06/01/12                                                         np. fac.b / e ib la 2012/ ela o io /li a-ap o ado _po _c   o/

                                                                                                                                    Universidade Federal do Acre - UFAC
                                                                                                                            Comiss o Permanente do Vestibular - COPEVE
                                                                                                                                       Resultado Final - Vestibular 2012




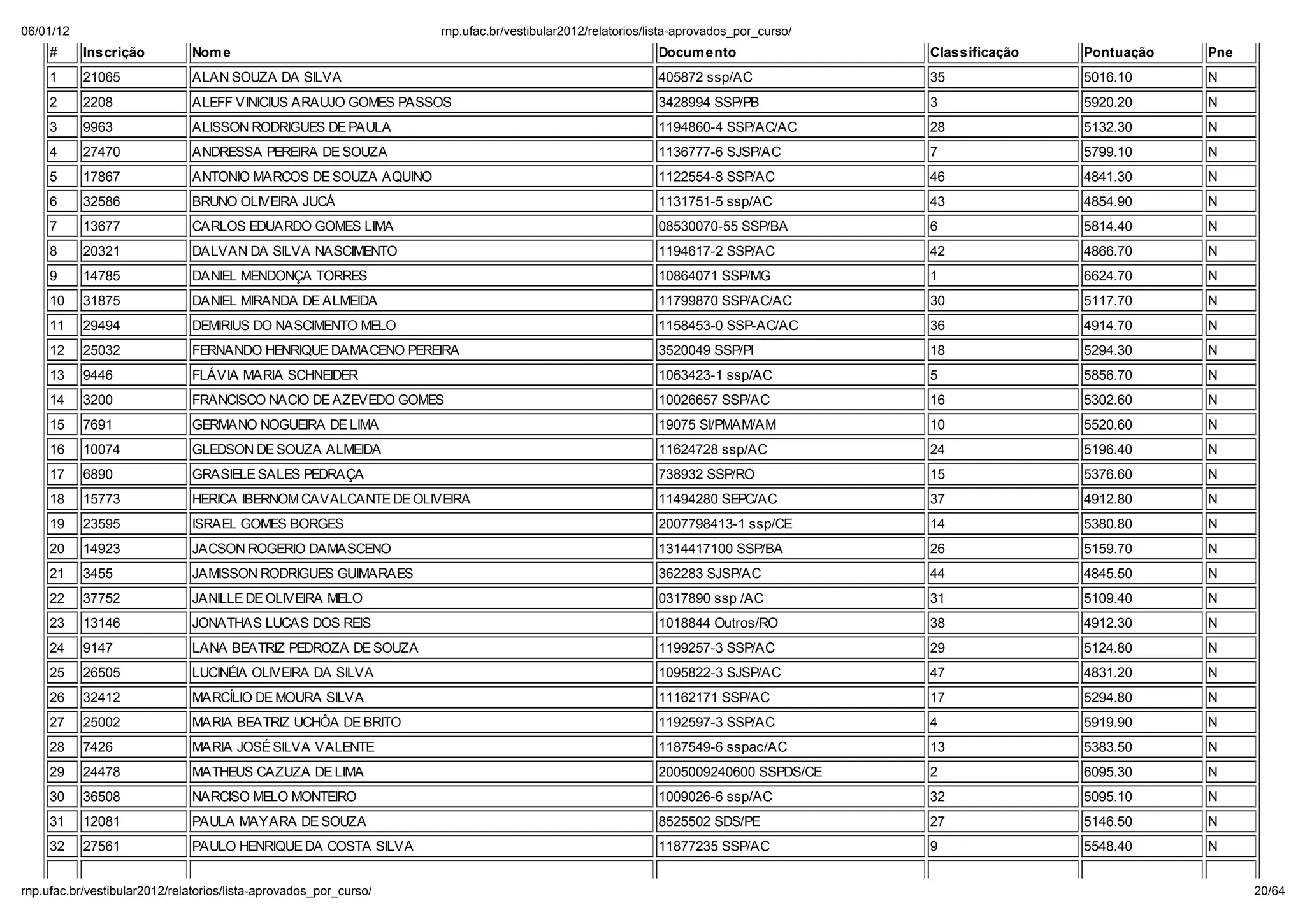
                                                                           89-Artes C nicas (Licenciatura)
    #      Inscrição         Nom e                                                                           Docum ento                   Classificação   Pontuação   Pne
    1      38356             ALLANA KHRISTIE SOUZA ROQUE                                                     467755 ssp/AC                9               5669.10     N
    2      32989             ANA PAULA BANDEIRA PEREIRA                                                      446834 ssp/AC                33              5076.50     N
    3      3045              ANDRESSA DE AGUIAR MARIANO DO NASCIMENTO                                        1106676-8 SSP/AC             7               5831.10     N
    4      25884             CAROLINA CANTALICE GRUNEWALD                                                    3228795 SSP/PB               1               6295.00     N
    5      38665             CICERA MORGANA DE ALMEIDA PEREIRA                                               1151492-2 SSP/AC             15              5431.80     N
    6      36258             CRISTIANE PAULA DE ARAUJO                                                       261604 ssp/AC                22              5328.60     N
    7      30990             EDIMAR ALMEIDA DE AZEVEDO                                                       413033 sjsp/AC               25              5200.20     N
    8      29358             EMMILI SANTOS DA SILVA                                                          1039384-6 ssp/AC             8               5685.40     N
    9      2116              FRANCISCO BRUNO VITORINO AMORIM                                                 10666435 SSP/AC              13              5561.10     N
    10     24334             FRANCISCO ETEVALDO DE MESQUITA SILVA                                            011444690 ssp/AC             35              5034.70     N
    11     28028             GEORGINA DOS SANTOS BEZERRA                                                     123865 ssp/AC                29              5115.20     N
    12     21572             GESSY ROSA BANDEIRA DA SILVA                                                    101577 SSP/AC                18              5410.20     N
    13     25415             GUILHERME TOMAS DE SANTANA JUNIOR                                               23196148-1 SSP/MT            4               6095.40     N
    14     8477              GUSTAVO SALDANHA DE VASCONCELOS                                                 321783 ssp/ac/AC             19              5408.10     N
    15     8225              IZABELLE SILVA DO NASCIMENTO                                                    1041346-4 ssp/AC             10              5593.40     N
    16     18917             JAINE CL SSIA DOS SANTOS HENRIQUE                                               1146844_0 ssp/AC             32              5084.60     N
    17     19496             JANAIRA LIMA CORREIA                                                            11521660 SEJUSP/AC           36              5022.40     N
    18     13862             JOCENILDO OLIVEIRA DE MENEZES                                                   461270 SSP/AC                26              5199.70     N
    19     8076              JULIANA SOUSA PEREIRA                                                           467518 ssp/AC                38              4910.60     N
    20     24049             KARINE KETLEM DE SOUZA BRAGA                                                    11308559 ssp/AC              30              5096.10     N
    21     29551             LAURIANO ALVES PERET NETO                                                       443937 ssp/AC                17              5423.70     N
    22     19792             LUCAS HENRIQUE BARDALES LIMA                                                    48.174.501-4 0101-6/SP       23              5324.80     N
    23     26382             LUZENIR DA SILVA CAVALCANTE                                                     134358 SSP/AC/AC             37              5007.20     N
    24     31701             MARCELO AUGUSTO LIMA DA SILVA                                                   1020739-2 ssp/AC             24              5281.50     N
    25     29889             MARIA AGUINA FREIRE DE OLIVEIRA                                                 0267986 ssp/AC               31              5084.70     N

np. fac.b / e ib la 2012/ ela o io /li a-ap o ado _po _c   o/                                                                                                               1/64
06/01/12                                                          np. fac.b / e ib la 2012/ ela o io /li a-ap o ado _po _c   o/
    26     20293             MARIA ALANA DE ALMEIDA BRILHANTE                                                 1141880-0 ssp/AC      16              5428.00     N
    27     39016             MARIA DA LIBERDADE XIMENES DE OLIVEIRA                                           331798 ssp/AC         20              5382.20     N
    28     24861             MARIANA DANTAS DE LIMA                                                           470942 SSP/AC         5               6071.10     N
    29     3841              MARIANNE SALOMÃO KRIEBEL                                                         1169605-2 SSP/AC      3               6095.50     N
    30     36687             MARLUCE DO NASCIMENTO SOARES                                                     231.713 ssp/AC        14              5525.90     N
    31     11354             PAMELA VELOSO BENTO ALENCAR                                                      3.600.990 SSP/PI/PI   21              5347.30     N
    32     39613             PATRCIA SILVA DE SOUZA                                                           457359 SSP /AC        34              5035.00     N
    33     21157             PEDRO COSTA DO CARMO OLIVEIRA                                                    417778 ssp/AC         11              5574.10     N
    34     3711              RAIMUNDO NONATO FERNANDES DE LIMA                                                1074359-6 ssp/AC      28              5137.70     N
    35     26314             ROGERLEIDE MENDONÇA DA SILVA                                                     431389 ssp/AC         27              5170.80     N
    36     25897             TAYSA CAMPELO LUCENA VIEIRA                                                      3647907 SSP/PB        12              5564.30     N
    37     3854              VANGLEANE DO AMARAL MELO                                                         451156 SSP/AC/AC      2               6282.30     N
    38     33097             YURI MARCEL PIRES DA SILVA RODRIGUES                                             412937 SSP/AC         6               6008.70     N


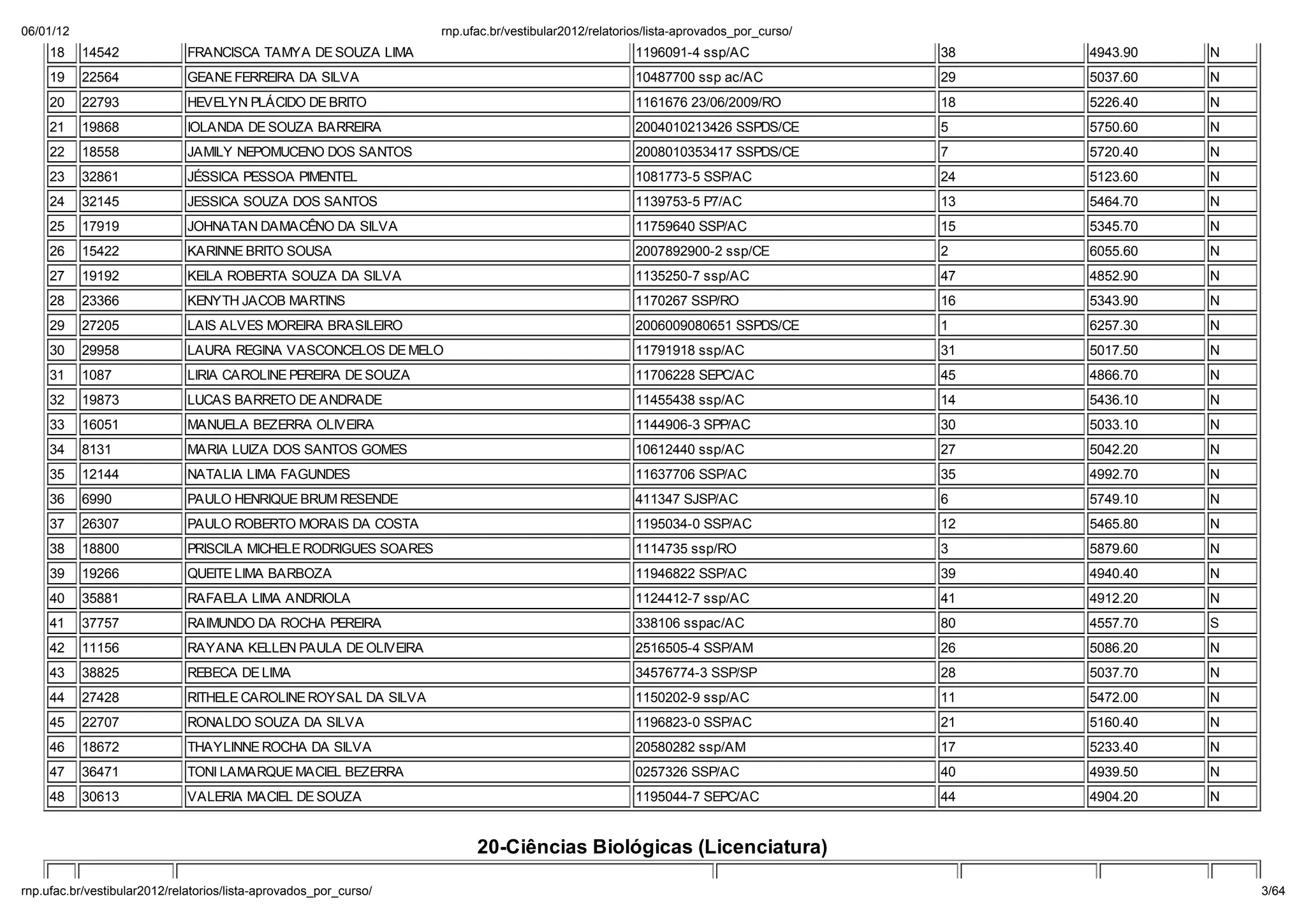
                                                                  86-Ciências Biol gicas (Bacharelado) - CZS
    #      Inscrição        Nom e                                                                  Docum ento                       Classificação   Pontuação   Pne
    1      28785            ADRIANA PREDES MATOS BELTRAMI                                          513831 COMAER/PA                 4               5846.00     N
    2      1658             ADRIANO FERREIRA DE OLIVEIRA                                           1100877-6 SSP/AC                 43              4909.40     N
    3      16537            ALESON DA SILVA FONSECA                                                002657624 ITEP/RN                23              5126.40     N
    4      25562            ALISON VINECLIFFE FERREIRA NOGUEIRA                                    10580522 SSP/AC                  36              4988.10     N
    5      17240            ANA JOYCE DA SILVA                                                     386147 12/01/2000/AC             46              4864.20     N
    6      23529            ANDRESSA DE SABOYA MACAMBIRA                                           2004010356006 ssp/CE             32              5011.50     N
    7      21375            ANNE CAROLINE ALVES MEIRELES                                           11939448 SSP/RO                  22              5149.30     N
    8      26117            BIANCA LIMA NASCIMENTO                                                 10438513 SSP/AC                  8               5712.00     N
    9      25928            BIANCA NUNES CALDINI                                                   2006009009167 ssp ce/CE          9               5635.00     N
    10     20362            CAMYLLA BANDEIRA MIRANDA                                               2008009141959 SSP/CE/CE          10              5506.20     N
    11     39447            DANILO COELHO DE OLIVEIRA                                              1164617-9 ssp/AC                 34              5004.80     N
    12     15364            DENIZE BARROS MARTINS DE FIGUEIREDO                                    2008097047186 Brejo Santo/CE     37              4958.70     N
    13     29779            FABIANO DE SOUZA SILVA                                                 1156312-5 sejsp/AC               33              5007.00     N
    14     6209             FERNANDO RODRIGUES FREITAS                                             4333525891 ssp/SP                25              5110.80     N
    15     9876             FRANCISCA AELIA COSTA RAMOS                                            11562668 ssp/AC                  42              4909.80     N
    16     28970            FRANCISCA ALCILENE LUCAS LIMA                                          11024917 ssp/AC                  20              5188.30     N
    17     5194             FRANCISCA RUTHIALY DO NASCIMENTO LIMA                                  1149260-0 ssp/ac/AC              19              5218.50     N

np. fac.b / e ib la 2012/ ela o io /li a-ap o ado _po _c   o/                                                                                                         2/64
06/01/12                                                        np. fac.b / e ib la 2012/ ela o io /li a-ap o ado _po _c   o/
    18     14542            FRANCISCA TAMYA DE SOUZA LIMA                                        1196091-4 ssp/AC               38   4943.90   N
    19     22564            GEANE FERREIRA DA SILVA                                              10487700 ssp ac/AC             29   5037.60   N
    20     22793            HEVELYN PL CIDO DE BRITO                                             1161676 23/06/2009/RO          18   5226.40   N
    21     19868            IOLANDA DE SOUZA BARREIRA                                            2004010213426 SSPDS/CE         5    5750.60   N
    22     18558            JAMILY NEPOMUCENO DOS SANTOS                                         2008010353417 SSPDS/CE         7    5720.40   N
    23     32861            JÉSSICA PESSOA PIMENTEL                                              1081773-5 SSP/AC               24   5123.60   N
    24     32145            JESSICA SOUZA DOS SANTOS                                             1139753-5 P7/AC                13   5464.70   N
    25     17919            JOHNATAN DAMACÊNO DA SILVA                                           11759640 SSP/AC                15   5345.70   N
    26     15422            KARINNE BRITO SOUSA                                                  2007892900-2 ssp/CE            2    6055.60   N
    27     19192            KEILA ROBERTA SOUZA DA SILVA                                         1135250-7 ssp/AC               47   4852.90   N
    28     23366            KENYTH JACOB MARTINS                                                 1170267 SSP/RO                 16   5343.90   N
    29     27205            LAIS ALVES MOREIRA BRASILEIRO                                        2006009080651 SSPDS/CE         1    6257.30   N
    30     29958            LAURA REGINA VASCONCELOS DE MELO                                     11791918 ssp/AC                31   5017.50   N
    31     1087             LIRIA CAROLINE PEREIRA DE SOUZA                                      11706228 SEPC/AC               45   4866.70   N
    32     19873            LUCAS BARRETO DE ANDRADE                                             11455438 ssp/AC                14   5436.10   N
    33     16051            MANUELA BEZERRA OLIVEIRA                                             1144906-3 SPP/AC               30   5033.10   N
    34     8131             MARIA LUIZA DOS SANTOS GOMES                                         10612440 ssp/AC                27   5042.20   N
    35     12144            NATALIA LIMA FAGUNDES                                                11637706 SSP/AC                35   4992.70   N
    36     6990             PAULO HENRIQUE BRUM RESENDE                                          411347 SJSP/AC                 6    5749.10   N
    37     26307            PAULO ROBERTO MORAIS DA COSTA                                        1195034-0 SSP/AC               12   5465.80   N
    38     18800            PRISCILA MICHELE RODRIGUES SOARES                                    1114735 ssp/RO                 3    5879.60   N
    39     19266            QUEITE LIMA BARBOZA                                                  11946822 SSP/AC                39   4940.40   N
    40     35881            RAFAELA LIMA ANDRIOLA                                                1124412-7 ssp/AC               41   4912.20   N
    41     37757            RAIMUNDO DA ROCHA PEREIRA                                            338106 sspac/AC                80   4557.70   S
    42     11156            RAYANA KELLEN PAULA DE OLIVEIRA                                      2516505-4 SSP/AM               26   5086.20   N
    43     38825            REBECA DE LIMA                                                       34576774-3 SSP/SP              28   5037.70   N
    44     27428            RITHELE CAROLINE ROYSAL DA SILVA                                     1150202-9 ssp/AC               11   5472.00   N
    45     22707            RONALDO SOUZA DA SILVA                                               1196823-0 SSP/AC               21   5160.40   N
    46     18672            THAYLINNE ROCHA DA SILVA                                             20580282 ssp/AM                17   5233.40   N
    47     36471            TONI LAMARQUE MACIEL BEZERRA                                         0257326 SSP/AC                 40   4939.50   N
    48     30613            VALERIA MACIEL DE SOUZA                                              1195044-7 SEPC/AC              44   4904.20   N


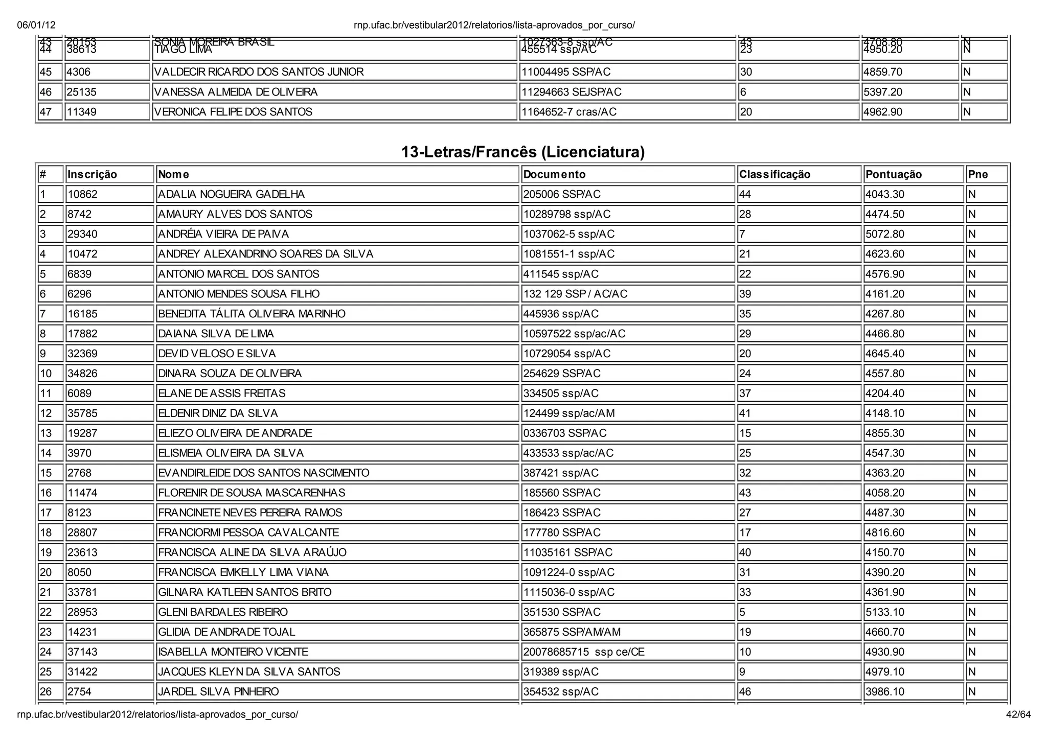
                                                                     20-Ciências Biol gicas (Licenciatura)

np. fac.b / e ib la 2012/ ela o io /li a-ap o ado _po _c   o/                                                                                      3/64
06/01/12                                                        np. fac.b / e ib la 2012/ ela o io /li a-ap o ado _po _c   o/
    #      Inscri ão      Nom e                                                                                Docum ento             Classifica ão   Pontua ão   Pne
    1      27494          ALDELANE DO NASCIMENTO DIOGENES                                                      1058357-2 SJSP/AC      3               6039.90     N
    2      34687          ALESSANDRA DE AGUIAR LOPES                                                           11074051 SSP/AC        41              5070.00     N
    3      57             ALINE PANMELA DA SILVA BRILHANTE                                                     431434 ssp/AC          43              5047.80     N
    4      16536          ANDRÉ DE LIMA SILVA                                                                  1160675-4 ssp/AC       28              5199.70     N
    5      24458          ANGELA MARIA DA SILVA MENDONÇA                                                       454569 SSP/AC/--       27              5248.50     N
    6      33397          ANNEM ENA MONTEIRO DA SILVA                                                          1083353-6 SSP/AC       35              5132.80     N
    7      22270          ANT NIA ANGÉLICA SILVA LIMA                                                          1118224-5 SSP/AC       31              5174.20     N
    8      16216          BIANCA DE SOUSA SARAIVA                                                              98002504333 SSPDS/CE   4               5928.40     N
    9      1634           BRIGITTE GOUVÊA ESTÁCIO                                                              53117327-6 SSP/SP      1               6373.40     N
    10     18510          BRUNA MOISÉS PAULA MATOS                                                             10040773 SSP/AC        33              5152.60     N
    11     29933          BRUNA THAILA BEZERRA FRANCISCO                                                       10896775 ssp/AC        47              5006.30     N
    12     18246          CAROLINE CHAAR DELLA LIBERA                                                          1115197-8 SSP/AC       36              5103.10     N
    13     11267          CLEBERSON PEREIRA DE SOUZA                                                           11345608 SSP-Ac/AC     17              5405.10     N
    14     24144          CLEYCIANE CAMILA DE SOUZA BELO NOGUEIRA                                              467285 ssp/AC          8               5780.30     N
    15     21115          CRISTINA NERES FERREIRA                                                              388235 SSP/AC          19              5352.00     N
    16     13400          DANIELA FARIAS MOURÃO                                                                2449520 SSP/DF         24              5283.60     N
    17     11847          ELAYNE CRISTINE FERREIRA BRAGA                                                       10326871 ssp/AC        37              5097.20     N
    18     9311           FRANCISKRISTYAN FERREIRA MARQUES                                                     349563 SSP/AC          10              5658.50     N
    19     30987          GESSIANE JANUÁRIO DE LIMA                                                            1127797-1 sjsp/AC      2               6051.20     N
    20     24241          ISABELA ALBERICO SOUSA                                                               523168792 ssp/SP       21              5324.90     N
    21     11383          JANAINA ALVES DA SILVA PEREIRA                                                       1141336-0 ssp/AC       15              5423.60     N
    22     37012          JÉSSICA BÁRBARA DA SILVA PAIVA                                                       1110537-2 SSP-AC/AC    30              5175.10     N
    23     15724          J NATAS MACHADO LIMA                                                                 11959436 SSP/AC        22              5302.30     N
    24     19570          KATRICIA KEROLLAYNE DA SILVA NASCIMENTO DE SOUZA                                     460087 SSP/AC/AC       42              5056.90     N
    25     10667          KLEDSOM AMARO DE MOURA FE                                                            2481098 SSP/PI         20              5349.00     N
    26     21444          LAIANE GOMES DE OLIVEIRA                                                             10446400 SSP/AC        34              5148.90     N
    27     17933          LARISSA CRISTINA LINS BERBER                                                         2463746 ssp/DF         32              5153.90     N
    28     27356          LEANDRO DA SILVA NAVARRO                                                             10875999 SSP/AC        80              4819.50     S
    29     16672          LEANDRO DO CARMO NASCIMENTO                                                          420545 ssp/ac/AC       16              5418.20     N
    30     6981           LETÍCIA COSTA CARVALHO                                                               10655360 SSP/AC        39              5074.40     N
    31     22278          LUÍS COSTA DA SILVA                                                                  10508996 SSP/AC/AC     40              5071.80     N
    32     5256           MARCELO AUGUSTO DE OLIVEIRA DA SILVA                                                 1133931-4 SSP-AC/AC    6               5919.10     N


np. fac.b / e ib la 2012/ ela o io /li a-ap o ado _po _c   o/                                                                                                           4/64
06/01/12                                                         np. fac.b / e ib la 2012/ ela o io /li a-ap o ado _po _c   o/
    33     39093          MARIA CHERLENE FERREIRA DA SILVA                                                      419500 SSP/AC            23              5295.50     N
    34     29169          MARIA DA GLORIA FERREIRA DA SILVA                                                     308937 sjsp/AC           336             4052.50     S

    35     302            MARIA GABRIELA PEREIRA BRANDÃO                                                        10846433 SSP/AC          14              5467.00     N
    36     25742          NARJARA THAIS DO NASCIMENTO LEBRE                                                     469634 SSP/AC            25              5277.70     N
    37     25931          PASCALE ASSUNÇÃO SANTOS                                                               1076701-0 ssp/ac/AC      18              5352.40     N
    38     4446           PRISCILLA TABOSA DO NASCIMENTO                                                        1070145-1 ssp/AC         44              5032.20     N
    39     10736          RAPHAEL SANTOS DAS MERCÊS                                                             6828615 Segup/PA         7               5802.80     N
    40     21227          RAQUEL REZENDE DANTAS                                                                 467295 SSP/AC            12              5612.40     N
    41     34437          RICHEL SILVA DE CARVALHO                                                              11370548 SEJUSP/AC/AC    9               5769.00     N
    42     26721          ROSIANE DE SOUZA VIANA                                                                1083407-9 ssp/AC         38              5095.80     N
    43     24761          ROSICLÉIA MATIAS DA SILVA                                                             001760185 SSP/MS         45              5025.40     N
    44     20302          TERESA VITORIA FEITOZA BARLETTA                                                       2006009056602 SSPDS/CE   13              5532.30     N
    45     9483           TEREZINHA SOUZA DE NAZARÉ                                                             1119583-5 SSP/AC         46              5021.90     N
    46     37843          THAISA RODRIGUES VIEIRA                                                               2007530891-0 ssp ce/CE   5               5926.30     N
    47     40185          WERMESON DA SILVA PAIVA                                                               1027776-5 SSP/AC         11              5651.50     N
    48     20690          WHISNAYDER MARTINS GENTIL                                                             1152995-4 RFB/AC         29              5177.20     N
    49     11730          ZIL NASCIMENTO DE OLIVEIRA                                                            413093 SSP/AC            26              5262.30     N


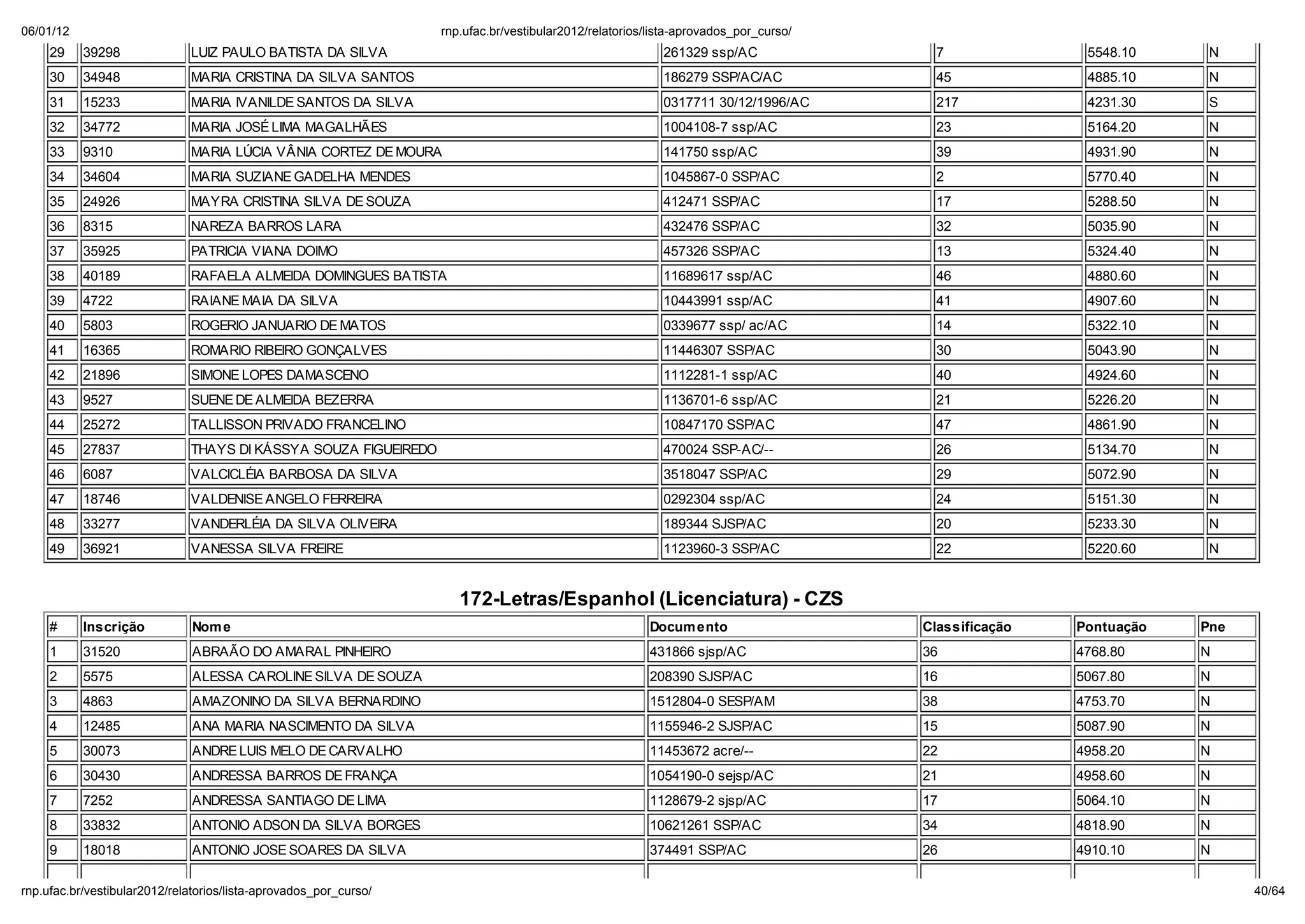
                                                                 173-Ciências Biol gicas (Licenciatura) - CZS
    #      Inscrição       Nom e                                                                           Docum ento                    Classificação   Pontuação   Pne
    1      10489           ALESSANDRA MAYNARAH NASCIMENTO DE SANTANA                                       10967370 Cruzeiro do Sul/AC   17              5290.80     N
    2      15216           ALEX SILVA DE OLIVEIRA                                                          1074462-2 SEJSP/AC            38              5031.80     N
    3      29922           ALISON LIMA DA SILVA                                                            11060131 SSP/AC               39              5030.70     N
    4      30084           ANA CLEA BATISTA DA CRUZ                                                        375173 SJSP/AC                195             4370.80     S
    5      26350           ANTONIO DIONES SILVA DE SOUZA                                                   21937516 SSP/AM               4               5663.00     N
    6      5999            CAIO DO NASCIMENTO COSTA                                                        120058705-1 MEX/AM/AM         16              5294.00     N
    7      35205           DEMETRIUS DO NASCIMENTO MELO                                                    10026630 SSP/AC               43              5014.70     N
    8      2415            EMILSON DA SILVA CAVALCANTE                                                     1105301-1 SJSP/AC             18              5287.60     N
    9      27312           ENEILTON TAVEIRA DE ALMEIDA                                                     09689621 seseg/AM             28              5167.60     N
    10     26148           ERILTON MENDES DE OLIVEIRA                                                      1176367-1 ssp/AC              29              5130.20     N
    11     25169           FABIANO MELO RODRIGUES                                                          426359 SSP/AC                 11              5397.50     N
    12     14564           FRANCISCA ELIVANE DA SILVA LIMA                                                 1187631-0 SSP/AC              6               5562.30     N
    13     21106           FRANCISCO CLEISSON ANTÃO DA SILVA                                               397483 SSJP/AC                41              5028.10     N
    14     30296           FRANCISCO MAILORD ABREU DE OLIVEIRA                                             10276327 SSP/AC               23              5236.50     N

np. fac.b / e ib la 2012/ ela o io /li a-ap o ado _po _c   o/                                                                                                              5/64
06/01/12                                                         np. fac.b / e ib la 2012/ ela o io /li a-ap o ado _po _c   o/
    15     12079           FRANCISCO RONI SOUZA ZUMBA                                                      11402520 SSP/AC        2     5939.50   N
    16     33174           GEOVANE SOUZA DA SILVA                                                          1096462-2 SJSP/AC      33    5082.70   N
    17     26102           GROVER DANIEL RIBEIRO PEREIRA                                                   0267660 SSP/AC         44    5008.20   N
    18     21792           HELEN NEPOMUCENO AZEVEDO                                                        10952675 SSP/AC        32    5095.80   N
    19     5843            ISMAEL CARLOS GOLVEIA DA SILVA                                                  120381-0 CBMAC/AC      13    5334.80   N
    20     26303           ISMAEL SILVA DE AZEVEDO                                                         1163736 - 6 SSP/AC     7     5537.40   N
    21     346             JOAO FAGNER SOUZA DO CARMO                                                      5348575 SSP/PA         3     5834.70   N
    22     31334           JOSE LUIZ SANTIAGO DE LIMA                                                      11449047 SJSP/AC       46    4995.20   N
    23     21164           JULIANA DE SOUZA ARA JO                                                         10116990 SJSP/AC       35    5062.00   N
    24     60              JULIANE SOUZA DE FREITAS                                                        413482 SJSP/AC         9     5522.30   N
    25     34612           KARINA ELLEM BEZERRA DA SILVA                                                   1106278-9 SEJSP/AC     12    5395.50   N
    26     29791           LARA CAMELO FERREIRA                                                            529750 /CE             24    5183.90   N
    27     23757           LEIDIMAR SARAIVA DA COSTA                                                       10241370 ssp /AC       19    5255.60   N
    28     28119           MARCONDES DE LIMA RODRIGUES                                                     10049754 SJSP/AC       47    4995.00   N
    29     30631           MARCOS JARDESSON DA SILVA AZEVEDO                                               413442 ssp/AC          22    5239.40   N
    30     18587           MARIA CRISTIANA DE FREITAS DA COSTA                                             1009360-5 SEJSP/AC     26    5176.90   N
    31     13608           MARIA DE FATIMA MELO RODRIGUES                                                  435458 SJSP/AC         5     5597.00   N
    32     26110           MARIA ELIDA DE JESUS FARIAS                                                     10863770 SSP/AC        8     5527.70   N
    33     4150            MARIA IRENILDE DA SILVA PAULINO                                                 0315152 SSP/--         20    5250.70   N
    34     40068           MARIA JOSÉ DAS NEVES PAULA                                                      1036115-4 SJSP/AC      42    5016.80   N
    35     17888           MARIA MELICIA DE OLIVEIRA MELO                                                  1183489-7 sepc/AC      10    5484.00   N
    36     18707           MARIA NEIRE COSTA DE LIMA                                                       435207 SSP/AC          36    5041.90   N
    37     16443           MIRNA COSTA SILVA                                                               435642 SJSP/AC         25    5177.10   N
    38     16489           MONARIA MATIAS DA SILVA BERNARDO                                                436403 SJSP/AC         34    5067.10   N
    39     23766           NADSON VIEIRA DA COSTA                                                          1033280-4 SJSP/AC      1     6068.80   N
    40     28560           NAIANE LEITE DA SILVA                                                           11152451 SJSP /AC      119   4646.20   S
    41     6995            NATIELE SILVE DE OLIVEIRA                                                       11326840 SSP/AC        27    5174.90   N
    42     37563           ORLESSANDRA DE SOUZA MARTINS                                                    2741833-2 Guajará/AM   45    4999.30   N
    43     2517            PATRICIA DA SILVA ARAUJO                                                        19420889 SSP/AM        14    5318.70   N
    44     33848           REGINALDO ANTÃO DA SILVA                                                        0283578 sjsp/AC        30    5126.40   N
    45     7906            RODRIGO LIMA MOURA                                                              1047532-0 SSP-AC/AC    40    5030.40   N
    46     19883           RODRIGO SANTOS CHARIFE                                                          10611932 SSP/AC        21    5240.30   N
    47     24665           SAMARA SILVA DE MACÊDO                                                          10175970 ssp/ac/AC     15    5301.60   N


np. fac.b / e ib la 2012/ ela o io /li a-ap o ado _po _c   o/                                                                                         6/64
06/01/12                                                        np. fac.b / e ib la 2012/ ela o io /li a-ap o ado _po _c   o/
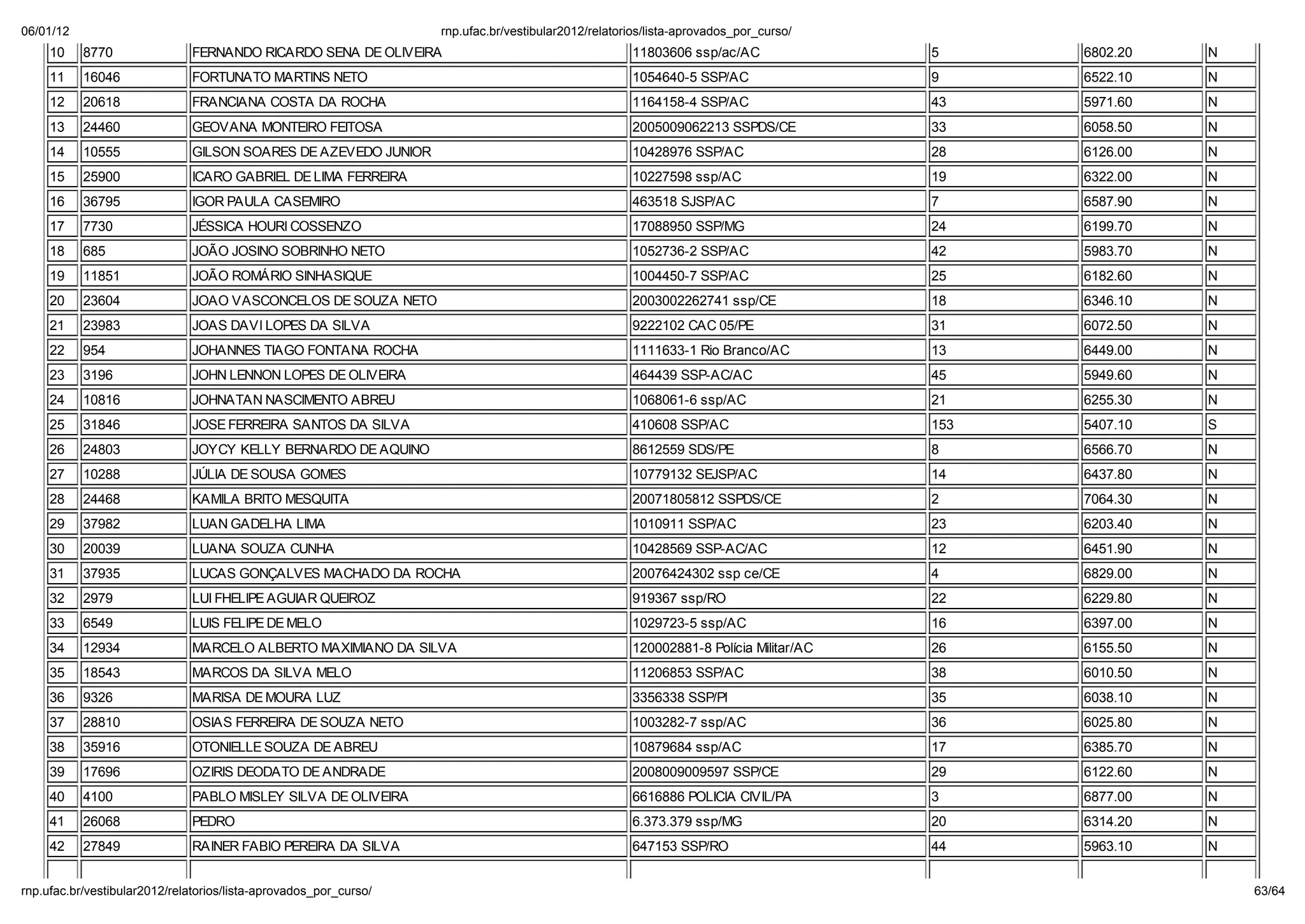
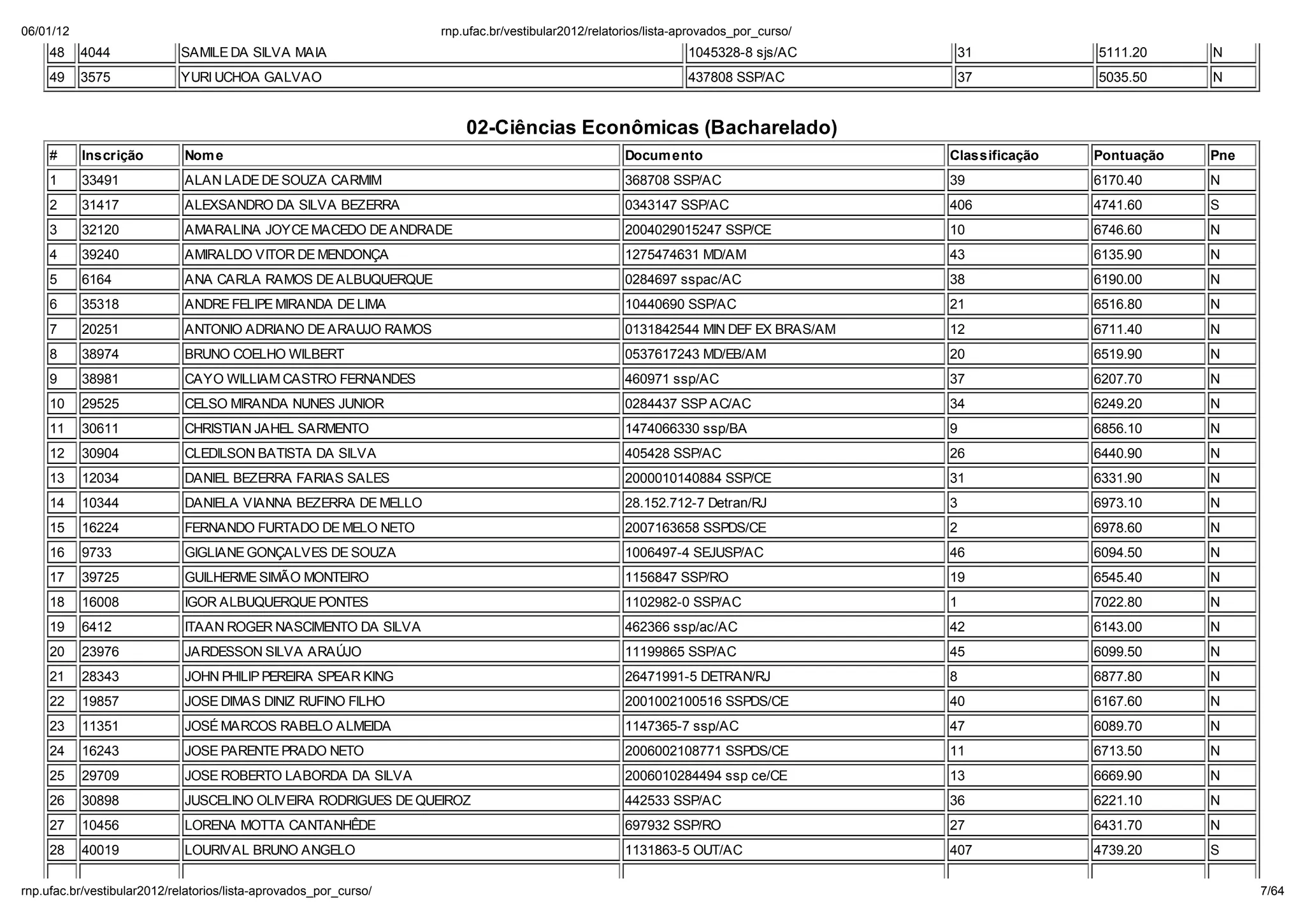
    48     4044            SAMILE DA SILVA MAIA                                                           1045328-8 sjs/AC       31             5111.20     N
    49     3575            YURI UCHOA GALVAO                                                              437808 SSP/AC          37             5035.50     N


                                                                   02-Ciências Econ micas (Bacharelado)
    #      Inscrição       Nom e                                                               Docum ento                       Classificação   Pontuação   Pne
    1      33491           ALAN LADE DE SOUZA CARMIM                                           368708 SSP/AC                    39              6170.40     N
    2      31417           ALEXSANDRO DA SILVA BEZERRA                                         0343147 SSP/AC                   406             4741.60     S
    3      32120           AMARALINA JOYCE MACEDO DE ANDRADE                                   2004029015247 SSP/CE             10              6746.60     N
    4      39240           AMIRALDO VITOR DE MENDONÇA                                          1275474631 MD/AM                 43              6135.90     N
    5      6164            ANA CARLA RAMOS DE ALBUQUERQUE                                      0284697 sspac/AC                 38              6190.00     N
    6      35318           ANDRE FELIPE MIRANDA DE LIMA                                        10440690 SSP/AC                  21              6516.80     N
    7      20251           ANTONIO ADRIANO DE ARAUJO RAMOS                                     0131842544 MIN DEF EX BRAS/AM    12              6711.40     N
    8      38974           BRUNO COELHO WILBERT                                                0537617243 MD/EB/AM              20              6519.90     N
    9      38981           CAYO WILLIAM CASTRO FERNANDES                                       460971 ssp/AC                    37              6207.70     N
    10     29525           CELSO MIRANDA NUNES JUNIOR                                          0284437 SSP AC/AC                34              6249.20     N
    11     30611           CHRISTIAN JAHEL SARMENTO                                            1474066330 ssp/BA                9               6856.10     N
    12     30904           CLEDILSON BATISTA DA SILVA                                          405428 SSP/AC                    26              6440.90     N
    13     12034           DANIEL BEZERRA FARIAS SALES                                         2000010140884 SSP/CE             31              6331.90     N
    14     10344           DANIELA VIANNA BEZERRA DE MELLO                                     28.152.712-7 Detran/RJ           3               6973.10     N
    15     16224           FERNANDO FURTADO DE MELO NETO                                       2007163658 SSPDS/CE              2               6978.60     N
    16     9733            GIGLIANE GONÇALVES DE SOUZA                                         1006497-4 SEJUSP/AC              46              6094.50     N
    17     39725           GUILHERME SIMÃO MONTEIRO                                            1156847 SSP/RO                   19              6545.40     N
    18     16008           IGOR ALBUQUERQUE PONTES                                             1102982-0 SSP/AC                 1               7022.80     N
    19     6412            ITAAN ROGER NASCIMENTO DA SILVA                                     462366 ssp/ac/AC                 42              6143.00     N
    20     23976           JARDESSON SILVA ARA JO                                              11199865 SSP/AC                  45              6099.50     N
    21     28343           JOHN PHILIP PEREIRA SPEAR KING                                      26471991-5 DETRAN/RJ             8               6877.80     N
    22     19857           JOSE DIMAS DINIZ RUFINO FILHO                                       2001002100516 SSPDS/CE           40              6167.60     N
    23     11351           JOSÉ MARCOS RABELO ALMEIDA                                          1147365-7 ssp/AC                 47              6089.70     N
    24     16243           JOSE PARENTE PRADO NETO                                             2006002108771 SSPDS/CE           11              6713.50     N
    25     29709           JOSE ROBERTO LABORDA DA SILVA                                       2006010284494 ssp ce/CE          13              6669.90     N
    26     30898           JUSCELINO OLIVEIRA RODRIGUES DE QUEIROZ                             442533 SSP/AC                    36              6221.10     N
    27     10456           LORENA MOTTA CANTANHÊDE                                             697932 SSP/RO                    27              6431.70     N
    28     40019           LOURIVAL BRUNO ANGELO                                               1131863-5 OUT/AC                 407             4739.20     S

np. fac.b / e ib la 2012/ ela o io /li a-ap o ado _po _c   o/                                                                                                     7/64
06/01/12                                                        np. fac.b / e ib la 2012/ ela o io /li a-ap o ado _po _c   o/
    29     4551            LUCIANO SANTOS DE FARIAS                                            11196319 SSP/AC                      35          6229.00     N
    30     31895           MARCELLO QUARESMA LEÃO                                              0295996 ssp/AC                       17          6592.50     N
    31     36250           MARCELO SAMPAIO DOS SANTOS                                          314235 S S P/AC                      385         4798.20     S
    32     24171           MARCOS ANTONIO DA LUZ                                               2903249 SSP/PI                       7           6885.20     N
    33     24057           MARIA TAINÁ ITALIANO DE ALBUQUERQUE                                 1159506-0 SSP/AC                     15          6647.30     N
    34     2608            MATHEUS RODRIGUES RIBEIRO                                           14.248.867 SSP/MG                    32          6304.60     N
    35     27175           MAX ELIAS DA SILVA ARAUJO                                           1100108-9 SSP/AC                     18          6546.10     N
    36     11837           NILDO RUIZ BESSA J NIOR                                             351643 SJSP/AC                       44          6099.80     N
    37     20038           ORLEANS FERREIRA MOTTA                                              1114446-7 SSP/AC                     14          6650.80     N
    38     29810           PAULO HENRIQUE WEBER DE SOUZA                                       0131649741 Min da Defesa/AC          30          6332.00     N
    39     22582           PAULO SILVA DOS SANTOS                                              674761 ssp/RO                        23          6514.50     N
    40     12845           PAULO VITOR RIBEIRO DE OLIVEIRA                                     7305779 detran/PE                    29          6363.80     N
    41     6382            PEDRO GILBERTO CAVALCANTE FILHO                                     293892 SSP/AC                        28          6408.50     N
    42     24659           RENATO NASCIMENTO ACCIOLY                                           8844048 SDS/PE                       25          6498.90     N
    43     2175            RODRIGO CORDEIRO XAVIER                                             504437 COMAER/RO                     4           6938.40     N
    44     26784           ROGÉRIO VASCONCELOS DO NASCIMENTO                                   0299249 SSP/AC                       22          6516.40     N
    45     24766           RONIERE BRANDÃO DE SOUZA                                            363038 SSP/AC                        5           6916.50     N
    46     6632            THIAGO MARINO DA SILVA BRAUN                                        1148085-8 SSP/AC                     41          6154.30     N
    47     20620           VANESSA DE SOUZA FERNANDES                                          11655232 SSP/AC                      33          6274.60     N
    48     39146           VICTOR BALBINO DOS SANTOS                                           5384782 SSP/GO                       6           6906.00     N
    49     2660            VICTOR HUGO LOPES                                                   407552807 SSP/SP                     16          6622.90     N
    50     21362           WILSON LUIZ FRANÇA DE CARVALHO                                      121559 SSP/MT                        24          6508.40     N


                                                                       21-Ci ncias Sociais (Bacharelado)
    #      Inscrição        Nom e                                                                   Docum ento                  Classificação   Pontuação   Pne
    1      29596            ADRIANA LIMA CORDEIRO                                                   362187 SSP/AC               9               6473.20     N
    2      33235            ANA CRISTINA DA SILVA OLIVEIRA                                          461482 ssp/ac/AC            39              5862.70     N
    3      20326            BEATRIZ MELO BARROS                                                     2004009201282 SSPDS/CE      7               6548.80     N
    4      18859            CACIO ALBERTO DE ARAUJO BEZERRA                                         457200 ssp/AC               16              6125.90     N
    5      16879            CARLOS HENRIQUE LEMES DA SILVA                                          488120184 ssp/SP            26              5974.50     N
    6      1724             CHAGAS LOPES DA SILVA DE SOUSA                                          1158611-7 SSP/AC            37              5875.40     N
    7      38174            CHRISTIAN SOCORRO BATISTA DOS SANTOS                                    277591 ssp/AC               40              5852.30     N
    8      36233            CRISLANNY NOGUEIRA DE OLIVEIRA                                          1161325-4 Oca/AC            25              6003.40     N

np. fac.b / e ib la 2012/ ela o io /li a-ap o ado _po _c   o/                                                                                                     8/64
06/01/12                                                        np. fac.b / e ib la 2012/ ela o io /li a-ap o ado _po _c   o/
    9      7314             DELVON QUELVIS VIANA CAMARGO                                            274385 ssp/AC                  21    6021.50   N
    10     15998            DIEGO DOS SANTOS MACIEL                                                 348248 ssp/AC                  14    6233.10   N
    11     37741            FRANCINEUDO SOUZA DA COSTA                                              407953 SSP/AC                  28    5955.30   N
    12     17632            FRANCISCO MARCELO VIEIRA E SILVA                                        2913654 SSP/PI                 27    5970.80   N
    13     7760             GERSIANE PINHEIRO DA SILVA                                              10165665 SSP/AC                43    5798.30   N
    14     34260            GIOVANNI STEFANO LIMA SATTA                                             2007373249-9 sspce/CE          31    5900.90   N
    15     34776            GRAZIA DA SILVA BALCAZAR                                                148543 SSP/AC                  36    5877.20   N
    16     15183            GUTEMBERG CORDEIRO DO NASCIMENTO                                        416503 SSP/AC                  35    5880.50   N
    17     37708            HIGRID DOS SANTOS DE LIMA RIBEIRO                                       392202 S/S/P/AC                53    5691.70   S
    18     16236            ISABEL CRISTINA FREITAS DE ALBUQUERQUE                                  2006009133585 SSPDS/CE         10    6387.50   N
    19     37249            IZADORA BARBOSA FERNANDES GONÇALVES                                     2743605 ssp-df/DF              29    5946.00   N
    20     19956            JADE FELICIO VIDAL                                                      2001010462847 SSPDS/CE         30    5916.20   N
    21     35072            JÉSSICA DA SILVA PEREIRA                                                458493 SSP/AC/AC               44    5793.70   N
    22     30091            JOELMA RODRIGUES RIBEIRO                                                11403624 sspac/AC              24    6006.20   N
    23     8316             J LIO CÉSAR DE MOURA LUZ                                                3.276.044 SSP/PI               12    6363.80   N
    24     23376            KÁTIA MARIA MACIEL BARROSO                                              0299299 SJSP/AC                23    6010.80   N
    25     17498            LARISSA DE SOUSA CORREIA                                                2007009129268 SSPDES/CE        2     7346.80   N
    26     31731            LUAN KAYLLON CAVALCANTE CHAVES                                          1114787-3 Instituto de id/AC   15    6168.90   N
    27     10119            LUZIA NOELIA GUEDES DA SILVA                                            137163 SSP/AC                  41    5842.30   N
    28     25903            MAIARA CRISTINA BARROS DA SILVA                                         427829 SSP/AC                  46    5775.80   N
    29     35743            MARCOS ROBERTO DE OLIVEIRA ARA JO                                       216331 SSP/AC                  42    5812.10   N
    30     38617            MARIA AMELIA FIGUEIREDO MUBARAC                                         116110 SSP/AC                  18    6098.20   N
    31     9965             MARIA ELIDA SANTIAGO DE SOUZA                                           0336403 SSP/AC                 38    5867.00   N
    32     33121            MARLETE DOS SANTOS LOPES E SILVA                                        154972 SSP/AC/AC               4     6624.20   N
    33     29378            MAURO CELSON SILVA DOS SANTOS                                           120416-4 CBMAC/AC              17    6107.40   N
    34     14902            OLIVIA MARIA BORGES E CAMPOS                                            00001071288 SSP/RO/RO          22    6015.50   N
    35     31122            PRICILA LIM DE OLIVEIRA                                                 446183 uss/AC                  411   4475.10   S
    36     17830            PRISCILA CALLES PRATA BRAGA                                             53974517-0 SSPDS/CE            11    6371.10   N
    37     32703            RAIFRAN MESQUITA SILVA                                                  458715 SJSP/AC                 3     6810.00   N
    38     37132            RAMON HOLANDA BANDEIRA                                                  354632 SSP/AC                  33    5897.10   N
    39     4998             ROSILENE GOMES SABÓIA                                                   292798 ssp/AC                  32    5900.20   N
    40     12945            SUZANA NASCIMENTO DE LIMA                                               0246726 SSP/AC                 20    6061.80   N
    41     31680            TANIA MARIA SILVA VALE                                                  199720 SSP/AC                  45    5788.60   N


np. fac.b / e ib la 2012/ ela o io /li a-ap o ado _po _c   o/                                                                                          9/64
06/01/12                                                          np. fac.b / e ib la 2012/ ela o io /li a-ap o ado _po _c   o/
    42     29678            THAMIRES FERREIRA ARAGAO                                                  721341-7 AERONA TICA/CE           5                    6599.00      N
    43     20311            THAYNARA SANTA CRUZ LIMA                                                  2004002168280 SSPDS/CE            34                   5896.50      N

    44     36377            THAYS FERREIRA DA SILVA                                                   2007156711-3 ssp ce/CE            19                   6064.30      N
    45     24313            TOM LUCAS VIANA REIS                                                      460051 SSP/AP                     6                    6590.00      N
    46     29137            VANDESSON BRAGA MELO                                                      402332 ssp/AC                     8                    6501.30      N
    47     18552            VICTORIA PRACIANO MENEZES                                                 20050101222814 SSPDS/CE           1                    7386.50      N
    48     5304             VITORIA REGIA BARBOZA LIMA                                                32067585 SSP/AL                   47                   5747.10      N
    49     37773            WITALO ALBUQUERQUE TURBANO                                                2007464230-2 ssp ce/CE            13                   6351.10      N


                                                                70-Comunica ão Social/Jornalismo (Bacharelado)
    #      Inscri ão       Nom e                                                                              Docum ento                     Classifica ão    Pontua ão   Pne
    1      31345           ALAN DEYVID OLIVEIRA DANTAS                                                        10279920 SSP/AC                37               5441.50     N
    2      33363           ALEXANDRE GONZAGA PASCOAL JUNIOR                                                   221348 SSP/AC                  10               5788.60     N
    3      34235           AMANDA LOURDES SILVA AGUIAR                                                        00001030250 SSP/RO             21               5615.40     N
    4      12362           AMANDA SIQUEIRA DE OLIVEIRA XAVIER                                                 8.863.956 SDS/PE               27               5544.50     N
    5      2628            ANA ARISA PIRES LIMA                                                               157827 politec/AP              45               5372.70     N
    6      2897            ANA CARLA ARAGÃO NERE                                                              11278331 ssp/AC                15               5714.00     N
    7      19485           ANA FLAVIA DE LIMA ROCHA                                                           003179670 SSP/RN               13               5728.30     N
    8      23689           ANDRÊIZA RAIMUNDA MENDES RIBEIRO DA COSTA                                          3266207 SSP/PI                 19               5672.40     N
    9      22838           ANNE GABRIELE DE BARROS SILVA                                                      8698151 SDS/PE                 40               5414.90     N
    10     5095            BRUNNA LAYS DA SILVA SOUSA BRUNO                                                   33548226 SEDS/AL               20               5650.70     N
    11     23756           CÁSSIA CAROLINE RAMOS VERAS                                                        1064895-0 outro/AC             44               5405.30     N
    12     32922           CHRISTIAN DOS SANTOS BRESSAN VITAL                                                 370423033 ssp-sp/SP            4                6114.70     N
    13     21819           CLAUDIANA NASCIMENTO NOGUEIRA                                                      9026006 SDS/PE                 46               5354.90     N
    14     9713            DANIEL ALVES SCARCELLO                                                             10694064 SSP/AC                5                5997.00     N
    15     30915           ELIONIDAS GONÇALVES DE AQUINO FILHO                                                002907442 SSP/RN               60               5264.90     S
    16     20969           FELÍCIA LANAY DE SOUZA DO NASCIMENTO                                               1130170-8 23.05.2011/AC        38               5426.00     N
    17     329             FRANCISCO JUSCELINO BANDEIRA FERREIRA JUNIOR                                       10480315 ssp/AC                11               5784.60     N
    18     10711           GELCICLÉIA SOUZA DAMASCENO                                                         419025 SSP/AC                  32               5474.70     N
    19     12740           GUYDSON SANTOS LEAL LUZ                                                            3.250.795 ssp/PI               33               5470.80     N
    20     17094           INGRID FERREIRA DA SILVA                                                           11723203 SSP/AC                6                5959.90     N
    21     17675           INGRIDD MOTA FERNANDES VIEIRA                                                      2003013024235 SSP/CE           1                6639.30     N
    22     35771           IOHANA GOMES COE                                                                   2007596057-0 ssp ce/CE         31               5488.70     N
    23     10235           ISABELLE CAMILA NASCIMENTO SILVA                                                   1091279-7 ssp/AC               23               5580.50     N

np. fac.b / e ib la 2012/ ela o io /li a-ap o ado _po _c   o/                                                                                                                   10/64
06/01/12                                                         np. fac.b / e ib la 2012/ ela o io /li a-ap o ado _po _c   o/
    24     36902           ITAMAR NASCIMENTO SILVA                                                           11886005 SSP/AC                34           5467.90    N
    25     17198           JOAO DE DEUS VIEIRA DE OLIVEIRA                                                   22040382 ssp/AM                43           5407.60    N
    26     1753            JORDANIA DA SILVA AQUINO                                                          0259612 SSP/AC                 35           5467.40    N
    27     23130           JOSÉ GUSTAVO CAMPOS DE LIMA                                                       10530630 SSP/AC/AC             41           5410.40    N
    28     7425            JOSHUA PERDIGÃO DE SOUZA                                                          5684368 SSP/PA                 39           5425.40    N
    29     32708           LEANDRA BEATRIZ HAERDRICH CUNHA                                                   1194863-9 ssp/AC               29           5493.70    N
    30     13538           LUZIA CRISTIANA SCHNEIDER                                                         403478 ssp/ac/AC               28           5533.40    N
    31     4747            MÁRCIA CRISTINA MOREIRA DE SOUZA                                                  1088798-9 ssp/ac/AC            47           5351.50    N
    32     15881           MARIA DE JESUS VIEIRA DO NASCIMENTO DE SOUZA                                      10259732 SSP/AC/AC             36           5444.00    N
    33     30863           MARIA DULCIONE FERREIRA DO NASCIMENTO                                             1039475-3 SJSP/AC              30           5488.80    N
    34     30160           MARIA EDITE MOURA GOMES                                                           152330720002 GEJUSP/MA         24           5577.20    N
    35     23447           MARIANA DA SILVA DIOGENES                                                         2007855128-0 ssp/CE            3            6152.90    N
    36     11118           MARINA VIANA DE CARVALHO                                                          2000010619705 SSP/CE           18           5675.80    N
    37     7095            MARINARA BREVE FERREIRA LUSVARDI                                                  1146906-4 AC/AC                22           5580.70    N
    38     30653           PENÉLOPE SIQUEIRA CAMPOS CANTALICE DE OLIVEIRA                                    3495027 SSP-PB/PB              2            6302.50    N
    39     4253            PRISCILA CRISTINA MIRANDA DE ARA JO                                               1106810-8 ssp/AC               17           5679.40    N
    40     36010           REBEKA GUIMARAES REBOUÇAS                                                         2006009036946 ssp ce/CE        9            5841.40    N
    41     16356           RENATA DA ROCHA HORA                                                              1014695 SSP/RO                 16           5683.80    N
    42     22618           RODRIGO SOUZA ALVES DE OLIVEIRA                                                   6707768 policia civil/PA       26           5547.50    N
    43     11906           SABRINA LUZ BARROS                                                                3248830 SSP/PI                 42           5410.10    N
    44     17929           STEPHANIE FREITAS PEREIRA SALES DE AGUIAR                                         3196872-4 SSPDS/SE             7            5905.70    N
    45     29891           VINICIUS JESUS MUNHOZ ROSA                                                        48266498-8 SSP/SP              8            5905.60    N
    46     1694            VITÓRIA BEATRIZ VIEIRA E SILVA                                                    10798820 ssp/AC                12           5768.70    N
    47     31002           WISNEY FONTINELE MOURA DE ANDRADE                                                 3098905 SSP/PI                 25           5552.70    N
    48     25507           YASMINE SAINUN ACCORSI                                                            2096137506 SSP/RS              14           5715.20    N


