Inferensi Dengan Dua Sampel | STATISTIKA MATEMATIKA II i
KATA PENGANTAR
Puji syukur kami panjatkan kehadirat ALLAH SWT yang telah memberikan
rahmat, taufik serta hidayah-Nya kepada kami. Sehingga kami dapat
menyelesaikan makalah yang berjudul “Inferensi Dengan Dua Sampel”
Dalam penyelesaian makalah ini, tidak lepas dari bantuan berbagai pihak.
Oleh karena itu, dalam kesempatan ini kami mengucapkan terima kasih kepada :
1. Drs. J.R. Watulingas, MM selaku dosen pembimbing mata kuliah Statistika
Matematika II yang telah membimbing dengan penuh ketelitian dan
kesabaran.
2. Kedua orang tua kami yang telah mendidik dan memberikan doa restu.
3. Teman-teman kami terutama kelas A Pendidikan Matematika Angkatan 2015
4. Seluruh staff perpustakaan Universitas Mulawarman yang memfasilitas dalam
pinjaman buku-buku.
Kami menyadari bahwa makalah ini masih jauh dari kesempurnaan. Oleh
karena itu kritik dan saran yang bersifat membangun, sangat kami harapkan demi
kesempurnaan makalah ini.
Semoga makalah ini dapat bermanfaat bagi penyusun khususnya dan
pemerhati pendidikan pada umunya serta merupakan sebuah wujud pengabdian
kita kepada Allah SWT.
Samarinda, 16 Oktober 2018
Kelompok 7
Inferensi Dengan Dua Sampel | STATISTIKA MATEMATIKA II ii
DAFTAR ISI
KATA PENGANTAR...................................................................................i
DAFTAR ISI................................................................................................ii
BAB I PENDAHULUAN ............................................................................1
A. Latar Belakang................................................................................1
B. Rumusan Masalah ........................................................................40
C. Tujuan...........................................................................................40
D. Manfaat.........................................................................................40
BAB II PEMBAHASAN ...........................................................................41
A. Uji t Dua Sampel : Menguji 𝑯𝟎:𝝁𝒙 = 𝝁𝒚 .................................42
1. Inferensi Statistik ......................................................................42
2. Inferensi Statistik Mean Satu Populasi .....................................47
3. Inferensi Proporsi......................................................................48
4. Inferensi Dua Rata-rata .............................................................49
5. Student t Test (Uji t)..................................................................51
6. Pengujian Hipotesis dengan sampel Ganda ..............................60
B. Uji f : Menguji H0 : 𝜶𝟐X = 𝜶𝟐Y....................................................76
1. Jenis Uji Hipotesa .....................................................................79
2. Uji Hipotesa Terhadap Rata-rata...............................................79
3. Uji Hipotesa Rata-rata dengan σ Diketahui..............................80
Inferensi Dengan Dua Sampel | STATISTIKA MATEMATIKA II iii
4. Uji Hipotesa Rata-Rata Dengan σ tidak diketahui....................80
5. Uji Hipotesa terhadap Varians ..................................................80
C. Data Binomial : Uji H0 : 𝑷𝑿 = 𝑷𝒀...............................................81
1. Uji Binomial............................................................................102
2. Ciri-ciri Distribusi Binomial...................................................103
3. Perkiraan Pada Parameter .......................................................107
4. Metode Perkiraan Moment......................................................108
5. Test Of Overdispersion...........................................................112
6. The Bayesian Approach..........................................................115
D. Interval Kepercayaan untuk Masalah Dua Sampel ....................120
1. Interval Kepercayaan pada MCNP .........................................120
2. Interval Kepercayaan Untuk Masalah Dua Sampel................125
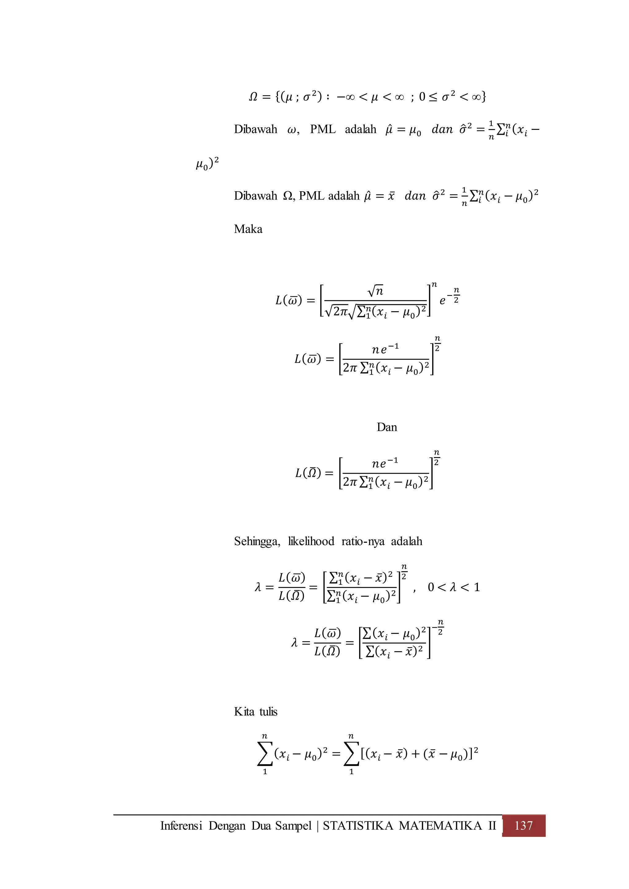
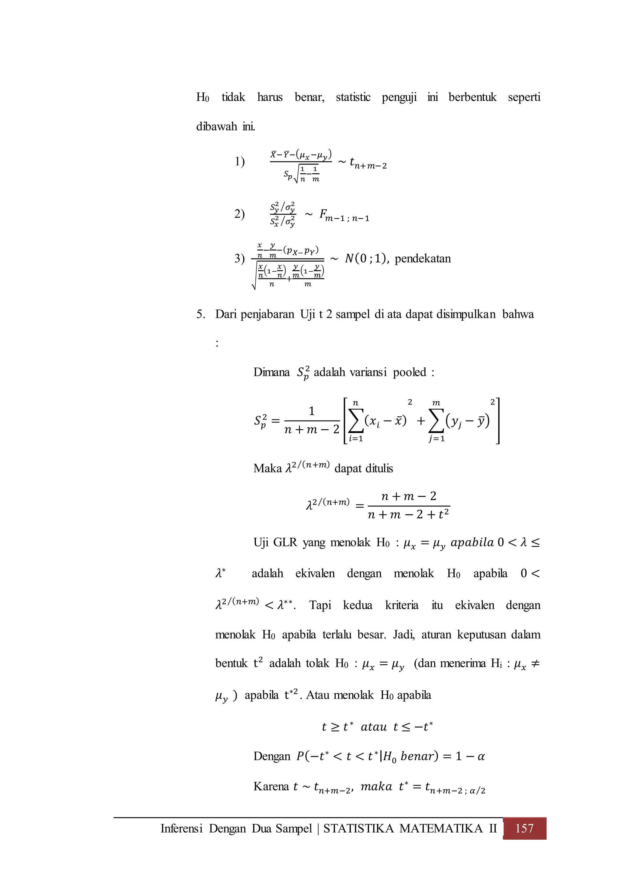
E. Penjabaran Uji t Dua Sampel .....................................................128
2. Uji t Satu Sampel ....................................................................136
3. Uji t Dua Sampel.....................................................................140
4. Menguji Hipotesis...................................................................146
BAB III PENUTUP..................................................................................152
A. Kesimpulan.................................................................................152
B. Saran...........................................................................................158
DAFTAR PUSTAKA ..............................................................................159
Inferensi Dengan Dua Sampel | STATISTIKA MATEMATIKA II 1
BAB I
PENDAHULUAN
A. Latar Belakang
Statistika adalah ilmu pengetahuan yang mempelajari tentang
mengumpulkan, menyusun, mengolah, menganalisis, menyimpulkan,
dan menyajikan data hasil penelitian. Sementara statistik adalah data
hasil olahan dan analisis.
Data (bentuk jamak) adalah keterangan suatu obyek yang
diteliti. Sementara datum (bentuk tunggal) adalah keterangan suatu
obyek yang diteliti. Data terbagi menjadi dua, yaitu data Numerik
(kuantitas) dan data Kategori (kualitas. Data numerik adalah data
berupa hasil pengukuran atau penghitungan. Sementara data kategori
adalah data yang bukan berupa angka. Pengumpulan data dilakukan
dengan :
1. Mencacah/menghitung
2. Mengukur
3. Mengunakan tally atau turus
Statistika banyak diterapkan dalam berbagai disiplin ilmu, baik
ilmu-ilmu alam (misalnya astronomi dan biologi maupun ilmu-ilmu
sosial (termasuk sosiologi dan psikologi), maupun di bidang bisnis,
ekonomi, dan industri. Statistika juga digunakan dalam pemerintahan
untuk berbagai macam tujuan; sensus penduduk merupakan salah satu
prosedur yang paling dikenal. Aplikasi statistika lainnya yang sekarang
Inferensi Dengan Dua Sampel | STATISTIKA MATEMATIKA II 2
popular adalah prosedur jajak pendapat atau polling (misalnya
dilakukan sebelum pemilihan umum), serta jajak cepat (perhitungan
cepat hasil pemilu) atau quick count. Di bidang komputasi, statistika
dapat pula diterapkan dalam pengenalan pola maupun kecerdasan
buatan.
Penggunaan istilah statistika berakar dari istilah istilah dalam
bahasa latin modern statisticum collegium ("dewan negara") dan
bahasa Italia statista ("negarawan" atau "politikus").Gottfried
Achenwall (1749) menggunakan Statistik dalam bahasa Jerman untuk
pertama kalinya sebagai nama bagi kegiatan analisis data kenegaraan,
dengan mengartikannya sebagai "ilmu tentang negara (state)". Pada
awal abad ke-19 telah terjadi pergeseran arti menjadi "ilmu mengenai
pengumpulan dan klasifikasi data". Sir John Sinclair memperkenalkan
nama (Statistics) dan pengertian ini ke dalam bahasa Inggris. Jadi,
statistika secara prinsip mula-mula hanya mengurus data yang dipakai
lembaga-lembaga administratif dan pemerintahan. Pengumpulan data
terus berlanjut, khususnya melalui sensus yang dilakukan secara teratur
untuk memberi informasi kependudukan yang berubah setiap saat.
Pada abad ke-19 dan awal abad ke-20 statistika mulai banyak
menggunakan bidang-bidang dalam matematika, terutama peluang.
Cabang statistika yang pada saat ini sangat luas digunakan untuk
mendukung metode ilmiah, statistika inferensi, dikembangkan pada
paruh kedua abad ke-19 dan awal abad ke-20 oleh Ronald Fisher
Inferensi Dengan Dua Sampel | STATISTIKA MATEMATIKA II 3
(peletak dasar statistika inferensi), Karl Pearson (metode regresi
linear), dan William Sealey Gosset (meneliti problem sampel
berukuran kecil). Penggunaan statistika pada masa sekarang dapat
dikatakan telah menyentuh semua bidang ilmu pengetahuan, mulai dari
astronomi hingga linguistika. Bidang-bidang ekonomi, biologi dan
cabang-cabang terapannya, serta psikologi banyak dipengaruhi oleh
statistika dalam metodologinya. Akibatnya lahirlah ilmu-ilmu
gabungan seperti ekonometrika, biometrika (atau biostatistika), dan
psikometrika.
Meskipun ada pihak yang menganggap statistika sebagai
cabang dari matematika, tetapi sebagian pihak lainnya menganggap
statistika sebagai bidang yang banyak terkait dengan matematika
melihat dari sejarah dan aplikasinya. Di Indonesia, kajian statistika
sebagian besar masuk dalam fakultas matematika dan ilmu
pengetahuan alam, baik di dalam departemen tersendiri maupun
tergabung dengan matematika.
Model regresi merupakan komponen penting dalam beberapa
analisis data dengan menggambarkan hubungan antara variabel respon
dan satu atau beberapa variabel bebas. Pada umumnya analisis regresi
digunakan untuk menganalisis data dengan variabel respon berupa data
kuantitatif. Akan tetapi dalam kehidupan sehari-hari sering ditemui
kasus dengan variabel responnya bersifat kualitatif, seperti keputusan
Inferensi Dengan Dua Sampel | STATISTIKA MATEMATIKA II 4
memilih “ya” atau “tidak”. Untuk menyelesaikan kasus ini dapat
digunakan model probit.
Perlu disadari kehadiran statistika pada masa sekarang dan
masa akan datang sudah tidak bisa ditawar-tawar lagi. Statistika adalah
salah satu yang sangat penting untuk menunjang penelitian. Kualitas
dan kuantitas penelitian sangat menunjang keberhasilan pembangunan
pada umumnya dan khususnya dalam mengambil kebijaksanaan atau
kesimpulan-kesimpulan, disamping faktor-faktor penunjang lainnya.
Sedangkan statistik dipergunakan untuk menyatakan
kumpulan data, bilangan maupun non-bilangan yang disusun dalam
suatu sajian data seperti tabel, diagram, grafik dan lain-lain. Statistik
yang menjelaskan sesuatu hal secara umum diberi nama statistik
mengenai hal yang bersangkutan. Contoh statistik penduduk suatu
kabupaten/ kota pada tahun tertentu, statistik pendidikan daerah pada
tahun tertentu, statistik kelulusan dan lain-lain yang disajikan dalam
diagram batang, garis, tabel-tabel presentasi atau yang lain, dengan
tujuan agar sajian data menarik bagi pembaca dalam melihat kumpulan
data.
Statistika dalam penelitian mempunyai peranan sangat penting
yaitu untuk perumusan masalah, menentukan hipotesis, menentukan
besar sampel, menentukan benar atau tidaknya kesimpulan hasil
penelitian dan lain sebagainya berdasarkan atas kumpulan data.
Penarikan kesimpulan hasil penelitian juga sangat tergantung pada
perhitungan-perhitungan dan jenis uji statistika yang dipergunakan.
Inferensi Dengan Dua Sampel | STATISTIKA MATEMATIKA II 5
Statistika lebih spesifik dipergunakan dalam riset penelitian
yang merupakan suatu pengetahuan tersendiri. Statistika adalah ilmu
pengetahuan yang berhubungan dengan cara-cara pengumpulan data,
pengolahan atau penganalisisan data dan penarikan kesimpulan
berdasarkan kumpulan data dan analisis data yang dilakukan.
Di dalam statistika matematika, yang merupakan dasarnya
adalah teori probabilitas, ada empat konsep dasar peluang, antara lain
adalah eksperimen, hasil, ruang sampel, kejadian.
Penerapan metode peluang untuk menganalisis dan
menginterpretasikan data empiris dikenal sebagai inferensi statistik.
Secara lebih spesifik, inferensial staistik dapat diartikan sebagai proses
pengambilan kesimpulan (atau generalisasi) dari suatu sampel tertentu,
yakni dari suatu himpunan dan observasi, untuk populasi teoritis dari
mana sampel itu diambil. Bentuk generalisasi itu dapat sangat berbeda-
beda tergantung situasinya; mungkin berbentuk taksiran satu nilai
tertentu (taksiran interval), atau bahkan jawaban dikolomi ya atau tidak
(uji hipotesis).
Kebanyakan model probabilitas, terutama yang cukup luas nilai
penggunaanya, tergantung pada beberapa konstan yang dikenal dengan
nama parameter. Dalam banyak masalah, keluarga model
probabilitassyang menggambarkan suatu fenomena biasanya dianggap
diketahui. Tetapi anggota tertentu dari keluarga itu yang dipandang
paling tepatmenggambarkan fenomena tersebut mungkin sekali tidak
Inferensi Dengan Dua Sampel | STATISTIKA MATEMATIKA II 6
diketahui.dalam hal ini perlu ditaksir berdasarkan data yang
diambildari fenomena itu.
Model probit merupakan model non linier yang digunakan
untuk menganalisis hubungan antara satu variabel respon dan beberapa
variabel bebas, dengan variabel responnya berupa data kualitatif
dikotomi yaitu bernilai 1 untuk menyatakan keberadaan sebuah
karakteristik dan bernilai 0 untuk menyatakan ketidakberadaaan
sebuah karakteristik. Model probit dengan satu variabel respon dapat
dikembangkan menjadi model probit dengan menggunakan dua
variabel respon, model ini disebut model probit bivariat.
Model probit bivariat menggunakan dua variabel dikotomi
sebagai variabel responnya, sedangkan variabel bebasnya dapat berupa
variabel yang bersifat diskrit maupun variabel yang bersifat kontinu
dan juga dapat berupa variabel kualitatif yaitu variabel nominal atau
ordinal. Salah satu contoh kasus probit bivariat adalah penelitian yang
dilakukan oleh Pindyck dan Rubinfield pada tahun 1973 di kota Troy,
Michigan, Amerika Serikat tentang keputusan suatu keluarga apakah
akan membelanjakan uangnya untuk membiayai salah seorang anaknya
ke sekolah negeri atau akan membelanjakan uangnya untuk membayar
pajak properti. Variabel yang diamati adalah pendapatan, pajak
kekayaan, dan lama menetap dalam lingkungan tersebut. Akan
diselidiki apakah variabel pendapatan, pajak kekayaan, dan lama
menetap dalam lingkungan tersebut mempengaruhi keputusan
seseorang lebih memilih membelanjakan uangnya untuk membiayai
Inferensi Dengan Dua Sampel | STATISTIKA MATEMATIKA II 7
salah seorang anaknya ke sekolah negeri atau memilih membelanjakan
uangnya untuk membayar pajak properti (Greene,1984). Karena dalam
kasus tersebut data yang disajikan berupa data kualitatif, dan variabel
responnya terdiri dari dua variabel maka untuk menganalisis hubungan
antar variabelnya menggunakan pendekatan model probit bivariat.
Hitungan-hitungan atas sampel disebut statistik, dalam statistik
harus ada pengukuran sehingga dapat dihitung. Sedangkan cara
pengambilan sampel disebut teknik sampling, yaitu menentukan
sampel yang akan digunakan dalam penelitian.
Proses pengukuran dapat diturunkan dari pengertian teori yang
lebih dikaitkan pada filosofi kemudian pada pengertian operasional
(menjabarkan pengertian teori dengan dimensi-dimensi untuk dapat
diukur, dapat dibaca melalui indikator) dan indikator yang diukur ini
merupakan operasional dari data.
Meskipun ada pihak yang menganggap statistika sebagai
cabang dari matematika, tetapi sebagian pihak lainnya menganggap
statistika sebagai bidang yang banyak terkait dengan matematika
melihat dari sejarah dan aplikasinya. Di Indonesia, kajian statistika
sebagian besar masuk dalam fakultas matematika dan ilmu
pengetahuan alam, baik di dalam departemen tersendiri maupun
tergabung dengan matematika.
Model regresi merupakan komponen penting dalam beberapa
analisis data dengan menggambarkan hubungan antara variabel respon
Inferensi Dengan Dua Sampel | STATISTIKA MATEMATIKA II 8
dan satu atau beberapa variabel bebas. Pada umumnya analisis regresi
digunakan untuk menganalisis data dengan variabel respon berupa data
kuantitatif. Akan tetapi dalam kehidupan sehari-hari sering ditemui
kasus dengan variabel responnya bersifat kualitatif, seperti keputusan
memilih “ya” atau “tidak”. Untuk menyelesaikan kasus ini dapat
digunakan model probit.
Perlu disadari kehadiran statistika pada masa sekarang dan
masa akan datang sudah tidak bisa ditawar-tawar lagi. Statistika adalah
salah satu yang sangat penting untuk menunjang penelitian. Kualitas
dan kuantitas penelitian sangat menunjang keberhasilan pembangunan
pada umumnya dan khususnya dalam mengambil kebijaksanaan atau
kesimpulan-kesimpulan, disamping faktor-faktor penunjang lainnya.
Sedangkan statistik dipergunakan untuk menyatakan
kumpulan data, bilangan maupun non-bilangan yang disusun dalam
suatu sajian data seperti tabel, diagram, grafik dan lain-lain. Statistik
yang menjelaskan sesuatu hal secara umum diberi nama statistik
mengenai hal yang bersangkutan. Contoh statistik penduduk suatu
kabupaten/ kota pada tahun tertentu, statistik pendidikan daerah pada
tahun tertentu, statistik kelulusan dan lain-lain yang disajikan dalam
diagram batang, garis, tabel-tabel presentasi atau yang lain, dengan
tujuan agar sajian data menarik bagi pembaca dalam melihat kumpulan
data.
Statistika dalam penelitian mempunyai peranan sangat
penting yaitu untuk perumusan masalah, menentukan hipotesis,
Inferensi Dengan Dua Sampel | STATISTIKA MATEMATIKA II 9
menentukan besar sampel, menentukan benar atau tidaknya
kesimpulan hasil penelitian dan lain sebagainya berdasarkan atas
kumpulan data. Penarikan kesimpulan hasil penelitian juga sangat
tergantung pada perhitungan-perhitungan dan jenis uji statistika yang
dipergunakan.
Statistika lebih spesifik dipergunakan dalam riset penelitian
yang merupakan suatu pengetahuan tersendiri. Statistika adalah ilmu
pengetahuan yang berhubungan dengan cara-cara pengumpulan data,
pengolahan atau penganalisisan data dan penarikan kesimpulan
berdasarkan kumpulan data dan analisis data yang dilakukan.
Pengukuran-pengukuran pada jajaran operasional, dari skala
pengukuran dapat mengenal beberapa skala pengukuran data yaitu
nominal, ordinal, interval dan rasio. Penurunan skala pengukuran data
dari rasio ke nominal dalam penelitian akan mengalami kerugian,
kerugian yang dimaksud antara lain ketelitian dalam mencari data,
kerugian dalam hal nilai dan kerugian dalam hal kemaknaan data,
secara jelas yang dimaksudkan masing-masing skala-skala pegukuran
itu adalah:
1. Nominal
a. Penggolongan
Jika didalam pengukuran skala yang hanya mampu
mengelompokkan atau menggolongkan atas pengamatan. Ciri-
ciri tertentu tidak mempunyai praduga yang satu lebih tinggi
Inferensi Dengan Dua Sampel | STATISTIKA MATEMATIKA II 10
dari yang lain, skala paling sederhana tidak mampu memberi
jenjang yang baik.
2. Ordinal
a. Penggolongan
b. Urutan
Artinya skala disamping memberi pengelompokan
terhadap respon juga dapat memberi urutan pada respon.
Urutan menunjukkan tingkatan bahwa satu lebih tinggi dari
yang lain, yang satu lebih baik dari yang lain. Urutan yang
dipakai disebut skala ordinal.
Misal: sangat setuju, setuju, kurang setuju, . . .
kemudian diberi skor menurut yang tertinggi (5, 4, 3, 2, 1).
Bahwa sangat setuju lebih tinggi daripada kurang setuju dalam
pendapat. Kasus nilai terdapat nilai A, B, C, D, E bahwa nilai
A lebih baik dari nilai B, nilai B, lebih baik dari nilai C dan
seterusnya.
3. Interval
a. Penggolngan
b. Urutan
c. Jarak dua titik skala
Artinya disamping mampu memberi pengelompokan
dan mampu memberi urutan, dapat pula memberikan jarak dua
titik yang sama atau dapat dilihat dari nilai nol yang didapat,
Inferensi Dengan Dua Sampel | STATISTIKA MATEMATIKA II 11
tidak ada nol murni (nilai nol relatif). Misal: Jarak antara tahun
1970 - 1980 - 1990
Mahasiswa ketika ujian mendapat nilai 0 dalam mata
kuliah statistika, apakah yang bersangkutan sama sekali tidak
tahu tentang statistika yang telah diterima, jawabnya tentu
tidak.
a. Rasio
b. Penggolongan
c. Urutan
d. Jarak dua tiytik skala
e. Titik nol murni
Artinya mirip dengan skala interval hanya berbeda pada titik
nol murni. Nilai nol menjadi syarat mutlak dalam skala pengukuran
data dalam bentuk rasio.
Macam-macam variabel (cara mengukur):
1. Kontinu
2. Diskrit
Variabel kontinu adalah variabel yang memungkinkan
memiliki nilai antara dari dua nilai yang sudah diskrit, variabel
diperoleh dengan jalan pengukuran. Contoh: tinggi badan, berat
badan.Variabel diskrit adalah variabel yang memiliki nilai-nilai genap
(yang dinyatakan dengan bilangan bulat), variabel ini didapat dari
menghitung atau membilang).
Inferensi Dengan Dua Sampel | STATISTIKA MATEMATIKA II 12
Statistika dapat dikelompokkan menjadi dua golongan besar,
yaitu statistika deskriptif dan statistika analitik atau statistika
inferensial. Statistika deskriptif adalah statistika yang berfungsi untuk
mendeskripsikan atau memberi gambaran terhadap objek yang diteliti
melalui data sampel atau populasi sebagaimana adanya, tanpa
melakukan analisis dan membuat kesimpulan yang berlaku untuk
umum. Statistika deskriptif adalah statistika yang membahas cara-cara
penyajian data, sehingga data-data tersebut mudah dimengerti oleh
pembaca. Data tersebut misalnya disajikan dalam bentuk grafik,
diagram, kurva, tabel biasa maupun distribusi frekuensi dan lain
sebagainya.
Disamping itu statistika deskriptif dapat menyajikan
kecenderungan pemusatan data dalam bentuk rata-rata (means), modus
dan median. Selain itu, penyebaran data dalam bentuk range, standar
deviasi, variansi dan lain sebagainya, juga dibahas dalam statistika
deskriptif. Pada statistika deskriptif perlu adanya suatu hipotesis dan
tidak dapat menarik kesimpulan data dari contoh terhadap populasi.
Statistika analitik adalah statistika yang membahas tentang
cara-cara analisis data untuk membuktikan benar salah suatu hipotesis
yang telah dirumuskan, sehingga karakteristik data contoh tersebut
dapat menyimpulkan karakteristik populasi. Statistika inferensial
adalah statistika yang dengan segala informasi dari sampel digunakan
untuk menarik kesimpulan mengenai karakteristik populasi dari mana
sampel itu diambil. Untuk menarik kesimpulan tersebut dapat
Inferensi Dengan Dua Sampel | STATISTIKA MATEMATIKA II 13
dilakukan dengan dua cara, yaitu penaksiran parameter dan pengujian
hipotesis. Statistika analitik dapat dikelompokkan menjadi statistika
parametrik dan statistika nonparametrik.
Statistika parametrik akan menganalisis data yang
berbentuk kuantitatif dengan skala data berbentuk rasio atau interval
dan perolehan data secara kontinu atau secara diskrit. Persyaratan lain
untuk statistika parametrik adalah penyebaran data diketahui menyebar
normal. Teknik-teknik ini berhubungan dengan estimasi parameter
populasi serta pengujian hipotesis yang berhubungan dengan parameter
tersebut, misalnya nilai rata-rata (µ), varians (σ2), banyaknya data
pengamatan N.
Statistika nonparametrik umumnya menganalisis data yang
berbentuk kualitatif dengan skala ordinal dan nominal atau kategorial.
Selain itu dapat juga menganalisis data kuantitatif dengan skala rasio
atau interval, tetapi data tidak menyebar normal. Statistika
nonparametrik disebut sebagai statistika bebas sebaran.
Dalam menganalisis data sering terjadi kekeliruan dalam
memperhitungkan data. Penggunaannya disebut pula taraf signifikan
atau taraf nyata. Besar kecilnya dan yang dapat diterima dalam
pengambilan keputusan bergantung pada akibat-akibat atas
diperbuatnya kekeliruan-kekeliruan.
Kebanyakan model probabilitas, terutama yang cukup luas nilai
penggunaanya, tergantung pada beberapa konstan yang dikenal dengan
nama parameter. Dalam banyak masalah, keluarga model
Inferensi Dengan Dua Sampel | STATISTIKA MATEMATIKA II 14
probabilitassyang menggambarkan suatu fenomena biasanya dianggap
diketahui. Tetapi anggota tertentu dari keluarga itu yang dipandang
paling tepatmenggambarkan fenomena tersebut mungkin sekali tidak
diketahui.dalam hal ini perlu ditaksir berdasarkan data yang
diambildari fenomena itu.
Biasanya digunakan lambang μ dan σ untuk parameter mean
dan deviasi standar distribusi normal, sedangkan untuk distribusi
binomial, diunakan lambang n dan p masing-masing untuk parameter
banyak kali usaha (trial) dan peluang sukses dalam tiap usaha. Namun,
untuk membicarakan masalah penaksir parameter pada umumnya di
gunakan huruf Yunani θ (theta) sebagai lambang parameter. Jadi,
f(x;θ1, . . . , θk) akan menunjukkan fungsi probabilitas dengan k
parameter (diketahui ataupun tidak) θ1, . . . , θk. Kebanyakan masalah
yang dihadapi biasanya hanya memuat satu parameter.
Mengapa banyak analisis statistik yang mengharuskan kita
untuk menguji distribusi Normal terlebih dahulu?. Distribusi normal
itu distribusi data yang memiliki grafik setangkup (seimbang antara
kanan dan kiri/Xmin dan Xmaks), dimana rata-rata (mean) sama
dengan modus (nilai yg sering muncul) dan sama dengan median (nilai
yang berada di tengah), tidak ada outlier.
Ada teori yg bernama "teorima limit pusat" yang menyatakan,
semakin banyak data yang diambil akan semakin mendekati ditribusi
Inferensi Dengan Dua Sampel | STATISTIKA MATEMATIKA II 15
normal. Untuk itu perlu adanya pengujian distribusi normal atau tidak
sebelum menggunakan metode statistika parametrik.Apabila tidak
memenuhi distribusi normal, maka bisa ditambah datanya, dilakukan
transformasi, atau dapat menggunakan alternative metode statistika
non-parametrik.
Data dapat diperoleh melalui beberapa cara seperti kegiatan
rutin atau kegiatan penelitian. Pembagian data menurut sifat, sumber,
cara memperoleh, waktu pengumpulan dapat diberikan contoh masing-
masing sendiri menurut klasifikasi tersebut.
Syarat data yang baik dan berguna sebagai dasar untuk
pembuatan keputusan, agar tidak menimbulkan kesalahan adalah:
1) Data harus objektif, maksudnya data terkumpul sesuai dengan
keadaan sebenarnya
2) Data harus bisa mewakili (representative)
3) Kesalahan baku (standart error) harus kecil
4) Ketiga syarat ini merupakan syarat yang bisa dipercaya kebenaran
(reliable) akan suatu data. Sedang syarat berikut lebih
menunjukkan pada manfaat atau kegunaan data, yaitu:
5) Harus tepat waktu, khususnya dipergunakan sebagai evaluasi atau
alat kontrol
6) Harus relevan, maksudnya data terkumpul harus ada hubungan
dengan persoalan yang akan dipecahkan
Inferensi Dengan Dua Sampel | STATISTIKA MATEMATIKA II 16
Dari kelima syarat diatas tentu tidak hanya data saja yang harus
dipenuhi syarat-syaratnya, karena hal ini berkaitan dengan sampel
dimana data diambil, sampel yang bagaimana supaya data terambil
memenuhi persyaratan di atas, lebih jauh akan dibicarakan tersendiri
tentang cara penentuan sampel suatu populasi.
Populasi adalah totalitas semua nilai yang mungkin, hasil
perhitungan ataupun pengukuran, kuantitatif maupun kualitatif
mengenai karakteristik tertentu dari semua anggota kumpulan lengkap
dan jelas yang dipelajarai sifat-sifatnya. Populasi adalah wilayah
generalisasi yang terdiri atas objek/ subjek yang mempunyai kuantitas
dan karakteristik tertentu yang ditetapkan oleh peneliti untuk dipelajari
dan kemudian ditarik kesimpulannya. Satu orang dapat digunakan
sebagai populasi, karena satu orang itu mempunyai berbagai
karakteristik, contohnya gaya mengajar, gaya bicara, disiplin, cara
menyampaikan pendapat, cara bergaul dan lain-lain. Sedangkan
sebagian yang diambil dengan karakteristik yang identik dengan
populasi disebut sampel.
Statistika dapat dikelompokkan menjadi dua golongan besar,
yaitu statistika deskriptif dan statistika analitik atau statistika
inferensial. Statistika deskriptif adalah statistika yang berfungsi untuk
mendeskripsikan atau memberi gambaran terhadap objek yang diteliti
melalui data sampel atau populasi sebagaimana adanya, tanpa
melakukan analisis dan membuat kesimpulan yang berlaku untuk
umum. Statistika deskriptif adalah statistika yang membahas cara-cara
Inferensi Dengan Dua Sampel | STATISTIKA MATEMATIKA II 17
penyajian data, sehingga data-data tersebut mudah dimengerti oleh
pembaca. Data tersebut misalnya disajikan dalam bentuk grafik,
diagram, kurva, tabel biasa maupun distribusi frekuensi dan lain
sebagainya.
Disamping itu statistika deskriptif dapat menyajikan
kecenderungan pemusatan data dalam bentuk rata-rata (means), modus
dan median. Selain itu, penyebaran data dalam bentuk range, standar
deviasi, variansi dan lain sebagainya, juga dibahas dalam statistika
deskriptif. Pada statistika deskriptif perlu adanya suatu hipotesis dan
tidak dapat menarik kesimpulan data dari contoh terhadap populasi.
Bila populasi besar dengan peneliti tidak mungkin
mempelajari semua yang ada pada populasi, karena keterbatasan dana,
tenaga dan waktu, maka peneliti dapat menggunakan sampel itu,
kesimpulan yang akan diambil dari populasi itu. Sampel terambil harus
representatif dalam arti segala karakteristik populasi hendaknya
dicerminkan pula dalam sampel yang terambil.
Statistika adalah sekumpulan angka yang berguna bagi
pemerintahan saja, namun telah mencakup penelitian diberbagai
bidang seperti ekonomi, pertanian, sains, dan sebagainya. Statistika
adalah cabang ilmu matematika yang mempelajari metode
pengumpulan, pengolahan, penaksiran dan penarikan kesimpulan dari
data yang berupa angka-angka.
Statistika dibagi menjadi dua yaitu statistika deskriptif dan
statistika induktif/ statistika zinferensi. Statistika deskriptif adalah
Inferensi Dengan Dua Sampel | STATISTIKA MATEMATIKA II 18
bagian dari statistika yang membahas tentang penyusunan data ke
dalam daftar atau jadwal. Sedangkan statistika induktif/ statistika
zinferensi adalah bagian dari statistika yang mencakup semua aturan
dan metode yang dapat dipakai sebagai alat untuk menarik kesimpulan
yang berlaku secara umum dari data yang telah disusun dan diolah
sebelumnya. Peranan Statistika yaitu dalam kehidupan dan penelitian
ilmiah.
Statistika sebagai alat utama dalam penelitian untuk
mendapatkan pengetahuan ilmiah. Statistika pada prinsipnya adalah
mempelajari tentang pengumpulan data, pengolahan data,
penganalisisan data, serta penarikan simpulan berdasarkan hasil
analisis data. Menurut Steel dan Torrie (1980), statistika sebagai alat
yang dapat diterapkan dalam metode ilmiah. Penerapannya ialah pada
semua bidang ilmu, dan peneliti menetapkan sendiri masalah apa yang
akan diteliti sesuai bidang ilmunya. Pengguna statistika, seringkali
lupa bahwa mereka harus berpikir tentang masalah penelitiannya,
karena statistika tidak dapat berpikir untuk mereka.
Dalam penerapan statistika, masih ada pemahaman yang
keliru, yakni para pengguna lebih menekankan kepada uji statistika
yang digunakan daripada prosedur lainnya, terutama prosedur
pengumpulan data. Cara memperoleh data yang benar serta kualitas
data yang baik dan benar, akan sangat menentukan kualitas hasil
penelitian. Oleh karena itu, data sebagai sumber utama informasi yang
akan dianalisis haruslah tepat dan benar. Ada anggapan yang keliru
Inferensi Dengan Dua Sampel | STATISTIKA MATEMATIKA II 19
bahkan menyesatkan, yaitu data yang tidak benar apabila dianalisis
dengan analisis data yang benar bahkan dengan menggunakan
komputer, maka hasilnya akan menjadi benar. Anggapan ini sangat
menyesatkan, bahkan mendorong peneliti untuk memanipulasi data
guna memenuhi kepentingannya. Sesungguhnya, dalam analisis data
juga berlaku prinsip gi-go (garbage in – garbage out). Bila yang di-
input data sampah (bohong), maka hasil analisisnya juga bohong.
Dalam menentukan jenis analisis data (uji statistika) yang akan
digunakan, peneliti hendaknya menyesuaikan dengan tujuan penelitian.
Statistika sebagai alat analisis harus digunakan secara tepat, agar
diperoleh hasil penelitian yang benar serta dapat
dipertanggungjawabkan secara ilmiah. Sebagai ilustrasi sederhana
tentang penggunaan alat yang tepat, katakanlah seorang ibu ingin
membersihkan ikan selar (tude) sebelum dimasak. Ibu tersebut
diperhadapkan dengan beberapa pilihan alat yang akan digunakan,
sebut saja: parang, sabel, pisau, silet, gergaji, keris, dan sebagainya.
Kita mungkin tertawa mendengar pilihan alat tersebut, karena kita
sudah tahu bahwa pisau-lah yang paling tepat. Keadaan seperti ini
mungkin saja pernah atau akan kita hadapi, ketika menganalisis data,
apabila kita tidak tahu persis alat analisis yang digunakan. Oleh karena
itu, pengetahuan dasar tentang statistika, sebaiknya diketahui setiap
peneliti ataupun ilmuwan.
Metode Statistika adalah seperangkat alat dalam penelitian.
Oleh karena itu, pemilihan dan penggunaannya harus tepat dan benar.
Inferensi Dengan Dua Sampel | STATISTIKA MATEMATIKA II 20
Metode uji statistika yang digunakan harus cocok dengan tujuan
pengujian dan skala datanya. Selain itu, penarikan simpulan harus
benar dan asumsi-asumsi yang mendasari metode uji harus dipenuhi.
Statistika memberikan cara untuk dapat menarik simpulan yang
bersifat umum dengan jalan mengamati hanya sebagian dari populasi,
yang disebut sampel (contoh). Selain itu, statistika juga memberikan
kemampuan kepada kita untuk mengetahui apakah benar ada suatu
hubungan sebab-akibat atau perbedaan antara dua atau lebih faktor,
ataukah hubungan atau perbedaan tersebut hanya secara kebetulan saja.
Statistika inferensial digunakan untuk membantu
menyelesaikan permasalahan-permasalahan yang asing dan kompleks
yang ditemukan di kehidupan sehari-hari. Contohnya, ketika anda
membeli atau meminjam sebuah mobil, pertama yang anda lakukan
adalah memeriksa kenormalan suara dan vibrasi (getaran) mesin,
khususnya pada mobil yang tipe lama dengan banyaknya suara yang
berderik dan mencicit. Setelah, mengetahui tipe apa, anda dapat
mendeteksi suara yang halus tetapi tidak normal seperti pada
pengereman dan poros roda. Kemudian baru bawa ke bengkel.
Montir bengjel akan menentukan mana yang mengalami
ketidak-normalan dan mengapa bisa terjadi? Bagaimana mereka bisa
mengetahuinya? Mungkin dari seringya mereka memperbaiki banyak
mobil. Beberapa mobil yang normal sangat tenang, beberapa yang lain
sangat rebut, meskipun kelihatannya baik-baik saja, tetapi padahal
lebih dari hanya rebut. Montir bengkel mengetahui permasalahan jenis
Inferensi Dengan Dua Sampel | STATISTIKA MATEMATIKA II 21
apa yang ada pada mobil anda? Montir membawa mobil aanda untuk
pengujian kendaraan tetapi hanya dibatasi waktu lima menit karena
pelanggan yang lain menunggu ini adalah satu contoh kecil untuk
mengambil keputusan dengan suatu permasalahn yang tidak normal.
Ketika kita harus mengambil keputusan dengaan sedikit informasi dari
pada yang diharapkan. Dari contoh ini, dengan waktu hanya lima
menit pengujian kendaraan, montir harus memutuskan jenis kebisingan
apa yang menjadi penyebab rebut pada mobil itu. Dia mempergunakan
estimasi (perkiraan), menduga nilai populasi dari suatu sample yaitu
dari ketidaknormalan suara-suara mobil sepanjang pengetahuannya
mengenai kendaraan yang normal.
Dugaan berikutnya, apakah kebisingan suara mobil itu
merupakan bagian poopulasi dari suara mesin mobil yang sebut atau
bagaian populasi dari mobil yang mengalami kerusakan pada poros
roda. Kerusakan pada poros roda merupakan suatu masalah yang serius
jika dibandingkan akan memungkinkan terjadinya kecelakaan.
Interval kepercayaan sama seperti menemukan nilai kebenaran
suatu pengukuran. Berikut ini ilustrasi dari sebaran distribusi sample:
Li : kemungkinan yang diterima (liberty)
B1 : garis bawah kewajaran (borderline)
A1 : tidak wajar (atypical)
a) Suatu interval kepercayaan adalah daerah yang berada di sekitar
statistic sample (seperti rata-rata) yang membuat nilai populasi
Inferensi Dengan Dua Sampel | STATISTIKA MATEMATIKA II 22
(contoh: rata-rata populasi) dengan kepercayaan tertentu yang
dinyatakan dalam kemungkinan atau sebagai presentase.
b) Menentukan luas interval kepercayaan melalui beberapa yakin
bahwa nilai kepercayaan yang diambil memenuhi parameter.
c) Suatu kepercayaan dinyatakan dengan kemungkinan dari 2 ke 1
yang mengiring 68 persen interval kepercayaan luas standarerror 1:
kemingkinan dari 19 ke 1 mengiring 95 persen interval
kepercayaan, luas standar error 1.96: dan kemungkinan dari 99 ke
1 mengiring 99 persen interval kepercayaan yang luas standar error
2.58.
Agar penelitian dapat dilakukan maka kedua kekeliruan itu kita
nyatakan dalam peluang. Peluang membuat kekeliruan tipe I biasa
dinyatakan dengan, dan peluang membuat kekeliruan tipe II
dinyatakan dengan.
Dalam penggunannya disebut pula taraf signifikan atau taraf
nyata. Besar kecilnya dan yang dapat diterima dalam pengambilan
keputusan bergantung pada akibat-akibat atas diperbuatnya kekeliruan-
kekelirua. Jika diperkecil, maka menjadi besar dan demikian
sebaliknya. Akan diambil lebih dahulu dengan harga yang biasa
digunakan yaitu atau . Dengan misalnya, atau taraf nyata berarti kira-
kira yakin bahwa kita telah membuat kesimpulan yang benar, dan
mungkin salah dengan peluang. Unutk setiap pengujian dengan yang
ditentukan besar dapat dihitung. Harga dinamakan kuasa uji. Ternyata
bahwa nilai berbeda untuk harga parameter yang berlainan, jadi
Inferensi Dengan Dua Sampel | STATISTIKA MATEMATIKA II 23
bergantung pada parameter., sehingga didapat sebuh fungsi yang
bergantung pada. Bentuk dinamakan fungsi cirri operasi. Dan disebut
fungsi kuasa.
Sebagian besar orang pasti sudah tau bila mendengar kata
statistika. Jika ditanya sejak kapan mereka mengenal statistika
mungkin sebagian besar orang akan menjawabnya “ oh saat saya mulai
sekolah, hmm mungkin sekitar SMP atau SMA”. Tetapi sadarkah
Anda, sebenarnya kita mengenal statistika semenjak kita lahir. Tanpa
kita sadari saat lahir, kita sudah dikenalkan yang namanya statistika.
Hal yang paling sederhana misalnya : berat dan panjang badan
kita saat lahir. Namun karena saat itu kita masih sangat kecil dan
belum bisa berpikir, dan merasakan apa-apa jadi kita tidak
mengetahuinya. Seringkali kita tidak menyadari bahwa dalam
kehidupan kita sehari-hari kita seringkali sudah melakukan penelitian,
misalnya dalam membeli suatu barang yang berharga mahal seperti
komputer, kita tentu saja melakukan penelitian ke toko-toko komputer
untuk membandingkan harga, fitur, maupun jaminannya.
Sebelum bicara lebih lanjut tentang statistika, kita perlu
mencari tau apa sebenarnya statistika itu. Statistika adalah ilmu yang
mempelajari bagaimana merencanakan, mengumpulkan, menganalisis,
menginterpretasi, dan mempresentasikan data. Singkatnya, statistika
adalah ilmu yang berkenaan dengan data. Atau statistika adalah ilmu
yang berusaha untuk mencoba mengolah data untuk mendapatkan
manfaat berupa keputusan dalam kehidupan.
Inferensi Dengan Dua Sampel | STATISTIKA MATEMATIKA II 24
Istilah ’statistika’ (bahasa Inggris: statistics) berbeda dengan
’statistik’ (statistic). Statistika merupakan ilmu yang berkenaan dengan
data, sedang statistik adalah data, informasi, atau hasil penerapan
algoritma statistika pada suatu data. Dari kumpulan data, statistika
dapat digunakan untuk menyimpulkan atau mendeskripsikan data; ini
dinamakan statistika deskriptif. Sebagian besar konsep dasar statistika
mengasumsikan teori probabilitas. Beberapa istilah statistika antara
lain: populasi, sampel, unit sampel, dan probabilitas.
Statistika banyak diterapkan dalam berbagai disiplin ilmu, baik
ilmu-ilmu alam (misalnya astronomi dan biologi maupun ilmu-ilmu
sosial (termasuk sosiologi dan psikologi), maupun di bidang bisnis,
ekonomi, dan industri). Statistika juga digunakan dalam pemerintahan
untuk berbagai macam tujuan; sensus penduduk merupakan salah satu
prosedur yang paling dikenal. Aplikasi statistika lainnya yang sekarang
popular adalah prosedur jajak pendapat atau polling (misalnya
dilakukan sebelum pemilihan umum), serta jajak cepat (perhitungan
cepat hasil pemilu) atau quick count. Di bidang komputasi, statistika
dapat pula diterapkan dalam pengenalan pola maupun kecerdasan
buatan.
Metode statistika adalah metode-metode/prosedur-prosedur
untuk pengumpulan, penyajian , analisis, dan kesimpulan dari data.
Metode statistika terbagi dua yaitu :
a) Statistika deskriptif yaitu berkaitan dengan kegiatan pencatatan dan
peringkasan hasil-hasil pengamatan terhadap kejadian-kejadian
Inferensi Dengan Dua Sampel | STATISTIKA MATEMATIKA II 25
atau karakteristik-karakteristik manusia, tempat dan sebagainya,
secara kuantitatif.
b) Statistika inferensial yaitu metode-metode untuk menganalisis
sampel dari populasi sehingga dapat ditarik kesimpulan tentang
populasi dari sampel tersebut.
Populasi dan Sampel
Populasi adalah keseluruhan objek psikologis yang menjadi
perhatian. Populasi bisa populasi yang terhingga (contohnya : jumlah
mahasiswa UNPAD) dan populasi tak terhingga (contohnya : jumlah
mahasiswa UNPAD dari dulu hingga sekarang dan nantinya). Sampel
adalah himpunan bagian dari populasi.
Parameter dan Statistik
Parameter adalah sembarang nilai yang menjelaskan ciri
populasi
Statistik adalah sembarang nilai yang menjelaskan ciri dari sampel
Himpunan data adalah kumpulan dari fakta yang dikumpulkan untuk
maksudtertentu.
Data diskrit : data yang diperoleh dari proses hitungan
Data kontinu : data yang diperoleh dari proses pengukuran
Karakteristik dari himpunan data adalah :
a) Anggota : sekumpulan data terdiri dari sekumpulan dari anggota-
anggota untuk masing-masing anggota informasi tentang satu atau
lebih karakteristik yang diinginkan.
Inferensi Dengan Dua Sampel | STATISTIKA MATEMATIKA II 26
b) Variabel : sebuah karakteristik yang dapat diperoleh dari berbagai
kemungkinan hasil yang berbeda-beda.
c) Variabel kuantitatif : variabel yang hasilnya berupa angka
d) Variabel kualitatif : variabel yang hasilnya hanya atribut.
Pengamatan (observasi) : informasi tentang sebuah variabel
tunggal untuk sebuah anggota dari sekumpulan data.
Statistika parametrik adalah prosedur yang pengujian yang
dilakukan berlandaskan distribusi. Salah satu karakteristiknya
penggunaan prosedur ini melibatkan asumsi-asumsi tertentu. Contoh
dari statistik parametrik adalah analisis regresi, analisis korelasi,
analisis varians.
Statistika non parametrik adalah prosedur dimana kita tidak
melibatkan parameter serta tidak terlibatnya distribusi. Contoh : uji
keacakan, uji kecocokan (goodness of fit),dll.
Kelebihan statistika non parametric
a) Asumsi yang digunakan dalam jumlah yang minimum maka
kemungkina penggunaan secara salah juga kecil.
b) Untuk beberapa prosedur perhitungan dapat dilakukan dengan
mudah secara manual.
c) Konsep-konsep dari prosedur ini menggunakan dasar matematika
dan statistika yang mudah dipahami.
d) Prosedur ini dapat digunakan pada skala ordinal maupun nominal.
Kelemahan dari prosedur statistika non parametrik
Inferensi Dengan Dua Sampel | STATISTIKA MATEMATIKA II 27
a) Jika suatu kasus yang dapat dianalisis dengan statistika parametrik,
kemudian digunakan analisis statistika non parametrik akan
menyebabkan pemborosan informasi.
b) Meskipun prosedur penghitungannya sederhana, perhitungannya
kadang-kadang membutuhkan banyak tenaga dan menjemukan.
Kapan prosedur non parametrik digunakan ?
a) Bila hipotesis yang harus diuji tidak melibatkan suatu parameter
populasi.
b) Bila skala pengukuran yang disyaratkan dalam statistika parametrik
tidak terpenuhi misalnya skala ordinal dan nominal.
c) Skala Pengukuran
Data dibedakan menurut skala yang digunakan pada saat
melakukan pengukuran. Dengan pengukuran dimaksudkan sebagai
upaya memberikan angka numerik terhadap obyek menurut aturan-
aturan tertentu. Aturan yang berbeda akan menghasilkan skala yang
berlainan sehingga akan memberikan jenis pengukuran yang berbeda.
Terdapat empat macam skala pengukuran yang ada yaitu:
Skala nominal merupakan skala pengukuran yang paling
rendah tingkatannya di antara ke empat skala pengukuran yang lain.
Seperti namanya, skala ini membedakan satu obyek dengan obyek
lainnya berdasarkan lambang yang diberikan. Oleh karena itu data
dalam skala nominal dapat dikelompokkan ke dalam beberapa
kategori, dan kepada kategori tersebut dapat diberikan lambang yang
sesuai atau sembarang bilangan.
Inferensi Dengan Dua Sampel | STATISTIKA MATEMATIKA II 28
Bilangan yang diberikan tidak mempunyai arti angka numerik
artinya kepada angka-angka tersebut tidak dapat dilakukan operasi
aritmetika, tidak boleh menjumlahkan, mengurangi, mengalikan, dan
membagi. Bilangan yang diberikan hanyalah berfungsi sebagai
lambang yang dimaksudkan hanya untuk membedakan antara data
yang satu dengan data yang lainnya.
Contoh : Data mengenai barang-barang yang dihasilkan oleh
sebuah mesin dapat digolongkan dalam kategori cacat atau tidak cacat.
Barang yang cacat bisa diberi angka 0 dan yang tidak cacat diberi
angka 1. Data 1 tidaklah berarti mempunyai arti lebih besar dari 0.
Data satu hanyalah menyatakan lambang untuk barang yang tidak
cacat.
Kesimpulan : Bilangan dalam Skala Nominal berfungsi hanya
sebagai lambang untuk membedakan, terhadap bilangan-bilangan
tersebut tidak berlaku hukum aritmetika, tidak boleh menjumlahkan,
mengurangi, mengalikan, maupun membagi.
Hubungan yang membatasi adalah hubungan sama dengan  
dan tidak sama dengan   .
Statistik yang sesuai dengan data berskala Nominal adalah
Statistik Nonparametrik. Contoh perhitungan statistik yang cocok
adalah Modus, Frekuensi dan Koefisien Kontingensi.
Skala ordinal
Skala pengukuran berikutnya adalah skala pengukuran ordinal.
Skala pengukuran ordinal mempunyai tingkat yang lebih tinggi dari
Inferensi Dengan Dua Sampel | STATISTIKA MATEMATIKA II 29
skala pengukuran nominal. Dalam skala ini, terdapat sifat skala
nominal, yaitu membedakan data dalam berbagai kelompok menurut
lambang, ditambah dengan sifat lain yaitu, bahwa satu kelompok yang
terbentuk mempunyai pengertian lebih (lebih tinggi, lebih besar,…)
dari kelompok lainnya. Oleh karena itu, dengan skala ordinal data atau
obyek memungkinkan untuk diurutkan atau dirangking.
Contoh : Sistem kepangkatan dalam dunia militer adalah satu
contoh dari data berskala ordinal Pangkat dapat diurutkan atau
dirangking dari Prajurit sampai Sersan berdasarkan jasa, dan lamanya
pengabdian. Jika peneliti merangking data lamanya pengabdian maka
peneliti dapat memberikan nilai 1, 2, 3, … , 4 dst masing-masing
terhadap seseorang anggota ABRI yang berpangkat Prajurit, Kopral,
Sersan, dst.
Berbeda dengan skala nominal, angka yang diberikan terhadap
obyek tidak semata-mata berlaku sebagai lambang tetapi juga
memperlihatkan urutan atau rangking.
Kesimpulan: Pada tingkat pengukuran ordinal, bilangan yang
didapat berfungsi sebagai :
1. lambang untuk membedakan
2. untuk mengurutkan peringkat berdasarkan kualitas yang telah
ditentukan (> atau < ).
Pada tingkat pengukuran ordinal kita bisa mengatakan lebih
baik/lebih buruk, lebih besar/lebih kecil, tetapi tidak bisa menentukan
berapa kali lebih besarnya/lebih buruknya.
Inferensi Dengan Dua Sampel | STATISTIKA MATEMATIKA II 30
Statistik yang sesuai dengan data berskala Ordinal adalah
Statistik Nonparametrik. Contoh perhitungan statistik yang cocok
adalah Median, Persentil, Korelasi Spearman (rs ), Korelasi Thau-
Kendall dan Korelasi Thau-Kendall (W).
Skala interval
Skala pengukuran Interval adalah skala yang mempunyai
semua sifat yang dipunyai oleh skala pengukuran nominal, dan ordinal
ditambah dengan satu sifat tambahan. Dalam skala interval, selain data
dapat dibedakan antara yang satu dengan yang lainnya dan dapat
dirangking, perbedaan (jarak/interval) antara data yang satu dengan
data yang lainnya dapat diukur.
Contoh : Data tentang suhu empat buah benda A, B, C , dan D
yaitu masing-masing 20. 30, 60, dan 70 derajat Celcius, maka data
tersebut adalah data dengan skala pengukuran interval karena selain
dapat dirangking, peneliti juga akan tahu secara pasti perbedaan antara
satu data dengan data lainnya. Perbedaan data suhu benda pertama
dengan benda kedua misalnya, dapat dihitung sebesar 10 derajat, dst.
Namun dalam skala interval, tidak mungkin kita melakukan
perbandingan antara satu data dengan data yang lainnya.
Kita tidak dapat mengatakan bahwa suhu 60 derajat Celcius
dari benda C dan 30 derajat Celcius untuk suhu benda B berarti bahwa
benda C 2x lebih panas dari benda B. Hal ini tidak mungkin karena
skala interval tidak mempunyai titik nol yang mutlak. Titik nol yang
Inferensi Dengan Dua Sampel | STATISTIKA MATEMATIKA II 31
tidak mutlak berarti : benda dengan suhu nol derajat Celcius bukan
berarti bahwa benda tersebut tidak mempunyai panas.
Kesimpulan : Bilangan pada skala interval fungsinya ada tiga
yaitu :
a) Sebagai lambang untuk membedakan,
b) Untuk mengurutkan peringkat, misal, makin besar bilangannya,
peringkat makin tinggi ( > atau <),
c) Bisa memperlihatkan jarak/perbedaan antara data obyek yang satu
dengan data obyek yang lainnya.
Titik nol bukan merupakan titik mutlak, tetapi titik yang
ditentukan berdasarkan perjanjian.
Statistik yang sesuai dengan data berskala Interval adalah
Statistik Nonparametrik dan Statistik Parametrik. Contoh perhitungan
statistik yang cocok adalah Rata-rata, Simpangan Baku, dan Korelasi
Pearson.
Skala rasio
Skala rasio merupakan skala yang paling tinggi peringkatnya.
Semua sifat yang ada dalam skala terdahulu dipunyai oleh skala rasio.
Sebagai tambahan, dalam skala ini, rasio (perbandingan) antar satu
data dengan data yang lainnya mempunyai makna.
Contoh : Data mengenai berat adalah data yang berskala rasio.
Dengan skala ini kita dapat mengatakan bahwa data berat badan 80 kg
adalah 10 kg lebih berat dari yang 70 kg, tetapi juga dapat mengatakan
Inferensi Dengan Dua Sampel | STATISTIKA MATEMATIKA II 32
bahwa data 80 kg adalah 2x lebih berat dari data 40 kg. Berbeda
dengan interval, skala rasio mempunyai titik nol yang mutlak.
Kesimpulan : Bilangan pada skala Rasio fungsinya ada tiga
yaitu :
a) Sebagai lambang untuk membedakan
b) Untuk mengurutkan peringkat, misal, makin besar bilangannya,
peringkat makin tinggi (> atau < ),
c) Bisa memperlihatkan jarak/perbedaan antara data obyek yang satu
dengan data obyek yang lainnya.
d) Rasio (perbandingan) antar satu data dengan data yang lainnya
dapat diketahui dan mempunyai arti. Titik nol merupakan titik
mutlak.
Statistik yang sesuai dengan data berskala Rasio adalah
Statistik Nonparametrik dan Statistik Parametrik. Contoh perhitungan
statistik yang cocok adalah Rata-rata kur, Koefisien Variasi dan
statistik-statistik lain yang menuntut diketahuinya titik nol mutlak.
Kuantitas penelitian sangat menunjang keberhasilan pembangunan
pada umumnya dan khusunya dalam mengambil kebijaksanaan atau
kesimpulan-kesimpulan, disamping faktor-faktor penunjang lainnya
Statistika adalah ilmu pengetahuan yang berhubungan dengan
cara-cara pengumpulan data, pengolahan atau penganalisissan data dan
penarikan kesimpulan berdasarkan kumpulan Di Indonesia, kajian
statistika sebagian besar masuk dalam fakultas matematika dan ilmu
Inferensi Dengan Dua Sampel | STATISTIKA MATEMATIKA II 33
pengetahuan alam, baik di dalam departemen tersendiri maupun
tergabung dengan matematika.
Dalam mengaplikasikan statistika terhadap permasalahan sains,
industri, atau sosial, pertama-tama dimulai dari mempelajari populasi.
Makna populasi dalam statistika dapat berarti populasi benda hidup,
