Capítulo 2
ESTÁTICA DOS FLUIDOS
A ausência de movimento elimina os efeitos tangenciais e conseqüentemente a presença de
tensões de cisalhamento. A presença exclusiva de efeitos normais faz com que o objetivo
deste capítulo seja o estudo da pressão. Nesse caso são vistas suas propriedades num fluido
em repouso, suas unidades, as escalas para a medida, alguns instrumentos básicos e a equação
manométrica, de grande utilidade. Estuda-se o cálculo da resultante das pressões em
superfícies submersas, o cálculo do empuxo, que também terá utilidade nos problemas do
Capítulo 9, a determinação da estabilidade de flutuantes e o equilíbrio relativo.
É importante ressaltar, em todas as aplicações, que o fluido está em repouso, para que o leitor
não tente aplicar, indevidamente, alguns conceitos deste capítulo em fluidos em movimento.
Para que não haja confusão, quando a pressão é indicada na escala efetiva ou relativa, não se
escreve nada após a unidade, quando a escala for a absoluta, escreve-se (abs) após a unidade.
Exercício 2.1
( )
N13510101035,1G
Pa1035,1
20
5
104,5
A
A
pp
Pa104,5
210
5,21072,21010500
AA
ApAp
p
ApG
ApAp
Pa1072,22000.136hp
ApAApAp
45
55
IV
III
34
5
53
HII
II2I1
3
V4
IV4III3
5
Hg2
II2HII3I1
=×××=
×=××==
×=
−
××−××
=
−
−
=
=
=
×=×=γ=
+−=
−
Exercício 2.2
kN10N000.10
5
25
400
D
D
FF
4
D
F
4
D
F
N400
1,0
2,0
200F
1,0F2,0F
2
2
1
2
2
BO2
2
2
1
BO
BO
BOAO
==⎟
⎠
⎞
⎜
⎝
⎛
×=
⎟
⎟
⎠
⎞
⎜
⎜
⎝
⎛
=⇒
π
=
π
=×=
×=×
Exercício 2.3
mm3681000
000.136
5000.10
h
hh
Hg
OHOHHgHg 22
=×
×
=
γ=γ
Exercício 2.4
)abs(mmHg3400)abs(
cm
kgf
62,4)abs(MPa453,0)abs(
m
kgf
200.46)abs(atm47,4p
mca10atm97,0MPa098,0Pa108,9
cm
kgf
1
m
kgf
000.1074,0600.13hp
mca2,36
000.1
200.36p
h
bar55,398,0
cm
kgf
62,310
m
kgf
200.36p
MPa355,0108,9
m
kgf
200.3666,2600.13hp
mmHg2660
1
5,3760
p
patm5,3
mmHg760atm1
22abs
4
22HgHgatm
O2H
O2H
2
4
2
6
2HgHg
=====
===×≅=≅×=γ=
==
γ
=
=×=×=
=××=×=γ=
=
×
=
→
→
−
−
Exercício 2.5
kPa35,13Pa350.13025,0000.101,0000.136p