                                                                                 01-Direito (Bacharelado)
    #      Inscri ão        Nom e                                                                        Docum ento                     Classifica ão   Pontua ão   Pne
    1      9237             ALEXANDRE TRAVERSI ANTUNES                                                   4558290 DGPC/GO                27              6978.10     N
    2      20689            ÁLVARO JÁDER LIMA DANTAS                                                     3244503 SSP PB/PB              22              7037.10     N
    3      11362            ANA LUÍZA ALCÂNTARA FONTENELE ROCHA                                          2002009006173 ssp/CE           6               7273.20     N
    4      5298             ANA VALERIA DA SILVA OLIVEIRA                                                1015304-7 SSP/AC               29              6969.60     N
    5      24125            ANDRÉ LUCAS BURITI DE MELO                                                   1073905-0 SSP/AC               9               7131.30     N

np. fac.b / e ib la 2012/ ela o io /li a-ap o ado _po _c   o/                                                                                                             11/64
06/01/12                                                        np. fac.b / e ib la 2012/ ela o io /li a-ap o ado _po _c   o/
    6      38385            ANGÉLICA DA SILVA PAULA                                                     32505148-3 ssp/SP         680   5981.00   S
    7      19997            ANNE RAISSA FERREIRA VASCONCELOS                                            2006009028897 ssp/CE      21    7049.00   N
    8      6478             ARIEL DE VASCONCELOS NEGREIROS                                              470296 SSP/AC             7     7186.40   N
    9      433              BERNADETE YOSHIE AGAPITO URASAKI                                            604527063 SSP/BA          5     7281.60   N
    10     11911            BRENO SANTIAGO HOLANDA                                                      2005010240138 ssp-ce/CE   32    6958.80   N
    11     11310            CARLOS HENRIQUE DE ASSIS MORAES                                             380000 SSP/AC             40    6907.40   N
    12     16881            CÉLIO TORQUATO DE ARA JO J NIOR                                             002716317 SSP/RN          41    6904.60   N
    13     36477            CRISTIAN MOURA DIOGO                                                        54537859 SSP/PR           47    6885.30   N
    14     28821            EDGARD RODRIGO CORDEIRO DE SOUZA                                            458162 SSP/AC             34    6955.70   N
    15     3472             EMMILY FREIRE DE OLIVEIRA                                                   1125792-0 SSP/AC          11    7103.90   N
    16     3694             EVANDRO ALMEIDA DE OLIVEIRA                                                 513463 CAer/AM            46    6885.30   N
    17     15999            FRANCISCA FRAGOSO DOS SANTOS                                                1026185-0 SSP/AC          30    6968.80   N
    18     6676             GABRIEL RODRIGUES RIBEIRO DE OLIVEIRA                                       1056512-4 ssp/AC          15    7086.30   N
    19     756              GEORGE HARRISSON LEMOS SILVA                                                00001065738 SSP/RO        38    6938.70   N
    20     11315            GEOVANA CARVALHO RIBEIRO                                                    2007031019984 SSP/CE      28    6976.20   N
    21     40026            GUSTAVO TROCCOLI CARVALHO DE NEGREIROS                                      3435081 SSP/PB            16    7085.40   N
    22     20194            JEAN CARLOS DO VALLE E SILVA                                                0239994 SSP/AC            12    7102.70   N
    23     32422            JOÃO JOAQUIM DE LIMA NETO                                                   0331995 SSP/AC            546   6092.30   S
    24     1236             JOÃO VICTOR RODRIGUES GOMES PEREIRA                                         1127431-0 SSP/AC          1     7978.10   N
    25     5465             JOSÉ LADISLAU DE SOUSA JUNIOR                                               96029423060 SSP/CE        8     7146.50   N
    26     1619             JOSEANE BATISTA GONÇALVES                                                   462263 SSP/AC             45    6888.80   N
    27     21461            JOSELYA MARIA DE AGUIAR SOARES                                              623587963 ssp/MA          43    6902.40   N
    28     39524            KARLA KAROLINE SANTOS ANDRADE                                               34169784 ssp/SE           33    6958.10   N
    29     738              LARA RAVENA MENDONÇA GABRIEL                                                1095765 SSP/RO            4     7314.60   N
    30     28204            LAURA FRAGA E SILVA                                                         19353723 SSP/MT           20    7052.90   N
    31     21580            MARCELO ELIAS DA ROCHA                                                      0306919 SSP/AC            25    6991.90   N
    32     18571            MATHEUS JUCA TELES                                                          2008009139881 SSPDS/CE    39    6938.30   N
    33     9300             MAYSSA JHULLY OLIVEIRA DE SOUZA                                             418234 SSP/AC             17    7083.10   N
    34     17246            NAIARA DE SOUZA MAIA                                                        001050955 SSP/RO          19    7057.80   N
    35     10703            NATÁLIA LIMA RIBEIRO                                                        20073846508 SSP/CE        10    7114.50   N
    36     21404            OCINO BATISTA DOS SANTOS J NIOR                                             3033076 SSP/PB            2     7492.40   N
    37     7225             PAULO TRAJANO DO NASCIMENTO                                                 1166275 SSP/RO            14    7095.00   N
    38     17865            RAFAELLE PAIVA ROCHA VERAS                                                  2005009154894 SSPDS/CE    13    7096.00   N


np. fac.b / e ib la 2012/ ela o io /li a-ap o ado _po _c   o/                                                                                         12/64
06/01/12                                                        np. fac.b / e ib la 2012/ ela o io /li a-ap o ado _po _c   o/
    39     17885            REBECCA ARAUJO ROSA                                                         2009010040450 SSPDS/CE       31           6960.30    N
    40     22314            RODRIGO ANCONI CAMARGO NASCIMENTO                                           1002581 SESDEC/RO            23           7021.80    N

    41     32783            RODRIGO DO NASCIMENTO SIDOU                                                 1001147-1 SSP/AC             36           6949.50    N
    42     39767            STANLEY SANDRO DA SILVA MENDES                                              0302135 SSP/AC               37           6943.70    N
    43     15419            STEPHANIE DA SILVA HOLANDA                                                  2009009187507 ssp/CE         18           7073.70    N
    44     1610             TÂMISA CARINE PEREIRA GUIMARÃES                                             000827392 SSP/RO             35           6950.40    N
    45     8269             TAYSON RIBEIRO TELES                                                        1084697-2 sspca/AC           44           6890.30    N
    46     16423            THAYNARA ANDRESSA FROTA ARARIPE                                             2008010300690 SSP/CE         3            7326.70    N
    47     6158             THIAGO DO VALE VEIGA                                                        11258217 SEJUSP/AC           42           6902.40    N
    48     14096            VICTOR KALID BELARMINO                                                      354129 SSP/AC                26           6986.70    N
    49     6657             WALQUIRIA AGUES FIGUEIREDO                                                  1112030 SSP/RO               24           7018.90    N
    50     27844            WELERSON GONÇALVES PRATA                                                    15655682 SSP/MG              650          6003.90    S


                                                                       18-Educação F sica (Bacharelado)
    #      Inscrição         Nom e                                                                 Docum ento                    Classificação   Pontuação   Pne
    1      8614              ADRIELEN DA SILVA MONTENEGRO                                          24399043 SSP/AM               17              5110.40     N
    2      30619             ALBERLENE MACIEL DE SOUZA                                             412690 SSP/AC                 3               5644.40     N
    3      3666              ALESANDRO LIMA RODRIGUES                                              11476613 SSP/AC               30              4960.20     N
    4      21136             ANIBAL REIS DE OLIVEIRA FILHO                                         2006002102277 SSPDS/CE        39              4886.60     N
    5      36697             ANTONIO ANDERSON GOMES DE SOUZA                                       11441950 SSP/AC               4               5643.90     N
    6      5950              BRUNO CESAR STEIN                                                     402763221 SSP/SP              41              4865.10     N
    7      11603             BRUNO MARINHO DA SILVEIRA                                             1043276-0 SSP/AC/AC           24              5017.90     N
    8      29422             CLETO DA SILVA DIAS JUNIOR                                            1024009-8 SSP/AC              23              5025.50     N
    9      22536             DANIEL UCHOA BRANDAO                                                  2005007016060 SSP/CE          2               5782.60     N
    10     17954             DEUCERLANDIO DE CASTRO GOMES                                          1184094-3 SSP/AC              15              5171.80     N
    11     6942              DIEGO ALVES DE MENEZES                                                3597399 SSDS/PB               11              5319.70     N
    12     5666              ELISSANDRA PONTES DE FREITAS                                          1032681-2 SSP/AC              47              4811.50     N
    13     7749              F BIO RIBEIRO DE FREITAS                                              001051084 sesdc/RO            33              4946.40     N
    14     17584             FRANCISCO CESAR DE CARVALHO                                           120270-5 CBMAC/AC             32              4946.90     N
    15     9652              GILVAN SOUZA DE LIMA                                                  11897155 ssp/AC               43              4842.20     N
    16     38264             GLEUCIELLE DE SOUZA BONFIM                                            10452117 SSP/AC               416             3628.90     S
    17     7219              HELEM REGINA OLIVEIRA DA SILVA                                        11036940 SSP/AC               37              4913.50     N
    18     18112             JANAYARA BARBOSA DA SILVA                                             366725 SSP/AC                 29              4960.30     N
    19     28484             JEDIEL REZENDE DE MELO NETO                                           1099250-2 ssp/AC              34              4938.80     N

np. fac.b / e ib la 2012/ ela o io /li a-ap o ado _po _c   o/                                                                                                      13/64
06/01/12                                                        np. fac.b / e ib la 2012/ ela o io /li a-ap o ado _po _c   o/
    20     39322             JEFERSON NOGUEIRA MONTEIRO                                            447040 ssp/AC                20                   5071.90       N
    21     27131             JESSIANA DOMINGOS MONTEIRO DA CUNHA                                   1626641331 SAC/BA            16                   5138.50       N
    22     9489              JOANNY LIMA FERREIRA                                                  2945264 SSP/PI               36                   4922.10       N
    23     34252             JORGE MIRANDA RODRIGUES DE SOUZA                                      383684 SSP/AC                7                    5516.60       N
    24     34580             LAÍS DA SILVA CUELLAR                                                 10890432 SSP/AC              9                    5381.40       N
    25     27296             LILIAN RIBEIRO LOBO CAMPOS                                            523.185 COMAER/DF            6                    5558.00       N
    26     13034             LÍVIA CRISTINA SILVA                                                  3077958 SSP/PI               1                    5864.20       N
    27     34573             MAIKO CORREA DO NASCIMENTO                                            1154330-2 ssp/AC             28                   4976.70       N
    28     39615             MARCELO FERNANDES DE SOUZA                                            426629 SSP/AC                27                   4983.00       N
    29     22902             MARCELO MENEZES MAIA                                                  120002909-8 PM/AC            31                   4949.90       N
    30     32988             MARIA GORETE PEREIRA DE AMORIM                                        10190210 SSP/AC              42                   4842.40       N
    31     30714             MARIA J LIA SILVA DE ARA JO                                           1121057-5 SSP/AC             26                   4984.60       N
    32     20262             MATHEUS MONTEIRO HOLANDA PEREIRA                                      111031663127 SSPDS/CE        5                    5589.10       N
    33     7865              MAURO LICINIO ZARATE BARBOZA JUNIOR                                   001302198 ssp/MS             40                   4882.80       N
    34     28831             MELISSA VIEIRA MELO                                                   3131274-8 SSP/AL/AL          44                   4831.00       N
    35     27033             NATAN LIMA QUIROGA                                                    10995188 SSP/AC              13                   5218.80       N
    36     967               PAULO FELIPE BARBOSA DA SILVA                                         457408 SSP/AC                21                   5070.10       N
    37     39152             RAFAEL RERNANDO DE SOUZA E SILVA                                      1137738-0 ssp/AC             12                   5228.00       N
    38     37651             RAPHAEL SILVEIRA DE OLIVEIRA                                          2005002105871 ssp ce/CE      8                    5394.90       N
    39     27825             RAYELE GONÇALVES ALVES                                                11003669 SSP/AC              14                   5201.60       N
    40     20298             RODRIGO HOLANDA MAIA CAVALCANTI                                       2002010043338 SSPDS/CE       10                   5359.00       N
    41     17668             SANDINARA AGOSTINHO DOS SANTOS                                        11471964 ssp/AC              18                   5093.90       N
    42     17452             SELMA FABRICIA ANDRADE KEA                                            10167650 ssp/AC              46                   4820.20       N
    43     28075             SONAIRA DA COSTA MARTINS                                              394169 SSP/AC                38                   4887.20       N
    44     20993             TAINA PEREIRA DA SILVA                                                1117002-6 ssp/AC             45                   4823.60       N
    45     22201             THAYNNE SILVA CUNHA                                                   1006100-2 SSP/AC             19                   5090.20       N
    46     31195             TRICYANNE PIMENTA SILVA                                               392806 SSP/AC                25                   5005.20       N
    47     19210             VALERIA LIMA DOS SANTOS PIMENTEL                                      10370404 SSP/AC              22                   5064.50       N
    48     31187             YURI BARBOSA ARAUJO                                                   1057789-0 SSp Ac/AC          35                   4925.40       N


                                                                        19-Educação F sica (Licenciatura)
    #      Inscrição       Nom e                                                                       Docum ento                    Classificação     Pontuação   Pne
    1      23823           ALDEMIR DOS SANTOS CABREIRO                                                 447380 ssp/AC                 16                5234.20     N

np. fac.b / e ib la 2012/ ela o io /li a-ap o ado _po _c   o/                                                                                                            14/64
06/01/12                                                        np. fac.b / e ib la 2012/ ela o io /li a-ap o ado _po _c   o/
    2      15391           ALEX SANDRO AGUIAR NUNES                                                    1071619-0 SSP/AC             13    5259.00   N
    3      25678           ALEXANDRE DE MELO PEREIRA                                                   10561420 SSP/AC              9     5429.50   N
    4      27130           ALINE RAYÇA MOURA LIMA                                                      1070592-9 SSP/AC             18    5209.80   N
    5      36307           ANDERSON COSME DE OLIVEIRA                                                  360170 SSP/AC                4     5526.60   N
    6      9872            ARTHUR CL UDIO DA SILVA GAMA                                                1067474-8 SSP/AC             27    5132.00   N
    7      24433           CARLA JENNIFER SEVERIANO GALDINO FERNANDES                                  2003010474906 SSPDS/CE       2     6077.10   N
    8      18846           CHARLES DA SILVA E SILVA                                                    330569 ssip/AC               15    5237.60   N
    9      23461           CLAUSSEN XAVIER FERREIRA                                                    461276 ssp/AC                17    5216.10   N
    10     6498            CRISTIAN FARIAS DE SOUZA                                                    1022125-5 ssp/AC             44    4982.60   N
    11     18363           DANIEL PIMENTEL ASSUNÇÃO                                                    11155990 Rio Branco/AC       31    5080.80   N
    12     30956           DELZIMAR GOMES CORTEZ                                                       362650 ssp/AC                8     5462.40   N
    13     3365            DENISE CRUZ DOS SANTOS                                                      221977903 dic/RJ             10    5341.00   N
    14     37326           ELISANETE DANIEL DE CARVALHO                                                11339527 SSP/AC              441   4142.40   S
    15     33335           ELISSANDRA DA SILVA                                                         10831215 SSP/AC              36    5038.40   N
    16     31125           ERIVAN RIBEIRO RODRIGUES                                                    10218149 SEPC/AC             22    5164.50   N
    17     3314            EROINA MOREIRA DE MELO                                                      4031887 dgpc/GO              7     5469.90   N
    18     36372           FRANCINETE DE OLIVEIRA FREIRE                                               1029795-2 ssp/AC             45    4970.80   N
    19     28538           FRANCISCO ANDRE MORAES DA SILVA                                             353648 SSP/AC                160   4595.00   S
    20     4760            FRANCISCO PEIXOTO DE LIMA                                                   200170 ssp/AC                32    5080.10   N
    21     32733           GLEISON CARLOS SILVA DOS ANJOS                                              1052163-1 SSP/AC             42    4991.40   N
    22     25126           IERLISON LACERDA PEIXOTO                                                    399383 ssp/AC                37    5032.30   N
    23     29800           JAQUELINE RODRIGUES FRANCO                                                  10944583 SSP/AC              40    5014.10   N
    24     10855           JORDY NAVARRETE QUISPE                                                      V6526404 CGPI/DIREX/DPF/AC   28    5129.90   N
    25     36315           JOSE EDEMIR CARVALHO DA SILVA                                               40697882541 SSP/RS           20    5174.90   N
    26     12867           JOSÉ LARDI MORENO DE SOUZA JUNIOR                                           1161453-6 ssp/AC             3     5527.90   N
    27     13126           KENNEDY RIBEIRO DE ALENCAR                                                  447894 SSP/AC                5     5521.50   N
    28     14511           LEONARDO ANGELO PASSOS                                                      1048539-2 SSP/AC             11    5333.70   N
    29     5169            LEONCIO DE ARAUJO OLIVEIRA                                                  1122802-4 ssp/ac/AC          33    5078.50   N
    30     20499           MAIQUEL DA SILVA RODRIGUES                                                  349902 SSP/AC/AC             19    5185.20   N
    31     31816           MANOEL LIMA DA SILVA                                                        10464930 SSP/AC              25    5143.60   N
    32     38989           M RCIO URZEDO DE SOUZA                                                      400906 SSP/AC                538   4015.20   S
    33     293             MARIA MARCELA DE LIMA PAULINO                                               10025570 SSP/AC              35    5054.20   N
    34     10567           MARIA ZAINE DE ALBUQUERQUE SILVA                                            1192059-9 18/03/2011/AC      26    5138.10   N


np. fac.b / e ib la 2012/ ela o io /li a-ap o ado _po _c   o/                                                                                           15/64
06/01/12                                                          np. fac.b / e ib la 2012/ ela o io /li a-ap o ado _po _c   o/
    35     14189           MAYARA ORSI DE SOUSA                                                          454872823 são paulo/SP          43          4990.00     N
    36     37703           PABLO KELVIN DE SOUZA ARA JO                                                  10713905 SSP/AC                 39          5031.30     N

    37     8103            PAULO MENDONÇA DE SOUZA                                                       350310 ssp/AC                   14          5253.60     N
    38     8633            RAIMUNDO DE MELO PEREIRA                                                      248328 SSP-AC/AC                46          4964.40     N
    39     4902            RAYNER DE OLIVEIRA LIMA                                                       469724 ssp/AC                   30          5095.20     N
    40     39241           RONALDO DE QUEIROZ OLIVEIRA                                                   402492 SJSP/AC                  24          5151.60     N
    41     32595           ROSALIA ANTONIA DA SILVA BARLATTI                                             10927816 ssp/ac/AC              34          5055.80     N
    42     7347            ROSANGELA SOUZA DE OLIVEIRA                                                   11150670 ssp/AC                 47          4958.70     N
    43     20              ROSENILZA FERREIRA DE LIMA                                                    0339278 SSP/AC                  21          5168.10     N
    44     7497            SAMARA RAQUEL DE SOUZA MATIAS                                                 1128505-2 ssp/AC                23          5159.90     N
    45     16665           SARA LORENA SILVA DE BRITO                                                    417207 ssp/AC                   12          5278.70     N
    46     25659           THIAGO MARQUES RIEGER                                                         20493586-0 detran/RJ            1           6388.50     N
    47     38731           TIAGO TAVARES DE SÁ                                                           457380 SSP/AC                   38          5031.30     N
    48     7335            VANDERSON RICARDO DE FREITAS                                                  444405 SSP/AC                   6           5477.90     N
    49     38943           WASHINGTON FELIPE DA COSTA MAIA                                               10835776 SSP/AC/AC              29          5114.90     N
    50     5982            ZAVAROVE RODRIGUES MACIEL                                                     589399 siac/AP                  41          5010.50     N


                                                                             06-Enfermagem (Bacharelado)
    #      Inscri ão        Nom e                                                                          Docum ento                Classifica ão   Pontua ão   Pne
    1      11953            ADENEVAL RIBEIRO SOARES                                                        427556 ssp/ac/AC          23              5487.80     N
    2      16314            AMANDA SILVA RODRIGUES                                                         3249114 SSP/PI            10              5640.70     N
    3      18708            ANA CRISTINA LIMA CARVALHO                                                     2911598 ssp/PI            11              5640.60     N
    4      18984            ANADIA LUZ DA SILVA PONTES                                                     442893 ssp/AC             21              5505.70     N
    5      9184             ANDRÉA ARA JO DOS SANTOS                                                       10437452 ssp/AC           20              5535.90     N
    6      27003            BÁRBARA FERNANDA SANTOS ALCÂNTARA                                              3438215-1 05/03/2009/AL   19              5538.40     N
    7      19786            BRUNA CRISTINA FÉLIX COELHO                                                    359664 ssp/AC             6               5703.00     N
    8      15487            CASSIA YURI HAYASHI                                                            6154847 ssp/PA            9               5655.50     N
    9      11726            EMÍRIAM CAROLINE NAZARÉ DA SILVA                                               6831610 Segup/PA          4               5791.50     N
    10     11440            EVELYN MAYELB SANTANA BRANDÃO                                                  6832566 SEGUP/PA          13              5619.70     N
    11     16270            FELIPE DE OLIVEIRA BRILHANTE AGUIAR                                            11143754 SSP/AC/AC        12              5639.20     N
    12     12926            FERNANDA SANTOS ARA JO                                                         10011822-0 SSP-AC/AC      22              5504.90     N
    13     32049            FRANCISCO DAS CHAGAS TELES DO NASCIMENTO                                       2248275 ssp/AC            784             4076.30     S
    14     17168            FRANCYANNE RITA MATOS DA SILVA                                                 11867990 ssp/AC           28              5472.80     N
    15     452              GILCILENE OLIVEIRA GADELHA                                                     11099470 ssp/AC           27              5473.00     N

np. fac.b / e ib la 2012/ ela o io /li a-ap o ado _po _c   o/                                                                                                          16/64
06/01/12                                                        np. fac.b / e ib la 2012/ ela o io /li a-ap o ado _po _c   o/
    16     159              HÉMILLY CAROLINE DA SILVA PAIXÃO                                             1082385-9 SSP/AC/AC          17           5552.50    N
    17     37860            ITHALLO AMOM DE SOUZA                                                        425662 ssp/AC                16           5563.40    N
    18     828              JAMYLLE CARVALHO FERREIRA DO NASCIMENTO                                      1101316-8 SSP/AC             14           5575.50    N
    19     612              JOSEAN BATISTA GONÇALVES                                                     1045420-9 SSP/--             24           5482.50    N
    20     10735            KARINE ALMEIDA DE SOUZA                                                      11448474 SSP/AC              18           5545.30    N
    21     22256            LETICIA DE FIGUEIREDO CORREIA CAVALCANTE                                     2008010205957 SSPDS/CE       2            5926.80    N
    22     37292            LINIK DE SOUZA NASCIMENTO                                                    11171898 SSP/AC/AC           164          4916.00    S
    23     17534            LUANA MOSCA GALDINO DA SILVA                                                 2007009174778 SSPDS/CE       1            6097.10    N
    24     9277             MARESSA GUIMARÃES TAUMATURGO                                                 10429379 SSP/AC              3            5858.50    N
    25     11501            MARIA LEAL PEREIRA                                                           2005019024861 SSP/CE         15           5568.70    N
    26     2016             MARIA LEILANE DE FREITAS MOURA                                               5399702 SSP/GO               25           5477.90    N
    27     7440             RANIERE DENER CARDOSO MELO                                                   33702330 SSP/AL              26           5474.70    N
    28     20751            SAMARA LINHARES ABREU                                                        2003009144086 SSP/CE         7            5682.30    N
    29     24643            TAMIRES SALES DE ANDRADE                                                     469382 SSP/AC                5            5721.10    N
    30     9900             WILLISON COSMO DE ARA JO SILVA                                               1000601-0 ssp/AC             8            5660.90    N


                                                                      87-Enfermagem (Bacharelado) - CZS
    #      Inscri ão         Nom e                                                                  Docum ento                    Classifica ão   Pontua ão   Pne
    1      12895             ALDEVANIR PEREIRA ALVES                                                11333731 SSP/AC               20              5380.00     N
    2      37342             ANDREALLIS SANTOS DE SOUZA                                             1074776-1 sejusp/AC           17              5427.80     N
    3      32305             ANE PLICILA DOS SANTOS MAIA                                            1016356-5 ssp/AC              10              5650.10     N
    4      35797             CALERISON BEZERRA MENDONÇA                                             11599308 SJSP/AC/AC           534             3384.00     S
    5      38563             CAMYLA ROBERTA GONZAGA SILVA                                           4982672 ssp/PA                1               6262.60     N
    6      5188              DAIANE DA CONECEIÇÃO SOUZA                                             1109872-4 SSPAC/AC            4               5884.20     N
    7      29088             ELLEN KARINE D'ÁVILA VILAR                                             6.860.294 SDS/PE              7               5722.00     N
    8      15570             ELUANA FARIAS FREITAS                                                  11783087 SSP/AC               25              5315.80     N
    9      21424             ESTEFANIE SIMARA DOS SANTOS SANTIAGO                                   1117342-4 SJSP/AC             12              5572.10     N
    10     31337             GÉSSICA LUCIA DA SILVA                                                 10687157 ssp/AC               23              5329.50     N
    11     16229             GIOVANNA BAZAN RIOS DO REGO BARROS                                     2009009026740 SSPDS/CE        5               5839.60     N
    12     7765              HELEN FERNANDA ROGERIO CAMELI                                          10787585 SSP/AC               14              5560.20     N
    13     10080             HELITON DE CASTRO E SILVA JUNIOR                                       1198553-4 SEPC/AC             3               5906.80     N
    14     11348             INGREDHI CAROLINE RUFINO MAIA                                          1043250-7 SSP/AC              15              5516.70     N
    15     6074              IRIZANE DE SOUZA PATRICIO                                              385963 SJSP/AC                19              5416.20     N

np. fac.b / e ib la 2012/ ela o io /li a-ap o ado _po _c   o/                                                                                                       17/64
06/01/12                                                        np. fac.b / e ib la 2012/ ela o io /li a-ap o ado _po _c   o/
    16     3997              ISAAC PAIXÃO DA COSTA SILVA                                            1117425-0 SSP-AC/AC           16              5502.90     N
    17     23378             JULLYANA BRAZ DE MEDEIROS BRITO                                        10287752 SJSP/AC              18              5421.60     N
    18     23430             LAURA CORDEIRO GOMES                                                   460320 SJSP/AC                6               5798.40     N
    19     14459             LÍLIAN DA SILVA ARA JO CAVALCANTE                                      362301 SSPAC/AC               13              5568.30     N
    20     30561             LUIZA SILVA DE SOUZA                                                   1175889-9 SPFC/AC             24              5319.10     N
    21     39031             MARIA GEANE SANTOS DE SOUZA                                            437473 SJSP/AC                21              5357.80     N
    22     19224             MARIA JOSÉ OLIVEIRA MAIA                                               435610 sjsp/AC                27              5294.00     N
    23     6130              MARIA RAFAELA DA COSTA MARTINS                                         1164088-0 SEPC/AC             9               5661.60     N
    24     28056             MATEUS TORQUATO DO NASCIMENTO                                          1063834-2 SSP/AC              8               5693.70     N
    25     8588              ROCIONE DA SILVA SANTOS                                                435605 SSP/AC                 11              5609.30     N
    26     8081              SAMILI NASCIMENTO SILVA                                                10566945 SSP/AC               26              5315.30     N
    27     36425             SARAH RAQUEL DA SILVA PONTES                                           11901640 sepc/AC              2               6236.90     N
    28     22755             SIMONE FEREIRA DA SILVA                                                1155211-5 ssp/AC              28              5270.00     N
    29     24345             SUZE QUELI COSTA FERNANDES                                             1135366-0 SSP/AC              22              5344.50     N


                                                                 11-Engenharia Agron mica (Bacharelado)
    #      Inscrição         Nom e                                                                         Docum ento             Classificação   Pontuação   Pne
    1      20923             ADRIANA KETYLLEM CAVALCANTE ACÁCIO                                            1000973-6 SSP/AC       14              5527.10     N
    2      29680             ALAN FRANK RODRIGUES PEREIRA                                                  2007029082526 ssp/CE   39              5196.10     N
    3      25740             ANDRÉ MARINHO DE GOIS                                                         10930680 SSP/AC        32              5245.80     N
    4      19622             ANTONIO ERICKSSON FERREIRA LIMA DE ALMEIDA                                    2007354471-4 SSP/CE    7               5765.20     N
    5      21178             CARINA BERNADETE MENEZES CASTELO BRANCO                                       10791116 sjsp/AC       42              5189.10     N
    6      33329             CARLOS HENRIQUE ANDRADE DA SILVA                                              10403388 ssp/AC        41              5191.60     N
    7      2210              DAIANI RIGOTTI                                                                1171683 SSP /RO        13              5563.40     N
    8      33233             DAICEJANE ALVES DA SILVA                                                      11150823 ssp/AC        21              5409.60     N
    9      28829             DANILO DA SILVA ELLER                                                         10536400 ssp/AC        38              5200.90     N
    10     37264             DEYVESON MENEZES SIILVA                                                       3700641 ssp/PA         15              5514.60     N
    11     11691             EDIVANIO FRANCO DA SILVA FILHO                                                470089 SSP/AC          37              5201.80     N
    12     20973             ELZA ABREU DE SOUZA                                                           1027747-1 ssp/AC       8               5736.00     N
    13     18265             EMILIO JOSÉ OLIVEIRA                                                          1171689 SSP/RO         29              5259.90     N
    14     17340             FELIPE MACHADO NOBRE                                                          1114152-2 SSP/AC       23              5363.40     N
    15     4739              FERNANDA REIS FERREIRA                                                        0287928 ssp/AC         28              5282.70     N
    16     1791              GEORGE LIMA MARQUES                                                           1397005874 SSP/BA      1               6183.20     N

np. fac.b / e ib la 2012/ ela o io /li a-ap o ado _po _c   o/                                                                                                       18/64
06/01/12                                                          np. fac.b / e ib la 2012/ ela o io /li a-ap o ado _po _c   o/
    17     13591             HERBERT DA SILVA SOUSA                                                          3.313.715 SSP/PI           20   5440.30   N
    18     27132             HIURI NEGREIROS DE ALBUQUERQUE                                                  1151429-9 sepciirhm/AC     18   5447.30   N
    19     20177             JAQUELINE RESSURREIÇÃO                                                          1218100 SESDC/RO           46   5178.80   N
    20     37832             JÉSSICA TUANE DE OLIVEIRA MENDES                                                1047821-3 ssp-ac/AC        10   5660.30   N
    21     8606              JÉSSIKA FYAMA BATISTA DE MESQUITA                                               1090790-4 ssp/AC           45   5180.80   N
    22     8220              JORGE LUIZ HESSEL J NIOR                                                        347947 SSP/AC              27   5299.80   N
    23     16603             JOSÊNIO OLIVEIRA RODRIGUES                                                      10837027 sspac/AC          47   5177.90   N
    24     12346             JUCIMAR MAFFI                                                                   11167653 sspac/AC          40   5192.20   N
    25     11809             KATIELY LIMA CAMPOS                                                             10707042 SSP/AC            43   5188.30   N
    26     11704             KEVIN CHRYSTIAN DA SILVA NUNES                                                  11630370 SSP/AC            9    5732.80   N
    27     17803             LANA CRISTINA MUNIZ OCCHI                                                       1078407-1 SSP-AC/AC        5    5835.40   N
    28     10907             LEONIS FERREIRA DE LIMA                                                         11993669 SSPAC/AC          35   5220.00   N
    29     6306              LUCIANA CRISTINA LIMA DE OLIVEIRA                                               1001363-6 SSP/AC           19   5446.50   N
    30     1288              MANOELA SOUZA DA SILVA                                                          11222646 ssp/AC            12   5570.70   N
    31     21160             MARCELO FERREIRA DE OLIVEIRA                                                    10734511 SSP/AC            6    5797.90   N
    32     33449             MARCIO FRANCISCO BRASIL DA SILVA                                                120203466-5 PMAC/AC        16   5472.10   N
    33     19945             MARESSA RODRIGUES DE OLIVEIRA                                                   10649760 SSP/AC            36   5211.60   N
    34     13107             MAYKON SOUZA DE SOUZA                                                           1122112-7 sspa/AC          22   5398.10   N
    35     15396             MOISES MOREIRA LIMA                                                             5889758 SSP/PA             44   5184.80   N
    36     13787             PÂMELA DE OLIVEIRA ALVIM                                                        10419136 SSP/AC            30   5259.50   N
    37     32874             PAULO ANTONIO BENEDITO                                                          337941 SSP/AC              31   5245.90   N
    38     6439              RAIURY SANTOS DA SILVA                                                          11469013 sjsp/AC           11   5594.10   N
    39     5380              RAQUEL ARAGÃO MELO                                                              419257 SSP/AC              33   5244.60   N
    40     1108              RHANA SANTOS ROSÁRIO                                                            469588 SSP/AC              17   5457.70   N
    41     28826             RODRIGO MONTEIRO DE CARVALHO                                                    03626466443 detran/RJ      4    5879.60   N
    42     27443             SARA GOMES DE LIMA ARA JO                                                       457172 ssp/AC              25   5358.90   N
    43     2624              SIMONE DOMINGUES DE OLIVEIRA                                                    11915161 SSP/AC            34   5222.90   N
    44     12475             TAIULLY ESMIRNA SOUSA DOS SANTOS                                                6053615 Polícia Civil/PA   3    6028.40   N
    45     30507             TATIARA MARIA BATISTA LIMA                                                      3212360 SSP/PI             2    6029.00   N
    46     2890              THIAGO BARROSO TELES                                                            11667753 ssp/AC            24   5359.40   N
    47     17421             VALÉRIA CAMATA GOTTARDO                                                         1255164 CRAS/RO            26   5307.50   N


                                                                174-Engenharia Agron mica (Bacharelado) - CZS

np. fac.b / e ib la 2012/ ela o io /li a-ap o ado _po _c   o/                                                                                              19/64
06/01/12                                                        np. fac.b / e ib la 2012/ ela o io /li a-ap o ado _po _c   o/
    #      Inscri ão         Nom e                                                                   Docum ento                 Classifica ão   Pontua ão   Pne
    1      21065             ALAN SOUZA DA SILVA                                                     405872 ssp/AC              35              5016.10     N
    2      2208              ALEFF VINICIUS ARAUJO GOMES PASSOS                                      3428994 SSP/PB             3               5920.20     N
    3      9963              ALISSON RODRIGUES DE PAULA                                              1194860-4 SSP/AC/AC        28              5132.30     N
    4      27470             ANDRESSA PEREIRA DE SOUZA                                               1136777-6 SJSP/AC          7               5799.10     N
    5      17867             ANTONIO MARCOS DE SOUZA AQUINO                                          1122554-8 SSP/AC           46              4841.30     N
    6      32586             BRUNO OLIVEIRA JUCÁ                                                     1131751-5 ssp/AC           43              4854.90     N
    7      13677             CARLOS EDUARDO GOMES LIMA                                               08530070-55 SSP/BA         6               5814.40     N
    8      20321             DALVAN DA SILVA NASCIMENTO                                              1194617-2 SSP/AC           42              4866.70     N
    9      14785             DANIEL MENDONÇA TORRES                                                  10864071 SSP/MG            1               6624.70     N
    10     31875             DANIEL MIRANDA DE ALMEIDA                                               11799870 SSP/AC/AC         30              5117.70     N
    11     29494             DEMIRIUS DO NASCIMENTO MELO                                             1158453-0 SSP-AC/AC        36              4914.70     N
    12     25032             FERNANDO HENRIQUE DAMACENO PEREIRA                                      3520049 SSP/PI             18              5294.30     N
    13     9446              FLÁVIA MARIA SCHNEIDER                                                  1063423-1 ssp/AC           5               5856.70     N
    14     3200              FRANCISCO NACIO DE AZEVEDO GOMES                                        10026657 SSP/AC            16              5302.60     N
    15     7691              GERMANO NOGUEIRA DE LIMA                                                19075 SI/PMAM/AM           10              5520.60     N
    16     10074             GLEDSON DE SOUZA ALMEIDA                                                11624728 ssp/AC            24              5196.40     N
    17     6890              GRASIELE SALES PEDRAÇA                                                  738932 SSP/RO              15              5376.60     N
    18     15773             HERICA IBERNOM CAVALCANTE DE OLIVEIRA                                   11494280 SEPC/AC           37              4912.80     N
    19     23595             ISRAEL GOMES BORGES                                                     2007798413-1 ssp/CE        14              5380.80     N
    20     14923             JACSON ROGERIO DAMASCENO                                                1314417100 SSP/BA          26              5159.70     N
    21     3455              JAMISSON RODRIGUES GUIMARAES                                            362283 SJSP/AC             44              4845.50     N
    22     37752             JANILLE DE OLIVEIRA MELO                                                0317890 ssp /AC            31              5109.40     N
    23     13146             JONATHAS LUCAS DOS REIS                                                 1018844 Outros/RO          38              4912.30     N
    24     9147              LANA BEATRIZ PEDROZA DE SOUZA                                           1199257-3 SSP/AC           29              5124.80     N
    25     26505             LUCINÉIA OLIVEIRA DA SILVA                                              1095822-3 SJSP/AC          47              4831.20     N
    26     32412             MARCÍLIO DE MOURA SILVA                                                 11162171 SSP/AC            17              5294.80     N
    27     25002             MARIA BEATRIZ UCH A DE BRITO                                            1192597-3 SSP/AC           4               5919.90     N
    28     7426              MARIA JOSÉ SILVA VALENTE                                                1187549-6 sspac/AC         13              5383.50     N
    29     24478             MATHEUS CAZUZA DE LIMA                                                  2005009240600 SSPDS/CE     2               6095.30     N
    30     36508             NARCISO MELO MONTEIRO                                                   1009026-6 ssp/AC           32              5095.10     N
    31     12081             PAULA MAYARA DE SOUZA                                                   8525502 SDS/PE             27              5146.50     N
    32     27561             PAULO HENRIQUE DA COSTA SILVA                                           11877235 SSP/AC            9               5548.40     N


np. fac.b / e ib la 2012/ ela o io /li a-ap o ado _po _c   o/                                                                                                     20/64
06/01/12                                                        np. fac.b / e ib la 2012/ ela o io /li a-ap o ado _po _c   o/
    33     24917             PÊOLA REIS DE SOUZA                                                     157052720000 Segup/MA          20                   5274.60       N
    34     29655             PRISCILLA VASQUES LIPORACE                                              2007881468-0 ssp ce/CE         8                    5770.30       N

    35     28382             PRISCYLLA ASSIS CARVALHO                                                6144637 ssp/PA                 25                   5179.00       N
    36     9776              RAFAELA DA COSTA FARIAS                                                 1156234-0 ssp/AC               34                   5018.60       N
    37     26565             RAMON LIMA BUSSONS                                                      1167146-7 SSPAC/AC             22                   5244.70       N
    38     4723              RAQUEL DA COSTA MATOS                                                   20231504 SSP/AM                23                   5230.80       N
    39     26570             ROBERTO CARLOS MACIEL ALVES JUNIOR                                      1098526-3 SSPAC/AC             40                   4881.90       N
    40     36872             RODRIGO MOREIRA ANDRADE                                                 93002056194 SSP/CE             12                   5429.70       N
    41     7528              RONI CHARLES PEREIRA DE OLIVEIRA E SILVA                                10372482 sejsp/AC              45                   4843.60       N
    42     12684             RYCHAELLEN SILVA DE BRITO                                               1148467-5 SEPC/AC              41                   4874.10       N
    43     16061             SAMARA DA SILVA OLIVEIRA                                                1185471-5 SSP/AC               21                   5246.50       N
    44     26423             SINARA DIAS SILVA                                                       6186207 SEGUP/PA               39                   4890.50       N
    45     30688             STEFANIE ELIZA LIMA MAIA                                                11048360 SSP/AC                11                   5507.40       N
    46     18267             VANDERLEIA TOREZANI PAZINI                                              1250148 SSP/RO                 19                   5291.00       N
    47     32448             WILLIAM MANGELO PINHEIRO                                                00001017947 SESDEC/RO          33                   5029.80       N


                                                                        23-Engenharia Civil (Bacharelado)
    #      Inscri ão       Nom e                                                                             Docum ento                  Classifica ão     Pontua ão   Pne
    1      9097            ALEXANDER RIBEIRO                                                                 368498803 SSP/SP            14                7309.50     N
    2      5616            ALINE MARIA DA COSTA FADELL                                                       1023910-3 SSP/AC            27                7078.50     N
    3      39912           AMANDA BRITO DE CARVALHO                                                          3222504 ssp/PB              35                6955.20     N
    4      25624           ANA LUIZA MIRANDA DE CARVALHO AMORIM                                              17412557 SSP/MG             1                 7522.60     N
    5      1371            ANA LUIZA MOTTA GOMES                                                             3477955 SSP/PB              25                7083.20     N
    6      24856           ANDRESSA FOLADOR PIO DA SILVA                                                     2614186-8 SSP/MT            32                6977.60     N
    7      7003            ANGELINA DE SIMONE CAMARGO GURGEL FERNANDES                                       14438916 SSP/MG             38                6935.50     N
    8      17278           B RBARA MORAIS GIANESINI                                                          993928 SSP/RO               10                7365.70     N
    9      1618            DARLYN LUCAS LOPES CORDEIRO                                                       10012214 SSP/AC             15                7295.00     N
    10     13412           EDCARLOS MIRANDA DE SOUZA                                                         0320031 SSP/AC              39                6925.70     N
    11     24500           EDUARDO CAMPOS SILVA                                                              49240331-4 sspds/SP         28                7072.90     N
    12     16939           EMILENE MENDONÇA DA SILVA                                                         21313431 SSP/MT             29                7061.40     N
    13     37064           ENMANUEL LEITE DE ARAUJO BEZERRA                                                  20072601480 ssp/CE          21                7138.40     N
    14     12122           ÉRICA DE FREITAS MACÊDO                                                           20073626214 SSPDS/CE        12                7358.30     N
    15     24252           FELIPE EDUARDO DE OLIVEIRA SANTOS                                                 6413181 SSP/PA              17                7205.60     N
    16     34923           FRANCISCO JAMES BARBOSA SARAIVA                                                   444216 sspac/AC             1429              4367.30     S

np. fac.b / e ib la 2012/ ela o io /li a-ap o ado _po _c   o/                                                                                                                21/64
06/01/12                                                         np. fac.b / e ib la 2012/ ela o io /li a-ap o ado _po _c   o/
    17     4218            GABRIEL ALCIOLY ASSIS VAGLIERI                                                     11359382 ssp/AC           20     7164.80   N
    18     15408           GABRIEL AUGUSTO                                                                    5340111 SSP/GO            46     6862.10   N
    19     18511           GEORGE BENVINDO DE ALMEIDA                                                         2864805 SSP/PI            31     7001.70   N
    20     18225           HEITOR PEREIRA LEMOS                                                               2007017939-0 SSP/CE       23     7122.60   N
    21     24462           IGOR PINHO SARAIVA                                                                 2007010384780 SSPDS/CE    26     7079.40   N
    22     19970           ISABELE FEITOSA DE MORAIS                                                          2006010259210 SSP/CE      9      7370.90   N
    23     377             IVES JOSE FERREIRA DA SILVA PEREIRA                                                447238 ssp/AC             293    6080.00   S
    24     5209            JALLES VINICIUS SILVA DE CARVALHO                                                  10179240 SSP/AC           22     7129.20   N
    25     24598           JOÃO HENRIQUE ARA JO DOS SANTOS                                                    42835986-3 SSP/SP         3      7452.40   N
    26     18682           JORGE HENRIQUE LIMA REIS                                                           3280981 SSP/PB            47     6846.40   N
    27     26149           JUAN CARLOS CARVALHO SANTOS                                                        3337254 SSP/PI            33     6966.60   N
    28     12632           KAYO PRADO TEIXEIRA DA SILVA                                                       1175649 ssp/RO            6      7433.50   N
    29     5848            LAYRA PATRÍCIA CARVALHO DE MELO                                                    5619738 SSP/GO            45     6865.10   N
    30     37309           MADSON MOURA DAMASCENO                                                             115741-7 ssp/AC           1371   4475.00   S
    31     10894           MARCOS ALEXANDRE BRITO NOLASCO                                                     001050295 SSP/RO          40     6923.00   N
    32     17993           MARIA NEUZA LIMA OSÓRIO                                                            2000013011864 SSP/CE      7      7414.30   N
    33     15372           MARÍLIA FARIAS BATISTA                                                             2008009121478 SSP/CE      4      7451.30   N
    34     24167           MATHEUS ALBUQUERQUE PAES                                                           412340 SSP/AC             5      7445.50   N
    35     6499            MAYRA GARCIA DA SILVA                                                              18292194 ssp/MT           44     6877.50   N
    36     21393           MURILO CAMPOS ARA JO                                                               MG-18.507.511 SSP-MG/MG   16     7292.10   N
    37     9366            PAULO ROBERTO DE ARA JO VAGO                                                       00001081648 SSP/RO        11     7358.60   N
    38     9825            PEDRO HENRIQUE ALVES SOBRINHO                                                      2004009167114 SSP/CE      24     7084.10   N
    39     3652            RAFAEL MARIM DE VASCONCELOS                                                        1101534-9 SPJ/AC          36     6948.90   N
    40     39448           RENAN PEREIRA QUADROS                                                              5539509 SSP GO/GO         2      7519.50   N
    41     10700           RENATA FERREIRA MONTEIRO                                                           2005010398947 ssp/CE      42     6890.60   N
    42     38862           SUELEM TEIXEIRA MARQUES                                                            5511560 SPTC/GO           13     7326.90   N
    43     30303           THAINÁ RUDNICK                                                                     973516 SSP/RO             41     6902.30   N
    44     26573           THAMYRES MARIA DE SOUZA                                                            37.266.382-5 SSP/SP       37     6940.20   N
    45     10287           THIAGO ARAUJO PEREIRA                                                              15520943 ssp/MG           19     7196.70   N
    46     5623            THIAGO SILVA DOS SANTOS                                                            1178014-2 SSP/AC/AC       8      7373.50   N
    47     22418           WELLINGTON PAULINO AGUIAR DO NASCIMENTO                                            11047887 SSP/AC           43     6877.60   N
    48     22461           WILLIAN RIBEIRO CARVALHO                                                           1001025 ssp/RO            18     7197.50   N
    49     416             YURI SAVOFF DE SOUZA E SILVA                                                       11793775 SSP/AC           34     6961.70   N


np. fac.b / e ib la 2012/ ela o io /li a-ap o ado _po _c   o/                                                                                                22/64
06/01/12                                                        np. fac.b / e ib la 2012/ ela o io /li a-ap o ado _po _c   o/
    50     38668           YURI TCHAIKOVSKY ALBUQUERQUE MEDEIROS QUEIROZ                                     5697353 PC/PA            30          7049.70    N


                                                                    181-Engenharia El trica (Bacharelado)
    #      Inscrição        Nom e                                                                       Docum ento               Classificação   Pontuação   Pne
    1      1467             ALMIR FERREIRA DE MACEDO J NIOR                                             002736772 sds/RN         45              6502.00     N
    2      38048            ANA CRISTINA DE SOUSA                                                       3068228 SSP/PI           26              6697.20     N
    3      23490            ANA LUISA SILVEIRA DA SILVA                                                 2009009170663 ssp/CE     19              6859.20     N
    4      29159            ANDRÉ LUIZ NASSERALA PIRES                                                  0291241 SSP/AC           37              6555.70     N
    5      15481            BEATRIZ ANDRADE FEITOSA                                                     2009009164884 ssp/CE     34              6589.00     N
    6      23034            DANIEL JOSÉ DA SILVA ZACARIAS                                               3.203.376 SSP/PI         44              6503.60     N
    7      4439             ELIAS COSTA FELIPE                                                          10813929 ssp/AC          33              6622.30     N
    8      3601             FELIPE BISPO REZENDE                                                        330937 SSP/AC            47              6494.30     N
    9      11331            FELIPE FELICIANO LANA                                                       13524839 SSP/MG          1               8108.40     N
    10     15802            FERNANDA RODRIGUES CHARBEL                                                  10648810 SSP/AC          21              6832.20     N
    11     36939            FERNANDO HENRIQUE SOUZA SILVA                                               1266700994 ssp/BA        39              6540.50     N
    12     22484            FLAVIO VINICIUS CARVALHO VIANA                                              2006009301836 SSP/CE     42              6526.60     N
    13     36944            FRANCISCO RAILDO CARDOSO LEITAO                                             0247244 SSP/AC           409             5317.20     S
    14     18553            GUSTAVO CARVALHO ESPINDOLA                                                  2007009212645 SSPDS/CE   27              6691.10     N
    15     16234            HENRIQUE BELCHIOR DE OLIVEIRA                                               100005935-8 MDEB/CE      3               7304.50     N
    16     35365            IAGO SILVA OLIVEIRA                                                         3311054 SSP/PB           29              6674.00     N
    17     35978            ISABEL DA COSTA MIRANDA                                                     1133875-0 SSP/AC         9               7056.40     N
    18     33178            JANILSON DA SILVA CORDEIRO                                                  1006670-5 SSP/AC         12              7014.40     N
    19     14014            JOAB DA SILVA LIMA                                                          1134998-0 SSP/AC         41              6535.60     N
    20     23765            JOSÉ LUCAS DO NASCIMENTO                                                    1125236-7 ssp ac/AC      22              6821.30     N
    21     17080            LÍVIA JAMYLLE DE ARA JO FARIAS                                              1126304 SSPRO/RO         31              6646.40     N
    22     4265             LOURENT DE SOUSA FREIRE                                                     11322446 SSPAC/AC        32              6634.70     N
    23     21054            LUAN FELIPE MOMO                                                            1173827-8 SSP/AC         18              6864.10     N
    24     1015             LUCAS MATHEUS DA SILVA ABREU                                                1081526-0 SSP/AC         490             5143.20     S
    25     14294            LUCAS MATHEUS DE SOUSA LIMA                                                 346027 ssp/AC            2               7418.20     N
    26     1581             LUCAS PAULO DE ALMEIDA CORTEZ                                               1155634 SSP/RO           20              6850.20     N
    27     24321            LUCAS WADT                                                                  1108826-5 SSP-AC/AC      25              6699.70     N
    28     11974            MARCELO PORFIRIO VELOZO                                                     1128810-8 SSP-AC/AC      30              6647.10     N
    29     17504            MATHEUS CARLOS BARBOSA LEAL DE SOUSA FÉ                                     3520791 SSP/PI           40              6540.00     N

np. fac.b / e ib la 2012/ ela o io /li a-ap o ado _po _c   o/                                                                                                      23/64
06/01/12                                                         np. fac.b / e ib la 2012/ ela o io /li a-ap o ado _po _c   o/
    30     18568            MATHEUS FRANCISCO DO VALE SAMPAIO                                            2006002068389 sspds/CE       16                  6888.20     N
    31     22910            MATHEUS HENRIQUE MAIA PINHEIRO                                               10443380 SSP/AC              10                  7024.30     N
    32     34898            MIKAEL JOHANSSON DANTAS DOS SANTOS                                           003015230 itep/RN            35                  6584.90     N
    33     22091            MYRLLA CRISTINA PEIXOTO BRILHANTE                                            10494766 SSP/AC              28                  6688.40     N
    34     7981             NATANAEL TEIXEIRA SULZBACH                                                   1071481-2 ssp/AC             46                  6496.20     N
    35     3890             PAULO HENRIQUE FERREIRA DA ROCHA                                             1005984-9 SSP/AC/AC          14                  6924.00     N
    36     6033             PAULO OTÁVIO MOREIRA DOS SANTOS                                              1160972-9 SSP/AC             5                   7286.60     N
    37     12984            RAQUEL ELLEM MARCELINO DE OLIVEIRA                                           22.407.974-9 DETRAN/RJ       13                  6963.80     N
    38     10309            RAQUEL LUENA COSTA VIEIRA                                                    11598409 SSP/AC              43                  6503.80     N
    39     11955            REBECA GOMES DANTAS CAETANO                                                  2003009095824 SSP/CE         15                  6904.20     N
    40     30188            RENATO SILVA ORTEGA                                                          42.989.574-4 SSP/SP          38                  6553.30     N
    41     27064            ROGÉRIO FELICIANO DE MOURA SANTOS                                            2391068 SSP/PI               7                   7086.50     N
    42     36009            RUI SALMO DOS SANTOS FERREIRA                                                3117329 secretaria de s/PI   8                   7064.90     N
    43     30070            SANDER BRYAN FELÍCIO DA CRUZ BRITO                                           1162783-2 SSP/AC             4                   7299.70     N
    44     16218            SARA HILDA SOUZA SARAIVA                                                     530014 MDCA/CE               24                  6743.70     N
    45     23164            SIWANDRESSA CIBELLE DOS SANTOS ALMEIDA                                       10179402 sejusp/AC           235                 5767.00     S
    46     20875            TIAGO PIRES DE ASSIS AMARAL                                                  16156239 ssp/MG              23                  6786.10     N
    47     7247             VÍTOR ONOFRE DE SOUSA                                                        1188598-0 SSP/AC             11                  7019.30     N
    48     24374            WALBER WILLAME BARBOSA DE MOURA                                              3274617 ssp/PI               17                  6875.10     N
    49     9609             WEVERTON SAADY AIACHE                                                        10596062 ssp/AC              36                  6564.50     N
    50     20359            YURI SOUSA DO NASCIMENTO                                                     1143947 SSP/RO               6                   7166.70     N


                                                                     33-Engenharia Florestal (Bacharelado)
    #      Inscri ão       Nom e                                                                       Docum ento                         Classifica ão   Pontua ão   Pne
    1      9971            ADRIANA DOURADO CRIS STOMO                                                  1199350-2 SSP/AC                   54              5294.50     N
    2      37842           ALEXIA DA SILVA SOUZA                                                       3123499 spp/PI                     48              5322.30     N
    3      26688           ALINE DOS ANJOS FARIA                                                       1163124 sssp/ro/RO                 59              5263.70     N
    4      16006           ANA BEATRIZ ALENCAR DE CARVALHO                                             1151837-5 SSP/AC                   18              5662.30     N
    5      20870           ANA PAULA ASSIS DE LIMA                                                     11738219 SSP/AC                    72              5178.80     N
    6      22766           ANDREI CHRISTIAN PEREIRA LIMA                                               1098168-3 SSP/AC                   16              5686.90     N
    7      25794           ANDRESSA DE CASTRO SOUZA                                                    1089086-6 SSP/AC                   24              5497.50     N
    8      19392           BRENO GONÇALVES PINHEIRO                                                    2.624.471 SSP/PI                   11              5780.00     N
    9      23860           CAMILA ROBERTA DA SILVA FARIAS                                              1114398-3 ssp/AC                   58              5264.10     N

np. fac.b / e ib la 2012/ ela o io /li a-ap o ado _po _c   o/                                                                                                               24/64
06/01/12                                                        np. fac.b / e ib la 2012/ ela o io /li a-ap o ado _po _c   o/
    10     34694           CATARINA FROTA LIMA                                                        1137511-6 SSP/AC           43    5349.80   N
    11     6482            CLEANE DOS SANTOS DE SOUSA                                                 6288136 Polícia Civil/PA   71    5186.20   N
    12     11992           CLEVERSON AGUEIRO DE CARVALHO                                              1151762 SSP/RO             56    5282.20   N
    13     10851           CREUZINELE DE MATOS DANTAS                                                 10663282 SSP/AC            57    5280.30   N
    14     9779            DAIANE MENDES DE OLIVEIRA                                                  1165716_2 Est/AC           76    5161.60   N
    15     34507           DYÊGO RIBEIRO DA SILVA VIEIRA                                              275955 SSP/AC              3     5914.50   N
    16     3004            EMILY FARIA CORREIA                                                        426197379 ssp/SP           7     5828.20   N
    17     995             ESTEYVID VILAPLANA SANTANA                                                 093827614-4 mex/AM         14    5723.90   N
    18     36738           FABIO HEROITO DE PAIVA                                                     381843 SSP/AC              986   3213.90   S
    19     13571           F BIO JUNIOR PINHEIRO DA SILVA                                             1177739-7 SSP/AC           31    5395.70   N
    20     13111           FERNANDA NYDALL BANDEIRA                                                   10962522 SSP/AC            19    5659.80   N
    21     39319           FERNANDO NASCIMENTO DE OLIVEIRA                                            10469885 ssp/AC            45    5331.40   N
    22     36109           FRANCISCO ALEX SOARES DA COSTA                                             469754 SSP/AC              552   4249.90   S
    23     7626            GABRIEL MILHOMEM MELO MARINHO                                              00001092478 ssp/RO         9     5805.90   N
    24     39209           GABRIELA NASCIMENTO FIEDLER                                                1206170 SSP/RO             47    5323.50   N
    25     27012           GUILHERME MARCHESINI TREVIZANI                                             1231060 NCCEOF/RO/RO       2     5923.30   N
    26     30145           GUSTAVO CARVALHO SPANNER                                                   6542307 Policia Civil/PA   68    5199.60   N
    27     16374           HENRIQUE QUEIROZ SIMÃO                                                     1108926 SSP/RO             63    5227.20   N
    28     17680           IANNA ANDRADE OLIVEIRA                                                     430325 SSP/AC/AC           69    5193.20   N
    29     838             IWLLY CRISTINA CAVALCANTE SILVA                                            1123856-9 SSP/AC           49    5319.30   N
    30     18501           J INA PAIVA MASTUB                                                         1145151-3 ssp/AC           23    5531.50   N
    31     6755            JANAIRA FERREIRA DE OLIVEIRA                                               11401591 sspc/AC           25    5494.60   N
    32     18232           JASCYLLEN LAWANNE COSTA DE SOUSA                                           1133653-6 SSP-AC/AC        51    5310.00   N
    33     16170           JEFERSON ALMEIDA DE OLIVEIRA                                               6685962 policia civil/PA   22    5572.00   N
    34     30787           JENNIFER JIMMY ALVES NUNES                                                 1275429 SSDC/RO            28    5436.20   N
    35     30587           JOELMA CONCEIÇÃO DE OLIVEIRA CABRAL                                        1093715-3 ssp/AC           1     5926.60   N
    36     27345           JOSÉ JUNIOR DA SILVA DE LA TORRE                                           1154478 SSP/RO             67    5209.10   N
    37     3367            JOSE MARLO ARAUJO DE AZEVEDO                                               423066 ssp/AC              6     5833.30   N
    38     22950           KARINE AMARAL DO CARMO LEITE                                               1272776 ssp/RO             27    5447.70   N
    39     19294           KAROLINE ALMEIDA E SILVA                                                   5432662 SPTC/GO            10    5793.10   N
    40     19756           KARYANNE CRISTINA DOS SANTOS BARROS                                        4448193 policia civil/PA   21    5579.50   N
    41     28353           LANA CARLA DA MATTA PEIXOTO                                                415292 SSP/AP              33    5388.20   N
    42     36333           LARA MARIA MONTEIRO FRANCHI NUNES                                          1120702 SSP/RO             15    5723.10   N


np. fac.b / e ib la 2012/ ela o io /li a-ap o ado _po _c   o/                                                                                        25/64
06/01/12                                                        np. fac.b / e ib la 2012/ ela o io /li a-ap o ado _po _c   o/
    43     5444            LEANDESSON ANTONY DOS SANTOS BARBOSA                                       1039368-4 SSP-AC/AC       74    5165.60   N
    44     28249           LEANDRO DA SILVA HOEPFNER                                                  2706558-8 SSP/AM          66    5210.70   N

    45     14108           LIENDA BARBOSA DA SILVA                                                    426686 ssp/AC             37    5374.30   N
    46     24346           LISVANIA DA SILVA SAAVEDRA                                                 1144964 SESDEC/RO         20    5584.70   N
    47     9000            LORENA PEREIRA PEIXOTO                                                     1403636885 SSP/BA         5     5858.70   N
    48     22217           LUANA DE ALCANTARA FEITOSA                                                 1075683-3 Rio Branco/AC   29    5424.50   N
    49     24323           LUCAS DIEGO FERREIRA MIRANDA                                               1209654 SSP/RO            32    5389.10   N
    50     18228           MAIELLY INÊS SENA DA SILVA                                                 9040946 SDS/PE            61    5244.10   N
    51     35453           MARCIO CHAVES DA SILVA                                                     11901497 SSP/AC           26    5479.20   N
    52     16034           MARIA CLARICE DOURADO DE OLIVEIRA                                          447464 SSP/AC/AC          75    5163.80   N
    53     25417           MARIA GLEICIANE SOUZA DA SILVA                                             1019837-7 ssp/AC          65    5211.30   N
    54     22319           MARIA ODETE CRUZ DAS CHAGAS                                                1182344-5 SSP/AC          42    5355.40   N
    55     16692           MARIA PALOMA DE LIMA IZALDINO                                              1077236-7 SSP/AC/AC       52    5300.80   N
    56     34490           MÁRIO ANTONIO SILVESTRINI FILHO                                            1848933-8 ssp/MT          46    5324.60   N
    57     3848            MAX RANDSON DE SOUZA E SOUZA                                               10855661 SSP/AC           70    5190.90   N
    58     4455            MELISSA SILVA DE LIMA                                                      1197755-8 SSP/AC          64    5215.90   N
    59     14607           MICHELLE DA VEIGA FUTERKO                                                  872126 SSP/RO             4     5890.90   N
    60     34698           MICHELLY ADANY REIS SILVA                                                  1196208-9 SSP/AC          13    5735.60   N
    61     32738           MURILO FERREIRA MAMEDE                                                     1839285-7 SSP/MT          17    5686.60   N
    62     39878           NATALICIA SILVA DE AZEVEDO                                                 1087715-0 fls/AC          250   4691.40   S
    63     32562           NEYSON DA SILVA CEZAR                                                      1127010-1 SSP/AC          41    5363.80   N
    64     25805           PATRCIA MARTINS FERREIRA                                                   1258078 SSP/RO            34    5381.00   N
    65     13750           PHILIPE SOARES RIBEIRO                                                     8626360 sds/PE            36    5377.70   N
    66     14158           RODRIGO SILVA ABATI                                                        910412 ssp/RO             30    5396.70   N
    67     807             RONIER FELIPE DA SILVA OLIVEIRA                                            1111925-0 SSP/AC          39    5371.60   N
    68     15219           ROSIENY DOS SANTOS OLIVEIRA                                                1015330 SSP/AC            73    5169.90   N
    69     23816           SABRINA MAIA SOUSA                                                         3783433 SSP/PB            40    5365.80   N
    70     26749           SARAH DE JESUS SOUSA ALBUQUERQUE                                           0313307120063 SSP/MA      62    5242.80   N
    71     17944           STHEFANY LORRANY NEPOMUCENO DOS SANTOS                                     2008010352151 SSPDS/CE    8     5808.30   N
    72     17692           TAYLA ABIORANA PIMENTEL                                                    1204536 SSP/RO/RO         55    5292.80   N
    73     15927           TAYSE ALVES MOURA                                                          17463149 SSPMG/MG         35    5380.70   N
    74     11661           THAINARA CRISTINY MACIEL VIANA                                             11401966 ssp/AC           44    5337.30   N
    75     1024            THALITA JANAINA VASCONCELOS DA COSTA                                       11957743 SSP-AC/AC        12    5736.70   N
    76     3482            THAYLA FERNANDA SOUZA SANTOS                                               1001270-2 ssp/AC          60    5260.50   N

np. fac.b / e ib la 2012/ ela o io /li a-ap o ado _po _c   o/                                                                                       26/64
06/01/12                                                        np. fac.b / e ib la 2012/ ela o io /li a-ap o ado _po _c   o/
    77     11655           WINNIE MARTINS DELGADO                                                     551529428 SSP/SP/SP              38          5373.90    N
    78     3896            YOLANDA YARA LOPES RICARDO                                                 409514 000000000000000/AC        53          5297.90    N
    79     2794            ZINHO SILVA GALVÃO                                                         10341560 SEPC/AC                 50          5315.90    N


