Download free for 30 days
Sign in
Upload
Language (EN)
Support
Business
Mobile
Social Media
Marketing
Technology
Art & Photos
Career
Design
Education
Presentations & Public Speaking
Government & Nonprofit
Healthcare
Internet
Law
Leadership & Management
Automotive
Engineering
Software
Recruiting & HR
Retail
Sales
Services
Science
Small Business & Entrepreneurship
Food
Environment
Economy & Finance
Data & Analytics
Investor Relations
Sports
Spiritual
News & Politics
Travel
Self Improvement
Real Estate
Entertainment & Humor
Health & Medicine
Devices & Hardware
Lifestyle
Change Language
Language
English
Español
Português
Français
Deutsche
Cancel
Save
EN
Uploaded by
Davaa Jagaa
9,726 views
Logarifm functs
Education
◦
Read more
6
Save
Share
Embed
Embed presentation
Download
Downloaded 159 times
1
/ 6
2
/ 6
Most read
3
/ 6
4
/ 6
Most read
5
/ 6
Most read
6
/ 6
More Related Content
PPSX
Bie v
by
tg_tuvshee
ODP
2 цэгийг дайрсан шулууны тэгшитгэл бичих
by
zaya_0902
PPTX
багтсан ба багтаасан дөрвөн өнцөгт
by
Khishighuu Myanganbuu
PPTX
гурвалжин ба түүний чанар
by
Khishighuu Myanganbuu
PPTX
пүршин дүүжингийн хөдөлгөөн
by
Chimgee Chimgee
PDF
Lection 1
by
Sukhee Bilgee
PPTX
геометр прогресс
by
Tserendejid_od
PPT
Tsahim olon ontsogt du8
by
school14
Bie v
by
tg_tuvshee
2 цэгийг дайрсан шулууны тэгшитгэл бичих
by
zaya_0902
багтсан ба багтаасан дөрвөн өнцөгт
by
Khishighuu Myanganbuu
гурвалжин ба түүний чанар
by
Khishighuu Myanganbuu
пүршин дүүжингийн хөдөлгөөн
by
Chimgee Chimgee
Lection 1
by
Sukhee Bilgee
геометр прогресс
by
Tserendejid_od
Tsahim olon ontsogt du8
by
school14
What's hot
PPTX
энгийн бутархай
by
superzpv
PPTX
квадрат тэгшитгэл
by
ch-boldbayar
PPTX
тоон дараалал
by
Ireedui12
PPTX
математик анализ лекц№5
by
narangerelodon
PPTX
Funktsin grafik8
by
rmarey
PPTX
функцийн өсөх ба буурах нөхцөл
by
doogii2335
ODT
10 р анги дэвших шалгалт
by
naraa_0714
PPTX
математик ( пирамид )
by
Khishighuu Myanganbuu
PPTX
МУБИС олонлог, логикийн элементүүд
by
Shaagaa Shs
PDF
MT101 Lecture 1(Mongolia)
by
Munhbayr Sukhbaatar
PPTX
Lekts8
by
Bazarragchaa Erdenebileg
PDF
процент сэдвийг заах арга зүй
by
Хөвсгөл Аймаг Боловсролын Газар
PPTX
Асуудпал шийдвэрлэх сургалтын арга
by
Davaasuren Davaadorj
ODP
8ш статистик характеристик
by
naraa_0714
PDF
Урвуу матриц
by
Bolorma Bolor
PDF
Geometr11 2
by
Baterdene Tserendash
PDF
Менежментийн онол, онолын үүсэл, хөгжил, Монгол онол ...
by
Adilbishiin Gelegjamts
PDF
цэгийн проекц
by
ydmaa
PPTX
пирамид
by
boloroo99
DOCX
урлагын үзлгийн хөтөлбөр
by
zayaha
энгийн бутархай
by
superzpv
квадрат тэгшитгэл
by
ch-boldbayar
тоон дараалал
by
Ireedui12
математик анализ лекц№5
by
narangerelodon
Funktsin grafik8
by
rmarey
функцийн өсөх ба буурах нөхцөл
by
doogii2335
10 р анги дэвших шалгалт
by
naraa_0714
математик ( пирамид )
by
Khishighuu Myanganbuu
МУБИС олонлог, логикийн элементүүд
by
Shaagaa Shs
MT101 Lecture 1(Mongolia)
by
Munhbayr Sukhbaatar
Lekts8
by
Bazarragchaa Erdenebileg
процент сэдвийг заах арга зүй
by
Хөвсгөл Аймаг Боловсролын Газар
Асуудпал шийдвэрлэх сургалтын арга
by
Davaasuren Davaadorj
8ш статистик характеристик
by
naraa_0714
Урвуу матриц
by
Bolorma Bolor
Geometr11 2
by
Baterdene Tserendash
Менежментийн онол, онолын үүсэл, хөгжил, Монгол онол ...
