Pendahuluan :
Pengantar Logika Fuzzy
Pertemuan 1 dan 2
Agenda
1. Logika, Penalaran dan Pengambilan
Keputusan
2. Logika Biner(Klasik) dan logika (fuzzy)
3. Contoh aplikasi menggunakan fuzzy
• Logika fuzzy pertama kali
dikembangkan oleh Lotfi A.
Zadeh melalui tulisannya
pada tahun 1965 tentang
teori himpunan fuzzy.
• Lotfi Asker Zadeh adalah
seorang ilmuwan Amerika
Serikat berkebangsaan Iran
dari Universitas California
di Barkeley,
• Meskipun logika fuzzy dikembangkan di Amerika,
namun ia lebih populer dan banyak diaplikasikan
secara luas oleh praktisi Jepang dengan
mengadaptasikannya ke bidang kendali (control).
• Saat ini banyak dijual produk elektronik buatan
Jepang yang menerapkan prinsip logika fuzzy,
seperti mesin cuci, AC, dan lain-lain.
• Mengapa logika fuzzy yang ditemukan
di Amerika malah lebih banyak
ditemukan aplikasinya di negara
Jepang?
• Salah satu penjelasannya: kultur orang
Barat yang cenderung memandang
suatu persoalan sebagai hitam-putih,
ya-tidak, bersalah-tidak bersalah,
hitam-putih, ya-tidak, bersalah-tidak
bersalah, sukses-gagal, atau yang
setara dengan dunia logika biner( 0,1)
Aristoteles
• Sedangkan kultur orang Timur lebih
dapat menerima dunia “abu-abu” atau
fuzzy.
• Logika fuzzy umumnya diterapkan pada
masalah-masalah yang mengandung unsur
ketidakpastian (uncertainty), ketidaktepatan
(imprecise), noisy, dan sebagainya.
• Logika fuzzy menjembatani bahasa mesin yang
presisi dengan bahasa manusia yang
menekankan pada makna atau arti
(significance).
• Logika fuzzy dikembangkan berdasarkan
bahasa manusia (bahasa alami).
Mengapa Menggunakan Logika Fuzzy?
• Konsep logika fuzzy mudah dimengerti.
• Konsep matematis yang mendasari penalaran fuzzy
sangat sederhana dan mudah dimengerti.
• Logika fuzzy sangat fleksibel
• Logika fuzzy memiliki toleransi terhadap data-data
yang tidak tepat
• Logika fuzzy mampu memodelkan fungsi-fungsi
nonlinier yang sangat komplek
• Logika fuzzy dapat membangun dan
mengaplikasikan pengalaman-pengalaman para
pakar secara langsung tanpa harus melalui proses
pelatihan.
• Logika fuzzy dapat bekerjasama dengan teknik-
teknik kendali secara konvensional.
• Logika fuzzy didasarkan pada bahasa alami.
Himpunan Fuzzy
• Logika fuzzy dikembangkan dari teori himpunan fuzzy.
• Himpunan klasik yang sudah dipelajari selama ini disebut himpunan
tegas (crisp set).
• Di dalam himpunan tegas, keanggotaan suatu unsur di dalam
himpunan dinyatakan secara tegas, apakah objek tersebut anggota
himpunan atau bukan.
• Untuk sembarang himpunan A, sebuah unsur x adalah anggota
himpunan apabila x terdapat atau terdefinisi di dalam A.
Contoh: A = {0, 4, 7, 8, 11}, maka 7  A, tetapi 5  A.
•
8
• Fungsi karakteristik, dilambangkan dengan , mendefinisikan
apakah suatu unsur dari semesta pembicaraan merupakan
anggota suatu himpunan atau bukan:
• Contoh 3.
Misalkan X = {1, 2, 3, 4, 5, 6} dan A  X, yang dalam hal ini A =
{1, 2, 5}. Kita menyatakan A sebagai
A = {(1,1), (2,1), (3,0), (4,0), (5,1), (6,0) }
Keterangan: (2,1) berarti A(2) = 1; (4,0) berarti A(4) = 0,
9






