TGL PKL TGL PKL BANDARA TGL PKL TPHI TPIHI TKHI
BANDAR
A
TGL PKL TGL PKL
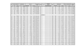
1 20-Aug 11:00 21-Aug 11:05 MED 21-Aug 18:30 355 1 1 3 360 JED 28-Sep 10:30 29-Sep 02:40
2 20-Aug 17:00 21-Aug 17:05 MED 22-Aug 00:20 355 1 1 3 360 JED 28-Sep 21:20 29-Sep 13:30
3 20-Aug 20:00 21-Aug 22:45 MED 22-Aug 06:10 355 1 1 3 360 JED 29-Sep 08:20 30-Sep 00:30
4 21-Aug 08:00 22-Aug 03:05 MED 22-Aug 10:30 355 1 1 3 360 JED 29-Sep 12:30 30-Sep 04:40
5 21-Aug 19:00 22-Aug 19:20 MED 23-Aug 02:45 355 1 1 3 360 JED 30-Sep 03:20 30-Sep 19:30
6 21-Aug 20:00 22-Aug 21:45 MED 23-Aug 05:10 355 1 1 3 360 JED 30-Sep 06:10 30-Sep 22:20
7 22-Aug 08:00 23-Aug 05:05 MED 23-Aug 12:30 355 1 1 3 360 JED 30-Sep 14:10 1-Oct 06:20
8 22-Aug 20:00 23-Aug 22:20 MED 24-Aug 05:45 355 1 1 3 360 JED 1-Oct 08:15 2-Oct 00:25
9 23-Aug 08:00 24-Aug 02:05 MED 24-Aug 09:30 355 1 1 3 360 JED 1-Oct 11:20 2-Oct 03:30
10 23-Aug 14:00 24-Aug 13:50 MED 24-Aug 21:15 355 1 1 3 360 JED 1-Oct 23:10 2-Oct 15:20
11 23-Aug 19:00 24-Aug 17:45 MED 25-Aug 01:10 355 1 1 3 360 JED 2-Oct 11:30 3-Oct 03:40
12 24-Aug 11:00 25-Aug 11:05 MED 25-Aug 18:30 355 1 1 3 360 JED 2-Oct 20:20 3-Oct 12:30
13 24-Aug 16:00 25-Aug 15:55 MED 25-Aug 23:20 355 1 1 3 360 JED 3-Oct 04:20 3-Oct 20:30
14 24-Aug 20:00 25-Aug 21:05 MED 26-Aug 04:30 355 1 1 3 360 JED 3-Oct 09:30 4-Oct 01:40
15 25-Aug 10:00 26-Aug 10:05 MED 26-Aug 17:30 355 1 1 3 360 JED 3-Oct 19:10 4-Oct 11:20
16 25-Aug 20:00 26-Aug 23:05 MED 27-Aug 06:30 355 1 1 3 360 JED 4-Oct 08:20 5-Oct 00:30
17 26-Aug 08:00 27-Aug 04:55 MED 27-Aug 12:20 355 1 1 3 360 JED 4-Oct 14:20 5-Oct 06:30
18 26-Aug 13:00 27-Aug 13:20 MED 27-Aug 20:45 355 1 1 3 360 JED 4-Oct 22:35 5-Oct 14:45
19 26-Aug 19:00 27-Aug 18:05 MED 28-Aug 01:30 355 1 1 3 360 JED 5-Oct 04:20 5-Oct 20:30
20 27-Aug 08:00 28-Aug 07:05 MED 28-Aug 14:30 355 1 1 3 360 JED 5-Oct 14:35 6-Oct 06:45
21 27-Aug 15:00 28-Aug 15:05 MED 28-Aug 22:30 355 1 1 3 360 JED 6-Oct 00:30 6-Oct 16:40
22 28-Aug 08:00 29-Aug 06:50 MED 29-Aug 14:15 355 1 1 3 360 JED 6-Oct 14:50 7-Oct 07:00
23 28-Aug 10:00 29-Aug 12:05 MED 29-Aug 19:30 355 1 1 3 360 JED 6-Oct 19:20 7-Oct 11:30
24 28-Aug 20:00 29-Aug 19:45 MED 30-Aug 03:10 355 1 1 3 360 JED 7-Oct 05:20 7-Oct 21:30
