Download free for 30 days
Sign in
Upload
Language (EN)
Support
Business
Mobile
Social Media
Marketing
Technology
Art & Photos
Career
Design
Education
Presentations & Public Speaking
Government & Nonprofit
Healthcare
Internet
Law
Leadership & Management
Automotive
Engineering
Software
Recruiting & HR
Retail
Sales
Services
Science
Small Business & Entrepreneurship
Food
Environment
Economy & Finance
Data & Analytics
Investor Relations
Sports
Spiritual
News & Politics
Travel
Self Improvement
Real Estate
Entertainment & Humor
Health & Medicine
Devices & Hardware
Lifestyle
Change Language
Language
English
Español
Português
Français
Deutsche
Cancel
Save
EN
RL
Uploaded by
R L
PDF, PPTX
7 views
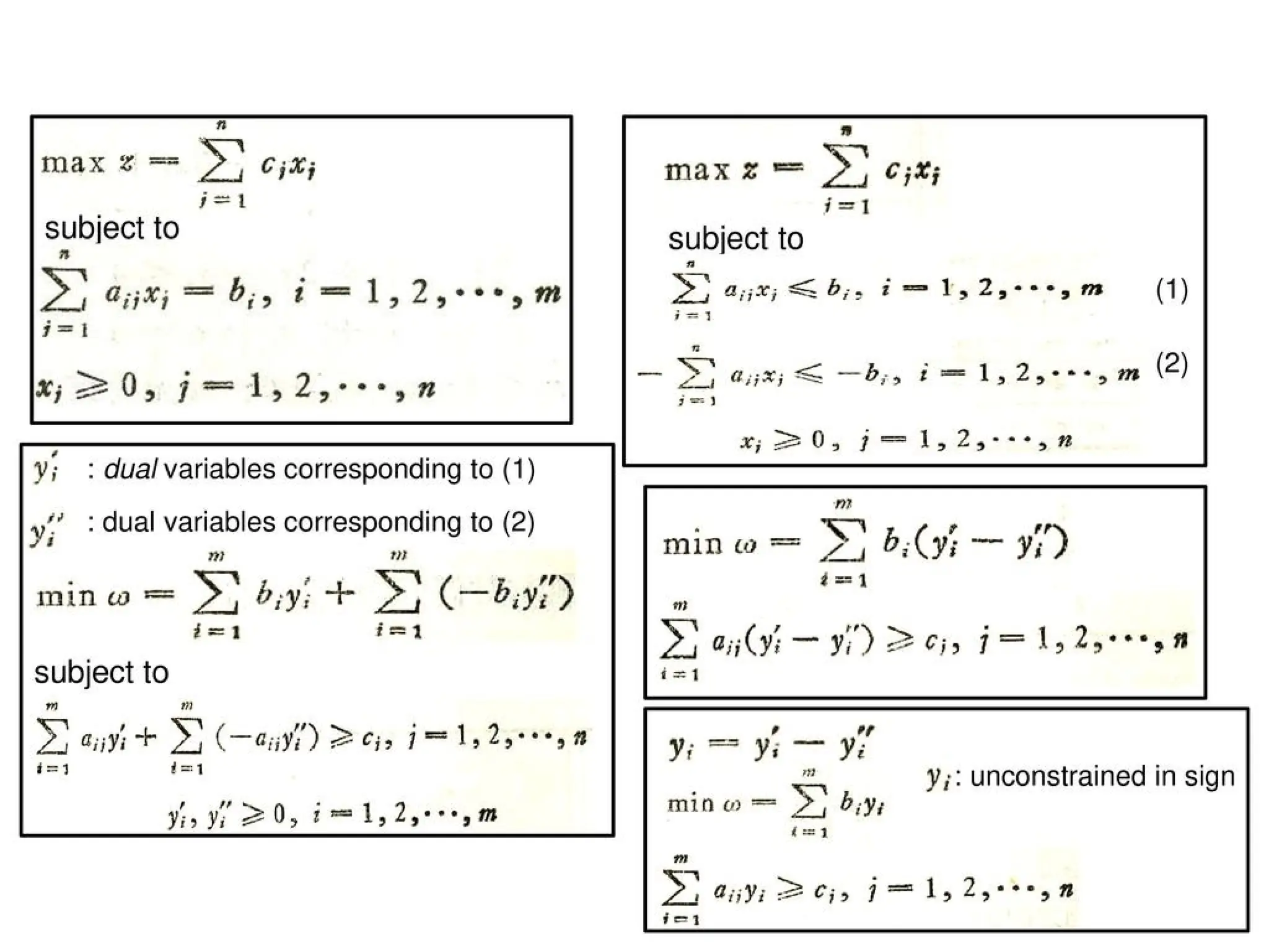
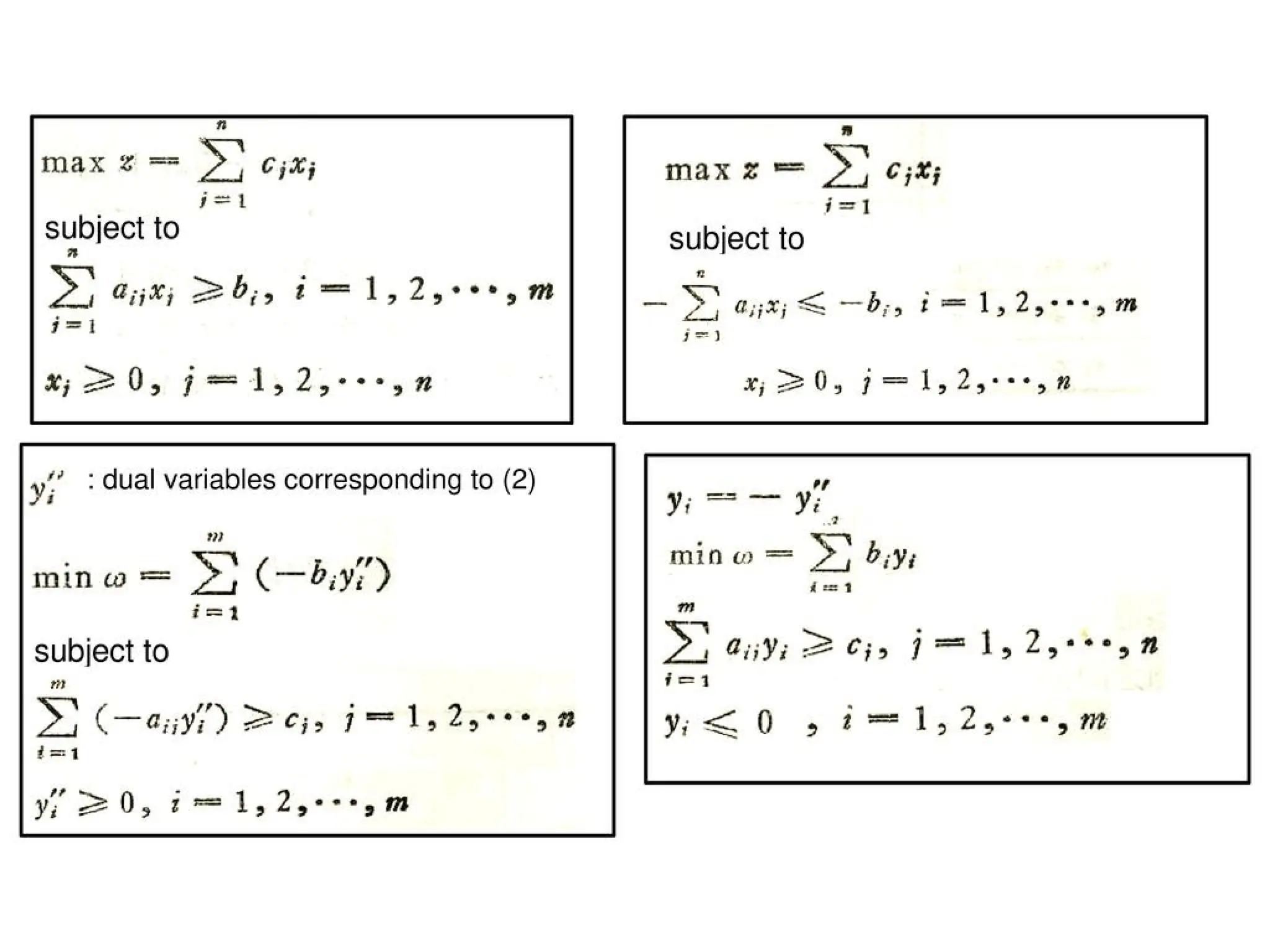
Optimization (Linear Programming) - Operations Research
Operations Research topic.