01,0025,0p
1
HgOH1 2
==×−×=
=×γ−×γ+
Exercício 2.6
kPa1,132Pa100.1321000.13625,0000.108,0000.8pp
p8,0125,0p
BA
BOHgO2HA
−=−=×−×−×=−
=×γ−×γ+×γ+
Exercício 2.7
kPa6,794,20100p
kPa4,20Pa400.2015,0000.13615,0p
p100p
m
HgA
Am
=−=
==×=×γ=
−=
Exercício 2.8
kPa55,36103,0500.834p
p3,0p)b
)abs(kPa13410034ppp
kPa100Pa000.10074,0000.136hp
kPa34Pa000.348,0500.83,0000.136p
07,03,07,08,0p)a
3
M
MOar
atmarabsar
HgHgatm
ar
O2HHgO2HOar
=××+=
=×γ+
=+=+=
≅≅×=γ=
==×−×=
=×γ−×γ−×γ+×γ+
−
)abs(kPa55,13610055,36ppp atmMabsM =+=+=
Exercício 2.9
( )
( )
)abs(mca12,17
000.10
000.171p
h
)abs(Pa200.171200.95000.76ppp
Pa200.95000.1367,0p
Pa000.76p000.57
4
p
p
000.57pp000.30p000.27p
000.27pppap
000.30pp
p4p4
A
A
A
A
A
A
ApApAApApAp
2
A
A
kPa30pp
OH
absB
OH
atmBB
atm
B
B
B
ABAB
BCBC
AC
AB
H
2
H
1
1
2
HB2AH1B1B2A
1
2
AC
2
2
efabs
==
γ
=
=+=+=
=×=
=→=−
=−→=−−
−=→=γ+
=−
=→==×
=→−−=
=
=−
Exercício 2.10
)abs(kPa991001ppp
kPa1Pa000.12,010500ghp
m
kg
500
2,0
1,0
000.1
h
h
hh0ghp
0ghp
atm0abs0
AA0
3
A
B
BABBAABB0
AA0
=+−=+=
−=−=××−=ρ−=
=×=ρ=ρ⇒ρ=ρ⇒=ρ+
=ρ+
Exercício 2.11
( ) ( )
( ) ( )
3324
3
o
OH
OHo
OHo
cm833.47m107833,41043,0
6
45,0
xA
6
D
V)c
m45,03,05,0
000.8
6,04,0000.10
x5,0
x2y
D
m3,0
2
4,01
2
yy
xyyx2
x2yx5,0D)b
m4,0
000.10
5,0000.8
y
y5,0)a
2
2
2
=×=××+
×π
=+
π
=
=−−
+
=−−
γ
+γ
=
=
−
=
−′
=→′=+
+γ=++γ
=
×
=
×γ=×γ
−−
Exercício 2.12
( )
( ) ( )
m105
5,11sen
5,4
1
000.8
10
sen
D
d
p
L0Lsen
D
d
Lp
D
d
LH
4
D
H
4
d
L
Pa10001,010001,0p
0LsenHp
3
o
22
x
2
x
222
4
O2Hx
x
−
×=
⎥
⎥
⎦
⎤
⎢
⎢
⎣
⎡
+⎟
⎠
⎞
⎜
⎝
⎛
−
=
⎥
⎥
⎦
⎤
⎢
⎢
⎣
⎡
α+⎟
⎠
⎞
⎜
⎝
⎛
γ
−
=⇒=
⎥
⎥
⎦
⎤
⎢
⎢
⎣
⎡
α+⎟
⎠
⎞
⎜
⎝
⎛
γ+
⎟
⎠
⎞
⎜
⎝
⎛
=⇒
π
=
π
−=−×=−×γ=
=α+γ+
Exercício 2.13
( )
( )
( )
( )
( )
mca7,3
000.10
000.37
p
Pa000.37000.17000.20000.17pp)b
absmmHg831684147p
mmHg147m147,0
000.136
000.20
Pa000.20p
000.17p10331p104:)1(nadoSubstituin
p000.17p
p4,0000.104,0000.5005,0000.102p
m05,0
4,71
7,35
2
4,0
D
d
2
h
h
4
d
2
h
4
D
h
phhh2p
1p10331p104
0357,00714,0
4
p31
4
0714,0
p
dD
4
pF
4
D
p)a
2