25 29-Aug 08:00 30-Aug 00:50 MED 30-Aug 08:15 355 1 1 3 360 JED 7-Oct 09:10 8-Oct 01:20
26 29-Aug 20:00 30-Aug 20:05 MED 31-Aug 03:30 355 1 1 3 360 JED 8-Oct 05:20 8-Oct 21:30
27 30-Aug 08:00 31-Aug 02:55 MED 31-Aug 10:20 355 1 1 3 360 JED 8-Oct 12:20 9-Oct 04:30
28 30-Aug 09:00 31-Aug 09:10 MED 31-Aug 16:35 355 1 1 3 360 JED 8-Oct 18:50 9-Oct 11:00
29 30-Aug 15:00 31-Aug 14:45 MED 31-Aug 22:10 11 344 1 1 3 360 JED 9-Oct 00:20 9-Oct 16:30
GIA 6202
GIA 6102
GIA 6302
GIA 6003
GIA 6304
GIA 6105
GIA 6005
GIA 6205
GIA 6305
GIA 6103
GIA 6203
GIA 6004
GIA 6303
GIA 6104
GIA 6204
GIA 6007
GIA 6307
GIA 6108
KLT
MASUK ASRAMA BERANGKAT TIBA DI NOMOR
FLIGHT
JADWAL PEMBERANGKATAN DAN PEMULANGAN JEMAAH HAJI
EMBARKASI SOLO
TAHUN 1436H/2015H
Waktu setempat
GIA 6001
GIA 6201
GIA 6101
GIA 6301
GIA 6002
JATENG
NOMOR
FLIGHT
D I Y
PETUGAS
KLOTER JMLH
BERANGKAT TIBA DI INDONESIA
GIA 6207
GIA 6106
GIA 6206
GIA 6006
GIA 6306
GIA 6107
GIA 6804
GIA 6605
GIA 6505
GIA 6705
GIA 6805
GIA 6501
GIA 6701
GIA 6601
GIA 6801
GIA 6502
GIA 6702
GIA 6602
GIA 6802
GIA 6503
GIA 6603
GIA 6703
GIA 6504
GIA 6803
GIA 6604
GIA 6704
GIA 6507
GIA 6807
GIA 6608
GIA 6707
GIA 6606
GIA 6706
GIA 6506
GIA 6806
GIA 6607
TGL PKL TGL PKL BANDARA TGL PKL TPHI TPIHI TKHI
BANDAR
A
TGL PKL TGL PKL
KLT
MASUK ASRAMA BERANGKAT TIBA DI NOMOR
FLIGHT
GIA 6001
JATENG
NOMOR
FLIGHT
D I Y
PETUGAS
KLOTER JMLH
BERANGKAT TIBA DI INDONESIA
GIA 650130 31-Aug 07:00 1-Sep 04:05 MED 1-Sep 11:30 355 1 1 3 360 JED 9-Oct 13:10 10-Oct 05:20
31 31-Aug 08:00 1-Sep 07:20 MED 1-Sep 14:45 355 1 1 3 360 JED 9-Oct 16:20 10-Oct 08:30
32 31-Aug 20:00 1-Sep 22:05 MED 2-Sep 05:30 355 1 1 3 360 JED 10-Oct 09:30 11-Oct 01:40
33 1-Sep 08:00 2-Sep 08:05 MED 2-Sep 15:30 355 1 1 3 360 JED 10-Oct 18:20 11-Oct 10:30
34 2-Sep 08:00 3-Sep 02:20 MED 3-Sep 09:45 355 1 1 3 360 JED 11-Oct 01:15 11-Oct 17:25
35 2-Sep 10:00 3-Sep 10:20 MED 3-Sep 17:45 355 1 1 3 360 JED 11-Oct 13:15 12-Oct 05:25
36 2-Sep 17:00 3-Sep 17:50 MED 4-Sep 01:15 355 1 1 3 360 JED 11-Oct 20:15 12-Oct 12:25
37 3-Sep 08:00 4-Sep 07:10 JED 4-Sep 14:35 355 1 1 3 360 MED 12-Oct 12:45 13-Oct 04:55
38 3-Sep 19:00 4-Sep 21:05 JED 5-Sep 04:30 355 1 1 3 360 MED 13-Oct 04:45 13-Oct 20:55
39 3-Sep 20:00 4-Sep 23:25 JED 5-Sep 06:50 355 1 1 3 360 MED 13-Oct 07:45 13-Oct 23:55
