Opening and Closing Rank of Round1 Allotment
Sl.No. Branch Rank
BC BCPD OP OPPD SC SCPD ST STPD
HS OS HS OS HS OS HS OS HS OS HS OS HS OS HS OS
National Institute of Technology, Agartala
1 Bio Engineering
OR
CR
27192
29924
48319
205029
12688
18230
370310
488312
88413
92777
570003
691119
135585
135585
2
Chemical Engineering 
Technology
OR
CR
18363
27711
242904
242904
30496
202283
12236
18005
412089
428114
85697
90305
523590
749551
124370
129277
3 Civil Engineering
OR
CR
18434
25095
155682
203473
71531
157543
11861
17587
323210
734121
108045
108045
187908
316942
68050
78192
200173
436521
83288
100620
386887
386887
4
Computer Science &
Engineering
OR
CR
16106
23970
15114
170165
5704
12534
113819
113819
373760
424922
45662
78330
568371
743656
71834
97867
5
Electronics &
Communication
Engineering
OR
CR
17262
24319
19110
105786
8003
15304
146614
149014
177328
383442
62107
80071
286376
646327
100398
115451
6
Electronics &
Instrumentation Engg
OR
CR
24656
25951
192074
192074
22472
192343
8531
16677
367867
454590
71931
83638
637992
719694
121679
124956
7 Electrical Engineering
OR
CR
16658
24389
19186
130704
5922
15819
139866
140742
132484
361295
70622
77550
354934
528837
101274
103664
8 Mechanical Engineering
OR
CR
14896
21682
13685
71163
7170
14128
123329
205452
49777
67367
228529
560210
82272
107382
9 Production Engineering
OR
CR
27029
28983
172592
224035
14335
19233
431258
485242
65582
92480
636489
760055
137074
146167
Motilal Nehru National Institute of Technology, Allahabad
10 Bio Technology
OR
CR
17283
25219
13224
26558
6394
9630
9978
12441
198189
198189
54023
63482
65924
85117
153983
156382
91842
114648
11
Chemical Engineering 
Technology
OR
CR
12526
15598
13891
16858
4737
6084
4299
6807
78378
78378
41392
46218
45301
55743
99368
102158
83878
83878
12 Civil Engineering
OR
CR
7532
11441
8463
10797
114315
114315
3408
5123
3480
5391
32555
32555
9823
29712
13564
38808
283596
283596
55082
97650
25167
34000
13
Computer Science &
Engineering
OR
CR
2436
8140
2294
5923
82964
82964
91468
91468
386
2131
271
1299
28154
28154
13281
13281
2229
30029
6142
20652
155983
155983
30019
82985
51916
61991
14
Electronics &
Communication
Engineering
OR
CR
4135
10233
4155
7389
68325
68325
1585
3649
76
2583
66830
66830
64372
64372
8541
34532
23413
34473
105583
105583
46680
92890
31725
62102
242605
242605
15 Electrical Engineering
OR
CR
5792
9241
5664
7297
105230
105230
108131
108131
1991
4063
1390
2770
28960
28960
6008
27949
12042
31716
64549
85127
35880
42001
16 Information Technology
OR
CR
9647
15406
10212
15063
130737
130737
3833
5436
1621
4533
139811
139811
27463
48583
39939
47854
374664
374664
103988
131706
73700
89742
17 Mechanical Engineering
OR
CR
5022
8596
4116
7313
82786
82786
1567
3662
170
2773
43377
43377
30375
30375
9487
27225
12171
27550
83413
94618
33741
52982
18
Production & Industrial
Engineering
OR
CR
15547
21197
18721
19774
5533
7685
6527
8238
209293
209293
48998
52619
56558
64706
144275
144275
96761
99527
National Institute of Technology, Arunachal Pradesh
19
Computer Science &
Engineering
OR
CR
150898
297491
19481
21379
222494
222494
36458
147923
7760
11886
121219
121219
274497
275011
46908
80106
92298
92298
20
Electronics &
Communication
Engineering
OR
CR
145124
260428
16652
20751
223555
223555
42566
142107
12412
14161
202093
202093
195850
411597
74203
81605
107869
107869
21
Electrical & Electronics
Engineering
OR
CR
140872
214753
21477
23032
234671
234671
17089
115766
13698
15332
157555
157555
327033
340412
75980
76014
91672
91672
624425
624425
Maulana Azad National Institute of Technology, Bhopal
22
Chemical Engineering 
Technology
OR
CR
22024
25817
18228
20413
299659
299659
188399
188399
3394
12036
7233
9674
171984
171984
166521
166521
65730
74047
53920
60998
123038
124364
94656
95925
23 Civil Engineering
OR
CR
11199
23902
11850
15760
5877
10807
5780
8405
153260
153260
99610
99610
39504
61164
40793
53129
83497
106516
30088
44260
24
Computer Science &
Engineering
OR
CR
8319
20239
6021
13759
195462
329086
176002
190731
540
6879
1523
5458
80335
80335
105965
105965
27288
63419
32476
46604
241965
241965
358587
358587
78504
108758
67033
74818
341008
341008
493383
493383
25
Electronics &
Communication
Engineering
OR
CR
11048
20865
8599
14420
4635
8830
3369
6202
83427
83427
79079
79079
24522
69152
41439
50878
95293
116375
45527
69718
26 Electrical Engineering
OR
CR
18215
21589
9508
14446
7106
9652
4791
6834
159074
159074
97894
97894
50454
66023
38933
49466
80059
108440
49495
52884
27 Mechanical Engineering
OR
CR
10739
18636
9430
13813
141117
141117
172119
172119
2745
8924
2971
6669
115388
115388
34026
34026
36459
55244
12338
49067
239355
239355
344659
344659
57300
78300
54465
60346
28
Materials Science & Metal
Engineering
OR
CR
23868
29657
14783
25447
12047
14113
9021
12988
69716
91240
80184
81881
127135
144313
108871
115980
National Institute of Technology, Calicut
29 Bio Technology
OR
CR
18472
19318
18670
19815
268643
268643
11463
12971
6473
10804
140761
154904
73110
74633
410752
410752
113428
113428
30
Chemical Engineering 
Technology
OR
CR
12947
18098
12157
18656
498474
498474
5148
12221
4411
8011
261495
261495
191519
191519
53591
133022
57058
61758
240921
240921
94713
102664
31 Civil Engineering
OR
CR
13257
16854
10242
13265
4989
11037
3459
6191
99672
99672
89329
89329
39601
101261
40976
47157
482751
482751
422359
720116
53570
63033
32
Computer Science &
Engineering
OR
CR
7647
13454
5079
7463
58009
58009
731
6060
94
2534
86762
86762
43906
43906
27705
122859
12628
31116
695216
713135
39411
56872
33
Electronics &
Communication
Engineering
OR
CR
5359
10597
5814
8657
127
4849
1595
3353
151503
151503
67331
67331
13230
90271
29153
37407
291176
291176
71058
549661
43495
57785
34
Electrical & Electronics
Engineering
OR
CR
7519
12934
7246
10072
260053
260053
232
6844
1788
4099
233261
233261
85688
85688
53119
107916
22333
39772
266561
617902
53250
61234
564962
564962
35 Engineering Physics
OR
CR
11779
18618
7916
17080
949
9176
506
4868
80354
157382
37261
52852
82275
82275
36 Mechanical Engineering
OR
CR
4647
8515
5685
9216
86450
86450
439
4627
1862
4094
137856
137856
78296
78296
25889
52497
26267
39507
482139
482139
36981
179869
48922
59495
37 Production Engineering
OR
CR
15659
17726
16439
19479
617709
617709
200561
200561
6928
12012
7357
9271
382828
382828
126585
144596
71230
74696
104566
107720
National Institute of Technology, Delhi
38
Computer Science &
Engineering
OR
CR
4675
11442
2082
4576
97941
97941
112
1436
174
973
3110
12163
9506
20521
52246
52246
46350
46350
39
Electronics &
Communication
Engineering
OR
CR
4784
13890
5199
9537
1614
3446
291
2179
71089
71089
17498
18006
22974
24738
454090
454090
74668
74668
52431
52431
40
Electrical & Electronics
Engineering
OR
CR
5925
13687
5154
8919
1880
3949
1654
2454
13310
18594
14824
26717
68965
72872
18641
18641
National Institute of Technology, Durgapur
41 Bio Technology
OR
CR
53548
88497
22847
28495
17187
22062
11508
16167
151892
151892
82429
104142
85764
90886
242373
242373
219774
277795
124067
132453
42
Chemical Engineering 
Technology
OR
CR
24887
74837
18886
22222
679261
679261
13455
17123
9882
11170
211313
211313
72266
78056
62225
68234
206126
206278
112947
113971
43 Civil Engineering
OR
CR
26153
61560
15909
18313
147965
147965
11142
15335
8945
10172
222871
222871
65032
76494
53447
56539
121584
196232
61083
68827
44
Computer Science &
Engineering
OR
CR
14809
60240
8781
15470
328630
328630
3413
11294
4339
6822
80830
80830
45461
75494
23192
54807
136340
185935
69022
87595
45
Electronics &
Communication
Engineering
OR
CR
11701
47801
12109
16307
2185
8047
4418
7592
96135
96135
98572
98572
28113
64032
32256
55805
121784
192100
72639
86227
503673
503673
46 Electrical Engineering
OR
CR
27361
59758
14996
16812
4928
11909
4988
8470
190272
190272
109050
109050
37638
70562
39365
56816
712196
712196
93656
197726
75554
78208
47 Information Technology
OR
CR
62710
76287
17926
20323
206236
206236
10456
19427
7636
9953
144230
144230
79847
95928
52773
67754
201898
218436
105686
113563
48 Mechanical Engineering
OR
CR
15152
56870
10791
16270
158459
158459
4146
13043
3896
8456
124322
124322
83410
83410
14482
59160
24644
53205
513504
513504
68218
137592
45170
77055
49
Metallurgy and Materials
Engineering
OR
CR
72881
81853
24123
27504
224977
224977
15385
19509
11334
13992
140064
140064
80033
104048
76124
89049
221122
229393
116573
132517
National Institute of Technology, Goa
50
Computer Science &
Engineering
OR
CR
99865
136326
12132
17043
11226
32281
3529
6828
311768
344420
16145
39184
386507
386507
73003
73003
51