benda mati, ataupun benda abstrak. Populasi juga dapat berupa
pengukuran sebuah proses dalam waktu yang berbeda-beda, yakni
dikenal dengan istilah deret waktu.
Melakukan pendataan (pengumpulan data) seluruh populasi
dinamakan sensus. Sebuah sensus tentu memerlukan waktu dan biaya
yang tinggi. Untuk itu, dalam statistika seringkali dilakukan
pengambilan sampel (sampling), yakni sebagian kecil dari populasi,
yang dapat mewakili seluruh populasi. Analisis data dari sampel
nantinya digunakan untuk menggeneralisasikan seluruh populasi.
Jika sampel yang diambil cukup representatif, inferensial
(pengambilan keputusan) dan simpulan yang dibuat dari sampel dapat
digunakan untuk menggambarkan populasi secara keseluruhan.
Metode statistika tentang bagaimana cara mengambil sampel yang
tepat dinamakan teknik sampling.
Analisis statistik banyak menggunakan probabilitas sebagai
konsep dasarnya. Sedangkan matematika statistika merupakan cabang
dari matematika terapan yang menggunakan teori probabilitas dan
analisis matematis untuk mendapatkan dasar-dasar teori statistika.
Inferensi Dengan Dua Sampel | STATISTIKA MATEMATIKA II 34
Ada dua macam statistika, yaitu statistika deskriptif dan
statistika inferensial. Statistika deskriptif berkenaan dengan deskripsi
data, misalnya dari menghitung rata-rata dan varians dari data mentah;
mendeksripsikan menggunakan tabel-tabel atau grafik sehingga data
mentah lebih mudah “dibaca” dan lebih bermakna. Sedangkan
statistika inferensial lebih dari itu, misalnya melakukan pengujian
hipotesis, melakukan prediksi observasi masa depan, atau membuat
model regresi.
Statistika deskriptif berkenaan dengan bagaimana data dapat
digambarkan dideskripsikan) atau disimpulkan, baik secara numerik
(misalnya menghitung rata-rata dan deviasi standar) atau secara grafis
(dalam bentuk tabel atau grafik), untuk mendapatkan gambaran sekilas
mengenai data tersebut, sehingga lebih mudah dibaca dan bermakna.
Statistika inferensial berkenaan dengan permodelan data dan
melakukan pengambilan keputusan berdasarkan analisis data, misalnya
melakukan pengujian hipotesis, melakukan estimasi pengamatan masa
mendatang (estimasi atau prediksi), membuat permodelan hubungan
(korelasi, regresi, ANOVA, deret waktu), dan sebagainya.
Populasi merupakan totalitas semua nilai yang mungkin, hasil
perhitungan ataupun pengukuran, kuantitaif ataupun kualitatif
menegnai karakteristik tertentu dari semua anggota kumpulan lengkap
dan jelas yang dipelajari sifat-sifatnya. Populasi adalah wilayah
generalisasi yang terdiri dari: objek atau subjek yang mempunyai
kuantitas dan karakteristik tertentu yang diterapkan oleh peneliti untuk
Inferensi Dengan Dua Sampel | STATISTIKA MATEMATIKA II 35
dipelajari dan kemudian ditarik kesimpulannya. Satu orang dapat
digunakan sebagai populasi karena satu orang itu mempunyai berbagai
macam karakteristik, contohnya gaya mengajar, gaya bicara, disiplin,
cara menyampaikan pendapat, cara bergaul dan lain-lain. Sedangkan
sebagian yang diambil dengan karakteristik yang identik dengan
populasi disebut sampel. Bila populasi besar dan peneliti tidak
mungkin mempelajari semua yang ada pada populasi, karena
keterbatasan dana, tenaga dan waktu, maka peneliti dapat
menggunakan sampel itu, kesimpulan yang akan diambil dari populasi
itu. Sampel terambil harus representatif, dalam arti segala karakteristik
populasi hendaknya dicerminkan pula dalam sampe yang terambil.
Statistika merupakan salah satu ilmu yang sangat penting untuk
menunjang penelitian. Kualitas dan data dan analisis data yang
dilakukan. Statistika matematika merupakan ibu dari segala ilmu yang
mendasarkan pada teori probabilitas, bagaikan matematika merupakan
ibu dari segala ilmu pengetahuan. Statistika matematika merupakan
cabang dari matematika terapan yang menggunakan teori probabilitas
dan analitis matematis untuk mendapatkan dasar-dasar teori statistika.
Di dalam statistika matematika, yang merupakan dasarnya
adalah teori probabilitas, ada empat konsep dasar peluang, antara lain
adalah eksperimen, hasil, ruang sampel, kejadian.
Penerapan metode peluang untuk menganalisis dan
menginterpretasikan data empiris dikenal sebagai inferensi statistik.
Secara lebih spesifik, inferensial staistik dapat diartikan sebagai proses
Inferensi Dengan Dua Sampel | STATISTIKA MATEMATIKA II 36
pengambilan kesimpulan (atau generalisasi) dari suatu sampel tertentu,
yakni dari suatu himpunan n observasi, untuk populasi teoritis dari
mana sampel itu diambil. Bentuk generalisasi itu dapat sangat berbeda-
beda tergantung situasinya; mungkin berbentuk taksiran satu nilai
tertentu (taksiran interval), atau bahkan jawaban dikolomi ya atau tidak
(uji hipotesis).
Selain itu Statistika dapat diartikan sebagai ilmu yang
mempelajari bagaimana merencanakan, mengumpulkan, menganalisis,
menginterpretasi, dan mempresentasikan data. Singkatnya, statistika
adalah ilmu yang berkenaan dengan data. Istilah 'statistika' (bahasa
Inggris: statistics) berbeda dengan 'statistik' (statistic). Statistika
merupakan ilmu yang berkenaan dengan data, sedang statistik adalah
data, informasi, atau hasil penerapan algoritma statistika pada suatu
data. Dari kumpulan data, statistika dapat digunakan untuk
menyimpulkan atau mendeskripsikan data; ini dinamakan statistika
deskriptif. Sebagian besar konsep dasar statistika mengasumsikan teori
probabilitas.
Beberapa istilah statistika antara lain: populasi, sampel, unit
sampel, dan probabilitas. Statistika banyak diterapkan dalam berbagai
disiplin ilmu, baik ilmu-ilmu alam (misalnya astronomi dan biologi
maupun ilmu-ilmu sosial (termasuk sosiologi dan psikologi), maupun
di bidang bisnis, ekonomi, dan industri). Statistika juga digunakan
dalam pemerintahan untuk berbagai macam tujuan; sensus penduduk
merupakan salah satu prosedur yang paling dikenal. Aplikasi statistika
Inferensi Dengan Dua Sampel | STATISTIKA MATEMATIKA II 37
lainnya yang sekarang popular adalah prosedur jajak pendapat atau
polling (misalnya dilakukan sebelum pemilihan umum), serta jajak
cepat (perhitungan cepat hasil pemilu) atau quick count. Di bidang
komputasi, statistika dapat pula diterapkan dalam pengenalan pola
maupun kecerdasan buatan.
Penggunaan istilah statistika berakar dari istilah istilah dalam
bahasa latin modern statisticum collegium ("dewan negara") dan
bahasa Italia statista ("negarawan" atau "politikus"). Gottfried
Achenwall (1749) menggunakan Statistik dalam bahasa Jerman untuk
pertama kalinya sebagai nama bagi kegiatan analisis data kenegaraan,
dengan mengartikannya sebagai "ilmu tentang negara (state)". Pada
awal abad ke-19 telah terjadi pergeseran arti menjadi "ilmu mengenai
pengumpulan dan klasifikasi data". Sir John Sinclair memperkenalkan
nama (Statistics) dan pengertian ini ke dalam bahasa Inggris. Jadi,
statistika secara prinsip mula-mula hanya mengurus data yang dipakai
lembaga-lembaga administratif dan pemerintahan. Pengumpulan data
terus berlanjut, khususnya melalui sensus yang dilakukan secara teratur
untuk memberi informasi kependudukan yang berubah setiap saat.
Pada abad ke-19 dan awal abad ke-20 statistika mulai banyak
menggunakan bidang-bidang dalam matematika, terutama probabilitas.
Cabang statistika yang pada saat ini sangat luas digunakan untuk
mendukung metode ilmiah, statistika inferensi, dikembangkan pada
paruh kedua abad ke-19 dan awal abad ke-20 oleh Ronald Fisher
(peletak dasar statistika inferensi), Karl Pearson (metode regresi
Inferensi Dengan Dua Sampel | STATISTIKA MATEMATIKA II 38
linear), dan William Sealey Gosset (meneliti problem sampel
berukuran kecil).
Penggunaan statistika pada masa sekarang dapat dikatakan
telah menyentuh semua bidang ilmu pengetahuan, mulai dari
astronomi hingga linguistika. Bidang-bidang ekonomi, biologi dan
cabang-cabang terapannya, serta psikologi banyak dipengaruhi oleh
statistika dalam metodologinya. Akibatnya lahirlah ilmu-ilmu
gabungan seperti ekonometrika, biometrika (atau biostatistika), dan
psikometrika. Meskipun ada kubu yang menganggap statistika sebagai
cabang dari matematika, tetapi orang lebih banyak menganggap
statistika sebagai bidang yang banyak terkait dengan matematika
melihat dari sejarah dan aplikasinya.
Di Indonesia, kajian statistika sebagian besar masuk dalam
fakultas matematika dan ilmu pengetahuan alam, baik di dalam
departemen tersendiri maupun tergabung dengan matematika. Dalam
mengaplikasikan statistika terhadap permasalahan sains, industri, atau
sosial, pertama-tama dimulai dari mempelajari populasi. Makna
populasi dalam statistika dapat berarti populasi benda hidup, benda
mati, ataupun benda abstrak. Populasi juga dapat berupa pengukuran
sebuah proses dalam waktu yang berbeda-beda, yakni dikenal dengan
istilah deret waktu. Melakukan pendataan (pengumpulan data) seluruh
populasi dinamakan sensus. Sebuah sensus tentu memerlukan waktu
dan biaya yang tinggi. Untuk itu, dalam statistika seringkali dilakukan
pengambilan sampel (sampling), yakni sebagian kecil dari populasi,
Inferensi Dengan Dua Sampel | STATISTIKA MATEMATIKA II 39
yang dapat mewakili seluruh populasi. Analisis data dari sampel
nantinya digunakan untuk menggeneralisasikan seluruh populasi. Jika
sampel yang diambil cukup representatif, inferensial (pengambilan
keputusan) dan simpulan yang dibuat dari sampel dapat digunakan
untuk menggambarkan populasi secara keseluruhan. Metode statistika
tentang bagaimana cara mengambil sampel yang tepat dinamakan
teknik sampling.
Analisis statistik banyak menggunakan probabilitas sebagai
konsep dasarnya. Sedangkan matematika statistika merupakan cabang
dari matematika terapan yang menggunakan teori probabilitas dan
analisis matematis untuk mendapatkan dasar-dasar teori statistika.
Ada dua macam statistika, yaitu statistika deskriptif dan
statistika inferensial. Statistika deskriptif berkenaan dengan deskripsi
data, misalnya dari menghitung rata-rata dan varians dari data mentah;
mendeksripsikan menggunakan tabel-tabel atau grafik sehingga data
mentah lebih mudah “dibaca” dan lebih bermakna. Sedangkan
statistika inferensial lebih dari itu, misalnya melakukan pengujian
hipotesis, melakukan prediksi observasi masa depan, atau membuat
model regresi.
Statistika deskriptif berkenaan dengan bagaimana data dapat
digambarkan dideskripsikan) atau disimpulkan, baik secara numerik
(misalnya menghitung rata-rata dan deviasi standar) atau secara grafis
(dalam bentuk tabel atau grafik), untuk mendapatkan gambaran sekilas
mengenai data tersebut, sehingga lebih mudah dibaca dan bermakna.
Inferensi Dengan Dua Sampel | STATISTIKA MATEMATIKA II 40
Statistika inferensial berkenaan dengan permodelan data dan
melakukan pengambilan keputusan berdasarkan analisis data, misalnya
melakukan pengujian hipotesis, melakukan estimasi pengamatan masa
mendatang (estimasi atau prediksi), membuat permodelan hubungan
(korelasi, regresi, ANOVA, deret waktu), dan sebagainya.
B. Rumusan Masalah
Adapun rumusan masalah dari makalah ini adalah
1. Apa itu Uji t dua sampel : Menguji H0 : 𝜇 𝑋 = 𝜇 𝑌 ?
2. Apa itu Uji f : Menguji H0 : 𝛼2
X = 𝛼2
Y ?
3. Apa yang dimaksud Data Binomial : Uji H0 : 𝑃 𝑋 = 𝑃 𝑌?
4. Apa yang dimaksud Interval Kepercayaan untuk Masalah Dua
Sampel ?
5. Apa itu Penjabaran Uji t Dua Sampel ?
C. Tujuan
Tujuan dari isi makalah ini adalah untuk mengetahui:
1. Uji t dua sampel : Menguji H0 : 𝜇 𝑋 = 𝜇 𝑌
2. Uji f : Menguji H0 : 𝛼2
X = 𝛼2
Y
3. Data Binomial : Uji H0 : 𝑃 𝑋 = 𝑃 𝑌
4. Interval Kepercayaan untuk Masalah Dua Sampel
5. Penjabaran Uji t Dua Sampel
D. Manfaat
Manfaat yang dapat diperoleh dari makalah ini adalah agar
mahasiswa dapat memahami/mengetahui :
Inferensi Dengan Dua Sampel | STATISTIKA MATEMATIKA II 41
1. Uji t dua sampel : Menguji H0 : 𝜇 𝑋 = 𝜇 𝑌
2. Uji f : Menguji H0 : 𝛼2
X = 𝛼2
Y
3. Data Binomial : Uji H0 : 𝑃 𝑋 = 𝑃 𝑌
4. Interval Kepercayaan untuk Masalah Dua Sampel
5. Penjabaran Uji t Dua Sampel
BAB II
PEMBAHASAN
Inferensi Dengan Dua Sampel | STATISTIKA MATEMATIKA II 42
A. Uji t Dua Sampel : Menguji 𝑯 𝟎: 𝝁 𝒙 = 𝝁 𝒚
1. Inferensi Statistik
Inferensi statistik adalah pengambilan kesimpulan tentang
parameter populasi berdasarkan analisa pada sampel. Beberapa hal
yang perlu diketahui berhubungan dengan inferensi statistik yaitu
estimasi titik, estimasi interval dan uji hipotesis.
Estimasi titik adalah menduga nilai tunggal parameter
populasi. Estimasi Interval adalah menduga nilai parameter
populasi dalam bentuk interval. Uji hipotesis adalah suatu proses
untuk menentukan apakah dugaan tentang nilai
parameter/karakteristik populasi didukung kuat oleh data sampel
atau tidak.
Pengertian hipotesis, hipotesis (hypothesis testing) berasal
dari kata hip (hypo) yang berarti kurang dari, dan tesis (thesis)
berarti pendapat, sehingga hipotesis adalah pendapat yang bersifat
sementara yang masih perlu diuji kebenarannya dengan uji
hipotesis sehingga didapat thesis (pendapat) yang dapat diyakini
kebenarannya.
Terdapat beberapa pengertian tentang hipotesis yaitu
hipotesis penelitian dan hipotesis statistika. Klasifikasi masing-
masing dapat dijelaskan secara singkat sebagai berikut:
1) Hipotesis penelitian
Hipotesis penelitian merupakan dugaan
(prediction) yang terjadi sebelum kejadian yang
Inferensi Dengan Dua Sampel | STATISTIKA MATEMATIKA II 43
dipersolkan terjadi, dugaan ini diturunkan dari teori
yang hendak diuji kebenarannya. Hipotesis penelitian
hadir setelah mengemukakan gagasan, permasalahan
dan rumusan masalah yang mengarah pada penelitian.
2) Hipotesis statistik
Hipotesis statistika berasal dari hipotesis
penelitian yaitu pernyataan tentang nilai parameter
suatu populasi. Hipotesis statistika harus dirumuskan
sehingga memungkinkan untuk diuji berdasarkan data
empiris dari penelitian suatu sampel. Dalam perumusan
hipotesis statistika, antara hipotesis nol dan alternatif
selalu berpasangan, bila salah satu ditolak, mka yang
lain pasti diterima sehingga dapat dibuat keputusan
yang tegas, yaitu kalau H0 ditolak pasti alternatif
diterima. Hipotesis statistika dinyatakan melalui
simbol-simbol. Hipotesis statistika diuji dengan uji
statitika, sedangkan proses pengujian berakhir dengan
keputusan untuk menerima atau menolak hipotesis
tersebut.
Terdapat dua macam jenis hipotesis yaitu:
i. H0 : hipotesis nol atau hipotesis nihil
(null hypothesis) merupakan hipotesis yang
akan diuji.
Inferensi Dengan Dua Sampel | STATISTIKA MATEMATIKA II 44
ii. H1 atau 𝐻 𝛼 : hipotesis alternative (alternatif
hypothesis) merupakan tandingan dari
hipotesis nol (H0)
Biasanya merupakan hipotesis yang akan dibuktikan oleh
peneliti karena merupakan pernyataan yang dianggap benar,
hipotesis ini berkaitan langsung atau sama dengan hipotesis
penelitian.
𝐻0 dan 𝐻𝛼 harus mutually exclusive dan ex houstive
(keduanya dapat terjadi bersama dan salah satu dari keduanya
harus terjadi). Sehimgga keputusan dapat diambil berdasarkan
data-data empiris yang telah dilakukan oleh peneliti. Keputusan
yang diambil menerima H0 karena dianggap benar atau menolak
H0 karena dianggap pernyataan salah, menerima H0 yang berarti
𝐻 𝛼 ditolak atau sebaliknya menolak H0 yang berarti menerima 𝐻 𝛼.
Ada beberapa peluang pengambilan keputusan :
1) Penerimaan H0 padahal sesungguhnya H0 benar maka
akan memberikan keputusan yang benar
2) Penerimaan H0 padahal sesungguhnya 𝐻 𝛼 benar maka
akan memberikan keputusan yang keliru. Selanjutnya
disebut kekeliruan tipe II.
3) Penolakan H0 bila sesungguhnya H0 benar-benar akan
memberikan keputusan yang keliru. Selanjutnya disebut
kekeliruan tipe I.
Inferensi Dengan Dua Sampel | STATISTIKA MATEMATIKA II 45
4) Penolakan bila sesungguhnya H0 bila sesungguhnya 𝐻 𝛼
benar maka akan memberikan keputusan yang benar.
Kesalahan tipe I atau galat tipe I atau type I error (𝛼 error =
false positive), yang menolak H0 padahal kenyataan H0 benar.
Kesalahan tipe II atau galat type II error ( 𝛽 error = false negative)
yang menerima H0 padahal kenyataannya H0 salah.
Secara lebih jelas tentang hubungan antara hipotesis,
kesimpulan dan kesalahan tipe kekeliruan dapat dilihat pada tabel
berikut.
Kesimpulan pengujian
hipotesis
Keadaan sebenarnya hipotesis ( H0 )
Benar Salah
Terima hipotesis Keputusn benar
1 – 𝛼
Kekeliruan tipe II
𝛽
Tolak hipotesis Kekeliruan tipe I
𝛼
Keputusan benar
1−𝛽
Pada suatu penelitian dalam rangka pengujian hipotesis,
harus diusahakan kedua jenis tipe kesalahan itu dibuat sekecil
mungkin. Supaya penelitian dapat dilakukan maka kedua kesalahan
dinytakan dalam peluang. Peluang membuat kekeliruan tipe I bisa
dinyatakan dengan 𝛼 dan peluang membuat kekeliruan tipe II
dinyatakan dengan 𝛽, seperti telah dijelaskan dibagian atas.
Dalam penggunaan, 𝛼 disebut sebagai taraf signifikan atau
taraf keberartian atau disebut taraf nyata. Besar kecilnya 𝛼 dan 𝛽
Inferensi Dengan Dua Sampel | STATISTIKA MATEMATIKA II 46
yang dapat diterima dalam pengambilan kesimpulan bergantung
pada akibat-akibat atas perbuatan kekeliruan-kekeliruannya. Selain
itu bahwa kedua kekeliruan itu sling berkaitan artinya jika α
diperkecil maka β mejadi besar dan sebaliknya. Pada dasarnya
harus dicapai hasil pengujian hipotesis yang baik yaitu pengujian
yang bersifat bahwa dintara semua pengujian yang dapat
dilakukan dengan α yang sama besar, ambillah kekeliruan β paling
kecil.
Biasa dalam penelitian α ditentukan terlebih dahulu, uji
berdasar keberanian untuk mengambil resiko salah. Pada umumnya
secar empiris α ditentukan sebesar 5% atau 1%, dengan mengambil
misalnya α = 0,05 berarti bahwa dalam 100 kali menolak hipotesis
kira-kira terdapat kali menolak hipotesis padahal hipotesis
benar., maka disebut H0 ditolak dengan tingkat kemaknaan α = 5%.
Dengan kata lain bahwa kira-kira 95% yakni bahwa kita telah
membuat kesimpulan yang benar. Dalam keadaan demikian
dikatakan bahwa hipotesis telah ditolak pada taraf nyata 0,05 yang
berarti kita mungkin salah dengan peluang 0,05. Harga (1-β)
dinamakan kuasa uji atau kuat uji (power of test) yang ditentukan
dari perhitungan harga β setelah harga α diketahui.
Tahap-tahap uji hipotesis secara umum, yaitu:
1) Tentukan model probabilitas yang cocok dari data,
2) Tentukan hipotesis Ho dan H1,
3) Tentukan statistik penguji,
Inferensi Dengan Dua Sampel | STATISTIKA MATEMATIKA II 47
4) Tentukan tingkat signifikansi,
5) Tentukan daerah kritik berdasarkan tingkat signifikansi,
6) Hitung statistik penguji,
7) Alternatif, hitung p-value berdasarkan statistik penguji,
dan
8) Ambil kesimpulan berdasarkan poin 6 dan 7.
2. Inferensi Statistik Mean Satu Populasi
a) Varian Diketahui
Uji hipotesis untuk mean jika variansi diketahui atau
juga dikenal juga sebagai uji Z yaitu:
1. Hipotesis
Uji dua sisi, H0 : 𝜇0 = 𝜇1
H1 : 𝜇0 ≠ 𝜇1
Uji satu sisi, H0 : μ0
≤ μ1
Atau H0 : μ0
≥ μ1
H1: μ0
> μ1
H1 : μ0
> μ1
2. Signifikasi ∝
3. Statistik penguji Z =
𝑥̅− 𝜇
𝜎
√ 𝑛
⁄
4. Daerah kritik Z < -𝑍 𝑎 2⁄
Atau 𝑍 > 𝑍 𝑎 2⁄
Z > 𝑍 𝑎
Z < - 𝑍 𝑎
b) Variansi Tidak Diketahui
Uji hipotesis untuk mean jika variansi tidak diketahui
atau juga dikenal juga sebagai uji- t yaitu:
Inferensi Dengan Dua Sampel | STATISTIKA MATEMATIKA II 48
1. Hipotesis
Uji dua sisi, 𝐻0 : 𝜇 = 𝜇0
𝐻1 : 𝜇 ≠ 𝜇0
Uji satu sisi, 𝐻0 : 𝜇 ≤ 𝜇0 atau 𝐻0 : ≥ 𝜇0
𝐻1 : 𝜇 > 𝜇0 𝐻1 : 𝜇 < 𝜇0
2. Tingkat signifikasi 𝛼
3. Statistik penguji t =
𝑥̅− 𝜇
𝑠
√ 𝑛
⁄
4. Daerah kritik, H0 ditolak jika :
a) t > 𝑡(𝑛−1; 𝛼 2⁄ )
atau t < −𝑡(𝑛−1; 𝛼 2)⁄
b) t > 𝑡( 𝑛−1; 𝛼)
c) t < 𝑡(𝑛−1; 𝛼)
3. Inferensi Proporsi
a) Satu Populasi
Uji hipotesis untuk inferensi proporsi satu populasi yaitu :
1) hipotesis:
uji dua sisi, H0 : P = P0
H1 : P ≠ P0
Uji satu sisi, H0 : P ≤ P0 atau H0 : P ≥ P0
H0 : P > P0 H1 : P < P0
2) Tingkat signifikan 𝛼
3) Statistik penguji : Z =
𝑝̅− 𝑝0
√
𝑝0 (1−𝑝0)
𝑛
Dengan: 𝑝̅ adalah proporsi sukses dari sampel
Inferensi Dengan Dua Sampel | STATISTIKA MATEMATIKA II 49
𝑝̅ =
𝑥
𝑛
x = jumlah sukses
n = ukuran sampel
4) Daerah kritik, H0 ditolak jika, p value yang diperoleh
dengan menggunakan minitab < 𝛼
b) Dua Populasi
Uji hipotesis untuk inferensi proporsi dua populasi yaitu:
1) Hipotesis
Uji dua sisi, H0 : P1- P2 = P0
H1 : P1 – P2 ≠ P0
Uji satu sisi, H0 : P1 – P2 ≤ P0 atau H0 : P1 – P2 ≥ P0
H1 : P1 – P2 > P0 H0 : P1 – P2 < P0
2) Tingkat signifikasi 𝛼
3) Statistik penguji Z =
( 𝑝̅1−𝑝̅2)−𝑝0
√
𝑝̅1(1−𝑝̅1)
𝑛1
+
𝑝̅2(1−𝑝̅2)
𝑛2
Jika P0 tidak
diketahui, maka P0 dianggap = 0 Sehingga
Z=
𝑝̅1−𝑝̅2
√𝑝̅0(1−𝑝̅0)(
1
𝑛1
+
1
𝑛2
)
dengan nilai 𝑝̅0 =
𝑥1+𝑥2
𝑛1+𝑛2
Daerah
kritik, 𝐻0 ditolak jika p value yang diperoleh dengan
menggunakan minitab < 𝛼
4. Inferensi Dua Rata-rata
a) Uji Rata-rata 2 Populasi Independent
Inferensi Dengan Dua Sampel | STATISTIKA MATEMATIKA II 50
Untuk data yang saling independent satu sama lain, uji
hipotesisnya yaitu:
1) 𝐻0 : 𝜇 = 𝜇0 (kedu rata-rata relative sama)
𝐻1 : 𝜇 ≠ 𝜇0
2) Signifikansi 𝛼 = 5%
3) Statistik hitung
Kesamaan
variansi
Statistik penguji keterangan
𝜎1
2
= 𝜎1
2
t =
( 𝑥̅1−𝑥̅2)−( 𝜇1−𝜇2)
√𝑆 𝑝
2 (
1
𝑛1
+
1
𝑛2
)
~𝑡 𝑛1 +𝑛2
− 2
𝑆𝑝
2
=
( 𝑛1 − 1) 𝑠1
2
+ ( 𝑛2 − 1) 𝑠2
2
𝑛1 + 𝑛2 − 2
𝜎1
2
≠ 𝜎2
2
t =
( 𝑥̅1−𝑥̅2)−( 𝜇1−𝜇2)
√(
𝑠1
2
𝑛1
+
𝑠2
2
𝑛2
)
~𝑡 𝑘
k =
(
𝑠1
2
𝑛1
+
𝑠2
2
𝑛2
)
2
(
𝑠1
2
𝑛1
)
2
𝑛1 −1
+
(
𝑠2
2
𝑛1
)
2
𝑛2−1
Uji rata-rata populasi yang saling dependent ini
dilakukan untuk menyelesaikan permasalahan dimana suatu
sampel dikenai dua perlakuan yang berbeda, dan kita akan
melihat keterkaitan kedua perlakuan tersebut. Uji hipotesis
untuk rata-rata 2 populasi dependent yaitu:
1) 𝐻0: 𝜇1 − 𝜇2 = 𝑑0
𝐻1: 𝜇1 − 𝜇2 ≠ 𝑑0
2) Tingkat signifikasi 𝛼
3) Statistik uji : t =
𝑑̅−𝑑0
𝑠 𝑑
√ 𝑛
⁄
dengan 𝑑̅ =
∑ 𝑑 𝑖
𝑛
dan 𝑠 𝑑 = √∑( 𝑑 𝑖−𝑑̅)2
𝑛−1
Inferensi Dengan Dua Sampel | STATISTIKA MATEMATIKA II 51
4) Daerah Kritis, Ho ditolak jika nilai Signifikansi yang
diperoleh dari penggunaan SPSS data editor (sig) atau P-
value yang diperoleh dari penyelesaian dengan minitab < 𝛼
5. Student t Test (Uji t)
Sering kali kita menghadapi jumlah sampel yang dapat
dikatakan sedikit. Apabila kita dapat mengmbil sampel dalam
jumlah yang cukup banyak, maka sampel kita akan dapat
mendekati distribusi normal, sehingga transformasi ke z merupkan
tindakan yang tepat. Kadangkala kita terpaksa mengambil sampel
sedikit, hal ini bisa disebabkan oleh: terbatasnya biaya, waktu
maupun batasan-batasan lainnya. Disamping itu, sering kali kita
tidak mengetahui besarnya simpangan baku populasi, maka kita
membutuhkan prosedur yang berbeda prosedur menghadapi sampel
besar dan sampel yang diketahui simpangan baku populasinya
dalam pengujian hipotesis yang berkaitan dengan rata-rata.
Untuk menghadapi sampel kecil serta ketidaktahuan
simpangan baku populasi, Gosset telah menemukan bentuk tes
statistik untuk menghadapi kondisi seperti ini yang sering disebut t
(lengkapnya Student’s t). Oleh Karen sampelnya kecil, maka
distribusinya (kurvanya) agak landai dan melebar, tetapi bentuk
serupa dengan bentuk kurva normal.
Jika digambarkan perbedaan kurva distribusi t dengan
kurva distribusi normal sebagai berikut:
Inferensi Dengan Dua Sampel | STATISTIKA MATEMATIKA II 52
kurva normal kurva t
pada saat kita membahas distribusi normal kita mengenal
tingkat signifikasi yang besarnya adalah α untuk kesalahan tipe I
dan β untuk kesalahan tipe II, untuk distribusi student’s kita akan
menghadapi α dan daerah kebebasan (degrees of freedom).
Derajat kebebasan adalah suatu angka yang menjelaskan
sekumpulan skor sampel yang bebas dari kesalahan. Oleh karena
letak rata-rata sampel dibatasi oleh nilai dari satu skor dalam
sampel, maka derajat kebebasan untuk sampel adalah n-1.
Misalnya, dalam pengujian hipotesis pada distribusi normal (two
tailed test) kita menggunakan α = 0,05 maka daerah kritis z skor
adalah -1,96 dan +1,96. Seandainya simpangan baku populasi tidak
diketahui, maka kita akan menggunakan t tes. Kalau jumlah sampel
kita sebanyak 4 maka derajat kebebasannya adalah 4-1-3. Dengan
menggunakan dk=3 dan =0,05 kita bisa memperoleh daerah kritis
bagi distribusi t (lihat tabel t) sebesar -3,182 dan =3,182. Apabila
kita mempunyai n yang cukup besar, maka daerah kritis distribusi t
dan normal akan mendekati sama. Misalnya n=121, maka dk=120.
Dengan α=0,05 daerah kritis distribusi t -1,96 dan +1,96. Rumus t
hamper sama dengan z, sedangkan bedanya terletak pada standar
Inferensi Dengan Dua Sampel | STATISTIKA MATEMATIKA II 53
errornya. Kalau transformasi ke z menggunakan standar error 𝜎𝑥̂,
sedangkan untuk transformasi ke t kita akan menggunakan standar
error 𝑠 𝑥̂, standar error pada distribusi t dapat dihitung dengan
rumus:
𝑆 𝑥̅ =
𝑆𝑑
√ 𝑛
Sedangkan simpangan bakunya dapat dihitung dengan
rumus:
𝑆𝑑 = √
∑( 𝑥 − 𝑋̅)2
𝑛 − 1
Keterangan:
Sd : singkatan dari sampel standard deviation (simpangan
baku sampel artinya rata-rata penyimpangan skor sampel terhadap
rata-rata sampel)
∑( 𝑥 − 𝑋̅)2
: sering disingkat dengan SS (sum of squares)
sedangkan untuk menghitung t kita dapat memakai rumus:
𝑡 =
𝑋̅ − 𝜇
𝑆 𝑥̅
Untuk memahami langkah pengujian hipotesis dengan t-
tes, marilah kita coba dengan suatu contoh sederhana.
Contoh:
Dekan suatu fakultas mendengar berita bahwa dosen A
selalu member nilai lebih tinggi dari dosen-dosen lainnya pada
mata kuliah yang sama. Sebelum melakukan tindakan teguran
dekan memutuskan untuk melakukan penelitian terlebih dulu.
Inferensi Dengan Dua Sampel | STATISTIKA MATEMATIKA II 54
Untuk itu diambil sekelompok sampel yang berasal dari populasi
mahasiswa yang mengambil mata kuliah dengan dosen A. dari
hasil pengumuman nilai ke 10 sampel ternyata nilai-nilai mereka
mempunyai penyebaran sebagai berikut:
94 86 83 75 71 69 64 62
58 58
Apabila nilai rata-rata untuk mata kuliah tersebut yang
diasuh oleh beberapa dosen dan dosen A merupakan salah satu
dosennya adalah 65. Apa keputusan yang harus diambil dekan?
Analisis :
Yang diketahui n=10, µ=65, dan distribusi nilainya. Untuk
mempermudah perhitungan lebih lanjut diperlukan suatu kalkulasi
rumus dasar di antaranya:
Jumlah skor dari sampel (∑) yaitu 720
Rata-rata skor sampel adalah 720 : 10 = 72
Berdasarkan perhitungan sederhana di atas dapat dicari
simpangan masing-masing skor dengan rata-ratanya, dan kuadrat
simpngan masing-masing skor dengan rata-ratanya. Jika hasil
perhitungan skor masing-masing skor dengan rata-ratanya
maupun kuadratnya dibuat tabel, maka tabelnya sebagai berikut:
𝑋 𝑋 − 𝑋̂ (𝑋 − 𝑋̂)
2
94 22 484
86 14 196
83 11 121
Inferensi Dengan Dua Sampel | STATISTIKA MATEMATIKA II 55
75 3 9
71 -1 1
69 -3 9
64 -8 64
62 -10 100
58 -14 196
58 -14 196
720 0 1376
Penyusunan hipotesis matematis:
𝐻0 ∶ 𝜇1 = 65
𝐻1 ∶ 𝜇1 = 65
Perhitungan standar error :
𝑆𝑑 = √1376 ∶ 9 = 12,36482466
𝑠 𝑥̅ =
12,36482466
√10
= 3,910100879
Dengan demikian maka t hitung adalah :
𝑡 =
72−65
3,910100879
= 1,790235141 = 1,79
Sekarang kita tinggal maencari t tabel ( daerah kritis
penerimaan hipotesis nol) dan membandingkan antara t hasil
perhitungan dengan t tabel. Jika kita mengambil α = 0,05 maka t
tabel dapat dicari pada tabel t dengan signifikansi 0,05 two tailed
test dan dk = n-1=9 yaitu sebesar 2,262. Oleh karena t hitung <
daripada t tabel, maka keputusan kita adalah terima hipotesis nol.
Inferensi Dengan Dua Sampel | STATISTIKA MATEMATIKA II 56
Dengan dasar analisis t statistik, dengan tidak cukup beralasan
untuk melakukan peneguran terhadap dosen A, Karen dosen
tersebut tidak terlalu murah dalam pemberian nilai, yang mana
mungkin akan mempunyai dampak negatif terhadap kualitas
perguruan tinggi yang bersangkuatan.
Beberapa hal yang perlu dicatat dalam menggunkan rumus
t adalah:
1. Sampel harus dimbil secara random
2. Distribusi skor populasi harus normal
Jika kedua syarat tersebut tidak terpenuhi, maka t statistik
tidak dapat dipakai. Tetapi, beberapa ahli dibidang statistik
menyatakan bahwa student t tes adalah Robust (kuat/akurat). Hal
ini berarti menyatakan bahwa student t tes akan merupakan asumsi
normalitas. Kadang-kadang masalah normalitas tidak menjadi
perhatian bagi pemakai t tes. Kondisi ini tidak dianggap salah
asalkan n besar (misalnya > 30), karena dengan n yang besar, maka
distribusi sampel akan mendekati normal, bahkan bisa jadi normal.
Statistika adalah ilmu yang mempelajari bagaimana
merencanakan, mengumpulkan, menganalisis, menginterpretasi, dan
mempresentasikan data. Singkatnya, statistika adalah ilmu yang
berkenaan dengan data. Istilah 'statistika' (bahasa Inggris: statistics)
berbeda dengan 'statistik' (statistic). Statistika merupakan ilmu yang
berkenaan dengan data, sedang statistik adalah data, informasi, atau
hasil penerapan algoritma statistika pada suatu data. Dari kumpulan
Inferensi Dengan Dua Sampel | STATISTIKA MATEMATIKA II 57
data, statistika dapat digunakan untuk menyimpulkan atau
mendeskripsikan data; ini dinamakan statistika deskriptif. Sebagian
besar konsep dasar statistika mengasumsikan teori probabilitas.
Beberapa istilah statistika antara lain: populasi, sampel, unit
sampel, dan probabilitas. Statistika banyak diterapkan dalam berbagai
disiplin ilmu, baik ilmu-ilmu alam (misalnya astronomi dan biologi
maupun ilmu-ilmu sosial (termasuk sosiologi dan psikologi), maupun
di bidang bisnis, ekonomi, dan industri). Statistika juga digunakan
dalam pemerintahan untuk berbagai macam tujuan; sensus penduduk
merupakan salah satu prosedur yang paling dikenal. Aplikasi statistika
lainnya yang sekarang popular adalah prosedur jajak pendapat atau
polling (misalnya dilakukan sebelum pemilihan umum), serta jajak
cepat (perhitungan cepat hasil pemilu) atau quick count. Di bidang
komputasi, statistika dapat pula diterapkan dalam pengenalan pola
maupun kecerdasan buatan.
Penggunaan istilah statistika berakar dari istilah istilah dalam
bahasa latin modern statisticum collegium ("dewan negara") dan
bahasa Italia statista ("negarawan" atau "politikus"). Gottfried
Achenwall (1749) menggunakan Statistik dalam bahasa Jerman untuk
pertama kalinya sebagai nama bagi kegiatan analisis data kenegaraan,
dengan mengartikannya sebagai "ilmu tentang negara (state)". Pada
awal abad ke-19 telah terjadi pergeseran arti menjadi "ilmu mengenai
pengumpulan dan klasifikasi data". Sir John Sinclair memperkenalkan
nama (Statistics) dan pengertian ini ke dalam bahasa Inggris. Jadi,
Inferensi Dengan Dua Sampel | STATISTIKA MATEMATIKA II 58
statistika secara prinsip mula-mula hanya mengurus data yang dipakai
lembaga-lembaga administratif dan pemerintahan. Pengumpulan data
terus berlanjut, khususnya melalui sensus yang dilakukan secara teratur
untuk memberi informasi kependudukan yang berubah setiap saat.
Pada abad ke-19 dan awal abad ke-20 statistika mulai banyak
menggunakan bidang-bidang dalam matematika, terutama probabilitas.
Cabang statistika yang pada saat ini sangat luas digunakan untuk
mendukung metode ilmiah, statistika inferensi, dikembangkan pada
paruh kedua abad ke-19 dan awal abad ke-20 oleh Ronald Fisher
(peletak dasar statistika inferensi), Karl Pearson (metode regresi
linear), dan William Sealey Gosset (meneliti problem sampel
berukuran kecil).
Penggunaan statistika pada masa sekarang dapat dikatakan
telah menyentuh semua bidang ilmu pengetahuan, mulai dari
astronomi hingga linguistika. Bidang-bidang ekonomi, biologi dan
cabang-cabang terapannya, serta psikologi banyak dipengaruhi oleh
statistika dalam metodologinya. Akibatnya lahirlah ilmu-ilmu
gabungan seperti ekonometrika, biometrika (atau biostatistika), dan
psikometrika. Meskipun ada kubu yang menganggap statistika sebagai
cabang dari matematika, tetapi orang lebih banyak menganggap
statistika sebagai bidang yang banyak terkait dengan matematika
melihat dari sejarah dan aplikasinya.
Di Indonesia, kajian statistika sebagian besar masuk dalam
fakultas matematika dan ilmu pengetahuan alam, baik di dalam
Inferensi Dengan Dua Sampel | STATISTIKA MATEMATIKA II 59
departemen tersendiri maupun tergabung dengan matematika. Dalam
mengaplikasikan statistika terhadap permasalahan sains, industri, atau
sosial, pertama-tama dimulai dari mempelajari populasi. Makna
populasi dalam statistika dapat berarti populasi benda hidup, benda
mati, ataupun benda abstrak. Populasi juga dapat berupa pengukuran
sebuah proses dalam waktu yang berbeda-beda, yakni dikenal dengan
istilah deret waktu. Melakukan pendataan (pengumpulan data) seluruh
populasi dinamakan sensus. Sebuah sensus tentu memerlukan waktu
dan biaya yang tinggi. Untuk itu, dalam statistika seringkali dilakukan
pengambilan sampel (sampling), yakni sebagian kecil dari populasi,
yang dapat mewakili seluruh populasi. Analisis data dari sampel
nantinya digunakan untuk menggeneralisasikan seluruh populasi. Jika
sampel yang diambil cukup representatif, inferensial (pengambilan
keputusan) dan simpulan yang dibuat dari sampel dapat digunakan
untuk menggambarkan populasi secara keseluruhan. Metode statistika
tentang bagaimana cara mengambil sampel yang tepat dinamakan
teknik sampling.
Analisis statistik banyak menggunakan probabilitas sebagai
konsep dasarnya. Sedangkan matematika statistika merupakan cabang
dari matematika terapan yang menggunakan teori probabilitas dan
analisis matematis untuk mendapatkan dasar-dasar teori statistika.
Ada dua macam statistika, yaitu statistika deskriptif dan
statistika inferensial. Statistika deskriptif berkenaan dengan deskripsi
data, misalnya dari menghitung rata-rata dan varians dari data mentah;
Inferensi Dengan Dua Sampel | STATISTIKA MATEMATIKA II 60
mendeksripsikan menggunakan tabel-tabel atau grafik sehingga data
mentah lebih mudah “dibaca” dan lebih bermakna. Sedangkan
statistika inferensial lebih dari itu, misalnya melakukan pengujian
hipotesis, melakukan prediksi observasi masa depan, atau membuat
model regresi.
Statistika deskriptif berkenaan dengan bagaimana data dapat
digambarkan dideskripsikan) atau disimpulkan, baik secara numerik
(misalnya menghitung rata-rata dan deviasi standar) atau secara grafis
(dalam bentuk tabel atau grafik), untuk mendapatkan gambaran sekilas
mengenai data tersebut, sehingga lebih mudah dibaca dan bermakna.
Statistika inferensial berkenaan dengan permodelan data dan
melakukan pengambilan keputusan berdasarkan analisis data, misalnya
melakukan pengujian hipotesis, melakukan estimasi pengamatan masa
mendatang (estimasi atau prediksi), membuat permodelan hubungan
(korelasi, regresi, ANOVA, deret waktu), dan sebagainya.
6. Pengujian Hipotesis dengan sampel Ganda
Yang dimaksud dengan sampel ganda adalah suatu
penelitian yang melibatkan 2 (dua) atu lebih kelompok sampel
yang berasal dari dua atau lebih populasi, sedangkan hal yang
ingin dilihat atau diukur adalah sama. Kadang-kadang dua
kelompok sampel tersebut berasal dari satu populasi, bukannya
berasal dari dua populasi. Tetapi, yang menjadi pembeda dengan
pengujian hipotesis terdahulu adalah adanya dua kelompok sampel,
Inferensi Dengan Dua Sampel | STATISTIKA MATEMATIKA II 61
yang man kondisi ini tidak ada pada pembahasan terdahulu.
Kondisi ini sering dilakukan untuk menguji kebenaran atau
kekuatan suatu penemuan baru melalui kegiatan eksperimen. Hasil
eksperimen tersebutlah yang ingin dibandingkan dengan kondisi
yang sudah berjalan sebelumnya. Sebenarnya langkah ini
merupakan penyederhanaan langkah pengujian satu persatu,
dimana kita dituntut menhetahui kondisi µ pada setiap populasi
yang kita ambil sampelnya. Sering kali terjadi bahwa rata-rata
populasi dan simpangan baku populasi tidak diketahui. Apabila
kondisi ini benar-benar terjadi, apakah kita putuskan untuk tidak
melakukan penelitian dengan analisis statistik? Jelas dengan
penelitian dengan analisis statistik tetap dapat dilakukan, karena
ada teknik dan langkah untuk mengatasi ketidaktahuan tersebut.
Hal ini yang kita bahas pada pokok bahasan sekarang, dan
pembahasan di sini terbatas pada bagaimana memakainya, bukan
bagaimana mendapatkan rumus tersebut. Kita cukup menggunakan
rumus tersebut dan mengetahui sedikit logikanya sebagai ucapan
terima kasih kita kepada penemu umus tersebut.
Adanya dua kelompok sampel, mka kita akan mendapatkan
dua buah rata-rata sampel dan standard error yang berbeda dengan
standard error yang telah kita bahas terdahulu. Apabila jumlah
kelompok sampel sebanyak n, maka rata-rata sampelnya akan
sebanyak n. dengan dua atau lebih kelompok sampel ini, kita ingin
mencari apakah kelompok-kelompok sampel tersebut berbedaatau
Inferensi Dengan Dua Sampel | STATISTIKA MATEMATIKA II 62
tidak. Hal ini berarti bahwa kita akan berbicara tentang perbedaan
kelompok populasi dengan dasar kelompok sampel. Oleh karena
itu, hipotesis nol yang akan diuji menyatakan bahwa 𝜇1 dan 𝜇2
tidak akan berbeda atau sama, apabila ditulis dengan bentuk
matematika maka 𝜇1 − 𝜇2 = 0. Untuk melakukan estimasi
besarnya perbedaan rata-rata tersebut dapat digunakan rata-rata
sampel. Unutk menghadapi dua perbedaan rata-rata dapat
didasarkan pada t tes dengan suatu modifikasi untuk menghadapi
dua rata-rata sampel. Mari kita ingat rumus:
𝑡 =
𝑋̅ − 𝜇
𝑆 𝑥̅
Untuk menghadapi dua buah rata-rata sampel dan dua buah
rata-rata populasi, maka rumus diatas harus dimodifikasi. Oleh
karena yang akan dicari adalah perbedaan antara kedua kelompok
tersebut, maka maisng-masing rata-rata, baik rata-rata sampel
mupun rata-rata populasi, kita cari perbedaannya. Dengan kata lain
kita mencari selisih rata-rata untuk menggantikan rata-rata
tersebut. Selisih rata-rata sampel adalah 𝑋̅𝐴 − 𝑋̅ 𝐵
Diletakkan sebagai pengganti 𝑋̅, sedangkan untuk rata-rata
populasi diganti dengan selisih kedua rata-rata populasinya yaitu
𝜇 𝐴 − 𝜇 𝐵. Melalui modifikasi yang tertulis diatas, maka standar
errornya juga akan mengalami perubahan menjadi 𝑆 𝑋̅ 𝐴 −𝑋̅ 𝐵
.
Secara umum nilai t dapat dicari dengan rumus:
𝑡 =
( 𝑋̅𝐴 − 𝑋̅ 𝐵)− ( 𝜇 𝐴 − 𝜇 𝐵)
𝑆 𝑋̅ 𝐴−𝑋̅ 𝐵
Inferensi Dengan Dua Sampel | STATISTIKA MATEMATIKA II 63
Untuk menentukan standar error, maka kita bahas setahap
demi setahap.
Pertama: kita tahu bahwa masing-masing rata-rata sampel
member estimasi terhadap rata-rata populasinya, sehingga 𝑋̅ 𝐴
mendekati 𝜇 𝐴, dengan sedikit kesalahan, dan 𝑋̅ 𝐵 mendekati 𝜇 𝐵,
dengan sedikit kesalahan. Kita ingat bahwa standard error
menyatakan seberapa jauh akurasi rata-rata sampel mendekati rata-
rata populasi, sehingga semakin kecil standard errornya maka
semakin akurat.
Kedua: oleh karena yang kita hadapi keseluruhan error
sampel dalam mendekati kedua rata-rata populasi, maka langkah
awal harus mencari masing-masing error, baru kemudian
digabungkan untuk mencari error bersama. Sebelum melakukan
penggabungan perlu kiranya dilakukan mofikasi atas rumus
standard error terlebih dulu, sehingga akn mempermudah
perhitungan.
Ketiga : apabila standard error dikuadratkan, maka
rumusnya akan berubah menjadi rumus: 𝑆 𝑋̅
2
=
𝑆2
𝑛
Jika akar, maka akan kembali pada rumus semula, tetapi
dapat berubah bentuk menjadi rumus: 𝑆 𝑋̅ =
√𝑆2
𝑛
Bentuk rumus terakhir inilah yang dapat mempermudah
dalam perhitungan standard error gabungan. Dengan menggunakan
Inferensi Dengan Dua Sampel | STATISTIKA MATEMATIKA II 64
dasar kedua rumus di atas diperoleh rumus gabungan:
𝑆 𝑋̅ 𝐴−𝑋̅ 𝐵
=√
𝑆 𝐴
2
𝑛 𝐴
+
𝑆 𝐵
2
𝑛 𝐵
Mengapa tanda di dalam akar berupa tanda tambah (+)?
Hal ini disebabkan karena variance (kuadrat simpangan baku)
untuk selisih rata-rata maupun jumlah akan tetap merupakan
penjumlahan masing-masing variance, sepanjang distribusinya
normal. Untuk pemahaman konsep ini dapat dipelajari pada contoh
di bawah ini.
Contoh
Seandainya kita menghadapi dua buah populasi mempunyai
rentngan nilai sbb:
Distribusi Nilai minimum Nilai maksimum Rentangan
A 10 20 10
B 40 60 20
Apabila diambil 1(satu) sampel dari masing-masing
populasi, maka rentangan terbesar antara kedua sampel tersebut
adalah 50 yaitu jika terambil dari populasi A nilai 10, sedangkan
dari populasi B terambil nilai 60. Sedangakan rentangan terkecil
antara kedua buah sampel tersebut adalah 20 dan dari populasi B
memperoleh nilai 40. Dengan demikian, maka rentangan nilai
sampel bergerak dari 50 sampai 20, atau tepatnya rentangan
(range) XA−XB adalah 30. Kondisi ini juga penjumlahan dari
rentangan populasi A dan rentangan populasi B (10+20).
Inferensi Dengan Dua Sampel | STATISTIKA MATEMATIKA II 65
Untuk dapat membaca tabel t diperlukan derajat kebebasan
(degrees of freedom). Derajat kebebasan pada perbandingan dua
sampel adalah 𝑛 𝐴 + 𝑛 𝐵 − 2. Hal ini dapat dipahami dengan mudah
jika kita membahas penggabungan variance. Untuk itu kita bahas
sebuah contoh sederhana lain sbb:
Contoh:
Seandainya ada dua kelompok sampel yang diambil daru
satu populasi, di mana kelompok sampel A mempunyai n = 9,
dengan jumlah kuadrat simpangan bakunya = 80, sedangkan
kelompok sampel B mempunyai n = 16, dengan jumlah kuadrat
simpangan baku = 90.
Apabila kita menghitung variance masing-masing, maka:
𝑆𝐴
2
=
80
8
= 10
𝑆 𝐵
2
=
90
15
= 6
Kita telah memahami suatu teori statistik yang mengatakan
bahwa n yang besar mempunyai tingkat akurasi yang lebih besar
daripada n kecil. Hal ini dapat dilihat dari hasil perhitungan
variance pada contoh diatas, dimana semakin besar n semakin
kecil varincenya.
Untuk menggabugkan kedua variance tersebut perlu
dipertimbangkan n nya. Pada contoh diatas ini secara kebetulan
kita menghadapi n untuk maisng-masing sampel tidak sama,
apabila sampel yang dihadapi mempunyai n sama, maka
Inferensi Dengan Dua Sampel | STATISTIKA MATEMATIKA II 66
pertimbangan terhadap n dapat diabaikan. Cara
mempertimbangkan n yang tidak sama adalah dengan jalan:
1. Mengalikan masing-masing variance denagn derajat kebebasannya.
2. Jumlah hasil kali masing-masing variance.
3. Hasil penjumlahannya dibagi dengan jumlah derajat kebebasan masing-
masing. Mengingat derjat kebebasan kelompok A adalah 𝑛 𝐴 − 1 dan
derajat kebebasan kelompok B adalah 𝑛 𝐵 − 1, maka penjumlahannya
adalah ( 𝑛 𝐴 − 1) + ( 𝑛 𝐵 − 1) atau 𝑛 𝐴 + 𝑛 𝐵 − 2.
Jadi, penggabungan variance dapat dihitung dengan rumus:
𝑆 𝑝
2
=
𝑑𝑘 𝐴 + 𝑑𝑘 𝐵 𝑆 𝐵
2
𝑛 𝐴 + 𝑛 𝐵 − 2
Atau dengan rumus:
𝑆 𝑝
2
=
∑( 𝑋𝐴 − 𝑋̅ 𝐴)2
+ ∑( 𝑋 𝐵 − 𝑋̅ 𝐵)2
𝑛 𝐴 + 𝑛 𝐵 − 2
Dengn demikian maka standard error kedua sampel dapat
dihitung dengan rumus:
𝑆 𝑋̅ 𝐴−𝑋̅ 𝐵
=√
𝑆 𝑝
2
𝑛 𝐴
+
𝑆 𝑝
2
𝑛 𝐵
Rumus ini dapat dikatakan halus, karena ada penimbangan
n. penimbangan n untuk sampel yang berbeda jumlahnya
merupakan tindakan hati-hati, karena dalam proses ini seolah-olah
kita melkukan suatu tindakan penyeimbangan beban pada masing-
masing sampel. Selain itu, rumus tersebut merupakan rumus yang
sederhana sehingga kita akan lebih mudah menghitung standard
error gabungan dua buah sampel yang berbeda jumlah n nya.
Inferensi Dengan Dua Sampel | STATISTIKA MATEMATIKA II 67
Unutk memahami konsep yang mendasari rumus tersebut, marilah
kita coba menyelesaikan sebuah contoh.
Contoh:
Seorang dosen statistik melakukan eksperimen tentang
metode mengajar A dan metode mengajar B terhadap mahasiswa
dari beberapa perguruan tinggi. Untuk keperluan itu dosen yang
bersangkutan mengambil dua kelas sebagai kelas eksperimennya.
Dari masing-masing kelas diambil beberapa sampel, setelah
eksperimen berjalan (berakhir), untuk dasar analisis. Dari kelas A
diambil sampel sebanyak 9 mahasiswa, dan kelas B diambil
sampel sebanyak 13 mahasiswa. Pengambilan sampel dilakukan
secara acak (random), sedangkan hasil pengumpulan data (nilai
mahasiswa) dari sampel sebagai berikut:
Kelas A Kelas B
70 63
60 60
80 70
75 80
76 74
75 75
71 85
65 64
85 65
60
Inferensi Dengan Dua Sampel | STATISTIKA MATEMATIKA II 68
90
75
75
Sebelum kita melakukan perhitungan-perhitungan lebih
lanjut sebaiknya kita data di atas dalam suatu tabel yang
mengandung simpangan masing-masing data dengan rata-rata
kelompoknya, serta kuadrat masing-masing simpangan tersebut.
Tabel tersebut semata-mata untuk membantu kita dalam
melakukan koreksi apabila terjadi suatu kekeliruan perhitungan
simpangan masing-masing skor dengan rata-ratanya maupum
kekeliruan perhitungan kuadrat simpangan tersebut. Adapun tabel
yang mengadung perhitungan simpangan masing-masing skor
dengan rata-ratanya, beserta kuadrat simpangan masing-masing
sbb:
𝑋𝐴 ( 𝑋𝐴 − 𝑋̅𝐴) ( 𝑋𝐴 − 𝑋̅ 𝐴)2
𝑋 𝐵 ( 𝑋 𝐵 − 𝑋̅ 𝐵) ( 𝑋 𝐵 − 𝑋̅ 𝐵)2
85 12 144 90 18 324
80 7 49 85 13 169
76 3 9 80 8 64
75 2 4 75 3 9
75 2 4 75 3 9
71 -2 4 75 3 9
70 -3 9 74 2 4
65 -8 64 70 -2 4
Inferensi Dengan Dua Sampel | STATISTIKA MATEMATIKA II 69
60 -13 169 65 -7 49
64 -8 64
63 -9 81
60 -12 144
60 -12 144
657 0 456 936 0 1074
𝑋̅ 𝐴 = 657 ∶ 9 = 73 𝑋̅ 𝐵 = 936 ∶ 13 = 72
Dari dasar beberapa perhitungan di atas kita dapat
melakukan pengujian hipotesis, sedangkan langkahnya:
Pertama : penyusunan hipotesis matematis
𝐻0 ∶ 𝜇 𝐴 − 𝜇 𝐵 = 0
𝐻1 ∶ 𝜇 𝐴 − 𝜇 𝐵 ≠ 0
Apabila untuk pengujian ini kita tentukan α = 0,05.
Sedangkan derajat kebebasannya adalah 9+13−2=20
Kedua : menghitung standard error dan nilai t sebagai
barikut:
𝑆 𝑝
2
=
∑( 𝑋𝐴 − 𝑋̅ 𝐴)2
+ ∑( 𝑋 𝐵 − 𝑋̅ 𝐵)2
𝑛 𝐴 + 𝑛 𝐵 − 2
𝑆 𝑝
2
=
456 + 1074
20
= 76,5
𝑆 𝑋̅ 𝐴−𝑋̅ 𝐵
=√
𝑆 𝑝
2
𝑛 𝐴
+
𝑆 𝑝
2
𝑛 𝐵
= √
76 ,5
9
+
76,5
13
= √14,38461538
Inferensi Dengan Dua Sampel | STATISTIKA MATEMATIKA II 70
= 3,792705549
= 3,79
𝑡 =
( 𝑋̅𝐴 − 𝑋̅ 𝐵) − ( 𝜇 𝐴 − 𝜇 𝐵)
𝑆 𝑋̅ 𝐴 −𝑋̅ 𝐵
=
(73 − 72) − 0
3,79
= 0,2638522427
= 0,2639
ttabel = 2,086 ini berarti bahwa daerah penerimaan adalah H0
di antara -2,086 dan +2,086.
Dengan demikian makam kita dapat mengambil
kesimpulan yaitu menerima hipotesis nol. Artinya hasil belajar
mahasiswa dengan menggunakan metode A tidak mempunyai
perbedaan yang signifikan pada taraf signifikansi 0,05.
Perhitungan di atas tepat untuk jumlah sampel yang kecil atau
sedikit. Kebanyakan peneliti agak ragu dengan sampel kecil,
sehingga diambil langkah untuk mengambil sampel yang cukup
besar. Untuk menghadapi sampel yang besar sebaiknya
transformasinya ke z. langkah menggunakan z dan t bisa dikatakan
tidak ada bedanya, perbedaan terletak pada pencarian daerah
penerimaan hipotesis nol di tabel. Kalau menggunakan tabel t, kita
terikat dengan derajat kebebasan (dk), sedangkan untuk
menggunakan tabel z kita tidak perlu memperhatikan derajat
kebebasan.
Inferensi Dengan Dua Sampel | STATISTIKA MATEMATIKA II 71
Uji – t dua sampel independen (bebas) adalah metode yang
digunakan untuk menguji kesamaan rata-rata dari dua populasi
yang bersifat independen. Mengenai ragam populasi, independen
maksudnya adalah bahwa populasi yang satu tidak dipengaruhi
atau tidak berhubungan dengan populasi yang lain.
Teorema I
Misalkan X1 , X2 , . . . , Xn Sampel random dari N ( µx ; 𝜎2
) dan Y1 , Y2 , . . . , Ym Sampel random dari N ( µy ; 𝜎2 ). Misalkan
pula Xi dan independen. Misalkan pula S2
X dan S2
Y adalah variansi
kedua sampel itu, dan S2
P adalah variansi pooled ( rata-rata ) ,
dimana
S2
P =
(n−1)SX
2
+(m−1)SY
2
n+m−2
Maka
t =
𝑥̅− 𝑦̅−( 𝜇 𝑥−𝜇 𝑦 )
𝑆 𝑝 √
1
𝑛
+
1
𝑚
~ t n+m-2
Bukti
Perhatikan bahwa t dapat ditulis
t =
𝑥̅−𝑦̅−( 𝜇 𝑥−𝜇 𝑦)
𝑐√
1
𝑛
+
1
𝑚
√𝑠 𝑝
2
/𝜎2
t =
𝑋̅−𝑌̅−( 𝜇 𝑥−𝜇 𝑦)
𝜎√
1
𝑛
+
1
𝑚
√
1
𝑛+𝑚−2
[∑ (
𝑥 𝑖−𝑥̅
𝜎
)
2
𝑛
𝑖=1 +∑ (
𝑦 𝑖 −𝑦̅
𝜎
)
2
𝑚
𝑖=1
]
pembilangnya berdistribusi N(0;1), sedang penyebutnya :
Inferensi Dengan Dua Sampel | STATISTIKA MATEMATIKA II 72
∑ (
𝑋𝑖 − 𝑋̅
𝜎
)
𝑛
𝑖=1
~𝑥 𝑛−1
2
∑ (
𝑌𝑖 − 𝑌̅
𝜎
)
𝑚
𝑖=1
~𝑥 𝑚−1
2
Sehingga jumlahnya berdistribusi 𝑥 𝑛+𝑚−2
2
dengan demikian
t~𝑡 𝑛+𝑚−2
Menurut definisi 2.
Teorema 2
Misalkan 𝑥1, 𝑥2,… . 𝑥 𝑛~N( 𝜇 𝑥; 𝜎2) dan
𝑦1, 𝑦2, … . 𝑦 𝑚~N(𝜇 𝑦; 𝜎2
)
Serta 𝑥 𝑖 dan 𝑦𝑖 itu independent. Dengan tingkat signifikansi
𝛼, uji GLR untuk 𝐻0: 𝜇 𝑥 = 𝜇 𝑦 versus 𝐻1: 𝜇 𝑥 = 𝜇 𝑦 akan menolak
𝐻0 apabila
t =
𝑥̂−𝑦̂
𝑆 𝑝 √
1
𝑛
+
1
𝑚
≤ −𝑡( 𝑛+𝑚−2); 𝛼
2⁄ ≥ 𝑡( 𝑛+𝑚−2); 𝛼
2⁄
Contoh
Seorang oncologist ingin menentukan apakah suatu bahan
kimia tertentu dapat mengubah pertumbuhan tumor kanker dalam
tubuh tikus. Dalam tubuh 30 ekor tikus, yang diambil sebagai
sampel, ditanamkan tumor. Lima belas dari tikus-tikus ini dipilih
secara random, dan kepada mereka diberikan bahan kimia itu
selama empat minggu. Sedangkan 15 ekor tikus yang lain, sebagai
grup control, dibiarkan dalam kondisi yang sama selama empat
minggu pula. Setelah empat minggu tikus-tikus yang diberi bahan-
Inferensi Dengan Dua Sampel | STATISTIKA MATEMATIKA II 73
bahan kimia menunjukkan berat tumor rata-rata 1,28 gram dan
deviasi standar = 0,38 gram. Dapatkah oncalogist itu
menyimpulkan bahwa bahan kimia itu mempengaruhi
pertumbuhan tumor?
Masalah ini dapat kita selesaikan dengan uji hipotesis.
Perumusan hipotesis nol dan alternatifnya adalah sebagai berikut:
𝐻0: 𝜇 𝑥 = 𝜇 𝑦 versus 𝐻1: 𝜇 𝑥 ≠ 𝜇 𝑦
Dimana 𝜇 𝑥 dan 𝜇 𝑦 adalah masimg-masing mean populasi
berat tumor setelah empat minggu untuk grup eksperimen dan
grup control. Dengan anggapan kedua populasi normal bervarinsi
sama, kita hitung variansi pooled:
𝑆 𝑝
2
=
(15 − 1)(0,31)2
+ (15 − 1)(0,38)2
28
= 0,12025
Dan
𝑆 𝑝 = √0,0125025 = 0,347
Maka 𝐻0 benar, maka distribusi sampling t =
𝑥̅− 𝑦̅
𝑆 𝑝√
1
15
+
1
15
adalah 𝑡28. Dengan tingkat signifikansi 0,05 , 𝐻0 ditolak
apabila
t ≥ 𝑡28 ;0,025 = 2,0484
atau
≤ −𝑡28 ;0,025 = -2,0484
Tetapi t =
1,28−1,53
(0,347)√2 15⁄
= -1,97
Inferensi Dengan Dua Sampel | STATISTIKA MATEMATIKA II 74
Jadi, H0 diterima sehingga pernyataan tersebut benar bahwa
suatu bahan kimia dapat mengubah pertumbuhan kanker dalam
tubuh tikus.
Contoh:
Pengukuran terhadap hasil penataran terhadap beberapa
guru (10 orang) menghasilkan nilai sbb:
Pre test: 4 5 5 6 5 4 8
4 5 6
Post test: 7 7 8 7 6 8 9
6 5 9
Apakah penataran tersebut mempunyai dampak positif
terhadap pengetahuan guru?
Jawab:
𝐻0 ∶ 𝜇0 = 0
𝐻1 ∶ 𝜇0 ≠ 0
Hal yang telah diketahui:
n = 10 dk = n−1=10−1 = 9
apabila kita mengambil α = 0,05 maka daerah penerimaan
hipotesis nol terletak di antara: +2,262 dan -2,262
langkah selanjutnya adalah menyusun data sehingga mudah
untuk melakukan analisis, sedangkan data yang tersusun sebagai
berikut:
Pre tes Post tes D D2
4 7 3 9
Inferensi Dengan Dua Sampel | STATISTIKA MATEMATIKA II 75
5 7 2 4
5 8 3 9
6 7 1 1
5 6 1 1
4 8 4 16
8 9 1 1
4 6 2 4
5 5 0 0
6 9 3 9
20 54
Jumlah kuadrat simpangan bakunya dapat dihitung dengan
rumus:
𝑆𝑆 = ∑ 𝐷2
−
(∑ 𝐷)2
𝑛
Untuk contoh di atas hasil jumlah kuadrat simpangan
bakunya adalah:
𝑆𝑆 = 54 −
202
10
= 14
𝑆𝑑 = √
14
9
= 1,247219129 = 1,25
𝑆 𝐷̅ =
1,25
10
= 0,3952847075 = 0,40
𝑡 =
𝐷̅ − 𝜇0
𝑆 𝐷̅
=
2 − 0
0,40
= 5
Inferensi Dengan Dua Sampel | STATISTIKA MATEMATIKA II 76
Oleh karena t hitung berada di luar daerah penerimaan
hipotesis nol maka kita menolak hipotesis nol, hal ini berarti
bahwa penataran tersebut mempunyai dampak terhadap
kemampuan guru atas materi yang ditatarkan.
B. Uji f : Menguji H0 : 𝜶 𝟐
X = 𝜶 𝟐
Y
Disini akan kita pelajari uji CLR untuk H0 : 22
yx   versus
H1 :
22
yx   berdasarkan data 2 sampel yang independent, masing-
masing diambil dari populasi normal, N  22
; xx  . dan N  22
; yy  .
Uji ini akan kita gunakan, antara lain, untuk mendukung
anggapan variansi yang sama dalam uji kesamaan dua mean Teorema
2. Artinya, jika H0 :
22
yx   kita terima, maka teorema 2 dapat
kita gunakan. Tetapi jika H0 : itu ditolak, uji t pendekatan yang harus
digunakan.
 