40 4-Sep 14:00 5-Sep 13:55 JED 5-Sep 21:20 355 1 1 3 360 MED 13-Oct 22:45 14-Oct 14:55
41 4-Sep 20:00 5-Sep 20:15 JED 6-Sep 03:40 355 1 1 3 360 MED 14-Oct 05:45 14-Oct 21:55
42 5-Sep 07:00 6-Sep 01:15 JED 6-Sep 08:40 355 1 1 3 360 MED 14-Oct 10:45 15-Oct 02:55
43 5-Sep 08:00 6-Sep 04:25 JED 6-Sep 11:50 355 1 1 3 360 MED 14-Oct 13:45 15-Oct 05:55
44 6-Sep 07:00 7-Sep 01:55 JED 7-Sep 09:20 355 1 1 3 360 MED 15-Oct 11:30 16-Oct 03:40
45 6-Sep 09:00 7-Sep 09:05 JED 7-Sep 16:30 355 1 1 3 360 MED 15-Oct 18:30 16-Oct 10:40
46 6-Sep 17:00 7-Sep 17:10 JED 8-Sep 00:35 355 1 1 3 360 MED 16-Oct 02:35 16-Oct 18:45
47 6-Sep 20:00 7-Sep 19:55 JED 8-Sep 03:20 355 1 1 3 360 MED 16-Oct 05:30 16-Oct 21:40
48 7-Sep 16:00 8-Sep 16:10 JED 8-Sep 23:35 355 1 1 3 360 MED 17-Oct 04:30 17-Oct 20:40
49 8-Sep 07:00 9-Sep 00:15 JED 9-Sep 07:40 355 1 1 3 360 MED 17-Oct 10:45 18-Oct 02:55
50 8-Sep 08:00 9-Sep 03:15 JED 9-Sep 10:40 355 1 1 3 360 MED 17-Oct 16:30 18-Oct 08:40
51 8-Sep 09:00 9-Sep 08:25 JED 9-Sep 15:50 355 1 1 3 360 MED 17-Oct 19:30 18-Oct 11:40
52 9-Sep 07:00 10-Sep 02:50 JED 10-Sep 10:15 355 1 1 3 360 MED 18-Oct 13:30 19-Oct 05:40
53 9-Sep 10:00 10-Sep 10:10 JED 10-Sep 17:35 355 1 1 3 360 MED 18-Oct 19:35 19-Oct 11:45
54 9-Sep 14:00 10-Sep 14:00 JED 10-Sep 21:25 355 1 1 3 360 MED 18-Oct 23:15 19-Oct 15:25
55 9-Sep 20:00 10-Sep 20:25 JED 11-Sep 03:50 355 1 1 3 360 MED 19-Oct 05:45 19-Oct 21:55
56 10-Sep 11:00 11-Sep 10:40 JED 11-Sep 18:05 355 1 1 3 360 MED 19-Oct 20:15 20-Oct 12:25
57 10-Sep 15:00 11-Sep 14:55 JED 11-Sep 22:20 355 1 1 3 360 MED 20-Oct 02:20 20-Oct 18:30
58 10-Sep 20:00 11-Sep 23:55 JED 12-Sep 07:20 355 1 1 3 360 MED 20-Oct 11:30 21-Oct 03:40
59 11-Sep 17:00 12-Sep 16:55 JED 13-Sep 00:20 355 1 1 3 360 MED 21-Oct 02:15 21-Oct 18:25
60 11-Sep 19:00 12-Sep 19:00 JED 13-Sep 02:25 355 1 1 3 360 MED 21-Oct 04:30 21-Oct 20:40
61 12-Sep 07:00 13-Sep 00:05 JED 13-Sep 07:30 355 1 1 3 360 MED 21-Oct 11:45 22-Oct 03:55
62 12-Sep 09:00 13-Sep 09:25 JED 13-Sep 16:50 355 1 1 3 360 MED 21-Oct 18:50 22-Oct 11:00
GIA 6008
GIA 6211
GIA 6011
GIA 6212
GIA 6012
GIA 6112
GIA 6110
GIA 6210
GIA 6010
GIA 6111
GIA 6310
GIA 6114
GIA 6214
GIA 6313
GIA 6014
GIA 6115
GIA 6311
GIA 6013
GIA 6113
GIA 6213
GIA 6312
GIA 6016
GIA 6215
GIA 6015
GIA 6116