12
abs1
1
1
21
21
2221
21
21
21
ar
arar
ar
ar
ar
3
ar
3
arar
arar
2222
arOHmOHar
ar
3
ar
3
22
ar
2
ar
22
ar
2
ar
==
=+=+=
=+=
====
+×=+×
=+
=×−×+×××
=⎟
⎠
⎞
⎜
⎝
⎛
=⎟
⎠
⎞
⎜
⎝
⎛
=Δ→
π
=
π
Δ
=γ−γ+Δγ+
×=+×
−
π
=+
×π
−
π
=+
π
−−
−−
Exercício 2.14
( )
1
2
11
22
222
111
arar
21
ar
HgO2Har
T
T
Vp
Vp
mRTVp
mRTVp)c
Pa050.12p0000.1361,0000.10155,0p
cm5
1
10
5,0hA.hA.y)b
Pa200.25000.10000.1362,0p
02,02,0p)a
=⇒=
=
=′⇒=×−×+′
=×=Δ⇒Δ=Δ
=−=
=×γ−×γ+
C44K317
100
95
200.125
050.112
373T
cm95105,01010V
050.112000.100050.12p
)abs(Pa200.125000.100200.25p
o
2
3
2
abs2
abs1
==××=
=×−×=
=+=
=+=
Exercício 2.15
3
A
A
A
atmAAabs
atm
OH
A
OH
A
2222
A
212A
m
kg
12,1
293287
576.94
RT
p
)abs(Pa576.94200.95624ppp
Pa200.95000.1367,0p)b
mca0624,0
000.10
624p
h
Pa6240015,02000.8600p
m0015,0
40
4
2
3,0
D
d
2
h
h
4
d
2
h
4
D
h
h2000.83,0000.103,0000.8p
0hhh2p)a
2
2
=
×
==ρ
=+−=+=
=×=
−=−=
γ
=
−=××−−=
=⎟
⎠
⎞
⎜
⎝
⎛
=⎟
⎠
⎞
⎜
⎝
⎛
=Δ→
π
=
π
Δ
Δ×−×−×=
=γ−γ+Δγ+
Exercício 2.16
3
1
2
2
1
12
1
2
11
22
absgásO2Hgás
O2Hgás
absgás
atm
gásO2HHggás
m16,2
293
333
100
95
2
T
T
p
p
VV
T
T
Vp
Vp
)abs(kPa1001090pkPa10Pa000.101000.10z.p)c
m5,0
000.10
000.5
zz.p)b
)abs(kPa95590p
kPa90Pa032.90662,0000.136p
Pa500016,0000.10025,0000.136p16,0025,0p)a
=××==⇒=
=+=′⇒==×=′γ=′
==⇒γ=
=+=
==×=
=×+×=⇒×γ+×γ=
Exercício 2.17
( ) ( ) 2
3
22
2
2
1
2
3
3
2
2
2
12
2
1
1
32
21
3,0p1,05,0p5,0p
4
D
pDD
4
p
4
D
p
000.22,0000.10pp
000.10pp
×+−×=×→
π
+−
π
=
π
=×=−
=−
( )
( )
kPa5,43Pa500.43p3480p08,0
180000.10p33,0p25,0
180p33,0p25,0
000.2p09,0p24,0p25,0
11
11
21
221
==→=
−−=
−=
−+=
Exercício 2.18
3222
2
ct
c
t
t
pGt
o
G
p
22
c
22p
22
c
11p
m
kg
993.10
183,05,010
950.34
LDg
G4
L
4
D
g
G
gV
G
)c
m183,0
5,0210
5,110005,0
L
m0005,0
2
5,0501,0
2
DD
Dv
F
LDL
v
F)b
N5,11FFF
desce196319755,0395030GsenF
cimaparaN196378549817F
N7854
4
5,0
000.40
4
D
pF
N9817
4
5,0
000.50
4
D
pF)a
=
××π×
×
=
π
=
π
==ρ
=
×π××
×
=
=
−
=
−
=ε
πμ
ε
=⇒π
ε
μ=
=−=
>=×==
=−=
=
×π
×=
π
=
=
×π
×=
π
=
−
Exercício 2.19
( ) ( )
