ES 342 Portfolio
Greg McKinney
June 7, 2015
For Dr. Melinda Shimizu
1
TABLE OF CONTENTS
Coordinate Systems ..............................................................................................................................2
1.1 Geoprocessing With Model Builder..............................................................................................2
1.2 Working With Coordinate Systems...............................................................................................5
1.3 Resolving Coordinate System Issues.............................................................................................6
Raster Analysis ......................................................................................................................................9
2.1 Contouring And Digital Elevation Models ...................................................................................9
2.2 Vector Analysis...........................................................................................................................12
2.3 Raster Analysis ...........................................................................................................................13
Python Basics ......................................................................................................................................22
3.1 Python Script To Generate Buffer...............................................................................................24
Basic Editing Skills ...............................................................................................................................27
4.1 Terminology ................................................................................................................................27
4.2 Basic Editing Skills .......................................................................................................................28
4.3 Digitization..................................................................................................................................29
Networks.............................................................................................................................................33
5.1 Network Analysis ........................................................................................................................33
5.2 Road Network .............................................................................................................................36
5.3 Pipe Network ..............................................................................................................................40
Geocoding...........................................................................................................................................41
6.1 Address Standardization.............................................................................................................42
GIS Ethics.............................................................................................................................................48
7.1 Spatial Confidentiality And GIS ...................................................................................................48
Metadata.............................................................................................................................................52
8.1 Metadata Formats And Standards..............................................................................................52
8.2 Reading Metadata.......................................................................................................................54
Index of Figures...........................................................................................................................................56
2
COORDINATE SYSTEMS
Working with various projections of different coordinate systems, I learned they all have their
strengths and weaknesses. In this section I learned how to set up relative paths for geodatabases,
check and modify coordinate system settings of shape files and how to use the model builder.
ES 342: Lab 1
Due: 4/9/15 at 4pm
Part One:
1. Spatial Overlay Review Plus Model Builder. Pages 208-213 in Price (6th
Edition).
1.1 GEOPROCESSING WITH MODEL BUILDER
You’ll need to set up your data from the CD included with your book. It will also include the
ex_7.mxd file that you need to complete the activities on pages 208-213.
**Step 42: when it tells you to set our Workspace to the chap7results geodatabase…it is referring to a
geodatabase you would have created earlier in this particular lab (in the snail hab lab from last term).
Just make a new geodatabase called Lab1 and use that instead. Don’t remember how? Do you still
have your labs from last term? (or ask. Or Google! Or look in your textbook.)
A. In Step 44 you check the box for “store relative path names”. What does this do?
It keeps the map project working even if the files move to a different location.
**Page 209 has a LOT of helpful information. I recommend reading carefully.**
**You can skip step 50 since we made a new geodatabase**
3
B. Take a screenshot of your model after step 60 on page 213. Save your screenshot – you will need
it for your Final Project later on! Print your screenshot to turn in with this handout.
Figure 1-1 Topographic map of Sturgis South Dakota with tower positions
4
Figure 1-2 Black snail habitat in Sturgis South Dakota.
** Step 59 directs you to add a data layer from the Sturgis83 geodatabase.
This geodatabase is in the Black Hills folder in the mgisdata folder
5
C. After completing Step 61 (pg. 213), answer the following question:
What changed between the old snailhab2 and the new snailhab_all layers?
The parameters changed, instead of all vegetation was the parameter for one layer while dense
conifer only was the parameter for the other layer.
Part Two:
1.2 WORKING WITH COORDINATE SYSTEMS
2. Coordinate Systems Lab (Ch. 11 in Price). Pages 311-321 in Price (6th
Edition).
Follow the instructions in the Price Lab. Put your answers to questions on this handout below.
D. Pg. 311, Qustion 1. What is the coordinate system for this feature class?
GCS_WGS_1984
** For Step 2 – when it asks you to confirm the units are in degrees, look at the lower right of the
ArcMap window – in the gray space you should see two numbers and units. Those units should be
decimal degrees.**
E. Pg. 311, Question 2. What are the coordinates of the SE tip of Florida? (hover your mouse over
the SE tip and then look to the lower right to see the coordinates)
-80.5 W 25.2 N
Figure 1-3 Conic
projection of
Caribbean
Island nations
and territories.
6
F. Pg. 311, Question 3. What are the units of this frame? What are the display units?
Both are decimal degrees
G. Pg. 311, Question 4. What are the coordinates for Florida’s tip now?
-5569 miles West 1742 miles North
H. Pg. 312, Question 5. What are the map units for this Mercator Projection?
Meters
I. Pg. 312, Question 6. Which continent has primarily negative x AND negative y coordinates in
this projection?
South America
J. Pg. 312, Question 7. What is the central meridian? What is the latitude of origin?
-96 W and 40.0 N
K. Pg. 312, Question 8. Will any areas of the U.S. have negative y coordinates in this projection?
Why or why not?
The y-coordinate is set to zero at the point of origin, so all points to the south will be negative.
1.3 RESOLVING COORDINATE SYSTEM ISSUES
L. Pg. 313, Question 9. Is this Equidistant Conic projection a tangent or secant projection? How can
you tell?
Secant. The distortion is spread very evenly about the surface.
M. Pg. 313, Question 10. Why did the warning appear?
The coordinate system of the “states” data is different for the one used in the world data frame
7
N. Pg. 314 – why would any GIS analysis based on distance or area measurements be wrong when
data are stored in a GCS?
No, GCS can preserve both area and distance.
O. Pg. 315, Question 12. Which UTM Zone should be used for the state of Nevada? **Step 24 on
page 317 – there is no “feature” in the Projections and
Transformations Toolbox. Just skip that part and use the “Project” tool. **
UTM Zone 11
**The bottom of page 318 has VERY important information about the difference between
“define projection” and “project”. Take Note.**
P. Pg. 318, just above the TIP box, it asks which coordinate system is the correct one – Which one is
correct?
GCS_North_American_1983
Because the shape file was incorrectly set to UTM.
Q. Pg. 319. Why is it important to define projections correctly, before projecting a dataset?
If the projection is not defined correctly, data may not show up correctly once it has been
projected.
R. Pg. 320. Before “Creating a custom coordinate system”, print the benchmarks map you created to
turn in with this handout. Save the map for your Final Project.
S. Pg. 321. Print your Turkey map to turn in with this handout. Save the map for your Final Project.
8
Figure 1-4 Map of Turkey extracted from a world map shape file.
STOP!
At the end of Page 321.
We’ll georeference and project rasters in Lab 2.
9
RASTER ANALYSIS
Raster analysis can be incredibly powerful and useful. Each of these maps are of the same area.
The first shows the elevation of the Black Hills Snail Habitat as well as all known roads in the
area. Each of the subsequent maps were used in the process of isolating specific criteria that meet
the necessary conditions for a snail habitat to exist until we eventually arrive at the final map, all
from a raster image.
Greg McKinney ES 342: Lab 2
Due: 4/21/15 at 4pm
On Moodle
You may record your answers on the paper copy, and then transfer them to the Word
document for upload. Record your answers on the paper copy, scan it in to make a pdf for
upload. Or, you may record your answers directly in the Word document. The choice is
yours.
Deliverables for this lab (to upload to Moodle):
- Scanned pdf of contouring and DEM model activity.
- Answers to review questions (part 2) as .pdf or .doc
- Pdf of snail habitat map from previous labs
- Answers to lab questions as .pdf or .doc
- 6 pdf maps of various rasters from Lab 2 exercise. Can be saved into one pdf file or
multiple. Prefer one single pdf file.
