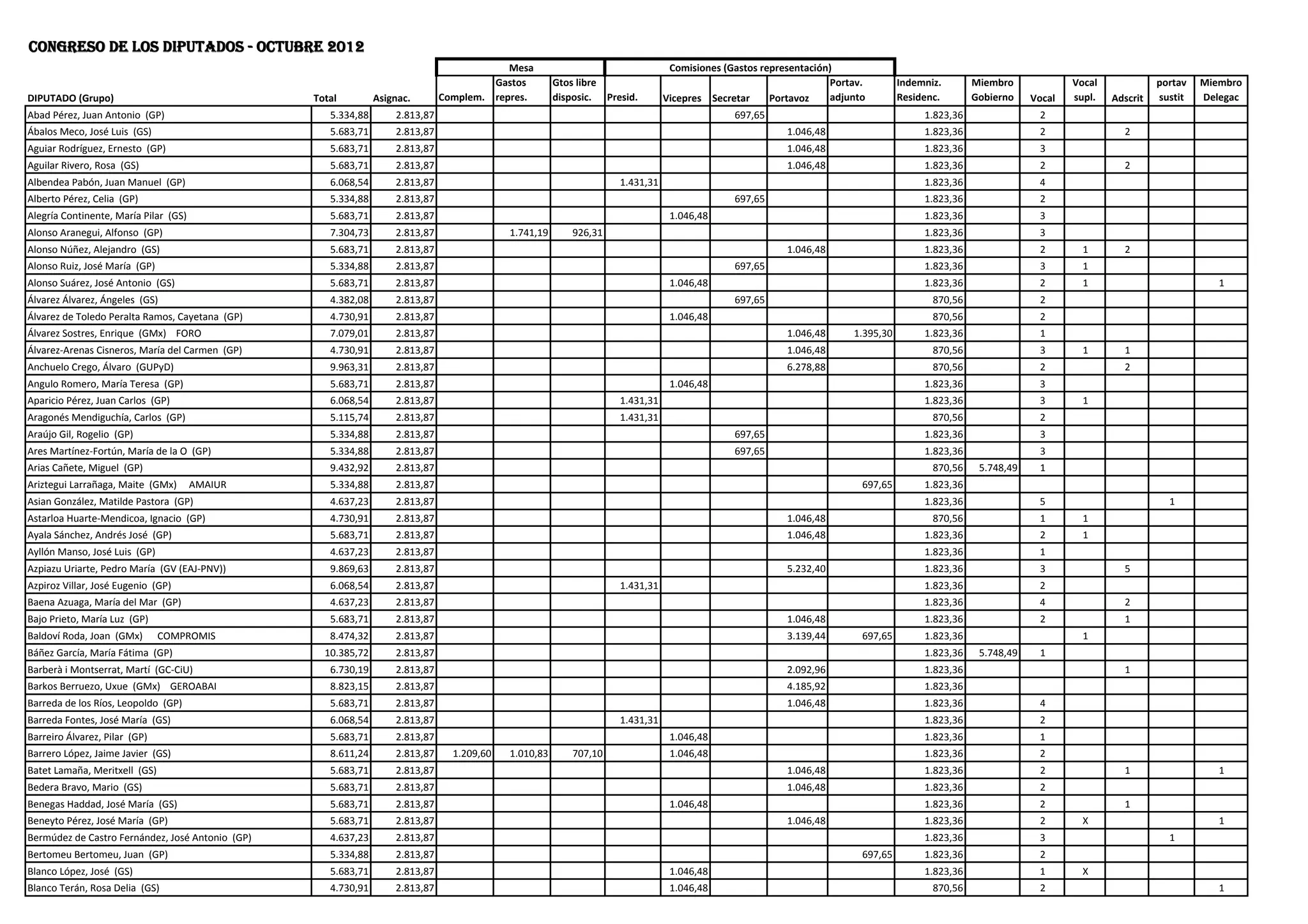
CONGRESO DE LOS DIPUTADOS - OCTUBRE 2012
                                                                                           Mesa                                 Comisiones (Gastos representación)
                                                                                        Gastos         Gtos libre                                                Portav.        Indemniz.       Miembro             Vocal             portav   Miembro
DIPUTADO (Grupo)                                  Total         Asignac.       Complem. repres.        disposic. Presid.       Vicepres Secretar     Portavoz    adjunto        Residenc.       Gobierno    Vocal   supl.   Adscrit   sustit   Delegac
Abad Pérez, Juan Antonio (GP)                        5.334,88       2.813,87                                                                 697,65                                  1.823,36                2
Ábalos Meco, José Luis (GS)                          5.683,71       2.813,87                                                                            1.046,48                     1.823,36                2                2
Aguiar Rodríguez, Ernesto (GP)                       5.683,71       2.813,87                                                                            1.046,48                     1.823,36                3
Aguilar Rivero, Rosa (GS)                            5.683,71       2.813,87                                                                            1.046,48                     1.823,36                2                2
Albendea Pabón, Juan Manuel (GP)                     6.068,54       2.813,87                                        1.431,31                                                         1.823,36                4
Alberto Pérez, Celia (GP)                            5.334,88       2.813,87                                                                 697,65                                  1.823,36                2
Alegría Continente, María Pilar (GS)                 5.683,71       2.813,87                                                    1.046,48                                             1.823,36                3
Alonso Aranegui, Alfonso (GP)                        7.304,73       2.813,87                1.741,19      926,31                                                                     1.823,36                3
Alonso Núñez, Alejandro (GS)                         5.683,71       2.813,87                                                                            1.046,48                     1.823,36                2        1       2
Alonso Ruiz, José María (GP)                         5.334,88       2.813,87                                                                 697,65                                  1.823,36                3        1
Alonso Suárez, José Antonio (GS)                     5.683,71       2.813,87                                                    1.046,48                                             1.823,36                2        1                           1
Álvarez Álvarez, Ángeles (GS)                        4.382,08       2.813,87                                                                 697,65                                    870,56                2
Álvarez de Toledo Peralta Ramos, Cayetana (GP)       4.730,91       2.813,87                                                    1.046,48                                               870,56                2
Álvarez Sostres, Enrique (GMx) FORO                  7.079,01       2.813,87                                                                            1.046,48     1.395,30        1.823,36                1
Álvarez-Arenas Cisneros, María del Carmen (GP)       4.730,91       2.813,87                                                                            1.046,48                       870,56                3        1       1
Anchuelo Crego, Álvaro (GUPyD)                       9.963,31       2.813,87                                                                            6.278,88                       870,56                2                2
Angulo Romero, María Teresa (GP)                     5.683,71       2.813,87                                                    1.046,48                                             1.823,36                3
Aparicio Pérez, Juan Carlos (GP)                     6.068,54       2.813,87                                        1.431,31                                                         1.823,36                3        1
Aragonés Mendiguchía, Carlos (GP)                    5.115,74       2.813,87                                        1.431,31                                                           870,56                2
Araújo Gil, Rogelio (GP)                             5.334,88       2.813,87                                                                 697,65                                  1.823,36                3
Ares Martínez-Fortún, María de la O (GP)             5.334,88       2.813,87                                                                 697,65                                  1.823,36                3
Arias Cañete, Miguel (GP)                            9.432,92       2.813,87                                                                                                           870,56    5.748,49    1
Ariztegui Larrañaga, Maite (GMx)       AMAIUR        5.334,88       2.813,87                                                                                           697,65        1.823,36
Asian González, Matilde Pastora (GP)                 4.637,23       2.813,87                                                                                                         1.823,36                5                          1
Astarloa Huarte-Mendicoa, Ignacio (GP)               4.730,91       2.813,87                                                                            1.046,48                       870,56                1        1
Ayala Sánchez, Andrés José (GP)                      5.683,71       2.813,87                                                                            1.046,48                     1.823,36                2        1
Ayllón Manso, José Luis (GP)                         4.637,23       2.813,87                                                                                                         1.823,36                1
Azpiazu Uriarte, Pedro María (GV (EAJ-PNV))          9.869,63       2.813,87                                                                            5.232,40                     1.823,36                3                5
Azpiroz Villar, José Eugenio (GP)                    6.068,54       2.813,87                                        1.431,31                                                         1.823,36                2
Baena Azuaga, María del Mar (GP)                     4.637,23       2.813,87                                                                                                         1.823,36                4                2
Bajo Prieto, María Luz (GP)                          5.683,71       2.813,87                                                                            1.046,48                     1.823,36                2                1
Baldoví Roda, Joan (GMx)       COMPROMIS             8.474,32       2.813,87                                                                            3.139,44       697,65        1.823,36                         1
Báñez García, María Fátima (GP)                     10.385,72       2.813,87                                                                                                         1.823,36    5.748,49    1
Barberà i Montserrat, Martí (GC-CiU)                 6.730,19       2.813,87                                                                            2.092,96                     1.823,36                                 1
Barkos Berruezo, Uxue (GMx) GEROABAI                 8.823,15       2.813,87                                                                            4.185,92                     1.823,36
Barreda de los Ríos, Leopoldo (GP)                   5.683,71       2.813,87                                                                            1.046,48                     1.823,36                4
Barreda Fontes, José María (GS)                      6.068,54       2.813,87                                        1.431,31                                                         1.823,36                2
Barreiro Álvarez, Pilar (GP)                         5.683,71       2.813,87                                                    1.046,48                                             1.823,36                1
Barrero López, Jaime Javier (GS)                     8.611,24       2.813,87     1.209,60   1.010,83      707,10                1.046,48                                             1.823,36                2
Batet Lamaña, Meritxell (GS)                         5.683,71       2.813,87                                                                            1.046,48                     1.823,36                2                1                   1
Bedera Bravo, Mario (GS)                             5.683,71       2.813,87                                                                            1.046,48                     1.823,36                2
Benegas Haddad, José María (GS)                      5.683,71       2.813,87                                                    1.046,48                                             1.823,36                2                1
Beneyto Pérez, José María (GP)                       5.683,71       2.813,87                                                                            1.046,48                     1.823,36                2        X                           1
Bermúdez de Castro Fernández, José Antonio (GP)      4.637,23       2.813,87                                                                                                         1.823,36                3                          1
Bertomeu Bertomeu, Juan (GP)                         5.334,88       2.813,87                                                                                           697,65        1.823,36                2
Blanco López, José (GS)                              5.683,71       2.813,87                                                    1.046,48                                             1.823,36                1        X
Blanco Terán, Rosa Delia (GS)                        4.730,91       2.813,87                                                    1.046,48                                               870,56                2                                    1
Blanquer Alcaraz, Patricia (GS)                      5.334,88   2.813,87                                                      697,65                         1.823,36   3        6
Blasco Soto, Miriam Guadalupe (GP)                   5.683,71   2.813,87                                                               1.046,48              1.823,36   3
Bolarín Sánchez, María Dolores (GP)                  5.334,88   2.813,87                                                                           697,65    1.823,36   3
Bonilla Domínguez, María Jesús (GP)                  5.683,71   2.813,87                                           1.046,48                                  1.823,36   3    X
Bosch i Pascual, Alfred (GMx)       ESQUERRA         8.351,21   2.813,87            1.741,19   926,31                                  1.046,48              1.823,36   1
Bravo Ibáñez, Mª Concepción (GP)                     5.683,71   2.813,87                                                               1.046,48              1.823,36   4
Buyolo García, Federico (GS)                         5.334,88   2.813,87                                                      697,65                         1.823,36   2        2
Caamaño Domínguez, Francisco Manuel (GS)             5.683,71   2.813,87                                           1.046,48                                  1.823,36   2
Cabello de Alba Hernández, Federico (GP)             5.334,88   2.813,87                                                      697,65                         1.823,36   3
Cabezón Ruiz, Soledad (GS)                           6.032,53   2.813,87                                                      697,65               697,65    1.823,36   2
Cabrera García, Francisco Domingo (GP)               5.334,88   2.813,87                                                                           697,65    1.823,36   2
Caicedo Bernabé, Jesús (GP)                          5.683,71   2.813,87                                                               1.046,48              1.823,36   2
Caldera Sánchez-Capitán, Jesús (GS)                  5.683,71   2.813,87                                           1.046,48                                  1.823,36   2    1
Camacho Vizcaíno, Antonio (GS)                       5.683,71   2.813,87                                           1.046,48                                  1.823,36   2
Camarero Benítez, Susana (GP)                        5.683,71   2.813,87                                                               1.046,48              1.823,36   4    1   1       1
Campos Arteseros, Herick Manuel (GS)                 5.334,88   2.813,87                                                                           697,65    1.823,36   2        2
Camps Devesa, Gerardo (GP)                           6.068,54   2.813,87                                1.431,31                                             1.823,36   2    1
