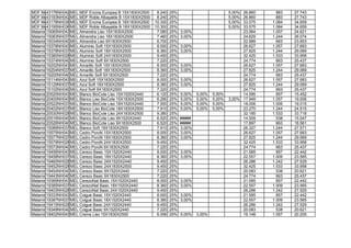
Volver al Indice      VIÑUELA NOVIEMBRE 2011           Precio                   Descuentos                 Precio      Flete x Pls.   Precio
Familia   código                   Producto              Lista     Vol.   UL      Adic.  Ofer.      Otro     Sin Flete   Stgo.          Con Flete
Ecoplac 11993NH110 ECOPLAC 6X1080X2440                     1.410   25%                                        2.787            245       3.032
Ecoplac 10019NH110 ECOPLAC 6X1520X2440                     1.560   25%                                        4.339            345       4.684
Ecoplac 11995NH085 ECOPLAC 8X1080X2440                     1.580   25%                                        3.123            321       3.444
Ecoplac 11991NH085 ECOPLAC 8X1520X2440                     1.730   25%             5,00%                      4.572            452       5.024
Enchapado
        28293NH045 ENCH ENC/EUC 15X2480X1500               8.910   25%             5,00%                     23.616          1.146      24.762
Enchapado
        28299NH037 ENCH ENC/EUC 18X2480X1500               9.310   25%             5,00%                     24.676          1.269      25.945
Enchapado
        28297NH045 ENCH Encina 15X2480X1500               10.640   25%             5,00%                     28.201          1.146      29.347
Enchapado
        28303NH037 ENCH Encina 18X2480X1500               10.970   25%             5,00%                     29.076          1.269      30.345
Enchapado
        28295NH045 ENCH Eucalipto 15X2480X1500             7.850   25%             8,00% 10,00%              18.134          1.146      19.280
Enchapado
        28301NH037 ENCH Eucalipto 18X2480X1500             8.060   25%             8,00% 10,00%              18.620          1.269      19.888
HR      11626NH055 PLACA HR 12X1520X2440                   3.980   25%                                       11.071            627      11.698
HR      11628NH045 PLACA HR 15X1520X2440                   4.060   25%                                       11.293            783      12.076
HR      11631NH038 PLACA HR 18X1520X2440                   4.720   25%                                       13.129            894      14.023
Masisa 11594NH055 PLACA 12X1520X2440                       3.110   25%                                        8.651            682       9.333
Masisa 11596NH045 PLACA 15X1520X2440                       3.410   25%    5,00%    5,00%                      8.560            857       9.417
Masisa 11598NH038 PLACA 18X1520X2440                       4.040   25%    5,00%    5,00%                     10.142          1.009      11.151
Masisa 76221NH045 MDP PRO 15X1520X2440                     3.770   25%    5,00%    5,00%                      9.464            857      10.321
Masisa 76223NH038 MDP PRO 18X1520X2440                     4.480   25%    5,00%    5,00%                     11.247          1.009      12.255
Masisa 11602NH028 PLACA 24X1520X2440                       5.750   25%                                       15.994          1.242      17.237
Masisa 11633NH020 PLACA 32X1520X2440                       6.660   25%                                       18.525          1.658      20.183
Masisa 11592NH078 PLACA 9X1520X2440                        2.750   25%                                        7.649            538       8.187
Panel 11600NH028 PANEL 24X1520X2440                        4.020   25%                                       11.182            942      12.124
Panel 11604NH020 PANEL 32X1520X2440                        5.110   25%                                       14.214          1.165      15.379
MDF     31659NH200 MDF 3X1520X2440                         2.150   25%    5,50%    5,00%   12,50%   32,38%    3.177            189       3.366
MDF     31660NH160 MDF 4X1520X2440                         2.830   25%    5,50%    5,00%   17,80%   30,02%    4.065            237       4.303
MDF     31661NH124 MDF 5,5X1520X2440                       3.350   25%    5,50%    5,00%   18,70%   20,97%    5.375            308       5.683
MDF     31662NH072 MDF 9X1520X2440                         4.560   25%    5,50%    5,00%   14,50%   33,59%    6.466            430       6.896
MDF     31663NH055 MDF 12X1520X2440                        5.310   25%    4,10%    5,00%   22,60%   27,18%    7.585            571       8.156
MDF     31664NH042 MDF 15X1520X2440                        6.260   25%    4,08%    5,00%   23,29%   29,62%    8.567            716       9.283
MDF     31665NH036 MDF 18X1520X2440                        7.370   25%    4,05%    5,00%   19,72%   32,72%   10.094            879      10.973
MDF     31666NH032 MDF 20X1520X2440                        8.150   25%    4,16%    5,00%   23,00%   26,21%   11.727            953      12.680
MDF     31667NH026 MDF 25X1520X2440                       10.500   25%    4,15%    5,00%   21,78%   27,70%   15.040          1.191      16.230
MDF     31668NH022 MDF 30X1520X2440                       12.630   25%    4,08%    5,00%   19,45%   30,03%   18.043          1.543      19.586
MDF Enchapado
        52001NH042 ENCH MDF Encina 15X2400X1500           13.530   25%                                       36.531          1.109      37.640
MDF Enchapado
        52004NH036 ENCH MDF Encina 18X2400X1500           14.950   25%                                       40.365          1.228      41.593
MDF Enchapado
        52019NH042 ENCH MDF Eucalipto 15X2400X1500         9.550   25%                                       25.785          1.109      26.894
MDF Enchapado
        52022NH036 ENCH MDF Eucalipto 18X2400X1500        10.420   25%                                       28.134          1.228      29.362
MDF Melaminico
        40196NH042 MEL MDF Blanco Liso 15X1830X2500        8.860   25%     15%    8,710%                     23.590            883      24.473
MDF Melaminico
        40202NH036 MEL MDF Blanco Liso 18X1830X2500        9.480   25%     15%    3,000%                     26.820          1.084      27.904
MDF Melaminico
        40215NH042 MEL MDF Blanco Liso 1C 15X1830X2500     7.290   25%     15%    8,710%                     19.410            883      20.293
MDF Melaminico
        40220NH036 MEL MDF Blanco Liso 1C 18X1830X2500     7.850   25%     10%    3,000%   3,00%             22.809          1.084      23.893
MDF Melaminico
       43176NH042 MEL MDF Encina Europea B 15X1830X2500     8.240   25%                           5,00% 26.860     883   27.743
MDF Melaminico
       43193NH042 MEL MDF Roble Albayalde B 15X1830X2500    8.240   25%                           5,00% 26.860     883   27.743
MDF Melaminico
       43178NH036 MEL MDF Encina Europea B 18X1830X2500    10.300   25%                           5,00% 33.575   1.084   34.659
MDF Melaminico
       43195NH036 MEL MDF Roble Albayalde B 18X1830X2500   10.300   25%                           5,00% 33.575   1.084   34.659
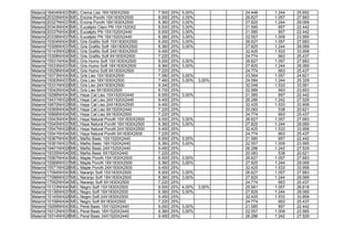
Melamina5065NH043 MEL Almendra Liso 15X1830X2500
       1                                                    7.080   25%   3,00%                         23.564   1.057   24.621
Melamina5083NH037 MEL Almendra Liso 18X1830X2500
       1                                                    7.460   25%   3,00%                         24.829   1.244   26.074
Melamina5034NH040 MEL Almendra Liso 9X1830X2500
       1                                                    6.700   25%                                 22.989     663   23.653
Melamina5376NH043 MEL Aluminio Soft 15X1830X2500
       1                                                    8.000   25%   3,00%                         26.627   1.057   27.683