A
x
A
x
x
A
,
0
,
1
)
(

• Sekarang, tinjau V = himpunan kecepatan pelan
(yaitu v  20 km/jam).
• Apakah kecepatan v = 20,01 km/jam termasuk ke
dalam himpunan kecepatan pelan?
• Menurut himpunan tegas, 20,01 km/jam  V, tetapi
menurut himpunan fuzzy, 20,01 km/jam tidak ditolak
ke dalam himpunan V, tetapi diturunkan derajat
keanggotaannya.
10
• Di dalam teori himpunan fuzzy, keanggotaan suatu
elemen di dalam himpunan dinyatakan dengan derajat
keanggotaan (membership values) yang nilainya
terletak di dalam selang [0, 1].
Derajat keanggotaan ditentukan dengan fungsi
keanggotaan fuzzy:
A : X  [0, 1]
bandingkan fungsi keanggotaan pada teori himpunan
tegas:
A : X  {0, 1}
11
Arti derajat keanggotaan:
• jika A(x) = 1, maka x adalah anggota penuh
dari himpunan A
• jika A(x) = 0, maka x bukan anggota
himpunan A
• jika A(x) = , dengan 0 <  < 1, maka x adalah
anggota himpunan A dengan derajat
keanggotaan sebesar .
12
End of first time
Cara-Cara Menuliskan Himpunan Fuzzy:
• Cara 1: Sebagai himpunan pasangan berurutan
A = { (x1, A(x1)), (x2, A(x2)), …, (xn, A(xn)) }
Contoh 5. Misalkan
X = { becak, sepeda motor, mobil kodok(VW), mobil kijang, mobil carry }
A = himpunan kendaraan yang nyaman dipakai untuk bepergian jarak jauh
oleh keluarga besar (terdiri dari ayah, ibu, dan empat orang anak)
Didefinisikan bahwa,
x1 = becak, A(x1) = 0; x2 = sepeda motor, A(x2) = 0.1
x3 = mobil kodok, A(x3) = 0.5; x4 = mobil kijang, A(x4) = 1.0
x5 = mobil carry, A(x5) = 0.8;
maka, dalam himpunan fuzzy,
A = { (becak, 0), (sepeda motor, 0.1), (mobil kodok, 0.5),
(mobil kijang, 1.0), (mobil carry, 0.8) }
13
Cara-Cara Menuliskan Himpunan Fuzzy:
• Cara 2: Dinyatakan dengan menyebut fungsi
keanggotaan.
• Cara ini digunakan bila anggota himpunan fuzzy
bernilai menerus (riil).
Contoh 6. Misalkan
A = himpunan bilangan riil yang dekat dengan 2
maka, dalam himpunan fuzzy,
A = {(x, (x)) | (x) = 1/(1 + (x – 2)2 ) }
14
15
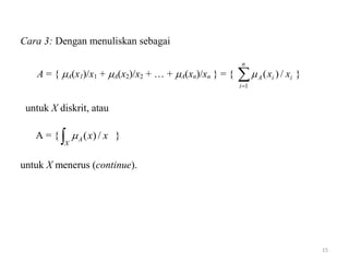
Cara 3: Dengan menuliskan sebagai
A = { A(x1)/x1 + A(x2)/x2 + … + A(xn)/xn } = { 