Part One:
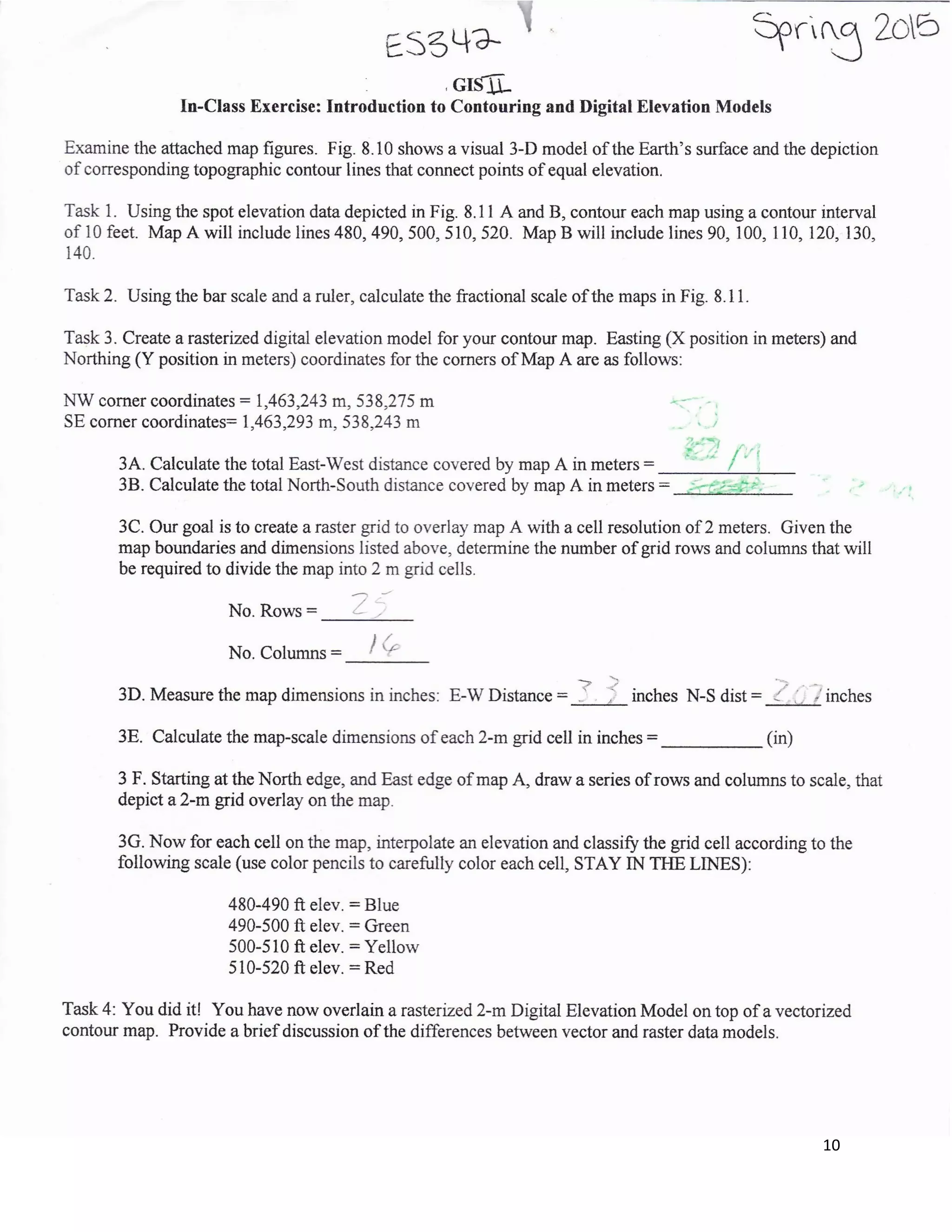
2.1 CONTOURING AND DIGITAL ELEVATION MODELS
Complete in-class Intro to contouring and digital elevation models. Scan in for your
portfolio.
10
11
12
Part Two:
Selected Chapter Review Questions:
1. Describe the difference between the terms grid and raster.
Grid is a format created by Esri, while raster is a type of overlay which uses one or
more layers of blocks which are in a grid type layout.
2. Define a Boolean raster. What values can it have?
A Boolean raster is an overlay which uses Boolean operators to manipulate the output
of the map layers, it has two values, True or False.
3. Using Figure 8.4 as a guide, state the results of the four possible combinations of 0
and 1 for the Boolean operators OR, NOT, and XOR.
OR NOT XOR
0 1 0 0 0 0
1 1 1 1 1 1
4. Imagine you have Boolean rasters for 10 different criteria regarding the siting of a
landfill. If you add the rasters together, what is the potential range of values in the
output raster?
10 different 1’s or 0’s
Part Three:
2.2 VECTOR ANALYSIS
Open the results of your Snail Habitat Vector Analysis. Either from Lab 1 of GIS II or
Lab 7 of GIS I. Take a screenshot or save a pdf of your final Snail Habitat Map. We’ll
include that in your portfolio, and also compare it to the results of raster overlay analysis
of the same habitat.
13
Part Four:
2.3 RASTER ANALYSIS
Page 229 – 243 in Price 6th
Edition. (the entire Raster Analysis Mastering the Skills)
***NOTE***Make sure to turn on the Spatial Analyst Extension. You’ll be very
frustrated if you miss that part of the instructions. ***
A. Page 231 – Q1. What percentage of this raster consists of Madison Limestone? (Show
your work)
614,674 / 80,237
= 0.1305 or 13.05%
14
Save a pdf map of your snailhabrank raster (after you adjust the symbolization).
Figure 2-1 Snail Habitat buffer added for clearing areas within the habitat along the road ways in order to reduce the number of
snails crossing the road and being ran over.
B. Page 234 – Q2. Using the cell size (30 meters) and attribute table of roadbuf300,
calculate the total area of the buffers in square kilometers (show your work). Total
area of the buffers = 354,628 X 30m X 30m
= (354,628 X 900m^2) /1,000,000
15
=319.2 km^2
Save a pdf map of your disthabitat raster.
Figure 2-2 Snail habitat-areas where elevation, vegetation and are wet enough for the
snails to be attracted to an area.
16
Save a pdf map of cabinsites.
Figure 2-3 Sturgis Cabins
17
Save a pdf map of hillshd30m.
Figure 2-4 Sturgis area with filter applied to show how much sunlight reaches the area based on the coordinates.
18
Save a pdf map of lcvarbloc,
Figure 2-5 raster mask for vegetation using block statistics.
19
lcvarfoc,
Figure 2-6 Focus on Land cover variety
20
and major5x2.
Figure 2-7 Representation of land cover after the majority filter has made two passes.
21
Write a brief paragraph explaining the differences between each to include in your
portfolio:
Map major5x2 is more generalized than the others
HillShade and the cabinsites are similar but cabinsites seems to lose detail.
Between the two two lcvar maps the lcvarfoc is easier to look at, block is as the name states very
blocky.
Save a pdf map of precipmask.
Figure 2-8 Sturgis Precipitation Mask
22
PYTHON BASICS
ArcGIS uses python scripts for many of its functions used to manipulated data into something
that can be displayed and further analyzed. Here we have a section of a city and we are tasked
with determining which streets need to be closed in order for construction work to be done in the
area. First geocoding is done and the specific area is narrowed down until we have our
construction zone.
Figure 3-1 Using the ArcMap Python console window for the first time
23
Figure 3-2Drag and drop a tool from the toolbox search window
Figure 3-3 Typed in the code for an existing tool
24
3.1 PYTHON SCRIPT TO GENERATE BUFFER
Figure 3-4 Creating a buffer using a Python script
Figure 3-5 Buffer created by script
25
Figure 3-6 Map of Westerville indicating where the construction zone will be using the buffer
26
Figure 3-7 Certificate for completing the quiz following the lab.
27
BASIC EDITING SKILLS
In the networks portion of the course we also covered editing, this map has been edited to show
different geological formations, and here the edited shapes have a mesh over them. The other
pictures are of a map that has been geocoded prior to editing and the corrected address labels
added to them.
Greg McKinney
ES 342: Lab 4
Due: 5/5/15 at 4pm
On Moodle
You may record your answers on the paper copy, and then transfer them to the Word
document for upload. Record your answers on the paper copy, scan it in to make a pdf
for upload. Or, you may record your answers directly in the Word document. The choice
is yours.
Part One:
4.1 TERMINOLOGY
Read pages 332-334 “How editing works” from Mastering ArcGIS textbook.
Define the following words:
Topology: a set of rules that specify the relationships between lines, points and
polygons to one another.
• Dangle: gaps between end-points and other line segments which should be
connected or overlaps of line segments on other line segments that should be
connected.
• Snap tolerance: essentially it is a range in which the snap to function looks to
in determining which end-points to manipulate in the area specified.
28
Part Two:
Selected Chapter Review Questions:
1. List the main types of topological errors.
Dangles- overlaps and gaps
Slivers
Disjoined polygons- shapes that are not completed correctly (either the end-points do
not meet at an intended vertex or end-poi9nts that should not be connected, are.) Lines
that intersect onto themselves.
Greg McKinney
2. If a data layer is in UTM coordinates and the data frame is set to State Plane
coordinates, in which coordinate system will the edits be stored?
The edits will be dependent upon the coordinate system already set for the data frame so
this would need to be State Plane I believe. There are conversions that can be done but
yeah…
Part Three:
4.2 BASIC EDITING SKILLS
Page 337 – 352 in Price 6th
Edition. (the entire Basic Editing Mastering the Skills
tutorial)
***NOTE***the map document “ex_12a.mxd” should be with the data on the CD that
came with the book (or from the flash drive file). You will open this map document to
get started. ***
29
A. Page 337 – Q1. What coordinate system is it?
GCS North American 1983
B. Page 340 – one of the advantages of templates is that you can easily switch between
layers – what is a template in this context?