GIA 6314
GIA 6216
GIA 6508
GIA 6610
GIA 6710
GIA 6510
GIA 6611
GIA 6810
GIA 6808
GIA 6708
GIA 6609
GIA 6509
GIA 6709
GELOMBANG II
GIA 6308
GIA 6208
GIA 6109
GIA 6009
GIA 6309
GIA 6209 GIA 6809
GIA 6811
GIA 6513
GIA 6613
GIA 6713
GIA 6812
GIA 6711
GIA 6511
GIA 6712
GIA 6512
GIA 6612
GIA 6715
GIA 6515
GIA 6616
GIA 6814
GIA 6716
GIA 6614
GIA 6714
GIA 6813
GIA 6514
GIA 6615
GIA 6516
TGL PKL TGL PKL BANDARA TGL PKL TPHI TPIHI TKHI
BANDAR
A
TGL PKL TGL PKL
KLT
MASUK ASRAMA BERANGKAT TIBA DI NOMOR
FLIGHT
GIA 6001
JATENG
NOMOR
FLIGHT
D I Y
PETUGAS
KLOTER JMLH
BERANGKAT TIBA DI INDONESIA
GIA 650163 12-Sep 20:00 13-Sep 23:55 JED 14-Sep 07:20 355 1 1 3 360 MED 22-Oct 06:45 22-Oct 22:55
64 13-Sep 08:00 14-Sep 08:20 JED 14-Sep 15:45 355 1 1 3 360 MED 22-Oct 17:45 23-Oct 09:55
65 13-Sep 14:00 14-Sep 14:25 JED 14-Sep 21:50 355 1 1 3 360 MED 22-Oct 23:40 23-Oct 15:50
66 13-Sep 21:00 14-Sep 22:50 JED 15-Sep 06:15 355 1 1 3 360 MED 23-Oct 06:30 23-Oct 22:40
67 14-Sep 09:00 15-Sep 09:25 JED 15-Sep 16:50 355 1 1 3 360 MED 23-Oct 18:35 24-Oct 10:45
68 14-Sep 16:00 15-Sep 15:45 JED 15-Sep 23:10 355 1 1 3 360 MED 24-Oct 01:30 24-Oct 17:40
69 14-Sep 20:00 15-Sep 22:50 JED 16-Sep 06:15 355 1 1 3 360 MED 24-Oct 06:45 24-Oct 22:55
70 15-Sep 07:00 16-Sep 06:50 JED 16-Sep 14:15 355 1 1 3 360 MED 24-Oct 10:45 25-Oct 02:55
71 15-Sep 19:00 16-Sep 18:15 JED 17-Sep 01:40 355 1 1 3 360 MED 25-Oct 00:40 25-Oct 16:50
72 15-Sep 20:00 16-Sep 22:25 JED 17-Sep 05:50 355 1 1 3 360 MED 25-Oct 07:40 25-Oct 23:50
73 16-Sep 08:00 17-Sep 02:25 JED 17-Sep 09:50 355 1 1 3 360 MED 25-Oct 13:30 26-Oct 05:40
74 16-Sep 11:00 17-Sep 10:50 JED 17-Sep 18:30 276 1 1 3 281 MED 25-Oct 16:35 26-Oct 08:45
23,717 2,474 74 74 222 26,561
Catatan :
Gelombang I : Kloter 1 s.d 36
Gelombang II : Kloter 37 s.d 74
Jadwal sewaktu-waktu masih dapat berubah
GIA 6219
GIA 6019
GIA 6119
GIA 6719
GIA 6519
GIA 6619
GIA 6118
GIA 6317
GIA 6315
GIA 6217
GIA 6017
GIA 6117
GIA 6316
GIA 6218
GIA 6018
GIA 6816
GIA 6718
GIA 6518
GIA 6618
GIA 6817
GIA 6815
GIA 6717
GIA 6517
GIA 6617
Jakarta, Agustus 2015
Wassalam
an. Direktur Jenderal
Direktur Pelayanan Haji Dalam Negeri
Ahda Barori
NIP. 195807251989031001
Kabarmakkahcom solo
Kabarmakkahcom solo
Kabarmakkahcom solo

Kabarmakkahcom solo

  • 1.