Melamina5378NH037 MEL Aluminio Soft 18X1830X2500
       1                                                    8.360   25%   3,00%                         27.825   1.244   29.069
Melamina5380NH028 MEL Aluminio Soft 24X1830X2500
       1                                                    9.450   25%                                 32.425   1.533   33.958
Melamina5374NH040 MEL Aluminio Soft 9X1830X2500
       1                                                    7.220   25%                                 24.774     663   25.437
Melamina6202NH043 MEL Amarillo Soft 15X1830X2500
       1                                                    8.000   25%   3,00%                         26.627   1.057   27.683
Melamina6204NH037 MEL Amarillo Soft 18X1830X2500
       1                                                    8.360   25%   3,00%                         27.825   1.244   29.069
Melamina6200NH040 MEL Amarillo Soft 9X1830X2500
       1                                                    7.220   25%                                 24.774     663   25.437
Melamina5114NH043 MEL Azul Soft 15X1830X2500
       1                                                    8.000   25%   3,00%                         26.627   1.057   27.683
Melamina5129NH037 MEL Azul Soft 18X1830X2500
       1                                                    8.360   25%   3,00%                         27.825   1.244   29.069
Melamina5102NH040 MEL Azul Soft 9X1830X2500
       1                                                    7.220   25%                                 24.774     663   25.437
Melamina0520NH043 MEL Blanco BioCote Liso 15X1520X2440
       2                                                    6.120   25%   5,00%   5,00%   5,00%         14.595     857   15.452
Melamina0400NH043 MEL Blanco Liso BioCote 15X1830X2500
       2                                                    6.290   25%   5,00%   5,00%   5,00%   3,00% 17.949   1.057   19.006
Melamina0522NH037 MEL Blanco BioCote Liso 18X1520X2440
       2                                                    7.550   25%   5,00%   5,00%   5,00%         18.006   1.009   19.015
Melamina0402NH037 MEL Blanco Liso BioCote 18X1830X2500
       2                                                    7.910   25%   5,00%   5,00%   5,00%         23.270   1.244   24.515
Melamina0530NH028 MEL Blanco BioCote Liso 24X1830X2500
       2                                                    9.380   25%                                 32.185   1.533   33.718
Melamina0516NH040 MEL Blanco BioCote Liso 9X1520X2440
       2                                                    6.520   25%   #####                         14.509     538   15.047
Melamina0526NH040 MEL Blanco BioCote Liso 9X1830X2500
       2                                                    6.520   25%   #####                         17.897     663   18.561
Melamina5089NH037 MEL Blanco Soft 18X1830X2500
       1                                                    7.910   25%   3,00%                         26.327   1.244   27.571
Melamina5575NH043 MEL Cedro PoroN 15X1830X2500
       1                                                    8.000   25%   3,00%                         26.627   1.057   27.683
Melamina5577NH037 MEL Cedro PoroN 18X1830X2500
       1                                                    8.360   25%   3,00%                         27.825   1.244   29.069
Melamina5579NH028 MEL Cedro PoroN 24X1830X2500
       1                                                    9.450   25%                                 32.425   1.533   33.958
Melamina5573NH040 MEL Cedro PoroN 9X1830X2500
       1                                                    7.220   25%                                 24.774     663   25.437
Melamina9456NH043 MEL Cerezo Basic 15X1520X2440
       1                                                    8.000   25%   3,00%                         21.585     857   22.442
Melamina9458NH037 MEL Cerezo Basic 18X1520X2440
       1                                                    8.360   25%   3,00%                         22.557   1.009   23.565
Melamina9460NH028 MEL Cerezo Basic 24X1520X2440
       1                                                    9.450   25%                                 26.286   1.242   27.529
Melamina9452NH028 MEL Cerezo Basic 24X1830X2500
       1                                                    9.450   25%                                 32.425   1.533   33.958
Melamina9454NH040 MEL Cerezo Basic 9X1520X2440
       1                                                    7.220   25%                                 20.083     538   20.621
Melamina9443NH040 MEL Cerezo Basic 9X1830X2500
       1                                                    7.220   25%                                 24.774     663   25.437
Melamina9369NH043 MEL CerezoNat Basic 15X1520X2440
       1                                                    8.000   25%   3,00%                         21.585     857   22.442
Melamina9385NH037 MEL CerezoNat Basic 18X1520X2440
       1                                                    8.360   25%   3,00%                         22.557   1.009   23.565
Melamina9403NH028 MEL CerezoNat Basic 24X1520X2440
       1                                                    9.450   25%                                 26.286   1.242   27.529
Melamina9333NH043 MEL Coigue Basic 15X1520X2440
       1                                                    8.000   25%   3,00%                         21.585     857   22.442
Melamina9387NH037 MEL Coigue Basic 18X1520X2440
       1                                                    8.360   25%   3,00%                         22.557   1.009   23.565
Melamina9415NH028 MEL Coigue Basic 24X1520X2440
       1                                                    9.450   25%                                 26.286   1.242   27.529
Melamina9349NH040 MEL Coigue Basic 9X1520X2440
       1                                                    7.220   25%                                 20.083     538   20.621
Melamina8402NH043 MEL Crema Liso 15X1830X2500
       1                                                    6.056   25%   5,00%   3,00%                 19.148   1.057   20.205
Melamina8404NH037 MEL Crema Liso 18X1830X2500
       1                                                7.500   25%   5,00%           24.448   1.244   25.692
Melamina0325NH043 MEL Encina PoroN 15X1830X2500
       2                                                8.000   25%   3,00%           26.627   1.057   27.683
Melamina0327NH037 MEL Encina PoroN 18X1830X2500
       2                                                8.360   25%   3,00%           27.825   1.244   29.069
Melamina0343NH043 MEL Eucalipto Claro PN 15X1520X2
       2                                                8.000   25%   3,00%           21.585     857   22.442
Melamina0337NH043 MEL Eucalipto PN 15X1520X2440
       2                                                8.000   25%   3,00%           21.585     857   22.442
Melamina0339NH037 MEL Eucalipto PN 18X1520X2440
       2                                                8.360   25%   3,00%           22.557   1.009   23.565
Melamina5304NH043 MEL Gris Grafito Soft 15X1830X2500
       1                                                8.000   25%   3,00%           26.627   1.057   27.683
Melamina5306NH037 MEL Gris Grafito Soft 18X1830X2500
       1                                                8.360   25%   3,00%           27.825   1.244   29.069
Melamina5143NH028 MEL Gris Grafito Soft 24X1830X2500
       1                                                9.450   25%                   32.425   1.533   33.958