n
i
i
i
A x
x
1
/
)
(
 }
untuk X diskrit, atau
A = { X
A x
x /
)
(
 }
untuk X menerus (continue).
• Contoh 7.
(i) diskrit
X = himpunan bilangan bulat positif
A = bilangan bulat yang dekat 10
= { 0.1/7 + 0.5/8 + 1.0/10, 0.8/11 + 0.5/12 + 0.1/13 }
(ii) menerus (continue)
X = himpunan bilangan riil positif
A = bilangan riil yang dekat 10
=  1/(1 + (x – 10)2 / x
16
Perbandingan Crisp Set dan Fuzzy Set
• Pada crisp set  batas-batas himpunan tegas
• Pada fuzzt set  batas-batas himpunan kabur
X b X b
A a A a
Crisp Set Fuzzy Set
b  A b  A dengan A(b) = 
17
Komponen-komponen sistem fuzzy:
1. Variabel fuzzy
Contoh: umur, kecepatan, temperatur, dsb
2. Himpunan fuzzy
Grup yang mewakili kondisi tertentu dalam suatu
variabel fuzzy
Contoh: Variabel temperatur air dibagi menjadi 3
himpunan fuzzy: PANAS, DINGIN, SEJUK, dsb
18
KOMPONEN-KOMPONEN HIMPUNAN
FUZZY
3. Semesta pembicaraan
Keseluruhan nilai yang diperbolehkan untuk
dioperasikan dengan variabel fuzzy
Contoh: semesta pembicaraan variabel umur adalah
[0, ]
4. Domain
Keseluruhan nilai yang diperbolehkan untuk
doperasikan dalam suatu himpunan fuzzy
Contoh: DINGIN = [0, 15]
MUDA = [0, 35]
19
• Contoh 8: Misalkan variabel umur dibagi menjadi 3 kategori
MUDA : umur < 35 tahun
PARUHBAYA : 35  umur  55 tahun
TUA : umur > 55 tahun
Crisp Set
(x) (x) (x)
1 1 1
0 x 0 x 0 x
35 35 55 55
Jika x = 34 tahun  MUDA(x) = 1
Jika x = 35,5 tahun  MUDA(x) = 0  Tidak muda
20
Fuzzy Set
(x)
1 MUDA PARUHBAYA TUA
0.50
0.25
0 25 35 40 45 50 55 65 x (umur)
Jika x = 40  MUDA(x) = 0.25, PARUHBAYA(x) = 0.50, TUA(x) = 0
Jika x = 50  MUDA(x) = 0, PARUHBAYA(x) = 0.50, TUA(x) = 0.25
FUZZY SET LEBIH ADIL! 21
Fungsi Keanggotaan
1. Linier naik
(x)
1
x
0 a b
22












b
x
b
x
a
a
b
a
x
a
x
x
;
1
);
/(
)
(
;
0
)
(

a = nilai domain yang
mempunyai derajat
keanggotaan nol
b = nilai domain yang
mempunyai derajat
keanggotaan satu
x = nilai input yang
akan di ubah ke dalam
bilangan fuzzy
2. Linier turun
a = nilai domain yang mempunyai
derajat keanggotaan satu
b = nilai domain yang mempunyai
derajat keanggotaan nol
x = nilai input yang akan di ubah
ke dalam bilangan fuzzy
2. Segitiga
(x)
1
x
0 a b c
24
















c
x
b
b
c
b
x
b
x
a
a
b
a
x
c
x
a
x
x
;
/
)
(
);
/(
)
(
atau
;
0
)
(

3. Trapesium
(x)
1
x
0 a b c d
25




















d
x
c
c
d
x
d
c
x
b
b
x
a
a
b
a
x
d
x
a
x
x
);
/(
)
(
;
1
);
/(
)
(
atau
;
0
)
(

4. Represntasi Kurva S
• Kurva PERTUMBUHAN dan PENYUSUTAN merupakan
kurva-S atau sigmoid y g ang berhubungan dengan
kenaikan dan penurunan permukaan secara tak linear.
• Kurva-S didefinisikan dengan menggunakan 3
parameter, yaitu: nilai keanggotaan nol (0), nilai
keanggotaan lengkap (1), dan titik infleksi atau
crossover (0) yaitu titik yang memiliki domain 50%
50% benar
• Ada 2 keadaan himpunan fuzzy yg tak linear,yaitu :
– Kurva Pertumbuhan
– Kurva Penyusutan
4. 1 Kurva S untuk Pertumbuhan
Kurva-S untuk PERTUMBUHAN akan bergerak dari sisi paling kiri (nilai
keanggotaan = 0) ke sisi paling kanan (nilai keanggotaan = 1).
27


