    TGL PKL TGLPKL BANDARA TGL PKL TPHI TPIHI TKHI BANDAR A TGL PKL TGL PKL 1 20-Aug 11:00 21-Aug 11:05 MED 21-Aug 18:30 355 1 1 3 360 JED 28-Sep 10:30 29-Sep 02:40 2 20-Aug 17:00 21-Aug 17:05 MED 22-Aug 00:20 355 1 1 3 360 JED 28-Sep 21:20 29-Sep 13:30 3 20-Aug 20:00 21-Aug 22:45 MED 22-Aug 06:10 355 1 1 3 360 JED 29-Sep 08:20 30-Sep 00:30 4 21-Aug 08:00 22-Aug 03:05 MED 22-Aug 10:30 355 1 1 3 360 JED 29-Sep 12:30 30-Sep 04:40 5 21-Aug 19:00 22-Aug 19:20 MED 23-Aug 02:45 355 1 1 3 360 JED 30-Sep 03:20 30-Sep 19:30 6 21-Aug 20:00 22-Aug 21:45 MED 23-Aug 05:10 355 1 1 3 360 JED 30-Sep 06:10 30-Sep 22:20 7 22-Aug 08:00 23-Aug 05:05 MED 23-Aug 12:30 355 1 1 3 360 JED 30-Sep 14:10 1-Oct 06:20 8 22-Aug 20:00 23-Aug 22:20 MED 24-Aug 05:45 355 1 1 3 360 JED 1-Oct 08:15 2-Oct 00:25 9 23-Aug 08:00 24-Aug 02:05 MED 24-Aug 09:30 355 1 1 3 360 JED 1-Oct 11:20 2-Oct 03:30 10 23-Aug 14:00 24-Aug 13:50 MED 24-Aug 21:15 355 1 1 3 360 JED 1-Oct 23:10 2-Oct 15:20 11 23-Aug 19:00 24-Aug 17:45 MED 25-Aug 01:10 355 1 1 3 360 JED 2-Oct 11:30 3-Oct 03:40 12 24-Aug 11:00 25-Aug 11:05 MED 25-Aug 18:30 355 1 1 3 360 JED 2-Oct 20:20 3-Oct 12:30 13 24-Aug 16:00 25-Aug 15:55 MED 25-Aug 23:20 355 1 1 3 360 JED 3-Oct 04:20 3-Oct 20:30 14 24-Aug 20:00 25-Aug 21:05 MED 26-Aug 04:30 355 1 1 3 360 JED 3-Oct 09:30 4-Oct 01:40 15 25-Aug 10:00 26-Aug 10:05 MED 26-Aug 17:30 355 1 1 3 360 JED 3-Oct 19:10 4-Oct 11:20 16 25-Aug 20:00 26-Aug 23:05 MED 27-Aug 06:30 355 1 1 3 360 JED 4-Oct 08:20 5-Oct 00:30 17 26-Aug 08:00 27-Aug 04:55 MED 27-Aug 12:20 355 1 1 3 360 JED 4-Oct 14:20 5-Oct 06:30 18 26-Aug 13:00 27-Aug 13:20 MED 27-Aug 20:45 355 1 1 3 360 JED 4-Oct 22:35 5-Oct 14:45 19 26-Aug 19:00 27-Aug 18:05 MED 28-Aug 01:30 355 1 1 3 360 JED 5-Oct 04:20 5-Oct 20:30 20 27-Aug 08:00 28-Aug 07:05 MED 28-Aug 14:30 355 1 1 3 360 JED 5-Oct 14:35 6-Oct 06:45 21 27-Aug 15:00 28-Aug 15:05 MED 28-Aug 22:30 355 1 1 3 360 JED 6-Oct 00:30 6-Oct 16:40 22 28-Aug 08:00 29-Aug 06:50 MED 29-Aug 14:15 355 1 1 3 360 JED 6-Oct 14:50 7-Oct 07:00 23 28-Aug 10:00 29-Aug 12:05 MED 29-Aug 19:30 355 1 1 3 360 JED 6-Oct 19:20 7-Oct 11:30 24 28-Aug 20:00 29-Aug 19:45 MED 30-Aug 03:10 355 1 1 3 360 JED 7-Oct 05:20 7-Oct 21:30 25 29-Aug 08:00 30-Aug 00:50 MED 30-Aug 08:15 355 1 1 3 360 JED 7-Oct 09:10 8-Oct 01:20 26 29-Aug 20:00 30-Aug 20:05 MED 31-Aug 03:30 355 1 1 3 360 JED 8-Oct 05:20 8-Oct 21:30 27 