                                                                85-Engenharia Florestal (Bacharelado) - CZS
    #      Inscri ão         Nom e                                                              Docum ento                        Classifica ão   Pontua ão   Pne
    1      31355             ADRIANA DA SILVA ALMEIDA                                           438315 SJSP/AC                    100             4302.70     S
    2      29232             ADRIANY DE HOLANDA VIEIRA                                          1150813-2 SSP/AC                  14              5222.60     N
    3      11188             ALESSON DALBOSCO DE LIMA                                           1135989 ssp/RO                    21              5085.60     N
    4      2839              ALINE CAVALCANTE DONATO                                            8679120 SSPE/PE                   42              4751.60     N
    5      21534             AMANDA VASCONCELOS DE BARROS                                       2007896177-1 ssp/CE               6               5557.80     N
    6      13942             ANA VIRGÍNIA DOS ANJOS                                             3211674 210708/PI                 28              4955.20     N
    7      3707              ANNE CAROLINE DAMASCENO                                            0400367850 MD/AM                  23              5046.40     N
    8      4189              BARBARA EMILIO DAMACENA                                            210439576 DETRAN/RJ               45              4703.90     N
    9      3130              BRENO MARIZ BATISTA DE ARA JO                                      003113006 SSP/RN                  22              5061.00     N
    10     10722             BRUNA CONRADO FERREIRA                                             3446924 SSP/PI                    17              5160.70     N
    11     8865              CHEILA SANTOS DE MELO                                              10861696 sjsp/AC                  11              5249.20     N
    12     4009              CLEICIANE LOPES DA SILVA                                           11408464 SJSP/AC                  29              4953.70     N
    13     24450             EMANUEL MENDES SOARES                                              2008009228280 SSPDS/CE            2               5739.00     N
    14     24455             FELIPE ROLIM FREITAS MOTA MAIA                                     2003002022422 SSPDS/CE            7               5496.20     N
    15     12385             FERNANDO ABREU OLIVEIRA                                            10746013 SSP/AC                   31              4933.90     N
    16     39778             FRANCISCA TEREZINHA FEITOSA BEZERRA                                1081793-0 SSP/AC                  33              4856.50     N
    17     15283             FRANCISCO ERIQUE OLIVEIRA DOS SANTOS                               1102545-0 ssp/AC                  47              4647.20     N
    18     25419             FRANK MONTEIRO DE SOUZA                                            455016 sjsp/AC                    12              5248.40     N
    19     5530              GABRIEL FELIPE VOGEL                                               99956054 ssp/PR                   26              4977.50     N
    20     14642             GENISLÂNDIA ALENCAR SOUSA                                          3009126 SSP/PI                    15              5183.30     N
    21     25896             GLEICIANE DA SILVA SOARES                                          1188599-8 sepc/AC                 36              4837.90     N
    22     10377             INDILA JAMILE RODRIGUES DA SILVA                                   1014591-5 SSP/AC                  40              4809.70     N
    23     11421             INGRID LORAINE ROCHA RIBEIRO                                       2649533-3 SSP/AC                  35              4846.40     N
    24     6991              ISAAK DE OLIVEIRA MACHADO                                          1234288 SSP/RO                    4               5613.90     N
    25     11213             JAINARA PEREIRA DE OLIVEIRA                                        3374020 28/11/09/PI               44              4709.20     N
    26     17788             JEFFERSON DO NASCIMENTO LIMA                                       1124216-7 SSP/AC                  24              5000.60     N
    27     23303             JOANA DE MATOS ARRAIS NETA                                         1621122204 SSP/BA                 13              5224.80     N


np. fac.b / e ib la 2012/ ela o io /li a-ap o ado _po _c   o/                                                                                                       27/64
06/01/12                                                        np. fac.b / e ib la 2012/ ela o io /li a-ap o ado _po _c   o/
    28     29653             JOÃO GLILSON OLIVEIRA VIEIRA                                       1020375-3 projeto cidadão/AC     34                  4853.50     N
    29     5642              JOSE FRANCISCO CHAVES DE MENEZES                                   1161107-3 ssp/AC                 39                  4811.70     N
    30     33388             JOSÉ REISSON DA SILVA VALENTE                                      11877111 SEPC/AC                 19                  5146.50     N
    31     17065             KELLY DE ALMEIDA RODRIGUES                                         3211823 SSP/PI                   30                  4950.10     N
    32     21557             LARA IANE LINS CAVALCANTI                                          2009010178133 SSPDS/CE           25                  4993.30     N
    33     24475             LUCAS BRAZ OLIVIER                                                 2007009195961 sspds/CE           16                  5181.70     N
    34     37781             LUZIVALDO DE ARAUJO SANTOS                                         1046813-7 0000/--                46                  4671.30     N
    35     20297             MA RA LEITE VILLARIM DIAS                                          3381157 SSP/PB                   9                   5449.50     N
    36     23287             MARIANA BATISTA PEREIRA                                            3110413 SSP/PI                   8                   5474.30     N
    37     36177             MICHAEL PAIVA DA SILVA                                             1140734-4 SSP/AC                 32                  4860.30     N
    38     9299              NELSON PARPINELLI DE CARVALHO                                      6309554-3 SSP/SP                 27                  4966.70     N
    39     24087             NOANNE MOURA CAMPOS                                                3343983 SSP/PI                   10                  5289.10     N
    40     19305             OMAR ROCHA ASSIS JUNIO                                             1066762-8 ssp/SP                 37                  4837.70     N
    41     20277             PAMELA PETROZIAN                                                   2003009082072 SSPDS/CE           41                  4772.80     N
    42     3250              PAULO CESAR SANTOS CIACCI                                          120904169-9 policia militar/AC   38                  4812.40     N
    43     37656             ROGÉRIO AMARAL MACIEL                                              1153317-0 ssp/AC                 5                   5566.20     N
    44     35026             ROMÁRIO ALVES GALVÃO                                               11562455 SSP/AC                  43                  4734.50     N
    45     38637             ROMULO MARTINS DE SOUZA                                            1104830-1 21/08/2007/AC          18                  5150.40     N
    46     26248             SHÁYRA ANNY MOURA BARBOSA                                          3406253 SSP/PI                   3                   5631.80     N
    47     39459             THIAGO PEREIRA SOUZA                                               10630953 ssp/AC                  20                  5104.20     N
    48     28366             WILTON RIBEIRO DE ALMEIDA FILHO                                    1552851494 SSP/BA                1                   6211.30     N


                                                                             177-Filosofia (Licenciatura)
    #      Inscri ão        Nom e                                                                        Docum ento                  Classifica ão   Pontua ão   Pne
    1      31663            ADRIJÉSSICA DE LIMA VIANA                                                    11283475 SSP/AC             29              5516.10     N
    2      31434            ÁFILA DE OLIVEIRA ALVES                                                      1081472-8 SSP/AC            44              5235.20     N
    3      37932            ALARICE BOTELHO NUNES                                                        10103813 SSP/AC             22              5601.80     N
    4      39601            AMANDA CAROLINA BEZZONI                                                      10634851 SSP/AC/AC          54              5137.70     S
    5      40209            ANTONIO FRANCISCO FERREIRA LIMA                                              404843 NAO/AC               39              5278.60     N
    6      17295            ARIANA DA SILVA ALENCAR                                                      363303 SSP/AC               43              5239.30     N
    7      12969            ARLLEY MARIO PEREIRA MACIEL                                                  1012764-0 ssp/AC            19              5696.60     N
    8      26630            BENEDITA DOMINGOS DA SILVA                                                   432427 SSP/AC               28              5540.40     N
    9      39349            CAIQUE SANTOS MELO                                                           3258826 SSP-PI/PI           38              5290.80     N

np. fac.b / e ib la 2012/ ela o io /li a-ap o ado _po _c   o/                                                                                                          28/64
06/01/12                                                        np. fac.b / e ib la 2012/ ela o io /li a-ap o ado _po _c   o/
    10     33637            CARLOS DE OLIVEIRA GIRALDI                                                   645731 iissp/RO           14   5945.70   N
    11     34769            CLEMILDA DE GOES SILVA                                                       199.834 SSP/AC/AC         46   5202.10   N
    12     18364            CLERMON ANDERSON MOURA NOGUEIRA                                              419970 ssp/ac/AC          20   5679.40   N
    13     34022            CLEUSSONCLEY NASCIMENTO DO CARMO                                             240108 SSP/AC             35   5376.90   N
    14     36975            DOGIVAL DE MELO DOURADO                                                      294249 ssp/AC             41   5255.20   N
    15     36411            ELDER DA SILVA MOURA                                                         332798 SSP/AC             11   6185.90   N
    16     9493             ELITON FAGUNDES HERMINIO                                                     10877100 SSP/AC           37   5355.00   N
    17     12183            ELLEN VIRGÍNIA ESPÍNDOLA PITTA                                               1069487-0 ssp/AC          13   6043.50   N
    18     39280            FÁBIA RENATA MONTENEGRO SILVA                                                0259334 SSP/AC            21   5654.70   N
    19     30150            FABIO PEREIRA DOS SANTOS                                                     449593 ssp/AC             18   5818.90   N
    20     28252            FERNANDA KELLY BARBOSA DA SILVA ALVES                                        2001099170000 ssp/CE      15   5932.80   N
    21     37194            FILIPE DE SOUZA CASTELO BRANCO                                               2008009158452 ssp ce/CE   30   5474.90   N
    22     31709            GARDENIO RELXSON MARTINS CLAUDIO                                             0335444 SSp AC/AC         7    6327.40   N
    23     26153            GEISIELLY RIBEIRO SOARES                                                     2006002092506 ssp ce/CE   8    6221.90   N
    24     28454            GIGLIANE DE MOURA SILVA                                                      10345205 SSP/AC           26   5549.10   N
    25     25221            HEYDER DE MELO COELHO                                                        0278315 SSP/AC            34   5389.60   N
    26     37538            ISMAEL CARLOS SILVA E SILVA                                                  11237007 ssp/AC           42   5248.00   N
    27     34203            JAMAICA MOURA DOS SANTOS MILHOMENS                                           351562 SSP/AC/AC          47   5198.20   N
    28     31903            JARDESSON CARVALHO OLIVEIRA                                                  1061530-0 SSP/AC          3    6432.80   N
    29     13716            JEFERSON BATISTA DE OLIVEIRA CAVALCANTE                                      414881 ssp/AC             1    6559.90   N
    30     24098            JOSÉ DOURADO DE SOUZA                                                        0048356 SSP/AC            32   5463.30   N
    31     11119            KENNEDY SOUZA DA ROCHA                                                       470267 SSP/AC             23   5599.70   N
    32     30706            LEONARDO NOGUEIRA                                                            m8185698 ssp/MG           24   5595.60   N
    33     38518            LUIZ ANTONIO ALMEIDA FERNANDES                                               737408 SSP/RN             2    6521.50   N
    34     22274            MAÍRA MENEZES BEZERRA ARA JO                                                 10677755 SSP/AC           17   5880.70   N
    35     26220            MARCELO SOUZA DA ROCHA ALVES                                                 417022 ssp /AC            10   6199.70   N
    36     22329            MARCOS ANDERSON SILVA CORREIA                                                1621174 SSP/AL            16   5929.20   N
    37     14167            MARIA DE FATIMA FERREIRA DA SILVA                                            090756 SSP/AC             9    6199.90   N
    38     31146            MARIA RAULIANE SILVA DE LIMA                                                 1126268-0 SSP/AC          25   5556.70   N
    39     39902            MARIA RITA DE CASSIA AMORIM RODRIGUES                                        1104747-0 ssp/AC          5    6348.30   N
    40     40249            MICHELE DE ARA JO VILA NOVA                                                  398265 SSP/AC             45   5229.50   N
    41     23836            MOISÉS CAMPOS BEZERRA                                                        393642 SSP/AC             12   6084.30   N
    42     20285            PEDRO ANGELO DE FIGUEIREDO ALMEIDA PASSOS                                    2009010083736 SSPDS/CE    4    6389.80   N


np. fac.b / e ib la 2012/ ela o io /li a-ap o ado _po _c   o/                                                                                         29/64
06/01/12                                                        np. fac.b / e ib la 2012/ ela o io /li a-ap o ado _po _c   o/
    43     10662            RENIS RAMOS SILVA                                                            560822 ssp/RO          27              5544.60     N
    44     10716            RICARDO ALEXANDRE FERNANDES                                                  1202440 CBMAC/AC       6               6343.40     N

    45     29009            RICHARDSON NASCIMENTO DA SILVA                                               364710 SJSP/AC         36              5355.10     N
    46     20861            RONYER CRUZ DE SOUZA                                                         10255575 ssp/AC        40              5256.90     N
    47     23898            SAMON DA SILVA ALENCAR                                                       11137290 SSP/AC        33              5431.80     N
    48     21953            SUSY SOUZA DA ROCHA SILVA                                                    444562 ssp/AC          31              5463.90     N
    49     31526            VERONICA DOS SANTOS FORTES                                                   377392 SSP/AC/AC       182             3164.10     S


                                                                                 84-F sica (Licenciatura)
    #      Inscrição        Nom e                                                            Docum ento                         Classificação   Pontuação   Pne
    1      29078            AILTON SANTOS DA SILVA                                           157965 ssp/AC                      11              6403.80     N
    2      32906            ALEXANDRE DE ASEVEDO COSTA                                       310116 ssp/AC                      33              5847.00     N
    3      3805             ALEXSANDRO DE FARIAS FERREIRA                                    1111652 SSP AC/AC                  38              5714.40     N
    4      28574            ANDRÉ VINICIUS BARCELLOS GUTERRES                                5108056689 SJS/RS                  26              5912.20     N
    5      6217             ANDREY GONÇALVES DE OLIVEIRA                                     10529241 ssp/AC                    24              6089.80     N
    6      23710            ANTONIO BENICIO DE SOUSA J NIOR                                  8240248 SDS/PE                     17              6277.60     N
    7      23921            BEATRIZ TSUJI NUNES                                              479672075 SSP/SP                   36              5803.10     N
    8      648              BRUNA CRISTINA OLIVEIRA LOUREIRO                                 11748435 SSP/AC                    10              6488.30     N
    9      23815            BRUNA GABRIELA DA SILVA                                          32.720.701-2 ssp/SP                21              6203.40     N
    10     5630             CLÁUDIO ALVES ROCHA FILHO                                        11219432 ssp /AC                   30              5864.70     N
    11     31792            DJALMA SANTIAGO DE LIMA                                          10728716 ssp/AC                    44              5578.90     N
    12     34256            EDCLEI DA SILVA BEZERRA                                          11595205 SSP/AC/AC                 3               7189.90     N
    13     6400             EDNSHIRLEYS DA SILVA CAVALCANTE                                  198875 SSP/AC                      47              5543.40     N
    14     24581            ELIAS LIMA MOURA                                                 10347909 31/12/2008/AC             35              5832.40     N
    15     15279            FRANCISCO RAIGI VIEIRA DA SILVA                                  231119 ssp/AC                      46              5547.40     N
    16     1608             GENIVALDO PINHEIRO DA SILVA                                      223864 SSP/AC                      15              6321.50     N
    17     15287            HELIO RUBENS MENEZES                                             0301212 SSP/AC/AC                  8               6598.40     N
    18     34327            HILDO FERREIRA DE ALMEIDA JUNIOR                                 7038958-4 SSP/PR                   4               6897.30     N
    19     28904            ISRAEL DE SOUZA FERREIRA                                         1010848-3 sspac/AC                 13              6390.80     N
    20     17068            ITALO ROCHA DE SENA                                              11040017 SSP/AC                    12              6401.20     N
    21     35810            JESSYKA SOARES ALMEIDA MARTINS LUZ                               2005009125444 ssp ce/CE            2               7250.40     N
    22     23598            JOAO PAULO DA CUNHA SOARES                                       1142895-3 000000000000000/AC       32              5847.50     N
    23     13514            JOSÉ ALISON CASTRO DA SILVA                                      1030478-9 ssp ac/AC                43              5598.40     N
    24     15499            JOSE BARROS ROCHA                                                6466199 SSP/SP                     45              5565.60     N

np. fac.b / e ib la 2012/ ela o io /li a-ap o ado _po _c   o/                                                                                                     30/64
06/01/12                                                        np. fac.b / e ib la 2012/ ela o io /li a-ap o ado _po _c   o/
    25     26883            JOSÉ FRANCISCO OLIVEIRA SILVA                                    1133384-7 sjsp/AC                  28              5878.30     N
    26     9884             JOSIMAR SOARES DE SOUZA                                          11025107 ....../AC                 27              5904.60     N
    27     1247             KELLEM DE SOUZA CARVALHO                                         1043518-2 SSP/AC                   25              5923.60     N
    28     24472            KELVIN ALEF DE SALES SILVA                                       2006010036962 SSPDS/CE             1               7698.80     N
    29     6043             KEYLLA SOUZA CARVALHO                                            10434410 SSP/AC                    23              6102.00     N
    30     15734            LEANDRO CABRAL BANDEIRA                                          1100271-9 SSP/AC                   22              6166.60     N
    31     33344            LEANDRO DE SOUZA RODRIGUES                                       2441396-8 SSP/AM                   6               6657.40     N
    32     8843             LUAN OLIVEIRA SOUSA                                              1055341-0 SSPAC/AC                 31              5863.80     N
    33     21865            LUIZA JORDANIA SERAFIM DE ARAUJO                                 3691621 ssds/PB                    20              6234.70     N
    34     15230            MAGILA SOARES DA SILVA                                           10354840 SSP/AC                    41              5622.20     N
    35     20247            MARIANA POMPEU DE SOUSA BRASIL                                   2008009136262 sspds/CE             7               6656.10     N
    36     6091             MILENA DE HOLANDA FERNANDES                                      0178419 ssp/AC                     19              6255.80     N
    37     9540             NADIA CARVALHO MELO JUNQUEIRA                                    173582 SSP/AC                      37              5772.80     N
    38     14115            RAIMUNDO MARTINS DA SILVA                                        214309 ssp/AC                      39              5709.60     N
    39     5942             RAISSA FERNANDES GUERRA                                          400486 SSP-AC/AC                   42              5610.80     N
    40     35249            ROBSON FERREIRA DAS CHAGAS                                       11079649 ssp/AC                    18              6267.00     N
    41     1031             SALATIEL PERES DE CARVALHO                                       448384 ssp/AC                      5               6763.10     N
    42     27416            SARA ARA JO SILVA DE MELLO                                       099360 SSP/AP                      9               6589.80     N
    43     17473            SILVANA DA SILVA COSTA                                           11169010 ssp/AC                    40              5644.40     N
    44     6060             THÁIS NASCIMENTO DE BRITO                                        1140139-7 SSP/AC/AC                16              6285.80     N
    45     21977            WALISON FERREIRA SALES                                           1163506-1 SSP/AC                   34              5839.30     N
    46     23359            WILLIAN FELIPE MEDEIROS ALVES                                    1106909-0 ssp/AC                   29              5867.20     N
    47     376              YONAIRA CAROLINA RAMOS ROCHA                                     1045024-6 ssp/AC                   14              6336.60     N


                                                                             22-Geografia (Bacharelado)
    #      Inscri ão         Nom e                                                                    Docum ento                Classifica ão   Pontua ão   Pne
    1      22417             ALINNE GOMES SOARES                                                      10013911 SSP/AC           32              4632.70     N
    2      34484             AMANDA ORTIZ PARENTE                                                     11356251 SSP/AC           16              5010.80     N
    3      23541             ANDRE FAN ZHONG                                                          2007841813-0 ssp/CE       4               5563.40     N
    4      29672             ARIANA DE OLIVEIRA PONTES                                                467716 SSP/AC             30              4641.00     N
    5      22426             ARIEL MARTINS ANDRE                                                      2004010095520 ssp ce/CE   8               5359.00     N
    6      14052             BRUNA DE SOUSA MOURA FÉ                                                  3.135.507 ssppi/PI        33              4619.60     N
    7      29249             CAIRON TORRES DE ARAUJO                                                  0296848 ssp/AC            65              4184.00     S

np. fac.b / e ib la 2012/ ela o io /li a-ap o ado _po _c   o/                                                                                                     31/64
06/01/12                                                        np. fac.b / e ib la 2012/ ela o io /li a-ap o ado _po _c   o/
    8      13092             ELISGARDENE ARA JO DE SOUZA                                              1171320-8 ssp ac/AC        21   4801.90   N
    9      15444             EPHREN RODRIGO DA SILVA LIMA                                             338217 ssp/AC              9    5296.20   N
    10     27007             FERNANDO ALVES DE ARAUJO                                                 1061123 ssp/ac/AC          38   4567.70   N
    11     27247             FRANCISCO AMISTERDAN DE SOUZA DA SILVA                                   100665986 ssp/AC           20   4805.70   S
    12     26321             FRANCISCO MATHEUS SANTIAGO BARBOSA                                       2007594639-9 SSP/CE        2    5764.60   N
    13     31746             GLÁUCIA ALBUQUERQUE DA SILVA                                             1072717-5 SSP/AC           11   5246.00   N
    14     1650              HÉVILA GADELHA LIMA                                                      10458123 SSP/AC            23   4792.80   N
    15     38119             IDALINA AMARAL DA SILVA                                                  459217 ssp/AC              14   5064.20   N
    16     19867             ISADORA DE SANTANA SILVERIO                                              20078149007 SSPDS/CE       7    5412.00   N
    17     27172             JOHN MILLER DA SILVA HOLANDA                                             1112948-4 ssp/ac/AC        15   5027.80   N
    18     37334             JORGE LUCAS RIBEIRO DE LIMA                                              2008009232008 ssp ce/CE    5    5551.10   N
    19     5973              JOSE ARTENES DE SOUZA LIMA                                               0238881 ssp/AC             6    5416.70   N
    20     17852             JOSE LUIZ MACIEL DE OLIVEIRA                                             1137270-2 SPAC/AC          17   4894.10   N
    21     37149             LEIDIANA LOPES DA SILVA                                                  1200510-8 SSP/AC           35   4579.60   N
    22     19978             LOUISE GARCIA XEREZ SILVA                                                2008009094098 SSPDS/CE     12   5229.10   N
    23     18630             LUCIANA ALVES MAGALHÃES                                                  10179348 sesp/AC           24   4788.70   N
    24     18282             MÁRCIA CLEIDE FRANCELINO DE SANTANA                                      0309541 ssp/AC             25   4738.80   N
    25     20899             MARIA LUIZA OSORIO AVELINO                                               396873 SSP/AC              27   4723.90   N
    26     24165             MARIA RAIMUNDA BARROS DE SOUZA                                           11427710 SSAP/--           22   4800.70   N
    27     14677             MARIA SOLANGE COSTA BATISTA                                              311638 ssp/AC              37   4573.20   N
    28     37451             MATEUS BUENO PONTE DE MATOS                                              1000693554 ssp ce/CE       19   4851.50   N
    29     20253             MATHEUS DE FREITAS LEAL LOPES                                            2006009127569 SSPDS/CE     1    6287.30   N
    30     35846             MATHEUS PIMENTA FELICIO SALDANHA                                         2007009107051 ssp ce/CE    3    5567.50   N
    31     26032             NATAN TORREJON VALENTE                                                   1111715-0 ssp/AC           10   5286.80   N
    32     4234              NATANAEL MELO MONTEIRO                                                   1199369-3 delegacia/AC     29   4671.80   N
    33     38249             PÂMELA MOURA DA SILVA                                                    1062511-9 SSP/AC           26   4725.20   N
    34     23014             ROMÁRIO SILVA DOS SANTOS FREITAS                                         11238828 ssp/AC            28   4688.00   N
    35     21245             TATIANE MENDONÇA DE LIMA                                                 1145400-8 sspac/AC         18   4891.60   N
    36     12278             VALCIENNE SEGOBIA SALES                                                  443519 Rio Branco /Ac/AC   36   4577.30   N
    37     35359             VANILSON DA SILVA BRITO                                                  453693 ssp Ac/AC           34   4590.40   N
    38     29247             WAGNER DE JESUS GALLO                                                    0920205500 SSP/BA          13   5180.10   N
    39     2721              WILLYANE MELO UCHÔA                                                      1059130-3 ssp/AC           31   4633.10   N




np. fac.b / e ib la 2012/ ela o io /li a-ap o ado _po _c   o/                                                                                       32/64
06/01/12                                                        np. fac.b / e ib la 2012/ ela o io /li a-ap o ado _po _c   o/

                                                                             09-Geografia (Licenciatura)
    #      Inscri ão         Nom e                                                                    Docum ento                Classifica ão   Pontua ão   Pne
    1      8985              ANA CRISTINA DE FREITAS LEITE                                            10211071 SSP/AC           33              4797.50     N
    2      24209             ARTUR ROMERO SANTOS RODRIGUES                                            2390804 SSP/PI            13              5122.20     N
    3      30044             BRUNO GABRIEL DA SILVA GOMES                                             345634 ssp/ac/AC          44              4658.50     N
    4      17236             CAIO GOMES DA SILVA                                                      10770852 SSP/AC           8               5217.40     N
    5      24198             CARLOS RANGEL DE SOUSA                                                   3251605 SSP/PI            4               5324.20     N
    6      22459             CELIO VIANA DA SILVA JUNIOR                                              2007002089228 SSP/CE      17              5059.20     N
    7      2323              CL UDIO ANDRÉ MENDES DE FREITAS                                          1075370-2 SSP/AC          28              4855.40     N
    8      13895             CRISTIANY OLIVEIRA PEREIRA ALBUQUERQUE                                   10439005 SSP/AC           24              4901.00     N
    9      35583             DANIELLE NASCIMENTO DA COSTA RAMOS                                       356026 ssp/AC             21              4937.60     N
    10     33857             DIONE DA SILVA COSTA                                                     334052 ssp/AC             23              4909.30     N
    11     38439             ELISSAMA FERREIRA DO VALE                                                1009574-8 ssp/AC          42              4712.40     N
    12     15495             ELIVELTON MENEZES PASSOS                                                 1103474-2 ssp/AC          29              4834.50     N
    13     35667             FABIO SILVA DE LIMA                                                      363356 SSP/AC             15              5105.90     N
    14     1994              FRANCISCO MENDES DE ARAUJO                                               201421 SSP/AC             3               5335.50     N
    15     37357             GERBSISON DE OLIVEIRA BARBOSA                                            451479 ssp/AC             30              4820.50     N
    16     37956             GERCIANO LIMA DE SOUSA                                                   1022399-1 01/04/2004/AC   41              4725.40     N
    17     16941             GLEICIANE DA SILVA                                                       10177981 ssp/AC           34              4794.60     N
    18     33622             JAMES DOS SANTOS DE SOUZA                                                10675523 ssp/AC           31              4815.80     N
    19     30327             JAQUELINE SANTOS PEQUENO DA SILVA                                        11410167 SJSP/AC          32              4803.90     N
    20     18472             JEFERSON BECKMANN PINNO                                                  1098993-5 SSP/AC          19              5018.50     N
    21     257               JORGE SILVA GONGALEZ                                                     376090 SSP/AC             25              4891.80     N
    22     11816             JOSÉ ALMEIDA DA SILVA                                                    1121771-5 ssp/AC          26              4860.20     N
    23     32638             JOSE LUCAS OLIVEIRA DA SILVA                                             11391715 sejusp/AC        45              4658.50     N
    24     35216             JOSIAS DE SOUSA SILVA                                                    0289445 ssp/AC            18              5019.50     N
    25     23479             LIZANY DOS REIS SILVEIRA                                                 1027337-9 ssp/ac/AC       35              4793.00     N
    26     9750              LUAN DA SILVA ALMEIDA                                                    6365859 dpf/PA            11              5169.50     N
    27     20674             LUANA DA SILVA DE FREITA                                                 1171469-7 ssp/AC          10              5200.40     N
    28     24118             LUCAS DOS SANTOS TEIXEIRA                                                1085935-7 SSP/AC          20              4946.10     N
    29     11318             LUCIANA DE OLIVEIRA SOUZA                                                1159461-6 ssp/AC          43              4662.70     N
    30     26113             LUCIANO BRASIL DA SILVA                                                  362084 SSP-AC/AC          7               5249.10     N
    31     7729              MARCIANA ROS RIO DE SALES                                                10630490 ssp/AC           16              5090.00     N

np. fac.b / e ib la 2012/ ela o io /li a-ap o ado _po _c   o/                                                                                                     33/64
06/01/12                                                        np. fac.b / e ib la 2012/ ela o io /li a-ap o ado _po _c   o/
    32     30123             MARINALDA DE PAULA SILVA DE MELO                                         226490 SSP/AC                  47                   4654.30      N
    33     11312             NATHAN PEREIRA DOURADO                                                   476372549 ssp/SP               1                    5638.70      N
    34     29149             OZIEL FERREIRA ROSA                                                      11296844 SSP/AC                46                   4655.90      N
    35     10570             PÂMELA CRISTINA ARA JO MIRANDA                                           1139379-3 SSP/AC               5                    5301.10      N
    36     19190             PEDRO JOSÉ DOS SANTOS FILHO                                              0254474 sspac/AC               39                   4751.40      N
    37     18919             QUILVIA SUELY RODRIGUES                                                  11185872 ssp/AC                40                   4729.10      N
    38     36703             RAIFRAN SANTOS DE SOUZA                                                  219956 SSP/AC                  9                    5206.50      N
    39     34548             RAIMUNDA DA COSTA VIANA                                                  10709045 SSP/AC                37                   4787.10      N
    40     34592             RODINEY FELIPE DA SILVA SOUZA                                            10592920 ssp/AC                36                   4787.40      N
    41     17606             ROMULO GARCIA DA ROCHA                                                   21154619 ssp/AC                38                   4784.10      N
    42     20811             TALITA SILVA DUARTE                                                      1100608-0 ssp/AC               6                    5271.10      N
    43     22865             THAINA BRUNA FRANCA DA SILVA                                             10599436 SSP/AC                12                   5167.90      N
    44     20225             THAIS BEZERRA SOUZA                                                      1113167-5 Rio Branco/AC        14                   5122.00      N
    45     15995             VALDEIR DOS SANTOS SOUZA                                                 5534729 policia civil/PA       27                   4857.50      N
    46     19690             WESLY ROCHA DE OLIVEIRA                                                  1052640-4 SSP/AC               2                    5418.70      N
    47     26764             YARA CRISTINA SILVA DOS SANTOS                                           11062592 ssp/AC                22                   4927.70      N


                                                                       10-Hist ria/Matutino (Licenciatura)
    #      Inscrição       Nom e                                                                           Docum ento                     Classificação    Pontuação   Pne
    1      9503            ADRINE CUNEGUNDES REGO                                                          1035085-3 SSPA/AC              5                6078.90     N
    2      21525           ALAN MEDEIROS SANTOS                                                            20075150705 ssp/CE             10               5843.90     N
    3      9216            ALANA ARA JO                                                                    12032620 Tarauacá /AC          31               5436.60     N
    4      37007           ANA CAROLINA MESQUITA DE CARVALHO                                               2004007044872 ssp ce/CE        13               5688.50     N
    5      31626           ANA CLAUDIA ARMES DO NASCIMENTO                                                 11253436 ssp/AC                45               5318.60     N
    6      35035           ANDRÉ PINTO DA SILVA                                                            345700 SSP/AC                  35               5401.90     S
    7      17577           ANDRESSA MORAIS CAMPOS                                                          1139349-1 23/03/1994/AC        7                6039.00     N
    8      39414           CAMILA ROCHELLE DE ARA JO GOMES                                                 1198066-4 SSP/AC               8                5911.00     N
    9      1301            CARLA ARIELA LUZ QUIRINO GUIMARÃES                                              1077277-4 ssp/ac/AC            2                6142.60     N
    10     28784           CÉLIA SANTOS DA SILVA                                                           1178193-9 ssp/AC               42               5345.30     N
    11     24580           CINDY MENDES DA SILVA                                                           1028791-4 SSP/AC               28               5444.10     N
    12     1532            CRISTY ELLEN VANESSA DO NASCIMENTO FERREIRA                                     1064860-7 SSP/AC               3                6137.30     N
    13     18124           DIEIME LOPES DE SOUZA                                                           10284060 SSP/AC                46               5314.80     N
    14     19870           JACKSON CLERTON DA SILVA CHAGAS                                                 2006032016719 SSPDS/CE         29               5443.80     N

np. fac.b / e ib la 2012/ ela o io /li a-ap o ado _po _c   o/                                                                                                                34/64
06/01/12                                                          np. fac.b / e ib la 2012/ ela o io /li a-ap o ado _po _c   o/
    15     39856           JAQUELINE FILGUEIRA DE MELO OLIVEIRA                                              11439092 ssp/AC           26   5504.60   N
    16     4231            JESSICA ALVES MARQUES DA COSTA                                                    339071 SSP/AC             15   5664.50   N
    17     18057           JESSICA MARQUES RODRIGUES                                                         10913815 SSP/AC           19   5628.10   N
    18     1089            JHEINY SILVA CRAVALHO                                                             10848681 SSPAC/AC         44   5329.80   N
    19     14939           JOAQUIM FRANCISCO RIBEIRO NETO                                                    230963341 SSP/SP          1    6266.10   N
    20     10520           JÔNATAS RODRIGUÊS DANTAS                                                          1019958-6 SSP/AC          6    6062.00   N
    21     23784           JULIANA ANDRESSA CORDEIRO SILVA                                                   11249463 SSP/AC           22   5595.70   N
    22     4796            KAMILA ALVES DA SILVA FIGUEIREDO                                                  445905 SSP/AC             24   5523.70   N
    23     31576           LAURA NERY MAGALHÃES                                                              1014008-5 SSPAC/AC        34   5407.30   N
    24     35333           LUCIANNE DA SILVA SOUZA                                                           423574 ssp/AC             14   5683.30   N
    25     31863           LUIS FERNANDO NASCIMENTO LIMA                                                     363250 SSP/AC             37   5380.70   N
    26     37307           MARIA JERCILENE MOTA DE SOUZA                                                     0248339 SSP/AC/AC         38   5373.10   N
    27     34761           MARIA JOSE DA SILVA ARAUJO                                                        10744550 SSP/AC           20   5615.40   N
    28     28713           MARIA MANUELA DE ALMEIDA                                                          1307934340 SSP/BA         11   5741.20   N
    29     37130           MARSELLA HORTENCIA SOUZA E SOUZA                                                  10268502 spp/AC           40   5351.40   N
    30     37984           MARTA DE SOUSA VIEIRA                                                             403857 ssp/AC             98   4889.70   S
    31     11523           MELISSA EMILY SOUZA DE ARA JO                                                     1096097-0 SSP-AC/AC       16   5657.00   N
    32     25366           MICHELE LIMA ANDRADE                                                              11253142 ssp/AC           21   5602.90   N
    33     706             NATALIA PEREIRA DOS SANTOS                                                        11092238 SSP/AC           36   5397.50   N
    34     923             OLGA MIRIAN ALVES PEREIRA                                                         1012681-3 SSP/AC          9    5846.70   N
    35     26634           RAISAN LUCAS SOUZA DE LIMA                                                        1048105-2 sejusp/AC       30   5437.60   N
    36     36564           RAISSA DOS SANTOS BARBOSA                                                         10276670 SSP/AC           27   5478.50   N
    37     15286           RAIZA BELO NOGUEIRA                                                               467282 sspac/AC           23   5546.80   N
    38     29405           RANGEL DE SOUZA MORAES                                                            10247033 ssp/AC           33   5414.90   N
    39     36672           RAVEL DE SOUZA MORAES                                                             10246975 ssp-ac/AC        12   5689.60   N
    40     40081           RICARDO TOMÁS FERREIRA PEREIRA                                                    1063102-0 SSP/AC          43   5341.50   S
    41     40005           ROSINEIDE SILVA LAGO                                                              219458 SSP/AC             47   5310.90   N
    42     16805           SILVANA DOS REIS NASCIMENTO                                                       10169326 SSP/AC           32   5431.10   N
    43     6815            SUSE FLOR AMORIM                                                                  1055663-0 SSP/AC          41   5345.80   N
    44     15003           TAINARA PEREIRA ARGOLO                                                            1206348 SSP/RO            25   5518.90   N
    45     37277           VAGNER DA SILVA ANDRADE                                                           1039293-9 sspac/AC        39   5370.50   N
    46     37814           VANESSA DIAS DE CARVALHO QUARESMA GAMA                                            2006002125200 ssp ce/CE   4    6115.90   N
    47     19347           VERIDIANA SANTOS DA COSTA                                                         1074063-5 ssp/AC          18   5635.60   N


np. fac.b / e ib la 2012/ ela o io /li a-ap o ado _po _c   o/                                                                                             35/64
06/01/12                                                        np. fac.b / e ib la 2012/ ela o io /li a-ap o ado _po _c   o/
    48     34989           VIVIANE GONÇALVES DE ARA JO                                                     323456 SSP/AC            17          5642.20     N

                                                                        24-Hist ria/Noturno (Licenciatura)
    #      Inscrição         Nom e                                                                 Docum ento                   Classificação   Pontuação   Pne
    1      25893             ADRIANA DOS SANTOS COSTA                                              466080 SSP/AC                20              5800.10     N
    2      9174              ALCEU AGUIDO DA SILVA JUNIOR                                          459517 ssp/AC/AC             1               6488.10     N
    3      19446             ALDENORA FERREIRA DE SALES DA SILVA                                   150512 SSP-AC/AC             44              5553.90     N
    4      22968             ALLEY ANGELO LOPES SOARES                                             436036 SSP/AC                3               6274.40     N
    5      24617             ANTONIO VAGNER DE SOUZA PAIVA                                         454468 SSP/AC                2               6455.50     N
    6      31884             APOENNA OLIVEIRA DE SOUSA                                             0272811 SSP/AC               16              5903.80     N
    7      26912             BENEDITO TAYLON ARA JO COLOMBO                                        10062890 SSP/AC              35              5614.70     N
    8      19854             BRUNA MESQUITA BURLAMAQUI                                             2008010167087 SSPDS/CE       5               6218.50     N
    9      230               DANIA CAMPOS FELIX BRITO                                              0235141 SSP/AC               37              5605.00     N
    10     37380             DARCIFRAN DE MORAES EDUINO                                            355447 ssp/AC                23              5740.30     N
    11     1826              ELCIMAR SILVA FREITAS                                                 1098866-1 SSP/AC             39              5581.80     N
    12     35128             ELZA TAIS VIANA DE ARAUJO                                             10178279 SSP/AC/AC           43              5559.60     N
    13     10013             EVILÁZIO GOMES DA SILVA                                               242407 SSP/AC                10              6094.20     N
    14     5185              FLAVIA EVANGELISTA FELIPE                                             1062415-5 Ac/AC              31              5664.50     N
    15     18219             FRANCISCO RAMOS DOS SANTOS FILHO                                      20573616-6 SSP/SP            17              5850.50     N
    16     25125             GABRIELA OLIVEIRA DA SILVA                                            1029628-0 SJSP/AC            15              5933.00     N
    17     38060             GEOWANY GALDINO ALVES                                                 460784 SSP/AC                9               6146.30     N
    18     32429             IGO ANDRADE DE MELO                                                   10006516 SSP/AC              34              5618.50     N
    19     36450             JAIANDRA GONÇALVES DE ARAUJO                                          1054008-3 SSP/AC             512             3620.10     S
    20     37014             JARDEL COSTA ANGELIM                                                  10141987 SSP/AC              36              5605.50     N
    21     18964             JHONNY WESLEY SANTANA LIMA                                            1076354-6 SSP/AC             40              5578.80     N
    22     31143             JOÃO ISAQUE FARIAS DA SILVA                                           448011 SSP/AC                41              5576.30     N
    23     35834             JOSÉ CAINÃ PEDROSA MACIEL                                             10680349 sejusp/AC           13              5947.10     N
    24     9913              JOSE DA CRUZ CAPPER DE SOUZA                                          238277 SSP-AC/AC             30              5683.10     N
    25     10920             JOSÉ PAULO THIAGO                                                     1158364 SSP/RO/RO            21              5793.80     N
    26     21698             JULIO CESAR DE LIMA SOUZA                                             11345535 sejesp/AC           32              5634.20     N
    27     1879              KARINE PAMELA SILVA E SILVA                                           11139412 ssp/AC              29              5707.30     N
    28     27285             LETICIA THAYNÃ DE QUEIROZ ALVEZ                                       11813024 SSP AC/AC           8               6176.80     N
    29     26274             MANOEL MECIAS MODESTO DE LIMA                                         10569650 SSP/AC              26              5727.90     N
    30     16643             MARCELA SOUZA DE OLIVEIRA                                             450264 SSSP/AC               12              5959.00     N

np. fac.b / e ib la 2012/ ela o io /li a-ap o ado _po _c   o/                                                                                                     36/64
06/01/12                                                         np. fac.b / e ib la 2012/ ela o io /li a-ap o ado _po _c   o/
    31     30028             MARIA OCIVANDA ARA JO DE OLIVEIRA                                      217459 SJSP/AC               38              5592.50     N
    32     20280             MICHAEL MANOARES MARTINS                                               1124768-1 SSP/AC             45              5553.80     N
    33     35340             NAIANE JACO DE BRITO                                                   11103841 ssp/AC              18              5835.30     N
    34     24608             OSIEL PESSOA DE SOUZA                                                  420101 ssp/AC                19              5816.30     N
    35     579               RAIMUNDO NONATO FRANCALINO DA ROCHA                                    275232 SSP/AC                22              5771.10     N
    36     39449             REBECA DIOMARA DA SILVA                                                10477942 SSP/AC              7               6187.40     N
    37     3043              RENATA NASCIMENTO MARQUES                                              464673 ssp/AC                46              5547.50     N
    38     16109             RICARDO PEDROSA DE MOURA                                               287333 SEC. DE SEG.PUB/AC    14              5938.70     N
    39     33768             ROGÉRIO SOARES DA FONSECA                                              461127 ssp/AC                24              5735.50     N
    40     2218              RÔMULO PEDROSA RIBEIRO MENDES                                          MG 11737023 SSP/MG           33              5624.80     N
    41     2893              ROSELI DA SILVA BORGES                                                 1007219-5 ESJ/AC             27              5724.30     N
    42     16089             ROSILENE PITA DA COSTA                                                 10125213 ssp/AC              47              5546.90     N
    43     8858              ROSILENE SOUZA DE LIMA                                                 352583 ssp/AC                42              5572.10     N
    44     33321             SAMUEL FREITAS CAMPOS                                                  10412530 ssp/ac/AC           84              5315.40     S
    45     36180             SAMUEL LUIZ FEITOSA CAVALCANTE                                         2008010248060 ssp ce/CE      6               6215.20     N
    46     17433             SEBASTIÃO DA SILVA RAFAEL                                              10591451 SSP/AC              28              5715.90     N
    47     29847             VICTOR BARBOSA MAPURUNGA MATOS                                         2007009126803 SSP/CE         4               6220.50     N
    48     14513             WILIANE GERMANO FLORENCIO                                              11165782 uf/AC               25              5729.00     N
    49     26687             YURI NOGUSHI RODRIGUES YAMADA                                          001944703 SSP/RN             11              6045.50     N


                                                                      91-Hist ria/Vespertino (Bacharelado)
    #      Inscrição        Nom e                                                                  Docum ento                    Classificação   Pontuação   Pne
    1      12559            ACÁCIO FERNANDO DE OLIVEIRA SOUZA                                      8.939.084 SDS/PE              18              5400.10     N
    2      7144             ALISON DOS SANTOS NASCIMENTO                                           425626 SSP/AC                 31              4996.90     N
    3      22023            AMANDA RIBEIRO DA SILVA                                                418656 SSP/AC                 7               5823.40     N
    4      14309            ANA PAULA SOUZA DIÓGENES                                               10529519 ssp/ac/AC            8               5747.70     N
    5      6491             ANDRESSA MARIA DE MOURA SILVA                                          2481330 SSP/PI                1               6488.40     N
    6      30353            BENILA NASCIMENTO DA SILVA                                             1077942-6 SJSP/AC             37              4971.80     N
    7      24003            BRUNO MATEUS DE CARVALHO SILVA                                         10806741 SSP/AC               45              4829.40     N
    8      10146            CAROLINE SILVA COSTA                                                   11370696 SSP/AC               27              5037.80     N
    9      8783             CHARLINY BARROS DE CARVALHO                                            395677 SSP/AC/AC              42              4876.60     N
    10     35447            CRISTIELY ALVES CHALUB                                                 1055331-2 ssp/AC              36              4973.50     N
    11     10658            DIOGO LEAL FEITOSA                                                     3515703 SSP/PI                9               5704.30     N

np. fac.b / e ib la 2012/ ela o io /li a-ap o ado _po _c   o/                                                                                                      37/64
06/01/12                                                        np. fac.b / e ib la 2012/ ela o io /li a-ap o ado _po _c   o/
    12     23918            DIRLAN BORGES MARTINS                                                 1102736-3 SSP/AC              35   4974.60   N
    13     11623            ELAINE GONÇALVES CABRAL                                               450099 SSP/AC                 33   4986.60   N
    14     1315             ELVIS MORAIS DE SOUZA                                                 10499644 ssp/AC               17   5405.30   N
    15     31165            ELZA FRANÇA DA ROCHA                                                  225067 ssp/AC                 28   5013.50   N
    16     30272            EVANILDE LIMA MENDONÇA                                                083853 ssp/AC                 38   4969.50   N
    17     26312            FIAMA LOPES DE ARAUJO                                                 1147858-6 SSP/AC              24   5169.30   N
    18     9295             GABRIEL VIANA PONTES DE OLIVEIRA                                      11163461 SSP/AC               5    5959.60   N
    19     16401            HELAINY PESSOA RAMOS                                                  1031157-2 ssp/ac/AC           39   4930.00   N
    20     31743            IGOR RICARDO ARAUJO CAVALCANTE                                        1138887-0 sspa/AC             16   5434.30   N
    21     22920            ISABELLY FERREIRA MONTEIRO                                            7100040 SDS/PE                3    6284.30   N
    22     27077            ISRAEL FRANCISCO SILVA OLIVEIRA                                       1064007-0 SSJ/AC              10   5668.30   N
    23     13696            JADSON DA SILVA BERNARDO                                              1151267-9 ssp/AC              19   5326.70   N
    24     13594            JANAIRA FARIAS DE MENDONÇA                                            10599533 SSP/AC               40   4923.00   N
    25     144              KALIL RAHUAM DE FIGUEIRÊDO BITTENCOURT                                1148499-3 ssp/ac/AC           22   5217.10   N
    26     10640            KELY DE BARROS AGUIAR                                                 3273490 SSP/PI                6    5913.60   N
    27     39154            KETILLY SOARES DE SOUZA                                               10696342 SSP/AC               21   5255.90   N
    28     3205             LENITA ALVES FERRARI                                                  0235842 ssp/AC                34   4976.50   N
    29     34231            LUCAS MEDEIROS CAVALCANTE COSTA                                       2007646047-3 sspce/CE         14   5530.40   N
    30     26539            MARCELA DEYSE SANTOS ARA JO                                           10692002 ssp/ac/AC            46   4816.90   N
    31     14754            MARIA ELENILDE NERI SARAIVA                                           0334289 ssp/AC                32   4992.50   N
    32     6964             MARIA LAURIANE DE SOUZA DO NASCIMENTO                                 10496920 ssp/AC               23   5209.20   N
    33     12210            MARIZETE PAIVA DA SILVA RIBEIRO                                       195759 ssp/AC                 26   5043.60   N
    34     7813             MICHELE CRISTINA DA SILVA GOMES                                       425655 SSP/AC                 47   4811.20   N
    35     20269            MURILO GONCALVES COSTA                                                2007114920-6 SSPDS/CE         25   5094.60   N
    36     3788             NEUZILENE SILVA DE AZEVEDO                                            10158812 ssp/AC               41   4892.70   N
    37     27067            OCICLEIDE OLIVEIRA DE LIMA                                            1105558-8 Sena Madureira/AC   20   5285.10   N
    38     25351            PAMELLA MARIA FEITOSA GERMANO                                         11172134 SSP/AC               30   4998.80   N
    39     7037             PATRÍCIA MARIA BARROS DE OLIVEIRA                                     10836594 SJSP/AC              2    6418.70   N
    40     7613             POLIANA DE MELO NOGUEIRA                                              1072412-5 SSP/AC              29   5003.10   N
    41     26136            ROBERTA MAIA DE VASCONCELOS                                           2007176043-6 ssp ce/CE        12   5642.70   N
    42     33761            RONALDO SATURNINO DE OLIVEIRA                                         340245 ssp/AC                 4    6077.30   N
    43     24757            SAMARA ARAUJO DA SILVA                                                1076488-7 SSP/AC              13   5578.70   N
    44     18457            SANDERSON BENTO RODRIGUES DA SILVA                                    1085069-4 SSP/AC              11   5668.00   N


np. fac.b / e ib la 2012/ ela o io /li a-ap o ado _po _c   o/                                                                                      38/64
06/01/12                                                        np. fac.b / e ib la 2012/ ela o io /li a-ap o ado _po _c   o/
    45     6025             SOLEANE DE SOUZA BRASIL MANCHINERI                                    410402 ssp/AC                 44              4854.50     N
    46     8328             TÁSSIO MELO DA SILVA                                                  10790721 sspac/AC             15              5496.80     N

    47     20289            THARYN RAMON DE OLIVEIRA LIMA                                         446384 ssp/AC                 43              4856.30     N


                                                                        90-Letras/Espanhol (Licenciatura)
    #      Inscri ão         Nom e                                                                    Docum ento                Classifica ão   Pontua ão   Pne
    1      11538             ADEGILSON GOMES DA SILVA                                                 11103248 SSP/AC           3               5758.70     N
    2      3557              ALAN DIONES DIAS PROCÓPIO                                                10938877 SSP/AC           37              4938.90     N
    3      20465             ANA CLÁUDIA COSTA PESSOA SENA                                            10021760 SSP/AC           8               5521.50     N
    4      22712             ANDRÉ ARRUDA DE SOUZA DERZE                                              1042761-9 SSP/AC          1               5842.90     N
    5      16827             ANDRESSA CAROLINA DA SILVA DE MORAES                                     10997520 SSP/AC           43              4898.90     N
    6      37936             ANGELA CRISTINA DE ALBUQUERQUE CRUZ                                      215640 SSP/AC             33              4986.00     N
    7      38886             ANTONIO CARLOS PORFIRIO DA COSTA                                         411280 SSP/AC             34              4972.80     N
    8      37181             ANTONIO MARCOS DA ROCHA PEREIRA                                          0278710 ssp/ac/--         420             3115.30     S
    9      38421             DAIANY SOARES DE CARVALHO                                                1114913-2 SSP-AC/AC       28              5103.50     N
    10     16527             DANIEL JULIO FERREIRA MOTA                                               10401903 ssp-ac/AC        38              4938.50     N
    11     14689             DARIANE FERNANDA DOS REIS                                                10347488 ssp/AC           12              5369.20     N
    12     23565             DAYELLE SANTIAGO DA SILVA                                                1021755-0 SSP/AC          42              4905.40     N
    13     27572             DENISE TEMPORIM FURTADO                                                  272858 SJSP/AC            15              5298.40     N
    14     31272             DIONATAN LIMA DE SOUZA                                                   10252940 ssp/ac/AC        44              4891.70     N
    15     21855             ERICA DA SILVA MAGALHÃES                                                 10299394 SSP/AC           19              5244.90     N
    16     5064              ESTEFANI DE OLIVEIRA MARINHO                                             1110590-9 IRHM/AC         16              5298.20     N
    17     34871             FRANCISCA ROSIENE ARAUJO LIMA                                            230826 ssp/AC             25              5135.70     N
    18     23723             FRANCISCA SILVA DE OLIVEIRA                                              0327998 SSP/AC            27              5118.50     N
    19     29668             GIOVANNY KLEY SILVA TRINDADE                                             464816 SJSP/AC            35              4957.30     N
    20     19860             GUILHERME RICARDO SOUZA LEAL                                             2007010183459 SSPDS/CE    6               5595.10     N
    21     20449             IARA CRISTINA OLIVEIRA DA COSTA DE SOUZA                                 10147845 SSP/AC           4               5718.50     N
    22     16699             IARA TAIANE PEREIRA DE SOUZA                                             1109963-1 SSP/AC          9               5414.70     N
    23     22173             IDELMAR FERREIRA DE SOUZA J NIOR                                         398950 SSP/AC             10              5412.70     N
    24     14212             IVANIA MARIA COSTA DE MATOS                                              1003804-3 SSP/AC          5               5688.90     N
    25     35872             JOAO PAULO BARROS DE SOUZA                                               413070 ssp/AC             11              5401.40     N
    26     26056             JONATA MENDES DA SILVA                                                   397794 ssp/AC             36              4939.80     N
    27     14743             JOSE FURTADO DE OLIVEIRA                                                 10271945 SSP/AC           31              5042.80     N
    28     16052             LAUDEMIR SAAR XAVIER                                                     270720 SSP/AC             18              5247.70     N

np. fac.b / e ib la 2012/ ela o io /li a-ap o ado _po _c   o/                                                                                                     39/64
06/01/12                                                         np. fac.b / e ib la 2012/ ela o io /li a-ap o ado _po _c   o/
    29     39298             LUIZ PAULO BATISTA DA SILVA                                               261329 ssp/AC              7               5548.10     N
    30     34948             MARIA CRISTINA DA SILVA SANTOS                                            186279 SSP/AC/AC           45              4885.10     N
    31     15233             MARIA IVANILDE SANTOS DA SILVA                                            0317711 30/12/1996/AC      217             4231.30     S
    32     34772             MARIA JOSÉ LIMA MAGALHÃES                                                 1004108-7 ssp/AC           23              5164.20     N
    33     9310              MARIA L CIA VÂNIA CORTEZ DE MOURA                                         141750 ssp/AC              39              4931.90     N
    34     34604             MARIA SUZIANE GADELHA MENDES                                              1045867-0 SSP/AC           2               5770.40     N
    35     24926             MAYRA CRISTINA SILVA DE SOUZA                                             412471 SSP/AC              17              5288.50     N
    36     8315              NAREZA BARROS LARA                                                        432476 SSP/AC              32              5035.90     N
    37     35925             PATRICIA VIANA DOIMO                                                      457326 SSP/AC              13              5324.40     N
    38     40189             RAFAELA ALMEIDA DOMINGUES BATISTA                                         11689617 ssp/AC            46              4880.60     N
    39     4722              RAIANE MAIA DA SILVA                                                      10443991 ssp/AC            41              4907.60     N
    40     5803              ROGERIO JANUARIO DE MATOS                                                 0339677 ssp/ ac/AC         14              5322.10     N
    41     16365             ROMARIO RIBEIRO GONÇALVES                                                 11446307 SSP/AC            30              5043.90     N
    42     21896             SIMONE LOPES DAMASCENO                                                    1112281-1 ssp/AC           40              4924.60     N
    43     9527              SUENE DE ALMEIDA BEZERRA                                                  1136701-6 ssp/AC           21              5226.20     N
    44     25272             TALLISSON PRIVADO FRANCELINO                                              10847170 SSP/AC            47              4861.90     N
    45     27837             THAYS DI KÁSSYA SOUZA FIGUEIREDO                                          470024 SSP-AC/--           26              5134.70     N
    46     6087              VALCICLÉIA BARBOSA DA SILVA                                               3518047 SSP/AC             29              5072.90     N
    47     18746             VALDENISE ANGELO FERREIRA                                                 0292304 ssp/AC             24              5151.30     N
    48     33277             VANDERLÉIA DA SILVA OLIVEIRA                                              189344 SJSP/AC             20              5233.30     N
    49     36921             VANESSA SILVA FREIRE                                                      1123960-3 SSP/AC           22              5220.60     N


                                                                   172-Letras/Espanhol (Licenciatura) - CZS
    #      Inscri ão         Nom e                                                                  Docum ento                   Classifica ão   Pontua ão   Pne
    1      31520             ABRAÃO DO AMARAL PINHEIRO                                              431866 sjsp/AC               36              4768.80     N
    2      5575              ALESSA CAROLINE SILVA DE SOUZA                                         208390 SJSP/AC               16              5067.80     N
    3      4863              AMAZONINO DA SILVA BERNARDINO                                          1512804-0 SESP/AM            38              4753.70     N
    4      12485             ANA MARIA NASCIMENTO DA SILVA                                          1155946-2 SJSP/AC            15              5087.90     N
    5      30073             ANDRE LUIS MELO DE CARVALHO                                            11453672 acre/--             22              4958.20     N
    6      30430             ANDRESSA BARROS DE FRANÇA                                              1054190-0 sejsp/AC           21              4958.60     N
    7      7252              ANDRESSA SANTIAGO DE LIMA                                              1128679-2 sjsp/AC            17              5064.10     N
    8      33832             ANTONIO ADSON DA SILVA BORGES                                          10621261 SSP/AC              34              4818.90     N
    9      18018             ANTONIO JOSE SOARES DA SILVA                                           374491 SSP/AC                26              4910.10     N

np. fac.b / e ib la 2012/ ela o io /li a-ap o ado _po _c   o/                                                                                                      40/64
06/01/12                                                        np. fac.b / e ib la 2012/ ela o io /li a-ap o ado _po _c   o/
    10     25968             CAMILA SILVA DOS SANTOS                                               11499079 SSP/AC               37   4758.60   N
    11     32358             CASSIA BARROSO NUNES                                                  1152890-7 SSP/AC              19   4965.30   N
    12     30176             CÁSSIA JAMILLE FREITAS VASCONCELOS                                    11789190 SJSP/AC              7    5361.50   N
    13     3522              CLEICIANE FEITOZA SANTANA                                             10131043 ssp/AC               25   4933.00   N
    14     36124             CLESIA BEZERRA GOMES                                                  455527 SJSP/AC                4    5678.80   S
    15     27151             CLINTON RUAN FERREIRA DA COSTA                                        1194610-5 SEPC/AC             31   4838.10   N
    16     11424             ELIVANIA DO CARMO RODRIGUES                                           424058 ssp/AC                 28   4885.40   N
    17     31529             EVANDRO DA SILVA LIMA                                                 436128 SSP/AC                 44   4697.20   N
    18     28607             FLÁVIO SILVA DOS SANTOS                                               1164989-5 SESP/AC             33   4834.20   N
    19     11371             FRANCISCO JANDESSON DA SILVA COSTA                                    1126858-1 ssp/AC              39   4744.40   N
    20     36533             FRANCISCO TALISSON GADELHA GONDIM                                     120035845-3 MEX/AM            14   5115.40   N
    21     37268             GABRIELA DOS REIS OLIVEIRA                                            1156142-4 SSP/AC              18   5027.70   N
    22     3535              JANEQUELI COELHO DA SILVA                                             1019696-0 ssp/AC              29   4882.10   N
    23     29685             JEAN BEZERRA GUIMARÃES                                                368946 SJSP/AC                11   5266.20   N
    24     37490             JEAN CARLO OLIVEIRA DOS REIS                                          169766 SSP/AC                 32   4837.30   N
    25     26356             JULIANA DA SILVA AZEVEDO                                              1117679-2 sejsp/AC            42   4709.00   N
    26     30356             KARINY NASCIMENTO DA SILVA                                            10998209 AC/AC                47   4664.60   N
    27     8637              KLEYDY DE SOUZA TEIXEIRA ALBUQUERQUE                                  10196811 SSP/AC               35   4815.30   None
    28     29182             MAIK FRANCISCO SOUZA DA SILVA                                         10090185 SSP/AC               8    5350.30   N
    29     20570             MANUEL CHARLES DE ALMEIDA                                             1014721-7 SEJSP/AC            27   4887.90   N
    30     5731              MARIA AUGUSTA ARAUJO CUNHA                                            175360 ssp/AC                 40   4711.70   N
    31     31358             MARIA AURINETE CRUZ DA SILVA                                          0333106 SJSP/AC               2    5858.10   N
    32     26733             MARIA DA GLORIA CAUASSA DE OLIVEIRA                                   1141950-4 sjsp/AC             12   5233.00   N
    33     19100             MARIA DAIANE ALMEIDA DE SOUZA                                         11096934 SSP/AC               13   5183.60   N
    34     9294              MARIA JAINE OLIVEIRA DA SILVA                                         11830638 ssp/ac/AC            46   4666.80   N
    35     24912             MARIA VANDA MARTINS FARIAS                                            458019 SSP/AC                 41   4710.30   N
    36     30110             MARTA RICARDO DOS SANTOS                                              255429 SSP/AC                 9    5335.10   N
    37     31517             MARTA SILVA PEDROZA                                                   350133 SSP/AC                 45   4667.30   N
    38     18880             MATHEUS SILVA DOS SANTOS                                              10306935 instituto de id/AC   5    5642.90   N
    39     12263             ROSIMEIRE MARIA RODRIGUES SOUZA                                       1156292-7 12/04/2011/AC       1    5950.10   N
    40     30939             SAULO DOS SANTOS ARA JO                                               1003113-8 SJSP/AC             3    5794.80   N
    41     34491             SEBASTIANA KELLY DOS SANTOS BRAGA                                     1028130-4 sjsp/AC             10   5328.30   N
    42     32885             SILVIA ARAUJO DE MENEZES                                              378225 SJSP/AC                24   4933.70   N


np. fac.b / e ib la 2012/ ela o io /li a-ap o ado _po _c   o/                                                                                          41/64
06/01/12                                                         np. fac.b / e ib la 2012/ ela o io /li a-ap o ado _po _c   o/
    43     20153             SONIA MOREIRA BRASIL                                                   1027363-8 ssp/AC             43              4708.80     N
    44     38613             TIAGO LIMA                                                             455514 ssp/AC                23              4950.20     N

    45     4306              VALDECIR RICARDO DOS SANTOS JUNIOR                                     11004495 SSP/AC              30              4859.70     N
    46     25135             VANESSA ALMEIDA DE OLIVEIRA                                            11294663 SEJSP/AC            6               5397.20     N
    47     11349             VERONICA FELIPE DOS SANTOS                                             1164652-7 cras/AC            20              4962.90     N


                                                                          13-Letras/Franc s (Licenciatura)
    #      Inscrição          Nom e                                                                  Docum ento                  Classificação   Pontuação   Pne
    1      10862              ADALIA NOGUEIRA GADELHA                                                205006 SSP/AC               44              4043.30     N
    2      8742               AMAURY ALVES DOS SANTOS                                                10289798 ssp/AC             28              4474.50     N
    3      29340              ANDRÉIA VIEIRA DE PAIVA                                                1037062-5 ssp/AC            7               5072.80     N
    4      10472              ANDREY ALEXANDRINO SOARES DA SILVA                                     1081551-1 ssp/AC            21              4623.60     N
    5      6839               ANTONIO MARCEL DOS SANTOS                                              411545 ssp/AC               22              4576.90     N
    6      6296               ANTONIO MENDES SOUSA FILHO                                             132 129 SSP / AC/AC         39              4161.20     N
    7      16185              BENEDITA TÁLITA OLIVEIRA MARINHO                                       445936 ssp/AC               35              4267.80     N
    8      17882              DAIANA SILVA DE LIMA                                                   10597522 ssp/ac/AC          29              4466.80     N
    9      32369              DEVID VELOSO E SILVA                                                   10729054 ssp/AC             20              4645.40     N
    10     34826              DINARA SOUZA DE OLIVEIRA                                               254629 SSP/AC               24              4557.80     N
    11     6089               ELANE DE ASSIS FREITAS                                                 334505 ssp/AC               37              4204.40     N
    12     35785              ELDENIR DINIZ DA SILVA                                                 124499 ssp/ac/AM            41              4148.10     N
    13     19287              ELIEZO OLIVEIRA DE ANDRADE                                             0336703 SSP/AC              15              4855.30     N
    14     3970               ELISMEIA OLIVEIRA DA SILVA                                             433533 ssp/ac/AC            25              4547.30     N
    15     2768               EVANDIRLEIDE DOS SANTOS NASCIMENTO                                     387421 ssp/AC               32              4363.20     N
    16     11474              FLORENIR DE SOUSA MASCARENHAS                                          185560 SSP/AC               43              4058.20     N
    17     8123               FRANCINETE NEVES PEREIRA RAMOS                                         186423 SSP/AC               27              4487.30     N
    18     28807              FRANCIORMI PESSOA CAVALCANTE                                           177780 SSP/AC               17              4816.60     N
    19     23613              FRANCISCA ALINE DA SILVA ARA JO                                        11035161 SSP/AC             40              4150.70     N
    20     8050               FRANCISCA EMKELLY LIMA VIANA                                           1091224-0 ssp/AC            31              4390.20     N
    21     33781              GILNARA KATLEEN SANTOS BRITO                                           1115036-0 ssp/AC            33              4361.90     N
    22     28953              GLENI BARDALES RIBEIRO                                                 351530 SSP/AC               5               5133.10     N
    23     14231              GLIDIA DE ANDRADE TOJAL                                                365875 SSP/AM/AM            19              4660.70     N
    24     37143              ISABELLA MONTEIRO VICENTE                                              20078685715 ssp ce/CE       10              4930.90     N
    25     31422              JACQUES KLEYN DA SILVA SANTOS                                          319389 ssp/AC               9               4979.10     N
    26     2754               JARDEL SILVA PINHEIRO                                                  354532 ssp/AC               46              3986.10     N

np. fac.b / e ib la 2012/ ela o io /li a-ap o ado _po _c   o/                                                                                                      42/64
06/01/12                                                        np. fac.b / e ib la 2012/ ela o io /li a-ap o ado _po _c   o/
    27     36403              JOHN LENO RODRIGUES NOGUEIRA                                          10312340 ssp/AC               36                   4210.40      N
    28     17169              JUCILENE NOGUEIRA MELLO                                               149903 SSJP/AC/AC             4                    5268.50      N
    29     34782              LUAN BARBOSA CORREA                                                   10896589 ssp/AC               6                    5119.30      N
    30     7299               LUIZA MARIA DE FREITAS SOUSA                                          1070071-4 SSP/AC              2                    5872.60      N
    31     22212              MAIRA DOS SANTOS SILVA                                                1511599-2 ssp/AM              23                   4573.00      N
    32     4366               MARIA AUXILIADORA PINTO DOS SANTOS                                    433353 SSP/AC                 18                   4757.40      N
    33     8662               MARIANA FERNANDES DA SILVA                                            448774 ssp/AC                 8                    5053.50      N
    34     14919              MAYARA SABRINA GONDIM ROCHA                                           10515437 ssp/AC               34                   4290.00      N
    35     32477              MICHELY HANNAH DA SILVA MAGALHAES                                     467273 SSP/AC                 38                   4173.90      N
    36     6803               M NICA RIBEIRO PARFAN                                                 0265719 SSP/AC                30                   4435.70      N
    37     18216              PRISCYLLA MESQUITA FÉLIX                                              434704 SSP/AC                 11                   4930.30      N
    38     9342               RAIMUNDA ANTONIA FARIAS DE LIMA                                       0245584 ssp/AC                47                   3977.10      N
    39     20292              RAPHAEL PINHEIRO PUPO                                                 456244177 SSPDS/SP            3                    5745.60      N
    40     24381              RENILDE SILVA DE SOUZA                                                435937 SJSP/AC                42                   4096.40      N
    41     35307              ROSA MARIA BARBOSA DA CUNHA                                           0249886 SSP/AC                45                   4015.20      N
    42     9817               ROSANE MARIA DOS SANTOS ANDRADE                                       10490841 ssp/AC               13                   4880.70      N
    43     27457              RUTH MATOS DA SILVA                                                   154537 SSP/AC                 26                   4538.60      N
    44     29360              SHEILA DA COSTA MOTA BISPO                                            27766754-9 SSP/SP             1                    5922.00      N
    45     35438              VANISA VIEIRA DE OLIVEIRA                                             279155 SSP/AC                 14                   4863.80      N
    46     36730              YASMIN O'HANA OLIVEIRA LIMA                                           1136698-2 Rio Branco/AC       16                   4837.30      N
    47     784                YURI SAUL DA SILVA                                                    1006287-4 SSP/AC              12                   4896.80      N


