Unidad 5

Nucleótidos y ácidos nucleicos
1.
2.
3.
4.
5.
6.
7.

Nucleósidos y nucleótidos
Nucleótidos de interés biológico
Polinucleótidos. Ácidos nucleicos
Estructura del ARN
Estructura del ADN
Variaciones en la estructura del ADN
La cromatina

I.E.S. Los Boliches
Biología 2º Bachillerato
*Nucleósidos: son el resultado de la
unión de una base nitrogenada con la
ribosa o con la desoxirribosa mediante un
enlace β-N-glucosídico. Este enlace se
establece entre el N-9 de las púricas o el
N-1 de las pirimidínicas y el C-1' de la
pentosa (indicamos 1', 2', etc. en lugar de 1, 2, etc.
para evitar confusión con la numeración de los
átomos de la base).

*Nucleótidos: son ésteres fosforilados de
los nucleósidos, por lo que a veces se les
denomina nucleósidos-fosfato. Podría
producirse el éster con los hidroxilos 2', 3' y 5'
de los ribonucleótidos o con los 3' y 5' de los
desoxirribonucleótidos. Sin embargo los 2'
fosfato y los 3' fosfato son escasos.
La presencia de fosfato confiere carácter
ácido a la molécula de los nucleótidos.

Ejemplos
Ejemplo de ribonucleótido trifosfatado:

H+
La presencia de fosfato confiere
carácter ácido a la molécula de los
nucleótidos

H+

H+
Fosfatos de adenosina (adenosín fosfatos)
Intervienen en las reacciones metabólicas en que se libera o consume energía, ya
que los enlaces entre fosfatos de los nucleótidos acumulan energía química que
puede transferirse a otras sustancias cuando dichos enlaces se hidrolizan:

ATP + H2O
ADP + H2O

ADP + Pi + Energía
AMP + Pi + Energía

De igual manera, la energía desprendida en muchas reacciones químicas y procesos fisiológicos
puede aprovecharse para sintetizar las formas energéticas de los adenosín-fosfatos:

AMP + Pi + Energía
ADP + Pi + Energía

ADP + H2O
ATP + H2O

El ATP es denominado a menudo “la moneda energética de la célula”
El AMP cíclico (AMPc)
Denominado “segundo mensajero” en la recepción
de señales por parte de la célula.

El grupo fosfato
forma enlaces éster
con los carbonos 5´
y 3´ de la ribosa
oxidado

Nicotinamida

NAD
AMP

reducido

oxidado

reducido
Coenzimas derivadas de nucleótidos

Coenzima A (CoA)
Derivado del ADP con
ácido pantoténico (vit. B5)
y b-aminoetanotiol
Interviene en la activación
de los ácidos orgánicos
(ác. grasos…) para su
metabolismo
La CoA se enlaza con
ácidos orgánicos
mediante la formación
de enlaces tio-éster:
R-CO-SCoA

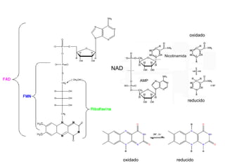
Flavín nucleótidos (FMN, FAD)
Piridín nucleótidos (NAD, NADP)
Coenzima A
3.- Polinucleótidos. Ácidos nucleicos
Polinucleótido = polímero de nucleótidos
unidos por enlaces fosfodiéster

Estructura de un polirribonucleótido
3.- Polinucleótidos. Ácidos nucleicos
Polinucleótido = polímero de nucleótidos
unidos por enlaces fosfodiéster

Estructura de un polirribonucleótido
3.- Polinucleótidos. Ácidos nucleicos
Polinucleótido = polímero de nucleótidos
unidos por enlaces fosfodiéster
El grupo fosfato de un
nucleótido (que estaba
unido al C 5´ de la
pentosa), se une
también por un enlace
éster al C 3´ del
nucleótido siguiente.