30-Aug 08:00 31-Aug 02:55 MED 31-Aug 10:20 355 1 1 3 360 JED 8-Oct 12:20 9-Oct 04:30 28 30-Aug 09:00 31-Aug 09:10 MED 31-Aug 16:35 355 1 1 3 360 JED 8-Oct 18:50 9-Oct 11:00 29 30-Aug 15:00 31-Aug 14:45 MED 31-Aug 22:10 11 344 1 1 3 360 JED 9-Oct 00:20 9-Oct 16:30 GIA 6202 GIA 6102 GIA 6302 GIA 6003 GIA 6304 GIA 6105 GIA 6005 GIA 6205 GIA 6305 GIA 6103 GIA 6203 GIA 6004 GIA 6303 GIA 6104 GIA 6204 GIA 6007 GIA 6307 GIA 6108 KLT MASUK ASRAMA BERANGKAT TIBA DI NOMOR FLIGHT JADWAL PEMBERANGKATAN DAN PEMULANGAN JEMAAH HAJI EMBARKASI SOLO TAHUN 1436H/2015H Waktu setempat GIA 6001 GIA 6201 GIA 6101 GIA 6301 GIA 6002 JATENG NOMOR FLIGHT D I Y PETUGAS KLOTER JMLH BERANGKAT TIBA DI INDONESIA GIA 6207 GIA 6106 GIA 6206 GIA 6006 GIA 6306 GIA 6107 GIA 6804 GIA 6605 GIA 6505 GIA 6705 GIA 6805 GIA 6501 GIA 6701 GIA 6601 GIA 6801 GIA 6502 GIA 6702 GIA 6602 GIA 6802 GIA 6503 GIA 6603 GIA 6703 GIA 6504 GIA 6803 GIA 6604 GIA 6704 GIA 6507 GIA 6807 GIA 6608 GIA 6707 GIA 6606 GIA 6706 GIA 6506 GIA 6806 GIA 6607
  • 2.
    TGL PKL TGLPKL BANDARA TGL PKL TPHI TPIHI TKHI BANDAR A TGL PKL TGL PKL KLT MASUK ASRAMA BERANGKAT TIBA DI NOMOR FLIGHT GIA 6001 JATENG NOMOR FLIGHT D I Y PETUGAS KLOTER JMLH BERANGKAT TIBA DI INDONESIA GIA 650130 31-Aug 07:00 1-Sep 04:05 MED 1-Sep 11:30 355 1 1 3 360 JED 9-Oct 13:10 10-Oct 05:20 31 31-Aug 08:00 1-Sep 07:20 MED 1-Sep 14:45 355 1 1 3 360 JED 9-Oct 16:20 10-Oct 08:30 32 31-Aug 20:00 1-Sep 22:05 MED 2-Sep 05:30 355 1 1 3 360 JED 10-Oct 09:30 11-Oct 01:40 33 1-Sep 08:00 2-Sep 08:05 MED 2-Sep 15:30 355 1 1 3 360 JED 10-Oct 18:20 11-Oct 10:30 34 2-Sep 08:00 3-Sep 02:20 MED 3-Sep 09:45 355 1 1 3 360 JED 11-Oct 01:15 11-Oct 17:25 35 2-Sep 10:00 3-Sep 10:20 MED 3-Sep 17:45 355 1 1 3 360 JED 11-Oct 13:15 12-Oct 05:25 36 2-Sep 17:00 3-Sep 17:50 MED 4-Sep 01:15 355 1 1 3 360 JED 11-Oct 20:15 12-Oct 12:25 37 3-Sep 08:00 4-Sep 07:10 JED 4-Sep 14:35 355 1 1 3 360 MED 12-Oct 12:45 13-Oct 04:55 38 3-Sep 19:00 4-Sep 21:05 JED 5-Sep 04:30 355 1 1 3 360 MED 13-Oct 04:45 13-Oct 20:55 39 3-Sep 20:00 4-Sep 23:25 JED 5-Sep 06:50 355 1 1 3 360 MED 13-Oct 07:45 13-Oct 23:55 40 4-Sep 14:00 5-Sep 13:55 JED 5-Sep 21:20 355 1 1 3 360 MED 13-Oct 22:45 14-Oct 14:55 41 4-Sep 20:00 5-Sep 20:15 JED 6-Sep 03:40 355 1 1 3 360 MED 14-Oct 05:45 14-Oct 21:55 42 5-Sep 07:00 6-Sep 01:15 JED 6-Sep 08:40 355 1 1 3 360 MED 14-Oct 10:45 15-Oct 02:55 43 5-Sep 