                                                                           12-Letras/Ingl s (Licenciatura)
    #      Inscrição        Nom e                                                                              Docum ento              Classificação    Pontuação   Pne
    1      27838            ABRAHAN LINCOLN CARDOSO SAMPAIO DE ANDRADE                                         262974 ssp/AC           19               5296.00     N
    2      31981            ALEXANDRE MATOS DE SOUSA                                                           360596 SSP/AC           32               5151.90     N
    3      9888             ALISON LOPES VIANA OLIVEIRA                                                        465305 ssp/AC           44               5049.60     N
    4      8812             ANA PAULA BATALHA DA SILVA                                                         446884 SSP/AC           23               5274.40     N
    5      23240            ANDRESSA MOURA DE SOUZA                                                            1082933-4 SSP/AC        25               5223.90     N
    6      25933            ANTONIO MARCOS DOS SANTOS ARRUDA                                                   11026871 ssp/AC         8                5542.20     N
    7      24525            ARIANE RODRIGUES DE ALMEIDA                                                        10993916 SSP/AC         12               5476.40     N
    8      10656            ARYADNA KELLEY LUZ ALMEIDA                                                         3122572 SSP/PI          4                5758.80     N
    9      33614            BRUNA HERLIDNY SOUZA DE OLIVEIRA                                                   446752 SSP/AC           41               5057.80     N

np. fac.b / e ib la 2012/ ela o io /li a-ap o ado _po _c   o/                                                                                                             43/64
06/01/12                                                         np. fac.b / e ib la 2012/ ela o io /li a-ap o ado _po _c   o/
    10     31528            BRUNA KÁCIA CHAVES CAVALCANTE                                                       11105160 ssp/ac/AC       15    5393.30   N
    11     26074            CLAYANN CAVALCANTE DE LIMA                                                          1037074-9 ssp/AC         16    5387.70   N
    12     2354             DAYANY MACIEL DO NASCIMENTO                                                         10597859 SSP-AC/AC       43    5053.70   N
    13     22479            DÉBORAH MESQUITA ARA JO DE BRITTO                                                   1069565-6 SSP/AC         18    5298.80   N
    14     10777            DENIS TAVARES DOS SANTOS JUNIOR                                                     1036785-3 ssp/AC         35    5112.40   N
    15     29780            ELENIZA DOS SANTOS PAIVA                                                            441670 SSP/AC            39    5060.10   N
    16     11009            ELISANDRO FEITOSA DO VALE                                                           129302420 PMAC/AC        24    5274.00   N
    17     8149             ERUNAYÁ SAMPAIO DE MOURA                                                            10025065 ssp/AC          36    5103.30   N
    18     18439            EVELINE SILVA SANTOS                                                                1132592-5 SSP/AC         37    5098.00   N
    19     31188            FLADSON PEREIRA PAIXÃO                                                              1015951-7 SSPAC/AC       2     5778.20   N
    20     20769            GABRIELA SOUZA OLIVEIRA                                                             11043300 ssp/AC          3     5766.00   N
    21     29725            GEISIANE CRUZ TARGA                                                                 1123435-0 SSP/AC         34    5119.50   N
    22     26930            GIGLIANE DE SOUZA SILVA DOS SANTOS                                                  11142758 SSP/AC          29    5166.70   N
    23     37097            GLAUCIA BARROS PESSOA                                                               0267306 ssp/ac/AC        185   3901.10   S
    24     15195            HELEN RALINE SARAIVA CARVALHO                                                       11563036 sepc/AC         9     5528.10   N
    25     19304            JEAN CARLOS LEAL DA SILVA J NIOR                                                    11316004 SSP/AC          13    5471.40   N
    26     4309             JOSE ANDRELINO MORAIS E SOUZA                                                       161818 SSP/AC/AC         46    5035.70   N
    27     17223            JOSIANE DA SILVA MOTA                                                               199980 SSP/AC            38    5079.70   N
    28     5717             KETLEN LIMA DE SOUZA                                                                1139818-3 SSJP//AC       22    5276.00   N
    29     2693             LARISSA CRISTINE ALVES DE SOUZA                                                     1027218-6 SSP/AC         47    5025.00   N
    30     23046            LEYDI VANESSA CABALLERO SECLEN                                                      V391786F CIMCRE/AC       26    5195.80   N
    31     26983            LÍVIA MARIA SAMPAIO DE SOUZA                                                        10063145 SSP/AC/AC       5     5728.50   N
    32     18803            MARCELLO PEREIRA TAMWING                                                            1039402-8 SSP /AC        17    5330.80   N
    33     27937            MARINA DE LIMA BRAGA PENHA                                                          46.037.241-5 ssp/sp/SP   21    5285.10   N
    34     12315            MERYLYN DAMASCENO GURGEL                                                            1111934-9 ssp/AC         14    5409.90   N
    35     1675             PABLO HENRIQUE RODRIGUES MENDES                                                     313639 SSP/AC            27    5184.80   N
    36     27886            PATRICIA DO NASCIMENTO PEIXOTO                                                      0298973 SSP/AC           11    5477.10   N
    37     28182            PAULA SAFIRA LOPES DA COSTA                                                         2443800 ss/PI            28    5182.10   N
    38     31226            POLIANA GREICE CASTRO SAMPAIO                                                       2006005004454 SSP/CE     6     5621.80   N
    39     34908            RAIMUNDO PINHEIRO ZUMBA                                                             176114 SSP/AC            40    5058.70   N
    40     28913            RAIONERY GONÇALVES DA SILVA                                                         430038 SSP/AC/AC         1     5821.10   N
    41     8574             RICARDO VITOR DA SILVA                                                              367703 ssp/AC            42    5056.20   N
    42     30251            ROSÂNGELA MARIA PEREIRA ROCHA                                                       1101510-1 sspacre/AC     31    5158.30   N


np. fac.b / e ib la 2012/ ela o io /li a-ap o ado _po _c   o/                                                                                                44/64
06/01/12                                                         np. fac.b / e ib la 2012/ ela o io /li a-ap o ado _po _c   o/
    43     14522            SIMONE DA SILVA FERREIRA                                                            11102071 ssp/AC         45          5037.00    N
    44     3611             SKARLLATT SILVA DE CARVALHO                                                         1011042-9 SPP/AC        33          5151.00    N

    45     22715            STEFHANIE DA SILVA VIDAL                                                            10542531 ssp/AC         60          4925.40    S
    46     24086            SUELLEN LEÃO VICTOR                                                                 11818298 ssp/AC         10          5527.90    N
    47     15965            TARCÍSIO RAMOS MOREIRA                                                              10981675 SSP/AC         20          5287.50    N
    48     7129             WANDRESSA SILVEIRA MENINI                                                           1115221-4 ssp/AC        30          5165.90    N
    49     5006             YCARO RYAN DE SOUSA LIMA                                                            1162523-6 SSP/AC        7           5559.30    N


                                                                       16-Letras/Ingl s (Licenciatura) - CZS
    #      Inscrição         Nom e                                                                   Docum ento                    Classificação   Pontuação   Pne
    1      20786             ADEILSON DE LIMA LUNA                                                   437894 SJSP/AC                45              4417.90     N
    2      17905             ADILINO DIAS ANTUNES                                                    347506 UF/AC                  7               5165.30     N
    3      28061             ALINE KIELING JULIANO.                                                  6060755557 SSP/RS             3               5830.00     N
    4      39382             AMANDA DA COSTA LIMA                                                    27218228 SSP/AM               29              4614.00     N
    5      3999              ANA CLAUDIA SILVA DA CRUZ                                               11178612 ssp-ac/AC            40              4483.90     N
    6      37319             ÂNGELA NORMANDO SAMPAIO                                                 607597 ssp/RO                 23              4703.20     N
    7      34827             ANTÔNIO GEÂNIO LIMA COUTINHO                                            11725818 ssp/AC               37              4534.80     N
    8      28110             CAMILA PIMENTEL DE FREITAS                                              11946830 ssp/AC               33              4585.70     N
    9      6481              CLAUDEANICE PEREIRA DE ANDRADE                                          467448 SJSP/AC                39              4503.40     N
    10     37413             DAIANE SILVA DA CRUZ                                                    11412097 SEJSP/AC             31              4590.90     N
    11     12396             DANIELE CASTRO BRANDAO                                                  1114999-0 SJSP/AC             38              4527.90     N
    12     14428             DENER ANDRADE FERREIRA                                                  1185006 SSP/AC                42              4462.20     N
    13     30633             DENISE JOVIASKI SENKIV ESTRUGIAKI                                       8.274.488-6 Curitiba/PR       9               5151.60     N
    14     36532             DOUGLAS DOS SANTOS LEITE                                                0113416945 MD/RJ              2               5834.70     N
    15     19946             EDEM JOSÉ SOUZA GOMES                                                   435418 SJSP/AC                25              4661.00     N
    16     19755             EDICLÉIA DOS SANTOS MIRANDA                                             435968 SSP/AC                 17              4846.20     N
    17     37886             EDUARDO LUIZ SILVA DA ROSA                                              1026371 SSP/MS                19              4776.00     N
    18     29784             ELIELSON FERREIRA DE ARA JO                                             11968702 SEPC/AC              41              4466.70     N
    19     26459             FABIANA ALVES DA SILVA                                                  1117599-0 SSP/AC              14              4963.20     N
    20     20453             FLÁVIA ANDRADE DOS REIS                                                 1016228-3 sjsp/AC             27              4648.50     N
    21     4096              FRANCISCO CARLITO DE SOUZA DA SILVA                                     458185 sjsp/AC                11              5047.50     N
    22     6096              FRANCISCO DANILO FREIRE ALBUQUERQUE                                     1083734-5 SS/P/AC             10              5118.00     N
    23     39158             FRANCISCO EDNALDO VALE GOMES                                            401361 sjspac/--              21              4727.00     N
    24     5519              GABRIELA MACHADO ARAUJO                                                 1104829-8 SSP/AC              1               5881.30     N

np. fac.b / e ib la 2012/ ela o io /li a-ap o ado _po _c   o/                                                                                                        45/64
06/01/12                                                        np. fac.b / e ib la 2012/ ela o io /li a-ap o ado _po _c   o/
    25     39027             GENNILDO LUCENA DE SOUZA                                               10094520 SSP/AC             18                   4833.50      N
    26     28235             GLAUCIANE DA SILVA DINIZ                                               11820918 ssp/AC             28                   4643.70      N
    27     4109              JAINE CRUZ DE OLIVEIRA                                                 00923290-7 SSP/AC           20                   4764.50      N
    28     32394             JARICELIA DAS CHAGAS FREITAS                                           402333 SJSP/AC              16                   4867.10      N
    29     30658             JOSÉ FRANCISCO NUNES DA SILVA                                          1195525-2 DPF/AC            13                   4978.00      N
    30     11311             JULIA CALINE DA SILVA SAMPAIO                                          1104828-0 SSP/AC            8                    5155.00      N
    31     14277             LEIA DA SILVA SALES                                                    1117748-9 SSP/AC            12                   5008.50      N
    32     1126              LET CIA NEGREIROS MACIEL                                               1116319-4 SEJSP/AC          5                    5356.50      N
    33     28727             LIVIA CRISTINA PEREIRA ALVES                                           452066 SJSP/AC              6                    5232.20      N
    34     33972             MARIA CRISTINA DA COSTA SILVA                                          449478 sjsp/AC              26                   4650.90      N
    35     7642              MARIA ELIANE ALBANO DO NASCIMENTO                                      375647 SJSP/AC              43                   4432.60      N
    36     15571             MARIA JOSÉ DA PÁSCOA MARQUES                                           11563290 ssp/AC             46                   4404.80      N
    37     8889              MICAELE FERREIRA ABDALLAH                                              1151791-3 SEPC/AC           34                   4559.70      N
    38     23942             NAYARA DA SILVA COSTA                                                  436940 cruzeiro do sul/AC   35                   4549.90      N
    39     14059             OCIMÁRIA DE SOUZA FARIAS                                               438039 SSP/AC               36                   4541.70      N
    40     19649             PAULA FERNANDA SARAIVA MONTEIRO                                        2206336-6 SPP/AM/AM         47                   4404.60      N
    41     18898             RANIELE GOMES VEIGA                                                    2481999-9 SSP/AM            32                   4588.10      N
    42     39178             RICHELE FERNANDA MACIEL DE SOUZA                                       1149925-7 SSP/AC/AC         30                   4601.70      N
    43     6802              ROMISSON PEREIRA DOS SANTOS                                            1074605-6 SEJUSP/AC         15                   4934.60      N
    44     33882             STEPHESON EMMANUEL ARAUJO DE SOUZA                                     10994696 SSPAC/AC           4                    5440.10      N
    45     34779             TEYLON HANDEL MARTINS DA SILVA                                         2557718-2 SESP/AM           22                   4703.90      N
    46     29260             WILLIAN LIMA LEITE                                                     328748 SSP/AC               24                   4693.20      N
    47     27521             WILLSON DA COSTA SOUZA                                                 457812 SJSP/AC              44                   4425.30      N


                                                                       05-Letras/Portugu s (Licenciatura)
    #      Inscrição       Nom e                                                                           Docum ento                Classificação    Pontuação   Pne
    1      17939           ADÉLIA GEOVANNA GALDINO DE SOUSA                                                1103553-6 ssp/AC          28               5088.20     N
    2      18390           ADIONES SILVA E SILVA                                                           10714820 SSP/AC           15               5293.70     N
    3      20792           ADRIANA BEZERRA DA SILVA                                                        10495126 SSP/AC           13               5345.30     N
    4      24568           ADRIANA DO NASCIMENTO CASTRO                                                    10432400 ssp/AC           26               5115.00     N
    5      12099           ALEX SANDRO ESTEVES BATISTA DE DEUS                                             1028790242 MDEF/CE        4                6006.40     N
    6      31774           ANDREA COSTA BEZERRA                                                            10855955 SSP/AC/AC        32               5028.30     N
    7      2846            BRUNA DA SILVA ALMEIDA                                                          1054813-0 SSP/AC          41               4968.90     N

np. fac.b / e ib la 2012/ ela o io /li a-ap o ado _po _c   o/                                                                                                           46/64
06/01/12                                                        np. fac.b / e ib la 2012/ ela o io /li a-ap o ado _po _c   o/
    8      9354            CAROLINA MENDONÇA PRADO                                                         470035 SSPAC/AC       7     5580.10   N
    9      11469           CRISTINA PEREIRA PIRES DE CARVALHO                                              10494324 ssp/AC       47    4929.60   N
    10     24229           CYNTHIA DE FATIMA SOUSA OLIVEIRA MOURA                                          315656 ssp/RO         21    5177.10   N
    11     12355           DAVI DOS SANTOS PASSOS                                                          413068 SSP/AC         40    4970.60   N
    12     17325           DILLE MAIARA SOUZA COSTA                                                        1114646-0 SSP/AC      38    4995.30   N
    13     38138           ELIDANGELA LIMA MONTEIRO                                                        318166 ssp/AC         37    4996.50   N
    14     7211            ELOI DAIANA CORRÊA DE SOUZA                                                     1136896-9 SSP-AC/AC   9     5556.00   N
    15     21298           ELYNAIARA GOMES DE ALCÂNTARA                                                    12000163-5 ssp/AC     24    5136.20   N
    16     17129           EMIR ROGERIO MARCELINO BRASIL                                                   1033036-4 SSP/AC      2     6087.20   N
    17     12323           ÉRICA DE SOUZA MARQUES                                                          1106385-8 ssp/AC      39    4971.00   N
    18     29777           FRANCISCA SILVA DE MELO                                                         0287053 SSP/AC        23    5139.00   N
    19     35311           FRANCISCO ALCANTARA AQUINO                                                      10506977 SSP/AC       100   4650.30   S
    20     14834           GILZILENE DA SILVA NUNES                                                        447919 ssp/AC         35    5002.40   N
    21     11032           GIULLIANI FERREIRA DE SOUZA                                                     10638032 ssp ac/AC    43    4953.10   N
    22     16007           INGREDY DE SOUZA MAGALHAES                                                      1010619-7 ssp/AC      6     5671.10   N
    23     32368           JAKELINE SALDANHA CASTILHOS DA SILVA                                            10290710 ssp/AC       46    4942.70   N
    24     24220           JANETE MARIA MOURA DE SOUZA                                                     372603 ssp/AC         33    5017.20   N
    25     38657           JANITON ALVES DE LIMA                                                           428363 ssp/AC         162   4370.20   S
    26     31014           JOEL OLIVEIRA DAIS                                                              300427 SSP/AC         18    5217.40   N
    27     22441           JOYCE MARCELA DE SOUZA SOARES                                                   459183 ssp/AC         31    5056.00   N
    28     3686            JULIANA FIALHO DOS SANTOS CASTRO                                                4702398 Segup/PA      12    5362.30   N
    29     2599            KELVÍN WILLIAMS VALE DA SILVA                                                   1019946-2 SEJUSP/AC   27    5101.10   N
    30     31000           LARA DOS SANTOS NACIMENTO                                                       1183833 outro/RO      16    5278.40   N
    31     35646           LARISSA ARA JO DE AZEVEDO                                                       360911 SSP/AC         10    5544.30   N
    32     31819           LEIDAN ROGÉRIO CRONOSSGOLDBBERGER OLIVEIRA                                      447461 SSP /AC        19    5211.40   N
    33     12879           MAGNA FERNANDA OLIVEIRA MENDONÇA                                                1114672-9 ssp/AC      45    4946.70   N
    34     10503           MARIA ANA FERREIRA DOS REIS                                                     0193273 SSP/AC        34    5016.90   N
    35     19004           MARIA APARECIDA ALMEIDA LIMA                                                    10860029 ssp/AC       44    4951.60   N
    36     9218            MARIA CLEILCE CHAVES DE SOUZA                                                   411718 SSP/AC         29    5084.70   N
    37     24715           MARIA GLAUCIA MACEDO DO CARMO                                                   11521082 ssp/AC       22    5172.70   N
    38     3804            MARIA NATALI MOREIRA CHAVES                                                     1026875-8 ssp/AC      5     5675.70   N
    39     12172           MARIA THAYNÃ ARA JO DE LIMA                                                     1149424-7 SSP/AC      8     5578.80   N
    40     35924           MAURICÉIA CHAVES LINO                                                           1048611-9 ssp/AC      14    5326.80   N


np. fac.b / e ib la 2012/ ela o io /li a-ap o ado _po _c   o/                                                                                        47/64
06/01/12                                                         np. fac.b / e ib la 2012/ ela o io /li a-ap o ado _po _c   o/
    41     35545           MIRALDA DA SILVA LOPES                                                           179783 SSP/AC                 70           4768.80    S
    42     3146            NATHIELLY DE OLIVEIRA BARBOSA                                                    1041203-4 ssp/AC              25           5120.30    N

    43     16125           PRISCILA PAIVA SOARES                                                            1101076-2 SSP/AC              36           5001.50    N
    44     26286           RAFAELA CRISTINA MAIA CARNEIRO                                                   2008009033951 ssp ce/CE       17           5224.10    N
    45     35306           RODRIGO FARIAS DA COSTA                                                          09973767-8 IFP/RJ             20           5190.00    N
    46     1178            SILMARA PEREIRA DE MOURA                                                         10857141 SSP/AC               11           5504.00    N
    47     13589           THOMÁS RODRIGUES FELIX                                                           11418273 SSP/AC               3            6026.20    N
    48     31928           VALLÉRIA ARA JO DE FREITAS                                                       1065193-4 SSP/AC              30           5062.80    N
    49     22341           YANA NARJARA PONTES EUGÊNIO                                                      20078907696 SSP/CE            1            6435.80    N
    50     37824           YARA COSTA DA SILVA                                                              1097850-0 ssp/AC              42           4958.50    N


                                                                   15-Letras/Portugu s (Licenciatura) - CZS
    #      Inscrição         Nom e                                                                      Docum ento                    Classificação   Pontuação   Pne
    1      31171             ALDEMÍSIA MENEZES DE ALENCAR                                               1179176-4 SSP/AC              36              4850.20     N
    2      8012              ANDREA ALVES DA SILVA BEZERRA                                              424497 SSP/AC                 12              5203.90     N
    3      26794             ANDREA ANGELO DA SILVA                                                     11008733 SJSP/AC              42              4753.30     N
    4      18252             ANTONIA CARINA DA SILVA PEREIRA                                            1148619-8 SSP/AC/AC           28              4924.10     N
    5      5013              ANTONIA GABRIELA NASCIMENTO LIMA                                           11924527 SSP/AC               17              5006.10     N
    6      7747              ANTONIA GLEICIANE DA SILVA LIMA                                            1101014-2 SJSP/AC             30              4893.70     N
    7      16291             ANTÔNIA ROBERLÂNDIA DE SOUZA SILVA                                         1181984-7 SEPC/AC             18              4985.90     N
    8      21295             ARLEM DINIZ BEZERRA                                                        361141 SSP/AC                 33              4865.30     N
    9      11357             BRUNO JOSÉ NASCIMENTO ARAUJO                                               11284382 sejsp/AC             34              4863.10     N
    10     6153              CÍNTIA DANIELA DA SILVA MONTEIRO                                           1144586-6 SEJSP/AC            15              5118.80     N
    11     29053             CINTYA RAQUEL ROCHA DE ALMEIDA                                             10811192 ssp/AC               20              4958.90     N
    12     23419             CLAUDEIR RODRIGUES DA FONSECA                                              1078549-3 SSP/AC              35              4856.50     N
    13     30784             CLEITON CARVALHO DE MELO                                                   0330064 SJSP/AC               29              4919.30     N
    14     36942             DANIEL GUSTAVO DOS SANTOS                                                  12663985 ssp/MG               4               5633.10     N
    15     33119             DELGARDO ABREU DE OLIVEIRA                                                 437456 SJSP/AC                26              4930.60     N
    16     31531             DIMITRIUS CARVALHO DE BARROS                                               431074 sjsp/AC                47              4669.20     N
    17     34101             EVELLYN CAROLINE DE ALMEIDA CAVALCANTE                                     10653031 SEJSP/AC             44              4713.80     N
    18     19354             EWERTON DE ALMEIDA SILVA                                                   2048170-5 SSP/MT              2               5933.00     N
    19     24183             FRANCISCA HELENA SILVA DE FREITAS                                          000654725 ssp/AC              7               5301.80     N
    20     34227             FRANCISCO DO NASCIMENTO FRANÇA                                             10786694 ssp/AC               41              4754.50     N
    21     6762              FRANCISCO VANDERLEI CÂNDIDO DE BRITO                                       1078762-3 SSP/AC              37              4825.00     N

np. fac.b / e ib la 2012/ ela o io /li a-ap o ado _po _c   o/                                                                                                           48/64
06/01/12                                                         np. fac.b / e ib la 2012/ ela o io /li a-ap o ado _po _c   o/
    22     30297             GARCIA OLIVEIRA DE ALENCAR                                                 1195275-0 SEPCIIRHM/AC    11              5234.30     N
    23     25476             GLEICILENE SOUZA BARBOZA                                                   1149111-6 SJSP/AC         10              5234.90     N
    24     14505             GLEICIOMAR BARROS DO NASCIMENTO                                            11028629 sspac/AC         25              4934.60     N
    25     24145             HERICSEN CRISTINE FARIAS FIDELIS DA SILVA                                  11115327 SSP/AC           3               5672.40     N
    26     34809             IVANA CORRÊA MORAIS                                                        426560 SSPAC/AC           21              4958.40     N
    27     33294             JADIEL FABRÍCIO DA SILVA                                                   10101276 SEJUSP/AC        46              4703.80     N
    28     33756             JORGE LUIS VIEIRA DA SILVA                                                 422671 SSP/AC             39              4792.40     N
    29     32617             JOSE FRANCISCO DA SILVA                                                    1046120-5 SSP/AC          19              4984.00     N
    30     14110             KETLEN CRISTINA DOS SANTOS OLIVEIRA                                        11356553 SSP/AC           9               5239.20     N
    31     27554             MARCOS DOUGLAS OLIVEIRA DE SOUZA                                           1051070-2 ssp/AC          32              4874.50     N
    32     35243             MARIA DE JESUS RODRIGUES PEREIRA                                           10829865 SSP/AC           45              4711.10     N
    33     29965             MARIA FLEDINA CAVALCANTE DA SILVA                                          1039708-6 SSP/AC/AC       24              4937.60     N
    34     9899              MARIA GEANE SILVA DE OLIVEIRA                                              10287469 SJSP/AC          43              4737.50     N
    35     34084             MARIA JAQUELINE DA SILVA PEREIRA                                           11412224 SSP/AC           22              4941.40     N
    36     15649             MARIA LEILA COSTA DE OLIVEIRA                                              1082101-5 SSP/AC          6               5332.40     N
    37     232               MARIÂNGELA GOMES SOUZA                                                     11052511 SSP/AC           14              5129.80     N
    38     30704             MARTA SALES DE SOUZA                                                       2721730-2 SSP/AM          40              4758.70     N
    39     29280             NAIF CHALUB DE ARAUJO                                                      412689 SJSP/AC            13              5170.20     N
    40     37376             RAIMUNDA NONATA BARBOZA DA SILVA                                           1149482-4 14/08/2009/AC   38              4817.90     S
    41     4254              REGILENE FERREIRA DA SILVA                                                 437467 SJSP/AC            31              4889.50     N
    42     35822             RONEGILDO DE SOUZA SILVA                                                   395162 SJSP/AC            8               5270.90     N
    43     3086              SHERIDA CARVALHO DE BARROS                                                 10634738 ssp/AC           23              4939.50     N
    44     37743             TAILENE ROCHA DO NASCIMENTO                                                1200016-7 SSPJ/AC         5               5489.40     S
    45     5572              THAÍS MELO GOMES                                                           1167197-1 SEPC/AC         16              5015.70     N
    46     36108             TICIANNE LARA AMARAL DE FREITAS                                            2006009211403 ssp ce/CE   1               6353.40     N
    47     26770             VALERIA MAKLAYNE SOUZA DA SILVA                                            1007570 sspac/AC          27              4927.50     N


                                                                             04-Matemática (Licenciatura)
    #      Inscri ão        Nom e                                                                        Docum ento               Classifica ão   Pontua ão   Pne
    1      28847            ADALBERTO ALENCAR DE SOUZA J NIOR                                            444471 ssp/AC            37              5674.60     N
    2      35055            ADEVILSON SANTANA DE SOUZA                                                   1102051-2 SSP/AC/AC      44              5578.20     N
    3      21442            ADRIANO SOUSA DA SILVA                                                       353555 SSP/AC            18              6021.90     N
    4      16335            ALEXANDRE DE SOUZA E SOUZA                                                   10507671 ssp/AC          35              5701.10     N

np. fac.b / e ib la 2012/ ela o io /li a-ap o ado _po _c   o/                                                                                                       49/64
06/01/12                                                        np. fac.b / e ib la 2012/ ela o io /li a-ap o ado _po _c   o/
    5      24131            ALYSON DA SILVA PIRES SANTOS                                                2007310029-8 SSPDS/CE    8    6328.20   N
    6      25724            ANA PAULA SILVA PANTOJA                                                     2481064-9 ssp/AM         4    6617.40   N
    7      2419             ANTONIO CARLOS DE SOUZA PEREIRA                                             363566 ssp/AC            42   5630.30   N
    8      4656             ANT NIO CARLOS PEREIRA DA SILVA JUNIOR                                      11969946 SSP/AC/AC       15   6112.70   N
    9      16683            BRUNO LUIS BERNARDO MOTA                                                    11225262 SEJSP/AC        41   5633.30   N
    10     36278            CARLOS ALEXANDRE DA ROCHA                                                   0114627243 MD/PA         6    6460.10   N
    11     32731            CRISTIANO DE SOUZA SILVA                                                    10715789 ssp/AC          38   5654.70   N
    12     24439            DANIEL MATOS STUD                                                           2006009146598 SSPDS/CE   10   6237.30   N
    13     35039            DAVI DOS SANTOS PAMPLONA NETO                                               4209289 ssp/GO           23   5942.40   N
    14     9203             DIEGO FERREIRA VAZ                                                          444219 ssjp/AC           24   5875.40   N
    15     10546            EDSON PORTELA DE MESQUITA                                                   361756 SSP/AC            1    6907.30   N
    16     25101            ELEN DE CÁSSIA MARSELLO                                                     40586733-5 SSP/SP        12   6230.80   N
    17     13558            ELIMARA LIMA DOS SANTOS                                                     10990810 ussp/AC         22   5943.00   N
    18     15934            FRANCISCA FREITAS DOS SANTOS                                                11689455 SSP/AC          47   5563.00   N
    19     36340            HUERISON SILVA DO NASCIMENTO                                                10722793 sspac/AC        40   5642.60   N
    20     8127             JANAÍNA ALVES DO NASCIMENTO                                                 1160233-3 correios/AC    9    6277.40   N
    21     17384            JEAN CARLOS NUNES DOS SANTOS                                                0306863 ssp/AC           34   5733.70   N
    22     14008            JEFTÉ MELO GOMES                                                            10265503 Taraucá/AC      45   5577.10   N
    23     5325             JESSICA SOUZA MENDES DA SILVA                                               1122778-8 SSP/AC         13   6226.40   N
    24     32577            JOSÉ DOS SANTOS PAIVA                                                       1036368-8 ssp/AC         30   5785.90   N
    25     36946            JOSINEIDE GOMES DA COSTA SANTOS DE SOUZA                                    228555 ssp/AC            25   5853.10   N
    26     18233            KENNEDY DE SOUZA LIMA                                                       1098405-4 SSP/AC         11   6237.30   N
    27     9943             KLEBÉRSON INÁCIO BARBOSA                                                    1068197-3 ssp/ac/AC      28   5819.10   N
    28     1947             LUCAS DA SILVA PEREIRA                                                      11620617 SSP/AC          5    6505.50   N
    29     12367            LUCIANA CARDOSO PEREIRA                                                     1123283 ssp/--           39   5654.30   N
    30     32931            LUCIANO DA SILVA XAVIER                                                     10513442 ssp/AC          36   5697.00   N
    31     32813            MARCELO AUGUSTO CORREIA FEITOSA                                             10338640 ssp/AC          16   6061.70   N
    32     20396            MARCELO TELES HOLANDA                                                       2007010249026 SSPDS/CE   7    6401.50   N
    33     207              MARCILÉIA VILA NOVA                                                         410912 SSP/AC            26   5846.40   N
    34     24482            MATHEUS CHAVES OLIVEIRA                                                     2002002219503 SSPDS/CE   2    6899.30   N
    35     38875            MAVIAEL VILELA DE SOUZA JUNIOR                                              476196 COMAER/RJ         32   5762.80   N
    36     37247            MAYRA DA SILVA BARBOSA                                                      10704655 SSP/AC          43   5580.90   N
    37     20963            OTHON WILKINSON CAVALCANTE NASCIMENTO                                       11029110 SSP/AC          33   5759.10   N


np. fac.b / e ib la 2012/ ela o io /li a-ap o ado _po _c   o/                                                                                       50/64
06/01/12                                                        np. fac.b / e ib la 2012/ ela o io /li a-ap o ado _po _c   o/
    38     15835            REBECA OLIVEIRA MACHADO                                                     1047136-7 SSP/AC             21              5965.30     N
    39     36064            RENATO RAMALHO LIMA                                                         2005002107297 ssp ce/CE      3               6652.10     N

    40     11810            SAMILCA DA SILVA FRANÇA                                                     10799265 ssp/AC              20              5974.90     N
    41     22667            SAMUEL DE AGUIAR NASCIMENTO                                                 1105155-8 SSP/AC             19              5977.80     N
    42     32506            SEBASTIAO LAIRES DA SILVA PAULINO                                           332492 ssp/ac/AC             14              6164.00     N
    43     32598            TALISSO ARAUJO DE ALMADA LOPES                                              451182 SEJUSP/AC             17              6050.50     N
    44     9507             TÁRICK SULYVAM LIMA DA SILVA                                                11526564 SEPC/AC             29              5813.30     N
    45     35763            THIAGO DE MELO SOUZA                                                        10010394 ssp/AC              27              5822.20     N
    46     210              THOMPSON VIANA DE OLIVEIRA                                                  421906 ssp-ac/AC             31              5779.50     N
    47     13772            WOBIGNOM XAVIER MOURA                                                       399461 SSP/AC                46              5571.00     N


                                                                              81-Medicina (Bacharelado)
    #      Inscri ão        Nom e                                                                             Docum ento             Classifica ão   Pontua ão   Pne
    1      19433            AMANDA MARRA                                                                      3553652 SSP/PB         8               7072.00     N
    2      12773            ANNA KAROLINE ROCHA DE SOUSA                                                      4853547 ssp/GO         32              6927.00     N
    3      6143             BÁRBARA LA S TEIXEIRA FIGUEIRÊDO                                                  2008097051612 SSP/CE   17              6993.80     N
    4      5540             BRENDA GONÇALVES MACIEL                                                           5838441 segup/PA       13              7011.80     N
    5      37224            BRUNO ALVES DA MOTA ROCHA                                                         3283722 SSP/PB         1               7278.90     N
    6      741              CLARIANO PIRES DE OLIVEIRA NETO                                                   0275513820044 SSP/MA   29              6928.80     N
    7      6736             DANIELL DE SIQUEIRA ARAUJO LAFAYETTE                                              8130401 SDS/PE         20              6980.30     N
    8      7804             DANILO MEJIA BARBOSA                                                              2929341 SSP/DF         7               7074.60     N
    9      29586            DEZHIRE CALHEIROS LAPAS FREZ                                                      1717072-9 SSP/MT       3               7178.50     N
    10     37902            EDEVAIR MAZARÃO NETO                                                              5108898 SSP/GO         33              6922.50     N
    11     30312            FABRCIO RODRIGUES MATEUS                                                          2183077-0 SSP/MT       15              6997.70     N
    12     9008             FERNANDO HENRIQUE DE ASSIS                                                        12368897 SSP/MG        4               7084.50     N
    13     23137            FERNANDO SILVA DE OLIVEIRA                                                        4007119 DGPC/GO        9               7062.90     N
    14     1673             GABRIEL AMORIM DE BRITO                                                           5797487 SSP/GO         35              6916.50     N
    15     10805            GLEYCE DA PAZ FERREIRA DA COSTA NETA                                              7335052 sds/PE         21              6976.90     N
    16     12434            INGRID DE ALMEIDA COSTA                                                           2005009124065 SSP/CE   2               7217.20     N
    17     11653            ISAU PEREIRA COELHO NETO                                                          7492154 sds/PE         26              6944.50     N
    18     10215            JESSICA SOUZA MAIA TRUMMER ALEIXO                                                 7875954 SDS/PE         38              6909.50     N
    19     21341            JOÃO NAHUÃ CUNHA DE OLIVEIRA                                                      1101131-9 SEPC/AC      31              6927.30     N
    20     38684            JORGE THIAGO PINHEIRO DE CARVALHO                                                 0737614248 MEx/PE      1362            6155.40     S
    21     6531             LARISSA ARAUJO MISSIRIAN                                                          001719191 ssp/MS       14              7008.30     N

np. fac.b / e ib la 2012/ ela o io /li a-ap o ado _po _c   o/                                                                                                          51/64
06/01/12                                                        np. fac.b / e ib la 2012/ ela o io /li a-ap o ado _po _c   o/
    22     2565             LEANDRO DE CASTRO SALES                                                           2004010414375 SSP/CE   6               7083.10     N
    23     5259             LOHRANE ROSA BAYMA                                                                10573232 SSP/AC        11              7055.50     N
    24     13279            MAIARA MAIA MOREIRA                                                               3.179.914-0 ssp/SE     37              6910.90     N
    25     26998            MANOEL AUGUSTO BARBOSA DA COSTA MENDONÇA                                          8146385 SDS/PE         19              6984.90     N
    26     37560            MARCOS FAGUNDES LEITE GRANJEIRO                                                   2338933 SSP/RN         1071            6241.70     S
    27     38589            MARIANA DINIZ PRADO SENA                                                          0311182020067 SSP/MA   10              7059.10     N
    28     3332             MARIELLI DE CASTRO CUNHA                                                          001296406 SSP/MS       23              6955.50     N
    29     15978            MAYARA SOARES MARTIN DA SILVA                                                     110000225-0 MDEx/DF    12              7020.80     N
    30     10474            NATHALIA RIBEIRO PINHO DE SOUSA                                                   2001002359242 SSP/CE   18              6993.60     N
    31     31587            NELSON PASSAIA JUNIOR                                                             1611882 sejusp/MS      36              6913.80     N
    32     19283            PRISCILA FERREIRA DE LIMA E SOUZA                                                 476518593 SSP/SP       34              6920.50     N
    33     18761            PRYSCILLA MIRELE LIRA GOMES                                                       7845304 sds/PE         16              6997.30     N
    34     11660            RAISSA BEZERRA DIAS                                                               3041450 SSP/PB         28              6929.00     N
    35     1509             ROMÉRIO MENEZES PAIVA CHAVES                                                      002588899 SSP/RN       30              6927.50     N
    36     14875            SARAH SOARES RIBEIRO                                                              8144242 sds/PE         22              6975.70     N
    37     5384             STEFANIA GRAZIELLE CARVALHO DA SILVA                                              0212440820020 ssp/MA   27              6934.80     N
    38     8940             THULIERMES LOPES PAMPLONA                                                         2006097024554 SSP/CE   5               7083.30     N
    39     16155            VANESSA LIMEIRA PONTES DE LUCENA                                                  7666157 sds/PE         24              6949.30     N
    40     336              YAN VICTOR ARA JO RODRIGUES                                                       187025 SSP/RR          25              6946.60     N


                                                                   180-Medicina Veterinária (Bacharelado)
    #      Inscri ão       Nom e                                                                       Docum ento                    Classifica ão   Pontua ão   Pne
    1      19112           ADRIANA VEIGA DA SILVA                                                      441031 SSP/AC                 30              5773.90     N
    2      20316           ALESSANDRA FAÇANHA BEZERRA                                                  200757998-9 SSP/CE/CE         9               6120.30     N
    3      23274           ANA CAROLINA BEZERRA RIBEIRO                                                3475594 SSP/PI                23              5845.10     N
    4      14322           ANA CLARA DA ROCHA SOUSA                                                    3356446 SSP/PI                46              5475.10     N
    5      29785           ANDRESSA RIBEIRO DA SILVA                                                   10310894 ssp/AC               37              5578.60     N
    6      15322           ANTONIO MARCOS JAQUES RAMOS                                                 7633152 ssp/PA                27              5793.50     N
    7      19999           ARTHUR WIRTZBIKI PANKOV                                                     2000010291289 SSPDS/CE        13              6036.00     N
    8      3244            BEATRIZ MARIA LIMA AVALOS                                                   001.516.652 SSP/MS/MS         12              6040.60     N
    9      3102            BIANCA TAVARES DE MENEZES                                                   2284197-0 sspmt/MT            18              5932.30     N
    10     24372           BRUNA MICHELE BEZERRA GOMES                                                 3594597 SSP/PI                43              5502.20     N
    11     13623           BRUNO WILLIAM MORENO DA SILVA                                               12048084 SSP/MG               20              5885.50     N

np. fac.b / e ib la 2012/ ela o io /li a-ap o ado _po _c   o/                                                                                                          52/64
06/01/12                                                        np. fac.b / e ib la 2012/ ela o io /li a-ap o ado _po _c   o/
    12     14862           CAMILA BETELLI CARDOSO ALVES                                                5402065 sptc/GO             4     6245.50   N
    13     15713           CAMILA MACHADO NOBRE                                                        10153420 ssp/AC             41    5522.60   N
    14     8931            CÍNTHIA SILVA DE ARA JO                                                     10914579 ssp/AC             8     6142.40   N
    15     26160           DAVID PRADO BAYMA                                                           391631 SSP/AC               407   4514.40   S
    16     4160            EASMIN ANA ZÉLIA COSTA DE ALMEIDA COUTINHO                                  1385574-3 SSP/MT            28    5788.00   N
    17     3642            FERNANDA CAROLINA ALVES DA CRUZ                                             MG-15.721.965 SSP/MG        3     6253.40   N
    18     18292           GILVANNA CAVALCANTE VASCONCELOS                                             468477 SSP/AC               42    5513.40   N
    19     707             GIOVANNA ARA JO DE CARVALHO                                                 3036555 SSP/PB              36    5597.10   N
    20     16768           HIUNA RAIANE RAMOS ROSA                                                     1181669 SSP/RO              6     6184.60   N
    21     24505           IAGO PINHEIRO MOURA                                                         2005010008782 SSPDS/CE      7     6170.40   N
    22     2473            JEFFERSON XAVIER FREIRE DA COSTA                                            2007542830-4 SSP/CE         15    6023.80   N
    23     19309           JOELMA SILVA DE ALMEIDA                                                     3045603 SSP/PI              19    5910.60   N
    24     7655            KARINA IARA DO PRADO MELO                                                   43709529-0 SSP/SP           2     6360.90   N
    25     15151           LEONARDO BRYNDO PEREIRA MENDES                                              20660219 ssp/MT             33    5636.90   N
    26     5401            LUANA RODRIGUES DA SILVA                                                    3274536 SSP/PI              1     6410.10   N
    27     37038           LUCIBETH OLIVEIRA CRISPIM                                                   10284346 ssp/AC             29    5775.70   N
    28     29816           MARCUS ANTÔNIO BEZERRA DA SILVA                                             3487763 SSP-PI/PI           14    6031.00   N
    29     25797           MAYARA MARQUES PEREIRA FERNANDES                                            1078438-1 SEJUSP/AC         17    5945.40   N
    30     25346           MICHAEL RODRIGUES PEREIRA                                                   3257862 SSP/PI              40    5527.20   N
    31     6233            MILENA DA SILVA APOLINÁRIO                                                  1116882-0 SSP/AC            38    5548.20   N
    32     2513            MIRLANE DA SILVA SANTOS                                                     1040901-7 SEJSP/AC          21    5857.60   N
    33     6315            MÔNICA DOS SANTOS LOPES                                                     1060391-3 ssp/ac/AC         39    5531.60   N
    34     26772           MONIQUE BINATTI DE MEDEIROS                                                 00001023613 01/06/2006/RO   45    5477.20   N
    35     1335            PATRÍCIA KONRDÖRFER ANHAIA                                                  2101430326 SSP/RS           25    5804.70   N
    36     25223           PAULA NESCE PEREIRA BATISTA                                                 MG-16.821.546 SSMG/MG       31    5694.70   N
    37     40198           PHAMELA PEREIRA CONDE                                                       1055355-0 sjsp/AC           830   3689.00   S
    38     14453           PRISLANE CARNEIRO AGUIAR                                                    6066620 ssp/PA              16    6015.20   N
    39     14168           RAISSA SOUZA KUSDRA                                                         11782340 SEPC/AC            5     6236.70   N
    40     8231            RENAN VIANA NOGUEIRA DE ARA JO                                              1012973-1 SSP-AC/AC         24    5814.40   N
    41     6414            ROSANY DA SILVA SANTOS                                                      1066001 ssp/AC              22    5856.10   N
    42     31103           STELIO NUNES DA COSTA JUNIOR                                                485247136 SP/SP             47    5464.80   N
    43     20336           SUMAYKA CAREY DIÓGENES DO NASCIMENTO                                        1202293856 SSP/AC           35    5603.00   N
    44     24168           TAMIRES HOLANDA LUZ                                                         3424373 SSP/PI              32    5646.10   N


np. fac.b / e ib la 2012/ ela o io /li a-ap o ado _po _c   o/                                                                                          53/64
06/01/12                                                        np. fac.b / e ib la 2012/ ela o io /li a-ap o ado _po _c   o/
    45     17264           TAYANE SILVA GONÇALVES VIANA                                                3258138 SSP/PI                   44                5495.80       N
    46     33029           TAYNARA PEREIRA DE ARA JO                                                   11035250 ssp/AC                  26                5801.70       N

    47     3803            THIAGO BESSA LOPES                                                          327137 ssp/AC                    11                6101.70       N
    48     10734           WALKIRIA BRENDA DE SOUSA BEZERRA                                            3251244 SSP/PI                   10                6112.20       N
    49     5362            WANDRESSA DINIZ LOPES                                                       11451521 Secretaria e./AC        34                5630.40       N


                                                                                88-M sica (Licenciatura)
    #      Inscrição         Nom e                                                                        Docum ento               Classificação         Pontuação      Pne
    1      18598             ANTONIO RODISLANDE PEREIRA DE OLIVEIRA                                       346431 SSP/AC            19                    3911.60        N
    2      1012              DAVID FERREIRA DA COSTA                                                      0308759 ssp/AC           16                    3987.10        N
    3      32098             DENILSON MOREIRA CARNEIRO                                                    391358 ssp/AC            2                     4466.10        N
    4      22167             ENIO FRANCISCO DA SILVA CUNHA                                                288390 SSP/AM            10                    4144.30        N
    5      12556             EVA NUNES FERREIRA                                                           421579 SSP/AC            7                     4227.60        N
    6      29415             FELIPE J NIO DE SOUZA COSTA                                                  1088537-4 UF/AC          3                     4465.50        N
    7      7599              FRANCISCA BRUNA NASCIMENTO DOS SANTOS                                        1031821-6 SSP/AC         11                    4125.50        N
    8      34391             FRANCISCO MELO DA SILVA                                                      293024 ssp/AC            12                    4097.50        N
    9      11472             ÍTALA OLIVEIRA DA SILVA                                                      1041583-1 SSP/AC/AC      8                     4188.50        N
    10     2048              JONNE KEPLLER GUIMARAES CARDOSO                                              4917371 SEGUP/PA         13                    4082.80        N
    11     40106             JOSE JAILTON CAVALCANTE DE FIGUEIREDO                                        120403-2 CBMAC/AC        4                     4437.80        N
    12     12334             LIDIA CASSIA DE OLIVEIRA CAVALCANTE                                          10619216 ssp/AC          15                    4032.00        N
    13     36415             LUCI ANGELA RODRIGUES DO NASCIMENTO                                          363420 ssp/ac/AC         9                     4155.40        N
    14     4771              LUCIANO CUNHA DA SILVA                                                       312839 ssp/AC            5                     4422.70        N
    15     30644             PAULA FORTUNATO CARDOSO CESAR                                                0289229 ssp-ac/AC        14                    4071.00        N
    16     16023             SAULO MACHADO OLIMPIO DE MELO                                                430598 SSP/AC            17                    3948.60        N
    17     16123             TATIANE BRANDÃO VILELA                                                       358825 ssp/AC            1                     4721.80        N
    18     23978             TIAGO NASCIMENTO COSTA                                                       11752076 ssp/AC          18                    3925.80        N
    19     33806             WELLINGTON DA SILVA NASCIMENTO                                               0312334 SSP/AC           6                     4371.70        N


                                                                             179-Nutrição (Bacharelado)
    #      Inscrição      Nom e                                                                          Docum ento                      Classificação      Pontuação   Pne
    1      16215          ALANE ALMEIDA LIMA                                                             2006010274880 SSP/CE            2                  6044.40     N
    2      19126          ALDETE REIS CARVALHO                                                           378182 SSP/AC                   515                4525.50     S
    3      26755          ALYNE LOPES DA SILVA                                                           1051536-4 ssp-ac/AC             11                 5791.70     N
    4      14585          AMAYRA CRIS CHAVES DA SILVA                                                    0313194 SSP/AC                  40                 5534.30     N
np. fac.b / e ib la 2012/ ela o io /li a-ap o ado _po _c   o/                                                                                                                 54/64
06/01/12                                                        np. fac.b / e ib la 2012/ ela o io /li a-ap o ado _po _c   o/

    5      27326          ANA LUÍZA SILVEIRA NUNES                                                       2006009219790 ssp/CE          3     6005.70   N
    6      7024           AVA FABIAN DO NASCIMENTO CAVALCANTE                                            10399810 SSP/AC               16    5731.70   N
    7      24615          BÁRBARA EDWARDS                                                                V640295-B CGPI/DIREX/DPF/AC   47    5512.40   N
    8      1005           CAMILA LIMA CARVALHO DE SOUZA                                                  1067268-0 SSP/AC              6     5879.60   N
    9      15125          CAMILLA LAILLA CASTRO BALTAZAR                                                 2007030008229 SSP/CE          7     5858.70   N
    10     23609          CAROLINY IZABEL ARA JO DE FREITAS                                              10166033 SSP/AC/AC            37    5542.20   N
    11     23878          ERICA ESTEFANE MOURA SOUSA                                                     3448923 ssp/PI                18    5696.40   N
    12     30723          FERNANDA NOBRE DE ALMEIDA                                                      429336 SSp/AC                 21    5681.90   N
    13     30302          FRANCISCA ADRIANE FERREIRA VALE                                                1068661-4 SSP/AC              29    5613.80   N
    14     14833          FRANCISCO JARLISON GADELHA SILVA                                               10846905 SSP/AC               36    5547.10   N
    15     13352          GABRIELE JUNQUEIRA                                                             42.765.624-2 SSP/SP           12    5791.20   N
    16     21330          GEOVANA SILVA DE SOUZA                                                         1114377-0 SSP/AC              8     5858.10   N
    17     32774          GEREMIAS DE SOUSA LIMA                                                         412632 ssp/ac/AC              26    5645.90   N
    18     14656          JANAINA FISCHER                                                                0335399 SSP/AC                10    5804.60   N
    19     8431           JARLESON SILVA LIMA                                                            1024264-3 ssp/AC              20    5681.90   N
    20     27231          JEAN CARLOS DA COSTA FRANÇA                                                    444653 ssp/AC                 606   4425.40   S
    21     10971          JESSICA PEREIRA DE OLIVEIRA                                                    10272658 SSP/AC               39    5539.20   N
    22     12826          KARINE MARTINS DE SOUZA                                                        1005942-3 SSP/AC              25    5670.30   N
    23     12544          KEILANIA CRISTINA SILVA DOS ANJOS                                              451168 ssp/AC                 24    5670.80   N
    24     27002          LARISSA MENEZES MACÊDO                                                         1091371-8 SSP/AC/AC           34    5558.50   N
    25     27102          LAYLA GOMES MARINHO                                                            1118924-0 SSP/AC              41    5530.30   N
    26     25778          LETICE SILVEIRA DIAS                                                           462653 ssp/AC                 14    5768.00   N
    27     23716          LORENA DE SOUSA SILVA                                                          3298433 SSP/PI                23    5675.20   N
    28     36328          L CIA DE FÁTIMA DE CARVALHO SOUSA                                              3055467 SSP/PI                9     5848.70   N
    29     24586          LUCIANA ALMEIDA DE OLIVEIRA                                                    10618970 ssp/AC               22    5678.20   N
    30     37198          MAÍRA DA COSTA SILVA                                                           370544 ssp/AC                 33    5560.10   N
    31     20885          MARIA PERPETUA DE ALMEIDA                                                      140013 SSP/AC                 30    5589.80   N
    32     4320           MARYANE LOPES DE AGUIAR                                                        11211814 ssp/AC               45    5521.40   N
    33     12830          MAXINE DA SILVA E SILVA                                                        11104660 SSP/AC               31    5570.30   N
    34     26534          NAIANY MEIRIELY DE ALMEIDA                                                     233032556 Detran/RJ           5     5897.90   N
    35     35147          NARJARA SAAB MARTINS DA SILVA                                                  0334867 SSP/AC                1     6210.70   N
    36     26027          PLISCILA FERREIRA DA SILVA                                                     393317 SSP/AC                 17    5707.80   N
    37     15379          RAMALHO MOREIRA DE SOUZA                                                       434771 SSP/AC                 15    5740.80   N

np. fac.b / e ib la 2012/ ela o io /li a-ap o ado _po _c   o/                                                                                              55/64
06/01/12                                                        np. fac.b / e ib la 2012/ ela o io /li a-ap o ado _po _c   o/
    38     2617           RAQUEL MARIA DE SOUZA BEZERRA                                                  10397795 SSP/AC              28           5625.20   N
    39     28199          REGIANE MENEZES DE SOUZA                                                       351352 SSP Ac/AC             19           5684.30   N
    40     1710           RODONILTON PONTES DE SOUZA                                                     293280 SSP/AC                35           5555.70   N
    41     39839          ROSINETE FERREIRA DE SOUZA                                                     0266113 SSP/AC               38           5541.10   N
    42     39684          SILVANIA MARIA OLIVEIRA CUNHA                                                  00336231 SSP/AC              44           5521.50   N
    43     31485          SOLANGE OLIVEIRA DE LIMA                                                       1100254-9 ssp ac/AC          326          4756.80   S
    44     3029           STEFANI CAROLINE FAGUNDES DA ROCHA CARVALHO                                    48.740.259-5 SSP/SP          46           5519.60   N
    45     22079          SUSIANE ADRINE DE ARA JO SANTIAGO                                              1121801-0 SSP-AC/AC          42           5529.60   N
    46     36047          TAINÁ NUNES DE PAULA                                                           1009436-9 SSPAC/AC           32           5560.90   N
    47     30757          THAIS LIMA SOUZA                                                               1119876-1 ssp/AC             27           5635.00   N
    48     32227          THAIS MARIA CAVALCANTE DA SILVA                                                0302086 ssp/AC               43           5528.90   N
    49     1679           WASHINGTON BARRETO RIOS                                                        10115463 SSP/AC              4            5907.40   N
    50     4408           YNESSA ALMEIDA DE SANTANA                                                      1070437-0 SSP/AC             13           5787.80   N


                                                                             03-Pedagogia (Licenciatura)
    #      Inscri ão          Nom e                                                              Docum ento                     Classifica ão   Pontua ão    Pne
    1      4083               ANA MARIA LEITE DE OLIVEIRA                                        157.088 SSP/AC/AC              4               6051.40      N
    2      7419               ANDREZA SOARES DA COSTA                                            11172622 SEJSP/AC              46              5414.80      N
    3      30114              ANTONIA EDNA SILVA DE SOUZA                                        388984 SSSp/AC                 43              5458.30      N
    4      34317              ANTONIA NOBRE DE OLIVEIRA                                          458379 SSP/AC                  38              5503.80      N
    5      3094               CARLOS JORGE SABOIA ARAUJO                                         186738 SSP/AC                  32              5535.00      N
    6      27726              CARMEANI DA COSTA CARNEIRO                                         0272868 SSP/AC                 19              5724.00      N
    7      39705              CIBERO VIANA FREIRE                                                446672 ssp/RO                  117             5138.20      S
    8      14860              CLAUDIA FRANÇA DOS SANTOS                                          1126098-0 ssp/AC               11              5893.40      N
    9      25922              COSMO OLIVEIRA DE LIMA                                             1038478-2 ssp /AC              39              5501.20      N
    10     3991               CRISLANE LIMA DO NASCIMENTO                                        195316 SSP/PB                  25              5603.80      N
    11     6138               DAIANE SOUZA DA SILVA                                              1038580-0 ssp/AC               35              5523.30      N
    12     6093               DANIELA DA SILVA LOPES                                             10215832 SSP/AC                23              5653.10      N
    13     3922               DAPHYNE ARA JO DA SILVA                                            1104449-7 SST/AC               44              5448.30      N
    14     27676              DAVI MOURA DE LIMA                                                 353656 SSP/AC                  3               6054.10      N
    15     34410              DIRCEU PEREIRA GOMES                                               339082 SSP/AC                  566             4087.20      S
    16     36635              EDICILENE DE LIMA GOMES                                            371595 ssp /AC                 462             4297.40      S
    17     23500              EDMAR FERREIRA SALES                                               1037274-1 SSP/AC               42              5471.90      N

np. fac.b / e ib la 2012/ ela o io /li a-ap o ado _po _c   o/                                                                                                      56/64
06/01/12                                                        np. fac.b / e ib la 2012/ ela o io /li a-ap o ado _po _c   o/
    18     8951               EDNA SOARES DE ARA JO                                              0303187 SSP/AC                 12   5820.50   N
    19     27353              ELIANE DOS SANTOS BRITO                                            451615 sspac/AC                15   5807.90   N
    20     38191              FABIO JULIO BESSA DE ANDRADE                                       19149832 SESP/AM               47   5414.40   N
    21     35308              FERNANDA DI PAULA ALMEIDA DA SILVA                                 393247 ssp/AC                  17   5768.70   N
    22     28414              FRANCISCA DAS CHAGAS DE LIMA                                       376331 ssp/AC                  41   5483.50   N
    23     37455              FRANCISCO DE ASSIS RIBEIRO DA MOTA                                 347762 ssp/AC                  5    6013.10   N
    24     17233              GABRIELLE DOS SANTOS DA SILVA                                      10202315 SSP /AC               40   5485.70   N
    25     22045              GERINALDA DE SOUZA FERREIRA                                        1030698-6 ssp/AC               7    5983.60   N
    26     15545              GIGLIANE BEZERRA DA SILVA                                          415029 SSP/AC                  34   5523.80   N
    27     5526               JULIANA DA CRUZ DE MOURA VELOSO                                    337659 003.338/AC              31   5539.00   N
    28     20111              KATIANNE COSTA LOPES                                               6280991 Segup/PA               33   5526.60   N
    29     34848              LAUANA MOREIRA DE LIMA                                             1110169-5 SSP/AC/AC            16   5796.90   N
    30     5230               LEIDIANE DIAS CABRAL                                               10387919 ssp/AC                24   5629.70   N
    31     20005              LUCAS RIOS FERREIRA GOMES                                          2006009145648 SSPDS/CE         8    5980.20   N
    32     35894              MARILEUDY FERNADES LOPES                                           223400 SSP/AC                  9    5968.30   N
    33     11766              MELLORI SANTOS ROCHA                                               281025782 SSP/SP               1    6283.70   N
    34     36236              MICHELLY AMORIM RODRIGUES                                          10620044 ssp/AC                13   5820.10   N
    35     37716              MILDREDES SOUSA FERREIRA                                           034530 ssp/AC                  10   5954.30   N
    36     23111              NÁDIA PAPI DA SILVA MOTA                                           3099294 spp/PA                 22   5670.50   N
    37     374                ODINÉIA SOUZA DOS SANTOS                                           332692 ssp/AC                  28   5574.50   N
    38     3449               RAFAELA SILVA DE SOUZA DIAS                                        1018734-0 SSP/AC               36   5519.60   N
    39     34500              RAIANE BARROS DA SILVA                                             459529 ssp/AC                  2    6189.10   N
    40     12902              RAIANE MIRANDA DOS SANTOS                                          001050144 SSP/RO               6    6005.20   N
    41     21848              REGIANE DOS SANTOS FERREIRA                                        10358862 sspac/AC              21   5703.20   N
    42     17861              ROCICLEIDE SILVA DOS SANTOS                                        435517 SSP/AC                  30   5545.20   N
    43     16646              ROSIMEIRE FONSECA DO NASCIMENTO                                    358138 ssp/ac/AC               37   5504.60   N
    44     21995              SABRINA DA COSTA DE SOUZA                                          11314087 SSP/AC                45   5426.40   N
    45     33034              SANDRA COELHO DA SILVA DE OLIVEIRA                                 411797 sspac/AC                26   5601.60   N
    46     35907              SILVANIA DE OLIVEIRA SOUZA                                         379778 SSP/AC/AC               14   5811.50   N
    47     617                SUZANA SANTOS NASCIMENTO                                           3407089 SSP/PA                 29   5559.90   N
    48     14740              TATILA SAMARA DE FREITAS GOMES                                     10058761 ssp/AC                20   5712.30   N
    49     38748              VINICIUS DE SIQUEIRA SANTANA                                       100099935-7 Exercito/AC        27   5590.40   N
    50     32752              WEVERTON FERNANDES DA CRUZ                                         447512 SSP/AC                  18   5732.30   N


np. fac.b / e ib la 2012/ ela o io /li a-ap o ado _po _c   o/                                                                                      57/64
06/01/12                                                        np. fac.b / e ib la 2012/ ela o io /li a-ap o ado _po _c   o/



                                                                        17-Pedagogia (Licenciatura) - CZS
    #      Inscri ão        Nom e                                                                  Docum ento                   Classifica ão   Pontua ão   Pne
    1      5086             ADRIANA CUNHA OLIVEIRA                                                 1061688-8 SEJSP/AC           11              5529.60     N
    2      31175            ALESSANDRA DE OLIVEIRA                                                 11367881 SSP/AC              42              5221.40     N
    3      10825            ALINE VASCONCELOS DE ARA JO                                            11174137 SEJSP/AC            9               5543.50     N
    4      4101             ANA PAULA SILVA DE FREITAS                                             1167212-9 SPC/AC             28              5351.50     N
    5      2518             ANDRESSA PAIVA DOS SANTOS                                              11562463 SSP/AC              20              5397.40     N
    6      28582            ANTONIA ALDERLIS DA SILVA DANTAS                                       1102498-4 SJSP/AC            16              5449.60     N
    7      27165            ANTÔNIA JOCIANE DE SOUZA BRAGA                                         2722258-6 ssp/AM             34              5269.40     N
    8      25014            BENEDITA LIMA SILVA                                                    1134389-3 SJSP/AC            37              5257.10     N
    9      30406            CARLOS AUGUSTO DE SANTANA SOBRAL                                       395309 SJSP/AC               44              5188.70     N
    10     8836             DARCILENE MARIA CASTRO LIMA                                            409428 SSP/AC                27              5358.60     N
    11     18171            DARLETE DA SILVA CAMPOS                                                000922223 SSP/RO             3               5685.90     N
    12     35714            EDILCE OLIVEIRA DOS SANTOS                                             0253511 SSP/AC/AC            41              5228.90     N
    13     40076            ELCIMEIRE PEREIRA DE ALMEIDA                                           443405 SJSP/AC               30              5326.70     N
    14     35053            ELENILDO LIMA RODRIGUES                                                342263 SJSP/AC               18              5436.90     N
    15     33154            ELIANE FERREIRA DE ARAUJO                                              1024647-9 SJSP/AC            17              5442.60     N
    16     5122             ERISTEU FERREIRA DA SILVA                                              355930 SSP/AC                12              5524.20     N
    17     30486            FRANCISCO RUSEMBERG OLIVEIRA DA SILVA                                  10440747 SSP/AC              22              5376.00     N
    18     33669            GERI ADRIANO DA SILVA                                                  297477 ssp/AC                38              5250.90     N
    19     8193             GESIEL HOLANDA DO NASCIMENTO                                           413472 SSP/AC                39              5250.50     N
    20     15595            GISELIA DOS SANTOS BORGES                                              414611 SJSP/AC               45              5188.40     N
    21     23540            JARISON DA SILVA GONÇALVES                                             1122459-2 SSP/AC             19              5415.60     N
    22     29463            JOEDE MOTA BRANDÃO                                                     2313315-5 SSP/AM             2               5769.70     N
    23     15694            JOSANE OLIVEIRA IBERNON                                                11754540 SSP/AC              43              5197.80     N
    24     23489            JOSÉ EMERSON NASCIMENTO DE SOUZA                                       439556 SEJSP/AC              13              5514.30     N
    25     24966            JOSÉ FRANCISCO DA CRUZ DIAS DE OLIVEIRA                                1044843-8 sjsp/AC            7               5627.60     N
    26     20461            JOSÉ FRANCISCO FREITAS DA CONCEIÇÃO                                    435639 SJSP/AC               32              5299.70     N
    27     11557            JOSELI SILVA NASCIMENTO                                                1025911-2 SSP/AC             6               5652.70     N
    28     23542            KARINE OCTAVIANO MOURA LIMA                                            455496 SSP/AC                31              5326.60     N
    29     17528            MANUELA SORIANO DA SILVA                                               1005770-6 sjsp/AC            25              5365.50     N
    30     37749            MARCILANDIA LOPES DA SILVA                                             1061795-7 SSP/AC             204             4441.00     S

np. fac.b / e ib la 2012/ ela o io /li a-ap o ado _po _c   o/                                                                                                     58/64
06/01/12                                                         np. fac.b / e ib la 2012/ ela o io /li a-ap o ado _po _c   o/
    31     22792            MARIA APARECIDA DA ROCHA BARROSO                                        11445360 FUREPOL/AC            15              5478.70     N
    32     37397            MARIA CLEA FERREIRA DA SILVA                                            2005010017820 ssp ce/CE        21              5379.70     N
    33     2814             MARIA DAYNARA LIMA DE JESUS                                             11176849 ssp/AC                46              5149.10     N
    34     17174            MARIA DE FATIMA CABRAL DA SILVA                                         10246533 ssp/AC                40              5243.40     N
    35     5057             MARIA LUCIA DE LIMA SILVA                                               0286577 SJSP/AC                5               5661.30     N
    36     30645            MILENE VASCONCELOS DE SOUZA                                             1058236-3 SJSP/AC              4               5684.40     N
    37     18739            MIRELLA MESSIAS DE MELO                                                 456349 SSP/AC                  8               5584.60     N
    38     16907            NÍVIA MARIA NASCIMENTO DA SILVA                                         16415469 ssp/AM                23              5374.90     N
    39     29238            RAIMUNDA NONATA RODRIGUES DA GAMA                                       12657492 ACM/AM                47              5144.50     N
    40     31873            RENATO MATIAS DE LIMA SOUZA JUNIOR                                      10820523 SSP/AC                26              5358.80     N
    41     21511            RICARDO FARIAS DE LIMA                                                  1176373-6 SSP/AC               14              5508.80     N
    42     40045            ROBERTA CRISTINA SILVA DE OLIVEIRA                                      1046361-5 ESJ/AC               24              5366.00     N
    43     30001            SARAH ARA JO DE LIMA                                                    437165 SSPAC/AC                33              5284.00     N
    44     31974            SIMONE FERNANDES DE SOUSA                                               10462503 SSP/AC/AC             10              5542.50     N
    45     12807            SIMONE SOUZA DO NASCIMENTO                                              1124367-8 republica feder/AC   36              5261.00     N
    46     38510            TATIANA BOSCHIN LOURENÇO                                                40509734-7 SSP-SP/SP           1               5963.10     N
    47     7751             THARLEM SUELEM ALMEIDA GONDIM                                           1167234-0 SSP/AC               29              5332.80     N
    48     21736            VALDINAR PEREIRA MACHADO                                                1035037-3 ssp/ac/AC            35              5264.60     N