Lateralmente
quedan las
bases
nitrogenadas

Estructura de un polirribonucleótido

Cadena en la que alternan las pentosas y los Pi
3.- Polinucleótidos. Ácidos nucleicos
P

Extremo 5´

O
L
A
R

(No estamos hablando de polaridad eléctrica)

I
D
A
D

Extremo 3´
5´- 3´
3.- Polinucleótidos. Ácidos nucleicos
Con ribosa => POLIRRIBONUCLEOTIDOS => ARN ( = RNA ) (varios tipos)
Con desoxirribosa => POLIDESOXIRRIBONUCLEÓTIDOS = ADN ( = DNA)
ATTCGCGGCATTAATCCGATACCTAGTACCGCGGATTTAAACATGGATC
TAAGCGCCGTAATTAGGCTATGGATCATGGCGCCTAAATTTGTACCTAG
Cuando va a copiarse el ADN ocurre esto:

1º se abre la doble cadena:
ATTCGCGGCATTAATCCGATACCTAGTACCGCGGATTTAAACATGGATC
ATTCGCGGCATTAATCCG
TAAGCGCCGTAATTAGGC
TAAGCGCCGTAATTAGGCTATGGATCATGGCGCCTAAATTTGTACCTAG

2º se van añadiendo nuevas letras, de forma complementaria:
ATTCGCGGCATTAATCCGATACCTAGTACCGCGGATTTAAACATGGATC
GTACCTAG
ATTCGCGGCATTAATCCG
T
C
T
A
TAAGCGCCGTAATTAGGC ATACCTAGT
TAAGCGCCGTAATTAGGCTATGGATCATGGCGCCTAAATTTGTACCTAG
La doble cadena se
terminará abriendo del todo

C
CA

T
ATTCGCGGCATTAATCCGATACCTAGTACCGCGGATTTAAACATGGATC
TAAGCGCCGTAATTAGGCTATGGATCATGGCGCCTAAATTTGTACCTAG
Cuando va a copiarse el ADN ocurre esto:

1º se abre la doble cadena:
ATTCGCGGCATTAATCCGATACCTAGTACCGCGGATTTAAACATGGATC
ATTCGCGGCATTAATCCG
TAAGCGCCGTAATTAGGC
TAAGCGCCGTAATTAGGCTATGGATCATGGCGCCTAAATTTGTACCTAG

2º se van añadiendo nuevas letras, de forma complementaria:
ATTCGCGGCATTAATCCGATACCTAGTACCGCGGATTTAAACATGGATC
GTACCTAG
ATTCGCGGCATTAATCCG
T
C
T
A
TAAGCGCCGTAATTAGGC ATACCTAGT
TAAGCGCCGTAATTAGGCTATGGATCATGGCGCCTAAATTTGTACCTAG
La doble cadena se
terminará abriendo del todo

C
CA

T
3º Continúa el proceso de añadir “letras” hasta formarse
dos doble cadenas hijas, idénticas a la original:
ATTCGCGGCATTAATCCGATACCTAGTACCGCGGATTTAAACATGGATC
TAAGCGCCGTAATTAGGCTATGGATCATGGCGCCTAAATTTGTACCTAG
ATTCGCGGCATTAATCCGATACCTAGTACCGCGGATTTAAACATGGATC
TAAGCGCCGTAATTAGGCTATGGATCATGGCGCCTAAATTTGTACCTAG
En rojo se muestran las nuevas “letras” que se han ido uniendo
de la manera “correcta” o complementaria (A con T y C con G).
De este modo, cada una de las cadenas
originales ha ser vido de MOLDE par a cr ear otr a
A veces se producen errores en este proceso, dando lugar a
genes alterados, distintos al original. Son las MUTACIONES.
Estos son algunos de los dibujos de la replicación o duplicación del ADN que
pueden encontrarse en Internet:
Los genes del ADN
son capaces de
sacar copias de su
información en
forma de otra
molécula: El ARN
(ácido ribonucleico)