Electronics &
Communication
Engineering
OR
CR
51863
97463
11655
16972
12233
38559
5520
7467
56640
56640
293931
294579
47720
48958
151205
151205
85466
85466
52
Electrical & Electronics
Engineering
OR
CR
112944
182802
15889
17354
147141
147141
18103
47227
4489
8024
246578
444578
50973
56739
223662
317047
80591
80591
National Institute of Technology, Hamirpur
53 Civil Engineering
OR
CR
99742
153812
18270
19896
194820
194820
10487
41520
6654
11003
130351
130351
88246
115318
45168
58807
71457
104220
31858
68150
54
Computer Science &
Engineering
OR
CR
64533
141780
11587
18226
9398
32392
1637
6798
243090
243090
53255
130362
17762
55770
128221
136187
17176
91416
354131
354131
55
Electronics &
Communication
Engineering
OR
CR
33586
126968
8694
18910
208872
208872
15985
31580
4759
8265
294592
294592
99843
99843
60635
103800
28365
58473
43655
116762
83134
87410
56
Electrical & Electronics
Engineering
OR
CR
52086
159425
9557
18732
9448
40564
8112
9423
130782
130782
108616
133679
58597
59465
169334
169334
103716
111043
61014
82911
57 Mechanical Engineering
OR
CR
28430
110025
9331
17297
7696
25227
5372
9045
415025
415025
133646
133646
46290
83207
36456
55751
59751
125632
63744
74803
Malviya National Institute of Technology, Jaipur
58
Chemical Engineering 
Technology
OR
CR
12112
16980
15815
20447
5557
7743
6960
8951
140166
140166
25769
56996
62726
69339
350578
350578
50008
61662
85927
117295
59 Civil Engineering
OR
CR
9609
11881
11163
14299
121262
121262
4324
6166
4610
7252
28908
28908
32949
39474
32260
44171
11715
25078
27577
67206
344892
344892
60 Computer Engineering
OR
CR
3490
8579
5343
10374
128818
128818
8
2592
697
2816
95152
95152
7131
7131
4468
32161
14800
40459
42571
50634
63294
73076
61
Electronics &
Communication
Engineering
OR
CR
5204
9719
7645
11525
95353
95353
400
3722
2367
4025
108421
108421
8812
37691
11016
44035
29458
44820
32246
66584
62 Electrical Engineering
OR
CR
4298
9290
10485
12521
113090
113090
2262
4232
3607
4729
85701
85701
22140
31190
40429
44992
443159
443159
23484
26002
43634
61953
63 Mechanical Engineering
OR
CR
4852
9519
7950
11302
120691
120691
737
4617
1707
4373
45786
45786
18007
33283
32097
40885
248908
248908
19549
33856
45344
64734
64 Metallurgical Engineering
OR
CR
17424
21202
23050
25779
6660
10831
6709
12697
192571
192571
87749
87749
42989
61533
75158
83505
567158
567158
75618
104982
82939
127836
Dr. B. R. Ambedkar National Institute of Technology, Jalandhar
65 Bio Technology
OR
CR
59619
100108
22928
27060
635495
635495
17840
23367
10810
14815
175098
175098
93996
100876
59427
83113
343447
343447
612850
718675
105782
105782
66
Chemical Engineering 
Technology
OR
CR
58623
80850
18878
22774
165097
165097
14180
18931
8105
12017
221607
221607
71418
90561
49516
72318
403373
563016
85873
107800
67 Civil Engineering
OR
CR
42793
63094
13072
19221
9082
14095
8512
10743
82083
82083
138915
138915
45644
76679
38495
56088
342714
342714
123698
205008
55306
60189
68
Computer Science &
Engineering
OR
CR
20230
41092
12116
16616
111105
111105
489
7721
202
6685
71772
71772
13897
41004
17517
53227
189322
189322
327454
414256
80588
84584
69
Electronics &
Communication
Engineering
OR
CR
19216
45999
14990
17362
187281
187281
3812
9384
5110
7699
119600
119600
57124
76625
25528
55753
187069
187069
295074
430185
74404
85046
70
Instrumentation & Control
Engineering
OR
CR
47766
79459
17303
24912
10481
16058
8739
12372
193803
193803
83986
93987
66215
78068
374694
538026
94324
116846
71
Industrial and Production
Engineering
OR
CR
54002
97871
23659
26405
11389
21458
9261
13582
200379
200379
91586
100151
65558
81087
453227
546320
117656
127620
72 Mechanical Engineering
OR
CR
18109
39941
10330
16383
141801
141801
6756
11255
5406
8249
135689
135689
83020
83020
33187
72181
30718
52460
207093
359543
52865
65595
73 Textile Engineering
OR
CR
74986
112132
22564
28525
17334
25075
11017
16093
216841
216841
172359
172359
86417
115642
80103
89528
564341
615910
128754
142795
National Institute of Technology, Jamshedpur
74 Civil Engineering
OR
CR
22297
25537
11206
17976
256505
256505
10098
16866
9113
10779
174096
174096
108170
108170
60230
91043
40412
53198
72888
125296
58655
69842
75
Computer Science &
Engineering
OR
CR
17539
22702
10328
16033
8569
14564
3100
7456
130675
130675
99167
99167
50012
92985
49200
58899
86752
135529
95243
100939
76
Electronics &
Communication
Engineering
OR
CR
16963
24218
15128
16856
7847
15457
6915
8731
16950
83422
51001
58224
293139
293139
114945
128045
80879
88407
77
Electrical & Electronics
Engineering
OR
CR
18105
22863
11401
16312
122627
122627
10135
15542
5071
9289
66012
90036
49338
58626
81576
122267
77554
81755
78 Mechanical Engineering
OR
CR
11381
18055
9407
13819
152546
152546
44632
44632
4531
10313
4148
8563
108688
108688
37308
78122
33850
50979
147029
147029
33635
69709
67855
74071
79
Metallurgical & Materials
Engineering
OR
CR
24668
28840
23284
27087
15677
21434
11681
14340
229582
229582
215396
215396
94203
98928
62794
87480
149631
166370
116811
129531
80
Production & Industrial
Engineering
OR
CR
26349
29070
20999
24209
259083
259083
17035
21028
10993
13181
211420
211420
91502
96013
68566
83997
135352
151080
104883
104883
National Institute of Technology, Kurukshetra
81 Civil Engineering
OR
CR
12403
33077
11371
16460
501462
501462
4579
12032
2023
8025
223596
223596
57199
57199
37265
76444
13269
48536
106112
196170
34152
50756
339857
339857
82 Computer Engineering
OR
CR
5745
15355
4598
11529
719
4258
1396
3222
37237
37237
49858
67688
19115
35072
213657
213657
236460
272469
62639
69149
83
Electronics &
Communication
Engineering
OR
CR
11740
24859
6229
13437
155340
155340
69058
69058
4472
7853
1256
4828
79189
79189
63506
63506
8738
70789
29419
49957
669468
669468
295464
368401
65695
68779
84 Electrical Engineering
OR
CR
21422
29375
11534
14300
499797
499797
128592
128592
5127
10666
2516
5881
176282
176282
88036
88036
44997
74391
19967
46670
182563
182563
117734
221458
51007
56133
85
Industrial Engineering and
Management
OR
CR
32846
37360
16481
23687
382076
382076
12333
15605
7495
11220
142128
142128
91627
101853
64692
74733
392478
549445
88277
117585
86 Information Technology
OR
CR
27519
32163
11265
18852
5221
10167
4967
7048
260265
260265
57427
57427
75759
86547
54399
64920
331153
455271
82099
99925
87 Mechanical Engineering
OR
CR
12247
25230
8381
12584
85270
85270
3468
8773
1395
5377
94213
94213
73560
73560
28952
61495
32802
44685
683684
683684
121018
344219
55755
59390
National Institute of Technology, Meghalaya
88
Computer Science &
Engineering
OR
CR
284716
381649
25267
25973
20735
145044
13554
15646
317088
334714
84694
85364
212700
212700
124504
124504
89
Electronics &
Communication
Engineering
OR
CR
211515
279377
22805
26279
58651
108796
15983
17556
216603
216603
196148
280598
85276
85282
188647
224359
123583
123583
90
Electrical & Electronics
Engineering
OR
CR
206408
355744
26302
26356
236037
236037
83303
178136
17484
18026
179477
195099
85860
86803
188812
188812
116604
116604
National Institute of Technology, Manipur
91
Computer Science &
Engineering
OR
CR
179305
225051
18810
24407
60682
170967
11470
14462
116779
116779
176027
189826
67275
76365
335818
335818
122136
122136
92
Electronics &
Communication
Engineering
OR
CR
139214
190043
24010
25558
86700
130836
12257
15963
204676
204676
175284
208492
76886
81816
184298
184298
123808
123808
93
Electrical & Electronics
Engineering
OR
CR
195227
220462
25600
25983
104409
191927
13934
16803
214734
214734
223981
272323
80264
83203
292101
333150
119886
119886
National Institute of Technology, Mizoram
94
Computer Science &
Engineering
OR
CR
25884
26923
108384
108384
15217
16778
394712
707319
86812
88390
515202
515202
129359
129359
95
Electronics &
Communication
Engineering
OR
CR
25307
26816
91497
337931
17269
18088
219668
219668
365208
714683
87171
87171
512897
541360
124687
124687
96
Electrical & Electronics
Engineering
OR
CR
23533
26747
79507
79507
107799
339688
15033
18335
615032
675609
81585
86970
433524
433524
113312
113312
Visvesvaraya National Institute of Technology, Nagpur
97
Chemical Engineering 
Technology
OR
CR
19607
24337
14570
19938
365490
365490
5944
9529
5956
9573
152254
152254
172617
172617
56233
63355
62377
71559
142988
179665
101085
107516
98 Civil Engineering
OR
CR
10078
22240
12978
15391
183123
183123
5873
9989
5139
7329
79912
79912
41200
60156
40398
51515
680530
680530
99774
125864
51583
57408
99
Computer Science &
Engineering
OR
CR
5631
11665
7556
11118
371
3339
1164
3532
73111
73111
75062
75062
24746
36311
19864
41039
105407
105407
57372
123504
53393
75011