Campuzano i Canadés, Carles (GC-CiU)                 8.125,49   2.813,87                                                               2.092,96   1.395,30   1.823,36   2        1
Candón Adán, Alfonso (GP)                            5.334,88   2.813,87                                                                           697,65    1.823,36   3
Cantó García del Moral, Antonio (GUPyD)             10.916,11   2.813,87                                                               6.278,88              1.823,36   3        2
Carcedo Roces, María Luisa (GS)                      4.637,23   2.813,87                                                                                     1.823,36   4        8   1
Carreño Fernández, María Ascensión (GP)              5.683,71   2.813,87                                                               1.046,48              1.823,36   3        1
Casado Blanco, Pablo (GP)                            5.683,71   2.813,87                                                               1.046,48              1.823,36   2                1
Castellano Ramón, Helena (GS)                        5.334,88   2.813,87                                                      697,65                         1.823,36   2
Castillo Calvín, José Miguel (GP)                    5.683,71   2.813,87                                                               1.046,48              1.823,36   3
Centella Gómez, José Luis (GIP)           IU         6.730,18   2.813,87                                                                          2.092,95   1.823,36   1                1
Cervera Soto, Santiago (GP)                          6.822,38   2.813,87   944,49    818,46    677,35                         697,65                          870,56    4                1
Cervera Taulet, Manuel (GP)                          5.683,71   2.813,87                                                               1.046,48              1.823,36   3
Chacón Piqueras, Carme (GS)                          5.683,71   2.813,87                                           1.046,48                                  1.823,36   2
Chaves González, Manuel María (GS)                   6.068,54   2.813,87                                1.431,31                                             1.823,36   2    1
Cid Muñoz, Margarita del Carmen del (GP)             5.334,88   2.813,87                                                                           697,65    1.823,36   2
Císcar Casabán, Ciprià (GS)                          5.683,71   2.813,87                                                               1.046,48              1.823,36   2
Ciuró i Buldó, Lourdes (GC-CiU)                      7.776,66   2.813,87                                                               1.046,48   2.092,95   1.823,36   1
Cobaleda Hernández, María Teresa (GP)                5.334,88   2.813,87                                                                           697,65    1.823,36   3
Cobos Trallero, Sara (GP)                            4.637,23   2.813,87                                                                                     1.823,36   4
Collarte Rodríguez, Guillermo (GP)                   6.032,53   2.813,87                                                                          1.395,30   1.823,36   2
Conde Bajén, Agustín (GP)                            6.068,54   2.813,87                                1.431,31                                             1.823,36   2    1           1
Conde Martínez, Gema (GP)                            5.334,88   2.813,87                                                      697,65                         1.823,36   3
Corcuera Plaza, Juan Carlos (GS)                     5.683,71   2.813,87                                                               1.046,48              1.823,36   2        3
Cortés Bureta, Pilar (GP)                            5.683,71   2.813,87                                                               1.046,48              1.823,36   3
Cortés Martín, Miguel Ángel (GP)                     6.077,54   2.813,87                                1.431,31                                             1.832,36   2    1
Cortizo Nieto, Miguel Ángel (GS)                     5.692,71   2.813,87                                                               1.046,48              1.832,36   2
Coscubiela Conesa, Joan (GIP)       ICV              8.134,49   2.813,87                                                               2.092,96   1.395,30   1.832,36   1    1
Costa Palacios, María Angelina (GS)                  5.692,71   2.813,87                                                               1.046,48              1.832,36   XX       1
Cuadra Lasarte, Sabino (GMx)        AMAIUR           6.390,36   2.813,87                                                               1.046,48    697,65    1.832,36
Cunillera Mestres, Teresa (GS)                       7.784,18   2.813,87   944,49    818,46    677,35                         697,65                         1.832,36   3
De las Heras Ladera, Ascensión (GIP)           IU    9.265,65   2.813,87                                                               4.185,92   1.395,30    870,56    1
Delgado Arce, Celso Luis (GP)                        6.077,54   2.813,87                                1.431,31                                             1.832,36   2    1
Díez González, Rosa María (GUPyD)                   11.584,33   2.813,87            1.741,19   926,31                                  5.232,40               870,56    2        7
Duran i Lleida, Josep Antoni (GC-CiU)                9.791,52   2.813,87            1.741,19   926,31   1.431,31                       1.046,48              1.832,36   2        1
Durán Ramos, Eva (GP)                                4.730,91   2.813,87                                           1.046,48                                   870,56    2
Echávarri Fernández, Gabriel (GS)                    5.343,88   2.813,87                                                      697,65                         1.832,36              2   1   3       1
Elorriaga Pisarik, Gabriel (GP)                      5.115,74   2.813,87                                1.431,31                                              870,56               2   1
Elorza González, Odón (GS)                           6.390,36   2.813,87                                           1.046,48                        697,65    1.832,36              2       1
Enbeita Maguregi, Onintza (GMx)          AMAIUR      6.390,36   2.813,87                                                               1.046,48    697,65    1.832,36              1
Erias Rey, Antonio (GP)                              5.692,71   2.813,87                                                               1.046,48              1.832,36              2
Erkoreka Gervasio, Josu Iñaki (GV (EAJ-PNV))         8.360,21   2.813,87            1.741,19   926,31                                  1.046,48              1.832,36              1       2
Errekondo Saltsamendi, Xabier Mikel (GMx) AMAIUR     6.739,19   2.813,87                                                               2.092,96              1.832,36                          1
Escobar Las Heras, Conrado (GP)                      5.692,71   2.813,87                                                               1.046,48              1.832,36              3
Escudero Berzal, Beatriz Marta (GP)                  6.041,53   2.813,87                                                                          1.395,30   1.832,36              2
España Reina, Carolina (GP)                          5.692,71   2.813,87                                                               1.046,48              1.832,36              3
Esteban Bravo, Aitor (GV (EAJ-PNV))                 10.925,11   2.813,87                                                               6.278,88              1.832,36              3   1   7
Esteller Ruedas, Mª Ángeles (GP)                     5.692,71   2.813,87                                           1.046,48                                  1.832,36              3       4
Esteve Ortega, Esperança (GS)                        5.692,71   2.813,87                                                               1.046,48              1.832,36              2   1   1
Fabra Fernández, Andrea (GP)                         5.692,71   2.813,87                                                               1.046,48              1.832,36              4
Fajarnés Ribas, Enrique (GP)                         5.692,71   2.813,87                                                               1.046,48              1.832,36              2
Falcón Dacal, Maravillas Concepción (GP)             5.692,71   2.813,87                                           1.046,48                                  1.832,36              3       1
Fernández Álvarez, Alejandro (GP)                    5.692,71   2.813,87                                                               1.046,48              1.832,36              3
Fernández Davila, Mª Olaia (GMx) BNG                 8.134,49   2.813,87                                                               2.092,96   1.395,30   1.832,36              1
Fernández Díaz, Jorge (GP)                          10.394,72   2.813,87                                                                                     1.832,36   5.748,49   1
Fernández García, Eduardo (GP)                       5.343,88   2.813,87                                                      697,65                         1.832,36              3
Fernández González, Daniel (GS)                      5.343,88   2.813,87                                                                           697,65    1.832,36              2
Fernández Moya, Gracia (GS)                          5.343,88   2.813,87                                                                           697,65    1.832,36              2       3
Fernández-Ahuja García, María de los Ángeles (GP)    4.646,23   2.813,87                                                                                     1.832,36              4       3
Ferrando Sendra, Amparo (GP)                         5.692,71   2.813,87                                           1.046,48                                  1.832,36              3
Ferrer Roselló, Vicente (GP)                         5.692,71   2.813,87                                                               1.046,48              1.832,36              1               1
Figueres Górriz, María Ascensión (GP)                5.343,88   2.813,87                                                                           697,65    1.832,36              3       2
Flores Lanuza, Mario Francisco José (GP)             5.343,88   2.813,87                                                                           697,65    1.832,36              2
Floriano Corrales, Carlos Javier (GP)                5.692,71   2.813,87                                           1.046,48                                  1.832,36              3
Franquis Vera, Sebastián (GS)                        5.692,71   2.813,87                                                               1.046,48              1.832,36              2       1
Fumero Roque, Águeda (GP)                            5.343,88   2.813,87                                                      697,65                         1.832,36              3       1
Gallego Arriola, María del Puerto (GS)               5.343,88   2.813,87                                                      697,65                         1.832,36              3       3
Gallego Burgos, Antonio (GP)                         5.692,71   2.813,87                                                               1.046,48              1.832,36              3       1
García Álvarez, María Caridad (GIP)       IU         7.870,34   2.813,87                                                               2.092,96   2.092,95    870,56               1   2   1
García Díez, Joaquín María (GP)                      5.692,71   2.813,87                                                               1.046,48              1.832,36              2
García Egea, Teodoro (GP)                            5.692,71   2.813,87                                                               1.046,48              1.832,36              3
García Gasulla, Guillem (GS)                         5.343,88   2.813,87                                                      697,65                         1.832,36              2       1
García Pérez, Pablo (GP)                             5.343,88   2.813,87                                                                           697,65    1.832,36              2
García-Tizón López, Arturo (GP)                      6.077,54   2.813,87                                1.431,31                                             1.832,36              1   1           1
Garrido Valenzuela, Irene (GP)                       5.343,88   2.813,87                                                                           697,65    1.832,36              4
Garzón Espinosa, Alberto (GIP)      IU               9.529,80   2.813,87                                                               4.185,92    697,65    1.832,36              1
Gil Lázaro, Ignacio (GP)                             7.784,18   2.813,87   944,49    818,46    677,35                         697,65                         1.832,36              2
Gómez de la Serna y Villacieros, Pedro Ramón (GP)    5.692,71   2.813,87                                                               1.046,48              1.832,36              2                   1
Gómez Sánchez, Tomás Valeriano (GS)                  4.730,91   2.813,87                                                               1.046,48               870,56               3