La letra U (Uracilo) sustituye
a la T en el ARN

GGCGCCUAAAUUUG
Las cadenas de ARN son más cortas
que las de ADN y están formadas por
una cadena simple (no doble como
ocurría con el ADN)
ATTCGCGGCATTAATCCGATACCTAGTACCGCGGATTTAAACATGGATC
TAAGCGCCGTAATTAGGCTATGGATCATGGCGCCTAAATTTGTACCTAG
Cuando se tr anscr ibe el A DN a A RN ocur re esto:
Gen que va a transcribirse

A DN

1º se abre una parte de la doble cadena de ADN:
ATTCGCGGCATTAATCCGATACCTAGTACCGCGGATTTAAACATGGATC
ATTCGCGGCATTAATCCGATACCTAGTA
TACCTAG
TAAGCGCCGTAATTAGGCTATGGATCAT
ATGGATC
TAAGCGCCGTAATTAGGCTATGGATCATGGCGCCTAAATTTGTACCTAG

2º se copia la información del gen añadiendo letras, de
forma complementaria, para formar ARN:

ATTCGCGGCATTAATCCGATACCTAGTACCGCGGATTTAAACATGGATC
ATTCGCGGCATTAATCCGATACCTAGTAGGCGCCUAAAUUUGTACCTAG
TAAGCGCCGTAATTAGGCTATGGATCAT
ATGGATC
TAAGCGCCGTAATTAGGCTATGGATCATGGCGCCTAAATTTGTACCTAG
La doble cadena de ADN NO se
terminará abriendo del todo. Sólo
se transcribe a ARN la información
de algunos genes.

Gen trascrito a ARN
La letra U (Uracilo) sustituye
a la T en el ARN

U

G
A

C

A RN
Núcleo celular
Finalmente, el
ARN sale
fuera del
núcleo.
Citoplasma

GCG
G

Este ARN también se
llama ARN mensajero,
porque lleva un mensaje
para fabricar proteínas.

UUG
AAU
CUA
C

ARN

Gracias a los
ribosomas, en el
citoplasma, la
información que
lleva el ARN es
“leída” por los
ribosomas para
formar proteínas
en el proceso
llamado
TRADUCCIÓN o
SÍNTESIS DE
PROTEÍNAS
ribosomas
Ocurre en el citoplasma celular, fuera del núcleo.
La información del ARN mensajero es “leída” por los ribosomas
para fabricar proteínas.
Cada grupo de tres bases (o “letras”) del ARN mensajero
determina la unión, a la cadena proteica, de uno de los 20
aminoácidos que existen.

GGCGCCUAAAUUUAUGGCACCAUGCCAUG
4.- Estructura del ARN
ARNm: Lineal, largo (masa molecular 105 – 106). Es la copia de un fragmento
de ADN con sentido biológico (copia de un gen). Con tripletes=codones
ARNr: Más corto, con regiones plegadas y con bases apareadas. Forma, junto
con proteínas ribosómicas, la estructura de ribosomas. Hay unos 3 ó 4 tipos.

Brazo
aceptor
Ribosoma
(ARNr + Prot.)

ARNm con tripletes
(codones)

ARNt: Pequeño. Estructura en “hoja de trébol”
Hay unos 50 tipos de ARNt
ARNt
Otros ARN: P.ej. Los que forman el material
genético de algunos virus.
5.- Estructura del ADN

Rosalind Franklin
5.- Estructura del ADN

-Doble hélice con enrrollamiento
a la derecha y plectonémico.
-Dos cadenas antiparalelas
-Bases n. con anillos
perpendiculares al eje (como
escalones de una escalera de
caracol).
-Bases (=> y dos cadenas)
unidas por puentes de hidrógeno
entre las bases complementarias
7.- La cromatina
-En células eucariotas, visible únicamente en células en interfase o reposo (sin
dividirse) [al producirse la mitosis y meiosis se condensa en cromosomas].
-Formado por: ADN + PROTEÍNAS

-HISTONAS
-NO HISTONAS
La existencia de cromatina se explica
porque la célula debe resolver dos
problemas:
-La enorme cantidad-longitud de ADN
-La gran cantidad de Pi => elevada
acidez y gran acumulación de cargas
negativas

