Student Scores
4.3 Math Check Point STAAR Release Grade 4/113
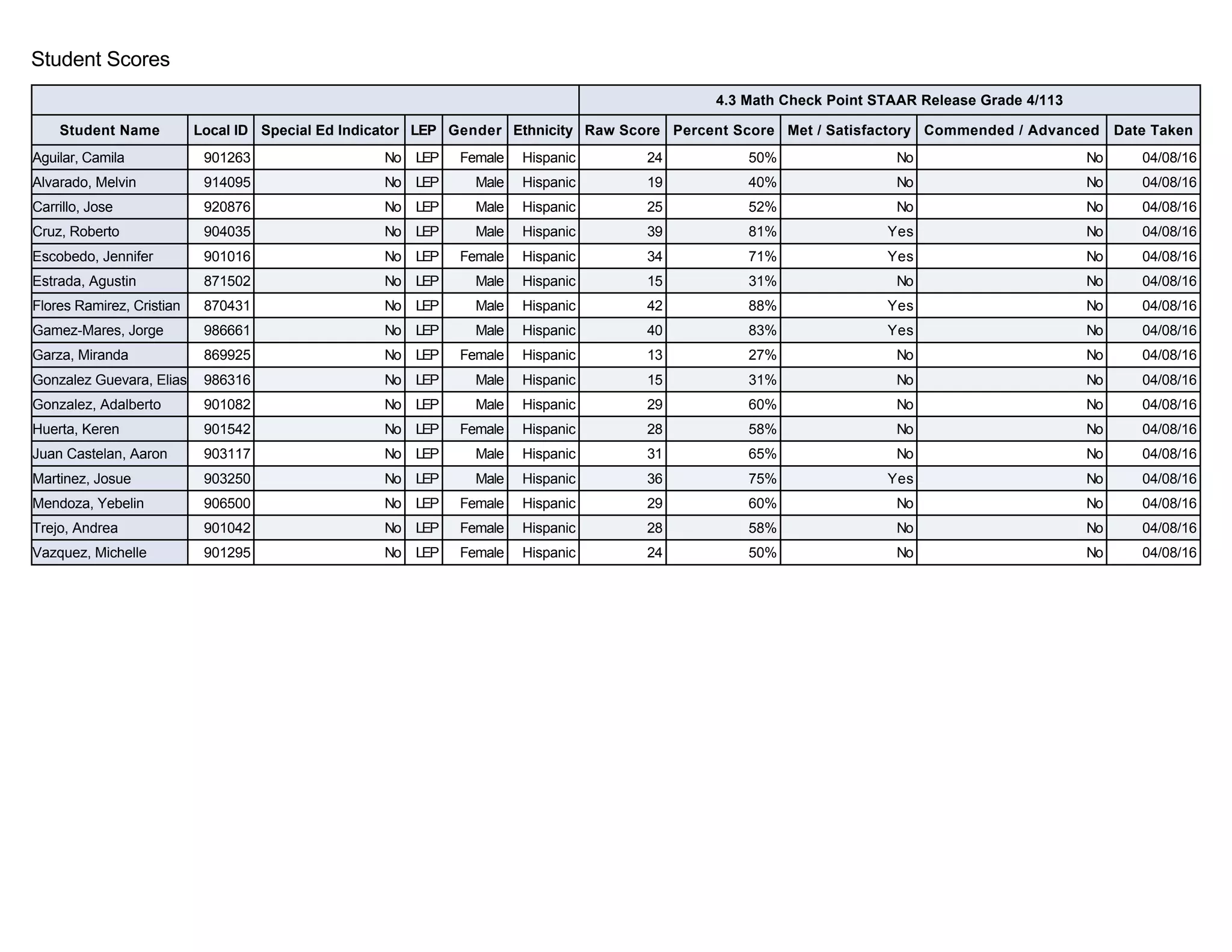
Student Name Local ID Special Ed Indicator LEP Gender Ethnicity Raw Score Percent Score Met / Satisfactory Commended / Advanced Date Taken
Aguilar, Camila 901263 No LEP Female Hispanic 24 50% No No 04/08/16
Alvarado, Melvin 914095 No LEP Male Hispanic 19 40% No No 04/08/16
Carrillo, Jose 920876 No LEP Male Hispanic 25 52% No No 04/08/16
Cruz, Roberto 904035 No LEP Male Hispanic 39 81% Yes No 04/08/16
Escobedo, Jennifer 901016 No LEP Female Hispanic 34 71% Yes No 04/08/16
Estrada, Agustin 871502 No LEP Male Hispanic 15 31% No No 04/08/16
Flores Ramirez, Cristian 870431 No LEP Male Hispanic 42 88% Yes No 04/08/16
Gamez-Mares, Jorge 986661 No LEP Male Hispanic 40 83% Yes No 04/08/16
Garza, Miranda 869925 No LEP Female Hispanic 13 27% No No 04/08/16
Gonzalez Guevara, Elias 986316 No LEP Male Hispanic 15 31% No No 04/08/16
Gonzalez, Adalberto 901082 No LEP Male Hispanic 29 60% No No 04/08/16
Huerta, Keren 901542 No LEP Female Hispanic 28 58% No No 04/08/16
Juan Castelan, Aaron 903117 No LEP Male Hispanic 31 65% No No 04/08/16
Martinez, Josue 903250 No LEP Male Hispanic 36 75% Yes No 04/08/16
Mendoza, Yebelin 906500 No LEP Female Hispanic 29 60% No No 04/08/16
Trejo, Andrea 901042 No LEP Female Hispanic 28 58% No No 04/08/16
Vazquez, Michelle 901295 No LEP Female Hispanic 24 50% No No 04/08/16

Practice math staar 2

  • 1.
    Student Scores 4.3 MathCheck Point STAAR Release Grade 4/113 Student Name Local ID Special Ed Indicator LEP Gender Ethnicity Raw Score Percent Score Met / Satisfactory Commended / Advanced Date Taken Aguilar, Camila 901263 No LEP Female Hispanic 24 50% No No 04/08/16 Alvarado, Melvin 914095 No LEP Male Hispanic 19 40% No No 04/08/16 Carrillo, Jose 920876 No LEP Male Hispanic 25 52% No No 04/08/16 Cruz, Roberto 904035 No LEP Male Hispanic 39 81% Yes No 04/08/16 Escobedo, Jennifer 901016 No LEP Female Hispanic 34 71% Yes No 04/08/16 Estrada, Agustin 871502 No LEP Male Hispanic 15 31% No No 04/08/16 Flores Ramirez, Cristian 870431 No LEP Male Hispanic 42 88% Yes No 04/08/16 Gamez-Mares, Jorge 986661 No LEP Male Hispanic 40 83% Yes No 04/08/16 Garza, Miranda 869925 No LEP Female Hispanic 13 27% No No 04/08/16 Gonzalez Guevara, Elias 986316 No LEP Male Hispanic 15 31% No No 04/08/16 Gonzalez, Adalberto 901082 No LEP Male Hispanic 29 60% No No 04/08/16 Huerta, Keren 901542 No LEP Female Hispanic 28 58% No No 04/08/16 Juan Castelan, Aaron 903117 No LEP Male Hispanic 31 65% No No 04/08/16 Martinez, Josue 903250 No LEP Male Hispanic 36 75% Yes No 04/08/16 Mendoza, Yebelin 906500 No LEP Female Hispanic 29 60% No No 04/08/16 Trejo, Andrea 901042 No LEP Female Hispanic 28 58% No No 04/08/16 Vazquez, Michelle 901295 No LEP Female Hispanic 24 50% No No 04/08/16