x
x
x
x
x
x
x
S
;
1
;
))
/(
)
((
2
1
;
)
/(
)
(
2
;
0
)
,
,
;
( 2
2
4.2 Kurva S- PENYUSUTAN
Kurva-S untuk PENYUSUTAN akan bergerak dari sisi paling kanan
(nilai keanggotaan=1) ke sisi paling kiri (nilai keanggotaan=0)
seperti pada gambar
5. Representasi Kurva bentuk Lonceng
(bell Curve)
• Untuk merepresentasikan bilangan fuzzy,
biasanya digunakan kurva berbentuk lonceng,
terbagi atas 3 kelas, yaitu:
– himpunan fuzzy pi
– Himpunan beta
– Himpunan gauss
• Perbedaan ketiga kurva tersebut pada titik
gradiennya (Gradien suatu garis lurus adalah : Perbandingan antara
komponen y (ordinat) dan komponen x (absis) antara dua titik pada garis itu.
Gradien suatu garis biasanya dinotasikan dengan huruf kecil m. )
5.1 Kurva PI
• Kurva PI berbentuk lonceng dengan derajat keanggotaan 1
terletak pada pusat dengan domain (γ =alpha), dan lebar
kurva (β). Nilai kurva untuk suatu nilai domain x diberikan
sebagai, seperti terlihat pada gambar :
5.2 Kurva Lonceng (Beta)
• Yang membedakan kurva lonceng beta dengan jenis kurva lainnya adalah
gmbar kurva lonceng beta umumnya lebih rapat dan kurva ini didefinisikan
dengan 2 parameter (domain).
• Nilai pada domain yang menunjukkan pusat kurva (γ), dan nilai dari
setengah lebar kurva (β) seperti :
5.3 Kurva Gauss
• kurva GAUSS juga menggunakan (γ) untuk menunjukkan nilai
domain pada pusat kurva, dan (k) yang menunjukkan lebar
kurva. Nilai kurva untuk suatu nilai domain x diberikan
sebagai:
e = bilangan eulier
e = 2,7182.
• Contoh persoalan: Sebuah pabrik memproduksi
sepatu setiap hari. Permintaan sepatu dari
distributor tidak tentu, kadang naik dan kadang
turun. Permintaan tertinggi pernah mencapai 5000
pasang/hari, dan permintaan terkecil 1000
pasang/hari. Persediaan sepatu di gudang juga
bervariasi. Paling banyak mencapai 600 pasang/hari,
dan sedikitnya mencapai 100 pasang/hari.
Gambarkan fungsi keanggotaan yang cocok untuk
permintaan dan persediaan sepatu.
33
• Variabel fuzzy: permintaan dan persediaan
• Permintaan  ada 2 himpunan fuzzy: NAIK dan TURUN
TURUN NAIK
1
(x)
x
0 1000 5000
34











5000
;
0
5000
1000
;
4000
5000
1000
;
1
)
(
x
x
x
x
x
TURUN












5000
;
1
5000
1000
;
4000
1000
1000
;
0
)
(
x
x
x
x
x
NAIK

• Persediaan  ada 2 himpunan fuzzy: BANYAK dan SEDIKIT
SEDIKIT BANYAK
1
(x)
y
0 100 600
35











600
;
0
600
100
;
500
600
100
;
1
)
(
y
y
y
y
y
SEDIKIT












600
;
1
600
100
;
500
100
100
;
0
)
(
y
y
y
y
y
BANYAK

• Jika permintaan = 4000 pasang sepatu, maka
36
75
.
0
4000
1000
4000
)
4000
( 


NAIK

25
.
0
4000
4000
5000
)
4000
( 


TURUN

Evaluasi
• 1)Apa yang dimaksud dengan fuzzy logic?
• 2) Apa yang dimaksud dengan Fuzzy set?
• 3) slide dibawah dikerjakan
• Soal 7. Sebuah pabrik memproduksi tas anak2 setiap
hari. Permintaan tas dari distributor tidak tentu,
kadang naik dan kadang turun. Permintaan tertinggi
pernah mencapai 7500 pasang/hari, dan permintaan
terkecil 1000 pasang/hari. Persediaan tas di gudang
juga bervariasi. Paling banyak mencapai 500
pasang/hari, dan sedikitnya mencapai 150
pasang/hari.
1)Sebutkan komponen2 fuzzy dari soal diatas.
2)Gambarkan fungsi keanggotaan yang cocok untuk
permintaan dan persediaan tas
3) Hitung  dari - permintaan 5000
- persediaan 100 38
Refferensi
• Sri Kusumadewi, Hari Purnomo, Aplikasi Logika
Fuzzy untuk Pendukung Keputusan, Graha Ilmu
• S. N. Sivanandam, S. Sumathi and S. N. Deepa,
“Introduction to Fuzzy Logic using MATLAB”, 2007
• Ahmad M. Ibrahim, “Fuzzy Logic for Embedded
System Applications”, Elsevier, 2004
• Kwang H. Lee, “First Course on Fuzzy Theory and
Applications”, 2005
• Sri Kusumadewi, “Fuzzy Multi Attribute Decision
Making”, Graha Ilmu