Melamina5308NH040 MEL Gris Grafito Soft 9X1830X2500
       1                                                7.220   25%                   24.774     663   25.437
Melamina5531NH043 MEL Gris Humo Soft 15X1830X2500
       1                                                8.000   25%   3,00%           26.627   1.057   27.683
Melamina5533NH037 MEL Gris Humo Soft 18X1830X2500
       1                                                8.360   25%   3,00%           27.825   1.244   29.069
Melamina5529NH040 MEL Gris Humo Soft 9X1830X2500
       1                                                7.220   25%                   24.774     663   25.437
Melamina5073NH043 MEL Gris Liso 15X1830X2500
       1                                                7.080   25%   3,00%           23.564   1.057   24.621
Melamina5093NH037 MEL Gris Liso 18X1830X2500
       1                                                7.460   25%   3,00%   3,00%   24.084   1.244   25.329
Melamina5331NH028 MEL Gris Liso 24X1830X2500
       1                                                9.340   25%                   32.048   1.533   33.581
Melamina5042NH040 MEL Gris Liso 9X1830X2500
       1                                                6.700   25%                   22.989     663   23.653
Melamina9296NH043 MEL Haya Cat Liso 15X1520X2440
       1                                                8.000   25%   3,00%           21.585     857   22.442
Melamina9431NH028 MEL Haya Cat Liso 24X1520X2440
       1                                                9.450   25%                   26.286   1.242   27.529
Melamina6870NH028 MEL Haya Cat Liso 24X1830X2500
       1                                                9.450   25%                   32.425   1.533   33.958
Melamina9365NH040 MEL Haya Cat Liso 9X1520X2440
       1                                                7.220   25%                   20.083     538   20.621
Melamina6868NH040 MEL Haya Cat Liso 9X1830X2500
       1                                                7.220   25%                   24.774     663   25.437
Melamina5543NH043 MEL Haya Natural PoroN 15X1830X2500
       1                                                8.000   25%   3,00%           26.627   1.057   27.683
Melamina5545NH037 MEL Haya Natural PoroN 18X1830X2500
       1                                                8.360   25%   3,00%           27.825   1.244   29.069
Melamina5547NH028 MEL Haya Natural PoroN 24X1830X2500
       1                                                9.450   25%                   32.425   1.533   33.958
Melamina5541NH040 MEL Haya Natural PoroN 9X1830X2500
       1                                                7.220   25%                   24.774     663   25.437
Melamina9367NH043 MEL Mañio Basic 15X1520X2440
       1                                                8.000   25%   3,00%           21.585     857   22.442
Melamina9381NH037 MEL Mañio Basic 18X1520X2440
       1                                                8.360   25%   3,00%           22.557   1.009   23.565
Melamina9401NH028 MEL Mañio Basic 24X1520X2440
       1                                                9.450   25%                   26.286   1.242   27.529
Melamina9335NH040 MEL Mañio Basic 9X1520X2440
       1                                                7.220   25%                   20.083     538   20.621
Melamina5567NH043 MEL Maple PoroN 15X1830X2500
       1                                                8.000   25%   3,00%           26.627   1.057   27.683
Melamina5569NH037 MEL Maple PoroN 18X1830X2500
       1                                                8.360   25%   3,00%           27.825   1.244   29.069
Melamina5571NH028 MEL Maple PoroN 24X1830X2500
       1                                                9.450   25%                   32.425   1.533   33.958
Melamina7094NH043 MEL Naranjo Soft 15X1830X2500
       1                                                8.000   25%   3,00%           26.627   1.057   27.683
Melamina7096NH037 MEL Naranjo Soft 18X1830X2500
       1                                                8.360   25%   3,00%           27.825   1.244   29.069
Melamina7092NH040 MEL Naranjo Soft 9X1830X2500
       1                                                7.220   25%                   24.774     663   25.437
Melamina5123NH043 MEL Negro Soft 15X1830X2500
       1                                                8.000   25%   4,00%   3,00%   25.561   1.057   26.618
Melamina5136NH037 MEL Negro Soft 18X1830X2500
       1                                                8.360   25%   3,00%           27.825   1.244   29.069
Melamina5145NH028 MEL Negro Soft 24X1830X2500
       1                                                9.450   25%                   32.425   1.533   33.958
Melamina5106NH040 MEL Negro Soft 9X1830X2500
       1                                                7.220   25%                   24.774     663   25.437
Melamina9299NH043 MEL Peral Basic 15X1520X2440
       1                                                8.000   25%   3,00%           21.585     857   22.442
Melamina9312NH037 MEL Peral Basic 18X1520X2440
       1                                                8.360   25%   3,00%           22.557   1.009   23.565
Melamina9314NH028 MEL Peral Basic 24X1520X2440
       1                                                9.450   25%                   26.286   1.242   27.529
Melamina9310NH040 MEL Peral Basic 9X1520X2440
       1                                                  7.220   25%           20.083     538   20.621
Melamina7140NH043 MEL Roble Oscuro Basic 15X1830X2500
       1                                                  8.000   25%   3,00%   26.627   1.057   27.683
Melamina7142NH037 MEL Roble Oscuro Basic 18X1830X2500
       1                                                  8.360   25%   3,00%   27.825   1.244   29.069
Melamina8551NH043 MEL Rojo Colonial Soft 15X1830X2500
       1                                                  8.000   25%   3,00%   26.627   1.057   27.683
Melamina8553NH037 MEL Rojo Colonial Soft 18X1830X2500
       1                                                  8.360   25%   3,00%   27.825   1.244   29.069
Melamina6920NH043 MEL Verde Soft 15X1830X2500
       1                                                  8.000   25%   3,00%   26.627   1.057   27.683
Melamina6922NH037 MEL Verde Soft 18X1830X2500
       1                                                  8.360   25%   3,00%   27.825   1.244   29.069
Melamina6918NH040 MEL Verde Soft 9X1830X2500
       1                                                  7.220   25%           24.774     663   25.437
Melamina5296NH028 MEL Azul Soft 24X1830X2500
       1                                                  9.450   25%           32.425   1.533   33.958
Melamina9273NH043 MEL Coigue Ch Basic 15X1520X2440
       1                                                  8.000   25%   3,00%   21.585     857   22.442
Melamina9279NH037 MEL Coigue Ch Basic 18X1520X2440
       1                                                  8.360   25%   3,00%   22.557   1.009   23.565
Melamina9447NH037 MEL Haya Cat Liso 18X1520X2440
       1                                                  8.360   25%   3,00%   22.557   1.009   23.565
Melamina9291NH043 MEL Lenga Basic 15X1520X2440
       1                                                  8.000   25%   3,00%   21.585     857   22.442
Melamina9288NH037 MEL Lenga Basic 18X1520X2440
       1                                                  8.360   25%   3,00%   22.557   1.009   23.565
Melamina9275NH043 MEL Lingue Basic 15X1520X2440
       1                                                  8.000   25%   3,00%   21.585     857   22.442
