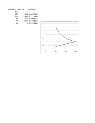
VOLUMEN    PRECIÓN       1/PRECIÓN
      150            1             1
      130        1.154    0.86655113
      110        1.364    0.73313783
        90       1.667    0.59988002
        70       2.143    0.46663556
        50           3    0.33333333   3.5

                                        3

                                       2.5

                                        2

                                       1.5

                                        1

                                       0.5

                                        0
                                             0   50   100   150
PRECIÓN
      1/PRECIÓN




200

Nidia

  • 1.
    VOLUMEN PRECIÓN 1/PRECIÓN 150 1 1 130 1.154 0.86655113 110 1.364 0.73313783 90 1.667 0.59988002 70 2.143 0.46663556 50 3 0.33333333 3.5 3 2.5 2 1.5 1 0.5 0 0 50 100 150
  • 2.
    PRECIÓN 1/PRECIÓN 200