pert1_2fuzzy.pptx

  • 1.
    Pendahuluan : Pengantar LogikaFuzzy Pertemuan 1 dan 2
  • 2.
    Agenda 1. Logika, Penalarandan Pengambilan Keputusan 2. Logika Biner(Klasik) dan logika (fuzzy) 3. Contoh aplikasi menggunakan fuzzy
  • 3.
    • Logika fuzzypertama kali dikembangkan oleh Lotfi A. Zadeh melalui tulisannya pada tahun 1965 tentang teori himpunan fuzzy. • Lotfi Asker Zadeh adalah seorang ilmuwan Amerika Serikat berkebangsaan Iran dari Universitas California di Barkeley,
  • 4.
    • Meskipun logikafuzzy dikembangkan di Amerika, namun ia lebih populer dan banyak diaplikasikan secara luas oleh praktisi Jepang dengan mengadaptasikannya ke bidang kendali (control). • Saat ini banyak dijual produk elektronik buatan Jepang yang menerapkan prinsip logika fuzzy, seperti mesin cuci, AC, dan lain-lain.
  • 5.
    • Mengapa logikafuzzy yang ditemukan di Amerika malah lebih banyak ditemukan aplikasinya di negara Jepang? • Salah satu penjelasannya: kultur orang Barat yang cenderung memandang suatu persoalan sebagai hitam-putih, ya-tidak, bersalah-tidak bersalah, hitam-putih, ya-tidak, bersalah-tidak bersalah, sukses-gagal, atau yang setara dengan dunia logika biner( 0,1) Aristoteles • Sedangkan kultur orang Timur lebih dapat menerima dunia “abu-abu” atau fuzzy.
  • 6.
    • Logika fuzzyumumnya diterapkan pada masalah-masalah yang mengandung unsur ketidakpastian (uncertainty), ketidaktepatan (imprecise), noisy, dan sebagainya. • Logika fuzzy menjembatani bahasa mesin yang presisi dengan bahasa manusia yang menekankan pada makna atau arti (significance). • Logika fuzzy dikembangkan berdasarkan bahasa manusia (bahasa alami).
  • 7.
    Mengapa Menggunakan LogikaFuzzy? • Konsep logika fuzzy mudah dimengerti. • Konsep matematis yang mendasari penalaran fuzzy sangat sederhana dan mudah dimengerti. • Logika fuzzy sangat fleksibel • Logika fuzzy memiliki toleransi terhadap data-data yang tidak tepat • Logika fuzzy mampu memodelkan fungsi-fungsi nonlinier yang sangat komplek • Logika fuzzy dapat membangun dan mengaplikasikan pengalaman-pengalaman para pakar secara langsung tanpa harus melalui proses pelatihan. • Logika fuzzy dapat bekerjasama dengan teknik- teknik kendali secara konvensional. • Logika fuzzy didasarkan pada bahasa alami.
  • 8.
    Himpunan Fuzzy • Logikafuzzy dikembangkan dari teori himpunan fuzzy. • Himpunan klasik yang sudah dipelajari selama ini disebut himpunan tegas (crisp set). • Di dalam himpunan tegas, keanggotaan suatu unsur di dalam himpunan dinyatakan secara tegas, apakah objek tersebut anggota himpunan atau bukan. • Untuk sembarang himpunan A, sebuah unsur x adalah anggota himpunan apabila x terdapat atau terdefinisi di dalam A. Contoh: A = {0, 4, 7, 8, 11}, maka 7  A, tetapi 5  A. • 8
  • 9.
    • Fungsi karakteristik,dilambangkan dengan , mendefinisikan apakah suatu unsur dari semesta pembicaraan merupakan anggota suatu himpunan atau bukan: • Contoh 3. Misalkan X = {1, 2, 3, 4, 5, 6} dan A  X, yang dalam hal ini A = {1, 2, 5}. Kita menyatakan A sebagai A = {(1,1), (2,1), (3,0), (4,0), (5,1), (6,0) } Keterangan: (2,1) berarti A(2) = 1; (4,0) berarti A(4) = 0, 9       A x A x x A , 0 , 1 ) ( 