100
Electronics &
Communication
Engineering
OR
CR
7717
17734
7573
11597
707096
707096
2775
4633
2184
4332
67365
67365
35064
48046
24988
44349
264706
264706
15113
120069
49616
68765
101
Electrical & Electronics
Engineering
OR
CR
6826
14332
10563
12435
135120
135120
173074
173074
1069
5442
3440
5058
64404
64404
36529
44765
30442
44985
79324
89788
58511
65922
102 Mechanical Engineering
OR
CR
5948
13715
5289
11215
2139
4896
2449
4855
48595
48595
101657
101657
24761
35554
29702
41541
47863
60910
39697
59689
523985
523985
103 Mining Engineering
OR
CR
27676
31595
18156
20989
12578
13921
7440
12892
72833
74560
68830
81889
177111
177111
89746
89746
104
Metallurgical & Materials
Engineering
OR
CR
22421
29860
20182
25255
8147
12472
7665
12195
161300
161300
64155
69519
67428
78025
590622
590622
186886
192223
99535
111128
National Institute of Technology, Nagaland
105
Computer Science &
Engineering
OR
CR
322335
382616
25439
26730
215959
265019
15025
17285
599188
599188
86181
89425
269101
269101
118206
118206
106
Electronics &
Communication
Engineering
OR
CR
237632
368279
23348
26409
78569
191384
12052
16802
188576
188576
451383
584230
81401
88714
247723
247723
116346
116346
107
Electrical & Electronics
Engineering
OR
CR
287253
303299
22982
25953
225804
225804
74452
251273
17372
18355
437264
546150
76213
86713
254142
254142
106842
106842
National Institute of Technology, Patna
108 Civil Engineering
OR
CR
16236
20150
19736
21933
130662
130662
8882
15945
11044
13061
49693
49693
36614
55397
66264
70735
277711
277711
21987
78795
73867
77169
109
Computer Science &
Engineering
OR
CR
16545
22155
18470
21382
6893
14131
7898
10946
100411
100411
93089
93089
61093
71668
64536
71335
125033
125625
82193
111184
110
Electronics &
Communication
Engineering
OR
CR
15539
21512
17157
21290
132900
132900
210013
210013
8711
15480
8779
11906
184149
184149
58652
65832
59057
67832
111000
123244
94159
99858
111 Electrical Engineering
OR
CR
17488
21137
13805
21279
130496
130496
6479
15102
8493
12352
117339
117339
57041
62292
62673
67178
167582
167582
84350
118633
81860
82595
112 Information Technology
OR
CR
22752
25204
21508
24322
15256
17692
5861
13231
203101
213150
72256
82600
71070
80575
414442
414442
135509
141902
114113
125684
113 Mechanical Engineering
OR
CR
13099
19310
16438
19264
199719
199719
7034
12360
2817
11618
94950
94950
37324
55337
59646
64388
43712
103094
54285
83622
National Institute of Technology, Puducherry
114
Computer Science &
Engineering
OR
CR
111775
171215
11674
17950
45423
94139
3092
8252
345337
345337
201155
202100
25487
61200
92652
92652
115
Electronics &
Communication
Engineering
OR
CR
108629
151437
9043
14645
159999
159999
53280
92191
2577
8595
134967
157686
45483
53695
101585
101585
116
Electrical & Electronics
Engineering
OR
CR
141439
162619
14396
17403
16923
103167
5884
9140
147469
183642
49686
49822
78642
78642
National Institute of Technology, Raipur
117 Bio Medical Engineering
OR
CR
94788
111062
28769
29994
285020
285020
13259
57230
15200
18174
687443
687443
214956
214956
117874
192850
87164
94313
160783
174199
117733
147850
118
Bio Technology
Engineering
OR
CR
92408
104326
24443
28903
295380
295380
36527
52755
10673
16914
733130
733130
220449
220449
158164
182074
87639
91189
542661
542661
139017
178495
126083
136987
119
Chemical Engineering 
Technology
OR
CR
61978
79729
21650
23957
588571
588571
27492
34177
10917
13214
177269
177269
139374
156941
66903
77493
159342
165792
117081
118029
120 Civil Engineering
OR
CR
41528
51008
17159
21151
15830
28207
10801
11937
339742
339742
85171
122718
59883
65106
98160
108270
60447
69423
121
Computer Science &
Engineering
OR
CR
35478
62230
11318
19615
6942
25771
5600
9115
150493
150493
122402
122402
68327
137699
45363
62650
127952
132924
87542
93065
122 Electrical Engineering
OR
CR
32823
41133
16651
20067
433611
433611
8529
23132
9281
10693
349869
349869
131522
131522
73882
114249
56946
64580
99615
112159
73166
80383
123
Electronics & Tele
Communication
Engineering
OR
CR
37363
61348
16855
20653
180761
180761
9252
26139
8094
10146
518667
518667
143984
143984
78308
130068
61048
66578
81810
117300
77890
85208
124 Information Technology
OR
CR
64140
88104
19558
23550
27522
35218
9329
12014
570327
570327
142009
142009
146969
165704
66162
71888
376268
376268
138280
159321
107271
107472
632664
632664
125 Mechanical Engineering
OR
CR
19185
33050
15344
18068
6662
18048
6869
10306
59399
100252
53197
59867
88428
105500
68767
80708
126 Metallurgical Engineering
OR
CR
52185
83520
25453
27620
29728
42416
13322
15817
130308
151560
74497
88997
132531
151422
119280
132584
127 Mining Engineering
OR
CR
64638
81290
23882
26609
29188
46177
12188
16665
127303
156598
69697
84234
143941
147189
104625
126055
National Institute of Technology, Rourkela
128 Bio Medical Engineering
OR
CR
52775
65430
18116
29136
20517
25883
11766
15733
104390
117773
60883
60883
685971
685971
168216
168216
129070
129070
129 Bio Technology
OR
CR
58540
62395
21089
25568
18112
25419
9266
13525
248912
248912
97527
121045
78014
81974
172080
172080
130314
130314
130
B.Tech Computer Science
& Engg. and M.Tech.
Computer Science 5-year
Dual Degree
OR
CR
42823
42823
10262
11698
12417
16935
1603
2735
68819
68819
101842
101842
131 Ceramic Engineering
OR
CR
55733
63247
26046
27823
291439
291439
19585
22230
12957
14950
333513
333513
110196
130792
83541
87586
145146
145146
132635
138356
132
B.Tech Chemical
Engineering & M.Tech.
Chemical Engineering
5-year Dual Degree
OR
CR
53480
54678
20655
20655
19407
19990
7955
10474
75216
75216
153758
153758
133
Chemical Engineering 
Technology
OR
CR
40386
50813
16255
20722
384896
384896
12917
15962
6563
10099
81553
106438
57529
64541
110710
120664
107348
114730
134
5 year Integrated M.Sc. In
Chemistry
OR
CR
52014
78750
21133
28872
23380
29302
7474
14122
142159
150899
92114
92436
162407
162407
128577
134069
135
B.Tech. Ceramic
Engineering & M.Tech. in
Industrial Ceramics 5-year
Dual Degree
OR
CR
69543
69543
23393
23393
23611
24377
12009
12670
84932
84932
180079
180079
149064
149064
136
B.Tech Civil Engineering &
M. Tech. Water Resources
Engineering 5-year Dual
Degree
OR
CR
47410
49206
16261
16261
17010
18926
6220
9800
93775
93775
64040
64040
137
B.Tech Civil Engineering &
M. Tech. Transportation
Engineering 5-year Dual
Degree
OR
CR
44111
44111
14766
18685
14536
19320
6440
7695
94791
94791
66671
66671
138 Civil Engineering
OR
CR
31436
37895
12753
15572
10480
12909
6157
7931
89535
89535
31532
79930
51451
53109
60159
72610
52453
61377
139
Computer Science &
Engineering
OR
CR
25934
40541
5868
10436
2247
11797
1599
4138
60008
60008
14061
84963
30340
42843
85255
104739
64736
77555
140
Computer Science & Engg.
and M.Tech. Information
Security 5-year Dual
Degree
OR
CR
46710
47184
13300
13300
3395
8673
2804
5209
50893
50893
131718
131718
141
Electronics &
Communication
Engineering
OR
CR
17994
33465
4952
11193
139358
139358
1800
7381
2137
4498
92212
92212
43946
71477
43772
44671
59233
59233
69959
69959
142
B.Tech. Electronics &
Communication
Engineering & M.Tech.
Communication & Network
5-year Dual Degre
OR
CR
41228
41876
12747
12747
15162
15652
3598
4524
89763
89763
32505
32505
143
B.Tech. Electronics &
Instrumentation
Engineering & M.Tech.
VLSI Design & Embedded
Systems 5-year D
OR
CR
40690
40690
12282
12282
14349
17190
7274
7538
92099
92099
60275
60275
144
B.Tech. Electrical
Engineering & M.Tech.
Control & Automation
5-year Dual Degree
OR
CR
39164
39164
12970
14655
13594
14155
5134
5363
154600
154600
84742
84742
145
B.Tech Electrical
Engineering & M.Tech.
Electronic Systems &
Communications 5-year
Dual Degree
OR
CR
44533
44533
14640
14640
145155
145155
12931
13179
2907
6190
74341
74341
630096
630096
136979
136979
146
Electronics &
Instrumentation Engg
OR
CR
34459
38793
13262
16199
586232
586232
8371
12286
1967
7422
86081
87540
48252
57141
94116
94116
75634
75634
147 Electrical Engineering
OR
CR
11089
29174
8352
12301
4940
8791
2142
5914
102409
102409
40602
65054
31771
50020
37249
44445
43576
57202
148
B.Tech. Electrical
Engineering & M.Tech.
Power Electronics & Drives
5-year Dual Degree
OR
CR
45889
45889
12486
12486
12773
13206
3819
6443
88752
88752
56448
56448
39049
39049
157690
157690
149 B.Tech. Industrial Design
OR
CR
47188
59828
22799
25900
14184
19359
8400
11379
307281
307281
109204
127391
79209
85122
175305
175305
127849
127849
150
5 year Integrated M.Sc. In
Mathematics
OR
CR
73422
75934
25715
27149
23204
30217
4188
12208
238937
238937
151459
159633
78844
80790
190448
190448
120333
120333
151
B.Tech. Mechanical
Engineering & M.Tech.