Melamina9281NH037 MEL Lingue Basic 18X1520X2440
       1                                                  8.360   25%   3,00%   22.557   1.009   23.565
Melamina5565NH040 MEL Maple PoroN 9X1830X2500
       1                                                  7.220   25%           24.774     663   25.437
Melamina9277NH043 MEL Rauli Basic 15X1520X2440
       1                                                  8.000   25%   3,00%   21.585     857   22.442
Melamina9283NH037 MEL Rauli Basic 18X1520X2440
       1                                                  8.360   25%   3,00%   22.557   1.009   23.565
Melamina0268NH040 MEL LARICINA Poro Natural 9X1830X2500
       2                                                  7.220   25%   5,00%   23.535     663   24.198
Melamina0270NH054 MEL LARICINA Poro Natural 12X1830X2500
       2                                                  7.300   25%           25.048     842   25.890
Melamina0035NH043 MEL LARICINA Poro Natural 15X1830X2500
       2                                                  8.000   25%   3,00%   26.627   1.057   27.683
Melamina0037NH037 MEL LARICINA Poro Natural 18X1830X2500
       2                                                  8.360   25%   3,00%   27.825   1.244   29.069
Melamina0272NH028 MEL LARICINA Poro Natural 24X1830X2500
       2                                                  9.450   25%           32.425   1.533   33.958
Melamina0262NH040 MEL NOGAL AMAZONICO Basic 9X1830X2500 7.220
       2                                                          25%   5,00%   23.535     663   24.198
Melamina0264NH054 MEL NOGAL AMAZONICO Basic 12X1830X2500
       2                                                  7.300   25%           25.048     842   25.890
Melamina9867NH043 MEL NOGAL AMAZONICO Basic 15X1830X2500
       1                                                  8.000   25%   3,00%   26.627   1.057   27.683
Melamina9877NH037 MEL NOGAL AMAZONICO Basic 18X1830X2500
       1                                                  8.360   25%   3,00%   27.825   1.244   29.069
Melamina0266NH028 MEL NOGAL AMAZONICO Basic 24X1830X2500
       2                                                  9.450   25%           32.425   1.533   33.958
Melamina0304NH040 MEL HAYA BAVARIA Poro Natural 9X1830X2500
       2                                                  7.220   25%   5,00%   23.535     663   24.198
Melamina0306NH054 MEL HAYA BAVARIA Poro Natural 12X1830X2500
       2                                                  7.300   25%           25.048     842   25.890
Melamina0039NH043 MEL HAYA BAVARIA Poro Natural 15X1830X2500
       2                                                  8.000   25%   3,00%   26.627   1.057   27.683
Melamina0041NH037 MEL HAYA BAVARIA Poro Natural 18X1830X2500
       2                                                  8.360   25%   3,00%   27.825   1.244   29.069
Melamina0308NH028 MEL HAYA BAVARIA Poro Natural 24X1830X2500
       2                                                  9.450   25%           32.425   1.533   33.958
Melamina9871NH043 MEL ISHPINGO Basic 15X1830X2500
       1                                                  8.000   25%   3,00%   26.627   1.057   27.683
Melamina9881NH037 MEL ISHPINGO Basic 18X1830X2500
       1                                                  8.360   25%   3,00%   27.825   1.244   29.069
Melamina0331NH040 MEL TABACO PACIFICO Poro Natural 9X1830X2500
       2                                                  7.220   25%   5,00%   23.535     663   24.198
Melamina0333NH054 MEL TABACO PACIFICO Poro Natural 12X1830X2500
       2                                                  7.300   25%           25.048     842   25.890
Melamina0155NH043 MEL TABACO PACIFICO Poro Natural 15X1830X2500
       2                                                  8.000   25%   3,00%   26.627   1.057   27.683
Melamina0153NH037 MEL TABACO PACIFICO Poro Natural 18X1830X2500
       2                                                  8.360   25%   3,00%   27.825   1.244   29.069
Melamina0335NH028 MEL TABACO PACIFICO Poro Natural 24X1830X2500
       2                                                  9.450   25%           32.425   1.533   33.958
Melamina0274NH040 MEL LARICINA Softwood 9X1830X2500
       2                                                  7.220   25%   5,00%   23.535     663   24.198
Melamina0276NH054 MEL LARICINA Softwood 12X1830X2500
       2                                                  7.300   25%           25.048     842   25.890
Melamina0278NH043 MEL LARICINA Softwood 15X1830X2500
       2                                                 8.000   25%   3,00%            26.627   1.057   27.683
Melamina0280NH037 MEL LARICINA Softwood 18X1830X2500
       2                                                 8.360   25%   3,00%            27.825   1.244   29.069
Melamina0282NH028 MEL LARICINA Softwood 24X1830X2500
       2                                                 9.450   25%                    32.425   1.533   33.958
Melamina0410NH040 MEL COIGUE Softwood 9X1830X2500
       2                                                 7.220   25%   5,00%            23.535     663   24.198
Melamina0412NH054 MEL COIGUE Softwood 12X1830X2500
       2                                                 7.300   25%                    25.048     842   25.890
Melamina0414NH043 MEL COIGUE Softwood 15X1830X2500
       2                                                 8.000   25%   3,00%            26.627   1.057   27.683
Melamina0416NH037 MEL COIGUE Softwood 18X1830X2500
       2                                                 8.360   25%   3,00%            27.825   1.244   29.069
Melamina0418NH028 MEL COIGUE Softwood 24X1830X2500
       2                                                 9.450   25%                    32.425   1.533   33.958
Melamina0284NH040 MEL COIGUE CHOCOLATE Softwood 9X1830X2500
       2                                                 7.220   25%   5,00%            23.535     663   24.198
Melamina0286NH054 MEL COIGUE CHOCOLATE Softwood 12X1830X2500
       2                                                 7.300   25%                    25.048     842   25.890
Melamina0288NH043 MEL COIGUE CHOCOLATE Softwood 15X1830X2500
       2                                                 8.000   25%   3,00%            26.627   1.057   27.683
Melamina0290NH037 MEL COIGUE CHOCOLATE Softwood 18X1830X2500
       2                                                 8.360   25%   3,00%            27.825   1.244   29.069
Melamina0292NH028 MEL COIGUE CHOCOLATE Softwood 24X1830X2500
       2                                                 9.450   25%                    32.425   1.533   33.958
MDF Folio
       50735eh126 FOLIO MDF E Peral Mate 1C 3X1830X2600  2.330   25%   #####   10,00%    6.735     243    6.977
MDF Folio
       50763eh126 FOLIO MDF E Cedro Mate 1C 3X1830X2600  2.330   25%   #####   10,00%    6.735     243    6.977
MDF Folio
       50670eh126 FOLIO MDF E Blanco 80 M 1C 3X1830X2600 2.130   25%   7,00%   10,00%    6.362     243    6.605
MDF Folio
       50669eh126 FOLIO MDF E Negro Mate 1C 3X1830X2600  2.330   25%   #####   10,00%    6.735     243    6.977
MDF Folio
       50036eh126 FOLIO MDF E Cerezo Mate 1C 3X1830X2600 2.330   25%   #####   10,00%    6.735     243    6.977
MDF Folio
       50035eh126 FOLIO MDF Almendra Mate 1C 3X1830X2600 2.330   25%   #####   10,00%    6.735     243    6.977
MDF Folio
       50764eh126 FOLIO MDF E Haya Mate 1C 3X1830X2600   2.330   25%   #####   10,00%    6.735     243    6.977
MDF Folio
       50723eh126 FOLIO MDF E Coigue Mate 1C 3X1830X2600 2.330   25%   #####   10,00%    6.735     243    6.977

Masisa

  • 1.
