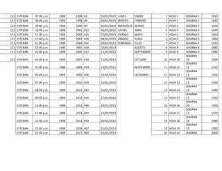
123 ESTEBAN 07:00 a.m. 1998 1998 #3 03/01/2013 LUNES ENERO 1 HOJA 1 SEMANA 1 1810
123 ESTEBAN 08:00 a.m. 1998 1999 #6 04/01/2013 MARTES FEBRERO 2 HOJA 2 SEMANA 2 1820
123 ESTEBAN 09:00 a.m. 1998 2000 #9 05/01/2013 MIÉRCOLES MARZO 3 HOJA 3 SEMANA 3 1830
123 ESTEBAN 10:00 a.m. 1998 2001 #12 06/01/2013 JUEVES ABRIL 4 HOJA 4 SEMANA 4 1840
123 ESTEBAN 11:00 a.m. 1998 2002 #15 07/01/2013 VIERNES MAYO 5 HOJA 5 SEMANA 5 1850
123 ESTEBAN 12:00 p.m. 1998 2003 #18 08/01/2013 SÁBADO JUNIO 6 HOJA 6 SEMANA 6 1860
123 ESTEBAN 01:00 p.m. 1998 2004 #21 09/01/2013 DOMINGO JULIO 7 HOJA 7 SEMANA 7 1870
123 ESTEBAN 02:00 p.m. 1998 2005 #24 10/01/2013 AGOSTO 8 HOJA 8 SEMANA 8 1880
123 ESTEBAN 03:00 p.m. 1998 2006 #27 11/01/2013 SEPTIEMBRE 9 HOJA 9 SEMANA 9 1890
123 ESTEBAN 04:00 p.m. 1998 2007 #30 12/01/2013 OCTUBRE 10 HOJA 10
SEMANA
10 1900
ESTEBAN 05:00 p.m. 1998 2008 #33 13/01/2013 NOVIEMBRE 11 HOJA 11
SEMANA
11 1910
ESTEBAN 06:00 p.m. 1998 2009 #36 14/01/2013 DICIEMBRE 12 HOJA 12
SEMANA
12 1920
ESTEBAN 07:00 p.m. 1998 2010 #39 15/01/2013 13 HOJA 13
SEMANA
13 1930
ESTEBAN 08:00 p.m. 1998 2011 #42 16/01/2013 14 HOJA 14
SEMANA
14 1940
ESTEBAN 09:00 p.m. 1998 2012 #45 17/01/2013 15 HOJA 15
SEMANA
15 1950
ESTEBAN 10:00 p.m. 1998 2013 #48 18/01/2013 16 HOJA 16
SEMANA
16 1960
ESTEBAN 11:00 p.m. 1998 2014 #51 19/01/2013 17 HOJA 17
SEMANA
17 1970
ESTEBAN 12:00 a.m. 1998 2015 #54 20/01/2013 18 HOJA 18
SEMANA
18 1980
ESTEBAN 01:00 a.m. 1998 2016 #57 21/01/2013 19 HOJA 19
SEMANA
19 1990
ESTEBAN 02:00 a.m. 1998 2017 #60 22/01/2013 20 HOJA 20 SEMANA 2000
20
03:00 a.m. 1998 2018 21 HOJA 21
SEMANA
21 2010
04:00 a.m. 1998 2019 22 HOJA 22
SEMANA
22 2020
05:00 a.m. 1998 2020 23 HOJA 23
SEMANA
23 2030
06:00 a.m. 1998 2021 24 HOJA 24
SEMANA
24 2040
07:00 a.m. 1998 2022 25 HOJA 25
SEMANA
25 2050

Practica 8

  • 1.
    123 ESTEBAN 07:00a.m. 1998 1998 #3 03/01/2013 LUNES ENERO 1 HOJA 1 SEMANA 1 1810 123 ESTEBAN 08:00 a.m. 1998 1999 #6 04/01/2013 MARTES FEBRERO 2 HOJA 2 SEMANA 2 1820 123 ESTEBAN 09:00 a.m. 1998 2000 #9 05/01/2013 MIÉRCOLES MARZO 3 HOJA 3 SEMANA 3 1830 123 ESTEBAN 10:00 a.m. 1998 2001 #12 06/01/2013 JUEVES ABRIL 4 HOJA 4 SEMANA 4 1840 123 ESTEBAN 11:00 a.m. 1998 2002 #15 07/01/2013 VIERNES MAYO 5 HOJA 5 SEMANA 5 1850 123 ESTEBAN 12:00 p.m. 1998 2003 #18 08/01/2013 SÁBADO JUNIO 6 HOJA 6 SEMANA 6 1860 123 ESTEBAN 01:00 p.m. 1998 2004 #21 09/01/2013 DOMINGO JULIO 7 HOJA 7 SEMANA 7 1870 123 ESTEBAN 02:00 p.m. 1998 2005 #24 10/01/2013 AGOSTO 8 HOJA 8 SEMANA 8 1880 123 ESTEBAN 03:00 p.m. 1998 2006 #27 11/01/2013 SEPTIEMBRE 9 HOJA 9 SEMANA 9 1890 123 ESTEBAN 04:00 p.m. 1998 2007 #30 12/01/2013 OCTUBRE 10 HOJA 10 SEMANA 10 1900 ESTEBAN 05:00 p.m. 1998 2008 #33 13/01/2013 NOVIEMBRE 11 HOJA 11 SEMANA 11 1910 ESTEBAN 06:00 p.m. 1998 2009 #36 14/01/2013 DICIEMBRE 12 HOJA 12 SEMANA 12 1920 ESTEBAN 07:00 p.m. 1998 2010 #39 15/01/2013 13 HOJA 13 SEMANA 13 1930 ESTEBAN 08:00 p.m. 1998 2011 #42 16/01/2013 14 HOJA 14 SEMANA 14 1940 ESTEBAN 09:00 p.m. 1998 2012 #45 17/01/2013 15 HOJA 15 SEMANA 15 1950 ESTEBAN 10:00 p.m. 1998 2013 #48 18/01/2013 16 HOJA 16 SEMANA 16 1960 ESTEBAN 11:00 p.m. 1998 2014 #51 19/01/2013 17 HOJA 17 SEMANA 17 1970 ESTEBAN 12:00 a.m. 1998 2015 #54 20/01/2013 18 HOJA 18 SEMANA 18 1980 ESTEBAN 01:00 a.m. 1998 2016 #57 21/01/2013 19 HOJA 19 SEMANA 19 1990 ESTEBAN 02:00 a.m. 1998 2017 #60 22/01/2013 20 HOJA 20 SEMANA 2000
  • 2.
    20 03:00 a.m. 19982018 21 HOJA 21 SEMANA 21 2010 04:00 a.m. 1998 2019 22 HOJA 22 SEMANA 22 2020 05:00 a.m. 1998 2020 23 HOJA 23 SEMANA 23 2030 06:00 a.m. 1998 2021 24 HOJA 24 SEMANA 24 2040 07:00 a.m. 1998 2022 25 HOJA 25 SEMANA 25 2050