Mechatronics &
Automation 5-year Dual
Degree
OR
CR
24405
24405
6110
9596
12046
12626
2072
2096
163537
163537
83602
83602
93134
93134
152 Mechanical Engineering
OR
CR
8714
24005
7929
11795
120497
120497
1573
7563
2316
5651
26828
63890
23069
40996
24614
41546
62753
67264
153 Mining Engineering
OR
CR
44622
53717
18125
22376
14560
19118
7881
13127
62113
110043
79170
80779
141367
141367
102369
102369
154
Metallurgical & Materials
Engineering
OR
CR
41900
53360
18030
25581
13612
18225
4815
12416
216057
216057
88763
121890
71825
82628
81644
114590
118804
118804
688098
688098
155
B.Tech. Metallurgical &
Materials Engineering &
M.Tech. Metallurgical &
Materials Engineering
5-year
OR
CR
51873
53163
24627
24627
20097
20842
11900
12998
125658
125658
71495
71495
156
B.Tech. Mining Engineering
& M.Tech. Mining
Engineering 5-year Dual
Degree
OR
CR
51038
51038
16013
16013
20248
22575
11454
13683
96309
96309
83924
83924
128813
128813
157
5 year Integrated M.Sc. In
Physics
OR
CR
67176
73382
15264
25378
22356
27534
2812
8066
140126
146990
73498
75233
198690
198690
108439
108439
National Institute of Technology, Silchar
158 Civil Engineering
OR
CR
38486
60210
17761
23432
15768
36974
12956
15579
102323
102323
92008
113663
65003
72878
561065
561065
88681
118525
88164
100461
159
Computer Science &
Engineering
OR
CR
55685
81728
14930
22246
18979
43730
2623
12945
143026
143026
96145
128240
49069
77478
136945
149076
110317
119777
160
Electronics &
Communication
Engineering
OR
CR
39450
58258
19673
23741
12069
37329
5150
13962
144508
144508
72537
121349
70291
80574
121596
136912
94553
108142
161
Electronics &
Instrumentation
OR
CR
70799
79386
24288
25718
38579
44049
9975
15018
124527
124527
129523
135244
73575
80566
149131
149131
118733
118733
162 Electrical Engineering
OR
CR
59284
73744
20557
23523
163220
163220
20901
41822
6882
14693
373090
373090
79348
116847
58903
75329
750483
750483
97632
142627
97726
104801
163 Mechanical Engineering
OR
CR
22913
36897
16200
21996
125363
125363
7491
20734
5408
12876
87042
87042
112793
112793
57304
80098
44619
68588
55112
94921
91617
104158
National Institute of Technology, Sikkim
164
Computer Science &
Engineering
OR
CR
213114
341517
20195
24977
16868
143817
7677
14739
706392
706392
77516
79278
195219
195219
110093
123283
165
Electronics &
Communication
Engineering
OR
CR
171651
356245
22978
24874
75349
138567
10125
15762
187126
187126
355832
595525
73000
81902
216018
216018
115446
115446
166
Electrical & Electronics
Engineering
OR
CR
211170
284459
24830
25370
227805
227805
65385
184110
15476
16702
235394
318401
83746
84896
252596
252596
91751
91751
National Institute of Technology Karnataka, Surathkal
167
Chemical Engineering 
Technology
OR
CR
29082
45764
8943
11972
198461
198461
2143
7828
1861
3439
88424
123704
36823
50426
134610
137574
88836
89704
168 Civil Engineering
OR
CR
34202
45026
5478
9105
414875
414875
6003
9333
1562
3423
190557
190557
44420
59099
101298
126301
22468
33328
68147
129536
32179
49048
169 Computer Engineering
OR
CR
3131
25542
2356
3196
88811
88811
74302
74302
222
2359
95
651
77626
77626
30058
30058
20379
75778
7536
17465
39823
66795
4507
39034
170
Electronics &
Communication
Engineering
OR
CR
2414
13873
1463
4846
347372
347372
168
2098
110
1033
14152
57047
1475
22677
14698
61605
30785
34136
171
Electrical & Electronics
Engineering
OR
CR
14591
33939
1598
5414
339
4985
113
1419
75064
75064
46503
46503
82617
100000
18992
24258
79899
117765
22496
35012
172 Information Technology
OR
CR
15096
35972
5608
10170
98673
98673
735
5646
1426
2415
285970
285970
70071
70071
87226
121062
24542
42856
339396
339396
70725
116034
46613
56682
173 Mechanical Engineering
OR
CR
11284
30896
2282
5446
128
4939
276
1560
74535
74535
18494
18494
42780
87018
5992
23291
177149
177149
247415
247415
67517
93492
19890
43023
620844
620844
426401
426401
174 Mining Engineering
OR
CR
46040
56900
14699
18839
10792
12285
4303
9494
128465
142712
31165
68341
132422
141458
94952
100100
175
Metallurgy and Materials
Engineering
OR
CR
42597
53579
12321
19157
7206
10423
6
6819
130436
136512
59978
65343
112430
148257
93876
101347
National Institute of Technology, Srinagar
176
Chemical Engineering 
Technology
OR
CR
151583
179145
25275
27686
50533
67266
12527
18392
457070
457070
140680
140680
143423
169380
81296
87025
158168
162155
123867
126449
177 Civil Engineering
OR
CR
57546
128145
19595
24807
22883
52127
11141
17688
57759
57759
105527
142173
67175
75791
71386
105259
62807
81448
178
Computer Science &
Engineering
OR
CR
82046
154370
19822
22473
211151
211151
15958
56436
4018
13543
306150
383372
106401
137842
100634
141451
62937
65923
627576
627576
468708
468708
132920
169049
112608
112853
179
Electronics &
Communication
Engineering
OR
CR
59880
130806
20741
23856
311947
630506
15386
51119
11852
15535
201173
201173
184457
185527
80422
136305
67502
74576
147134
154899
91422
95932
447468
447468
180 Electrical Engineering
OR
CR
135980
148640
22867
24227
476099
476099
20554
57839
11697
16521
206284
206284
190496
190496
115035
150508
68928
74607
449442
449442
130860
133705
60879
61734
181
Information Technology
Engineering
OR
CR
164368
178803
24311
25565
222254
222254
56461
64296
13010
17046
222806
419019
205555
205555
157439
165256
78941
84172
164893
176816
113904
131597
182 Mechanical Engineering
OR
CR
75814
133748
19299
21775
10164
50868
11298
15465
67090
129220
58162
66406
113265
127316
88762
90213
183
Metallurgical & Materials
Engineering
OR
CR
154906
188491
27973
28681
68352
75771
17469
20094
223236
223236
150780
196954
89660
90397
180009
181317
132840
140256
Sardar Vallabhbhai National Institute of Technology, Surat
184
Chemical Engineering 
Technology
OR
CR
35086
68396
18056
21281
641915
641915
6037
18027
3314
10027
97182
97182
109682
124320
63866
71032
546209
546209
132581
147860
99496
104828
185 Civil Engineering
OR
CR
41945
62486
15667
17172
199357
199357
2828
15938
7337
8887
122486
122486
97461
97461
83521
107118
53972
57801
67355
125546
38291
55807
186 Computer Engineering
OR
CR
17317
56563
9696
15116
166318
166318
122
7420
2757
5731
127703
127703
81307
81307
29496
93101
40290
52219
106185
123526
66882
86258
187
Electronics &
Communication
Engineering
OR
CR
29638
63213
8675
14942
112134
112134
6594
12546
1093
6687
202246
202246
90744
90744
56769
106458
27447
55986
123497
135537
61229
76042
188 Electrical Engineering
OR
CR
34945
53734
13690
15654
197621
197621
5753
13066
5174
7060
56623
56623
76013
94778
46896
56509
32792
67368
43874
59750
189 Mechanical Engineering
OR
CR
8258
34871
8950
15530
453496
453496
238
7946
1999
7023
77994
77994
107069
107069
18719
75359
30287
51083
305435
305435
50815
102834
28333
62697
418262
418262
National Institute of Technology, Tiruchirappalli
190
Chemical Engineering 
Technology
OR
CR
15176
24262
7742
11622
302886
302886
6429
9977
1153
3014
172358
172358
53243
126933
34885
47241
330569
375373
68262
86960
191 Civil Engineering
OR
CR
12806
22113
4621
7378
92454
92454
2173
10047
1225
2802
255106
255106
50833
50833
30423
110019
14692
27780
84668
271190
46246
48444
192
Computer Science &
Engineering
OR
CR
4093
8013
498
1632
233491
233491
43
2336
1
318
108227
108227
27591
27591
15431
79451
3916
14643
104245
342436
11088
20143
193
Electronics &
Communication
Engineering
OR
CR
4291
12264
952
3117
91859
91859
217
3546
115
652
77346
77346
53523
53523
39382
74597
8133
19932
208750
208750
266134
300347
26524
28541
194
Electrical & Electronics
Engineering
OR
CR
5612
15143
2905
4369
261
4664
98
925
31064
31064
22664
72491
1415
18340
96353
321926
31443
35925
119122
119122
195
Instrumentation & Control
Engineering
OR
CR
12756
24024
5941
11500
5049
8901
1205
3863
168920
168920
85939
123986
50762
54445
314265
390833
71229
97764
196 Mechanical Engineering
OR
CR
4934
11063
2222
3741
26449
26449
335
4767
80
1058
159653
159653
10015
48396
7757
16612
145513
145513
86759
241345
25957
34625
197
Metallurgy and Materials
Engineering
OR
CR
25576
30332
10661
16333
180368
180368
10276
13894
3687
7841
124756
142870
47926
60028
423121
453206
96843
99296
198 Production Engineering
OR
CR
16879
27155
10537
17431
343374
343374
5706
12243
1716
6192
118403
118403
79971
122349
27902
64515
330538
404162
84844
100768
National Institute of Technology, Uttarakhand
199
Computer Science &
Engineering
OR
CR
24146
43341
12464
19078
17213
20626
4160
9419
13261
13261
94157
100267
28978
38858
120053
120053
103441
103441
200
Electronics &
Communication
Engineering
OR
CR
27702
39273
17009
19467
16938
24524
4800
9943
89700
96869
55772
57993
471656
471656
156976
156976
85970
85970
201
Electrical & Electronics
Engineering
OR
CR
31036
43702
17824
20042
21283
25215
10841
11453
257052
257052
95905
98021
57387
57895
125486
125486
84611
84611
202 Mechanical Engineering
OR
CR
28078
33845
13143
19132
585341
585341
11125
20268
6402
11039
70569
86126
51150
57474
93018
113270
80439
80439
National Institute of Technology, Warangal
203 Bio Technology
OR
CR
11315
16090
15500
24276
262220
262220
4750
8315
5851
10610
155379
155379
198626
198626
54581
70920
50559
82764
54652
96477
91153
122869
204
Chemical Engineering 
Technology
OR
CR
5294
10320
5084
14088
210332
210332
1777
4249
2235
4367
89164
89164
33684
50308
37972
49464
350866
350866
68538
87249
57262
64686
205 Civil Engineering
OR
CR
5330
7078
5225
8109
1823
3108
1639
3415
13028
13028
73192
73192
24007
31801
22605
26264
32441
37883
24304
42687
206
Computer Science &
Engineering
OR
CR
1195
3171
562
2198
31300
31300
74
954
18
450
17018
17018
2999
16098
1125
10308
15589
34802
30591
35451
553742
553742
207
Electronics &
Communication
Engineering
OR
CR
1442
3431
1049
4083
57796
57796
342
1182
83
985
38912
38912
2186
22577
11494
20074
119901
119901
11842
29484
21747
46338
208
Electrical & Electronics
Engineering
OR
CR
1966
4822
1620
4663
85419
85419
573
1718
149
1251
44645
44645
34250
34250
17467
20650
9351
19296
8015
30669
32317
49207
209 Mechanical Engineering
OR
CR
1974
5119
1671
4142
59006
59006
803
1884
246
1418
29573
29573
7641
19746
1837
19649
14301
28085
27498
38276
300627
300627
210
Metallurgical & Materials
Engineering
OR
CR
10774
13643
12855
19914
4283
6595
3609
8768
104763
104763
48650
58796
28642
67198
600224
600224
61769
74527
68314
101548
OR : Opening Rank, CR : Closing Rank

Round1 engg for states

  • 1.