  • 10.
    • Sekarang, tinjauV = himpunan kecepatan pelan (yaitu v  20 km/jam). • Apakah kecepatan v = 20,01 km/jam termasuk ke dalam himpunan kecepatan pelan? • Menurut himpunan tegas, 20,01 km/jam  V, tetapi menurut himpunan fuzzy, 20,01 km/jam tidak ditolak ke dalam himpunan V, tetapi diturunkan derajat keanggotaannya. 10
  • 11.
    • Di dalamteori himpunan fuzzy, keanggotaan suatu elemen di dalam himpunan dinyatakan dengan derajat keanggotaan (membership values) yang nilainya terletak di dalam selang [0, 1]. Derajat keanggotaan ditentukan dengan fungsi keanggotaan fuzzy: A : X  [0, 1] bandingkan fungsi keanggotaan pada teori himpunan tegas: A : X  {0, 1} 11
  • 12.
    Arti derajat keanggotaan: •jika A(x) = 1, maka x adalah anggota penuh dari himpunan A • jika A(x) = 0, maka x bukan anggota himpunan A • jika A(x) = , dengan 0 <  < 1, maka x adalah anggota himpunan A dengan derajat keanggotaan sebesar . 12 End of first time
  • 13.
    Cara-Cara Menuliskan HimpunanFuzzy: • Cara 1: Sebagai himpunan pasangan berurutan A = { (x1, A(x1)), (x2, A(x2)), …, (xn, A(xn)) } Contoh 5. Misalkan X = { becak, sepeda motor, mobil kodok(VW), mobil kijang, mobil carry } A = himpunan kendaraan yang nyaman dipakai untuk bepergian jarak jauh oleh keluarga besar (terdiri dari ayah, ibu, dan empat orang anak) Didefinisikan bahwa, x1 = becak, A(x1) = 0; x2 = sepeda motor, A(x2) = 0.1 x3 = mobil kodok, A(x3) = 0.5; x4 = mobil kijang, A(x4) = 1.0 x5 = mobil carry, A(x5) = 0.8; maka, dalam himpunan fuzzy, A = { (becak, 0), (sepeda motor, 0.1), (mobil kodok, 0.5), (mobil kijang, 1.0), (mobil carry, 0.8) } 13 Cara-Cara Menuliskan Himpunan Fuzzy:
  • 14.
    • Cara 2:Dinyatakan dengan menyebut fungsi keanggotaan. • Cara ini digunakan bila anggota himpunan fuzzy bernilai menerus (riil). Contoh 6. Misalkan A = himpunan bilangan riil yang dekat dengan 2 maka, dalam himpunan fuzzy, A = {(x, (x)) | (x) = 1/(1 + (x – 2)2 ) } 14
  • 15.
    15 Cara 3: Denganmenuliskan sebagai A = { A(x1)/x1 + A(x2)/x2 + … + A(xn)/xn } = {   n i i i A x x 1 / ) (  } untuk X diskrit, atau A = { X A x x / ) (  } untuk X menerus (continue).
  • 16.
    • Contoh 7. (i)diskrit X = himpunan bilangan bulat positif A = bilangan bulat yang dekat 10 = { 0.1/7 + 0.5/8 + 1.0/10, 0.8/11 + 0.5/12 + 0.1/13 } (ii) menerus (continue) X = himpunan bilangan riil positif A = bilangan riil yang dekat 10 =  1/(1 + (x – 10)2 / x 16
  • 17.
    Perbandingan Crisp Setdan Fuzzy Set • Pada crisp set  batas-batas himpunan tegas • Pada fuzzt set  batas-batas himpunan kabur X b X b A a A a Crisp Set Fuzzy Set b  A b  A dengan A(b) =  17
  • 18.
    Komponen-komponen sistem fuzzy: 1.Variabel fuzzy Contoh: umur, kecepatan, temperatur, dsb 2. Himpunan fuzzy Grup yang mewakili kondisi tertentu dalam suatu variabel fuzzy Contoh: Variabel temperatur air dibagi menjadi 3 himpunan fuzzy: PANAS, DINGIN, SEJUK, dsb 18 KOMPONEN-KOMPONEN HIMPUNAN FUZZY
  • 19.