by
Adilbishiin Gelegjamts
цэгийн проекц
by
ydmaa
пирамид
by
boloroo99
урлагын үзлгийн хөтөлбөр
by
zayaha
Viewers also liked
PPTX
функцийн тодорхойлогдох муж ба утгын муж
by
Horloo Ebika
ODP
арифметик прогресс нээлттэй хичээл
by
delger_9g
ODP
Olonlog
by
Munguuzb
PDF
Хүнийн хөгжлийн индексийг тооцох аргууд
by
Just Burnee
DOCX
10 11-р анги
by
sergelen97
ODT
Sergelen geo
by
seki sergelen
PDF
логарифм тэгшитгэл ба тэнцэтгэл биш 26
by
erka0903
PPTX
Lekts 8
by
nyamka_09
DOCX
Iltgegch 11
by
Lhagvadorj_S
PPTX
илтгэгч тэгшитгэл ба тэнцэтгэл биш
by
Khatanzorig
PDF
11 р анги цахим хичээл
by
chimeg2011
ODP
Hicheel
by
nomad_9
PPTX
илтгэгч тэнцэтгэл биш
by
ynjinlkham
PPTX
хялбар илтгэгч тэгшитгэлийг орлуулах аргаар бодох нь
by
Nandintsetseg Yadamsuren
PDF
квадрат язгуур
by
xocooo
PDF
функц, түүний тодорхойлогдох муж
by
jimsee92
PPTX
олонлог, логикийн элементүүд
by
Shaagaa Shs
PPTX
2 хувьсагчтай тэнцэтгэл бишийн систем
by
Khishighuu Myanganbuu
ODP
N зэргийн арифметик язгуур
by
jimsee92
PPT
Зэргийн чанарууд
by
superzpv
функцийн тодорхойлогдох муж ба утгын муж
by
Horloo Ebika
арифметик прогресс нээлттэй хичээл
by
delger_9g
Olonlog
by
Munguuzb
Хүнийн хөгжлийн индексийг тооцох аргууд
by
Just Burnee
10 11-р анги
by
sergelen97
Sergelen geo
by
seki sergelen
логарифм тэгшитгэл ба тэнцэтгэл биш 26
by
erka0903
Lekts 8
by
nyamka_09
Iltgegch 11
by
Lhagvadorj_S
илтгэгч тэгшитгэл ба тэнцэтгэл биш
by
Khatanzorig
11 р анги цахим хичээл
by
chimeg2011
Hicheel
by
nomad_9
илтгэгч тэнцэтгэл биш
by
ynjinlkham
хялбар илтгэгч тэгшитгэлийг орлуулах аргаар бодох нь
by
Nandintsetseg Yadamsuren
квадрат язгуур
by
xocooo
функц, түүний тодорхойлогдох муж
by
jimsee92
олонлог, логикийн элементүүд
by
Shaagaa Shs
2 хувьсагчтай тэнцэтгэл бишийн систем
by
Khishighuu Myanganbuu
N зэргийн арифметик язгуур
by
jimsee92
Зэргийн чанарууд
by
superzpv
Similar to Logarifm functs
PDF
Bzd standart olimpiad 2013-iin bodloguud
by
Baasandorj Baatarhuyag
PPTX
Logarifmtegshitgel
by
Oyunbileg Maam
PDF
11 soril 25_jishig daalgavar
by
Baasandorj Baatarhuyag
ODS
цахим тест эрдэнэ оюун
by
Баянмөнх Т.