 
2
;
2
;
2
2






mn
mn
t
t
Teorema 2.
Misalkan X1,X2,….,Xn ~ N  22
;x dan Y1, Y2, ….., Ym ~
N  22
;y , serta Xi dan Yi itu independent. Dengan Tingkat
signifikansi  , uji GLR untuk H0 :  yx   versus H1 :  yx  
akan menolak H0 apabila :
Inferensi Dengan Dua Sampel | STATISTIKA MATEMATIKA II 77
mn
S
yx
t
p
11



Teorema 3
Misalkan X1,X2,….,Xn sample random dari N  22
; xx  dan
Y1, Y2, ….., Ym sample random dari N  22
; yy  ,serta semua X dan
Y independent. Uji pendekatan GLR untuk
H0 :
 22
yx  
dan versus H1 :
 22
yx  
Pada tingkat  adalah menolak H0 apabila
2
2
X
Y
S
S










2
1;
2
;
1,1
1,1


nm
nm
F
F
Catatan :
Uji GLR dalam Teorema 3 adalah pendekatan seperti dalam uji
untuk H0 :  2
0
2
  ( Teorema 10. Bab 2 )
Distribusi statistic menguji 2
2
X
Y
S
S
tidak simetris dan dua rentang
perbandingan variansi yang menghasilkan  lebih kecil atau sama
dengan  mempunyai luasan ekor yang sedikit berbeda. Tetapi untuk
memudahkan pekerjaan dua daerah kritis itu diambil sama luasnya.
Contoh soal:
Subyek penelitiannya adalah 20 orang narapidana, yang
menjadikan dua kelompok berukuran sama secara random. Kelompok
diperlukan biasa, sedangkan kelompok II diperlukan cara khusus.
Inferensi Dengan Dua Sampel | STATISTIKA MATEMATIKA II 78
Setelah tujuh hari, frekuensi gelombang-alpha diukur, dan diperoleh
hasil sebagai berikut :
Kelompok I ( X ) Kelompok II ( Y )
10,7 9,6
10,7 10,4
10,4 9,7
10,9 10,3
10,5 9,2
10,3 9,3
9,6 9,9
11,1 9.5
11,2 9,0
10,4 10,9
Akan kita gunakan uji f untuk menentukan apakah ada
perbedaan yang signifikan antara kedua fariansi sampel. Misalkan σ
2
x
dan σ
2
y
adalah variansi populasi X dan populasi Y, kita akan menguji
Ho : σ
𝟐
𝐱
= σ
𝟐
𝐲
versus H1 : σ
𝟐
𝐱
≠ σ
𝟐
𝐲
Adalah tingkat signifikan α = 0,05. Selanjutya kita hitung
∑ Xi = 105,8 ∑ Xi
2 = 1121,26
∑ Yj = 97,8 ∑ Xj
2 = 959,70
Maka variansi kedua sampel itu adalah
Inferensi Dengan Dua Sampel | STATISTIKA MATEMATIKA II 79
S
𝟐
𝐗
=
𝟏𝟎( 𝟏𝟏𝟐𝟏,𝟐𝟔 )–(𝟏𝟎𝟓,𝟖 )²
𝟏𝟎 ( 𝟗 )
= 0,21 dan
S
𝟐
𝐘
=
𝟏𝟎 ( 𝟗𝟓𝟗,𝟕𝟎 )–( 𝟗𝟕,𝟖 )²
𝟏𝟎 ( 𝟗 )
= 0,36
Statistic penguji : F =
𝐒
𝟐
𝐘
𝐒
𝟐
𝐗
=
𝐨,𝟑𝟔
𝟎,𝟐𝟏
= 1,71
Dari table distribusi F kita tahu : P ( 0,248 < 𝐹9,9 < 4,03) =
0,95. Jadi 𝐻0 akan ditolak jika F ≥ 4,03 atau F ≤ 0,248. Karena disini
F = 1,71 maka 𝐻0 tidak ditolak.
1. Jenis Uji Hipotesa
Uji Hipotesa satu arah
0
0
:1
:0




H
H
0
0
:1
:0




H
H
Uji Hipotesa dua arah
0
0
:1
:0




H
H
2. Uji Hipotesa Terhadap Rata-rata
a) Uji hipotesa dilakukan terhadap rata-rata, dimana hipotesa
yang diambil adalah hipotesa rata-rata dari suatu populasi.
b) Uji hipotesa rata-rata ini ada dua macam, yaitu uji hipotesa
dengan varians populasi σ diketahui dan uji hipotesa dengan
varians populasi σ tidak diketahui.
Inferensi Dengan Dua Sampel | STATISTIKA MATEMATIKA II 80
3. Uji Hipotesa Rata-rata dengan σ Diketahui
Nilai statistic uji :
n
x
z

0
 dengan n ≥ 30.
WilayahKritis:
0:1  H , wilayah kritis Z < - Zα
0:1  H , wilayah kritis Z > Zα
0:1  H , wilayah kritis Z < - Zα/2 dan Z > Zα/2
4. Uji Hipotesa Rata-Rata Dengan σ tidak diketahui
Nilai statistic uji :
n
s
x
t 0
 dengan n ≥ 30.
WilayahKritis:
0:1  H , wilayah kritis t < - tα
0:1  H , wilayah kritis t > tα
0:1  H , wilayah kritis t < - tα/2 dan t > tα/2
5. Uji Hipotesa terhadap Varians
H0 :
2
0
2
 
Nilai statistic uji
 
2
0
2
2 .1


sn 

Wilayah Kritis:
Inferensi Dengan Dua Sampel | STATISTIKA MATEMATIKA II 81
2
0
2
:1  H , wilayah kritis   1
22
2
0
2
:1  H , wilayah kritis   1
22
2
0
2
:1  H , wilayah kritis
2/
22
2/1
22
    dan
C. Data Binomial : Uji H0 : 𝑷 𝑿 = 𝑷 𝒀
Disini akan kita pelajari contoh untuk keadaan di mana dua
himpunan data itu adalah binomial.
Misalkan n Bernoulli Trials yang berkaitan dengan perlakuan X
menghasilkan x sukses, dan m Bernoulli Trials yang berkaitan dengan
perlakuan Y menghasilkan y sukses. Kita ingin menguji PX=PY, di
mana PX adalah probabilitas sukses untuk perlakuan x dan PY adalah
probabilitas sukses untuk perlakuan y.
Jadi, H0:PX=PY(=p) versus H1:PX PY akan kita uji pada
tingkat signifikansi 𝛼.
Kedua ruang parameternya adalah
𝜔 = {( 𝑃 𝑋, 𝑃 𝑌):0 ≤ 𝑃 𝑋 = 𝑃 𝑌 ≤ 1}
dan
𝜑 = {( 𝑃 𝑋, 𝑃 𝑌):0 ≤ 𝑃 𝑋 ≤ 1, 0 ≤ 𝑃 𝑌 ≤ 1}
Selanjutnya, fungsi likelihood dapat ditulis sebagai
𝐿 = 𝑃 𝑋
𝑋(1− 𝑃 𝑋)ℎ−𝑋
∙ 𝑃 𝑌(1 − 𝑃 𝑌) 𝑚−𝑦
Inferensi Dengan Dua Sampel | STATISTIKA MATEMATIKA II 82
dengan menyamakan derivatif log L terhadap 𝑃(= 𝑃 𝑋 = 𝑃 𝑌)
sama dengan nol, dan kita hitung P, kita peroleh
𝑝̂ =
𝑥+𝑦
𝑛+𝑚
yang merupakan PML untuk 𝑝 di bawah 𝐻0 (yakni proporsi
sukses pooled). Jika 𝜗 log
𝐿
𝜗
𝑃 𝑋 = 0 dan 𝜗 log
𝐿
𝜗
𝑃 𝑌 = 0, maka akan kita
peroleh PML untuk 𝑃 𝑋 dan 𝑃 𝑌, yakni
𝑝̂ 𝑋 =
𝑥
𝑛
dan 𝑝̂ 𝑌 =
𝑦
𝑛
Penaksir-penaksir kita masukkan ke dalam L untuk
memperoleh GLR sebagai berikut:
𝜇 =
𝐿(𝜔)
𝐿(𝜑)
=
[(𝑥 + 𝑦)/(𝑚 + 𝑛)] 𝑥+𝑦[1 − (𝑥 + 𝑦)/(𝑚 + 𝑛)] 𝑛+𝑚−𝑥−𝑦
(𝑥/𝑛) 𝑥(1 −
𝑥
𝑛
) 𝑛−𝑥(
𝑦
𝑚
) 𝑦(1 −
𝑦
𝑚
) 𝑚−𝑦
Bentuk fungsi ini tidak sederhana, sehingga akan sukar bekerja
dengan fungsi. Karena itu perlu dicari pendekatan untuk uji GLR yang
biasa. Dapat ditunjukkan bahwa −2 log λ untuk masalah ini
mempunyai distribusi asimtotik 𝑥2
dengan derajat bebas 1. Jadi, uji
dua sisi pendekatan dengan tingkat signifikansi ∝= 0,05 adalah
menolak 𝐻0 jika −2log 𝜆 ≥ 3,84.
Pendekatan lain yang paling sering digunakan adalah
pemanfaatan teorema limit pusat, yakni
𝑋
𝑛
−
𝑌
𝑚
− 𝐸(
𝑋
𝑛
−
𝑌
𝑚
)
√ 𝑣𝑎𝑟(
𝑋
𝑛
−
𝑌
𝑚
)
mendekati distribusi normal standar. Tentu saja di bawah 𝐻0
𝐸 (
𝑋
𝑛
−
𝑌
𝑚
) = 0
Inferensi Dengan Dua Sampel | STATISTIKA MATEMATIKA II 83
dan
𝑉𝑎𝑟 (
𝑋
𝑛
−
𝑌
𝑚
) =
𝑝(1 − 𝑝)
𝑛
+
𝑝(1 − 𝑝)
𝑚
=
( 𝑛 + 𝑚) 𝑝(1 − 𝑝)
𝑛𝑚
Jika p sekarang diganti dengan PMLnya di bawah ω,
𝑥+𝑦
𝑛+𝑚
,
akan kita peroleh Teorema 4 di bawah ini.
Teorema 4
Misalkan x dan y menunjukkan banyak sukses masing-masing
dalam n dan m Bernoulli Trials yang berbeda. Misalkan 𝑃 𝑋 dan 𝑃 𝑌
adalah probabilitas sukses dalam kedua Bernoulli Trials itu. Uji GLR
pendekatan pada tingkat signifikansi untuk
𝐻0: 𝑃 𝑋 = 𝑃 𝑌 versus 𝐻1: 𝑃 𝑋 ≠ 𝑃 𝑌
adalah menolak 𝐻0 apabila
𝑥
𝑛
−
𝑦
𝑚
√(
𝑥 + 𝑦
𝑛 + 𝑚
)(1 −
𝑥 + 𝑦
𝑛 + 𝑚
)(𝑛 + 𝑚)
𝑛𝑚
Dengan
𝑥
𝑛
−
𝑦
𝑚
≤ −𝑍 𝛼/2 dan √
(
𝑥+𝑦
𝑛+𝑚
)(1−
𝑥+𝑦
𝑛+𝑚
)(𝑛+𝑚)
𝑛𝑚
≥ 𝑍 𝛼/2
Contoh
Kita ingin membandingkan keandalan (reliabelitas) tabung
elektronik buatan pabrik P dan Pabrik Q. Untuk ini kita periksa 100
tabung elektronik merek P, ternyata hanya 23 yang tahan hidupnya
lebih dari 600 jam. Selanjutnya kita periksa pula 100 tabung merek Q,
ternyata ada 52 buah yang bertahan hidup lebih dari 600 jam. Apakah
Inferensi Dengan Dua Sampel | STATISTIKA MATEMATIKA II 84
dapat kita simpulkan bahwa kedua merek tabung elektronik tersebut
mempunyai keandalan yang sama ?
Untuk menjawab pertanyaan itu kita lakukan uji hipotesis
sebagai berikut. Misalkan 𝑃 𝑋 dan 𝑃 𝑌 masing-masing adalah proporsi
(presentase atau probabilitas) elemen-elemen populasi merek P dan
populasi merek Q yang bersifat A (tahan hidup > 600 jam). Kita
rumuskan hipotesis sebagai berikut:
𝐻0: 𝑃 𝑋 = 𝑃 𝑌 versus 𝐻1: 𝑃 𝑋 ≠ 𝑃 𝑌
Ambil tingkat signifikansi ∝= 0,10 maka 𝐻0 akan ditolak
apabila 𝑍 ≥ 𝑍0,05 = 1,64 dan 𝑍 ≤ −𝑍0,05 = −1,64 di mana statistik
penguji Z diitung dengan rumus dalam Teorema 4. Jadi
𝑍 =
0,23 − 0,26
√
23 + 26
200
(1 −
23 + 26
200
)(100 + 100)
100.100
= −0,49
Dengan demikian 𝐻0 tidak ditolak. Maka kita cenderung
menyimpulkan bahwa keandalan kedua merek tabung elektronik itu
sama.
Teorema(5.2)
Distribusi Binomial b(x;n,p) mempunyai rata-rata dan variansi
sbb:
Contoh (5.6)
Tentukan mean dan variansi dari contoh (5.5) kemudikan
gunakan teorema chebyshev untuk menafsirkan selang
np 
2 
Inferensi Dengan Dua Sampel | STATISTIKA MATEMATIKA II 85
Jawab:
Dari contoh 5.6 diketahui n=15 dan p=0.4
Diperoleh:
Menggunakan teorema Chebyshev adalah
Jadi, selang yang ditanakan adalah dari 2.206 sampai 9.794
Percobaan Multinomial
distribusi multinomial adalah distribusi peluang bersama
frekuensi-frekuensi sel 1, , kn n dalam n trial multinomial dengan
parameter 1, , kp p yang masing-masing merupakan peluang sel.
Fungsi peluang distribusi multinomial adalah
   1
1 1
1
!
, ,
! !
kn n
k k
k
n
f n n p p
n n
untuk

1
k
i
i
n n
Parameter-parameter itu memenuhi

1
1
k
i
i
p
Nilai ekspektasi dan variansi dari distribusi multinomial adalah
  i iE n np dan     Var 1i i in np p dimana 1,2, ,i k .
Teorema 1.7
misalkan 1 2, , , ky y y berdistribusi multinomial dengan
probabilitas 1 2, , , kp p p maka untuk n besar, variabel acak tidak
negatif
 


 
2
2
1
k
i i
i i
y np
np
dimana 1,2, ,i k [1.11]
2 9 794 2 2 206. dan .      
Inferensi Dengan Dua Sampel | STATISTIKA MATEMATIKA II 86
mendekati distribusi chi-square dengan derajat bebas  1k
dengan harga mean 2
 adalah   1k .
Persamaan 1.11 pertama kali diperkenalkan dan dipelajari oleh
Karl Pearson pada tahun 1900 sehingga dikenal dengan nama
”Pearson’s chi square statistic”.
Harga mean 2
 hanya tergantung pada banyak sel atau kelas k
(banyak kemungkinan yang dapat terjadi pada eksperimen
multinomial) dan tidak tergantung pada harga , 1,2, ,ip i k .
Bukti :
      


  
2
2 2
1
k
i i
i i
E y np
mean E
np
   
 
  

 
     
 
  
1 1
1 1 1
var 1
1 1 1
k k
i i i
i ii i
k k k
i i
i i i
y np p
np np
p p k
Rumus transformasi 2
 sering ditulis dengan persamaan
   
 
 
  
2 2
2
1 1
k k
i i i i
i ii i
y np O E
np E
[1.12]
dimana i iO y adalah frekuensi sel i yang diobservasi dalam
sampel berukuran n, sedangkan   i i iE np mean y adalah mean
atau frekuensi sel i yang diharapkan (nilai ekspektasi).
Kasus khusus model multinomial (Soejoeti, 1985:8) adalah uji
hipotesis apakah suatu eksperimen dengan k hasil yang mungkin
memiliki kemungkinan yang sama yaitu    0 1 2
1
: kH p p p
k
.
Inferensi Dengan Dua Sampel | STATISTIKA MATEMATIKA II 87
Dalam kasus khusus model multinomial. persamaan 2
 dapat
dinyatakan dengan 

 
  
 

2
2
1
k
i
i
k n
y
n k
Dengan menggunakan distribusi binomial hanya dapat untuk
mencari nilai probabilitas dengan dua kategori, misalnya baik dan
rusak, lulus dan gagal, untung dan rugi dan lain-lain. Tetapi untuk
mencari nilai probabilitas dengan beberapa kategori, misalnya
peristiwa tinggi, sedang dan rendah, peristiwa merah, kuning, biru dan
hitam dan lain-lain, tidak dapat dilakukan dengan distribusi binomial.
Untuk menjawab masalah tersebut maka dapat digunakan Distribusi
Multinomial, yaitu digunakan untuk mencari nilai probabilitas dengan
lebih dari dua kategori dan bersifat independen. Berdasarkan hal
tersebut, maka distribusi multinomial dapat dirumuskan sebagai beriku
Percobaan binomial menjadi percobaan multinomial bila tiap
usaha dapat memberikan lebih dari dua hasil. Umumnya bila suatu
usaha dapat menghasilkan k hasil yang mungkin E1, E2, …, Ek
dengan peluang P1, P2, …, Pk. Maka distribusi multinomial akan
memberikan peluang bahwa E1 ,terjadi sebanyak E2×2 kali, …, Ekxk
kali dalam n usaha bebas dengan x1 + x2 + … + xk = n.
Distribusi Multinomial : Bila suatu usaha tertentu dapat
menghasilkan k macam hasil dengan peluang, maka distribusi peluang
peubah acak yang menyatakan banyak terjadinya dalam n usaha bebas
ialah :
Inferensi Dengan Dua Sampel | STATISTIKA MATEMATIKA II 88
Rumus Distribusi Multinomial
Contoh soal
Bila dadu dilantumkan 6 kali , berapakah peluang mendapat
jumlah 7 atau 11 muncul 2 kali,sepasang bilangan yang sama 1
kali,dan kombinasi lainnya 3 kali ?
Jawab
Nilai :
P1 = 2/9
P2 = 1/6
P3 = 11/18
X1 = 2
X2 = 1
X3 = 3
Percobaan binomial akan menjadi percobaan multinomial jika
tiap usaha dapat memberikan lebih dari 2 hasil yang mungkin.
Misalnya hasil produksi pabrik dapat dikelompokan menjadi barang
baik, cacat, dan masih bisa diperbaiki.
Inferensi Dengan Dua Sampel | STATISTIKA MATEMATIKA II 89
Bila suatu usaha dapat menghasilkan k macam hasil
Dengan probabilitasnya maka
distribusi perubah acak
yang menyatakan banyaknya kejadian
Dalam n-usaha bebas adalah ;
Dengan
Contoh(5.7)
Dua buah dadu dilantunkan 6 kali, berapa probabilitas akan
mendapatkan jumlah 7 atau 11 muncul dua kali, sepasang bilangan
yang sama satu kali, dan kominasi lainnya 3 kali?
Jawab:
Misal: E1= muncul jumlah 7 atau 11
p(E1)=2/9 E2 = muncul pasangan bilangan yang sama
p(E2)=1/6 E3 = muncul selain E1 maupun E2
p(E3)=11/18
Nilai initidak berubah dari ke6-usaha. Menggunakan distribusi
multinomial dengan x1=2, x2=1 dan x3=3 diperoleh:
Proses Bernoulli
1 2 kE ,E ,....,E1 2 kp ,p ,....,p
1 2 kX , X ,...., X
1 2 kE ,E ,....,E
1 2
1 2 1 2 1 2
1 2
k
k
x x x
k; k
k
n
f(x ,x ,...,x p ,p ,...,p ,n) p p ...p
x ,x ,...,x
 
  
 
     
2 1 32 1 11 2 1 11
9 6 18 9 6 18
36 4 1 11
2 1 3 81 6 318
6
2 1 3 6
2 1 3
0 1127!
! ! !
f( , , ; , , , )
, ,
.
 
  
 
 
Inferensi Dengan Dua Sampel | STATISTIKA MATEMATIKA II 90
Suatu proses dikatakan sebagai proses Bernoulli jika memiliki
karakteristik sebagai berikut:
1. eksperimen terdiri atas n ulangan percobaan
2. masing-masing percobaan menghasilkan outcome yang dapat
diklasifikasikan sebagai sebuah sukses atau sebuah gagal
3. probabilitas sebuah sukses, disimbolkan dengan p, tetap konstan
dari satu percobaan ke percobaan lainnya
4. ulangan percobaan adalah independen
Contoh proses Bernoulli:Sebuah kartu diambil dari
tumpukannya. Hal ini dilakukan tiga kali tanpa pengembalian. Jika
muncul warna merah maka percobaan tersebut diklasifikasikan sebagai
sukses dan jika muncul warna hitam maka percobaan tersebut
diklasifikasikan sebagai gagal. Apakah proses ini mengikuti proses
Bernoulli?
Sebuah percobaan Bernoulli dapat menghasilkan outcome
sukses dengan probabilitas p dan outcome gagal dengan probabilitas
q= 1- p. Maka distribusi probabilitas dari variabel random binomial X,
jumlah sukses dalam n percobaan independen, adalah:
b(x; n, p) = x = 0,1,2, …, n
Eksperimen binomial akan menjadi eksperimen multinomial
jika pada tiap percobaan ada lebih dari dua jenis outcome yang
mungkin muncul. Jika sebuah percobaan dapat menghasilkan outcome
E1, E2, …, Ek dengan probabilitas masing-masing p1, p2, …,pk, maka
distribusi probabilitas dari variabel random X1, X2, …, Xk yang
Inferensi Dengan Dua Sampel | STATISTIKA MATEMATIKA II 91
menggambarkan jumlah kemunculan outcome E1, E2, …, Ek dalam n
percobaan independen adalah:
Dengan menggunakan distribusi binomial hanya dapat untuk
mencari nilai probabilitas dengan dua kategori, misalnya baik dan
rusak, lulus dan gagal, untung dan rugi dan lain-lain. Tetapi untuk
mencari nilai probabilitas dengan beberapa kategori, misalnya
peristiwa tinggi, sedang dan rendah, peristiwa merah, kuning, biru dan
hitam dan lain-lain, tidak dapat dilakukan dengan distribusi binomial.
Untuk menjawab masalah tersebut maka dapat digunakan Distribusi
Multinomial, yaitu digunakan untuk mencari nilai probabilitas dengan
lebih dari dua kategori dan bersifat independen. Berdasarkan hal
tersebut, maka distribusi multinomial dapat dirumuskan sebagai
berikut:
Inferensi Dengan Dua Sampel | STATISTIKA MATEMATIKA II 92
Kebanyakan uji goodness of fit didasarkan atas statistik
pengujian yang pada hakekatnya sama, yang distribusi asimtotnya khi-
kuadrat. Struktur yang mendasari statistic itu diturunkan dari distribusi
multinomial. Disini akan kita definisikan distribusi multinomial itu dan
mempeloajari sifat-sifatnya yang berkaitan langsung dengan masalah
uji goodness of fit.
Dipunyai Bernoulli trials, masing-masing dengan probabilitas
sukses p. maka fungsi probabilitas banyak sukses Y adalah (distribusi
multinomial):
nypp
y
n
yfyYP yny
,....,2,1,0;)1()()( 





 
Inferensi Dengan Dua Sampel | STATISTIKA MATEMATIKA II 93
Satu cara untuk memperluas fungsi probabilitas binomial diatas
adalah dengan memandang keadaan dimana pada tiap trial dapat terjadi
(k>2) hasil yang mungkin. Dengan demikian Y akan dapat menjalani
nilai kyyyy ...,,3,2,1 dengan probabilitas masing-masing
1...,
1
,,2,1 
k
i
ik pdenganppp
Perhatikan jika n trial semacam itu diamati, distribusi nilai-nilai
Y yang dihasilkan dapat diringkaskan dengan mendefinisikan
himpunan variabel random baru
kiyYbanyakkaliXanaXXX iik ,...,2,1,:dim,,...,, 21 
Tentu saja nX
n
i
i 1
Vektor  kXXX ,...,, 21 adalah variabel random multivariat
diskrit yang fungsi probabilitas bersama-nya adalah fungsi probabilitas
multinomial, yakni:
    kx
k
xx
k
kkk ppp
xxx
n
xxxfxXxXxXP ...
,...,,
...,,,...,, 21
21
21
,212211 






, dengan
!!...!
!
,...,,
;,...,2,1;,...,2,1,0
2121
1
1
kk
k
i
i
xxx
n
xxx
n
nxkinx






 
teorema 1:
Inferensi Dengan Dua Sampel | STATISTIKA MATEMATIKA II 94
Misalkan vektor  kxxx ,...,, 21 adalah variabel random
multivariat dengan parameter n, kppp ,...,, 21 maka fungsi probabilitas
marginal ,,...,2,1, kiXi  adalah binomial dengan parameter n dan ip .
Akan kita buktikan teorema itu untuk k=3. Misalkan X, Y, Z
berdistribusi trinomial dengan parameter n, ., , ZYX PPP Yang harus kita
tunjuukkan sekarang adalah
  Xn
X
X
X PP
x
n
xf







 1)(
Dari definisi:

y z
z
z
y
y
x
x ppp
zyx
n
Y
!!!
!
f=0,1,..., n-x; z==0,1,...,n; y+z=n-x
 
















xn
y
xn
y
xn
x
yxn
xyy
y
xn
x
x
x
yxny
y
x
x
y
y
x
x
p
pp
p
yxny
xn
pp
xnx
n
pppp
zxnzx
n
Y
0 0 )1(
)1(
)!(!
)!(
)1(
)!(!
!
)1(
)!(!!
!























xn
y
yxn
x
y
y
x
yxn
x
x
x
p
p
p
p
yxny
xn
pp
xnx
n
0 1
1
1)!(!
)!(
)1(
)!(!
!
Perhatikan jumlah diruas kanan itu sama dengan 1, karena
merupakan jumlah fungsi probabilitas binomial dengan parameter (n-
x) dan
)1( p
py

. Dengan demikian teorema terbukti untuk k=3.
Dari teorema 1 kita ketahui bahwa
).1()var(,)( iiiii pnpxdannpxE  Dapat juga ditunjukkan bahwa
penaksir maksimum likelihood untuk .
n
x
p i
i 
Inferensi Dengan Dua Sampel | STATISTIKA MATEMATIKA II 95
Satu sifat lain dari distribusi multinomial yang perlu kita
sebutkan adalah setiap variabel random, diskret, ataupun kontinu,
dapat dijadikan distribusi multinomial dengan pemisahan rentangnya
menjadi himpunan k interval yang tidak tumpang suh (over lap).
Misalkan Y adalah variabel random kontinu dengan fungsi probabilitas
f(y) yang didefinisikan pada rentang garis real. Sebagai k interval kita
ambil himpunan
     




ia
a
ki
k
aakidyyfp
aaaa
1
0
1211
1
;;,...,2,1;)(
,,...,,,, 
Maka, jika n pengukuran diambil pada Y, dan jika ix adalah
banyak pengukuran Y yang jatuh pada interval i, fungsi probabilitas
vektor  kXXX ,...,, 21 adalah multinomial dengan parameter n dan ip
; dan i=1,2,...,k.
Analisis multivariat merupakan salah satu teknik statistik yang
digunakan untuk memahami struktur data dalam dimensi tinggi.
Disebut dimensi tinggi karena melibatkan lebih dari satu variabel.
Variabel-variabel itu saling terkait (berkorelasi) satu sama lain.
Disinilah letak perbedaan antara multivariabel dan multivariat.
Multivariat pasti melibatkan multivariabel tetapi tidak sebaliknya.
Multivariabel yang saling berkorelasilah yang dikatakan multivariat.
Sebuah unit penelitian dapat dilihat dari berbagai sudut
pandang. Dalam penelitian mengenai kesejahteraan rakyat misalnya,
kita dapat mengambil sejumlah rumah tangga sebagai unit penelitian.
Sebuah rumah tangga bisa diukur pendapatannya, pengeluarannya,
Inferensi Dengan Dua Sampel | STATISTIKA MATEMATIKA II 96
konsumsi protein, jumlah anggota rumah tangga dan lain-lain. Ada
banyak dimensi yang bisa kita gali dari sebuah rumah tangga.
Misalkan sebuah kumpulan unit penelitian dinyatakan oleh
sebuah himpunan . Kita memiliki n observasi yang diukur
dalam p dimensi. Setiap observasi memiliki p dimensi dinyatakan
dengan
,
merupakan elemen dari vektor variabel . Sehingga X
terdiri dari variabel random
.
Kita mungkin saja tetarik untuk mengetahui:
a) Apakah ada komponen X yang lebih menyebar daripada yang lain?
b) Apakah ada beberepa komponen yang membentuk suatu kelompok
baru?
c) Apakah ada nilai-nilai ektsrem dalam sebuah komponen?
d) Bagaimana distribusi datanya?
e) Apakah mungkin dilakukan pengurangan dimensi
sehingga memungkinkan memandang dimensi yang lebih kecil?
Berdasarkan pertanyaan-pertanyaan diatas memunculkan
berbagai teknik analisis multivariat seperti analisis komponen utama,
kluster, diskriminan dan lain-lain.
Distribusi Hipergeometrik
Inferensi Dengan Dua Sampel | STATISTIKA MATEMATIKA II 97
Perbedaan distribusi binomial dengan distribusi
multinomial terletak pada cara pengambilan sampelnya. Penggunaan
distribusi ini hampir sama dengan distribusi binomial. Misalnya
distribusi binomial diterapkan pada sampling dari sejumlah barang
(sekotak kartu, sejumlah hasil produksi) sampling harus dikerjakan
dengan pengembalian setiap barang setelah diamati. Sebaliknya
distribusi hipergeometrik tidak memerlukan kebebasan dan didasarkan
pada sampling tanpa pengembalian.
Distribusi hipergeometrik mempunyai sifat:
1. Sampel acak berukuran n yang diambil tanpa pengembalian
dari N benda.
2. Sebanyak k-benda dapat diberi nama sukses dan sisanya N-
k diberi nama gagal.
Distribusi probabilitas perubah acak hipergeometrik X yang
menyatakan banyaknya kesuksesan dalam sampel acak dengan ukuran
n yang diambil dari N-obyek yang memuat k sukses dan N-k gagal
dinyatakan sebagai:
Contoh (5.8)
Suatu panitia 5 orang dipilih secara acak dari 3 kimiawan
dan 5 fisikawan. Hitung distribusi probabilitas banyknya kimiawan
yang duduk dalam panitia.
Jawab:
0 1 2
k N k
x n x
N
n
h(x;N,n,k) ; x , , ,......,n
  
    
 
 
 
 
Inferensi Dengan Dua Sampel | STATISTIKA MATEMATIKA II 98
Misalkan: X= menyatakan banyaknya kimiawan dalam
panitia.
X={0,1,2,3}
Distribusi probabilitasnya dinyatakan dengan rumus:
Teorema(5.3)
Distribusi hipergeometrik h(x;N,n,k) mempunyai rata-rata
dan variansi sbb: dan
Contoh (5.9)
Tentukan mean dan variansi dari contoh (5.8) kemudikan
gunakan teorema chebyshev untuk menafsirkan selang
Jawab:
Jadi, selang yang ditanamkan adalah dari -0,741 sampai 1,491
Contoh (5.10)
  
 
3 5
5
8
5
8 5 3 0 1 2 3
x x
h(x; , , ) ; x , , ,

 
  
 
3 5
0 5 1
568
5
0 0 8 5 3x h( ; , , )   
  
 
3 5
1 4 15
568
5
1 1 8 5 3x h( ; , , )   
  
 
3 5
2 3 30
568
5
2 2 8 5 3x h( ; , , )   
2
1
1N n k k
N n n
(n)( )( ) 

 
2 
2 1 491 2 0 741, dan ,       
Inferensi Dengan Dua Sampel | STATISTIKA MATEMATIKA II 99
Suatu pabrik ban mempunyai data bahwa dari pengiriman
sebanyak 5000 ban ke sebuah toko tertentu terdapat 1000 cacat. Jika
ada seseorang membeli 10 ban ini secara acak dari toko tersebut,
berapa probabilitasnya memuat tepat 3 yang cacat.
Jawab:
Karena n = 10 cukup kecil dibandingkan N = 5000, maka
probabilitasnya dihampiri dengan binomial dengan p = 10/5000 = 0,2
adalah probailitas mendapat satu ban. Jadi probabilitas mendapat tepat
3 ban cacat:
Jika dihitung dengan software R
> phyper(3,5000,10,1000) # tidak bisa menghitung
[1] 0
Dihitung dengan pendekatan distribusi binomial
> pbinom(3,10,0.2)
[1] 0.8791261
> pbinom(2,10,0.2)
[1] 0.6777995
Distribusi Poisson
Percobaan yang menghasilkan prubah acak X ynag menyatakan
banyaknya hasil selama dalam selang waktu/daerah tertentu disebut
“distribusi poisson”.
3 2
0 0
3 5000 10 1000 3 10 0 2
10 0 2 10 0 2
0 8791 0 6778
0 2013
x x
h( ; , , ) b( ; , . )
b(x; , . ) b(x; , . )
, ,
,
 

 
 

 
Inferensi Dengan Dua Sampel | STATISTIKA MATEMATIKA II 100
Proses poisson memiliki sifat-sifat berikut:
1. Banyaknya kesuksesan yang terjadi dalam suatu daerah
(selang) waktu tertentu independen dengan daerah lainya.
2. Probabilitas sukses dalam daerah/selang yang kecil tidak
tergantung banyaknya sukses yang terjadi diluar selang.
3. Peluang terjadinya lebih dari satu sukses dalam daerah yang
sempit diabaikan.
Jika X perubah acak poisson maka distribusi poisson ini
dinyatakan
dengan , dimana µt adalah rata-rata hasil
Distribusi perubah acak Poisson X yang menyatakan banyaknya
kesuksesan yang terjadi dalam suatu selang waktu/daerah tertentu t,
dinyatakan:
dimana: e=2,71828 dan µt menyatakan rata-rata banyaknya
sukses yang terjadi per satuan waktu.
Misalkan , untuk beberapa nilai tertentu
dari 0,1 sampai 18 diberikan pada tabel Poisson. Atau dengan
bantuan software R
Distribusi Seragam
 
k
kxP
1
;  untuk x = x1, x2, ..., xk
Distribusi Binomial
p(x, t)
0 1 2
t xe ( t)
x!
p(x, t) ; x , , ,.....
 


 
t 
Inferensi Dengan Dua Sampel | STATISTIKA MATEMATIKA II 101
  xnx
qp
p
n
pnxb 






;; dengan x = 0, 1, 2, ..., n
Rata-rata pn
Ragam qpn 2

Distribusi Binomial Negatif
  xnx
qp
x
n
pnxb 









1
1
;; dengan x = n, n+1, n+2, ....
Distribusi Multinomial
  kx
k
xx
k
kk ppp
xxx
n
pppnxxxb 

 21
21
21
2121
,,,
,,,;;,,, 






dimana p1 + p2 + ...+ pk = 1
Distribusi Geometrik
  1
; 
 n
pqpng
Distribusi Hipergeometrik
 





















n
N
xn
kN
x
k
knNxh ;;; dengan x = 0, 1, 2, ..., n
Rata-rata : μ = np
Ragam : 














