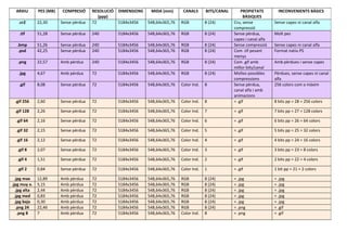
ARXIU        PES (MB)   COMPRESIÓ      RESOLUCIÓ DIMENSIONS    MIDA (mm)       CANALS      BITS/CANAL       PROPIETATS         INCONVENIENTS BÀSICS
                                            (ppp)                                                               BÀSIQUES
   .cr2        22,30      Sense pèrdua   72        5184x3456    548,64x365,76   RGB          8 (24)       Cru, sense           Sense capes ni canal alfa
                                                                                                          compressió
    .tif       51,28      Sense pèrdua   240       5184x3456    548,64x365,76   RGB          8 (24)       Sense pèrdua,        Molt pes
                                                                                                          capes i canal alfa
   .bmp        51,26      Sense pèrdua   240       5184x3456    548,64x365,76   RGB          8 (24)       Sense compressió     Sense capes ni canal alfa
    .psd       42,25      Sense pèrdua   240       5184x3456    548,64x365,76   RGB          8 (24)       Com .tif pesant      Format natiu PS
                                                                                                          menys
   .png        22,57      Amb pèrdua     240       5184x3456    548,64x365,76   RGB          8 (24)       Com .gif amb         Amb pèrdues i sense capes
                                                                                                          millor bits/canal
   .jpg        4,67       Amb pèrdua     72        5184x3456    548,64x365,76   RGB          8 (24)       Moltes possibles     Pèrdues, sense capes ni canal
                                                                                                          compressions         alfa
    .gif       8,08       Sense pèrdua   72        5184x3456    548,64x365,76   Color Ind.   8            Sense pèrdua,        256 colors com a màxim
                                                                                                          canal alfa i amb
                                                                                                          animacions
 .gif 256      2,60       Sense pèrdua   72        5184x3456    548,64x365,76   Color Ind.   8            = .gif               8 bits pp = 28 = 256 colors

 .gif 128      2,26       Sense pèrdua   72        5184x3456    548,64x365,76   Color Ind.   7            = .gif               7 bits pp = 27 = 128 colors

  .gif 64      2,16       Sense pèrdua   72        5184x3456    548,64x365,76   Color Ind.   6            = .gif               6 bits pp = 26 = 64 colors

  .gif 32      2,15       Sense pèrdua   72        5184x3456    548,64x365,76   Color Ind.   5            = .gif               5 bits pp = 25 = 32 colors

  .gif 16      2,12       Sense pèrdua   72        5184x3456    548,64x365,76   Color Ind.   4            = .gif               4 bits pp = 24 = 16 colors

   .gif 8      2,07       Sense pèrdua   72        5184x3456    548,64x365,76   Color Ind.   3            = .gif               3 bits pp = 23 = 8 colors

   .gif 4      1,51       Sense pèrdua   72        5184x3456    548,64x365,76   Color Ind.   2            = .gif               2 bits pp = 22 = 4 colors

   .gif 2      0,84       Sense pèrdua   72        5184x3456    548,64x365,76   Color Ind.   1            = .gif               1 bit pp = 21 = 2 colors

  .jpg max     12,89      Amb pèrdua     72        5184x3456    548,64x365,76   RGB          8 (24)       = .jpg               = .jpg
.jpg muy a.    5,15       Amb pèrdua     72        5184x3456    548,64x365,76   RGB          8 (24)       = .jpg               = .jpg
   .jpg alta   2,44       Amb pèrdua     72        5184x3456    548,64x365,76   RGB          8 (24)       = .jpg               = .jpg
  .jpg med     0,83       Amb pèrdua     72        5184x3456    548,64x365,76   RGB          8 (24)       = .jpg               = .jpg
  .jpg baja    0,30       Amb pèrdua     72        5184x3456    548,64x365,76   RGB          8 (24)       = .jpg               = .jpg
    .png 24    22,46      Amb pèrdua     72        5184x3456    548,64x365,76   RGB          8 (24)       = .png               = .gif
     .png 8    7          Amb pèrdua     72        5184x3456    548,64x365,76   Color Ind.   8            = .png               = .gif