( ) ( )
cm8,127m278,1278,01L
m278,0ym0278,0x0600.36x10098,1x000.908000800
2
600.552
0200.735,0x15000.10x98,0800
A
F2
x10yy2,0x2
0200.7330ysen30sen1y000.10y25,0x55,0000.81,0
A
F2
m
N
200.73
30sen1
8,0000.101,0000.8
2
600.55
30Lsen
8,01,0
A
F
030Lsen8,01,0
A
F
6
oo
3oo
21
3
o
321
==+=′
=⇒=⇒=−×−+++
×
=×+−×+++
=⇒=
=×+×+−×++−+×+
=
×
×+×+
=
×γ+×γ+
=γ
=γ−×γ+×γ+
Exercício 2.20
( ) ( )
( ) ( )
( ) ( )
( )
kPa50109,39ppp)c
)abs(kPa1,60)abs(Pa100.6039908000.100p
Pa908.39
103,50
150102013,50000.10100
A
FAApG
p
FApAApAApG
cm3,50
4
8
4
D
A;cm201
4
16
4
D
A)b
N15005,008,016,0
001,0
5
8,0DD
v
F
s
m.N
8,0
10
000.810
g
)a
abm
absb
4
4
2
t12a
b
t2bH1aH2a
2
22
2
2
2
22
1
1
21t
2
3
−=−−=−=
==−+=
−=
×
−×−×+
=
−−+
=
++−=−+
=
×π
=
π
==
×π
=
π
=
=×+×π××=+π
ε
μ=
=
×
=
μγ
=ν
−
−
−
l
Exercício 2.21
2
3
p
p
p
p
p
p
2
p
p
pp2
12
m
s.N
8,0
10
000.810
g
m001,0
2
998,01
2
DD
D
vL4
pL
v
4
D
p
LD
4
D
p
pistãonomédiapressãopondephp
000.10pp
=
×
=
νγ
=μ
=
−
=
−
=ε
ε
μ
=→
ε
μ=
τπ=
π
==γ+
=−
−
Exercício 2.22
N33933,0
4
2,1
000.10b
4
R
F
N160.23,02,16,0000.10AhF
22
y
x
=×
×π
×=
π
γ=
=×××=γ=
kPa23,25Pa230.25000.10230.15000.10pp
m
N
230.152000.85,769hpp
Pa5,769
998,0001,0
2,02,18,04
p
21
2p2
p
−=−=−−=−=
=×−=γ−=
=
×
×××
=
Exercício 2.23
m4,02,06,0b
m2,0
6
h
h
2
hAh
I
hh
N920.252,1
2
2,1
000.30hhApF
m2,14,06,0
000.30
000.80
4,06,0h
6,0.4,0.h
2
12
4h
CG
cp
22
p
m
m
=−=
==
×
==−
=××=γ==
=−×=−×
γ
γ
=
γ=γ+γ
N640.8
2,1
4,0
25920
h
b
FFbFhF pp =×==→×=×
Exercício 2.24
N948.59100.115,42,1F
N668.7
2
100.11100.5100.5
2,16,0F
N755.285,46,0
2
100.11100.5
5,46,0
2
100.5
FFF
Pa100.116,0000.10100.56,0pp
Pa100.56,0500.86,0p
f
B
21A
212
11
=××=
=⎟
⎠
⎞
⎜
⎝
⎛ ++
××=
=××
+
+××=+=
=×+=×γ+=
=×=×γ=
Exercício2.25
N500.225,121500.7AhF
m0833,10833,01
m0833,0
5,124AhAh
I
hh
N102,15,124000.10AhApF
F2FF
2o2
1
12
325,1
1
12
3bh
1
CG
11CP
5
1O2H11
22B11
=×××=γ=
=+=
=
××
===−
×=×××=γ==
+×=
×
l
ll
m333,1333,01
m333,0
5,121Ah
hh
2
12
325,1
2
12
3bh
22CP
=+=
=
××
==−
×
l
N105F