N
k
N
k
n
N
nN
1
1
2

Distribusi Poisson
 
!
;
x
e
xp
x




Inferensi Dengan Dua Sampel | STATISTIKA MATEMATIKA II 102
1. Uji Binomial
a. Definisi
Distribusi Binomial adalah suatu distribusi probabilitas
yang dapat digunakan bilamana suatu proses sampling dapat
diasumsikan sesuai dengan proses Bernoulli. Misalnya, dalam
perlemparan sekeping uang logam sebanyak 5 kali, hasil setiap
ulangan mungkin muncul sisi gambar atau sisi angka. Begitu
pula, bila kartu diambil berturut-turut, kita dapat memberi label
“berhasil” bila kartu yang terambil adalah kartu merah atau
“gagal” bila yang terambil adalah kartu hitam. Ulangan-
ulangan tersebut bersifat bebas dan peluang keberhasilan setiap
ulangan tetap sama,taitu sebasar ½.
Metode Binomial adalah salah satu metode yang
dapat digunakan untuk menggabungkan aktivitas secara sah
dari penemuan data binomial. Tujuannya adalah untuk
menyediakan keterangan lengkap tentang metode ini dan untuk
memperbaharui dan memperluas aplikasi dan penelitian dalam
masyarakat luas.
Salah satu contoh dari pemanfaatan data binomial yaitu
yang bisa dilihat dalam penelitian klinis dan kesehatan
masyarakat, dimana seringkali diperlukan untuk
menggabungkan temuan-temuan dari berbagai intervensi atau
pengamatan studi yang sangat penting untuk keamanan dan
keampuhan pertanyaan dalam pencarian data. Sebuah studi
Inferensi Dengan Dua Sampel | STATISTIKA MATEMATIKA II 103
tunggal jarang memberikan jawaban pasti karena keterbatasan
ukuran sampel dan atribut spesifik populasi studi tertentu.
Tantangan menggabungkan data dari studi heterogen baik
dijelaskan dalam meta-analisis literatur.
Dalam sebagian besar analisis meta-laporan, hasil yang
terpenting adalah perbandingan perkiraan resiko seperti rasio,
resiko relatif, atau perbedaan resiko Namun, seperti proporsi
peristiwa klinis antara kelompok pasien atau tingkat respon
antara pasien yang menerima rejimen pengobatan tertentu,
keputusan langkah-langkah penting untuk membantu
membimbing klinis dan kesehatan masyarakat.
2. Ciri-ciri Distribusi Binomial
Ciri dari binomial adalah data berupa dua (bi) macam
unsur, yaitu ‘gagal’ atau ‘sukses’ yang diulang sebanyak n kali.
Tentu saja pemakai bebas untuk mendefinisikan apa yang
dimaksud ‘sukses’ atau ‘keberhasilan’ dan apa yang dikategorikan
‘kegagalan’.
Uji binomial akan membandingkan frekuensi yang
diobservasi dari dua kategori pada sebuah variabel dikotomi
terhadap frekuensi harapan di bawah distribusi binomial dengan
parameter probabilitas tertentu. Dalam default, parameter
probabilitas untuk kedua kelompok adalah 0,5, atau dengan
hipotesis dinyatakan :
Inferensi Dengan Dua Sampel | STATISTIKA MATEMATIKA II 104
Ho : frekuensi observasi kategori I = frekuensii observasi
kategori II
H1 : frekuensi observasi kategori I ≠ frekuensii observasi
kategori II
Untuk mengubah probabilitas = 0,5, dapat dilakukan
dengan mengisikan proporsi untuk kelompok pertama, sedangkan
proporsi untuk kelompok kedua adalah 1 dikurangi probabilitas
untuk kelompok pertama. Beberapa faktor yang harus diperhatikan
dalam pemakaian uji binomial adalah data dan asumsi.
Data Variabel yang diuji seharusnya bertipe numerik dan
merupakan variabel dikotomi.Variabel dikotomi adalah variabel
yang hanya terdiri dari ddua macam value, misalnya benar dan
salah, ya dan tidak, 0 dan 1, dan sebagainya. Jika variabel yang
akan diuji tidak dikotomi, maka harus ditentukan cut point. Cut
point tersebut akan membagi case-case ke dalam dua kelompok,
yaitu case-case yang mempunyai value lebih kecil dari atau sama
dengan cut point akan dijadikan kelompok pertama dan sisanya
adalah kelompok kedua.
Rumus distribusi binomial:
b(x;n,p) = nCx px qn-x dimana x = 0,1,2,3,…,n
n : banyaknya ulangan
x : banyaknya keberhasilan dalam peubah acak x
p : peluang berhasil dalam setiap ulangan
q : peluang gagal, dimana q = 1-p dalam setiap ulangan
Inferensi Dengan Dua Sampel | STATISTIKA MATEMATIKA II 105
Catatan : Agar anda mudah dalam membedakan p dengan
q, anda harus dapat menetapkan mana kejadian SUKSES dan
mana kejadian GAGAL. Anda dapat menetapkan bahwa
kejadian yang menjadi pertanyaan atau ditanyakan adalah =
kejadian SUKSES.
Contoh Distribusi Binomial :
Berdasarkan data biro perjalanan PT Mandala Wisata air,
yang khusus menangani perjalanan wisata turis manca negara, 20%
dari turis menyatakan sangat puas berkunjung ke Indonesia, 40%
menyatakan puas, 25% menyatakan biasa saja dan sisanya
menyatakan kurang puas. Apabila kita bertemu dengan 5 orang
dari peserta wisata turis manca negara yang pernah berkunjung ke
Indonesia, berapakah probabilitas :
a) Paling banyak 2 di antaranya menyatakan sangat puas.
b) Paling sedikit 1 di antaranya menyatakan kurang puas
c) Tepat 2 diantaranya menyatakan biasa saja
d) Ada 2 sampai 4 yang menyatakan puas
Jawab :
a) X ≤ 2
Lihat tabel dan lakukan penjumlahan sebagai berikut :
b(x; n, p) = b(0; 5, 0.20) + b(1; 5, 0.20) + b(2; 5, 0.20)
=0.32768 + 0.40960 + 0.20480
= 0.94208 atau
b(x=0) = 5C0 (0.20)0 (0.80)5 = 0.32768
Inferensi Dengan Dua Sampel | STATISTIKA MATEMATIKA II 106
b(x=1) = 5C1 (0.20)0 (0.80)4 = 0.40960
b(x=2) = 5C2 (0.20)0
= 0.20480 +0.32768+0.40960
=0.94208
Maka hasil x ≤ 2 adalah = 0.94208
b) X ≥ 1
Lihat tabel dan lakukan penjumlahan sebagai berikut :
b(1; 5, 0.15)+ b(2; 5, 0.15) + b(3; 5, 0.15) + b(4; 5, 0.15) +
b(5; 5,0.15) = 0.3915 + 0.1382 + 0.0244 + 0.002 + 0.0001
= 0.5562 atau
b(x ≥1; 5, 0.15) = 1 – b(x = 0)1 – 5C0 (0.15)0 (0.85)51 –
0.4437 = 0.5563
c) X = 2
b(2; 5, 0.25) = 0.2637
d) X ≤ 2 X ≤ 4
Lihat tabel dan lakukan penjumlahan sebagai berikut :
b(2; 5, 0.40) + b(3; 5, 0.40) + b(4; 5, 0.40)
= 0.3456 + 0.2304 + 0.0768
= 0.6528
Analisis masing – masing point :
1) Sebanyak paling banyak 2 dari 5 orang dengan jumlah 0.94208
atau 94,28% yang menyatakan sangat puas adalah sangat besar.
Inferensi Dengan Dua Sampel | STATISTIKA MATEMATIKA II 107
2) Paling sedikit 1 dari 5 orang (berarti semuanya) dengan jumlah
0,5563 atau 55,63% yang menyatakan kurang puas dapat
dikatakan cukup besar (karena lebih dari 50%).
3) Tepat 2 dari 5 orang yang menyatakan biasa saja dengan
jumlah 0,2637 atau 26,37% adalah kecil (karena dibawah
50%).
4) Ada 2 sampai 4 yang menyatakan puas dengan jumlah
0,6528% atau 65,28% dapat dikatakan cukup besar.
Analisis keseluruhan :
1) Persentase
Jika diambil persentase terbesar tanpa memperhatikan
jumlah X, maka persentase terbesar ada di point pertama (a) yaitu
94,28% yang menyatakan sangat puas. Hal tersebut menandakan
banyak turis manca negara yang sangat menyukai Indonesia.
2) Nilai X
Jika dilihat dari jumlah X, maka perlu diperhatikan point
kedua (b). Jumlah X adalah paling sedikit 1 dari 5 orang (berarti
X>=1) yaitu 55,63% yang menyatakan kurang puas . Hal tersebut
berarti kelima (semua) turis manca negara kurang puas terhadap
kunjungannya ke Indonesia.
3. Perkiraan Pada Parameter
Dua metode utama, yang pertama melibatkan moment dan
yang lainnya melibatkan kemungkinan yang maksimum, sering
Inferensi Dengan Dua Sampel | STATISTIKA MATEMATIKA II 108
digunakan untuk memperkirakan parameter μ dan θ. Dalam hal
data aktual yang diamati dari berbagai studi, p i = x i / n i, i = 1,2,
... k, di mana indeks i studi yang berbeda, x i adalah jumlah
peristiwa di th i studi dan n i adalah ukuran sampel penelitian.
4. Metode Perkiraan Moment
Dalam hal data aktual diamati dari berbagai studi, biarkan p
i = x i / n i, i = 1,2, ... k, di mana indeks i studi yang berbeda, x i
adalah jumlah peristiwa di th i studi dan n i adalah ukuran sampel
penelitian. n i 's di sini hampir selalu tidak setara dalam studi klinis.
…. (4)
Yang mana (w i) mewakili seperangkat bobot dan w adalah
jumlah dari semua bobot.
maka perkiraan moment dari μ dan γ adalah:
dan
… (5)
di mana
Untuk menurunkan θ, kita dapat dengan mudah melakukan
konversi berikut:
Inferensi Dengan Dua Sampel | STATISTIKA MATEMATIKA II 109
θ = γ /(1 - γ ) θ = γ / (1 - γ)
Menyediakan seperangkat bobot yang tepat adalah
menantang karena (w i) adalah fungsi dari parameter γ yang tidak
diketahui. Kleinman, pertama menawarkan prosedur pembobotan
empiris dan menyarankan untuk menetapkan w i = n i atau b i = 1
untuk mendapatkan perkiraan awal dari perkiraan dan μ γ
menggunakan persamaan (4). Menggunakan perkiraan ini untuk
menghitung γ i (w), yang kemudian dapat menggunakan ini
"empiris" bobot untuk tiba pada sebuah perkiraan baru μ.
Dalam kasus di mana perkiraan γ negatif, mereka harus
ditetapkan ke nol. Chuang-Stein mengusulkan perbaikan pada
prosedur Kleinman dengan menyarankan bahwa iterasi dilakukan
sampai lebih lanjut perbedaan antara dua set berturut-turut μ dan
perkiraan untuk keduanya γ lebih kecil dibandingkan nilai yang
telah ditentukan. Contoh yang diberikan adalah 10 -6.
Notasi lebih sederhana dalam kasus di mana semua n i 's
adalah sama,
maka
Perkiraan moment μ dan γ adalah
dan
Inferensi Dengan Dua Sampel | STATISTIKA MATEMATIKA II 110
Persamaan ini dapat dipecahkan menggunakan metode
Newton-Raphson
Sekali lagi, derivatif parsial kedua fungsi kemungkinan
dapat digunakan untuk membentuk matriks Hessian (H) di solusi
ML
Yang mana, setelah dibalik, dapat digunakan untuk
menurunkan kovarians matriks dan kesalahan standar untuk
parameter:
Dan interval keyakinan untuk dan dapat diperoleh
dengan
… (11)
… (12)
di mana Z 1 - α / 2 adalah 1 - α / 2 persentil dari fungsi
distribusi normal standar.
dan diperkirakan, dapat juga berasal dari dan
dari persamaan μ = α / (α + β), θ = 1 / (α + β). Dapat dengan
mudah ditunjukkan bahwa perkiraan adalah / / dan
perkiraan adalah (1 -- ) / . Jika kita mengganti perkiraan ini
Inferensi Dengan Dua Sampel | STATISTIKA MATEMATIKA II 111
untuk α dan β dalam versi beta-binomial model (3), maka distribusi
kumulatif dapat dihitung.
Seperti yang telah kita ditunjukkan di atas, metode tersebut
dapat digunakan untuk memperkirakan parameter dari distribusi
binomial beta. Pembaca yang tertarik secara lebih rinci harus
berkonsultasi Griffiths dan Kleinman. Para peneliti telah
menerapkan estimasi kemungkinan maksimum (MLE) method
dalam dua populer paket software statistik komersial. Selain itu,
perangkat lunak statistik gratis, seperti R dan WinBUGS, memiliki
metode untuk pemasangan beta-binomial model, tetapi mereka
membutuhkan beberapa program.
Satu dari dua populer komersial paket-paket software
statistik SAS (SAS Institute Inc, Cary, NC, USA). BETABIN
makro yang ditulis oleh Ian Wakeling tersedia secara gratis. Ini
meminjam yang ada prosedur SAS NLMIXED untuk memberikan
pelayanan maksimal perkiraan kemungkinan μ dan θ. Tidak hanya
menyediakan standar beta-binomial model, tetapi juga Brockhoff's
dikoreksi beta-binomial model. Pembaca yang tertarik dapat juga
melakukan percobaan langsung dengan Proc NLMIXED agar
sesuai dengan beta-binomial model yang lain yang telah dilakukan.
Perangkat lunak lain Stata (College Station, Texas).
Guimaraes disediakan perintah komputer yang diperlukan untuk
beta-binomial perkiraan menggunakan perintah Stata kondisional
xtnbreg dengan kemungkinan maksimum. Selain itu, Guimaraes
Inferensi Dengan Dua Sampel | STATISTIKA MATEMATIKA II 112
menekankan pengetahuan umum bahwa distribusi binomial beta
adalah kasus khusus yang lebih umum Dirichlet-multinomial (DM)
distribusi - dengan dua parameter dalam kasus ini.
Dalam Dirichlet umum-distribusi multinomial ada
parameter m, sehingga jauh lebih dari dua (α dan β) dalam beta-
binomial distribusi. Dalam situasi di mana satu ini memang
berkaitan dengan berbagai jenis peristiwa-peristiwa buruk yang
berkaitan dengan pajanan yang sama, memperluas ke Dirichlet-
distribusi multinomial adalah solusi yang logis. Rincian teknis
model multinomial telah diberikan oleh orang lain.
5. Test Of Overdispersion
Menggunakan model binomial ketika variabilitas dalam
data melebihi apa model binomial dapat menampung bisa
mengakibatkan meremehkan standard error dari tingkat kejadian
yang terkumpul dan dengan demikian meningkatkan kemungkinan
error Tipe I. Ennis dan Bi menggambarkan suatu eksperimen
dengan 10.000 set data binomial overdispersed simulasi di mana
mereka menemukan bahwa error Tipe I adalah 0,44 dan bukan
asumsi palsu 0,05. Justru karena model binomial dapat
menyesuaikan data yang overdispersed binomial penerapan beta-
binomial yang diperlukan.
Jadi sebelum seseorang mengadopsi beta-binomial untuk
menganalisa kumpulan data tertentu, seseorang harus terlebih
Inferensi Dengan Dua Sampel | STATISTIKA MATEMATIKA II 113
dahulu memeriksa apakah data overdispersed sejauh beta-binomial
model akan menjadi lebih sehat daripada model binomial
sederhana. Ada beberapa cara untuk memeriksa overdispersion.
Kita tahu bahwa
… (13)
dimana γ = 1 / (1 + α + β). Jika kita dapat memperkirakan
γ, kita dapat menguji apakah γ adalah nol. Jika mendekati nol,
maka tidak ada yang signifikan overdispersion, dan model
binomial akan cukup menggambarkan data. Tes ini, bagaimanapun,
telah ditemukan untuk menjadi kurang peka dalam mendeteksi
keberangkatan dari model binomial karena masalah batas timbul
ketika kami menguji apakah parameter bernilai positif lebih besar
dari 0 (ingat bahwa α dan β adalah parameter positif, dan akibatnya
begitu pula θ dan γ ).
Seperti yang diharapkan, sebuah uji rasio kemungkinan
juga dapat digunakan untuk menguji overdispersion, tetapi masalah
batas yang sama berlaku. Hipotesis nol yang mendasari adalah
bahwa distribusi binomial sementara hipotesis alternatif adalah
bahwa distribusi beta-binomial. Log-kemungkinan untuk model
binomial (ditafsirkan untuk mengumpulkan data dari semua studi
tanpa bobot) adalah
…. (15)
Inferensi Dengan Dua Sampel | STATISTIKA MATEMATIKA II 114
Rasio kemungkinan tes adalah
χ 1
2 = 2 ( L BB - L B ) (16) χ 1
2 = 2 (L BB - L B) …. (16)
di mana L BB adalah log-nilai kemungkinan untuk beta-
binomial model (9) dan L B log-nilai kemungkinan untuk model
binomial (15).
Walaupun solusi untuk masalah batas telah ditawarkan
tidak ada konsensus mengenai solusi optimal. Untuk menghindari
masalah batas, kita dapat menggunakan alternatif - Tarone's Z
statistik untuk menguji overdispersion. Hal ini telah ditunjukkan
untuk menjadi lebih sensitif daripada tes parameter (misalnya tes
untuk γ menjadi nol) dan log-rasio kemungkinan tes :
…. (14)
di mana
Z statistik ini memiliki distribusi normal standar asimtot
bawah hipotesis nol dari distribusi binomial. Singkatnya, kami
sarankan untuk berhati-hati dalam menggunakan rasio
kemungkinan tes. Lebih baik untuk menggabungkan dengan
Tarone's Z statistik. Z statistik juga dapat digunakan sebagai suatu
kebaikan-of-fit test. Telah terbukti lebih unggul kebaikan lain-of-fit
Inferensi Dengan Dua Sampel | STATISTIKA MATEMATIKA II 115
langkah. Kami akan menghitung Tarone's Z dalam contoh aplikasi
kita.
6. The Bayesian Approach
Pada bagian sebelumnya kita menggambarkan beta-model
binomial dalam kerangka frequentist statistik. Menariknya, dalam
bidang statistik Bayesian, beta-binomial model umumnya dijelaskan
dalam buku-buku teks statistik Bayesian sebagai contoh.
Karena metode statistik Bayesian kini semakin digunakan
dalam klinis dan penelitian kesehatan publik, kami dengan ini secara
singkat menggambarkan turunan dari beta-model binomial dalam
kerangka Bayesian. Beberapa telah mencatat bahwa pendekatan
Bayesian dapat memberikan perkiraan yang lebih akurat untuk sampel
kecil.
Ingatlah bahwa distribusi binomial (dalam persamaan 1) adalah
sebagai berikut:
Biarkan konjugat sebelumnya π (p | α, β) menjadi distribusi
beta (misalnya, jika p dalam persamaan 1 berikut distribusi beta)
…. (17)
dimana Γ adalah fungsi gamma. Priors beta dipilih karena
mereka sangat fleksibel pada (0, 1) dan dapat mewakili berbagai
kepercayaan sebelumnya. Ini mirip dengan alasan untuk memilih
Inferensi Dengan Dua Sampel | STATISTIKA MATEMATIKA II 116
distribusi beta dalam kerangka frequentist. Selain itu, dengan dimulai
dengan distribusi beta sebagai konjugat sebelumnya, kami memastikan
bahwa distribusi posterior selalu merupakan distribusi beta, dan
dengan demikian secara matematis mudah dikerjakan untuk
memperkirakan parameter.
Untuk notasi kenyamanan, biarkan μ = α / (α + β), M = α + β
(yaitu M = 1 / θ), sehingga
Singkatnya, kita lagi memiliki model dua-tahap:
X i | p i ~ Bin ( n i , p i ) X i | p i ~ Bin (n i, p i)
p i ~ Beta ( μ , M ), iid p i ~ Beta (μ, M), iid
Dalam terminologi Bayesian, beta distribusi sebelumnya,
ketika diupdate dengan data binomial, memberikan distribusi posterior
beta. The Bayesian Pengukur kemudian dapat dipilih sebagai mean,
median, atau modus marjinal ini posterior. Dalam banyak situasi,
asalkan ukuran sampel cukup besar (n = 50 atau lebih), metode
sebelumnya kita saat estimasi dan kemungkinan maksimum masih
lebih disukai dalam kerangka Bayesian untuk estimasi mean dan
varians.
Ada persamaan matematika rinci lainnya yang terlibat dalam
estimasi Bayesian beta-binomial model untuk kasus-kasus tertentu.
Tertarik pembaca bisa berkonsultasi Lee dan Sabavala dan juga Lee
dan Lio.
Inferensi Dengan Dua Sampel | STATISTIKA MATEMATIKA II 117
Kami akan menggambarkan penerapan metode beta-binomial
menggunakan analisis yang meneliti efek samping lisan agen anti
jamur. Anti jamur oral agen, termasuk terbinafine, itraconazole, dan
flukonazol, telah menjadi terapi pilihan untuk dermatophytosis
onychomycosis dan tidak menanggapi terapi topikal. Dalam rangka
untuk mempelajari profil keamanan agen ini, kami meninjau data dari
acak dan non-randomized controlled cobaan, seri kasus, dan kelompok
studi yang terdaftar dermatophytosis pasien yang dangkal (tinea pedis,
tinea mannus, tinea copora, dan tinea cruris) atau onychomycosis,
berusia 18 atau di atas, menerima terapi antijamur oral untuk dua atau
lebih minggu. Salah satu hasil yang menarik adalah kejadian kumulatif
pasien yang menarik diri dari penelitian karena efek samping reaksi.
Data selama 41 perawatan lengan terbinafine dari 37 studi (Tabel 1 dan
Lampiran) digunakan sebagai contoh.
Table 1. Pengobatan lengan terbinafine disertakan dalam
perkiraan menggenang
Tingkat kejadian dari berbagai studi bervariasi dari 0% sampai
13.89%. Kami menerapkan beta-binomial model dengan metode
kemungkinan maksimum untuk memperkirakan tingkat acara yang
terkumpul menggunakan makro SAS dan SAS BETABIN. Dari semua
studi yang memenuhi syarat, kami menggabungkan data dan
memperoleh perkiraan ringkasan risiko dan 95% confidence interval
(CI).
Inferensi Dengan Dua Sampel | STATISTIKA MATEMATIKA II 118
ML perkiraan untuk parameter μ dan θ adalah = 0.0344 and
= 0,0344 dan = 0.0278. = 0,0278. Perkiraan dari matriks kovarians
dan adalah
Dalam Tabel 2 , kami menyajikan perkiraan yang berbeda dari
sebuah menggenang proporsi (event tingkat) dengan menggunakan
model binomial dan beta-binomial model. Menggunakan model
binomial, kita menghitung probabilitas binomial dan varians seolah-
olah semua data yang berasal dari satu penelitian dengan ukuran
sampel lebih dari 3.000. Perkiraan yang terkumpul 3,70%, 8% lebih
tinggi daripada beta-binomial perkiraan 3,44%. Standard error dari
data runtuh 0,34%, menyesatkan lebih kecil daripada beta-binomial
perkiraan 0,59%.
Tabel 2. Estimasi proporsi dan tes overdispersion
Isu penting secara alami adalah ujian overdispersion karena itu
adalah dasar untuk lebih memilih beta-model binomial dalam situasi
ini. Hasil dari metode yang berbeda untuk mengevaluasi
overdispersion disajikan pada Tabel 2. Sebagaimana dibahas dalam
bagian sebelumnya, θ dan γ adalah indikator overdispersion. Mereka
secara signifikan lebih besar dari nol dalam hal ini (p <0,05),
menunjukkan adanya overdispersion. Kami juga melakukan pengujian
kemungkinan-rasio antara beta-binomial dan binomial, dan sekali lagi
tes menunjukkan bahwa ada overdispersion signifikan (p <0,001).
Inferensi Dengan Dua Sampel | STATISTIKA MATEMATIKA II 119
Akhirnya, kami menghitung Tarone's Z statistik, dan hasilnya
konsisten dengan tes lainnya. Ini menunjukkan bahwa beta-binomial
memiliki kebaikan yang lebih baik-of-sehat daripada binomial (p
<0,001), bahwa beta-binomial model memberikan contoh kami juga
grafis disajikan pada Gambar 2.
Gambar 2. Beta distribusi binomial proporsi berdasarkan
contoh.
Ketika kami telah menunjukkan di atas, di bawah beta-
binomial acara model ringkasan tingkat 3,44% dengan perkiraan
standard error 0,59%. Yang θ diperkirakan 2,78% (Tabel 2 ) yang
memberikan perkiraan α 1,24 dan β perkiraan 34,72.
Setelah parameter-parameter ini diperkirakan, kita dapat
menggunakan beta-binomial diperkirakan model untuk mengkaji
kemungkinan mengamati, misalnya, 105 atau lebih dampak buruk
Inferensi Dengan Dua Sampel | STATISTIKA MATEMATIKA II 120
dalam penelitian baru 1.000 subjek. Menggunakan persamaan 3, yang
kemungkinan adalah 5% di bawah perkiraan kami beta-binomial
model.
D. Interval Kepercayaan untuk Masalah Dua Sampel
1. Interval Kepercayaan pada MCNP
Statistika adalah ilmu yang mempelajari bagaimana
merencanakan, mengumpulkan, menganalisis, menginterpretasi, dan
mempresentasikan data. Singkatnya, statistika adalah ilmu yang
berkenaan dengan data. Istilah 'statistika' (bahasa Inggris: statistics)
berbeda dengan 'statistik' (statistic). Statistika merupakan ilmu yang
berkenaan dengan data, sedang statistik adalah data, informasi, atau
hasil penerapan algoritma statistika pada suatu data. Dari kumpulan
data, statistika dapat digunakan untuk menyimpulkan atau
mendeskripsikan data; ini dinamakan statistika deskriptif. Sebagian
besar konsep dasar statistika mengasumsikan teori probabilitas.
Beberapa istilah statistika antara lain: populasi, sampel, unit
sampel, dan probabilitas. Statistika banyak diterapkan dalam berbagai
disiplin ilmu, baik ilmu-ilmu alam (misalnya astronomi dan biologi
maupun ilmu-ilmu sosial (termasuk sosiologi dan psikologi), maupun
di bidang bisnis, ekonomi, dan industri). Statistika juga digunakan
dalam pemerintahan untuk berbagai macam tujuan; sensus penduduk
merupakan salah satu prosedur yang paling dikenal. Aplikasi statistika
lainnya yang sekarang popular adalah prosedur jajak pendapat atau
Inferensi Dengan Dua Sampel | STATISTIKA MATEMATIKA II 121
polling (misalnya dilakukan sebelum pemilihan umum), serta jajak
cepat (perhitungan cepat hasil pemilu) atau quick count. Di bidang
komputasi, statistika dapat pula diterapkan dalam pengenalan pola
maupun kecerdasan buatan.
Penggunaan istilah statistika berakar dari istilah istilah dalam
bahasa latin modern statisticum collegium ("dewan negara") dan
bahasa Italia statista ("negarawan" atau "politikus"). Gottfried
Achenwall (1749) menggunakan Statistik dalam bahasa Jerman untuk
pertama kalinya sebagai nama bagi kegiatan analisis data kenegaraan,
dengan mengartikannya sebagai "ilmu tentang negara (state)". Pada
awal abad ke-19 telah terjadi pergeseran arti menjadi "ilmu mengenai
pengumpulan dan klasifikasi data". Sir John Sinclair memperkenalkan
nama (Statistics) dan pengertian ini ke dalam bahasa Inggris. Jadi,
statistika secara prinsip mula-mula hanya mengurus data yang dipakai
lembaga-lembaga administratif dan pemerintahan. Pengumpulan data
terus berlanjut, khususnya melalui sensus yang dilakukan secara teratur
untuk memberi informasi kependudukan yang berubah setiap saat.
Pada abad ke-19 dan awal abad ke-20 statistika mulai banyak
menggunakan bidang-bidang dalam matematika, terutama probabilitas.
Cabang statistika yang pada saat ini sangat luas digunakan untuk
mendukung metode ilmiah, statistika inferensi, dikembangkan pada
paruh kedua abad ke-19 dan awal abad ke-20 oleh Ronald Fisher
(peletak dasar statistika inferensi), Karl Pearson (metode regresi
Inferensi Dengan Dua Sampel | STATISTIKA MATEMATIKA II 122
linear), dan William Sealey Gosset (meneliti problem sampel
berukuran kecil).
Penggunaan statistika pada masa sekarang dapat dikatakan
telah menyentuh semua bidang ilmu pengetahuan, mulai dari
astronomi hingga linguistika. Bidang-bidang ekonomi, biologi dan
cabang-cabang terapannya, serta psikologi banyak dipengaruhi oleh
statistika dalam metodologinya. Akibatnya lahirlah ilmu-ilmu
gabungan seperti ekonometrika, biometrika (atau biostatistika), dan
psikometrika. Meskipun ada kubu yang menganggap statistika sebagai
cabang dari matematika, tetapi orang lebih banyak menganggap
statistika sebagai bidang yang banyak terkait dengan matematika
melihat dari sejarah dan aplikasinya.
Di Indonesia, kajian statistika sebagian besar masuk dalam
fakultas matematika dan ilmu pengetahuan alam, baik di dalam
departemen tersendiri maupun tergabung dengan matematika. Dalam
mengaplikasikan statistika terhadap permasalahan sains, industri, atau
sosial, pertama-tama dimulai dari mempelajari populasi. Makna
populasi dalam statistika dapat berarti populasi benda hidup, benda
mati, ataupun benda abstrak. Populasi juga dapat berupa pengukuran
sebuah proses dalam waktu yang berbeda-beda, yakni dikenal dengan
istilah deret waktu. Melakukan pendataan (pengumpulan data) seluruh
populasi dinamakan sensus. Sebuah sensus tentu memerlukan waktu
dan biaya yang tinggi. Untuk itu, dalam statistika seringkali dilakukan
pengambilan sampel (sampling), yakni sebagian kecil dari populasi,
Inferensi Dengan Dua Sampel | STATISTIKA MATEMATIKA II 123
yang dapat mewakili seluruh populasi. Analisis data dari sampel
nantinya digunakan untuk menggeneralisasikan seluruh populasi. Jika
sampel yang diambil cukup representatif, inferensial (pengambilan
keputusan) dan simpulan yang dibuat dari sampel dapat digunakan
untuk menggambarkan populasi secara keseluruhan. Metode statistika
tentang bagaimana cara mengambil sampel yang tepat dinamakan
teknik sampling.
Analisis statistik banyak menggunakan probabilitas sebagai
konsep dasarnya. Sedangkan matematika statistika merupakan cabang
dari matematika terapan yang menggunakan teori probabilitas dan
analisis matematis untuk mendapatkan dasar-dasar teori statistika.
Ada dua macam statistika, yaitu statistika deskriptif dan
statistika inferensial. Statistika deskriptif berkenaan dengan deskripsi
data, misalnya dari menghitung rata-rata dan varians dari data mentah;
mendeksripsikan menggunakan tabel-tabel atau grafik sehingga data
mentah lebih mudah “dibaca” dan lebih bermakna. Sedangkan
statistika inferensial lebih dari itu, misalnya melakukan pengujian
hipotesis, melakukan prediksi observasi masa depan, atau membuat
model regresi.
Statistika deskriptif berkenaan dengan bagaimana data dapat
digambarkan dideskripsikan) atau disimpulkan, baik secara numerik
(misalnya menghitung rata-rata dan deviasi standar) atau secara grafis
(dalam bentuk tabel atau grafik), untuk mendapatkan gambaran sekilas
mengenai data tersebut, sehingga lebih mudah dibaca dan bermakna.
Inferensi Dengan Dua Sampel | STATISTIKA MATEMATIKA II 124
Statistika inferensial berkenaan dengan permodelan data dan
melakukan pengambilan keputusan berdasarkan analisis data, misalnya
melakukan pengujian hipotesis, melakukan estimasi pengamatan masa
mendatang (estimasi atau prediksi), membuat permodelan hubungan
(korelasi, regresi, ANOVA, deret waktu), dan sebagainya.
MCNP Secara umum adalah code Monte Carlo untuk
transport netron dan radiasi untuk aplikasi kritikalitas nuklir.
Estimasi keff menggunakan estimasi standar deviasi untuk
membangun interval konfidensi keff. Bilamana dari n sample
estimasi x dari variabel acak dengan simpangan baku s dengan
interval konfidensi berada dalam jangkauan x •} s , menurut teori
central limit distribusi dari estimasi mean mendekati distribusi
normal dengan n mendekati ∞. Untuk jumlah sampel tidak terbatas,
distribusi didekati oleh distribusi student t, simetrik sekitar nol dan
mendekati distribusi normal dengan n →∞. Ini digunakan untuk
mendeskripsikan variable random t, dimana
𝑡 =
𝑥̅ − 𝜇
𝑆( 𝑋̅)
𝑡 =
𝑥̅ − 𝜇
𝑆( 𝑋̅)/√ 𝑁
Distribusi student t mempunyai distribusi yang berbeda
untuk masing-masing n, ditulis sebagai t n-1, dimana n-1 adalah
jumlah derajat kebebasan, yaitu jumlah pengukuran independent
yang mungkin. Titik dari absis pada graf dari distribusi student t
Inferensi Dengan Dua Sampel | STATISTIKA MATEMATIKA II 125
adalah “ persentil dari distribusi” dan ditulis sebagai tn-1, 1-α/2 ,
dimana indek bawah kedua adalah tingkat kepercayaan.
2. Interval Kepercayaan Untuk Masalah Dua Sampel
Teorema 2, 3, dan 4 memberikan distribusi sampling
untuk𝑋̅ − 𝑌̅, 𝑆 𝑌
2
𝑆 𝑋
2
, 𝑑𝑎𝑛 𝑋 𝑛⁄ − 𝑌 𝑚⁄⁄ apabila H0 benar. Apabila
H0 tidak harus benar, statistic penguji ini berbentuk seperti
dibawah ini.
1)
𝑋̅−𝑌̅−( 𝜇 𝑥−𝜇 𝑦)
𝑆 𝑝√
1
𝑛
−
1
𝑚
~ 𝑡 𝑛+𝑚−2
2)
𝑆 𝑦
2
𝜎 𝑦
2⁄
𝑆 𝑥
2
𝜎 𝑦
2⁄
~ 𝐹𝑚−1 ; 𝑛−1
3)
𝑥
𝑛
−
𝑦
𝑚
−( 𝑝 𝑋− 𝑝 𝑌)
√
𝑥
𝑛
(1−
𝑥
𝑛
)
𝑛
+
𝑦
𝑚
(1−
𝑦
𝑚
)
𝑚
~ 𝑁(0 ;1), pendekatan
Dengan menggunakan rumus-rumus ini dapat kita turunkan
interval kepercayaan (1 − 𝛼) 100% untuk (𝜇 𝑥 −
𝜇 𝑦), 𝜎𝑥
2
𝜎𝑦
2
, 𝑑𝑎𝑛 (𝑃𝑥 − 𝑃𝑦)⁄ . Dirumuskan dalam beberapa teorema
dibawah ini.
Teorema 5
Misalkan X1, X2, . . . . , Xn sampel random dari
N( 𝜇 𝑥; 𝜎𝑥
2) dan 𝑌1, 𝑌2, …. , 𝑌 𝑚 sampel random dari 𝑁(𝜇 𝑦; 𝜎𝑦
2
), serta
semua X dan Y independen. Misalkan Sp adalah variansi standar
pooled, maka interval kepercayaan (1 − 𝛼) 100% untuk (𝜇 𝑥 − 𝜇 𝑦)
adalah
Inferensi Dengan Dua Sampel | STATISTIKA MATEMATIKA II 126
[( 𝑥̅ − 𝑦̅) − 𝑡 𝑛+𝑚−2;𝛼 2⁄ . 𝑆 𝑝√
1
𝑛
+
1
𝑚
( 𝑥̅ − 𝑦̅)
+ 𝑡 𝑛+𝑚−2;𝛼 2⁄ . 𝑆 𝑝√
1
𝑛
+
1
𝑚
]
Contoh 8
Pandang kembali data contoh 6. Berdasarkan data itu kita
ingin menaksir selisih mean kedua populasi, yakni (𝜇 𝑥 − 𝜇 𝑦),
dengan interval kepercayaan 95%. Untuk ini kita gunakan rumus
dalam Teorema 5
Dari data dapat kita hitung :
𝑥̅ =
105,8
10
= 10,58 ; 𝑦̅ =
97,8
10
= 9,78 ; 𝐽𝑎𝑑𝑖 ( 𝑥̅ − 𝑦̅) = 0,8
𝑆 𝑥
2
= 0,21 ; 𝑆 𝑦
2
= 0,36 ; 𝑚𝑎𝑘𝑎 𝑆 𝑝
2
=
9(0,21) + 9(0,36)
18
= 0,285
Dari tabel distribusi t kita peroleh 𝑡18;0,025 = 2,10.
Sehingga interval kepercayaan 95% untuk (𝜇 𝑥 − 𝜇 𝑦) adalah
[0,8 − (2,10)(0,285)√
1
10
+
1
10
; 0,8 + (2,10)(0,285)√
1
10
+
1
10
]
= (0,53;1,07)
Teorema 6
Misalkan X1, X2, . . . . , Xn sampel random dari
N( 𝜇 𝑥; 𝜎𝑥
2) dan 𝑌1, 𝑌2, …. , 𝑌 𝑚 sampel random dari 𝑁(𝜇 𝑦; 𝜎𝑦
2
), serta
semua X dan Y independen. Maka interval kepercayaan (1 − 𝛼)
100% untuk 𝜎𝑥
2
𝜎𝑦
2
,⁄ adalah
Inferensi Dengan Dua Sampel | STATISTIKA MATEMATIKA II 127
[
𝑆 𝑋
2
𝑆 𝑌
2
𝐹 𝑚−1,𝑛−1;𝛼 2⁄ ;
𝑆 𝑥
2
𝑆 𝑦
2
𝐹 𝑚−1,𝑛−1;𝛼 2⁄ ]
Contoh 9
Pandang kembali data Contoh 6. Berdasarkan data ini akan
dihitung interval keperayaan 95% untuk 𝜎𝑥
2
𝜎𝑦
2
,⁄ dengan rumus
dalam Teorema 6.
Dalam contoh 6 telah kita peroleh
𝑆 𝑋
2
= 0,21 ; 𝑆 𝑌
2
= 0,36 ; 𝐹9,9;0,025 = 0,248 ; 𝐹9,9;0,975 = 4,03;
Jadi interval kepercayaan 95% untuk 𝜎𝑥
2
𝜎𝑦
2
,⁄ adalah
[
0,21
0,36
(0,248);
0,21
0,36
(4,03)] = (0,145 ;2,351).
Teorema 7
Misalkan x dan y menunjukkan banyak sukses, masing-
masing dalam n dan m Bernoulli Trials yang berbeda. Misalkan
𝑃 𝑋 𝑑𝑎𝑛 𝑃 𝑌 menunjukkan probabilitas sukses dalam kedua
Bernoulli Trials itu. Maka interval kepercayaan (1 − 𝛼) 100%
untuk ( 𝑃 𝑋 − 𝑃 𝑌) adalah
[
𝑥
𝑛
−
𝑦
𝑚
− 𝑍 𝛼 2⁄
√
𝑥
𝑛
(1 −
𝑥
𝑛
)
𝑛
+
𝑦
𝑚
(1 −
𝑦
𝑚
)
𝑚
;
𝑥
𝑛
−
𝑦
𝑚
+ 𝑍 𝛼 2⁄
√
𝑥
𝑛
(1 −
𝑥
𝑛
)
𝑛
+
𝑦
𝑚
(1 −
𝑦
𝑚
)
𝑚
]
Contoh 10
Inferensi Dengan Dua Sampel | STATISTIKA MATEMATIKA II 128
Pandang kembali data Contoh 7. Berdasarkan data itu akan
kita hitung interval kepercayaan 90% untuk ( 𝑃 𝑋 − 𝑃 𝑌) dengan
rumus dalam Teorema 7.
Dari contoh 7 telah kita peroleh
𝑥
𝑛
=
23
100
= 0,23 ;
𝑦
𝑚
=
52
200
= 0,26
Dari table distribusi normal standar kita peroleh
𝑍0,05 = 1,64
Selanjutnya
√
𝑥
𝑛
(1 −
𝑥
𝑛
)
𝑛
+
𝑦
𝑚
(1 −
𝑦
𝑚
)
𝑚
= √
(0,23)(0,77)
100
+
(0,26)(0,74)
200
= (−0,0715 ; 0,0115)
E. Penjabaran Uji t Dua Sampel
Ruang parameter 𝜔 𝑑𝑎𝑛 𝛺 adalah
𝜔 = {(𝜇 𝑥, 𝜇 𝑦, 𝜎2
) ∶ −∞ < 𝜇 𝑥 = 𝜇 𝑦 < ∞,0 < 𝜎2
< ∞}
Dan
𝛺 = {(𝜇 𝑥, 𝜇 𝑦, 𝜎2
) ∶ −∞ < 𝜇 𝑥 < ∞, −∞ = 𝜇 𝑦 < ∞, 0 < 𝜎2
< ∞}
Karena semua X dan Y independen (dan normal), maka
𝐿( 𝜔) = ∏ 𝑓( 𝑥 𝑖)𝑛
𝑖−1 ∏ 𝑓(𝑦𝑗)𝑛
𝑗=1
= (
1
√2𝜋𝜎2
)
𝑛+𝑚
𝑒𝑥𝑝 [−
1
2𝜎2
{∑( 𝑥 𝑖 − 𝜇)2
+ ∑(𝑦𝑗 − 𝜇)
2
𝑛
𝑗=1
𝑛
𝑖=1
}]
Dengan 𝜇 𝑥 = 𝜇 𝑦 = 𝜇. Jika kita ambil log 𝐿(𝜔) dan kita
selesaikan sistem persamaan 𝜕 log 𝐿(𝜔) 𝜕𝜇 = 0⁄ dan
𝜕 log 𝐿(𝜔) 𝜕𝜎2
= 0⁄
Inferensi Dengan Dua Sampel | STATISTIKA MATEMATIKA II 129
Kita peroleh PML :
𝜇̂ =
∑ 𝑥 𝑖+∑ 𝑦𝑗
𝑚
𝑗=1
𝑛
𝑖=1
𝑛+𝑚
𝜎2̂ =
∑ ( 𝑥 𝑖−𝜇̂ )2
+∑ ( 𝑦𝑗 −𝜇)
2𝑚
𝑗=1
𝑛
𝑖=1
𝑛+𝑚
PML ini kita substitusikan ke 𝐿(𝜔), kita peroleh
𝐿( 𝜔̂) = (
𝑒−1
2𝜋𝜎2̂ )
𝑛+𝑚 2⁄
Fungsi likelihood ruang parameter Ω adalah
𝐿( 𝛺) = (
1
√2𝜇𝜎2
)
𝑛+𝑚
𝑒𝑥𝑝[−
1
2𝜎2
{∑( 𝑥 𝑖 − 𝜇 𝑥)2
𝑛
𝑖=1
+ ∑(𝑦𝑗 − 𝜇 𝑦)
2
𝑛
𝑗=1
}]
Menyelesaikan
𝜕 log 𝐿(𝛺)
𝜕𝜋 𝑥
= 0 ;
𝜕 log 𝐿(𝛺)
𝜕𝜋 𝑦
= 0 ;
𝜕 log 𝐿(𝛺)
𝜕𝜎2
= 0
Memperoleh PML :
𝜇 𝑥̂ = 𝑥̅ ; 𝜇 𝑦̂ = 𝑦̅ ; 𝑑𝑎𝑛
𝜎 𝛺
2̂ =
∑ ( 𝑥 𝑖 − 𝑥̅)2
+ ∑ (𝑦𝑗 − 𝑦̅)
2𝑚
𝑗=1
𝑛
𝑖=1
𝑛 + 𝑚
Substitusikan ke dalam 𝐿 ( 𝛺) kita peroleh :
𝐿 (𝛺̂) = (
𝑒−1
2𝜋𝜎 𝛺
2
)
𝑛+𝑚 2⁄
Sehingga
λ =
𝐿( 𝜔̂ )
𝐿 ( 𝛺̂)
= (
𝜎 𝛺
2
𝜎̂ 2 )
𝑛+𝑚 2⁄
Atau
Inferensi Dengan Dua Sampel | STATISTIKA MATEMATIKA II 130
𝜆2 ( 𝑛+𝑚)⁄
=
∑ ( 𝑥 𝑖 − 𝑥̅)2
+ ∑ (𝑦𝑗 − 𝑦̅)
2𝑚
𝑗=1
𝑛
𝑖=1
∑ [𝑥 𝑖 − (
𝑛𝑥̅ + 𝑚𝑦̅
𝑛 + 𝑚
)]
2
+ ∑ [𝑦𝑗 − (
𝑛𝑥̅ + 𝑚𝑦̅
𝑛 + 𝑚
)]
2
𝑚
𝑗=1
𝑛
𝑖=1
Karena
∑ [𝑥 𝑖 − (
𝑛𝑥̅ + 𝑚𝑦̅
𝑛 + 𝑚
)]
𝑛
𝑖=1
2
= ∑( 𝑥 𝑖 − 𝑥̅)
𝑛
𝑖=1
2
+
𝑚2
𝑛
𝑛 + 𝑚2
( 𝑥̅ − 𝑦̅)
∑[𝑦𝑗 − (
𝑛𝑥̅ + 𝑚𝑦̅
𝑛 + 𝑚
)]
𝑛
𝑗=1
2
= ∑(𝑦𝑗 − 𝑦̅)
𝑚
𝑗=1
2
+
𝑚2
𝑛
𝑛 + 𝑚2
( 𝑥̅ − 𝑦̅)
maka
𝜆2 ( 𝑛+𝑚)⁄
=
∑ ( 𝑥 𝑖 − 𝑥̅)2
+ ∑ (𝑦𝑗 − 𝑦̅)
2𝑚
𝑗=1
𝑛
𝑖=1
∑ ( 𝑥 𝑖 − 𝑥̅)𝑛
𝑖=1
2
+ ∑ (𝑦𝑗 − 𝑦̅)𝑚
𝑗=1
2
+
𝑛𝑚
𝑛 + 𝑚
( 𝑥̅ − 𝑦̅)2
𝜆2 ( 𝑛+𝑚)⁄
=
1
1 +
( 𝑥 − 𝑦)2
[∑ ( 𝑥 𝑖 − 𝑥̅)𝑛
𝑖=1
2
+ ∑ (𝑦𝑗 − 𝑦̅)𝑚
𝑗=1
2
] (
1
𝑛
+
1
𝑚
)
𝜆2 ( 𝑛+𝑚)⁄
=
𝑛 + 𝑚 − 2
𝑛 + 𝑚 − 2 +
( 𝑥̅ − 𝑦̅)2
𝑆 𝑝
2 (
1
𝑛 +
1
𝑚)
Dimana 𝑆 𝑝
2
adalah variansi pooled :
𝑆 𝑝
2
=
1
𝑛 + 𝑚 − 2
[∑( 𝑥 𝑖 − 𝑥̅)
𝑛
𝑖=1
2
+ ∑(𝑦𝑗 − 𝑦̅)
𝑚
𝑗=1
2
]
Maka 𝜆2 ( 𝑛+𝑚)⁄
dapat ditulis
𝜆2 ( 𝑛+𝑚)⁄
=
𝑛 + 𝑚 − 2
𝑛 + 𝑚 − 2 + 𝑡2
Uji GLR yang menolak H0 : 𝜇 𝑥 = 𝜇 𝑦 𝑎𝑝𝑎𝑏𝑖𝑙𝑎 0 < 𝜆 ≤ 𝜆∗
adalah ekivalen dengan menolak H0 apabila 0 < 𝜆2 ( 𝑛+𝑚)⁄
< 𝜆∗∗
. Tapi
kedua criteria itu ekivalen dengan menolak H0 apabila terlalu besar.
Inferensi Dengan Dua Sampel | STATISTIKA MATEMATIKA II 131
Jadi, aturan keputusan dalam bentuk t2
adalah tolak H0 : 𝜇 𝑥 = 𝜇 𝑦 (dan
menerima Hi : 𝜇 𝑥 ≠ 𝜇 𝑦 ) apabila t∗2
. Atau menolak H0 apabila
𝑡 ≥ 𝑡∗
𝑎𝑡𝑎𝑢 𝑡 ≤ −𝑡∗
Dengan 𝑃(−𝑡∗
< 𝑡 < 𝑡∗| 𝐻0 𝑏𝑒𝑛𝑎𝑟) = 1 − 𝛼
Karena 𝑡 ~ 𝑡 𝑛+𝑚−2, 𝑚𝑎𝑘𝑎 𝑡∗
= 𝑡 𝑛+𝑚−2 ; 𝛼 2⁄
Sebelum membahas Uji t Dua Sampel, akan dibahas dahulu
mengenai:
1. Student’s t Test
Student t test (uji t) pertama kali ditemukan oleh W.S.
Gosset pada tahun 1908 dengan nama samara student. Penggunaan
uji t adalah untuk membuktikan signifikan atau tidaknya dua nilai
rata-rata.
Syarat-syarat penggunaan uji t :
a) Uji t dipergunakan bila simpangan baku populasinya
tidak ketahui. Bila ukuran sampel 1 dan 2 tidak sama,
selisih keduanya < 50%
b) Data mempunyai skala pengukuran ratio atau interval
c) Data berdistribsi normal
Uji-t (t-test) merupakan statistik uji yang sering kali
ditemui dalam masalah-masalah praktis statistika. Uji-t termasuk
dalam golongan statistika parametrik. Statistik uji ini digunakan
dalam pengujian hipotesis. Uji-t digunakan ketika informasi
mengenai nilai variance (ragam) populasi tidak diketahui.
Inferensi Dengan Dua Sampel | STATISTIKA MATEMATIKA II 132
Uji-t dapat dibagi menjadi 2, yaitu uji-t yang digunakan
untuk pengujian hipotesis 1-sampel dan uji-t yang digunakan untuk
pengujian hipotesis 2-sampel. Bila dihubungkan dengan kebebasan
(independency) sampel yang digunakan (khusus bagi uji-t dengan
2-sampel), maka uji-t dibagi lagi menjadi 2, yaitu uji-t untuk
sampel bebas (independent) dan uji-t untuk sampel berpasangan
(paired).
Statistika adalah ilmu yang mempelajari bagaimana
merencanakan, mengumpulkan, menganalisis, menginterpretasi, dan
mempresentasikan data. Singkatnya, statistika adalah ilmu yang
berkenaan dengan data. Istilah 'statistika' (bahasa Inggris: statistics)
berbeda dengan 'statistik' (statistic). Statistika merupakan ilmu yang
berkenaan dengan data, sedang statistik adalah data, informasi, atau
hasil penerapan algoritma statistika pada suatu data. Dari kumpulan
data, statistika dapat digunakan untuk menyimpulkan atau
mendeskripsikan data; ini dinamakan statistika deskriptif. Sebagian
besar konsep dasar statistika mengasumsikan teori probabilitas.
Beberapa istilah statistika antara lain: populasi, sampel, unit
sampel, dan probabilitas. Statistika banyak diterapkan dalam berbagai
disiplin ilmu, baik ilmu-ilmu alam (misalnya astronomi dan biologi
maupun ilmu-ilmu sosial (termasuk sosiologi dan psikologi), maupun
di bidang bisnis, ekonomi, dan industri). Statistika juga digunakan
dalam pemerintahan untuk berbagai macam tujuan; sensus penduduk
merupakan salah satu prosedur yang paling dikenal. Aplikasi statistika
Inferensi Dengan Dua Sampel | STATISTIKA MATEMATIKA II 133
lainnya yang sekarang popular adalah prosedur jajak pendapat atau
polling (misalnya dilakukan sebelum pemilihan umum), serta jajak
cepat (perhitungan cepat hasil pemilu) atau quick count. Di bidang
komputasi, statistika dapat pula diterapkan dalam pengenalan pola
maupun kecerdasan buatan.
Penggunaan istilah statistika berakar dari istilah istilah dalam
bahasa latin modern statisticum collegium ("dewan negara") dan
bahasa Italia statista ("negarawan" atau "politikus"). Gottfried
Achenwall (1749) menggunakan Statistik dalam bahasa Jerman untuk
pertama kalinya sebagai nama bagi kegiatan analisis data kenegaraan,
dengan mengartikannya sebagai "ilmu tentang negara (state)". Pada
awal abad ke-19 telah terjadi pergeseran arti menjadi "ilmu mengenai
pengumpulan dan klasifikasi data". Sir John Sinclair memperkenalkan
nama (Statistics) dan pengertian ini ke dalam bahasa Inggris. Jadi,
statistika secara prinsip mula-mula hanya mengurus data yang dipakai
lembaga-lembaga administratif dan pemerintahan. Pengumpulan data
terus berlanjut, khususnya melalui sensus yang dilakukan secara teratur
untuk memberi informasi kependudukan yang berubah setiap saat.
Pada abad ke-19 dan awal abad ke-20 statistika mulai banyak
menggunakan bidang-bidang dalam matematika, terutama probabilitas.
Cabang statistika yang pada saat ini sangat luas digunakan untuk
mendukung metode ilmiah, statistika inferensi, dikembangkan pada
paruh kedua abad ke-19 dan awal abad ke-20 oleh Ronald Fisher
(peletak dasar statistika inferensi), Karl Pearson (metode regresi
Inferensi Dengan Dua Sampel | STATISTIKA MATEMATIKA II 134
linear), dan William Sealey Gosset (meneliti problem sampel
berukuran kecil).
Penggunaan statistika pada masa sekarang dapat dikatakan
telah menyentuh semua bidang ilmu pengetahuan, mulai dari
astronomi hingga linguistika. Bidang-bidang ekonomi, biologi dan
cabang-cabang terapannya, serta psikologi banyak dipengaruhi oleh
statistika dalam metodologinya. Akibatnya lahirlah ilmu-ilmu
gabungan seperti ekonometrika, biometrika (atau biostatistika), dan
psikometrika. Meskipun ada kubu yang menganggap statistika sebagai
cabang dari matematika, tetapi orang lebih banyak menganggap
statistika sebagai bidang yang banyak terkait dengan matematika
melihat dari sejarah dan aplikasinya.
Di Indonesia, kajian statistika sebagian besar masuk dalam
fakultas matematika dan ilmu pengetahuan alam, baik di dalam
departemen tersendiri maupun tergabung dengan matematika. Dalam
mengaplikasikan statistika terhadap permasalahan sains, industri, atau
sosial, pertama-tama dimulai dari mempelajari populasi. Makna
populasi dalam statistika dapat berarti populasi benda hidup, benda
mati, ataupun benda abstrak. Populasi juga dapat berupa pengukuran
sebuah proses dalam waktu yang berbeda-beda, yakni dikenal dengan
istilah deret waktu. Melakukan pendataan (pengumpulan data) seluruh
populasi dinamakan sensus. Sebuah sensus tentu memerlukan waktu
dan biaya yang tinggi. Untuk itu, dalam statistika seringkali dilakukan
pengambilan sampel (sampling), yakni sebagian kecil dari populasi,
Inferensi Dengan Dua Sampel | STATISTIKA MATEMATIKA II 135
yang dapat mewakili seluruh populasi. Analisis data dari sampel
nantinya digunakan untuk menggeneralisasikan seluruh populasi. Jika
sampel yang diambil cukup representatif, inferensial (pengambilan
keputusan) dan simpulan yang dibuat dari sampel dapat digunakan
untuk menggambarkan populasi secara keseluruhan. Metode statistika
tentang bagaimana cara mengambil sampel yang tepat dinamakan
teknik sampling.
Analisis statistik banyak menggunakan probabilitas sebagai
konsep dasarnya. Sedangkan matematika statistika merupakan cabang
dari matematika terapan yang menggunakan teori probabilitas dan
analisis matematis untuk mendapatkan dasar-dasar teori statistika.
Ada dua macam statistika, yaitu statistika deskriptif dan
statistika inferensial. Statistika deskriptif berkenaan dengan deskripsi
data, misalnya dari menghitung rata-rata dan varians dari data mentah;
mendeksripsikan menggunakan tabel-tabel atau grafik sehingga data
mentah lebih mudah “dibaca” dan lebih bermakna. Sedangkan
statistika inferensial lebih dari itu, misalnya melakukan pengujian
hipotesis, melakukan prediksi observasi masa depan, atau membuat
model regresi.
Statistika deskriptif berkenaan dengan bagaimana data dapat
digambarkan dideskripsikan) atau disimpulkan, baik secara numerik
(misalnya menghitung rata-rata dan deviasi standar) atau secara grafis
(dalam bentuk tabel atau grafik), untuk mendapatkan gambaran sekilas
mengenai data tersebut, sehingga lebih mudah dibaca dan bermakna.
Inferensi Dengan Dua Sampel | STATISTIKA MATEMATIKA II 136
Statistika inferensial berkenaan dengan permodelan data dan
melakukan pengambilan keputusan berdasarkan analisis data, misalnya
melakukan pengujian hipotesis, melakukan estimasi pengamatan masa
mendatang (estimasi atau prediksi), membuat permodelan hubungan
(korelasi, regresi, ANOVA, deret waktu), dan sebagainya.
2. Uji t Satu Sampel
Uji t satu yang bertujuan untuk membandingkan nilai rat-
rata sampel dengan nilai rata-rata populasi sebagai standarnya.
Teorema
Misalkan 𝑋1, 𝑋2, …. , 𝑋 𝑛 sampel random dari 𝑁( 𝜇 ; 𝜎2).
Uji GLR untuk
𝐻0 ∶ 𝜇 = 𝜇0 𝑣𝑒𝑟𝑠𝑢𝑠 𝐻1 ∶ 𝜇 ≠ 𝜇0
Dengan tingkat signifikansi 𝛼, kita menolak H0 apabila
𝑥̅ − 𝜇0
𝑠
√ 𝑛⁄
≤ −𝑡( 𝑛−1) ;
𝛼
2
𝑎𝑡𝑎𝑢
≥ 𝑡( 𝑛−1) ;
𝛼
2
Bukti
Karena 𝜎2
(dianggap) tidak diketahui, maka ruang
parameternya 𝐻0( 𝜔) 𝑑𝑎𝑛 𝐻0 ∪ 𝐻1 (𝛺) adalah
𝜔 = {( 𝜇 ; 𝜎2) ∶ 𝜇 = 𝜇0, 0 ≤ 𝜎2
< ∞}
Dan
Inferensi Dengan Dua Sampel | STATISTIKA MATEMATIKA II 137
𝛺 = {( 𝜇 ; 𝜎2) ∶ −∞ < 𝜇 < ∞ ; 0 ≤ 𝜎2
< ∞}
Dibawah 𝜔, PML adalah 𝜇̂ = 𝜇0 𝑑𝑎𝑛 𝜎̂2
=
1
𝑛
∑ ( 𝑥 𝑖 −𝑛
𝑖
𝜇0)2
Dibawah Ω, PML adalah 𝜇̂ = 𝑥̅ 𝑑𝑎𝑛 𝜎̂2
=
1
𝑛
∑ ( 𝑥 𝑖 − 𝜇0)2𝑛
𝑖
Maka
𝐿( 𝜔̅) = [
√ 𝑛
√2𝜋√∑ ( 𝑥 𝑖 − 𝜇0)2𝑛
1
]
𝑛
𝑒
−
𝑛
2
𝐿( 𝜔̅) = [
𝑛 𝑒−1
2𝜋 ∑ ( 𝑥 𝑖 − 𝜇0)2𝑛
1
]
𝑛
2
Dan
𝐿( 𝛺̅) = [
𝑛𝑒−1
2𝜋 ∑ ( 𝑥 𝑖 − 𝜇0)2𝑛
1
]
𝑛
2
Sehingga, likelihood ratio-nya adalah
𝜆 =
𝐿( 𝜔̅)
𝐿( 𝛺̅)
= [
∑ ( 𝑥 𝑖 − 𝑥̅)2𝑛
1
∑ ( 𝑥 𝑖 − 𝜇0)2𝑛
1
]
𝑛
2
, 0 < 𝜆 < 1
𝜆 =
𝐿( 𝜔̅)
𝐿( 𝛺̅)
= [
∑( 𝑥 𝑖 − 𝜇0)2
∑( 𝑥 𝑖 − 𝑥̅)2
]
−
𝑛
2
Kita tulis
∑( 𝑥 𝑖 − 𝜇0)2
=
𝑛
1
∑[( 𝑥 𝑖 − 𝑥̅) + (𝑥̅ − 𝜇0)]2
𝑛
1
Inferensi Dengan Dua Sampel | STATISTIKA MATEMATIKA II 138
∑( 𝑥 𝑖 − 𝜇0)2
=
𝑛
1
∑[( 𝑥 𝑖 − 𝑥̅) + 𝑛(𝑥̅ − 𝜇0)]2
𝑛
1
Dengan demikian,
𝜆 = [1 +
𝑛(𝑥̅ − 𝜇0)2
∑ ( 𝑥 𝑖 − 𝑥̅)2𝑛
1
]
−
𝑛
2
𝜆 = [1 +
𝑡2
𝑛 − 1
]
−
𝑛
2
Dengan
𝑡 =
𝑥̅ − 𝜇0
𝑠 √ 𝑛⁄
~𝑡 𝑛−1
Perhatikan bahwa jika t2 naik, maka λ turun. Ini berarti
bahwa uji GLR yang harus menolak H0 jika λ terlalu kecil
(misalkan < 𝜆∗
) adalah ekuivalen dengan menolak H0 apabila t2
terlalu besar. Tetapi, karena 𝑡 ~ 𝑡 𝑛−1, terlalu besar berarti t2 teralu
besar berarti 𝑡2
≥ (𝑡( 𝑛−1);
𝛼
2
)
2
0 < 𝜆 ≤ 𝜆∗
↔ 𝑡2
≥ (𝑡( 𝑛−1);
𝛼
2
)
2
Dan
𝑡2
≥ (𝑡( 𝑛−1);
𝛼
2
)
2
↔ 𝑡 < 𝑡( 𝑛−1);
𝛼
2
𝑎𝑡𝑎𝑢 𝑡 > 𝑡( 𝑛−1);
𝛼
2
Inferensi Dengan Dua Sampel | STATISTIKA MATEMATIKA II 139
Maka teorema terbukti.
Contoh
Berdasarkan data sampel :
0,693 0,662 0,690 0,606
0,570 0,749
0,672 0,628 0,609 0,844
0,654 0,615
0,668 0,601 0,576 0,670
0,606 0,611
0,553 0,933
Kita ingin menjadi 𝐻0 ∶ 𝜇 = 0,618 𝑣𝑒𝑟𝑠𝑢𝑠 𝐻1 ∶ 𝜇 ≠
0,618 dengan anggapan populasinya normal. Maka uji dengan
tingkat signifikansi 5% akan menolak H0 jika
𝑥̅ − 0,618
𝑠 √20⁄
≤ −2,09 (= −𝑡10 ;0,025 )
≥ 2,09 (= 𝑡10 ;0,025)
Dari data di atas kita hitung :
Inferensi Dengan Dua Sampel | STATISTIKA MATEMATIKA II 140
∑ 𝑥 𝑖 = 13,210 ;
20
𝑖=1
∑ 𝑥 𝑖 = 8,8878 ;
20
𝑖=1
=
13,210
20
= 0,661 , 𝑑𝑎𝑛 𝑠 = √
20(8,8878)− (13,210)2
20(19)
= 0,093
𝑡 =
0,661−0,618
0,093
√20
⁄
= 2,05 sehingga kita terima H0
Catatan
Uji GLR untuk hipotesis satu sisi
3. Uji t Dua Sampel
Uji-t 2 sampel independen (bebas) adalah metode yang
digunakan untuk menguji kesamaan rata-rata dari 2 populasi yang
bersifat independen, dimana peneliti tidak memiliki informasi
mengenai ragam populasi. Independen maksudnya adalah bahwa
populasi yang satu tidak dipengaruhi atau tidak berhubungan
dengan populasi yang lain. Barangkali, kondisi dimana peneliti
tidak memiliki informasi mengenai ragam populasi adalah kondisi
yang paling sering dijumpai di kehidupan nyata. Oleh karena itu
secara umum, uji-t (baik 1-sampel, 2-sampel, independen maupun
paired) adalah metode yang paling sering digunakan.
Dalam lingkup uji-t untuk pengujian hipotesis 2-sampel
bebas, maka ada 1 hal yang perlu mendapat perhatian, yaitu apakah
ragam populasi (ingat: ragam populasi, bukan ragam sampel)
diasumsikan homogen (sama) atau tidak. Bila ragam populasi
Inferensi Dengan Dua Sampel | STATISTIKA MATEMATIKA II 141
diasumsikan sama, maka uji-t yang digunakan adalah uji-t dengan
asumsi ragam homogen, sedangkan bila ragam populasi dari 2-
sampel tersebut tidak diasumsikan homogen, maka yang lebih tepat
adalah menggunakan uji-t dengan asumsi ragam tidak homogen.
Uji-t dengan ragam homogen dan tidak homogen memiliki rumus
hitung yang berbeda. Oleh karena itulah, apabila uji-t hendak
digunakan untuk melakukan pengujian hipotesis terhadap 2-
sampel, maka harus dilakukan pengujian mengenai asumsi
kehomogenan ragam populasi terlebih dahulu dengan
menggunakan uji-F.
Uji t 2-arah digunakan apabila peneliti tidak memiliki
informasi mengenai arah kecenderungan dari karakteristik populasi
yang sedang diamati. Sedangkan uji t 1-arah digunakan apabila
peneliti memiliki informasi mengenai arah kecenderungan dari
karakteristik populasi yang sedang diamati. Contoh dibawah ini
mungkin dapat mengilustrasikannya.
Kasus 1: Seorang peneliti ingin mengetahui rata-rata uang
saku mahasiswa Univ X perbulan. Menurut isu yang berkembang,
rata-rata uang saku yang dimiliki mahasiwa univ X lebih besar dari
Rp. 500 ribu/bulan. Untuk itu dilakukan penelitian dengan
mengambil 50 sampel mahasiswa secara acak.
kasus 2: Seorang peneliti ingin mengetahui rata-rata uang
saku mahasiswa Univ X perbulan. Menurut isu yang berkembang,
rata-rata uang saku mahasiswa univ X adalah sekitar Rp.500 ribu
Inferensi Dengan Dua Sampel | STATISTIKA MATEMATIKA II 142
/bulan. Untuk itu dilakukan penelitian dengan mengambil 50
sampel mahasiswa secara acak.
Sekarang saya meminta pembaca mencermati kedua kasus
di atas. Pada kasus 2, terdapat kata sekitar, sedangkan pada kasus 1
terdapat kata lebih besar dari. Coba bayangkan sebuah garis lurus
horizontal. Dan letakkan titik 500 ribu di tengah2nya. Kata lebih
besar dari mengandung informasi bahwa pada garis horizontal
tersebut, rata-rata uang saku mahasiswa Univ X terletak diantara
titik 500ribu ke arah kanan. Sedangkan kata sekitar berarti rata-rata
uang saku mahasiswa pada kasus 2 berada disekitar (baik ke arah
kiri atau ke arah kanan) dari titik 500ribu.
Dengan demikian, pada kasus 2 tidak terdapat 2
kemungkinan kecenderungan/arah, sedangkan pada kasus 1
terdapat 1 kecenderungan arah (ke kanan). Oleh karena itu, uji-t
yang tepat untuk kasus 1 adalah uji-t 1-arah (pada H1
menggunakan tanda pertidaksamaan lebih besar), sedangkan pada
kasus 2 adalah uji-t 2-arah (pada H1 menggunakan tnda
pertidaksamaan “tidak sama dengan”).
Statistika adalah ilmu yang mempelajari bagaimana
merencanakan, mengumpulkan, menganalisis, menginterpretasi, dan
mempresentasikan data. Singkatnya, statistika adalah ilmu yang
berkenaan dengan data. Istilah 'statistika' (bahasa Inggris: statistics)
berbeda dengan 'statistik' (statistic). Statistika merupakan ilmu yang
berkenaan dengan data, sedang statistik adalah data, informasi, atau
Inferensi Dengan Dua Sampel | STATISTIKA MATEMATIKA II 143
hasil penerapan algoritma statistika pada suatu data. Dari kumpulan
data, statistika dapat digunakan untuk menyimpulkan atau
mendeskripsikan data; ini dinamakan statistika deskriptif. Sebagian
besar konsep dasar statistika mengasumsikan teori probabilitas.
Beberapa istilah statistika antara lain: populasi, sampel, unit
sampel, dan probabilitas. Statistika banyak diterapkan dalam berbagai
disiplin ilmu, baik ilmu-ilmu alam (misalnya astronomi dan biologi
maupun ilmu-ilmu sosial (termasuk sosiologi dan psikologi), maupun
di bidang bisnis, ekonomi, dan industri). Statistika juga digunakan
dalam pemerintahan untuk berbagai macam tujuan; sensus penduduk
merupakan salah satu prosedur yang paling dikenal. Aplikasi statistika
lainnya yang sekarang popular adalah prosedur jajak pendapat atau
polling (misalnya dilakukan sebelum pemilihan umum), serta jajak
cepat (perhitungan cepat hasil pemilu) atau quick count. Di bidang
komputasi, statistika dapat pula diterapkan dalam pengenalan pola
maupun kecerdasan buatan.
Penggunaan istilah statistika berakar dari istilah istilah dalam
bahasa latin modern statisticum collegium ("dewan negara") dan
bahasa Italia statista ("negarawan" atau "politikus"). Gottfried
Achenwall (1749) menggunakan Statistik dalam bahasa Jerman untuk
pertama kalinya sebagai nama bagi kegiatan analisis data kenegaraan,
dengan mengartikannya sebagai "ilmu tentang negara (state)". Pada
awal abad ke-19 telah terjadi pergeseran arti menjadi "ilmu mengenai
pengumpulan dan klasifikasi data". Sir John Sinclair memperkenalkan
Inferensi Dengan Dua Sampel | STATISTIKA MATEMATIKA II 144
nama (Statistics) dan pengertian ini ke dalam bahasa Inggris. Jadi,
statistika secara prinsip mula-mula hanya mengurus data yang dipakai
lembaga-lembaga administratif dan pemerintahan. Pengumpulan data
terus berlanjut, khususnya melalui sensus yang dilakukan secara teratur
untuk memberi informasi kependudukan yang berubah setiap saat.
Pada abad ke-19 dan awal abad ke-20 statistika mulai banyak
menggunakan bidang-bidang dalam matematika, terutama probabilitas.
Cabang statistika yang pada saat ini sangat luas digunakan untuk
mendukung metode ilmiah, statistika inferensi, dikembangkan pada
paruh kedua abad ke-19 dan awal abad ke-20 oleh Ronald Fisher
(peletak dasar statistika inferensi), Karl Pearson (metode regresi
linear), dan William Sealey Gosset (meneliti problem sampel
berukuran kecil).
Penggunaan statistika pada masa sekarang dapat dikatakan
telah menyentuh semua bidang ilmu pengetahuan, mulai dari
astronomi hingga linguistika. Bidang-bidang ekonomi, biologi dan
cabang-cabang terapannya, serta psikologi banyak dipengaruhi oleh
statistika dalam metodologinya. Akibatnya lahirlah ilmu-ilmu
gabungan seperti ekonometrika, biometrika (atau biostatistika), dan
psikometrika. Meskipun ada kubu yang menganggap statistika sebagai
cabang dari matematika, tetapi orang lebih banyak menganggap
statistika sebagai bidang yang banyak terkait dengan matematika
melihat dari sejarah dan aplikasinya.
Inferensi Dengan Dua Sampel | STATISTIKA MATEMATIKA II 145
Di Indonesia, kajian statistika sebagian besar masuk dalam
fakultas matematika dan ilmu pengetahuan alam, baik di dalam
departemen tersendiri maupun tergabung dengan matematika. Dalam
mengaplikasikan statistika terhadap permasalahan sains, industri, atau
sosial, pertama-tama dimulai dari mempelajari populasi. Makna
populasi dalam statistika dapat berarti populasi benda hidup, benda
mati, ataupun benda abstrak. Populasi juga dapat berupa pengukuran
sebuah proses dalam waktu yang berbeda-beda, yakni dikenal dengan
istilah deret waktu. Melakukan pendataan (pengumpulan data) seluruh
populasi dinamakan sensus. Sebuah sensus tentu memerlukan waktu
dan biaya yang tinggi. Untuk itu, dalam statistika seringkali dilakukan
pengambilan sampel (sampling), yakni sebagian kecil dari populasi,
yang dapat mewakili seluruh populasi. Analisis data dari sampel
nantinya digunakan untuk menggeneralisasikan seluruh populasi. Jika
sampel yang diambil cukup representatif, inferensial (pengambilan
keputusan) dan simpulan yang dibuat dari sampel dapat digunakan
untuk menggambarkan populasi secara keseluruhan. Metode statistika
tentang bagaimana cara mengambil sampel yang tepat dinamakan
teknik sampling.
Analisis statistik banyak menggunakan probabilitas sebagai
konsep dasarnya. Sedangkan matematika statistika merupakan cabang
dari matematika terapan yang menggunakan teori probabilitas dan
analisis matematis untuk mendapatkan dasar-dasar teori statistika.
Inferensi Dengan Dua Sampel | STATISTIKA MATEMATIKA II 146
Ada dua macam statistika, yaitu statistika deskriptif dan
statistika inferensial. Statistika deskriptif berkenaan dengan deskripsi
data, misalnya dari menghitung rata-rata dan varians dari data mentah;
mendeksripsikan menggunakan tabel-tabel atau grafik sehingga data
mentah lebih mudah “dibaca” dan lebih bermakna. Sedangkan
statistika inferensial lebih dari itu, misalnya melakukan pengujian
hipotesis, melakukan prediksi observasi masa depan, atau membuat
model regresi.
Statistika deskriptif berkenaan dengan bagaimana data dapat
digambarkan dideskripsikan) atau disimpulkan, baik secara numerik
(misalnya menghitung rata-rata dan deviasi standar) atau secara grafis
(dalam bentuk tabel atau grafik), untuk mendapatkan gambaran sekilas
mengenai data tersebut, sehingga lebih mudah dibaca dan bermakna.
Statistika inferensial berkenaan dengan permodelan data dan
melakukan pengambilan keputusan berdasarkan analisis data, misalnya
melakukan pengujian hipotesis, melakukan estimasi pengamatan masa
mendatang (estimasi atau prediksi), membuat permodelan hubungan
(korelasi, regresi, ANOVA, deret waktu), dan sebagainya.
4. Menguji Hipotesis
Kembali pada populasi bervariabel dua dengan koefisien
koperasi . Dari modelnya, jika  = 0, maka ternyata bahwa X dan
Y independen. Sehingga dalam hal populasi berdistribusi normal 
Inferensi Dengan Dua Sampel | STATISTIKA MATEMATIKA II 147
= 0 mengakibatkan bahwa X dan Y independen dan sebaliknya.
Sifat ini tidak berlaku untuk populasi yang tidak berdistribusi
normal.
Mengingat dalam banyak penelitian sering ingin
mengetahui apakah antara dua variabel terdapat hubungan yang
independen atau tidak, maka kita perlu melakukan uji independen.
Dalam hal ini, maka hipotesis yang harus diujikan adalah :
H0 :  = 0 melawan H1 :   0
Uji ini sebenarnya ekivalen dengan uji H0 : 2 = 0 dimana
2 menyatakan koefisien arah regresi linier untuk populasi. Untuk
menguji H0 :  = 0 melawan H1 :   0, jika sampel acak yang
diambil dari populasi normal bervariabel dua itu berukuran n
memiliki koefisien korelasi r, maka dapat digunakan statistik t
seperti dicantumkan dalam Rumus (9.3.9) yaitu :
t =
2
r-1
2-nr
(9.3.16)
Selanjutnya untuk taraf nyata = , maka hipotesis
kita terima jika –t(1- ½) < t < t(1- ½ ),
dimana distribusi t yang digunakan mempunyai dk
= (n-2). Dalam hal lainnya H0 kita tolak.
Tentu saja bentuk alternatif untuk menguji
hipotesis H0 bisa H1 :  > 0 atau H1 :  < 0. Dalam hal pertama
merupakan uji pihak kanan sedangkan yang kedua merupakan uji
Inferensi Dengan Dua Sampel | STATISTIKA MATEMATIKA II 148
pihak kiri. Daerah kritis pengujianm, seperti biasa harus
disesuaikan dengan alternatif yang diambil.
Contoh 4: Untuk pengujian H0 :  = 0 melawan H1 : 
 0 berdasarkan sebuah sampel acak berukuran n = 27 dengan r =
0,28, maka dari Rumus (9.3.16) didapat :
t =
 
 2
28,01
22728,0


= 1,458
Jika taraf nyata  = 0,05, maka dengan dk = 25, dari daftar
distribusi t didapat, untuk uji dua pihak, t0,995 = 2,060.
Mudah dilihat bahwa t = 1,458 antara -2,060 dan 2,060.
Jadi H0 diterima. Cobalah buat sendiri kesimpulannya!
Sekarang marilah kita tinjau bagaimana menguji hipotesis 
yang tidak nol dapat dilakukan.
Seperti telah dijelaskan dalam Bagian 5, jika sampel acak
diambil dari populasinormal bervariabel dua dengan koefisien
korelasi   0, maka dengan transformasi Fisher dalam Rumus
(9.3.11) akan diperoleh distribusi normal dengan rata-rata dan
simpangan baku seperti tertera dalam Rumus (9.3.12). Untuk dapat
menggunakan daftar distribusi normal baku, s elanjutnya perlu
digunakan angka z :
z =
z
z-Z


(9.3.17)
Inferensi Dengan Dua Sampel | STATISTIKA MATEMATIKA II 149
Angka z inilah yang akan digunakan untuk menguji
hipotesis :
H0 :  = 0  0 melawan salah satu alternatif :
H1 :   0, atau
H1 :  > 0, atau
H1 :  < 0, atau
Jika taraf ternyata pengujian diambil , maka daerah kritis,
seperti biasa, ditentukan oleh bentuk alternatif, apakah dua pihak,
pihak kanan atau pihak kiri.
Contoh 5: Dalam contoh 9.3.1, telah dihitung koefisien
antara banyak pengunjung dan yang berbelanja untuk sampel
berukuran n = 30. di situ telah didapat r = 0,8758. jika diduga
bahwa populasinya mempunyai  = 0,75, dapatkah sampel tadi
menguatkan dugaan tersebut ?
Pertanyaan ini akan terjawab apabila kita melakukan
pengujian terhadap hipotesis :
H0 :  = 0,75 melawan H1 :   0,75
Dengan Rumus (9.3.11) kita dapat menghitung :
Z = (1,1513) log 







8758,01
8758,01
= 1,3573
sedangkan dari Rumus (9.3.12) dan Rumus (9.3.13) dengan
0 = 0,75 (dari hipotesis H0) didapat :
z = (1,1513) log 







75,01
75,01
= 0,9729
Inferensi Dengan Dua Sampel | STATISTIKA MATEMATIKA II 150
dan
z = 330
1
 = 0,1924
Akhirnya, Rumus (9.3.17) memberikan bilangan baku
z = 1924,0
9729,03573,1 
= 2,00
Jika diambil  = 0,05, maka daerah penerimaan H0 adalah -
1,96 < z < 1,96.
Ternyata bahwa pengujian memberikan hasil yang berarti.
Sampel itu tidakberasal dari populasi dengan  = 0,75.
Contoh 6: Berasal dari populasi dengan  berapa sampel di
muka telah diambil?
Jawab : Jika diambil  = 0,05, maka untuk menguji
hipotesis :
Ho :  = 0 melawan H1 :   0
dimana 0 bilangan yang akan dicari, supaya hipotesis bisa
diterima, harus berlaku :
- 1,96 < 1924,0
-3573,1 z
< 1,96
Kita selesaikan hal pertama (ketidaksamaan sebelah kiri) :
- 1,96 < 1924,0
-3573,1 z
< 1,96 atau (1,1513) log 







0
0
1
1


<
1,7344 atau 







0
0
1
1


< 32,1 sehingga 0 < 0,9395
Inferensi Dengan Dua Sampel | STATISTIKA MATEMATIKA II 151
Hal kedua adalah (ketidaksamaan sebelah kanan) :
1924,0
3573,1 z
< 1,96 atau (1,1513) log 







0
0
1
1


> 0,9802
atau
0
0
1
1




> 7,1 sehingga 0 > 0,7530
Sampel berukuran n = 30 tadi berasal dari sebuah populasi
dengan  yang besarnya antara 0,7530 dan 0,9395.
Inferensi Dengan Dua Sampel | STATISTIKA MATEMATIKA II 152
BAB III
PENUTUP
A. Kesimpulan
Statistika adalah ilmu yang mempelajari bagaimana
merencanakan, mengumpulkan, menganalisis, menginterpretasi, dan
mempresentasikan data. Singkatnya, statistika adalah ilmu yang
berkenaan dengan data. Istilah 'statistika' (bahasa Inggris: statistics)
berbeda dengan 'statistik' (statistic). Statistika merupakan ilmu yang
berkenaan dengan data, sedang statistik adalah data, informasi, atau
hasil penerapan algoritma statistika pada suatu data. Dari kumpulan
data, statistika dapat digunakan untuk menyimpulkan atau
mendeskripsikan data; ini dinamakan statistika deskriptif. Sebagian
besar konsep dasar statistika mengasumsikan teori probabilitas.
Beberapa istilah statistika antara lain: populasi, sampel, unit
sampel, dan probabilitas. Statistika banyak diterapkan dalam berbagai
disiplin ilmu, baik ilmu-ilmu alam (misalnya astronomi dan biologi
maupun ilmu-ilmu sosial (termasuk sosiologi dan psikologi), maupun
di bidang bisnis, ekonomi, dan industri). Statistika juga digunakan
dalam pemerintahan untuk berbagai macam tujuan; sensus penduduk
merupakan salah satu prosedur yang paling dikenal. Aplikasi statistika
lainnya yang sekarang popular adalah prosedur jajak pendapat atau
polling (misalnya dilakukan sebelum pemilihan umum), serta jajak
cepat (perhitungan cepat hasil pemilu) atau quick count. Di bidang
komputasi, statistika dapat pula diterapkan dalam pengenalan pola
maupun kecerdasan buatan.
Inferensi Dengan Dua Sampel | STATISTIKA MATEMATIKA II 153
Penggunaan istilah statistika berakar dari istilah istilah dalam
bahasa latin modern statisticum collegium ("dewan negara") dan
bahasa Italia statista ("negarawan" atau "politikus"). Gottfried
Achenwall (1749) menggunakan Statistik dalam bahasa Jerman untuk
pertama kalinya sebagai nama bagi kegiatan analisis data kenegaraan,
dengan mengartikannya sebagai "ilmu tentang negara (state)". Pada
awal abad ke-19 telah terjadi pergeseran arti menjadi "ilmu mengenai
pengumpulan dan klasifikasi data". Sir John Sinclair memperkenalkan
nama (Statistics) dan pengertian ini ke dalam bahasa Inggris. Jadi,
statistika secara prinsip mula-mula hanya mengurus data yang dipakai
lembaga-lembaga administratif dan pemerintahan. Pengumpulan data
terus berlanjut, khususnya melalui sensus yang dilakukan secara teratur
untuk memberi informasi kependudukan yang berubah setiap saat.
Pada abad ke-19 dan awal abad ke-20 statistika mulai banyak
menggunakan bidang-bidang dalam matematika, terutama probabilitas.
Cabang statistika yang pada saat ini sangat luas digunakan untuk
mendukung metode ilmiah, statistika inferensi, dikembangkan pada
paruh kedua abad ke-19 dan awal abad ke-20 oleh Ronald Fisher
(peletak dasar statistika inferensi), Karl Pearson (metode regresi
linear), dan William Sealey Gosset (meneliti problem sampel
berukuran kecil).
Penggunaan statistika pada masa sekarang dapat dikatakan
telah menyentuh semua bidang ilmu pengetahuan, mulai dari
astronomi hingga linguistika. Bidang-bidang ekonomi, biologi dan
Inferensi Dengan Dua Sampel | STATISTIKA MATEMATIKA II 154
cabang-cabang terapannya, serta psikologi banyak dipengaruhi oleh
statistika dalam metodologinya. Akibatnya lahirlah ilmu-ilmu
gabungan seperti ekonometrika, biometrika (atau biostatistika), dan
psikometrika. Meskipun ada kubu yang menganggap statistika sebagai
cabang dari matematika, tetapi orang lebih banyak menganggap
statistika sebagai bidang yang banyak terkait dengan matematika
melihat dari sejarah dan aplikasinya.
Di Indonesia, kajian statistika sebagian besar masuk dalam
fakultas matematika dan ilmu pengetahuan alam, baik di dalam
departemen tersendiri maupun tergabung dengan matematika. Dalam
mengaplikasikan statistika terhadap permasalahan sains, industri, atau
sosial, pertama-tama dimulai dari mempelajari populasi. Makna
populasi dalam statistika dapat berarti populasi benda hidup, benda
mati, ataupun benda abstrak. Populasi juga dapat berupa pengukuran
sebuah proses dalam waktu yang berbeda-beda, yakni dikenal dengan
istilah deret waktu. Melakukan pendataan (pengumpulan data) seluruh
populasi dinamakan sensus. Sebuah sensus tentu memerlukan waktu
dan biaya yang tinggi. Untuk itu, dalam statistika seringkali dilakukan
pengambilan sampel (sampling), yakni sebagian kecil dari populasi,
yang dapat mewakili seluruh populasi. Analisis data dari sampel
nantinya digunakan untuk menggeneralisasikan seluruh populasi. Jika
sampel yang diambil cukup representatif, inferensial (pengambilan
keputusan) dan simpulan yang dibuat dari sampel dapat digunakan
untuk menggambarkan populasi secara keseluruhan. Metode statistika
Inferensi Dengan Dua Sampel | STATISTIKA MATEMATIKA II 155
tentang bagaimana cara mengambil sampel yang tepat dinamakan
teknik sampling.
Analisis statistik banyak menggunakan probabilitas sebagai
konsep dasarnya. Sedangkan matematika statistika merupakan cabang
dari matematika terapan yang menggunakan teori probabilitas dan
analisis matematis untuk mendapatkan dasar-dasar teori statistika.
Ada dua macam statistika, yaitu statistika deskriptif dan
statistika inferensial. Statistika deskriptif berkenaan dengan deskripsi
data, misalnya dari menghitung rata-rata dan varians dari data mentah;
mendeksripsikan menggunakan tabel-tabel atau grafik sehingga data
mentah lebih mudah “dibaca” dan lebih bermakna. Sedangkan
statistika inferensial lebih dari itu, misalnya melakukan pengujian
hipotesis, melakukan prediksi observasi masa depan, atau membuat
model regresi.
Statistika deskriptif berkenaan dengan bagaimana data dapat
digambarkan dideskripsikan) atau disimpulkan, baik secara numerik
(misalnya menghitung rata-rata dan deviasi standar) atau secara grafis
(dalam bentuk tabel atau grafik), untuk mendapatkan gambaran sekilas
mengenai data tersebut, sehingga lebih mudah dibaca dan bermakna.
Statistika inferensial berkenaan dengan permodelan data dan
melakukan pengambilan keputusan berdasarkan analisis data, misalnya
melakukan pengujian hipotesis, melakukan estimasi pengamatan masa
mendatang (estimasi atau prediksi), membuat permodelan hubungan
(korelasi, regresi, ANOVA, deret waktu), dan sebagainya.
Inferensi Dengan Dua Sampel | STATISTIKA MATEMATIKA II 156
Dari uraian isi makalah ini, maka dapat ditarik beberapa
kesimpulan, yaitu sebagai berikut :
1. Uji t dua sampel : Menguji H0 : 𝜇 𝑋 = 𝜇 𝑌
𝐻0: 𝜇 𝑥 = 𝜇 𝑦 versus 𝐻1: 𝜇 𝑥 = 𝜇 𝑦 akan menolak 𝐻0 apabila
t =
𝑥̂−𝑦̂
𝑆 𝑝 √
1
𝑛
+
1
𝑚
≤ −𝑡( 𝑛+𝑚−2); 𝛼
2⁄ , ≥ 𝑡( 𝑛+𝑚−2); 𝛼
2⁄
2. Uji f : Menguji H0 : 𝛼2
X = 𝛼2
Y
F =
S
2
Y
S
2
X
3. Data Binomial : Uji H0 : 𝑃 𝑋 = 𝑃 𝑌
Uji GLR pendekatan pada tingkat signifikansi untuk
𝐻0: 𝑃 𝑋 = 𝑃 𝑌 versus 𝐻1: 𝑃 𝑋 ≠ 𝑃 𝑌
adalah menolak 𝐻0 apabila
𝑥
𝑛 −
𝑦
𝑚
√(
𝑥 + 𝑦
𝑛 + 𝑚
)(1 −
𝑥 + 𝑦
𝑛 + 𝑚
)(𝑛 + 𝑚)
𝑛𝑚
Dengan
𝑥
𝑛
−
𝑦
𝑚
≤ −𝑍 𝛼/2 dan √
(
𝑥+𝑦
𝑛+𝑚
)(1−
𝑥+𝑦
𝑛+𝑚
)(𝑛+𝑚)
𝑛𝑚
≥ 𝑍 𝛼/2
4. Interval Kepercayaan untuk Masalah Dua Sampel
Teorema 2, 3, dan 4 memberikan distribusi sampling
untuk𝑋̅ − 𝑌̅, 𝑆 𝑌
2
𝑆 𝑋
2
, 𝑑𝑎𝑛 𝑋 𝑛⁄ − 𝑌 𝑚⁄⁄ apabila H0 benar. Apabila
Inferensi Dengan Dua Sampel | STATISTIKA MATEMATIKA II 157
H0 tidak harus benar, statistic penguji ini berbentuk seperti
dibawah ini.
1)
𝑋̅−𝑌̅−( 𝜇 𝑥−𝜇 𝑦)
𝑆 𝑝√
1
𝑛
−
1
𝑚
~ 𝑡 𝑛+𝑚−2
2)
𝑆 𝑦
2
𝜎 𝑦
2⁄
𝑆 𝑥
2
𝜎 𝑦
2⁄
~ 𝐹𝑚−1 ; 𝑛−1
3)
𝑥
𝑛
−
𝑦
𝑚
−( 𝑝 𝑋− 𝑝 𝑌)
√
𝑥
𝑛
(1−
𝑥
𝑛
)
𝑛
+
𝑦
𝑚
(1−
𝑦
𝑚
)
𝑚
~ 𝑁(0 ;1), pendekatan
5. Dari penjabaran Uji t 2 sampel di ata dapat disimpulkan bahwa
:
Dimana 𝑆 𝑝
2
adalah variansi pooled :
𝑆 𝑝
2
=
1
𝑛 + 𝑚 − 2
[∑( 𝑥 𝑖 − 𝑥̅)
𝑛
𝑖=1
2
+ ∑(𝑦𝑗 − 𝑦̅)
𝑚
𝑗=1
2
]
Maka 𝜆2 ( 𝑛+𝑚)⁄
dapat ditulis
𝜆2 ( 𝑛+𝑚)⁄
=
𝑛 + 𝑚 − 2
𝑛 + 𝑚 − 2 + 𝑡2
Uji GLR yang menolak H0 : 𝜇 𝑥 = 𝜇 𝑦 𝑎𝑝𝑎𝑏𝑖𝑙𝑎 0 < 𝜆 ≤
𝜆∗
adalah ekivalen dengan menolak H0 apabila 0 <
𝜆2 ( 𝑛+𝑚)⁄
< 𝜆∗∗
. Tapi kedua kriteria itu ekivalen dengan
menolak H0 apabila terlalu besar. Jadi, aturan keputusan dalam
bentuk t2
adalah tolak H0 : 𝜇 𝑥 = 𝜇 𝑦 (dan menerima Hi : 𝜇 𝑥 ≠
𝜇 𝑦 ) apabila t∗2
. Atau menolak H0 apabila
𝑡 ≥ 𝑡∗
𝑎𝑡𝑎𝑢 𝑡 ≤ −𝑡∗
Dengan 𝑃(−𝑡∗
< 𝑡 < 𝑡∗| 𝐻0 𝑏𝑒𝑛𝑎𝑟) = 1 − 𝛼
Karena 𝑡 ~ 𝑡 𝑛+𝑚−2, 𝑚𝑎𝑘𝑎 𝑡∗
= 𝑡 𝑛+𝑚−2 ; 𝛼 2⁄
Inferensi Dengan Dua Sampel | STATISTIKA MATEMATIKA II 158
B. Saran
Diharapkan para mahasiswa yang mempelajari mengenai
inferensi dengan dua sampel untuk hal-hal yang bermanfaat,
seperti dalam hal kegiatan statistik dan analisis data sampel, yang
mampu menunjang keberhasilannya dalam penelitian yang akan
ia lakukan kedepan.
Inferensi Dengan Dua Sampel | STATISTIKA MATEMATIKA II 159
DAFTAR PUSTAKA
Anderson, T.W. dan D.A. Darling (1952) “Asymptotic theory of certain
‘goodness of fit’ criteria based on stochastic process”, Annals of
Mathematical Statistics, Vol. 23, pp. 193-212.
Agung, I Gusti Ngurah. 2003. STATISTIKA. Jakarta: PT. RajaGrafindo Persada.
Arikunto, Suharsimi. 2006. Prosedur Penelitian suatu pendekatan praktik. Edisi
Revidi IV.Jakarta: Rineka Cipta.
Bambang. 2002. Statistika Matematika. Statistika FMIPA-IPB Persada:Jakarta
Bhattacharryya, G. K. & R. A. Johnson. 1977. Statistical Concepts and Methods.
John Wiley.
Feller, W. (1948) “On the Kolmogorov-Smirnov limit theorems for empirical
distributions”, Annals of Mathematical Statistics, Vol. 19, pp. 177-189.
Herrhyanto,Nor.2003.Statistika Lanjutan. Bandung: CV Pustaka Setia
Kurniawan. 2005. Fokus Matematika. Jakarta : Erlangga
Nasoetion, A dan Barizi. 1975. Metode Statistika. Jakarta: Gramedia
Pramudjono.2008.Statistika Dasar Edisi IV. Samarinda: FKIP Universitas
Mulawarman
Pramudjono. 2008. Statistika Dasar(Aplikasi Untuk Penelitian) Edisi IV. FKIP
Universitas Mulawarman: Samarinda
R.W, Jefferson. 1990. Teori Kemungkinan. FKIP Universitas Mulawarman:
Samarinda
Subana dkk. 2000. Statistik Pendidikan. Bandung: Pustaka Setia.
Suharto. 1992. Matematika Terapan Untuk Perguruan Tinggi. Jakarta: Rineka
Cipta
Inferensi Dengan Dua Sampel | STATISTIKA MATEMATIKA II 160
Sugiyono. 1999. Statistik Untuk Penelitian. Bandung: Alfabeta
Sugiyono. 2009. Metode Penelitian Kuantitatif, Kualitatif, R & D. Bandung;
Alfabeta.
Soejoeti, Zanzawi. 1990. Peluang dan Statistika. Yogyakarta: Fakultas
matematika dan Pengetahuan Alam Universitas Gajah Mada.
Soejoeti Zanzawi,1990. Peluang dan Statistika Bagian II. Yogyakarta :
Universitas Gajah Mada.
Sudijono, Anas. 2004. Pengantar Statistik Pendidikan. Raja Grafindo Persada :
Jakarta
Suparman. 1989. Statistik Matematik. CV Rajawali. Jakarta
Soejoeti, Zanzawi. 1990. Peluang dan Statistika. Fakultas Matematika dan
Ilmu Pengetahuan Alam, Universitas Gadjah Mada.
Stephens, M.A. (1974) “EDF statistics for goodness of fit and some
comparisons”, Journal of the American Statistical Association, Vol. 69,
No. 347, pp. 730-737.
Sudjana. 2001. Metode Statistika. Bandung: Tarsito
Sudjana. 1992. Tehknik analisis Regresi dan Kolerasi. Bandung: Tarsito.
Sudijono, Anas.2004.Pengantar Statistika Pendidikan.Raja Grafindo Sumantri,
Suparman.1989.Statistika Matematik. Jakarta: CV Rajawali.
Tiro, M. A. 1999a. Analisis Data Frekusi dengan Chi Kuadrat. Ujung Pandang:
Hasanuddin University Press.
Tiro, M. A. 1999b. Dasar-dasar Statistika. Ujung Pandang: Badan Penerbit UNM
Ujung Pandang.
Inferensi Dengan Dua Sampel | STATISTIKA MATEMATIKA II 161
Tiro, M. A. 2000. Analisis Regresi dengan Data Kategori. Makassar: Makassar
StateUniversity Press
Walpole, Ronald E., Myers, Raymond H., dan Myers, Sharon L. 2003.
Probabilitas dan Statistika untuk Teknik dan Sains. Jakarta : PT
Walpole, R. E. 1982. Introduction to Statistics. McMillan. 3nd edition.
Walpole, ronald E., myers, raymond H., dan myers, sharon L. 2003. Probabilitas
dan Statistika Untuk Teknik dan Sains. Jakarta: PT. Prenhallindo
Walpole, R. E. 1993. Pengantar Statistika, Edisi ke-3 Jakarta; Penerbit PT.
Gramedia Pustaka Utama.
Watulingas, Jefferson Roosevelt. Teori Kemungkinan. Samarinda: Fakultas
Keguruan dan Ilmu Pendidikan Universitas Mulawarman