T2 e2 murillo-noelia

  • 1.
    ARXIU PES (MB) COMPRESIÓ RESOLUCIÓ DIMENSIONS MIDA (mm) CANALS BITS/CANAL PROPIETATS INCONVENIENTS BÀSICS (ppp) BÀSIQUES .cr2 22,30 Sense pèrdua 72 5184x3456 548,64x365,76 RGB 8 (24) Cru, sense Sense capes ni canal alfa compressió .tif 51,28 Sense pèrdua 240 5184x3456 548,64x365,76 RGB 8 (24) Sense pèrdua, Molt pes capes i canal alfa .bmp 51,26 Sense pèrdua 240 5184x3456 548,64x365,76 RGB 8 (24) Sense compressió Sense capes ni canal alfa .psd 42,25 Sense pèrdua 240 5184x3456 548,64x365,76 RGB 8 (24) Com .tif pesant Format natiu PS menys .png 22,57 Amb pèrdua 240 5184x3456 548,64x365,76 RGB 8 (24) Com .gif amb Amb pèrdues i sense capes millor bits/canal .jpg 4,67 Amb pèrdua 72 5184x3456 548,64x365,76 RGB 8 (24) Moltes possibles Pèrdues, sense capes ni canal compressions alfa .gif 8,08 Sense pèrdua 72 5184x3456 548,64x365,76 Color Ind. 8 Sense pèrdua, 256 colors com a màxim canal alfa i amb animacions .gif 256 2,60 Sense pèrdua 72 5184x3456 548,64x365,76 Color Ind. 8 = .gif 8 bits pp = 28 = 256 colors .gif 128 2,26 Sense pèrdua 72 5184x3456 548,64x365,76 Color Ind. 7 = .gif 7 bits pp = 27 = 128 colors .gif 64 2,16 Sense pèrdua 72 5184x3456 548,64x365,76 Color Ind. 6 = .gif 6 bits pp = 26 = 64 colors .gif 32 2,15 Sense pèrdua 72 5184x3456 548,64x365,76 Color Ind. 5 = .gif 5 bits pp = 25 = 32 colors .gif 16 2,12 Sense pèrdua 72 5184x3456 548,64x365,76 Color Ind. 4 = .gif 4 bits pp = 24 = 16 colors .gif 8 2,07 Sense pèrdua 72 5184x3456 548,64x365,76 Color Ind. 3 = .gif 3 bits pp = 23 = 8 colors .gif 4 1,51 Sense pèrdua 72 5184x3456 548,64x365,76 Color Ind. 2 = .gif 2 bits pp = 22 = 4 colors .gif 2 0,84 Sense pèrdua 72 5184x3456 548,64x365,76 Color Ind. 1 = .gif 1 bit pp = 21 = 2 colors .jpg max 12,89 Amb pèrdua 72 5184x3456 548,64x365,76 RGB 8 (24) = .jpg = .jpg .jpg muy a. 5,15 Amb pèrdua 72 5184x3456 548,64x365,76 RGB 8 (24) = .jpg = .jpg .jpg alta 2,44 Amb pèrdua 72 5184x3456 548,64x365,76 RGB 8 (24) = .jpg = .jpg .jpg med 0,83 Amb pèrdua 72 5184x3456 548,64x365,76 RGB 8 (24) = .jpg = .jpg .jpg baja 0,30 Amb pèrdua 72 5184x3456 548,64x365,76 RGB 8 (24) = .jpg = .jpg .png 24 22,46 Amb pèrdua 72 5184x3456 548,64x365,76 RGB 8 (24) = .png = .gif .png 8 7 Amb pèrdua 72 5184x3456 548,64x365,76 Color Ind. 8 = .png = .gif