In this situation our templates are allowing the editing of one attribute per feature class
using the feature class’s construction tools which were added through the geometry type
selected when the feature class was created.
4.3 DIGITIZATION
C. Take a screenshot of ex_12b’s zoomed in map area before editing (Step 54 on Pg.
349). Then take a second screen shot at the end, after you digitize the buildings.
Save your screenshots into a single pdf.
Part Four:
Scan in this document with your answers and submit the scanned document and the pdf of your
screenshots on Moodle by 4pm 5/5/15 to earn your points for Lab 4.
30
Figure 4-1 Edited polygons are shown with a crisscrossing mesh pattern. Selected Fault lines are denoted with green lines.
Figure 4-2 Area of focus prior to beginning.
31
Figure 4-3 Buildings and houses selected and outlined with the editor tools
32
Figure 4-4 Address Labels added.
33
NETWORKS
In the networks portion of the course we also covered editing, this map has been edited to show
different geological formations, and here the edited shapes have a mesh over them. The other
pictures are of a map that has been geocoded prior to editing and the corrected address labels
added to them.
ES 342: Lab 5
Due: 5/12/15 at 4pm
On Moodle
You may record your answers on the paper copy, and then transfer them to the Word
document for upload. Record your answers on the paper copy, scan it in to make a pdf
for upload. Or, you may record your answers directly in the Word document. The choice
is yours.
Deliverables for this lab (to upload to Moodle):
- Scanned pdf of the answers on this sheet (or you can type them up) -
4 screenshots – with captions.
You can combine your scanned pdf with a pdf of your screenshots using Adobe Acrobat, to turn
in a SINGLE pdf file. Ask me to show you if you need help with this!
Part One:
5.1 NETWORK ANALYSIS
Read pages 245 -254 “Network Analysis” in the Mastering ArcGIS text. Define the
following terms:
34
Network: Networks are pathways in which something moves upon.
Junction: Junctions are essentially nodes or vertices where zero or more edges connect.
Network weights: Network weights are values which serve as constraints for the network
edges or vertices. They are used to calculate network flows.
Part Two:
Answer the following questions (from chapter review questions):
1. Explain the difference between a geometric network and a logical network. A geometric
network is appears to be the graphical representation of the network data where as a
logical network is the representation of the network in the form of tables which contain
the attributes of the network. In Computer Science and Information Systems a Logical
database is a conceptual model of the physical database.
2. What are sources and sinks? In what type of network are they found?
Source is as the name suggest, the source of whatever is being transported by the network
often there is a value to represent some kind of force that acts upon things to be moved.
Sink is where things in the network go.
3. What is the purpose of using network weights?
The network weights are used to calculate the flow through various parts of the network.
The book uses the work cost, which is accurate, to describe their purpose. They can be used
to show the limits of taking one path versus another and influence the rate of flow through
other parts of the network as a result.
35
4. What purposes do flags and barriers serve?
Flags represent points of interest in networks.
Barriers represent obstacles to the flow through networks.
5. What are loops? Are they desirable?
A loop is a circular path or a “cycle” In some networks a loop is desirable but not
always. In a directed graph, for example, it would be a bad idea to have loops if one were
trying to find the shortest path through the graph,
Part Three:
Complete the tutorial pages 256-265.
Answer the following questions as you go:
A. Pg. 256, Q1: What weights, if any, have been created for this network?
Enabled or Disabled so a true or false (or a 0 or 1 if drawing a network flow
diagram by hand) might be used to calculate/control flow through the network.
36
5.2 ROAD NETWORK
B.Pg. 258, Q5: What is the cost and what are the units of this trip? The cost is
4176.3938 Meters
C. Pg. 258, Q6: What is the distance of this alternate route (include units!)?
Figure 5-1 Shortest Path between two junctions.
37
Figure 5-2 Route taken picking up a child at Player Drive and takes them to Meadowbrook Elementary.
38
This one just to be silly
Figure 5-3 Why did the child cross the road? They didn’t they took the bus.
39
Figure 5-4 the longest journey ever.
40
5.3 PIPE NETWORK
SCREEN SHOT: Pg. 264 - Take a screenshot of the affected customers. Add a caption to
your screenshot describing what the screenshot shows.
Figure 5-5 Network flow map of area that will need to receive notifications of maintenance work to be done.
Affected Service Area In Need Of Notification
D. Pg. 265, Q11: What is the total length in kilometers of pipe served by this
gallery? 53.239442436 Km
End Lab 5
41
GEOCODING
In the geocoding portion of the course I learned how to use ArcMap’s built-in address locator
tool for showing a locations local address. Once the address locator was working properly I was
then able to use the addresses to filter out specific locations.
ES 342: Lab 6
Due: THURSDAY 5/21/15 at 4pm
On Moodle
You may record your answers on the paper copy, and then transfer them to the Word
document for upload. Record your answers on the paper copy, scan it in to make a pdf for
upload. Or, you may record your answers directly in the Word document. The choice is
yours.
Deliverables for this lab (to upload to Moodle):
- Scanned pdf of the answers on this sheet (or you can type them up)
- 4 screenshots – with captions.
You must combine your scanned pdf with a pdf of your screenshots using Adobe Acrobat, to
turn in a SINGLE pdf file. Ask me to show you if you need help with this!
Part One:
Read pages 267 – 279 in Mastering ArcGIS 6th
Edition (Geocoding Chapter).
Answer the following questions:
A. What two data objects are required for geocoding?
42
Spatial data for a reference layer and a standardized address to be converted to an acetate
layer which would be derived from a table of addresses.
B. Parse out the following address: 1298 Bear Valley Road NW. What components are
present in this address (label each component you parse)?
1298 Number
Bear Valley Street
Road Type
NW Suffix Direction
C. Discuss the factors that would impact the geometric accuracy of a feature class derived
from geocoding:
Geometric accuracy of the reference layer and how the location of addresses are
calculated. In the real world it is difficult to find consistently spaced physical address
locations as well as the distance from the road of each address may vary from one object
to the next so this could significantly hurt the accuracy.
Part Two:
Complete the Mastering the Skills tutorial on Pages 280-293. Answer the following questions or
take the screenshots indicated.
6.1 ADDRESS STANDARDIZATION
1. Q2 on Pg. 280: which geocoding style is best to use? Why?
Dual Range, because in this situation the street names may have prefixes or suffixes that
need to be parsed as opposed to just a suffix, or a prefix or neither.
2. Q4 on Pg. 280: Which connector symbol is used for intersection addresses?
Ampersand (&) is used to concatenate.
43
3. Take a screenshot of your address locator window. Save it to add to your pdf to turn in
for this lab.
Figure 6-1 Address Locator - First Use
44
4. Take a screenshot of the completed Geocoding window.
Figure 6-2 Geocoding of addresses complete
5. Q6, Pg. 282:
How many restaurants were matched? 72 Tied? 1 unmatched? 15
6. Bottom of Page 283 – does turning a field “off” delete it?
No the table data persist regardless of which fields are turned on or off.
****Notes for pages 283-285…I’m not getting the same matches or match scores as the book.
Also, on Page 285 – I do not see 605 West St. in my list of unmatched addresses…**** Just
keep going. It seems to depend on the version of Arc we have versus what she had.
45
7. When you’re all done geocoding, take a screenshot of your geocoded layer. You may
zoom in if you wish. Add labels. Whatever you like.
Figure 6-3 Zoomed in to see a few address locations
8. Page 286. If we didn’t have the book telling us which fields to match when building our
address locator…how would we know which fields to use?
We could look at the column names in the tables associated with the addresses.
46
9. Take a screenshot of the Unmatched list of addresses – bottom of Page 287.
Figure 6-4 List of addresses that were unmatchable or too ambiguous to match.
10. Take a screenshot of the U.S. precip map (step 38) page 290.
Figure 6-5 Computed US precipitation by City
47
Take a screenshot of your geocoded geological map (bottom of Page 292).
Figure 6-6 Zoomed back out a bit to show grid
48
GIS ETHICS
GIS Ethics are a very serious topic. The lab associated with ethics in GIS demonstrated just how
easily a map using anonymous data can be reengineered to find the exact address of a point even
if it has no labeling, streets or other topological features represented in the map.
Greg McKinney: Due: 6/2/15
June 2, 2015 at 4pm
Lab 7: GIS Ethics
ES 342 | Spring 2015
Part 1:
1. Read the following article:
Curtis, A., J.W. Mills, and M. Leitner. 2006. Spatial confidentiality and GIS:
Reengineering mortality locations from published maps about Hurricane Katrina.
