Download free for 30 days
Sign in
Upload
Language (EN)
Support
Business
Mobile
Social Media
Marketing
Technology
Art & Photos
Career
Design
Education
Presentations & Public Speaking
Government & Nonprofit
Healthcare
Internet
Law
Leadership & Management
Automotive
Engineering
Software
Recruiting & HR
Retail
Sales
Services
Science
Small Business & Entrepreneurship
Food
Environment
Economy & Finance
Data & Analytics
Investor Relations
Sports
Spiritual
News & Politics
Travel
Self Improvement
Real Estate
Entertainment & Humor
Health & Medicine
Devices & Hardware
Lifestyle
Change Language
Language
English
Español
Português
Français
Deutsche
Cancel
Save
EN
LP
Uploaded by
Luis Paz
334 views
Luis paz
nomina
Education
◦
Read more
0
Save
Share
Embed
Embed presentation
Download
Download to read offline
1
/ 2
2
/ 2
More Related Content
PPTX
Curso de prevención integral parte nro 5
by
Scarletth Varela
XLSX
Libro1
by
santiace123
PDF
Nomina
by
Ashley Palacio
PDF
Nomina en excel
by
Karen P. Palacio
DOC
Emerson
by
Rosseane Filha
PDF
Nomina en excel
by
Yaiduth Lozano
PDF
Empresa
by
juliandivid
XLSX
Trabajode excel los contactos
by
rat14las
Curso de prevención integral parte nro 5
by
Scarletth Varela
Libro1
by
santiace123
Nomina
by
Ashley Palacio
Nomina en excel
by
Karen P. Palacio
Emerson
by
Rosseane Filha
Nomina en excel
by
Yaiduth Lozano
Empresa
by
juliandivid
Trabajode excel los contactos
by
rat14las
What's hot
PDF
Video6
by
Juan Daniel Fernandez Garces
PDF
Diárias 2018 na prefeitura de Alto Paraíso
by
jornalobservador
XLSX
Excel
by
jhonatan08
PDF
Investigación I - II - 2016 _Tercera Nota
by
SALONVIRTUAL
DOCX
Lista da gex
by
Dáyton Domingos
XLS
Trabajo de excel
by
superstar2011
PDF
Grupos projeto
by
Janaina Carvalho
DOCX
Dolores ulises guardado dui
by
Carlos R. Hernández
PDF
Libro2
by
karen_herrera
XLSX
Libro1
by
mariaypablo
PDF
Padrones afiliados Soyem_provisorio_mesa_6
by
Natalia Lovece
PDF
microempresa
by
juan-felipe-conde-guerrero2001
Video6
by
Juan Daniel Fernandez Garces
Diárias 2018 na prefeitura de Alto Paraíso
by
jornalobservador
Excel
by
jhonatan08
Investigación I - II - 2016 _Tercera Nota
by
SALONVIRTUAL
Lista da gex
by
Dáyton Domingos
Trabajo de excel
by
superstar2011
Grupos projeto
by
Janaina Carvalho
Dolores ulises guardado dui
by
Carlos R. Hernández
Libro2
by
karen_herrera
Libro1
by
mariaypablo
Padrones afiliados Soyem_provisorio_mesa_6
by
Natalia Lovece
microempresa
by
juan-felipe-conde-guerrero2001
Viewers also liked
DOCX
Archivo alicia
by
Naphir
PPT
Soldemedianoche soleilde minuit
by
mariateresagarciaalvarez
PDF
The Gurukul
by
DFC2011
PPTX
Figure 1.6
by
L H
PPTX
Song moodboard
by
ClauvenaG
DOCX
amit cv
by
Amit Tiwari
DOCX
Comparison to other music videos
by
mohrail
DOC
Cuadro explicativo1
by
Marly Marioly Barragan Carrizales
PDF
Ciencias 6 consolidação
by
Mara Linda Santos Manuel
PPTX
Biomecánica del tren inferior
by
EMotionFormacion
PDF
Recorta y pega (2)
by
Anabel Cornago
PDF
Conejos para pompones
by
Anabel Cornago
Archivo alicia
by
Naphir
Soldemedianoche soleilde minuit
by
mariateresagarciaalvarez
The Gurukul
by
DFC2011
Figure 1.6
by
L H
Song moodboard
by
ClauvenaG
amit cv
by
Amit Tiwari
Comparison to other music videos
by
mohrail
Cuadro explicativo1
by
Marly Marioly Barragan Carrizales
Ciencias 6 consolidação
by
Mara Linda Santos Manuel
Biomecánica del tren inferior
by
EMotionFormacion
Recorta y pega (2)
by
Anabel Cornago
Conejos para pompones
by
Anabel Cornago
Luis paz
1.
