Embed presentation
Download to read offline
















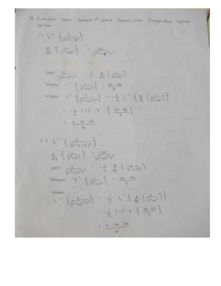
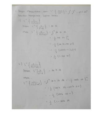
Dokumen ini berisi tentang tugas mata kuliah matematika teknik yang disusun oleh Ratna dengan NIM 0031452 yang merupakan mahasiswa semester 3 prodi Teknik Elektronika di Politeknik Manufaktur Negeri Babel tahun 2014/2015.