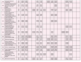
    Opening and ClosingRank of Round1 Allotment Sl.No. Branch Rank BC BCPD OP OPPD SC SCPD ST STPD HS OS HS OS HS OS HS OS HS OS HS OS HS OS HS OS National Institute of Technology, Agartala 1 Bio Engineering OR CR 27192 29924 48319 205029 12688 18230 370310 488312 88413 92777 570003 691119 135585 135585 2 Chemical Engineering Technology OR CR 18363 27711 242904 242904 30496 202283 12236 18005 412089 428114 85697 90305 523590 749551 124370 129277 3 Civil Engineering OR CR 18434 25095 155682 203473 71531 157543 11861 17587 323210 734121 108045 108045 187908 316942 68050 78192 200173 436521 83288 100620 386887 386887 4 Computer Science & Engineering OR CR 16106 23970 15114 170165 5704 12534 113819 113819 373760 424922 45662 78330 568371 743656 71834 97867 5 Electronics & Communication Engineering OR CR 17262 24319 19110 105786 8003 15304 146614 149014 177328 383442 62107 80071 286376 646327 100398 115451 6 Electronics & Instrumentation Engg OR CR 24656 25951 192074 192074 22472 192343 8531 16677 367867 454590 71931 83638 637992 719694 121679 124956 7 Electrical Engineering OR CR 16658 24389 19186 130704 5922 15819 139866 140742 132484 361295 70622 77550 354934 528837 101274 103664 8 Mechanical Engineering OR CR 14896 21682 13685 71163 7170 14128 123329 205452 49777 67367 228529 560210 82272 107382 9 Production Engineering OR CR 27029 28983 172592 224035 14335 19233 431258 485242 65582 92480 636489 760055 137074 146167 Motilal Nehru National Institute of Technology, Allahabad 10 Bio Technology OR CR 17283 25219 13224 26558 6394 9630 9978 12441 198189 198189 54023 63482 65924 85117 153983 156382 91842 114648 11 Chemical Engineering Technology OR CR 12526 15598 13891 16858 4737 6084 4299 6807 78378 78378 41392 46218 45301 55743 99368 102158 83878 83878 12 Civil Engineering OR CR 7532 11441 8463 10797 114315 114315 3408 5123 3480 5391 32555 32555 9823 29712 13564 38808 283596 283596 55082 97650 25167 34000 13 Computer Science & Engineering OR CR 2436 8140 2294 5923 82964 82964 91468 91468 386 2131 271 1299 28154 28154 13281 13281 2229 30029 6142 20652 155983 155983 30019 82985 51916 61991 14 Electronics & Communication Engineering OR CR 4135 10233 4155 7389 68325 68325 1585 3649 76 2583 66830 66830 64372 64372 8541 34532 23413 34473 105583 105583 46680 92890 31725 62102 242605 242605 15 Electrical Engineering OR CR 5792 9241 5664 7297 105230 105230 108131 108131 1991 4063 1390 2770 28960 28960 6008 27949 12042 31716 64549 85127 35880 42001 16 Information Technology OR CR 9647 15406 10212 15063 130737 130737 3833 5436 1621 4533 139811 139811 27463 48583 39939 47854 374664 374664 103988 131706 73700 89742
  • 2.
    17 Mechanical Engineering OR CR 5022 8596 4116 7313 82786 82786 1567 3662 170 2773 43377 43377 30375 30375 9487 27225 12171 27550 83413 94618 33741 52982 18 Production& Industrial Engineering OR CR 15547 21197 18721 19774 5533 7685 6527 8238 209293 209293 48998 52619 56558 64706 144275 144275 96761 99527 National Institute of Technology, Arunachal Pradesh 19 Computer Science & Engineering OR CR 150898 297491 19481 21379 222494 222494 36458 147923 7760 11886 121219 121219 274497 275011 46908 80106 92298 92298 20 Electronics & Communication Engineering OR CR 145124 260428 16652 20751 223555 223555 42566 142107 12412 14161 202093 202093 195850 411597 74203 81605 107869 107869 21 Electrical & Electronics Engineering OR CR 140872 214753 21477 23032 234671 234671 17089 115766 13698 15332 157555 157555 327033 340412 75980 76014 91672 91672 624425 624425 Maulana Azad National Institute of Technology, Bhopal 22 Chemical Engineering Technology OR CR 22024 25817 18228 20413 299659 299659 188399 188399 3394 12036 7233 9674 171984 171984 166521 166521 65730 74047 53920 60998 123038 124364 94656 95925 23 Civil Engineering OR CR 11199 23902 11850 15760 5877 10807 5780 8405 153260 153260 99610 99610 39504 61164 40793 53129 83497 106516 30088 44260 24 Computer Science & Engineering OR CR 8319 20239 6021 13759 195462 329086 176002 190731 540 6879 1523 5458 80335 80335 105965 105965 27288 63419 32476 46604 241965 241965 358587 358587 78504 108758 67033 74818 341008 341008 493383 493383 25 Electronics & Communication Engineering OR CR 11048 20865 8599 14420 4635 8830 3369 6202 83427 83427 79079 79079 24522 69152 41439 50878 95293 116375 45527 69718 26 Electrical Engineering OR CR 18215 21589 9508 14446 7106 9652 4791 6834 159074 159074 97894 97894 50454 66023 38933 49466 80059 108440 49495 52884 27 Mechanical Engineering OR CR 10739 18636 9430 13813 141117 141117 172119 172119 2745 8924 2971 6669 115388 115388 34026 34026 36459 55244 12338 49067 239355 239355 344659 344659 57300 78300 54465 60346 28 Materials Science & Metal Engineering OR CR 23868 29657 14783 25447 12047 14113 9021 12988 69716 91240 80184 81881 127135 144313 108871 115980 National Institute of Technology, Calicut 29 Bio Technology OR CR 18472 19318 18670 19815 268643 268643 11463 12971 6473 10804 140761 154904 73110 74633 410752 410752 113428 113428 30 Chemical Engineering Technology OR CR 12947 18098 12157 18656 498474 498474 5148 12221 4411 8011 261495 261495 191519 191519 53591 133022 57058 61758 240921 240921 94713 102664 31 Civil Engineering OR CR 13257 16854 10242 13265 4989 11037 3459 6191 99672 99672 89329 89329 39601 101261 40976 47157 482751 482751 422359 720116 53570 63033 32 Computer Science & Engineering OR CR 7647 13454 5079 7463 58009 58009 731 6060 94 2534 86762 86762 43906 43906 27705 122859 12628 31116 695216 713135 39411 56872 33 Electronics & Communication Engineering OR CR 5359 10597 5814 8657 127 4849 1595 3353 151503 151503 67331 67331 13230 90271 29153 37407 291176 291176 71058 549661 43495 57785 34 Electrical & Electronics Engineering OR CR 7519 12934 7246 10072 260053 260053 232 6844 1788 4099 233261 233261 85688 85688 53119 107916 22333 39772 266561 617902 53250 61234 564962 564962
  • 3.
    35 Engineering Physics OR CR 11779 18618 7916 17080 949 9176 506 4868 80354 157382 37261 52852 82275 82275 36Mechanical Engineering OR CR 4647 8515 5685 9216 86450 86450 439 4627 1862 4094 137856 137856 78296 78296 25889 52497 26267 39507 482139 482139 36981 179869 48922 59495 37 Production Engineering OR CR 15659 17726 16439 19479 617709 617709 200561 200561 6928 12012 7357 9271 382828 382828 126585 144596 71230 74696 104566 107720 National Institute of Technology, Delhi 38 Computer Science & Engineering OR CR 4675 11442 2082 4576 97941 97941 112 1436 174 973 3110 12163 9506 20521 52246 52246 46350 46350 39 Electronics & Communication Engineering OR CR 4784 13890 5199 9537 1614 3446 291 2179 71089 71089 17498 18006 22974 24738 454090 454090 74668 74668 52431 52431 40 Electrical & Electronics Engineering OR CR 5925 13687 5154 8919 1880 3949 1654 2454 13310 18594 14824 26717 68965 72872 18641 18641 National Institute of Technology, Durgapur 41 Bio Technology OR CR 53548 88497 22847 28495 17187 22062 11508 16167 151892 151892 82429 104142 85764 90886 242373 242373 219774 277795 124067 132453 42 Chemical Engineering Technology OR CR 24887 74837 18886 22222 679261 679261 13455 17123 9882 11170 211313 211313 72266 78056 62225 68234 206126 206278 112947 113971 43 Civil Engineering OR CR 26153 61560 15909 18313 147965 147965 11142 15335 8945 10172 222871 222871 65032 76494 53447 56539 121584 196232 61083 68827 44 Computer Science & Engineering OR CR 14809 60240 8781 15470 328630 328630 3413 11294 4339 6822 80830 80830 45461 75494 23192 54807 136340 185935 69022 87595 45 Electronics & Communication Engineering OR CR 11701 47801 12109 16307 2185 8047 4418 7592 96135 96135 98572 98572 28113 64032 32256 55805 121784 192100 72639 86227 503673 503673 46 Electrical Engineering OR CR 27361 59758 14996 16812 4928 11909 4988 8470 190272 190272 109050 109050 37638 70562 39365 56816 712196 712196 93656 197726 75554 78208 47 Information Technology OR CR 62710 76287 17926 20323 206236 206236 10456 19427 7636 9953 144230 144230 79847 95928 52773 67754 201898 218436 105686 113563 48 Mechanical Engineering OR CR 15152 56870 10791 16270 158459 158459 4146 13043 3896 8456 124322 124322 83410 83410 14482 59160 24644 53205 513504 513504 68218 137592 45170 77055 49 Metallurgy and Materials Engineering OR CR 72881 81853 24123 27504 224977 224977 15385 19509 11334 13992 140064 140064 80033 104048 76124 89049 221122 229393 116573 132517 National Institute of Technology, Goa 50 Computer Science & Engineering OR CR 99865 136326 12132 17043 11226 32281 3529 6828 311768 344420 16145 39184 386507 386507 73003 73003 51 Electronics & Communication Engineering OR CR 51863 97463 11655 16972 12233 38559 5520 7467 56640 56640 293931 294579 47720 48958 151205 151205 85466 85466 52 Electrical & Electronics Engineering OR CR 112944 182802 15889 17354 147141 147141 18103 47227 4489 8024 246578 444578 50973 56739 223662 317047 80591 80591
  • 4.