González Cabaña, Francisco (GS)                      6.390,36   2.813,87                                                               1.046,48    697,65    1.832,36              1
González Gutiérrez, Concepción (GP)                  4.646,23   2.813,87                                                                                     1.832,36              3
González Muñoz, Ángel Luis (GP)                      5.343,88   2.813,87                                                                           697,65    1.832,36              2
González Pons, Esteban (GP)                          4.646,23   2.813,87                                                                                     1.832,36              3
González Ramos, Manuel Gabriel (GS)                  5.343,88   2.813,87                                                      697,65                         1.832,36              3       2
González Vázquez, Marta (GP)                         5.692,71   2.813,87                                                               1.046,48              1.832,36              3
González Vázquez, Sebastián (GP)                     5.692,71   2.813,87                                           1.046,48                                  1.832,36              2       3           1
González Veracruz, María (GS)                        5.692,71   2.813,87                                           1.046,48                                  1.832,36              1   1   4
Gordo Pérez, Juan Luis (GS)                      5.692,71   2.813,87                                                                 1.046,48              1.832,36   2       1
Grande Pesquero, Pilar (GS)                      5.692,71   2.813,87                                                                 1.046,48              1.832,36   2   1
Grau Reinés, Juan Carlos (GP)                    5.692,71   2.813,87                                                                 1.046,48              1.832,36   3       1
Guerra González, Alfonso (GS)                    6.077,54   2.813,87                                  1.431,31                                             1.832,36   1
Guillaumes i Ràfols, Feliu-Joan (GC-CiU)         7.088,01   2.813,87                                                                 1.046,48   1.395,30   1.832,36           1
Guillén Izquierdo, Vicente (GS)                  6.041,53   2.813,87                                                        697,65               697,65    1.832,36   1
Gutiérrez del Castillo, María Concepción (GS)    5.692,71   2.813,87                                                                 1.046,48              1.832,36   3       2
Gutiérrez Molina, Antonio (GP)                   5.692,71   2.813,87                                             1.046,48                                  1.832,36   3
Heredia Díaz, Miguel Ángel (GS)                  6.390,36   2.813,87                                             1.046,48   697,65                         1.832,36   2
Heredia Martín, Silvia (GP)                      5.343,88   2.813,87                                                        697,65                         1.832,36   2
Hernández Gutiérrez, Patricia (GS)               6.390,36   2.813,87                                                        697,65   1.046,48              1.832,36   1
Hernando Fraile, Rafael Antonio (GP)             4.646,23   2.813,87                                                                                       1.832,36   4           1
Hernando Vera, Antonio (GS)                      4.730,91   2.813,87                                             1.046,48                                   870,56    1       2
Hernanz Costa, Sofía (GS)                        5.343,88   2.813,87                                                        697,65                         1.832,36   2
Hoyo Juliá, Belén (GP)                           5.343,88   2.813,87                                                        697,65                         1.832,36   2
Hurtado Zurera, Antonio (GS)                     6.041,53   2.813,87                                                                            1.395,30   1.832,36   2       1
Iglesias Fontal, María Olga (GP)                 5.343,88   2.813,87                                                                             697,65    1.832,36   2
Iglesias Santiago, Leire (GS)                    5.692,71   2.813,87                                                                 1.046,48              1.832,36   2       1
Iñarritu García, Jon (GMx) AMAIUR                7.436,84   2.813,87                                                                 2.092,96    697,65    1.832,36   1
Jané i Guasch, Jordi (GC-CiU)                   11.410,85   2.813,87   1.209,60   1.010,83   707,10              1.046,48            2.092,96    697,65    1.832,36       1   2
Jáuregui Atondo, Ramón (GS)                      5.692,71   2.813,87                                                                 1.046,48              1.832,36   3       2       1
Jiménez Díaz, María Piedra Escrita (GP)          4.646,23   2.813,87                                                                                       1.832,36   3
Jiménez García-Herrera, Trinidad (GS)            5.692,71   2.813,87                                             1.046,48                                  1.832,36   4       1
Jiménez Mínguez, Encarnación (GP)                4.646,23   2.813,87                                                                                       1.832,36   4
Jordà i Roura, Teresa (GMx) ESQUERRA             7.088,01   2.813,87                                                                 1.046,48   1.395,30   1.832,36
Juste Picón, María Belén (GP)                    5.692,71   2.813,87                                             1.046,48                                  1.832,36   2
Lagares Flores, Juan Carlos (GP)                 5.692,71   2.813,87                                             1.046,48                                  1.832,36   2
Lago Martínez, María Paz (GP)                    5.343,88   2.813,87                                                        697,65                         1.832,36   3
Landaluce Calleja, José Ignacio (GP)             5.692,71   2.813,87                                             1.046,48                                  1.832,36   1       1
Lanzuela Marina, Santiago (GP)                   6.077,54   2.813,87                                  1.431,31                                             1.832,36   4               1
Lara Carbó, María Teresa de (GP)                 4.730,91   2.813,87                                                                 1.046,48               870,56    2   1
Lara Moya, Cayo (GIP)          IU                6.351,93   2.813,87              1.741,19   926,31                                                         870,56    2               1
Larreina Valderrama, Rafael (GMx) AMAIUR         6.390,36   2.813,87                                                                 1.046,48    697,65    1.832,36   2
Lavilla Martínez, Félix (GS)                     5.343,88   2.813,87                                                        697,65                         1.832,36   2
Llamazares Trigo, Gaspar (GIP)       IU          9.565,80   2.813,87                                  1.431,31                       2.092,96   1.395,30   1.832,36   1   1
Llorens Torres, José Ignacio (GP)                6.077,54   2.813,87                                  1.431,31                                             1.832,36   2
López Garrido, Diego (GS)                        4.730,91   2.813,87                                                                 1.046,48               870,56    2       2       1
López Garrido, José (GP)                         5.343,88   2.813,87                                                        697,65                         1.832,36   3
López González, Rocío (GP)                       5.343,88   2.813,87                                                                             697,65    1.832,36   2       1
López i Chamosa, María Isabel (GS)               6.390,36   2.813,87                                                        697,65   1.046,48              1.832,36   1       1
López-Amor García, Fernando (GP)                 5.692,71   2.813,87                                             1.046,48                                  1.832,36   4
Lozano Domingo, Irene (GUPyD)                    8.916,83   2.813,87                                                                 5.232,40               870,56            6
Lucio Carrasco, María Pilar (GS)                 5.343,88   2.813,87                                                                             697,65    1.832,36   3       1
Luena López, César (GS)                          5.692,71   2.813,87                                                                 1.046,48              1.832,36   2       2
Luis Rodríguez, Teófilo de (GP)                  3.684,43   2.813,87                                                                                        870,56    2   1
Macias i Arau, Pere (GC-CiU)                     8.170,50   2.813,87                                  1.431,31                       2.092,96              1.832,36   2
Madina Muñoz, Eduardo (GS)                       4.646,23   2.813,87                                                                                       1.832,36   4           1
Madrazo Díaz, Ana María (GP)                     5.692,71   2.813,87                                                                 1.046,48              1.832,36   2   1
Mariscal Anaya, Guillermo (GP)                   5.692,71   2.813,87                                                                 1.046,48              1.832,36   2               1
Márquez de la Rubia, Francisco (GP)              5.343,88   2.813,87                                                                             697,65    1.832,36   2
Martín González, María Guadalupe (GS)            5.343,88   2.813,87                                                                             697,65    1.832,36   2   1   1
Martín González, Telmo (GP)                         5.692,71   2.813,87                                             1.046,48                                  1.832,36              3
Martín Peré, Pablo (GS)                             6.390,36   2.813,87                                                                 1.046,48    697,65    1.832,36              1
Martín Pozo, María Teresa (GP)                      5.343,88   2.813,87                                                                             697,65    1.832,36              3       1
Martín Rodríguez, Enrique Luis (GP)                 5.343,88   2.813,87                                                                             697,65    1.832,36              4
Martínez Gorriarán, Carlos (GUPyD)                  8.916,83   2.813,87                                                                 5.232,40               870,56               1   1   10   1
Martínez Olmos, José (GS)                           5.692,71   2.813,87                                                                 1.046,48              1.832,36              3   1
Martínez Rodríguez, Santiago (GP)                   5.343,88   2.813,87                                                        697,65                         1.832,36              3       1
Martínez Saiz, Teófila (GP)                         5.692,71   2.813,87                                             1.046,48                                  1.832,36              1   1
Martínez-Pujalte López, Vicente (GP)                5.692,71   2.813,87                                                                 1.046,48              1.832,36              2   1            1
Martín-Toledano Suárez, José Alberto (GP)           5.343,88   2.813,87                                                                             697,65    1.832,36              3
Matarí Sáez, Juan José (GP)                         5.692,71   2.813,87                                                                 1.046,48              1.832,36              1   1
Mato Adrover, Ana (GP)                              9.432,92   2.813,87                                                                                        870,56    5.748,49   1
Matos Mascareño, Pablo (GP)                         6.077,54   2.813,87                                  1.431,31                                             1.832,36              2   1   1
Meijón Couselo, Guillermo Antonio (GS)              6.041,53   2.813,87                                                        697,65               697,65    1.832,36              1
Méndez Monasterio, Lourdes (GP)                     6.077,54   2.813,87                                  1.431,31                                             1.832,36              2
Merino López, Rafael (GP)                           4.646,23   2.813,87                                                                                       1.832,36              4
Micheo Carrillo-Albornoz, Julia de (GP)             4.646,23   2.813,87                                                                                       1.832,36              4       1
Miguélez Pariente, María Aránzazu (GP)              5.343,88   2.813,87                                                        697,65                         1.832,36              3
Mingo Zapatero, Mario (GP)                          5.115,74   2.813,87                                  1.431,31                                              870,56               1   1