Makalah statmat

  • 1.
    Inferensi Dengan DuaSampel | STATISTIKA MATEMATIKA II i KATA PENGANTAR Puji syukur kami panjatkan kehadirat ALLAH SWT yang telah memberikan rahmat, taufik serta hidayah-Nya kepada kami. Sehingga kami dapat menyelesaikan makalah yang berjudul “Inferensi Dengan Dua Sampel” Dalam penyelesaian makalah ini, tidak lepas dari bantuan berbagai pihak. Oleh karena itu, dalam kesempatan ini kami mengucapkan terima kasih kepada : 1. Drs. J.R. Watulingas, MM selaku dosen pembimbing mata kuliah Statistika Matematika II yang telah membimbing dengan penuh ketelitian dan kesabaran. 2. Kedua orang tua kami yang telah mendidik dan memberikan doa restu. 3. Teman-teman kami terutama kelas A Pendidikan Matematika Angkatan 2015 4. Seluruh staff perpustakaan Universitas Mulawarman yang memfasilitas dalam pinjaman buku-buku. Kami menyadari bahwa makalah ini masih jauh dari kesempurnaan. Oleh karena itu kritik dan saran yang bersifat membangun, sangat kami harapkan demi kesempurnaan makalah ini. Semoga makalah ini dapat bermanfaat bagi penyusun khususnya dan pemerhati pendidikan pada umunya serta merupakan sebuah wujud pengabdian kita kepada Allah SWT. Samarinda, 16 Oktober 2018 Kelompok 7
  • 2.
    Inferensi Dengan DuaSampel | STATISTIKA MATEMATIKA II ii DAFTAR ISI KATA PENGANTAR...................................................................................i DAFTAR ISI................................................................................................ii BAB I PENDAHULUAN ............................................................................1 A. Latar Belakang................................................................................1 B. Rumusan Masalah ........................................................................40 C. Tujuan...........................................................................................40 D. Manfaat.........................................................................................40 BAB II PEMBAHASAN ...........................................................................41 A. Uji t Dua Sampel : Menguji 𝑯𝟎:𝝁𝒙 = 𝝁𝒚 .................................42 1. Inferensi Statistik ......................................................................42 2. Inferensi Statistik Mean Satu Populasi .....................................47 3. Inferensi Proporsi......................................................................48 4. Inferensi Dua Rata-rata .............................................................49 5. Student t Test (Uji t)..................................................................51 6. Pengujian Hipotesis dengan sampel Ganda ..............................60 B. Uji f : Menguji H0 : 𝜶𝟐X = 𝜶𝟐Y....................................................76 1. Jenis Uji Hipotesa .....................................................................79 2. Uji Hipotesa Terhadap Rata-rata...............................................79 3. Uji Hipotesa Rata-rata dengan σ Diketahui..............................80
  • 3.
    Inferensi Dengan DuaSampel | STATISTIKA MATEMATIKA II iii 4. Uji Hipotesa Rata-Rata Dengan σ tidak diketahui....................80 5. Uji Hipotesa terhadap Varians ..................................................80 C. Data Binomial : Uji H0 : 𝑷𝑿 = 𝑷𝒀...............................................81 1. Uji Binomial............................................................................102 2. Ciri-ciri Distribusi Binomial...................................................103 3. Perkiraan Pada Parameter .......................................................107 4. Metode Perkiraan Moment......................................................108 5. Test Of Overdispersion...........................................................112 6. The Bayesian Approach..........................................................115 D. Interval Kepercayaan untuk Masalah Dua Sampel ....................120 1. Interval Kepercayaan pada MCNP .........................................120 2. Interval Kepercayaan Untuk Masalah Dua Sampel................125 E. Penjabaran Uji t Dua Sampel .....................................................128 2. Uji t Satu Sampel ....................................................................136 3. Uji t Dua Sampel.....................................................................140 4. Menguji Hipotesis...................................................................146 BAB III PENUTUP..................................................................................152 A. Kesimpulan.................................................................................152 B. Saran...........................................................................................158 DAFTAR PUSTAKA ..............................................................................159
  • 4.
    Inferensi Dengan DuaSampel | STATISTIKA MATEMATIKA II 1 BAB I PENDAHULUAN A. Latar Belakang Statistika adalah ilmu pengetahuan yang mempelajari tentang mengumpulkan, menyusun, mengolah, menganalisis, menyimpulkan, dan menyajikan data hasil penelitian. Sementara statistik adalah data hasil olahan dan analisis. Data (bentuk jamak) adalah keterangan suatu obyek yang diteliti. Sementara datum (bentuk tunggal) adalah keterangan suatu obyek yang diteliti. Data terbagi menjadi dua, yaitu data Numerik (kuantitas) dan data Kategori (kualitas. Data numerik adalah data berupa hasil pengukuran atau penghitungan. Sementara data kategori adalah data yang bukan berupa angka. Pengumpulan data dilakukan dengan : 1. Mencacah/menghitung 2. Mengukur 3. Mengunakan tally atau turus Statistika banyak diterapkan dalam berbagai disiplin ilmu, baik ilmu-ilmu alam (misalnya astronomi dan biologi maupun ilmu-ilmu sosial (termasuk sosiologi dan psikologi), maupun di bidang bisnis, ekonomi, dan industri. Statistika juga digunakan dalam pemerintahan untuk berbagai macam tujuan; sensus penduduk merupakan salah satu prosedur yang paling dikenal. Aplikasi statistika lainnya yang sekarang
  • 5.
    Inferensi Dengan DuaSampel | STATISTIKA MATEMATIKA II 2 popular adalah prosedur jajak pendapat atau polling (misalnya dilakukan sebelum pemilihan umum), serta jajak cepat (perhitungan cepat hasil pemilu) atau quick count. Di bidang komputasi, statistika dapat pula diterapkan dalam pengenalan pola maupun kecerdasan buatan. Penggunaan istilah statistika berakar dari istilah istilah dalam bahasa latin modern statisticum collegium ("dewan negara") dan bahasa Italia statista ("negarawan" atau "politikus").Gottfried Achenwall (1749) menggunakan Statistik dalam bahasa Jerman untuk pertama kalinya sebagai nama bagi kegiatan analisis data kenegaraan, dengan mengartikannya sebagai "ilmu tentang negara (state)". Pada awal abad ke-19 telah terjadi pergeseran arti menjadi "ilmu mengenai pengumpulan dan klasifikasi data". Sir John Sinclair memperkenalkan nama (Statistics) dan pengertian ini ke dalam bahasa Inggris. Jadi, statistika secara prinsip mula-mula hanya mengurus data yang dipakai lembaga-lembaga administratif dan pemerintahan. Pengumpulan data terus berlanjut, khususnya melalui sensus yang dilakukan secara teratur untuk memberi informasi kependudukan yang berubah setiap saat. Pada abad ke-19 dan awal abad ke-20 statistika mulai banyak menggunakan bidang-bidang dalam matematika, terutama peluang. Cabang statistika yang pada saat ini sangat luas digunakan untuk mendukung metode ilmiah, statistika inferensi, dikembangkan pada paruh kedua abad ke-19 dan awal abad ke-20 oleh Ronald Fisher
  • 6.
    Inferensi Dengan DuaSampel | STATISTIKA MATEMATIKA II 3 (peletak dasar statistika inferensi), Karl Pearson (metode regresi linear), dan William Sealey Gosset (meneliti problem sampel berukuran kecil). Penggunaan statistika pada masa sekarang dapat dikatakan telah menyentuh semua bidang ilmu pengetahuan, mulai dari astronomi hingga linguistika. Bidang-bidang ekonomi, biologi dan cabang-cabang terapannya, serta psikologi banyak dipengaruhi oleh statistika dalam metodologinya. Akibatnya lahirlah ilmu-ilmu gabungan seperti ekonometrika, biometrika (atau biostatistika), dan psikometrika. Meskipun ada pihak yang menganggap statistika sebagai cabang dari matematika, tetapi sebagian pihak lainnya menganggap statistika sebagai bidang yang banyak terkait dengan matematika melihat dari sejarah dan aplikasinya. Di Indonesia, kajian statistika sebagian besar masuk dalam fakultas matematika dan ilmu pengetahuan alam, baik di dalam departemen tersendiri maupun tergabung dengan matematika. Model regresi merupakan komponen penting dalam beberapa analisis data dengan menggambarkan hubungan antara variabel respon dan satu atau beberapa variabel bebas. Pada umumnya analisis regresi digunakan untuk menganalisis data dengan variabel respon berupa data kuantitatif. Akan tetapi dalam kehidupan sehari-hari sering ditemui kasus dengan variabel responnya bersifat kualitatif, seperti keputusan
  • 7.
    Inferensi Dengan DuaSampel | STATISTIKA MATEMATIKA II 4 memilih “ya” atau “tidak”. Untuk menyelesaikan kasus ini dapat digunakan model probit. Perlu disadari kehadiran statistika pada masa sekarang dan masa akan datang sudah tidak bisa ditawar-tawar lagi. Statistika adalah salah satu yang sangat penting untuk menunjang penelitian. Kualitas dan kuantitas penelitian sangat menunjang keberhasilan pembangunan pada umumnya dan khususnya dalam mengambil kebijaksanaan atau kesimpulan-kesimpulan, disamping faktor-faktor penunjang lainnya. Sedangkan statistik dipergunakan untuk menyatakan kumpulan data, bilangan maupun non-bilangan yang disusun dalam suatu sajian data seperti tabel, diagram, grafik dan lain-lain. Statistik yang menjelaskan sesuatu hal secara umum diberi nama statistik mengenai hal yang bersangkutan. Contoh statistik penduduk suatu kabupaten/ kota pada tahun tertentu, statistik pendidikan daerah pada tahun tertentu, statistik kelulusan dan lain-lain yang disajikan dalam diagram batang, garis, tabel-tabel presentasi atau yang lain, dengan tujuan agar sajian data menarik bagi pembaca dalam melihat kumpulan data. Statistika dalam penelitian mempunyai peranan sangat penting yaitu untuk perumusan masalah, menentukan hipotesis, menentukan besar sampel, menentukan benar atau tidaknya kesimpulan hasil penelitian dan lain sebagainya berdasarkan atas kumpulan data. Penarikan kesimpulan hasil penelitian juga sangat tergantung pada perhitungan-perhitungan dan jenis uji statistika yang dipergunakan.
  • 8.
    Inferensi Dengan DuaSampel | STATISTIKA MATEMATIKA II 5 Statistika lebih spesifik dipergunakan dalam riset penelitian yang merupakan suatu pengetahuan tersendiri. Statistika adalah ilmu pengetahuan yang berhubungan dengan cara-cara pengumpulan data, pengolahan atau penganalisisan data dan penarikan kesimpulan berdasarkan kumpulan data dan analisis data yang dilakukan. Di dalam statistika matematika, yang merupakan dasarnya adalah teori probabilitas, ada empat konsep dasar peluang, antara lain adalah eksperimen, hasil, ruang sampel, kejadian. Penerapan metode peluang untuk menganalisis dan menginterpretasikan data empiris dikenal sebagai inferensi statistik. Secara lebih spesifik, inferensial staistik dapat diartikan sebagai proses pengambilan kesimpulan (atau generalisasi) dari suatu sampel tertentu, yakni dari suatu himpunan dan observasi, untuk populasi teoritis dari mana sampel itu diambil. Bentuk generalisasi itu dapat sangat berbeda- beda tergantung situasinya; mungkin berbentuk taksiran satu nilai tertentu (taksiran interval), atau bahkan jawaban dikolomi ya atau tidak (uji hipotesis). Kebanyakan model probabilitas, terutama yang cukup luas nilai penggunaanya, tergantung pada beberapa konstan yang dikenal dengan nama parameter. Dalam banyak masalah, keluarga model probabilitassyang menggambarkan suatu fenomena biasanya dianggap diketahui. Tetapi anggota tertentu dari keluarga itu yang dipandang paling tepatmenggambarkan fenomena tersebut mungkin sekali tidak
  • 9.
    Inferensi Dengan DuaSampel | STATISTIKA MATEMATIKA II 6 diketahui.dalam hal ini perlu ditaksir berdasarkan data yang diambildari fenomena itu. Model probit merupakan model non linier yang digunakan untuk menganalisis hubungan antara satu variabel respon dan beberapa variabel bebas, dengan variabel responnya berupa data kualitatif dikotomi yaitu bernilai 1 untuk menyatakan keberadaan sebuah karakteristik dan bernilai 0 untuk menyatakan ketidakberadaaan sebuah karakteristik. Model probit dengan satu variabel respon dapat dikembangkan menjadi model probit dengan menggunakan dua variabel respon, model ini disebut model probit bivariat. Model probit bivariat menggunakan dua variabel dikotomi sebagai variabel responnya, sedangkan variabel bebasnya dapat berupa variabel yang bersifat diskrit maupun variabel yang bersifat kontinu dan juga dapat berupa variabel kualitatif yaitu variabel nominal atau ordinal. Salah satu contoh kasus probit bivariat adalah penelitian yang dilakukan oleh Pindyck dan Rubinfield pada tahun 1973 di kota Troy, Michigan, Amerika Serikat tentang keputusan suatu keluarga apakah akan membelanjakan uangnya untuk membiayai salah seorang anaknya ke sekolah negeri atau akan membelanjakan uangnya untuk membayar pajak properti. Variabel yang diamati adalah pendapatan, pajak kekayaan, dan lama menetap dalam lingkungan tersebut. Akan diselidiki apakah variabel pendapatan, pajak kekayaan, dan lama menetap dalam lingkungan tersebut mempengaruhi keputusan seseorang lebih memilih membelanjakan uangnya untuk membiayai
  • 10.
    Inferensi Dengan DuaSampel | STATISTIKA MATEMATIKA II 7 salah seorang anaknya ke sekolah negeri atau memilih membelanjakan uangnya untuk membayar pajak properti (Greene,1984). Karena dalam kasus tersebut data yang disajikan berupa data kualitatif, dan variabel responnya terdiri dari dua variabel maka untuk menganalisis hubungan antar variabelnya menggunakan pendekatan model probit bivariat. Hitungan-hitungan atas sampel disebut statistik, dalam statistik harus ada pengukuran sehingga dapat dihitung. Sedangkan cara pengambilan sampel disebut teknik sampling, yaitu menentukan sampel yang akan digunakan dalam penelitian. Proses pengukuran dapat diturunkan dari pengertian teori yang lebih dikaitkan pada filosofi kemudian pada pengertian operasional (menjabarkan pengertian teori dengan dimensi-dimensi untuk dapat diukur, dapat dibaca melalui indikator) dan indikator yang diukur ini merupakan operasional dari data. Meskipun ada pihak yang menganggap statistika sebagai cabang dari matematika, tetapi sebagian pihak lainnya menganggap statistika sebagai bidang yang banyak terkait dengan matematika melihat dari sejarah dan aplikasinya. Di Indonesia, kajian statistika sebagian besar masuk dalam fakultas matematika dan ilmu pengetahuan alam, baik di dalam departemen tersendiri maupun tergabung dengan matematika. Model regresi merupakan komponen penting dalam beberapa analisis data dengan menggambarkan hubungan antara variabel respon
  • 11.
    Inferensi Dengan DuaSampel | STATISTIKA MATEMATIKA II 8 dan satu atau beberapa variabel bebas. Pada umumnya analisis regresi digunakan untuk menganalisis data dengan variabel respon berupa data kuantitatif. Akan tetapi dalam kehidupan sehari-hari sering ditemui kasus dengan variabel responnya bersifat kualitatif, seperti keputusan memilih “ya” atau “tidak”. Untuk menyelesaikan kasus ini dapat digunakan model probit. Perlu disadari kehadiran statistika pada masa sekarang dan masa akan datang sudah tidak bisa ditawar-tawar lagi. Statistika adalah salah satu yang sangat penting untuk menunjang penelitian. Kualitas dan kuantitas penelitian sangat menunjang keberhasilan pembangunan pada umumnya dan khususnya dalam mengambil kebijaksanaan atau kesimpulan-kesimpulan, disamping faktor-faktor penunjang lainnya. Sedangkan statistik dipergunakan untuk menyatakan kumpulan data, bilangan maupun non-bilangan yang disusun dalam suatu sajian data seperti tabel, diagram, grafik dan lain-lain. Statistik yang menjelaskan sesuatu hal secara umum diberi nama statistik mengenai hal yang bersangkutan. Contoh statistik penduduk suatu kabupaten/ kota pada tahun tertentu, statistik pendidikan daerah pada tahun tertentu, statistik kelulusan dan lain-lain yang disajikan dalam diagram batang, garis, tabel-tabel presentasi atau yang lain, dengan tujuan agar sajian data menarik bagi pembaca dalam melihat kumpulan data. Statistika dalam penelitian mempunyai peranan sangat penting yaitu untuk perumusan masalah, menentukan hipotesis,
  • 12.
    Inferensi Dengan DuaSampel | STATISTIKA MATEMATIKA II 9 menentukan besar sampel, menentukan benar atau tidaknya kesimpulan hasil penelitian dan lain sebagainya berdasarkan atas kumpulan data. Penarikan kesimpulan hasil penelitian juga sangat tergantung pada perhitungan-perhitungan dan jenis uji statistika yang dipergunakan. Statistika lebih spesifik dipergunakan dalam riset penelitian yang merupakan suatu pengetahuan tersendiri. Statistika adalah ilmu pengetahuan yang berhubungan dengan cara-cara pengumpulan data, pengolahan atau penganalisisan data dan penarikan kesimpulan berdasarkan kumpulan data dan analisis data yang dilakukan. Pengukuran-pengukuran pada jajaran operasional, dari skala pengukuran dapat mengenal beberapa skala pengukuran data yaitu nominal, ordinal, interval dan rasio. Penurunan skala pengukuran data dari rasio ke nominal dalam penelitian akan mengalami kerugian, kerugian yang dimaksud antara lain ketelitian dalam mencari data, kerugian dalam hal nilai dan kerugian dalam hal kemaknaan data, secara jelas yang dimaksudkan masing-masing skala-skala pegukuran itu adalah: 1. Nominal a. Penggolongan Jika didalam pengukuran skala yang hanya mampu mengelompokkan atau menggolongkan atas pengamatan. Ciri- ciri tertentu tidak mempunyai praduga yang satu lebih tinggi
  • 13.
    Inferensi Dengan DuaSampel | STATISTIKA MATEMATIKA II 10 dari yang lain, skala paling sederhana tidak mampu memberi jenjang yang baik. 2. Ordinal a. Penggolongan b. Urutan Artinya skala disamping memberi pengelompokan terhadap respon juga dapat memberi urutan pada respon. Urutan menunjukkan tingkatan bahwa satu lebih tinggi dari yang lain, yang satu lebih baik dari yang lain. Urutan yang dipakai disebut skala ordinal. Misal: sangat setuju, setuju, kurang setuju, . . . kemudian diberi skor menurut yang tertinggi (5, 4, 3, 2, 1). Bahwa sangat setuju lebih tinggi daripada kurang setuju dalam pendapat. Kasus nilai terdapat nilai A, B, C, D, E bahwa nilai A lebih baik dari nilai B, nilai B, lebih baik dari nilai C dan seterusnya. 3. Interval a. Penggolngan b. Urutan c. Jarak dua titik skala Artinya disamping mampu memberi pengelompokan dan mampu memberi urutan, dapat pula memberikan jarak dua titik yang sama atau dapat dilihat dari nilai nol yang didapat,
  • 14.
    Inferensi Dengan DuaSampel | STATISTIKA MATEMATIKA II 11 tidak ada nol murni (nilai nol relatif). Misal: Jarak antara tahun 1970 - 1980 - 1990 Mahasiswa ketika ujian mendapat nilai 0 dalam mata kuliah statistika, apakah yang bersangkutan sama sekali tidak tahu tentang statistika yang telah diterima, jawabnya tentu tidak. a. Rasio b. Penggolongan c. Urutan d. Jarak dua tiytik skala e. Titik nol murni Artinya mirip dengan skala interval hanya berbeda pada titik nol murni. Nilai nol menjadi syarat mutlak dalam skala pengukuran data dalam bentuk rasio. Macam-macam variabel (cara mengukur): 1. Kontinu 2. Diskrit Variabel kontinu adalah variabel yang memungkinkan memiliki nilai antara dari dua nilai yang sudah diskrit, variabel diperoleh dengan jalan pengukuran. Contoh: tinggi badan, berat badan.Variabel diskrit adalah variabel yang memiliki nilai-nilai genap (yang dinyatakan dengan bilangan bulat), variabel ini didapat dari menghitung atau membilang).
  • 15.
    Inferensi Dengan DuaSampel | STATISTIKA MATEMATIKA II 12 Statistika dapat dikelompokkan menjadi dua golongan besar, yaitu statistika deskriptif dan statistika analitik atau statistika inferensial. Statistika deskriptif adalah statistika yang berfungsi untuk mendeskripsikan atau memberi gambaran terhadap objek yang diteliti melalui data sampel atau populasi sebagaimana adanya, tanpa melakukan analisis dan membuat kesimpulan yang berlaku untuk umum. Statistika deskriptif adalah statistika yang membahas cara-cara penyajian data, sehingga data-data tersebut mudah dimengerti oleh pembaca. Data tersebut misalnya disajikan dalam bentuk grafik, diagram, kurva, tabel biasa maupun distribusi frekuensi dan lain sebagainya. Disamping itu statistika deskriptif dapat menyajikan kecenderungan pemusatan data dalam bentuk rata-rata (means), modus dan median. Selain itu, penyebaran data dalam bentuk range, standar deviasi, variansi dan lain sebagainya, juga dibahas dalam statistika deskriptif. Pada statistika deskriptif perlu adanya suatu hipotesis dan tidak dapat menarik kesimpulan data dari contoh terhadap populasi. Statistika analitik adalah statistika yang membahas tentang cara-cara analisis data untuk membuktikan benar salah suatu hipotesis yang telah dirumuskan, sehingga karakteristik data contoh tersebut dapat menyimpulkan karakteristik populasi. Statistika inferensial adalah statistika yang dengan segala informasi dari sampel digunakan untuk menarik kesimpulan mengenai karakteristik populasi dari mana sampel itu diambil. Untuk menarik kesimpulan tersebut dapat
  • 16.
    Inferensi Dengan DuaSampel | STATISTIKA MATEMATIKA II 13 dilakukan dengan dua cara, yaitu penaksiran parameter dan pengujian hipotesis. Statistika analitik dapat dikelompokkan menjadi statistika parametrik dan statistika nonparametrik. Statistika parametrik akan menganalisis data yang berbentuk kuantitatif dengan skala data berbentuk rasio atau interval dan perolehan data secara kontinu atau secara diskrit. Persyaratan lain untuk statistika parametrik adalah penyebaran data diketahui menyebar normal. Teknik-teknik ini berhubungan dengan estimasi parameter populasi serta pengujian hipotesis yang berhubungan dengan parameter tersebut, misalnya nilai rata-rata (µ), varians (σ2), banyaknya data pengamatan N. Statistika nonparametrik umumnya menganalisis data yang berbentuk kualitatif dengan skala ordinal dan nominal atau kategorial. Selain itu dapat juga menganalisis data kuantitatif dengan skala rasio atau interval, tetapi data tidak menyebar normal. Statistika nonparametrik disebut sebagai statistika bebas sebaran. Dalam menganalisis data sering terjadi kekeliruan dalam memperhitungkan data. Penggunaannya disebut pula taraf signifikan atau taraf nyata. Besar kecilnya dan yang dapat diterima dalam pengambilan keputusan bergantung pada akibat-akibat atas diperbuatnya kekeliruan-kekeliruan. Kebanyakan model probabilitas, terutama yang cukup luas nilai penggunaanya, tergantung pada beberapa konstan yang dikenal dengan nama parameter. Dalam banyak masalah, keluarga model
  • 17.
    Inferensi Dengan DuaSampel | STATISTIKA MATEMATIKA II 14 probabilitassyang menggambarkan suatu fenomena biasanya dianggap diketahui. Tetapi anggota tertentu dari keluarga itu yang dipandang paling tepatmenggambarkan fenomena tersebut mungkin sekali tidak diketahui.dalam hal ini perlu ditaksir berdasarkan data yang diambildari fenomena itu. Biasanya digunakan lambang μ dan σ untuk parameter mean dan deviasi standar distribusi normal, sedangkan untuk distribusi binomial, diunakan lambang n dan p masing-masing untuk parameter banyak kali usaha (trial) dan peluang sukses dalam tiap usaha. Namun, untuk membicarakan masalah penaksir parameter pada umumnya di gunakan huruf Yunani θ (theta) sebagai lambang parameter. Jadi, f(x;θ1, . . . , θk) akan menunjukkan fungsi probabilitas dengan k parameter (diketahui ataupun tidak) θ1, . . . , θk. Kebanyakan masalah yang dihadapi biasanya hanya memuat satu parameter. Mengapa banyak analisis statistik yang mengharuskan kita untuk menguji distribusi Normal terlebih dahulu?. Distribusi normal itu distribusi data yang memiliki grafik setangkup (seimbang antara kanan dan kiri/Xmin dan Xmaks), dimana rata-rata (mean) sama dengan modus (nilai yg sering muncul) dan sama dengan median (nilai yang berada di tengah), tidak ada outlier. Ada teori yg bernama "teorima limit pusat" yang menyatakan, semakin banyak data yang diambil akan semakin mendekati ditribusi
  • 18.
    Inferensi Dengan DuaSampel | STATISTIKA MATEMATIKA II 15 normal. Untuk itu perlu adanya pengujian distribusi normal atau tidak sebelum menggunakan metode statistika parametrik.Apabila tidak memenuhi distribusi normal, maka bisa ditambah datanya, dilakukan transformasi, atau dapat menggunakan alternative metode statistika non-parametrik. Data dapat diperoleh melalui beberapa cara seperti kegiatan rutin atau kegiatan penelitian. Pembagian data menurut sifat, sumber, cara memperoleh, waktu pengumpulan dapat diberikan contoh masing- masing sendiri menurut klasifikasi tersebut. Syarat data yang baik dan berguna sebagai dasar untuk pembuatan keputusan, agar tidak menimbulkan kesalahan adalah: 1) Data harus objektif, maksudnya data terkumpul sesuai dengan keadaan sebenarnya 2) Data harus bisa mewakili (representative) 3) Kesalahan baku (standart error) harus kecil 4) Ketiga syarat ini merupakan syarat yang bisa dipercaya kebenaran (reliable) akan suatu data. Sedang syarat berikut lebih menunjukkan pada manfaat atau kegunaan data, yaitu: 5) Harus tepat waktu, khususnya dipergunakan sebagai evaluasi atau alat kontrol 6) Harus relevan, maksudnya data terkumpul harus ada hubungan dengan persoalan yang akan dipecahkan
  • 19.
    Inferensi Dengan DuaSampel | STATISTIKA MATEMATIKA II 16 Dari kelima syarat diatas tentu tidak hanya data saja yang harus dipenuhi syarat-syaratnya, karena hal ini berkaitan dengan sampel dimana data diambil, sampel yang bagaimana supaya data terambil memenuhi persyaratan di atas, lebih jauh akan dibicarakan tersendiri tentang cara penentuan sampel suatu populasi. Populasi adalah totalitas semua nilai yang mungkin, hasil perhitungan ataupun pengukuran, kuantitatif maupun kualitatif mengenai karakteristik tertentu dari semua anggota kumpulan lengkap dan jelas yang dipelajarai sifat-sifatnya. Populasi adalah wilayah generalisasi yang terdiri atas objek/ subjek yang mempunyai kuantitas dan karakteristik tertentu yang ditetapkan oleh peneliti untuk dipelajari dan kemudian ditarik kesimpulannya. Satu orang dapat digunakan sebagai populasi, karena satu orang itu mempunyai berbagai karakteristik, contohnya gaya mengajar, gaya bicara, disiplin, cara menyampaikan pendapat, cara bergaul dan lain-lain. Sedangkan sebagian yang diambil dengan karakteristik yang identik dengan populasi disebut sampel. Statistika dapat dikelompokkan menjadi dua golongan besar, yaitu statistika deskriptif dan statistika analitik atau statistika inferensial. Statistika deskriptif adalah statistika yang berfungsi untuk mendeskripsikan atau memberi gambaran terhadap objek yang diteliti melalui data sampel atau populasi sebagaimana adanya, tanpa melakukan analisis dan membuat kesimpulan yang berlaku untuk umum. Statistika deskriptif adalah statistika yang membahas cara-cara
  • 20.
    Inferensi Dengan DuaSampel | STATISTIKA MATEMATIKA II 17 penyajian data, sehingga data-data tersebut mudah dimengerti oleh pembaca. Data tersebut misalnya disajikan dalam bentuk grafik, diagram, kurva, tabel biasa maupun distribusi frekuensi dan lain sebagainya. Disamping itu statistika deskriptif dapat menyajikan kecenderungan pemusatan data dalam bentuk rata-rata (means), modus dan median. Selain itu, penyebaran data dalam bentuk range, standar deviasi, variansi dan lain sebagainya, juga dibahas dalam statistika deskriptif. Pada statistika deskriptif perlu adanya suatu hipotesis dan tidak dapat menarik kesimpulan data dari contoh terhadap populasi. Bila populasi besar dengan peneliti tidak mungkin mempelajari semua yang ada pada populasi, karena keterbatasan dana, tenaga dan waktu, maka peneliti dapat menggunakan sampel itu, kesimpulan yang akan diambil dari populasi itu. Sampel terambil harus representatif dalam arti segala karakteristik populasi hendaknya dicerminkan pula dalam sampel yang terambil. Statistika adalah sekumpulan angka yang berguna bagi pemerintahan saja, namun telah mencakup penelitian diberbagai bidang seperti ekonomi, pertanian, sains, dan sebagainya. Statistika adalah cabang ilmu matematika yang mempelajari metode pengumpulan, pengolahan, penaksiran dan penarikan kesimpulan dari data yang berupa angka-angka. Statistika dibagi menjadi dua yaitu statistika deskriptif dan statistika induktif/ statistika zinferensi. Statistika deskriptif adalah
  • 21.
    Inferensi Dengan DuaSampel | STATISTIKA MATEMATIKA II 18 bagian dari statistika yang membahas tentang penyusunan data ke dalam daftar atau jadwal. Sedangkan statistika induktif/ statistika zinferensi adalah bagian dari statistika yang mencakup semua aturan dan metode yang dapat dipakai sebagai alat untuk menarik kesimpulan yang berlaku secara umum dari data yang telah disusun dan diolah sebelumnya. Peranan Statistika yaitu dalam kehidupan dan penelitian ilmiah. Statistika sebagai alat utama dalam penelitian untuk mendapatkan pengetahuan ilmiah. Statistika pada prinsipnya adalah mempelajari tentang pengumpulan data, pengolahan data, penganalisisan data, serta penarikan simpulan berdasarkan hasil analisis data. Menurut Steel dan Torrie (1980), statistika sebagai alat yang dapat diterapkan dalam metode ilmiah. Penerapannya ialah pada semua bidang ilmu, dan peneliti menetapkan sendiri masalah apa yang akan diteliti sesuai bidang ilmunya. Pengguna statistika, seringkali lupa bahwa mereka harus berpikir tentang masalah penelitiannya, karena statistika tidak dapat berpikir untuk mereka. Dalam penerapan statistika, masih ada pemahaman yang keliru, yakni para pengguna lebih menekankan kepada uji statistika yang digunakan daripada prosedur lainnya, terutama prosedur pengumpulan data. Cara memperoleh data yang benar serta kualitas data yang baik dan benar, akan sangat menentukan kualitas hasil penelitian. Oleh karena itu, data sebagai sumber utama informasi yang akan dianalisis haruslah tepat dan benar. Ada anggapan yang keliru
  • 22.
    Inferensi Dengan DuaSampel | STATISTIKA MATEMATIKA II 19 bahkan menyesatkan, yaitu data yang tidak benar apabila dianalisis dengan analisis data yang benar bahkan dengan menggunakan komputer, maka hasilnya akan menjadi benar. Anggapan ini sangat menyesatkan, bahkan mendorong peneliti untuk memanipulasi data guna memenuhi kepentingannya. Sesungguhnya, dalam analisis data juga berlaku prinsip gi-go (garbage in – garbage out). Bila yang di- input data sampah (bohong), maka hasil analisisnya juga bohong. Dalam menentukan jenis analisis data (uji statistika) yang akan digunakan, peneliti hendaknya menyesuaikan dengan tujuan penelitian. Statistika sebagai alat analisis harus digunakan secara tepat, agar diperoleh hasil penelitian yang benar serta dapat dipertanggungjawabkan secara ilmiah. Sebagai ilustrasi sederhana tentang penggunaan alat yang tepat, katakanlah seorang ibu ingin membersihkan ikan selar (tude) sebelum dimasak. Ibu tersebut diperhadapkan dengan beberapa pilihan alat yang akan digunakan, sebut saja: parang, sabel, pisau, silet, gergaji, keris, dan sebagainya. Kita mungkin tertawa mendengar pilihan alat tersebut, karena kita sudah tahu bahwa pisau-lah yang paling tepat. Keadaan seperti ini mungkin saja pernah atau akan kita hadapi, ketika menganalisis data, apabila kita tidak tahu persis alat analisis yang digunakan. Oleh karena itu, pengetahuan dasar tentang statistika, sebaiknya diketahui setiap peneliti ataupun ilmuwan. Metode Statistika adalah seperangkat alat dalam penelitian. Oleh karena itu, pemilihan dan penggunaannya harus tepat dan benar.
  • 23.
    Inferensi Dengan DuaSampel | STATISTIKA MATEMATIKA II 20 Metode uji statistika yang digunakan harus cocok dengan tujuan pengujian dan skala datanya. Selain itu, penarikan simpulan harus benar dan asumsi-asumsi yang mendasari metode uji harus dipenuhi. Statistika memberikan cara untuk dapat menarik simpulan yang bersifat umum dengan jalan mengamati hanya sebagian dari populasi, yang disebut sampel (contoh). Selain itu, statistika juga memberikan kemampuan kepada kita untuk mengetahui apakah benar ada suatu hubungan sebab-akibat atau perbedaan antara dua atau lebih faktor, ataukah hubungan atau perbedaan tersebut hanya secara kebetulan saja. Statistika inferensial digunakan untuk membantu menyelesaikan permasalahan-permasalahan yang asing dan kompleks yang ditemukan di kehidupan sehari-hari. Contohnya, ketika anda membeli atau meminjam sebuah mobil, pertama yang anda lakukan adalah memeriksa kenormalan suara dan vibrasi (getaran) mesin, khususnya pada mobil yang tipe lama dengan banyaknya suara yang berderik dan mencicit. Setelah, mengetahui tipe apa, anda dapat mendeteksi suara yang halus tetapi tidak normal seperti pada pengereman dan poros roda. Kemudian baru bawa ke bengkel. Montir bengjel akan menentukan mana yang mengalami ketidak-normalan dan mengapa bisa terjadi? Bagaimana mereka bisa mengetahuinya? Mungkin dari seringya mereka memperbaiki banyak mobil. Beberapa mobil yang normal sangat tenang, beberapa yang lain sangat rebut, meskipun kelihatannya baik-baik saja, tetapi padahal lebih dari hanya rebut. Montir bengkel mengetahui permasalahan jenis
  • 24.
    Inferensi Dengan DuaSampel | STATISTIKA MATEMATIKA II 21 apa yang ada pada mobil anda? Montir membawa mobil aanda untuk pengujian kendaraan tetapi hanya dibatasi waktu lima menit karena pelanggan yang lain menunggu ini adalah satu contoh kecil untuk mengambil keputusan dengan suatu permasalahn yang tidak normal. Ketika kita harus mengambil keputusan dengaan sedikit informasi dari pada yang diharapkan. Dari contoh ini, dengan waktu hanya lima menit pengujian kendaraan, montir harus memutuskan jenis kebisingan apa yang menjadi penyebab rebut pada mobil itu. Dia mempergunakan estimasi (perkiraan), menduga nilai populasi dari suatu sample yaitu dari ketidaknormalan suara-suara mobil sepanjang pengetahuannya mengenai kendaraan yang normal. Dugaan berikutnya, apakah kebisingan suara mobil itu merupakan bagian poopulasi dari suara mesin mobil yang sebut atau bagaian populasi dari mobil yang mengalami kerusakan pada poros roda. Kerusakan pada poros roda merupakan suatu masalah yang serius jika dibandingkan akan memungkinkan terjadinya kecelakaan. Interval kepercayaan sama seperti menemukan nilai kebenaran suatu pengukuran. Berikut ini ilustrasi dari sebaran distribusi sample: Li : kemungkinan yang diterima (liberty) B1 : garis bawah kewajaran (borderline) A1 : tidak wajar (atypical) a) Suatu interval kepercayaan adalah daerah yang berada di sekitar statistic sample (seperti rata-rata) yang membuat nilai populasi
  • 25.
    Inferensi Dengan DuaSampel | STATISTIKA MATEMATIKA II 22 (contoh: rata-rata populasi) dengan kepercayaan tertentu yang dinyatakan dalam kemungkinan atau sebagai presentase. b) Menentukan luas interval kepercayaan melalui beberapa yakin bahwa nilai kepercayaan yang diambil memenuhi parameter. c) Suatu kepercayaan dinyatakan dengan kemungkinan dari 2 ke 1 yang mengiring 68 persen interval kepercayaan luas standarerror 1: kemingkinan dari 19 ke 1 mengiring 95 persen interval kepercayaan, luas standar error 1.96: dan kemungkinan dari 99 ke 1 mengiring 99 persen interval kepercayaan yang luas standar error 2.58. Agar penelitian dapat dilakukan maka kedua kekeliruan itu kita nyatakan dalam peluang. Peluang membuat kekeliruan tipe I biasa dinyatakan dengan, dan peluang membuat kekeliruan tipe II dinyatakan dengan. Dalam penggunannya disebut pula taraf signifikan atau taraf nyata. Besar kecilnya dan yang dapat diterima dalam pengambilan keputusan bergantung pada akibat-akibat atas diperbuatnya kekeliruan- kekelirua. Jika diperkecil, maka menjadi besar dan demikian sebaliknya. Akan diambil lebih dahulu dengan harga yang biasa digunakan yaitu atau . Dengan misalnya, atau taraf nyata berarti kira- kira yakin bahwa kita telah membuat kesimpulan yang benar, dan mungkin salah dengan peluang. Unutk setiap pengujian dengan yang ditentukan besar dapat dihitung. Harga dinamakan kuasa uji. Ternyata bahwa nilai berbeda untuk harga parameter yang berlainan, jadi
  • 26.
    Inferensi Dengan DuaSampel | STATISTIKA MATEMATIKA II 23 bergantung pada parameter., sehingga didapat sebuh fungsi yang bergantung pada. Bentuk dinamakan fungsi cirri operasi. Dan disebut fungsi kuasa. Sebagian besar orang pasti sudah tau bila mendengar kata statistika. Jika ditanya sejak kapan mereka mengenal statistika mungkin sebagian besar orang akan menjawabnya “ oh saat saya mulai sekolah, hmm mungkin sekitar SMP atau SMA”. Tetapi sadarkah Anda, sebenarnya kita mengenal statistika semenjak kita lahir. Tanpa kita sadari saat lahir, kita sudah dikenalkan yang namanya statistika. Hal yang paling sederhana misalnya : berat dan panjang badan kita saat lahir. Namun karena saat itu kita masih sangat kecil dan belum bisa berpikir, dan merasakan apa-apa jadi kita tidak mengetahuinya. Seringkali kita tidak menyadari bahwa dalam kehidupan kita sehari-hari kita seringkali sudah melakukan penelitian, misalnya dalam membeli suatu barang yang berharga mahal seperti komputer, kita tentu saja melakukan penelitian ke toko-toko komputer untuk membandingkan harga, fitur, maupun jaminannya. Sebelum bicara lebih lanjut tentang statistika, kita perlu mencari tau apa sebenarnya statistika itu. Statistika adalah ilmu yang mempelajari bagaimana merencanakan, mengumpulkan, menganalisis, menginterpretasi, dan mempresentasikan data. Singkatnya, statistika adalah ilmu yang berkenaan dengan data. Atau statistika adalah ilmu yang berusaha untuk mencoba mengolah data untuk mendapatkan manfaat berupa keputusan dalam kehidupan.
  • 27.
    Inferensi Dengan DuaSampel | STATISTIKA MATEMATIKA II 24 Istilah ’statistika’ (bahasa Inggris: statistics) berbeda dengan ’statistik’ (statistic). Statistika merupakan ilmu yang berkenaan dengan data, sedang statistik adalah data, informasi, atau hasil penerapan algoritma statistika pada suatu data. Dari kumpulan data, statistika dapat digunakan untuk menyimpulkan atau mendeskripsikan data; ini dinamakan statistika deskriptif. Sebagian besar konsep dasar statistika mengasumsikan teori probabilitas. Beberapa istilah statistika antara lain: populasi, sampel, unit sampel, dan probabilitas. Statistika banyak diterapkan dalam berbagai disiplin ilmu, baik ilmu-ilmu alam (misalnya astronomi dan biologi maupun ilmu-ilmu sosial (termasuk sosiologi dan psikologi), maupun di bidang bisnis, ekonomi, dan industri). Statistika juga digunakan dalam pemerintahan untuk berbagai macam tujuan; sensus penduduk merupakan salah satu prosedur yang paling dikenal. Aplikasi statistika lainnya yang sekarang popular adalah prosedur jajak pendapat atau polling (misalnya dilakukan sebelum pemilihan umum), serta jajak cepat (perhitungan cepat hasil pemilu) atau quick count. Di bidang komputasi, statistika dapat pula diterapkan dalam pengenalan pola maupun kecerdasan buatan. Metode statistika adalah metode-metode/prosedur-prosedur untuk pengumpulan, penyajian , analisis, dan kesimpulan dari data. Metode statistika terbagi dua yaitu : a) Statistika deskriptif yaitu berkaitan dengan kegiatan pencatatan dan peringkasan hasil-hasil pengamatan terhadap kejadian-kejadian
  • 28.
    Inferensi Dengan DuaSampel | STATISTIKA MATEMATIKA II 25 atau karakteristik-karakteristik manusia, tempat dan sebagainya, secara kuantitatif. b) Statistika inferensial yaitu metode-metode untuk menganalisis sampel dari populasi sehingga dapat ditarik kesimpulan tentang populasi dari sampel tersebut. Populasi dan Sampel Populasi adalah keseluruhan objek psikologis yang menjadi perhatian. Populasi bisa populasi yang terhingga (contohnya : jumlah mahasiswa UNPAD) dan populasi tak terhingga (contohnya : jumlah mahasiswa UNPAD dari dulu hingga sekarang dan nantinya). Sampel adalah himpunan bagian dari populasi. Parameter dan Statistik Parameter adalah sembarang nilai yang menjelaskan ciri populasi Statistik adalah sembarang nilai yang menjelaskan ciri dari sampel Himpunan data adalah kumpulan dari fakta yang dikumpulkan untuk maksudtertentu. Data diskrit : data yang diperoleh dari proses hitungan Data kontinu : data yang diperoleh dari proses pengukuran Karakteristik dari himpunan data adalah : a) Anggota : sekumpulan data terdiri dari sekumpulan dari anggota- anggota untuk masing-masing anggota informasi tentang satu atau lebih karakteristik yang diinginkan.
  • 29.
    Inferensi Dengan DuaSampel | STATISTIKA MATEMATIKA II 26 b) Variabel : sebuah karakteristik yang dapat diperoleh dari berbagai kemungkinan hasil yang berbeda-beda. c) Variabel kuantitatif : variabel yang hasilnya berupa angka d) Variabel kualitatif : variabel yang hasilnya hanya atribut. Pengamatan (observasi) : informasi tentang sebuah variabel tunggal untuk sebuah anggota dari sekumpulan data. Statistika parametrik adalah prosedur yang pengujian yang dilakukan berlandaskan distribusi. Salah satu karakteristiknya penggunaan prosedur ini melibatkan asumsi-asumsi tertentu. Contoh dari statistik parametrik adalah analisis regresi, analisis korelasi, analisis varians. Statistika non parametrik adalah prosedur dimana kita tidak melibatkan parameter serta tidak terlibatnya distribusi. Contoh : uji keacakan, uji kecocokan (goodness of fit),dll. Kelebihan statistika non parametric a) Asumsi yang digunakan dalam jumlah yang minimum maka kemungkina penggunaan secara salah juga kecil. b) Untuk beberapa prosedur perhitungan dapat dilakukan dengan mudah secara manual. c) Konsep-konsep dari prosedur ini menggunakan dasar matematika dan statistika yang mudah dipahami. d) Prosedur ini dapat digunakan pada skala ordinal maupun nominal. Kelemahan dari prosedur statistika non parametrik
  • 30.
    Inferensi Dengan DuaSampel | STATISTIKA MATEMATIKA II 27 a) Jika suatu kasus yang dapat dianalisis dengan statistika parametrik, kemudian digunakan analisis statistika non parametrik akan menyebabkan pemborosan informasi. b) Meskipun prosedur penghitungannya sederhana, perhitungannya kadang-kadang membutuhkan banyak tenaga dan menjemukan. Kapan prosedur non parametrik digunakan ? a) Bila hipotesis yang harus diuji tidak melibatkan suatu parameter populasi. b) Bila skala pengukuran yang disyaratkan dalam statistika parametrik tidak terpenuhi misalnya skala ordinal dan nominal. c) Skala Pengukuran Data dibedakan menurut skala yang digunakan pada saat melakukan pengukuran. Dengan pengukuran dimaksudkan sebagai upaya memberikan angka numerik terhadap obyek menurut aturan- aturan tertentu. Aturan yang berbeda akan menghasilkan skala yang berlainan sehingga akan memberikan jenis pengukuran yang berbeda. Terdapat empat macam skala pengukuran yang ada yaitu: Skala nominal merupakan skala pengukuran yang paling rendah tingkatannya di antara ke empat skala pengukuran yang lain. Seperti namanya, skala ini membedakan satu obyek dengan obyek lainnya berdasarkan lambang yang diberikan. Oleh karena itu data dalam skala nominal dapat dikelompokkan ke dalam beberapa kategori, dan kepada kategori tersebut dapat diberikan lambang yang sesuai atau sembarang bilangan.
  • 31.
    Inferensi Dengan DuaSampel | STATISTIKA MATEMATIKA II 28 Bilangan yang diberikan tidak mempunyai arti angka numerik artinya kepada angka-angka tersebut tidak dapat dilakukan operasi aritmetika, tidak boleh menjumlahkan, mengurangi, mengalikan, dan membagi. Bilangan yang diberikan hanyalah berfungsi sebagai lambang yang dimaksudkan hanya untuk membedakan antara data yang satu dengan data yang lainnya. Contoh : Data mengenai barang-barang yang dihasilkan oleh sebuah mesin dapat digolongkan dalam kategori cacat atau tidak cacat. Barang yang cacat bisa diberi angka 0 dan yang tidak cacat diberi angka 1. Data 1 tidaklah berarti mempunyai arti lebih besar dari 0. Data satu hanyalah menyatakan lambang untuk barang yang tidak cacat. Kesimpulan : Bilangan dalam Skala Nominal berfungsi hanya sebagai lambang untuk membedakan, terhadap bilangan-bilangan tersebut tidak berlaku hukum aritmetika, tidak boleh menjumlahkan, mengurangi, mengalikan, maupun membagi. Hubungan yang membatasi adalah hubungan sama dengan   dan tidak sama dengan   . Statistik yang sesuai dengan data berskala Nominal adalah Statistik Nonparametrik. Contoh perhitungan statistik yang cocok adalah Modus, Frekuensi dan Koefisien Kontingensi. Skala ordinal Skala pengukuran berikutnya adalah skala pengukuran ordinal. Skala pengukuran ordinal mempunyai tingkat yang lebih tinggi dari
  • 32.
    Inferensi Dengan DuaSampel | STATISTIKA MATEMATIKA II 29 skala pengukuran nominal. Dalam skala ini, terdapat sifat skala nominal, yaitu membedakan data dalam berbagai kelompok menurut lambang, ditambah dengan sifat lain yaitu, bahwa satu kelompok yang terbentuk mempunyai pengertian lebih (lebih tinggi, lebih besar,…) dari kelompok lainnya. Oleh karena itu, dengan skala ordinal data atau obyek memungkinkan untuk diurutkan atau dirangking. Contoh : Sistem kepangkatan dalam dunia militer adalah satu contoh dari data berskala ordinal Pangkat dapat diurutkan atau dirangking dari Prajurit sampai Sersan berdasarkan jasa, dan lamanya pengabdian. Jika peneliti merangking data lamanya pengabdian maka peneliti dapat memberikan nilai 1, 2, 3, … , 4 dst masing-masing terhadap seseorang anggota ABRI yang berpangkat Prajurit, Kopral, Sersan, dst. Berbeda dengan skala nominal, angka yang diberikan terhadap obyek tidak semata-mata berlaku sebagai lambang tetapi juga memperlihatkan urutan atau rangking. Kesimpulan: Pada tingkat pengukuran ordinal, bilangan yang didapat berfungsi sebagai : 1. lambang untuk membedakan 2. untuk mengurutkan peringkat berdasarkan kualitas yang telah ditentukan (> atau < ). Pada tingkat pengukuran ordinal kita bisa mengatakan lebih baik/lebih buruk, lebih besar/lebih kecil, tetapi tidak bisa menentukan berapa kali lebih besarnya/lebih buruknya.
  • 33.
    Inferensi Dengan DuaSampel | STATISTIKA MATEMATIKA II 30 Statistik yang sesuai dengan data berskala Ordinal adalah Statistik Nonparametrik. Contoh perhitungan statistik yang cocok adalah Median, Persentil, Korelasi Spearman (rs ), Korelasi Thau- Kendall dan Korelasi Thau-Kendall (W). Skala interval Skala pengukuran Interval adalah skala yang mempunyai semua sifat yang dipunyai oleh skala pengukuran nominal, dan ordinal ditambah dengan satu sifat tambahan. Dalam skala interval, selain data dapat dibedakan antara yang satu dengan yang lainnya dan dapat dirangking, perbedaan (jarak/interval) antara data yang satu dengan data yang lainnya dapat diukur. Contoh : Data tentang suhu empat buah benda A, B, C , dan D yaitu masing-masing 20. 30, 60, dan 70 derajat Celcius, maka data tersebut adalah data dengan skala pengukuran interval karena selain dapat dirangking, peneliti juga akan tahu secara pasti perbedaan antara satu data dengan data lainnya. Perbedaan data suhu benda pertama dengan benda kedua misalnya, dapat dihitung sebesar 10 derajat, dst. Namun dalam skala interval, tidak mungkin kita melakukan perbandingan antara satu data dengan data yang lainnya. Kita tidak dapat mengatakan bahwa suhu 60 derajat Celcius dari benda C dan 30 derajat Celcius untuk suhu benda B berarti bahwa benda C 2x lebih panas dari benda B. Hal ini tidak mungkin karena skala interval tidak mempunyai titik nol yang mutlak. Titik nol yang
  • 34.
    Inferensi Dengan DuaSampel | STATISTIKA MATEMATIKA II 31 tidak mutlak berarti : benda dengan suhu nol derajat Celcius bukan berarti bahwa benda tersebut tidak mempunyai panas. Kesimpulan : Bilangan pada skala interval fungsinya ada tiga yaitu : a) Sebagai lambang untuk membedakan, b) Untuk mengurutkan peringkat, misal, makin besar bilangannya, peringkat makin tinggi ( > atau <), c) Bisa memperlihatkan jarak/perbedaan antara data obyek yang satu dengan data obyek yang lainnya. Titik nol bukan merupakan titik mutlak, tetapi titik yang ditentukan berdasarkan perjanjian. Statistik yang sesuai dengan data berskala Interval adalah Statistik Nonparametrik dan Statistik Parametrik. Contoh perhitungan statistik yang cocok adalah Rata-rata, Simpangan Baku, dan Korelasi Pearson. Skala rasio Skala rasio merupakan skala yang paling tinggi peringkatnya. Semua sifat yang ada dalam skala terdahulu dipunyai oleh skala rasio. Sebagai tambahan, dalam skala ini, rasio (perbandingan) antar satu data dengan data yang lainnya mempunyai makna. Contoh : Data mengenai berat adalah data yang berskala rasio. Dengan skala ini kita dapat mengatakan bahwa data berat badan 80 kg adalah 10 kg lebih berat dari yang 70 kg, tetapi juga dapat mengatakan
  • 35.