HISTONAS:
-Muy básicas debido a muchos
aa Lys y Arg (lisina y arginina)
-Hay varios tipos de histonas,
todas de p.m. bajo
7.- La cromatina
-En células eucariotas, visible únicamente en células en interfase o reposo (sin
dividirse) [al producirse la mitosis y meiosis se condensa en cromosomas].
-Formado por: ADN + PROTEÍNAS

-HISTONAS
-NO HISTONAS
Con número fijo de
nucleótidos (146 pares) en
torno a cada octámero

HISTONAS:
-Muy básicas debido a muchos
aa Lys y Arg (lisina y arginina)
-Hay varios tipos de histonas,
todas de p.m. bajo

H2A
H2B
H3
H4
7.- La cromatina
-En células eucariotas, visible únicamente en células en interfase o reposo (sin
dividirse) [al producirse la mitosis y meiosis se condensa en cromosomas].
-Formado por: ADN + PROTEÍNAS

-HISTONAS
-NO HISTONAS
“Collar de perlas”
“Solenoide”

Nuevos
plegamientos y
arrollamientos
consiguen un gran
empaquetamiento
hasta formar los
cromosomas.

HISTONAS:
-Muy básicas debido a muchos
aa Lys y Arg (lisina y arginina)
-Hay varios tipos de histonas,
todas de p.m. bajo

Es importante comprender que este
empaquetamiento debe desaparecer
para que un gen se exprese. El octámero
de histonas debe desmontarse, por lo
que se piensa que deben tener, además
de una función estructural, una función
en la regulación de la expresión génica.
7.- La cromatina
-En células eucariotas, visible únicamente en células en interfase o reposo (sin
dividirse) [al producirse la mitosis y meiosis se condensa en cromosomas].
-Formado por: ADN + PROTEÍNAS

-HISTONAS
-NO HISTONAS

Variadas:
-Algunas con función estructural,
contribuyendo a fijar la forma de
filamentos > 30nm y cromosomas.
-Otras con actividad en replicación,
transcripción y regulación de la
expresión génica.
-Otras son necesarias para formar
estructuras del núcleo (nucléolo,
matriz nuclear…).