                                                                                83-Qu mica (Licenciatura)
    #      Inscrição         Nom e                                                                      Docum ento                 Classificação   Pontuação   Pne
    1      26256             ALEXANDRE ALVARENGA SANTANA                                                1181462-4 SSP/AC           47              5666.40     N
    2      4985              ALMIR DANKAR NETO                                                          1032826-2 SSP/AC           7               6682.10     N
    3      19469             AMANDA LEITE DE OLIVEIRA                                                   11006129 sspac/AC          43              5709.40     N
    4      36273             AMANDA MITIKO JUNQUEIRA MARUI                                              11367113 ssp/AC            8               6640.10     N
    5      12215             ANA KAROLYNE SILVA DE JESUS                                                120309525-0 md/AM          16              6369.50     N
    6      30377             ANTONIO CARLOS GONÇALVES DE CARVALHO                                       3125885 ssp/PI             45              5696.80     N
    7      6187              ARTUR BARBOZA GOMES                                                        1164839543 SSP/BA          12              6582.20     N
    8      5093              DENÁRIA DA SILVA E SILVA                                                   11560800 SSP/AC            34              5848.10     N
    9      1096              ELOIR DA SILVA LIMA                                                        1167264-1 01/06/2010/AC    42              5715.90     N
    10     31038             EUNICE SOUZA DA COSTA                                                      365770 SSP/AC              33              5870.60     N
    11     33983             FABIANA ALVES PINTO                                                        539367023 SSP/SP           71              5359.20     S
    12     6429              FRANCIEL LUIZ SCHWEIG                                                      107546561 SSP/PR           19              6224.80     N

np. fac.b / e ib la 2012/ ela o io /li a-ap o ado _po _c   o/                                                                                                        59/64
06/01/12                                                          np. fac.b / e ib la 2012/ ela o io /li a-ap o ado _po _c   o/
    13     36289             GABRIEL MITSURO JUNQUEIRA MARUI                                             1136712-1 ssp/AC          23   6063.80   N
    14     23145             GERLAINE MEDEIROS DO NASCIMENTO                                             37488595 SSP/PB           10   6608.30   N
    15     20011             GLADSON EULER LIMA JUNIOR                                                   20074175135 SSPDS/CE      3    7078.30   N
    16     5059              GREICYWANNY LOURENÇO MAIA                                                   298225 SSP/AC             22   6094.80   N
    17     22165             HELENE RAQUEL FREITAS DE LUCENA                                             10266585 SSP/AC           13   6573.60   N
    18     8352              INGRYD DE ALBUQUERQUE MACIEL                                                1170136 - 6 SSP/AC        20   6144.50   N
    19     613               JEFFERSON ALEXANDRE QUEIROZ DE MELO                                         1202777858 MEX/AC         35   5841.90   N
    20     6334              JÉSSIKA AMANDA PINTO DA SILVA                                               10547967 SSP/AC           11   6583.30   N
    21     10638             JESSILENE BEZERRA MARQUES                                                   3133563 SSP/PI            36   5800.40   N
    22     23104             JOARLISON DA SILVA                                                          11285508 SSP/AC           27   5974.40   N
    23     15709             JUDSON GOMES DA COSTA                                                       11006471 SSP/AC           25   6008.00   N
    24     34739             JUSSARA ALICE BELEZA MACEDO                                                 000670971 SSP/RO          6    6707.00   N
    25     15594             KALIANE KATIA DE LIMA                                                       3.388.693 ssp/PI          26   5997.00   N
    26     28018             K SSIO NEEMIAS BOTELHO DE OLIVEIRA                                          10126392 SSP/AC           21   6126.90   N
    27     6893              KLEBER MARTINS                                                              10241918 ssp/mg/MG        4    7049.10   N
    28     19081             LARISSA RIBEIRO LOPES                                                       1138677-0 SSP/AC          30   5928.10   N
    29     32677             LETICIA AGUIAR DA SILVA                                                     1070072-2 SSP/AC          46   5674.30   N
    30     35345             LIANARA DE OLIVEIRA SILVA                                                   428130 SSP/AC             41   5716.60   N
    31     2987              LUCELIA LIMA DA SILVA                                                       405306 SSP/AC             32   5879.60   N
    32     28368             MAHATMA BARBOSA HOLSBACH                                                    11313390 SSP/AC           38   5795.10   N
    33     28551             M RCIO MARCELINO DA COSTA                                                   0261417 SSP/AC            18   6354.60   N
    34     18245             MARIA ADRIANA DA SILVA MELO                                                 1003719-5 SSP/AC/AC       5    6782.80   N
    35     22583             MELISSA PEREIRA DE ALENCAR                                                  1092934-7 SSP/AC          17   6361.30   N
    36     5585              MIKAELE CALIXTO DA SILVA                                                    1028465-6 SSP/AC          24   6027.80   N
    37     39670             NATACHA DE PAULA                                                            20336926 SSP/MT           2    7218.50   N
    38     1299              NAT LIA RODRIGUES LIMA                                                      1011769-5 SSP-AC/AC       28   5957.00   N
    39     12116             NATHÂNIA OLIVEIRA SILVA                                                     10641645 ssp/AC           15   6371.80   N
    40     4449              NELI OLIVEIRA DE ANDRADE                                                    1028389-7 ssp/AC          37   5797.20   N
    41     23880             QUIJANI SOARES SERAFIM                                                      256571 ssp/AC             31   5922.40   N
    42     21034             RAQUEL FERREIRA RIBEIRO                                                     16368150 ssp/MT           39   5781.80   N
    43     37596             RENAN COELHO MACAMBIRA                                                      2008009228272 ssp ce/CE   1    7335.30   N
    44     8215              SABRINA FERREIRA DE OLIVEIRA                                                1164000-6 19/04/2010/AC   40   5753.50   N
    45     8260              TARCYLANNE ARRUDA LEODEGARIO                                                113666460 SSP/AC/AC       44   5698.00   N


np. fac.b / e ib la 2012/ ela o io /li a-ap o ado _po _c   o/                                                                                         60/64
06/01/12                                                         np. fac.b / e ib la 2012/ ela o io /li a-ap o ado _po _c   o/
    46     26377             TATIELLY GOMES DA SILVA                                                    11372877 ssp/AC          9               6618.90     N
    47     3784              VANESSA LIMA DIAS                                                          1152253-4 ssp/ac/AC      14              6456.60     N

    48     33250             VIVIANE FERREIRA LIMA                                                      10025154 SSP/AC          29              5951.10     N


                                                                         178-Sa de Coletiva (Bacharelado)
    #      Inscrição        Nom e                                                                       Docum ento               Classificação   Pontuação   Pne
    1      26380            ADNA FERNANDES PAIVA                                                        10483896 SSP/AC          8               6518.80     N
    2      1209             ANA PAULA CELESTINO MESIANO                                                 1115276-1 SSP/AC         32              6131.80     N
    3      26249            ANDRÉ NASCIMENTO CORREIA                                                    11306548 SSP/AC          46              6035.40     N
    4      37065            ANDRESSA SAMPAIO BOTTO PAIXÃO                                               98002171440 ssp ce/CE    13              6413.70     N
    5      23118            ANT NIA MAYARA NASCIMENTO LIMA SILVA                                        432494 SSP/AC            42              6067.00     N
    6      21150            ANTONIO REGINALDO DE JESUS DE OLIVEIRA                                      388373 ssp/AC            35              6126.70     N
    7      11793            AURICÉLIA BEZERRA DE MENEZES SILVA                                          361399 spj/AC            18              6228.10     N
    8      16662            CIBELY MACHADO DE HOLANDA                                                   469044 SSP/AC/AC         29              6163.70     N
    9      21740            CINTIA CHAVES DA SILVA                                                      377480 SSP/AC            44              6054.60     N
    10     1000             CLEIDIANE SILVA DE MOURA                                                    445283 ssp/AC            14              6391.90     N
    11     5342             CRISTIANE FERREIRA MUNIZ                                                    407759 ssp/AC            36              6125.60     N
    12     29902            DAIANE DA SILVA RIBEIRO CUNHA                                               237567 SSP/AC            24              6193.10     N
    13     30694            DAMIANA LIMA DE SOUZA                                                       182772 ssp/AC            30              6156.00     N
    14     38769            DAYANNE DINIZ DA SILVA FERRO                                                10310886 ssp/AC          27              6171.80     N
    15     20195            DEYVIDY ALBUQUERQUE DE OLIVEIRA                                             10676929 SSP/AC          38              6112.60     N
    16     4139             ELIS REGINA BARBOSA DA COSTA                                                10464573 SSP/AC          11              6430.50     N
    17     3391             ELISSANDRA BARROZO DA SILVA                                                 450493 SSP/AC            39              6104.50     N
    18     34131            ELYECLEYDE KATIANE DA SILVA OLIVEIRA                                        002161501 SSP/RN         26              6177.70     N
    19     6742             FRANCIELLY MASCARENHAS DO NASCIMENTO                                        1021130-6 SSP/AC         4               6919.70     N
    20     23603            FRANCISCO HELITON DO NASCIMENTO                                             0235986 ssp/AC           15              6315.30     S
    21     22324            INGRIDI KELY BEZERRA DOS SANTOS                                             10262121 ssp/AC          7               6638.60     N
    22     21921            IRES LORRANNE FARIAS DA SILVA                                               1055846-2 tarauacá/AC    41              6069.50     N
    23     23396            ISLANE BEZERRA FILGUEIRA                                                    419694 ssp/AC            40              6077.10     N
    24     16777            ITALO VINICIUS SARAIVA LOPES                                                1050729-9 ssp/AC         47              6022.80     N
    25     5769             IVANILDO DE MELO SANTOS                                                     0318089 SSP/AC           6               6652.80     N
    26     10776            JAMIÉLISON NUNES CARVALHO                                                   367926 SSP/AC            5               6664.20     N
    27     34666            JANAINA DOS SANTOS FRANCALINO                                               1062309-4 ssp/AC         10              6445.00     N
    28     27715            JOELMA LIMA DE SOUZA                                                        348624 SSP/AC            9               6498.80     N

np. fac.b / e ib la 2012/ ela o io /li a-ap o ado _po _c   o/                                                                                                      61/64
06/01/12                                                         np. fac.b / e ib la 2012/ ela o io /li a-ap o ado _po _c   o/
    29     27021            JOSÉ RENATO AC CIO WOLTER                                                   293615 sspac/AC           22              6211.20     N
    30     16428            JOYCIANY BARROS DA SILVA                                                    10041125 ssp/AC           31              6146.90     N
    31     20084            KAREN LAUANA MAIA DOS SANTOS                                                469858 SSP/AC             19              6220.00     N
    32     5009             LUAN LOPES DA SILVA                                                         1370998945 SSP/BA         23              6209.90     N
    33     26475            MARIO JORGE DOS SANTOS PAIVA JUNIOR                                         0313224 SSP/AC            545             4474.10     S
    34     10236            MATEUS ALEXANDRE DE OLIVEIRA NOGUEIRA                                       348037 SSP/AL             20              6217.10     N
    35     1557             MIKAELI ALVES DE SOUZA                                                      1081571-6 ssp/AC          37              6114.90     N
    36     16306            NATÉCIA MONTEIRO SANTOS                                                     0245572 SSP/AC            16              6302.00     N
    37     7511             PÂMELA DE CASTRO TELES                                                      455329 SSP/AC             21              6214.20     N
    38     31581            RAFAELA DOS SANTOS OLIVEIRA                                                 10030646 SSP/AC           34              6127.10     N
    39     35871            RAYSSA SA MACHADO                                                           2008009191085 ssp ce/CE   1               7627.50     N
    40     32154            REGIANE SOUSA DE OLIVEIRA                                                   339929 SSP/AC             33              6129.10     N
    41     37036            REJANE FREITAS DA SILVA SOUZA                                               198752 30032009/AC        234             5222.80     S
    42     36041            RENATA DE ANDRADE FARIAS                                                    2007586806-1 ssp ce/CE    3               7147.80     N
    43     13785            RODRIGO SOUZA SOARES                                                        446915 ssp/AC             28              6164.90     N
    44     8866             RUSLA SANTANA FERREIRA                                                      1090581-2 SSP/AC/AC       17              6280.20     N
    45     28681            SAMUEL DOS SANTOS SARAIVA                                                   10537880 ssp/AC           43              6059.00     N
    46     15822            SANDREIA WEYMA SOUZA DE MORAIS ALMEIDA                                      10127011 SSP/AC           12              6414.10     N
    47     6522             SARIM BRASIL DE ALMEIDA                                                     1182208-2 ssp/AC          25              6189.90     N
    48     18518            SOLANGE DE SOUZA NASCIMENTO                                                 194883 SSP/AC/AC          2               7480.90     N
    49     5453             VÊNDULA LOPES CORREIA                                                       10972943 SSP/AC           45              6049.70     N


                                                                  30-Sistemas da Informa ão (Bacharelado)
    #      Inscri ão         Nom e                                                               Docum ento                       Classifica ão   Pontua ão   Pne
    1      38857             ANA CLARA DE CASTRO MENEZES                                         10392866 sspac/AC                10              6485.50     N
    2      2404              ANDRE LUIZ SILVA DE SOUZA                                           10096019 ssp/ac/AC               15              6419.30     N
    3      20512             ANTONIO GABRIEL ALMEIDA DE SOUZA                                    10520724 ssp/AC                  37              6011.50     N
    4      13920             DANIEL AUGUSTO NUNES DA SILVA                                       257053 SSP/AC                    11              6467.80     N
    5      25225             DANIEL NAVARRO DE CASTRO MURAD                                      1110927-0 SSPAC/AC               30              6119.80     N
    6      7829              EDGAR DA SILVA JUNIOR                                               1150839-6 SSP/AC                 41              5986.50     N
    7      10044             EDNELSON RIBEIRO DA SILVA                                           1152272 ssp/RO                   40              6002.50     N
    8      4678              EDUARDO VENICIUS BIBIANO DOS SANTOS                                 1160699-1 SSP/AC                 27              6138.60     N
    9      37978             EFRAIM GILEADE DE FREITAS TEODORO                                   1065088-1 sspac/AC               46              5946.30     N

np. fac.b / e ib la 2012/ ela o io /li a-ap o ado _po _c   o/                                                                                                       62/64
06/01/12                                                         np. fac.b / e ib la 2012/ ela o io /li a-ap o ado _po _c   o/
    10     8770              FERNANDO RICARDO SENA DE OLIVEIRA                                   11803606 ssp/ac/AC               5     6802.20   N
    11     16046             FORTUNATO MARTINS NETO                                              1054640-5 SSP/AC                 9     6522.10   N
    12     20618             FRANCIANA COSTA DA ROCHA                                            1164158-4 SSP/AC                 43    5971.60   N
    13     24460             GEOVANA MONTEIRO FEITOSA                                            2005009062213 SSPDS/CE           33    6058.50   N
    14     10555             GILSON SOARES DE AZEVEDO JUNIOR                                     10428976 SSP/AC                  28    6126.00   N
    15     25900             ICARO GABRIEL DE LIMA FERREIRA                                      10227598 ssp/AC                  19    6322.00   N
    16     36795             IGOR PAULA CASEMIRO                                                 463518 SJSP/AC                   7     6587.90   N
    17     7730              JÉSSICA HOURI COSSENZO                                              17088950 SSP/MG                  24    6199.70   N
    18     685               JOÃO JOSINO SOBRINHO NETO                                           1052736-2 SSP/AC                 42    5983.70   N
    19     11851             JOÃO ROMÁRIO SINHASIQUE                                             1004450-7 SSP/AC                 25    6182.60   N
    20     23604             JOAO VASCONCELOS DE SOUZA NETO                                      2003002262741 ssp/CE             18    6346.10   N
    21     23983             JOAS DAVI LOPES DA SILVA                                            9222102 CAC 05/PE                31    6072.50   N
    22     954               JOHANNES TIAGO FONTANA ROCHA                                        1111633-1 Rio Branco/AC          13    6449.00   N
    23     3196              JOHN LENNON LOPES DE OLIVEIRA                                       464439 SSP-AC/AC                 45    5949.60   N
    24     10816             JOHNATAN NASCIMENTO ABREU                                           1068061-6 ssp/AC                 21    6255.30   N
    25     31846             JOSE FERREIRA SANTOS DA SILVA                                       410608 SSP/AC                    153   5407.10   S
    26     24803             JOYCY KELLY BERNARDO DE AQUINO                                      8612559 SDS/PE                   8     6566.70   N
    27     10288             J LIA DE SOUSA GOMES                                                10779132 SEJSP/AC                14    6437.80   N
    28     24468             KAMILA BRITO MESQUITA                                               20071805812 SSPDS/CE             2     7064.30   N
    29     37982             LUAN GADELHA LIMA                                                   1010911 SSP/AC                   23    6203.40   N
    30     20039             LUANA SOUZA CUNHA                                                   10428569 SSP-AC/AC               12    6451.90   N
    31     37935             LUCAS GONÇALVES MACHADO DA ROCHA                                    20076424302 ssp ce/CE            4     6829.00   N
    32     2979              LUI FHELIPE AGUIAR QUEIROZ                                          919367 ssp/RO                    22    6229.80   N
    33     6549              LUIS FELIPE DE MELO                                                 1029723-5 ssp/AC                 16    6397.00   N
    34     12934             MARCELO ALBERTO MAXIMIANO DA SILVA                                  120002881-8 Polícia Militar/AC   26    6155.50   N
    35     18543             MARCOS DA SILVA MELO                                                11206853 SSP/AC                  38    6010.50   N
    36     9326              MARISA DE MOURA LUZ                                                 3356338 SSP/PI                   35    6038.10   N
    37     28810             OSIAS FERREIRA DE SOUZA NETO                                        1003282-7 ssp/AC                 36    6025.80   N
    38     35916             OTONIELLE SOUZA DE ABREU                                            10879684 ssp/AC                  17    6385.70   N
    39     17696             OZIRIS DEODATO DE ANDRADE                                           2008009009597 SSP/CE             29    6122.60   N
    40     4100              PABLO MISLEY SILVA DE OLIVEIRA                                      6616886 POLICIA CIVIL/PA         3     6877.00   N
    41     26068             PEDRO                                                               6.373.379 ssp/MG                 20    6314.20   N
    42     27849             RAINER FABIO PEREIRA DA SILVA                                       647153 SSP/RO                    44    5963.10   N


np. fac.b / e ib la 2012/ ela o io /li a-ap o ado _po _c   o/                                                                                         63/64
06/01/12                                                        np. fac.b / e ib la 2012/ ela o io /li a-ap o ado _po _c   o/
    43     24487             RENAN SOARES VERAS                                                 2007010003299 SSPDS/CE          34    6046.80   N
    44     29331             RITA DA COSTA PINTO                                                229542 p/AC                     437   4628.60   S

    45     31297             ROBERTO LIMA DA SILVA                                              863429 SSP/AC                   402   4689.00   S
    46     30118             RODRIGO DE OLIVEIRA SILVA                                          1155128-3 SSP/AC                32    6068.30   N
    47     127               SAVIO CRUZ PEREIRA                                                 421989 SSP/AC                   39    6004.60   N
    48     37726             SILVIO CESAR VIEIRA TORRES                                         2007010245748        p ce/CE    1     7100.80   N
    49     37261             TOSHIMI PEREIRA NISHIZAWA                                          388526     p/AC                 6     6656.10   N
    50     125               WELLINGTON DA SILVA LIMA                                           380054 SSP/AC                   47    5933.10   N




np. fac.b / e ib la 2012/ ela o io /li a-ap o ado _po _c   o/                                                                                       64/64