    Inferensi Dengan DuaSampel | STATISTIKA MATEMATIKA II 32 bahwa data 80 kg adalah 2x lebih berat dari data 40 kg. Berbeda dengan interval, skala rasio mempunyai titik nol yang mutlak. Kesimpulan : Bilangan pada skala Rasio fungsinya ada tiga yaitu : a) Sebagai lambang untuk membedakan b) Untuk mengurutkan peringkat, misal, makin besar bilangannya, peringkat makin tinggi (> atau < ), c) Bisa memperlihatkan jarak/perbedaan antara data obyek yang satu dengan data obyek yang lainnya. d) Rasio (perbandingan) antar satu data dengan data yang lainnya dapat diketahui dan mempunyai arti. Titik nol merupakan titik mutlak. Statistik yang sesuai dengan data berskala Rasio adalah Statistik Nonparametrik dan Statistik Parametrik. Contoh perhitungan statistik yang cocok adalah Rata-rata kur, Koefisien Variasi dan statistik-statistik lain yang menuntut diketahuinya titik nol mutlak. Kuantitas penelitian sangat menunjang keberhasilan pembangunan pada umumnya dan khusunya dalam mengambil kebijaksanaan atau kesimpulan-kesimpulan, disamping faktor-faktor penunjang lainnya Statistika adalah ilmu pengetahuan yang berhubungan dengan cara-cara pengumpulan data, pengolahan atau penganalisissan data dan penarikan kesimpulan berdasarkan kumpulan Di Indonesia, kajian statistika sebagian besar masuk dalam fakultas matematika dan ilmu
  • 36.
    Inferensi Dengan DuaSampel | STATISTIKA MATEMATIKA II 33 pengetahuan alam, baik di dalam departemen tersendiri maupun tergabung dengan matematika. Dalam mengaplikasikan statistika terhadap permasalahan sains, industri, atau sosial, pertama-tama dimulai dari mempelajari populasi. Makna populasi dalam statistika dapat berarti populasi benda hidup, benda mati, ataupun benda abstrak. Populasi juga dapat berupa pengukuran sebuah proses dalam waktu yang berbeda-beda, yakni dikenal dengan istilah deret waktu. Melakukan pendataan (pengumpulan data) seluruh populasi dinamakan sensus. Sebuah sensus tentu memerlukan waktu dan biaya yang tinggi. Untuk itu, dalam statistika seringkali dilakukan pengambilan sampel (sampling), yakni sebagian kecil dari populasi, yang dapat mewakili seluruh populasi. Analisis data dari sampel nantinya digunakan untuk menggeneralisasikan seluruh populasi. Jika sampel yang diambil cukup representatif, inferensial (pengambilan keputusan) dan simpulan yang dibuat dari sampel dapat digunakan untuk menggambarkan populasi secara keseluruhan. Metode statistika tentang bagaimana cara mengambil sampel yang tepat dinamakan teknik sampling. Analisis statistik banyak menggunakan probabilitas sebagai konsep dasarnya. Sedangkan matematika statistika merupakan cabang dari matematika terapan yang menggunakan teori probabilitas dan analisis matematis untuk mendapatkan dasar-dasar teori statistika.
  • 37.
    Inferensi Dengan DuaSampel | STATISTIKA MATEMATIKA II 34 Ada dua macam statistika, yaitu statistika deskriptif dan statistika inferensial. Statistika deskriptif berkenaan dengan deskripsi data, misalnya dari menghitung rata-rata dan varians dari data mentah; mendeksripsikan menggunakan tabel-tabel atau grafik sehingga data mentah lebih mudah “dibaca” dan lebih bermakna. Sedangkan statistika inferensial lebih dari itu, misalnya melakukan pengujian hipotesis, melakukan prediksi observasi masa depan, atau membuat model regresi. Statistika deskriptif berkenaan dengan bagaimana data dapat digambarkan dideskripsikan) atau disimpulkan, baik secara numerik (misalnya menghitung rata-rata dan deviasi standar) atau secara grafis (dalam bentuk tabel atau grafik), untuk mendapatkan gambaran sekilas mengenai data tersebut, sehingga lebih mudah dibaca dan bermakna. Statistika inferensial berkenaan dengan permodelan data dan melakukan pengambilan keputusan berdasarkan analisis data, misalnya melakukan pengujian hipotesis, melakukan estimasi pengamatan masa mendatang (estimasi atau prediksi), membuat permodelan hubungan (korelasi, regresi, ANOVA, deret waktu), dan sebagainya. Populasi merupakan totalitas semua nilai yang mungkin, hasil perhitungan ataupun pengukuran, kuantitaif ataupun kualitatif menegnai karakteristik tertentu dari semua anggota kumpulan lengkap dan jelas yang dipelajari sifat-sifatnya. Populasi adalah wilayah generalisasi yang terdiri dari: objek atau subjek yang mempunyai kuantitas dan karakteristik tertentu yang diterapkan oleh peneliti untuk
  • 38.
    Inferensi Dengan DuaSampel | STATISTIKA MATEMATIKA II 35 dipelajari dan kemudian ditarik kesimpulannya. Satu orang dapat digunakan sebagai populasi karena satu orang itu mempunyai berbagai macam karakteristik, contohnya gaya mengajar, gaya bicara, disiplin, cara menyampaikan pendapat, cara bergaul dan lain-lain. Sedangkan sebagian yang diambil dengan karakteristik yang identik dengan populasi disebut sampel. Bila populasi besar dan peneliti tidak mungkin mempelajari semua yang ada pada populasi, karena keterbatasan dana, tenaga dan waktu, maka peneliti dapat menggunakan sampel itu, kesimpulan yang akan diambil dari populasi itu. Sampel terambil harus representatif, dalam arti segala karakteristik populasi hendaknya dicerminkan pula dalam sampe yang terambil. Statistika merupakan salah satu ilmu yang sangat penting untuk menunjang penelitian. Kualitas dan data dan analisis data yang dilakukan. Statistika matematika merupakan ibu dari segala ilmu yang mendasarkan pada teori probabilitas, bagaikan matematika merupakan ibu dari segala ilmu pengetahuan. Statistika matematika merupakan cabang dari matematika terapan yang menggunakan teori probabilitas dan analitis matematis untuk mendapatkan dasar-dasar teori statistika. Di dalam statistika matematika, yang merupakan dasarnya adalah teori probabilitas, ada empat konsep dasar peluang, antara lain adalah eksperimen, hasil, ruang sampel, kejadian. Penerapan metode peluang untuk menganalisis dan menginterpretasikan data empiris dikenal sebagai inferensi statistik. Secara lebih spesifik, inferensial staistik dapat diartikan sebagai proses
  • 39.
    Inferensi Dengan DuaSampel | STATISTIKA MATEMATIKA II 36 pengambilan kesimpulan (atau generalisasi) dari suatu sampel tertentu, yakni dari suatu himpunan n observasi, untuk populasi teoritis dari mana sampel itu diambil. Bentuk generalisasi itu dapat sangat berbeda- beda tergantung situasinya; mungkin berbentuk taksiran satu nilai tertentu (taksiran interval), atau bahkan jawaban dikolomi ya atau tidak (uji hipotesis). Selain itu Statistika dapat diartikan sebagai ilmu yang mempelajari bagaimana merencanakan, mengumpulkan, menganalisis, menginterpretasi, dan mempresentasikan data. Singkatnya, statistika adalah ilmu yang berkenaan dengan data. Istilah 'statistika' (bahasa Inggris: statistics) berbeda dengan 'statistik' (statistic). Statistika merupakan ilmu yang berkenaan dengan data, sedang statistik adalah data, informasi, atau hasil penerapan algoritma statistika pada suatu data. Dari kumpulan data, statistika dapat digunakan untuk menyimpulkan atau mendeskripsikan data; ini dinamakan statistika deskriptif. Sebagian besar konsep dasar statistika mengasumsikan teori probabilitas. Beberapa istilah statistika antara lain: populasi, sampel, unit sampel, dan probabilitas. Statistika banyak diterapkan dalam berbagai disiplin ilmu, baik ilmu-ilmu alam (misalnya astronomi dan biologi maupun ilmu-ilmu sosial (termasuk sosiologi dan psikologi), maupun di bidang bisnis, ekonomi, dan industri). Statistika juga digunakan dalam pemerintahan untuk berbagai macam tujuan; sensus penduduk merupakan salah satu prosedur yang paling dikenal. Aplikasi statistika
  • 40.
    Inferensi Dengan DuaSampel | STATISTIKA MATEMATIKA II 37 lainnya yang sekarang popular adalah prosedur jajak pendapat atau polling (misalnya dilakukan sebelum pemilihan umum), serta jajak cepat (perhitungan cepat hasil pemilu) atau quick count. Di bidang komputasi, statistika dapat pula diterapkan dalam pengenalan pola maupun kecerdasan buatan. Penggunaan istilah statistika berakar dari istilah istilah dalam bahasa latin modern statisticum collegium ("dewan negara") dan bahasa Italia statista ("negarawan" atau "politikus"). Gottfried Achenwall (1749) menggunakan Statistik dalam bahasa Jerman untuk pertama kalinya sebagai nama bagi kegiatan analisis data kenegaraan, dengan mengartikannya sebagai "ilmu tentang negara (state)". Pada awal abad ke-19 telah terjadi pergeseran arti menjadi "ilmu mengenai pengumpulan dan klasifikasi data". Sir John Sinclair memperkenalkan nama (Statistics) dan pengertian ini ke dalam bahasa Inggris. Jadi, statistika secara prinsip mula-mula hanya mengurus data yang dipakai lembaga-lembaga administratif dan pemerintahan. Pengumpulan data terus berlanjut, khususnya melalui sensus yang dilakukan secara teratur untuk memberi informasi kependudukan yang berubah setiap saat. Pada abad ke-19 dan awal abad ke-20 statistika mulai banyak menggunakan bidang-bidang dalam matematika, terutama probabilitas. Cabang statistika yang pada saat ini sangat luas digunakan untuk mendukung metode ilmiah, statistika inferensi, dikembangkan pada paruh kedua abad ke-19 dan awal abad ke-20 oleh Ronald Fisher (peletak dasar statistika inferensi), Karl Pearson (metode regresi
  • 41.
    Inferensi Dengan DuaSampel | STATISTIKA MATEMATIKA II 38 linear), dan William Sealey Gosset (meneliti problem sampel berukuran kecil). Penggunaan statistika pada masa sekarang dapat dikatakan telah menyentuh semua bidang ilmu pengetahuan, mulai dari astronomi hingga linguistika. Bidang-bidang ekonomi, biologi dan cabang-cabang terapannya, serta psikologi banyak dipengaruhi oleh statistika dalam metodologinya. Akibatnya lahirlah ilmu-ilmu gabungan seperti ekonometrika, biometrika (atau biostatistika), dan psikometrika. Meskipun ada kubu yang menganggap statistika sebagai cabang dari matematika, tetapi orang lebih banyak menganggap statistika sebagai bidang yang banyak terkait dengan matematika melihat dari sejarah dan aplikasinya. Di Indonesia, kajian statistika sebagian besar masuk dalam fakultas matematika dan ilmu pengetahuan alam, baik di dalam departemen tersendiri maupun tergabung dengan matematika. Dalam mengaplikasikan statistika terhadap permasalahan sains, industri, atau sosial, pertama-tama dimulai dari mempelajari populasi. Makna populasi dalam statistika dapat berarti populasi benda hidup, benda mati, ataupun benda abstrak. Populasi juga dapat berupa pengukuran sebuah proses dalam waktu yang berbeda-beda, yakni dikenal dengan istilah deret waktu. Melakukan pendataan (pengumpulan data) seluruh populasi dinamakan sensus. Sebuah sensus tentu memerlukan waktu dan biaya yang tinggi. Untuk itu, dalam statistika seringkali dilakukan pengambilan sampel (sampling), yakni sebagian kecil dari populasi,
  • 42.
    Inferensi Dengan DuaSampel | STATISTIKA MATEMATIKA II 39 yang dapat mewakili seluruh populasi. Analisis data dari sampel nantinya digunakan untuk menggeneralisasikan seluruh populasi. Jika sampel yang diambil cukup representatif, inferensial (pengambilan keputusan) dan simpulan yang dibuat dari sampel dapat digunakan untuk menggambarkan populasi secara keseluruhan. Metode statistika tentang bagaimana cara mengambil sampel yang tepat dinamakan teknik sampling. Analisis statistik banyak menggunakan probabilitas sebagai konsep dasarnya. Sedangkan matematika statistika merupakan cabang dari matematika terapan yang menggunakan teori probabilitas dan analisis matematis untuk mendapatkan dasar-dasar teori statistika. Ada dua macam statistika, yaitu statistika deskriptif dan statistika inferensial. Statistika deskriptif berkenaan dengan deskripsi data, misalnya dari menghitung rata-rata dan varians dari data mentah; mendeksripsikan menggunakan tabel-tabel atau grafik sehingga data mentah lebih mudah “dibaca” dan lebih bermakna. Sedangkan statistika inferensial lebih dari itu, misalnya melakukan pengujian hipotesis, melakukan prediksi observasi masa depan, atau membuat model regresi. Statistika deskriptif berkenaan dengan bagaimana data dapat digambarkan dideskripsikan) atau disimpulkan, baik secara numerik (misalnya menghitung rata-rata dan deviasi standar) atau secara grafis (dalam bentuk tabel atau grafik), untuk mendapatkan gambaran sekilas mengenai data tersebut, sehingga lebih mudah dibaca dan bermakna.
  • 43.
    Inferensi Dengan DuaSampel | STATISTIKA MATEMATIKA II 40 Statistika inferensial berkenaan dengan permodelan data dan melakukan pengambilan keputusan berdasarkan analisis data, misalnya melakukan pengujian hipotesis, melakukan estimasi pengamatan masa mendatang (estimasi atau prediksi), membuat permodelan hubungan (korelasi, regresi, ANOVA, deret waktu), dan sebagainya. B. Rumusan Masalah Adapun rumusan masalah dari makalah ini adalah 1. Apa itu Uji t dua sampel : Menguji H0 : 𝜇 𝑋 = 𝜇 𝑌 ? 2. Apa itu Uji f : Menguji H0 : 𝛼2 X = 𝛼2 Y ? 3. Apa yang dimaksud Data Binomial : Uji H0 : 𝑃 𝑋 = 𝑃 𝑌? 4. Apa yang dimaksud Interval Kepercayaan untuk Masalah Dua Sampel ? 5. Apa itu Penjabaran Uji t Dua Sampel ? C. Tujuan Tujuan dari isi makalah ini adalah untuk mengetahui: 1. Uji t dua sampel : Menguji H0 : 𝜇 𝑋 = 𝜇 𝑌 2. Uji f : Menguji H0 : 𝛼2 X = 𝛼2 Y 3. Data Binomial : Uji H0 : 𝑃 𝑋 = 𝑃 𝑌 4. Interval Kepercayaan untuk Masalah Dua Sampel 5. Penjabaran Uji t Dua Sampel D. Manfaat Manfaat yang dapat diperoleh dari makalah ini adalah agar mahasiswa dapat memahami/mengetahui :
  • 44.
    Inferensi Dengan DuaSampel | STATISTIKA MATEMATIKA II 41 1. Uji t dua sampel : Menguji H0 : 𝜇 𝑋 = 𝜇 𝑌 2. Uji f : Menguji H0 : 𝛼2 X = 𝛼2 Y 3. Data Binomial : Uji H0 : 𝑃 𝑋 = 𝑃 𝑌 4. Interval Kepercayaan untuk Masalah Dua Sampel 5. Penjabaran Uji t Dua Sampel BAB II PEMBAHASAN
  • 45.
    Inferensi Dengan DuaSampel | STATISTIKA MATEMATIKA II 42 A. Uji t Dua Sampel : Menguji 𝑯 𝟎: 𝝁 𝒙 = 𝝁 𝒚 1. Inferensi Statistik Inferensi statistik adalah pengambilan kesimpulan tentang parameter populasi berdasarkan analisa pada sampel. Beberapa hal yang perlu diketahui berhubungan dengan inferensi statistik yaitu estimasi titik, estimasi interval dan uji hipotesis. Estimasi titik adalah menduga nilai tunggal parameter populasi. Estimasi Interval adalah menduga nilai parameter populasi dalam bentuk interval. Uji hipotesis adalah suatu proses untuk menentukan apakah dugaan tentang nilai parameter/karakteristik populasi didukung kuat oleh data sampel atau tidak. Pengertian hipotesis, hipotesis (hypothesis testing) berasal dari kata hip (hypo) yang berarti kurang dari, dan tesis (thesis) berarti pendapat, sehingga hipotesis adalah pendapat yang bersifat sementara yang masih perlu diuji kebenarannya dengan uji hipotesis sehingga didapat thesis (pendapat) yang dapat diyakini kebenarannya. Terdapat beberapa pengertian tentang hipotesis yaitu hipotesis penelitian dan hipotesis statistika. Klasifikasi masing- masing dapat dijelaskan secara singkat sebagai berikut: 1) Hipotesis penelitian Hipotesis penelitian merupakan dugaan (prediction) yang terjadi sebelum kejadian yang
  • 46.
    Inferensi Dengan DuaSampel | STATISTIKA MATEMATIKA II 43 dipersolkan terjadi, dugaan ini diturunkan dari teori yang hendak diuji kebenarannya. Hipotesis penelitian hadir setelah mengemukakan gagasan, permasalahan dan rumusan masalah yang mengarah pada penelitian. 2) Hipotesis statistik Hipotesis statistika berasal dari hipotesis penelitian yaitu pernyataan tentang nilai parameter suatu populasi. Hipotesis statistika harus dirumuskan sehingga memungkinkan untuk diuji berdasarkan data empiris dari penelitian suatu sampel. Dalam perumusan hipotesis statistika, antara hipotesis nol dan alternatif selalu berpasangan, bila salah satu ditolak, mka yang lain pasti diterima sehingga dapat dibuat keputusan yang tegas, yaitu kalau H0 ditolak pasti alternatif diterima. Hipotesis statistika dinyatakan melalui simbol-simbol. Hipotesis statistika diuji dengan uji statitika, sedangkan proses pengujian berakhir dengan keputusan untuk menerima atau menolak hipotesis tersebut. Terdapat dua macam jenis hipotesis yaitu: i. H0 : hipotesis nol atau hipotesis nihil (null hypothesis) merupakan hipotesis yang akan diuji.
  • 47.
    Inferensi Dengan DuaSampel | STATISTIKA MATEMATIKA II 44 ii. H1 atau 𝐻 𝛼 : hipotesis alternative (alternatif hypothesis) merupakan tandingan dari hipotesis nol (H0) Biasanya merupakan hipotesis yang akan dibuktikan oleh peneliti karena merupakan pernyataan yang dianggap benar, hipotesis ini berkaitan langsung atau sama dengan hipotesis penelitian. 𝐻0 dan 𝐻𝛼 harus mutually exclusive dan ex houstive (keduanya dapat terjadi bersama dan salah satu dari keduanya harus terjadi). Sehimgga keputusan dapat diambil berdasarkan data-data empiris yang telah dilakukan oleh peneliti. Keputusan yang diambil menerima H0 karena dianggap benar atau menolak H0 karena dianggap pernyataan salah, menerima H0 yang berarti 𝐻 𝛼 ditolak atau sebaliknya menolak H0 yang berarti menerima 𝐻 𝛼. Ada beberapa peluang pengambilan keputusan : 1) Penerimaan H0 padahal sesungguhnya H0 benar maka akan memberikan keputusan yang benar 2) Penerimaan H0 padahal sesungguhnya 𝐻 𝛼 benar maka akan memberikan keputusan yang keliru. Selanjutnya disebut kekeliruan tipe II. 3) Penolakan H0 bila sesungguhnya H0 benar-benar akan memberikan keputusan yang keliru. Selanjutnya disebut kekeliruan tipe I.
  • 48.
    Inferensi Dengan DuaSampel | STATISTIKA MATEMATIKA II 45 4) Penolakan bila sesungguhnya H0 bila sesungguhnya 𝐻 𝛼 benar maka akan memberikan keputusan yang benar. Kesalahan tipe I atau galat tipe I atau type I error (𝛼 error = false positive), yang menolak H0 padahal kenyataan H0 benar. Kesalahan tipe II atau galat type II error ( 𝛽 error = false negative) yang menerima H0 padahal kenyataannya H0 salah. Secara lebih jelas tentang hubungan antara hipotesis, kesimpulan dan kesalahan tipe kekeliruan dapat dilihat pada tabel berikut. Kesimpulan pengujian hipotesis Keadaan sebenarnya hipotesis ( H0 ) Benar Salah Terima hipotesis Keputusn benar 1 – 𝛼 Kekeliruan tipe II 𝛽 Tolak hipotesis Kekeliruan tipe I 𝛼 Keputusan benar 1−𝛽 Pada suatu penelitian dalam rangka pengujian hipotesis, harus diusahakan kedua jenis tipe kesalahan itu dibuat sekecil mungkin. Supaya penelitian dapat dilakukan maka kedua kesalahan dinytakan dalam peluang. Peluang membuat kekeliruan tipe I bisa dinyatakan dengan 𝛼 dan peluang membuat kekeliruan tipe II dinyatakan dengan 𝛽, seperti telah dijelaskan dibagian atas. Dalam penggunaan, 𝛼 disebut sebagai taraf signifikan atau taraf keberartian atau disebut taraf nyata. Besar kecilnya 𝛼 dan 𝛽
  • 49.
    Inferensi Dengan DuaSampel | STATISTIKA MATEMATIKA II 46 yang dapat diterima dalam pengambilan kesimpulan bergantung pada akibat-akibat atas perbuatan kekeliruan-kekeliruannya. Selain itu bahwa kedua kekeliruan itu sling berkaitan artinya jika α diperkecil maka β mejadi besar dan sebaliknya. Pada dasarnya harus dicapai hasil pengujian hipotesis yang baik yaitu pengujian yang bersifat bahwa dintara semua pengujian yang dapat dilakukan dengan α yang sama besar, ambillah kekeliruan β paling kecil. Biasa dalam penelitian α ditentukan terlebih dahulu, uji berdasar keberanian untuk mengambil resiko salah. Pada umumnya secar empiris α ditentukan sebesar 5% atau 1%, dengan mengambil misalnya α = 0,05 berarti bahwa dalam 100 kali menolak hipotesis kira-kira terdapat kali menolak hipotesis padahal hipotesis benar., maka disebut H0 ditolak dengan tingkat kemaknaan α = 5%. Dengan kata lain bahwa kira-kira 95% yakni bahwa kita telah membuat kesimpulan yang benar. Dalam keadaan demikian dikatakan bahwa hipotesis telah ditolak pada taraf nyata 0,05 yang berarti kita mungkin salah dengan peluang 0,05. Harga (1-β) dinamakan kuasa uji atau kuat uji (power of test) yang ditentukan dari perhitungan harga β setelah harga α diketahui. Tahap-tahap uji hipotesis secara umum, yaitu: 1) Tentukan model probabilitas yang cocok dari data, 2) Tentukan hipotesis Ho dan H1, 3) Tentukan statistik penguji,
  • 50.
    Inferensi Dengan DuaSampel | STATISTIKA MATEMATIKA II 47 4) Tentukan tingkat signifikansi, 5) Tentukan daerah kritik berdasarkan tingkat signifikansi, 6) Hitung statistik penguji, 7) Alternatif, hitung p-value berdasarkan statistik penguji, dan 8) Ambil kesimpulan berdasarkan poin 6 dan 7. 2. Inferensi Statistik Mean Satu Populasi a) Varian Diketahui Uji hipotesis untuk mean jika variansi diketahui atau juga dikenal juga sebagai uji Z yaitu: 1. Hipotesis Uji dua sisi, H0 : 𝜇0 = 𝜇1 H1 : 𝜇0 ≠ 𝜇1 Uji satu sisi, H0 : μ0 ≤ μ1 Atau H0 : μ0 ≥ μ1 H1: μ0 > μ1 H1 : μ0 > μ1 2. Signifikasi ∝ 3. Statistik penguji Z = 𝑥̅− 𝜇 𝜎 √ 𝑛 ⁄ 4. Daerah kritik Z < -𝑍 𝑎 2⁄ Atau 𝑍 > 𝑍 𝑎 2⁄ Z > 𝑍 𝑎 Z < - 𝑍 𝑎 b) Variansi Tidak Diketahui Uji hipotesis untuk mean jika variansi tidak diketahui atau juga dikenal juga sebagai uji- t yaitu:
  • 51.
    Inferensi Dengan DuaSampel | STATISTIKA MATEMATIKA II 48 1. Hipotesis Uji dua sisi, 𝐻0 : 𝜇 = 𝜇0 𝐻1 : 𝜇 ≠ 𝜇0 Uji satu sisi, 𝐻0 : 𝜇 ≤ 𝜇0 atau 𝐻0 : ≥ 𝜇0 𝐻1 : 𝜇 > 𝜇0 𝐻1 : 𝜇 < 𝜇0 2. Tingkat signifikasi 𝛼 3. Statistik penguji t = 𝑥̅− 𝜇 𝑠 √ 𝑛 ⁄ 4. Daerah kritik, H0 ditolak jika : a) t > 𝑡(𝑛−1; 𝛼 2⁄ ) atau t < −𝑡(𝑛−1; 𝛼 2)⁄ b) t > 𝑡( 𝑛−1; 𝛼) c) t < 𝑡(𝑛−1; 𝛼) 3. Inferensi Proporsi a) Satu Populasi Uji hipotesis untuk inferensi proporsi satu populasi yaitu : 1) hipotesis: uji dua sisi, H0 : P = P0 H1 : P ≠ P0 Uji satu sisi, H0 : P ≤ P0 atau H0 : P ≥ P0 H0 : P > P0 H1 : P < P0 2) Tingkat signifikan 𝛼 3) Statistik penguji : Z = 𝑝̅− 𝑝0 √ 𝑝0 (1−𝑝0) 𝑛 Dengan: 𝑝̅ adalah proporsi sukses dari sampel
  • 52.
    Inferensi Dengan DuaSampel | STATISTIKA MATEMATIKA II 49 𝑝̅ = 𝑥 𝑛 x = jumlah sukses n = ukuran sampel 4) Daerah kritik, H0 ditolak jika, p value yang diperoleh dengan menggunakan minitab < 𝛼 b) Dua Populasi Uji hipotesis untuk inferensi proporsi dua populasi yaitu: 1) Hipotesis Uji dua sisi, H0 : P1- P2 = P0 H1 : P1 – P2 ≠ P0 Uji satu sisi, H0 : P1 – P2 ≤ P0 atau H0 : P1 – P2 ≥ P0 H1 : P1 – P2 > P0 H0 : P1 – P2 < P0 2) Tingkat signifikasi 𝛼 3) Statistik penguji Z = ( 𝑝̅1−𝑝̅2)−𝑝0 √ 𝑝̅1(1−𝑝̅1) 𝑛1 + 𝑝̅2(1−𝑝̅2) 𝑛2 Jika P0 tidak diketahui, maka P0 dianggap = 0 Sehingga Z= 𝑝̅1−𝑝̅2 √𝑝̅0(1−𝑝̅0)( 1 𝑛1 + 1 𝑛2 ) dengan nilai 𝑝̅0 = 𝑥1+𝑥2 𝑛1+𝑛2 Daerah kritik, 𝐻0 ditolak jika p value yang diperoleh dengan menggunakan minitab < 𝛼 4. Inferensi Dua Rata-rata a) Uji Rata-rata 2 Populasi Independent
  • 53.
    Inferensi Dengan DuaSampel | STATISTIKA MATEMATIKA II 50 Untuk data yang saling independent satu sama lain, uji hipotesisnya yaitu: 1) 𝐻0 : 𝜇 = 𝜇0 (kedu rata-rata relative sama) 𝐻1 : 𝜇 ≠ 𝜇0 2) Signifikansi 𝛼 = 5% 3) Statistik hitung Kesamaan variansi Statistik penguji keterangan 𝜎1 2 = 𝜎1 2 t = ( 𝑥̅1−𝑥̅2)−( 𝜇1−𝜇2) √𝑆 𝑝 2 ( 1 𝑛1 + 1 𝑛2 ) ~𝑡 𝑛1 +𝑛2 − 2 𝑆𝑝 2 = ( 𝑛1 − 1) 𝑠1 2 + ( 𝑛2 − 1) 𝑠2 2 𝑛1 + 𝑛2 − 2 𝜎1 2 ≠ 𝜎2 2 t = ( 𝑥̅1−𝑥̅2)−( 𝜇1−𝜇2) √( 𝑠1 2 𝑛1 + 𝑠2 2 𝑛2 ) ~𝑡 𝑘 k = ( 𝑠1 2 𝑛1 + 𝑠2 2 𝑛2 ) 2 ( 𝑠1 2 𝑛1 ) 2 𝑛1 −1 + ( 𝑠2 2 𝑛1 ) 2 𝑛2−1 Uji rata-rata populasi yang saling dependent ini dilakukan untuk menyelesaikan permasalahan dimana suatu sampel dikenai dua perlakuan yang berbeda, dan kita akan melihat keterkaitan kedua perlakuan tersebut. Uji hipotesis untuk rata-rata 2 populasi dependent yaitu: 1) 𝐻0: 𝜇1 − 𝜇2 = 𝑑0 𝐻1: 𝜇1 − 𝜇2 ≠ 𝑑0 2) Tingkat signifikasi 𝛼 3) Statistik uji : t = 𝑑̅−𝑑0 𝑠 𝑑 √ 𝑛 ⁄ dengan 𝑑̅ = ∑ 𝑑 𝑖 𝑛 dan 𝑠 𝑑 = √∑( 𝑑 𝑖−𝑑̅)2 𝑛−1
  • 54.
    Inferensi Dengan DuaSampel | STATISTIKA MATEMATIKA II 51 4) Daerah Kritis, Ho ditolak jika nilai Signifikansi yang diperoleh dari penggunaan SPSS data editor (sig) atau P- value yang diperoleh dari penyelesaian dengan minitab < 𝛼 5. Student t Test (Uji t) Sering kali kita menghadapi jumlah sampel yang dapat dikatakan sedikit. Apabila kita dapat mengmbil sampel dalam jumlah yang cukup banyak, maka sampel kita akan dapat mendekati distribusi normal, sehingga transformasi ke z merupkan tindakan yang tepat. Kadangkala kita terpaksa mengambil sampel sedikit, hal ini bisa disebabkan oleh: terbatasnya biaya, waktu maupun batasan-batasan lainnya. Disamping itu, sering kali kita tidak mengetahui besarnya simpangan baku populasi, maka kita membutuhkan prosedur yang berbeda prosedur menghadapi sampel besar dan sampel yang diketahui simpangan baku populasinya dalam pengujian hipotesis yang berkaitan dengan rata-rata. Untuk menghadapi sampel kecil serta ketidaktahuan simpangan baku populasi, Gosset telah menemukan bentuk tes statistik untuk menghadapi kondisi seperti ini yang sering disebut t (lengkapnya Student’s t). Oleh Karen sampelnya kecil, maka distribusinya (kurvanya) agak landai dan melebar, tetapi bentuk serupa dengan bentuk kurva normal. Jika digambarkan perbedaan kurva distribusi t dengan kurva distribusi normal sebagai berikut:
  • 55.
    Inferensi Dengan DuaSampel | STATISTIKA MATEMATIKA II 52 kurva normal kurva t pada saat kita membahas distribusi normal kita mengenal tingkat signifikasi yang besarnya adalah α untuk kesalahan tipe I dan β untuk kesalahan tipe II, untuk distribusi student’s kita akan menghadapi α dan daerah kebebasan (degrees of freedom). Derajat kebebasan adalah suatu angka yang menjelaskan sekumpulan skor sampel yang bebas dari kesalahan. Oleh karena letak rata-rata sampel dibatasi oleh nilai dari satu skor dalam sampel, maka derajat kebebasan untuk sampel adalah n-1. Misalnya, dalam pengujian hipotesis pada distribusi normal (two tailed test) kita menggunakan α = 0,05 maka daerah kritis z skor adalah -1,96 dan +1,96. Seandainya simpangan baku populasi tidak diketahui, maka kita akan menggunakan t tes. Kalau jumlah sampel kita sebanyak 4 maka derajat kebebasannya adalah 4-1-3. Dengan menggunakan dk=3 dan =0,05 kita bisa memperoleh daerah kritis bagi distribusi t (lihat tabel t) sebesar -3,182 dan =3,182. Apabila kita mempunyai n yang cukup besar, maka daerah kritis distribusi t dan normal akan mendekati sama. Misalnya n=121, maka dk=120. Dengan α=0,05 daerah kritis distribusi t -1,96 dan +1,96. Rumus t hamper sama dengan z, sedangkan bedanya terletak pada standar
  • 56.
    Inferensi Dengan DuaSampel | STATISTIKA MATEMATIKA II 53 errornya. Kalau transformasi ke z menggunakan standar error 𝜎𝑥̂, sedangkan untuk transformasi ke t kita akan menggunakan standar error 𝑠 𝑥̂, standar error pada distribusi t dapat dihitung dengan rumus: 𝑆 𝑥̅ = 𝑆𝑑 √ 𝑛 Sedangkan simpangan bakunya dapat dihitung dengan rumus: 𝑆𝑑 = √ ∑( 𝑥 − 𝑋̅)2 𝑛 − 1 Keterangan: Sd : singkatan dari sampel standard deviation (simpangan baku sampel artinya rata-rata penyimpangan skor sampel terhadap rata-rata sampel) ∑( 𝑥 − 𝑋̅)2 : sering disingkat dengan SS (sum of squares) sedangkan untuk menghitung t kita dapat memakai rumus: 𝑡 = 𝑋̅ − 𝜇 𝑆 𝑥̅ Untuk memahami langkah pengujian hipotesis dengan t- tes, marilah kita coba dengan suatu contoh sederhana. Contoh: Dekan suatu fakultas mendengar berita bahwa dosen A selalu member nilai lebih tinggi dari dosen-dosen lainnya pada mata kuliah yang sama. Sebelum melakukan tindakan teguran dekan memutuskan untuk melakukan penelitian terlebih dulu.
  • 57.
    Inferensi Dengan DuaSampel | STATISTIKA MATEMATIKA II 54 Untuk itu diambil sekelompok sampel yang berasal dari populasi mahasiswa yang mengambil mata kuliah dengan dosen A. dari hasil pengumuman nilai ke 10 sampel ternyata nilai-nilai mereka mempunyai penyebaran sebagai berikut: 94 86 83 75 71 69 64 62 58 58 Apabila nilai rata-rata untuk mata kuliah tersebut yang diasuh oleh beberapa dosen dan dosen A merupakan salah satu dosennya adalah 65. Apa keputusan yang harus diambil dekan? Analisis : Yang diketahui n=10, µ=65, dan distribusi nilainya. Untuk mempermudah perhitungan lebih lanjut diperlukan suatu kalkulasi rumus dasar di antaranya: Jumlah skor dari sampel (∑) yaitu 720 Rata-rata skor sampel adalah 720 : 10 = 72 Berdasarkan perhitungan sederhana di atas dapat dicari simpangan masing-masing skor dengan rata-ratanya, dan kuadrat simpngan masing-masing skor dengan rata-ratanya. Jika hasil perhitungan skor masing-masing skor dengan rata-ratanya maupun kuadratnya dibuat tabel, maka tabelnya sebagai berikut: 𝑋 𝑋 − 𝑋̂ (𝑋 − 𝑋̂) 2 94 22 484 86 14 196 83 11 121
  • 58.
    Inferensi Dengan DuaSampel | STATISTIKA MATEMATIKA II 55 75 3 9 71 -1 1 69 -3 9 64 -8 64 62 -10 100 58 -14 196 58 -14 196 720 0 1376 Penyusunan hipotesis matematis: 𝐻0 ∶ 𝜇1 = 65 𝐻1 ∶ 𝜇1 = 65 Perhitungan standar error : 𝑆𝑑 = √1376 ∶ 9 = 12,36482466 𝑠 𝑥̅ = 12,36482466 √10 = 3,910100879 Dengan demikian maka t hitung adalah : 𝑡 = 72−65 3,910100879 = 1,790235141 = 1,79 Sekarang kita tinggal maencari t tabel ( daerah kritis penerimaan hipotesis nol) dan membandingkan antara t hasil perhitungan dengan t tabel. Jika kita mengambil α = 0,05 maka t tabel dapat dicari pada tabel t dengan signifikansi 0,05 two tailed test dan dk = n-1=9 yaitu sebesar 2,262. Oleh karena t hitung < daripada t tabel, maka keputusan kita adalah terima hipotesis nol.
  • 59.
    Inferensi Dengan DuaSampel | STATISTIKA MATEMATIKA II 56 Dengan dasar analisis t statistik, dengan tidak cukup beralasan untuk melakukan peneguran terhadap dosen A, Karen dosen tersebut tidak terlalu murah dalam pemberian nilai, yang mana mungkin akan mempunyai dampak negatif terhadap kualitas perguruan tinggi yang bersangkuatan. Beberapa hal yang perlu dicatat dalam menggunkan rumus t adalah: 1. Sampel harus dimbil secara random 2. Distribusi skor populasi harus normal Jika kedua syarat tersebut tidak terpenuhi, maka t statistik tidak dapat dipakai. Tetapi, beberapa ahli dibidang statistik menyatakan bahwa student t tes adalah Robust (kuat/akurat). Hal ini berarti menyatakan bahwa student t tes akan merupakan asumsi normalitas. Kadang-kadang masalah normalitas tidak menjadi perhatian bagi pemakai t tes. Kondisi ini tidak dianggap salah asalkan n besar (misalnya > 30), karena dengan n yang besar, maka distribusi sampel akan mendekati normal, bahkan bisa jadi normal. Statistika adalah ilmu yang mempelajari bagaimana merencanakan, mengumpulkan, menganalisis, menginterpretasi, dan mempresentasikan data. Singkatnya, statistika adalah ilmu yang berkenaan dengan data. Istilah 'statistika' (bahasa Inggris: statistics) berbeda dengan 'statistik' (statistic). Statistika merupakan ilmu yang berkenaan dengan data, sedang statistik adalah data, informasi, atau hasil penerapan algoritma statistika pada suatu data. Dari kumpulan
  • 60.
    Inferensi Dengan DuaSampel | STATISTIKA MATEMATIKA II 57 data, statistika dapat digunakan untuk menyimpulkan atau mendeskripsikan data; ini dinamakan statistika deskriptif. Sebagian besar konsep dasar statistika mengasumsikan teori probabilitas. Beberapa istilah statistika antara lain: populasi, sampel, unit sampel, dan probabilitas. Statistika banyak diterapkan dalam berbagai disiplin ilmu, baik ilmu-ilmu alam (misalnya astronomi dan biologi maupun ilmu-ilmu sosial (termasuk sosiologi dan psikologi), maupun di bidang bisnis, ekonomi, dan industri). Statistika juga digunakan dalam pemerintahan untuk berbagai macam tujuan; sensus penduduk merupakan salah satu prosedur yang paling dikenal. Aplikasi statistika lainnya yang sekarang popular adalah prosedur jajak pendapat atau polling (misalnya dilakukan sebelum pemilihan umum), serta jajak cepat (perhitungan cepat hasil pemilu) atau quick count. Di bidang komputasi, statistika dapat pula diterapkan dalam pengenalan pola maupun kecerdasan buatan. Penggunaan istilah statistika berakar dari istilah istilah dalam bahasa latin modern statisticum collegium ("dewan negara") dan bahasa Italia statista ("negarawan" atau "politikus"). Gottfried Achenwall (1749) menggunakan Statistik dalam bahasa Jerman untuk pertama kalinya sebagai nama bagi kegiatan analisis data kenegaraan, dengan mengartikannya sebagai "ilmu tentang negara (state)". Pada awal abad ke-19 telah terjadi pergeseran arti menjadi "ilmu mengenai pengumpulan dan klasifikasi data". Sir John Sinclair memperkenalkan nama (Statistics) dan pengertian ini ke dalam bahasa Inggris. Jadi,
  • 61.
    Inferensi Dengan DuaSampel | STATISTIKA MATEMATIKA II 58 statistika secara prinsip mula-mula hanya mengurus data yang dipakai lembaga-lembaga administratif dan pemerintahan. Pengumpulan data terus berlanjut, khususnya melalui sensus yang dilakukan secara teratur untuk memberi informasi kependudukan yang berubah setiap saat. Pada abad ke-19 dan awal abad ke-20 statistika mulai banyak menggunakan bidang-bidang dalam matematika, terutama probabilitas. Cabang statistika yang pada saat ini sangat luas digunakan untuk mendukung metode ilmiah, statistika inferensi, dikembangkan pada paruh kedua abad ke-19 dan awal abad ke-20 oleh Ronald Fisher (peletak dasar statistika inferensi), Karl Pearson (metode regresi linear), dan William Sealey Gosset (meneliti problem sampel berukuran kecil). Penggunaan statistika pada masa sekarang dapat dikatakan telah menyentuh semua bidang ilmu pengetahuan, mulai dari astronomi hingga linguistika. Bidang-bidang ekonomi, biologi dan cabang-cabang terapannya, serta psikologi banyak dipengaruhi oleh statistika dalam metodologinya. Akibatnya lahirlah ilmu-ilmu gabungan seperti ekonometrika, biometrika (atau biostatistika), dan psikometrika. Meskipun ada kubu yang menganggap statistika sebagai cabang dari matematika, tetapi orang lebih banyak menganggap statistika sebagai bidang yang banyak terkait dengan matematika melihat dari sejarah dan aplikasinya. Di Indonesia, kajian statistika sebagian besar masuk dalam fakultas matematika dan ilmu pengetahuan alam, baik di dalam
  • 62.
    Inferensi Dengan DuaSampel | STATISTIKA MATEMATIKA II 59 departemen tersendiri maupun tergabung dengan matematika. Dalam mengaplikasikan statistika terhadap permasalahan sains, industri, atau sosial, pertama-tama dimulai dari mempelajari populasi. Makna populasi dalam statistika dapat berarti populasi benda hidup, benda mati, ataupun benda abstrak. Populasi juga dapat berupa pengukuran sebuah proses dalam waktu yang berbeda-beda, yakni dikenal dengan istilah deret waktu. Melakukan pendataan (pengumpulan data) seluruh populasi dinamakan sensus. Sebuah sensus tentu memerlukan waktu dan biaya yang tinggi. Untuk itu, dalam statistika seringkali dilakukan pengambilan sampel (sampling), yakni sebagian kecil dari populasi, yang dapat mewakili seluruh populasi. Analisis data dari sampel nantinya digunakan untuk menggeneralisasikan seluruh populasi. Jika sampel yang diambil cukup representatif, inferensial (pengambilan keputusan) dan simpulan yang dibuat dari sampel dapat digunakan untuk menggambarkan populasi secara keseluruhan. Metode statistika tentang bagaimana cara mengambil sampel yang tepat dinamakan teknik sampling. Analisis statistik banyak menggunakan probabilitas sebagai konsep dasarnya. Sedangkan matematika statistika merupakan cabang dari matematika terapan yang menggunakan teori probabilitas dan analisis matematis untuk mendapatkan dasar-dasar teori statistika. Ada dua macam statistika, yaitu statistika deskriptif dan statistika inferensial. Statistika deskriptif berkenaan dengan deskripsi data, misalnya dari menghitung rata-rata dan varians dari data mentah;
  • 63.
    Inferensi Dengan DuaSampel | STATISTIKA MATEMATIKA II 60 mendeksripsikan menggunakan tabel-tabel atau grafik sehingga data mentah lebih mudah “dibaca” dan lebih bermakna. Sedangkan statistika inferensial lebih dari itu, misalnya melakukan pengujian hipotesis, melakukan prediksi observasi masa depan, atau membuat model regresi. Statistika deskriptif berkenaan dengan bagaimana data dapat digambarkan dideskripsikan) atau disimpulkan, baik secara numerik (misalnya menghitung rata-rata dan deviasi standar) atau secara grafis (dalam bentuk tabel atau grafik), untuk mendapatkan gambaran sekilas mengenai data tersebut, sehingga lebih mudah dibaca dan bermakna. Statistika inferensial berkenaan dengan permodelan data dan melakukan pengambilan keputusan berdasarkan analisis data, misalnya melakukan pengujian hipotesis, melakukan estimasi pengamatan masa mendatang (estimasi atau prediksi), membuat permodelan hubungan (korelasi, regresi, ANOVA, deret waktu), dan sebagainya. 6. Pengujian Hipotesis dengan sampel Ganda Yang dimaksud dengan sampel ganda adalah suatu penelitian yang melibatkan 2 (dua) atu lebih kelompok sampel yang berasal dari dua atau lebih populasi, sedangkan hal yang ingin dilihat atau diukur adalah sama. Kadang-kadang dua kelompok sampel tersebut berasal dari satu populasi, bukannya berasal dari dua populasi. Tetapi, yang menjadi pembeda dengan pengujian hipotesis terdahulu adalah adanya dua kelompok sampel,
  • 64.
    Inferensi Dengan DuaSampel | STATISTIKA MATEMATIKA II 61 yang man kondisi ini tidak ada pada pembahasan terdahulu. Kondisi ini sering dilakukan untuk menguji kebenaran atau kekuatan suatu penemuan baru melalui kegiatan eksperimen. Hasil eksperimen tersebutlah yang ingin dibandingkan dengan kondisi yang sudah berjalan sebelumnya. Sebenarnya langkah ini merupakan penyederhanaan langkah pengujian satu persatu, dimana kita dituntut menhetahui kondisi µ pada setiap populasi yang kita ambil sampelnya. Sering kali terjadi bahwa rata-rata populasi dan simpangan baku populasi tidak diketahui. Apabila kondisi ini benar-benar terjadi, apakah kita putuskan untuk tidak melakukan penelitian dengan analisis statistik? Jelas dengan penelitian dengan analisis statistik tetap dapat dilakukan, karena ada teknik dan langkah untuk mengatasi ketidaktahuan tersebut. Hal ini yang kita bahas pada pokok bahasan sekarang, dan pembahasan di sini terbatas pada bagaimana memakainya, bukan bagaimana mendapatkan rumus tersebut. Kita cukup menggunakan rumus tersebut dan mengetahui sedikit logikanya sebagai ucapan terima kasih kita kepada penemu umus tersebut. Adanya dua kelompok sampel, mka kita akan mendapatkan dua buah rata-rata sampel dan standard error yang berbeda dengan standard error yang telah kita bahas terdahulu. Apabila jumlah kelompok sampel sebanyak n, maka rata-rata sampelnya akan sebanyak n. dengan dua atau lebih kelompok sampel ini, kita ingin mencari apakah kelompok-kelompok sampel tersebut berbedaatau
  • 65.
    Inferensi Dengan DuaSampel | STATISTIKA MATEMATIKA II 62 tidak. Hal ini berarti bahwa kita akan berbicara tentang perbedaan kelompok populasi dengan dasar kelompok sampel. Oleh karena itu, hipotesis nol yang akan diuji menyatakan bahwa 𝜇1 dan 𝜇2 tidak akan berbeda atau sama, apabila ditulis dengan bentuk matematika maka 𝜇1 − 𝜇2 = 0. Untuk melakukan estimasi besarnya perbedaan rata-rata tersebut dapat digunakan rata-rata sampel. Unutk menghadapi dua perbedaan rata-rata dapat didasarkan pada t tes dengan suatu modifikasi untuk menghadapi dua rata-rata sampel. Mari kita ingat rumus: 𝑡 = 𝑋̅ − 𝜇 𝑆 𝑥̅ Untuk menghadapi dua buah rata-rata sampel dan dua buah rata-rata populasi, maka rumus diatas harus dimodifikasi. Oleh karena yang akan dicari adalah perbedaan antara kedua kelompok tersebut, maka maisng-masing rata-rata, baik rata-rata sampel mupun rata-rata populasi, kita cari perbedaannya. Dengan kata lain kita mencari selisih rata-rata untuk menggantikan rata-rata tersebut. Selisih rata-rata sampel adalah 𝑋̅𝐴 − 𝑋̅ 𝐵 Diletakkan sebagai pengganti 𝑋̅, sedangkan untuk rata-rata populasi diganti dengan selisih kedua rata-rata populasinya yaitu 𝜇 𝐴 − 𝜇 𝐵. Melalui modifikasi yang tertulis diatas, maka standar errornya juga akan mengalami perubahan menjadi 𝑆 𝑋̅ 𝐴 −𝑋̅ 𝐵 . Secara umum nilai t dapat dicari dengan rumus: 𝑡 = ( 𝑋̅𝐴 − 𝑋̅ 𝐵)− ( 𝜇 𝐴 − 𝜇 𝐵) 𝑆 𝑋̅ 𝐴−𝑋̅ 𝐵
  • 66.
    Inferensi Dengan DuaSampel | STATISTIKA MATEMATIKA II 63 Untuk menentukan standar error, maka kita bahas setahap demi setahap. Pertama: kita tahu bahwa masing-masing rata-rata sampel member estimasi terhadap rata-rata populasinya, sehingga 𝑋̅ 𝐴 mendekati 𝜇 𝐴, dengan sedikit kesalahan, dan 𝑋̅ 𝐵 mendekati 𝜇 𝐵, dengan sedikit kesalahan. Kita ingat bahwa standard error menyatakan seberapa jauh akurasi rata-rata sampel mendekati rata- rata populasi, sehingga semakin kecil standard errornya maka semakin akurat. Kedua: oleh karena yang kita hadapi keseluruhan error sampel dalam mendekati kedua rata-rata populasi, maka langkah awal harus mencari masing-masing error, baru kemudian digabungkan untuk mencari error bersama. Sebelum melakukan penggabungan perlu kiranya dilakukan mofikasi atas rumus standard error terlebih dulu, sehingga akn mempermudah perhitungan. Ketiga : apabila standard error dikuadratkan, maka rumusnya akan berubah menjadi rumus: 𝑆 𝑋̅ 2 = 𝑆2 𝑛 Jika akar, maka akan kembali pada rumus semula, tetapi dapat berubah bentuk menjadi rumus: 𝑆 𝑋̅ = √𝑆2 𝑛 Bentuk rumus terakhir inilah yang dapat mempermudah dalam perhitungan standard error gabungan. Dengan menggunakan
  • 67.
    Inferensi Dengan DuaSampel | STATISTIKA MATEMATIKA II 64 dasar kedua rumus di atas diperoleh rumus gabungan: 𝑆 𝑋̅ 𝐴−𝑋̅ 𝐵 =√ 𝑆 𝐴 2 𝑛 𝐴 + 𝑆 𝐵 2 𝑛 𝐵 Mengapa tanda di dalam akar berupa tanda tambah (+)? Hal ini disebabkan karena variance (kuadrat simpangan baku) untuk selisih rata-rata maupun jumlah akan tetap merupakan penjumlahan masing-masing variance, sepanjang distribusinya normal. Untuk pemahaman konsep ini dapat dipelajari pada contoh di bawah ini. Contoh Seandainya kita menghadapi dua buah populasi mempunyai rentngan nilai sbb: Distribusi Nilai minimum Nilai maksimum Rentangan A 10 20 10 B 40 60 20 Apabila diambil 1(satu) sampel dari masing-masing populasi, maka rentangan terbesar antara kedua sampel tersebut adalah 50 yaitu jika terambil dari populasi A nilai 10, sedangkan dari populasi B terambil nilai 60. Sedangakan rentangan terkecil antara kedua buah sampel tersebut adalah 20 dan dari populasi B memperoleh nilai 40. Dengan demikian, maka rentangan nilai sampel bergerak dari 50 sampai 20, atau tepatnya rentangan (range) XA−XB adalah 30. Kondisi ini juga penjumlahan dari rentangan populasi A dan rentangan populasi B (10+20).
  • 68.
    Inferensi Dengan DuaSampel | STATISTIKA MATEMATIKA II 65 Untuk dapat membaca tabel t diperlukan derajat kebebasan (degrees of freedom). Derajat kebebasan pada perbandingan dua sampel adalah 𝑛 𝐴 + 𝑛 𝐵 − 2. Hal ini dapat dipahami dengan mudah jika kita membahas penggabungan variance. Untuk itu kita bahas sebuah contoh sederhana lain sbb: Contoh: Seandainya ada dua kelompok sampel yang diambil daru satu populasi, di mana kelompok sampel A mempunyai n = 9, dengan jumlah kuadrat simpangan bakunya = 80, sedangkan kelompok sampel B mempunyai n = 16, dengan jumlah kuadrat simpangan baku = 90. Apabila kita menghitung variance masing-masing, maka: 𝑆𝐴 2 = 80 8 = 10 𝑆 𝐵 2 = 90 15 = 6 Kita telah memahami suatu teori statistik yang mengatakan bahwa n yang besar mempunyai tingkat akurasi yang lebih besar daripada n kecil. Hal ini dapat dilihat dari hasil perhitungan variance pada contoh diatas, dimana semakin besar n semakin kecil varincenya. Untuk menggabugkan kedua variance tersebut perlu dipertimbangkan n nya. Pada contoh diatas ini secara kebetulan kita menghadapi n untuk maisng-masing sampel tidak sama, apabila sampel yang dihadapi mempunyai n sama, maka
  • 69.
    Inferensi Dengan DuaSampel | STATISTIKA MATEMATIKA II 66 pertimbangan terhadap n dapat diabaikan. Cara mempertimbangkan n yang tidak sama adalah dengan jalan: 1. Mengalikan masing-masing variance denagn derajat kebebasannya. 2. Jumlah hasil kali masing-masing variance. 3. Hasil penjumlahannya dibagi dengan jumlah derajat kebebasan masing- masing. Mengingat derjat kebebasan kelompok A adalah 𝑛 𝐴 − 1 dan derajat kebebasan kelompok B adalah 𝑛 𝐵 − 1, maka penjumlahannya adalah ( 𝑛 𝐴 − 1) + ( 𝑛 𝐵 − 1) atau 𝑛 𝐴 + 𝑛 𝐵 − 2. Jadi, penggabungan variance dapat dihitung dengan rumus: 𝑆 𝑝 2 = 𝑑𝑘 𝐴 + 𝑑𝑘 𝐵 𝑆 𝐵 2 𝑛 𝐴 + 𝑛 𝐵 − 2 Atau dengan rumus: 𝑆 𝑝 2 = ∑( 𝑋𝐴 − 𝑋̅ 𝐴)2 + ∑( 𝑋 𝐵 − 𝑋̅ 𝐵)2 𝑛 𝐴 + 𝑛 𝐵 − 2 Dengn demikian maka standard error kedua sampel dapat dihitung dengan rumus: 𝑆 𝑋̅ 𝐴−𝑋̅ 𝐵 =√ 𝑆 𝑝 2 𝑛 𝐴 + 𝑆 𝑝 2 𝑛 𝐵 Rumus ini dapat dikatakan halus, karena ada penimbangan n. penimbangan n untuk sampel yang berbeda jumlahnya merupakan tindakan hati-hati, karena dalam proses ini seolah-olah kita melkukan suatu tindakan penyeimbangan beban pada masing- masing sampel. Selain itu, rumus tersebut merupakan rumus yang sederhana sehingga kita akan lebih mudah menghitung standard error gabungan dua buah sampel yang berbeda jumlah n nya.
  • 70.
    Inferensi Dengan DuaSampel | STATISTIKA MATEMATIKA II 67 Unutk memahami konsep yang mendasari rumus tersebut, marilah kita coba menyelesaikan sebuah contoh. Contoh: Seorang dosen statistik melakukan eksperimen tentang metode mengajar A dan metode mengajar B terhadap mahasiswa dari beberapa perguruan tinggi. Untuk keperluan itu dosen yang bersangkutan mengambil dua kelas sebagai kelas eksperimennya. Dari masing-masing kelas diambil beberapa sampel, setelah eksperimen berjalan (berakhir), untuk dasar analisis. Dari kelas A diambil sampel sebanyak 9 mahasiswa, dan kelas B diambil sampel sebanyak 13 mahasiswa. Pengambilan sampel dilakukan secara acak (random), sedangkan hasil pengumpulan data (nilai mahasiswa) dari sampel sebagai berikut: Kelas A Kelas B 70 63 60 60 80 70 75 80 76 74 75 75 71 85 65 64 85 65 60
  • 71.
    Inferensi Dengan DuaSampel | STATISTIKA MATEMATIKA II 68 90 75 75 Sebelum kita melakukan perhitungan-perhitungan lebih lanjut sebaiknya kita data di atas dalam suatu tabel yang mengandung simpangan masing-masing data dengan rata-rata kelompoknya, serta kuadrat masing-masing simpangan tersebut. Tabel tersebut semata-mata untuk membantu kita dalam melakukan koreksi apabila terjadi suatu kekeliruan perhitungan simpangan masing-masing skor dengan rata-ratanya maupum kekeliruan perhitungan kuadrat simpangan tersebut. Adapun tabel yang mengadung perhitungan simpangan masing-masing skor dengan rata-ratanya, beserta kuadrat simpangan masing-masing sbb: 𝑋𝐴 ( 𝑋𝐴 − 𝑋̅𝐴) ( 𝑋𝐴 − 𝑋̅ 𝐴)2 𝑋 𝐵 ( 𝑋 𝐵 − 𝑋̅ 𝐵) ( 𝑋 𝐵 − 𝑋̅ 𝐵)2 85 12 144 90 18 324 80 7 49 85 13 169 76 3 9 80 8 64 75 2 4 75 3 9 75 2 4 75 3 9 71 -2 4 75 3 9 70 -3 9 74 2 4 65 -8 64 70 -2 4
  • 72.
    Inferensi Dengan DuaSampel | STATISTIKA MATEMATIKA II 69 60 -13 169 65 -7 49 64 -8 64 63 -9 81 60 -12 144 60 -12 144 657 0 456 936 0 1074 𝑋̅ 𝐴 = 657 ∶ 9 = 73 𝑋̅ 𝐵 = 936 ∶ 13 = 72 Dari dasar beberapa perhitungan di atas kita dapat melakukan pengujian hipotesis, sedangkan langkahnya: Pertama : penyusunan hipotesis matematis 𝐻0 ∶ 𝜇 𝐴 − 𝜇 𝐵 = 0 𝐻1 ∶ 𝜇 𝐴 − 𝜇 𝐵 ≠ 0 Apabila untuk pengujian ini kita tentukan α = 0,05. Sedangkan derajat kebebasannya adalah 9+13−2=20 Kedua : menghitung standard error dan nilai t sebagai barikut: 𝑆 𝑝 2 = ∑( 𝑋𝐴 − 𝑋̅ 𝐴)2 + ∑( 𝑋 𝐵 − 𝑋̅ 𝐵)2 𝑛 𝐴 + 𝑛 𝐵 − 2 𝑆 𝑝 2 = 456 + 1074 20 = 76,5 𝑆 𝑋̅ 𝐴−𝑋̅ 𝐵 =√ 𝑆 𝑝 2 𝑛 𝐴 + 𝑆 𝑝 2 𝑛 𝐵 = √ 76 ,5 9 + 76,5 13 = √14,38461538
  • 73.
    Inferensi Dengan DuaSampel | STATISTIKA MATEMATIKA II 70 = 3,792705549 = 3,79 𝑡 = ( 𝑋̅𝐴 − 𝑋̅ 𝐵) − ( 𝜇 𝐴 − 𝜇 𝐵) 𝑆 𝑋̅ 𝐴 −𝑋̅ 𝐵 = (73 − 72) − 0 3,79 = 0,2638522427 = 0,2639 ttabel = 2,086 ini berarti bahwa daerah penerimaan adalah H0 di antara -2,086 dan +2,086. Dengan demikian makam kita dapat mengambil kesimpulan yaitu menerima hipotesis nol. Artinya hasil belajar mahasiswa dengan menggunakan metode A tidak mempunyai perbedaan yang signifikan pada taraf signifikansi 0,05. Perhitungan di atas tepat untuk jumlah sampel yang kecil atau sedikit. Kebanyakan peneliti agak ragu dengan sampel kecil, sehingga diambil langkah untuk mengambil sampel yang cukup besar. Untuk menghadapi sampel yang besar sebaiknya transformasinya ke z. langkah menggunakan z dan t bisa dikatakan tidak ada bedanya, perbedaan terletak pada pencarian daerah penerimaan hipotesis nol di tabel. Kalau menggunakan tabel t, kita terikat dengan derajat kebebasan (dk), sedangkan untuk menggunakan tabel z kita tidak perlu memperhatikan derajat kebebasan.
  • 74.
    Inferensi Dengan DuaSampel | STATISTIKA MATEMATIKA II 71 Uji – t dua sampel independen (bebas) adalah metode yang digunakan untuk menguji kesamaan rata-rata dari dua populasi yang bersifat independen. Mengenai ragam populasi, independen maksudnya adalah bahwa populasi yang satu tidak dipengaruhi atau tidak berhubungan dengan populasi yang lain. Teorema I Misalkan X1 , X2 , . . . , Xn Sampel random dari N ( µx ; 𝜎2 ) dan Y1 , Y2 , . . . , Ym Sampel random dari N ( µy ; 𝜎2 ). Misalkan pula Xi dan independen. Misalkan pula S2 X dan S2 Y adalah variansi kedua sampel itu, dan S2 P adalah variansi pooled ( rata-rata ) , dimana S2 P = (n−1)SX 2 +(m−1)SY 2 n+m−2 Maka t = 𝑥̅− 𝑦̅−( 𝜇 𝑥−𝜇 𝑦 ) 𝑆 𝑝 √ 1 𝑛 + 1 𝑚 ~ t n+m-2 Bukti Perhatikan bahwa t dapat ditulis t = 𝑥̅−𝑦̅−( 𝜇 𝑥−𝜇 𝑦) 𝑐√ 1 𝑛 + 1 𝑚 √𝑠 𝑝 2 /𝜎2 t = 𝑋̅−𝑌̅−( 𝜇 𝑥−𝜇 𝑦) 𝜎√ 1 𝑛 + 1 𝑚 √ 1 𝑛+𝑚−2 [∑ ( 𝑥 𝑖−𝑥̅ 𝜎 ) 2 𝑛 𝑖=1 +∑ ( 𝑦 𝑖 −𝑦̅ 𝜎 ) 2 𝑚 𝑖=1 ] pembilangnya berdistribusi N(0;1), sedang penyebutnya :
  • 75.
    Inferensi Dengan DuaSampel | STATISTIKA MATEMATIKA II 72 ∑ ( 𝑋𝑖 − 𝑋̅ 𝜎 ) 𝑛 𝑖=1 ~𝑥 𝑛−1 2 ∑ ( 𝑌𝑖 − 𝑌̅ 𝜎 ) 𝑚 𝑖=1 ~𝑥 𝑚−1 2 Sehingga jumlahnya berdistribusi 𝑥 𝑛+𝑚−2 2 dengan demikian t~𝑡 𝑛+𝑚−2 Menurut definisi 2. Teorema 2 Misalkan 𝑥1, 𝑥2,… . 𝑥 𝑛~N( 𝜇 𝑥; 𝜎2) dan 𝑦1, 𝑦2, … . 𝑦 𝑚~N(𝜇 𝑦; 𝜎2 ) Serta 𝑥 𝑖 dan 𝑦𝑖 itu independent. Dengan tingkat signifikansi 𝛼, uji GLR untuk 𝐻0: 𝜇 𝑥 = 𝜇 𝑦 versus 𝐻1: 𝜇 𝑥 = 𝜇 𝑦 akan menolak 𝐻0 apabila t = 𝑥̂−𝑦̂ 𝑆 𝑝 √ 1 𝑛 + 1 𝑚 ≤ −𝑡( 𝑛+𝑚−2); 𝛼 2⁄ ≥ 𝑡( 𝑛+𝑚−2); 𝛼 2⁄ Contoh Seorang oncologist ingin menentukan apakah suatu bahan kimia tertentu dapat mengubah pertumbuhan tumor kanker dalam tubuh tikus. Dalam tubuh 30 ekor tikus, yang diambil sebagai sampel, ditanamkan tumor. Lima belas dari tikus-tikus ini dipilih secara random, dan kepada mereka diberikan bahan kimia itu selama empat minggu. Sedangkan 15 ekor tikus yang lain, sebagai grup control, dibiarkan dalam kondisi yang sama selama empat minggu pula. Setelah empat minggu tikus-tikus yang diberi bahan-