    National Institute ofTechnology, Hamirpur 53 Civil Engineering OR CR 99742 153812 18270 19896 194820 194820 10487 41520 6654 11003 130351 130351 88246 115318 45168 58807 71457 104220 31858 68150 54 Computer Science & Engineering OR CR 64533 141780 11587 18226 9398 32392 1637 6798 243090 243090 53255 130362 17762 55770 128221 136187 17176 91416 354131 354131 55 Electronics & Communication Engineering OR CR 33586 126968 8694 18910 208872 208872 15985 31580 4759 8265 294592 294592 99843 99843 60635 103800 28365 58473 43655 116762 83134 87410 56 Electrical & Electronics Engineering OR CR 52086 159425 9557 18732 9448 40564 8112 9423 130782 130782 108616 133679 58597 59465 169334 169334 103716 111043 61014 82911 57 Mechanical Engineering OR CR 28430 110025 9331 17297 7696 25227 5372 9045 415025 415025 133646 133646 46290 83207 36456 55751 59751 125632 63744 74803 Malviya National Institute of Technology, Jaipur 58 Chemical Engineering Technology OR CR 12112 16980 15815 20447 5557 7743 6960 8951 140166 140166 25769 56996 62726 69339 350578 350578 50008 61662 85927 117295 59 Civil Engineering OR CR 9609 11881 11163 14299 121262 121262 4324 6166 4610 7252 28908 28908 32949 39474 32260 44171 11715 25078 27577 67206 344892 344892 60 Computer Engineering OR CR 3490 8579 5343 10374 128818 128818 8 2592 697 2816 95152 95152 7131 7131 4468 32161 14800 40459 42571 50634 63294 73076 61 Electronics & Communication Engineering OR CR 5204 9719 7645 11525 95353 95353 400 3722 2367 4025 108421 108421 8812 37691 11016 44035 29458 44820 32246 66584 62 Electrical Engineering OR CR 4298 9290 10485 12521 113090 113090 2262 4232 3607 4729 85701 85701 22140 31190 40429 44992 443159 443159 23484 26002 43634 61953 63 Mechanical Engineering OR CR 4852 9519 7950 11302 120691 120691 737 4617 1707 4373 45786 45786 18007 33283 32097 40885 248908 248908 19549 33856 45344 64734 64 Metallurgical Engineering OR CR 17424 21202 23050 25779 6660 10831 6709 12697 192571 192571 87749 87749 42989 61533 75158 83505 567158 567158 75618 104982 82939 127836 Dr. B. R. Ambedkar National Institute of Technology, Jalandhar 65 Bio Technology OR CR 59619 100108 22928 27060 635495 635495 17840 23367 10810 14815 175098 175098 93996 100876 59427 83113 343447 343447 612850 718675 105782 105782 66 Chemical Engineering Technology OR CR 58623 80850 18878 22774 165097 165097 14180 18931 8105 12017 221607 221607 71418 90561 49516 72318 403373 563016 85873 107800 67 Civil Engineering OR CR 42793 63094 13072 19221 9082 14095 8512 10743 82083 82083 138915 138915 45644 76679 38495 56088 342714 342714 123698 205008 55306 60189 68 Computer Science & Engineering OR CR 20230 41092 12116 16616 111105 111105 489 7721 202 6685 71772 71772 13897 41004 17517 53227 189322 189322 327454 414256 80588 84584 69 Electronics & Communication Engineering OR CR 19216 45999 14990 17362 187281 187281 3812 9384 5110 7699 119600 119600 57124 76625 25528 55753 187069 187069 295074 430185 74404 85046 70 Instrumentation & Control Engineering OR CR 47766 79459 17303 24912 10481 16058 8739 12372 193803 193803 83986 93987 66215 78068 374694 538026 94324 116846
  • 5.
    71 Industrial and Production Engineering OR CR 54002 97871 23659 26405 11389 21458 9261 13582 200379 200379 91586 100151 65558 81087 453227 546320 117656 127620 72Mechanical Engineering OR CR 18109 39941 10330 16383 141801 141801 6756 11255 5406 8249 135689 135689 83020 83020 33187 72181 30718 52460 207093 359543 52865 65595 73 Textile Engineering OR CR 74986 112132 22564 28525 17334 25075 11017 16093 216841 216841 172359 172359 86417 115642 80103 89528 564341 615910 128754 142795 National Institute of Technology, Jamshedpur 74 Civil Engineering OR CR 22297 25537 11206 17976 256505 256505 10098 16866 9113 10779 174096 174096 108170 108170 60230 91043 40412 53198 72888 125296 58655 69842 75 Computer Science & Engineering OR CR 17539 22702 10328 16033 8569 14564 3100 7456 130675 130675 99167 99167 50012 92985 49200 58899 86752 135529 95243 100939 76 Electronics & Communication Engineering OR CR 16963 24218 15128 16856 7847 15457 6915 8731 16950 83422 51001 58224 293139 293139 114945 128045 80879 88407 77 Electrical & Electronics Engineering OR CR 18105 22863 11401 16312 122627 122627 10135 15542 5071 9289 66012 90036 49338 58626 81576 122267 77554 81755 78 Mechanical Engineering OR CR 11381 18055 9407 13819 152546 152546 44632 44632 4531 10313 4148 8563 108688 108688 37308 78122 33850 50979 147029 147029 33635 69709 67855 74071 79 Metallurgical & Materials Engineering OR CR 24668 28840 23284 27087 15677 21434 11681 14340 229582 229582 215396 215396 94203 98928 62794 87480 149631 166370 116811 129531 80 Production & Industrial Engineering OR CR 26349 29070 20999 24209 259083 259083 17035 21028 10993 13181 211420 211420 91502 96013 68566 83997 135352 151080 104883 104883 National Institute of Technology, Kurukshetra 81 Civil Engineering OR CR 12403 33077 11371 16460 501462 501462 4579 12032 2023 8025 223596 223596 57199 57199 37265 76444 13269 48536 106112 196170 34152 50756 339857 339857 82 Computer Engineering OR CR 5745 15355 4598 11529 719 4258 1396 3222 37237 37237 49858 67688 19115 35072 213657 213657 236460 272469 62639 69149 83 Electronics & Communication Engineering OR CR 11740 24859 6229 13437 155340 155340 69058 69058 4472 7853 1256 4828 79189 79189 63506 63506 8738 70789 29419 49957 669468 669468 295464 368401 65695 68779 84 Electrical Engineering OR CR 21422 29375 11534 14300 499797 499797 128592 128592 5127 10666 2516 5881 176282 176282 88036 88036 44997 74391 19967 46670 182563 182563 117734 221458 51007 56133 85 Industrial Engineering and Management OR CR 32846 37360 16481 23687 382076 382076 12333 15605 7495 11220 142128 142128 91627 101853 64692 74733 392478 549445 88277 117585 86 Information Technology OR CR 27519 32163 11265 18852 5221 10167 4967 7048 260265 260265 57427 57427 75759 86547 54399 64920 331153 455271 82099 99925 87 Mechanical Engineering OR CR 12247 25230 8381 12584 85270 85270 3468 8773 1395 5377 94213 94213 73560 73560 28952 61495 32802 44685 683684 683684 121018 344219 55755 59390 National Institute of Technology, Meghalaya 88 Computer Science & Engineering OR CR 284716 381649 25267 25973 20735 145044 13554 15646 317088 334714 84694 85364 212700 212700 124504 124504
  • 6.
    89 Electronics & Communication Engineering OR CR 211515 279377 22805 26279 58651 108796 15983 17556 216603 216603 196148 280598 85276 85282 188647 224359 123583 123583 90 Electrical &Electronics Engineering OR CR 206408 355744 26302 26356 236037 236037 83303 178136 17484 18026 179477 195099 85860 86803 188812 188812 116604 116604 National Institute of Technology, Manipur 91 Computer Science & Engineering OR CR 179305 225051 18810 24407 60682 170967 11470 14462 116779 116779 176027 189826 67275 76365 335818 335818 122136 122136 92 Electronics & Communication Engineering OR CR 139214 190043 24010 25558 86700 130836 12257 15963 204676 204676 175284 208492 76886 81816 184298 184298 123808 123808 93 Electrical & Electronics Engineering OR CR 195227 220462 25600 25983 104409 191927 13934 16803 214734 214734 223981 272323 80264 83203 292101 333150 119886 119886 National Institute of Technology, Mizoram 94 Computer Science & Engineering OR CR 25884 26923 108384 108384 15217 16778 394712 707319 86812 88390 515202 515202 129359 129359 95 Electronics & Communication Engineering OR CR 25307 26816 91497 337931 17269 18088 219668 219668 365208 714683 87171 87171 512897 541360 124687 124687 96 Electrical & Electronics Engineering OR CR 23533 26747 79507 79507 107799 339688 15033 18335 615032 675609 81585 86970 433524 433524 113312 113312 Visvesvaraya National Institute of Technology, Nagpur 97 Chemical Engineering Technology OR CR 19607 24337 14570 19938 365490 365490 5944 9529 5956 9573 152254 152254 172617 172617 56233 63355 62377 71559 142988 179665 101085 107516 98 Civil Engineering OR CR 10078 22240 12978 15391 183123 183123 5873 9989 5139 7329 79912 79912 41200 60156 40398 51515 680530 680530 99774 125864 51583 57408 99 Computer Science & Engineering OR CR 5631 11665 7556 11118 371 3339 1164 3532 73111 73111 75062 75062 24746 36311 19864 41039 105407 105407 57372 123504 53393 75011 100 Electronics & Communication Engineering OR CR 7717 17734 7573 11597 707096 707096 2775 4633 2184 4332 67365 67365 35064 48046 24988 44349 264706 264706 15113 120069 49616 68765 101 Electrical & Electronics Engineering OR CR 6826 14332 10563 12435 135120 135120 173074 173074 1069 5442 3440 5058 64404 64404 36529 44765 30442 44985 79324 89788 58511 65922 102 Mechanical Engineering OR CR 5948 13715 5289 11215 2139 4896 2449 4855 48595 48595 101657 101657 24761 35554 29702 41541 47863 60910 39697 59689 523985 523985 103 Mining Engineering OR CR 27676 31595 18156 20989 12578 13921 7440 12892 72833 74560 68830 81889 177111 177111 89746 89746 104 Metallurgical & Materials Engineering OR CR 22421 29860 20182 25255 8147 12472 7665 12195 161300 161300 64155 69519 67428 78025 590622 590622 186886 192223 99535 111128 National Institute of Technology, Nagaland
  • 7.