08:00 6-Sep 04:25 JED 6-Sep 11:50 355 1 1 3 360 MED 14-Oct 13:45 15-Oct 05:55 44 6-Sep 07:00 7-Sep 01:55 JED 7-Sep 09:20 355 1 1 3 360 MED 15-Oct 11:30 16-Oct 03:40 45 6-Sep 09:00 7-Sep 09:05 JED 7-Sep 16:30 355 1 1 3 360 MED 15-Oct 18:30 16-Oct 10:40 46 6-Sep 17:00 7-Sep 17:10 JED 8-Sep 00:35 355 1 1 3 360 MED 16-Oct 02:35 16-Oct 18:45 47 6-Sep 20:00 7-Sep 19:55 JED 8-Sep 03:20 355 1 1 3 360 MED 16-Oct 05:30 16-Oct 21:40 48 7-Sep 16:00 8-Sep 16:10 JED 8-Sep 23:35 355 1 1 3 360 MED 17-Oct 04:30 17-Oct 20:40 49 8-Sep 07:00 9-Sep 00:15 JED 9-Sep 07:40 355 1 1 3 360 MED 17-Oct 10:45 18-Oct 02:55 50 8-Sep 08:00 9-Sep 03:15 JED 9-Sep 10:40 355 1 1 3 360 MED 17-Oct 16:30 18-Oct 08:40 51 8-Sep 09:00 9-Sep 08:25 JED 9-Sep 15:50 355 1 1 3 360 MED 17-Oct 19:30 18-Oct 11:40 52 9-Sep 07:00 10-Sep 02:50 JED 10-Sep 10:15 355 1 1 3 360 MED 18-Oct 13:30 19-Oct 05:40 53 9-Sep 10:00 10-Sep 10:10 JED 10-Sep 17:35 355 1 1 3 360 MED 18-Oct 19:35 19-Oct 11:45 54 9-Sep 14:00 10-Sep 14:00 JED 10-Sep 21:25 355 1 1 3 360 MED 18-Oct 23:15 19-Oct 15:25 55 9-Sep 20:00 10-Sep 20:25 JED 11-Sep 03:50 355 1 1 3 360 MED 19-Oct 05:45 19-Oct 21:55 56 10-Sep 11:00 11-Sep 10:40 JED 11-Sep 18:05 355 1 1 3 360 MED 19-Oct 20:15 20-Oct 12:25 57 10-Sep 15:00 11-Sep 14:55 JED 11-Sep 22:20 355 1 1 3 360 MED 20-Oct 02:20 20-Oct 18:30 58 10-Sep 20:00 11-Sep 23:55 JED 12-Sep 07:20 355 1 1 3 360 MED 20-Oct 11:30 21-Oct 03:40 59 11-Sep 17:00 12-Sep 16:55 JED 13-Sep 00:20 355 1 1 3 360 MED 21-Oct 02:15 21-Oct 18:25 60 11-Sep 19:00 12-Sep 19:00 JED 13-Sep 02:25 355 1 1 3 360 MED 21-Oct 04:30 21-Oct 20:40 61 12-Sep 07:00 13-Sep 00:05 JED 13-Sep 07:30 355 1 1 3 360 MED 21-Oct 11:45 22-Oct 03:55 62 12-Sep 09:00 13-Sep 09:25 JED 13-Sep 16:50 355 1 1 3 360 MED 21-Oct 18:50 22-Oct 11:00 GIA 6008 GIA 6211 GIA 6011 GIA 6212 GIA 6012 GIA 6112 GIA 6110 GIA 6210 GIA 6010 GIA 6111 GIA 6310 GIA 6114 GIA 6214 GIA 6313 GIA 6014 GIA 6115 GIA 6311 GIA 6013 GIA 6113 GIA 6213 GIA 6312 GIA 6016 GIA 6215 GIA 6015 GIA 6116 GIA 6314 GIA 6216 GIA 6508 GIA 6610 GIA 6710 GIA 6510 GIA 6611 GIA 6810 GIA 6808 GIA 6708 GIA 6609 GIA 6509 GIA 6709 GELOMBANG II GIA 6308 GIA 6208 GIA 6109 GIA 6009 GIA 6309 GIA 6209 GIA 6809 GIA 6811 GIA 6513 GIA 6613 GIA 6713 GIA 6812 GIA 6711 GIA 6511 GIA 6712 GIA 6512 GIA 6612 GIA 6715 GIA 6515 GIA 6616 GIA 6814 GIA 6716 GIA 6614 GIA 6714 GIA 6813 GIA 6514 GIA 6615 GIA 6516
  • 3.