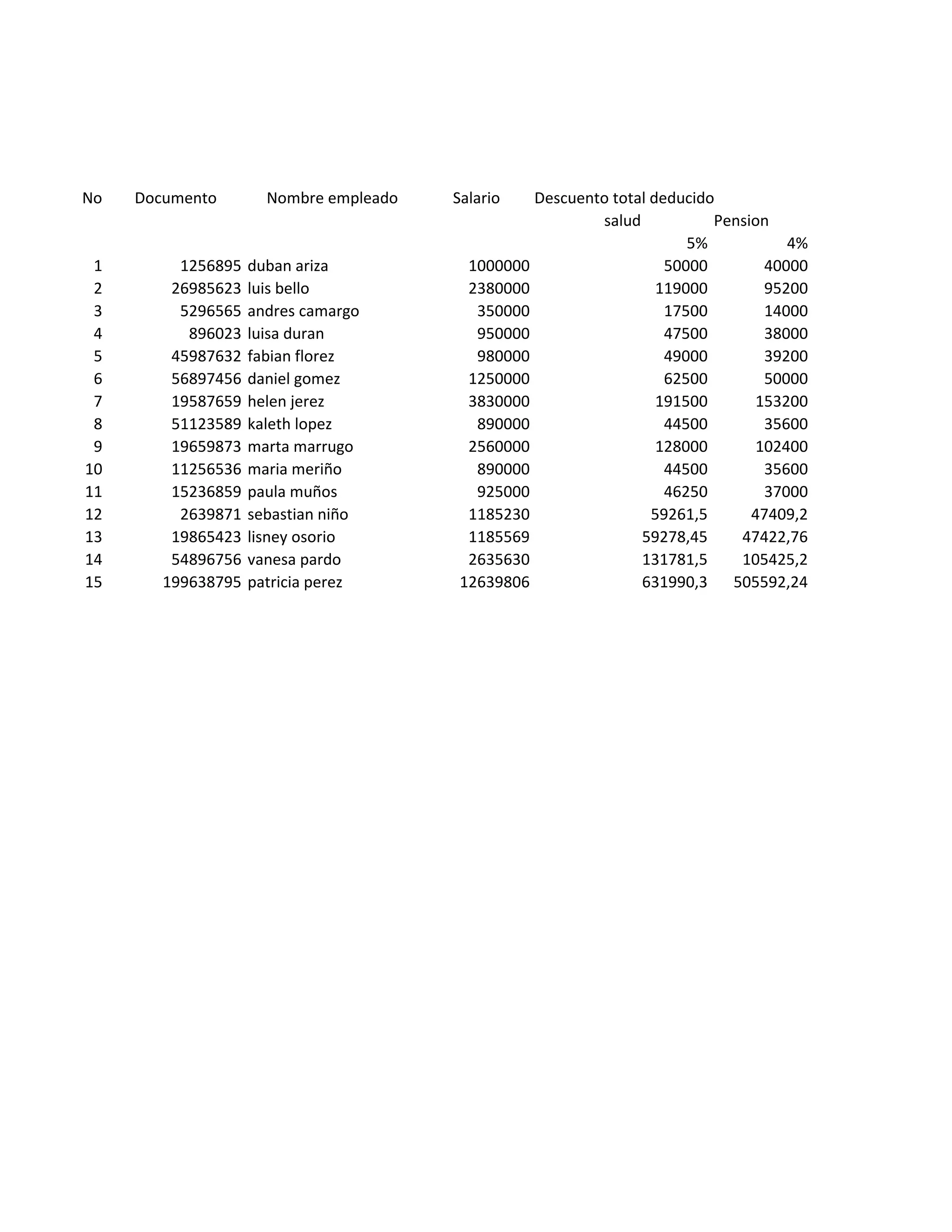
No Documento Nombre
empleado Salario Descuento total deducido salud Pension 5% 4% 1 1256895 duban ariza 1000000 50000 40000 2 26985623 luis bello 2380000 119000 95200 3 5296565 andres camargo 350000 17500 14000 4 896023 luisa duran 950000 47500 38000 5 45987632 fabian florez 980000 49000 39200 6 56897456 daniel gomez 1250000 62500 50000 7 19587659 helen jerez 3830000 191500 153200 8 51123589 kaleth lopez 890000 44500 35600 9 19659873 marta marrugo 2560000 128000 102400 10 11256536 maria meriño 890000 44500 35600 11 15236859 paula muños 925000 46250 37000 12 2639871 sebastian niño 1185230 59261,5 47409,2 13 19865423 lisney osorio 1185569 59278,45 47422,76 14 54896756 vanesa pardo 2635630 131781,5 105425,2 15 199638795 patricia perez 12639806 631990,3 505592,24
2.
Total deducido Otros
ingresos Total otros ingresos Sena Ica Comisiones Honorarios Honorarios 2% 3% 3% 1% 20000 30000 140000 30000 10000 40000 47600 71400 333200 71400 23800 95200 7000 10500 49000 10500 3500 14000 19000 28500 133000 28500 9500 38000 19600 29400 137200 29400 9800 39200 25000 37500 175000 37500 12500 50000 76600 114900 536200 114900 38300 153200 17800 26700 124600 26700 8900 35600 51200 76800 358400 76800 25600 102400 17800 26700 124600 26700 8900 35600 18500 27750 129500 27750 9250 37000 23704,6 35556,9 165932,2 35556,9 11852,3 47409,2 23711,38 35567,07 165979,66 35567,07 11855,69 47422,76 52712,6 79068,9 368988,2 79068,9 26356,3 105425,2 252796,12 379194,18 1769572,84 379194,18 126398,06 505592,24
Download