International Journal of Health Geographics 5(44).
7.1 SPATIAL CONFIDENTIALITY AND GIS
Available online: http://www.ij-healthgeographics.com/content/5/1/44/ Paying special attention
to the Methods Section, what did the authors do exactly for this paper? Sum up the methods in
your own words
The authors found a map someone had already published. The map contained confidential
residential information which they used to reengineer the points back to the real addresses.
Georegistration- The authors took the Advocate map and placed it over an existing shape
file of data collected to determine tract boundaries for the 2000 Census. This allowed
them to evenly assign control points across the map.
Digitizing locations- The circles were added by manually with an outer circle that
covered 1 1/2 blocks and another layer containing its corresponding centroid which they
mapped to the street map.
49
Employing Digitized locations- Using the digitized locations, maps for each
neighborhood were generated and each point was visited by the field team who recorded
addresses for corresponding mortalities as well as GPS locations and photos if those were
points marked by search and rescue teams.
Comparison of field data to the re-engineered points
They took the distance between each node and its closest street section and using
ArcGIS’s spatial join tool recorded them for both sets of coordinates (Advocate set and
the reengineered set). Additionally they counted the number of houses between the re-
engineered points and the real address for that location. They then created a simulation to
determine if the field teams were actually lead to the mortality locations by the re-
engineered map or if it was luck.
3. Paying special attention to the conclusions, why do you think the authors did what
they did? What did their study show? (again, in your own words)
I believe they had genuine concerns over the way maps are being misused and that the
HIPAA regulations are too loose because the anonymous points on the map were
apparently easy to put a real name to.
Their study was a demonstration of how easily someone can take what some people
felt was anonymous data at the time and turn it into a means of finding that exact
location (give or take a meter or 30)
4. Why is a study like this important?
Studies like this are important because they help to bring awareness to privacy concerns
which are constantly growing due to the technology at hand.
Part 2:
Find a map from a news source in the Pacific Northwest and use the methods outlined
in the Curtis et al. 2006 paper to do the same process. Specifically, you will use the
published map to georegister and digitize the spatial data.
50
The paper also went and ground-truthed their work – I will not be requiring you to do
that part.
To find out more about georegistering, you can look in the Price book. OR, and I
prefer this method, familiarize yourself with the Esri online help tools.
Here is a link to Esri’s Georegistering information for ArcMap 10.2:
http://resources.arcgis.com/en/help/main/10.2/index.html#//009t000000mn 000000
You can of course help each other as well and I will be available during class and
office hours for further assistance.
Part 3:
Reflection:
After completing Part 2, please reflect on the process. Was it challenging? Fairly
simple?
What implications does this have on data privacy?
It was easy once I understood what was going on but up until that point I found myself
scratching my head a lot.
This has severe implications upon privacy concerns since anyone with a little
know-how can take an image from the internet and re-engineer the map it comes
from when points are placed in their real locations whether or not there are any
details that can give away where they might be. I selected my map from
http://mynorthwest.com/625/743442/Earthquake-tracker-for-Seattle-and-The-Pacific-Northwest
Part 4: Deliverables
51
Please turn in (on Moodle) a single pdf that includes:
1. A scanned copy of your answers to the questions on this handout (or type them
up)
2. A copy of the map you used for Part 2
3. Your georegistered data from Part 2
Figure 7-1 Picture taken from a media website and connected to an existing shape file to re-engineer addresses
52
METADATA
Of all of the Labs we have done thus far, the one I found to be both the simplest and nothing like
what I had expected was the one on Metadata. As a computer science major I had expected
metadata to be viewed in the same manner as metadata associated with a standard relational
database but ESRI gives the map designer tools for easy viewing and editing of metadata for
spatial databases.
ES 342: Lab 8 - Metadata
Due: FRIDAY 6/5/15 at 4pm
On Moodle
You may record your answers on the paper copy, and then transfer them to the Word document
for upload. Record your answers on the paper copy, scan it in to make a pdf for upload. Or, you
may record your answers directly in the Word document. The choice is yours.
Deliverables for this lab (to upload to Moodle):
- A single pdf containing the answers to the following questions:
Part One:
Read pages 409 – 423 in Mastering ArcGIS 6th Edition (Metadata Chapter).
8.1 METADATA FORMATS AND STANDARDS
Answer the following questions:
A. What is the mission of the FGDC?
The FGDC exist as a guide over anything related to geospatial data in the United States and
serves as a go-between with the International Organization for Standardization. The FGDC
defines what information about the data should be present an in what format.
53
B. What is the difference between the source and the product when preparing metadata?
Source data contains information on who, what, when, where, whys and how’s (over
generalizing on those a bit), just as product would but the product should have the most
recent actions performed on the data listed as process steps.
C. How much metadata is required to share data on ArcGIS Online?
The minimum amount of information required for this is referred to as the item description.
D. Why have formal guidelines for testing attribute accuracy not been established? A wide
number of variable factors make testing the accuracy of many attributes too complex.
E. What aspects of logical consistency are most frequently tested and reported? The most
commonly tested and reported aspects of logical consistency deal with topological rules
regarding gaps, overlaps, disconnected lines and lines that cross but should not.
F. Contrast the temporal accuracy of a rivers feature class with that of a congressional
districts feature class.
The temporal accuracy of a river could easily vary greatly over the span of only a day or two
while the congressional districts feature class is likely to remain unchanged for up to a
decade when the next census report becomes available and determines if the districts are to
be rezoned by the party in power at that time.
Simply put the congressional district feature class has much greater temporal accuracy
than that of the rivers feature class.
G. Why will US users need to be familiar with two metadata standards for the near future?
Until everyone in the US adopts a standard that is compatible with domestic and
international metadata standards and updates all geospatial data to that standard, there
will still be data of the other standards in existence and users might need to use that data
for achieving their mapping project goals
54
8.2 READING METADATA
H. Which section of metadata would you consult to determine how to order the data and
how much they cost?
This would be contained in the distribution section.
I. Which section of metadata would you consult to determine if the ROADLENGTH field
of a roads feature class is in kilometers or miles? This would be contained in the Entity
Attributes section.
Part Two:
Complete the FIRST part ONLY of the Mastering the Skills tutorial on Pages 424 - 425.
Answer the following questions:
1. Q1 on Pg. 425: What was the publication date for this data set? June 30, 2010 is
the edition of this data set.
2. Q2 on Pg. 425: Who originated this data set? Who is the publisher? National
Atlas of the United States and the United States Geological Survey ESRI Published it.
3. Q3 on Pg. 425: How many process steps are listed? When did they occur?
I see two process steps listed. One on April 18, 2006 and another on November 1, 2003
4. Q4 on Pg. 425: What source was used to compile this data set? A compressed file
downloaded from National Atlas of the United States®
5. Q5 on Pg. 425: Can you find the original scale (scale denominator) of this data set?
2000000
55
6. Q6 on Pg. 425: How does one obtain a copy of these data?
By contacting ESRI. I found this in the Resource Points of Contact section as well as the
Distribution section. The Resource Points of Contact section actually contained more
detailed information on this.
Q7 on Pg. 425: Who produced the metadata? What standard was used?
ESRI produced the metadata
North American Profile of ISO19115 2003
Q8 on Pg. 425: What is the earthquake depth unit of measurement?