Nucleótidos y ácidos nucleicos

  • 1.
    Unidad 5 Nucleótidos yácidos nucleicos 1. 2. 3. 4. 5. 6. 7. Nucleósidos y nucleótidos Nucleótidos de interés biológico Polinucleótidos. Ácidos nucleicos Estructura del ARN Estructura del ADN Variaciones en la estructura del ADN La cromatina I.E.S. Los Boliches Biología 2º Bachillerato
  • 3.
    *Nucleósidos: son elresultado de la unión de una base nitrogenada con la ribosa o con la desoxirribosa mediante un enlace β-N-glucosídico. Este enlace se establece entre el N-9 de las púricas o el N-1 de las pirimidínicas y el C-1' de la pentosa (indicamos 1', 2', etc. en lugar de 1, 2, etc. para evitar confusión con la numeración de los átomos de la base). *Nucleótidos: son ésteres fosforilados de los nucleósidos, por lo que a veces se les denomina nucleósidos-fosfato. Podría producirse el éster con los hidroxilos 2', 3' y 5' de los ribonucleótidos o con los 3' y 5' de los desoxirribonucleótidos. Sin embargo los 2' fosfato y los 3' fosfato son escasos. La presencia de fosfato confiere carácter ácido a la molécula de los nucleótidos. Ejemplos
  • 5.
    Ejemplo de ribonucleótidotrifosfatado: H+ La presencia de fosfato confiere carácter ácido a la molécula de los nucleótidos H+ H+
  • 7.
    Fosfatos de adenosina(adenosín fosfatos) Intervienen en las reacciones metabólicas en que se libera o consume energía, ya que los enlaces entre fosfatos de los nucleótidos acumulan energía química que puede transferirse a otras sustancias cuando dichos enlaces se hidrolizan: ATP + H2O ADP + H2O ADP + Pi + Energía AMP + Pi + Energía De igual manera, la energía desprendida en muchas reacciones químicas y procesos fisiológicos puede aprovecharse para sintetizar las formas energéticas de los adenosín-fosfatos: AMP + Pi + Energía ADP + Pi + Energía ADP + H2O ATP + H2O El ATP es denominado a menudo “la moneda energética de la célula”
  • 8.
    El AMP cíclico(AMPc) Denominado “segundo mensajero” en la recepción de señales por parte de la célula. El grupo fosfato forma enlaces éster con los carbonos 5´ y 3´ de la ribosa
  • 11.
  • 12.
    Coenzimas derivadas denucleótidos Coenzima A (CoA) Derivado del ADP con ácido pantoténico (vit. B5) y b-aminoetanotiol Interviene en la activación de los ácidos orgánicos (ác. grasos…) para su metabolismo La CoA se enlaza con ácidos orgánicos mediante la formación de enlaces tio-éster: R-CO-SCoA Flavín nucleótidos (FMN, FAD) Piridín nucleótidos (NAD, NADP) Coenzima A
  • 13.
    3.- Polinucleótidos. Ácidosnucleicos Polinucleótido = polímero de nucleótidos unidos por enlaces fosfodiéster Estructura de un polirribonucleótido
  • 14.
    3.- Polinucleótidos. Ácidosnucleicos Polinucleótido = polímero de nucleótidos unidos por enlaces fosfodiéster Estructura de un polirribonucleótido
  • 15.
    3.- Polinucleótidos. Ácidosnucleicos Polinucleótido = polímero de nucleótidos unidos por enlaces fosfodiéster El grupo fosfato de un nucleótido (que estaba unido al C 5´ de la pentosa), se une también por un enlace éster al C 3´ del nucleótido siguiente. Lateralmente quedan las bases nitrogenadas Estructura de un polirribonucleótido Cadena en la que alternan las pentosas y los Pi
  • 16.
    3.- Polinucleótidos. Ácidosnucleicos P Extremo 5´ O L A R (No estamos hablando de polaridad eléctrica) I D A D Extremo 3´ 5´- 3´
  • 17.
    3.- Polinucleótidos. Ácidosnucleicos Con ribosa => POLIRRIBONUCLEOTIDOS => ARN ( = RNA ) (varios tipos) Con desoxirribosa => POLIDESOXIRRIBONUCLEÓTIDOS = ADN ( = DNA)
  • 19.