    Volver al Indice VIÑUELA NOVIEMBRE 2011 Precio Descuentos Precio Flete x Pls. Precio Familia código Producto Lista Vol. UL Adic. Ofer. Otro Sin Flete Stgo. Con Flete Ecoplac 11993NH110 ECOPLAC 6X1080X2440 1.410 25% 2.787 245 3.032 Ecoplac 10019NH110 ECOPLAC 6X1520X2440 1.560 25% 4.339 345 4.684 Ecoplac 11995NH085 ECOPLAC 8X1080X2440 1.580 25% 3.123 321 3.444 Ecoplac 11991NH085 ECOPLAC 8X1520X2440 1.730 25% 5,00% 4.572 452 5.024 Enchapado 28293NH045 ENCH ENC/EUC 15X2480X1500 8.910 25% 5,00% 23.616 1.146 24.762 Enchapado 28299NH037 ENCH ENC/EUC 18X2480X1500 9.310 25% 5,00% 24.676 1.269 25.945 Enchapado 28297NH045 ENCH Encina 15X2480X1500 10.640 25% 5,00% 28.201 1.146 29.347 Enchapado 28303NH037 ENCH Encina 18X2480X1500 10.970 25% 5,00% 29.076 1.269 30.345 Enchapado 28295NH045 ENCH Eucalipto 15X2480X1500 7.850 25% 8,00% 10,00% 18.134 1.146 19.280 Enchapado 28301NH037 ENCH Eucalipto 18X2480X1500 8.060 25% 8,00% 10,00% 18.620 1.269 19.888 HR 11626NH055 PLACA HR 12X1520X2440 3.980 25% 11.071 627 11.698 HR 11628NH045 PLACA HR 15X1520X2440 4.060 25% 11.293 783 12.076 HR 11631NH038 PLACA HR 18X1520X2440 4.720 25% 13.129 894 14.023 Masisa 11594NH055 PLACA 12X1520X2440 3.110 25% 8.651 682 9.333 Masisa 11596NH045 PLACA 15X1520X2440 3.410 25% 5,00% 5,00% 8.560 857 9.417 Masisa 11598NH038 PLACA 18X1520X2440 4.040 25% 5,00% 5,00% 10.142 1.009 11.151 Masisa 76221NH045 MDP PRO 15X1520X2440 3.770 25% 5,00% 5,00% 9.464 857 10.321 Masisa 76223NH038 MDP PRO 18X1520X2440 4.480 25% 5,00% 5,00% 11.247 1.009 12.255 Masisa 11602NH028 PLACA 24X1520X2440 5.750 25% 15.994 1.242 17.237 Masisa 11633NH020 PLACA 32X1520X2440 6.660 25% 18.525 1.658 20.183 Masisa 11592NH078 PLACA 9X1520X2440 2.750 25% 7.649 538 8.187 Panel 11600NH028 PANEL 24X1520X2440 4.020 25% 11.182 942 12.124 Panel 11604NH020 PANEL 32X1520X2440 5.110 25% 14.214 1.165 15.379 MDF 31659NH200 MDF 3X1520X2440 2.150 25% 5,50% 5,00% 12,50% 32,38% 3.177 189 3.366 MDF 31660NH160 MDF 4X1520X2440 2.830 25% 5,50% 5,00% 17,80% 30,02% 4.065 237 4.303 MDF 31661NH124 MDF 5,5X1520X2440 3.350 25% 5,50% 5,00% 18,70% 20,97% 5.375 308 5.683 MDF 31662NH072 MDF 9X1520X2440 4.560 25% 5,50% 5,00% 14,50% 33,59% 6.466 430 6.896 MDF 31663NH055 MDF 12X1520X2440 5.310 25% 4,10% 5,00% 22,60% 27,18% 7.585 571 8.156 MDF 31664NH042 MDF 15X1520X2440 6.260 25% 4,08% 5,00% 23,29% 29,62% 8.567 716 9.283 MDF 31665NH036 MDF 18X1520X2440 7.370 25% 4,05% 5,00% 19,72% 32,72% 10.094 879 10.973 MDF 31666NH032 MDF 20X1520X2440 8.150 25% 4,16% 5,00% 23,00% 26,21% 11.727 953 12.680 MDF 31667NH026 MDF 25X1520X2440 10.500 25% 4,15% 5,00% 21,78% 27,70% 15.040 1.191 16.230 MDF 31668NH022 MDF 30X1520X2440 12.630 25% 4,08% 5,00% 19,45% 30,03% 18.043 1.543 19.586 MDF Enchapado 52001NH042 ENCH MDF Encina 15X2400X1500 13.530 25% 36.531 1.109 37.640 MDF Enchapado 52004NH036 ENCH MDF Encina 18X2400X1500 14.950 25% 40.365 1.228 41.593 MDF Enchapado 52019NH042 ENCH MDF Eucalipto 15X2400X1500 9.550 25% 25.785 1.109 26.894 MDF Enchapado 52022NH036 ENCH MDF Eucalipto 18X2400X1500 10.420 25% 28.134 1.228 29.362 MDF Melaminico 40196NH042 MEL MDF Blanco Liso 15X1830X2500 8.860 25% 15% 8,710% 23.590 883 24.473 MDF Melaminico 40202NH036 MEL MDF Blanco Liso 18X1830X2500 9.480 25% 15% 3,000% 26.820 1.084 27.904 MDF Melaminico 40215NH042 MEL MDF Blanco Liso 1C 15X1830X2500 7.290 25% 15% 8,710% 19.410 883 20.293 MDF Melaminico 40220NH036 MEL MDF Blanco Liso 1C 18X1830X2500 7.850 25% 10% 3,000% 3,00% 22.809 1.084 23.893
  • 2.