  • 76.
    Inferensi Dengan DuaSampel | STATISTIKA MATEMATIKA II 73 bahan kimia menunjukkan berat tumor rata-rata 1,28 gram dan deviasi standar = 0,38 gram. Dapatkah oncalogist itu menyimpulkan bahwa bahan kimia itu mempengaruhi pertumbuhan tumor? Masalah ini dapat kita selesaikan dengan uji hipotesis. Perumusan hipotesis nol dan alternatifnya adalah sebagai berikut: 𝐻0: 𝜇 𝑥 = 𝜇 𝑦 versus 𝐻1: 𝜇 𝑥 ≠ 𝜇 𝑦 Dimana 𝜇 𝑥 dan 𝜇 𝑦 adalah masimg-masing mean populasi berat tumor setelah empat minggu untuk grup eksperimen dan grup control. Dengan anggapan kedua populasi normal bervarinsi sama, kita hitung variansi pooled: 𝑆 𝑝 2 = (15 − 1)(0,31)2 + (15 − 1)(0,38)2 28 = 0,12025 Dan 𝑆 𝑝 = √0,0125025 = 0,347 Maka 𝐻0 benar, maka distribusi sampling t = 𝑥̅− 𝑦̅ 𝑆 𝑝√ 1 15 + 1 15 adalah 𝑡28. Dengan tingkat signifikansi 0,05 , 𝐻0 ditolak apabila t ≥ 𝑡28 ;0,025 = 2,0484 atau ≤ −𝑡28 ;0,025 = -2,0484 Tetapi t = 1,28−1,53 (0,347)√2 15⁄ = -1,97
  • 77.
    Inferensi Dengan DuaSampel | STATISTIKA MATEMATIKA II 74 Jadi, H0 diterima sehingga pernyataan tersebut benar bahwa suatu bahan kimia dapat mengubah pertumbuhan kanker dalam tubuh tikus. Contoh: Pengukuran terhadap hasil penataran terhadap beberapa guru (10 orang) menghasilkan nilai sbb: Pre test: 4 5 5 6 5 4 8 4 5 6 Post test: 7 7 8 7 6 8 9 6 5 9 Apakah penataran tersebut mempunyai dampak positif terhadap pengetahuan guru? Jawab: 𝐻0 ∶ 𝜇0 = 0 𝐻1 ∶ 𝜇0 ≠ 0 Hal yang telah diketahui: n = 10 dk = n−1=10−1 = 9 apabila kita mengambil α = 0,05 maka daerah penerimaan hipotesis nol terletak di antara: +2,262 dan -2,262 langkah selanjutnya adalah menyusun data sehingga mudah untuk melakukan analisis, sedangkan data yang tersusun sebagai berikut: Pre tes Post tes D D2 4 7 3 9
  • 78.
    Inferensi Dengan DuaSampel | STATISTIKA MATEMATIKA II 75 5 7 2 4 5 8 3 9 6 7 1 1 5 6 1 1 4 8 4 16 8 9 1 1 4 6 2 4 5 5 0 0 6 9 3 9 20 54 Jumlah kuadrat simpangan bakunya dapat dihitung dengan rumus: 𝑆𝑆 = ∑ 𝐷2 − (∑ 𝐷)2 𝑛 Untuk contoh di atas hasil jumlah kuadrat simpangan bakunya adalah: 𝑆𝑆 = 54 − 202 10 = 14 𝑆𝑑 = √ 14 9 = 1,247219129 = 1,25 𝑆 𝐷̅ = 1,25 10 = 0,3952847075 = 0,40 𝑡 = 𝐷̅ − 𝜇0 𝑆 𝐷̅ = 2 − 0 0,40 = 5
  • 79.
    Inferensi Dengan DuaSampel | STATISTIKA MATEMATIKA II 76 Oleh karena t hitung berada di luar daerah penerimaan hipotesis nol maka kita menolak hipotesis nol, hal ini berarti bahwa penataran tersebut mempunyai dampak terhadap kemampuan guru atas materi yang ditatarkan. B. Uji f : Menguji H0 : 𝜶 𝟐 X = 𝜶 𝟐 Y Disini akan kita pelajari uji CLR untuk H0 : 22 yx   versus H1 : 22 yx   berdasarkan data 2 sampel yang independent, masing- masing diambil dari populasi normal, N  22 ; xx  . dan N  22 ; yy  . Uji ini akan kita gunakan, antara lain, untuk mendukung anggapan variansi yang sama dalam uji kesamaan dua mean Teorema 2. Artinya, jika H0 : 22 yx   kita terima, maka teorema 2 dapat kita gunakan. Tetapi jika H0 : itu ditolak, uji t pendekatan yang harus digunakan.     2 ; 2 ; 2 2       mn mn t t Teorema 2. Misalkan X1,X2,….,Xn ~ N  22 ;x dan Y1, Y2, ….., Ym ~ N  22 ;y , serta Xi dan Yi itu independent. Dengan Tingkat signifikansi  , uji GLR untuk H0 :  yx   versus H1 :  yx   akan menolak H0 apabila :
  • 80.
    Inferensi Dengan DuaSampel | STATISTIKA MATEMATIKA II 77 mn S yx t p 11    Teorema 3 Misalkan X1,X2,….,Xn sample random dari N  22 ; xx  dan Y1, Y2, ….., Ym sample random dari N  22 ; yy  ,serta semua X dan Y independent. Uji pendekatan GLR untuk H0 :  22 yx   dan versus H1 :  22 yx   Pada tingkat  adalah menolak H0 apabila 2 2 X Y S S           2 1; 2 ; 1,1 1,1   nm nm F F Catatan : Uji GLR dalam Teorema 3 adalah pendekatan seperti dalam uji untuk H0 :  2 0 2   ( Teorema 10. Bab 2 ) Distribusi statistic menguji 2 2 X Y S S tidak simetris dan dua rentang perbandingan variansi yang menghasilkan  lebih kecil atau sama dengan  mempunyai luasan ekor yang sedikit berbeda. Tetapi untuk memudahkan pekerjaan dua daerah kritis itu diambil sama luasnya. Contoh soal: Subyek penelitiannya adalah 20 orang narapidana, yang menjadikan dua kelompok berukuran sama secara random. Kelompok diperlukan biasa, sedangkan kelompok II diperlukan cara khusus.
  • 81.
    Inferensi Dengan DuaSampel | STATISTIKA MATEMATIKA II 78 Setelah tujuh hari, frekuensi gelombang-alpha diukur, dan diperoleh hasil sebagai berikut : Kelompok I ( X ) Kelompok II ( Y ) 10,7 9,6 10,7 10,4 10,4 9,7 10,9 10,3 10,5 9,2 10,3 9,3 9,6 9,9 11,1 9.5 11,2 9,0 10,4 10,9 Akan kita gunakan uji f untuk menentukan apakah ada perbedaan yang signifikan antara kedua fariansi sampel. Misalkan σ 2 x dan σ 2 y adalah variansi populasi X dan populasi Y, kita akan menguji Ho : σ 𝟐 𝐱 = σ 𝟐 𝐲 versus H1 : σ 𝟐 𝐱 ≠ σ 𝟐 𝐲 Adalah tingkat signifikan α = 0,05. Selanjutya kita hitung ∑ Xi = 105,8 ∑ Xi 2 = 1121,26 ∑ Yj = 97,8 ∑ Xj 2 = 959,70 Maka variansi kedua sampel itu adalah
  • 82.
    Inferensi Dengan DuaSampel | STATISTIKA MATEMATIKA II 79 S 𝟐 𝐗 = 𝟏𝟎( 𝟏𝟏𝟐𝟏,𝟐𝟔 )–(𝟏𝟎𝟓,𝟖 )² 𝟏𝟎 ( 𝟗 ) = 0,21 dan S 𝟐 𝐘 = 𝟏𝟎 ( 𝟗𝟓𝟗,𝟕𝟎 )–( 𝟗𝟕,𝟖 )² 𝟏𝟎 ( 𝟗 ) = 0,36 Statistic penguji : F = 𝐒 𝟐 𝐘 𝐒 𝟐 𝐗 = 𝐨,𝟑𝟔 𝟎,𝟐𝟏 = 1,71 Dari table distribusi F kita tahu : P ( 0,248 < 𝐹9,9 < 4,03) = 0,95. Jadi 𝐻0 akan ditolak jika F ≥ 4,03 atau F ≤ 0,248. Karena disini F = 1,71 maka 𝐻0 tidak ditolak. 1. Jenis Uji Hipotesa Uji Hipotesa satu arah 0 0 :1 :0     H H 0 0 :1 :0     H H Uji Hipotesa dua arah 0 0 :1 :0     H H 2. Uji Hipotesa Terhadap Rata-rata a) Uji hipotesa dilakukan terhadap rata-rata, dimana hipotesa yang diambil adalah hipotesa rata-rata dari suatu populasi. b) Uji hipotesa rata-rata ini ada dua macam, yaitu uji hipotesa dengan varians populasi σ diketahui dan uji hipotesa dengan varians populasi σ tidak diketahui.
  • 83.
    Inferensi Dengan DuaSampel | STATISTIKA MATEMATIKA II 80 3. Uji Hipotesa Rata-rata dengan σ Diketahui Nilai statistic uji : n x z  0  dengan n ≥ 30. WilayahKritis: 0:1  H , wilayah kritis Z < - Zα 0:1  H , wilayah kritis Z > Zα 0:1  H , wilayah kritis Z < - Zα/2 dan Z > Zα/2 4. Uji Hipotesa Rata-Rata Dengan σ tidak diketahui Nilai statistic uji : n s x t 0  dengan n ≥ 30. WilayahKritis: 0:1  H , wilayah kritis t < - tα 0:1  H , wilayah kritis t > tα 0:1  H , wilayah kritis t < - tα/2 dan t > tα/2 5. Uji Hipotesa terhadap Varians H0 : 2 0 2   Nilai statistic uji   2 0 2 2 .1   sn   Wilayah Kritis:
  • 84.
    Inferensi Dengan DuaSampel | STATISTIKA MATEMATIKA II 81 2 0 2 :1  H , wilayah kritis   1 22 2 0 2 :1  H , wilayah kritis   1 22 2 0 2 :1  H , wilayah kritis 2/ 22 2/1 22     dan C. Data Binomial : Uji H0 : 𝑷 𝑿 = 𝑷 𝒀 Disini akan kita pelajari contoh untuk keadaan di mana dua himpunan data itu adalah binomial. Misalkan n Bernoulli Trials yang berkaitan dengan perlakuan X menghasilkan x sukses, dan m Bernoulli Trials yang berkaitan dengan perlakuan Y menghasilkan y sukses. Kita ingin menguji PX=PY, di mana PX adalah probabilitas sukses untuk perlakuan x dan PY adalah probabilitas sukses untuk perlakuan y. Jadi, H0:PX=PY(=p) versus H1:PX PY akan kita uji pada tingkat signifikansi 𝛼. Kedua ruang parameternya adalah 𝜔 = {( 𝑃 𝑋, 𝑃 𝑌):0 ≤ 𝑃 𝑋 = 𝑃 𝑌 ≤ 1} dan 𝜑 = {( 𝑃 𝑋, 𝑃 𝑌):0 ≤ 𝑃 𝑋 ≤ 1, 0 ≤ 𝑃 𝑌 ≤ 1} Selanjutnya, fungsi likelihood dapat ditulis sebagai 𝐿 = 𝑃 𝑋 𝑋(1− 𝑃 𝑋)ℎ−𝑋 ∙ 𝑃 𝑌(1 − 𝑃 𝑌) 𝑚−𝑦
  • 85.
    Inferensi Dengan DuaSampel | STATISTIKA MATEMATIKA II 82 dengan menyamakan derivatif log L terhadap 𝑃(= 𝑃 𝑋 = 𝑃 𝑌) sama dengan nol, dan kita hitung P, kita peroleh 𝑝̂ = 𝑥+𝑦 𝑛+𝑚 yang merupakan PML untuk 𝑝 di bawah 𝐻0 (yakni proporsi sukses pooled). Jika 𝜗 log 𝐿 𝜗 𝑃 𝑋 = 0 dan 𝜗 log 𝐿 𝜗 𝑃 𝑌 = 0, maka akan kita peroleh PML untuk 𝑃 𝑋 dan 𝑃 𝑌, yakni 𝑝̂ 𝑋 = 𝑥 𝑛 dan 𝑝̂ 𝑌 = 𝑦 𝑛 Penaksir-penaksir kita masukkan ke dalam L untuk memperoleh GLR sebagai berikut: 𝜇 = 𝐿(𝜔) 𝐿(𝜑) = [(𝑥 + 𝑦)/(𝑚 + 𝑛)] 𝑥+𝑦[1 − (𝑥 + 𝑦)/(𝑚 + 𝑛)] 𝑛+𝑚−𝑥−𝑦 (𝑥/𝑛) 𝑥(1 − 𝑥 𝑛 ) 𝑛−𝑥( 𝑦 𝑚 ) 𝑦(1 − 𝑦 𝑚 ) 𝑚−𝑦 Bentuk fungsi ini tidak sederhana, sehingga akan sukar bekerja dengan fungsi. Karena itu perlu dicari pendekatan untuk uji GLR yang biasa. Dapat ditunjukkan bahwa −2 log λ untuk masalah ini mempunyai distribusi asimtotik 𝑥2 dengan derajat bebas 1. Jadi, uji dua sisi pendekatan dengan tingkat signifikansi ∝= 0,05 adalah menolak 𝐻0 jika −2log 𝜆 ≥ 3,84. Pendekatan lain yang paling sering digunakan adalah pemanfaatan teorema limit pusat, yakni 𝑋 𝑛 − 𝑌 𝑚 − 𝐸( 𝑋 𝑛 − 𝑌 𝑚 ) √ 𝑣𝑎𝑟( 𝑋 𝑛 − 𝑌 𝑚 ) mendekati distribusi normal standar. Tentu saja di bawah 𝐻0 𝐸 ( 𝑋 𝑛 − 𝑌 𝑚 ) = 0
  • 86.
    Inferensi Dengan DuaSampel | STATISTIKA MATEMATIKA II 83 dan 𝑉𝑎𝑟 ( 𝑋 𝑛 − 𝑌 𝑚 ) = 𝑝(1 − 𝑝) 𝑛 + 𝑝(1 − 𝑝) 𝑚 = ( 𝑛 + 𝑚) 𝑝(1 − 𝑝) 𝑛𝑚 Jika p sekarang diganti dengan PMLnya di bawah ω, 𝑥+𝑦 𝑛+𝑚 , akan kita peroleh Teorema 4 di bawah ini. Teorema 4 Misalkan x dan y menunjukkan banyak sukses masing-masing dalam n dan m Bernoulli Trials yang berbeda. Misalkan 𝑃 𝑋 dan 𝑃 𝑌 adalah probabilitas sukses dalam kedua Bernoulli Trials itu. Uji GLR pendekatan pada tingkat signifikansi untuk 𝐻0: 𝑃 𝑋 = 𝑃 𝑌 versus 𝐻1: 𝑃 𝑋 ≠ 𝑃 𝑌 adalah menolak 𝐻0 apabila 𝑥 𝑛 − 𝑦 𝑚 √( 𝑥 + 𝑦 𝑛 + 𝑚 )(1 − 𝑥 + 𝑦 𝑛 + 𝑚 )(𝑛 + 𝑚) 𝑛𝑚 Dengan 𝑥 𝑛 − 𝑦 𝑚 ≤ −𝑍 𝛼/2 dan √ ( 𝑥+𝑦 𝑛+𝑚 )(1− 𝑥+𝑦 𝑛+𝑚 )(𝑛+𝑚) 𝑛𝑚 ≥ 𝑍 𝛼/2 Contoh Kita ingin membandingkan keandalan (reliabelitas) tabung elektronik buatan pabrik P dan Pabrik Q. Untuk ini kita periksa 100 tabung elektronik merek P, ternyata hanya 23 yang tahan hidupnya lebih dari 600 jam. Selanjutnya kita periksa pula 100 tabung merek Q, ternyata ada 52 buah yang bertahan hidup lebih dari 600 jam. Apakah
  • 87.
    Inferensi Dengan DuaSampel | STATISTIKA MATEMATIKA II 84 dapat kita simpulkan bahwa kedua merek tabung elektronik tersebut mempunyai keandalan yang sama ? Untuk menjawab pertanyaan itu kita lakukan uji hipotesis sebagai berikut. Misalkan 𝑃 𝑋 dan 𝑃 𝑌 masing-masing adalah proporsi (presentase atau probabilitas) elemen-elemen populasi merek P dan populasi merek Q yang bersifat A (tahan hidup > 600 jam). Kita rumuskan hipotesis sebagai berikut: 𝐻0: 𝑃 𝑋 = 𝑃 𝑌 versus 𝐻1: 𝑃 𝑋 ≠ 𝑃 𝑌 Ambil tingkat signifikansi ∝= 0,10 maka 𝐻0 akan ditolak apabila 𝑍 ≥ 𝑍0,05 = 1,64 dan 𝑍 ≤ −𝑍0,05 = −1,64 di mana statistik penguji Z diitung dengan rumus dalam Teorema 4. Jadi 𝑍 = 0,23 − 0,26 √ 23 + 26 200 (1 − 23 + 26 200 )(100 + 100) 100.100 = −0,49 Dengan demikian 𝐻0 tidak ditolak. Maka kita cenderung menyimpulkan bahwa keandalan kedua merek tabung elektronik itu sama. Teorema(5.2) Distribusi Binomial b(x;n,p) mempunyai rata-rata dan variansi sbb: Contoh (5.6) Tentukan mean dan variansi dari contoh (5.5) kemudikan gunakan teorema chebyshev untuk menafsirkan selang np  2 
  • 88.
    Inferensi Dengan DuaSampel | STATISTIKA MATEMATIKA II 85 Jawab: Dari contoh 5.6 diketahui n=15 dan p=0.4 Diperoleh: Menggunakan teorema Chebyshev adalah Jadi, selang yang ditanakan adalah dari 2.206 sampai 9.794 Percobaan Multinomial distribusi multinomial adalah distribusi peluang bersama frekuensi-frekuensi sel 1, , kn n dalam n trial multinomial dengan parameter 1, , kp p yang masing-masing merupakan peluang sel. Fungsi peluang distribusi multinomial adalah    1 1 1 1 ! , , ! ! kn n k k k n f n n p p n n untuk  1 k i i n n Parameter-parameter itu memenuhi  1 1 k i i p Nilai ekspektasi dan variansi dari distribusi multinomial adalah   i iE n np dan     Var 1i i in np p dimana 1,2, ,i k . Teorema 1.7 misalkan 1 2, , , ky y y berdistribusi multinomial dengan probabilitas 1 2, , , kp p p maka untuk n besar, variabel acak tidak negatif       2 2 1 k i i i i y np np dimana 1,2, ,i k [1.11] 2 9 794 2 2 206. dan .      
  • 89.
    Inferensi Dengan DuaSampel | STATISTIKA MATEMATIKA II 86 mendekati distribusi chi-square dengan derajat bebas  1k dengan harga mean 2  adalah   1k . Persamaan 1.11 pertama kali diperkenalkan dan dipelajari oleh Karl Pearson pada tahun 1900 sehingga dikenal dengan nama ”Pearson’s chi square statistic”. Harga mean 2  hanya tergantung pada banyak sel atau kelas k (banyak kemungkinan yang dapat terjadi pada eksperimen multinomial) dan tidak tergantung pada harga , 1,2, ,ip i k . Bukti :             2 2 2 1 k i i i i E y np mean E np                        1 1 1 1 1 var 1 1 1 1 k k i i i i ii i k k k i i i i i y np p np np p p k Rumus transformasi 2  sering ditulis dengan persamaan            2 2 2 1 1 k k i i i i i ii i y np O E np E [1.12] dimana i iO y adalah frekuensi sel i yang diobservasi dalam sampel berukuran n, sedangkan   i i iE np mean y adalah mean atau frekuensi sel i yang diharapkan (nilai ekspektasi). Kasus khusus model multinomial (Soejoeti, 1985:8) adalah uji hipotesis apakah suatu eksperimen dengan k hasil yang mungkin memiliki kemungkinan yang sama yaitu    0 1 2 1 : kH p p p k .
  • 90.
    Inferensi Dengan DuaSampel | STATISTIKA MATEMATIKA II 87 Dalam kasus khusus model multinomial. persamaan 2  dapat dinyatakan dengan           2 2 1 k i i k n y n k Dengan menggunakan distribusi binomial hanya dapat untuk mencari nilai probabilitas dengan dua kategori, misalnya baik dan rusak, lulus dan gagal, untung dan rugi dan lain-lain. Tetapi untuk mencari nilai probabilitas dengan beberapa kategori, misalnya peristiwa tinggi, sedang dan rendah, peristiwa merah, kuning, biru dan hitam dan lain-lain, tidak dapat dilakukan dengan distribusi binomial. Untuk menjawab masalah tersebut maka dapat digunakan Distribusi Multinomial, yaitu digunakan untuk mencari nilai probabilitas dengan lebih dari dua kategori dan bersifat independen. Berdasarkan hal tersebut, maka distribusi multinomial dapat dirumuskan sebagai beriku Percobaan binomial menjadi percobaan multinomial bila tiap usaha dapat memberikan lebih dari dua hasil. Umumnya bila suatu usaha dapat menghasilkan k hasil yang mungkin E1, E2, …, Ek dengan peluang P1, P2, …, Pk. Maka distribusi multinomial akan memberikan peluang bahwa E1 ,terjadi sebanyak E2×2 kali, …, Ekxk kali dalam n usaha bebas dengan x1 + x2 + … + xk = n. Distribusi Multinomial : Bila suatu usaha tertentu dapat menghasilkan k macam hasil dengan peluang, maka distribusi peluang peubah acak yang menyatakan banyak terjadinya dalam n usaha bebas ialah :
  • 91.
    Inferensi Dengan DuaSampel | STATISTIKA MATEMATIKA II 88 Rumus Distribusi Multinomial Contoh soal Bila dadu dilantumkan 6 kali , berapakah peluang mendapat jumlah 7 atau 11 muncul 2 kali,sepasang bilangan yang sama 1 kali,dan kombinasi lainnya 3 kali ? Jawab Nilai : P1 = 2/9 P2 = 1/6 P3 = 11/18 X1 = 2 X2 = 1 X3 = 3 Percobaan binomial akan menjadi percobaan multinomial jika tiap usaha dapat memberikan lebih dari 2 hasil yang mungkin. Misalnya hasil produksi pabrik dapat dikelompokan menjadi barang baik, cacat, dan masih bisa diperbaiki.
  • 92.
    Inferensi Dengan DuaSampel | STATISTIKA MATEMATIKA II 89 Bila suatu usaha dapat menghasilkan k macam hasil Dengan probabilitasnya maka distribusi perubah acak yang menyatakan banyaknya kejadian Dalam n-usaha bebas adalah ; Dengan Contoh(5.7) Dua buah dadu dilantunkan 6 kali, berapa probabilitas akan mendapatkan jumlah 7 atau 11 muncul dua kali, sepasang bilangan yang sama satu kali, dan kominasi lainnya 3 kali? Jawab: Misal: E1= muncul jumlah 7 atau 11 p(E1)=2/9 E2 = muncul pasangan bilangan yang sama p(E2)=1/6 E3 = muncul selain E1 maupun E2 p(E3)=11/18 Nilai initidak berubah dari ke6-usaha. Menggunakan distribusi multinomial dengan x1=2, x2=1 dan x3=3 diperoleh: Proses Bernoulli 1 2 kE ,E ,....,E1 2 kp ,p ,....,p 1 2 kX , X ,...., X 1 2 kE ,E ,....,E 1 2 1 2 1 2 1 2 1 2 k k x x x k; k k n f(x ,x ,...,x p ,p ,...,p ,n) p p ...p x ,x ,...,x              2 1 32 1 11 2 1 11 9 6 18 9 6 18 36 4 1 11 2 1 3 81 6 318 6 2 1 3 6 2 1 3 0 1127! ! ! ! f( , , ; , , , ) , , .         
  • 93.
    Inferensi Dengan DuaSampel | STATISTIKA MATEMATIKA II 90 Suatu proses dikatakan sebagai proses Bernoulli jika memiliki karakteristik sebagai berikut: 1. eksperimen terdiri atas n ulangan percobaan 2. masing-masing percobaan menghasilkan outcome yang dapat diklasifikasikan sebagai sebuah sukses atau sebuah gagal 3. probabilitas sebuah sukses, disimbolkan dengan p, tetap konstan dari satu percobaan ke percobaan lainnya 4. ulangan percobaan adalah independen Contoh proses Bernoulli:Sebuah kartu diambil dari tumpukannya. Hal ini dilakukan tiga kali tanpa pengembalian. Jika muncul warna merah maka percobaan tersebut diklasifikasikan sebagai sukses dan jika muncul warna hitam maka percobaan tersebut diklasifikasikan sebagai gagal. Apakah proses ini mengikuti proses Bernoulli? Sebuah percobaan Bernoulli dapat menghasilkan outcome sukses dengan probabilitas p dan outcome gagal dengan probabilitas q= 1- p. Maka distribusi probabilitas dari variabel random binomial X, jumlah sukses dalam n percobaan independen, adalah: b(x; n, p) = x = 0,1,2, …, n Eksperimen binomial akan menjadi eksperimen multinomial jika pada tiap percobaan ada lebih dari dua jenis outcome yang mungkin muncul. Jika sebuah percobaan dapat menghasilkan outcome E1, E2, …, Ek dengan probabilitas masing-masing p1, p2, …,pk, maka distribusi probabilitas dari variabel random X1, X2, …, Xk yang
  • 94.
    Inferensi Dengan DuaSampel | STATISTIKA MATEMATIKA II 91 menggambarkan jumlah kemunculan outcome E1, E2, …, Ek dalam n percobaan independen adalah: Dengan menggunakan distribusi binomial hanya dapat untuk mencari nilai probabilitas dengan dua kategori, misalnya baik dan rusak, lulus dan gagal, untung dan rugi dan lain-lain. Tetapi untuk mencari nilai probabilitas dengan beberapa kategori, misalnya peristiwa tinggi, sedang dan rendah, peristiwa merah, kuning, biru dan hitam dan lain-lain, tidak dapat dilakukan dengan distribusi binomial. Untuk menjawab masalah tersebut maka dapat digunakan Distribusi Multinomial, yaitu digunakan untuk mencari nilai probabilitas dengan lebih dari dua kategori dan bersifat independen. Berdasarkan hal tersebut, maka distribusi multinomial dapat dirumuskan sebagai berikut:
  • 95.
    Inferensi Dengan DuaSampel | STATISTIKA MATEMATIKA II 92 Kebanyakan uji goodness of fit didasarkan atas statistik pengujian yang pada hakekatnya sama, yang distribusi asimtotnya khi- kuadrat. Struktur yang mendasari statistic itu diturunkan dari distribusi multinomial. Disini akan kita definisikan distribusi multinomial itu dan mempeloajari sifat-sifatnya yang berkaitan langsung dengan masalah uji goodness of fit. Dipunyai Bernoulli trials, masing-masing dengan probabilitas sukses p. maka fungsi probabilitas banyak sukses Y adalah (distribusi multinomial): nypp y n yfyYP yny ,....,2,1,0;)1()()(        
  • 96.
    Inferensi Dengan DuaSampel | STATISTIKA MATEMATIKA II 93 Satu cara untuk memperluas fungsi probabilitas binomial diatas adalah dengan memandang keadaan dimana pada tiap trial dapat terjadi (k>2) hasil yang mungkin. Dengan demikian Y akan dapat menjalani nilai kyyyy ...,,3,2,1 dengan probabilitas masing-masing 1..., 1 ,,2,1  k i ik pdenganppp Perhatikan jika n trial semacam itu diamati, distribusi nilai-nilai Y yang dihasilkan dapat diringkaskan dengan mendefinisikan himpunan variabel random baru kiyYbanyakkaliXanaXXX iik ,...,2,1,:dim,,...,, 21  Tentu saja nX n i i 1 Vektor  kXXX ,...,, 21 adalah variabel random multivariat diskrit yang fungsi probabilitas bersama-nya adalah fungsi probabilitas multinomial, yakni:     kx k xx k kkk ppp xxx n xxxfxXxXxXP ... ,...,, ...,,,...,, 21 21 21 ,212211        , dengan !!...! ! ,...,, ;,...,2,1;,...,2,1,0 2121 1 1 kk k i i xxx n xxx n nxkinx         teorema 1:
  • 97.
    Inferensi Dengan DuaSampel | STATISTIKA MATEMATIKA II 94 Misalkan vektor  kxxx ,...,, 21 adalah variabel random multivariat dengan parameter n, kppp ,...,, 21 maka fungsi probabilitas marginal ,,...,2,1, kiXi  adalah binomial dengan parameter n dan ip . Akan kita buktikan teorema itu untuk k=3. Misalkan X, Y, Z berdistribusi trinomial dengan parameter n, ., , ZYX PPP Yang harus kita tunjuukkan sekarang adalah   Xn X X X PP x n xf         1)( Dari definisi:  y z z z y y x x ppp zyx n Y !!! ! f=0,1,..., n-x; z==0,1,...,n; y+z=n-x                   xn y xn y xn x yxn xyy y xn x x x yxny y x x y y x x p pp p yxny xn pp xnx n pppp zxnzx n Y 0 0 )1( )1( )!(! )!( )1( )!(! ! )1( )!(!! !                        xn y yxn x y y x yxn x x x p p p p yxny xn pp xnx n 0 1 1 1)!(! )!( )1( )!(! ! Perhatikan jumlah diruas kanan itu sama dengan 1, karena merupakan jumlah fungsi probabilitas binomial dengan parameter (n- x) dan )1( p py  . Dengan demikian teorema terbukti untuk k=3. Dari teorema 1 kita ketahui bahwa ).1()var(,)( iiiii pnpxdannpxE  Dapat juga ditunjukkan bahwa penaksir maksimum likelihood untuk . n x p i i 
  • 98.
    Inferensi Dengan DuaSampel | STATISTIKA MATEMATIKA II 95 Satu sifat lain dari distribusi multinomial yang perlu kita sebutkan adalah setiap variabel random, diskret, ataupun kontinu, dapat dijadikan distribusi multinomial dengan pemisahan rentangnya menjadi himpunan k interval yang tidak tumpang suh (over lap). Misalkan Y adalah variabel random kontinu dengan fungsi probabilitas f(y) yang didefinisikan pada rentang garis real. Sebagai k interval kita ambil himpunan           ia a ki k aakidyyfp aaaa 1 0 1211 1 ;;,...,2,1;)( ,,...,,,,  Maka, jika n pengukuran diambil pada Y, dan jika ix adalah banyak pengukuran Y yang jatuh pada interval i, fungsi probabilitas vektor  kXXX ,...,, 21 adalah multinomial dengan parameter n dan ip ; dan i=1,2,...,k. Analisis multivariat merupakan salah satu teknik statistik yang digunakan untuk memahami struktur data dalam dimensi tinggi. Disebut dimensi tinggi karena melibatkan lebih dari satu variabel. Variabel-variabel itu saling terkait (berkorelasi) satu sama lain. Disinilah letak perbedaan antara multivariabel dan multivariat. Multivariat pasti melibatkan multivariabel tetapi tidak sebaliknya. Multivariabel yang saling berkorelasilah yang dikatakan multivariat. Sebuah unit penelitian dapat dilihat dari berbagai sudut pandang. Dalam penelitian mengenai kesejahteraan rakyat misalnya, kita dapat mengambil sejumlah rumah tangga sebagai unit penelitian. Sebuah rumah tangga bisa diukur pendapatannya, pengeluarannya,
  • 99.
    Inferensi Dengan DuaSampel | STATISTIKA MATEMATIKA II 96 konsumsi protein, jumlah anggota rumah tangga dan lain-lain. Ada banyak dimensi yang bisa kita gali dari sebuah rumah tangga. Misalkan sebuah kumpulan unit penelitian dinyatakan oleh sebuah himpunan . Kita memiliki n observasi yang diukur dalam p dimensi. Setiap observasi memiliki p dimensi dinyatakan dengan , merupakan elemen dari vektor variabel . Sehingga X terdiri dari variabel random . Kita mungkin saja tetarik untuk mengetahui: a) Apakah ada komponen X yang lebih menyebar daripada yang lain? b) Apakah ada beberepa komponen yang membentuk suatu kelompok baru? c) Apakah ada nilai-nilai ektsrem dalam sebuah komponen? d) Bagaimana distribusi datanya? e) Apakah mungkin dilakukan pengurangan dimensi sehingga memungkinkan memandang dimensi yang lebih kecil? Berdasarkan pertanyaan-pertanyaan diatas memunculkan berbagai teknik analisis multivariat seperti analisis komponen utama, kluster, diskriminan dan lain-lain. Distribusi Hipergeometrik
  • 100.
    Inferensi Dengan DuaSampel | STATISTIKA MATEMATIKA II 97 Perbedaan distribusi binomial dengan distribusi multinomial terletak pada cara pengambilan sampelnya. Penggunaan distribusi ini hampir sama dengan distribusi binomial. Misalnya distribusi binomial diterapkan pada sampling dari sejumlah barang (sekotak kartu, sejumlah hasil produksi) sampling harus dikerjakan dengan pengembalian setiap barang setelah diamati. Sebaliknya distribusi hipergeometrik tidak memerlukan kebebasan dan didasarkan pada sampling tanpa pengembalian. Distribusi hipergeometrik mempunyai sifat: 1. Sampel acak berukuran n yang diambil tanpa pengembalian dari N benda. 2. Sebanyak k-benda dapat diberi nama sukses dan sisanya N- k diberi nama gagal. Distribusi probabilitas perubah acak hipergeometrik X yang menyatakan banyaknya kesuksesan dalam sampel acak dengan ukuran n yang diambil dari N-obyek yang memuat k sukses dan N-k gagal dinyatakan sebagai: Contoh (5.8) Suatu panitia 5 orang dipilih secara acak dari 3 kimiawan dan 5 fisikawan. Hitung distribusi probabilitas banyknya kimiawan yang duduk dalam panitia. Jawab: 0 1 2 k N k x n x N n h(x;N,n,k) ; x , , ,......,n                
  • 101.
    Inferensi Dengan DuaSampel | STATISTIKA MATEMATIKA II 98 Misalkan: X= menyatakan banyaknya kimiawan dalam panitia. X={0,1,2,3} Distribusi probabilitasnya dinyatakan dengan rumus: Teorema(5.3) Distribusi hipergeometrik h(x;N,n,k) mempunyai rata-rata dan variansi sbb: dan Contoh (5.9) Tentukan mean dan variansi dari contoh (5.8) kemudikan gunakan teorema chebyshev untuk menafsirkan selang Jawab: Jadi, selang yang ditanamkan adalah dari -0,741 sampai 1,491 Contoh (5.10)      3 5 5 8 5 8 5 3 0 1 2 3 x x h(x; , , ) ; x , , ,         3 5 0 5 1 568 5 0 0 8 5 3x h( ; , , )         3 5 1 4 15 568 5 1 1 8 5 3x h( ; , , )         3 5 2 3 30 568 5 2 2 8 5 3x h( ; , , )    2 1 1N n k k N n n (n)( )( )     2  2 1 491 2 0 741, dan ,       
  • 102.
    Inferensi Dengan DuaSampel | STATISTIKA MATEMATIKA II 99 Suatu pabrik ban mempunyai data bahwa dari pengiriman sebanyak 5000 ban ke sebuah toko tertentu terdapat 1000 cacat. Jika ada seseorang membeli 10 ban ini secara acak dari toko tersebut, berapa probabilitasnya memuat tepat 3 yang cacat. Jawab: Karena n = 10 cukup kecil dibandingkan N = 5000, maka probabilitasnya dihampiri dengan binomial dengan p = 10/5000 = 0,2 adalah probailitas mendapat satu ban. Jadi probabilitas mendapat tepat 3 ban cacat: Jika dihitung dengan software R > phyper(3,5000,10,1000) # tidak bisa menghitung [1] 0 Dihitung dengan pendekatan distribusi binomial > pbinom(3,10,0.2) [1] 0.8791261 > pbinom(2,10,0.2) [1] 0.6777995 Distribusi Poisson Percobaan yang menghasilkan prubah acak X ynag menyatakan banyaknya hasil selama dalam selang waktu/daerah tertentu disebut “distribusi poisson”. 3 2 0 0 3 5000 10 1000 3 10 0 2 10 0 2 10 0 2 0 8791 0 6778 0 2013 x x h( ; , , ) b( ; , . ) b(x; , . ) b(x; , . ) , , ,          
  • 103.
    Inferensi Dengan DuaSampel | STATISTIKA MATEMATIKA II 100 Proses poisson memiliki sifat-sifat berikut: 1. Banyaknya kesuksesan yang terjadi dalam suatu daerah (selang) waktu tertentu independen dengan daerah lainya. 2. Probabilitas sukses dalam daerah/selang yang kecil tidak tergantung banyaknya sukses yang terjadi diluar selang. 3. Peluang terjadinya lebih dari satu sukses dalam daerah yang sempit diabaikan. Jika X perubah acak poisson maka distribusi poisson ini dinyatakan dengan , dimana µt adalah rata-rata hasil Distribusi perubah acak Poisson X yang menyatakan banyaknya kesuksesan yang terjadi dalam suatu selang waktu/daerah tertentu t, dinyatakan: dimana: e=2,71828 dan µt menyatakan rata-rata banyaknya sukses yang terjadi per satuan waktu. Misalkan , untuk beberapa nilai tertentu dari 0,1 sampai 18 diberikan pada tabel Poisson. Atau dengan bantuan software R Distribusi Seragam   k kxP 1 ;  untuk x = x1, x2, ..., xk Distribusi Binomial p(x, t) 0 1 2 t xe ( t) x! p(x, t) ; x , , ,.....       t 
  • 104.
    Inferensi Dengan DuaSampel | STATISTIKA MATEMATIKA II 101   xnx qp p n pnxb        ;; dengan x = 0, 1, 2, ..., n Rata-rata pn Ragam qpn 2  Distribusi Binomial Negatif   xnx qp x n pnxb           1 1 ;; dengan x = n, n+1, n+2, .... Distribusi Multinomial   kx k xx k kk ppp xxx n pppnxxxb    21 21 21 2121 ,,, ,,,;;,,,        dimana p1 + p2 + ...+ pk = 1 Distribusi Geometrik   1 ;   n pqpng Distribusi Hipergeometrik                        n N xn kN x k knNxh ;;; dengan x = 0, 1, 2, ..., n Rata-rata : μ = np Ragam :                N k N k n N nN 1 1 2  Distribusi Poisson   ! ; x e xp x    
  • 105.
    Inferensi Dengan DuaSampel | STATISTIKA MATEMATIKA II 102 1. Uji Binomial a. Definisi Distribusi Binomial adalah suatu distribusi probabilitas yang dapat digunakan bilamana suatu proses sampling dapat diasumsikan sesuai dengan proses Bernoulli. Misalnya, dalam perlemparan sekeping uang logam sebanyak 5 kali, hasil setiap ulangan mungkin muncul sisi gambar atau sisi angka. Begitu pula, bila kartu diambil berturut-turut, kita dapat memberi label “berhasil” bila kartu yang terambil adalah kartu merah atau “gagal” bila yang terambil adalah kartu hitam. Ulangan- ulangan tersebut bersifat bebas dan peluang keberhasilan setiap ulangan tetap sama,taitu sebasar ½. Metode Binomial adalah salah satu metode yang dapat digunakan untuk menggabungkan aktivitas secara sah dari penemuan data binomial. Tujuannya adalah untuk menyediakan keterangan lengkap tentang metode ini dan untuk memperbaharui dan memperluas aplikasi dan penelitian dalam masyarakat luas. Salah satu contoh dari pemanfaatan data binomial yaitu yang bisa dilihat dalam penelitian klinis dan kesehatan masyarakat, dimana seringkali diperlukan untuk menggabungkan temuan-temuan dari berbagai intervensi atau pengamatan studi yang sangat penting untuk keamanan dan keampuhan pertanyaan dalam pencarian data. Sebuah studi
  • 106.
    Inferensi Dengan DuaSampel | STATISTIKA MATEMATIKA II 103 tunggal jarang memberikan jawaban pasti karena keterbatasan ukuran sampel dan atribut spesifik populasi studi tertentu. Tantangan menggabungkan data dari studi heterogen baik dijelaskan dalam meta-analisis literatur. Dalam sebagian besar analisis meta-laporan, hasil yang terpenting adalah perbandingan perkiraan resiko seperti rasio, resiko relatif, atau perbedaan resiko Namun, seperti proporsi peristiwa klinis antara kelompok pasien atau tingkat respon antara pasien yang menerima rejimen pengobatan tertentu, keputusan langkah-langkah penting untuk membantu membimbing klinis dan kesehatan masyarakat. 2. Ciri-ciri Distribusi Binomial Ciri dari binomial adalah data berupa dua (bi) macam unsur, yaitu ‘gagal’ atau ‘sukses’ yang diulang sebanyak n kali. Tentu saja pemakai bebas untuk mendefinisikan apa yang dimaksud ‘sukses’ atau ‘keberhasilan’ dan apa yang dikategorikan ‘kegagalan’. Uji binomial akan membandingkan frekuensi yang diobservasi dari dua kategori pada sebuah variabel dikotomi terhadap frekuensi harapan di bawah distribusi binomial dengan parameter probabilitas tertentu. Dalam default, parameter probabilitas untuk kedua kelompok adalah 0,5, atau dengan hipotesis dinyatakan :
  • 107.
    Inferensi Dengan DuaSampel | STATISTIKA MATEMATIKA II 104 Ho : frekuensi observasi kategori I = frekuensii observasi kategori II H1 : frekuensi observasi kategori I ≠ frekuensii observasi kategori II Untuk mengubah probabilitas = 0,5, dapat dilakukan dengan mengisikan proporsi untuk kelompok pertama, sedangkan proporsi untuk kelompok kedua adalah 1 dikurangi probabilitas untuk kelompok pertama. Beberapa faktor yang harus diperhatikan dalam pemakaian uji binomial adalah data dan asumsi. Data Variabel yang diuji seharusnya bertipe numerik dan merupakan variabel dikotomi.Variabel dikotomi adalah variabel yang hanya terdiri dari ddua macam value, misalnya benar dan salah, ya dan tidak, 0 dan 1, dan sebagainya. Jika variabel yang akan diuji tidak dikotomi, maka harus ditentukan cut point. Cut point tersebut akan membagi case-case ke dalam dua kelompok, yaitu case-case yang mempunyai value lebih kecil dari atau sama dengan cut point akan dijadikan kelompok pertama dan sisanya adalah kelompok kedua. Rumus distribusi binomial: b(x;n,p) = nCx px qn-x dimana x = 0,1,2,3,…,n n : banyaknya ulangan x : banyaknya keberhasilan dalam peubah acak x p : peluang berhasil dalam setiap ulangan q : peluang gagal, dimana q = 1-p dalam setiap ulangan
  • 108.
    Inferensi Dengan DuaSampel | STATISTIKA MATEMATIKA II 105 Catatan : Agar anda mudah dalam membedakan p dengan q, anda harus dapat menetapkan mana kejadian SUKSES dan mana kejadian GAGAL. Anda dapat menetapkan bahwa kejadian yang menjadi pertanyaan atau ditanyakan adalah = kejadian SUKSES. Contoh Distribusi Binomial : Berdasarkan data biro perjalanan PT Mandala Wisata air, yang khusus menangani perjalanan wisata turis manca negara, 20% dari turis menyatakan sangat puas berkunjung ke Indonesia, 40% menyatakan puas, 25% menyatakan biasa saja dan sisanya menyatakan kurang puas. Apabila kita bertemu dengan 5 orang dari peserta wisata turis manca negara yang pernah berkunjung ke Indonesia, berapakah probabilitas : a) Paling banyak 2 di antaranya menyatakan sangat puas. b) Paling sedikit 1 di antaranya menyatakan kurang puas c) Tepat 2 diantaranya menyatakan biasa saja d) Ada 2 sampai 4 yang menyatakan puas Jawab : a) X ≤ 2 Lihat tabel dan lakukan penjumlahan sebagai berikut : b(x; n, p) = b(0; 5, 0.20) + b(1; 5, 0.20) + b(2; 5, 0.20) =0.32768 + 0.40960 + 0.20480 = 0.94208 atau b(x=0) = 5C0 (0.20)0 (0.80)5 = 0.32768
  • 109.
    Inferensi Dengan DuaSampel | STATISTIKA MATEMATIKA II 106 b(x=1) = 5C1 (0.20)0 (0.80)4 = 0.40960 b(x=2) = 5C2 (0.20)0 = 0.20480 +0.32768+0.40960 =0.94208 Maka hasil x ≤ 2 adalah = 0.94208 b) X ≥ 1 Lihat tabel dan lakukan penjumlahan sebagai berikut : b(1; 5, 0.15)+ b(2; 5, 0.15) + b(3; 5, 0.15) + b(4; 5, 0.15) + b(5; 5,0.15) = 0.3915 + 0.1382 + 0.0244 + 0.002 + 0.0001 = 0.5562 atau b(x ≥1; 5, 0.15) = 1 – b(x = 0)1 – 5C0 (0.15)0 (0.85)51 – 0.4437 = 0.5563 c) X = 2 b(2; 5, 0.25) = 0.2637 d) X ≤ 2 X ≤ 4 Lihat tabel dan lakukan penjumlahan sebagai berikut : b(2; 5, 0.40) + b(3; 5, 0.40) + b(4; 5, 0.40) = 0.3456 + 0.2304 + 0.0768 = 0.6528 Analisis masing – masing point : 1) Sebanyak paling banyak 2 dari 5 orang dengan jumlah 0.94208 atau 94,28% yang menyatakan sangat puas adalah sangat besar.
  • 110.
    Inferensi Dengan DuaSampel | STATISTIKA MATEMATIKA II 107 2) Paling sedikit 1 dari 5 orang (berarti semuanya) dengan jumlah 0,5563 atau 55,63% yang menyatakan kurang puas dapat dikatakan cukup besar (karena lebih dari 50%). 3) Tepat 2 dari 5 orang yang menyatakan biasa saja dengan jumlah 0,2637 atau 26,37% adalah kecil (karena dibawah 50%). 4) Ada 2 sampai 4 yang menyatakan puas dengan jumlah 0,6528% atau 65,28% dapat dikatakan cukup besar. Analisis keseluruhan : 1) Persentase Jika diambil persentase terbesar tanpa memperhatikan jumlah X, maka persentase terbesar ada di point pertama (a) yaitu 94,28% yang menyatakan sangat puas. Hal tersebut menandakan banyak turis manca negara yang sangat menyukai Indonesia. 2) Nilai X Jika dilihat dari jumlah X, maka perlu diperhatikan point kedua (b). Jumlah X adalah paling sedikit 1 dari 5 orang (berarti X>=1) yaitu 55,63% yang menyatakan kurang puas . Hal tersebut berarti kelima (semua) turis manca negara kurang puas terhadap kunjungannya ke Indonesia. 3. Perkiraan Pada Parameter Dua metode utama, yang pertama melibatkan moment dan yang lainnya melibatkan kemungkinan yang maksimum, sering
  • 111.
    Inferensi Dengan DuaSampel | STATISTIKA MATEMATIKA II 108 digunakan untuk memperkirakan parameter μ dan θ. Dalam hal data aktual yang diamati dari berbagai studi, p i = x i / n i, i = 1,2, ... k, di mana indeks i studi yang berbeda, x i adalah jumlah peristiwa di th i studi dan n i adalah ukuran sampel penelitian. 4. Metode Perkiraan Moment Dalam hal data aktual diamati dari berbagai studi, biarkan p i = x i / n i, i = 1,2, ... k, di mana indeks i studi yang berbeda, x i adalah jumlah peristiwa di th i studi dan n i adalah ukuran sampel penelitian. n i 's di sini hampir selalu tidak setara dalam studi klinis. …. (4) Yang mana (w i) mewakili seperangkat bobot dan w adalah jumlah dari semua bobot. maka perkiraan moment dari μ dan γ adalah: dan … (5) di mana Untuk menurunkan θ, kita dapat dengan mudah melakukan konversi berikut:
  • 112.
    Inferensi Dengan DuaSampel | STATISTIKA MATEMATIKA II 109 θ = γ /(1 - γ ) θ = γ / (1 - γ) Menyediakan seperangkat bobot yang tepat adalah menantang karena (w i) adalah fungsi dari parameter γ yang tidak diketahui. Kleinman, pertama menawarkan prosedur pembobotan empiris dan menyarankan untuk menetapkan w i = n i atau b i = 1 untuk mendapatkan perkiraan awal dari perkiraan dan μ γ menggunakan persamaan (4). Menggunakan perkiraan ini untuk menghitung γ i (w), yang kemudian dapat menggunakan ini "empiris" bobot untuk tiba pada sebuah perkiraan baru μ. Dalam kasus di mana perkiraan γ negatif, mereka harus ditetapkan ke nol. Chuang-Stein mengusulkan perbaikan pada prosedur Kleinman dengan menyarankan bahwa iterasi dilakukan sampai lebih lanjut perbedaan antara dua set berturut-turut μ dan perkiraan untuk keduanya γ lebih kecil dibandingkan nilai yang telah ditentukan. Contoh yang diberikan adalah 10 -6. Notasi lebih sederhana dalam kasus di mana semua n i 's adalah sama, maka Perkiraan moment μ dan γ adalah dan
  • 113.
    Inferensi Dengan DuaSampel | STATISTIKA MATEMATIKA II 110 Persamaan ini dapat dipecahkan menggunakan metode Newton-Raphson Sekali lagi, derivatif parsial kedua fungsi kemungkinan dapat digunakan untuk membentuk matriks Hessian (H) di solusi ML Yang mana, setelah dibalik, dapat digunakan untuk menurunkan kovarians matriks dan kesalahan standar untuk parameter: Dan interval keyakinan untuk dan dapat diperoleh dengan … (11) … (12) di mana Z 1 - α / 2 adalah 1 - α / 2 persentil dari fungsi distribusi normal standar. dan diperkirakan, dapat juga berasal dari dan dari persamaan μ = α / (α + β), θ = 1 / (α + β). Dapat dengan mudah ditunjukkan bahwa perkiraan adalah / / dan perkiraan adalah (1 -- ) / . Jika kita mengganti perkiraan ini
  • 114.
    Inferensi Dengan DuaSampel | STATISTIKA MATEMATIKA II 111 untuk α dan β dalam versi beta-binomial model (3), maka distribusi kumulatif dapat dihitung. Seperti yang telah kita ditunjukkan di atas, metode tersebut dapat digunakan untuk memperkirakan parameter dari distribusi binomial beta. Pembaca yang tertarik secara lebih rinci harus berkonsultasi Griffiths dan Kleinman. Para peneliti telah menerapkan estimasi kemungkinan maksimum (MLE) method dalam dua populer paket software statistik komersial. Selain itu, perangkat lunak statistik gratis, seperti R dan WinBUGS, memiliki metode untuk pemasangan beta-binomial model, tetapi mereka membutuhkan beberapa program. Satu dari dua populer komersial paket-paket software statistik SAS (SAS Institute Inc, Cary, NC, USA). BETABIN makro yang ditulis oleh Ian Wakeling tersedia secara gratis. Ini meminjam yang ada prosedur SAS NLMIXED untuk memberikan pelayanan maksimal perkiraan kemungkinan μ dan θ. Tidak hanya menyediakan standar beta-binomial model, tetapi juga Brockhoff's dikoreksi beta-binomial model. Pembaca yang tertarik dapat juga melakukan percobaan langsung dengan Proc NLMIXED agar sesuai dengan beta-binomial model yang lain yang telah dilakukan. Perangkat lunak lain Stata (College Station, Texas). Guimaraes disediakan perintah komputer yang diperlukan untuk beta-binomial perkiraan menggunakan perintah Stata kondisional xtnbreg dengan kemungkinan maksimum. Selain itu, Guimaraes
  • 115.
    Inferensi Dengan DuaSampel | STATISTIKA MATEMATIKA II 112 menekankan pengetahuan umum bahwa distribusi binomial beta adalah kasus khusus yang lebih umum Dirichlet-multinomial (DM) distribusi - dengan dua parameter dalam kasus ini. Dalam Dirichlet umum-distribusi multinomial ada parameter m, sehingga jauh lebih dari dua (α dan β) dalam beta- binomial distribusi. Dalam situasi di mana satu ini memang berkaitan dengan berbagai jenis peristiwa-peristiwa buruk yang berkaitan dengan pajanan yang sama, memperluas ke Dirichlet- distribusi multinomial adalah solusi yang logis. Rincian teknis model multinomial telah diberikan oleh orang lain. 5. Test Of Overdispersion Menggunakan model binomial ketika variabilitas dalam data melebihi apa model binomial dapat menampung bisa mengakibatkan meremehkan standard error dari tingkat kejadian yang terkumpul dan dengan demikian meningkatkan kemungkinan error Tipe I. Ennis dan Bi menggambarkan suatu eksperimen dengan 10.000 set data binomial overdispersed simulasi di mana mereka menemukan bahwa error Tipe I adalah 0,44 dan bukan asumsi palsu 0,05. Justru karena model binomial dapat menyesuaikan data yang overdispersed binomial penerapan beta- binomial yang diperlukan. Jadi sebelum seseorang mengadopsi beta-binomial untuk menganalisa kumpulan data tertentu, seseorang harus terlebih
  • 116.
    Inferensi Dengan DuaSampel | STATISTIKA MATEMATIKA II 113 dahulu memeriksa apakah data overdispersed sejauh beta-binomial model akan menjadi lebih sehat daripada model binomial sederhana. Ada beberapa cara untuk memeriksa overdispersion. Kita tahu bahwa … (13) dimana γ = 1 / (1 + α + β). Jika kita dapat memperkirakan γ, kita dapat menguji apakah γ adalah nol. Jika mendekati nol, maka tidak ada yang signifikan overdispersion, dan model binomial akan cukup menggambarkan data. Tes ini, bagaimanapun, telah ditemukan untuk menjadi kurang peka dalam mendeteksi keberangkatan dari model binomial karena masalah batas timbul ketika kami menguji apakah parameter bernilai positif lebih besar dari 0 (ingat bahwa α dan β adalah parameter positif, dan akibatnya begitu pula θ dan γ ). Seperti yang diharapkan, sebuah uji rasio kemungkinan juga dapat digunakan untuk menguji overdispersion, tetapi masalah batas yang sama berlaku. Hipotesis nol yang mendasari adalah bahwa distribusi binomial sementara hipotesis alternatif adalah bahwa distribusi beta-binomial. Log-kemungkinan untuk model binomial (ditafsirkan untuk mengumpulkan data dari semua studi tanpa bobot) adalah …. (15)
  • 117.
    Inferensi Dengan DuaSampel | STATISTIKA MATEMATIKA II 114 Rasio kemungkinan tes adalah χ 1 2 = 2 ( L BB - L B ) (16) χ 1 2 = 2 (L BB - L B) …. (16) di mana L BB adalah log-nilai kemungkinan untuk beta- binomial model (9) dan L B log-nilai kemungkinan untuk model binomial (15). Walaupun solusi untuk masalah batas telah ditawarkan tidak ada konsensus mengenai solusi optimal. Untuk menghindari masalah batas, kita dapat menggunakan alternatif - Tarone's Z statistik untuk menguji overdispersion. Hal ini telah ditunjukkan untuk menjadi lebih sensitif daripada tes parameter (misalnya tes untuk γ menjadi nol) dan log-rasio kemungkinan tes : …. (14) di mana Z statistik ini memiliki distribusi normal standar asimtot bawah hipotesis nol dari distribusi binomial. Singkatnya, kami sarankan untuk berhati-hati dalam menggunakan rasio kemungkinan tes. Lebih baik untuk menggabungkan dengan Tarone's Z statistik. Z statistik juga dapat digunakan sebagai suatu kebaikan-of-fit test. Telah terbukti lebih unggul kebaikan lain-of-fit
  • 118.
    Inferensi Dengan DuaSampel | STATISTIKA MATEMATIKA II 115 langkah. Kami akan menghitung Tarone's Z dalam contoh aplikasi kita. 6. The Bayesian Approach Pada bagian sebelumnya kita menggambarkan beta-model binomial dalam kerangka frequentist statistik. Menariknya, dalam bidang statistik Bayesian, beta-binomial model umumnya dijelaskan dalam buku-buku teks statistik Bayesian sebagai contoh. Karena metode statistik Bayesian kini semakin digunakan dalam klinis dan penelitian kesehatan publik, kami dengan ini secara singkat menggambarkan turunan dari beta-model binomial dalam kerangka Bayesian. Beberapa telah mencatat bahwa pendekatan Bayesian dapat memberikan perkiraan yang lebih akurat untuk sampel kecil. Ingatlah bahwa distribusi binomial (dalam persamaan 1) adalah sebagai berikut: Biarkan konjugat sebelumnya π (p | α, β) menjadi distribusi beta (misalnya, jika p dalam persamaan 1 berikut distribusi beta) …. (17) dimana Γ adalah fungsi gamma. Priors beta dipilih karena mereka sangat fleksibel pada (0, 1) dan dapat mewakili berbagai kepercayaan sebelumnya. Ini mirip dengan alasan untuk memilih
  • 119.
    Inferensi Dengan DuaSampel | STATISTIKA MATEMATIKA II 116 distribusi beta dalam kerangka frequentist. Selain itu, dengan dimulai dengan distribusi beta sebagai konjugat sebelumnya, kami memastikan bahwa distribusi posterior selalu merupakan distribusi beta, dan dengan demikian secara matematis mudah dikerjakan untuk memperkirakan parameter. Untuk notasi kenyamanan, biarkan μ = α / (α + β), M = α + β (yaitu M = 1 / θ), sehingga Singkatnya, kita lagi memiliki model dua-tahap: X i | p i ~ Bin ( n i , p i ) X i | p i ~ Bin (n i, p i) p i ~ Beta ( μ , M ), iid p i ~ Beta (μ, M), iid Dalam terminologi Bayesian, beta distribusi sebelumnya, ketika diupdate dengan data binomial, memberikan distribusi posterior beta. The Bayesian Pengukur kemudian dapat dipilih sebagai mean, median, atau modus marjinal ini posterior. Dalam banyak situasi, asalkan ukuran sampel cukup besar (n = 50 atau lebih), metode sebelumnya kita saat estimasi dan kemungkinan maksimum masih lebih disukai dalam kerangka Bayesian untuk estimasi mean dan varians. Ada persamaan matematika rinci lainnya yang terlibat dalam estimasi Bayesian beta-binomial model untuk kasus-kasus tertentu. Tertarik pembaca bisa berkonsultasi Lee dan Sabavala dan juga Lee dan Lio.
  • 120.
    Inferensi Dengan DuaSampel | STATISTIKA MATEMATIKA II 117 Kami akan menggambarkan penerapan metode beta-binomial menggunakan analisis yang meneliti efek samping lisan agen anti jamur. Anti jamur oral agen, termasuk terbinafine, itraconazole, dan flukonazol, telah menjadi terapi pilihan untuk dermatophytosis onychomycosis dan tidak menanggapi terapi topikal. Dalam rangka untuk mempelajari profil keamanan agen ini, kami meninjau data dari acak dan non-randomized controlled cobaan, seri kasus, dan kelompok studi yang terdaftar dermatophytosis pasien yang dangkal (tinea pedis, tinea mannus, tinea copora, dan tinea cruris) atau onychomycosis, berusia 18 atau di atas, menerima terapi antijamur oral untuk dua atau lebih minggu. Salah satu hasil yang menarik adalah kejadian kumulatif pasien yang menarik diri dari penelitian karena efek samping reaksi. Data selama 41 perawatan lengan terbinafine dari 37 studi (Tabel 1 dan Lampiran) digunakan sebagai contoh. Table 1. Pengobatan lengan terbinafine disertakan dalam perkiraan menggenang Tingkat kejadian dari berbagai studi bervariasi dari 0% sampai 13.89%. Kami menerapkan beta-binomial model dengan metode kemungkinan maksimum untuk memperkirakan tingkat acara yang terkumpul menggunakan makro SAS dan SAS BETABIN. Dari semua studi yang memenuhi syarat, kami menggabungkan data dan memperoleh perkiraan ringkasan risiko dan 95% confidence interval (CI).
  • 121.
    Inferensi Dengan DuaSampel | STATISTIKA MATEMATIKA II 118 ML perkiraan untuk parameter μ dan θ adalah = 0.0344 and = 0,0344 dan = 0.0278. = 0,0278. Perkiraan dari matriks kovarians dan adalah Dalam Tabel 2 , kami menyajikan perkiraan yang berbeda dari sebuah menggenang proporsi (event tingkat) dengan menggunakan model binomial dan beta-binomial model. Menggunakan model binomial, kita menghitung probabilitas binomial dan varians seolah- olah semua data yang berasal dari satu penelitian dengan ukuran sampel lebih dari 3.000. Perkiraan yang terkumpul 3,70%, 8% lebih tinggi daripada beta-binomial perkiraan 3,44%. Standard error dari data runtuh 0,34%, menyesatkan lebih kecil daripada beta-binomial perkiraan 0,59%. Tabel 2. Estimasi proporsi dan tes overdispersion Isu penting secara alami adalah ujian overdispersion karena itu adalah dasar untuk lebih memilih beta-model binomial dalam situasi ini. Hasil dari metode yang berbeda untuk mengevaluasi overdispersion disajikan pada Tabel 2. Sebagaimana dibahas dalam bagian sebelumnya, θ dan γ adalah indikator overdispersion. Mereka secara signifikan lebih besar dari nol dalam hal ini (p <0,05), menunjukkan adanya overdispersion. Kami juga melakukan pengujian kemungkinan-rasio antara beta-binomial dan binomial, dan sekali lagi tes menunjukkan bahwa ada overdispersion signifikan (p <0,001).
  • 122.
    Inferensi Dengan DuaSampel | STATISTIKA MATEMATIKA II 119 Akhirnya, kami menghitung Tarone's Z statistik, dan hasilnya konsisten dengan tes lainnya. Ini menunjukkan bahwa beta-binomial memiliki kebaikan yang lebih baik-of-sehat daripada binomial (p <0,001), bahwa beta-binomial model memberikan contoh kami juga grafis disajikan pada Gambar 2. Gambar 2. Beta distribusi binomial proporsi berdasarkan contoh. Ketika kami telah menunjukkan di atas, di bawah beta- binomial acara model ringkasan tingkat 3,44% dengan perkiraan standard error 0,59%. Yang θ diperkirakan 2,78% (Tabel 2 ) yang memberikan perkiraan α 1,24 dan β perkiraan 34,72. Setelah parameter-parameter ini diperkirakan, kita dapat menggunakan beta-binomial diperkirakan model untuk mengkaji kemungkinan mengamati, misalnya, 105 atau lebih dampak buruk
  • 123.