Science
◦
Read more
0
Save
Share
Embed
Embed presentation
Download
Download as PDF, PPTX
1
/ 79
2
/ 79
3
/ 79
4
/ 79
5
/ 79
6
/ 79
7
/ 79
8
/ 79
9
/ 79
10
/ 79
11
/ 79
12
/ 79
13
/ 79
14
/ 79
15
/ 79
16
/ 79
17
/ 79
18
/ 79
19
/ 79
20
/ 79
21
/ 79
22
/ 79
23
/ 79
24
/ 79
25
/ 79
26
/ 79
27
/ 79
28
/ 79
29
/ 79
30
/ 79
31
/ 79
32
/ 79
33
/ 79
34
/ 79
35
/ 79
36
/ 79
37
/ 79
38
/ 79
39
/ 79
40
/ 79
41
/ 79
42
/ 79
43
/ 79
44
/ 79
45
/ 79
46
/ 79
47
/ 79
48
/ 79
49
/ 79
50
/ 79
51
/ 79
52
/ 79
53
/ 79
54
/ 79
55
/ 79
56
/ 79
57
/ 79
58
/ 79
59
/ 79
60
/ 79
61
/ 79
62
/ 79
63
/ 79
64
/ 79
65
/ 79
66
/ 79
67
/ 79
68
/ 79
69
/ 79
70
/ 79
71
/ 79
72
/ 79
73
/ 79
74
/ 79
75
/ 79
76
/ 79
77
/ 79
78
/ 79
79
/ 79
More Related Content
PDF
THE NOISE POLLUTION (REGULATION AND CONTROL) RULES, 2000, India
by
R L
PDF
Noise Rules Uttarakhand - Hindi with non official translation in description
by
R L
PDF
Noise Rules Uttarakhand - Non official English Translation
by
R L
PDF
Transactions intro and concurrency control
by
R L
PPTX
Chapter 2 - Intro to relational model - DSC
by
R L
PPTX
Game theory lecture slides - definition, classification
by
R L
PPTX
G1.pptx - lecture slides - definition, classification
by
R L
PPTX
game-theory lecture slides - definition, classification
by
R L
THE NOISE POLLUTION (REGULATION AND CONTROL) RULES, 2000, India
by
R L
Noise Rules Uttarakhand - Hindi with non official translation in description
by
R L
Noise Rules Uttarakhand - Non official English Translation
by
R L
Transactions intro and concurrency control
by
R L
Chapter 2 - Intro to relational model - DSC
by
R L
Game theory lecture slides - definition, classification
by
R L
G1.pptx - lecture slides - definition, classification
by
R L
game-theory lecture slides - definition, classification
by
R L
More from R L
PDF
Transportation And Assignment Problems - Operations Research
by
R L
PDF
Branch-and-Bound Technique for Solving Integer Programs
by
R L
PPTX
Integer Programming - Operations Research
by
R L
PDF
Integer Programming - MNIT Jaipur - Taha et al
by
R L
PPTX
Decision Models - BU.520.601 - Summer 2013
by
R L
PDF
Normalization - Chapter 7b - Database System Concepts
by
R L
PDF
Decision Models - Sensitivity Analysis (2013)
by
R L
PPT
Simplex Method for Linear Programming - Operations Research
by
R L
PDF
Introduction to Operations Research - History, Tools, Limitations
by
R L
PDF
Scalable stream processing with Apache Kafka and Apache Samza
by
R L
Transportation And Assignment Problems - Operations Research
by
R L
Branch-and-Bound Technique for Solving Integer Programs
by
R L
Integer Programming - Operations Research
by
R L
Integer Programming - MNIT Jaipur - Taha et al
by
R L
Decision Models - BU.520.601 - Summer 2013
by
R L
Normalization - Chapter 7b - Database System Concepts
by
R L
Decision Models - Sensitivity Analysis (2013)
by
R L
Simplex Method for Linear Programming - Operations Research
by
R L
Introduction to Operations Research - History, Tools, Limitations