    ATTCGCGGCATTAATCCGATACCTAGTACCGCGGATTTAAACATGGATC TAAGCGCCGTAATTAGGCTATGGATCATGGCGCCTAAATTTGTACCTAG Cuando va acopiarse el ADN ocurre esto: 1º se abre la doble cadena: ATTCGCGGCATTAATCCGATACCTAGTACCGCGGATTTAAACATGGATC ATTCGCGGCATTAATCCG TAAGCGCCGTAATTAGGC TAAGCGCCGTAATTAGGCTATGGATCATGGCGCCTAAATTTGTACCTAG 2º se van añadiendo nuevas letras, de forma complementaria: ATTCGCGGCATTAATCCGATACCTAGTACCGCGGATTTAAACATGGATC GTACCTAG ATTCGCGGCATTAATCCG T C T A TAAGCGCCGTAATTAGGC ATACCTAGT TAAGCGCCGTAATTAGGCTATGGATCATGGCGCCTAAATTTGTACCTAG La doble cadena se terminará abriendo del todo C CA T
  • 20.
    ATTCGCGGCATTAATCCGATACCTAGTACCGCGGATTTAAACATGGATC TAAGCGCCGTAATTAGGCTATGGATCATGGCGCCTAAATTTGTACCTAG Cuando va acopiarse el ADN ocurre esto: 1º se abre la doble cadena: ATTCGCGGCATTAATCCGATACCTAGTACCGCGGATTTAAACATGGATC ATTCGCGGCATTAATCCG TAAGCGCCGTAATTAGGC TAAGCGCCGTAATTAGGCTATGGATCATGGCGCCTAAATTTGTACCTAG 2º se van añadiendo nuevas letras, de forma complementaria: ATTCGCGGCATTAATCCGATACCTAGTACCGCGGATTTAAACATGGATC GTACCTAG ATTCGCGGCATTAATCCG T C T A TAAGCGCCGTAATTAGGC ATACCTAGT TAAGCGCCGTAATTAGGCTATGGATCATGGCGCCTAAATTTGTACCTAG La doble cadena se terminará abriendo del todo C CA T
  • 21.
    3º Continúa elproceso de añadir “letras” hasta formarse dos doble cadenas hijas, idénticas a la original: ATTCGCGGCATTAATCCGATACCTAGTACCGCGGATTTAAACATGGATC TAAGCGCCGTAATTAGGCTATGGATCATGGCGCCTAAATTTGTACCTAG ATTCGCGGCATTAATCCGATACCTAGTACCGCGGATTTAAACATGGATC TAAGCGCCGTAATTAGGCTATGGATCATGGCGCCTAAATTTGTACCTAG En rojo se muestran las nuevas “letras” que se han ido uniendo de la manera “correcta” o complementaria (A con T y C con G). De este modo, cada una de las cadenas originales ha ser vido de MOLDE par a cr ear otr a A veces se producen errores en este proceso, dando lugar a genes alterados, distintos al original. Son las MUTACIONES.
  • 22.
    Estos son algunosde los dibujos de la replicación o duplicación del ADN que pueden encontrarse en Internet:
  • 23.
    Los genes delADN son capaces de sacar copias de su información en forma de otra molécula: El ARN (ácido ribonucleico) La letra U (Uracilo) sustituye a la T en el ARN GGCGCCUAAAUUUG Las cadenas de ARN son más cortas que las de ADN y están formadas por una cadena simple (no doble como ocurría con el ADN)
  • 24.
    ATTCGCGGCATTAATCCGATACCTAGTACCGCGGATTTAAACATGGATC TAAGCGCCGTAATTAGGCTATGGATCATGGCGCCTAAATTTGTACCTAG Cuando se transcr ibe el A DN a A RN ocur re esto: Gen que va a transcribirse A DN 1º se abre una parte de la doble cadena de ADN: ATTCGCGGCATTAATCCGATACCTAGTACCGCGGATTTAAACATGGATC ATTCGCGGCATTAATCCGATACCTAGTA TACCTAG TAAGCGCCGTAATTAGGCTATGGATCAT ATGGATC TAAGCGCCGTAATTAGGCTATGGATCATGGCGCCTAAATTTGTACCTAG 2º se copia la información del gen añadiendo letras, de forma complementaria, para formar ARN: ATTCGCGGCATTAATCCGATACCTAGTACCGCGGATTTAAACATGGATC ATTCGCGGCATTAATCCGATACCTAGTAGGCGCCUAAAUUUGTACCTAG TAAGCGCCGTAATTAGGCTATGGATCAT ATGGATC TAAGCGCCGTAATTAGGCTATGGATCATGGCGCCTAAATTTGTACCTAG La doble cadena de ADN NO se terminará abriendo del todo. Sólo se transcribe a ARN la información de algunos genes. Gen trascrito a ARN La letra U (Uracilo) sustituye a la T en el ARN U G A C A RN
  • 25.
    Núcleo celular Finalmente, el ARNsale fuera del núcleo. Citoplasma GCG G Este ARN también se llama ARN mensajero, porque lleva un mensaje para fabricar proteínas. UUG AAU CUA C ARN Gracias a los ribosomas, en el citoplasma, la información que lleva el ARN es “leída” por los ribosomas para formar proteínas en el proceso llamado TRADUCCIÓN o SÍNTESIS DE PROTEÍNAS ribosomas
