Embed presentation
Download to read offline













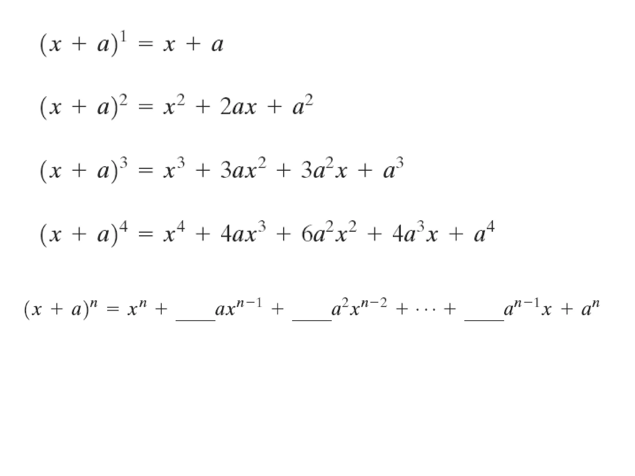
This document discusses the binomial theorem and provides two objectives: 1) Four Useful Formulas and 2) an unnamed second objective. The binomial theorem is a formula for expanding expressions of the form (a + b)^n where a and b are numbers or variables and n is a non-negative integer.