by
R L
Scalable stream processing with Apache Kafka and Apache Samza
by
R L
Recently uploaded
PDF
Machine Learning Lectures - Loss Functions (1)
by
Zahra Sadeghi
PDF
PPT-Boyles-Law.pdf Grade ten science sub
by
jmjcrc67
PPTX
PPT-Template-Seminar Proposal Skripsi POLINEMA 2025.pptx
by
9arifiansyah
PDF
Machine Learning Lectures -- Support Vector Machine (SVM)
by
Zahra Sadeghi
PPT
Grade 8 - Chemistry - Acids and Alkalis.ppt
by
Enas813292
PPTX
TOPIC - DROUGHT PRIMING AND STRESS MEMORY
by
Abhishekkumawat67
PDF
Machine Learning Lectures Multi layer Neural Networks
by
Zahra Sadeghi
PPTX
Phytoextraction_Detail_Presentation-pptx
by
vidhya1172005
PDF
BIOREMEDIATION -MICROBIAL LEACHING OF ORES AND ITS PROCESS
by
swethaviji2005
PDF
Visible-light-presentation_20250831_103200_0000.pdf
by
SamIntal
PPTX
Phytoextraction , Bioremediation . pptx
by
swathin2411
PDF
谷歌留痕技术 [ 𝙩𝙤𝙥 𝟮𝟯𝟯. 𝙘 𝙤𝙢 ]
by
6stynggfo
PDF
Rapid diagnosis and contamination of seafood and aquaculture products
by
Girija90
PDF
S. Dharshini ( Msc. Microbiology) Microbial aspects and Metabolic aspects.
by
dharshinisampath6
PPTX
Celebrating Breakthroughs in Metal Organic Frameworks - A Poster Showcasing t...
by
RunjhunDutta
PPTX
THE FUTURE OF ROBOTICS PowerPoint presentation.pptx
by
0001aditibasu
PDF
UNIT I Stereoisomerism (Pharmaceutical Organic Chemistry III)
by
ssjsphs
PPTX
Water treatment BOD and COD , dissolved gases
by
NandhiniV90
PPTX
Phytoextraction_Detailed_Presentation-1.pptx
by
vidhya1172005
PDF
Secondary waste water treatment using membrane bioreactor
by
kavyaboopa07
Machine Learning Lectures - Loss Functions (1)
by
Zahra Sadeghi
PPT-Boyles-Law.pdf Grade ten science sub
by
jmjcrc67
PPT-Template-Seminar Proposal Skripsi POLINEMA 2025.pptx
by
9arifiansyah
Machine Learning Lectures -- Support Vector Machine (SVM)
by
Zahra Sadeghi
Grade 8 - Chemistry - Acids and Alkalis.ppt
by
Enas813292
TOPIC - DROUGHT PRIMING AND STRESS MEMORY
by
Abhishekkumawat67
Machine Learning Lectures Multi layer Neural Networks
by
Zahra Sadeghi
Phytoextraction_Detail_Presentation-pptx
by
vidhya1172005
BIOREMEDIATION -MICROBIAL LEACHING OF ORES AND ITS PROCESS
by
swethaviji2005
Visible-light-presentation_20250831_103200_0000.pdf
by
SamIntal
Phytoextraction , Bioremediation . pptx
by
swathin2411
谷歌留痕技术 [ 𝙩𝙤𝙥 𝟮𝟯𝟯. 𝙘 𝙤𝙢 ]
by
6stynggfo
Rapid diagnosis and contamination of seafood and aquaculture products
by
Girija90
S. Dharshini ( Msc. Microbiology) Microbial aspects and Metabolic aspects.
by
dharshinisampath6
Celebrating Breakthroughs in Metal Organic Frameworks - A Poster Showcasing t...
by
RunjhunDutta
THE FUTURE OF ROBOTICS PowerPoint presentation.pptx
by
0001aditibasu
UNIT I Stereoisomerism (Pharmaceutical Organic Chemistry III)
by
ssjsphs
Water treatment BOD and COD , dissolved gases
by
NandhiniV90
Phytoextraction_Detailed_Presentation-1.pptx
by
vidhya1172005
Secondary waste water treatment using membrane bioreactor
by
kavyaboopa07
Download