    MDF Melaminico 43176NH042 MEL MDF Encina Europea B 15X1830X2500 8.240 25% 5,00% 26.860 883 27.743 MDF Melaminico 43193NH042 MEL MDF Roble Albayalde B 15X1830X2500 8.240 25% 5,00% 26.860 883 27.743 MDF Melaminico 43178NH036 MEL MDF Encina Europea B 18X1830X2500 10.300 25% 5,00% 33.575 1.084 34.659 MDF Melaminico 43195NH036 MEL MDF Roble Albayalde B 18X1830X2500 10.300 25% 5,00% 33.575 1.084 34.659 Melamina5065NH043 MEL Almendra Liso 15X1830X2500 1 7.080 25% 3,00% 23.564 1.057 24.621 Melamina5083NH037 MEL Almendra Liso 18X1830X2500 1 7.460 25% 3,00% 24.829 1.244 26.074 Melamina5034NH040 MEL Almendra Liso 9X1830X2500 1 6.700 25% 22.989 663 23.653 Melamina5376NH043 MEL Aluminio Soft 15X1830X2500 1 8.000 25% 3,00% 26.627 1.057 27.683 Melamina5378NH037 MEL Aluminio Soft 18X1830X2500 1 8.360 25% 3,00% 27.825 1.244 29.069 Melamina5380NH028 MEL Aluminio Soft 24X1830X2500 1 9.450 25% 32.425 1.533 33.958 Melamina5374NH040 MEL Aluminio Soft 9X1830X2500 1 7.220 25% 24.774 663 25.437 Melamina6202NH043 MEL Amarillo Soft 15X1830X2500 1 8.000 25% 3,00% 26.627 1.057 27.683 Melamina6204NH037 MEL Amarillo Soft 18X1830X2500 1 8.360 25% 3,00% 27.825 1.244 29.069 Melamina6200NH040 MEL Amarillo Soft 9X1830X2500 1 7.220 25% 24.774 663 25.437 Melamina5114NH043 MEL Azul Soft 15X1830X2500 1 8.000 25% 3,00% 26.627 1.057 27.683 Melamina5129NH037 MEL Azul Soft 18X1830X2500 1 8.360 25% 3,00% 27.825 1.244 29.069 Melamina5102NH040 MEL Azul Soft 9X1830X2500 1 7.220 25% 24.774 663 25.437 Melamina0520NH043 MEL Blanco BioCote Liso 15X1520X2440 2 6.120 25% 5,00% 5,00% 5,00% 14.595 857 15.452 Melamina0400NH043 MEL Blanco Liso BioCote 15X1830X2500 2 6.290 25% 5,00% 5,00% 5,00% 3,00% 17.949 1.057 19.006 Melamina0522NH037 MEL Blanco BioCote Liso 18X1520X2440 2 7.550 25% 5,00% 5,00% 5,00% 18.006 1.009 19.015 Melamina0402NH037 MEL Blanco Liso BioCote 18X1830X2500 2 7.910 25% 5,00% 5,00% 5,00% 23.270 1.244 24.515 Melamina0530NH028 MEL Blanco BioCote Liso 24X1830X2500 2 9.380 25% 32.185 1.533 33.718 Melamina0516NH040 MEL Blanco BioCote Liso 9X1520X2440 2 6.520 25% ##### 14.509 538 15.047 Melamina0526NH040 MEL Blanco BioCote Liso 9X1830X2500 2 6.520 25% ##### 17.897 663 18.561 Melamina5089NH037 MEL Blanco Soft 18X1830X2500 1 7.910 25% 3,00% 26.327 1.244 27.571 Melamina5575NH043 MEL Cedro PoroN 15X1830X2500 1 8.000 25% 3,00% 26.627 1.057 27.683 Melamina5577NH037 MEL Cedro PoroN 18X1830X2500 1 8.360 25% 3,00% 27.825 1.244 29.069 Melamina5579NH028 MEL Cedro PoroN 24X1830X2500 1 9.450 25% 32.425 1.533 33.958 Melamina5573NH040 MEL Cedro PoroN 9X1830X2500 1 7.220 25% 24.774 663 25.437 Melamina9456NH043 MEL Cerezo Basic 15X1520X2440 1 8.000 25% 3,00% 21.585 857 22.442 Melamina9458NH037 MEL Cerezo Basic 18X1520X2440 1 8.360 25% 3,00% 22.557 1.009 23.565 Melamina9460NH028 MEL Cerezo Basic 24X1520X2440 1 9.450 25% 26.286 1.242 27.529 Melamina9452NH028 MEL Cerezo Basic 24X1830X2500 1 9.450 25% 32.425 1.533 33.958 Melamina9454NH040 MEL Cerezo Basic 9X1520X2440 1 7.220 25% 20.083 538 20.621 Melamina9443NH040 MEL Cerezo Basic 9X1830X2500 1 7.220 25% 24.774 663 25.437 Melamina9369NH043 MEL CerezoNat Basic 15X1520X2440 1 8.000 25% 3,00% 21.585 857 22.442 Melamina9385NH037 MEL CerezoNat Basic 18X1520X2440 1 8.360 25% 3,00% 22.557 1.009 23.565 Melamina9403NH028 MEL CerezoNat Basic 24X1520X2440 1 9.450 25% 26.286 1.242 27.529 Melamina9333NH043 MEL Coigue Basic 15X1520X2440 1 8.000 25% 3,00% 21.585 857 22.442 Melamina9387NH037 MEL Coigue Basic 18X1520X2440 1 8.360 25% 3,00% 22.557 1.009 23.565 Melamina9415NH028 MEL Coigue Basic 24X1520X2440 1 9.450 25% 26.286 1.242 27.529 Melamina9349NH040 MEL Coigue Basic 9X1520X2440 1 7.220 25% 20.083 538 20.621 Melamina8402NH043 MEL Crema Liso 15X1830X2500 1 6.056 25% 5,00% 3,00% 19.148 1.057 20.205
  • 3.