Resultado preliminarufac2012

  • 1.
    06/01/12 np. fac.b / e ib la 2012/ ela o io /li a-ap o ado _po _c o/ Universidade Federal do Acre - UFAC Comiss o Permanente do Vestibular - COPEVE Resultado Final - Vestibular 2012 89-Artes C nicas (Licenciatura) # Inscrição Nom e Docum ento Classificação Pontuação Pne 1 38356 ALLANA KHRISTIE SOUZA ROQUE 467755 ssp/AC 9 5669.10 N 2 32989 ANA PAULA BANDEIRA PEREIRA 446834 ssp/AC 33 5076.50 N 3 3045 ANDRESSA DE AGUIAR MARIANO DO NASCIMENTO 1106676-8 SSP/AC 7 5831.10 N 4 25884 CAROLINA CANTALICE GRUNEWALD 3228795 SSP/PB 1 6295.00 N 5 38665 CICERA MORGANA DE ALMEIDA PEREIRA 1151492-2 SSP/AC 15 5431.80 N 6 36258 CRISTIANE PAULA DE ARAUJO 261604 ssp/AC 22 5328.60 N 7 30990 EDIMAR ALMEIDA DE AZEVEDO 413033 sjsp/AC 25 5200.20 N 8 29358 EMMILI SANTOS DA SILVA 1039384-6 ssp/AC 8 5685.40 N 9 2116 FRANCISCO BRUNO VITORINO AMORIM 10666435 SSP/AC 13 5561.10 N 10 24334 FRANCISCO ETEVALDO DE MESQUITA SILVA 011444690 ssp/AC 35 5034.70 N 11 28028 GEORGINA DOS SANTOS BEZERRA 123865 ssp/AC 29 5115.20 N 12 21572 GESSY ROSA BANDEIRA DA SILVA 101577 SSP/AC 18 5410.20 N 13 25415 GUILHERME TOMAS DE SANTANA JUNIOR 23196148-1 SSP/MT 4 6095.40 N 14 8477 GUSTAVO SALDANHA DE VASCONCELOS 321783 ssp/ac/AC 19 5408.10 N 15 8225 IZABELLE SILVA DO NASCIMENTO 1041346-4 ssp/AC 10 5593.40 N 16 18917 JAINE CL SSIA DOS SANTOS HENRIQUE 1146844_0 ssp/AC 32 5084.60 N 17 19496 JANAIRA LIMA CORREIA 11521660 SEJUSP/AC 36 5022.40 N 18 13862 JOCENILDO OLIVEIRA DE MENEZES 461270 SSP/AC 26 5199.70 N 19 8076 JULIANA SOUSA PEREIRA 467518 ssp/AC 38 4910.60 N 20 24049 KARINE KETLEM DE SOUZA BRAGA 11308559 ssp/AC 30 5096.10 N 21 29551 LAURIANO ALVES PERET NETO 443937 ssp/AC 17 5423.70 N 22 19792 LUCAS HENRIQUE BARDALES LIMA 48.174.501-4 0101-6/SP 23 5324.80 N 23 26382 LUZENIR DA SILVA CAVALCANTE 134358 SSP/AC/AC 37 5007.20 N 24 31701 MARCELO AUGUSTO LIMA DA SILVA 1020739-2 ssp/AC 24 5281.50 N 25 29889 MARIA AGUINA FREIRE DE OLIVEIRA 0267986 ssp/AC 31 5084.70 N np. fac.b / e ib la 2012/ ela o io /li a-ap o ado _po _c o/ 1/64
  • 2.
    06/01/12 np. fac.b / e ib la 2012/ ela o io /li a-ap o ado _po _c o/ 26 20293 MARIA ALANA DE ALMEIDA BRILHANTE 1141880-0 ssp/AC 16 5428.00 N 27 39016 MARIA DA LIBERDADE XIMENES DE OLIVEIRA 331798 ssp/AC 20 5382.20 N 28 24861 MARIANA DANTAS DE LIMA 470942 SSP/AC 5 6071.10 N 29 3841 MARIANNE SALOMÃO KRIEBEL 1169605-2 SSP/AC 3 6095.50 N 30 36687 MARLUCE DO NASCIMENTO SOARES 231.713 ssp/AC 14 5525.90 N 31 11354 PAMELA VELOSO BENTO ALENCAR 3.600.990 SSP/PI/PI 21 5347.30 N 32 39613 PATRCIA SILVA DE SOUZA 457359 SSP /AC 34 5035.00 N 33 21157 PEDRO COSTA DO CARMO OLIVEIRA 417778 ssp/AC 11 5574.10 N 34 3711 RAIMUNDO NONATO FERNANDES DE LIMA 1074359-6 ssp/AC 28 5137.70 N 35 26314 ROGERLEIDE MENDONÇA DA SILVA 431389 ssp/AC 27 5170.80 N 36 25897 TAYSA CAMPELO LUCENA VIEIRA 3647907 SSP/PB 12 5564.30 N 37 3854 VANGLEANE DO AMARAL MELO 451156 SSP/AC/AC 2 6282.30 N 38 33097 YURI MARCEL PIRES DA SILVA RODRIGUES 412937 SSP/AC 6 6008.70 N 86-Ciências Biol gicas (Bacharelado) - CZS # Inscrição Nom e Docum ento Classificação Pontuação Pne 1 28785 ADRIANA PREDES MATOS BELTRAMI 513831 COMAER/PA 4 5846.00 N 2 1658 ADRIANO FERREIRA DE OLIVEIRA 1100877-6 SSP/AC 43 4909.40 N 3 16537 ALESON DA SILVA FONSECA 002657624 ITEP/RN 23 5126.40 N 4 25562 ALISON VINECLIFFE FERREIRA NOGUEIRA 10580522 SSP/AC 36 4988.10 N 5 17240 ANA JOYCE DA SILVA 386147 12/01/2000/AC 46 4864.20 N 6 23529 ANDRESSA DE SABOYA MACAMBIRA 2004010356006 ssp/CE 32 5011.50 N 7 21375 ANNE CAROLINE ALVES MEIRELES 11939448 SSP/RO 22 5149.30 N 8 26117 BIANCA LIMA NASCIMENTO 10438513 SSP/AC 8 5712.00 N 9 25928 BIANCA NUNES CALDINI 2006009009167 ssp ce/CE 9 5635.00 N 10 20362 CAMYLLA BANDEIRA MIRANDA 2008009141959 SSP/CE/CE 10 5506.20 N 11 39447 DANILO COELHO DE OLIVEIRA 1164617-9 ssp/AC 34 5004.80 N 12 15364 DENIZE BARROS MARTINS DE FIGUEIREDO 2008097047186 Brejo Santo/CE 37 4958.70 N 13 29779 FABIANO DE SOUZA SILVA 1156312-5 sejsp/AC 33 5007.00 N 14 6209 FERNANDO RODRIGUES FREITAS 4333525891 ssp/SP 25 5110.80 N 15 9876 FRANCISCA AELIA COSTA RAMOS 11562668 ssp/AC 42 4909.80 N 16 28970 FRANCISCA ALCILENE LUCAS LIMA 11024917 ssp/AC 20 5188.30 N 17 5194 FRANCISCA RUTHIALY DO NASCIMENTO LIMA 1149260-0 ssp/ac/AC 19 5218.50 N np. fac.b / e ib la 2012/ ela o io /li a-ap o ado _po _c o/ 2/64
  • 3.
    06/01/12 np. fac.b / e ib la 2012/ ela o io /li a-ap o ado _po _c o/ 18 14542 FRANCISCA TAMYA DE SOUZA LIMA 1196091-4 ssp/AC 38 4943.90 N 19 22564 GEANE FERREIRA DA SILVA 10487700 ssp ac/AC 29 5037.60 N 20 22793 HEVELYN PL CIDO DE BRITO 1161676 23/06/2009/RO 18 5226.40 N 21 19868 IOLANDA DE SOUZA BARREIRA 2004010213426 SSPDS/CE 5 5750.60 N 22 18558 JAMILY NEPOMUCENO DOS SANTOS 2008010353417 SSPDS/CE 7 5720.40 N 23 32861 JÉSSICA PESSOA PIMENTEL 1081773-5 SSP/AC 24 5123.60 N 24 32145 JESSICA SOUZA DOS SANTOS 1139753-5 P7/AC 13 5464.70 N 25 17919 JOHNATAN DAMACÊNO DA SILVA 11759640 SSP/AC 15 5345.70 N 26 15422 KARINNE BRITO SOUSA 2007892900-2 ssp/CE 2 6055.60 N 27 19192 KEILA ROBERTA SOUZA DA SILVA 1135250-7 ssp/AC 47 4852.90 N 28 23366 KENYTH JACOB MARTINS 1170267 SSP/RO 16 5343.90 N 29 27205 LAIS ALVES MOREIRA BRASILEIRO 2006009080651 SSPDS/CE 1 6257.30 N 30 29958 LAURA REGINA VASCONCELOS DE MELO 11791918 ssp/AC 31 5017.50 N 31 1087 LIRIA CAROLINE PEREIRA DE SOUZA 11706228 SEPC/AC 45 4866.70 N 32 19873 LUCAS BARRETO DE ANDRADE 11455438 ssp/AC 14 5436.10 N 33 16051 MANUELA BEZERRA OLIVEIRA 1144906-3 SPP/AC 30 5033.10 N 34 8131 MARIA LUIZA DOS SANTOS GOMES 10612440 ssp/AC 27 5042.20 N 35 12144 NATALIA LIMA FAGUNDES 11637706 SSP/AC 35 4992.70 N 36 6990 PAULO HENRIQUE BRUM RESENDE 411347 SJSP/AC 6 5749.10 N 37 26307 PAULO ROBERTO MORAIS DA COSTA 1195034-0 SSP/AC 12 5465.80 N 38 18800 PRISCILA MICHELE RODRIGUES SOARES 1114735 ssp/RO 3 5879.60 N 39 19266 QUEITE LIMA BARBOZA 11946822 SSP/AC 39 4940.40 N 40 35881 RAFAELA LIMA ANDRIOLA 1124412-7 ssp/AC 41 4912.20 N 41 37757 RAIMUNDO DA ROCHA PEREIRA 338106 sspac/AC 80 4557.70 S 42 11156 RAYANA KELLEN PAULA DE OLIVEIRA 2516505-4 SSP/AM 26 5086.20 N 43 38825 REBECA DE LIMA 34576774-3 SSP/SP 28 5037.70 N 44 27428 RITHELE CAROLINE ROYSAL DA SILVA 1150202-9 ssp/AC 11 5472.00 N 45 22707 RONALDO SOUZA DA SILVA 1196823-0 SSP/AC 21 5160.40 N 46 18672 THAYLINNE ROCHA DA SILVA 20580282 ssp/AM 17 5233.40 N 47 36471 TONI LAMARQUE MACIEL BEZERRA 0257326 SSP/AC 40 4939.50 N 48 30613 VALERIA MACIEL DE SOUZA 1195044-7 SEPC/AC 44 4904.20 N 20-Ciências Biol gicas (Licenciatura) np. fac.b / e ib la 2012/ ela o io /li a-ap o ado _po _c o/ 3/64
  • 4.
    06/01/12 np. fac.b / e ib la 2012/ ela o io /li a-ap o ado _po _c o/ # Inscri ão Nom e Docum ento Classifica ão Pontua ão Pne 1 27494 ALDELANE DO NASCIMENTO DIOGENES 1058357-2 SJSP/AC 3 6039.90 N 2 34687 ALESSANDRA DE AGUIAR LOPES 11074051 SSP/AC 41 5070.00 N 3 57 ALINE PANMELA DA SILVA BRILHANTE 431434 ssp/AC 43 5047.80 N 4 16536 ANDRÉ DE LIMA SILVA 1160675-4 ssp/AC 28 5199.70 N 5 24458 ANGELA MARIA DA SILVA MENDONÇA 454569 SSP/AC/-- 27 5248.50 N 6 33397 ANNEM ENA MONTEIRO DA SILVA 1083353-6 SSP/AC 35 5132.80 N 7 22270 ANT NIA ANGÉLICA SILVA LIMA 1118224-5 SSP/AC 31 5174.20 N 8 16216 BIANCA DE SOUSA SARAIVA 98002504333 SSPDS/CE 4 5928.40 N 9 1634 BRIGITTE GOUVÊA ESTÁCIO 53117327-6 SSP/SP 1 6373.40 N 10 18510 BRUNA MOISÉS PAULA MATOS 10040773 SSP/AC 33 5152.60 N 11 29933 BRUNA THAILA BEZERRA FRANCISCO 10896775 ssp/AC 47 5006.30 N 12 18246 CAROLINE CHAAR DELLA LIBERA 1115197-8 SSP/AC 36 5103.10 N 13 11267 CLEBERSON PEREIRA DE SOUZA 11345608 SSP-Ac/AC 17 5405.10 N 14 24144 CLEYCIANE CAMILA DE SOUZA BELO NOGUEIRA 467285 ssp/AC 8 5780.30 N 15 21115 CRISTINA NERES FERREIRA 388235 SSP/AC 19 5352.00 N 16 13400 DANIELA FARIAS MOURÃO 2449520 SSP/DF 24 5283.60 N 17 11847 ELAYNE CRISTINE FERREIRA BRAGA 10326871 ssp/AC 37 5097.20 N 18 9311 FRANCISKRISTYAN FERREIRA MARQUES 349563 SSP/AC 10 5658.50 N 19 30987 GESSIANE JANUÁRIO DE LIMA 1127797-1 sjsp/AC 2 6051.20 N 20 24241 ISABELA ALBERICO SOUSA 523168792 ssp/SP 21 5324.90 N 21 11383 JANAINA ALVES DA SILVA PEREIRA 1141336-0 ssp/AC 15 5423.60 N 22 37012 JÉSSICA BÁRBARA DA SILVA PAIVA 1110537-2 SSP-AC/AC 30 5175.10 N 23 15724 J NATAS MACHADO LIMA 11959436 SSP/AC 22 5302.30 N 24 19570 KATRICIA KEROLLAYNE DA SILVA NASCIMENTO DE SOUZA 460087 SSP/AC/AC 42 5056.90 N 25 10667 KLEDSOM AMARO DE MOURA FE 2481098 SSP/PI 20 5349.00 N 26 21444 LAIANE GOMES DE OLIVEIRA 10446400 SSP/AC 34 5148.90 N 27 17933 LARISSA CRISTINA LINS BERBER 2463746 ssp/DF 32 5153.90 N 28 27356 LEANDRO DA SILVA NAVARRO 10875999 SSP/AC 80 4819.50 S 29 16672 LEANDRO DO CARMO NASCIMENTO 420545 ssp/ac/AC 16 5418.20 N 30 6981 LETÍCIA COSTA CARVALHO 10655360 SSP/AC 39 5074.40 N 31 22278 LUÍS COSTA DA SILVA 10508996 SSP/AC/AC 40 5071.80 N 32 5256 MARCELO AUGUSTO DE OLIVEIRA DA SILVA 1133931-4 SSP-AC/AC 6 5919.10 N np. fac.b / e ib la 2012/ ela o io /li a-ap o ado _po _c o/ 4/64
  • 5.
    06/01/12 np. fac.b / e ib la 2012/ ela o io /li a-ap o ado _po _c o/ 33 39093 MARIA CHERLENE FERREIRA DA SILVA 419500 SSP/AC 23 5295.50 N 34 29169 MARIA DA GLORIA FERREIRA DA SILVA 308937 sjsp/AC 336 4052.50 S 35 302 MARIA GABRIELA PEREIRA BRANDÃO 10846433 SSP/AC 14 5467.00 N 36 25742 NARJARA THAIS DO NASCIMENTO LEBRE 469634 SSP/AC 25 5277.70 N 37 25931 PASCALE ASSUNÇÃO SANTOS 1076701-0 ssp/ac/AC 18 5352.40 N 38 4446 PRISCILLA TABOSA DO NASCIMENTO 1070145-1 ssp/AC 44 5032.20 N 39 10736 RAPHAEL SANTOS DAS MERCÊS 6828615 Segup/PA 7 5802.80 N 40 21227 RAQUEL REZENDE DANTAS 467295 SSP/AC 12 5612.40 N 41 34437 RICHEL SILVA DE CARVALHO 11370548 SEJUSP/AC/AC 9 5769.00 N 42 26721 ROSIANE DE SOUZA VIANA 1083407-9 ssp/AC 38 5095.80 N 43 24761 ROSICLÉIA MATIAS DA SILVA 001760185 SSP/MS 45 5025.40 N 44 20302 TERESA VITORIA FEITOZA BARLETTA 2006009056602 SSPDS/CE 13 5532.30 N 45 9483 TEREZINHA SOUZA DE NAZARÉ 1119583-5 SSP/AC 46 5021.90 N 46 37843 THAISA RODRIGUES VIEIRA 2007530891-0 ssp ce/CE 5 5926.30 N 47 40185 WERMESON DA SILVA PAIVA 1027776-5 SSP/AC 11 5651.50 N 48 20690 WHISNAYDER MARTINS GENTIL 1152995-4 RFB/AC 29 5177.20 N 49 11730 ZIL NASCIMENTO DE OLIVEIRA 413093 SSP/AC 26 5262.30 N 173-Ciências Biol gicas (Licenciatura) - CZS # Inscrição Nom e Docum ento Classificação Pontuação Pne 1 10489 ALESSANDRA MAYNARAH NASCIMENTO DE SANTANA 10967370 Cruzeiro do Sul/AC 17 5290.80 N 2 15216 ALEX SILVA DE OLIVEIRA 1074462-2 SEJSP/AC 38 5031.80 N 3 29922 ALISON LIMA DA SILVA 11060131 SSP/AC 39 5030.70 N 4 30084 ANA CLEA BATISTA DA CRUZ 375173 SJSP/AC 195 4370.80 S 5 26350 ANTONIO DIONES SILVA DE SOUZA 21937516 SSP/AM 4 5663.00 N 6 5999 CAIO DO NASCIMENTO COSTA 120058705-1 MEX/AM/AM 16 5294.00 N 7 35205 DEMETRIUS DO NASCIMENTO MELO 10026630 SSP/AC 43 5014.70 N 8 2415 EMILSON DA SILVA CAVALCANTE 1105301-1 SJSP/AC 18 5287.60 N 9 27312 ENEILTON TAVEIRA DE ALMEIDA 09689621 seseg/AM 28 5167.60 N 10 26148 ERILTON MENDES DE OLIVEIRA 1176367-1 ssp/AC 29 5130.20 N 11 25169 FABIANO MELO RODRIGUES 426359 SSP/AC 11 5397.50 N 12 14564 FRANCISCA ELIVANE DA SILVA LIMA 1187631-0 SSP/AC 6 5562.30 N 13 21106 FRANCISCO CLEISSON ANTÃO DA SILVA 397483 SSJP/AC 41 5028.10 N 14 30296 FRANCISCO MAILORD ABREU DE OLIVEIRA 10276327 SSP/AC 23 5236.50 N np. fac.b / e ib la 2012/ ela o io /li a-ap o ado _po _c o/ 5/64
  • 6.
    06/01/12 np. fac.b / e ib la 2012/ ela o io /li a-ap o ado _po _c o/ 15 12079 FRANCISCO RONI SOUZA ZUMBA 11402520 SSP/AC 2 5939.50 N 16 33174 GEOVANE SOUZA DA SILVA 1096462-2 SJSP/AC 33 5082.70 N 17 26102 GROVER DANIEL RIBEIRO PEREIRA 0267660 SSP/AC 44 5008.20 N 18 21792 HELEN NEPOMUCENO AZEVEDO 10952675 SSP/AC 32 5095.80 N 19 5843 ISMAEL CARLOS GOLVEIA DA SILVA 120381-0 CBMAC/AC 13 5334.80 N 20 26303 ISMAEL SILVA DE AZEVEDO 1163736 - 6 SSP/AC 7 5537.40 N 21 346 JOAO FAGNER SOUZA DO CARMO 5348575 SSP/PA 3 5834.70 N 22 31334 JOSE LUIZ SANTIAGO DE LIMA 11449047 SJSP/AC 46 4995.20 N 23 21164 JULIANA DE SOUZA ARA JO 10116990 SJSP/AC 35 5062.00 N 24 60 JULIANE SOUZA DE FREITAS 413482 SJSP/AC 9 5522.30 N 25 34612 KARINA ELLEM BEZERRA DA SILVA 1106278-9 SEJSP/AC 12 5395.50 N 26 29791 LARA CAMELO FERREIRA 529750 /CE 24 5183.90 N 27 23757 LEIDIMAR SARAIVA DA COSTA 10241370 ssp /AC 19 5255.60 N 28 28119 MARCONDES DE LIMA RODRIGUES 10049754 SJSP/AC 47 4995.00 N 29 30631 MARCOS JARDESSON DA SILVA AZEVEDO 413442 ssp/AC 22 5239.40 N 30 18587 MARIA CRISTIANA DE FREITAS DA COSTA 1009360-5 SEJSP/AC 26 5176.90 N 31 13608 MARIA DE FATIMA MELO RODRIGUES 435458 SJSP/AC 5 5597.00 N 32 26110 MARIA ELIDA DE JESUS FARIAS 10863770 SSP/AC 8 5527.70 N 33 4150 MARIA IRENILDE DA SILVA PAULINO 0315152 SSP/-- 20 5250.70 N 34 40068 MARIA JOSÉ DAS NEVES PAULA 1036115-4 SJSP/AC 42 5016.80 N 35 17888 MARIA MELICIA DE OLIVEIRA MELO 1183489-7 sepc/AC 10 5484.00 N 36 18707 MARIA NEIRE COSTA DE LIMA 435207 SSP/AC 36 5041.90 N 37 16443 MIRNA COSTA SILVA 435642 SJSP/AC 25 5177.10 N 38 16489 MONARIA MATIAS DA SILVA BERNARDO 436403 SJSP/AC 34 5067.10 N 39 23766 NADSON VIEIRA DA COSTA 1033280-4 SJSP/AC 1 6068.80 N 40 28560 NAIANE LEITE DA SILVA 11152451 SJSP /AC 119 4646.20 S 41 6995 NATIELE SILVE DE OLIVEIRA 11326840 SSP/AC 27 5174.90 N 42 37563 ORLESSANDRA DE SOUZA MARTINS 2741833-2 Guajará/AM 45 4999.30 N 43 2517 PATRICIA DA SILVA ARAUJO 19420889 SSP/AM 14 5318.70 N 44 33848 REGINALDO ANTÃO DA SILVA 0283578 sjsp/AC 30 5126.40 N 45 7906 RODRIGO LIMA MOURA 1047532-0 SSP-AC/AC 40 5030.40 N 46 19883 RODRIGO SANTOS CHARIFE 10611932 SSP/AC 21 5240.30 N 47 24665 SAMARA SILVA DE MACÊDO 10175970 ssp/ac/AC 15 5301.60 N np. fac.b / e ib la 2012/ ela o io /li a-ap o ado _po _c o/ 6/64
  • 7.
    06/01/12 np. fac.b / e ib la 2012/ ela o io /li a-ap o ado _po _c o/ 48 4044 SAMILE DA SILVA MAIA 1045328-8 sjs/AC 31 5111.20 N 49 3575 YURI UCHOA GALVAO 437808 SSP/AC 37 5035.50 N 02-Ciências Econ micas (Bacharelado) # Inscrição Nom e Docum ento Classificação Pontuação Pne 1 33491 ALAN LADE DE SOUZA CARMIM 368708 SSP/AC 39 6170.40 N 2 31417 ALEXSANDRO DA SILVA BEZERRA 0343147 SSP/AC 406 4741.60 S 3 32120 AMARALINA JOYCE MACEDO DE ANDRADE 2004029015247 SSP/CE 10 6746.60 N 4 39240 AMIRALDO VITOR DE MENDONÇA 1275474631 MD/AM 43 6135.90 N 5 6164 ANA CARLA RAMOS DE ALBUQUERQUE 0284697 sspac/AC 38 6190.00 N 6 35318 ANDRE FELIPE MIRANDA DE LIMA 10440690 SSP/AC 21 6516.80 N 7 20251 ANTONIO ADRIANO DE ARAUJO RAMOS 0131842544 MIN DEF EX BRAS/AM 12 6711.40 N 8 38974 BRUNO COELHO WILBERT 0537617243 MD/EB/AM 20 6519.90 N 9 38981 CAYO WILLIAM CASTRO FERNANDES 460971 ssp/AC 37 6207.70 N 10 29525 CELSO MIRANDA NUNES JUNIOR 0284437 SSP AC/AC 34 6249.20 N 11 30611 CHRISTIAN JAHEL SARMENTO 1474066330 ssp/BA 9 6856.10 N 12 30904 CLEDILSON BATISTA DA SILVA 405428 SSP/AC 26 6440.90 N 13 12034 DANIEL BEZERRA FARIAS SALES 2000010140884 SSP/CE 31 6331.90 N 14 10344 DANIELA VIANNA BEZERRA DE MELLO 28.152.712-7 Detran/RJ 3 6973.10 N 15 16224 FERNANDO FURTADO DE MELO NETO 2007163658 SSPDS/CE 2 6978.60 N 16 9733 GIGLIANE GONÇALVES DE SOUZA 1006497-4 SEJUSP/AC 46 6094.50 N 17 39725 GUILHERME SIMÃO MONTEIRO 1156847 SSP/RO 19 6545.40 N 18 16008 IGOR ALBUQUERQUE PONTES 1102982-0 SSP/AC 1 7022.80 N 19 6412 ITAAN ROGER NASCIMENTO DA SILVA 462366 ssp/ac/AC 42 6143.00 N 20 23976 JARDESSON SILVA ARA JO 11199865 SSP/AC 45 6099.50 N 21 28343 JOHN PHILIP PEREIRA SPEAR KING 26471991-5 DETRAN/RJ 8 6877.80 N 22 19857 JOSE DIMAS DINIZ RUFINO FILHO 2001002100516 SSPDS/CE 40 6167.60 N 23 11351 JOSÉ MARCOS RABELO ALMEIDA 1147365-7 ssp/AC 47 6089.70 N 24 16243 JOSE PARENTE PRADO NETO 2006002108771 SSPDS/CE 11 6713.50 N 25 29709 JOSE ROBERTO LABORDA DA SILVA 2006010284494 ssp ce/CE 13 6669.90 N 26 30898 JUSCELINO OLIVEIRA RODRIGUES DE QUEIROZ 442533 SSP/AC 36 6221.10 N 27 10456 LORENA MOTTA CANTANHÊDE 697932 SSP/RO 27 6431.70 N 28 40019 LOURIVAL BRUNO ANGELO 1131863-5 OUT/AC 407 4739.20 S np. fac.b / e ib la 2012/ ela o io /li a-ap o ado _po _c o/ 7/64
  • 8.
    06/01/12 np. fac.b / e ib la 2012/ ela o io /li a-ap o ado _po _c o/ 29 4551 LUCIANO SANTOS DE FARIAS 11196319 SSP/AC 35 6229.00 N 30 31895 MARCELLO QUARESMA LEÃO 0295996 ssp/AC 17 6592.50 N 31 36250 MARCELO SAMPAIO DOS SANTOS 314235 S S P/AC 385 4798.20 S 32 24171 MARCOS ANTONIO DA LUZ 2903249 SSP/PI 7 6885.20 N 33 24057 MARIA TAINÁ ITALIANO DE ALBUQUERQUE 1159506-0 SSP/AC 15 6647.30 N 34 2608 MATHEUS RODRIGUES RIBEIRO 14.248.867 SSP/MG 32 6304.60 N 35 27175 MAX ELIAS DA SILVA ARAUJO 1100108-9 SSP/AC 18 6546.10 N 36 11837 NILDO RUIZ BESSA J NIOR 351643 SJSP/AC 44 6099.80 N 37 20038 ORLEANS FERREIRA MOTTA 1114446-7 SSP/AC 14 6650.80 N 38 29810 PAULO HENRIQUE WEBER DE SOUZA 0131649741 Min da Defesa/AC 30 6332.00 N 39 22582 PAULO SILVA DOS SANTOS 674761 ssp/RO 23 6514.50 N 40 12845 PAULO VITOR RIBEIRO DE OLIVEIRA 7305779 detran/PE 29 6363.80 N 41 6382 PEDRO GILBERTO CAVALCANTE FILHO 293892 SSP/AC 28 6408.50 N 42 24659 RENATO NASCIMENTO ACCIOLY 8844048 SDS/PE 25 6498.90 N 43 2175 RODRIGO CORDEIRO XAVIER 504437 COMAER/RO 4 6938.40 N 44 26784 ROGÉRIO VASCONCELOS DO NASCIMENTO 0299249 SSP/AC 22 6516.40 N 45 24766 RONIERE BRANDÃO DE SOUZA 363038 SSP/AC 5 6916.50 N 46 6632 THIAGO MARINO DA SILVA BRAUN 1148085-8 SSP/AC 41 6154.30 N 47 20620 VANESSA DE SOUZA FERNANDES 11655232 SSP/AC 33 6274.60 N 48 39146 VICTOR BALBINO DOS SANTOS 5384782 SSP/GO 6 6906.00 N 49 2660 VICTOR HUGO LOPES 407552807 SSP/SP 16 6622.90 N 50 21362 WILSON LUIZ FRANÇA DE CARVALHO 121559 SSP/MT 24 6508.40 N 21-Ci ncias Sociais (Bacharelado) # Inscrição Nom e Docum ento Classificação Pontuação Pne 1 29596 ADRIANA LIMA CORDEIRO 362187 SSP/AC 9 6473.20 N 2 33235 ANA CRISTINA DA SILVA OLIVEIRA 461482 ssp/ac/AC 39 5862.70 N 3 20326 BEATRIZ MELO BARROS 2004009201282 SSPDS/CE 7 6548.80 N 4 18859 CACIO ALBERTO DE ARAUJO BEZERRA 457200 ssp/AC 16 6125.90 N 5 16879 CARLOS HENRIQUE LEMES DA SILVA 488120184 ssp/SP 26 5974.50 N 6 1724 CHAGAS LOPES DA SILVA DE SOUSA 1158611-7 SSP/AC 37 5875.40 N 7 38174 CHRISTIAN SOCORRO BATISTA DOS SANTOS 277591 ssp/AC 40 5852.30 N 8 36233 CRISLANNY NOGUEIRA DE OLIVEIRA 1161325-4 Oca/AC 25 6003.40 N np. fac.b / e ib la 2012/ ela o io /li a-ap o ado _po _c o/ 8/64
  • 9.
    06/01/12 np. fac.b / e ib la 2012/ ela o io /li a-ap o ado _po _c o/ 9 7314 DELVON QUELVIS VIANA CAMARGO 274385 ssp/AC 21 6021.50 N 10 15998 DIEGO DOS SANTOS MACIEL 348248 ssp/AC 14 6233.10 N 11 37741 FRANCINEUDO SOUZA DA COSTA 407953 SSP/AC 28 5955.30 N 12 17632 FRANCISCO MARCELO VIEIRA E SILVA 2913654 SSP/PI 27 5970.80 N 13 7760 GERSIANE PINHEIRO DA SILVA 10165665 SSP/AC 43 5798.30 N 14 34260 GIOVANNI STEFANO LIMA SATTA 2007373249-9 sspce/CE 31 5900.90 N 15 34776 GRAZIA DA SILVA BALCAZAR 148543 SSP/AC 36 5877.20 N 16 15183 GUTEMBERG CORDEIRO DO NASCIMENTO 416503 SSP/AC 35 5880.50 N 17 37708 HIGRID DOS SANTOS DE LIMA RIBEIRO 392202 S/S/P/AC 53 5691.70 S 18 16236 ISABEL CRISTINA FREITAS DE ALBUQUERQUE 2006009133585 SSPDS/CE 10 6387.50 N 19 37249 IZADORA BARBOSA FERNANDES GONÇALVES 2743605 ssp-df/DF 29 5946.00 N 20 19956 JADE FELICIO VIDAL 2001010462847 SSPDS/CE 30 5916.20 N 21 35072 JÉSSICA DA SILVA PEREIRA 458493 SSP/AC/AC 44 5793.70 N 22 30091 JOELMA RODRIGUES RIBEIRO 11403624 sspac/AC 24 6006.20 N 23 8316 J LIO CÉSAR DE MOURA LUZ 3.276.044 SSP/PI 12 6363.80 N 24 23376 KÁTIA MARIA MACIEL BARROSO 0299299 SJSP/AC 23 6010.80 N 25 17498 LARISSA DE SOUSA CORREIA 2007009129268 SSPDES/CE 2 7346.80 N 26 31731 LUAN KAYLLON CAVALCANTE CHAVES 1114787-3 Instituto de id/AC 15 6168.90 N 27 10119 LUZIA NOELIA GUEDES DA SILVA 137163 SSP/AC 41 5842.30 N 28 25903 MAIARA CRISTINA BARROS DA SILVA 427829 SSP/AC 46 5775.80 N 29 35743 MARCOS ROBERTO DE OLIVEIRA ARA JO 216331 SSP/AC 42 5812.10 N 30 38617 MARIA AMELIA FIGUEIREDO MUBARAC 116110 SSP/AC 18 6098.20 N 31 9965 MARIA ELIDA SANTIAGO DE SOUZA 0336403 SSP/AC 38 5867.00 N 32 33121 MARLETE DOS SANTOS LOPES E SILVA 154972 SSP/AC/AC 4 6624.20 N 33 29378 MAURO CELSON SILVA DOS SANTOS 120416-4 CBMAC/AC 17 6107.40 N 34 14902 OLIVIA MARIA BORGES E CAMPOS 00001071288 SSP/RO/RO 22 6015.50 N 35 31122 PRICILA LIM DE OLIVEIRA 446183 uss/AC 411 4475.10 S 36 17830 PRISCILA CALLES PRATA BRAGA 53974517-0 SSPDS/CE 11 6371.10 N 37 32703 RAIFRAN MESQUITA SILVA 458715 SJSP/AC 3 6810.00 N 38 37132 RAMON HOLANDA BANDEIRA 354632 SSP/AC 33 5897.10 N 39 4998 ROSILENE GOMES SABÓIA 292798 ssp/AC 32 5900.20 N 40 12945 SUZANA NASCIMENTO DE LIMA 0246726 SSP/AC 20 6061.80 N 41 31680 TANIA MARIA SILVA VALE 199720 SSP/AC 45 5788.60 N np. fac.b / e ib la 2012/ ela o io /li a-ap o ado _po _c o/ 9/64
  • 10.
    06/01/12 np. fac.b / e ib la 2012/ ela o io /li a-ap o ado _po _c o/ 42 29678 THAMIRES FERREIRA ARAGAO 721341-7 AERONA TICA/CE 5 6599.00 N 43 20311 THAYNARA SANTA CRUZ LIMA 2004002168280 SSPDS/CE 34 5896.50 N 44 36377 THAYS FERREIRA DA SILVA 2007156711-3 ssp ce/CE 19 6064.30 N 45 24313 TOM LUCAS VIANA REIS 460051 SSP/AP 6 6590.00 N 46 29137 VANDESSON BRAGA MELO 402332 ssp/AC 8 6501.30 N 47 18552 VICTORIA PRACIANO MENEZES 20050101222814 SSPDS/CE 1 7386.50 N 48 5304 VITORIA REGIA BARBOZA LIMA 32067585 SSP/AL 47 5747.10 N 49 37773 WITALO ALBUQUERQUE TURBANO 2007464230-2 ssp ce/CE 13 6351.10 N 70-Comunica ão Social/Jornalismo (Bacharelado) # Inscri ão Nom e Docum ento Classifica ão Pontua ão Pne 1 31345 ALAN DEYVID OLIVEIRA DANTAS 10279920 SSP/AC 37 5441.50 N 2 33363 ALEXANDRE GONZAGA PASCOAL JUNIOR 221348 SSP/AC 10 5788.60 N 3 34235 AMANDA LOURDES SILVA AGUIAR 00001030250 SSP/RO 21 5615.40 N 4 12362 AMANDA SIQUEIRA DE OLIVEIRA XAVIER 8.863.956 SDS/PE 27 5544.50 N 5 2628 ANA ARISA PIRES LIMA 157827 politec/AP 45 5372.70 N 6 2897 ANA CARLA ARAGÃO NERE 11278331 ssp/AC 15 5714.00 N 7 19485 ANA FLAVIA DE LIMA ROCHA 003179670 SSP/RN 13 5728.30 N 8 23689 ANDRÊIZA RAIMUNDA MENDES RIBEIRO DA COSTA 3266207 SSP/PI 19 5672.40 N 9 22838 ANNE GABRIELE DE BARROS SILVA 8698151 SDS/PE 40 5414.90 N 10 5095 BRUNNA LAYS DA SILVA SOUSA BRUNO 33548226 SEDS/AL 20 5650.70 N 11 23756 CÁSSIA CAROLINE RAMOS VERAS 1064895-0 outro/AC 44 5405.30 N 12 32922 CHRISTIAN DOS SANTOS BRESSAN VITAL 370423033 ssp-sp/SP 4 6114.70 N 13 21819 CLAUDIANA NASCIMENTO NOGUEIRA 9026006 SDS/PE 46 5354.90 N 14 9713 DANIEL ALVES SCARCELLO 10694064 SSP/AC 5 5997.00 N 15 30915 ELIONIDAS GONÇALVES DE AQUINO FILHO 002907442 SSP/RN 60 5264.90 S 16 20969 FELÍCIA LANAY DE SOUZA DO NASCIMENTO 1130170-8 23.05.2011/AC 38 5426.00 N 17 329 FRANCISCO JUSCELINO BANDEIRA FERREIRA JUNIOR 10480315 ssp/AC 11 5784.60 N 18 10711 GELCICLÉIA SOUZA DAMASCENO 419025 SSP/AC 32 5474.70 N 19 12740 GUYDSON SANTOS LEAL LUZ 3.250.795 ssp/PI 33 5470.80 N 20 17094 INGRID FERREIRA DA SILVA 11723203 SSP/AC 6 5959.90 N 21 17675 INGRIDD MOTA FERNANDES VIEIRA 2003013024235 SSP/CE 1 6639.30 N 22 35771 IOHANA GOMES COE 2007596057-0 ssp ce/CE 31 5488.70 N 23 10235 ISABELLE CAMILA NASCIMENTO SILVA 1091279-7 ssp/AC 23 5580.50 N np. fac.b / e ib la 2012/ ela o io /li a-ap o ado _po _c o/ 10/64
  • 11.
    06/01/12 np. fac.b / e ib la 2012/ ela o io /li a-ap o ado _po _c o/ 24 36902 ITAMAR NASCIMENTO SILVA 11886005 SSP/AC 34 5467.90 N 25 17198 JOAO DE DEUS VIEIRA DE OLIVEIRA 22040382 ssp/AM 43 5407.60 N 26 1753 JORDANIA DA SILVA AQUINO 0259612 SSP/AC 35 5467.40 N 27 23130 JOSÉ GUSTAVO CAMPOS DE LIMA 10530630 SSP/AC/AC 41 5410.40 N 28 7425 JOSHUA PERDIGÃO DE SOUZA 5684368 SSP/PA 39 5425.40 N 29 32708 LEANDRA BEATRIZ HAERDRICH CUNHA 1194863-9 ssp/AC 29 5493.70 N 30 13538 LUZIA CRISTIANA SCHNEIDER 403478 ssp/ac/AC 28 5533.40 N 31 4747 MÁRCIA CRISTINA MOREIRA DE SOUZA 1088798-9 ssp/ac/AC 47 5351.50 N 32 15881 MARIA DE JESUS VIEIRA DO NASCIMENTO DE SOUZA 10259732 SSP/AC/AC 36 5444.00 N 33 30863 MARIA DULCIONE FERREIRA DO NASCIMENTO 1039475-3 SJSP/AC 30 5488.80 N 34 30160 MARIA EDITE MOURA GOMES 152330720002 GEJUSP/MA 24 5577.20 N 35 23447 MARIANA DA SILVA DIOGENES 2007855128-0 ssp/CE 3 6152.90 N 36 11118 MARINA VIANA DE CARVALHO 2000010619705 SSP/CE 18 5675.80 N 37 7095 MARINARA BREVE FERREIRA LUSVARDI 1146906-4 AC/AC 22 5580.70 N 38 30653 PENÉLOPE SIQUEIRA CAMPOS CANTALICE DE OLIVEIRA 3495027 SSP-PB/PB 2 6302.50 N 39 4253 PRISCILA CRISTINA MIRANDA DE ARA JO 1106810-8 ssp/AC 17 5679.40 N 40 36010 REBEKA GUIMARAES REBOUÇAS 2006009036946 ssp ce/CE 9 5841.40 N 41 16356 RENATA DA ROCHA HORA 1014695 SSP/RO 16 5683.80 N 42 22618 RODRIGO SOUZA ALVES DE OLIVEIRA 6707768 policia civil/PA 26 5547.50 N 43 11906 SABRINA LUZ BARROS 3248830 SSP/PI 42 5410.10 N 44 17929 STEPHANIE FREITAS PEREIRA SALES DE AGUIAR 3196872-4 SSPDS/SE 7 5905.70 N 45 29891 VINICIUS JESUS MUNHOZ ROSA 48266498-8 SSP/SP 8 5905.60 N 46 1694 VITÓRIA BEATRIZ VIEIRA E SILVA 10798820 ssp/AC 12 5768.70 N 47 31002 WISNEY FONTINELE MOURA DE ANDRADE 3098905 SSP/PI 25 5552.70 N 48 25507 YASMINE SAINUN ACCORSI 2096137506 SSP/RS 14 5715.20 N 01-Direito (Bacharelado) # Inscri ão Nom e Docum ento Classifica ão Pontua ão Pne 1 9237 ALEXANDRE TRAVERSI ANTUNES 4558290 DGPC/GO 27 6978.10 N 2 20689 ÁLVARO JÁDER LIMA DANTAS 3244503 SSP PB/PB 22 7037.10 N 3 11362 ANA LUÍZA ALCÂNTARA FONTENELE ROCHA 2002009006173 ssp/CE 6 7273.20 N 4 5298 ANA VALERIA DA SILVA OLIVEIRA 1015304-7 SSP/AC 29 6969.60 N 5 24125 ANDRÉ LUCAS BURITI DE MELO 1073905-0 SSP/AC 9 7131.30 N np. fac.b / e ib la 2012/ ela o io /li a-ap o ado _po _c o/ 11/64
  • 12.
    06/01/12 np. fac.b / e ib la 2012/ ela o io /li a-ap o ado _po _c o/ 6 38385 ANGÉLICA DA SILVA PAULA 32505148-3 ssp/SP 680 5981.00 S 7 19997 ANNE RAISSA FERREIRA VASCONCELOS 2006009028897 ssp/CE 21 7049.00 N 8 6478 ARIEL DE VASCONCELOS NEGREIROS 470296 SSP/AC 7 7186.40 N 9 433 BERNADETE YOSHIE AGAPITO URASAKI 604527063 SSP/BA 5 7281.60 N 10 11911 BRENO SANTIAGO HOLANDA 2005010240138 ssp-ce/CE 32 6958.80 N 11 11310 CARLOS HENRIQUE DE ASSIS MORAES 380000 SSP/AC 40 6907.40 N 12 16881 CÉLIO TORQUATO DE ARA JO J NIOR 002716317 SSP/RN 41 6904.60 N 13 36477 CRISTIAN MOURA DIOGO 54537859 SSP/PR 47 6885.30 N 14 28821 EDGARD RODRIGO CORDEIRO DE SOUZA 458162 SSP/AC 34 6955.70 N 15 3472 EMMILY FREIRE DE OLIVEIRA 1125792-0 SSP/AC 11 7103.90 N 16 3694 EVANDRO ALMEIDA DE OLIVEIRA 513463 CAer/AM 46 6885.30 N 17 15999 FRANCISCA FRAGOSO DOS SANTOS 1026185-0 SSP/AC 30 6968.80 N 18 6676 GABRIEL RODRIGUES RIBEIRO DE OLIVEIRA 1056512-4 ssp/AC 15 7086.30 N 19 756 GEORGE HARRISSON LEMOS SILVA 00001065738 SSP/RO 38 6938.70 N 20 11315 GEOVANA CARVALHO RIBEIRO 2007031019984 SSP/CE 28 6976.20 N 21 40026 GUSTAVO TROCCOLI CARVALHO DE NEGREIROS 3435081 SSP/PB 16 7085.40 N 22 20194 JEAN CARLOS DO VALLE E SILVA 0239994 SSP/AC 12 7102.70 N 23 32422 JOÃO JOAQUIM DE LIMA NETO 0331995 SSP/AC 546 6092.30 S 24 1236 JOÃO VICTOR RODRIGUES GOMES PEREIRA 1127431-0 SSP/AC 1 7978.10 N 25 5465 JOSÉ LADISLAU DE SOUSA JUNIOR 96029423060 SSP/CE 8 7146.50 N 26 1619 JOSEANE BATISTA GONÇALVES 462263 SSP/AC 45 6888.80 N 27 21461 JOSELYA MARIA DE AGUIAR SOARES 623587963 ssp/MA 43 6902.40 N 28 39524 KARLA KAROLINE SANTOS ANDRADE 34169784 ssp/SE 33 6958.10 N 29 738 LARA RAVENA MENDONÇA GABRIEL 1095765 SSP/RO 4 7314.60 N 30 28204 LAURA FRAGA E SILVA 19353723 SSP/MT 20 7052.90 N 31 21580 MARCELO ELIAS DA ROCHA 0306919 SSP/AC 25 6991.90 N 32 18571 MATHEUS JUCA TELES 2008009139881 SSPDS/CE 39 6938.30 N 33 9300 MAYSSA JHULLY OLIVEIRA DE SOUZA 418234 SSP/AC 17 7083.10 N 34 17246 NAIARA DE SOUZA MAIA 001050955 SSP/RO 19 7057.80 N 35 10703 NATÁLIA LIMA RIBEIRO 20073846508 SSP/CE 10 7114.50 N 36 21404 OCINO BATISTA DOS SANTOS J NIOR 3033076 SSP/PB 2 7492.40 N 37 7225 PAULO TRAJANO DO NASCIMENTO 1166275 SSP/RO 14 7095.00 N 38 17865 RAFAELLE PAIVA ROCHA VERAS 2005009154894 SSPDS/CE 13 7096.00 N np. fac.b / e ib la 2012/ ela o io /li a-ap o ado _po _c o/ 12/64
  • 13.
    06/01/12 np. fac.b / e ib la 2012/ ela o io /li a-ap o ado _po _c o/ 39 17885 REBECCA ARAUJO ROSA 2009010040450 SSPDS/CE 31 6960.30 N 40 22314 RODRIGO ANCONI CAMARGO NASCIMENTO 1002581 SESDEC/RO 23 7021.80 N 41 32783 RODRIGO DO NASCIMENTO SIDOU 1001147-1 SSP/AC 36 6949.50 N 42 39767 STANLEY SANDRO DA SILVA MENDES 0302135 SSP/AC 37 6943.70 N 43 15419 STEPHANIE DA SILVA HOLANDA 2009009187507 ssp/CE 18 7073.70 N 44 1610 TÂMISA CARINE PEREIRA GUIMARÃES 000827392 SSP/RO 35 6950.40 N 45 8269 TAYSON RIBEIRO TELES 1084697-2 sspca/AC 44 6890.30 N 46 16423 THAYNARA ANDRESSA FROTA ARARIPE 2008010300690 SSP/CE 3 7326.70 N 47 6158 THIAGO DO VALE VEIGA 11258217 SEJUSP/AC 42 6902.40 N 48 14096 VICTOR KALID BELARMINO 354129 SSP/AC 26 6986.70 N 49 6657 WALQUIRIA AGUES FIGUEIREDO 1112030 SSP/RO 24 7018.90 N 50 27844 WELERSON GONÇALVES PRATA 15655682 SSP/MG 650 6003.90 S 18-Educação F sica (Bacharelado) # Inscrição Nom e Docum ento Classificação Pontuação Pne 1 8614 ADRIELEN DA SILVA MONTENEGRO 24399043 SSP/AM 17 5110.40 N 2 30619 ALBERLENE MACIEL DE SOUZA 412690 SSP/AC 3 5644.40 N 3 3666 ALESANDRO LIMA RODRIGUES 11476613 SSP/AC 30 4960.20 N 4 21136 ANIBAL REIS DE OLIVEIRA FILHO 2006002102277 SSPDS/CE 39 4886.60 N 5 36697 ANTONIO ANDERSON GOMES DE SOUZA 11441950 SSP/AC 4 5643.90 N 6 5950 BRUNO CESAR STEIN 402763221 SSP/SP 41 4865.10 N 7 11603 BRUNO MARINHO DA SILVEIRA 1043276-0 SSP/AC/AC 24 5017.90 N 8 29422 CLETO DA SILVA DIAS JUNIOR 1024009-8 SSP/AC 23 5025.50 N 9 22536 DANIEL UCHOA BRANDAO 2005007016060 SSP/CE 2 5782.60 N 10 17954 DEUCERLANDIO DE CASTRO GOMES 1184094-3 SSP/AC 15 5171.80 N 11 6942 DIEGO ALVES DE MENEZES 3597399 SSDS/PB 11 5319.70 N 12 5666 ELISSANDRA PONTES DE FREITAS 1032681-2 SSP/AC 47 4811.50 N 13 7749 F BIO RIBEIRO DE FREITAS 001051084 sesdc/RO 33 4946.40 N 14 17584 FRANCISCO CESAR DE CARVALHO 120270-5 CBMAC/AC 32 4946.90 N 15 9652 GILVAN SOUZA DE LIMA 11897155 ssp/AC 43 4842.20 N 16 38264 GLEUCIELLE DE SOUZA BONFIM 10452117 SSP/AC 416 3628.90 S 17 7219 HELEM REGINA OLIVEIRA DA SILVA 11036940 SSP/AC 37 4913.50 N 18 18112 JANAYARA BARBOSA DA SILVA 366725 SSP/AC 29 4960.30 N 19 28484 JEDIEL REZENDE DE MELO NETO 1099250-2 ssp/AC 34 4938.80 N np. fac.b / e ib la 2012/ ela o io /li a-ap o ado _po _c o/ 13/64
  • 14.
    06/01/12 np. fac.b / e ib la 2012/ ela o io /li a-ap o ado _po _c o/ 20 39322 JEFERSON NOGUEIRA MONTEIRO 447040 ssp/AC 20 5071.90 N 21 27131 JESSIANA DOMINGOS MONTEIRO DA CUNHA 1626641331 SAC/BA 16 5138.50 N 22 9489 JOANNY LIMA FERREIRA 2945264 SSP/PI 36 4922.10 N 23 34252 JORGE MIRANDA RODRIGUES DE SOUZA 383684 SSP/AC 7 5516.60 N 24 34580 LAÍS DA SILVA CUELLAR 10890432 SSP/AC 9 5381.40 N 25 27296 LILIAN RIBEIRO LOBO CAMPOS 523.185 COMAER/DF 6 5558.00 N 26 13034 LÍVIA CRISTINA SILVA 3077958 SSP/PI 1 5864.20 N 27 34573 MAIKO CORREA DO NASCIMENTO 1154330-2 ssp/AC 28 4976.70 N 28 39615 MARCELO FERNANDES DE SOUZA 426629 SSP/AC 27 4983.00 N 29 22902 MARCELO MENEZES MAIA 120002909-8 PM/AC 31 4949.90 N 30 32988 MARIA GORETE PEREIRA DE AMORIM 10190210 SSP/AC 42 4842.40 N 31 30714 MARIA J LIA SILVA DE ARA JO 1121057-5 SSP/AC 26 4984.60 N 32 20262 MATHEUS MONTEIRO HOLANDA PEREIRA 111031663127 SSPDS/CE 5 5589.10 N 33 7865 MAURO LICINIO ZARATE BARBOZA JUNIOR 001302198 ssp/MS 40 4882.80 N 34 28831 MELISSA VIEIRA MELO 3131274-8 SSP/AL/AL 44 4831.00 N 35 27033 NATAN LIMA QUIROGA 10995188 SSP/AC 13 5218.80 N 36 967 PAULO FELIPE BARBOSA DA SILVA 457408 SSP/AC 21 5070.10 N 37 39152 RAFAEL RERNANDO DE SOUZA E SILVA 1137738-0 ssp/AC 12 5228.00 N 38 37651 RAPHAEL SILVEIRA DE OLIVEIRA 2005002105871 ssp ce/CE 8 5394.90 N 39 27825 RAYELE GONÇALVES ALVES 11003669 SSP/AC 14 5201.60 N 40 20298 RODRIGO HOLANDA MAIA CAVALCANTI 2002010043338 SSPDS/CE 10 5359.00 N 41 17668 SANDINARA AGOSTINHO DOS SANTOS 11471964 ssp/AC 18 5093.90 N 42 17452 SELMA FABRICIA ANDRADE KEA 10167650 ssp/AC 46 4820.20 N 43 28075 SONAIRA DA COSTA MARTINS 394169 SSP/AC 38 4887.20 N 44 20993 TAINA PEREIRA DA SILVA 1117002-6 ssp/AC 45 4823.60 N 45 22201 THAYNNE SILVA CUNHA 1006100-2 SSP/AC 19 5090.20 N 46 31195 TRICYANNE PIMENTA SILVA 392806 SSP/AC 25 5005.20 N 47 19210 VALERIA LIMA DOS SANTOS PIMENTEL 10370404 SSP/AC 22 5064.50 N 48 31187 YURI BARBOSA ARAUJO 1057789-0 SSp Ac/AC 35 4925.40 N 19-Educação F sica (Licenciatura) # Inscrição Nom e Docum ento Classificação Pontuação Pne 1 23823 ALDEMIR DOS SANTOS CABREIRO 447380 ssp/AC 16 5234.20 N np. fac.b / e ib la 2012/ ela o io /li a-ap o ado _po _c o/ 14/64
  • 15.
    06/01/12 np. fac.b / e ib la 2012/ ela o io /li a-ap o ado _po _c o/ 2 15391 ALEX SANDRO AGUIAR NUNES 1071619-0 SSP/AC 13 5259.00 N 3 25678 ALEXANDRE DE MELO PEREIRA 10561420 SSP/AC 9 5429.50 N 4 27130 ALINE RAYÇA MOURA LIMA 1070592-9 SSP/AC 18 5209.80 N 5 36307 ANDERSON COSME DE OLIVEIRA 360170 SSP/AC 4 5526.60 N 6 9872 ARTHUR CL UDIO DA SILVA GAMA 1067474-8 SSP/AC 27 5132.00 N 7 24433 CARLA JENNIFER SEVERIANO GALDINO FERNANDES 2003010474906 SSPDS/CE 2 6077.10 N 8 18846 CHARLES DA SILVA E SILVA 330569 ssip/AC 15 5237.60 N 9 23461 CLAUSSEN XAVIER FERREIRA 461276 ssp/AC 17 5216.10 N 10 6498 CRISTIAN FARIAS DE SOUZA 1022125-5 ssp/AC 44 4982.60 N 11 18363 DANIEL PIMENTEL ASSUNÇÃO 11155990 Rio Branco/AC 31 5080.80 N 12 30956 DELZIMAR GOMES CORTEZ 362650 ssp/AC 8 5462.40 N 13 3365 DENISE CRUZ DOS SANTOS 221977903 dic/RJ 10 5341.00 N 14 37326 ELISANETE DANIEL DE CARVALHO 11339527 SSP/AC 441 4142.40 S 15 33335 ELISSANDRA DA SILVA 10831215 SSP/AC 36 5038.40 N 16 31125 ERIVAN RIBEIRO RODRIGUES 10218149 SEPC/AC 22 5164.50 N 17 3314 EROINA MOREIRA DE MELO 4031887 dgpc/GO 7 5469.90 N 18 36372 FRANCINETE DE OLIVEIRA FREIRE 1029795-2 ssp/AC 45 4970.80 N 19 28538 FRANCISCO ANDRE MORAES DA SILVA 353648 SSP/AC 160 4595.00 S 20 4760 FRANCISCO PEIXOTO DE LIMA 200170 ssp/AC 32 5080.10 N 21 32733 GLEISON CARLOS SILVA DOS ANJOS 1052163-1 SSP/AC 42 4991.40 N 22 25126 IERLISON LACERDA PEIXOTO 399383 ssp/AC 37 5032.30 N 23 29800 JAQUELINE RODRIGUES FRANCO 10944583 SSP/AC 40 5014.10 N 24 10855 JORDY NAVARRETE QUISPE V6526404 CGPI/DIREX/DPF/AC 28 5129.90 N 25 36315 JOSE EDEMIR CARVALHO DA SILVA 40697882541 SSP/RS 20 5174.90 N 26 12867 JOSÉ LARDI MORENO DE SOUZA JUNIOR 1161453-6 ssp/AC 3 5527.90 N 27 13126 KENNEDY RIBEIRO DE ALENCAR 447894 SSP/AC 5 5521.50 N 28 14511 LEONARDO ANGELO PASSOS 1048539-2 SSP/AC 11 5333.70 N 29 5169 LEONCIO DE ARAUJO OLIVEIRA 1122802-4 ssp/ac/AC 33 5078.50 N 30 20499 MAIQUEL DA SILVA RODRIGUES 349902 SSP/AC/AC 19 5185.20 N 31 31816 MANOEL LIMA DA SILVA 10464930 SSP/AC 25 5143.60 N 32 38989 M RCIO URZEDO DE SOUZA 400906 SSP/AC 538 4015.20 S 33 293 MARIA MARCELA DE LIMA PAULINO 10025570 SSP/AC 35 5054.20 N 34 10567 MARIA ZAINE DE ALBUQUERQUE SILVA 1192059-9 18/03/2011/AC 26 5138.10 N np. fac.b / e ib la 2012/ ela o io /li a-ap o ado _po _c o/ 15/64
  • 16.
    06/01/12 np. fac.b / e ib la 2012/ ela o io /li a-ap o ado _po _c o/ 35 14189 MAYARA ORSI DE SOUSA 454872823 são paulo/SP 43 4990.00 N 36 37703 PABLO KELVIN DE SOUZA ARA JO 10713905 SSP/AC 39 5031.30 N 37 8103 PAULO MENDONÇA DE SOUZA 350310 ssp/AC 14 5253.60 N 38 8633 RAIMUNDO DE MELO PEREIRA 248328 SSP-AC/AC 46 4964.40 N 39 4902 RAYNER DE OLIVEIRA LIMA 469724 ssp/AC 30 5095.20 N 40 39241 RONALDO DE QUEIROZ OLIVEIRA 402492 SJSP/AC 24 5151.60 N 41 32595 ROSALIA ANTONIA DA SILVA BARLATTI 10927816 ssp/ac/AC 34 5055.80 N 42 7347 ROSANGELA SOUZA DE OLIVEIRA 11150670 ssp/AC 47 4958.70 N 43 20 ROSENILZA FERREIRA DE LIMA 0339278 SSP/AC 21 5168.10 N 44 7497 SAMARA RAQUEL DE SOUZA MATIAS 1128505-2 ssp/AC 23 5159.90 N 45 16665 SARA LORENA SILVA DE BRITO 417207 ssp/AC 12 5278.70 N 46 25659 THIAGO MARQUES RIEGER 20493586-0 detran/RJ 1 6388.50 N 47 38731 TIAGO TAVARES DE SÁ 457380 SSP/AC 38 5031.30 N 48 7335 VANDERSON RICARDO DE FREITAS 444405 SSP/AC 6 5477.90 N 49 38943 WASHINGTON FELIPE DA COSTA MAIA 10835776 SSP/AC/AC 29 5114.90 N 50 5982 ZAVAROVE RODRIGUES MACIEL 589399 siac/AP 41 5010.50 N 06-Enfermagem (Bacharelado) # Inscri ão Nom e Docum ento Classifica ão Pontua ão Pne 1 11953 ADENEVAL RIBEIRO SOARES 427556 ssp/ac/AC 23 5487.80 N 2 16314 AMANDA SILVA RODRIGUES 3249114 SSP/PI 10 5640.70 N 3 18708 ANA CRISTINA LIMA CARVALHO 2911598 ssp/PI 11 5640.60 N 4 18984 ANADIA LUZ DA SILVA PONTES 442893 ssp/AC 21 5505.70 N 5 9184 ANDRÉA ARA JO DOS SANTOS 10437452 ssp/AC 20 5535.90 N 6 27003 BÁRBARA FERNANDA SANTOS ALCÂNTARA 3438215-1 05/03/2009/AL 19 5538.40 N 7 19786 BRUNA CRISTINA FÉLIX COELHO 359664 ssp/AC 6 5703.00 N 8 15487 CASSIA YURI HAYASHI 6154847 ssp/PA 9 5655.50 N 9 11726 EMÍRIAM CAROLINE NAZARÉ DA SILVA 6831610 Segup/PA 4 5791.50 N 10 11440 EVELYN MAYELB SANTANA BRANDÃO 6832566 SEGUP/PA 13 5619.70 N 11 16270 FELIPE DE OLIVEIRA BRILHANTE AGUIAR 11143754 SSP/AC/AC 12 5639.20 N 12 12926 FERNANDA SANTOS ARA JO 10011822-0 SSP-AC/AC 22 5504.90 N 13 32049 FRANCISCO DAS CHAGAS TELES DO NASCIMENTO 2248275 ssp/AC 784 4076.30 S 14 17168 FRANCYANNE RITA MATOS DA SILVA 11867990 ssp/AC 28 5472.80 N 15 452 GILCILENE OLIVEIRA GADELHA 11099470 ssp/AC 27 5473.00 N np. fac.b / e ib la 2012/ ela o io /li a-ap o ado _po _c o/ 16/64
  • 17.
    06/01/12 np. fac.b / e ib la 2012/ ela o io /li a-ap o ado _po _c o/ 16 159 HÉMILLY CAROLINE DA SILVA PAIXÃO 1082385-9 SSP/AC/AC 17 5552.50 N 17 37860 ITHALLO AMOM DE SOUZA 425662 ssp/AC 16 5563.40 N 18 828 JAMYLLE CARVALHO FERREIRA DO NASCIMENTO 1101316-8 SSP/AC 14 5575.50 N 19 612 JOSEAN BATISTA GONÇALVES 1045420-9 SSP/-- 24 5482.50 N 20 10735 KARINE ALMEIDA DE SOUZA 11448474 SSP/AC 18 5545.30 N 21 22256 LETICIA DE FIGUEIREDO CORREIA CAVALCANTE 2008010205957 SSPDS/CE 2 5926.80 N 22 37292 LINIK DE SOUZA NASCIMENTO 11171898 SSP/AC/AC 164 4916.00 S 23 17534 LUANA MOSCA GALDINO DA SILVA 2007009174778 SSPDS/CE 1 6097.10 N 24 9277 MARESSA GUIMARÃES TAUMATURGO 10429379 SSP/AC 3 5858.50 N 25 11501 MARIA LEAL PEREIRA 2005019024861 SSP/CE 15 5568.70 N 26 2016 MARIA LEILANE DE FREITAS MOURA 5399702 SSP/GO 25 5477.90 N 27 7440 RANIERE DENER CARDOSO MELO 33702330 SSP/AL 26 5474.70 N 28 20751 SAMARA LINHARES ABREU 2003009144086 SSP/CE 7 5682.30 N 29 24643 TAMIRES SALES DE ANDRADE 469382 SSP/AC 5 5721.10 N 30 9900 WILLISON COSMO DE ARA JO SILVA 1000601-0 ssp/AC 8 5660.90 N 87-Enfermagem (Bacharelado) - CZS # Inscri ão Nom e Docum ento Classifica ão Pontua ão Pne 1 12895 ALDEVANIR PEREIRA ALVES 11333731 SSP/AC 20 5380.00 N 2 37342 ANDREALLIS SANTOS DE SOUZA 1074776-1 sejusp/AC 17 5427.80 N 3 32305 ANE PLICILA DOS SANTOS MAIA 1016356-5 ssp/AC 10 5650.10 N 4 35797 CALERISON BEZERRA MENDONÇA 11599308 SJSP/AC/AC 534 3384.00 S 5 38563 CAMYLA ROBERTA GONZAGA SILVA 4982672 ssp/PA 1 6262.60 N 6 5188 DAIANE DA CONECEIÇÃO SOUZA 1109872-4 SSPAC/AC 4 5884.20 N 7 29088 ELLEN KARINE D'ÁVILA VILAR 6.860.294 SDS/PE 7 5722.00 N 8 15570 ELUANA FARIAS FREITAS 11783087 SSP/AC 25 5315.80 N 9 21424 ESTEFANIE SIMARA DOS SANTOS SANTIAGO 1117342-4 SJSP/AC 12 5572.10 N 10 31337 GÉSSICA LUCIA DA SILVA 10687157 ssp/AC 23 5329.50 N 11 16229 GIOVANNA BAZAN RIOS DO REGO BARROS 2009009026740 SSPDS/CE 5 5839.60 N 12 7765 HELEN FERNANDA ROGERIO CAMELI 10787585 SSP/AC 14 5560.20 N 13 10080 HELITON DE CASTRO E SILVA JUNIOR 1198553-4 SEPC/AC 3 5906.80 N 14 11348 INGREDHI CAROLINE RUFINO MAIA 1043250-7 SSP/AC 15 5516.70 N 15 6074 IRIZANE DE SOUZA PATRICIO 385963 SJSP/AC 19 5416.20 N np. fac.b / e ib la 2012/ ela o io /li a-ap o ado _po _c o/ 17/64
  • 18.
    06/01/12 np. fac.b / e ib la 2012/ ela o io /li a-ap o ado _po _c o/ 16 3997 ISAAC PAIXÃO DA COSTA SILVA 1117425-0 SSP-AC/AC 16 5502.90 N 17 23378 JULLYANA BRAZ DE MEDEIROS BRITO 10287752 SJSP/AC 18 5421.60 N 18 23430 LAURA CORDEIRO GOMES 460320 SJSP/AC 6 5798.40 N 19 14459 LÍLIAN DA SILVA ARA JO CAVALCANTE 362301 SSPAC/AC 13 5568.30 N 20 30561 LUIZA SILVA DE SOUZA 1175889-9 SPFC/AC 24 5319.10 N 21 39031 MARIA GEANE SANTOS DE SOUZA 437473 SJSP/AC 21 5357.80 N 22 19224 MARIA JOSÉ OLIVEIRA MAIA 435610 sjsp/AC 27 5294.00 N 23 6130 MARIA RAFAELA DA COSTA MARTINS 1164088-0 SEPC/AC 9 5661.60 N 24 28056 MATEUS TORQUATO DO NASCIMENTO 1063834-2 SSP/AC 8 5693.70 N 25 8588 ROCIONE DA SILVA SANTOS 435605 SSP/AC 11 5609.30 N 26 8081 SAMILI NASCIMENTO SILVA 10566945 SSP/AC 26 5315.30 N 27 36425 SARAH RAQUEL DA SILVA PONTES 11901640 sepc/AC 2 6236.90 N 28 22755 SIMONE FEREIRA DA SILVA 1155211-5 ssp/AC 28 5270.00 N 29 24345 SUZE QUELI COSTA FERNANDES 1135366-0 SSP/AC 22 5344.50 N 11-Engenharia Agron mica (Bacharelado) # Inscrição Nom e Docum ento Classificação Pontuação Pne 1 20923 ADRIANA KETYLLEM CAVALCANTE ACÁCIO 1000973-6 SSP/AC 14 5527.10 N 2 29680 ALAN FRANK RODRIGUES PEREIRA 2007029082526 ssp/CE 39 5196.10 N 3 25740 ANDRÉ MARINHO DE GOIS 10930680 SSP/AC 32 5245.80 N 4 19622 ANTONIO ERICKSSON FERREIRA LIMA DE ALMEIDA 2007354471-4 SSP/CE 7 5765.20 N 5 21178 CARINA BERNADETE MENEZES CASTELO BRANCO 10791116 sjsp/AC 42 5189.10 N 6 33329 CARLOS HENRIQUE ANDRADE DA SILVA 10403388 ssp/AC 41 5191.60 N 7 2210 DAIANI RIGOTTI 1171683 SSP /RO 13 5563.40 N 8 33233 DAICEJANE ALVES DA SILVA 11150823 ssp/AC 21 5409.60 N 9 28829 DANILO DA SILVA ELLER 10536400 ssp/AC 38 5200.90 N 10 37264 DEYVESON MENEZES SIILVA 3700641 ssp/PA 15 5514.60 N 11 11691 EDIVANIO FRANCO DA SILVA FILHO 470089 SSP/AC 37 5201.80 N 12 20973 ELZA ABREU DE SOUZA 1027747-1 ssp/AC 8 5736.00 N 13 18265 EMILIO JOSÉ OLIVEIRA 1171689 SSP/RO 29 5259.90 N 14 17340 FELIPE MACHADO NOBRE 1114152-2 SSP/AC 23 5363.40 N 15 4739 FERNANDA REIS FERREIRA 0287928 ssp/AC 28 5282.70 N 16 1791 GEORGE LIMA MARQUES 1397005874 SSP/BA 1 6183.20 N np. fac.b / e ib la 2012/ ela o io /li a-ap o ado _po _c o/ 18/64
  • 19.
    06/01/12 np. fac.b / e ib la 2012/ ela o io /li a-ap o ado _po _c o/ 17 13591 HERBERT DA SILVA SOUSA 3.313.715 SSP/PI 20 5440.30 N 18 27132 HIURI NEGREIROS DE ALBUQUERQUE 1151429-9 sepciirhm/AC 18 5447.30 N 19 20177 JAQUELINE RESSURREIÇÃO 1218100 SESDC/RO 46 5178.80 N 20 37832 JÉSSICA TUANE DE OLIVEIRA MENDES 1047821-3 ssp-ac/AC 10 5660.30 N 21 8606 JÉSSIKA FYAMA BATISTA DE MESQUITA 1090790-4 ssp/AC 45 5180.80 N 22 8220 JORGE LUIZ HESSEL J NIOR 347947 SSP/AC 27 5299.80 N 23 16603 JOSÊNIO OLIVEIRA RODRIGUES 10837027 sspac/AC 47 5177.90 N 24 12346 JUCIMAR MAFFI 11167653 sspac/AC 40 5192.20 N 25 11809 KATIELY LIMA CAMPOS 10707042 SSP/AC 43 5188.30 N 26 11704 KEVIN CHRYSTIAN DA SILVA NUNES 11630370 SSP/AC 9 5732.80 N 27 17803 LANA CRISTINA MUNIZ OCCHI 1078407-1 SSP-AC/AC 5 5835.40 N 28 10907 LEONIS FERREIRA DE LIMA 11993669 SSPAC/AC 35 5220.00 N 29 6306 LUCIANA CRISTINA LIMA DE OLIVEIRA 1001363-6 SSP/AC 19 5446.50 N 30 1288 MANOELA SOUZA DA SILVA 11222646 ssp/AC 12 5570.70 N 31 21160 MARCELO FERREIRA DE OLIVEIRA 10734511 SSP/AC 6 5797.90 N 32 33449 MARCIO FRANCISCO BRASIL DA SILVA 120203466-5 PMAC/AC 16 5472.10 N 33 19945 MARESSA RODRIGUES DE OLIVEIRA 10649760 SSP/AC 36 5211.60 N 34 13107 MAYKON SOUZA DE SOUZA 1122112-7 sspa/AC 22 5398.10 N 35 15396 MOISES MOREIRA LIMA 5889758 SSP/PA 44 5184.80 N 36 13787 PÂMELA DE OLIVEIRA ALVIM 10419136 SSP/AC 30 5259.50 N 37 32874 PAULO ANTONIO BENEDITO 337941 SSP/AC 31 5245.90 N 38 6439 RAIURY SANTOS DA SILVA 11469013 sjsp/AC 11 5594.10 N 39 5380 RAQUEL ARAGÃO MELO 419257 SSP/AC 33 5244.60 N 40 1108 RHANA SANTOS ROSÁRIO 469588 SSP/AC 17 5457.70 N 41 28826 RODRIGO MONTEIRO DE CARVALHO 03626466443 detran/RJ 4 5879.60 N 42 27443 SARA GOMES DE LIMA ARA JO 457172 ssp/AC 25 5358.90 N 43 2624 SIMONE DOMINGUES DE OLIVEIRA 11915161 SSP/AC 34 5222.90 N 44 12475 TAIULLY ESMIRNA SOUSA DOS SANTOS 6053615 Polícia Civil/PA 3 6028.40 N 45 30507 TATIARA MARIA BATISTA LIMA 3212360 SSP/PI 2 6029.00 N 46 2890 THIAGO BARROSO TELES 11667753 ssp/AC 24 5359.40 N 47 17421 VALÉRIA CAMATA GOTTARDO 1255164 CRAS/RO 26 5307.50 N 174-Engenharia Agron mica (Bacharelado) - CZS np. fac.b / e ib la 2012/ ela o io /li a-ap o ado _po _c o/ 19/64
  • 20.
    06/01/12 np. fac.b / e ib la 2012/ ela o io /li a-ap o ado _po _c o/ # Inscri ão Nom e Docum ento Classifica ão Pontua ão Pne 1 21065 ALAN SOUZA DA SILVA 405872 ssp/AC 35 5016.10 N 2 2208 ALEFF VINICIUS ARAUJO GOMES PASSOS 3428994 SSP/PB 3 5920.20 N 3 9963 ALISSON RODRIGUES DE PAULA 1194860-4 SSP/AC/AC 28 5132.30 N 4 27470 ANDRESSA PEREIRA DE SOUZA 1136777-6 SJSP/AC 7 5799.10 N 5 17867 ANTONIO MARCOS DE SOUZA AQUINO 1122554-8 SSP/AC 46 4841.30 N 6 32586 BRUNO OLIVEIRA JUCÁ 1131751-5 ssp/AC 43 4854.90 N 7 13677 CARLOS EDUARDO GOMES LIMA 08530070-55 SSP/BA 6 5814.40 N 8 20321 DALVAN DA SILVA NASCIMENTO 1194617-2 SSP/AC 42 4866.70 N 9 14785 DANIEL MENDONÇA TORRES 10864071 SSP/MG 1 6624.70 N 10 31875 DANIEL MIRANDA DE ALMEIDA 11799870 SSP/AC/AC 30 5117.70 N 11 29494 DEMIRIUS DO NASCIMENTO MELO 1158453-0 SSP-AC/AC 36 4914.70 N 12 25032 FERNANDO HENRIQUE DAMACENO PEREIRA 3520049 SSP/PI 18 5294.30 N 13 9446 FLÁVIA MARIA SCHNEIDER 1063423-1 ssp/AC 5 5856.70 N 14 3200 FRANCISCO NACIO DE AZEVEDO GOMES 10026657 SSP/AC 16 5302.60 N 15 7691 GERMANO NOGUEIRA DE LIMA 19075 SI/PMAM/AM 10 5520.60 N 16 10074 GLEDSON DE SOUZA ALMEIDA 11624728 ssp/AC 24 5196.40 N 17 6890 GRASIELE SALES PEDRAÇA 738932 SSP/RO 15 5376.60 N 18 15773 HERICA IBERNOM CAVALCANTE DE OLIVEIRA 11494280 SEPC/AC 37 4912.80 N 19 23595 ISRAEL GOMES BORGES 2007798413-1 ssp/CE 14 5380.80 N 20 14923 JACSON ROGERIO DAMASCENO 1314417100 SSP/BA 26 5159.70 N 21 3455 JAMISSON RODRIGUES GUIMARAES 362283 SJSP/AC 44 4845.50 N 22 37752 JANILLE DE OLIVEIRA MELO 0317890 ssp /AC 31 5109.40 N 23 13146 JONATHAS LUCAS DOS REIS 1018844 Outros/RO 38 4912.30 N 24 9147 LANA BEATRIZ PEDROZA DE SOUZA 1199257-3 SSP/AC 29 5124.80 N 25 26505 LUCINÉIA OLIVEIRA DA SILVA 1095822-3 SJSP/AC 47 4831.20 N 26 32412 MARCÍLIO DE MOURA SILVA 11162171 SSP/AC 17 5294.80 N 27 25002 MARIA BEATRIZ UCH A DE BRITO 1192597-3 SSP/AC 4 5919.90 N 28 7426 MARIA JOSÉ SILVA VALENTE 1187549-6 sspac/AC 13 5383.50 N 29 24478 MATHEUS CAZUZA DE LIMA 2005009240600 SSPDS/CE 2 6095.30 N 30 36508 NARCISO MELO MONTEIRO 1009026-6 ssp/AC 32 5095.10 N 31 12081 PAULA MAYARA DE SOUZA 8525502 SDS/PE 27 5146.50 N 32 27561 PAULO HENRIQUE DA COSTA SILVA 11877235 SSP/AC 9 5548.40 N np. fac.b / e ib la 2012/ ela o io /li a-ap o ado _po _c o/ 20/64
  • 21.
    06/01/12 np. fac.b / e ib la 2012/ ela o io /li a-ap o ado _po _c o/ 33 24917 PÊOLA REIS DE SOUZA 157052720000 Segup/MA 20 5274.60 N 34 29655 PRISCILLA VASQUES LIPORACE 2007881468-0 ssp ce/CE 8 5770.30 N 35 28382 PRISCYLLA ASSIS CARVALHO 6144637 ssp/PA 25 5179.00 N 36 9776 RAFAELA DA COSTA FARIAS 1156234-0 ssp/AC 34 5018.60 N 37 26565 RAMON LIMA BUSSONS 1167146-7 SSPAC/AC 22 5244.70 N 38 4723 RAQUEL DA COSTA MATOS 20231504 SSP/AM 23 5230.80 N 39 26570 ROBERTO CARLOS MACIEL ALVES JUNIOR 1098526-3 SSPAC/AC 40 4881.90 N 40 36872 RODRIGO MOREIRA ANDRADE 93002056194 SSP/CE 12 5429.70 N 41 7528 RONI CHARLES PEREIRA DE OLIVEIRA E SILVA 10372482 sejsp/AC 45 4843.60 N 42 12684 RYCHAELLEN SILVA DE BRITO 1148467-5 SEPC/AC 41 4874.10 N 43 16061 SAMARA DA SILVA OLIVEIRA 1185471-5 SSP/AC 21 5246.50 N 44 26423 SINARA DIAS SILVA 6186207 SEGUP/PA 39 4890.50 N 45 30688 STEFANIE ELIZA LIMA MAIA 11048360 SSP/AC 11 5507.40 N 46 18267 VANDERLEIA TOREZANI PAZINI 1250148 SSP/RO 19 5291.00 N 47 32448 WILLIAM MANGELO PINHEIRO 00001017947 SESDEC/RO 33 5029.80 N 23-Engenharia Civil (Bacharelado) # Inscri ão Nom e Docum ento Classifica ão Pontua ão Pne 1 9097 ALEXANDER RIBEIRO 368498803 SSP/SP 14 7309.50 N 2 5616 ALINE MARIA DA COSTA FADELL 1023910-3 SSP/AC 27 7078.50 N 3 39912 AMANDA BRITO DE CARVALHO 3222504 ssp/PB 35 6955.20 N 4 25624 ANA LUIZA MIRANDA DE CARVALHO AMORIM 17412557 SSP/MG 1 7522.60 N 5 1371 ANA LUIZA MOTTA GOMES 3477955 SSP/PB 25 7083.20 N 6 24856 ANDRESSA FOLADOR PIO DA SILVA 2614186-8 SSP/MT 32 6977.60 N 7 7003 ANGELINA DE SIMONE CAMARGO GURGEL FERNANDES 14438916 SSP/MG 38 6935.50 N 8 17278 B RBARA MORAIS GIANESINI 993928 SSP/RO 10 7365.70 N 9 1618 DARLYN LUCAS LOPES CORDEIRO 10012214 SSP/AC 15 7295.00 N 10 13412 EDCARLOS MIRANDA DE SOUZA 0320031 SSP/AC 39 6925.70 N 11 24500 EDUARDO CAMPOS SILVA 49240331-4 sspds/SP 28 7072.90 N 12 16939 EMILENE MENDONÇA DA SILVA 21313431 SSP/MT 29 7061.40 N 13 37064 ENMANUEL LEITE DE ARAUJO BEZERRA 20072601480 ssp/CE 21 7138.40 N 14 12122 ÉRICA DE FREITAS MACÊDO 20073626214 SSPDS/CE 12 7358.30 N 15 24252 FELIPE EDUARDO DE OLIVEIRA SANTOS 6413181 SSP/PA 17 7205.60 N 16 34923 FRANCISCO JAMES BARBOSA SARAIVA 444216 sspac/AC 1429 4367.30 S np. fac.b / e ib la 2012/ ela o io /li a-ap o ado _po _c o/ 21/64
  • 22.