    3. Semesta pembicaraan Keseluruhannilai yang diperbolehkan untuk dioperasikan dengan variabel fuzzy Contoh: semesta pembicaraan variabel umur adalah [0, ] 4. Domain Keseluruhan nilai yang diperbolehkan untuk doperasikan dalam suatu himpunan fuzzy Contoh: DINGIN = [0, 15] MUDA = [0, 35] 19
  • 20.
    • Contoh 8:Misalkan variabel umur dibagi menjadi 3 kategori MUDA : umur < 35 tahun PARUHBAYA : 35  umur  55 tahun TUA : umur > 55 tahun Crisp Set (x) (x) (x) 1 1 1 0 x 0 x 0 x 35 35 55 55 Jika x = 34 tahun  MUDA(x) = 1 Jika x = 35,5 tahun  MUDA(x) = 0  Tidak muda 20
  • 21.
    Fuzzy Set (x) 1 MUDAPARUHBAYA TUA 0.50 0.25 0 25 35 40 45 50 55 65 x (umur) Jika x = 40  MUDA(x) = 0.25, PARUHBAYA(x) = 0.50, TUA(x) = 0 Jika x = 50  MUDA(x) = 0, PARUHBAYA(x) = 0.50, TUA(x) = 0.25 FUZZY SET LEBIH ADIL! 21
  • 22.
    Fungsi Keanggotaan 1. Liniernaik (x) 1 x 0 a b 22             b x b x a a b a x a x x ; 1 ); /( ) ( ; 0 ) (  a = nilai domain yang mempunyai derajat keanggotaan nol b = nilai domain yang mempunyai derajat keanggotaan satu x = nilai input yang akan di ubah ke dalam bilangan fuzzy
  • 23.
    2. Linier turun a= nilai domain yang mempunyai derajat keanggotaan satu b = nilai domain yang mempunyai derajat keanggotaan nol x = nilai input yang akan di ubah ke dalam bilangan fuzzy
  • 24.
    2. Segitiga (x) 1 x 0 ab c 24                 c x b b c b x b x a a b a x c x a x x ; / ) ( ); /( ) ( atau ; 0 ) ( 
  • 25.
    3. Trapesium (x) 1 x 0 ab c d 25                     d x c c d x d c x b b x a a b a x d x a x x ); /( ) ( ; 1 ); /( ) ( atau ; 0 ) ( 
  • 26.
    4. Represntasi KurvaS • Kurva PERTUMBUHAN dan PENYUSUTAN merupakan kurva-S atau sigmoid y g ang berhubungan dengan kenaikan dan penurunan permukaan secara tak linear. • Kurva-S didefinisikan dengan menggunakan 3 parameter, yaitu: nilai keanggotaan nol (0), nilai keanggotaan lengkap (1), dan titik infleksi atau crossover (0) yaitu titik yang memiliki domain 50% 50% benar • Ada 2 keadaan himpunan fuzzy yg tak linear,yaitu : – Kurva Pertumbuhan – Kurva Penyusutan
  • 27.
    4. 1 KurvaS untuk Pertumbuhan Kurva-S untuk PERTUMBUHAN akan bergerak dari sisi paling kiri (nilai keanggotaan = 0) ke sisi paling kanan (nilai keanggotaan = 1). 27                                   x x x x x x x S ; 1 ; )) /( ) (( 2 1 ; ) /( ) ( 2 ; 0 ) , , ; ( 2 2
  • 28.
    4.2 Kurva S-PENYUSUTAN Kurva-S untuk PENYUSUTAN akan bergerak dari sisi paling kanan (nilai keanggotaan=1) ke sisi paling kiri (nilai keanggotaan=0) seperti pada gambar
  • 29.
    5. Representasi Kurvabentuk Lonceng (bell Curve) • Untuk merepresentasikan bilangan fuzzy, biasanya digunakan kurva berbentuk lonceng, terbagi atas 3 kelas, yaitu: – himpunan fuzzy pi – Himpunan beta – Himpunan gauss • Perbedaan ketiga kurva tersebut pada titik gradiennya (Gradien suatu garis lurus adalah : Perbandingan antara komponen y (ordinat) dan komponen x (absis) antara dua titik pada garis itu. Gradien suatu garis biasanya dinotasikan dengan huruf kecil m. )
  • 30.