    Inferensi Dengan DuaSampel | STATISTIKA MATEMATIKA II 120 dalam penelitian baru 1.000 subjek. Menggunakan persamaan 3, yang kemungkinan adalah 5% di bawah perkiraan kami beta-binomial model. D. Interval Kepercayaan untuk Masalah Dua Sampel 1. Interval Kepercayaan pada MCNP Statistika adalah ilmu yang mempelajari bagaimana merencanakan, mengumpulkan, menganalisis, menginterpretasi, dan mempresentasikan data. Singkatnya, statistika adalah ilmu yang berkenaan dengan data. Istilah 'statistika' (bahasa Inggris: statistics) berbeda dengan 'statistik' (statistic). Statistika merupakan ilmu yang berkenaan dengan data, sedang statistik adalah data, informasi, atau hasil penerapan algoritma statistika pada suatu data. Dari kumpulan data, statistika dapat digunakan untuk menyimpulkan atau mendeskripsikan data; ini dinamakan statistika deskriptif. Sebagian besar konsep dasar statistika mengasumsikan teori probabilitas. Beberapa istilah statistika antara lain: populasi, sampel, unit sampel, dan probabilitas. Statistika banyak diterapkan dalam berbagai disiplin ilmu, baik ilmu-ilmu alam (misalnya astronomi dan biologi maupun ilmu-ilmu sosial (termasuk sosiologi dan psikologi), maupun di bidang bisnis, ekonomi, dan industri). Statistika juga digunakan dalam pemerintahan untuk berbagai macam tujuan; sensus penduduk merupakan salah satu prosedur yang paling dikenal. Aplikasi statistika lainnya yang sekarang popular adalah prosedur jajak pendapat atau
  • 124.
    Inferensi Dengan DuaSampel | STATISTIKA MATEMATIKA II 121 polling (misalnya dilakukan sebelum pemilihan umum), serta jajak cepat (perhitungan cepat hasil pemilu) atau quick count. Di bidang komputasi, statistika dapat pula diterapkan dalam pengenalan pola maupun kecerdasan buatan. Penggunaan istilah statistika berakar dari istilah istilah dalam bahasa latin modern statisticum collegium ("dewan negara") dan bahasa Italia statista ("negarawan" atau "politikus"). Gottfried Achenwall (1749) menggunakan Statistik dalam bahasa Jerman untuk pertama kalinya sebagai nama bagi kegiatan analisis data kenegaraan, dengan mengartikannya sebagai "ilmu tentang negara (state)". Pada awal abad ke-19 telah terjadi pergeseran arti menjadi "ilmu mengenai pengumpulan dan klasifikasi data". Sir John Sinclair memperkenalkan nama (Statistics) dan pengertian ini ke dalam bahasa Inggris. Jadi, statistika secara prinsip mula-mula hanya mengurus data yang dipakai lembaga-lembaga administratif dan pemerintahan. Pengumpulan data terus berlanjut, khususnya melalui sensus yang dilakukan secara teratur untuk memberi informasi kependudukan yang berubah setiap saat. Pada abad ke-19 dan awal abad ke-20 statistika mulai banyak menggunakan bidang-bidang dalam matematika, terutama probabilitas. Cabang statistika yang pada saat ini sangat luas digunakan untuk mendukung metode ilmiah, statistika inferensi, dikembangkan pada paruh kedua abad ke-19 dan awal abad ke-20 oleh Ronald Fisher (peletak dasar statistika inferensi), Karl Pearson (metode regresi
  • 125.
    Inferensi Dengan DuaSampel | STATISTIKA MATEMATIKA II 122 linear), dan William Sealey Gosset (meneliti problem sampel berukuran kecil). Penggunaan statistika pada masa sekarang dapat dikatakan telah menyentuh semua bidang ilmu pengetahuan, mulai dari astronomi hingga linguistika. Bidang-bidang ekonomi, biologi dan cabang-cabang terapannya, serta psikologi banyak dipengaruhi oleh statistika dalam metodologinya. Akibatnya lahirlah ilmu-ilmu gabungan seperti ekonometrika, biometrika (atau biostatistika), dan psikometrika. Meskipun ada kubu yang menganggap statistika sebagai cabang dari matematika, tetapi orang lebih banyak menganggap statistika sebagai bidang yang banyak terkait dengan matematika melihat dari sejarah dan aplikasinya. Di Indonesia, kajian statistika sebagian besar masuk dalam fakultas matematika dan ilmu pengetahuan alam, baik di dalam departemen tersendiri maupun tergabung dengan matematika. Dalam mengaplikasikan statistika terhadap permasalahan sains, industri, atau sosial, pertama-tama dimulai dari mempelajari populasi. Makna populasi dalam statistika dapat berarti populasi benda hidup, benda mati, ataupun benda abstrak. Populasi juga dapat berupa pengukuran sebuah proses dalam waktu yang berbeda-beda, yakni dikenal dengan istilah deret waktu. Melakukan pendataan (pengumpulan data) seluruh populasi dinamakan sensus. Sebuah sensus tentu memerlukan waktu dan biaya yang tinggi. Untuk itu, dalam statistika seringkali dilakukan pengambilan sampel (sampling), yakni sebagian kecil dari populasi,
  • 126.
    Inferensi Dengan DuaSampel | STATISTIKA MATEMATIKA II 123 yang dapat mewakili seluruh populasi. Analisis data dari sampel nantinya digunakan untuk menggeneralisasikan seluruh populasi. Jika sampel yang diambil cukup representatif, inferensial (pengambilan keputusan) dan simpulan yang dibuat dari sampel dapat digunakan untuk menggambarkan populasi secara keseluruhan. Metode statistika tentang bagaimana cara mengambil sampel yang tepat dinamakan teknik sampling. Analisis statistik banyak menggunakan probabilitas sebagai konsep dasarnya. Sedangkan matematika statistika merupakan cabang dari matematika terapan yang menggunakan teori probabilitas dan analisis matematis untuk mendapatkan dasar-dasar teori statistika. Ada dua macam statistika, yaitu statistika deskriptif dan statistika inferensial. Statistika deskriptif berkenaan dengan deskripsi data, misalnya dari menghitung rata-rata dan varians dari data mentah; mendeksripsikan menggunakan tabel-tabel atau grafik sehingga data mentah lebih mudah “dibaca” dan lebih bermakna. Sedangkan statistika inferensial lebih dari itu, misalnya melakukan pengujian hipotesis, melakukan prediksi observasi masa depan, atau membuat model regresi. Statistika deskriptif berkenaan dengan bagaimana data dapat digambarkan dideskripsikan) atau disimpulkan, baik secara numerik (misalnya menghitung rata-rata dan deviasi standar) atau secara grafis (dalam bentuk tabel atau grafik), untuk mendapatkan gambaran sekilas mengenai data tersebut, sehingga lebih mudah dibaca dan bermakna.
  • 127.
    Inferensi Dengan DuaSampel | STATISTIKA MATEMATIKA II 124 Statistika inferensial berkenaan dengan permodelan data dan melakukan pengambilan keputusan berdasarkan analisis data, misalnya melakukan pengujian hipotesis, melakukan estimasi pengamatan masa mendatang (estimasi atau prediksi), membuat permodelan hubungan (korelasi, regresi, ANOVA, deret waktu), dan sebagainya. MCNP Secara umum adalah code Monte Carlo untuk transport netron dan radiasi untuk aplikasi kritikalitas nuklir. Estimasi keff menggunakan estimasi standar deviasi untuk membangun interval konfidensi keff. Bilamana dari n sample estimasi x dari variabel acak dengan simpangan baku s dengan interval konfidensi berada dalam jangkauan x •} s , menurut teori central limit distribusi dari estimasi mean mendekati distribusi normal dengan n mendekati ∞. Untuk jumlah sampel tidak terbatas, distribusi didekati oleh distribusi student t, simetrik sekitar nol dan mendekati distribusi normal dengan n →∞. Ini digunakan untuk mendeskripsikan variable random t, dimana 𝑡 = 𝑥̅ − 𝜇 𝑆( 𝑋̅) 𝑡 = 𝑥̅ − 𝜇 𝑆( 𝑋̅)/√ 𝑁 Distribusi student t mempunyai distribusi yang berbeda untuk masing-masing n, ditulis sebagai t n-1, dimana n-1 adalah jumlah derajat kebebasan, yaitu jumlah pengukuran independent yang mungkin. Titik dari absis pada graf dari distribusi student t
  • 128.
    Inferensi Dengan DuaSampel | STATISTIKA MATEMATIKA II 125 adalah “ persentil dari distribusi” dan ditulis sebagai tn-1, 1-α/2 , dimana indek bawah kedua adalah tingkat kepercayaan. 2. Interval Kepercayaan Untuk Masalah Dua Sampel Teorema 2, 3, dan 4 memberikan distribusi sampling untuk𝑋̅ − 𝑌̅, 𝑆 𝑌 2 𝑆 𝑋 2 , 𝑑𝑎𝑛 𝑋 𝑛⁄ − 𝑌 𝑚⁄⁄ apabila H0 benar. Apabila H0 tidak harus benar, statistic penguji ini berbentuk seperti dibawah ini. 1) 𝑋̅−𝑌̅−( 𝜇 𝑥−𝜇 𝑦) 𝑆 𝑝√ 1 𝑛 − 1 𝑚 ~ 𝑡 𝑛+𝑚−2 2) 𝑆 𝑦 2 𝜎 𝑦 2⁄ 𝑆 𝑥 2 𝜎 𝑦 2⁄ ~ 𝐹𝑚−1 ; 𝑛−1 3) 𝑥 𝑛 − 𝑦 𝑚 −( 𝑝 𝑋− 𝑝 𝑌) √ 𝑥 𝑛 (1− 𝑥 𝑛 ) 𝑛 + 𝑦 𝑚 (1− 𝑦 𝑚 ) 𝑚 ~ 𝑁(0 ;1), pendekatan Dengan menggunakan rumus-rumus ini dapat kita turunkan interval kepercayaan (1 − 𝛼) 100% untuk (𝜇 𝑥 − 𝜇 𝑦), 𝜎𝑥 2 𝜎𝑦 2 , 𝑑𝑎𝑛 (𝑃𝑥 − 𝑃𝑦)⁄ . Dirumuskan dalam beberapa teorema dibawah ini. Teorema 5 Misalkan X1, X2, . . . . , Xn sampel random dari N( 𝜇 𝑥; 𝜎𝑥 2) dan 𝑌1, 𝑌2, …. , 𝑌 𝑚 sampel random dari 𝑁(𝜇 𝑦; 𝜎𝑦 2 ), serta semua X dan Y independen. Misalkan Sp adalah variansi standar pooled, maka interval kepercayaan (1 − 𝛼) 100% untuk (𝜇 𝑥 − 𝜇 𝑦) adalah
  • 129.
    Inferensi Dengan DuaSampel | STATISTIKA MATEMATIKA II 126 [( 𝑥̅ − 𝑦̅) − 𝑡 𝑛+𝑚−2;𝛼 2⁄ . 𝑆 𝑝√ 1 𝑛 + 1 𝑚 ( 𝑥̅ − 𝑦̅) + 𝑡 𝑛+𝑚−2;𝛼 2⁄ . 𝑆 𝑝√ 1 𝑛 + 1 𝑚 ] Contoh 8 Pandang kembali data contoh 6. Berdasarkan data itu kita ingin menaksir selisih mean kedua populasi, yakni (𝜇 𝑥 − 𝜇 𝑦), dengan interval kepercayaan 95%. Untuk ini kita gunakan rumus dalam Teorema 5 Dari data dapat kita hitung : 𝑥̅ = 105,8 10 = 10,58 ; 𝑦̅ = 97,8 10 = 9,78 ; 𝐽𝑎𝑑𝑖 ( 𝑥̅ − 𝑦̅) = 0,8 𝑆 𝑥 2 = 0,21 ; 𝑆 𝑦 2 = 0,36 ; 𝑚𝑎𝑘𝑎 𝑆 𝑝 2 = 9(0,21) + 9(0,36) 18 = 0,285 Dari tabel distribusi t kita peroleh 𝑡18;0,025 = 2,10. Sehingga interval kepercayaan 95% untuk (𝜇 𝑥 − 𝜇 𝑦) adalah [0,8 − (2,10)(0,285)√ 1 10 + 1 10 ; 0,8 + (2,10)(0,285)√ 1 10 + 1 10 ] = (0,53;1,07) Teorema 6 Misalkan X1, X2, . . . . , Xn sampel random dari N( 𝜇 𝑥; 𝜎𝑥 2) dan 𝑌1, 𝑌2, …. , 𝑌 𝑚 sampel random dari 𝑁(𝜇 𝑦; 𝜎𝑦 2 ), serta semua X dan Y independen. Maka interval kepercayaan (1 − 𝛼) 100% untuk 𝜎𝑥 2 𝜎𝑦 2 ,⁄ adalah
  • 130.
    Inferensi Dengan DuaSampel | STATISTIKA MATEMATIKA II 127 [ 𝑆 𝑋 2 𝑆 𝑌 2 𝐹 𝑚−1,𝑛−1;𝛼 2⁄ ; 𝑆 𝑥 2 𝑆 𝑦 2 𝐹 𝑚−1,𝑛−1;𝛼 2⁄ ] Contoh 9 Pandang kembali data Contoh 6. Berdasarkan data ini akan dihitung interval keperayaan 95% untuk 𝜎𝑥 2 𝜎𝑦 2 ,⁄ dengan rumus dalam Teorema 6. Dalam contoh 6 telah kita peroleh 𝑆 𝑋 2 = 0,21 ; 𝑆 𝑌 2 = 0,36 ; 𝐹9,9;0,025 = 0,248 ; 𝐹9,9;0,975 = 4,03; Jadi interval kepercayaan 95% untuk 𝜎𝑥 2 𝜎𝑦 2 ,⁄ adalah [ 0,21 0,36 (0,248); 0,21 0,36 (4,03)] = (0,145 ;2,351). Teorema 7 Misalkan x dan y menunjukkan banyak sukses, masing- masing dalam n dan m Bernoulli Trials yang berbeda. Misalkan 𝑃 𝑋 𝑑𝑎𝑛 𝑃 𝑌 menunjukkan probabilitas sukses dalam kedua Bernoulli Trials itu. Maka interval kepercayaan (1 − 𝛼) 100% untuk ( 𝑃 𝑋 − 𝑃 𝑌) adalah [ 𝑥 𝑛 − 𝑦 𝑚 − 𝑍 𝛼 2⁄ √ 𝑥 𝑛 (1 − 𝑥 𝑛 ) 𝑛 + 𝑦 𝑚 (1 − 𝑦 𝑚 ) 𝑚 ; 𝑥 𝑛 − 𝑦 𝑚 + 𝑍 𝛼 2⁄ √ 𝑥 𝑛 (1 − 𝑥 𝑛 ) 𝑛 + 𝑦 𝑚 (1 − 𝑦 𝑚 ) 𝑚 ] Contoh 10
  • 131.
    Inferensi Dengan DuaSampel | STATISTIKA MATEMATIKA II 128 Pandang kembali data Contoh 7. Berdasarkan data itu akan kita hitung interval kepercayaan 90% untuk ( 𝑃 𝑋 − 𝑃 𝑌) dengan rumus dalam Teorema 7. Dari contoh 7 telah kita peroleh 𝑥 𝑛 = 23 100 = 0,23 ; 𝑦 𝑚 = 52 200 = 0,26 Dari table distribusi normal standar kita peroleh 𝑍0,05 = 1,64 Selanjutnya √ 𝑥 𝑛 (1 − 𝑥 𝑛 ) 𝑛 + 𝑦 𝑚 (1 − 𝑦 𝑚 ) 𝑚 = √ (0,23)(0,77) 100 + (0,26)(0,74) 200 = (−0,0715 ; 0,0115) E. Penjabaran Uji t Dua Sampel Ruang parameter 𝜔 𝑑𝑎𝑛 𝛺 adalah 𝜔 = {(𝜇 𝑥, 𝜇 𝑦, 𝜎2 ) ∶ −∞ < 𝜇 𝑥 = 𝜇 𝑦 < ∞,0 < 𝜎2 < ∞} Dan 𝛺 = {(𝜇 𝑥, 𝜇 𝑦, 𝜎2 ) ∶ −∞ < 𝜇 𝑥 < ∞, −∞ = 𝜇 𝑦 < ∞, 0 < 𝜎2 < ∞} Karena semua X dan Y independen (dan normal), maka 𝐿( 𝜔) = ∏ 𝑓( 𝑥 𝑖)𝑛 𝑖−1 ∏ 𝑓(𝑦𝑗)𝑛 𝑗=1 = ( 1 √2𝜋𝜎2 ) 𝑛+𝑚 𝑒𝑥𝑝 [− 1 2𝜎2 {∑( 𝑥 𝑖 − 𝜇)2 + ∑(𝑦𝑗 − 𝜇) 2 𝑛 𝑗=1 𝑛 𝑖=1 }] Dengan 𝜇 𝑥 = 𝜇 𝑦 = 𝜇. Jika kita ambil log 𝐿(𝜔) dan kita selesaikan sistem persamaan 𝜕 log 𝐿(𝜔) 𝜕𝜇 = 0⁄ dan 𝜕 log 𝐿(𝜔) 𝜕𝜎2 = 0⁄
  • 132.
    Inferensi Dengan DuaSampel | STATISTIKA MATEMATIKA II 129 Kita peroleh PML : 𝜇̂ = ∑ 𝑥 𝑖+∑ 𝑦𝑗 𝑚 𝑗=1 𝑛 𝑖=1 𝑛+𝑚 𝜎2̂ = ∑ ( 𝑥 𝑖−𝜇̂ )2 +∑ ( 𝑦𝑗 −𝜇) 2𝑚 𝑗=1 𝑛 𝑖=1 𝑛+𝑚 PML ini kita substitusikan ke 𝐿(𝜔), kita peroleh 𝐿( 𝜔̂) = ( 𝑒−1 2𝜋𝜎2̂ ) 𝑛+𝑚 2⁄ Fungsi likelihood ruang parameter Ω adalah 𝐿( 𝛺) = ( 1 √2𝜇𝜎2 ) 𝑛+𝑚 𝑒𝑥𝑝[− 1 2𝜎2 {∑( 𝑥 𝑖 − 𝜇 𝑥)2 𝑛 𝑖=1 + ∑(𝑦𝑗 − 𝜇 𝑦) 2 𝑛 𝑗=1 }] Menyelesaikan 𝜕 log 𝐿(𝛺) 𝜕𝜋 𝑥 = 0 ; 𝜕 log 𝐿(𝛺) 𝜕𝜋 𝑦 = 0 ; 𝜕 log 𝐿(𝛺) 𝜕𝜎2 = 0 Memperoleh PML : 𝜇 𝑥̂ = 𝑥̅ ; 𝜇 𝑦̂ = 𝑦̅ ; 𝑑𝑎𝑛 𝜎 𝛺 2̂ = ∑ ( 𝑥 𝑖 − 𝑥̅)2 + ∑ (𝑦𝑗 − 𝑦̅) 2𝑚 𝑗=1 𝑛 𝑖=1 𝑛 + 𝑚 Substitusikan ke dalam 𝐿 ( 𝛺) kita peroleh : 𝐿 (𝛺̂) = ( 𝑒−1 2𝜋𝜎 𝛺 2 ) 𝑛+𝑚 2⁄ Sehingga λ = 𝐿( 𝜔̂ ) 𝐿 ( 𝛺̂) = ( 𝜎 𝛺 2 𝜎̂ 2 ) 𝑛+𝑚 2⁄ Atau
  • 133.
    Inferensi Dengan DuaSampel | STATISTIKA MATEMATIKA II 130 𝜆2 ( 𝑛+𝑚)⁄ = ∑ ( 𝑥 𝑖 − 𝑥̅)2 + ∑ (𝑦𝑗 − 𝑦̅) 2𝑚 𝑗=1 𝑛 𝑖=1 ∑ [𝑥 𝑖 − ( 𝑛𝑥̅ + 𝑚𝑦̅ 𝑛 + 𝑚 )] 2 + ∑ [𝑦𝑗 − ( 𝑛𝑥̅ + 𝑚𝑦̅ 𝑛 + 𝑚 )] 2 𝑚 𝑗=1 𝑛 𝑖=1 Karena ∑ [𝑥 𝑖 − ( 𝑛𝑥̅ + 𝑚𝑦̅ 𝑛 + 𝑚 )] 𝑛 𝑖=1 2 = ∑( 𝑥 𝑖 − 𝑥̅) 𝑛 𝑖=1 2 + 𝑚2 𝑛 𝑛 + 𝑚2 ( 𝑥̅ − 𝑦̅) ∑[𝑦𝑗 − ( 𝑛𝑥̅ + 𝑚𝑦̅ 𝑛 + 𝑚 )] 𝑛 𝑗=1 2 = ∑(𝑦𝑗 − 𝑦̅) 𝑚 𝑗=1 2 + 𝑚2 𝑛 𝑛 + 𝑚2 ( 𝑥̅ − 𝑦̅) maka 𝜆2 ( 𝑛+𝑚)⁄ = ∑ ( 𝑥 𝑖 − 𝑥̅)2 + ∑ (𝑦𝑗 − 𝑦̅) 2𝑚 𝑗=1 𝑛 𝑖=1 ∑ ( 𝑥 𝑖 − 𝑥̅)𝑛 𝑖=1 2 + ∑ (𝑦𝑗 − 𝑦̅)𝑚 𝑗=1 2 + 𝑛𝑚 𝑛 + 𝑚 ( 𝑥̅ − 𝑦̅)2 𝜆2 ( 𝑛+𝑚)⁄ = 1 1 + ( 𝑥 − 𝑦)2 [∑ ( 𝑥 𝑖 − 𝑥̅)𝑛 𝑖=1 2 + ∑ (𝑦𝑗 − 𝑦̅)𝑚 𝑗=1 2 ] ( 1 𝑛 + 1 𝑚 ) 𝜆2 ( 𝑛+𝑚)⁄ = 𝑛 + 𝑚 − 2 𝑛 + 𝑚 − 2 + ( 𝑥̅ − 𝑦̅)2 𝑆 𝑝 2 ( 1 𝑛 + 1 𝑚) Dimana 𝑆 𝑝 2 adalah variansi pooled : 𝑆 𝑝 2 = 1 𝑛 + 𝑚 − 2 [∑( 𝑥 𝑖 − 𝑥̅) 𝑛 𝑖=1 2 + ∑(𝑦𝑗 − 𝑦̅) 𝑚 𝑗=1 2 ] Maka 𝜆2 ( 𝑛+𝑚)⁄ dapat ditulis 𝜆2 ( 𝑛+𝑚)⁄ = 𝑛 + 𝑚 − 2 𝑛 + 𝑚 − 2 + 𝑡2 Uji GLR yang menolak H0 : 𝜇 𝑥 = 𝜇 𝑦 𝑎𝑝𝑎𝑏𝑖𝑙𝑎 0 < 𝜆 ≤ 𝜆∗ adalah ekivalen dengan menolak H0 apabila 0 < 𝜆2 ( 𝑛+𝑚)⁄ < 𝜆∗∗ . Tapi kedua criteria itu ekivalen dengan menolak H0 apabila terlalu besar.
  • 134.
    Inferensi Dengan DuaSampel | STATISTIKA MATEMATIKA II 131 Jadi, aturan keputusan dalam bentuk t2 adalah tolak H0 : 𝜇 𝑥 = 𝜇 𝑦 (dan menerima Hi : 𝜇 𝑥 ≠ 𝜇 𝑦 ) apabila t∗2 . Atau menolak H0 apabila 𝑡 ≥ 𝑡∗ 𝑎𝑡𝑎𝑢 𝑡 ≤ −𝑡∗ Dengan 𝑃(−𝑡∗ < 𝑡 < 𝑡∗| 𝐻0 𝑏𝑒𝑛𝑎𝑟) = 1 − 𝛼 Karena 𝑡 ~ 𝑡 𝑛+𝑚−2, 𝑚𝑎𝑘𝑎 𝑡∗ = 𝑡 𝑛+𝑚−2 ; 𝛼 2⁄ Sebelum membahas Uji t Dua Sampel, akan dibahas dahulu mengenai: 1. Student’s t Test Student t test (uji t) pertama kali ditemukan oleh W.S. Gosset pada tahun 1908 dengan nama samara student. Penggunaan uji t adalah untuk membuktikan signifikan atau tidaknya dua nilai rata-rata. Syarat-syarat penggunaan uji t : a) Uji t dipergunakan bila simpangan baku populasinya tidak ketahui. Bila ukuran sampel 1 dan 2 tidak sama, selisih keduanya < 50% b) Data mempunyai skala pengukuran ratio atau interval c) Data berdistribsi normal Uji-t (t-test) merupakan statistik uji yang sering kali ditemui dalam masalah-masalah praktis statistika. Uji-t termasuk dalam golongan statistika parametrik. Statistik uji ini digunakan dalam pengujian hipotesis. Uji-t digunakan ketika informasi mengenai nilai variance (ragam) populasi tidak diketahui.
  • 135.
    Inferensi Dengan DuaSampel | STATISTIKA MATEMATIKA II 132 Uji-t dapat dibagi menjadi 2, yaitu uji-t yang digunakan untuk pengujian hipotesis 1-sampel dan uji-t yang digunakan untuk pengujian hipotesis 2-sampel. Bila dihubungkan dengan kebebasan (independency) sampel yang digunakan (khusus bagi uji-t dengan 2-sampel), maka uji-t dibagi lagi menjadi 2, yaitu uji-t untuk sampel bebas (independent) dan uji-t untuk sampel berpasangan (paired). Statistika adalah ilmu yang mempelajari bagaimana merencanakan, mengumpulkan, menganalisis, menginterpretasi, dan mempresentasikan data. Singkatnya, statistika adalah ilmu yang berkenaan dengan data. Istilah 'statistika' (bahasa Inggris: statistics) berbeda dengan 'statistik' (statistic). Statistika merupakan ilmu yang berkenaan dengan data, sedang statistik adalah data, informasi, atau hasil penerapan algoritma statistika pada suatu data. Dari kumpulan data, statistika dapat digunakan untuk menyimpulkan atau mendeskripsikan data; ini dinamakan statistika deskriptif. Sebagian besar konsep dasar statistika mengasumsikan teori probabilitas. Beberapa istilah statistika antara lain: populasi, sampel, unit sampel, dan probabilitas. Statistika banyak diterapkan dalam berbagai disiplin ilmu, baik ilmu-ilmu alam (misalnya astronomi dan biologi maupun ilmu-ilmu sosial (termasuk sosiologi dan psikologi), maupun di bidang bisnis, ekonomi, dan industri). Statistika juga digunakan dalam pemerintahan untuk berbagai macam tujuan; sensus penduduk merupakan salah satu prosedur yang paling dikenal. Aplikasi statistika
  • 136.
    Inferensi Dengan DuaSampel | STATISTIKA MATEMATIKA II 133 lainnya yang sekarang popular adalah prosedur jajak pendapat atau polling (misalnya dilakukan sebelum pemilihan umum), serta jajak cepat (perhitungan cepat hasil pemilu) atau quick count. Di bidang komputasi, statistika dapat pula diterapkan dalam pengenalan pola maupun kecerdasan buatan. Penggunaan istilah statistika berakar dari istilah istilah dalam bahasa latin modern statisticum collegium ("dewan negara") dan bahasa Italia statista ("negarawan" atau "politikus"). Gottfried Achenwall (1749) menggunakan Statistik dalam bahasa Jerman untuk pertama kalinya sebagai nama bagi kegiatan analisis data kenegaraan, dengan mengartikannya sebagai "ilmu tentang negara (state)". Pada awal abad ke-19 telah terjadi pergeseran arti menjadi "ilmu mengenai pengumpulan dan klasifikasi data". Sir John Sinclair memperkenalkan nama (Statistics) dan pengertian ini ke dalam bahasa Inggris. Jadi, statistika secara prinsip mula-mula hanya mengurus data yang dipakai lembaga-lembaga administratif dan pemerintahan. Pengumpulan data terus berlanjut, khususnya melalui sensus yang dilakukan secara teratur untuk memberi informasi kependudukan yang berubah setiap saat. Pada abad ke-19 dan awal abad ke-20 statistika mulai banyak menggunakan bidang-bidang dalam matematika, terutama probabilitas. Cabang statistika yang pada saat ini sangat luas digunakan untuk mendukung metode ilmiah, statistika inferensi, dikembangkan pada paruh kedua abad ke-19 dan awal abad ke-20 oleh Ronald Fisher (peletak dasar statistika inferensi), Karl Pearson (metode regresi
  • 137.
    Inferensi Dengan DuaSampel | STATISTIKA MATEMATIKA II 134 linear), dan William Sealey Gosset (meneliti problem sampel berukuran kecil). Penggunaan statistika pada masa sekarang dapat dikatakan telah menyentuh semua bidang ilmu pengetahuan, mulai dari astronomi hingga linguistika. Bidang-bidang ekonomi, biologi dan cabang-cabang terapannya, serta psikologi banyak dipengaruhi oleh statistika dalam metodologinya. Akibatnya lahirlah ilmu-ilmu gabungan seperti ekonometrika, biometrika (atau biostatistika), dan psikometrika. Meskipun ada kubu yang menganggap statistika sebagai cabang dari matematika, tetapi orang lebih banyak menganggap statistika sebagai bidang yang banyak terkait dengan matematika melihat dari sejarah dan aplikasinya. Di Indonesia, kajian statistika sebagian besar masuk dalam fakultas matematika dan ilmu pengetahuan alam, baik di dalam departemen tersendiri maupun tergabung dengan matematika. Dalam mengaplikasikan statistika terhadap permasalahan sains, industri, atau sosial, pertama-tama dimulai dari mempelajari populasi. Makna populasi dalam statistika dapat berarti populasi benda hidup, benda mati, ataupun benda abstrak. Populasi juga dapat berupa pengukuran sebuah proses dalam waktu yang berbeda-beda, yakni dikenal dengan istilah deret waktu. Melakukan pendataan (pengumpulan data) seluruh populasi dinamakan sensus. Sebuah sensus tentu memerlukan waktu dan biaya yang tinggi. Untuk itu, dalam statistika seringkali dilakukan pengambilan sampel (sampling), yakni sebagian kecil dari populasi,
  • 138.
    Inferensi Dengan DuaSampel | STATISTIKA MATEMATIKA II 135 yang dapat mewakili seluruh populasi. Analisis data dari sampel nantinya digunakan untuk menggeneralisasikan seluruh populasi. Jika sampel yang diambil cukup representatif, inferensial (pengambilan keputusan) dan simpulan yang dibuat dari sampel dapat digunakan untuk menggambarkan populasi secara keseluruhan. Metode statistika tentang bagaimana cara mengambil sampel yang tepat dinamakan teknik sampling. Analisis statistik banyak menggunakan probabilitas sebagai konsep dasarnya. Sedangkan matematika statistika merupakan cabang dari matematika terapan yang menggunakan teori probabilitas dan analisis matematis untuk mendapatkan dasar-dasar teori statistika. Ada dua macam statistika, yaitu statistika deskriptif dan statistika inferensial. Statistika deskriptif berkenaan dengan deskripsi data, misalnya dari menghitung rata-rata dan varians dari data mentah; mendeksripsikan menggunakan tabel-tabel atau grafik sehingga data mentah lebih mudah “dibaca” dan lebih bermakna. Sedangkan statistika inferensial lebih dari itu, misalnya melakukan pengujian hipotesis, melakukan prediksi observasi masa depan, atau membuat model regresi. Statistika deskriptif berkenaan dengan bagaimana data dapat digambarkan dideskripsikan) atau disimpulkan, baik secara numerik (misalnya menghitung rata-rata dan deviasi standar) atau secara grafis (dalam bentuk tabel atau grafik), untuk mendapatkan gambaran sekilas mengenai data tersebut, sehingga lebih mudah dibaca dan bermakna.
  • 139.
    Inferensi Dengan DuaSampel | STATISTIKA MATEMATIKA II 136 Statistika inferensial berkenaan dengan permodelan data dan melakukan pengambilan keputusan berdasarkan analisis data, misalnya melakukan pengujian hipotesis, melakukan estimasi pengamatan masa mendatang (estimasi atau prediksi), membuat permodelan hubungan (korelasi, regresi, ANOVA, deret waktu), dan sebagainya. 2. Uji t Satu Sampel Uji t satu yang bertujuan untuk membandingkan nilai rat- rata sampel dengan nilai rata-rata populasi sebagai standarnya. Teorema Misalkan 𝑋1, 𝑋2, …. , 𝑋 𝑛 sampel random dari 𝑁( 𝜇 ; 𝜎2). Uji GLR untuk 𝐻0 ∶ 𝜇 = 𝜇0 𝑣𝑒𝑟𝑠𝑢𝑠 𝐻1 ∶ 𝜇 ≠ 𝜇0 Dengan tingkat signifikansi 𝛼, kita menolak H0 apabila 𝑥̅ − 𝜇0 𝑠 √ 𝑛⁄ ≤ −𝑡( 𝑛−1) ; 𝛼 2 𝑎𝑡𝑎𝑢 ≥ 𝑡( 𝑛−1) ; 𝛼 2 Bukti Karena 𝜎2 (dianggap) tidak diketahui, maka ruang parameternya 𝐻0( 𝜔) 𝑑𝑎𝑛 𝐻0 ∪ 𝐻1 (𝛺) adalah 𝜔 = {( 𝜇 ; 𝜎2) ∶ 𝜇 = 𝜇0, 0 ≤ 𝜎2 < ∞} Dan
  • 140.
    Inferensi Dengan DuaSampel | STATISTIKA MATEMATIKA II 137 𝛺 = {( 𝜇 ; 𝜎2) ∶ −∞ < 𝜇 < ∞ ; 0 ≤ 𝜎2 < ∞} Dibawah 𝜔, PML adalah 𝜇̂ = 𝜇0 𝑑𝑎𝑛 𝜎̂2 = 1 𝑛 ∑ ( 𝑥 𝑖 −𝑛 𝑖 𝜇0)2 Dibawah Ω, PML adalah 𝜇̂ = 𝑥̅ 𝑑𝑎𝑛 𝜎̂2 = 1 𝑛 ∑ ( 𝑥 𝑖 − 𝜇0)2𝑛 𝑖 Maka 𝐿( 𝜔̅) = [ √ 𝑛 √2𝜋√∑ ( 𝑥 𝑖 − 𝜇0)2𝑛 1 ] 𝑛 𝑒 − 𝑛 2 𝐿( 𝜔̅) = [ 𝑛 𝑒−1 2𝜋 ∑ ( 𝑥 𝑖 − 𝜇0)2𝑛 1 ] 𝑛 2 Dan 𝐿( 𝛺̅) = [ 𝑛𝑒−1 2𝜋 ∑ ( 𝑥 𝑖 − 𝜇0)2𝑛 1 ] 𝑛 2 Sehingga, likelihood ratio-nya adalah 𝜆 = 𝐿( 𝜔̅) 𝐿( 𝛺̅) = [ ∑ ( 𝑥 𝑖 − 𝑥̅)2𝑛 1 ∑ ( 𝑥 𝑖 − 𝜇0)2𝑛 1 ] 𝑛 2 , 0 < 𝜆 < 1 𝜆 = 𝐿( 𝜔̅) 𝐿( 𝛺̅) = [ ∑( 𝑥 𝑖 − 𝜇0)2 ∑( 𝑥 𝑖 − 𝑥̅)2 ] − 𝑛 2 Kita tulis ∑( 𝑥 𝑖 − 𝜇0)2 = 𝑛 1 ∑[( 𝑥 𝑖 − 𝑥̅) + (𝑥̅ − 𝜇0)]2 𝑛 1
  • 141.
    Inferensi Dengan DuaSampel | STATISTIKA MATEMATIKA II 138 ∑( 𝑥 𝑖 − 𝜇0)2 = 𝑛 1 ∑[( 𝑥 𝑖 − 𝑥̅) + 𝑛(𝑥̅ − 𝜇0)]2 𝑛 1 Dengan demikian, 𝜆 = [1 + 𝑛(𝑥̅ − 𝜇0)2 ∑ ( 𝑥 𝑖 − 𝑥̅)2𝑛 1 ] − 𝑛 2 𝜆 = [1 + 𝑡2 𝑛 − 1 ] − 𝑛 2 Dengan 𝑡 = 𝑥̅ − 𝜇0 𝑠 √ 𝑛⁄ ~𝑡 𝑛−1 Perhatikan bahwa jika t2 naik, maka λ turun. Ini berarti bahwa uji GLR yang harus menolak H0 jika λ terlalu kecil (misalkan < 𝜆∗ ) adalah ekuivalen dengan menolak H0 apabila t2 terlalu besar. Tetapi, karena 𝑡 ~ 𝑡 𝑛−1, terlalu besar berarti t2 teralu besar berarti 𝑡2 ≥ (𝑡( 𝑛−1); 𝛼 2 ) 2 0 < 𝜆 ≤ 𝜆∗ ↔ 𝑡2 ≥ (𝑡( 𝑛−1); 𝛼 2 ) 2 Dan 𝑡2 ≥ (𝑡( 𝑛−1); 𝛼 2 ) 2 ↔ 𝑡 < 𝑡( 𝑛−1); 𝛼 2 𝑎𝑡𝑎𝑢 𝑡 > 𝑡( 𝑛−1); 𝛼 2
  • 142.
    Inferensi Dengan DuaSampel | STATISTIKA MATEMATIKA II 139 Maka teorema terbukti. Contoh Berdasarkan data sampel : 0,693 0,662 0,690 0,606 0,570 0,749 0,672 0,628 0,609 0,844 0,654 0,615 0,668 0,601 0,576 0,670 0,606 0,611 0,553 0,933 Kita ingin menjadi 𝐻0 ∶ 𝜇 = 0,618 𝑣𝑒𝑟𝑠𝑢𝑠 𝐻1 ∶ 𝜇 ≠ 0,618 dengan anggapan populasinya normal. Maka uji dengan tingkat signifikansi 5% akan menolak H0 jika 𝑥̅ − 0,618 𝑠 √20⁄ ≤ −2,09 (= −𝑡10 ;0,025 ) ≥ 2,09 (= 𝑡10 ;0,025) Dari data di atas kita hitung :
  • 143.
    Inferensi Dengan DuaSampel | STATISTIKA MATEMATIKA II 140 ∑ 𝑥 𝑖 = 13,210 ; 20 𝑖=1 ∑ 𝑥 𝑖 = 8,8878 ; 20 𝑖=1 = 13,210 20 = 0,661 , 𝑑𝑎𝑛 𝑠 = √ 20(8,8878)− (13,210)2 20(19) = 0,093 𝑡 = 0,661−0,618 0,093 √20 ⁄ = 2,05 sehingga kita terima H0 Catatan Uji GLR untuk hipotesis satu sisi 3. Uji t Dua Sampel Uji-t 2 sampel independen (bebas) adalah metode yang digunakan untuk menguji kesamaan rata-rata dari 2 populasi yang bersifat independen, dimana peneliti tidak memiliki informasi mengenai ragam populasi. Independen maksudnya adalah bahwa populasi yang satu tidak dipengaruhi atau tidak berhubungan dengan populasi yang lain. Barangkali, kondisi dimana peneliti tidak memiliki informasi mengenai ragam populasi adalah kondisi yang paling sering dijumpai di kehidupan nyata. Oleh karena itu secara umum, uji-t (baik 1-sampel, 2-sampel, independen maupun paired) adalah metode yang paling sering digunakan. Dalam lingkup uji-t untuk pengujian hipotesis 2-sampel bebas, maka ada 1 hal yang perlu mendapat perhatian, yaitu apakah ragam populasi (ingat: ragam populasi, bukan ragam sampel) diasumsikan homogen (sama) atau tidak. Bila ragam populasi
  • 144.
    Inferensi Dengan DuaSampel | STATISTIKA MATEMATIKA II 141 diasumsikan sama, maka uji-t yang digunakan adalah uji-t dengan asumsi ragam homogen, sedangkan bila ragam populasi dari 2- sampel tersebut tidak diasumsikan homogen, maka yang lebih tepat adalah menggunakan uji-t dengan asumsi ragam tidak homogen. Uji-t dengan ragam homogen dan tidak homogen memiliki rumus hitung yang berbeda. Oleh karena itulah, apabila uji-t hendak digunakan untuk melakukan pengujian hipotesis terhadap 2- sampel, maka harus dilakukan pengujian mengenai asumsi kehomogenan ragam populasi terlebih dahulu dengan menggunakan uji-F. Uji t 2-arah digunakan apabila peneliti tidak memiliki informasi mengenai arah kecenderungan dari karakteristik populasi yang sedang diamati. Sedangkan uji t 1-arah digunakan apabila peneliti memiliki informasi mengenai arah kecenderungan dari karakteristik populasi yang sedang diamati. Contoh dibawah ini mungkin dapat mengilustrasikannya. Kasus 1: Seorang peneliti ingin mengetahui rata-rata uang saku mahasiswa Univ X perbulan. Menurut isu yang berkembang, rata-rata uang saku yang dimiliki mahasiwa univ X lebih besar dari Rp. 500 ribu/bulan. Untuk itu dilakukan penelitian dengan mengambil 50 sampel mahasiswa secara acak. kasus 2: Seorang peneliti ingin mengetahui rata-rata uang saku mahasiswa Univ X perbulan. Menurut isu yang berkembang, rata-rata uang saku mahasiswa univ X adalah sekitar Rp.500 ribu
  • 145.
    Inferensi Dengan DuaSampel | STATISTIKA MATEMATIKA II 142 /bulan. Untuk itu dilakukan penelitian dengan mengambil 50 sampel mahasiswa secara acak. Sekarang saya meminta pembaca mencermati kedua kasus di atas. Pada kasus 2, terdapat kata sekitar, sedangkan pada kasus 1 terdapat kata lebih besar dari. Coba bayangkan sebuah garis lurus horizontal. Dan letakkan titik 500 ribu di tengah2nya. Kata lebih besar dari mengandung informasi bahwa pada garis horizontal tersebut, rata-rata uang saku mahasiswa Univ X terletak diantara titik 500ribu ke arah kanan. Sedangkan kata sekitar berarti rata-rata uang saku mahasiswa pada kasus 2 berada disekitar (baik ke arah kiri atau ke arah kanan) dari titik 500ribu. Dengan demikian, pada kasus 2 tidak terdapat 2 kemungkinan kecenderungan/arah, sedangkan pada kasus 1 terdapat 1 kecenderungan arah (ke kanan). Oleh karena itu, uji-t yang tepat untuk kasus 1 adalah uji-t 1-arah (pada H1 menggunakan tanda pertidaksamaan lebih besar), sedangkan pada kasus 2 adalah uji-t 2-arah (pada H1 menggunakan tnda pertidaksamaan “tidak sama dengan”). Statistika adalah ilmu yang mempelajari bagaimana merencanakan, mengumpulkan, menganalisis, menginterpretasi, dan mempresentasikan data. Singkatnya, statistika adalah ilmu yang berkenaan dengan data. Istilah 'statistika' (bahasa Inggris: statistics) berbeda dengan 'statistik' (statistic). Statistika merupakan ilmu yang berkenaan dengan data, sedang statistik adalah data, informasi, atau
  • 146.
    Inferensi Dengan DuaSampel | STATISTIKA MATEMATIKA II 143 hasil penerapan algoritma statistika pada suatu data. Dari kumpulan data, statistika dapat digunakan untuk menyimpulkan atau mendeskripsikan data; ini dinamakan statistika deskriptif. Sebagian besar konsep dasar statistika mengasumsikan teori probabilitas. Beberapa istilah statistika antara lain: populasi, sampel, unit sampel, dan probabilitas. Statistika banyak diterapkan dalam berbagai disiplin ilmu, baik ilmu-ilmu alam (misalnya astronomi dan biologi maupun ilmu-ilmu sosial (termasuk sosiologi dan psikologi), maupun di bidang bisnis, ekonomi, dan industri). Statistika juga digunakan dalam pemerintahan untuk berbagai macam tujuan; sensus penduduk merupakan salah satu prosedur yang paling dikenal. Aplikasi statistika lainnya yang sekarang popular adalah prosedur jajak pendapat atau polling (misalnya dilakukan sebelum pemilihan umum), serta jajak cepat (perhitungan cepat hasil pemilu) atau quick count. Di bidang komputasi, statistika dapat pula diterapkan dalam pengenalan pola maupun kecerdasan buatan. Penggunaan istilah statistika berakar dari istilah istilah dalam bahasa latin modern statisticum collegium ("dewan negara") dan bahasa Italia statista ("negarawan" atau "politikus"). Gottfried Achenwall (1749) menggunakan Statistik dalam bahasa Jerman untuk pertama kalinya sebagai nama bagi kegiatan analisis data kenegaraan, dengan mengartikannya sebagai "ilmu tentang negara (state)". Pada awal abad ke-19 telah terjadi pergeseran arti menjadi "ilmu mengenai pengumpulan dan klasifikasi data". Sir John Sinclair memperkenalkan
  • 147.
    Inferensi Dengan DuaSampel | STATISTIKA MATEMATIKA II 144 nama (Statistics) dan pengertian ini ke dalam bahasa Inggris. Jadi, statistika secara prinsip mula-mula hanya mengurus data yang dipakai lembaga-lembaga administratif dan pemerintahan. Pengumpulan data terus berlanjut, khususnya melalui sensus yang dilakukan secara teratur untuk memberi informasi kependudukan yang berubah setiap saat. Pada abad ke-19 dan awal abad ke-20 statistika mulai banyak menggunakan bidang-bidang dalam matematika, terutama probabilitas. Cabang statistika yang pada saat ini sangat luas digunakan untuk mendukung metode ilmiah, statistika inferensi, dikembangkan pada paruh kedua abad ke-19 dan awal abad ke-20 oleh Ronald Fisher (peletak dasar statistika inferensi), Karl Pearson (metode regresi linear), dan William Sealey Gosset (meneliti problem sampel berukuran kecil). Penggunaan statistika pada masa sekarang dapat dikatakan telah menyentuh semua bidang ilmu pengetahuan, mulai dari astronomi hingga linguistika. Bidang-bidang ekonomi, biologi dan cabang-cabang terapannya, serta psikologi banyak dipengaruhi oleh statistika dalam metodologinya. Akibatnya lahirlah ilmu-ilmu gabungan seperti ekonometrika, biometrika (atau biostatistika), dan psikometrika. Meskipun ada kubu yang menganggap statistika sebagai cabang dari matematika, tetapi orang lebih banyak menganggap statistika sebagai bidang yang banyak terkait dengan matematika melihat dari sejarah dan aplikasinya.
  • 148.
    Inferensi Dengan DuaSampel | STATISTIKA MATEMATIKA II 145 Di Indonesia, kajian statistika sebagian besar masuk dalam fakultas matematika dan ilmu pengetahuan alam, baik di dalam departemen tersendiri maupun tergabung dengan matematika. Dalam mengaplikasikan statistika terhadap permasalahan sains, industri, atau sosial, pertama-tama dimulai dari mempelajari populasi. Makna populasi dalam statistika dapat berarti populasi benda hidup, benda mati, ataupun benda abstrak. Populasi juga dapat berupa pengukuran sebuah proses dalam waktu yang berbeda-beda, yakni dikenal dengan istilah deret waktu. Melakukan pendataan (pengumpulan data) seluruh populasi dinamakan sensus. Sebuah sensus tentu memerlukan waktu dan biaya yang tinggi. Untuk itu, dalam statistika seringkali dilakukan pengambilan sampel (sampling), yakni sebagian kecil dari populasi, yang dapat mewakili seluruh populasi. Analisis data dari sampel nantinya digunakan untuk menggeneralisasikan seluruh populasi. Jika sampel yang diambil cukup representatif, inferensial (pengambilan keputusan) dan simpulan yang dibuat dari sampel dapat digunakan untuk menggambarkan populasi secara keseluruhan. Metode statistika tentang bagaimana cara mengambil sampel yang tepat dinamakan teknik sampling. Analisis statistik banyak menggunakan probabilitas sebagai konsep dasarnya. Sedangkan matematika statistika merupakan cabang dari matematika terapan yang menggunakan teori probabilitas dan analisis matematis untuk mendapatkan dasar-dasar teori statistika.
  • 149.
    Inferensi Dengan DuaSampel | STATISTIKA MATEMATIKA II 146 Ada dua macam statistika, yaitu statistika deskriptif dan statistika inferensial. Statistika deskriptif berkenaan dengan deskripsi data, misalnya dari menghitung rata-rata dan varians dari data mentah; mendeksripsikan menggunakan tabel-tabel atau grafik sehingga data mentah lebih mudah “dibaca” dan lebih bermakna. Sedangkan statistika inferensial lebih dari itu, misalnya melakukan pengujian hipotesis, melakukan prediksi observasi masa depan, atau membuat model regresi. Statistika deskriptif berkenaan dengan bagaimana data dapat digambarkan dideskripsikan) atau disimpulkan, baik secara numerik (misalnya menghitung rata-rata dan deviasi standar) atau secara grafis (dalam bentuk tabel atau grafik), untuk mendapatkan gambaran sekilas mengenai data tersebut, sehingga lebih mudah dibaca dan bermakna. Statistika inferensial berkenaan dengan permodelan data dan melakukan pengambilan keputusan berdasarkan analisis data, misalnya melakukan pengujian hipotesis, melakukan estimasi pengamatan masa mendatang (estimasi atau prediksi), membuat permodelan hubungan (korelasi, regresi, ANOVA, deret waktu), dan sebagainya. 4. Menguji Hipotesis Kembali pada populasi bervariabel dua dengan koefisien koperasi . Dari modelnya, jika  = 0, maka ternyata bahwa X dan Y independen. Sehingga dalam hal populasi berdistribusi normal 
  • 150.
    Inferensi Dengan DuaSampel | STATISTIKA MATEMATIKA II 147 = 0 mengakibatkan bahwa X dan Y independen dan sebaliknya. Sifat ini tidak berlaku untuk populasi yang tidak berdistribusi normal. Mengingat dalam banyak penelitian sering ingin mengetahui apakah antara dua variabel terdapat hubungan yang independen atau tidak, maka kita perlu melakukan uji independen. Dalam hal ini, maka hipotesis yang harus diujikan adalah : H0 :  = 0 melawan H1 :   0 Uji ini sebenarnya ekivalen dengan uji H0 : 2 = 0 dimana 2 menyatakan koefisien arah regresi linier untuk populasi. Untuk menguji H0 :  = 0 melawan H1 :   0, jika sampel acak yang diambil dari populasi normal bervariabel dua itu berukuran n memiliki koefisien korelasi r, maka dapat digunakan statistik t seperti dicantumkan dalam Rumus (9.3.9) yaitu : t = 2 r-1 2-nr (9.3.16) Selanjutnya untuk taraf nyata = , maka hipotesis kita terima jika –t(1- ½) < t < t(1- ½ ), dimana distribusi t yang digunakan mempunyai dk = (n-2). Dalam hal lainnya H0 kita tolak. Tentu saja bentuk alternatif untuk menguji hipotesis H0 bisa H1 :  > 0 atau H1 :  < 0. Dalam hal pertama merupakan uji pihak kanan sedangkan yang kedua merupakan uji
  • 151.
    Inferensi Dengan DuaSampel | STATISTIKA MATEMATIKA II 148 pihak kiri. Daerah kritis pengujianm, seperti biasa harus disesuaikan dengan alternatif yang diambil. Contoh 4: Untuk pengujian H0 :  = 0 melawan H1 :   0 berdasarkan sebuah sampel acak berukuran n = 27 dengan r = 0,28, maka dari Rumus (9.3.16) didapat : t =    2 28,01 22728,0   = 1,458 Jika taraf nyata  = 0,05, maka dengan dk = 25, dari daftar distribusi t didapat, untuk uji dua pihak, t0,995 = 2,060. Mudah dilihat bahwa t = 1,458 antara -2,060 dan 2,060. Jadi H0 diterima. Cobalah buat sendiri kesimpulannya! Sekarang marilah kita tinjau bagaimana menguji hipotesis  yang tidak nol dapat dilakukan. Seperti telah dijelaskan dalam Bagian 5, jika sampel acak diambil dari populasinormal bervariabel dua dengan koefisien korelasi   0, maka dengan transformasi Fisher dalam Rumus (9.3.11) akan diperoleh distribusi normal dengan rata-rata dan simpangan baku seperti tertera dalam Rumus (9.3.12). Untuk dapat menggunakan daftar distribusi normal baku, s elanjutnya perlu digunakan angka z : z = z z-Z   (9.3.17)
  • 152.
    Inferensi Dengan DuaSampel | STATISTIKA MATEMATIKA II 149 Angka z inilah yang akan digunakan untuk menguji hipotesis : H0 :  = 0  0 melawan salah satu alternatif : H1 :   0, atau H1 :  > 0, atau H1 :  < 0, atau Jika taraf ternyata pengujian diambil , maka daerah kritis, seperti biasa, ditentukan oleh bentuk alternatif, apakah dua pihak, pihak kanan atau pihak kiri. Contoh 5: Dalam contoh 9.3.1, telah dihitung koefisien antara banyak pengunjung dan yang berbelanja untuk sampel berukuran n = 30. di situ telah didapat r = 0,8758. jika diduga bahwa populasinya mempunyai  = 0,75, dapatkah sampel tadi menguatkan dugaan tersebut ? Pertanyaan ini akan terjawab apabila kita melakukan pengujian terhadap hipotesis : H0 :  = 0,75 melawan H1 :   0,75 Dengan Rumus (9.3.11) kita dapat menghitung : Z = (1,1513) log         8758,01 8758,01 = 1,3573 sedangkan dari Rumus (9.3.12) dan Rumus (9.3.13) dengan 0 = 0,75 (dari hipotesis H0) didapat : z = (1,1513) log         75,01 75,01 = 0,9729
  • 153.
    Inferensi Dengan DuaSampel | STATISTIKA MATEMATIKA II 150 dan z = 330 1  = 0,1924 Akhirnya, Rumus (9.3.17) memberikan bilangan baku z = 1924,0 9729,03573,1  = 2,00 Jika diambil  = 0,05, maka daerah penerimaan H0 adalah - 1,96 < z < 1,96. Ternyata bahwa pengujian memberikan hasil yang berarti. Sampel itu tidakberasal dari populasi dengan  = 0,75. Contoh 6: Berasal dari populasi dengan  berapa sampel di muka telah diambil? Jawab : Jika diambil  = 0,05, maka untuk menguji hipotesis : Ho :  = 0 melawan H1 :   0 dimana 0 bilangan yang akan dicari, supaya hipotesis bisa diterima, harus berlaku : - 1,96 < 1924,0 -3573,1 z < 1,96 Kita selesaikan hal pertama (ketidaksamaan sebelah kiri) : - 1,96 < 1924,0 -3573,1 z < 1,96 atau (1,1513) log         0 0 1 1   < 1,7344 atau         0 0 1 1   < 32,1 sehingga 0 < 0,9395
  • 154.
    Inferensi Dengan DuaSampel | STATISTIKA MATEMATIKA II 151 Hal kedua adalah (ketidaksamaan sebelah kanan) : 1924,0 3573,1 z < 1,96 atau (1,1513) log         0 0 1 1   > 0,9802 atau 0 0 1 1     > 7,1 sehingga 0 > 0,7530 Sampel berukuran n = 30 tadi berasal dari sebuah populasi dengan  yang besarnya antara 0,7530 dan 0,9395.
  • 155.
    Inferensi Dengan DuaSampel | STATISTIKA MATEMATIKA II 152 BAB III PENUTUP A. Kesimpulan Statistika adalah ilmu yang mempelajari bagaimana merencanakan, mengumpulkan, menganalisis, menginterpretasi, dan mempresentasikan data. Singkatnya, statistika adalah ilmu yang berkenaan dengan data. Istilah 'statistika' (bahasa Inggris: statistics) berbeda dengan 'statistik' (statistic). Statistika merupakan ilmu yang berkenaan dengan data, sedang statistik adalah data, informasi, atau hasil penerapan algoritma statistika pada suatu data. Dari kumpulan data, statistika dapat digunakan untuk menyimpulkan atau mendeskripsikan data; ini dinamakan statistika deskriptif. Sebagian besar konsep dasar statistika mengasumsikan teori probabilitas. Beberapa istilah statistika antara lain: populasi, sampel, unit sampel, dan probabilitas. Statistika banyak diterapkan dalam berbagai disiplin ilmu, baik ilmu-ilmu alam (misalnya astronomi dan biologi maupun ilmu-ilmu sosial (termasuk sosiologi dan psikologi), maupun di bidang bisnis, ekonomi, dan industri). Statistika juga digunakan dalam pemerintahan untuk berbagai macam tujuan; sensus penduduk merupakan salah satu prosedur yang paling dikenal. Aplikasi statistika lainnya yang sekarang popular adalah prosedur jajak pendapat atau polling (misalnya dilakukan sebelum pemilihan umum), serta jajak cepat (perhitungan cepat hasil pemilu) atau quick count. Di bidang komputasi, statistika dapat pula diterapkan dalam pengenalan pola maupun kecerdasan buatan.
  • 156.
    Inferensi Dengan DuaSampel | STATISTIKA MATEMATIKA II 153 Penggunaan istilah statistika berakar dari istilah istilah dalam bahasa latin modern statisticum collegium ("dewan negara") dan bahasa Italia statista ("negarawan" atau "politikus"). Gottfried Achenwall (1749) menggunakan Statistik dalam bahasa Jerman untuk pertama kalinya sebagai nama bagi kegiatan analisis data kenegaraan, dengan mengartikannya sebagai "ilmu tentang negara (state)". Pada awal abad ke-19 telah terjadi pergeseran arti menjadi "ilmu mengenai pengumpulan dan klasifikasi data". Sir John Sinclair memperkenalkan nama (Statistics) dan pengertian ini ke dalam bahasa Inggris. Jadi, statistika secara prinsip mula-mula hanya mengurus data yang dipakai lembaga-lembaga administratif dan pemerintahan. Pengumpulan data terus berlanjut, khususnya melalui sensus yang dilakukan secara teratur untuk memberi informasi kependudukan yang berubah setiap saat. Pada abad ke-19 dan awal abad ke-20 statistika mulai banyak menggunakan bidang-bidang dalam matematika, terutama probabilitas. Cabang statistika yang pada saat ini sangat luas digunakan untuk mendukung metode ilmiah, statistika inferensi, dikembangkan pada paruh kedua abad ke-19 dan awal abad ke-20 oleh Ronald Fisher (peletak dasar statistika inferensi), Karl Pearson (metode regresi linear), dan William Sealey Gosset (meneliti problem sampel berukuran kecil). Penggunaan statistika pada masa sekarang dapat dikatakan telah menyentuh semua bidang ilmu pengetahuan, mulai dari astronomi hingga linguistika. Bidang-bidang ekonomi, biologi dan
  • 157.
    Inferensi Dengan DuaSampel | STATISTIKA MATEMATIKA II 154 cabang-cabang terapannya, serta psikologi banyak dipengaruhi oleh statistika dalam metodologinya. Akibatnya lahirlah ilmu-ilmu gabungan seperti ekonometrika, biometrika (atau biostatistika), dan psikometrika. Meskipun ada kubu yang menganggap statistika sebagai cabang dari matematika, tetapi orang lebih banyak menganggap statistika sebagai bidang yang banyak terkait dengan matematika melihat dari sejarah dan aplikasinya. Di Indonesia, kajian statistika sebagian besar masuk dalam fakultas matematika dan ilmu pengetahuan alam, baik di dalam departemen tersendiri maupun tergabung dengan matematika. Dalam mengaplikasikan statistika terhadap permasalahan sains, industri, atau sosial, pertama-tama dimulai dari mempelajari populasi. Makna populasi dalam statistika dapat berarti populasi benda hidup, benda mati, ataupun benda abstrak. Populasi juga dapat berupa pengukuran sebuah proses dalam waktu yang berbeda-beda, yakni dikenal dengan istilah deret waktu. Melakukan pendataan (pengumpulan data) seluruh populasi dinamakan sensus. Sebuah sensus tentu memerlukan waktu dan biaya yang tinggi. Untuk itu, dalam statistika seringkali dilakukan pengambilan sampel (sampling), yakni sebagian kecil dari populasi, yang dapat mewakili seluruh populasi. Analisis data dari sampel nantinya digunakan untuk menggeneralisasikan seluruh populasi. Jika sampel yang diambil cukup representatif, inferensial (pengambilan keputusan) dan simpulan yang dibuat dari sampel dapat digunakan untuk menggambarkan populasi secara keseluruhan. Metode statistika
  • 158.
    Inferensi Dengan DuaSampel | STATISTIKA MATEMATIKA II 155 tentang bagaimana cara mengambil sampel yang tepat dinamakan teknik sampling. Analisis statistik banyak menggunakan probabilitas sebagai konsep dasarnya. Sedangkan matematika statistika merupakan cabang dari matematika terapan yang menggunakan teori probabilitas dan analisis matematis untuk mendapatkan dasar-dasar teori statistika. Ada dua macam statistika, yaitu statistika deskriptif dan statistika inferensial. Statistika deskriptif berkenaan dengan deskripsi data, misalnya dari menghitung rata-rata dan varians dari data mentah; mendeksripsikan menggunakan tabel-tabel atau grafik sehingga data mentah lebih mudah “dibaca” dan lebih bermakna. Sedangkan statistika inferensial lebih dari itu, misalnya melakukan pengujian hipotesis, melakukan prediksi observasi masa depan, atau membuat model regresi. Statistika deskriptif berkenaan dengan bagaimana data dapat digambarkan dideskripsikan) atau disimpulkan, baik secara numerik (misalnya menghitung rata-rata dan deviasi standar) atau secara grafis (dalam bentuk tabel atau grafik), untuk mendapatkan gambaran sekilas mengenai data tersebut, sehingga lebih mudah dibaca dan bermakna. Statistika inferensial berkenaan dengan permodelan data dan melakukan pengambilan keputusan berdasarkan analisis data, misalnya melakukan pengujian hipotesis, melakukan estimasi pengamatan masa mendatang (estimasi atau prediksi), membuat permodelan hubungan (korelasi, regresi, ANOVA, deret waktu), dan sebagainya.
  • 159.
    Inferensi Dengan DuaSampel | STATISTIKA MATEMATIKA II 156 Dari uraian isi makalah ini, maka dapat ditarik beberapa kesimpulan, yaitu sebagai berikut : 1. Uji t dua sampel : Menguji H0 : 𝜇 𝑋 = 𝜇 𝑌 𝐻0: 𝜇 𝑥 = 𝜇 𝑦 versus 𝐻1: 𝜇 𝑥 = 𝜇 𝑦 akan menolak 𝐻0 apabila t = 𝑥̂−𝑦̂ 𝑆 𝑝 √ 1 𝑛 + 1 𝑚 ≤ −𝑡( 𝑛+𝑚−2); 𝛼 2⁄ , ≥ 𝑡( 𝑛+𝑚−2); 𝛼 2⁄ 2. Uji f : Menguji H0 : 𝛼2 X = 𝛼2 Y F = S 2 Y S 2 X 3. Data Binomial : Uji H0 : 𝑃 𝑋 = 𝑃 𝑌 Uji GLR pendekatan pada tingkat signifikansi untuk 𝐻0: 𝑃 𝑋 = 𝑃 𝑌 versus 𝐻1: 𝑃 𝑋 ≠ 𝑃 𝑌 adalah menolak 𝐻0 apabila 𝑥 𝑛 − 𝑦 𝑚 √( 𝑥 + 𝑦 𝑛 + 𝑚 )(1 − 𝑥 + 𝑦 𝑛 + 𝑚 )(𝑛 + 𝑚) 𝑛𝑚 Dengan 𝑥 𝑛 − 𝑦 𝑚 ≤ −𝑍 𝛼/2 dan √ ( 𝑥+𝑦 𝑛+𝑚 )(1− 𝑥+𝑦 𝑛+𝑚 )(𝑛+𝑚) 𝑛𝑚 ≥ 𝑍 𝛼/2 4. Interval Kepercayaan untuk Masalah Dua Sampel Teorema 2, 3, dan 4 memberikan distribusi sampling untuk𝑋̅ − 𝑌̅, 𝑆 𝑌 2 𝑆 𝑋 2 , 𝑑𝑎𝑛 𝑋 𝑛⁄ − 𝑌 𝑚⁄⁄ apabila H0 benar. Apabila
  • 160.
    Inferensi Dengan DuaSampel | STATISTIKA MATEMATIKA II 157 H0 tidak harus benar, statistic penguji ini berbentuk seperti dibawah ini. 1) 𝑋̅−𝑌̅−( 𝜇 𝑥−𝜇 𝑦) 𝑆 𝑝√ 1 𝑛 − 1 𝑚 ~ 𝑡 𝑛+𝑚−2 2) 𝑆 𝑦 2 𝜎 𝑦 2⁄ 𝑆 𝑥 2 𝜎 𝑦 2⁄ ~ 𝐹𝑚−1 ; 𝑛−1 3) 𝑥 𝑛 − 𝑦 𝑚 −( 𝑝 𝑋− 𝑝 𝑌) √ 𝑥 𝑛 (1− 𝑥 𝑛 ) 𝑛 + 𝑦 𝑚 (1− 𝑦 𝑚 ) 𝑚 ~ 𝑁(0 ;1), pendekatan 5. Dari penjabaran Uji t 2 sampel di ata dapat disimpulkan bahwa : Dimana 𝑆 𝑝 2 adalah variansi pooled : 𝑆 𝑝 2 = 1 𝑛 + 𝑚 − 2 [∑( 𝑥 𝑖 − 𝑥̅) 𝑛 𝑖=1 2 + ∑(𝑦𝑗 − 𝑦̅) 𝑚 𝑗=1 2 ] Maka 𝜆2 ( 𝑛+𝑚)⁄ dapat ditulis 𝜆2 ( 𝑛+𝑚)⁄ = 𝑛 + 𝑚 − 2 𝑛 + 𝑚 − 2 + 𝑡2 Uji GLR yang menolak H0 : 𝜇 𝑥 = 𝜇 𝑦 𝑎𝑝𝑎𝑏𝑖𝑙𝑎 0 < 𝜆 ≤ 𝜆∗ adalah ekivalen dengan menolak H0 apabila 0 < 𝜆2 ( 𝑛+𝑚)⁄ < 𝜆∗∗ . Tapi kedua kriteria itu ekivalen dengan menolak H0 apabila terlalu besar. Jadi, aturan keputusan dalam bentuk t2 adalah tolak H0 : 𝜇 𝑥 = 𝜇 𝑦 (dan menerima Hi : 𝜇 𝑥 ≠ 𝜇 𝑦 ) apabila t∗2 . Atau menolak H0 apabila 𝑡 ≥ 𝑡∗ 𝑎𝑡𝑎𝑢 𝑡 ≤ −𝑡∗ Dengan 𝑃(−𝑡∗ < 𝑡 < 𝑡∗| 𝐻0 𝑏𝑒𝑛𝑎𝑟) = 1 − 𝛼 Karena 𝑡 ~ 𝑡 𝑛+𝑚−2, 𝑚𝑎𝑘𝑎 𝑡∗ = 𝑡 𝑛+𝑚−2 ; 𝛼 2⁄
  • 161.
    Inferensi Dengan DuaSampel | STATISTIKA MATEMATIKA II 158 B. Saran Diharapkan para mahasiswa yang mempelajari mengenai inferensi dengan dua sampel untuk hal-hal yang bermanfaat, seperti dalam hal kegiatan statistik dan analisis data sampel, yang mampu menunjang keberhasilannya dalam penelitian yang akan ia lakukan kedepan.
  • 162.
    Inferensi Dengan DuaSampel | STATISTIKA MATEMATIKA II 159 DAFTAR PUSTAKA Anderson, T.W. dan D.A. Darling (1952) “Asymptotic theory of certain ‘goodness of fit’ criteria based on stochastic process”, Annals of Mathematical Statistics, Vol. 23, pp. 193-212. Agung, I Gusti Ngurah. 2003. STATISTIKA. Jakarta: PT. RajaGrafindo Persada. Arikunto, Suharsimi. 2006. Prosedur Penelitian suatu pendekatan praktik. Edisi Revidi IV.Jakarta: Rineka Cipta. Bambang. 2002. Statistika Matematika. Statistika FMIPA-IPB Persada:Jakarta Bhattacharryya, G. K. & R. A. Johnson. 1977. Statistical Concepts and Methods. John Wiley. Feller, W. (1948) “On the Kolmogorov-Smirnov limit theorems for empirical distributions”, Annals of Mathematical Statistics, Vol. 19, pp. 177-189. Herrhyanto,Nor.2003.Statistika Lanjutan. Bandung: CV Pustaka Setia Kurniawan. 2005. Fokus Matematika. Jakarta : Erlangga Nasoetion, A dan Barizi. 1975. Metode Statistika. Jakarta: Gramedia Pramudjono.2008.Statistika Dasar Edisi IV. Samarinda: FKIP Universitas Mulawarman Pramudjono. 2008. Statistika Dasar(Aplikasi Untuk Penelitian) Edisi IV. FKIP Universitas Mulawarman: Samarinda R.W, Jefferson. 1990. Teori Kemungkinan. FKIP Universitas Mulawarman: Samarinda Subana dkk. 2000. Statistik Pendidikan. Bandung: Pustaka Setia. Suharto. 1992. Matematika Terapan Untuk Perguruan Tinggi. Jakarta: Rineka Cipta
  • 163.
    Inferensi Dengan DuaSampel | STATISTIKA MATEMATIKA II 160 Sugiyono. 1999. Statistik Untuk Penelitian. Bandung: Alfabeta Sugiyono. 2009. Metode Penelitian Kuantitatif, Kualitatif, R & D. Bandung; Alfabeta. Soejoeti, Zanzawi. 1990. Peluang dan Statistika. Yogyakarta: Fakultas matematika dan Pengetahuan Alam Universitas Gajah Mada. Soejoeti Zanzawi,1990. Peluang dan Statistika Bagian II. Yogyakarta : Universitas Gajah Mada. Sudijono, Anas. 2004. Pengantar Statistik Pendidikan. Raja Grafindo Persada : Jakarta Suparman. 1989. Statistik Matematik. CV Rajawali. Jakarta Soejoeti, Zanzawi. 1990. Peluang dan Statistika. Fakultas Matematika dan Ilmu Pengetahuan Alam, Universitas Gadjah Mada. Stephens, M.A. (1974) “EDF statistics for goodness of fit and some comparisons”, Journal of the American Statistical Association, Vol. 69, No. 347, pp. 730-737. Sudjana. 2001. Metode Statistika. Bandung: Tarsito Sudjana. 1992. Tehknik analisis Regresi dan Kolerasi. Bandung: Tarsito. Sudijono, Anas.2004.Pengantar Statistika Pendidikan.Raja Grafindo Sumantri, Suparman.1989.Statistika Matematik. Jakarta: CV Rajawali. Tiro, M. A. 1999a. Analisis Data Frekusi dengan Chi Kuadrat. Ujung Pandang: Hasanuddin University Press. Tiro, M. A. 1999b. Dasar-dasar Statistika. Ujung Pandang: Badan Penerbit UNM Ujung Pandang.
  • 164.
    Inferensi Dengan DuaSampel | STATISTIKA MATEMATIKA II 161 Tiro, M. A. 2000. Analisis Regresi dengan Data Kategori. Makassar: Makassar StateUniversity Press Walpole, Ronald E., Myers, Raymond H., dan Myers, Sharon L. 2003. Probabilitas dan Statistika untuk Teknik dan Sains. Jakarta : PT Walpole, R. E. 1982. Introduction to Statistics. McMillan. 3nd edition. Walpole, ronald E., myers, raymond H., dan myers, sharon L. 2003. Probabilitas dan Statistika Untuk Teknik dan Sains. Jakarta: PT. Prenhallindo Walpole, R. E. 1993. Pengantar Statistika, Edisi ke-3 Jakarta; Penerbit PT. Gramedia Pustaka Utama. Watulingas, Jefferson Roosevelt. Teori Kemungkinan. Samarinda: Fakultas Keguruan dan Ilmu Pendidikan Universitas Mulawarman