    105 Computer Science & Engineering OR CR 322335 382616 25439 26730 215959 265019 15025 17285 599188 599188 86181 89425 269101 269101 118206 118206 106 Electronics& Communication Engineering OR CR 237632 368279 23348 26409 78569 191384 12052 16802 188576 188576 451383 584230 81401 88714 247723 247723 116346 116346 107 Electrical & Electronics Engineering OR CR 287253 303299 22982 25953 225804 225804 74452 251273 17372 18355 437264 546150 76213 86713 254142 254142 106842 106842 National Institute of Technology, Patna 108 Civil Engineering OR CR 16236 20150 19736 21933 130662 130662 8882 15945 11044 13061 49693 49693 36614 55397 66264 70735 277711 277711 21987 78795 73867 77169 109 Computer Science & Engineering OR CR 16545 22155 18470 21382 6893 14131 7898 10946 100411 100411 93089 93089 61093 71668 64536 71335 125033 125625 82193 111184 110 Electronics & Communication Engineering OR CR 15539 21512 17157 21290 132900 132900 210013 210013 8711 15480 8779 11906 184149 184149 58652 65832 59057 67832 111000 123244 94159 99858 111 Electrical Engineering OR CR 17488 21137 13805 21279 130496 130496 6479 15102 8493 12352 117339 117339 57041 62292 62673 67178 167582 167582 84350 118633 81860 82595 112 Information Technology OR CR 22752 25204 21508 24322 15256 17692 5861 13231 203101 213150 72256 82600 71070 80575 414442 414442 135509 141902 114113 125684 113 Mechanical Engineering OR CR 13099 19310 16438 19264 199719 199719 7034 12360 2817 11618 94950 94950 37324 55337 59646 64388 43712 103094 54285 83622 National Institute of Technology, Puducherry 114 Computer Science & Engineering OR CR 111775 171215 11674 17950 45423 94139 3092 8252 345337 345337 201155 202100 25487 61200 92652 92652 115 Electronics & Communication Engineering OR CR 108629 151437 9043 14645 159999 159999 53280 92191 2577 8595 134967 157686 45483 53695 101585 101585 116 Electrical & Electronics Engineering OR CR 141439 162619 14396 17403 16923 103167 5884 9140 147469 183642 49686 49822 78642 78642 National Institute of Technology, Raipur 117 Bio Medical Engineering OR CR 94788 111062 28769 29994 285020 285020 13259 57230 15200 18174 687443 687443 214956 214956 117874 192850 87164 94313 160783 174199 117733 147850 118 Bio Technology Engineering OR CR 92408 104326 24443 28903 295380 295380 36527 52755 10673 16914 733130 733130 220449 220449 158164 182074 87639 91189 542661 542661 139017 178495 126083 136987 119 Chemical Engineering Technology OR CR 61978 79729 21650 23957 588571 588571 27492 34177 10917 13214 177269 177269 139374 156941 66903 77493 159342 165792 117081 118029 120 Civil Engineering OR CR 41528 51008 17159 21151 15830 28207 10801 11937 339742 339742 85171 122718 59883 65106 98160 108270 60447 69423 121 Computer Science & Engineering OR CR 35478 62230 11318 19615 6942 25771 5600 9115 150493 150493 122402 122402 68327 137699 45363 62650 127952 132924 87542 93065 122 Electrical Engineering OR CR 32823 41133 16651 20067 433611 433611 8529 23132 9281 10693 349869 349869 131522 131522 73882 114249 56946 64580 99615 112159 73166 80383
  • 8.
    123 Electronics & Tele Communication Engineering OR CR 37363 61348 16855 20653 180761 180761 9252 26139 8094 10146 518667 518667 143984 143984 78308 130068 61048 66578 81810 117300 77890 85208 124Information Technology OR CR 64140 88104 19558 23550 27522 35218 9329 12014 570327 570327 142009 142009 146969 165704 66162 71888 376268 376268 138280 159321 107271 107472 632664 632664 125 Mechanical Engineering OR CR 19185 33050 15344 18068 6662 18048 6869 10306 59399 100252 53197 59867 88428 105500 68767 80708 126 Metallurgical Engineering OR CR 52185 83520 25453 27620 29728 42416 13322 15817 130308 151560 74497 88997 132531 151422 119280 132584 127 Mining Engineering OR CR 64638 81290 23882 26609 29188 46177 12188 16665 127303 156598 69697 84234 143941 147189 104625 126055 National Institute of Technology, Rourkela 128 Bio Medical Engineering OR CR 52775 65430 18116 29136 20517 25883 11766 15733 104390 117773 60883 60883 685971 685971 168216 168216 129070 129070 129 Bio Technology OR CR 58540 62395 21089 25568 18112 25419 9266 13525 248912 248912 97527 121045 78014 81974 172080 172080 130314 130314 130 B.Tech Computer Science & Engg. and M.Tech. Computer Science 5-year Dual Degree OR CR 42823 42823 10262 11698 12417 16935 1603 2735 68819 68819 101842 101842 131 Ceramic Engineering OR CR 55733 63247 26046 27823 291439 291439 19585 22230 12957 14950 333513 333513 110196 130792 83541 87586 145146 145146 132635 138356 132 B.Tech Chemical Engineering & M.Tech. Chemical Engineering 5-year Dual Degree OR CR 53480 54678 20655 20655 19407 19990 7955 10474 75216 75216 153758 153758 133 Chemical Engineering Technology OR CR 40386 50813 16255 20722 384896 384896 12917 15962 6563 10099 81553 106438 57529 64541 110710 120664 107348 114730 134 5 year Integrated M.Sc. In Chemistry OR CR 52014 78750 21133 28872 23380 29302 7474 14122 142159 150899 92114 92436 162407 162407 128577 134069 135 B.Tech. Ceramic Engineering & M.Tech. in Industrial Ceramics 5-year Dual Degree OR CR 69543 69543 23393 23393 23611 24377 12009 12670 84932 84932 180079 180079 149064 149064 136 B.Tech Civil Engineering & M. Tech. Water Resources Engineering 5-year Dual Degree OR CR 47410 49206 16261 16261 17010 18926 6220 9800 93775 93775 64040 64040 137 B.Tech Civil Engineering & M. Tech. Transportation Engineering 5-year Dual Degree OR CR 44111 44111 14766 18685 14536 19320 6440 7695 94791 94791 66671 66671 138 Civil Engineering OR CR 31436 37895 12753 15572 10480 12909 6157 7931 89535 89535 31532 79930 51451 53109 60159 72610 52453 61377
  • 9.
    139 Computer Science & Engineering OR CR 25934 40541 5868 10436 2247 11797 1599 4138 60008 60008 14061 84963 30340 42843 85255 104739 64736 77555 140 ComputerScience & Engg. and M.Tech. Information Security 5-year Dual Degree OR CR 46710 47184 13300 13300 3395 8673 2804 5209 50893 50893 131718 131718 141 Electronics & Communication Engineering OR CR 17994 33465 4952 11193 139358 139358 1800 7381 2137 4498 92212 92212 43946 71477 43772 44671 59233 59233 69959 69959 142 B.Tech. Electronics & Communication Engineering & M.Tech. Communication & Network 5-year Dual Degre OR CR 41228 41876 12747 12747 15162 15652 3598 4524 89763 89763 32505 32505 143 B.Tech. Electronics & Instrumentation Engineering & M.Tech. VLSI Design & Embedded Systems 5-year D OR CR 40690 40690 12282 12282 14349 17190 7274 7538 92099 92099 60275 60275 144 B.Tech. Electrical Engineering & M.Tech. Control & Automation 5-year Dual Degree OR CR 39164 39164 12970 14655 13594 14155 5134 5363 154600 154600 84742 84742 145 B.Tech Electrical Engineering & M.Tech. Electronic Systems & Communications 5-year Dual Degree OR CR 44533 44533 14640 14640 145155 145155 12931 13179 2907 6190 74341 74341 630096 630096 136979 136979 146 Electronics & Instrumentation Engg OR CR 34459 38793 13262 16199 586232 586232 8371 12286 1967 7422 86081 87540 48252 57141 94116 94116 75634 75634 147 Electrical Engineering OR CR 11089 29174 8352 12301 4940 8791 2142 5914 102409 102409 40602 65054 31771 50020 37249 44445 43576 57202 148 B.Tech. Electrical Engineering & M.Tech. Power Electronics & Drives 5-year Dual Degree OR CR 45889 45889 12486 12486 12773 13206 3819 6443 88752 88752 56448 56448 39049 39049 157690 157690 149 B.Tech. Industrial Design OR CR 47188 59828 22799 25900 14184 19359 8400 11379 307281 307281 109204 127391 79209 85122 175305 175305 127849 127849 150 5 year Integrated M.Sc. In Mathematics OR CR 73422 75934 25715 27149 23204 30217 4188 12208 238937 238937 151459 159633 78844 80790 190448 190448 120333 120333 151 B.Tech. Mechanical Engineering & M.Tech. Mechatronics & Automation 5-year Dual Degree OR CR 24405 24405 6110 9596 12046 12626 2072 2096 163537 163537 83602 83602 93134 93134 152 Mechanical Engineering OR CR 8714 24005 7929 11795 120497 120497 1573 7563 2316 5651 26828 63890 23069 40996 24614 41546 62753 67264
  • 10.