    Melamina8404NH037 MEL CremaLiso 18X1830X2500 1 7.500 25% 5,00% 24.448 1.244 25.692 Melamina0325NH043 MEL Encina PoroN 15X1830X2500 2 8.000 25% 3,00% 26.627 1.057 27.683 Melamina0327NH037 MEL Encina PoroN 18X1830X2500 2 8.360 25% 3,00% 27.825 1.244 29.069 Melamina0343NH043 MEL Eucalipto Claro PN 15X1520X2 2 8.000 25% 3,00% 21.585 857 22.442 Melamina0337NH043 MEL Eucalipto PN 15X1520X2440 2 8.000 25% 3,00% 21.585 857 22.442 Melamina0339NH037 MEL Eucalipto PN 18X1520X2440 2 8.360 25% 3,00% 22.557 1.009 23.565 Melamina5304NH043 MEL Gris Grafito Soft 15X1830X2500 1 8.000 25% 3,00% 26.627 1.057 27.683 Melamina5306NH037 MEL Gris Grafito Soft 18X1830X2500 1 8.360 25% 3,00% 27.825 1.244 29.069 Melamina5143NH028 MEL Gris Grafito Soft 24X1830X2500 1 9.450 25% 32.425 1.533 33.958 Melamina5308NH040 MEL Gris Grafito Soft 9X1830X2500 1 7.220 25% 24.774 663 25.437 Melamina5531NH043 MEL Gris Humo Soft 15X1830X2500 1 8.000 25% 3,00% 26.627 1.057 27.683 Melamina5533NH037 MEL Gris Humo Soft 18X1830X2500 1 8.360 25% 3,00% 27.825 1.244 29.069 Melamina5529NH040 MEL Gris Humo Soft 9X1830X2500 1 7.220 25% 24.774 663 25.437 Melamina5073NH043 MEL Gris Liso 15X1830X2500 1 7.080 25% 3,00% 23.564 1.057 24.621 Melamina5093NH037 MEL Gris Liso 18X1830X2500 1 7.460 25% 3,00% 3,00% 24.084 1.244 25.329 Melamina5331NH028 MEL Gris Liso 24X1830X2500 1 9.340 25% 32.048 1.533 33.581 Melamina5042NH040 MEL Gris Liso 9X1830X2500 1 6.700 25% 22.989 663 23.653 Melamina9296NH043 MEL Haya Cat Liso 15X1520X2440 1 8.000 25% 3,00% 21.585 857 22.442 Melamina9431NH028 MEL Haya Cat Liso 24X1520X2440 1 9.450 25% 26.286 1.242 27.529 Melamina6870NH028 MEL Haya Cat Liso 24X1830X2500 1 9.450 25% 32.425 1.533 33.958 Melamina9365NH040 MEL Haya Cat Liso 9X1520X2440 1 7.220 25% 20.083 538 20.621 Melamina6868NH040 MEL Haya Cat Liso 9X1830X2500 1 7.220 25% 24.774 663 25.437 Melamina5543NH043 MEL Haya Natural PoroN 15X1830X2500 1 8.000 25% 3,00% 26.627 1.057 27.683 Melamina5545NH037 MEL Haya Natural PoroN 18X1830X2500 1 8.360 25% 3,00% 27.825 1.244 29.069 Melamina5547NH028 MEL Haya Natural PoroN 24X1830X2500 1 9.450 25% 32.425 1.533 33.958 Melamina5541NH040 MEL Haya Natural PoroN 9X1830X2500 1 7.220 25% 24.774 663 25.437 Melamina9367NH043 MEL Mañio Basic 15X1520X2440 1 8.000 25% 3,00% 21.585 857 22.442 Melamina9381NH037 MEL Mañio Basic 18X1520X2440 1 8.360 25% 3,00% 22.557 1.009 23.565 Melamina9401NH028 MEL Mañio Basic 24X1520X2440 1 9.450 25% 26.286 1.242 27.529 Melamina9335NH040 MEL Mañio Basic 9X1520X2440 1 7.220 25% 20.083 538 20.621 Melamina5567NH043 MEL Maple PoroN 15X1830X2500 1 8.000 25% 3,00% 26.627 1.057 27.683 Melamina5569NH037 MEL Maple PoroN 18X1830X2500 1 8.360 25% 3,00% 27.825 1.244 29.069 Melamina5571NH028 MEL Maple PoroN 24X1830X2500 1 9.450 25% 32.425 1.533 33.958 Melamina7094NH043 MEL Naranjo Soft 15X1830X2500 1 8.000 25% 3,00% 26.627 1.057 27.683 Melamina7096NH037 MEL Naranjo Soft 18X1830X2500 1 8.360 25% 3,00% 27.825 1.244 29.069 Melamina7092NH040 MEL Naranjo Soft 9X1830X2500 1 7.220 25% 24.774 663 25.437 Melamina5123NH043 MEL Negro Soft 15X1830X2500 1 8.000 25% 4,00% 3,00% 25.561 1.057 26.618 Melamina5136NH037 MEL Negro Soft 18X1830X2500 1 8.360 25% 3,00% 27.825 1.244 29.069 Melamina5145NH028 MEL Negro Soft 24X1830X2500 1 9.450 25% 32.425 1.533 33.958 Melamina5106NH040 MEL Negro Soft 9X1830X2500 1 7.220 25% 24.774 663 25.437 Melamina9299NH043 MEL Peral Basic 15X1520X2440 1 8.000 25% 3,00% 21.585 857 22.442 Melamina9312NH037 MEL Peral Basic 18X1520X2440 1 8.360 25% 3,00% 22.557 1.009 23.565 Melamina9314NH028 MEL Peral Basic 24X1520X2440 1 9.450 25% 26.286 1.242 27.529
  • 4.
    Melamina9310NH040 MEL PeralBasic 9X1520X2440 1 7.220 25% 20.083 538 20.621 Melamina7140NH043 MEL Roble Oscuro Basic 15X1830X2500 1 8.000 25% 3,00% 26.627 1.057 27.683 Melamina7142NH037 MEL Roble Oscuro Basic 18X1830X2500 1 8.360 25% 3,00% 27.825 1.244 29.069 Melamina8551NH043 MEL Rojo Colonial Soft 15X1830X2500 1 8.000 25% 3,00% 26.627 1.057 27.683 Melamina8553NH037 MEL Rojo Colonial Soft 18X1830X2500 1 8.360 25% 3,00% 27.825 1.244 29.069 Melamina6920NH043 MEL Verde Soft 15X1830X2500 1 8.000 25% 3,00% 26.627 1.057 27.683 Melamina6922NH037 MEL Verde Soft 18X1830X2500 1 8.360 25% 3,00% 27.825 1.244 29.069 Melamina6918NH040 MEL Verde Soft 9X1830X2500 1 7.220 25% 24.774 663 25.437 Melamina5296NH028 MEL Azul Soft 24X1830X2500 1 9.450 25% 32.425 1.533 33.958 Melamina9273NH043 MEL Coigue Ch Basic 15X1520X2440 1 8.000 25% 3,00% 21.585 857 22.442 Melamina9279NH037 MEL Coigue Ch Basic 18X1520X2440 1 8.360 25% 3,00% 22.557 1.009 23.565 Melamina9447NH037 MEL Haya Cat Liso 18X1520X2440 1 8.360 25% 3,00% 22.557 1.009 23.565 Melamina9291NH043 MEL Lenga Basic 15X1520X2440 1 8.000 25% 3,00% 21.585 857 