    06/01/12 np. fac.b / e ib la 2012/ ela o io /li a-ap o ado _po _c o/ 17 4218 GABRIEL ALCIOLY ASSIS VAGLIERI 11359382 ssp/AC 20 7164.80 N 18 15408 GABRIEL AUGUSTO 5340111 SSP/GO 46 6862.10 N 19 18511 GEORGE BENVINDO DE ALMEIDA 2864805 SSP/PI 31 7001.70 N 20 18225 HEITOR PEREIRA LEMOS 2007017939-0 SSP/CE 23 7122.60 N 21 24462 IGOR PINHO SARAIVA 2007010384780 SSPDS/CE 26 7079.40 N 22 19970 ISABELE FEITOSA DE MORAIS 2006010259210 SSP/CE 9 7370.90 N 23 377 IVES JOSE FERREIRA DA SILVA PEREIRA 447238 ssp/AC 293 6080.00 S 24 5209 JALLES VINICIUS SILVA DE CARVALHO 10179240 SSP/AC 22 7129.20 N 25 24598 JOÃO HENRIQUE ARA JO DOS SANTOS 42835986-3 SSP/SP 3 7452.40 N 26 18682 JORGE HENRIQUE LIMA REIS 3280981 SSP/PB 47 6846.40 N 27 26149 JUAN CARLOS CARVALHO SANTOS 3337254 SSP/PI 33 6966.60 N 28 12632 KAYO PRADO TEIXEIRA DA SILVA 1175649 ssp/RO 6 7433.50 N 29 5848 LAYRA PATRÍCIA CARVALHO DE MELO 5619738 SSP/GO 45 6865.10 N 30 37309 MADSON MOURA DAMASCENO 115741-7 ssp/AC 1371 4475.00 S 31 10894 MARCOS ALEXANDRE BRITO NOLASCO 001050295 SSP/RO 40 6923.00 N 32 17993 MARIA NEUZA LIMA OSÓRIO 2000013011864 SSP/CE 7 7414.30 N 33 15372 MARÍLIA FARIAS BATISTA 2008009121478 SSP/CE 4 7451.30 N 34 24167 MATHEUS ALBUQUERQUE PAES 412340 SSP/AC 5 7445.50 N 35 6499 MAYRA GARCIA DA SILVA 18292194 ssp/MT 44 6877.50 N 36 21393 MURILO CAMPOS ARA JO MG-18.507.511 SSP-MG/MG 16 7292.10 N 37 9366 PAULO ROBERTO DE ARA JO VAGO 00001081648 SSP/RO 11 7358.60 N 38 9825 PEDRO HENRIQUE ALVES SOBRINHO 2004009167114 SSP/CE 24 7084.10 N 39 3652 RAFAEL MARIM DE VASCONCELOS 1101534-9 SPJ/AC 36 6948.90 N 40 39448 RENAN PEREIRA QUADROS 5539509 SSP GO/GO 2 7519.50 N 41 10700 RENATA FERREIRA MONTEIRO 2005010398947 ssp/CE 42 6890.60 N 42 38862 SUELEM TEIXEIRA MARQUES 5511560 SPTC/GO 13 7326.90 N 43 30303 THAINÁ RUDNICK 973516 SSP/RO 41 6902.30 N 44 26573 THAMYRES MARIA DE SOUZA 37.266.382-5 SSP/SP 37 6940.20 N 45 10287 THIAGO ARAUJO PEREIRA 15520943 ssp/MG 19 7196.70 N 46 5623 THIAGO SILVA DOS SANTOS 1178014-2 SSP/AC/AC 8 7373.50 N 47 22418 WELLINGTON PAULINO AGUIAR DO NASCIMENTO 11047887 SSP/AC 43 6877.60 N 48 22461 WILLIAN RIBEIRO CARVALHO 1001025 ssp/RO 18 7197.50 N 49 416 YURI SAVOFF DE SOUZA E SILVA 11793775 SSP/AC 34 6961.70 N np. fac.b / e ib la 2012/ ela o io /li a-ap o ado _po _c o/ 22/64
  • 23.
    06/01/12 np. fac.b / e ib la 2012/ ela o io /li a-ap o ado _po _c o/ 50 38668 YURI TCHAIKOVSKY ALBUQUERQUE MEDEIROS QUEIROZ 5697353 PC/PA 30 7049.70 N 181-Engenharia El trica (Bacharelado) # Inscrição Nom e Docum ento Classificação Pontuação Pne 1 1467 ALMIR FERREIRA DE MACEDO J NIOR 002736772 sds/RN 45 6502.00 N 2 38048 ANA CRISTINA DE SOUSA 3068228 SSP/PI 26 6697.20 N 3 23490 ANA LUISA SILVEIRA DA SILVA 2009009170663 ssp/CE 19 6859.20 N 4 29159 ANDRÉ LUIZ NASSERALA PIRES 0291241 SSP/AC 37 6555.70 N 5 15481 BEATRIZ ANDRADE FEITOSA 2009009164884 ssp/CE 34 6589.00 N 6 23034 DANIEL JOSÉ DA SILVA ZACARIAS 3.203.376 SSP/PI 44 6503.60 N 7 4439 ELIAS COSTA FELIPE 10813929 ssp/AC 33 6622.30 N 8 3601 FELIPE BISPO REZENDE 330937 SSP/AC 47 6494.30 N 9 11331 FELIPE FELICIANO LANA 13524839 SSP/MG 1 8108.40 N 10 15802 FERNANDA RODRIGUES CHARBEL 10648810 SSP/AC 21 6832.20 N 11 36939 FERNANDO HENRIQUE SOUZA SILVA 1266700994 ssp/BA 39 6540.50 N 12 22484 FLAVIO VINICIUS CARVALHO VIANA 2006009301836 SSP/CE 42 6526.60 N 13 36944 FRANCISCO RAILDO CARDOSO LEITAO 0247244 SSP/AC 409 5317.20 S 14 18553 GUSTAVO CARVALHO ESPINDOLA 2007009212645 SSPDS/CE 27 6691.10 N 15 16234 HENRIQUE BELCHIOR DE OLIVEIRA 100005935-8 MDEB/CE 3 7304.50 N 16 35365 IAGO SILVA OLIVEIRA 3311054 SSP/PB 29 6674.00 N 17 35978 ISABEL DA COSTA MIRANDA 1133875-0 SSP/AC 9 7056.40 N 18 33178 JANILSON DA SILVA CORDEIRO 1006670-5 SSP/AC 12 7014.40 N 19 14014 JOAB DA SILVA LIMA 1134998-0 SSP/AC 41 6535.60 N 20 23765 JOSÉ LUCAS DO NASCIMENTO 1125236-7 ssp ac/AC 22 6821.30 N 21 17080 LÍVIA JAMYLLE DE ARA JO FARIAS 1126304 SSPRO/RO 31 6646.40 N 22 4265 LOURENT DE SOUSA FREIRE 11322446 SSPAC/AC 32 6634.70 N 23 21054 LUAN FELIPE MOMO 1173827-8 SSP/AC 18 6864.10 N 24 1015 LUCAS MATHEUS DA SILVA ABREU 1081526-0 SSP/AC 490 5143.20 S 25 14294 LUCAS MATHEUS DE SOUSA LIMA 346027 ssp/AC 2 7418.20 N 26 1581 LUCAS PAULO DE ALMEIDA CORTEZ 1155634 SSP/RO 20 6850.20 N 27 24321 LUCAS WADT 1108826-5 SSP-AC/AC 25 6699.70 N 28 11974 MARCELO PORFIRIO VELOZO 1128810-8 SSP-AC/AC 30 6647.10 N 29 17504 MATHEUS CARLOS BARBOSA LEAL DE SOUSA FÉ 3520791 SSP/PI 40 6540.00 N np. fac.b / e ib la 2012/ ela o io /li a-ap o ado _po _c o/ 23/64
  • 24.
    06/01/12 np. fac.b / e ib la 2012/ ela o io /li a-ap o ado _po _c o/ 30 18568 MATHEUS FRANCISCO DO VALE SAMPAIO 2006002068389 sspds/CE 16 6888.20 N 31 22910 MATHEUS HENRIQUE MAIA PINHEIRO 10443380 SSP/AC 10 7024.30 N 32 34898 MIKAEL JOHANSSON DANTAS DOS SANTOS 003015230 itep/RN 35 6584.90 N 33 22091 MYRLLA CRISTINA PEIXOTO BRILHANTE 10494766 SSP/AC 28 6688.40 N 34 7981 NATANAEL TEIXEIRA SULZBACH 1071481-2 ssp/AC 46 6496.20 N 35 3890 PAULO HENRIQUE FERREIRA DA ROCHA 1005984-9 SSP/AC/AC 14 6924.00 N 36 6033 PAULO OTÁVIO MOREIRA DOS SANTOS 1160972-9 SSP/AC 5 7286.60 N 37 12984 RAQUEL ELLEM MARCELINO DE OLIVEIRA 22.407.974-9 DETRAN/RJ 13 6963.80 N 38 10309 RAQUEL LUENA COSTA VIEIRA 11598409 SSP/AC 43 6503.80 N 39 11955 REBECA GOMES DANTAS CAETANO 2003009095824 SSP/CE 15 6904.20 N 40 30188 RENATO SILVA ORTEGA 42.989.574-4 SSP/SP 38 6553.30 N 41 27064 ROGÉRIO FELICIANO DE MOURA SANTOS 2391068 SSP/PI 7 7086.50 N 42 36009 RUI SALMO DOS SANTOS FERREIRA 3117329 secretaria de s/PI 8 7064.90 N 43 30070 SANDER BRYAN FELÍCIO DA CRUZ BRITO 1162783-2 SSP/AC 4 7299.70 N 44 16218 SARA HILDA SOUZA SARAIVA 530014 MDCA/CE 24 6743.70 N 45 23164 SIWANDRESSA CIBELLE DOS SANTOS ALMEIDA 10179402 sejusp/AC 235 5767.00 S 46 20875 TIAGO PIRES DE ASSIS AMARAL 16156239 ssp/MG 23 6786.10 N 47 7247 VÍTOR ONOFRE DE SOUSA 1188598-0 SSP/AC 11 7019.30 N 48 24374 WALBER WILLAME BARBOSA DE MOURA 3274617 ssp/PI 17 6875.10 N 49 9609 WEVERTON SAADY AIACHE 10596062 ssp/AC 36 6564.50 N 50 20359 YURI SOUSA DO NASCIMENTO 1143947 SSP/RO 6 7166.70 N 33-Engenharia Florestal (Bacharelado) # Inscri ão Nom e Docum ento Classifica ão Pontua ão Pne 1 9971 ADRIANA DOURADO CRIS STOMO 1199350-2 SSP/AC 54 5294.50 N 2 37842 ALEXIA DA SILVA SOUZA 3123499 spp/PI 48 5322.30 N 3 26688 ALINE DOS ANJOS FARIA 1163124 sssp/ro/RO 59 5263.70 N 4 16006 ANA BEATRIZ ALENCAR DE CARVALHO 1151837-5 SSP/AC 18 5662.30 N 5 20870 ANA PAULA ASSIS DE LIMA 11738219 SSP/AC 72 5178.80 N 6 22766 ANDREI CHRISTIAN PEREIRA LIMA 1098168-3 SSP/AC 16 5686.90 N 7 25794 ANDRESSA DE CASTRO SOUZA 1089086-6 SSP/AC 24 5497.50 N 8 19392 BRENO GONÇALVES PINHEIRO 2.624.471 SSP/PI 11 5780.00 N 9 23860 CAMILA ROBERTA DA SILVA FARIAS 1114398-3 ssp/AC 58 5264.10 N np. fac.b / e ib la 2012/ ela o io /li a-ap o ado _po _c o/ 24/64
  • 25.
    06/01/12 np. fac.b / e ib la 2012/ ela o io /li a-ap o ado _po _c o/ 10 34694 CATARINA FROTA LIMA 1137511-6 SSP/AC 43 5349.80 N 11 6482 CLEANE DOS SANTOS DE SOUSA 6288136 Polícia Civil/PA 71 5186.20 N 12 11992 CLEVERSON AGUEIRO DE CARVALHO 1151762 SSP/RO 56 5282.20 N 13 10851 CREUZINELE DE MATOS DANTAS 10663282 SSP/AC 57 5280.30 N 14 9779 DAIANE MENDES DE OLIVEIRA 1165716_2 Est/AC 76 5161.60 N 15 34507 DYÊGO RIBEIRO DA SILVA VIEIRA 275955 SSP/AC 3 5914.50 N 16 3004 EMILY FARIA CORREIA 426197379 ssp/SP 7 5828.20 N 17 995 ESTEYVID VILAPLANA SANTANA 093827614-4 mex/AM 14 5723.90 N 18 36738 FABIO HEROITO DE PAIVA 381843 SSP/AC 986 3213.90 S 19 13571 F BIO JUNIOR PINHEIRO DA SILVA 1177739-7 SSP/AC 31 5395.70 N 20 13111 FERNANDA NYDALL BANDEIRA 10962522 SSP/AC 19 5659.80 N 21 39319 FERNANDO NASCIMENTO DE OLIVEIRA 10469885 ssp/AC 45 5331.40 N 22 36109 FRANCISCO ALEX SOARES DA COSTA 469754 SSP/AC 552 4249.90 S 23 7626 GABRIEL MILHOMEM MELO MARINHO 00001092478 ssp/RO 9 5805.90 N 24 39209 GABRIELA NASCIMENTO FIEDLER 1206170 SSP/RO 47 5323.50 N 25 27012 GUILHERME MARCHESINI TREVIZANI 1231060 NCCEOF/RO/RO 2 5923.30 N 26 30145 GUSTAVO CARVALHO SPANNER 6542307 Policia Civil/PA 68 5199.60 N 27 16374 HENRIQUE QUEIROZ SIMÃO 1108926 SSP/RO 63 5227.20 N 28 17680 IANNA ANDRADE OLIVEIRA 430325 SSP/AC/AC 69 5193.20 N 29 838 IWLLY CRISTINA CAVALCANTE SILVA 1123856-9 SSP/AC 49 5319.30 N 30 18501 J INA PAIVA MASTUB 1145151-3 ssp/AC 23 5531.50 N 31 6755 JANAIRA FERREIRA DE OLIVEIRA 11401591 sspc/AC 25 5494.60 N 32 18232 JASCYLLEN LAWANNE COSTA DE SOUSA 1133653-6 SSP-AC/AC 51 5310.00 N 33 16170 JEFERSON ALMEIDA DE OLIVEIRA 6685962 policia civil/PA 22 5572.00 N 34 30787 JENNIFER JIMMY ALVES NUNES 1275429 SSDC/RO 28 5436.20 N 35 30587 JOELMA CONCEIÇÃO DE OLIVEIRA CABRAL 1093715-3 ssp/AC 1 5926.60 N 36 27345 JOSÉ JUNIOR DA SILVA DE LA TORRE 1154478 SSP/RO 67 5209.10 N 37 3367 JOSE MARLO ARAUJO DE AZEVEDO 423066 ssp/AC 6 5833.30 N 38 22950 KARINE AMARAL DO CARMO LEITE 1272776 ssp/RO 27 5447.70 N 39 19294 KAROLINE ALMEIDA E SILVA 5432662 SPTC/GO 10 5793.10 N 40 19756 KARYANNE CRISTINA DOS SANTOS BARROS 4448193 policia civil/PA 21 5579.50 N 41 28353 LANA CARLA DA MATTA PEIXOTO 415292 SSP/AP 33 5388.20 N 42 36333 LARA MARIA MONTEIRO FRANCHI NUNES 1120702 SSP/RO 15 5723.10 N np. fac.b / e ib la 2012/ ela o io /li a-ap o ado _po _c o/ 25/64
  • 26.
    06/01/12 np. fac.b / e ib la 2012/ ela o io /li a-ap o ado _po _c o/ 43 5444 LEANDESSON ANTONY DOS SANTOS BARBOSA 1039368-4 SSP-AC/AC 74 5165.60 N 44 28249 LEANDRO DA SILVA HOEPFNER 2706558-8 SSP/AM 66 5210.70 N 45 14108 LIENDA BARBOSA DA SILVA 426686 ssp/AC 37 5374.30 N 46 24346 LISVANIA DA SILVA SAAVEDRA 1144964 SESDEC/RO 20 5584.70 N 47 9000 LORENA PEREIRA PEIXOTO 1403636885 SSP/BA 5 5858.70 N 48 22217 LUANA DE ALCANTARA FEITOSA 1075683-3 Rio Branco/AC 29 5424.50 N 49 24323 LUCAS DIEGO FERREIRA MIRANDA 1209654 SSP/RO 32 5389.10 N 50 18228 MAIELLY INÊS SENA DA SILVA 9040946 SDS/PE 61 5244.10 N 51 35453 MARCIO CHAVES DA SILVA 11901497 SSP/AC 26 5479.20 N 52 16034 MARIA CLARICE DOURADO DE OLIVEIRA 447464 SSP/AC/AC 75 5163.80 N 53 25417 MARIA GLEICIANE SOUZA DA SILVA 1019837-7 ssp/AC 65 5211.30 N 54 22319 MARIA ODETE CRUZ DAS CHAGAS 1182344-5 SSP/AC 42 5355.40 N 55 16692 MARIA PALOMA DE LIMA IZALDINO 1077236-7 SSP/AC/AC 52 5300.80 N 56 34490 MÁRIO ANTONIO SILVESTRINI FILHO 1848933-8 ssp/MT 46 5324.60 N 57 3848 MAX RANDSON DE SOUZA E SOUZA 10855661 SSP/AC 70 5190.90 N 58 4455 MELISSA SILVA DE LIMA 1197755-8 SSP/AC 64 5215.90 N 59 14607 MICHELLE DA VEIGA FUTERKO 872126 SSP/RO 4 5890.90 N 60 34698 MICHELLY ADANY REIS SILVA 1196208-9 SSP/AC 13 5735.60 N 61 32738 MURILO FERREIRA MAMEDE 1839285-7 SSP/MT 17 5686.60 N 62 39878 NATALICIA SILVA DE AZEVEDO 1087715-0 fls/AC 250 4691.40 S 63 32562 NEYSON DA SILVA CEZAR 1127010-1 SSP/AC 41 5363.80 N 64 25805 PATRCIA MARTINS FERREIRA 1258078 SSP/RO 34 5381.00 N 65 13750 PHILIPE SOARES RIBEIRO 8626360 sds/PE 36 5377.70 N 66 14158 RODRIGO SILVA ABATI 910412 ssp/RO 30 5396.70 N 67 807 RONIER FELIPE DA SILVA OLIVEIRA 1111925-0 SSP/AC 39 5371.60 N 68 15219 ROSIENY DOS SANTOS OLIVEIRA 1015330 SSP/AC 73 5169.90 N 69 23816 SABRINA MAIA SOUSA 3783433 SSP/PB 40 5365.80 N 70 26749 SARAH DE JESUS SOUSA ALBUQUERQUE 0313307120063 SSP/MA 62 5242.80 N 71 17944 STHEFANY LORRANY NEPOMUCENO DOS SANTOS 2008010352151 SSPDS/CE 8 5808.30 N 72 17692 TAYLA ABIORANA PIMENTEL 1204536 SSP/RO/RO 55 5292.80 N 73 15927 TAYSE ALVES MOURA 17463149 SSPMG/MG 35 5380.70 N 74 11661 THAINARA CRISTINY MACIEL VIANA 11401966 ssp/AC 44 5337.30 N 75 1024 THALITA JANAINA VASCONCELOS DA COSTA 11957743 SSP-AC/AC 12 5736.70 N 76 3482 THAYLA FERNANDA SOUZA SANTOS 1001270-2 ssp/AC 60 5260.50 N np. fac.b / e ib la 2012/ ela o io /li a-ap o ado _po _c o/ 26/64
  • 27.
    06/01/12 np. fac.b / e ib la 2012/ ela o io /li a-ap o ado _po _c o/ 77 11655 WINNIE MARTINS DELGADO 551529428 SSP/SP/SP 38 5373.90 N 78 3896 YOLANDA YARA LOPES RICARDO 409514 000000000000000/AC 53 5297.90 N 79 2794 ZINHO SILVA GALVÃO 10341560 SEPC/AC 50 5315.90 N 85-Engenharia Florestal (Bacharelado) - CZS # Inscri ão Nom e Docum ento Classifica ão Pontua ão Pne 1 31355 ADRIANA DA SILVA ALMEIDA 438315 SJSP/AC 100 4302.70 S 2 29232 ADRIANY DE HOLANDA VIEIRA 1150813-2 SSP/AC 14 5222.60 N 3 11188 ALESSON DALBOSCO DE LIMA 1135989 ssp/RO 21 5085.60 N 4 2839 ALINE CAVALCANTE DONATO 8679120 SSPE/PE 42 4751.60 N 5 21534 AMANDA VASCONCELOS DE BARROS 2007896177-1 ssp/CE 6 5557.80 N 6 13942 ANA VIRGÍNIA DOS ANJOS 3211674 210708/PI 28 4955.20 N 7 3707 ANNE CAROLINE DAMASCENO 0400367850 MD/AM 23 5046.40 N 8 4189 BARBARA EMILIO DAMACENA 210439576 DETRAN/RJ 45 4703.90 N 9 3130 BRENO MARIZ BATISTA DE ARA JO 003113006 SSP/RN 22 5061.00 N 10 10722 BRUNA CONRADO FERREIRA 3446924 SSP/PI 17 5160.70 N 11 8865 CHEILA SANTOS DE MELO 10861696 sjsp/AC 11 5249.20 N 12 4009 CLEICIANE LOPES DA SILVA 11408464 SJSP/AC 29 4953.70 N 13 24450 EMANUEL MENDES SOARES 2008009228280 SSPDS/CE 2 5739.00 N 14 24455 FELIPE ROLIM FREITAS MOTA MAIA 2003002022422 SSPDS/CE 7 5496.20 N 15 12385 FERNANDO ABREU OLIVEIRA 10746013 SSP/AC 31 4933.90 N 16 39778 FRANCISCA TEREZINHA FEITOSA BEZERRA 1081793-0 SSP/AC 33 4856.50 N 17 15283 FRANCISCO ERIQUE OLIVEIRA DOS SANTOS 1102545-0 ssp/AC 47 4647.20 N 18 25419 FRANK MONTEIRO DE SOUZA 455016 sjsp/AC 12 5248.40 N 19 5530 GABRIEL FELIPE VOGEL 99956054 ssp/PR 26 4977.50 N 20 14642 GENISLÂNDIA ALENCAR SOUSA 3009126 SSP/PI 15 5183.30 N 21 25896 GLEICIANE DA SILVA SOARES 1188599-8 sepc/AC 36 4837.90 N 22 10377 INDILA JAMILE RODRIGUES DA SILVA 1014591-5 SSP/AC 40 4809.70 N 23 11421 INGRID LORAINE ROCHA RIBEIRO 2649533-3 SSP/AC 35 4846.40 N 24 6991 ISAAK DE OLIVEIRA MACHADO 1234288 SSP/RO 4 5613.90 N 25 11213 JAINARA PEREIRA DE OLIVEIRA 3374020 28/11/09/PI 44 4709.20 N 26 17788 JEFFERSON DO NASCIMENTO LIMA 1124216-7 SSP/AC 24 5000.60 N 27 23303 JOANA DE MATOS ARRAIS NETA 1621122204 SSP/BA 13 5224.80 N np. fac.b / e ib la 2012/ ela o io /li a-ap o ado _po _c o/ 27/64
  • 28.
    06/01/12 np. fac.b / e ib la 2012/ ela o io /li a-ap o ado _po _c o/ 28 29653 JOÃO GLILSON OLIVEIRA VIEIRA 1020375-3 projeto cidadão/AC 34 4853.50 N 29 5642 JOSE FRANCISCO CHAVES DE MENEZES 1161107-3 ssp/AC 39 4811.70 N 30 33388 JOSÉ REISSON DA SILVA VALENTE 11877111 SEPC/AC 19 5146.50 N 31 17065 KELLY DE ALMEIDA RODRIGUES 3211823 SSP/PI 30 4950.10 N 32 21557 LARA IANE LINS CAVALCANTI 2009010178133 SSPDS/CE 25 4993.30 N 33 24475 LUCAS BRAZ OLIVIER 2007009195961 sspds/CE 16 5181.70 N 34 37781 LUZIVALDO DE ARAUJO SANTOS 1046813-7 0000/-- 46 4671.30 N 35 20297 MA RA LEITE VILLARIM DIAS 3381157 SSP/PB 9 5449.50 N 36 23287 MARIANA BATISTA PEREIRA 3110413 SSP/PI 8 5474.30 N 37 36177 MICHAEL PAIVA DA SILVA 1140734-4 SSP/AC 32 4860.30 N 38 9299 NELSON PARPINELLI DE CARVALHO 6309554-3 SSP/SP 27 4966.70 N 39 24087 NOANNE MOURA CAMPOS 3343983 SSP/PI 10 5289.10 N 40 19305 OMAR ROCHA ASSIS JUNIO 1066762-8 ssp/SP 37 4837.70 N 41 20277 PAMELA PETROZIAN 2003009082072 SSPDS/CE 41 4772.80 N 42 3250 PAULO CESAR SANTOS CIACCI 120904169-9 policia militar/AC 38 4812.40 N 43 37656 ROGÉRIO AMARAL MACIEL 1153317-0 ssp/AC 5 5566.20 N 44 35026 ROMÁRIO ALVES GALVÃO 11562455 SSP/AC 43 4734.50 N 45 38637 ROMULO MARTINS DE SOUZA 1104830-1 21/08/2007/AC 18 5150.40 N 46 26248 SHÁYRA ANNY MOURA BARBOSA 3406253 SSP/PI 3 5631.80 N 47 39459 THIAGO PEREIRA SOUZA 10630953 ssp/AC 20 5104.20 N 48 28366 WILTON RIBEIRO DE ALMEIDA FILHO 1552851494 SSP/BA 1 6211.30 N 177-Filosofia (Licenciatura) # Inscri ão Nom e Docum ento Classifica ão Pontua ão Pne 1 31663 ADRIJÉSSICA DE LIMA VIANA 11283475 SSP/AC 29 5516.10 N 2 31434 ÁFILA DE OLIVEIRA ALVES 1081472-8 SSP/AC 44 5235.20 N 3 37932 ALARICE BOTELHO NUNES 10103813 SSP/AC 22 5601.80 N 4 39601 AMANDA CAROLINA BEZZONI 10634851 SSP/AC/AC 54 5137.70 S 5 40209 ANTONIO FRANCISCO FERREIRA LIMA 404843 NAO/AC 39 5278.60 N 6 17295 ARIANA DA SILVA ALENCAR 363303 SSP/AC 43 5239.30 N 7 12969 ARLLEY MARIO PEREIRA MACIEL 1012764-0 ssp/AC 19 5696.60 N 8 26630 BENEDITA DOMINGOS DA SILVA 432427 SSP/AC 28 5540.40 N 9 39349 CAIQUE SANTOS MELO 3258826 SSP-PI/PI 38 5290.80 N np. fac.b / e ib la 2012/ ela o io /li a-ap o ado _po _c o/ 28/64
  • 29.
    06/01/12 np. fac.b / e ib la 2012/ ela o io /li a-ap o ado _po _c o/ 10 33637 CARLOS DE OLIVEIRA GIRALDI 645731 iissp/RO 14 5945.70 N 11 34769 CLEMILDA DE GOES SILVA 199.834 SSP/AC/AC 46 5202.10 N 12 18364 CLERMON ANDERSON MOURA NOGUEIRA 419970 ssp/ac/AC 20 5679.40 N 13 34022 CLEUSSONCLEY NASCIMENTO DO CARMO 240108 SSP/AC 35 5376.90 N 14 36975 DOGIVAL DE MELO DOURADO 294249 ssp/AC 41 5255.20 N 15 36411 ELDER DA SILVA MOURA 332798 SSP/AC 11 6185.90 N 16 9493 ELITON FAGUNDES HERMINIO 10877100 SSP/AC 37 5355.00 N 17 12183 ELLEN VIRGÍNIA ESPÍNDOLA PITTA 1069487-0 ssp/AC 13 6043.50 N 18 39280 FÁBIA RENATA MONTENEGRO SILVA 0259334 SSP/AC 21 5654.70 N 19 30150 FABIO PEREIRA DOS SANTOS 449593 ssp/AC 18 5818.90 N 20 28252 FERNANDA KELLY BARBOSA DA SILVA ALVES 2001099170000 ssp/CE 15 5932.80 N 21 37194 FILIPE DE SOUZA CASTELO BRANCO 2008009158452 ssp ce/CE 30 5474.90 N 22 31709 GARDENIO RELXSON MARTINS CLAUDIO 0335444 SSp AC/AC 7 6327.40 N 23 26153 GEISIELLY RIBEIRO SOARES 2006002092506 ssp ce/CE 8 6221.90 N 24 28454 GIGLIANE DE MOURA SILVA 10345205 SSP/AC 26 5549.10 N 25 25221 HEYDER DE MELO COELHO 0278315 SSP/AC 34 5389.60 N 26 37538 ISMAEL CARLOS SILVA E SILVA 11237007 ssp/AC 42 5248.00 N 27 34203 JAMAICA MOURA DOS SANTOS MILHOMENS 351562 SSP/AC/AC 47 5198.20 N 28 31903 JARDESSON CARVALHO OLIVEIRA 1061530-0 SSP/AC 3 6432.80 N 29 13716 JEFERSON BATISTA DE OLIVEIRA CAVALCANTE 414881 ssp/AC 1 6559.90 N 30 24098 JOSÉ DOURADO DE SOUZA 0048356 SSP/AC 32 5463.30 N 31 11119 KENNEDY SOUZA DA ROCHA 470267 SSP/AC 23 5599.70 N 32 30706 LEONARDO NOGUEIRA m8185698 ssp/MG 24 5595.60 N 33 38518 LUIZ ANTONIO ALMEIDA FERNANDES 737408 SSP/RN 2 6521.50 N 34 22274 MAÍRA MENEZES BEZERRA ARA JO 10677755 SSP/AC 17 5880.70 N 35 26220 MARCELO SOUZA DA ROCHA ALVES 417022 ssp /AC 10 6199.70 N 36 22329 MARCOS ANDERSON SILVA CORREIA 1621174 SSP/AL 16 5929.20 N 37 14167 MARIA DE FATIMA FERREIRA DA SILVA 090756 SSP/AC 9 6199.90 N 38 31146 MARIA RAULIANE SILVA DE LIMA 1126268-0 SSP/AC 25 5556.70 N 39 39902 MARIA RITA DE CASSIA AMORIM RODRIGUES 1104747-0 ssp/AC 5 6348.30 N 40 40249 MICHELE DE ARA JO VILA NOVA 398265 SSP/AC 45 5229.50 N 41 23836 MOISÉS CAMPOS BEZERRA 393642 SSP/AC 12 6084.30 N 42 20285 PEDRO ANGELO DE FIGUEIREDO ALMEIDA PASSOS 2009010083736 SSPDS/CE 4 6389.80 N np. fac.b / e ib la 2012/ ela o io /li a-ap o ado _po _c o/ 29/64
  • 30.
    06/01/12 np. fac.b / e ib la 2012/ ela o io /li a-ap o ado _po _c o/ 43 10662 RENIS RAMOS SILVA 560822 ssp/RO 27 5544.60 N 44 10716 RICARDO ALEXANDRE FERNANDES 1202440 CBMAC/AC 6 6343.40 N 45 29009 RICHARDSON NASCIMENTO DA SILVA 364710 SJSP/AC 36 5355.10 N 46 20861 RONYER CRUZ DE SOUZA 10255575 ssp/AC 40 5256.90 N 47 23898 SAMON DA SILVA ALENCAR 11137290 SSP/AC 33 5431.80 N 48 21953 SUSY SOUZA DA ROCHA SILVA 444562 ssp/AC 31 5463.90 N 49 31526 VERONICA DOS SANTOS FORTES 377392 SSP/AC/AC 182 3164.10 S 84-F sica (Licenciatura) # Inscrição Nom e Docum ento Classificação Pontuação Pne 1 29078 AILTON SANTOS DA SILVA 157965 ssp/AC 11 6403.80 N 2 32906 ALEXANDRE DE ASEVEDO COSTA 310116 ssp/AC 33 5847.00 N 3 3805 ALEXSANDRO DE FARIAS FERREIRA 1111652 SSP AC/AC 38 5714.40 N 4 28574 ANDRÉ VINICIUS BARCELLOS GUTERRES 5108056689 SJS/RS 26 5912.20 N 5 6217 ANDREY GONÇALVES DE OLIVEIRA 10529241 ssp/AC 24 6089.80 N 6 23710 ANTONIO BENICIO DE SOUSA J NIOR 8240248 SDS/PE 17 6277.60 N 7 23921 BEATRIZ TSUJI NUNES 479672075 SSP/SP 36 5803.10 N 8 648 BRUNA CRISTINA OLIVEIRA LOUREIRO 11748435 SSP/AC 10 6488.30 N 9 23815 BRUNA GABRIELA DA SILVA 32.720.701-2 ssp/SP 21 6203.40 N 10 5630 CLÁUDIO ALVES ROCHA FILHO 11219432 ssp /AC 30 5864.70 N 11 31792 DJALMA SANTIAGO DE LIMA 10728716 ssp/AC 44 5578.90 N 12 34256 EDCLEI DA SILVA BEZERRA 11595205 SSP/AC/AC 3 7189.90 N 13 6400 EDNSHIRLEYS DA SILVA CAVALCANTE 198875 SSP/AC 47 5543.40 N 14 24581 ELIAS LIMA MOURA 10347909 31/12/2008/AC 35 5832.40 N 15 15279 FRANCISCO RAIGI VIEIRA DA SILVA 231119 ssp/AC 46 5547.40 N 16 1608 GENIVALDO PINHEIRO DA SILVA 223864 SSP/AC 15 6321.50 N 17 15287 HELIO RUBENS MENEZES 0301212 SSP/AC/AC 8 6598.40 N 18 34327 HILDO FERREIRA DE ALMEIDA JUNIOR 7038958-4 SSP/PR 4 6897.30 N 19 28904 ISRAEL DE SOUZA FERREIRA 1010848-3 sspac/AC 13 6390.80 N 20 17068 ITALO ROCHA DE SENA 11040017 SSP/AC 12 6401.20 N 21 35810 JESSYKA SOARES ALMEIDA MARTINS LUZ 2005009125444 ssp ce/CE 2 7250.40 N 22 23598 JOAO PAULO DA CUNHA SOARES 1142895-3 000000000000000/AC 32 5847.50 N 23 13514 JOSÉ ALISON CASTRO DA SILVA 1030478-9 ssp ac/AC 43 5598.40 N 24 15499 JOSE BARROS ROCHA 6466199 SSP/SP 45 5565.60 N np. fac.b / e ib la 2012/ ela o io /li a-ap o ado _po _c o/ 30/64
  • 31.
    06/01/12 np. fac.b / e ib la 2012/ ela o io /li a-ap o ado _po _c o/ 25 26883 JOSÉ FRANCISCO OLIVEIRA SILVA 1133384-7 sjsp/AC 28 5878.30 N 26 9884 JOSIMAR SOARES DE SOUZA 11025107 ....../AC 27 5904.60 N 27 1247 KELLEM DE SOUZA CARVALHO 1043518-2 SSP/AC 25 5923.60 N 28 24472 KELVIN ALEF DE SALES SILVA 2006010036962 SSPDS/CE 1 7698.80 N 29 6043 KEYLLA SOUZA CARVALHO 10434410 SSP/AC 23 6102.00 N 30 15734 LEANDRO CABRAL BANDEIRA 1100271-9 SSP/AC 22 6166.60 N 31 33344 LEANDRO DE SOUZA RODRIGUES 2441396-8 SSP/AM 6 6657.40 N 32 8843 LUAN OLIVEIRA SOUSA 1055341-0 SSPAC/AC 31 5863.80 N 33 21865 LUIZA JORDANIA SERAFIM DE ARAUJO 3691621 ssds/PB 20 6234.70 N 34 15230 MAGILA SOARES DA SILVA 10354840 SSP/AC 41 5622.20 N 35 20247 MARIANA POMPEU DE SOUSA BRASIL 2008009136262 sspds/CE 7 6656.10 N 36 6091 MILENA DE HOLANDA FERNANDES 0178419 ssp/AC 19 6255.80 N 37 9540 NADIA CARVALHO MELO JUNQUEIRA 173582 SSP/AC 37 5772.80 N 38 14115 RAIMUNDO MARTINS DA SILVA 214309 ssp/AC 39 5709.60 N 39 5942 RAISSA FERNANDES GUERRA 400486 SSP-AC/AC 42 5610.80 N 40 35249 ROBSON FERREIRA DAS CHAGAS 11079649 ssp/AC 18 6267.00 N 41 1031 SALATIEL PERES DE CARVALHO 448384 ssp/AC 5 6763.10 N 42 27416 SARA ARA JO SILVA DE MELLO 099360 SSP/AP 9 6589.80 N 43 17473 SILVANA DA SILVA COSTA 11169010 ssp/AC 40 5644.40 N 44 6060 THÁIS NASCIMENTO DE BRITO 1140139-7 SSP/AC/AC 16 6285.80 N 45 21977 WALISON FERREIRA SALES 1163506-1 SSP/AC 34 5839.30 N 46 23359 WILLIAN FELIPE MEDEIROS ALVES 1106909-0 ssp/AC 29 5867.20 N 47 376 YONAIRA CAROLINA RAMOS ROCHA 1045024-6 ssp/AC 14 6336.60 N 22-Geografia (Bacharelado) # Inscri ão Nom e Docum ento Classifica ão Pontua ão Pne 1 22417 ALINNE GOMES SOARES 10013911 SSP/AC 32 4632.70 N 2 34484 AMANDA ORTIZ PARENTE 11356251 SSP/AC 16 5010.80 N 3 23541 ANDRE FAN ZHONG 2007841813-0 ssp/CE 4 5563.40 N 4 29672 ARIANA DE OLIVEIRA PONTES 467716 SSP/AC 30 4641.00 N 5 22426 ARIEL MARTINS ANDRE 2004010095520 ssp ce/CE 8 5359.00 N 6 14052 BRUNA DE SOUSA MOURA FÉ 3.135.507 ssppi/PI 33 4619.60 N 7 29249 CAIRON TORRES DE ARAUJO 0296848 ssp/AC 65 4184.00 S np. fac.b / e ib la 2012/ ela o io /li a-ap o ado _po _c o/ 31/64
  • 32.
    06/01/12 np. fac.b / e ib la 2012/ ela o io /li a-ap o ado _po _c o/ 8 13092 ELISGARDENE ARA JO DE SOUZA 1171320-8 ssp ac/AC 21 4801.90 N 9 15444 EPHREN RODRIGO DA SILVA LIMA 338217 ssp/AC 9 5296.20 N 10 27007 FERNANDO ALVES DE ARAUJO 1061123 ssp/ac/AC 38 4567.70 N 11 27247 FRANCISCO AMISTERDAN DE SOUZA DA SILVA 100665986 ssp/AC 20 4805.70 S 12 26321 FRANCISCO MATHEUS SANTIAGO BARBOSA 2007594639-9 SSP/CE 2 5764.60 N 13 31746 GLÁUCIA ALBUQUERQUE DA SILVA 1072717-5 SSP/AC 11 5246.00 N 14 1650 HÉVILA GADELHA LIMA 10458123 SSP/AC 23 4792.80 N 15 38119 IDALINA AMARAL DA SILVA 459217 ssp/AC 14 5064.20 N 16 19867 ISADORA DE SANTANA SILVERIO 20078149007 SSPDS/CE 7 5412.00 N 17 27172 JOHN MILLER DA SILVA HOLANDA 1112948-4 ssp/ac/AC 15 5027.80 N 18 37334 JORGE LUCAS RIBEIRO DE LIMA 2008009232008 ssp ce/CE 5 5551.10 N 19 5973 JOSE ARTENES DE SOUZA LIMA 0238881 ssp/AC 6 5416.70 N 20 17852 JOSE LUIZ MACIEL DE OLIVEIRA 1137270-2 SPAC/AC 17 4894.10 N 21 37149 LEIDIANA LOPES DA SILVA 1200510-8 SSP/AC 35 4579.60 N 22 19978 LOUISE GARCIA XEREZ SILVA 2008009094098 SSPDS/CE 12 5229.10 N 23 18630 LUCIANA ALVES MAGALHÃES 10179348 sesp/AC 24 4788.70 N 24 18282 MÁRCIA CLEIDE FRANCELINO DE SANTANA 0309541 ssp/AC 25 4738.80 N 25 20899 MARIA LUIZA OSORIO AVELINO 396873 SSP/AC 27 4723.90 N 26 24165 MARIA RAIMUNDA BARROS DE SOUZA 11427710 SSAP/-- 22 4800.70 N 27 14677 MARIA SOLANGE COSTA BATISTA 311638 ssp/AC 37 4573.20 N 28 37451 MATEUS BUENO PONTE DE MATOS 1000693554 ssp ce/CE 19 4851.50 N 29 20253 MATHEUS DE FREITAS LEAL LOPES 2006009127569 SSPDS/CE 1 6287.30 N 30 35846 MATHEUS PIMENTA FELICIO SALDANHA 2007009107051 ssp ce/CE 3 5567.50 N 31 26032 NATAN TORREJON VALENTE 1111715-0 ssp/AC 10 5286.80 N 32 4234 NATANAEL MELO MONTEIRO 1199369-3 delegacia/AC 29 4671.80 N 33 38249 PÂMELA MOURA DA SILVA 1062511-9 SSP/AC 26 4725.20 N 34 23014 ROMÁRIO SILVA DOS SANTOS FREITAS 11238828 ssp/AC 28 4688.00 N 35 21245 TATIANE MENDONÇA DE LIMA 1145400-8 sspac/AC 18 4891.60 N 36 12278 VALCIENNE SEGOBIA SALES 443519 Rio Branco /Ac/AC 36 4577.30 N 37 35359 VANILSON DA SILVA BRITO 453693 ssp Ac/AC 34 4590.40 N 38 29247 WAGNER DE JESUS GALLO 0920205500 SSP/BA 13 5180.10 N 39 2721 WILLYANE MELO UCHÔA 1059130-3 ssp/AC 31 4633.10 N np. fac.b / e ib la 2012/ ela o io /li a-ap o ado _po _c o/ 32/64
  • 33.
    06/01/12 np. fac.b / e ib la 2012/ ela o io /li a-ap o ado _po _c o/ 09-Geografia (Licenciatura) # Inscri ão Nom e Docum ento Classifica ão Pontua ão Pne 1 8985 ANA CRISTINA DE FREITAS LEITE 10211071 SSP/AC 33 4797.50 N 2 24209 ARTUR ROMERO SANTOS RODRIGUES 2390804 SSP/PI 13 5122.20 N 3 30044 BRUNO GABRIEL DA SILVA GOMES 345634 ssp/ac/AC 44 4658.50 N 4 17236 CAIO GOMES DA SILVA 10770852 SSP/AC 8 5217.40 N 5 24198 CARLOS RANGEL DE SOUSA 3251605 SSP/PI 4 5324.20 N 6 22459 CELIO VIANA DA SILVA JUNIOR 2007002089228 SSP/CE 17 5059.20 N 7 2323 CL UDIO ANDRÉ MENDES DE FREITAS 1075370-2 SSP/AC 28 4855.40 N 8 13895 CRISTIANY OLIVEIRA PEREIRA ALBUQUERQUE 10439005 SSP/AC 24 4901.00 N 9 35583 DANIELLE NASCIMENTO DA COSTA RAMOS 356026 ssp/AC 21 4937.60 N 10 33857 DIONE DA SILVA COSTA 334052 ssp/AC 23 4909.30 N 11 38439 ELISSAMA FERREIRA DO VALE 1009574-8 ssp/AC 42 4712.40 N 12 15495 ELIVELTON MENEZES PASSOS 1103474-2 ssp/AC 29 4834.50 N 13 35667 FABIO SILVA DE LIMA 363356 SSP/AC 15 5105.90 N 14 1994 FRANCISCO MENDES DE ARAUJO 201421 SSP/AC 3 5335.50 N 15 37357 GERBSISON DE OLIVEIRA BARBOSA 451479 ssp/AC 30 4820.50 N 16 37956 GERCIANO LIMA DE SOUSA 1022399-1 01/04/2004/AC 41 4725.40 N 17 16941 GLEICIANE DA SILVA 10177981 ssp/AC 34 4794.60 N 18 33622 JAMES DOS SANTOS DE SOUZA 10675523 ssp/AC 31 4815.80 N 19 30327 JAQUELINE SANTOS PEQUENO DA SILVA 11410167 SJSP/AC 32 4803.90 N 20 18472 JEFERSON BECKMANN PINNO 1098993-5 SSP/AC 19 5018.50 N 21 257 JORGE SILVA GONGALEZ 376090 SSP/AC 25 4891.80 N 22 11816 JOSÉ ALMEIDA DA SILVA 1121771-5 ssp/AC 26 4860.20 N 23 32638 JOSE LUCAS OLIVEIRA DA SILVA 11391715 sejusp/AC 45 4658.50 N 24 35216 JOSIAS DE SOUSA SILVA 0289445 ssp/AC 18 5019.50 N 25 23479 LIZANY DOS REIS SILVEIRA 1027337-9 ssp/ac/AC 35 4793.00 N 26 9750 LUAN DA SILVA ALMEIDA 6365859 dpf/PA 11 5169.50 N 27 20674 LUANA DA SILVA DE FREITA 1171469-7 ssp/AC 10 5200.40 N 28 24118 LUCAS DOS SANTOS TEIXEIRA 1085935-7 SSP/AC 20 4946.10 N 29 11318 LUCIANA DE OLIVEIRA SOUZA 1159461-6 ssp/AC 43 4662.70 N 30 26113 LUCIANO BRASIL DA SILVA 362084 SSP-AC/AC 7 5249.10 N 31 7729 MARCIANA ROS RIO DE SALES 10630490 ssp/AC 16 5090.00 N np. fac.b / e ib la 2012/ ela o io /li a-ap o ado _po _c o/ 33/64
  • 34.
    06/01/12 np. fac.b / e ib la 2012/ ela o io /li a-ap o ado _po _c o/ 32 30123 MARINALDA DE PAULA SILVA DE MELO 226490 SSP/AC 47 4654.30 N 33 11312 NATHAN PEREIRA DOURADO 476372549 ssp/SP 1 5638.70 N 34 29149 OZIEL FERREIRA ROSA 11296844 SSP/AC 46 4655.90 N 35 10570 PÂMELA CRISTINA ARA JO MIRANDA 1139379-3 SSP/AC 5 5301.10 N 36 19190 PEDRO JOSÉ DOS SANTOS FILHO 0254474 sspac/AC 39 4751.40 N 37 18919 QUILVIA SUELY RODRIGUES 11185872 ssp/AC 40 4729.10 N 38 36703 RAIFRAN SANTOS DE SOUZA 219956 SSP/AC 9 5206.50 N 39 34548 RAIMUNDA DA COSTA VIANA 10709045 SSP/AC 37 4787.10 N 40 34592 RODINEY FELIPE DA SILVA SOUZA 10592920 ssp/AC 36 4787.40 N 41 17606 ROMULO GARCIA DA ROCHA 21154619 ssp/AC 38 4784.10 N 42 20811 TALITA SILVA DUARTE 1100608-0 ssp/AC 6 5271.10 N 43 22865 THAINA BRUNA FRANCA DA SILVA 10599436 SSP/AC 12 5167.90 N 44 20225 THAIS BEZERRA SOUZA 1113167-5 Rio Branco/AC 14 5122.00 N 45 15995 VALDEIR DOS SANTOS SOUZA 5534729 policia civil/PA 27 4857.50 N 46 19690 WESLY ROCHA DE OLIVEIRA 1052640-4 SSP/AC 2 5418.70 N 47 26764 YARA CRISTINA SILVA DOS SANTOS 11062592 ssp/AC 22 4927.70 N 10-Hist ria/Matutino (Licenciatura) # Inscrição Nom e Docum ento Classificação Pontuação Pne 1 9503 ADRINE CUNEGUNDES REGO 1035085-3 SSPA/AC 5 6078.90 N 2 21525 ALAN MEDEIROS SANTOS 20075150705 ssp/CE 10 5843.90 N 3 9216 ALANA ARA JO 12032620 Tarauacá /AC 31 5436.60 N 4 37007 ANA CAROLINA MESQUITA DE CARVALHO 2004007044872 ssp ce/CE 13 5688.50 N 5 31626 ANA CLAUDIA ARMES DO NASCIMENTO 11253436 ssp/AC 45 5318.60 N 6 35035 ANDRÉ PINTO DA SILVA 345700 SSP/AC 35 5401.90 S 7 17577 ANDRESSA MORAIS CAMPOS 1139349-1 23/03/1994/AC 7 6039.00 N 8 39414 CAMILA ROCHELLE DE ARA JO GOMES 1198066-4 SSP/AC 8 5911.00 N 9 1301 CARLA ARIELA LUZ QUIRINO GUIMARÃES 1077277-4 ssp/ac/AC 2 6142.60 N 10 28784 CÉLIA SANTOS DA SILVA 1178193-9 ssp/AC 42 5345.30 N 11 24580 CINDY MENDES DA SILVA 1028791-4 SSP/AC 28 5444.10 N 12 1532 CRISTY ELLEN VANESSA DO NASCIMENTO FERREIRA 1064860-7 SSP/AC 3 6137.30 N 13 18124 DIEIME LOPES DE SOUZA 10284060 SSP/AC 46 5314.80 N 14 19870 JACKSON CLERTON DA SILVA CHAGAS 2006032016719 SSPDS/CE 29 5443.80 N np. fac.b / e ib la 2012/ ela o io /li a-ap o ado _po _c o/ 34/64
  • 35.
    06/01/12 np. fac.b / e ib la 2012/ ela o io /li a-ap o ado _po _c o/ 15 39856 JAQUELINE FILGUEIRA DE MELO OLIVEIRA 11439092 ssp/AC 26 5504.60 N 16 4231 JESSICA ALVES MARQUES DA COSTA 339071 SSP/AC 15 5664.50 N 17 18057 JESSICA MARQUES RODRIGUES 10913815 SSP/AC 19 5628.10 N 18 1089 JHEINY SILVA CRAVALHO 10848681 SSPAC/AC 44 5329.80 N 19 14939 JOAQUIM FRANCISCO RIBEIRO NETO 230963341 SSP/SP 1 6266.10 N 20 10520 JÔNATAS RODRIGUÊS DANTAS 1019958-6 SSP/AC 6 6062.00 N 21 23784 JULIANA ANDRESSA CORDEIRO SILVA 11249463 SSP/AC 22 5595.70 N 22 4796 KAMILA ALVES DA SILVA FIGUEIREDO 445905 SSP/AC 24 5523.70 N 23 31576 LAURA NERY MAGALHÃES 1014008-5 SSPAC/AC 34 5407.30 N 24 35333 LUCIANNE DA SILVA SOUZA 423574 ssp/AC 14 5683.30 N 25 31863 LUIS FERNANDO NASCIMENTO LIMA 363250 SSP/AC 37 5380.70 N 26 37307 MARIA JERCILENE MOTA DE SOUZA 0248339 SSP/AC/AC 38 5373.10 N 27 34761 MARIA JOSE DA SILVA ARAUJO 10744550 SSP/AC 20 5615.40 N 28 28713 MARIA MANUELA DE ALMEIDA 1307934340 SSP/BA 11 5741.20 N 29 37130 MARSELLA HORTENCIA SOUZA E SOUZA 10268502 spp/AC 40 5351.40 N 30 37984 MARTA DE SOUSA VIEIRA 403857 ssp/AC 98 4889.70 S 31 11523 MELISSA EMILY SOUZA DE ARA JO 1096097-0 SSP-AC/AC 16 5657.00 N 32 25366 MICHELE LIMA ANDRADE 11253142 ssp/AC 21 5602.90 N 33 706 NATALIA PEREIRA DOS SANTOS 11092238 SSP/AC 36 5397.50 N 34 923 OLGA MIRIAN ALVES PEREIRA 1012681-3 SSP/AC 9 5846.70 N 35 26634 RAISAN LUCAS SOUZA DE LIMA 1048105-2 sejusp/AC 30 5437.60 N 36 36564 RAISSA DOS SANTOS BARBOSA 10276670 SSP/AC 27 5478.50 N 37 15286 RAIZA BELO NOGUEIRA 467282 sspac/AC 23 5546.80 N 38 29405 RANGEL DE SOUZA MORAES 10247033 ssp/AC 33 5414.90 N 39 36672 RAVEL DE SOUZA MORAES 10246975 ssp-ac/AC 12 5689.60 N 40 40081 RICARDO TOMÁS FERREIRA PEREIRA 1063102-0 SSP/AC 43 5341.50 S 41 40005 ROSINEIDE SILVA LAGO 219458 SSP/AC 47 5310.90 N 42 16805 SILVANA DOS REIS NASCIMENTO 10169326 SSP/AC 32 5431.10 N 43 6815 SUSE FLOR AMORIM 1055663-0 SSP/AC 41 5345.80 N 44 15003 TAINARA PEREIRA ARGOLO 1206348 SSP/RO 25 5518.90 N 45 37277 VAGNER DA SILVA ANDRADE 1039293-9 sspac/AC 39 5370.50 N 46 37814 VANESSA DIAS DE CARVALHO QUARESMA GAMA 2006002125200 ssp ce/CE 4 6115.90 N 47 19347 VERIDIANA SANTOS DA COSTA 1074063-5 ssp/AC 18 5635.60 N np. fac.b / e ib la 2012/ ela o io /li a-ap o ado _po _c o/ 35/64
  • 36.
    06/01/12 np. fac.b / e ib la 2012/ ela o io /li a-ap o ado _po _c o/ 48 34989 VIVIANE GONÇALVES DE ARA JO 323456 SSP/AC 17 5642.20 N 24-Hist ria/Noturno (Licenciatura) # Inscrição Nom e Docum ento Classificação Pontuação Pne 1 25893 ADRIANA DOS SANTOS COSTA 466080 SSP/AC 20 5800.10 N 2 9174 ALCEU AGUIDO DA SILVA JUNIOR 459517 ssp/AC/AC 1 6488.10 N 3 19446 ALDENORA FERREIRA DE SALES DA SILVA 150512 SSP-AC/AC 44 5553.90 N 4 22968 ALLEY ANGELO LOPES SOARES 436036 SSP/AC 3 6274.40 N 5 24617 ANTONIO VAGNER DE SOUZA PAIVA 454468 SSP/AC 2 6455.50 N 6 31884 APOENNA OLIVEIRA DE SOUSA 0272811 SSP/AC 16 5903.80 N 7 26912 BENEDITO TAYLON ARA JO COLOMBO 10062890 SSP/AC 35 5614.70 N 8 19854 BRUNA MESQUITA BURLAMAQUI 2008010167087 SSPDS/CE 5 6218.50 N 9 230 DANIA CAMPOS FELIX BRITO 0235141 SSP/AC 37 5605.00 N 10 37380 DARCIFRAN DE MORAES EDUINO 355447 ssp/AC 23 5740.30 N 11 1826 ELCIMAR SILVA FREITAS 1098866-1 SSP/AC 39 5581.80 N 12 35128 ELZA TAIS VIANA DE ARAUJO 10178279 SSP/AC/AC 43 5559.60 N 13 10013 EVILÁZIO GOMES DA SILVA 242407 SSP/AC 10 6094.20 N 14 5185 FLAVIA EVANGELISTA FELIPE 1062415-5 Ac/AC 31 5664.50 N 15 18219 FRANCISCO RAMOS DOS SANTOS FILHO 20573616-6 SSP/SP 17 5850.50 N 16 25125 GABRIELA OLIVEIRA DA SILVA 1029628-0 SJSP/AC 15 5933.00 N 17 38060 GEOWANY GALDINO ALVES 460784 SSP/AC 9 6146.30 N 18 32429 IGO ANDRADE DE MELO 10006516 SSP/AC 34 5618.50 N 19 36450 JAIANDRA GONÇALVES DE ARAUJO 1054008-3 SSP/AC 512 3620.10 S 20 37014 JARDEL COSTA ANGELIM 10141987 SSP/AC 36 5605.50 N 21 18964 JHONNY WESLEY SANTANA LIMA 1076354-6 SSP/AC 40 5578.80 N 22 31143 JOÃO ISAQUE FARIAS DA SILVA 448011 SSP/AC 41 5576.30 N 23 35834 JOSÉ CAINÃ PEDROSA MACIEL 10680349 sejusp/AC 13 5947.10 N 24 9913 JOSE DA CRUZ CAPPER DE SOUZA 238277 SSP-AC/AC 30 5683.10 N 25 10920 JOSÉ PAULO THIAGO 1158364 SSP/RO/RO 21 5793.80 N 26 21698 JULIO CESAR DE LIMA SOUZA 11345535 sejesp/AC 32 5634.20 N 27 1879 KARINE PAMELA SILVA E SILVA 11139412 ssp/AC 29 5707.30 N 28 27285 LETICIA THAYNÃ DE QUEIROZ ALVEZ 11813024 SSP AC/AC 8 6176.80 N 29 26274 MANOEL MECIAS MODESTO DE LIMA 10569650 SSP/AC 26 5727.90 N 30 16643 MARCELA SOUZA DE OLIVEIRA 450264 SSSP/AC 12 5959.00 N np. fac.b / e ib la 2012/ ela o io /li a-ap o ado _po _c o/ 36/64
  • 37.
    06/01/12 np. fac.b / e ib la 2012/ ela o io /li a-ap o ado _po _c o/ 31 30028 MARIA OCIVANDA ARA JO DE OLIVEIRA 217459 SJSP/AC 38 5592.50 N 32 20280 MICHAEL MANOARES MARTINS 1124768-1 SSP/AC 45 5553.80 N 33 35340 NAIANE JACO DE BRITO 11103841 ssp/AC 18 5835.30 N 34 24608 OSIEL PESSOA DE SOUZA 420101 ssp/AC 19 5816.30 N 35 579 RAIMUNDO NONATO FRANCALINO DA ROCHA 275232 SSP/AC 22 5771.10 N 36 39449 REBECA DIOMARA DA SILVA 10477942 SSP/AC 7 6187.40 N 37 3043 RENATA NASCIMENTO MARQUES 464673 ssp/AC 46 5547.50 N 38 16109 RICARDO PEDROSA DE MOURA 287333 SEC. DE SEG.PUB/AC 14 5938.70 N 39 33768 ROGÉRIO SOARES DA FONSECA 461127 ssp/AC 24 5735.50 N 40 2218 RÔMULO PEDROSA RIBEIRO MENDES MG 11737023 SSP/MG 33 5624.80 N 41 2893 ROSELI DA SILVA BORGES 1007219-5 ESJ/AC 27 5724.30 N 42 16089 ROSILENE PITA DA COSTA 10125213 ssp/AC 47 5546.90 N 43 8858 ROSILENE SOUZA DE LIMA 352583 ssp/AC 42 5572.10 N 44 33321 SAMUEL FREITAS CAMPOS 10412530 ssp/ac/AC 84 5315.40 S 45 36180 SAMUEL LUIZ FEITOSA CAVALCANTE 2008010248060 ssp ce/CE 6 6215.20 N 46 17433 SEBASTIÃO DA SILVA RAFAEL 10591451 SSP/AC 28 5715.90 N 47 29847 VICTOR BARBOSA MAPURUNGA MATOS 2007009126803 SSP/CE 4 6220.50 N 48 14513 WILIANE GERMANO FLORENCIO 11165782 uf/AC 25 5729.00 N 49 26687 YURI NOGUSHI RODRIGUES YAMADA 001944703 SSP/RN 11 6045.50 N 91-Hist ria/Vespertino (Bacharelado) # Inscrição Nom e Docum ento Classificação Pontuação Pne 1 12559 ACÁCIO FERNANDO DE OLIVEIRA SOUZA 8.939.084 SDS/PE 18 5400.10 N 2 7144 ALISON DOS SANTOS NASCIMENTO 425626 SSP/AC 31 4996.90 N 3 22023 AMANDA RIBEIRO DA SILVA 418656 SSP/AC 7 5823.40 N 4 14309 ANA PAULA SOUZA DIÓGENES 10529519 ssp/ac/AC 8 5747.70 N 5 6491 ANDRESSA MARIA DE MOURA SILVA 2481330 SSP/PI 1 6488.40 N 6 30353 BENILA NASCIMENTO DA SILVA 1077942-6 SJSP/AC 37 4971.80 N 7 24003 BRUNO MATEUS DE CARVALHO SILVA 10806741 SSP/AC 45 4829.40 N 8 10146 CAROLINE SILVA COSTA 11370696 SSP/AC 27 5037.80 N 9 8783 CHARLINY BARROS DE CARVALHO 395677 SSP/AC/AC 42 4876.60 N 10 35447 CRISTIELY ALVES CHALUB 1055331-2 ssp/AC 36 4973.50 N 11 10658 DIOGO LEAL FEITOSA 3515703 SSP/PI 9 5704.30 N np. fac.b / e ib la 2012/ ela o io /li a-ap o ado _po _c o/ 37/64
  • 38.
    06/01/12 np. fac.b / e ib la 2012/ ela o io /li a-ap o ado _po _c o/ 12 23918 DIRLAN BORGES MARTINS 1102736-3 SSP/AC 35 4974.60 N 13 11623 ELAINE GONÇALVES CABRAL 450099 SSP/AC 33 4986.60 N 14 1315 ELVIS MORAIS DE SOUZA 10499644 ssp/AC 17 5405.30 N 15 31165 ELZA FRANÇA DA ROCHA 225067 ssp/AC 28 5013.50 N 16 30272 EVANILDE LIMA MENDONÇA 083853 ssp/AC 38 4969.50 N 17 26312 FIAMA LOPES DE ARAUJO 1147858-6 SSP/AC 24 5169.30 N 18 9295 GABRIEL VIANA PONTES DE OLIVEIRA 11163461 SSP/AC 5 5959.60 N 19 16401 HELAINY PESSOA RAMOS 1031157-2 ssp/ac/AC 39 4930.00 N 20 31743 IGOR RICARDO ARAUJO CAVALCANTE 1138887-0 sspa/AC 16 5434.30 N 21 22920 ISABELLY FERREIRA MONTEIRO 7100040 SDS/PE 3 6284.30 N 22 27077 ISRAEL FRANCISCO SILVA OLIVEIRA 1064007-0 SSJ/AC 10 5668.30 N 23 13696 JADSON DA SILVA BERNARDO 1151267-9 ssp/AC 19 5326.70 N 24 13594 JANAIRA FARIAS DE MENDONÇA 10599533 SSP/AC 40 4923.00 N 25 144 KALIL RAHUAM DE FIGUEIRÊDO BITTENCOURT 1148499-3 ssp/ac/AC 22 5217.10 N 26 10640 KELY DE BARROS AGUIAR 3273490 SSP/PI 6 5913.60 N 27 39154 KETILLY SOARES DE SOUZA 10696342 SSP/AC 21 5255.90 N 28 3205 LENITA ALVES FERRARI 0235842 ssp/AC 34 4976.50 N 29 34231 LUCAS MEDEIROS CAVALCANTE COSTA 2007646047-3 sspce/CE 14 5530.40 N 30 26539 MARCELA DEYSE SANTOS ARA JO 10692002 ssp/ac/AC 46 4816.90 N 31 14754 MARIA ELENILDE NERI SARAIVA 0334289 ssp/AC 32 4992.50 N 32 6964 MARIA LAURIANE DE SOUZA DO NASCIMENTO 10496920 ssp/AC 23 5209.20 N 33 12210 MARIZETE PAIVA DA SILVA RIBEIRO 195759 ssp/AC 26 5043.60 N 34 7813 MICHELE CRISTINA DA SILVA GOMES 425655 SSP/AC 47 4811.20 N 35 20269 MURILO GONCALVES COSTA 2007114920-6 SSPDS/CE 25 5094.60 N 36 3788 NEUZILENE SILVA DE AZEVEDO 10158812 ssp/AC 41 4892.70 N 37 27067 OCICLEIDE OLIVEIRA DE LIMA 1105558-8 Sena Madureira/AC 20 5285.10 N 38 25351 PAMELLA MARIA FEITOSA GERMANO 11172134 SSP/AC 30 4998.80 N 39 7037 PATRÍCIA MARIA BARROS DE OLIVEIRA 10836594 SJSP/AC 2 6418.70 N 40 7613 POLIANA DE MELO NOGUEIRA 1072412-5 SSP/AC 29 5003.10 N 41 26136 ROBERTA MAIA DE VASCONCELOS 2007176043-6 ssp ce/CE 12 5642.70 N 42 33761 RONALDO SATURNINO DE OLIVEIRA 340245 ssp/AC 4 6077.30 N 43 24757 SAMARA ARAUJO DA SILVA 1076488-7 SSP/AC 13 5578.70 N 44 18457 SANDERSON BENTO RODRIGUES DA SILVA 1085069-4 SSP/AC 11 5668.00 N np. fac.b / e ib la 2012/ ela o io /li a-ap o ado _po _c o/ 38/64
  • 39.
    06/01/12 np. fac.b / e ib la 2012/ ela o io /li a-ap o ado _po _c o/ 45 6025 SOLEANE DE SOUZA BRASIL MANCHINERI 410402 ssp/AC 44 4854.50 N 46 8328 TÁSSIO MELO DA SILVA 10790721 sspac/AC 15 5496.80 N 47 20289 THARYN RAMON DE OLIVEIRA LIMA 446384 ssp/AC 43 4856.30 N 90-Letras/Espanhol (Licenciatura) # Inscri ão Nom e Docum ento Classifica ão Pontua ão Pne 1 11538 ADEGILSON GOMES DA SILVA 11103248 SSP/AC 3 5758.70 N 2 3557 ALAN DIONES DIAS PROCÓPIO 10938877 SSP/AC 37 4938.90 N 3 20465 ANA CLÁUDIA COSTA PESSOA SENA 10021760 SSP/AC 8 5521.50 N 4 22712 ANDRÉ ARRUDA DE SOUZA DERZE 1042761-9 SSP/AC 1 5842.90 N 5 16827 ANDRESSA CAROLINA DA SILVA DE MORAES 10997520 SSP/AC 43 4898.90 N 6 37936 ANGELA CRISTINA DE ALBUQUERQUE CRUZ 215640 SSP/AC 33 4986.00 N 7 38886 ANTONIO CARLOS PORFIRIO DA COSTA 411280 SSP/AC 34 4972.80 N 8 37181 ANTONIO MARCOS DA ROCHA PEREIRA 0278710 ssp/ac/-- 420 3115.30 S 9 38421 DAIANY SOARES DE CARVALHO 1114913-2 SSP-AC/AC 28 5103.50 N 10 16527 DANIEL JULIO FERREIRA MOTA 10401903 ssp-ac/AC 38 4938.50 N 11 14689 DARIANE FERNANDA DOS REIS 10347488 ssp/AC 12 5369.20 N 12 23565 DAYELLE SANTIAGO DA SILVA 1021755-0 SSP/AC 42 4905.40 N 13 27572 DENISE TEMPORIM FURTADO 272858 SJSP/AC 15 5298.40 N 14 31272 DIONATAN LIMA DE SOUZA 10252940 ssp/ac/AC 44 4891.70 N 15 21855 ERICA DA SILVA MAGALHÃES 10299394 SSP/AC 19 5244.90 N 16 5064 ESTEFANI DE OLIVEIRA MARINHO 1110590-9 IRHM/AC 16 5298.20 N 17 34871 FRANCISCA ROSIENE ARAUJO LIMA 230826 ssp/AC 25 5135.70 N 18 23723 FRANCISCA SILVA DE OLIVEIRA 0327998 SSP/AC 27 5118.50 N 19 29668 GIOVANNY KLEY SILVA TRINDADE 464816 SJSP/AC 35 4957.30 N 20 19860 GUILHERME RICARDO SOUZA LEAL 2007010183459 SSPDS/CE 6 5595.10 N 21 20449 IARA CRISTINA OLIVEIRA DA COSTA DE SOUZA 10147845 SSP/AC 4 5718.50 N 22 16699 IARA TAIANE PEREIRA DE SOUZA 1109963-1 SSP/AC 9 5414.70 N 23 22173 IDELMAR FERREIRA DE SOUZA J NIOR 398950 SSP/AC 10 5412.70 N 24 14212 IVANIA MARIA COSTA DE MATOS 1003804-3 SSP/AC 5 5688.90 N 25 35872 JOAO PAULO BARROS DE SOUZA 413070 ssp/AC 11 5401.40 N 26 26056 JONATA MENDES DA SILVA 397794 ssp/AC 36 4939.80 N 27 14743 JOSE FURTADO DE OLIVEIRA 10271945 SSP/AC 31 5042.80 N 28 16052 LAUDEMIR SAAR XAVIER 270720 SSP/AC 18 5247.70 N np. fac.b / e ib la 2012/ ela o io /li a-ap o ado _po _c o/ 39/64
  • 40.
    06/01/12 np. fac.b / e ib la 2012/ ela o io /li a-ap o ado _po _c o/ 29 39298 LUIZ PAULO BATISTA DA SILVA 261329 ssp/AC 7 5548.10 N 30 34948 MARIA CRISTINA DA SILVA SANTOS 186279 SSP/AC/AC 45 4885.10 N 31 15233 MARIA IVANILDE SANTOS DA SILVA 0317711 30/12/1996/AC 217 4231.30 S 32 34772 MARIA JOSÉ LIMA MAGALHÃES 1004108-7 ssp/AC 23 5164.20 N 33 9310 MARIA L CIA VÂNIA CORTEZ DE MOURA 141750 ssp/AC 39 4931.90 N 34 34604 MARIA SUZIANE GADELHA MENDES 1045867-0 SSP/AC 2 5770.40 N 35 24926 MAYRA CRISTINA SILVA DE SOUZA 412471 SSP/AC 17 5288.50 N 36 8315 NAREZA BARROS LARA 432476 SSP/AC 32 5035.90 N 37 35925 PATRICIA VIANA DOIMO 457326 SSP/AC 13 5324.40 N 38 40189 RAFAELA ALMEIDA DOMINGUES BATISTA 11689617 ssp/AC 46 4880.60 N 39 4722 RAIANE MAIA DA SILVA 10443991 ssp/AC 41 4907.60 N 40 5803 ROGERIO JANUARIO DE MATOS 0339677 ssp/ ac/AC 14 5322.10 N 41 16365 ROMARIO RIBEIRO GONÇALVES 11446307 SSP/AC 30 5043.90 N 42 21896 SIMONE LOPES DAMASCENO 1112281-1 ssp/AC 40 4924.60 N 43 9527 SUENE DE ALMEIDA BEZERRA 1136701-6 ssp/AC 21 5226.20 N 44 25272 TALLISSON PRIVADO FRANCELINO 10847170 SSP/AC 47 4861.90 N 45 27837 THAYS DI KÁSSYA SOUZA FIGUEIREDO 470024 SSP-AC/-- 26 5134.70 N 46 6087 VALCICLÉIA BARBOSA DA SILVA 3518047 SSP/AC 29 5072.90 N 47 18746 VALDENISE ANGELO FERREIRA 0292304 ssp/AC 24 5151.30 N 48 33277 VANDERLÉIA DA SILVA OLIVEIRA 189344 SJSP/AC 20 5233.30 N 49 36921 VANESSA SILVA FREIRE 1123960-3 SSP/AC 22 5220.60 N 172-Letras/Espanhol (Licenciatura) - CZS # Inscri ão Nom e Docum ento Classifica ão Pontua ão Pne 1 31520 ABRAÃO DO AMARAL PINHEIRO 431866 sjsp/AC 36 4768.80 N 2 5575 ALESSA CAROLINE SILVA DE SOUZA 208390 SJSP/AC 16 5067.80 N 3 4863 AMAZONINO DA SILVA BERNARDINO 1512804-0 SESP/AM 38 4753.70 N 4 12485 ANA MARIA NASCIMENTO DA SILVA 1155946-2 SJSP/AC 15 5087.90 N 5 30073 ANDRE LUIS MELO DE CARVALHO 11453672 acre/-- 22 4958.20 N 6 30430 ANDRESSA BARROS DE FRANÇA 1054190-0 sejsp/AC 21 4958.60 N 7 7252 ANDRESSA SANTIAGO DE LIMA 1128679-2 sjsp/AC 17 5064.10 N 8 33832 ANTONIO ADSON DA SILVA BORGES 10621261 SSP/AC 34 4818.90 N 9 18018 ANTONIO JOSE SOARES DA SILVA 374491 SSP/AC 26 4910.10 N np. fac.b / e ib la 2012/ ela o io /li a-ap o ado _po _c o/ 40/64
  • 41.
    06/01/12 np. fac.b / e ib la 2012/ ela o io /li a-ap o ado _po _c o/ 10 25968 CAMILA SILVA DOS SANTOS 11499079 SSP/AC 37 4758.60 N 11 32358 CASSIA BARROSO NUNES 1152890-7 SSP/AC 19 4965.30 N 12 30176 CÁSSIA JAMILLE FREITAS VASCONCELOS 11789190 SJSP/AC 7 5361.50 N 13 3522 CLEICIANE FEITOZA SANTANA 10131043 ssp/AC 25 4933.00 N 14 36124 CLESIA BEZERRA GOMES 455527 SJSP/AC 4 5678.80 S 15 27151 CLINTON RUAN FERREIRA DA COSTA 1194610-5 SEPC/AC 31 4838.10 N 16 11424 ELIVANIA DO CARMO RODRIGUES 424058 ssp/AC 28 4885.40 N 17 31529 EVANDRO DA SILVA LIMA 436128 SSP/AC 44 4697.20 N 18 28607 FLÁVIO SILVA DOS SANTOS 1164989-5 SESP/AC 33 4834.20 N 19 11371 FRANCISCO JANDESSON DA SILVA COSTA 1126858-1 ssp/AC 39 4744.40 N 20 36533 FRANCISCO TALISSON GADELHA GONDIM 120035845-3 MEX/AM 14 5115.40 N 21 37268 GABRIELA DOS REIS OLIVEIRA 1156142-4 SSP/AC 18 5027.70 N 22 3535 JANEQUELI COELHO DA SILVA 1019696-0 ssp/AC 29 4882.10 N 23 29685 JEAN BEZERRA GUIMARÃES 368946 SJSP/AC 11 5266.20 N 24 37490 JEAN CARLO OLIVEIRA DOS REIS 169766 SSP/AC 32 4837.30 N 25 26356 JULIANA DA SILVA AZEVEDO 1117679-2 sejsp/AC 42 4709.00 N 26 30356 KARINY NASCIMENTO DA SILVA 10998209 AC/AC 47 4664.60 N 27 8637 KLEYDY DE SOUZA TEIXEIRA ALBUQUERQUE 10196811 SSP/AC 35 4815.30 None 28 29182 MAIK FRANCISCO SOUZA DA SILVA 10090185 SSP/AC 8 5350.30 N 29 20570 MANUEL CHARLES DE ALMEIDA 1014721-7 SEJSP/AC 27 4887.90 N 30 5731 MARIA AUGUSTA ARAUJO CUNHA 175360 ssp/AC 40 4711.70 N 31 31358 MARIA AURINETE CRUZ DA SILVA 0333106 SJSP/AC 2 5858.10 N 32 26733 MARIA DA GLORIA CAUASSA DE OLIVEIRA 1141950-4 sjsp/AC 12 5233.00 N 33 19100 MARIA DAIANE ALMEIDA DE SOUZA 11096934 SSP/AC 13 5183.60 N 34 9294 MARIA JAINE OLIVEIRA DA SILVA 11830638 ssp/ac/AC 46 4666.80 N 35 24912 MARIA VANDA MARTINS FARIAS 458019 SSP/AC 41 4710.30 N 36 30110 MARTA RICARDO DOS SANTOS 255429 SSP/AC 9 5335.10 N 37 31517 MARTA SILVA PEDROZA 350133 SSP/AC 45 4667.30 N 38 18880 MATHEUS SILVA DOS SANTOS 10306935 instituto de id/AC 5 5642.90 N 39 12263 ROSIMEIRE MARIA RODRIGUES SOUZA 1156292-7 12/04/2011/AC 1 5950.10 N 40 30939 SAULO DOS SANTOS ARA JO 1003113-8 SJSP/AC 3 5794.80 N 41 34491 SEBASTIANA KELLY DOS SANTOS BRAGA 1028130-4 sjsp/AC 10 5328.30 N 42 32885 SILVIA ARAUJO DE MENEZES 378225 SJSP/AC 24 4933.70 N np. fac.b / e ib la 2012/ ela o io /li a-ap o ado _po _c o/ 41/64
  • 42.
    06/01/12 np. fac.b / e ib la 2012/ ela o io /li a-ap o ado _po _c o/ 43 20153 SONIA MOREIRA BRASIL 1027363-8 ssp/AC 43 4708.80 N 44 38613 TIAGO LIMA 455514 ssp/AC 23 4950.20 N 45 4306 VALDECIR RICARDO DOS SANTOS JUNIOR 11004495 SSP/AC 30 4859.70 N 46 25135 VANESSA ALMEIDA DE OLIVEIRA 11294663 SEJSP/AC 6 5397.20 N 47 11349 VERONICA FELIPE DOS SANTOS 1164652-7 cras/AC 20 4962.90 N 13-Letras/Franc s (Licenciatura) # Inscrição Nom e Docum ento Classificação Pontuação Pne 1 10862 ADALIA NOGUEIRA GADELHA 205006 SSP/AC 44 4043.30 N 2 8742 AMAURY ALVES DOS SANTOS 10289798 ssp/AC 28 4474.50 N 3 29340 ANDRÉIA VIEIRA DE PAIVA 1037062-5 ssp/AC 7 5072.80 N 4 10472 ANDREY ALEXANDRINO SOARES DA SILVA 1081551-1 ssp/AC 21 4623.60 N 5 6839 ANTONIO MARCEL DOS SANTOS 411545 ssp/AC 22 4576.90 N 6 6296 ANTONIO MENDES SOUSA FILHO 132 129 SSP / AC/AC 39 4161.20 N 7 16185 BENEDITA TÁLITA OLIVEIRA MARINHO 445936 ssp/AC 35 4267.80 N 8 17882 DAIANA SILVA DE LIMA 10597522 ssp/ac/AC 29 4466.80 N 9 32369 DEVID VELOSO E SILVA 10729054 ssp/AC 20 4645.40 N 10 34826 DINARA SOUZA DE OLIVEIRA 254629 SSP/AC 24 4557.80 N 11 6089 ELANE DE ASSIS FREITAS 334505 ssp/AC 37 4204.40 N 12 35785 ELDENIR DINIZ DA SILVA 124499 ssp/ac/AM 41 4148.10 N 13 19287 ELIEZO OLIVEIRA DE ANDRADE 0336703 SSP/AC 15 4855.30 N 14 3970 ELISMEIA OLIVEIRA DA SILVA 433533 ssp/ac/AC 25 4547.30 N 15 2768 EVANDIRLEIDE DOS SANTOS NASCIMENTO 387421 ssp/AC 32 4363.20 N 16 11474 FLORENIR DE SOUSA MASCARENHAS 185560 SSP/AC 43 4058.20 N 17 8123 FRANCINETE NEVES PEREIRA RAMOS 186423 SSP/AC 27 4487.30 N 18 28807 FRANCIORMI PESSOA CAVALCANTE 177780 SSP/AC 17 4816.60 N 19 23613 FRANCISCA ALINE DA SILVA ARA JO 11035161 SSP/AC 40 4150.70 N 20 8050 FRANCISCA EMKELLY LIMA VIANA 1091224-0 ssp/AC 31 4390.20 N 21 33781 GILNARA KATLEEN SANTOS BRITO 1115036-0 ssp/AC 33 4361.90 N 22 28953 GLENI BARDALES RIBEIRO 351530 SSP/AC 5 5133.10 N 23 14231 GLIDIA DE ANDRADE TOJAL 365875 SSP/AM/AM 19 4660.70 N 24 37143 ISABELLA MONTEIRO VICENTE 20078685715 ssp ce/CE 10 4930.90 N 25 31422 JACQUES KLEYN DA SILVA SANTOS 319389 ssp/AC 9 4979.10 N 26 2754 JARDEL SILVA PINHEIRO 354532 ssp/AC 46 3986.10 N np. fac.b / e ib la 2012/ ela o io /li a-ap o ado _po _c o/ 42/64
  • 43.