Molinero Hoyos, Francisco (GP)                      5.343,88   2.813,87                                                        697,65                         1.832,36              3
Moneo Díez, María Sandra (GP)                       5.692,71   2.813,87                                                                 1.046,48              1.832,36              3   1
Monteserín Rodríguez, María Virtudes (GS)           5.692,71   2.813,87                                                                 1.046,48              1.832,36              3                1
Montesinos de Miguel, Macarena (GP)                 5.692,71   2.813,87                                             1.046,48                                  1.832,36              3
Montón Giménez, Carmen (GS)                         5.692,71   2.813,87                                                                 1.046,48              1.832,36              4
Montoro Romero, Cristóbal Ricardo (GP)             10.394,72   2.813,87                                                                                       1.832,36   5.748,49   1
Montserrat Montserrat, Dolors (GP)                  8.620,24   2.813,87   1.209,60   1.010,83   707,10              1.046,48                                  1.832,36              4
Mora Bernat, Manuel (GP)                            5.343,88   2.813,87                                                        697,65                         1.832,36              3
Moragas Sánchez, Jorge (GP)                         4.646,23   2.813,87                                                                                       1.832,36              1
Moraleja Gómez, Tristana María (GP)                 5.343,88   2.813,87                                                                             697,65    1.832,36              2
Moreno Bustos, Ramón (GP)                           5.692,71   2.813,87                                                                 1.046,48              1.832,36              2                1
Moreno Felipe, Irene (GP)                           4.646,23   2.813,87                                                                                       1.832,36              4
Moreno Palanques, Rubén (GP)                        6.739,19   2.813,87                                             1.046,48            1.046,48              1.832,36              4
Morlán Gracia, Víctor (GS)                          5.692,71   2.813,87                                             1.046,48                                  1.832,36              2
Moro Almaraz, María Jesús (GP)                      5.692,71   2.813,87                                                                 1.046,48              1.832,36              3
Moscoso del Prado Hernández, Juan (GS)              5.692,71   2.813,87                                                                 1.046,48              1.832,36              2                1
Muñoz González, Pedro José (GS)                     5.692,71   2.813,87                                                                 1.046,48              1.832,36              3
Muñoz Obón, Carlos Enrique (GP)                     5.343,88   2.813,87                                                                             697,65    1.832,36              2
Narbona Ruiz, Cristina (GS)                         4.730,91   2.813,87                                                                 1.046,48               870,56               2       1
Nasarre Goicoechea, Eugenio (GP)                    5.692,71   2.813,87                                             1.046,48                                  1.832,36              1
Navarro Cruz, María del Carmen (GP)                 5.692,71   2.813,87                                                                 1.046,48              1.832,36              3       1
Nuet Pujals, Joan Josep (GIP)       IU              7.436,84   2.813,87                                                                 2.092,96    697,65    1.832,36                           1
Olabarría Muñoz, Emilio (GV (EAJ-PNV))             12.356,42   2.813,87                                  1.431,31                       6.278,88              1.832,36              1       8
Olano Vela, Jaime Eduardo de (GP)                   5.343,88   2.813,87                                                        697,65                         1.832,36              3
Oramas González-Moro, Ana María (GMx) C. CANARIA    6.390,36   2.813,87                                                                 1.046,48    697,65    1.832,36              1   1   1
Ortiz Castellví, Laia (GIP)   ICV                   9.878,62   2.813,87                                                                 3.139,44   2.092,95   1.832,36                      1
Pacheco Atienza, Arsenio (GP)                       5.343,88   2.813,87                                                        697,65                         1.832,36              3
Pàramo i Ponsetí, Carles (GC-CiU)                   6.390,36   2.813,87                                                                 1.046,48    697,65    1.832,36                      2
Pastor González, Ildefonso R. (GP)                  5.344,17   2.813,87                                                                             697,65    1.832,65              4
Pastor Julián, Ana María (GP)                      10.394,72   2.813,87                                                                                       1.832,36   5.748,49   1
Pérez Domínguez, María Soledad (GS)                 5.692,71   2.813,87                                             1.046,48                                  1.832,36              1   1
Pérez Fernández, Rosana (GMx)            BNG        4.646,23   2.813,87                                                                                       1.832,36
Pérez Insua, Antonio (GP)                         5.343,88   2.813,87                                                                               697,65    1.832,36              3
Pérez Lapazarán, José Cruz (GP)                   5.692,71   2.813,87                                                                   1.046,48              1.832,36              3               1
Pérez Rubalcaba, Alfredo (GS)                     3.684,43   2.813,87                                                                                          870,56               2
Pezzi Cereto, Manuel (GS)                         5.692,71   2.813,87                                                                   1.046,48              1.832,36              2
Picó i Azanza, Antoni (GC-CiU)                    7.088,01   2.813,87                                                                   1.046,48   1.395,30   1.832,36                  1   2
Pigem i Palmés, Mª Mercè (GC-CiU)                 7.088,01   2.813,87                                                          697,65   1.046,48    697,65    1.832,36              1       1
Posada Moreno, Jesús (GP)                        15.860,22   2.813,87   3.064,57   3.327,89   2.728,57                                  2.092,96              1.832,36
Pozuelo Meño, María Isabel (GS)                   4.646,23   2.813,87                                                                                         1.832,36              2       1       1
Prada Presa, Alfredo (GP)                         6.077,54   2.813,87                                    1.431,31                                             1.832,36              2
Pradas Torres, Antonio Francisco (GS)             5.343,88   2.813,87                                                                               697,65    1.832,36              2       2
Puche Rodríguez-Acosta, Gabino (GP)               6.077,54   2.813,87                                    1.431,31                                             1.832,36              2               1
Puente Redondo, Javier (GP)                       5.343,88   2.813,87                                                                               697,65    1.832,36              3       2
Puig Ferrer, Joaquín Francisco (GS)               5.692,71   2.813,87                                                                   1.046,48              1.832,36              2   1
Puyuelo del Val, María Blanca (GP)                5.343,88   2.813,87                                                          697,65                         1.832,36              3
Quevedo Iturbe, Pedro (GMx) C. CANARIA            7.785,66   2.813,87                                                                   1.046,48   2.092,95   1.832,36
Quintanilla Barba, María del Carmen (GP)          6.077,54   2.813,87                                    1.431,31                                             1.832,36              2       2       1
Rajoy Brey, Mariano (GP)                         10.199,85   2.813,87                                                                                          870,56    6.515,42   1
Ramis Socias, Miquel (GP)                         6.077,54   2.813,87                                    1.431,31                                             1.832,36              2
Ramón Utrabo, Elvira (GS)                         6.041,53   2.813,87                                                          697,65               697,65    1.832,36              1       1
Rangel Tarrés, Joan (GS)                          5.692,71   2.813,87                                                                   1.046,48              1.832,36              2       1
Riera i Reñé, Inmaculada (GC-CiU)                 6.390,36   2.813,87                                                                   1.046,48    697,65    1.832,36
Rodríguez Flores, María Carmen (GP)               3.684,43   2.813,87                                                                                          870,56
Rodríguez García, Isabel (GS)                     5.343,88   2.813,87                                                          697,65                         1.832,36              2       3
Rodríguez Maniega, María del Carmen (GP)          5.692,71   2.813,87                                               1.046,48                                  1.832,36              4       2
Rodríguez Ramírez, María José (GS)                6.041,53   2.813,87                                                          697,65               697,65    1.832,36              2   1   2
Rodríguez Ramos, María Soraya (GS)                7.313,73   2.813,87              1.741,19    926,31                                                         1.832,36              3               1
Rodríguez Sánchez, María Felicidad (GP)           5.343,88   2.813,87                                                                               697,65    1.832,36              3
Rodríguez-Piñero Fernández, Inmaculada (GS)       5.692,71   2.813,87                                               1.046,48                                  1.832,36              3   1
Rodríguez-Salmones Cabeza, Beatriz (GP)           3.684,43   2.813,87                                                                                          870,56               4           1   1
Román Jasanada, Antonio (GP)                      5.692,71   2.813,87                                               1.046,48                                  1.832,36              2   1
Romero Girón, Aurelio (GP)                        6.077,54   2.813,87                                    1.431,31                                             1.832,36              3
Romero Hernández, Carmelo (GP)                    5.343,88   2.813,87                                                          697,65                         1.832,36              3
Romero Rodríguez, María Eugenia (GP)              5.343,88   2.813,87                                                                               697,65    1.832,36              2
Romero Sánchez, Rosa María (GP)                   5.692,71   2.813,87                                               1.046,48                                  1.832,36              3
Ros Martínez, Susana (GS)                         5.344,17   2.813,87                                                                               697,65    1.832,65              3       2
Ruano Gómez, Juan de Dios (GP)                    5.692,71   2.813,87                                                                   1.046,48              1.832,36              3
Ruiz i Carbonell, Joan (GS)                       5.343,88   2.813,87                                                          697,65                         1.832,36              2
Ruiz Llamas, Román (GS)                           5.343,88   2.813,87                                                                               697,65    1.832,36              3
Ruiz-Gallardón Jiménez, Alberto (GP)              9.432,92   2.813,87                                                                                          870,56    5.748,49   1
Rumí Ibáñez, María Consuelo (GS)                  5.692,71   2.813,87                                                                   1.046,48              1.832,36              2
Sáenz de Santamaría Antón, María Soraya (GP)      9.808,29   2.813,87                                                                                          870,56    6.123,86   1
Sáez Jubero, Àlex (GS)                            6.041,53   2.813,87                                                                              1.395,30   1.832,36              1       2       1
Sahuquillo García, Luis Carlos (GS)               5.343,88   2.813,87                                                                               697,65    1.832,36              3       2