22.442 Melamina9288NH037 MEL Lenga Basic 18X1520X2440 1 8.360 25% 3,00% 22.557 1.009 23.565 Melamina9275NH043 MEL Lingue Basic 15X1520X2440 1 8.000 25% 3,00% 21.585 857 22.442 Melamina9281NH037 MEL Lingue Basic 18X1520X2440 1 8.360 25% 3,00% 22.557 1.009 23.565 Melamina5565NH040 MEL Maple PoroN 9X1830X2500 1 7.220 25% 24.774 663 25.437 Melamina9277NH043 MEL Rauli Basic 15X1520X2440 1 8.000 25% 3,00% 21.585 857 22.442 Melamina9283NH037 MEL Rauli Basic 18X1520X2440 1 8.360 25% 3,00% 22.557 1.009 23.565 Melamina0268NH040 MEL LARICINA Poro Natural 9X1830X2500 2 7.220 25% 5,00% 23.535 663 24.198 Melamina0270NH054 MEL LARICINA Poro Natural 12X1830X2500 2 7.300 25% 25.048 842 25.890 Melamina0035NH043 MEL LARICINA Poro Natural 15X1830X2500 2 8.000 25% 3,00% 26.627 1.057 27.683 Melamina0037NH037 MEL LARICINA Poro Natural 18X1830X2500 2 8.360 25% 3,00% 27.825 1.244 29.069 Melamina0272NH028 MEL LARICINA Poro Natural 24X1830X2500 2 9.450 25% 32.425 1.533 33.958 Melamina0262NH040 MEL NOGAL AMAZONICO Basic 9X1830X2500 7.220 2 25% 5,00% 23.535 663 24.198 Melamina0264NH054 MEL NOGAL AMAZONICO Basic 12X1830X2500 2 7.300 25% 25.048 842 25.890 Melamina9867NH043 MEL NOGAL AMAZONICO Basic 15X1830X2500 1 8.000 25% 3,00% 26.627 1.057 27.683 Melamina9877NH037 MEL NOGAL AMAZONICO Basic 18X1830X2500 1 8.360 25% 3,00% 27.825 1.244 29.069 Melamina0266NH028 MEL NOGAL AMAZONICO Basic 24X1830X2500 2 9.450 25% 32.425 1.533 33.958 Melamina0304NH040 MEL HAYA BAVARIA Poro Natural 9X1830X2500 2 7.220 25% 5,00% 23.535 663 24.198 Melamina0306NH054 MEL HAYA BAVARIA Poro Natural 12X1830X2500 2 7.300 25% 25.048 842 25.890 Melamina0039NH043 MEL HAYA BAVARIA Poro Natural 15X1830X2500 2 8.000 25% 3,00% 26.627 1.057 27.683 Melamina0041NH037 MEL HAYA BAVARIA Poro Natural 18X1830X2500 2 8.360 25% 3,00% 27.825 1.244 29.069 Melamina0308NH028 MEL HAYA BAVARIA Poro Natural 24X1830X2500 2 9.450 25% 32.425 1.533 33.958 Melamina9871NH043 MEL ISHPINGO Basic 15X1830X2500 1 8.000 25% 3,00% 26.627 1.057 27.683 Melamina9881NH037 MEL ISHPINGO Basic 18X1830X2500 1 8.360 25% 3,00% 27.825 1.244 29.069 Melamina0331NH040 MEL TABACO PACIFICO Poro Natural 9X1830X2500 2 7.220 25% 5,00% 23.535 663 24.198 Melamina0333NH054 MEL TABACO PACIFICO Poro Natural 12X1830X2500 2 7.300 25% 25.048 842 25.890 Melamina0155NH043 MEL TABACO PACIFICO Poro Natural 15X1830X2500 2 8.000 25% 3,00% 26.627 1.057 27.683 Melamina0153NH037 MEL TABACO PACIFICO Poro Natural 18X1830X2500 2 8.360 25% 3,00% 27.825 1.244 29.069 Melamina0335NH028 MEL TABACO PACIFICO Poro Natural 24X1830X2500 2 9.450 25% 32.425 1.533 33.958 Melamina0274NH040 MEL LARICINA Softwood 9X1830X2500 2 7.220 25% 5,00% 23.535 663 24.198 Melamina0276NH054 MEL LARICINA Softwood 12X1830X2500 2 7.300 25% 25.048 842 25.890
  • 5.
    Melamina0278NH043 MEL LARICINASoftwood 15X1830X2500 2 8.000 25% 3,00% 26.627 1.057 27.683 Melamina0280NH037 MEL LARICINA Softwood 18X1830X2500 2 8.360 25% 3,00% 27.825 1.244 29.069 Melamina0282NH028 MEL LARICINA Softwood 24X1830X2500 2 9.450 25% 32.425 1.533 33.958 Melamina0410NH040 MEL COIGUE Softwood 9X1830X2500 2 7.220 25% 5,00% 23.535 663 24.198 Melamina0412NH054 MEL COIGUE Softwood 12X1830X2500 2 7.300 25% 25.048 842 25.890 Melamina0414NH043 MEL COIGUE Softwood 15X1830X2500 2 8.000 25% 3,00% 26.627 1.057 27.683 Melamina0416NH037 MEL COIGUE Softwood 18X1830X2500 2 8.360 25% 3,00% 27.825 1.244 29.069 Melamina0418NH028 MEL COIGUE Softwood 24X1830X2500 2 9.450 25% 32.425 1.533 33.958 Melamina0284NH040 MEL COIGUE CHOCOLATE Softwood 9X1830X2500 2 7.220 25% 5,00% 23.535 663 24.198 Melamina0286NH054 MEL COIGUE CHOCOLATE Softwood 12X1830X2500 2 7.300 25% 25.048 842 25.890 Melamina0288NH043 MEL COIGUE CHOCOLATE Softwood 15X1830X2500 2 8.000 25% 3,00% 26.627 1.057 27.683 Melamina0290NH037 MEL COIGUE CHOCOLATE Softwood 18X1830X2500 2 8.360 25% 3,00% 27.825 1.244 29.069 Melamina0292NH028 MEL COIGUE CHOCOLATE Softwood 24X1830X2500 2 9.450 25% 32.425 1.533 33.958 MDF Folio 50735eh126 FOLIO MDF E Peral Mate 1C 3X1830X2600 2.330 25% ##### 10,00% 6.735 243 6.977 MDF Folio 50763eh126 FOLIO MDF E Cedro Mate 1C 3X1830X2600 2.330 25% ##### 10,00% 6.735 243 6.977 MDF Folio 50670eh126 FOLIO MDF E Blanco 80 M 1C 3X1830X2600 2.130 25% 7,00% 10,00% 6.362 243 6.605 MDF Folio 50669eh126 FOLIO MDF E Negro Mate 1C 3X1830X2600 2.330 25% ##### 10,00% 6.735 243 6.977 MDF Folio 50036eh126 FOLIO MDF E Cerezo Mate 1C 3X1830X2600 2.330 25% ##### 10,00% 6.735 243 6.977 MDF Folio 50035eh126 FOLIO MDF Almendra Mate 1C 3X1830X2600 2.330 25% ##### 10,00% 6.735 243 6.977 MDF Folio 50764eh126 FOLIO MDF E Haya Mate 1C 3X1830X2600 2.330 25% ##### 10,00% 6.735 243 6.977 MDF Folio 50723eh126 FOLIO MDF E Coigue Mate 1C 3X1830X2600 2.330 25% ##### 10,00% 6.735 243 6.977