PPTX
Logarifm tegshitgel
by
maalaa
PPTX
Logarifm tegshitgel
by
maalaa
PDF
Bodlogo blogd tavih 1
by
Baasandorj Baatarhuyag
PDF
цахим тест 8
by
Erka3d
ODS
цахим тест
by
gdavaa
PDF
11 soril 25_jishig daalgavar
by
Baasandorj Baatarhuyag
ODS
цахим тест
by
nyamgerel_44
ODS
цахим тест
by
nyamgerel_44
PDF
хувилбар а
by
saraa79
PDF
хувилбар а
by
saraa79
PDF
цахим тест
by
Byambanorov Tormoon
PPT
Azaa
by
azzaya85
PPT
Azaa
by
azzaya85
PDF
11 soril 28_jishig daalgavar
by
Baasandorj Baatarhuyag
ODP
Moduli 7
by
Khishighuu Myanganbuu
PPTX
сурагчдын
by
ndorjma
Bzd standart olimpiad 2013-iin bodloguud
by
Baasandorj Baatarhuyag
Logarifmtegshitgel
by
Oyunbileg Maam
11 soril 25_jishig daalgavar
by
Baasandorj Baatarhuyag
цахим тест эрдэнэ оюун
by
Баянмөнх Т.
Logarifm tegshitgel
by
maalaa
Logarifm tegshitgel
by
maalaa
Bodlogo blogd tavih 1
by
Baasandorj Baatarhuyag
цахим тест 8
by
Erka3d
цахим тест
by
gdavaa
11 soril 25_jishig daalgavar
by
Baasandorj Baatarhuyag
цахим тест
by
nyamgerel_44
цахим тест
by
nyamgerel_44
хувилбар а
by
saraa79
хувилбар а
by
saraa79
цахим тест
by
Byambanorov Tormoon
Azaa
by
azzaya85
Azaa
by
azzaya85
11 soril 28_jishig daalgavar
by
Baasandorj Baatarhuyag
Moduli 7
by
Khishighuu Myanganbuu
сурагчдын
by
ndorjma
More from Davaa Jagaa
PDF
Tests 9
by
Davaa Jagaa
PPTX
Gurvaljin hereg
by
Davaa Jagaa
PPTX
Hucheel setgel zui-enkhjargal
by
Davaa Jagaa
PPTX
Angiin durem enkhjargal
by
Davaa Jagaa
PPTX
9 р ангийн сурагчдын бие даалтын бодлого
by
Davaa Jagaa
PPTX
7 р ангийн сурагчдын даалгавар
by
Davaa Jagaa
PDF
Logarifm functs
by
Davaa Jagaa
PDF
Logarifm functs
by
Davaa Jagaa
PPTX
Microsoft excel 2007.odp
by
Davaa Jagaa
PPTX
Microsoft word 2007.odp
by
Davaa Jagaa
Tests 9
by
Davaa Jagaa
Gurvaljin hereg
by
Davaa Jagaa
Hucheel setgel zui-enkhjargal
by
Davaa Jagaa
Angiin durem enkhjargal
by
Davaa Jagaa
9 р ангийн сурагчдын бие даалтын бодлого
by
Davaa Jagaa
7 р ангийн сурагчдын даалгавар
by
Davaa Jagaa
Logarifm functs
by
Davaa Jagaa
Logarifm functs
by
Davaa Jagaa
Microsoft excel 2007.odp
by
Davaa Jagaa
Microsoft word 2007.odp
by
Davaa Jagaa
Logarifm functs
1.
ЛОГАРИФМЫН ЧАНАР 1)
2) 3) 4) 5) 6) 7) 8) 9) 10) ⟺ F>G 11) k= 12) (Lna= e=2.718..) ⟺ F<G байна. 13) байна. Логарифм функц логарифм функц 1. y x 0
2.
2.
y x 0 Логарифм тэгшитгэл Бодолтын загвар: бодолт бодолт {хувиргалт} [ашигласан томъёо] бодолт Жишээ 1: тэгшитгэл бод. Жишээ 2: тэгшитгэл бод. x=2
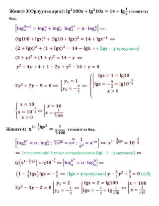
3.
Жишээ 3
: тэгшитгэл бод. Жишээ 4: тэгшитгэл бод. | (-3)
4.
Логарифм тэнцэтгэл биш Тод/муж:
байна. Бодолтын загвар: бодолт бодолт {хувиргалт} [ашигласан томъёо] бодолт Жишээ 1: тэнцэтгэл бишийг бод. Жишээ 2: тэнцэтгэл бишийг бод.
5.
-4
5 6 Жишээ 3: тэнцэтгэл бишийг бод. + + x Жишээ4: бод.
6.
+
+ + + +
Download