333,1500.222F0833,1102,1
4
B
B
5
×=
×+×=××
F
Fp
h hcp
b
h
5m
2 m
A
B
1l 2l
3 m
F1 F2
FB
Exercício 2.26
m736,0
634.7
680.4
2,1
F
F
yxxFyF
N634.73,0
4
8,1
000.10b
4
R
F
m2,18,1
3
2
R
3
2
y
N860.43,0
2
8,1
000.10bR
2
R
F
y
x
CPCPCPyCPx
22
y
c
2
x
=×==⇒=
=×
×π
×=
π
γ=
=×==
=×=••γ=
Exercício 2.27
m65,230cos75,02h
AhApF
o
=×+=
γ==
kN4,991075,365,2000.10F
m75,35,25,1A
3
2
=×××=
=×=
−
Exercício 2.28
( )
( )
( ) ( )
3
oO2H
2
O2H
22
oinfsup
2
2
O2Hinf
2
osup
m
N
000.35
6,0
5,2000.86,05,3000.10
6,0
h6,0h
4
D
6,0h6,0
4
D
4
D
hFGF
6,0
4
D
G
4
D
6,0hF
4
D
hF
=
×−+×
=
γ−+′γ
=γ
π
+′γ=×
π
γ+
π
γ⇒=+
×
π
γ=
π
+′γ=
π
γ=
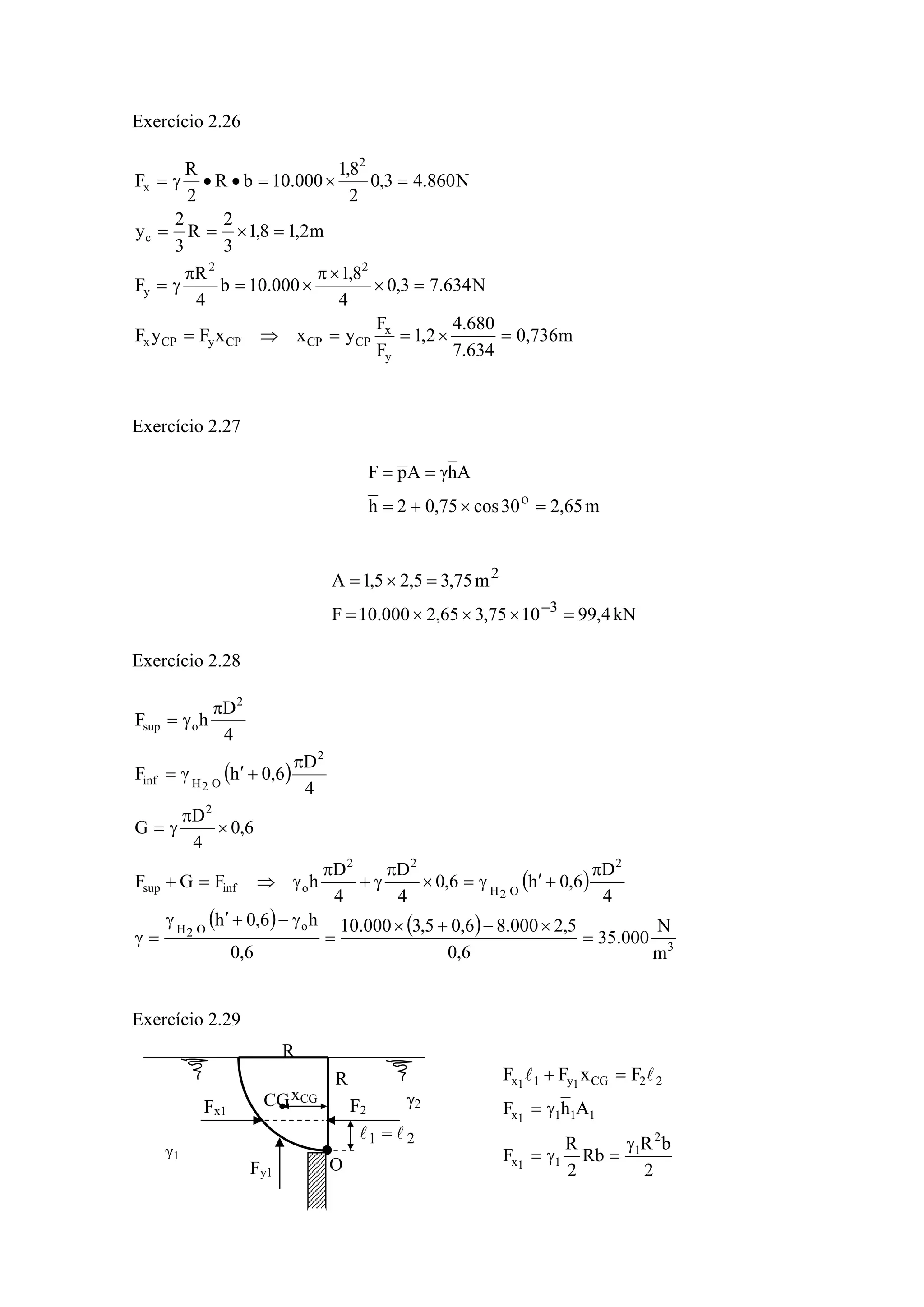
Exercício 2.29
xCGCG
γ1
γ2
R
R
O
Fx1 F2
Fy1
21 ll =
2
bR
Rb
2
R
F
AhF
FxFF
2
1
11x
1111x
22CG1y11x
γ
=γ=
γ=
=+ ll
6
R
Rb
2
RAh
I
hh 12
3bR
CG
11CP ===−
3
1
22
3
R
2
bR
3
R4
4
bR
3
R
2
bR
b
4
R
VF
2
bR
Rb
2
R
AhF
3
R
6
R
2
R
2
12
1
1
2
2
2
1
2
1
2
11y
2
2
22222
21
1
=
γ
γ
→
γ
=γ+
γ
×
γ
=
π
×
πγ
+×
γ
π
γ=γ=
γ
=γ=γ=
==−= ll
Exercício 2.30
( )
( )
N3,465
1
579,0300.14583,0000.15
BA
brFbrF
FBAFMM
m579,0079,05,0br
m079,0
5,106,1
125,0
Ay
I
yy
m06,156,05,0y
m56,0
000.9
032.5p
h
N300.145,11532.9ApFPa532.9
2
032.14032.5
2
pp
p
Pa032.141000.950321pp
Pa032.5037,0000.136037,0pp
m583,0083,05,0br
m083,0
5,11
125,0
yy
m125,0
12
15,1
12
b
I
Ay
I
yy)b
N000.155,11000.10ApFPa000.10
2
000.15000.5
2
pp
p
Pa000.155,1000.105,1p
Pa000.55,0000.105,0p)a
esqesqdirdir
BBesqdir
esq
esq
CG
esqCP
esq
o
ar
areq
esqesq
esqBesqA
esq
oesqAesqB
HgaresqA
dir
dirCP
4
33
CG
CG
CP
dirdir
dirBdirA
dir
O2HdirB
O2HdirA
=
×−×
=
−
=⇒×+=
=+=
=
×
==−
=+=
==
γ
=
≅××==⇒=
+
=
+
=
=×+=×γ+=
=×=×γ==
=+=
=
×
=−
=
×
==→=−
=××==⇒=
+
=
+
=
=×=×γ=
=×=×γ=
l
Exercício 2.31
( ) ( ) N6363,06,0
4
3,0000.103,0D
4
hApF
N107,1
4
6,0
6,0000.10
4
D
hApF
2222
MMMMM
3
22
F
FFFF
=−
π
××=−
π
γ==
×=
×π
××=
π
γ==
Exercício 2.32
N230.76
2
083,1000.1205,0000.45
F083,1F5,0F2F
m083,0
412
2
y12by
12/b
Ay
I
yy
N000.1205,12000.40ApFPa000.40
2
000.50000.30