    06/01/12 np. fac.b / e ib la 2012/ ela o io /li a-ap o ado _po _c o/ 27 36403 JOHN LENO RODRIGUES NOGUEIRA 10312340 ssp/AC 36 4210.40 N 28 17169 JUCILENE NOGUEIRA MELLO 149903 SSJP/AC/AC 4 5268.50 N 29 34782 LUAN BARBOSA CORREA 10896589 ssp/AC 6 5119.30 N 30 7299 LUIZA MARIA DE FREITAS SOUSA 1070071-4 SSP/AC 2 5872.60 N 31 22212 MAIRA DOS SANTOS SILVA 1511599-2 ssp/AM 23 4573.00 N 32 4366 MARIA AUXILIADORA PINTO DOS SANTOS 433353 SSP/AC 18 4757.40 N 33 8662 MARIANA FERNANDES DA SILVA 448774 ssp/AC 8 5053.50 N 34 14919 MAYARA SABRINA GONDIM ROCHA 10515437 ssp/AC 34 4290.00 N 35 32477 MICHELY HANNAH DA SILVA MAGALHAES 467273 SSP/AC 38 4173.90 N 36 6803 M NICA RIBEIRO PARFAN 0265719 SSP/AC 30 4435.70 N 37 18216 PRISCYLLA MESQUITA FÉLIX 434704 SSP/AC 11 4930.30 N 38 9342 RAIMUNDA ANTONIA FARIAS DE LIMA 0245584 ssp/AC 47 3977.10 N 39 20292 RAPHAEL PINHEIRO PUPO 456244177 SSPDS/SP 3 5745.60 N 40 24381 RENILDE SILVA DE SOUZA 435937 SJSP/AC 42 4096.40 N 41 35307 ROSA MARIA BARBOSA DA CUNHA 0249886 SSP/AC 45 4015.20 N 42 9817 ROSANE MARIA DOS SANTOS ANDRADE 10490841 ssp/AC 13 4880.70 N 43 27457 RUTH MATOS DA SILVA 154537 SSP/AC 26 4538.60 N 44 29360 SHEILA DA COSTA MOTA BISPO 27766754-9 SSP/SP 1 5922.00 N 45 35438 VANISA VIEIRA DE OLIVEIRA 279155 SSP/AC 14 4863.80 N 46 36730 YASMIN O'HANA OLIVEIRA LIMA 1136698-2 Rio Branco/AC 16 4837.30 N 47 784 YURI SAUL DA SILVA 1006287-4 SSP/AC 12 4896.80 N 12-Letras/Ingl s (Licenciatura) # Inscrição Nom e Docum ento Classificação Pontuação Pne 1 27838 ABRAHAN LINCOLN CARDOSO SAMPAIO DE ANDRADE 262974 ssp/AC 19 5296.00 N 2 31981 ALEXANDRE MATOS DE SOUSA 360596 SSP/AC 32 5151.90 N 3 9888 ALISON LOPES VIANA OLIVEIRA 465305 ssp/AC 44 5049.60 N 4 8812 ANA PAULA BATALHA DA SILVA 446884 SSP/AC 23 5274.40 N 5 23240 ANDRESSA MOURA DE SOUZA 1082933-4 SSP/AC 25 5223.90 N 6 25933 ANTONIO MARCOS DOS SANTOS ARRUDA 11026871 ssp/AC 8 5542.20 N 7 24525 ARIANE RODRIGUES DE ALMEIDA 10993916 SSP/AC 12 5476.40 N 8 10656 ARYADNA KELLEY LUZ ALMEIDA 3122572 SSP/PI 4 5758.80 N 9 33614 BRUNA HERLIDNY SOUZA DE OLIVEIRA 446752 SSP/AC 41 5057.80 N np. fac.b / e ib la 2012/ ela o io /li a-ap o ado _po _c o/ 43/64
  • 44.
    06/01/12 np. fac.b / e ib la 2012/ ela o io /li a-ap o ado _po _c o/ 10 31528 BRUNA KÁCIA CHAVES CAVALCANTE 11105160 ssp/ac/AC 15 5393.30 N 11 26074 CLAYANN CAVALCANTE DE LIMA 1037074-9 ssp/AC 16 5387.70 N 12 2354 DAYANY MACIEL DO NASCIMENTO 10597859 SSP-AC/AC 43 5053.70 N 13 22479 DÉBORAH MESQUITA ARA JO DE BRITTO 1069565-6 SSP/AC 18 5298.80 N 14 10777 DENIS TAVARES DOS SANTOS JUNIOR 1036785-3 ssp/AC 35 5112.40 N 15 29780 ELENIZA DOS SANTOS PAIVA 441670 SSP/AC 39 5060.10 N 16 11009 ELISANDRO FEITOSA DO VALE 129302420 PMAC/AC 24 5274.00 N 17 8149 ERUNAYÁ SAMPAIO DE MOURA 10025065 ssp/AC 36 5103.30 N 18 18439 EVELINE SILVA SANTOS 1132592-5 SSP/AC 37 5098.00 N 19 31188 FLADSON PEREIRA PAIXÃO 1015951-7 SSPAC/AC 2 5778.20 N 20 20769 GABRIELA SOUZA OLIVEIRA 11043300 ssp/AC 3 5766.00 N 21 29725 GEISIANE CRUZ TARGA 1123435-0 SSP/AC 34 5119.50 N 22 26930 GIGLIANE DE SOUZA SILVA DOS SANTOS 11142758 SSP/AC 29 5166.70 N 23 37097 GLAUCIA BARROS PESSOA 0267306 ssp/ac/AC 185 3901.10 S 24 15195 HELEN RALINE SARAIVA CARVALHO 11563036 sepc/AC 9 5528.10 N 25 19304 JEAN CARLOS LEAL DA SILVA J NIOR 11316004 SSP/AC 13 5471.40 N 26 4309 JOSE ANDRELINO MORAIS E SOUZA 161818 SSP/AC/AC 46 5035.70 N 27 17223 JOSIANE DA SILVA MOTA 199980 SSP/AC 38 5079.70 N 28 5717 KETLEN LIMA DE SOUZA 1139818-3 SSJP//AC 22 5276.00 N 29 2693 LARISSA CRISTINE ALVES DE SOUZA 1027218-6 SSP/AC 47 5025.00 N 30 23046 LEYDI VANESSA CABALLERO SECLEN V391786F CIMCRE/AC 26 5195.80 N 31 26983 LÍVIA MARIA SAMPAIO DE SOUZA 10063145 SSP/AC/AC 5 5728.50 N 32 18803 MARCELLO PEREIRA TAMWING 1039402-8 SSP /AC 17 5330.80 N 33 27937 MARINA DE LIMA BRAGA PENHA 46.037.241-5 ssp/sp/SP 21 5285.10 N 34 12315 MERYLYN DAMASCENO GURGEL 1111934-9 ssp/AC 14 5409.90 N 35 1675 PABLO HENRIQUE RODRIGUES MENDES 313639 SSP/AC 27 5184.80 N 36 27886 PATRICIA DO NASCIMENTO PEIXOTO 0298973 SSP/AC 11 5477.10 N 37 28182 PAULA SAFIRA LOPES DA COSTA 2443800 ss/PI 28 5182.10 N 38 31226 POLIANA GREICE CASTRO SAMPAIO 2006005004454 SSP/CE 6 5621.80 N 39 34908 RAIMUNDO PINHEIRO ZUMBA 176114 SSP/AC 40 5058.70 N 40 28913 RAIONERY GONÇALVES DA SILVA 430038 SSP/AC/AC 1 5821.10 N 41 8574 RICARDO VITOR DA SILVA 367703 ssp/AC 42 5056.20 N 42 30251 ROSÂNGELA MARIA PEREIRA ROCHA 1101510-1 sspacre/AC 31 5158.30 N np. fac.b / e ib la 2012/ ela o io /li a-ap o ado _po _c o/ 44/64
  • 45.
    06/01/12 np. fac.b / e ib la 2012/ ela o io /li a-ap o ado _po _c o/ 43 14522 SIMONE DA SILVA FERREIRA 11102071 ssp/AC 45 5037.00 N 44 3611 SKARLLATT SILVA DE CARVALHO 1011042-9 SPP/AC 33 5151.00 N 45 22715 STEFHANIE DA SILVA VIDAL 10542531 ssp/AC 60 4925.40 S 46 24086 SUELLEN LEÃO VICTOR 11818298 ssp/AC 10 5527.90 N 47 15965 TARCÍSIO RAMOS MOREIRA 10981675 SSP/AC 20 5287.50 N 48 7129 WANDRESSA SILVEIRA MENINI 1115221-4 ssp/AC 30 5165.90 N 49 5006 YCARO RYAN DE SOUSA LIMA 1162523-6 SSP/AC 7 5559.30 N 16-Letras/Ingl s (Licenciatura) - CZS # Inscrição Nom e Docum ento Classificação Pontuação Pne 1 20786 ADEILSON DE LIMA LUNA 437894 SJSP/AC 45 4417.90 N 2 17905 ADILINO DIAS ANTUNES 347506 UF/AC 7 5165.30 N 3 28061 ALINE KIELING JULIANO. 6060755557 SSP/RS 3 5830.00 N 4 39382 AMANDA DA COSTA LIMA 27218228 SSP/AM 29 4614.00 N 5 3999 ANA CLAUDIA SILVA DA CRUZ 11178612 ssp-ac/AC 40 4483.90 N 6 37319 ÂNGELA NORMANDO SAMPAIO 607597 ssp/RO 23 4703.20 N 7 34827 ANTÔNIO GEÂNIO LIMA COUTINHO 11725818 ssp/AC 37 4534.80 N 8 28110 CAMILA PIMENTEL DE FREITAS 11946830 ssp/AC 33 4585.70 N 9 6481 CLAUDEANICE PEREIRA DE ANDRADE 467448 SJSP/AC 39 4503.40 N 10 37413 DAIANE SILVA DA CRUZ 11412097 SEJSP/AC 31 4590.90 N 11 12396 DANIELE CASTRO BRANDAO 1114999-0 SJSP/AC 38 4527.90 N 12 14428 DENER ANDRADE FERREIRA 1185006 SSP/AC 42 4462.20 N 13 30633 DENISE JOVIASKI SENKIV ESTRUGIAKI 8.274.488-6 Curitiba/PR 9 5151.60 N 14 36532 DOUGLAS DOS SANTOS LEITE 0113416945 MD/RJ 2 5834.70 N 15 19946 EDEM JOSÉ SOUZA GOMES 435418 SJSP/AC 25 4661.00 N 16 19755 EDICLÉIA DOS SANTOS MIRANDA 435968 SSP/AC 17 4846.20 N 17 37886 EDUARDO LUIZ SILVA DA ROSA 1026371 SSP/MS 19 4776.00 N 18 29784 ELIELSON FERREIRA DE ARA JO 11968702 SEPC/AC 41 4466.70 N 19 26459 FABIANA ALVES DA SILVA 1117599-0 SSP/AC 14 4963.20 N 20 20453 FLÁVIA ANDRADE DOS REIS 1016228-3 sjsp/AC 27 4648.50 N 21 4096 FRANCISCO CARLITO DE SOUZA DA SILVA 458185 sjsp/AC 11 5047.50 N 22 6096 FRANCISCO DANILO FREIRE ALBUQUERQUE 1083734-5 SS/P/AC 10 5118.00 N 23 39158 FRANCISCO EDNALDO VALE GOMES 401361 sjspac/-- 21 4727.00 N 24 5519 GABRIELA MACHADO ARAUJO 1104829-8 SSP/AC 1 5881.30 N np. fac.b / e ib la 2012/ ela o io /li a-ap o ado _po _c o/ 45/64
  • 46.
    06/01/12 np. fac.b / e ib la 2012/ ela o io /li a-ap o ado _po _c o/ 25 39027 GENNILDO LUCENA DE SOUZA 10094520 SSP/AC 18 4833.50 N 26 28235 GLAUCIANE DA SILVA DINIZ 11820918 ssp/AC 28 4643.70 N 27 4109 JAINE CRUZ DE OLIVEIRA 00923290-7 SSP/AC 20 4764.50 N 28 32394 JARICELIA DAS CHAGAS FREITAS 402333 SJSP/AC 16 4867.10 N 29 30658 JOSÉ FRANCISCO NUNES DA SILVA 1195525-2 DPF/AC 13 4978.00 N 30 11311 JULIA CALINE DA SILVA SAMPAIO 1104828-0 SSP/AC 8 5155.00 N 31 14277 LEIA DA SILVA SALES 1117748-9 SSP/AC 12 5008.50 N 32 1126 LET CIA NEGREIROS MACIEL 1116319-4 SEJSP/AC 5 5356.50 N 33 28727 LIVIA CRISTINA PEREIRA ALVES 452066 SJSP/AC 6 5232.20 N 34 33972 MARIA CRISTINA DA COSTA SILVA 449478 sjsp/AC 26 4650.90 N 35 7642 MARIA ELIANE ALBANO DO NASCIMENTO 375647 SJSP/AC 43 4432.60 N 36 15571 MARIA JOSÉ DA PÁSCOA MARQUES 11563290 ssp/AC 46 4404.80 N 37 8889 MICAELE FERREIRA ABDALLAH 1151791-3 SEPC/AC 34 4559.70 N 38 23942 NAYARA DA SILVA COSTA 436940 cruzeiro do sul/AC 35 4549.90 N 39 14059 OCIMÁRIA DE SOUZA FARIAS 438039 SSP/AC 36 4541.70 N 40 19649 PAULA FERNANDA SARAIVA MONTEIRO 2206336-6 SPP/AM/AM 47 4404.60 N 41 18898 RANIELE GOMES VEIGA 2481999-9 SSP/AM 32 4588.10 N 42 39178 RICHELE FERNANDA MACIEL DE SOUZA 1149925-7 SSP/AC/AC 30 4601.70 N 43 6802 ROMISSON PEREIRA DOS SANTOS 1074605-6 SEJUSP/AC 15 4934.60 N 44 33882 STEPHESON EMMANUEL ARAUJO DE SOUZA 10994696 SSPAC/AC 4 5440.10 N 45 34779 TEYLON HANDEL MARTINS DA SILVA 2557718-2 SESP/AM 22 4703.90 N 46 29260 WILLIAN LIMA LEITE 328748 SSP/AC 24 4693.20 N 47 27521 WILLSON DA COSTA SOUZA 457812 SJSP/AC 44 4425.30 N 05-Letras/Portugu s (Licenciatura) # Inscrição Nom e Docum ento Classificação Pontuação Pne 1 17939 ADÉLIA GEOVANNA GALDINO DE SOUSA 1103553-6 ssp/AC 28 5088.20 N 2 18390 ADIONES SILVA E SILVA 10714820 SSP/AC 15 5293.70 N 3 20792 ADRIANA BEZERRA DA SILVA 10495126 SSP/AC 13 5345.30 N 4 24568 ADRIANA DO NASCIMENTO CASTRO 10432400 ssp/AC 26 5115.00 N 5 12099 ALEX SANDRO ESTEVES BATISTA DE DEUS 1028790242 MDEF/CE 4 6006.40 N 6 31774 ANDREA COSTA BEZERRA 10855955 SSP/AC/AC 32 5028.30 N 7 2846 BRUNA DA SILVA ALMEIDA 1054813-0 SSP/AC 41 4968.90 N np. fac.b / e ib la 2012/ ela o io /li a-ap o ado _po _c o/ 46/64
  • 47.
    06/01/12 np. fac.b / e ib la 2012/ ela o io /li a-ap o ado _po _c o/ 8 9354 CAROLINA MENDONÇA PRADO 470035 SSPAC/AC 7 5580.10 N 9 11469 CRISTINA PEREIRA PIRES DE CARVALHO 10494324 ssp/AC 47 4929.60 N 10 24229 CYNTHIA DE FATIMA SOUSA OLIVEIRA MOURA 315656 ssp/RO 21 5177.10 N 11 12355 DAVI DOS SANTOS PASSOS 413068 SSP/AC 40 4970.60 N 12 17325 DILLE MAIARA SOUZA COSTA 1114646-0 SSP/AC 38 4995.30 N 13 38138 ELIDANGELA LIMA MONTEIRO 318166 ssp/AC 37 4996.50 N 14 7211 ELOI DAIANA CORRÊA DE SOUZA 1136896-9 SSP-AC/AC 9 5556.00 N 15 21298 ELYNAIARA GOMES DE ALCÂNTARA 12000163-5 ssp/AC 24 5136.20 N 16 17129 EMIR ROGERIO MARCELINO BRASIL 1033036-4 SSP/AC 2 6087.20 N 17 12323 ÉRICA DE SOUZA MARQUES 1106385-8 ssp/AC 39 4971.00 N 18 29777 FRANCISCA SILVA DE MELO 0287053 SSP/AC 23 5139.00 N 19 35311 FRANCISCO ALCANTARA AQUINO 10506977 SSP/AC 100 4650.30 S 20 14834 GILZILENE DA SILVA NUNES 447919 ssp/AC 35 5002.40 N 21 11032 GIULLIANI FERREIRA DE SOUZA 10638032 ssp ac/AC 43 4953.10 N 22 16007 INGREDY DE SOUZA MAGALHAES 1010619-7 ssp/AC 6 5671.10 N 23 32368 JAKELINE SALDANHA CASTILHOS DA SILVA 10290710 ssp/AC 46 4942.70 N 24 24220 JANETE MARIA MOURA DE SOUZA 372603 ssp/AC 33 5017.20 N 25 38657 JANITON ALVES DE LIMA 428363 ssp/AC 162 4370.20 S 26 31014 JOEL OLIVEIRA DAIS 300427 SSP/AC 18 5217.40 N 27 22441 JOYCE MARCELA DE SOUZA SOARES 459183 ssp/AC 31 5056.00 N 28 3686 JULIANA FIALHO DOS SANTOS CASTRO 4702398 Segup/PA 12 5362.30 N 29 2599 KELVÍN WILLIAMS VALE DA SILVA 1019946-2 SEJUSP/AC 27 5101.10 N 30 31000 LARA DOS SANTOS NACIMENTO 1183833 outro/RO 16 5278.40 N 31 35646 LARISSA ARA JO DE AZEVEDO 360911 SSP/AC 10 5544.30 N 32 31819 LEIDAN ROGÉRIO CRONOSSGOLDBBERGER OLIVEIRA 447461 SSP /AC 19 5211.40 N 33 12879 MAGNA FERNANDA OLIVEIRA MENDONÇA 1114672-9 ssp/AC 45 4946.70 N 34 10503 MARIA ANA FERREIRA DOS REIS 0193273 SSP/AC 34 5016.90 N 35 19004 MARIA APARECIDA ALMEIDA LIMA 10860029 ssp/AC 44 4951.60 N 36 9218 MARIA CLEILCE CHAVES DE SOUZA 411718 SSP/AC 29 5084.70 N 37 24715 MARIA GLAUCIA MACEDO DO CARMO 11521082 ssp/AC 22 5172.70 N 38 3804 MARIA NATALI MOREIRA CHAVES 1026875-8 ssp/AC 5 5675.70 N 39 12172 MARIA THAYNÃ ARA JO DE LIMA 1149424-7 SSP/AC 8 5578.80 N 40 35924 MAURICÉIA CHAVES LINO 1048611-9 ssp/AC 14 5326.80 N np. fac.b / e ib la 2012/ ela o io /li a-ap o ado _po _c o/ 47/64
  • 48.
    06/01/12 np. fac.b / e ib la 2012/ ela o io /li a-ap o ado _po _c o/ 41 35545 MIRALDA DA SILVA LOPES 179783 SSP/AC 70 4768.80 S 42 3146 NATHIELLY DE OLIVEIRA BARBOSA 1041203-4 ssp/AC 25 5120.30 N 43 16125 PRISCILA PAIVA SOARES 1101076-2 SSP/AC 36 5001.50 N 44 26286 RAFAELA CRISTINA MAIA CARNEIRO 2008009033951 ssp ce/CE 17 5224.10 N 45 35306 RODRIGO FARIAS DA COSTA 09973767-8 IFP/RJ 20 5190.00 N 46 1178 SILMARA PEREIRA DE MOURA 10857141 SSP/AC 11 5504.00 N 47 13589 THOMÁS RODRIGUES FELIX 11418273 SSP/AC 3 6026.20 N 48 31928 VALLÉRIA ARA JO DE FREITAS 1065193-4 SSP/AC 30 5062.80 N 49 22341 YANA NARJARA PONTES EUGÊNIO 20078907696 SSP/CE 1 6435.80 N 50 37824 YARA COSTA DA SILVA 1097850-0 ssp/AC 42 4958.50 N 15-Letras/Portugu s (Licenciatura) - CZS # Inscrição Nom e Docum ento Classificação Pontuação Pne 1 31171 ALDEMÍSIA MENEZES DE ALENCAR 1179176-4 SSP/AC 36 4850.20 N 2 8012 ANDREA ALVES DA SILVA BEZERRA 424497 SSP/AC 12 5203.90 N 3 26794 ANDREA ANGELO DA SILVA 11008733 SJSP/AC 42 4753.30 N 4 18252 ANTONIA CARINA DA SILVA PEREIRA 1148619-8 SSP/AC/AC 28 4924.10 N 5 5013 ANTONIA GABRIELA NASCIMENTO LIMA 11924527 SSP/AC 17 5006.10 N 6 7747 ANTONIA GLEICIANE DA SILVA LIMA 1101014-2 SJSP/AC 30 4893.70 N 7 16291 ANTÔNIA ROBERLÂNDIA DE SOUZA SILVA 1181984-7 SEPC/AC 18 4985.90 N 8 21295 ARLEM DINIZ BEZERRA 361141 SSP/AC 33 4865.30 N 9 11357 BRUNO JOSÉ NASCIMENTO ARAUJO 11284382 sejsp/AC 34 4863.10 N 10 6153 CÍNTIA DANIELA DA SILVA MONTEIRO 1144586-6 SEJSP/AC 15 5118.80 N 11 29053 CINTYA RAQUEL ROCHA DE ALMEIDA 10811192 ssp/AC 20 4958.90 N 12 23419 CLAUDEIR RODRIGUES DA FONSECA 1078549-3 SSP/AC 35 4856.50 N 13 30784 CLEITON CARVALHO DE MELO 0330064 SJSP/AC 29 4919.30 N 14 36942 DANIEL GUSTAVO DOS SANTOS 12663985 ssp/MG 4 5633.10 N 15 33119 DELGARDO ABREU DE OLIVEIRA 437456 SJSP/AC 26 4930.60 N 16 31531 DIMITRIUS CARVALHO DE BARROS 431074 sjsp/AC 47 4669.20 N 17 34101 EVELLYN CAROLINE DE ALMEIDA CAVALCANTE 10653031 SEJSP/AC 44 4713.80 N 18 19354 EWERTON DE ALMEIDA SILVA 2048170-5 SSP/MT 2 5933.00 N 19 24183 FRANCISCA HELENA SILVA DE FREITAS 000654725 ssp/AC 7 5301.80 N 20 34227 FRANCISCO DO NASCIMENTO FRANÇA 10786694 ssp/AC 41 4754.50 N 21 6762 FRANCISCO VANDERLEI CÂNDIDO DE BRITO 1078762-3 SSP/AC 37 4825.00 N np. fac.b / e ib la 2012/ ela o io /li a-ap o ado _po _c o/ 48/64
  • 49.
    06/01/12 np. fac.b / e ib la 2012/ ela o io /li a-ap o ado _po _c o/ 22 30297 GARCIA OLIVEIRA DE ALENCAR 1195275-0 SEPCIIRHM/AC 11 5234.30 N 23 25476 GLEICILENE SOUZA BARBOZA 1149111-6 SJSP/AC 10 5234.90 N 24 14505 GLEICIOMAR BARROS DO NASCIMENTO 11028629 sspac/AC 25 4934.60 N 25 24145 HERICSEN CRISTINE FARIAS FIDELIS DA SILVA 11115327 SSP/AC 3 5672.40 N 26 34809 IVANA CORRÊA MORAIS 426560 SSPAC/AC 21 4958.40 N 27 33294 JADIEL FABRÍCIO DA SILVA 10101276 SEJUSP/AC 46 4703.80 N 28 33756 JORGE LUIS VIEIRA DA SILVA 422671 SSP/AC 39 4792.40 N 29 32617 JOSE FRANCISCO DA SILVA 1046120-5 SSP/AC 19 4984.00 N 30 14110 KETLEN CRISTINA DOS SANTOS OLIVEIRA 11356553 SSP/AC 9 5239.20 N 31 27554 MARCOS DOUGLAS OLIVEIRA DE SOUZA 1051070-2 ssp/AC 32 4874.50 N 32 35243 MARIA DE JESUS RODRIGUES PEREIRA 10829865 SSP/AC 45 4711.10 N 33 29965 MARIA FLEDINA CAVALCANTE DA SILVA 1039708-6 SSP/AC/AC 24 4937.60 N 34 9899 MARIA GEANE SILVA DE OLIVEIRA 10287469 SJSP/AC 43 4737.50 N 35 34084 MARIA JAQUELINE DA SILVA PEREIRA 11412224 SSP/AC 22 4941.40 N 36 15649 MARIA LEILA COSTA DE OLIVEIRA 1082101-5 SSP/AC 6 5332.40 N 37 232 MARIÂNGELA GOMES SOUZA 11052511 SSP/AC 14 5129.80 N 38 30704 MARTA SALES DE SOUZA 2721730-2 SSP/AM 40 4758.70 N 39 29280 NAIF CHALUB DE ARAUJO 412689 SJSP/AC 13 5170.20 N 40 37376 RAIMUNDA NONATA BARBOZA DA SILVA 1149482-4 14/08/2009/AC 38 4817.90 S 41 4254 REGILENE FERREIRA DA SILVA 437467 SJSP/AC 31 4889.50 N 42 35822 RONEGILDO DE SOUZA SILVA 395162 SJSP/AC 8 5270.90 N 43 3086 SHERIDA CARVALHO DE BARROS 10634738 ssp/AC 23 4939.50 N 44 37743 TAILENE ROCHA DO NASCIMENTO 1200016-7 SSPJ/AC 5 5489.40 S 45 5572 THAÍS MELO GOMES 1167197-1 SEPC/AC 16 5015.70 N 46 36108 TICIANNE LARA AMARAL DE FREITAS 2006009211403 ssp ce/CE 1 6353.40 N 47 26770 VALERIA MAKLAYNE SOUZA DA SILVA 1007570 sspac/AC 27 4927.50 N 04-Matemática (Licenciatura) # Inscri ão Nom e Docum ento Classifica ão Pontua ão Pne 1 28847 ADALBERTO ALENCAR DE SOUZA J NIOR 444471 ssp/AC 37 5674.60 N 2 35055 ADEVILSON SANTANA DE SOUZA 1102051-2 SSP/AC/AC 44 5578.20 N 3 21442 ADRIANO SOUSA DA SILVA 353555 SSP/AC 18 6021.90 N 4 16335 ALEXANDRE DE SOUZA E SOUZA 10507671 ssp/AC 35 5701.10 N np. fac.b / e ib la 2012/ ela o io /li a-ap o ado _po _c o/ 49/64
  • 50.
    06/01/12 np. fac.b / e ib la 2012/ ela o io /li a-ap o ado _po _c o/ 5 24131 ALYSON DA SILVA PIRES SANTOS 2007310029-8 SSPDS/CE 8 6328.20 N 6 25724 ANA PAULA SILVA PANTOJA 2481064-9 ssp/AM 4 6617.40 N 7 2419 ANTONIO CARLOS DE SOUZA PEREIRA 363566 ssp/AC 42 5630.30 N 8 4656 ANT NIO CARLOS PEREIRA DA SILVA JUNIOR 11969946 SSP/AC/AC 15 6112.70 N 9 16683 BRUNO LUIS BERNARDO MOTA 11225262 SEJSP/AC 41 5633.30 N 10 36278 CARLOS ALEXANDRE DA ROCHA 0114627243 MD/PA 6 6460.10 N 11 32731 CRISTIANO DE SOUZA SILVA 10715789 ssp/AC 38 5654.70 N 12 24439 DANIEL MATOS STUD 2006009146598 SSPDS/CE 10 6237.30 N 13 35039 DAVI DOS SANTOS PAMPLONA NETO 4209289 ssp/GO 23 5942.40 N 14 9203 DIEGO FERREIRA VAZ 444219 ssjp/AC 24 5875.40 N 15 10546 EDSON PORTELA DE MESQUITA 361756 SSP/AC 1 6907.30 N 16 25101 ELEN DE CÁSSIA MARSELLO 40586733-5 SSP/SP 12 6230.80 N 17 13558 ELIMARA LIMA DOS SANTOS 10990810 ussp/AC 22 5943.00 N 18 15934 FRANCISCA FREITAS DOS SANTOS 11689455 SSP/AC 47 5563.00 N 19 36340 HUERISON SILVA DO NASCIMENTO 10722793 sspac/AC 40 5642.60 N 20 8127 JANAÍNA ALVES DO NASCIMENTO 1160233-3 correios/AC 9 6277.40 N 21 17384 JEAN CARLOS NUNES DOS SANTOS 0306863 ssp/AC 34 5733.70 N 22 14008 JEFTÉ MELO GOMES 10265503 Taraucá/AC 45 5577.10 N 23 5325 JESSICA SOUZA MENDES DA SILVA 1122778-8 SSP/AC 13 6226.40 N 24 32577 JOSÉ DOS SANTOS PAIVA 1036368-8 ssp/AC 30 5785.90 N 25 36946 JOSINEIDE GOMES DA COSTA SANTOS DE SOUZA 228555 ssp/AC 25 5853.10 N 26 18233 KENNEDY DE SOUZA LIMA 1098405-4 SSP/AC 11 6237.30 N 27 9943 KLEBÉRSON INÁCIO BARBOSA 1068197-3 ssp/ac/AC 28 5819.10 N 28 1947 LUCAS DA SILVA PEREIRA 11620617 SSP/AC 5 6505.50 N 29 12367 LUCIANA CARDOSO PEREIRA 1123283 ssp/-- 39 5654.30 N 30 32931 LUCIANO DA SILVA XAVIER 10513442 ssp/AC 36 5697.00 N 31 32813 MARCELO AUGUSTO CORREIA FEITOSA 10338640 ssp/AC 16 6061.70 N 32 20396 MARCELO TELES HOLANDA 2007010249026 SSPDS/CE 7 6401.50 N 33 207 MARCILÉIA VILA NOVA 410912 SSP/AC 26 5846.40 N 34 24482 MATHEUS CHAVES OLIVEIRA 2002002219503 SSPDS/CE 2 6899.30 N 35 38875 MAVIAEL VILELA DE SOUZA JUNIOR 476196 COMAER/RJ 32 5762.80 N 36 37247 MAYRA DA SILVA BARBOSA 10704655 SSP/AC 43 5580.90 N 37 20963 OTHON WILKINSON CAVALCANTE NASCIMENTO 11029110 SSP/AC 33 5759.10 N np. fac.b / e ib la 2012/ ela o io /li a-ap o ado _po _c o/ 50/64
  • 51.
    06/01/12 np. fac.b / e ib la 2012/ ela o io /li a-ap o ado _po _c o/ 38 15835 REBECA OLIVEIRA MACHADO 1047136-7 SSP/AC 21 5965.30 N 39 36064 RENATO RAMALHO LIMA 2005002107297 ssp ce/CE 3 6652.10 N 40 11810 SAMILCA DA SILVA FRANÇA 10799265 ssp/AC 20 5974.90 N 41 22667 SAMUEL DE AGUIAR NASCIMENTO 1105155-8 SSP/AC 19 5977.80 N 42 32506 SEBASTIAO LAIRES DA SILVA PAULINO 332492 ssp/ac/AC 14 6164.00 N 43 32598 TALISSO ARAUJO DE ALMADA LOPES 451182 SEJUSP/AC 17 6050.50 N 44 9507 TÁRICK SULYVAM LIMA DA SILVA 11526564 SEPC/AC 29 5813.30 N 45 35763 THIAGO DE MELO SOUZA 10010394 ssp/AC 27 5822.20 N 46 210 THOMPSON VIANA DE OLIVEIRA 421906 ssp-ac/AC 31 5779.50 N 47 13772 WOBIGNOM XAVIER MOURA 399461 SSP/AC 46 5571.00 N 81-Medicina (Bacharelado) # Inscri ão Nom e Docum ento Classifica ão Pontua ão Pne 1 19433 AMANDA MARRA 3553652 SSP/PB 8 7072.00 N 2 12773 ANNA KAROLINE ROCHA DE SOUSA 4853547 ssp/GO 32 6927.00 N 3 6143 BÁRBARA LA S TEIXEIRA FIGUEIRÊDO 2008097051612 SSP/CE 17 6993.80 N 4 5540 BRENDA GONÇALVES MACIEL 5838441 segup/PA 13 7011.80 N 5 37224 BRUNO ALVES DA MOTA ROCHA 3283722 SSP/PB 1 7278.90 N 6 741 CLARIANO PIRES DE OLIVEIRA NETO 0275513820044 SSP/MA 29 6928.80 N 7 6736 DANIELL DE SIQUEIRA ARAUJO LAFAYETTE 8130401 SDS/PE 20 6980.30 N 8 7804 DANILO MEJIA BARBOSA 2929341 SSP/DF 7 7074.60 N 9 29586 DEZHIRE CALHEIROS LAPAS FREZ 1717072-9 SSP/MT 3 7178.50 N 10 37902 EDEVAIR MAZARÃO NETO 5108898 SSP/GO 33 6922.50 N 11 30312 FABRCIO RODRIGUES MATEUS 2183077-0 SSP/MT 15 6997.70 N 12 9008 FERNANDO HENRIQUE DE ASSIS 12368897 SSP/MG 4 7084.50 N 13 23137 FERNANDO SILVA DE OLIVEIRA 4007119 DGPC/GO 9 7062.90 N 14 1673 GABRIEL AMORIM DE BRITO 5797487 SSP/GO 35 6916.50 N 15 10805 GLEYCE DA PAZ FERREIRA DA COSTA NETA 7335052 sds/PE 21 6976.90 N 16 12434 INGRID DE ALMEIDA COSTA 2005009124065 SSP/CE 2 7217.20 N 17 11653 ISAU PEREIRA COELHO NETO 7492154 sds/PE 26 6944.50 N 18 10215 JESSICA SOUZA MAIA TRUMMER ALEIXO 7875954 SDS/PE 38 6909.50 N 19 21341 JOÃO NAHUÃ CUNHA DE OLIVEIRA 1101131-9 SEPC/AC 31 6927.30 N 20 38684 JORGE THIAGO PINHEIRO DE CARVALHO 0737614248 MEx/PE 1362 6155.40 S 21 6531 LARISSA ARAUJO MISSIRIAN 001719191 ssp/MS 14 7008.30 N np. fac.b / e ib la 2012/ ela o io /li a-ap o ado _po _c o/ 51/64
  • 52.
    06/01/12 np. fac.b / e ib la 2012/ ela o io /li a-ap o ado _po _c o/ 22 2565 LEANDRO DE CASTRO SALES 2004010414375 SSP/CE 6 7083.10 N 23 5259 LOHRANE ROSA BAYMA 10573232 SSP/AC 11 7055.50 N 24 13279 MAIARA MAIA MOREIRA 3.179.914-0 ssp/SE 37 6910.90 N 25 26998 MANOEL AUGUSTO BARBOSA DA COSTA MENDONÇA 8146385 SDS/PE 19 6984.90 N 26 37560 MARCOS FAGUNDES LEITE GRANJEIRO 2338933 SSP/RN 1071 6241.70 S 27 38589 MARIANA DINIZ PRADO SENA 0311182020067 SSP/MA 10 7059.10 N 28 3332 MARIELLI DE CASTRO CUNHA 001296406 SSP/MS 23 6955.50 N 29 15978 MAYARA SOARES MARTIN DA SILVA 110000225-0 MDEx/DF 12 7020.80 N 30 10474 NATHALIA RIBEIRO PINHO DE SOUSA 2001002359242 SSP/CE 18 6993.60 N 31 31587 NELSON PASSAIA JUNIOR 1611882 sejusp/MS 36 6913.80 N 32 19283 PRISCILA FERREIRA DE LIMA E SOUZA 476518593 SSP/SP 34 6920.50 N 33 18761 PRYSCILLA MIRELE LIRA GOMES 7845304 sds/PE 16 6997.30 N 34 11660 RAISSA BEZERRA DIAS 3041450 SSP/PB 28 6929.00 N 35 1509 ROMÉRIO MENEZES PAIVA CHAVES 002588899 SSP/RN 30 6927.50 N 36 14875 SARAH SOARES RIBEIRO 8144242 sds/PE 22 6975.70 N 37 5384 STEFANIA GRAZIELLE CARVALHO DA SILVA 0212440820020 ssp/MA 27 6934.80 N 38 8940 THULIERMES LOPES PAMPLONA 2006097024554 SSP/CE 5 7083.30 N 39 16155 VANESSA LIMEIRA PONTES DE LUCENA 7666157 sds/PE 24 6949.30 N 40 336 YAN VICTOR ARA JO RODRIGUES 187025 SSP/RR 25 6946.60 N 180-Medicina Veterinária (Bacharelado) # Inscri ão Nom e Docum ento Classifica ão Pontua ão Pne 1 19112 ADRIANA VEIGA DA SILVA 441031 SSP/AC 30 5773.90 N 2 20316 ALESSANDRA FAÇANHA BEZERRA 200757998-9 SSP/CE/CE 9 6120.30 N 3 23274 ANA CAROLINA BEZERRA RIBEIRO 3475594 SSP/PI 23 5845.10 N 4 14322 ANA CLARA DA ROCHA SOUSA 3356446 SSP/PI 46 5475.10 N 5 29785 ANDRESSA RIBEIRO DA SILVA 10310894 ssp/AC 37 5578.60 N 6 15322 ANTONIO MARCOS JAQUES RAMOS 7633152 ssp/PA 27 5793.50 N 7 19999 ARTHUR WIRTZBIKI PANKOV 2000010291289 SSPDS/CE 13 6036.00 N 8 3244 BEATRIZ MARIA LIMA AVALOS 001.516.652 SSP/MS/MS 12 6040.60 N 9 3102 BIANCA TAVARES DE MENEZES 2284197-0 sspmt/MT 18 5932.30 N 10 24372 BRUNA MICHELE BEZERRA GOMES 3594597 SSP/PI 43 5502.20 N 11 13623 BRUNO WILLIAM MORENO DA SILVA 12048084 SSP/MG 20 5885.50 N np. fac.b / e ib la 2012/ ela o io /li a-ap o ado _po _c o/ 52/64
  • 53.
    06/01/12 np. fac.b / e ib la 2012/ ela o io /li a-ap o ado _po _c o/ 12 14862 CAMILA BETELLI CARDOSO ALVES 5402065 sptc/GO 4 6245.50 N 13 15713 CAMILA MACHADO NOBRE 10153420 ssp/AC 41 5522.60 N 14 8931 CÍNTHIA SILVA DE ARA JO 10914579 ssp/AC 8 6142.40 N 15 26160 DAVID PRADO BAYMA 391631 SSP/AC 407 4514.40 S 16 4160 EASMIN ANA ZÉLIA COSTA DE ALMEIDA COUTINHO 1385574-3 SSP/MT 28 5788.00 N 17 3642 FERNANDA CAROLINA ALVES DA CRUZ MG-15.721.965 SSP/MG 3 6253.40 N 18 18292 GILVANNA CAVALCANTE VASCONCELOS 468477 SSP/AC 42 5513.40 N 19 707 GIOVANNA ARA JO DE CARVALHO 3036555 SSP/PB 36 5597.10 N 20 16768 HIUNA RAIANE RAMOS ROSA 1181669 SSP/RO 6 6184.60 N 21 24505 IAGO PINHEIRO MOURA 2005010008782 SSPDS/CE 7 6170.40 N 22 2473 JEFFERSON XAVIER FREIRE DA COSTA 2007542830-4 SSP/CE 15 6023.80 N 23 19309 JOELMA SILVA DE ALMEIDA 3045603 SSP/PI 19 5910.60 N 24 7655 KARINA IARA DO PRADO MELO 43709529-0 SSP/SP 2 6360.90 N 25 15151 LEONARDO BRYNDO PEREIRA MENDES 20660219 ssp/MT 33 5636.90 N 26 5401 LUANA RODRIGUES DA SILVA 3274536 SSP/PI 1 6410.10 N 27 37038 LUCIBETH OLIVEIRA CRISPIM 10284346 ssp/AC 29 5775.70 N 28 29816 MARCUS ANTÔNIO BEZERRA DA SILVA 3487763 SSP-PI/PI 14 6031.00 N 29 25797 MAYARA MARQUES PEREIRA FERNANDES 1078438-1 SEJUSP/AC 17 5945.40 N 30 25346 MICHAEL RODRIGUES PEREIRA 3257862 SSP/PI 40 5527.20 N 31 6233 MILENA DA SILVA APOLINÁRIO 1116882-0 SSP/AC 38 5548.20 N 32 2513 MIRLANE DA SILVA SANTOS 1040901-7 SEJSP/AC 21 5857.60 N 33 6315 MÔNICA DOS SANTOS LOPES 1060391-3 ssp/ac/AC 39 5531.60 N 34 26772 MONIQUE BINATTI DE MEDEIROS 00001023613 01/06/2006/RO 45 5477.20 N 35 1335 PATRÍCIA KONRDÖRFER ANHAIA 2101430326 SSP/RS 25 5804.70 N 36 25223 PAULA NESCE PEREIRA BATISTA MG-16.821.546 SSMG/MG 31 5694.70 N 37 40198 PHAMELA PEREIRA CONDE 1055355-0 sjsp/AC 830 3689.00 S 38 14453 PRISLANE CARNEIRO AGUIAR 6066620 ssp/PA 16 6015.20 N 39 14168 RAISSA SOUZA KUSDRA 11782340 SEPC/AC 5 6236.70 N 40 8231 RENAN VIANA NOGUEIRA DE ARA JO 1012973-1 SSP-AC/AC 24 5814.40 N 41 6414 ROSANY DA SILVA SANTOS 1066001 ssp/AC 22 5856.10 N 42 31103 STELIO NUNES DA COSTA JUNIOR 485247136 SP/SP 47 5464.80 N 43 20336 SUMAYKA CAREY DIÓGENES DO NASCIMENTO 1202293856 SSP/AC 35 5603.00 N 44 24168 TAMIRES HOLANDA LUZ 3424373 SSP/PI 32 5646.10 N np. fac.b / e ib la 2012/ ela o io /li a-ap o ado _po _c o/ 53/64
  • 54.
    06/01/12 np. fac.b / e ib la 2012/ ela o io /li a-ap o ado _po _c o/ 45 17264 TAYANE SILVA GONÇALVES VIANA 3258138 SSP/PI 44 5495.80 N 46 33029 TAYNARA PEREIRA DE ARA JO 11035250 ssp/AC 26 5801.70 N 47 3803 THIAGO BESSA LOPES 327137 ssp/AC 11 6101.70 N 48 10734 WALKIRIA BRENDA DE SOUSA BEZERRA 3251244 SSP/PI 10 6112.20 N 49 5362 WANDRESSA DINIZ LOPES 11451521 Secretaria e./AC 34 5630.40 N 88-M sica (Licenciatura) # Inscrição Nom e Docum ento Classificação Pontuação Pne 1 18598 ANTONIO RODISLANDE PEREIRA DE OLIVEIRA 346431 SSP/AC 19 3911.60 N 2 1012 DAVID FERREIRA DA COSTA 0308759 ssp/AC 16 3987.10 N 3 32098 DENILSON MOREIRA CARNEIRO 391358 ssp/AC 2 4466.10 N 4 22167 ENIO FRANCISCO DA SILVA CUNHA 288390 SSP/AM 10 4144.30 N 5 12556 EVA NUNES FERREIRA 421579 SSP/AC 7 4227.60 N 6 29415 FELIPE J NIO DE SOUZA COSTA 1088537-4 UF/AC 3 4465.50 N 7 7599 FRANCISCA BRUNA NASCIMENTO DOS SANTOS 1031821-6 SSP/AC 11 4125.50 N 8 34391 FRANCISCO MELO DA SILVA 293024 ssp/AC 12 4097.50 N 9 11472 ÍTALA OLIVEIRA DA SILVA 1041583-1 SSP/AC/AC 8 4188.50 N 10 2048 JONNE KEPLLER GUIMARAES CARDOSO 4917371 SEGUP/PA 13 4082.80 N 11 40106 JOSE JAILTON CAVALCANTE DE FIGUEIREDO 120403-2 CBMAC/AC 4 4437.80 N 12 12334 LIDIA CASSIA DE OLIVEIRA CAVALCANTE 10619216 ssp/AC 15 4032.00 N 13 36415 LUCI ANGELA RODRIGUES DO NASCIMENTO 363420 ssp/ac/AC 9 4155.40 N 14 4771 LUCIANO CUNHA DA SILVA 312839 ssp/AC 5 4422.70 N 15 30644 PAULA FORTUNATO CARDOSO CESAR 0289229 ssp-ac/AC 14 4071.00 N 16 16023 SAULO MACHADO OLIMPIO DE MELO 430598 SSP/AC 17 3948.60 N 17 16123 TATIANE BRANDÃO VILELA 358825 ssp/AC 1 4721.80 N 18 23978 TIAGO NASCIMENTO COSTA 11752076 ssp/AC 18 3925.80 N 19 33806 WELLINGTON DA SILVA NASCIMENTO 0312334 SSP/AC 6 4371.70 N 179-Nutrição (Bacharelado) # Inscrição Nom e Docum ento Classificação Pontuação Pne 1 16215 ALANE ALMEIDA LIMA 2006010274880 SSP/CE 2 6044.40 N 2 19126 ALDETE REIS CARVALHO 378182 SSP/AC 515 4525.50 S 3 26755 ALYNE LOPES DA SILVA 1051536-4 ssp-ac/AC 11 5791.70 N 4 14585 AMAYRA CRIS CHAVES DA SILVA 0313194 SSP/AC 40 5534.30 N np. fac.b / e ib la 2012/ ela o io /li a-ap o ado _po _c o/ 54/64
  • 55.
    06/01/12 np. fac.b / e ib la 2012/ ela o io /li a-ap o ado _po _c o/ 5 27326 ANA LUÍZA SILVEIRA NUNES 2006009219790 ssp/CE 3 6005.70 N 6 7024 AVA FABIAN DO NASCIMENTO CAVALCANTE 10399810 SSP/AC 16 5731.70 N 7 24615 BÁRBARA EDWARDS V640295-B CGPI/DIREX/DPF/AC 47 5512.40 N 8 1005 CAMILA LIMA CARVALHO DE SOUZA 1067268-0 SSP/AC 6 5879.60 N 9 15125 CAMILLA LAILLA CASTRO BALTAZAR 2007030008229 SSP/CE 7 5858.70 N 10 23609 CAROLINY IZABEL ARA JO DE FREITAS 10166033 SSP/AC/AC 37 5542.20 N 11 23878 ERICA ESTEFANE MOURA SOUSA 3448923 ssp/PI 18 5696.40 N 12 30723 FERNANDA NOBRE DE ALMEIDA 429336 SSp/AC 21 5681.90 N 13 30302 FRANCISCA ADRIANE FERREIRA VALE 1068661-4 SSP/AC 29 5613.80 N 14 14833 FRANCISCO JARLISON GADELHA SILVA 10846905 SSP/AC 36 5547.10 N 15 13352 GABRIELE JUNQUEIRA 42.765.624-2 SSP/SP 12 5791.20 N 16 21330 GEOVANA SILVA DE SOUZA 1114377-0 SSP/AC 8 5858.10 N 17 32774 GEREMIAS DE SOUSA LIMA 412632 ssp/ac/AC 26 5645.90 N 18 14656 JANAINA FISCHER 0335399 SSP/AC 10 5804.60 N 19 8431 JARLESON SILVA LIMA 1024264-3 ssp/AC 20 5681.90 N 20 27231 JEAN CARLOS DA COSTA FRANÇA 444653 ssp/AC 606 4425.40 S 21 10971 JESSICA PEREIRA DE OLIVEIRA 10272658 SSP/AC 39 5539.20 N 22 12826 KARINE MARTINS DE SOUZA 1005942-3 SSP/AC 25 5670.30 N 23 12544 KEILANIA CRISTINA SILVA DOS ANJOS 451168 ssp/AC 24 5670.80 N 24 27002 LARISSA MENEZES MACÊDO 1091371-8 SSP/AC/AC 34 5558.50 N 25 27102 LAYLA GOMES MARINHO 1118924-0 SSP/AC 41 5530.30 N 26 25778 LETICE SILVEIRA DIAS 462653 ssp/AC 14 5768.00 N 27 23716 LORENA DE SOUSA SILVA 3298433 SSP/PI 23 5675.20 N 28 36328 L CIA DE FÁTIMA DE CARVALHO SOUSA 3055467 SSP/PI 9 5848.70 N 29 24586 LUCIANA ALMEIDA DE OLIVEIRA 10618970 ssp/AC 22 5678.20 N 30 37198 MAÍRA DA COSTA SILVA 370544 ssp/AC 33 5560.10 N 31 20885 MARIA PERPETUA DE ALMEIDA 140013 SSP/AC 30 5589.80 N 32 4320 MARYANE LOPES DE AGUIAR 11211814 ssp/AC 45 5521.40 N 33 12830 MAXINE DA SILVA E SILVA 11104660 SSP/AC 31 5570.30 N 34 26534 NAIANY MEIRIELY DE ALMEIDA 233032556 Detran/RJ 5 5897.90 N 35 35147 NARJARA SAAB MARTINS DA SILVA 0334867 SSP/AC 1 6210.70 N 36 26027 PLISCILA FERREIRA DA SILVA 393317 SSP/AC 17 5707.80 N 37 15379 RAMALHO MOREIRA DE SOUZA 434771 SSP/AC 15 5740.80 N np. fac.b / e ib la 2012/ ela o io /li a-ap o ado _po _c o/ 55/64
  • 56.
    06/01/12 np. fac.b / e ib la 2012/ ela o io /li a-ap o ado _po _c o/ 38 2617 RAQUEL MARIA DE SOUZA BEZERRA 10397795 SSP/AC 28 5625.20 N 39 28199 REGIANE MENEZES DE SOUZA 351352 SSP Ac/AC 19 5684.30 N 40 1710 RODONILTON PONTES DE SOUZA 293280 SSP/AC 35 5555.70 N 41 39839 ROSINETE FERREIRA DE SOUZA 0266113 SSP/AC 38 5541.10 N 42 39684 SILVANIA MARIA OLIVEIRA CUNHA 00336231 SSP/AC 44 5521.50 N 43 31485 SOLANGE OLIVEIRA DE LIMA 1100254-9 ssp ac/AC 326 4756.80 S 44 3029 STEFANI CAROLINE FAGUNDES DA ROCHA CARVALHO 48.740.259-5 SSP/SP 46 5519.60 N 45 22079 SUSIANE ADRINE DE ARA JO SANTIAGO 1121801-0 SSP-AC/AC 42 5529.60 N 46 36047 TAINÁ NUNES DE PAULA 1009436-9 SSPAC/AC 32 5560.90 N 47 30757 THAIS LIMA SOUZA 1119876-1 ssp/AC 27 5635.00 N 48 32227 THAIS MARIA CAVALCANTE DA SILVA 0302086 ssp/AC 43 5528.90 N 49 1679 WASHINGTON BARRETO RIOS 10115463 SSP/AC 4 5907.40 N 50 4408 YNESSA ALMEIDA DE SANTANA 1070437-0 SSP/AC 13 5787.80 N 03-Pedagogia (Licenciatura) # Inscri ão Nom e Docum ento Classifica ão Pontua ão Pne 1 4083 ANA MARIA LEITE DE OLIVEIRA 157.088 SSP/AC/AC 4 6051.40 N 2 7419 ANDREZA SOARES DA COSTA 11172622 SEJSP/AC 46 5414.80 N 3 30114 ANTONIA EDNA SILVA DE SOUZA 388984 SSSp/AC 43 5458.30 N 4 34317 ANTONIA NOBRE DE OLIVEIRA 458379 SSP/AC 38 5503.80 N 5 3094 CARLOS JORGE SABOIA ARAUJO 186738 SSP/AC 32 5535.00 N 6 27726 CARMEANI DA COSTA CARNEIRO 0272868 SSP/AC 19 5724.00 N 7 39705 CIBERO VIANA FREIRE 446672 ssp/RO 117 5138.20 S 8 14860 CLAUDIA FRANÇA DOS SANTOS 1126098-0 ssp/AC 11 5893.40 N 9 25922 COSMO OLIVEIRA DE LIMA 1038478-2 ssp /AC 39 5501.20 N 10 3991 CRISLANE LIMA DO NASCIMENTO 195316 SSP/PB 25 5603.80 N 11 6138 DAIANE SOUZA DA SILVA 1038580-0 ssp/AC 35 5523.30 N 12 6093 DANIELA DA SILVA LOPES 10215832 SSP/AC 23 5653.10 N 13 3922 DAPHYNE ARA JO DA SILVA 1104449-7 SST/AC 44 5448.30 N 14 27676 DAVI MOURA DE LIMA 353656 SSP/AC 3 6054.10 N 15 34410 DIRCEU PEREIRA GOMES 339082 SSP/AC 566 4087.20 S 16 36635 EDICILENE DE LIMA GOMES 371595 ssp /AC 462 4297.40 S 17 23500 EDMAR FERREIRA SALES 1037274-1 SSP/AC 42 5471.90 N np. fac.b / e ib la 2012/ ela o io /li a-ap o ado _po _c o/ 56/64
  • 57.
    06/01/12 np. fac.b / e ib la 2012/ ela o io /li a-ap o ado _po _c o/ 18 8951 EDNA SOARES DE ARA JO 0303187 SSP/AC 12 5820.50 N 19 27353 ELIANE DOS SANTOS BRITO 451615 sspac/AC 15 5807.90 N 20 38191 FABIO JULIO BESSA DE ANDRADE 19149832 SESP/AM 47 5414.40 N 21 35308 FERNANDA DI PAULA ALMEIDA DA SILVA 393247 ssp/AC 17 5768.70 N 22 28414 FRANCISCA DAS CHAGAS DE LIMA 376331 ssp/AC 41 5483.50 N 23 37455 FRANCISCO DE ASSIS RIBEIRO DA MOTA 347762 ssp/AC 5 6013.10 N 24 17233 GABRIELLE DOS SANTOS DA SILVA 10202315 SSP /AC 40 5485.70 N 25 22045 GERINALDA DE SOUZA FERREIRA 1030698-6 ssp/AC 7 5983.60 N 26 15545 GIGLIANE BEZERRA DA SILVA 415029 SSP/AC 34 5523.80 N 27 5526 JULIANA DA CRUZ DE MOURA VELOSO 337659 003.338/AC 31 5539.00 N 28 20111 KATIANNE COSTA LOPES 6280991 Segup/PA 33 5526.60 N 29 34848 LAUANA MOREIRA DE LIMA 1110169-5 SSP/AC/AC 16 5796.90 N 30 5230 LEIDIANE DIAS CABRAL 10387919 ssp/AC 24 5629.70 N 31 20005 LUCAS RIOS FERREIRA GOMES 2006009145648 SSPDS/CE 8 5980.20 N 32 35894 MARILEUDY FERNADES LOPES 223400 SSP/AC 9 5968.30 N 33 11766 MELLORI SANTOS ROCHA 281025782 SSP/SP 1 6283.70 N 34 36236 MICHELLY AMORIM RODRIGUES 10620044 ssp/AC 13 5820.10 N 35 37716 MILDREDES SOUSA FERREIRA 034530 ssp/AC 10 5954.30 N 36 23111 NÁDIA PAPI DA SILVA MOTA 3099294 spp/PA 22 5670.50 N 37 374 ODINÉIA SOUZA DOS SANTOS 332692 ssp/AC 28 5574.50 N 38 3449 RAFAELA SILVA DE SOUZA DIAS 1018734-0 SSP/AC 36 5519.60 N 39 34500 RAIANE BARROS DA SILVA 459529 ssp/AC 2 6189.10 N 40 12902 RAIANE MIRANDA DOS SANTOS 001050144 SSP/RO 6 6005.20 N 41 21848 REGIANE DOS SANTOS FERREIRA 10358862 sspac/AC 21 5703.20 N 42 17861 ROCICLEIDE SILVA DOS SANTOS 435517 SSP/AC 30 5545.20 N 43 16646 ROSIMEIRE FONSECA DO NASCIMENTO 358138 ssp/ac/AC 37 5504.60 N 44 21995 SABRINA DA COSTA DE SOUZA 11314087 SSP/AC 45 5426.40 N 45 33034 SANDRA COELHO DA SILVA DE OLIVEIRA 411797 sspac/AC 26 5601.60 N 46 35907 SILVANIA DE OLIVEIRA SOUZA 379778 SSP/AC/AC 14 5811.50 N 47 617 SUZANA SANTOS NASCIMENTO 3407089 SSP/PA 29 5559.90 N 48 14740 TATILA SAMARA DE FREITAS GOMES 10058761 ssp/AC 20 5712.30 N 49 38748 VINICIUS DE SIQUEIRA SANTANA 100099935-7 Exercito/AC 27 5590.40 N 50 32752 WEVERTON FERNANDES DA CRUZ 447512 SSP/AC 18 5732.30 N np. fac.b / e ib la 2012/ ela o io /li a-ap o ado _po _c o/ 57/64
  • 58.
    06/01/12 np. fac.b / e ib la 2012/ ela o io /li a-ap o ado _po _c o/ 17-Pedagogia (Licenciatura) - CZS # Inscri ão Nom e Docum ento Classifica ão Pontua ão Pne 1 5086 ADRIANA CUNHA OLIVEIRA 1061688-8 SEJSP/AC 11 5529.60 N 2 31175 ALESSANDRA DE OLIVEIRA 11367881 SSP/AC 42 5221.40 N 3 10825 ALINE VASCONCELOS DE ARA JO 11174137 SEJSP/AC 9 5543.50 N 4 4101 ANA PAULA SILVA DE FREITAS 1167212-9 SPC/AC 28 5351.50 N 5 2518 ANDRESSA PAIVA DOS SANTOS 11562463 SSP/AC 20 5397.40 N 6 28582 ANTONIA ALDERLIS DA SILVA DANTAS 1102498-4 SJSP/AC 16 5449.60 N 7 27165 ANTÔNIA JOCIANE DE SOUZA BRAGA 2722258-6 ssp/AM 34 5269.40 N 8 25014 BENEDITA LIMA SILVA 1134389-3 SJSP/AC 37 5257.10 N 9 30406 CARLOS AUGUSTO DE SANTANA SOBRAL 395309 SJSP/AC 44 5188.70 N 10 8836 DARCILENE MARIA CASTRO LIMA 409428 SSP/AC 27 5358.60 N 11 18171 DARLETE DA SILVA CAMPOS 000922223 SSP/RO 3 5685.90 N 12 35714 EDILCE OLIVEIRA DOS SANTOS 0253511 SSP/AC/AC 41 5228.90 N 13 40076 ELCIMEIRE PEREIRA DE ALMEIDA 443405 SJSP/AC 30 5326.70 N 14 35053 ELENILDO LIMA RODRIGUES 342263 SJSP/AC 18 5436.90 N 15 33154 ELIANE FERREIRA DE ARAUJO 1024647-9 SJSP/AC 17 5442.60 N 16 5122 ERISTEU FERREIRA DA SILVA 355930 SSP/AC 12 5524.20 N 17 30486 FRANCISCO RUSEMBERG OLIVEIRA DA SILVA 10440747 SSP/AC 22 5376.00 N 18 33669 GERI ADRIANO DA SILVA 297477 ssp/AC 38 5250.90 N 19 8193 GESIEL HOLANDA DO NASCIMENTO 413472 SSP/AC 39 5250.50 N 20 15595 GISELIA DOS SANTOS BORGES 414611 SJSP/AC 45 5188.40 N 21 23540 JARISON DA SILVA GONÇALVES 1122459-2 SSP/AC 19 5415.60 N 22 29463 JOEDE MOTA BRANDÃO 2313315-5 SSP/AM 2 5769.70 N 23 15694 JOSANE OLIVEIRA IBERNON 11754540 SSP/AC 43 5197.80 N 24 23489 JOSÉ EMERSON NASCIMENTO DE SOUZA 439556 SEJSP/AC 13 5514.30 N 25 24966 JOSÉ FRANCISCO DA CRUZ DIAS DE OLIVEIRA 1044843-8 sjsp/AC 7 5627.60 N 26 20461 JOSÉ FRANCISCO FREITAS DA CONCEIÇÃO 435639 SJSP/AC 32 5299.70 N 27 11557 JOSELI SILVA NASCIMENTO 1025911-2 SSP/AC 6 5652.70 N 28 23542 KARINE OCTAVIANO MOURA LIMA 455496 SSP/AC 31 5326.60 N 29 17528 MANUELA SORIANO DA SILVA 1005770-6 sjsp/AC 25 5365.50 N 30 37749 MARCILANDIA LOPES DA SILVA 1061795-7 SSP/AC 204 4441.00 S np. fac.b / e ib la 2012/ ela o io /li a-ap o ado _po _c o/ 58/64
  • 59.
    06/01/12 np. fac.b / e ib la 2012/ ela o io /li a-ap o ado _po _c o/ 31 22792 MARIA APARECIDA DA ROCHA BARROSO 11445360 FUREPOL/AC 15 5478.70 N 32 37397 MARIA CLEA FERREIRA DA SILVA 2005010017820 ssp ce/CE 21 5379.70 N 33 2814 MARIA DAYNARA LIMA DE JESUS 11176849 ssp/AC 46 5149.10 N 34 17174 MARIA DE FATIMA CABRAL DA SILVA 10246533 ssp/AC 40 5243.40 N 35 5057 MARIA LUCIA DE LIMA SILVA 0286577 SJSP/AC 5 5661.30 N 36 30645 MILENE VASCONCELOS DE SOUZA 1058236-3 SJSP/AC 4 5684.40 N 37 18739 MIRELLA MESSIAS DE MELO 456349 SSP/AC 8 5584.60 N 38 16907 NÍVIA MARIA NASCIMENTO DA SILVA 16415469 ssp/AM 23 5374.90 N 39 29238 RAIMUNDA NONATA RODRIGUES DA GAMA 12657492 ACM/AM 47 5144.50 N 40 31873 RENATO MATIAS DE LIMA SOUZA JUNIOR 10820523 SSP/AC 26 5358.80 N 41 21511 RICARDO FARIAS DE LIMA 1176373-6 SSP/AC 14 5508.80 N 42 40045 ROBERTA CRISTINA SILVA DE OLIVEIRA 1046361-5 ESJ/AC 24 5366.00 N 43 30001 SARAH ARA JO DE LIMA 437165 SSPAC/AC 33 5284.00 N 44 31974 SIMONE FERNANDES DE SOUSA 10462503 SSP/AC/AC 10 5542.50 N 45 12807 SIMONE SOUZA DO NASCIMENTO 1124367-8 republica feder/AC 36 5261.00 N 46 38510 TATIANA BOSCHIN LOURENÇO 40509734-7 SSP-SP/SP 1 5963.10 N 47 7751 THARLEM SUELEM ALMEIDA GONDIM 1167234-0 SSP/AC 29 5332.80 N 48 21736 VALDINAR PEREIRA MACHADO 1035037-3 ssp/ac/AC 35 5264.60 N 83-Qu mica (Licenciatura) # Inscrição Nom e Docum ento Classificação Pontuação Pne 1 26256 ALEXANDRE ALVARENGA SANTANA 1181462-4 SSP/AC 47 5666.40 N 2 4985 ALMIR DANKAR NETO 1032826-2 SSP/AC 7 6682.10 N 3 19469 AMANDA LEITE DE OLIVEIRA 11006129 sspac/AC 43 5709.40 N 4 36273 AMANDA MITIKO JUNQUEIRA MARUI 11367113 ssp/AC 8 6640.10 N 5 12215 ANA KAROLYNE SILVA DE JESUS 120309525-0 md/AM 16 6369.50 N 6 30377 ANTONIO CARLOS GONÇALVES DE CARVALHO 3125885 ssp/PI 45 5696.80 N 7 6187 ARTUR BARBOZA GOMES 1164839543 SSP/BA 12 6582.20 N 8 5093 DENÁRIA DA SILVA E SILVA 11560800 SSP/AC 34 5848.10 N 9 1096 ELOIR DA SILVA LIMA 1167264-1 01/06/2010/AC 42 5715.90 N 10 31038 EUNICE SOUZA DA COSTA 365770 SSP/AC 33 5870.60 N 11 33983 FABIANA ALVES PINTO 539367023 SSP/SP 71 5359.20 S 12 6429 FRANCIEL LUIZ SCHWEIG 107546561 SSP/PR 19 6224.80 N np. fac.b / e ib la 2012/ ela o io /li a-ap o ado _po _c o/ 59/64
  • 60.
    06/01/12 np. fac.b / e ib la 2012/ ela o io /li a-ap o ado _po _c o/ 13 36289 GABRIEL MITSURO JUNQUEIRA MARUI 1136712-1 ssp/AC 23 6063.80 N 14 23145 GERLAINE MEDEIROS DO NASCIMENTO 37488595 SSP/PB 10 6608.30 N 15 20011 GLADSON EULER LIMA JUNIOR 20074175135 SSPDS/CE 3 7078.30 N 16 5059 GREICYWANNY LOURENÇO MAIA 298225 SSP/AC 22 6094.80 N 17 22165 HELENE RAQUEL FREITAS DE LUCENA 10266585 SSP/AC 13 6573.60 N 18 8352 INGRYD DE ALBUQUERQUE MACIEL 1170136 - 6 SSP/AC 20 6144.50 N 19 613 JEFFERSON ALEXANDRE QUEIROZ DE MELO 1202777858 MEX/AC 35 5841.90 N 20 6334 JÉSSIKA AMANDA PINTO DA SILVA 10547967 SSP/AC 11 6583.30 N 21 10638 JESSILENE BEZERRA MARQUES 3133563 SSP/PI 36 5800.40 N 22 23104 JOARLISON DA SILVA 11285508 SSP/AC 27 5974.40 N 23 15709 JUDSON GOMES DA COSTA 11006471 SSP/AC 25 6008.00 N 24 34739 JUSSARA ALICE BELEZA MACEDO 000670971 SSP/RO 6 6707.00 N 25 15594 KALIANE KATIA DE LIMA 3.388.693 ssp/PI 26 5997.00 N 26 28018 K SSIO NEEMIAS BOTELHO DE OLIVEIRA 10126392 SSP/AC 21 6126.90 N 27 6893 KLEBER MARTINS 10241918 ssp/mg/MG 4 7049.10 N 28 19081 LARISSA RIBEIRO LOPES 1138677-0 SSP/AC 30 5928.10 N 29 32677 LETICIA AGUIAR DA SILVA 1070072-2 SSP/AC 46 5674.30 N 30 35345 LIANARA DE OLIVEIRA SILVA 428130 SSP/AC 41 5716.60 N 31 2987 LUCELIA LIMA DA SILVA 405306 SSP/AC 32 5879.60 N 32 28368 MAHATMA BARBOSA HOLSBACH 11313390 SSP/AC 38 5795.10 N 33 28551 M RCIO MARCELINO DA COSTA 0261417 SSP/AC 18 6354.60 N 34 18245 MARIA ADRIANA DA SILVA MELO 1003719-5 SSP/AC/AC 5 6782.80 N 35 22583 MELISSA PEREIRA DE ALENCAR 1092934-7 SSP/AC 17 6361.30 N 36 5585 MIKAELE CALIXTO DA SILVA 1028465-6 SSP/AC 24 6027.80 N 37 39670 NATACHA DE PAULA 20336926 SSP/MT 2 7218.50 N 38 1299 NAT LIA RODRIGUES LIMA 1011769-5 SSP-AC/AC 28 5957.00 N 39 12116 NATHÂNIA OLIVEIRA SILVA 10641645 ssp/AC 15 6371.80 N 40 4449 NELI OLIVEIRA DE ANDRADE 1028389-7 ssp/AC 37 5797.20 N 41 23880 QUIJANI SOARES SERAFIM 256571 ssp/AC 31 5922.40 N 42 21034 RAQUEL FERREIRA RIBEIRO 16368150 ssp/MT 39 5781.80 N 43 37596 RENAN COELHO MACAMBIRA 2008009228272 ssp ce/CE 1 7335.30 N 44 8215 SABRINA FERREIRA DE OLIVEIRA 1164000-6 19/04/2010/AC 40 5753.50 N 45 8260 TARCYLANNE ARRUDA LEODEGARIO 113666460 SSP/AC/AC 44 5698.00 N np. fac.b / e ib la 2012/ ela o io /li a-ap o ado _po _c o/ 60/64
  • 61.
    06/01/12 np. fac.b / e ib la 2012/ ela o io /li a-ap o ado _po _c o/ 46 26377 TATIELLY GOMES DA SILVA 11372877 ssp/AC 9 6618.90 N 47 3784 VANESSA LIMA DIAS 1152253-4 ssp/ac/AC 14 6456.60 N 48 33250 VIVIANE FERREIRA LIMA 10025154 SSP/AC 29 5951.10 N 178-Sa de Coletiva (Bacharelado) # Inscrição Nom e Docum ento Classificação Pontuação Pne 1 26380 ADNA FERNANDES PAIVA 10483896 SSP/AC 8 6518.80 N 2 1209 ANA PAULA CELESTINO MESIANO 1115276-1 SSP/AC 32 6131.80 N 3 26249 ANDRÉ NASCIMENTO CORREIA 11306548 SSP/AC 46 6035.40 N 4 37065 ANDRESSA SAMPAIO BOTTO PAIXÃO 98002171440 ssp ce/CE 13 6413.70 N 5 23118 ANT NIA MAYARA NASCIMENTO LIMA SILVA 432494 SSP/AC 42 6067.00 N 6 21150 ANTONIO REGINALDO DE JESUS DE OLIVEIRA 388373 ssp/AC 35 6126.70 N 7 11793 AURICÉLIA BEZERRA DE MENEZES SILVA 361399 spj/AC 18 6228.10 N 8 16662 CIBELY MACHADO DE HOLANDA 469044 SSP/AC/AC 29 6163.70 N 9 21740 CINTIA CHAVES DA SILVA 377480 SSP/AC 44 6054.60 N 10 1000 CLEIDIANE SILVA DE MOURA 445283 ssp/AC 14 6391.90 N 11 5342 CRISTIANE FERREIRA MUNIZ 407759 ssp/AC 36 6125.60 N 12 29902 DAIANE DA SILVA RIBEIRO CUNHA 237567 SSP/AC 24 6193.10 N 13 30694 DAMIANA LIMA DE SOUZA 182772 ssp/AC 30 6156.00 N 14 38769 DAYANNE DINIZ DA SILVA FERRO 10310886 ssp/AC 27 6171.80 N 15 20195 DEYVIDY ALBUQUERQUE DE OLIVEIRA 10676929 SSP/AC 38 6112.60 N 16 4139 ELIS REGINA BARBOSA DA COSTA 10464573 SSP/AC 11 6430.50 N 17 3391 ELISSANDRA BARROZO DA SILVA 450493 SSP/AC 39 6104.50 N 18 34131 ELYECLEYDE KATIANE DA SILVA OLIVEIRA 002161501 SSP/RN 26 6177.70 N 19 6742 FRANCIELLY MASCARENHAS DO NASCIMENTO 1021130-6 SSP/AC 4 6919.70 N 20 23603 FRANCISCO HELITON DO NASCIMENTO 0235986 ssp/AC 15 6315.30 S 21 22324 INGRIDI KELY BEZERRA DOS SANTOS 10262121 ssp/AC 7 6638.60 N 22 21921 IRES LORRANNE FARIAS DA SILVA 1055846-2 tarauacá/AC 41 6069.50 N 23 23396 ISLANE BEZERRA FILGUEIRA 419694 ssp/AC 40 6077.10 N 24 16777 ITALO VINICIUS SARAIVA LOPES 1050729-9 ssp/AC 47 6022.80 N 25 5769 IVANILDO DE MELO SANTOS 0318089 SSP/AC 6 6652.80 N 26 10776 JAMIÉLISON NUNES CARVALHO 367926 SSP/AC 5 6664.20 N 27 34666 JANAINA DOS SANTOS FRANCALINO 1062309-4 ssp/AC 10 6445.00 N 28 27715 JOELMA LIMA DE SOUZA 348624 SSP/AC 9 6498.80 N np. fac.b / e ib la 2012/ ela o io /li a-ap o ado _po _c o/ 61/64
  • 62.
    06/01/12 np. fac.b / e ib la 2012/ ela o io /li a-ap o ado _po _c o/ 29 27021 JOSÉ RENATO AC CIO WOLTER 293615 sspac/AC 22 6211.20 N 30 16428 JOYCIANY BARROS DA SILVA 10041125 ssp/AC 31 6146.90 N 31 20084 KAREN LAUANA MAIA DOS SANTOS 469858 SSP/AC 19 6220.00 N 32 5009 LUAN LOPES DA SILVA 1370998945 SSP/BA 23 6209.90 N 33 26475 MARIO JORGE DOS SANTOS PAIVA JUNIOR 0313224 SSP/AC 545 4474.10 S 34 10236 MATEUS ALEXANDRE DE OLIVEIRA NOGUEIRA 348037 SSP/AL 20 6217.10 N 35 1557 MIKAELI ALVES DE SOUZA 1081571-6 ssp/AC 37 6114.90 N 36 16306 NATÉCIA MONTEIRO SANTOS 0245572 SSP/AC 16 6302.00 N 37 7511 PÂMELA DE CASTRO TELES 455329 SSP/AC 21 6214.20 N 38 31581 RAFAELA DOS SANTOS OLIVEIRA 10030646 SSP/AC 34 6127.10 N 39 35871 RAYSSA SA MACHADO 2008009191085 ssp ce/CE 1 7627.50 N 40 32154 REGIANE SOUSA DE OLIVEIRA 339929 SSP/AC 33 6129.10 N 41 37036 REJANE FREITAS DA SILVA SOUZA 198752 30032009/AC 234 5222.80 S 42 36041 RENATA DE ANDRADE FARIAS 2007586806-1 ssp ce/CE 3 7147.80 N 43 13785 RODRIGO SOUZA SOARES 446915 ssp/AC 28 6164.90 N 44 8866 RUSLA SANTANA FERREIRA 1090581-2 SSP/AC/AC 17 6280.20 N 45 28681 SAMUEL DOS SANTOS SARAIVA 10537880 ssp/AC 43 6059.00 N 46 15822 SANDREIA WEYMA SOUZA DE MORAIS ALMEIDA 10127011 SSP/AC 12 6414.10 N 47 6522 SARIM BRASIL DE ALMEIDA 1182208-2 ssp/AC 25 6189.90 N 48 18518 SOLANGE DE SOUZA NASCIMENTO 194883 SSP/AC/AC 2 7480.90 N 49 5453 VÊNDULA LOPES CORREIA 10972943 SSP/AC 45 6049.70 N 30-Sistemas da Informa ão (Bacharelado) # Inscri ão Nom e Docum ento Classifica ão Pontua ão Pne 1 38857 ANA CLARA DE CASTRO MENEZES 10392866 sspac/AC 10 6485.50 N 2 2404 ANDRE LUIZ SILVA DE SOUZA 10096019 ssp/ac/AC 15 6419.30 N 3 20512 ANTONIO GABRIEL ALMEIDA DE SOUZA 10520724 ssp/AC 37 6011.50 N 4 13920 DANIEL AUGUSTO NUNES DA SILVA 257053 SSP/AC 11 6467.80 N 5 25225 DANIEL NAVARRO DE CASTRO MURAD 1110927-0 SSPAC/AC 30 6119.80 N 6 7829 EDGAR DA SILVA JUNIOR 1150839-6 SSP/AC 41 5986.50 N 7 10044 EDNELSON RIBEIRO DA SILVA 1152272 ssp/RO 40 6002.50 N 8 4678 EDUARDO VENICIUS BIBIANO DOS SANTOS 1160699-1 SSP/AC 27 6138.60 N 9 37978 EFRAIM GILEADE DE FREITAS TEODORO 1065088-1 sspac/AC 46 5946.30 N np. fac.b / e ib la 2012/ ela o io /li a-ap o ado _po _c o/ 62/64
  • 63.
    06/01/12 np. fac.b / e ib la 2012/ ela o io /li a-ap o ado _po _c o/ 10 8770 FERNANDO RICARDO SENA DE OLIVEIRA 11803606 ssp/ac/AC 5 6802.20 N 11 16046 FORTUNATO MARTINS NETO 1054640-5 SSP/AC 9 6522.10 N 12 20618 FRANCIANA COSTA DA ROCHA 1164158-4 SSP/AC 43 5971.60 N 13 24460 GEOVANA MONTEIRO FEITOSA 2005009062213 SSPDS/CE 33 6058.50 N 14 10555 GILSON SOARES DE AZEVEDO JUNIOR 10428976 SSP/AC 28 6126.00 N 15 25900 ICARO GABRIEL DE LIMA FERREIRA 10227598 ssp/AC 19 6322.00 N 16 36795 IGOR PAULA CASEMIRO 463518 SJSP/AC 7 6587.90 N 17 7730 JÉSSICA HOURI COSSENZO 17088950 SSP/MG 24 6199.70 N 18 685 JOÃO JOSINO SOBRINHO NETO 1052736-2 SSP/AC 42 5983.70 N 19 11851 JOÃO ROMÁRIO SINHASIQUE 1004450-7 SSP/AC 25 6182.60 N 20 23604 JOAO VASCONCELOS DE SOUZA NETO 2003002262741 ssp/CE 18 6346.10 N 21 23983 JOAS DAVI LOPES DA SILVA 9222102 CAC 05/PE 31 6072.50 N 22 954 JOHANNES TIAGO FONTANA ROCHA 1111633-1 Rio Branco/AC 13 6449.00 N 23 3196 JOHN LENNON LOPES DE OLIVEIRA 464439 SSP-AC/AC 45 5949.60 N 24 10816 JOHNATAN NASCIMENTO ABREU 1068061-6 ssp/AC 21 6255.30 N 25 31846 JOSE FERREIRA SANTOS DA SILVA 410608 SSP/AC 153 5407.10 S 26 24803 JOYCY KELLY BERNARDO DE AQUINO 8612559 SDS/PE 8 6566.70 N 27 10288 J LIA DE SOUSA GOMES 10779132 SEJSP/AC 14 6437.80 N 28 24468 KAMILA BRITO MESQUITA 20071805812 SSPDS/CE 2 7064.30 N 29 37982 LUAN GADELHA LIMA 1010911 SSP/AC 23 6203.40 N 30 20039 LUANA SOUZA CUNHA 10428569 SSP-AC/AC 12 6451.90 N 31 37935 LUCAS GONÇALVES MACHADO DA ROCHA 20076424302 ssp ce/CE 4 6829.00 N 32 2979 LUI FHELIPE AGUIAR QUEIROZ 919367 ssp/RO 22 6229.80 N 33 6549 LUIS FELIPE DE MELO 1029723-5 ssp/AC 16 6397.00 N 34 12934 MARCELO ALBERTO MAXIMIANO DA SILVA 120002881-8 Polícia Militar/AC 26 6155.50 N 35 18543 MARCOS DA SILVA MELO 11206853 SSP/AC 38 6010.50 N 36 9326 MARISA DE MOURA LUZ 3356338 SSP/PI 35 6038.10 N 37 28810 OSIAS FERREIRA DE SOUZA NETO 1003282-7 ssp/AC 36 6025.80 N 38 35916 OTONIELLE SOUZA DE ABREU 10879684 ssp/AC 17 6385.70 N 39 17696 OZIRIS DEODATO DE ANDRADE 2008009009597 SSP/CE 29 6122.60 N 40 4100 PABLO MISLEY SILVA DE OLIVEIRA 6616886 POLICIA CIVIL/PA 3 6877.00 N 41 26068 PEDRO 6.373.379 ssp/MG 20 6314.20 N 42 27849 RAINER FABIO PEREIRA DA SILVA 647153 SSP/RO 44 5963.10 N np. fac.b / e ib la 2012/ ela o io /li a-ap o ado _po _c o/ 63/64
  • 64.
    06/01/12 np. fac.b / e ib la 2012/ ela o io /li a-ap o ado _po _c o/ 43 24487 RENAN SOARES VERAS 2007010003299 SSPDS/CE 34 6046.80 N 44 29331 RITA DA COSTA PINTO 229542 p/AC 437 4628.60 S 45 31297 ROBERTO LIMA DA SILVA 863429 SSP/AC 402 4689.00 S 46 30118 RODRIGO DE OLIVEIRA SILVA 1155128-3 SSP/AC 32 6068.30 N 47 127 SAVIO CRUZ PEREIRA 421989 SSP/AC 39 6004.60 N 48 37726 SILVIO CESAR VIEIRA TORRES 2007010245748 p ce/CE 1 7100.80 N 49 37261 TOSHIMI PEREIRA NISHIZAWA 388526 p/AC 6 6656.10 N 50 125 WELLINGTON DA SILVA LIMA 380054 SSP/AC 47 5933.10 N np. fac.b / e ib la 2012/ ela o io /li a-ap o ado _po _c o/ 64/64