Salvador Armendáriz, Carlos Casimiro (GMx) UPN    7.785,66   2.813,87                                                                   1.046,48   2.092,95   1.832,36
Sánchez Amor, José Ignacio (GS)                   6.041,53   2.813,87                                                                              1.395,30   1.832,36              2       1       1
Sánchez Barrera, José Juan (GP)                   4.646,23   2.813,87                                                                                         1.832,36
Sánchez de Alcázar Ocaña, Miguel (GP)             5.343,88   2.813,87                                                                               697,65    1.832,36              3
Sánchez Díaz, María Carmen (GS)                   4.646,23   2.813,87                                                                                         1.832,36              4           1   1
Sánchez Díaz, Ovidio (GP)                         5.692,71   2.813,87                                                                   1.046,48              1.832,36              2   1           1
Sánchez García, Celinda (GP)                      5.692,71   2.813,87                                               1.046,48                                  1.832,36              3       2
Sánchez i Llibre, Josep (GC-CiU)                  8.134,49   2.813,87                                                                   2.092,96   1.395,30   1.832,36              1   1       1
Santa Ana Fernández, María Concepción de (GP)    5.343,88   2.813,87                                                                             697,65    1.832,36              2
Saura García, Pedro (GS)                         5.692,71   2.813,87                                                                 1.046,48              1.832,36              2
Seara Sobrado, Laura Carmen (GS)                 6.390,36   2.813,87                                                                 1.046,48    697,65    1.832,36              2
Segura Clavell, José (GS)                        5.692,71   2.813,87                                                                 1.046,48              1.832,36              2       1
Serrano Argüello, María Arenales (GP)            6.390,36   2.813,87                                             1.046,48                        697,65    1.832,36              3
Serrano Calurano, Bibiano (GP)                   5.343,88   2.813,87                                                                             697,65    1.832,36              3
Serrano Coronado, Daniel (GP)                    5.343,88   2.813,87                                                                             697,65    1.832,36              2       3
Serrano Martínez, José Enrique (GS)              4.730,91   2.813,87                                             1.046,48                                   870,56               2       2
Sicilia Alférez, Felipe Jesús (GS)               5.343,88   2.813,87                                                                             697,65    1.832,36              2
Silva Rego, María del Carmen (GS)                7.784,18   2.813,87    944,49     818,46    677,35                                              697,65    1.832,36              3
Simancas Simancas, Rafael (GS)                   4.730,91   2.813,87                                                                 1.046,48               870,56               3
Sixto Iglesias, Ricardo (GIP)    IU              8.832,14   2.813,87                                                                 2.092,96   2.092,95   1.832,36              2
Soler Sicilia, Albert (GS)                       5.692,71   2.813,87                                             1.046,48                                  1.832,36              2
Solsona Aixalà, Marc (GC-CiU)                    7.088,01   2.813,87                                                        697,65   1.046,48    697,65    1.832,36              1
Soria López, José Manuel (GP)                   10.394,72   2.813,87                                                                                       1.832,36   5.748,49   1
Suárez Lamata, Eloy (GP)                         5.692,71   2.813,87                                                                 1.046,48              1.832,36              3
Suárez-Bárcena Blasco, María Cristina (GP)       4.646,23   2.813,87                                                                                       1.832,36              3
Sumelzo Jordán, Susana (GS)                      5.343,88   2.813,87                                                                             697,65    1.832,36              2       5
Surroca i Comas, Montserrat (GC-CiU)             9.180,97   2.813,87                                                                 3.139,44   1.395,30   1.832,36
Susinos Tarrero, María Jesús (GP)                5.343,88   2.813,87                                                                             697,65    1.832,36              3
Tapia Otaegi, Arantza (GV (EAJ-PNV))             9.878,63   2.813,87                                                                 5.232,40              1.832,36                  1   7
Tardà i Coma, Joan (GMx)        ESQUERRA         8.134,49   2.813,87                                                                 2.092,96   1.395,30   1.832,36              2   1
Tarno Blanco, Ricardo (GP)                       6.077,54   2.813,87                                  1.431,31                                             1.832,36              3   1
Tarruella Tomás, María Concepció (GC-CiU)        8.832,14   2.813,87                                                                 2.092,96   2.092,95   1.832,36              1
Torrado de Castro, Marta (GP)                    4.646,23   2.813,87                                                                                       1.832,36              2           1
Torres Herrera, Manuel Luis (GP)                 5.343,88   2.813,87                                                        697,65                         1.832,36              3       2
Torres Mora, José Andrés (GS)                    5.692,71   2.813,87                                                                 1.046,48              1.832,36              2
Trevín Lombán, Antonio Ramón María (GS)          6.390,36   2.813,87                                                                 1.046,48    697,65    1.832,36              2       2
Tudanca Fernández, Luis (GS)                     5.343,88   2.813,87                                                        697,65                         1.832,36              1       5
Urbina Fernández, Iker (GMx)         AMAIUR      6.739,19   2.813,87                                                                 2.092,96              1.832,36
Uriarte Ayala, Ignacio (GP)                      5.343,88   2.813,87                                                                             697,65    1.832,36              2       1
Valenciano Martínez-Orozco, Elena (GS)           4.730,91   2.813,87                                                                 1.046,48               870,56               1
Valerio Cordero, Magdalena (GS)                  6.041,53   2.813,87                                                        697,65               697,65    1.832,36              2
Vallès Vives, Francesc (GS)                      5.692,71   2.813,87                                             1.046,48                                  1.832,36              1
Vañó Ferre, Francisco (GP)                       5.692,71   2.813,87                                                                 1.046,48              1.832,36              2   1
Vázquez Blanco, Ana Belén (GP)                   5.692,71   2.813,87                                             1.046,48                                  1.832,36              3       1
Vázquez Jiménez, Antonio (GP)                    5.692,71   2.813,87                                             1.046,48                                  1.832,36              2
Vázquez Morillo, María José (GS)                 6.041,53   2.813,87                                                                            1.395,30   1.832,36              3
Vera Pró, Juan Carlos (GP)                       4.730,91   2.813,87                                             1.046,48                                   870,56               2               1
Veray Cama, Concepció (GP)                       5.343,88   2.813,87                                                        697,65                         1.832,36              2
Viera Chacón, José Antonio (GS)                  5.692,71   2.813,87                                             1.046,48                                  1.832,36              2
Villalobos Talero, Celia (GP)                    8.620,24   2.813,87   1.209,60   1.010,83   707,10              1.046,48                                  1.832,36              2
Villanova Rueda, Joaquín (GP)                    5.343,88   2.813,87                                                                             697,65    1.832,36              2       1
Villarrubia Mediavilla, Julio (GS)               5.692,71   2.813,87                                                                 1.046,48              1.832,36              1   1
Xuclà i Costa, Jordi (GC-CiU)                    7.436,84   2.813,87                                                                 2.092,96    697,65    1.832,36                      2       1
Yuste Cabello, Chesús (GIP) CHUNTA ARAGONES.     7.785,67   2.813,87                                                                 3.139,44              1.832,36                      2   1
Zaragoza Alonso, José (GS)                       4.646,23   2.813,87                                                                                       1.832,36              4           1
Zarrías Arévalo, Gaspar Carlos (GS)              5.692,71   2.813,87                                             1.046,48                                  1.832,36              1   1   1

NÓMINA DIPUTADOS OCTUBRE

  • 1.
    CONGRESO DE LOSDIPUTADOS - OCTUBRE 2012 Mesa Comisiones (Gastos representación) Gastos Gtos libre Portav. Indemniz. Miembro Vocal portav Miembro DIPUTADO (Grupo) Total Asignac. Complem. repres. disposic. Presid. Vicepres Secretar Portavoz adjunto Residenc. Gobierno Vocal supl. Adscrit sustit Delegac Abad Pérez, Juan Antonio (GP) 5.334,88 2.813,87 697,65 1.823,36 2 Ábalos Meco, José Luis (GS) 5.683,71 2.813,87 1.046,48 1.823,36 2 2 Aguiar Rodríguez, Ernesto (GP) 5.683,71 2.813,87 1.046,48 1.823,36 3 Aguilar Rivero, Rosa (GS) 5.683,71 2.813,87 1.046,48 1.823,36 2 2 Albendea Pabón, Juan Manuel (GP) 6.068,54 2.813,87 1.431,31 1.823,36 4 Alberto Pérez, Celia (GP) 5.334,88 2.813,87 697,65 1.823,36 2 Alegría Continente, María Pilar (GS) 5.683,71 2.813,87 1.046,48 1.823,36 3 Alonso Aranegui, Alfonso (GP) 7.304,73 2.813,87 1.741,19 926,31 1.823,36 3 Alonso Núñez, Alejandro (GS) 5.683,71 2.813,87 1.046,48 1.823,36 2 1 2 Alonso Ruiz, José María (GP) 5.334,88 2.813,87 697,65 1.823,36 3 1 Alonso Suárez, José Antonio (GS) 5.683,71 2.813,87 1.046,48 1.823,36 2 1 1 Álvarez Álvarez, Ángeles (GS) 4.382,08 2.813,87 697,65 870,56 2 Álvarez de Toledo Peralta Ramos, Cayetana (GP) 4.730,91 2.813,87 1.046,48 870,56 2 Álvarez Sostres, Enrique (GMx) FORO 7.079,01 2.813,87 1.046,48 1.395,30 1.823,36 1 Álvarez-Arenas Cisneros, María del Carmen (GP) 4.730,91 2.813,87 1.046,48 870,56 3 1 1 Anchuelo Crego, Álvaro (GUPyD) 9.963,31 2.813,87 6.278,88 870,56 2 2 Angulo Romero, María Teresa (GP) 5.683,71 2.813,87 1.046,48 1.823,36 3 Aparicio Pérez, Juan Carlos (GP) 6.068,54 2.813,87 1.431,31 1.823,36 3 1 Aragonés Mendiguchía, Carlos (GP) 5.115,74 2.813,87 1.431,31 870,56 2 Araújo Gil, Rogelio (GP) 5.334,88 2.813,87 697,65 1.823,36 3 Ares Martínez-Fortún, María de la O (GP) 5.334,88 2.813,87 697,65 1.823,36 3 Arias Cañete, Miguel (GP) 9.432,92 2.813,87 870,56 5.748,49 1 Ariztegui Larrañaga, Maite (GMx) AMAIUR 5.334,88 2.813,87 697,65 1.823,36 Asian González, Matilde Pastora (GP) 4.637,23 2.813,87 1.823,36 5 1 Astarloa Huarte-Mendicoa, Ignacio (GP) 4.730,91 2.813,87 1.046,48 870,56 1 1 Ayala Sánchez, Andrés José (GP) 5.683,71 2.813,87 1.046,48 1.823,36 2 1 Ayllón Manso, José Luis (GP) 4.637,23 2.813,87 1.823,36 1 Azpiazu Uriarte, Pedro María (GV (EAJ-PNV)) 9.869,63 2.813,87 5.232,40 1.823,36 3 5 Azpiroz Villar, José Eugenio (GP) 6.068,54 2.813,87 1.431,31 1.823,36 2 Baena Azuaga, María del Mar (GP) 4.637,23 2.813,87 1.823,36 4 2 Bajo Prieto, María Luz (GP) 5.683,71 2.813,87 1.046,48 1.823,36 2 1 Baldoví Roda, Joan (GMx) COMPROMIS 8.474,32 2.813,87 3.139,44 697,65 1.823,36 1 Báñez García, María Fátima (GP) 10.385,72 2.813,87 1.823,36 5.748,49 1 Barberà i Montserrat, Martí (GC-CiU) 6.730,19 2.813,87 2.092,96 1.823,36 1 Barkos Berruezo, Uxue (GMx) GEROABAI 8.823,15 2.813,87 4.185,92 1.823,36 Barreda de los Ríos, Leopoldo (GP) 5.683,71 2.813,87 1.046,48 1.823,36 4 Barreda Fontes, José María (GS) 6.068,54 2.813,87 1.431,31 1.823,36 2 Barreiro Álvarez, Pilar (GP) 5.683,71 2.813,87 1.046,48 1.823,36 1 Barrero López, Jaime Javier (GS) 8.611,24 2.813,87 1.209,60 1.010,83 707,10 1.046,48 1.823,36 2 Batet Lamaña, Meritxell (GS) 5.683,71 2.813,87 1.046,48 1.823,36 2 1 1 Bedera Bravo, Mario (GS) 5.683,71 2.813,87 1.046,48 1.823,36 2 Benegas Haddad, José María (GS) 5.683,71 2.813,87 1.046,48 1.823,36 2 1 Beneyto Pérez, José María (GP) 5.683,71 2.813,87 1.046,48 1.823,36 2 X 1 Bermúdez de Castro Fernández, José Antonio (GP) 4.637,23 2.813,87 1.823,36 3 1 Bertomeu Bertomeu, Juan (GP) 5.334,88 2.813,87 697,65 1.823,36 2 Blanco López, José (GS) 5.683,71 2.813,87 1.046,48 1.823,36 1 X Blanco Terán, Rosa Delia (GS) 4.730,91 2.813,87 1.046,48 870,56 2 1
  • 2.