SmallInteger
Figure 8-1 Image of metadata viewed in ArcCatalog
56
INDEX OF FIGURES
Figure 1-1 Topographic map of Sturgis South Dakota with tower positions.................................................................3
Figure 1-2 Black snail habitat in Sturgis South Dakota. .................................................................................................4
Figure 1-3 Conic projection of Caribbean Island nations and territories.......................................................................5
Figure 1-4 Map of Turkey extracted from a world map shape file................................................................................8
Figure 2-1 Snail Habitat buffer added for clearing areas within the habitat along the road ways in order to reduce
the number of snails crossing the road and being ran over........................................................................................14
Figure 2-2 Snail habitat-areas where elevation, vegetation and are wet enough for the snails to be attracted to an
area..............................................................................................................................................................................15
Figure 2-3 Sturgis Cabins .............................................................................................................................................16
Figure 2-4 Sturgis area with filter applied to show how much sunlight reaches the area based on the coordinates.17
Figure 2-5 raster mask for vegetation using block statistics. ......................................................................................18
Figure 2-6 Focus on Land cover variety .......................................................................................................................19
Figure 2-7 Representation of land cover after the majority filter has made two passes. ...........................................20
Figure 2-8 Sturgis Precipitation Mask..........................................................................................................................21
Figure 3-1 Using the ArcMap Python console window for the first time ....................................................................22
Figure 3-2Drag and drop a tool from the toolbox search window ..............................................................................23
Figure 3-3 Typed in the code for an existing tool ........................................................................................................23
Figure 3-4 Creating a buffer using a Python script ......................................................................................................24
Figure 3-5 Buffer created by script..............................................................................................................................24
Figure 3-6 Map of Westerville indicating where the construction zone will be using the buffer ...............................25
Figure 3-7 Certificate for completing the quiz following the lab.................................................................................26
Figure 4-1 Edited polygons are shown with a crisscrossing mesh pattern. Selected Fault lines are denoted with
green lines. ..................................................................................................................................................................30
Figure 4-2 Area of focus prior to beginning.................................................................................................................30
Figure 4-3 Buildings and houses selected and outlined with the editor tools ............................................................31
Figure 4-4 Address Labels added.................................................................................................................................32
Figure 5-1 Shortest Path between two junctions. .......................................................................................................36
Figure 5-2 Route taken picking up a child at Player Drive and takes them to Meadowbrook Elementary. ................37
Figure 5-3 Why did the child cross the road? They didn’t they took the bus..............................................................38
Figure 5-4 The longest journey ever............................................................................................................................39
Figure 5-5 Network flow map of area that will need to receive notifications of maintenance work to be done. ......40
Figure 6-1 Address Locator - First Use.........................................................................................................................43
Figure 6-2 Geocoding of addresses complete .............................................................................................................44
Figure 6-3 Zoomed in to see a few address locations .................................................................................................45
Figure 6-4 List of addresses that were unmatchable or too ambiguous to match......................................................46
Figure 6-5 Computed US precipitation by City ............................................................................................................46
Figure 6-6 Zoomed back out a bit to show grid...........................................................................................................47
Figure 7-1 Picture taken from a media website and connected to an existing shape file to re-engineer addresses..51
Figure 8-1 Image of metadata viewed in ArcCatalog...................................................................................................55

McKinney_Greg_ES_342_Final_Project

  • 1.
    ES 342 Portfolio GregMcKinney June 7, 2015 For Dr. Melinda Shimizu
  • 2.
    1 TABLE OF CONTENTS CoordinateSystems ..............................................................................................................................2 1.1 Geoprocessing With Model Builder..............................................................................................2 1.2 Working With Coordinate Systems...............................................................................................5 1.3 Resolving Coordinate System Issues.............................................................................................6 Raster Analysis ......................................................................................................................................9 2.1 Contouring And Digital Elevation Models ...................................................................................9 2.2 Vector Analysis...........................................................................................................................12 2.3 Raster Analysis ...........................................................................................................................13 Python Basics ......................................................................................................................................22 3.1 Python Script To Generate Buffer...............................................................................................24 Basic Editing Skills ...............................................................................................................................27 4.1 Terminology ................................................................................................................................27 4.2 Basic Editing Skills .......................................................................................................................28 4.3 Digitization..................................................................................................................................29 Networks.............................................................................................................................................33 5.1 Network Analysis ........................................................................................................................33 5.2 Road Network .............................................................................................................................36 5.3 Pipe Network ..............................................................................................................................40 Geocoding...........................................................................................................................................41 6.1 Address Standardization.............................................................................................................42 GIS Ethics.............................................................................................................................................48 7.1 Spatial Confidentiality And GIS ...................................................................................................48 Metadata.............................................................................................................................................52 8.1 Metadata Formats And Standards..............................................................................................52 8.2 Reading Metadata.......................................................................................................................54 Index of Figures...........................................................................................................................................56
  • 3.
    2 COORDINATE SYSTEMS Working withvarious projections of different coordinate systems, I learned they all have their strengths and weaknesses. In this section I learned how to set up relative paths for geodatabases, check and modify coordinate system settings of shape files and how to use the model builder. ES 342: Lab 1 Due: 4/9/15 at 4pm Part One: 1. Spatial Overlay Review Plus Model Builder. Pages 208-213 in Price (6th Edition). 1.1 GEOPROCESSING WITH MODEL BUILDER You’ll need to set up your data from the CD included with your book. It will also include the ex_7.mxd file that you need to complete the activities on pages 208-213. **Step 42: when it tells you to set our Workspace to the chap7results geodatabase…it is referring to a geodatabase you would have created earlier in this particular lab (in the snail hab lab from last term). Just make a new geodatabase called Lab1 and use that instead. Don’t remember how? Do you still have your labs from last term? (or ask. Or Google! Or look in your textbook.) A. In Step 44 you check the box for “store relative path names”. What does this do? It keeps the map project working even if the files move to a different location. **Page 209 has a LOT of helpful information. I recommend reading carefully.** **You can skip step 50 since we made a new geodatabase**
  • 4.
    3 B. Take ascreenshot of your model after step 60 on page 213. Save your screenshot – you will need it for your Final Project later on! Print your screenshot to turn in with this handout. Figure 1-1 Topographic map of Sturgis South Dakota with tower positions
  • 5.
    4 Figure 1-2 Blacksnail habitat in Sturgis South Dakota. ** Step 59 directs you to add a data layer from the Sturgis83 geodatabase. This geodatabase is in the Black Hills folder in the mgisdata folder
  • 6.
    5 C. After completingStep 61 (pg. 213), answer the following question: What changed between the old snailhab2 and the new snailhab_all layers? The parameters changed, instead of all vegetation was the parameter for one layer while dense conifer only was the parameter for the other layer. Part Two: 1.2 WORKING WITH COORDINATE SYSTEMS 2. Coordinate Systems Lab (Ch. 11 in Price). Pages 311-321 in Price (6th Edition). Follow the instructions in the Price Lab. Put your answers to questions on this handout below. D. Pg. 311, Qustion 1. What is the coordinate system for this feature class? GCS_WGS_1984 ** For Step 2 – when it asks you to confirm the units are in degrees, look at the lower right of the ArcMap window – in the gray space you should see two numbers and units. Those units should be decimal degrees.** E. Pg. 311, Question 2. What are the coordinates of the SE tip of Florida? (hover your mouse over the SE tip and then look to the lower right to see the coordinates) -80.5 W 25.2 N Figure 1-3 Conic projection of Caribbean Island nations and territories.
  • 7.
    6 F. Pg. 311,Question 3. What are the units of this frame? What are the display units? Both are decimal degrees G. Pg. 311, Question 4. What are the coordinates for Florida’s tip now? -5569 miles West 1742 miles North H. Pg. 312, Question 5. What are the map units for this Mercator Projection? Meters I. Pg. 312, Question 6. Which continent has primarily negative x AND negative y coordinates in this projection? South America J. Pg. 312, Question 7. What is the central meridian? What is the latitude of origin? -96 W and 40.0 N K. Pg. 312, Question 8. Will any areas of the U.S. have negative y coordinates in this projection? Why or why not? The y-coordinate is set to zero at the point of origin, so all points to the south will be negative. 1.3 RESOLVING COORDINATE SYSTEM ISSUES L. Pg. 313, Question 9. Is this Equidistant Conic projection a tangent or secant projection? How can you tell? Secant. The distortion is spread very evenly about the surface. M. Pg. 313, Question 10. Why did the warning appear? The coordinate system of the “states” data is different for the one used in the world data frame
  • 8.
    7 N. Pg. 314– why would any GIS analysis based on distance or area measurements be wrong when data are stored in a GCS? No, GCS can preserve both area and distance. O. Pg. 315, Question 12. Which UTM Zone should be used for the state of Nevada? **Step 24 on page 317 – there is no “feature” in the Projections and Transformations Toolbox. Just skip that part and use the “Project” tool. ** UTM Zone 11 **The bottom of page 318 has VERY important information about the difference between “define projection” and “project”. Take Note.** P. Pg. 318, just above the TIP box, it asks which coordinate system is the correct one – Which one is correct? GCS_North_American_1983 Because the shape file was incorrectly set to UTM. Q. Pg. 319. Why is it important to define projections correctly, before projecting a dataset? If the projection is not defined correctly, data may not show up correctly once it has been projected. R. Pg. 320. Before “Creating a custom coordinate system”, print the benchmarks map you created to turn in with this handout. Save the map for your Final Project. S. Pg. 321. Print your Turkey map to turn in with this handout. Save the map for your Final Project.
  • 9.
    8 Figure 1-4 Mapof Turkey extracted from a world map shape file. STOP! At the end of Page 321. We’ll georeference and project rasters in Lab 2.
  • 10.