p
Pa000.505000.105p
m3
000.10
000.30p
h
N000.455,11000.30ApF
Pa000.304,0000.1025,0000.1364,025,0p
BCAB
223
CG
CP
BCBCBCBC
O2HC
O2H
AB
ABABAB
O2HHgAB
=
×+×
=⇒×+×=×
=
×
====−
=××=×=⇒=
+
=
=×=×γ=
==
γ
=
=××==
=×−×=×γ−×γ=
l
l
l
Exercício 2.33
Exercício 2.34
m1CBMM
2
CB
bCB3M
3
3
b3
2
3
M
BCAB
BCAB
=⇒=
γ=→γ=
F1
F2
1l 2l ( )
( )
( )
( )
( )
m27,6z
5,1108,225,6z5,2
5,11
5,2z
08,2
5,25,2z
5,2106,4
5,2z
08,2
5,25,2z10
m5,2
N106,4251046pAF
5,2z
08,2
5,2
55
2
53
2
1
=
=+−
=⎥
⎦
⎤
⎢
⎣
⎡
−
+−
××=⎥
⎦
⎤
⎢
⎣
⎡
−
+−
=
×=×××==
−
+=
l
l
Exercício 2.35
2
1
h
x
h
3
x6
h
3
x
2
x
hxb
3
x
b
2
x
2
x
hxbF
3
x
xb
2
x
AhF
FF
2
1
2
2
1
2
22
1
1111
2211
=→=→=
γ
γ
×γ=×γ
=
γ=
=
γ=γ=
=
l
l
ll
Exercício 2.36
kN204H880.218015H
m.kN1805,1120MkN120
000.1
134000.10
V
m.kN880.2
000.1
41126000.10
M
V
x
=⇒+=×
=×=⇒=
×××
=
=
××××
=
Exercício 2.37
O ferro estará totalmente submerso.
N2183,0
4
3,0
300.10h
4
D
VE
22
flfl =×
×π
×=
π
γ=γ=
A madeira ficará imersa na posição em que o peso seja igual ao empuxo.
sub
2
fl
22
mad
h
4
D
E
N1593,0
4
3,0
500.7h
4
D
GE
π
γ=
=×
×π
×=
π
γ==
m218,0
3,0300.10
1594
D
E4
h
22
fl
sub =
×π×
×
=
πγ
=
Exercício 2.38
N625023,0000.25500VGG conconcil =×+=γ+=
F1
F2
1l
2l
( )
m3,02,05,0h
m5,0
1
23,0
000.10
6250
4
D
V/G4
H
H
4
D
VGEG
22
con
2
con
=−=
=
×π
⎟
⎠
⎞
⎜
⎝
⎛
−×
=
π
−γ
=
⎟
⎟
⎠
⎞
⎜
⎜
⎝
⎛
×
π
+γ=⇒=
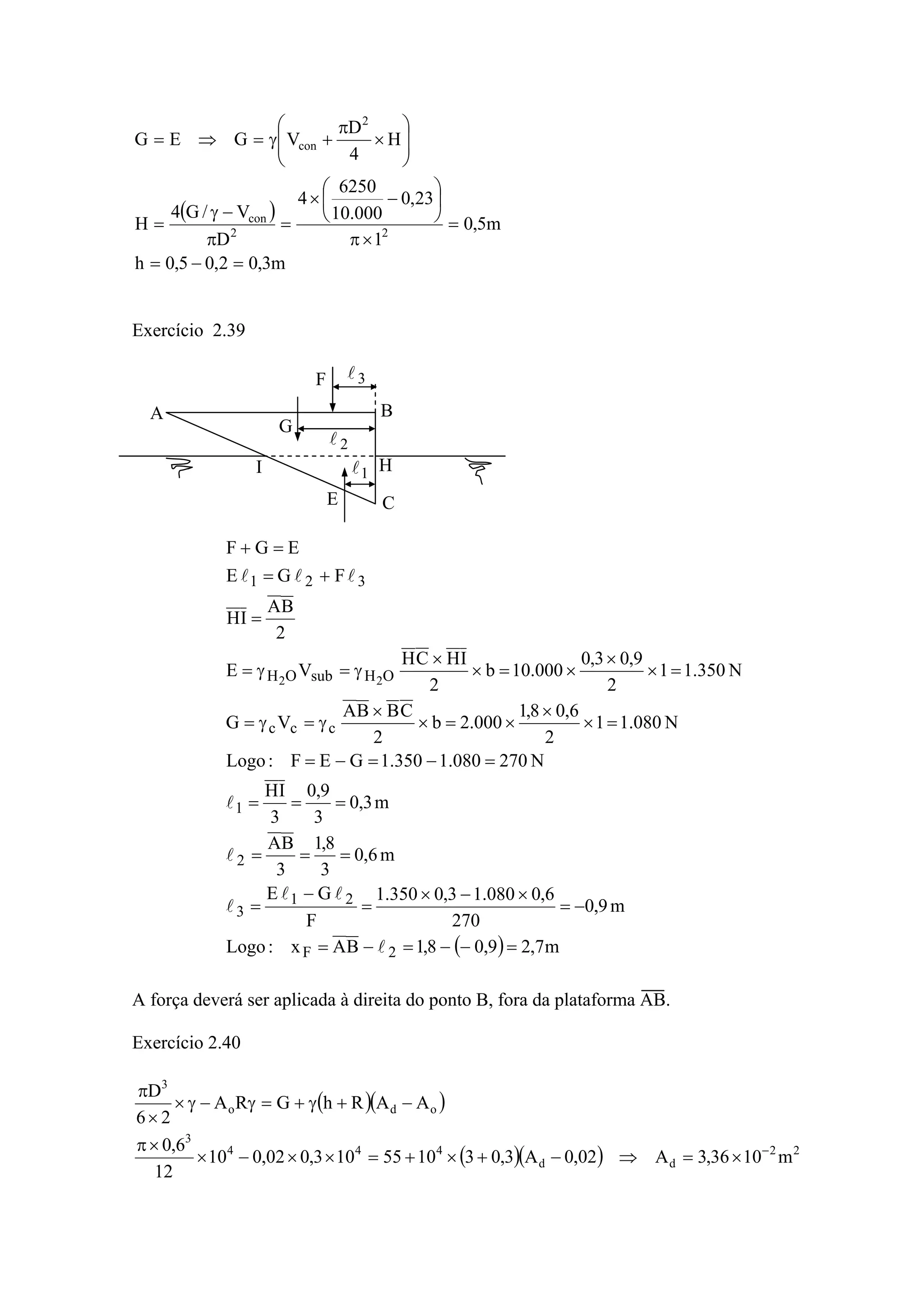
Exercício 2.39
( ) m7,29,08,1BAx:Logo
m9,0
270
6,0080.13,0350.1
F
GE
m6,0
3
8,1
3
BA
m3,0
3
9,0
3
IH
N270080.1350.1GEF:Logo
N080.11
2
6,08,1
000.2b
2
CBBA
VG
N350.11
2
9,03,0
000.10b
2
IHCH
VE
2
BA
IH
FGE
EGF
2F
21
3
2
1
ccc
OHsubOH
321
22
=−−=−=
−=
×−×
=
−
=
===
===
=−=−=
=×
×
×=×
×
γ=γ=
=×
×
×=×
×
γ=γ=
=
+=
=+
l
ll
l
l
l
lll
A força deverá ser aplicada à direita do ponto B, fora da plataforma AB.
Exercício 2.40
( )( )
( )( ) 22
dd
444
3
odo
3
m1036,3A02,0A3,031055103,002,010
12
6,0
AARhGRA
26
D
−
×=⇒−+×+=××−×
×π
−+γ+=γ−γ×
×
π
A B
C
I H
E
G
F
1l
2l
3l
Exercício 2.41