  • 26.
    Ocurre en elcitoplasma celular, fuera del núcleo. La información del ARN mensajero es “leída” por los ribosomas para fabricar proteínas. Cada grupo de tres bases (o “letras”) del ARN mensajero determina la unión, a la cadena proteica, de uno de los 20 aminoácidos que existen. GGCGCCUAAAUUUAUGGCACCAUGCCAUG
  • 27.
    4.- Estructura delARN ARNm: Lineal, largo (masa molecular 105 – 106). Es la copia de un fragmento de ADN con sentido biológico (copia de un gen). Con tripletes=codones ARNr: Más corto, con regiones plegadas y con bases apareadas. Forma, junto con proteínas ribosómicas, la estructura de ribosomas. Hay unos 3 ó 4 tipos. Brazo aceptor Ribosoma (ARNr + Prot.) ARNm con tripletes (codones) ARNt: Pequeño. Estructura en “hoja de trébol” Hay unos 50 tipos de ARNt ARNt Otros ARN: P.ej. Los que forman el material genético de algunos virus.
  • 28.
    5.- Estructura delADN Rosalind Franklin
  • 29.
    5.- Estructura delADN -Doble hélice con enrrollamiento a la derecha y plectonémico. -Dos cadenas antiparalelas -Bases n. con anillos perpendiculares al eje (como escalones de una escalera de caracol). -Bases (=> y dos cadenas) unidas por puentes de hidrógeno entre las bases complementarias
  • 30.
    7.- La cromatina -Encélulas eucariotas, visible únicamente en células en interfase o reposo (sin dividirse) [al producirse la mitosis y meiosis se condensa en cromosomas]. -Formado por: ADN + PROTEÍNAS -HISTONAS -NO HISTONAS La existencia de cromatina se explica porque la célula debe resolver dos problemas: -La enorme cantidad-longitud de ADN -La gran cantidad de Pi => elevada acidez y gran acumulación de cargas negativas HISTONAS: -Muy básicas debido a muchos aa Lys y Arg (lisina y arginina) -Hay varios tipos de histonas, todas de p.m. bajo
  • 31.
    7.- La cromatina -Encélulas eucariotas, visible únicamente en células en interfase o reposo (sin dividirse) [al producirse la mitosis y meiosis se condensa en cromosomas]. -Formado por: ADN + PROTEÍNAS -HISTONAS -NO HISTONAS Con número fijo de nucleótidos (146 pares) en torno a cada octámero HISTONAS: -Muy básicas debido a muchos aa Lys y Arg (lisina y arginina) -Hay varios tipos de histonas, todas de p.m. bajo H2A H2B H3 H4
  • 32.
    7.- La cromatina -Encélulas eucariotas, visible únicamente en células en interfase o reposo (sin dividirse) [al producirse la mitosis y meiosis se condensa en cromosomas]. -Formado por: ADN + PROTEÍNAS -HISTONAS -NO HISTONAS “Collar de perlas” “Solenoide” Nuevos plegamientos y arrollamientos consiguen un gran empaquetamiento hasta formar los cromosomas. HISTONAS: -Muy básicas debido a muchos aa Lys y Arg (lisina y arginina) -Hay varios tipos de histonas, todas de p.m. bajo Es importante comprender que este empaquetamiento debe desaparecer para que un gen se exprese. El octámero de histonas debe desmontarse, por lo que se piensa que deben tener, además de una función estructural, una función en la regulación de la expresión génica.
  • 33.
    7.- La cromatina -Encélulas eucariotas, visible únicamente en células en interfase o reposo (sin dividirse) [al producirse la mitosis y meiosis se condensa en cromosomas]. -Formado por: ADN + PROTEÍNAS -HISTONAS -NO HISTONAS Variadas: -Algunas con función estructural, contribuyendo a fijar la forma de filamentos > 30nm y cromosomas. -Otras con actividad en replicación, transcripción y regulación de la expresión génica. -Otras son necesarias para formar estructuras del núcleo (nucléolo, matriz nuclear…).