    9 RASTER ANALYSIS Raster analysiscan be incredibly powerful and useful. Each of these maps are of the same area. The first shows the elevation of the Black Hills Snail Habitat as well as all known roads in the area. Each of the subsequent maps were used in the process of isolating specific criteria that meet the necessary conditions for a snail habitat to exist until we eventually arrive at the final map, all from a raster image. Greg McKinney ES 342: Lab 2 Due: 4/21/15 at 4pm On Moodle You may record your answers on the paper copy, and then transfer them to the Word document for upload. Record your answers on the paper copy, scan it in to make a pdf for upload. Or, you may record your answers directly in the Word document. The choice is yours. Deliverables for this lab (to upload to Moodle): - Scanned pdf of contouring and DEM model activity. - Answers to review questions (part 2) as .pdf or .doc - Pdf of snail habitat map from previous labs - Answers to lab questions as .pdf or .doc - 6 pdf maps of various rasters from Lab 2 exercise. Can be saved into one pdf file or multiple. Prefer one single pdf file. Part One: 2.1 CONTOURING AND DIGITAL ELEVATION MODELS Complete in-class Intro to contouring and digital elevation models. Scan in for your portfolio.
  • 11.
  • 12.
  • 13.
    12 Part Two: Selected ChapterReview Questions: 1. Describe the difference between the terms grid and raster. Grid is a format created by Esri, while raster is a type of overlay which uses one or more layers of blocks which are in a grid type layout. 2. Define a Boolean raster. What values can it have? A Boolean raster is an overlay which uses Boolean operators to manipulate the output of the map layers, it has two values, True or False. 3. Using Figure 8.4 as a guide, state the results of the four possible combinations of 0 and 1 for the Boolean operators OR, NOT, and XOR. OR NOT XOR 0 1 0 0 0 0 1 1 1 1 1 1 4. Imagine you have Boolean rasters for 10 different criteria regarding the siting of a landfill. If you add the rasters together, what is the potential range of values in the output raster? 10 different 1’s or 0’s Part Three: 2.2 VECTOR ANALYSIS Open the results of your Snail Habitat Vector Analysis. Either from Lab 1 of GIS II or Lab 7 of GIS I. Take a screenshot or save a pdf of your final Snail Habitat Map. We’ll include that in your portfolio, and also compare it to the results of raster overlay analysis of the same habitat.
  • 14.
    13 Part Four: 2.3 RASTERANALYSIS Page 229 – 243 in Price 6th Edition. (the entire Raster Analysis Mastering the Skills) ***NOTE***Make sure to turn on the Spatial Analyst Extension. You’ll be very frustrated if you miss that part of the instructions. *** A. Page 231 – Q1. What percentage of this raster consists of Madison Limestone? (Show your work) 614,674 / 80,237 = 0.1305 or 13.05%
  • 15.
    14 Save a pdfmap of your snailhabrank raster (after you adjust the symbolization). Figure 2-1 Snail Habitat buffer added for clearing areas within the habitat along the road ways in order to reduce the number of snails crossing the road and being ran over. B. Page 234 – Q2. Using the cell size (30 meters) and attribute table of roadbuf300, calculate the total area of the buffers in square kilometers (show your work). Total area of the buffers = 354,628 X 30m X 30m = (354,628 X 900m^2) /1,000,000
  • 16.
    15 =319.2 km^2 Save apdf map of your disthabitat raster. Figure 2-2 Snail habitat-areas where elevation, vegetation and are wet enough for the snails to be attracted to an area.
  • 17.
    16 Save a pdfmap of cabinsites. Figure 2-3 Sturgis Cabins
  • 18.
    17 Save a pdfmap of hillshd30m. Figure 2-4 Sturgis area with filter applied to show how much sunlight reaches the area based on the coordinates.
  • 19.
    18 Save a pdfmap of lcvarbloc, Figure 2-5 raster mask for vegetation using block statistics.
  • 20.
    19 lcvarfoc, Figure 2-6 Focuson Land cover variety
  • 21.
    20 and major5x2. Figure 2-7Representation of land cover after the majority filter has made two passes.
  • 22.
    21 Write a briefparagraph explaining the differences between each to include in your portfolio: Map major5x2 is more generalized than the others HillShade and the cabinsites are similar but cabinsites seems to lose detail. Between the two two lcvar maps the lcvarfoc is easier to look at, block is as the name states very blocky. Save a pdf map of precipmask. Figure 2-8 Sturgis Precipitation Mask
  • 23.
    22 PYTHON BASICS ArcGIS usespython scripts for many of its functions used to manipulated data into something that can be displayed and further analyzed. Here we have a section of a city and we are tasked with determining which streets need to be closed in order for construction work to be done in the area. First geocoding is done and the specific area is narrowed down until we have our construction zone. Figure 3-1 Using the ArcMap Python console window for the first time
  • 24.
    23 Figure 3-2Drag anddrop a tool from the toolbox search window Figure 3-3 Typed in the code for an existing tool
  • 25.
    24 3.1 PYTHON SCRIPTTO GENERATE BUFFER Figure 3-4 Creating a buffer using a Python script Figure 3-5 Buffer created by script
  • 26.
    25 Figure 3-6 Mapof Westerville indicating where the construction zone will be using the buffer
  • 27.
    26 Figure 3-7 Certificatefor completing the quiz following the lab.
  • 28.
    27 BASIC EDITING SKILLS Inthe networks portion of the course we also covered editing, this map has been edited to show different geological formations, and here the edited shapes have a mesh over them. The other pictures are of a map that has been geocoded prior to editing and the corrected address labels added to them. Greg McKinney ES 342: Lab 4 Due: 5/5/15 at 4pm On Moodle You may record your answers on the paper copy, and then transfer them to the Word document for upload. Record your answers on the paper copy, scan it in to make a pdf for upload. Or, you may record your answers directly in the Word document. The choice is yours. Part One: 4.1 TERMINOLOGY Read pages 332-334 “How editing works” from Mastering ArcGIS textbook. Define the following words: Topology: a set of rules that specify the relationships between lines, points and polygons to one another. • Dangle: gaps between end-points and other line segments which should be connected or overlaps of line segments on other line segments that should be connected. • Snap tolerance: essentially it is a range in which the snap to function looks to in determining which end-points to manipulate in the area specified.
  • 29.
    28 Part Two: Selected ChapterReview Questions: 1. List the main types of topological errors. Dangles- overlaps and gaps Slivers Disjoined polygons- shapes that are not completed correctly (either the end-points do not meet at an intended vertex or end-poi9nts that should not be connected, are.) Lines that intersect onto themselves. Greg McKinney 2. If a data layer is in UTM coordinates and the data frame is set to State Plane coordinates, in which coordinate system will the edits be stored? The edits will be dependent upon the coordinate system already set for the data frame so this would need to be State Plane I believe. There are conversions that can be done but yeah… Part Three: 4.2 BASIC EDITING SKILLS Page 337 – 352 in Price 6th Edition. (the entire Basic Editing Mastering the Skills tutorial) ***NOTE***the map document “ex_12a.mxd” should be with the data on the CD that came with the book (or from the flash drive file). You will open this map document to get started. ***
  • 30.
    29 A. Page 337– Q1. What coordinate system is it? GCS North American 1983 B. Page 340 – one of the advantages of templates is that you can easily switch between layers – what is a template in this context? In this situation our templates are allowing the editing of one attribute per feature class using the feature class’s construction tools which were added through the geometry type selected when the feature class was created. 4.3 DIGITIZATION C. Take a screenshot of ex_12b’s zoomed in map area before editing (Step 54 on Pg. 349). Then take a second screen shot at the end, after you digitize the buildings. Save your screenshots into a single pdf. Part Four: Scan in this document with your answers and submit the scanned document and the pdf of your screenshots on Moodle by 4pm 5/5/15 to earn your points for Lab 4.
  • 31.
    30 Figure 4-1 Editedpolygons are shown with a crisscrossing mesh pattern. Selected Fault lines are denoted with green lines. Figure 4-2 Area of focus prior to beginning.
  • 32.
    31 Figure 4-3 Buildingsand houses selected and outlined with the editor tools
  • 33.
    32 Figure 4-4 AddressLabels added.
  • 34.
    33 NETWORKS In the networksportion of the course we also covered editing, this map has been edited to show different geological formations, and here the edited shapes have a mesh over them. The other pictures are of a map that has been geocoded prior to editing and the corrected address labels added to them. ES 342: Lab 5 Due: 5/12/15 at 4pm On Moodle You may record your answers on the paper copy, and then transfer them to the Word document for upload. Record your answers on the paper copy, scan it in to make a pdf for upload. Or, you may record your answers directly in the Word document. The choice is yours. Deliverables for this lab (to upload to Moodle): - Scanned pdf of the answers on this sheet (or you can type them up) - 4 screenshots – with captions. You can combine your scanned pdf with a pdf of your screenshots using Adobe Acrobat, to turn in a SINGLE pdf file. Ask me to show you if you need help with this! Part One: 5.1 NETWORK ANALYSIS Read pages 245 -254 “Network Analysis” in the Mastering ArcGIS text. Define the following terms:
  • 35.
