascade Hybridization:  Incascade hybridization, the output of one recommendation technique is used to filter or enhance the recommendations generated by another technique.  For example, collaborative filtering might be used to generate a set of initial recommendations, which are then filtered based on content-based features to improve relevance. Meta-level Hybridization:  In meta-level hybridization, the outputs of multiple recommendation techniques are combined using a meta-level model, such as a machine learning algorithm.  The meta-level model learns to combine the outputs of different techniques to generate the final recommendations.  For example, the outputs of collaborative filtering, content-based filtering, and demographic-based filtering could be combined using a machine learning algorithm to improve recommendation accuracy.
  • 23.
    Limitations of HybridizationStrategies:  Complexity: Hybridization strategies can increase the complexity of recommendation systems, making them more difficult to implement and maintain.  Computational Overhead: Using multiple recommendation techniques in parallel or in sequence can increase the computational overhead of the system, which may impact its performance, especially in real-time recommendation scenarios.  Data Requirements: Hybridization strategies often require a large amount of data to train the different recommendation techniques and the meta-level model, which may not always be available.  Interpretability: The outputs of hybridization strategies can be difficult to interpret, making it challenging to understand why a particular recommendation was made. Example: let's consider a user who is interested in learning graphic design and is looking for online courses. The user prefers intermediate-level courses, has a maximum budget, and wants courses that offer practical projects and instructor feedback. Here's how a pipelined hybridization design could be used to recommend online graphic design courses: Cascade Approach:  Content-Based Filtering (CBF): The system initially uses CBF to recommend intermediate-level graphic design courses based on their content and target audience.
  • 24.
     For example,the system might recommend courses that cover advanced design principles, software techniques, and project workflows.  Filtering for Budget and Features: The output of the CBF is then filtered based on the user's maximum budget and the requirement for practical projects and instructor feedback.  This step ensures that only courses within the user's budget and offering practical projects and feedback are considered for recommendation. Meta-Level Approach:  User Interaction Modeling: The system builds a model of the user's interaction with the recommended courses based on their preferences and behavior.  For example, the system tracks which courses the user enrolls in, completes, and provides feedback on.  Machine Learning Model: Using the model of the user's interaction, the system employs a machine learning algorithm to predict which courses are most likely to be preferred by the user.  The algorithm takes into account factors such as course ratings, user reviews, and similarity to previously liked courses. Recommendation Generation:  The final recommendation is a combination of the courses recommended through the cascade approach (CBF and filtering) and the courses predicted to be preferred by the user through the meta-level approach.  This ensures that the recommended courses not only meet the user's initial preferences but also align with their past behavior and preferences.