    TGL PKL TGLPKL BANDARA TGL PKL TPHI TPIHI TKHI BANDAR A TGL PKL TGL PKL KLT MASUK ASRAMA BERANGKAT TIBA DI NOMOR FLIGHT GIA 6001 JATENG NOMOR FLIGHT D I Y PETUGAS KLOTER JMLH BERANGKAT TIBA DI INDONESIA GIA 650163 12-Sep 20:00 13-Sep 23:55 JED 14-Sep 07:20 355 1 1 3 360 MED 22-Oct 06:45 22-Oct 22:55 64 13-Sep 08:00 14-Sep 08:20 JED 14-Sep 15:45 355 1 1 3 360 MED 22-Oct 17:45 23-Oct 09:55 65 13-Sep 14:00 14-Sep 14:25 JED 14-Sep 21:50 355 1 1 3 360 MED 22-Oct 23:40 23-Oct 15:50 66 13-Sep 21:00 14-Sep 22:50 JED 15-Sep 06:15 355 1 1 3 360 MED 23-Oct 06:30 23-Oct 22:40 67 14-Sep 09:00 15-Sep 09:25 JED 15-Sep 16:50 355 1 1 3 360 MED 23-Oct 18:35 24-Oct 10:45 68 14-Sep 16:00 15-Sep 15:45 JED 15-Sep 23:10 355 1 1 3 360 MED 24-Oct 01:30 24-Oct 17:40 69 14-Sep 20:00 15-Sep 22:50 JED 16-Sep 06:15 355 1 1 3 360 MED 24-Oct 06:45 24-Oct 22:55 70 15-Sep 07:00 16-Sep 06:50 JED 16-Sep 14:15 355 1 1 3 360 MED 24-Oct 10:45 25-Oct 02:55 71 15-Sep 19:00 16-Sep 18:15 JED 17-Sep 01:40 355 1 1 3 360 MED 25-Oct 00:40 25-Oct 16:50 72 15-Sep 20:00 16-Sep 22:25 JED 17-Sep 05:50 355 1 1 3 360 MED 25-Oct 07:40 25-Oct 23:50 73 16-Sep 08:00 17-Sep 02:25 JED 17-Sep 09:50 355 1 1 3 360 MED 25-Oct 13:30 26-Oct 05:40 74 16-Sep 11:00 17-Sep 10:50 JED 17-Sep 18:30 276 1 1 3 281 MED 25-Oct 16:35 26-Oct 08:45 23,717 2,474 74 74 222 26,561 Catatan : Gelombang I : Kloter 1 s.d 36 Gelombang II : Kloter 37 s.d 74 Jadwal sewaktu-waktu masih dapat berubah GIA 6219 GIA 6019 GIA 6119 GIA 6719 GIA 6519 GIA 6619 GIA 6118 GIA 6317 GIA 6315 GIA 6217 GIA 6017 GIA 6117 GIA 6316 GIA 6218 GIA 6018 GIA 6816 GIA 6718 GIA 6518 GIA 6618 GIA 6817 GIA 6815 GIA 6717 GIA 6517 GIA 6617 Jakarta, Agustus 2015 Wassalam an. Direktur Jenderal Direktur Pelayanan Haji Dalam Negeri Ahda Barori NIP. 195807251989031001