    34 Network: Networks arepathways in which something moves upon. Junction: Junctions are essentially nodes or vertices where zero or more edges connect. Network weights: Network weights are values which serve as constraints for the network edges or vertices. They are used to calculate network flows. Part Two: Answer the following questions (from chapter review questions): 1. Explain the difference between a geometric network and a logical network. A geometric network is appears to be the graphical representation of the network data where as a logical network is the representation of the network in the form of tables which contain the attributes of the network. In Computer Science and Information Systems a Logical database is a conceptual model of the physical database. 2. What are sources and sinks? In what type of network are they found? Source is as the name suggest, the source of whatever is being transported by the network often there is a value to represent some kind of force that acts upon things to be moved. Sink is where things in the network go. 3. What is the purpose of using network weights? The network weights are used to calculate the flow through various parts of the network. The book uses the work cost, which is accurate, to describe their purpose. They can be used to show the limits of taking one path versus another and influence the rate of flow through other parts of the network as a result.
  • 36.
    35 4. What purposesdo flags and barriers serve? Flags represent points of interest in networks. Barriers represent obstacles to the flow through networks. 5. What are loops? Are they desirable? A loop is a circular path or a “cycle” In some networks a loop is desirable but not always. In a directed graph, for example, it would be a bad idea to have loops if one were trying to find the shortest path through the graph, Part Three: Complete the tutorial pages 256-265. Answer the following questions as you go: A. Pg. 256, Q1: What weights, if any, have been created for this network? Enabled or Disabled so a true or false (or a 0 or 1 if drawing a network flow diagram by hand) might be used to calculate/control flow through the network.
  • 37.
    36 5.2 ROAD NETWORK B.Pg.258, Q5: What is the cost and what are the units of this trip? The cost is 4176.3938 Meters C. Pg. 258, Q6: What is the distance of this alternate route (include units!)? Figure 5-1 Shortest Path between two junctions.
  • 38.
    37 Figure 5-2 Routetaken picking up a child at Player Drive and takes them to Meadowbrook Elementary.
  • 39.
    38 This one justto be silly Figure 5-3 Why did the child cross the road? They didn’t they took the bus.
  • 40.
    39 Figure 5-4 thelongest journey ever.
  • 41.
    40 5.3 PIPE NETWORK SCREENSHOT: Pg. 264 - Take a screenshot of the affected customers. Add a caption to your screenshot describing what the screenshot shows. Figure 5-5 Network flow map of area that will need to receive notifications of maintenance work to be done. Affected Service Area In Need Of Notification D. Pg. 265, Q11: What is the total length in kilometers of pipe served by this gallery? 53.239442436 Km End Lab 5
  • 42.
    41 GEOCODING In the geocodingportion of the course I learned how to use ArcMap’s built-in address locator tool for showing a locations local address. Once the address locator was working properly I was then able to use the addresses to filter out specific locations. ES 342: Lab 6 Due: THURSDAY 5/21/15 at 4pm On Moodle You may record your answers on the paper copy, and then transfer them to the Word document for upload. Record your answers on the paper copy, scan it in to make a pdf for upload. Or, you may record your answers directly in the Word document. The choice is yours. Deliverables for this lab (to upload to Moodle): - Scanned pdf of the answers on this sheet (or you can type them up) - 4 screenshots – with captions. You must combine your scanned pdf with a pdf of your screenshots using Adobe Acrobat, to turn in a SINGLE pdf file. Ask me to show you if you need help with this! Part One: Read pages 267 – 279 in Mastering ArcGIS 6th Edition (Geocoding Chapter). Answer the following questions: A. What two data objects are required for geocoding?
  • 43.
    42 Spatial data fora reference layer and a standardized address to be converted to an acetate layer which would be derived from a table of addresses. B. Parse out the following address: 1298 Bear Valley Road NW. What components are present in this address (label each component you parse)? 1298 Number Bear Valley Street Road Type NW Suffix Direction C. Discuss the factors that would impact the geometric accuracy of a feature class derived from geocoding: Geometric accuracy of the reference layer and how the location of addresses are calculated. In the real world it is difficult to find consistently spaced physical address locations as well as the distance from the road of each address may vary from one object to the next so this could significantly hurt the accuracy. Part Two: Complete the Mastering the Skills tutorial on Pages 280-293. Answer the following questions or take the screenshots indicated. 6.1 ADDRESS STANDARDIZATION 1. Q2 on Pg. 280: which geocoding style is best to use? Why? Dual Range, because in this situation the street names may have prefixes or suffixes that need to be parsed as opposed to just a suffix, or a prefix or neither. 2. Q4 on Pg. 280: Which connector symbol is used for intersection addresses? Ampersand (&) is used to concatenate.
  • 44.
    43 3. Take ascreenshot of your address locator window. Save it to add to your pdf to turn in for this lab. Figure 6-1 Address Locator - First Use
  • 45.
    44 4. Take ascreenshot of the completed Geocoding window. Figure 6-2 Geocoding of addresses complete 5. Q6, Pg. 282: How many restaurants were matched? 72 Tied? 1 unmatched? 15 6. Bottom of Page 283 – does turning a field “off” delete it? No the table data persist regardless of which fields are turned on or off. ****Notes for pages 283-285…I’m not getting the same matches or match scores as the book. Also, on Page 285 – I do not see 605 West St. in my list of unmatched addresses…**** Just keep going. It seems to depend on the version of Arc we have versus what she had.
  • 46.
    45 7. When you’reall done geocoding, take a screenshot of your geocoded layer. You may zoom in if you wish. Add labels. Whatever you like. Figure 6-3 Zoomed in to see a few address locations 8. Page 286. If we didn’t have the book telling us which fields to match when building our address locator…how would we know which fields to use? We could look at the column names in the tables associated with the addresses.
  • 47.
    46 9. Take ascreenshot of the Unmatched list of addresses – bottom of Page 287. Figure 6-4 List of addresses that were unmatchable or too ambiguous to match. 10. Take a screenshot of the U.S. precip map (step 38) page 290. Figure 6-5 Computed US precipitation by City
  • 48.
    47 Take a screenshotof your geocoded geological map (bottom of Page 292). Figure 6-6 Zoomed back out a bit to show grid
  • 49.
    48 GIS ETHICS GIS Ethicsare a very serious topic. The lab associated with ethics in GIS demonstrated just how easily a map using anonymous data can be reengineered to find the exact address of a point even if it has no labeling, streets or other topological features represented in the map. Greg McKinney: Due: 6/2/15 June 2, 2015 at 4pm Lab 7: GIS Ethics ES 342 | Spring 2015 Part 1: 1. Read the following article: Curtis, A., J.W. Mills, and M. Leitner. 2006. Spatial confidentiality and GIS: Reengineering mortality locations from published maps about Hurricane Katrina. International Journal of Health Geographics 5(44). 7.1 SPATIAL CONFIDENTIALITY AND GIS Available online: http://www.ij-healthgeographics.com/content/5/1/44/ Paying special attention to the Methods Section, what did the authors do exactly for this paper? Sum up the methods in your own words The authors found a map someone had already published. The map contained confidential residential information which they used to reengineer the points back to the real addresses. Georegistration- The authors took the Advocate map and placed it over an existing shape file of data collected to determine tract boundaries for the 2000 Census. This allowed them to evenly assign control points across the map. Digitizing locations- The circles were added by manually with an outer circle that covered 1 1/2 blocks and another layer containing its corresponding centroid which they mapped to the street map.
  • 50.
    49 Employing Digitized locations-Using the digitized locations, maps for each neighborhood were generated and each point was visited by the field team who recorded addresses for corresponding mortalities as well as GPS locations and photos if those were points marked by search and rescue teams. Comparison of field data to the re-engineered points They took the distance between each node and its closest street section and using ArcGIS’s spatial join tool recorded them for both sets of coordinates (Advocate set and the reengineered set). Additionally they counted the number of houses between the re- engineered points and the real address for that location. They then created a simulation to determine if the field teams were actually lead to the mortality locations by the re- engineered map or if it was luck. 3. Paying special attention to the conclusions, why do you think the authors did what they did? What did their study show? (again, in your own words) I believe they had genuine concerns over the way maps are being misused and that the HIPAA regulations are too loose because the anonymous points on the map were apparently easy to put a real name to. Their study was a demonstration of how easily someone can take what some people felt was anonymous data at the time and turn it into a means of finding that exact location (give or take a meter or 30) 4. Why is a study like this important? Studies like this are important because they help to bring awareness to privacy concerns which are constantly growing due to the technology at hand. Part 2: Find a map from a news source in the Pacific Northwest and use the methods outlined in the Curtis et al. 2006 paper to do the same process. Specifically, you will use the published map to georegister and digitize the spatial data.