Supondo o empuxo do ar desprezível:
3
c
ccc
3
fl
fl
ap
m
N
670.26
03,0
800
V
G
VG
m03,0
000.10
300E
VVE
N300500800EEGG
===γ→γ=
==
γ
=→γ=
=−=→+=
Exercício 2.42
mm2,7m102,7
005,0
104,14
d
V4
hh
4
d
V
m104,11068,21082,2V
m1068,2
200.8
102,2G
VVEG
m1082,2
800.7
102,2G
VVEG
3
2
7
2
2
3766
36
2
2
2222
36
2
1
1111
=×=
×π
××
=
π
Δ
=Δ⇒Δ×
π
=Δ
×=×−×=Δ
×=
×
=
γ
=⇒γ==
×=
×
=
γ
=⇒γ==
−
−
−−−
−
−
−
−
Exercício 2.43
( )
( )
( )
( )
m8,0hh000.16000.40h000.6000.32
h5,2000.16h000.6000.32
h5,14hp
m
N
000.324000.8p4AApGAp
2Situação
m
N
000.1622A4A
EG1Situação
ooo
oo
ooobase
2basebasecbasebasebasebase
3cbbc
=→−+=
−+=
−−γ+γ=
=×=→×γ=→=
=γ→γ=γ→×γ=×γ
=→
l
lll
Exercício 2.44
m6
000.61009,2
2105,4
x
N1009,2
12
2
10
26
D
E
N105,4135,110AhF
GE
2F
xxE3
3
2
FxG
4
4
4
3
4
3
44
=
−×
××
=
×=
×π
×=
×
π
γ=
×=×××=γ=
−
×
=⇒•=××+• E
G F
Exercício 2.45
( )
( )
( )
3B
B
BAbase
2
b
bc
b
base
bbase
3cAbAbc
m
N
000.25
4,02,0000.15000.13
2,06,02,0p
m
N
000.13
1
000.1016,0000.5
A
FA6,0
A
FG
p
FGAp
2Situação
m
N
000.15000.5332,0A6,0AEG
1Situação
=γ
×γ+×=
−×γ+×γ=
=
+××
=
+××γ
=
+
=
+=
=×=γ=γ→×γ=×γ→=
Exercício 2.46
( ) ( ) N171.10
6
12
1085,7132,110
6
D
gG
1085,7
293400.41
200.95
TR
p
m
kg
132,1
293287
200.95
TR
p
Pa200.957,0000.1367,0p
3
3
3
2Har
3
2H
2H
2H
3
ar
ar
ar
Hgatm
=
×π
××−×=
π
ρ−ρ=
×=
×
==ρ
=
×
==ρ
=×=×γ=
−
−
Exercício 2.47
79,0x
21,0x
62
16466
x:Raízes
01x6x6
0
2
x
2
1
x12
1
xFazendo0
22
1
12
0
2
b
2
b
b
2
b
2
b
0
V
I
r
bhbhbEG
2
2
cc
c
c
3
c
12
b
c
c
y
c
sub
2
sub
3
c
4
=′′
=′
→
×
××−±
=
>+−
>+−→=
γ
γ
→>
γ
γ
+−
γ
γ
>⎟⎟
⎠
⎞
⎜⎜
⎝
⎛
γ
γ
−−
γ
γ
γ
γ
−=→>−
γ
γ
=
γ
γ
=→γ=γ→=
ll
l
l
l
l
l
l
l
ll
179,021,00 cc
<
γ
γ
<<
γ
γ
<
ll
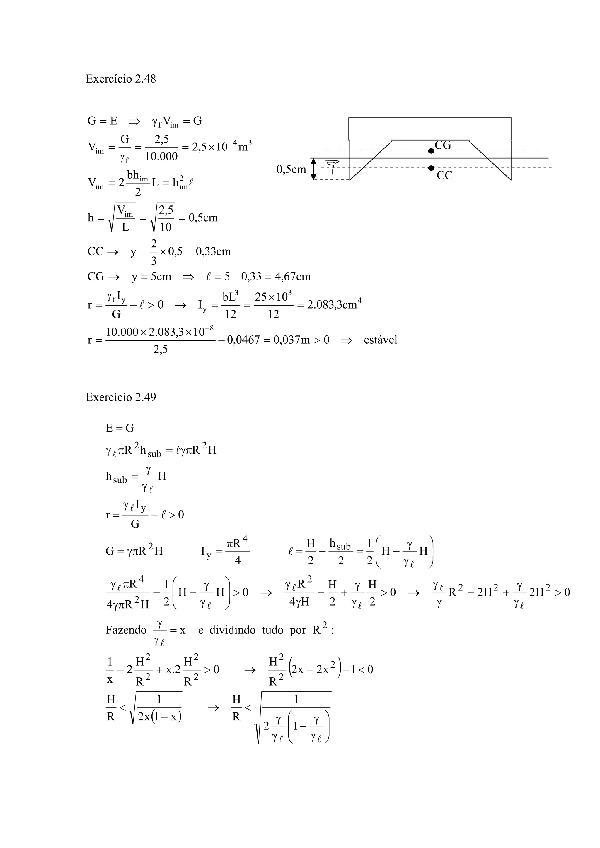
Exercício 2.48
estável0m037,00467,0
5,2
103,083.2000.10
r
cm3,083.2
12
1025
12
bL
I0
G
I
r
cm67,433,05cm5yCG
cm33,05,0
3
2
yCC
cm5,0
10
5,2
L
V
h
hL
2
bh
2V
m105,2
000.10
5,2G
V
GVEG
8
4
33
y
yf
im
2
im
im
im
34
f
im
imf
⇒>=−
××
=
=
×
==→>−
γ
=
=−=⇒=→
=×=→
===
==
×==
γ
=
=γ⇒=
−
−
l
l
l
Exercício 2.49