    5.1 Kurva PI •Kurva PI berbentuk lonceng dengan derajat keanggotaan 1 terletak pada pusat dengan domain (γ =alpha), dan lebar kurva (β). Nilai kurva untuk suatu nilai domain x diberikan sebagai, seperti terlihat pada gambar :
  • 31.
    5.2 Kurva Lonceng(Beta) • Yang membedakan kurva lonceng beta dengan jenis kurva lainnya adalah gmbar kurva lonceng beta umumnya lebih rapat dan kurva ini didefinisikan dengan 2 parameter (domain). • Nilai pada domain yang menunjukkan pusat kurva (γ), dan nilai dari setengah lebar kurva (β) seperti :
  • 32.
    5.3 Kurva Gauss •kurva GAUSS juga menggunakan (γ) untuk menunjukkan nilai domain pada pusat kurva, dan (k) yang menunjukkan lebar kurva. Nilai kurva untuk suatu nilai domain x diberikan sebagai: e = bilangan eulier e = 2,7182.
  • 33.
    • Contoh persoalan:Sebuah pabrik memproduksi sepatu setiap hari. Permintaan sepatu dari distributor tidak tentu, kadang naik dan kadang turun. Permintaan tertinggi pernah mencapai 5000 pasang/hari, dan permintaan terkecil 1000 pasang/hari. Persediaan sepatu di gudang juga bervariasi. Paling banyak mencapai 600 pasang/hari, dan sedikitnya mencapai 100 pasang/hari. Gambarkan fungsi keanggotaan yang cocok untuk permintaan dan persediaan sepatu. 33
  • 34.
    • Variabel fuzzy:permintaan dan persediaan • Permintaan  ada 2 himpunan fuzzy: NAIK dan TURUN TURUN NAIK 1 (x) x 0 1000 5000 34            5000 ; 0 5000 1000 ; 4000 5000 1000 ; 1 ) ( x x x x x TURUN             5000 ; 1 5000 1000 ; 4000 1000 1000 ; 0 ) ( x x x x x NAIK 
  • 35.
    • Persediaan ada 2 himpunan fuzzy: BANYAK dan SEDIKIT SEDIKIT BANYAK 1 (x) y 0 100 600 35            600 ; 0 600 100 ; 500 600 100 ; 1 ) ( y y y y y SEDIKIT             600 ; 1 600 100 ; 500 100 100 ; 0 ) ( y y y y y BANYAK 
  • 36.
    • Jika permintaan= 4000 pasang sepatu, maka 36 75 . 0 4000 1000 4000 ) 4000 (    NAIK  25 . 0 4000 4000 5000 ) 4000 (    TURUN 
  • 37.
    Evaluasi • 1)Apa yangdimaksud dengan fuzzy logic? • 2) Apa yang dimaksud dengan Fuzzy set? • 3) slide dibawah dikerjakan
  • 38.
    • Soal 7.Sebuah pabrik memproduksi tas anak2 setiap hari. Permintaan tas dari distributor tidak tentu, kadang naik dan kadang turun. Permintaan tertinggi pernah mencapai 7500 pasang/hari, dan permintaan terkecil 1000 pasang/hari. Persediaan tas di gudang juga bervariasi. Paling banyak mencapai 500 pasang/hari, dan sedikitnya mencapai 150 pasang/hari. 1)Sebutkan komponen2 fuzzy dari soal diatas. 2)Gambarkan fungsi keanggotaan yang cocok untuk permintaan dan persediaan tas 3) Hitung  dari - permintaan 5000 - persediaan 100 38
  • 39.
    Refferensi • Sri Kusumadewi,Hari Purnomo, Aplikasi Logika Fuzzy untuk Pendukung Keputusan, Graha Ilmu • S. N. Sivanandam, S. Sumathi and S. N. Deepa, “Introduction to Fuzzy Logic using MATLAB”, 2007 • Ahmad M. Ibrahim, “Fuzzy Logic for Embedded System Applications”, Elsevier, 2004 • Kwang H. Lee, “First Course on Fuzzy Theory and Applications”, 2005 • Sri Kusumadewi, “Fuzzy Multi Attribute Decision Making”, Graha Ilmu

Editor's Notes

  • #10 *keterangan : (2,1) adalah angka 2 termasuk himpunan A, sedangkan (4,0) adalah angka 4 bukan termasuk himpunan A