Download free for 30 days
Sign in
Upload
Language (EN)
Support
Business
Mobile
Social Media
Marketing
Technology
Art & Photos
Career
Design
Education
Presentations & Public Speaking
Government & Nonprofit
Healthcare
Internet
Law
Leadership & Management
Automotive
Engineering
Software
Recruiting & HR
Retail
Sales
Services
Science
Small Business & Entrepreneurship
Food
Environment
Economy & Finance
Data & Analytics
Investor Relations
Sports
Spiritual
News & Politics
Travel
Self Improvement
Real Estate
Entertainment & Humor
Health & Medicine
Devices & Hardware
Lifestyle
Change Language
Language
English
Español
Português
Français
Deutsche
Cancel
Save
EN
SC
Uploaded by
Silvia c?dova
2,382 views
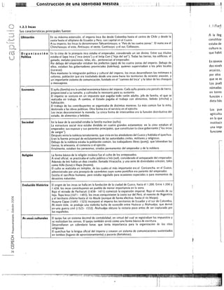
Mayas , aztecas e incas
Cuadro de síntesis
Education
◦
Read more
0
Save
Share
Embed
Embed presentation
Download
Downloaded 17 times
1
/ 3
2
/ 3
3
/ 3
More Related Content
PPTX
Civilización maya
by
Silvia c?dova
PPT
Aportes imperio azteca.ppt
by
ilrenard
PPTX
LA CIVILAZACION MAYA
by
mishellvargas
PPT
CULTURA MAYA
by
Liliana Quirós
PPT
Aportes de los Mayas
by
AnaYanci1213
PPTX
Pensamiento visible.pptx
by
Silvia c?dova
DOCX
Tarjetas de actividades.docx
by
Silvia c?dova
DOCX
Tarjetas Escape Room .docx
by
Silvia c?dova
Civilización maya
by
Silvia c?dova
Aportes imperio azteca.ppt
by
ilrenard
LA CIVILAZACION MAYA
by
mishellvargas
CULTURA MAYA
by
Liliana Quirós
Aportes de los Mayas
by
AnaYanci1213
Pensamiento visible.pptx
by
Silvia c?dova
Tarjetas de actividades.docx
by
Silvia c?dova
Tarjetas Escape Room .docx
by
Silvia c?dova
More from Silvia c?dova
DOCX
Resumen de película.docx
by
Silvia c?dova
DOCX
Feedback Pares.docx
by
Silvia c?dova
PPTX
Introducción a la Economía (1).pptx
by
Silvia c?dova
PPTX
2 - Proyecto de colonización.pptx
by
Silvia c?dova
PDF
4 - Guerra del Pacífico.pdf
by
Silvia c?dova
PPTX
1. Exploración del territorio.pptx
by
Silvia c?dova
PPTX
3 - Araucanía.pptx
by
Silvia c?dova
PPT
U2 - Organización y consolidación de la república.ppt
by
Silvia c?dova
DOCX
Organización y consolidación de la república (1823 - 1861).docx
by
Silvia c?dova
PPT
U1 - Tema III. Cien años de paz.ppt
by
Silvia c?dova
PPTX
U1 - Tema IV - La Primera Guerra Mundial.pptx
by
Silvia c?dova
PPTX
U1 - Tema II. La división del trabajo.pptx
by
Silvia c?dova
PPTX
U1 - Tema I. Introducción al siglo XIX.pptx
by
Silvia c?dova
PDF
U1 - Guía resumen.pdf
by
Silvia c?dova
PPTX
U4 Edad Media.pptx
by
Silvia c?dova
PPTX
La moda en la Edad Media.pptx
by
Silvia c?dova
DOCX
Tarjetas para juego de narración medieval.docx
by
Silvia c?dova
DOCX
La Edad Media - resumen.docx
by
Silvia c?dova
PPTX
Tema II. El legado democrático.pptx
by
Silvia c?dova
PPTX
Tema III. Canon cultural clásico.pptx
by
Silvia c?dova
Resumen de película.docx
by
Silvia c?dova
Feedback Pares.docx
by
Silvia c?dova
Introducción a la Economía (1).pptx
by
Silvia c?dova
2 - Proyecto de colonización.pptx
by
Silvia c?dova
4 - Guerra del Pacífico.pdf
by
Silvia c?dova
1. Exploración del territorio.pptx
by
Silvia c?dova
3 - Araucanía.pptx
by
Silvia c?dova
U2 - Organización y consolidación de la república.ppt
by
Silvia c?dova
Organización y consolidación de la república (1823 - 1861).docx
by
Silvia c?dova
U1 - Tema III. Cien años de paz.ppt
by
Silvia c?dova
U1 - Tema IV - La Primera Guerra Mundial.pptx
by
Silvia c?dova
U1 - Tema II. La división del trabajo.pptx
by
Silvia c?dova
U1 - Tema I. Introducción al siglo XIX.pptx
by
Silvia c?dova
U1 - Guía resumen.pdf
by
Silvia c?dova
U4 Edad Media.pptx
by
Silvia c?dova
La moda en la Edad Media.pptx
by
Silvia c?dova
Tarjetas para juego de narración medieval.docx
by
Silvia c?dova
La Edad Media - resumen.docx
by
Silvia c?dova
Tema II. El legado democrático.pptx
by
Silvia c?dova
Tema III. Canon cultural clásico.pptx
by
Silvia c?dova
Download