( )
( )
⎟⎟
⎠
⎞
⎜⎜
⎝
⎛
γ
γ
−
γ
γ
<→
−
<
<−−→>+−
=
γ
γ
>
γ
γ
+−
γ
γ
→>
γ
γ
+−
γ
γ
→>⎟⎟
⎠
⎞
⎜⎜
⎝
⎛
γ
γ
−−
γπ
πγ
⎟⎟
⎠
⎞
⎜⎜
⎝
⎛
γ
γ
−=−=
π
=γπ=
>−
γ
=
γ
γ
=
γπ=πγ
=
ll
l
l
l
l
l
l
l
l
l
l
l
l
l
l
12
1
R
H
x1x2
1
R
H
01x2x2
R
H
0
R
H
2.x
R
H
2
x
1
:RportudodividindoexFazendo
0H2H2R0
2
H
2
H
H4
R
0HH
2
1
HR4
R
HH
2
1
2
h
2
H
4
R
IHRG
0
G
I
r
Hh
HRhR
GE
2
2
2
2
2
2
2
2
222
2
2
4
sub
4
y
2
y
sub
2
sub
2
CG
CC0,5cm
Exercício 2.50
z6
g
g5
1z
g
a
1zp
y
z Δγ=⎟⎟
⎠
⎞
⎜⎜
⎝
⎛
+Δγ=⎟⎟
⎠
⎞
⎜⎜
⎝
⎛
±Δγ=Δ
Exercício 2.51
h
km
2,646,3
s
m
83,17557,3tav)b
s
m
57,320tg8,9a20tgga
g
a
x
z
)a
x
2
o
x
o
x
x
=×=×==
=×=→=→=
Δ
Δ
Exercício 2.52
oo
o
x
4130tg
30cos8,9
45,2
tg
cosg
a
tg =θ⇒+
×
=α+
α
=θ
Exercício 2.53
( )
2x
3
x
3
Hg
s
m
72,1
5,1
257,0
10
x
z
ga
m257,0
000.136
10140175
z
g
a
x
z
)b
m29,1
000.136
10175p
h)a
=×=
Δ
Δ
=
=
×−
=Δ→=
Δ
Δ
=
×
=
γ
=
Exercício 2.54
)abs(kPa106
10
6,010000.1
100ghpp
)abs(kPa7,125
10
6,010000.1
7,119ghpp
)abs(kPa7,119100106,0
2
5,10
000.1p
s
rd
5,10
60
100
2n2pr
2
p
3atmC
3AB
32
2
A
atm
2
2
A
=
××
+=ρ+=
=
××
+=ρ+=
=+×⎟
⎟
⎠
⎞
⎜
⎜
⎝
⎛
××=
=×π×=π=ω→+Δ
ω
ρ=
−
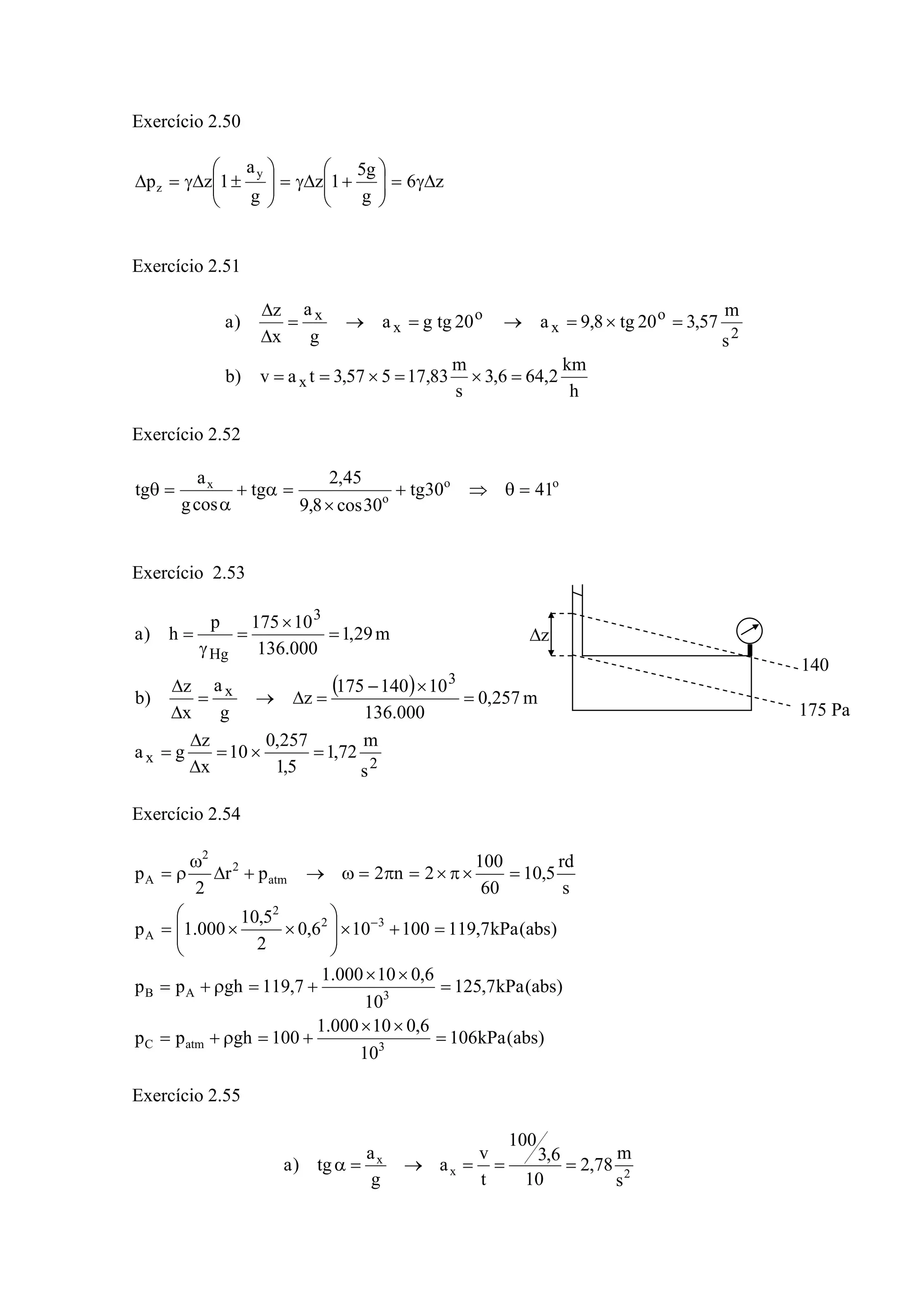
Exercício 2.55
2x
x
s
m
78,2
10
6,3
100
t
v
a
g
a
tg)a ===→=α
140
175 Pa
zΔ
( ) ( )
( ) ( ) Pa600.314,05,0000.10h5,0p
Pa400.614,05,0000.10h5,0p
m14,0278,05,0h
5,0
h
tg)b
5,15278,0
10
78,2
tg
O2HB
O2HA
o
=−×=Δ−γ=
=+×=Δ+γ=
=×=Δ→
Δ
=α
=α→==α
Exercício 2.56
2
o
x
xo
oo
o
4
3
dir
dir
4
3
esq
esq
s
m
8,530tg10a
g
a
30tg
m73,1
30tg
1
30tg
h
L
L
h
30tg
m11011hm11
10
10110p
h
m10
10
10100p
h
=×=⇒=
==
Δ
=⇒
Δ
=
=−=Δ⇒
×
=
γ
=
=
×
=
γ
=
Exercício 2.57
s5
4
6,3
72
a
v
t
t
v
a
s
m
4
5,0
2,0
10a
g
a
tg
x
x
2x
x
===→=
=×=
=α
Exercício 2.58
( ) kN6,13N600.131010006,31000GmaFmaGF
s
m
6,31
000.10
200.27600.13
g1
z
pp
a
g
a
1zpp
Pa600.131,0000.1361,0p
Pa200.272,0000.1362,0p
2
12
y
y
12
Hg2
Hg1
−=−=×−−×=−=⇒=+
−=⎟
⎠
⎞
⎜
⎝
⎛
+
−
=⎟⎟
⎠
⎞
⎜⎜
⎝
⎛
+
Δγ
−
=⇒⎟⎟
⎠
⎞
⎜⎜
⎝
⎛
+Δγ=−
=×=×γ=
=×=×γ=

Resolucao de-exercicios-cap 2 - franco-brunetti