    Blanquer Alcaraz, Patricia(GS) 5.334,88 2.813,87 697,65 1.823,36 3 6 Blasco Soto, Miriam Guadalupe (GP) 5.683,71 2.813,87 1.046,48 1.823,36 3 Bolarín Sánchez, María Dolores (GP) 5.334,88 2.813,87 697,65 1.823,36 3 Bonilla Domínguez, María Jesús (GP) 5.683,71 2.813,87 1.046,48 1.823,36 3 X Bosch i Pascual, Alfred (GMx) ESQUERRA 8.351,21 2.813,87 1.741,19 926,31 1.046,48 1.823,36 1 Bravo Ibáñez, Mª Concepción (GP) 5.683,71 2.813,87 1.046,48 1.823,36 4 Buyolo García, Federico (GS) 5.334,88 2.813,87 697,65 1.823,36 2 2 Caamaño Domínguez, Francisco Manuel (GS) 5.683,71 2.813,87 1.046,48 1.823,36 2 Cabello de Alba Hernández, Federico (GP) 5.334,88 2.813,87 697,65 1.823,36 3 Cabezón Ruiz, Soledad (GS) 6.032,53 2.813,87 697,65 697,65 1.823,36 2 Cabrera García, Francisco Domingo (GP) 5.334,88 2.813,87 697,65 1.823,36 2 Caicedo Bernabé, Jesús (GP) 5.683,71 2.813,87 1.046,48 1.823,36 2 Caldera Sánchez-Capitán, Jesús (GS) 5.683,71 2.813,87 1.046,48 1.823,36 2 1 Camacho Vizcaíno, Antonio (GS) 5.683,71 2.813,87 1.046,48 1.823,36 2 Camarero Benítez, Susana (GP) 5.683,71 2.813,87 1.046,48 1.823,36 4 1 1 1 Campos Arteseros, Herick Manuel (GS) 5.334,88 2.813,87 697,65 1.823,36 2 2 Camps Devesa, Gerardo (GP) 6.068,54 2.813,87 1.431,31 1.823,36 2 1 Campuzano i Canadés, Carles (GC-CiU) 8.125,49 2.813,87 2.092,96 1.395,30 1.823,36 2 1 Candón Adán, Alfonso (GP) 5.334,88 2.813,87 697,65 1.823,36 3 Cantó García del Moral, Antonio (GUPyD) 10.916,11 2.813,87 6.278,88 1.823,36 3 2 Carcedo Roces, María Luisa (GS) 4.637,23 2.813,87 1.823,36 4 8 1 Carreño Fernández, María Ascensión (GP) 5.683,71 2.813,87 1.046,48 1.823,36 3 1 Casado Blanco, Pablo (GP) 5.683,71 2.813,87 1.046,48 1.823,36 2 1 Castellano Ramón, Helena (GS) 5.334,88 2.813,87 697,65 1.823,36 2 Castillo Calvín, José Miguel (GP) 5.683,71 2.813,87 1.046,48 1.823,36 3 Centella Gómez, José Luis (GIP) IU 6.730,18 2.813,87 2.092,95 1.823,36 1 1 Cervera Soto, Santiago (GP) 6.822,38 2.813,87 944,49 818,46 677,35 697,65 870,56 4 1 Cervera Taulet, Manuel (GP) 5.683,71 2.813,87 1.046,48 1.823,36 3 Chacón Piqueras, Carme (GS) 5.683,71 2.813,87 1.046,48 1.823,36 2 Chaves González, Manuel María (GS) 6.068,54 2.813,87 1.431,31 1.823,36 2 1 Cid Muñoz, Margarita del Carmen del (GP) 5.334,88 2.813,87 697,65 1.823,36 2 Císcar Casabán, Ciprià (GS) 5.683,71 2.813,87 1.046,48 1.823,36 2 Ciuró i Buldó, Lourdes (GC-CiU) 7.776,66 2.813,87 1.046,48 2.092,95 1.823,36 1 Cobaleda Hernández, María Teresa (GP) 5.334,88 2.813,87 697,65 1.823,36 3 Cobos Trallero, Sara (GP) 4.637,23 2.813,87 1.823,36 4 Collarte Rodríguez, Guillermo (GP) 6.032,53 2.813,87 1.395,30 1.823,36 2 Conde Bajén, Agustín (GP) 6.068,54 2.813,87 1.431,31 1.823,36 2 1 1 Conde Martínez, Gema (GP) 5.334,88 2.813,87 697,65 1.823,36 3 Corcuera Plaza, Juan Carlos (GS) 5.683,71 2.813,87 1.046,48 1.823,36 2 3 Cortés Bureta, Pilar (GP) 5.683,71 2.813,87 1.046,48 1.823,36 3 Cortés Martín, Miguel Ángel (GP) 6.077,54 2.813,87 1.431,31 1.832,36 2 1 Cortizo Nieto, Miguel Ángel (GS) 5.692,71 2.813,87 1.046,48 1.832,36 2 Coscubiela Conesa, Joan (GIP) ICV 8.134,49 2.813,87 2.092,96 1.395,30 1.832,36 1 1 Costa Palacios, María Angelina (GS) 5.692,71 2.813,87 1.046,48 1.832,36 XX 1 Cuadra Lasarte, Sabino (GMx) AMAIUR 6.390,36 2.813,87 1.046,48 697,65 1.832,36 Cunillera Mestres, Teresa (GS) 7.784,18 2.813,87 944,49 818,46 677,35 697,65 1.832,36 3 De las Heras Ladera, Ascensión (GIP) IU 9.265,65 2.813,87 4.185,92 1.395,30 870,56 1 Delgado Arce, Celso Luis (GP) 6.077,54 2.813,87 1.431,31 1.832,36 2 1 Díez González, Rosa María (GUPyD) 11.584,33 2.813,87 1.741,19 926,31 5.232,40 870,56 2 7 Duran i Lleida, Josep Antoni (GC-CiU) 9.791,52 2.813,87 1.741,19 926,31 1.431,31 1.046,48 1.832,36 2 1 Durán Ramos, Eva (GP) 4.730,91 2.813,87 1.046,48 870,56 2
  • 3.
    Echávarri Fernández, Gabriel(GS) 5.343,88 2.813,87 697,65 1.832,36 2 1 3 1 Elorriaga Pisarik, Gabriel (GP) 5.115,74 2.813,87 1.431,31 870,56 2 1 Elorza González, Odón (GS) 6.390,36 2.813,87 1.046,48 697,65 1.832,36 2 1 Enbeita Maguregi, Onintza (GMx) AMAIUR 6.390,36 2.813,87 1.046,48 697,65 1.832,36 1 Erias Rey, Antonio (GP) 5.692,71 2.813,87 1.046,48 1.832,36 2 Erkoreka Gervasio, Josu Iñaki (GV (EAJ-PNV)) 8.360,21 2.813,87 1.741,19 926,31 1.046,48 1.832,36 1 2 Errekondo Saltsamendi, Xabier Mikel (GMx) AMAIUR 6.739,19 2.813,87 2.092,96 1.832,36 1 Escobar Las Heras, Conrado (GP) 5.692,71 2.813,87 1.046,48 1.832,36 3 Escudero Berzal, Beatriz Marta (GP) 6.041,53 2.813,87 1.395,30 1.832,36 2 España Reina, Carolina (GP) 5.692,71 2.813,87 1.046,48 1.832,36 3 Esteban Bravo, Aitor (GV (EAJ-PNV)) 10.925,11 2.813,87 6.278,88 1.832,36 3 1 7 Esteller Ruedas, Mª Ángeles (GP) 5.692,71 2.813,87 1.046,48 1.832,36 3 4 Esteve Ortega, Esperança (GS) 5.692,71 2.813,87 1.046,48 1.832,36 2 1 1 Fabra Fernández, Andrea (GP) 5.692,71 2.813,87 1.046,48 1.832,36 4 Fajarnés Ribas, Enrique (GP) 5.692,71 2.813,87 1.046,48 1.832,36 2 Falcón Dacal, Maravillas Concepción (GP) 5.692,71 2.813,87 1.046,48 1.832,36 3 1 Fernández Álvarez, Alejandro (GP) 5.692,71 2.813,87 1.046,48 1.832,36 3 Fernández Davila, Mª Olaia (GMx) BNG 8.134,49 2.813,87 2.092,96 1.395,30 1.832,36 1 Fernández Díaz, Jorge (GP) 10.394,72 2.813,87 1.832,36 5.748,49 1 Fernández García, Eduardo (GP) 5.343,88 2.813,87 697,65 1.832,36 3 Fernández González, Daniel (GS) 5.343,88 2.813,87 697,65 1.832,36 2 Fernández Moya, Gracia (GS) 5.343,88 2.813,87 697,65 1.832,36 2 3 Fernández-Ahuja García, María de los Ángeles (GP) 4.646,23 2.813,87 1.832,36 4 3 Ferrando Sendra, Amparo (GP) 5.692,71 2.813,87 1.046,48 1.832,36 3 Ferrer Roselló, Vicente (GP) 5.692,71 2.813,87 1.046,48 1.832,36 1 1 Figueres Górriz, María Ascensión (GP) 5.343,88 2.813,87 697,65 1.832,36 3 2 Flores Lanuza, Mario Francisco José (GP) 5.343,88 2.813,87 697,65 1.832,36 2 Floriano Corrales, Carlos Javier (GP) 5.692,71 2.813,87 1.046,48 1.832,36 3 Franquis Vera, Sebastián (GS) 5.692,71 2.813,87 1.046,48 1.832,36 2 1 Fumero Roque, Águeda (GP) 5.343,88 2.813,87 697,65 1.832,36 3 1 Gallego Arriola, María del Puerto (GS) 5.343,88 2.813,87 697,65 1.832,36 3 3 Gallego Burgos, Antonio (GP) 5.692,71 2.813,87 1.046,48 1.832,36 3 1 García Álvarez, María Caridad (GIP) IU 7.870,34 2.813,87 2.092,96 2.092,95 870,56 1 2 1 García Díez, Joaquín María (GP) 5.692,71 2.813,87 1.046,48 1.832,36 2 García Egea, Teodoro (GP) 5.692,71 2.813,87 1.046,48 1.832,36 3 García Gasulla, Guillem (GS) 5.343,88 2.813,87 697,65 1.832,36 2 1 García Pérez, Pablo (GP) 5.343,88 2.813,87 697,65 1.832,36 2 García-Tizón López, Arturo (GP) 6.077,54 2.813,87 1.431,31 1.832,36 1 1 1 Garrido Valenzuela, Irene (GP) 5.343,88 2.813,87 697,65 1.832,36 4 Garzón Espinosa, Alberto (GIP) IU 9.529,80 2.813,87 4.185,92 697,65 1.832,36 1 Gil Lázaro, Ignacio (GP) 7.784,18 2.813,87 944,49 818,46 677,35 697,65 1.832,36 2 Gómez de la Serna y Villacieros, Pedro Ramón (GP) 5.692,71 2.813,87 1.046,48 1.832,36 2 1 Gómez Sánchez, Tomás Valeriano (GS) 4.730,91 2.813,87 1.046,48 870,56 3 González Cabaña, Francisco (GS) 6.390,36 2.813,87 1.046,48 697,65 1.832,36 1 González Gutiérrez, Concepción (GP) 4.646,23 2.813,87 1.832,36 3 González Muñoz, Ángel Luis (GP) 5.343,88 2.813,87 697,65 1.832,36 2 González Pons, Esteban (GP) 4.646,23 2.813,87 1.832,36 3 González Ramos, Manuel Gabriel (GS) 5.343,88 2.813,87 697,65 1.832,36 3 2 González Vázquez, Marta (GP) 5.692,71 2.813,87 1.046,48 1.832,36 3 González Vázquez, Sebastián (GP) 5.692,71 2.813,87 1.046,48 1.832,36 2 3 1 González Veracruz, María (GS) 5.692,71 2.813,87 1.046,48 1.832,36 1 1 4
  • 4.