    153 Mining Engineering OR CR 44622 53717 18125 22376 14560 19118 7881 13127 62113 110043 79170 80779 141367 141367 102369 102369 154 Metallurgical& Materials Engineering OR CR 41900 53360 18030 25581 13612 18225 4815 12416 216057 216057 88763 121890 71825 82628 81644 114590 118804 118804 688098 688098 155 B.Tech. Metallurgical & Materials Engineering & M.Tech. Metallurgical & Materials Engineering 5-year OR CR 51873 53163 24627 24627 20097 20842 11900 12998 125658 125658 71495 71495 156 B.Tech. Mining Engineering & M.Tech. Mining Engineering 5-year Dual Degree OR CR 51038 51038 16013 16013 20248 22575 11454 13683 96309 96309 83924 83924 128813 128813 157 5 year Integrated M.Sc. In Physics OR CR 67176 73382 15264 25378 22356 27534 2812 8066 140126 146990 73498 75233 198690 198690 108439 108439 National Institute of Technology, Silchar 158 Civil Engineering OR CR 38486 60210 17761 23432 15768 36974 12956 15579 102323 102323 92008 113663 65003 72878 561065 561065 88681 118525 88164 100461 159 Computer Science & Engineering OR CR 55685 81728 14930 22246 18979 43730 2623 12945 143026 143026 96145 128240 49069 77478 136945 149076 110317 119777 160 Electronics & Communication Engineering OR CR 39450 58258 19673 23741 12069 37329 5150 13962 144508 144508 72537 121349 70291 80574 121596 136912 94553 108142 161 Electronics & Instrumentation OR CR 70799 79386 24288 25718 38579 44049 9975 15018 124527 124527 129523 135244 73575 80566 149131 149131 118733 118733 162 Electrical Engineering OR CR 59284 73744 20557 23523 163220 163220 20901 41822 6882 14693 373090 373090 79348 116847 58903 75329 750483 750483 97632 142627 97726 104801 163 Mechanical Engineering OR CR 22913 36897 16200 21996 125363 125363 7491 20734 5408 12876 87042 87042 112793 112793 57304 80098 44619 68588 55112 94921 91617 104158 National Institute of Technology, Sikkim 164 Computer Science & Engineering OR CR 213114 341517 20195 24977 16868 143817 7677 14739 706392 706392 77516 79278 195219 195219 110093 123283 165 Electronics & Communication Engineering OR CR 171651 356245 22978 24874 75349 138567 10125 15762 187126 187126 355832 595525 73000 81902 216018 216018 115446 115446 166 Electrical & Electronics Engineering OR CR 211170 284459 24830 25370 227805 227805 65385 184110 15476 16702 235394 318401 83746 84896 252596 252596 91751 91751 National Institute of Technology Karnataka, Surathkal 167 Chemical Engineering Technology OR CR 29082 45764 8943 11972 198461 198461 2143 7828 1861 3439 88424 123704 36823 50426 134610 137574 88836 89704 168 Civil Engineering OR CR 34202 45026 5478 9105 414875 414875 6003 9333 1562 3423 190557 190557 44420 59099 101298 126301 22468 33328 68147 129536 32179 49048
  • 11.
    169 Computer Engineering OR CR 3131 25542 2356 3196 88811 88811 74302 74302 222 2359 95 651 77626 77626 30058 30058 20379 75778 7536 17465 39823 66795 4507 39034 170 Electronics& Communication Engineering OR CR 2414 13873 1463 4846 347372 347372 168 2098 110 1033 14152 57047 1475 22677 14698 61605 30785 34136 171 Electrical & Electronics Engineering OR CR 14591 33939 1598 5414 339 4985 113 1419 75064 75064 46503 46503 82617 100000 18992 24258 79899 117765 22496 35012 172 Information Technology OR CR 15096 35972 5608 10170 98673 98673 735 5646 1426 2415 285970 285970 70071 70071 87226 121062 24542 42856 339396 339396 70725 116034 46613 56682 173 Mechanical Engineering OR CR 11284 30896 2282 5446 128 4939 276 1560 74535 74535 18494 18494 42780 87018 5992 23291 177149 177149 247415 247415 67517 93492 19890 43023 620844 620844 426401 426401 174 Mining Engineering OR CR 46040 56900 14699 18839 10792 12285 4303 9494 128465 142712 31165 68341 132422 141458 94952 100100 175 Metallurgy and Materials Engineering OR CR 42597 53579 12321 19157 7206 10423 6 6819 130436 136512 59978 65343 112430 148257 93876 101347 National Institute of Technology, Srinagar 176 Chemical Engineering Technology OR CR 151583 179145 25275 27686 50533 67266 12527 18392 457070 457070 140680 140680 143423 169380 81296 87025 158168 162155 123867 126449 177 Civil Engineering OR CR 57546 128145 19595 24807 22883 52127 11141 17688 57759 57759 105527 142173 67175 75791 71386 105259 62807 81448 178 Computer Science & Engineering OR CR 82046 154370 19822 22473 211151 211151 15958 56436 4018 13543 306150 383372 106401 137842 100634 141451 62937 65923 627576 627576 468708 468708 132920 169049 112608 112853 179 Electronics & Communication Engineering OR CR 59880 130806 20741 23856 311947 630506 15386 51119 11852 15535 201173 201173 184457 185527 80422 136305 67502 74576 147134 154899 91422 95932 447468 447468 180 Electrical Engineering OR CR 135980 148640 22867 24227 476099 476099 20554 57839 11697 16521 206284 206284 190496 190496 115035 150508 68928 74607 449442 449442 130860 133705 60879 61734 181 Information Technology Engineering OR CR 164368 178803 24311 25565 222254 222254 56461 64296 13010 17046 222806 419019 205555 205555 157439 165256 78941 84172 164893 176816 113904 131597 182 Mechanical Engineering OR CR 75814 133748 19299 21775 10164 50868 11298 15465 67090 129220 58162 66406 113265 127316 88762 90213 183 Metallurgical & Materials Engineering OR CR 154906 188491 27973 28681 68352 75771 17469 20094 223236 223236 150780 196954 89660 90397 180009 181317 132840 140256 Sardar Vallabhbhai National Institute of Technology, Surat 184 Chemical Engineering Technology OR CR 35086 68396 18056 21281 641915 641915 6037 18027 3314 10027 97182 97182 109682 124320 63866 71032 546209 546209 132581 147860 99496 104828 185 Civil Engineering OR CR 41945 62486 15667 17172 199357 199357 2828 15938 7337 8887 122486 122486 97461 97461 83521 107118 53972 57801 67355 125546 38291 55807 186 Computer Engineering OR CR 17317 56563 9696 15116 166318 166318 122 7420 2757 5731 127703 127703 81307 81307 29496 93101 40290 52219 106185 123526 66882 86258 187 Electronics & Communication Engineering OR CR 29638 63213 8675 14942 112134 112134 6594 12546 1093 6687 202246 202246 90744 90744 56769 106458 27447 55986 123497 135537 61229 76042
  • 12.
    188 Electrical Engineering OR CR 34945 53734 13690 15654 197621 197621 5753 13066 5174 7060 56623 56623 76013 94778 46896 56509 32792 67368 43874 59750 189Mechanical Engineering OR CR 8258 34871 8950 15530 453496 453496 238 7946 1999 7023 77994 77994 107069 107069 18719 75359 30287 51083 305435 305435 50815 102834 28333 62697 418262 418262 National Institute of Technology, Tiruchirappalli 190 Chemical Engineering Technology OR CR 15176 24262 7742 11622 302886 302886 6429 9977 1153 3014 172358 172358 53243 126933 34885 47241 330569 375373 68262 86960 191 Civil Engineering OR CR 12806 22113 4621 7378 92454 92454 2173 10047 1225 2802 255106 255106 50833 50833 30423 110019 14692 27780 84668 271190 46246 48444 192 Computer Science & Engineering OR CR 4093 8013 498 1632 233491 233491 43 2336 1 318 108227 108227 27591 27591 15431 79451 3916 14643 104245 342436 11088 20143 193 Electronics & Communication Engineering OR CR 4291 12264 952 3117 91859 91859 217 3546 115 652 77346 77346 53523 53523 39382 74597 8133 19932 208750 208750 266134 300347 26524 28541 194 Electrical & Electronics Engineering OR CR 5612 15143 2905 4369 261 4664 98 925 31064 31064 22664 72491 1415 18340 96353 321926 31443 35925 119122 119122 195 Instrumentation & Control Engineering OR CR 12756 24024 5941 11500 5049 8901 1205 3863 168920 168920 85939 123986 50762 54445 314265 390833 71229 97764 196 Mechanical Engineering OR CR 4934 11063 2222 3741 26449 26449 335 4767 80 1058 159653 159653 10015 48396 7757 16612 145513 145513 86759 241345 25957 34625 197 Metallurgy and Materials Engineering OR CR 25576 30332 10661 16333 180368 180368 10276 13894 3687 7841 124756 142870 47926 60028 423121 453206 96843 99296 198 Production Engineering OR CR 16879 27155 10537 17431 343374 343374 5706 12243 1716 6192 118403 118403 79971 122349 27902 64515 330538 404162 84844 100768 National Institute of Technology, Uttarakhand 199 Computer Science & Engineering OR CR 24146 43341 12464 19078 17213 20626 4160 9419 13261 13261 94157 100267 28978 38858 120053 120053 103441 103441 200 Electronics & Communication Engineering OR CR 27702 39273 17009 19467 16938 24524 4800 9943 89700 96869 55772 57993 471656 471656 156976 156976 85970 85970 201 Electrical & Electronics Engineering OR CR 31036 43702 17824 20042 21283 25215 10841 11453 257052 257052 95905 98021 57387 57895 125486 125486 84611 84611 202 Mechanical Engineering OR CR 28078 33845 13143 19132 585341 585341 11125 20268 6402 11039 70569 86126 51150 57474 93018 113270 80439 80439 National Institute of Technology, Warangal 203 Bio Technology OR CR 11315 16090 15500 24276 262220 262220 4750 8315 5851 10610 155379 155379 198626 198626 54581 70920 50559 82764 54652 96477 91153 122869 204 Chemical Engineering Technology OR CR 5294 10320 5084 14088 210332 210332 1777 4249 2235 4367 89164 89164 33684 50308 37972 49464 350866 350866 68538 87249 57262 64686 205 Civil Engineering OR CR 5330 7078 5225 8109 1823 3108 1639 3415 13028 13028 73192 73192 24007 31801 22605 26264 32441 37883 24304 42687
  • 13.
    206 Computer Science & Engineering OR CR 1195 3171 562 2198 31300 31300 74 954 18 450 17018 17018 2999 16098 1125 10308 15589 34802 30591 35451 553742 553742 207 Electronics& Communication Engineering OR CR 1442 3431 1049 4083 57796 57796 342 1182 83 985 38912 38912 2186 22577 11494 20074 119901 119901 11842 29484 21747 46338 208 Electrical & Electronics Engineering OR CR 1966 4822 1620 4663 85419 85419 573 1718 149 1251 44645 44645 34250 34250 17467 20650 9351 19296 8015 30669 32317 49207 209 Mechanical Engineering OR CR 1974 5119 1671 4142 59006 59006 803 1884 246 1418 29573 29573 7641 19746 1837 19649 14301 28085 27498 38276 300627 300627 210 Metallurgical & Materials Engineering OR CR 10774 13643 12855 19914 4283 6595 3609 8768 104763 104763 48650 58796 28642 67198 600224 600224 61769 74527 68314 101548 OR : Opening Rank, CR : Closing Rank