  • 51.
    50 The paper alsowent and ground-truthed their work – I will not be requiring you to do that part. To find out more about georegistering, you can look in the Price book. OR, and I prefer this method, familiarize yourself with the Esri online help tools. Here is a link to Esri’s Georegistering information for ArcMap 10.2: http://resources.arcgis.com/en/help/main/10.2/index.html#//009t000000mn 000000 You can of course help each other as well and I will be available during class and office hours for further assistance. Part 3: Reflection: After completing Part 2, please reflect on the process. Was it challenging? Fairly simple? What implications does this have on data privacy? It was easy once I understood what was going on but up until that point I found myself scratching my head a lot. This has severe implications upon privacy concerns since anyone with a little know-how can take an image from the internet and re-engineer the map it comes from when points are placed in their real locations whether or not there are any details that can give away where they might be. I selected my map from http://mynorthwest.com/625/743442/Earthquake-tracker-for-Seattle-and-The-Pacific-Northwest Part 4: Deliverables
  • 52.
    51 Please turn in(on Moodle) a single pdf that includes: 1. A scanned copy of your answers to the questions on this handout (or type them up) 2. A copy of the map you used for Part 2 3. Your georegistered data from Part 2 Figure 7-1 Picture taken from a media website and connected to an existing shape file to re-engineer addresses
  • 53.
    52 METADATA Of all ofthe Labs we have done thus far, the one I found to be both the simplest and nothing like what I had expected was the one on Metadata. As a computer science major I had expected metadata to be viewed in the same manner as metadata associated with a standard relational database but ESRI gives the map designer tools for easy viewing and editing of metadata for spatial databases. ES 342: Lab 8 - Metadata Due: FRIDAY 6/5/15 at 4pm On Moodle You may record your answers on the paper copy, and then transfer them to the Word document for upload. Record your answers on the paper copy, scan it in to make a pdf for upload. Or, you may record your answers directly in the Word document. The choice is yours. Deliverables for this lab (to upload to Moodle): - A single pdf containing the answers to the following questions: Part One: Read pages 409 – 423 in Mastering ArcGIS 6th Edition (Metadata Chapter). 8.1 METADATA FORMATS AND STANDARDS Answer the following questions: A. What is the mission of the FGDC? The FGDC exist as a guide over anything related to geospatial data in the United States and serves as a go-between with the International Organization for Standardization. The FGDC defines what information about the data should be present an in what format.
  • 54.
    53 B. What isthe difference between the source and the product when preparing metadata? Source data contains information on who, what, when, where, whys and how’s (over generalizing on those a bit), just as product would but the product should have the most recent actions performed on the data listed as process steps. C. How much metadata is required to share data on ArcGIS Online? The minimum amount of information required for this is referred to as the item description. D. Why have formal guidelines for testing attribute accuracy not been established? A wide number of variable factors make testing the accuracy of many attributes too complex. E. What aspects of logical consistency are most frequently tested and reported? The most commonly tested and reported aspects of logical consistency deal with topological rules regarding gaps, overlaps, disconnected lines and lines that cross but should not. F. Contrast the temporal accuracy of a rivers feature class with that of a congressional districts feature class. The temporal accuracy of a river could easily vary greatly over the span of only a day or two while the congressional districts feature class is likely to remain unchanged for up to a decade when the next census report becomes available and determines if the districts are to be rezoned by the party in power at that time. Simply put the congressional district feature class has much greater temporal accuracy than that of the rivers feature class. G. Why will US users need to be familiar with two metadata standards for the near future? Until everyone in the US adopts a standard that is compatible with domestic and international metadata standards and updates all geospatial data to that standard, there will still be data of the other standards in existence and users might need to use that data for achieving their mapping project goals
  • 55.
    54 8.2 READING METADATA H.Which section of metadata would you consult to determine how to order the data and how much they cost? This would be contained in the distribution section. I. Which section of metadata would you consult to determine if the ROADLENGTH field of a roads feature class is in kilometers or miles? This would be contained in the Entity Attributes section. Part Two: Complete the FIRST part ONLY of the Mastering the Skills tutorial on Pages 424 - 425. Answer the following questions: 1. Q1 on Pg. 425: What was the publication date for this data set? June 30, 2010 is the edition of this data set. 2. Q2 on Pg. 425: Who originated this data set? Who is the publisher? National Atlas of the United States and the United States Geological Survey ESRI Published it. 3. Q3 on Pg. 425: How many process steps are listed? When did they occur? I see two process steps listed. One on April 18, 2006 and another on November 1, 2003 4. Q4 on Pg. 425: What source was used to compile this data set? A compressed file downloaded from National Atlas of the United States® 5. Q5 on Pg. 425: Can you find the original scale (scale denominator) of this data set? 2000000
  • 56.
    55 6. Q6 onPg. 425: How does one obtain a copy of these data? By contacting ESRI. I found this in the Resource Points of Contact section as well as the Distribution section. The Resource Points of Contact section actually contained more detailed information on this. Q7 on Pg. 425: Who produced the metadata? What standard was used? ESRI produced the metadata North American Profile of ISO19115 2003 Q8 on Pg. 425: What is the earthquake depth unit of measurement? SmallInteger Figure 8-1 Image of metadata viewed in ArcCatalog
  • 57.
    56 INDEX OF FIGURES Figure1-1 Topographic map of Sturgis South Dakota with tower positions.................................................................3 Figure 1-2 Black snail habitat in Sturgis South Dakota. .................................................................................................4 Figure 1-3 Conic projection of Caribbean Island nations and territories.......................................................................5 Figure 1-4 Map of Turkey extracted from a world map shape file................................................................................8 Figure 2-1 Snail Habitat buffer added for clearing areas within the habitat along the road ways in order to reduce the number of snails crossing the road and being ran over........................................................................................14 Figure 2-2 Snail habitat-areas where elevation, vegetation and are wet enough for the snails to be attracted to an area..............................................................................................................................................................................15 Figure 2-3 Sturgis Cabins .............................................................................................................................................16 Figure 2-4 Sturgis area with filter applied to show how much sunlight reaches the area based on the coordinates.17 Figure 2-5 raster mask for vegetation using block statistics. ......................................................................................18 Figure 2-6 Focus on Land cover variety .......................................................................................................................19 Figure 2-7 Representation of land cover after the majority filter has made two passes. ...........................................20 Figure 2-8 Sturgis Precipitation Mask..........................................................................................................................21 Figure 3-1 Using the ArcMap Python console window for the first time ....................................................................22 Figure 3-2Drag and drop a tool from the toolbox search window ..............................................................................23 Figure 3-3 Typed in the code for an existing tool ........................................................................................................23 Figure 3-4 Creating a buffer using a Python script ......................................................................................................24 Figure 3-5 Buffer created by script..............................................................................................................................24 Figure 3-6 Map of Westerville indicating where the construction zone will be using the buffer ...............................25 Figure 3-7 Certificate for completing the quiz following the lab.................................................................................26 Figure 4-1 Edited polygons are shown with a crisscrossing mesh pattern. Selected Fault lines are denoted with green lines. ..................................................................................................................................................................30 Figure 4-2 Area of focus prior to beginning.................................................................................................................30 Figure 4-3 Buildings and houses selected and outlined with the editor tools ............................................................31 Figure 4-4 Address Labels added.................................................................................................................................32 Figure 5-1 Shortest Path between two junctions. .......................................................................................................36 Figure 5-2 Route taken picking up a child at Player Drive and takes them to Meadowbrook Elementary. ................37 Figure 5-3 Why did the child cross the road? They didn’t they took the bus..............................................................38 Figure 5-4 The longest journey ever............................................................................................................................39 Figure 5-5 Network flow map of area that will need to receive notifications of maintenance work to be done. ......40 Figure 6-1 Address Locator - First Use.........................................................................................................................43 Figure 6-2 Geocoding of addresses complete .............................................................................................................44 Figure 6-3 Zoomed in to see a few address locations .................................................................................................45 Figure 6-4 List of addresses that were unmatchable or too ambiguous to match......................................................46 Figure 6-5 Computed US precipitation by City ............................................................................................................46 Figure 6-6 Zoomed back out a bit to show grid...........................................................................................................47 Figure 7-1 Picture taken from a media website and connected to an existing shape file to re-engineer addresses..51 Figure 8-1 Image of metadata viewed in ArcCatalog...................................................................................................55