    Gordo Pérez, JuanLuis (GS) 5.692,71 2.813,87 1.046,48 1.832,36 2 1 Grande Pesquero, Pilar (GS) 5.692,71 2.813,87 1.046,48 1.832,36 2 1 Grau Reinés, Juan Carlos (GP) 5.692,71 2.813,87 1.046,48 1.832,36 3 1 Guerra González, Alfonso (GS) 6.077,54 2.813,87 1.431,31 1.832,36 1 Guillaumes i Ràfols, Feliu-Joan (GC-CiU) 7.088,01 2.813,87 1.046,48 1.395,30 1.832,36 1 Guillén Izquierdo, Vicente (GS) 6.041,53 2.813,87 697,65 697,65 1.832,36 1 Gutiérrez del Castillo, María Concepción (GS) 5.692,71 2.813,87 1.046,48 1.832,36 3 2 Gutiérrez Molina, Antonio (GP) 5.692,71 2.813,87 1.046,48 1.832,36 3 Heredia Díaz, Miguel Ángel (GS) 6.390,36 2.813,87 1.046,48 697,65 1.832,36 2 Heredia Martín, Silvia (GP) 5.343,88 2.813,87 697,65 1.832,36 2 Hernández Gutiérrez, Patricia (GS) 6.390,36 2.813,87 697,65 1.046,48 1.832,36 1 Hernando Fraile, Rafael Antonio (GP) 4.646,23 2.813,87 1.832,36 4 1 Hernando Vera, Antonio (GS) 4.730,91 2.813,87 1.046,48 870,56 1 2 Hernanz Costa, Sofía (GS) 5.343,88 2.813,87 697,65 1.832,36 2 Hoyo Juliá, Belén (GP) 5.343,88 2.813,87 697,65 1.832,36 2 Hurtado Zurera, Antonio (GS) 6.041,53 2.813,87 1.395,30 1.832,36 2 1 Iglesias Fontal, María Olga (GP) 5.343,88 2.813,87 697,65 1.832,36 2 Iglesias Santiago, Leire (GS) 5.692,71 2.813,87 1.046,48 1.832,36 2 1 Iñarritu García, Jon (GMx) AMAIUR 7.436,84 2.813,87 2.092,96 697,65 1.832,36 1 Jané i Guasch, Jordi (GC-CiU) 11.410,85 2.813,87 1.209,60 1.010,83 707,10 1.046,48 2.092,96 697,65 1.832,36 1 2 Jáuregui Atondo, Ramón (GS) 5.692,71 2.813,87 1.046,48 1.832,36 3 2 1 Jiménez Díaz, María Piedra Escrita (GP) 4.646,23 2.813,87 1.832,36 3 Jiménez García-Herrera, Trinidad (GS) 5.692,71 2.813,87 1.046,48 1.832,36 4 1 Jiménez Mínguez, Encarnación (GP) 4.646,23 2.813,87 1.832,36 4 Jordà i Roura, Teresa (GMx) ESQUERRA 7.088,01 2.813,87 1.046,48 1.395,30 1.832,36 Juste Picón, María Belén (GP) 5.692,71 2.813,87 1.046,48 1.832,36 2 Lagares Flores, Juan Carlos (GP) 5.692,71 2.813,87 1.046,48 1.832,36 2 Lago Martínez, María Paz (GP) 5.343,88 2.813,87 697,65 1.832,36 3 Landaluce Calleja, José Ignacio (GP) 5.692,71 2.813,87 1.046,48 1.832,36 1 1 Lanzuela Marina, Santiago (GP) 6.077,54 2.813,87 1.431,31 1.832,36 4 1 Lara Carbó, María Teresa de (GP) 4.730,91 2.813,87 1.046,48 870,56 2 1 Lara Moya, Cayo (GIP) IU 6.351,93 2.813,87 1.741,19 926,31 870,56 2 1 Larreina Valderrama, Rafael (GMx) AMAIUR 6.390,36 2.813,87 1.046,48 697,65 1.832,36 2 Lavilla Martínez, Félix (GS) 5.343,88 2.813,87 697,65 1.832,36 2 Llamazares Trigo, Gaspar (GIP) IU 9.565,80 2.813,87 1.431,31 2.092,96 1.395,30 1.832,36 1 1 Llorens Torres, José Ignacio (GP) 6.077,54 2.813,87 1.431,31 1.832,36 2 López Garrido, Diego (GS) 4.730,91 2.813,87 1.046,48 870,56 2 2 1 López Garrido, José (GP) 5.343,88 2.813,87 697,65 1.832,36 3 López González, Rocío (GP) 5.343,88 2.813,87 697,65 1.832,36 2 1 López i Chamosa, María Isabel (GS) 6.390,36 2.813,87 697,65 1.046,48 1.832,36 1 1 López-Amor García, Fernando (GP) 5.692,71 2.813,87 1.046,48 1.832,36 4 Lozano Domingo, Irene (GUPyD) 8.916,83 2.813,87 5.232,40 870,56 6 Lucio Carrasco, María Pilar (GS) 5.343,88 2.813,87 697,65 1.832,36 3 1 Luena López, César (GS) 5.692,71 2.813,87 1.046,48 1.832,36 2 2 Luis Rodríguez, Teófilo de (GP) 3.684,43 2.813,87 870,56 2 1 Macias i Arau, Pere (GC-CiU) 8.170,50 2.813,87 1.431,31 2.092,96 1.832,36 2 Madina Muñoz, Eduardo (GS) 4.646,23 2.813,87 1.832,36 4 1 Madrazo Díaz, Ana María (GP) 5.692,71 2.813,87 1.046,48 1.832,36 2 1 Mariscal Anaya, Guillermo (GP) 5.692,71 2.813,87 1.046,48 1.832,36 2 1 Márquez de la Rubia, Francisco (GP) 5.343,88 2.813,87 697,65 1.832,36 2 Martín González, María Guadalupe (GS) 5.343,88 2.813,87 697,65 1.832,36 2 1 1
  • 5.
    Martín González, Telmo(GP) 5.692,71 2.813,87 1.046,48 1.832,36 3 Martín Peré, Pablo (GS) 6.390,36 2.813,87 1.046,48 697,65 1.832,36 1 Martín Pozo, María Teresa (GP) 5.343,88 2.813,87 697,65 1.832,36 3 1 Martín Rodríguez, Enrique Luis (GP) 5.343,88 2.813,87 697,65 1.832,36 4 Martínez Gorriarán, Carlos (GUPyD) 8.916,83 2.813,87 5.232,40 870,56 1 1 10 1 Martínez Olmos, José (GS) 5.692,71 2.813,87 1.046,48 1.832,36 3 1 Martínez Rodríguez, Santiago (GP) 5.343,88 2.813,87 697,65 1.832,36 3 1 Martínez Saiz, Teófila (GP) 5.692,71 2.813,87 1.046,48 1.832,36 1 1 Martínez-Pujalte López, Vicente (GP) 5.692,71 2.813,87 1.046,48 1.832,36 2 1 1 Martín-Toledano Suárez, José Alberto (GP) 5.343,88 2.813,87 697,65 1.832,36 3 Matarí Sáez, Juan José (GP) 5.692,71 2.813,87 1.046,48 1.832,36 1 1 Mato Adrover, Ana (GP) 9.432,92 2.813,87 870,56 5.748,49 1 Matos Mascareño, Pablo (GP) 6.077,54 2.813,87 1.431,31 1.832,36 2 1 1 Meijón Couselo, Guillermo Antonio (GS) 6.041,53 2.813,87 697,65 697,65 1.832,36 1 Méndez Monasterio, Lourdes (GP) 6.077,54 2.813,87 1.431,31 1.832,36 2 Merino López, Rafael (GP) 4.646,23 2.813,87 1.832,36 4 Micheo Carrillo-Albornoz, Julia de (GP) 4.646,23 2.813,87 1.832,36 4 1 Miguélez Pariente, María Aránzazu (GP) 5.343,88 2.813,87 697,65 1.832,36 3 Mingo Zapatero, Mario (GP) 5.115,74 2.813,87 1.431,31 870,56 1 1 Molinero Hoyos, Francisco (GP) 5.343,88 2.813,87 697,65 1.832,36 3 Moneo Díez, María Sandra (GP) 5.692,71 2.813,87 1.046,48 1.832,36 3 1 Monteserín Rodríguez, María Virtudes (GS) 5.692,71 2.813,87 1.046,48 1.832,36 3 1 Montesinos de Miguel, Macarena (GP) 5.692,71 2.813,87 1.046,48 1.832,36 3 Montón Giménez, Carmen (GS) 5.692,71 2.813,87 1.046,48 1.832,36 4 Montoro Romero, Cristóbal Ricardo (GP) 10.394,72 2.813,87 1.832,36 5.748,49 1 Montserrat Montserrat, Dolors (GP) 8.620,24 2.813,87 1.209,60 1.010,83 707,10 1.046,48 1.832,36 4 Mora Bernat, Manuel (GP) 5.343,88 2.813,87 697,65 1.832,36 3 Moragas Sánchez, Jorge (GP) 4.646,23 2.813,87 1.832,36 1 Moraleja Gómez, Tristana María (GP) 5.343,88 2.813,87 697,65 1.832,36 2 Moreno Bustos, Ramón (GP) 5.692,71 2.813,87 1.046,48 1.832,36 2 1 Moreno Felipe, Irene (GP) 4.646,23 2.813,87 1.832,36 4 Moreno Palanques, Rubén (GP) 6.739,19 2.813,87 1.046,48 1.046,48 1.832,36 4 Morlán Gracia, Víctor (GS) 5.692,71 2.813,87 1.046,48 1.832,36 2 Moro Almaraz, María Jesús (GP) 5.692,71 2.813,87 1.046,48 1.832,36 3 Moscoso del Prado Hernández, Juan (GS) 5.692,71 2.813,87 1.046,48 1.832,36 2 1 Muñoz González, Pedro José (GS) 5.692,71 2.813,87 1.046,48 1.832,36 3 Muñoz Obón, Carlos Enrique (GP) 5.343,88 2.813,87 697,65 1.832,36 2 Narbona Ruiz, Cristina (GS) 4.730,91 2.813,87 1.046,48 870,56 2 1 Nasarre Goicoechea, Eugenio (GP) 5.692,71 2.813,87 1.046,48 1.832,36 1 Navarro Cruz, María del Carmen (GP) 5.692,71 2.813,87 1.046,48 1.832,36 3 1 Nuet Pujals, Joan Josep (GIP) IU 7.436,84 2.813,87 2.092,96 697,65 1.832,36 1 Olabarría Muñoz, Emilio (GV (EAJ-PNV)) 12.356,42 2.813,87 1.431,31 6.278,88 1.832,36 1 8 Olano Vela, Jaime Eduardo de (GP) 5.343,88 2.813,87 697,65 1.832,36 3 Oramas González-Moro, Ana María (GMx) C. CANARIA 6.390,36 2.813,87 1.046,48 697,65 1.832,36 1 1 1 Ortiz Castellví, Laia (GIP) ICV 9.878,62 2.813,87 3.139,44 2.092,95 1.832,36 1 Pacheco Atienza, Arsenio (GP) 5.343,88 2.813,87 697,65 1.832,36 3 Pàramo i Ponsetí, Carles (GC-CiU) 6.390,36 2.813,87 1.046,48 697,65 1.832,36 2 Pastor González, Ildefonso R. (GP) 5.344,17 2.813,87 697,65 1.832,65 4 Pastor Julián, Ana María (GP) 10.394,72 2.813,87 1.832,36 5.748,49 1 Pérez Domínguez, María Soledad (GS) 5.692,71 2.813,87 1.046,48 1.832,36 1 1 Pérez Fernández, Rosana (GMx) BNG 4.646,23 2.813,87 1.832,36
  • 6.
    Pérez Insua, Antonio(GP) 5.343,88 2.813,87 697,65 1.832,36 3 Pérez Lapazarán, José Cruz (GP) 5.692,71 2.813,87 1.046,48 1.832,36 3 1 Pérez Rubalcaba, Alfredo (GS) 3.684,43 2.813,87 870,56 2 Pezzi Cereto, Manuel (GS) 5.692,71 2.813,87 1.046,48 1.832,36 2 Picó i Azanza, Antoni (GC-CiU) 7.088,01 2.813,87 1.046,48 1.395,30 1.832,36 1 2 Pigem i Palmés, Mª Mercè (GC-CiU) 7.088,01 2.813,87 697,65 1.046,48 697,65 1.832,36 1 1 Posada Moreno, Jesús (GP) 15.860,22 2.813,87 3.064,57 3.327,89 2.728,57 2.092,96 1.832,36 Pozuelo Meño, María Isabel (GS) 4.646,23 2.813,87 1.832,36 2 1 1 Prada Presa, Alfredo (GP) 6.077,54 2.813,87 1.431,31 1.832,36 2 Pradas Torres, Antonio Francisco (GS) 5.343,88 2.813,87 697,65 1.832,36 2 2 Puche Rodríguez-Acosta, Gabino (GP) 6.077,54 2.813,87 1.431,31 1.832,36 2 1 Puente Redondo, Javier (GP) 5.343,88 2.813,87 697,65 1.832,36 3 2 Puig Ferrer, Joaquín Francisco (GS) 5.692,71 2.813,87 1.046,48 1.832,36 2 1 Puyuelo del Val, María Blanca (GP) 5.343,88 2.813,87 697,65 1.832,36 3 Quevedo Iturbe, Pedro (GMx) C. CANARIA 7.785,66 2.813,87 1.046,48 2.092,95 1.832,36 Quintanilla Barba, María del Carmen (GP) 6.077,54 2.813,87 1.431,31 1.832,36 2 2 1 Rajoy Brey, Mariano (GP) 10.199,85 2.813,87 870,56 6.515,42 1 Ramis Socias, Miquel (GP) 6.077,54 2.813,87 1.431,31 1.832,36 2 Ramón Utrabo, Elvira (GS) 6.041,53 2.813,87 697,65 697,65 1.832,36 1 1 Rangel Tarrés, Joan (GS) 5.692,71 2.813,87 1.046,48 1.832,36 2 1 Riera i Reñé, Inmaculada (GC-CiU) 6.390,36 2.813,87 1.046,48 697,65 1.832,36 Rodríguez Flores, María Carmen (GP) 3.684,43 2.813,87 870,56 Rodríguez García, Isabel (GS) 5.343,88 2.813,87 697,65 1.832,36 2 3 Rodríguez Maniega, María del Carmen (GP) 5.692,71 2.813,87 1.046,48 1.832,36 4 2 Rodríguez Ramírez, María José (GS) 6.041,53 2.813,87 697,65 697,65 1.832,36 2 1 2 Rodríguez Ramos, María Soraya (GS) 7.313,73 2.813,87 1.741,19 926,31 1.832,36 3 1 Rodríguez Sánchez, María Felicidad (GP) 5.343,88 2.813,87 697,65 1.832,36 3 Rodríguez-Piñero Fernández, Inmaculada (GS) 5.692,71 2.813,87 1.046,48 1.832,36 3 1 Rodríguez-Salmones Cabeza, Beatriz (GP) 3.684,43 2.813,87 870,56 4 1 1 Román Jasanada, Antonio (GP) 5.692,71 2.813,87 1.046,48 1.832,36 2 1 Romero Girón, Aurelio (GP) 6.077,54 2.813,87 1.431,31 1.832,36 3 Romero Hernández, Carmelo (GP) 5.343,88 2.813,87 697,65 1.832,36 3 Romero Rodríguez, María Eugenia (GP) 5.343,88 2.813,87 697,65 1.832,36 2 Romero Sánchez, Rosa María (GP) 5.692,71 2.813,87 1.046,48 1.832,36 3 Ros Martínez, Susana (GS) 5.344,17 2.813,87 697,65 1.832,65 3 2 Ruano Gómez, Juan de Dios (GP) 5.692,71 2.813,87 1.046,48 1.832,36 3 Ruiz i Carbonell, Joan (GS) 5.343,88 2.813,87 697,65 1.832,36 2 Ruiz Llamas, Román (GS) 5.343,88 2.813,87 697,65 1.832,36 3 Ruiz-Gallardón Jiménez, Alberto (GP) 9.432,92 2.813,87 870,56 5.748,49 1 Rumí Ibáñez, María Consuelo (GS) 5.692,71 2.813,87 1.046,48 1.832,36 2 Sáenz de Santamaría Antón, María Soraya (GP) 9.808,29 2.813,87 870,56 6.123,86 1 Sáez Jubero, Àlex (GS) 6.041,53 2.813,87 1.395,30 1.832,36 1 2 1 Sahuquillo García, Luis Carlos (GS) 5.343,88 2.813,87 697,65 1.832,36 3 2 Salvador Armendáriz, Carlos Casimiro (GMx) UPN 7.785,66 2.813,87 1.046,48 2.092,95 1.832,36 Sánchez Amor, José Ignacio (GS) 6.041,53 2.813,87 1.395,30 1.832,36 2 1 1 Sánchez Barrera, José Juan (GP) 4.646,23 2.813,87 1.832,36 Sánchez de Alcázar Ocaña, Miguel (GP) 5.343,88 2.813,87 697,65 1.832,36 3 Sánchez Díaz, María Carmen (GS) 4.646,23 2.813,87 1.832,36 4 1 1 Sánchez Díaz, Ovidio (GP) 5.692,71 2.813,87 1.046,48 1.832,36 2 1 1 Sánchez García, Celinda (GP) 5.692,71 2.813,87 1.046,48 1.832,36 3 2 Sánchez i Llibre, Josep (GC-CiU) 8.134,49 2.813,87 2.092,96 1.395,30 1.832,36 1 1 1
  • 7.
    Santa Ana Fernández,María Concepción de (GP) 5.343,88 2.813,87 697,65 1.832,36 2 Saura García, Pedro (GS) 5.692,71 2.813,87 1.046,48 1.832,36 2 Seara Sobrado, Laura Carmen (GS) 6.390,36 2.813,87 1.046,48 697,65 1.832,36 2 Segura Clavell, José (GS) 5.692,71 2.813,87 1.046,48 1.832,36 2 1 Serrano Argüello, María Arenales (GP) 6.390,36 2.813,87 1.046,48 697,65 1.832,36 3 Serrano Calurano, Bibiano (GP) 5.343,88 2.813,87 697,65 1.832,36 3 Serrano Coronado, Daniel (GP) 5.343,88 2.813,87 697,65 1.832,36 2 3 Serrano Martínez, José Enrique (GS) 4.730,91 2.813,87 1.046,48 870,56 2 2 Sicilia Alférez, Felipe Jesús (GS) 5.343,88 2.813,87 697,65 1.832,36 2 Silva Rego, María del Carmen (GS) 7.784,18 2.813,87 944,49 818,46 677,35 697,65 1.832,36 3 Simancas Simancas, Rafael (GS) 4.730,91 2.813,87 1.046,48 870,56 3 Sixto Iglesias, Ricardo (GIP) IU 8.832,14 2.813,87 2.092,96 2.092,95 1.832,36 2 Soler Sicilia, Albert (GS) 5.692,71 2.813,87 1.046,48 1.832,36 2 Solsona Aixalà, Marc (GC-CiU) 7.088,01 2.813,87 697,65 1.046,48 697,65 1.832,36 1 Soria López, José Manuel (GP) 10.394,72 2.813,87 1.832,36 5.748,49 1 Suárez Lamata, Eloy (GP) 5.692,71 2.813,87 1.046,48 1.832,36 3 Suárez-Bárcena Blasco, María Cristina (GP) 4.646,23 2.813,87 1.832,36 3 Sumelzo Jordán, Susana (GS) 5.343,88 2.813,87 697,65 1.832,36 2 5 Surroca i Comas, Montserrat (GC-CiU) 9.180,97 2.813,87 3.139,44 1.395,30 1.832,36 Susinos Tarrero, María Jesús (GP) 5.343,88 2.813,87 697,65 1.832,36 3 Tapia Otaegi, Arantza (GV (EAJ-PNV)) 9.878,63 2.813,87 5.232,40 1.832,36 1 7 Tardà i Coma, Joan (GMx) ESQUERRA 8.134,49 2.813,87 2.092,96 1.395,30 1.832,36 2 1 Tarno Blanco, Ricardo (GP) 6.077,54 2.813,87 1.431,31 1.832,36 3 1 Tarruella Tomás, María Concepció (GC-CiU) 8.832,14 2.813,87 2.092,96 2.092,95 1.832,36 1 Torrado de Castro, Marta (GP) 4.646,23 2.813,87 1.832,36 2 1 Torres Herrera, Manuel Luis (GP) 5.343,88 2.813,87 697,65 1.832,36 3 2 Torres Mora, José Andrés (GS) 5.692,71 2.813,87 1.046,48 1.832,36 2 Trevín Lombán, Antonio Ramón María (GS) 6.390,36 2.813,87 1.046,48 697,65 1.832,36 2 2 Tudanca Fernández, Luis (GS) 5.343,88 2.813,87 697,65 1.832,36 1 5 Urbina Fernández, Iker (GMx) AMAIUR 6.739,19 2.813,87 2.092,96 1.832,36 Uriarte Ayala, Ignacio (GP) 5.343,88 2.813,87 697,65 1.832,36 2 1 Valenciano Martínez-Orozco, Elena (GS) 4.730,91 2.813,87 1.046,48 870,56 1 Valerio Cordero, Magdalena (GS) 6.041,53 2.813,87 697,65 697,65 1.832,36 2 Vallès Vives, Francesc (GS) 5.692,71 2.813,87 1.046,48 1.832,36 1 Vañó Ferre, Francisco (GP) 5.692,71 2.813,87 1.046,48 1.832,36 2 1 Vázquez Blanco, Ana Belén (GP) 5.692,71 2.813,87 1.046,48 1.832,36 3 1 Vázquez Jiménez, Antonio (GP) 5.692,71 2.813,87 1.046,48 1.832,36 2 Vázquez Morillo, María José (GS) 6.041,53 2.813,87 1.395,30 1.832,36 3 Vera Pró, Juan Carlos (GP) 4.730,91 2.813,87 1.046,48 870,56 2 1 Veray Cama, Concepció (GP) 5.343,88 2.813,87 697,65 1.832,36 2 Viera Chacón, José Antonio (GS) 5.692,71 2.813,87 1.046,48 1.832,36 2 Villalobos Talero, Celia (GP) 8.620,24 2.813,87 1.209,60 1.010,83 707,10 1.046,48 1.832,36 2 Villanova Rueda, Joaquín (GP) 5.343,88 2.813,87 697,65 1.832,36 2 1 Villarrubia Mediavilla, Julio (GS) 5.692,71 2.813,87 1.046,48 1.832,36 1 1 Xuclà i Costa, Jordi (GC-CiU) 7.436,84 2.813,87 2.092,96 697,65 1.832,36 2 1 Yuste Cabello, Chesús (GIP) CHUNTA ARAGONES. 7.785,67 2.813,87 3.139,44 1.832,36 2 1 Zaragoza Alonso, José (GS) 4.646,23 2.813,87 1.832,36 4 1 Zarrías Arévalo, Gaspar Carlos (GS) 5.692,71 2.813,87 1.046,48 1.832,36 1 1 1